Klima-, Energi- og Forsyningsudvalget 2021-22
KEF Alm.del Bilag 310
Offentligt
2566433_0001.png
Global
Afrapportering
2022
KEF, Alm.del - 2021-22 - Bilag 310: Orientering om offentliggørelse af Global Afrapportering 2022
2566433_0002.png
GLOBAL AFRAPPORTERING – FORORD
2
Global Afrapportering, 2022
Udgivet i april 2022 af:
Energistyrelsen, Carsten Niebuhrs Gade 43, 1577 København V
Telefon: 33 92 67 00, E-mail: [email protected]
Internet: http://www.ens.dk
Design og produktion: Energistyrelsen
KEF, Alm.del - 2021-22 - Bilag 310: Orientering om offentliggørelse af Global Afrapportering 2022
2566433_0003.png
INDHOLDSFORTEGNELSE
3
Indholdsfortegnelse
Indholdsfortegnelse
Resumé
1
2
3
4
5
6
7
8
9
10
11
12
13
14
15
16
17
18
Fokus og tilgang
Danmarks forbrugsbaserede klimaaftryk
Ændringer i arealanvendelse (LUC)
Biomasse
Biobrændstoffer
Import
Eksport
International transport
Eludveksling
Import og forbrug af soja
Små og mellemstore virksomheders globale klimaarbejde
Globale klimaambitioner
Globale reduktioner
Globale klimatilpasningsindsatser
Klimabistand, klimafinansiering og investeringer
Samarbejde med erhvervslivet om grønne løsninger
Politiske aftaler med global effekt
Referencer
Forbrug
3
4
11
15
17
22
25
30
34
35
38
43
44
50
54
57
60
62
64
69
72
76
78
80
83
88
89
Import og eksport
Fokusemner
Myndighedernes globale indsatser
Ordforklaringer og forkortelser
Oversigt over bilag og baggrundsmateriale til Global Afrapportering 2022
Bilag 1: Juridisk baggrund for den globale afrapportering
KEF, Alm.del - 2021-22 - Bilag 310: Orientering om offentliggørelse af Global Afrapportering 2022
2566433_0004.png
RESUMÉ
4
Resumé
Global Afrapportering 2022 (GA22) er en vurdering af, hvordan danske forbrugere, dansk
erhvervsliv og danske myndigheder på forskellige måder påvirker udledningerne af
drivhusgas uden for Danmark. Klimaforandringerne er en global udfordring, og
afrapporteringen bidrager med et vigtigt blik på Danmarks rolle i den globale
klimaindsats. Resultaterne i afrapporteringen vil understøtte Danmarks videre arbejde
med klimaindsatsen.
Afrapporteringen måler Danmarks forbrugsbaserede klimaaftryk og udledningerne
knyttet til Danmarks samlede import og eksport. For husholdningernes forbrug er det
særligt fødevarer og transport, som giver anledning til flest udledninger. For den samlede
danske import og eksport spiller skibsfart en stor rolle. Samtidig viser afrapporteringen
Danmarks eksport af grønne produkter, der bidrager til at sikre grøn omstilling globalt.
Resultaterne viser også, hvordan myndighederne bidrager til at reducere
drivhusgasudledningerne i udlandet. Foruden de konkrete reduktionstiltag på bl.a.
landbrugsområdet, der er besluttet i Danmark, sker det bl.a. via en styrket
klimadiplomatisk indsats, klimabistand, fremme af grønne investeringer og samarbejder,
hvor dansk rådgivning hjælper partnerlandene med den grønne omstilling.
Hovedresultater
Forbrug
I GA22 opgøres Danmarks samlede forbrugsbaserede klimaaftryk. I tillæg hertil belyses
de forbrugsbaserede udledninger fra tre områder, som ikke indgår fuldt ud i opgørelsen
af det forbrugsbaserede klimaaftryk. Det drejer sig om forbrugsbaserede udledninger
fra ændringer i arealanvendelse, biomasse og biobrændstoffer.
Danmarks forbrugsbaserede klimaaftryk
er en opgørelse af drivhusgasudledninger
både i Danmark og i udlandet knyttet til dansk forbrug. Danmarks
forbrugsbaserede klimaaftryk var
63 mio. ton CO
2
e i 2020.
Det svarer til
11
ton CO
2
e pr. dansker.
Det er samme niveau som i 2019. Størstedelen af
udledningerne skete i udlandet. De forbrugsbaserede udledninger er faldende.
Det skyldes særligt den grønne omstilling af den danske energisektor, som
også har medvirket til, at drivhusgasintensiteten for dansk forbrug er halveret i
perioden 1990 til 2020.
61 pct. af udledningerne skyldtes forbrug i de danske husholdninger
og var særligt
knyttet til forbruget af føde- og drikkevarer og transport. De varer og serviceydelser,
som forbruges, leveres af virksomhederne. Offentlig og privat service er den
branchegruppe, hvor der er flest udledninger i de varer og serviceydelser, som leveres
til dansk forbrug. Det vidner om, at danskerne i høj grad er forbrugere af service fra fx
hospitalsvæsnet, daginstitutioner og restauranter.
KEF, Alm.del - 2021-22 - Bilag 310: Orientering om offentliggørelse af Global Afrapportering 2022
2566433_0005.png
RESUMÉ
5
Ændringer i arealanvendelse.
Rydning af skovarealer på globalt plan kan skyldes
udvidelser af landbrugsarealer, som er drevet af et stigende globalt forbrug af
arealkrævende produkter. Dansk forbrug af fx landbrugsvarer kan således
påvirke den globale arealanvendelse og dermed, hvor meget kulstof der
bindes og frigives fra skove og andre arealer.
Omfanget af Danmarks forbrugsbaserede udledninger fra ændringer i
arealanvendelse afhænger af, hvilken metode og hvilke afgrænsninger der anvendes.
Således opgøres Danmarks forbrugsbaserede udledninger fra
direkte
ændringer i
arealanvendelse (dLUC) til
ca. 1,9 mio. ton CO
2
e i 2018,
mens udledninger fra
indirekte
ændringer i arealanvendelse (iLUC) knyttet til Danmarks forbrug opgøres til
ca. 5,2 mio.
ton CO
2
e i 2020.
Opgørelserne viser, at det især er forbruget af varer fra
fødevareindustrien, der bidrager til udledninger fra ændringer i arealanvendelse.
Biomasse.
Træpiller og træflis dominerer forbruget af biomassebrændsler i Danmark.
Forbrænding fremrykker de udledninger, som ellers ville ske på et senere
tidspunkt, hvis træet fx var blevet efterladt i skoven til naturlig forrådnelse
eller anvendt til andre træprodukter. I GA22 opgøres nettoudledningerne fra
forbruget af træpiller og træflis anvendt til at producere el og fjernvarme i
Danmark i 2020. Resultaterne er betinget af en række antagelser, som der
knytter sig forskellige usikkerheder til.
Nettoudledningerne omfatter udledninger fra energiproduktion, proces og indirekte
effekter og afhænger bl.a. af forbrugsmængde og tidsperspektivet, der anlægges. I
2020 udgjorde de
6,9 mio. ton CO
2
, men falder herefter eksponentielt over tid.
Mængden af CO
2
i atmosfæren, knyttet til det konkrete forbrug i 2020, vil således
efter
10 år være
faldet
til 4,0 mio. ton CO
2
, efter 20 år til 2,5 mio. ton CO
2
og
efter 30 år til
1,6 mio. ton CO
2
.
Nettoudledningen påvirkes også af, hvilken type biomasse der anvendes. Mængden af
ekstra CO
2
i atmosfæren falder fx hurtigere efter forbrænding af små trærester end
efter forbrænding af stammer. Det skyldes, at små trærester alternativt ville nedbrydes
hurtigere end stammer og dermed frigive CO
2
. Derudover påvirkes opgørelsen af
nettoudledningen af antagelserne om, hvad der ville være sket med træbiomassen, hvis
den ikke var blevet brugt til energiproduktion.
Biobrændstoffer
iblandes benzin og diesel og erstatter således fossile brændsler.
Samtidig er der dog udledninger forbundet med produktionen af
biobrændstoffer.
Danmarks forbrug af biobrændstoffer er steget fra 2019 til 2020. Den øgede
anvendelse af biobrændstoffer er den væsentligste årsag til, at udledningerne
fra biobrændstoffer er steget til ca.
306.000 ton CO
2
e i 2020.
Til trods for den
øgede udledning, er de biobrændstoffer, der anvendes i Danmark blevet gradvist mere
bæredygtige målt i g CO
2
e/MJ. Forbruget af biobrændstoffer kan siges at medføre
KEF, Alm.del - 2021-22 - Bilag 310: Orientering om offentliggørelse af Global Afrapportering 2022
2566433_0006.png
RESUMÉ
6
udledninger fra ændringer i arealanvendelse. Der er dog stor usikkerhed om, hvordan
disse udledninger opgøres mest retvisende.
Import og eksport
Danmark er en lille, åben økonomi, hvor international handel fylder meget. Når Danmark
importerer og eksporterer varer og serviceydelser, er der en klimapåvirkning, der rækker
ud over de danske landegrænser. Et produkts værdikæde går oftest på tværs af
grænser og produkterne sætter klimaaftryk i flere lande på deres vej mod, at Danmark
importerer eller eksporterer dem.
Import.
Danmark importerer mange varer og serviceydelser, som enten forbruges i
Danmark eller eksporteres videre til forbrug i udlandet. De samlede udledninger
fra dansk import var
97 mio. ton CO
2
e i 2020. 40 pct.
af udledningerne fra
dansk import var knyttet til forbrug i Danmark, mens de resterende
60 pct.
var knyttet til varer og serviceydelser, som eksporteres videre ud af Danmark.
Transportbranchen fylder meget i udledningerne fra dansk import. Det
skyldes, at den danske transportflåde er relativt stor og derfor også tegner sig
for en stor del af dansk import. Størstedelen af transportudledningerne går ikke til
dansk forbrug, men eksporteres videre til udlandet.
Dansk import satte i 2020 størstedelen af sit klimaaftryk i Europa og Asien. Kina var
som ”verdens fabrik” det land, hvor dansk import satte det største klimaaftryk.
Eksport.
Danmark eksporterer mange varer og serviceydelser til forbrug i udlandet.
De samlede udledninger fra dansk eksport var
119 mio. ton CO
2
e i 2020.
Den
danske transportbranche står for ca. halvdelen af udledningerne fra dansk
eksport. Skibsfarten udgør
93 pct.
af transportbranchens udledninger. Det skal
ses i lyset af, at Danmarks transportflåde er relativt stor, samt at udledningerne
omfatter hele værdikæden for brændsler og dertil fx også udledninger fra
havneaktiviteter knyttet til eksporten.
Størstedelen af udledningerne fra dansk eksport var knyttet til varer og serviceydelser,
som blev eksporteret til Europa. USA og Tyskland var Danmarks to største
eksportmarkeder i 2020 og samtidig de to lande, hvor den danske eksport af varer og
serviceydelser havde flest tilknyttede drivhusgasudledninger.
En del af dansk eksport kan imidlertid reducere udledninger i udlandet. Danmark
eksporterede i 2021 for knap
20 mia. kr. grøn miljøteknologi og 65 mia. kr. grøn
energiteknologi.
Det vurderes, at dansk eksport af grøn energiteknologi i 2021 har
potentiale til at reducere de globale udledninger med mellem
119 og 215 mio. ton CO
2
over teknologiernes levetid.
Det svarer til en reduktion på mellem
5-8 mio. ton CO
2
pr.
år.
Fokusemner
GA22 sætter fokus på en række udvalgte emner, der er særligt relevante ift. at belyse
Danmarks påvirkning af udledningerne uden for Danmark. Det drejer sig om
KEF, Alm.del - 2021-22 - Bilag 310: Orientering om offentliggørelse af Global Afrapportering 2022
2566433_0007.png
RESUMÉ
7
international transport, eludveksling, Danmarks import og forbrug af soja,
virksomheders globale klimaarbejde og globale effekter af nationale politiske aftaler.
International transport (luft- og søfart).
Der har igennem de seneste 10 år været en
jævn stigning i drivhusgasudledninger forbundet med flyrejser til og fra Danmark.
Stigningen i udledningerne afspejler en vækst i efterspørgslen på international
flytransport. I 2019 lå udledningerne på ca.
6 mio. ton CO
2
e,
men faldt markant
i 2020 til omkring
2 mio. ton CO
2
e
som følge af covid-19. Den internationale
vækst i flytransport frem til og med 2019 skal ses i lyset af et stigende antal
passagerer og et øget transportarbejde (målt i personkilometer).
Relativt set er luftfarten til og fra Danmark blevet mere effektiv, idet der i perioden
2009-19 har været en reduktion i udledninger målt ift. transportarbejdet (målt for
passagerer i personkilometer og for fragt i tonkilometer).
Danmark er verdens 6. største søfartsnation målt som operatør, og dansk opererede
skibe (som enten er dansk ejede eller chartrede) udgør cirka 4,4 pct. af verdensflåden.
Den danske flåde bidrager til at imødegå den globale efterspørgsel efter fragt af varer,
hvorfor hovedparten af den dansk opererede flådes aktiviteter ikke er knyttet til import
og eksport af varer til og fra Danmark.
Der har i perioden 1990-2007 været en betydelig stigning i udledningerne fra dansk
opererede skibe i udlandet, hvorefter udledningerne er stabiliseret, og i 2019 var på
omkring
35 mio. ton CO
2
e.
I perioden 2011-18 er der på globalt plan sket en afkobling
af udledningerne fra den fortsatte vækst i fragtmængderne, og det afspejles også i de
danske udledninger. Danske skibe i udlandet har således forholdsvis stabile
udledninger trods generel vækst i fragtmængderne.
Import og eksport af el til og fra udlandet
påvirker elproduktionen i Danmarks
nabolande. Nabolandenes udledninger fra elproduktion falder, når Danmark
eksporterer vedvarende energi. Effekten er modsat, når Danmark importerer
strøm baseret på fossile brændsler. Danmarks nettoelimport i perioden 2018-
20 kan siges at have medvirket til yderligere udledninger i udlandet svarende til
ca. 0,6 mio. ton CO
2
per år.
Fremadrettet eksporteres el fra Danmark primært til Tyskland, Sverige og Norge.
Analysen viser, at det overordnet vil være vind-, vand- og solkraft, der udgør
modtagerlandenes elproduktion, når de modtager el fra Danmark, men i Tyskland vil
også gas- og kulkraft være i drift.
En forøget eleksport estimeres også i 2035 at reducere udledninger i udlandet. Det til
trods for at udlandets elproduktion forventes at blive grønnere og grønnere bl.a. pga.
nedlukning af konventionelle kraftværker i Europa. Derfor vil en forøget dansk eleksport
fortsat reducere udlandets udledninger men med aftagende effekt.
KEF, Alm.del - 2021-22 - Bilag 310: Orientering om offentliggørelse af Global Afrapportering 2022
2566433_0008.png
RESUMÉ
8
Import og forbrug af soja.
I 2020 importerede Danmark ca. 1,8 mio. ton sojaprodukter.
Importen af sojaskrå udgjorde
ca. 93 pct.
af den samlede import af
sojaprodukter, svarende til ca.
1,7 mio. ton.
De samlede udledninger fra
direkte ændringer i arealanvendelse (dLUC) knyttet til Danmarks import af
sojaskrå i 2020 er estimeret til
3,8-4,3 mio. ton CO
2
e.
Resultaterne vedr. soja
kan pga. metodeforskelle ikke sammenlignes med opgørelsen af
forbrugsbaserede udledninger fra ændringer i arealanvendelse.
Hovedparten af Danmarks import af sojaskrå bliver brugt i landbrugsproduktionen som
svine-, malkekvæg- og fjerkræfoder. Konkret bliver
65 pct.
af den samlede import af
sojaskrå til Danmark alene brugt i svine- og mælkeproduktionen.
I 2020 blev der eksporteret
ca. 911.000 ton
sojaskrå ud af Danmark indlejret i
animalske produkter. Hovedparten af disse (68
pct.)
var indlejret i eksporteret
svinekød.
Små og mellemstore virksomheders globale klimaarbejde.
Hovedparten af
virksomhederne i Danmark er små og mellemstore virksomheder (SMV’er). I
2019 stod SMV’er for
63 pct. af værdiskabelsen
inden for den private sektor.
SMV’erne spiller således en væsentlig rolle ift. den grønne omstilling i
Danmark.
Mange danske virksomheder har fokus på, hvordan de kan øge deres globale
klimaindsats. Undersøgelser viser dog, at SMV’erne arbejder mindre med deres
samlede klimaaftryk og herunder deres globale udledninger end de store virksomheder.
De SMV’er, der arbejder med klima, arbejder primært med at begrænse udledninger fra
energiforbrug i virksomheden.
Der er igangsat flere indsatser for at understøtte SMV’erne i klimaarbejdet bl.a. med
henblik på, at virksomhederne i højere grad opgør deres samlede
drivhusgasudledninger herunder også de globale.
Myndighedernes globale indsatser
Danmarks internationale indsats for grøn og bæredygtig omstilling sker gennem
erfaringsudveksling og klimadiplomatiske indsatser, via bilateralt og multilateralt
samarbejde samt via EU. Arbejdet foregår i tråd med ambitionerne i regeringens
langsigtede strategi for global klimaindsats
En Grøn og Bæredygtig Verden
og
Klimaprogrammets
globale strategi.
Nedenfor gennemgås GA22’s hovedresultater på
dette område.
Globale klimaambitioner.
Danmark arbejder via en lang række indsatser for at præge
lande og ikke-statslige aktører til at forpligte sig til ambitiøse målsætninger.
Eksempelvis bidrog Danmark i 2021 til tilblivelsen af EU’s første klimalov med
et juridisk bindende klimamål. I arbejdet lykkedes det at få sat adskillige
danske aftryk på loven herunder, at
EU efter 2050 skal have negative
emissioner.
I 2021 har Danmark desuden på COP 26 bidraget aktivt til at holde
1,5
KEF, Alm.del - 2021-22 - Bilag 310: Orientering om offentliggørelse af Global Afrapportering 2022
2566433_0009.png
RESUMÉ
9
graders målsætningen i live
og arbejdet for at styrke det globale momentum for
kuludfasning samt for udfasning af olie- og gas produktion med lanceringen af Beyond
Oil and Gas Alliance.
Globale reduktioner.
Danmark arbejder for, at de lande i verden, der udleder mest,
reducerer deres udledninger, og at udviklingslandene gennemgår en
bæredygtig udvikling. Via klimabistanden har Danmark i 2021 understøttet
multilaterale indsatser, som især har haft fokus på at understøtte
adgang til
og fremme af ren energi, styrke udviklingslandene ift. deres nationale
klimaindsatser
og
reduktion af udledninger uden for energisektoren.
Ud over energisamarbejder har danske myndighedssamarbejder i 2021 ligeledes
bidraget til at reducere de globale udledninger ved at dele danske erfaringer ift.
bæredygtig vandforvaltning, affaldshåndtering
og
effektive og grønne
fødevaresystemer.
Globale klimatilpasningsindsatser.
Danmark arbejder for at inspirere og drive
tilpasnings- og modstandsdygtighedsinitiativer globalt via både bilaterale og
multilaterale kanaler. I 2021 har Danmark især haft fokus på indsatser, der
understøtter
øget modstandsdygtighed
over for klimaforandringerne blandt de
mest sårbare befolkningsgrupper, indsatser, der fremmer
adgangen til rent
vand,
og indsatser, der
sammentænker klima, miljø og biodiversitet.
Klimabistand, klimafinansiering og investeringer.
Klimabistanden udgjorde i 2020 lidt
mere end
2 mia. kr.,
hvoraf
56 pct. gik til klimatilpasningsindsatser
og
44 pct. til
reduktionsindsatser.
Ydermere kan
378 mio. kr.
i klimabistand gennem EU’s
globale instrumenter i 2020 tilskrives Danmark. Samtidig har Danmark
mobiliseret ca.
1,3 mia. kr.
i klimafinansiering til udviklingslande gennem
Investeringsfonden for Udviklingslande (IFU) og ca.
3,5 mia. kr.
gennem de
multilaterale udviklingsbanker.
Staten er medejer af en række finansielle institutioner, herunder bl.a. Danmarks
Eksportkredit (EKF) og Investeringsfonden for Udviklingslande (IFU), som bidrager med
finansiering til projekter globalt.
67 pct.
af EKF’s samlede investeringer i perioden
2017-2021 var i vedvarende energi, mens investeringer i fossile brændsler udgjorde
mindre end
1 pct.
For så vidt angår IFU var
21 pct.
af deres totale investeringer i 2020 i
vedvarende energi. Klimaaftrykket fra IFU’s samlede investeringsportefølje lå i 2020 på
knap
740.000 ton CO
2
e.
Samarbejde med erhvervslivet om grønne løsninger.
Danmark arbejder for at få
erhvervslivet med i den danske globale klimaindsats. I 2021 har Danmark bl.a.
etableret en
eksportordning på vandområdet,
som skal understøtte eksporten
af grønne løsninger på vandområdet. Derudover har Danmark arbejdet for at
fremme
EU’s taksonomiforordning,
der skal gøre det nemmere for danske
virksomheder at investere bæredygtigt.
KEF, Alm.del - 2021-22 - Bilag 310: Orientering om offentliggørelse af Global Afrapportering 2022
2566433_0010.png
RESUMÉ
10
Politiske aftaler med global effekt.
En række af de politiske aftaler med primært
sigte på at reducere udledningerne i Danmark har desuden en global effekt. Der
er i 2021 besluttet
24 energi- og klimapolitiske aftaler
i Danmark. Ud af dem
vurderes
12
at kunne have en klimaeffekt uden for Danmarks grænser.
KEF, Alm.del - 2021-22 - Bilag 310: Orientering om offentliggørelse af Global Afrapportering 2022
2566433_0011.png
1. FOKUS OG TILGANG
11
1 Fokus og tilgang
1.1
Fokus er på Danmarks globale påvirkning af klimaet
Global Afrapportering har ophæng i klimaloven og giver et billede af den klimaeffekt og
den klimaindsats uden for landets grænser, som forbrugere, erhvervsliv og
myndigheder i Danmark på forskellig vis kan være med til at påvirke.
Formålet med den årlige globale afrapportering er at synliggøre Danmarks globale
påvirkning af klimaet både negativt og positivt, jf. boks 1 og bilag 1.
Boks 1:
Formålet med den globale afrapportering (Klimaloven, juni 2020)
”Formålet med afrapporteringen er at synliggøre Danmarks globale påvirkning af klimaet. Der
vil både være tale om negativ påvirkning, eksempelvis i forhold til forbrug, men også positiv
påvirkning, eksempelvis i forhold til konkrete bilaterale landesamarbejder, hvor Danmark bl.a.
bidrager med at omstille landenes energisektor”
Global Afrapportering udkommer som supplement til Klimastatus og –fremskrivning,
der alene beskæftiger sig med drivhusgasudledninger fra dansk grund, jf. boks 2 og 3.
Boks 2:
Klimastatus og –fremskrivning
Med den årlige klimastatus og –fremskrivning udarbejdes en status for og fremskrivning af
CO
2
e-udledninger fra dansk grund baseret på vedtagen politik. Dette sker på baggrund af FN’s
opgørelsesprincipper, der anvendes på tværs af lande, EU og resten af verden til at vurdere
fremdrift i forhold til internationalt vedtagne målsætninger. Danmarks målsætning om 70 pct.
reduktion i 2030 er på samme måde relateret til drivhusgasudledninger fra dansk grund i
overensstemmelse med FN’s opgørelsesprincipper. Kilde: (ENSb, 2021).
Boks 3:
FN’s krav til opgørelser af drivhusgasudledninger
De internationale opgørelsesmetoder for drivhusgasudledninger tager udgangspunkt i
vejledninger udarbejdet af FN’s klimapanel (IPCC) (IPCC, IPCC 2006 Guidelines, 2022). Alle
lande under FN’s klimakonvention skal opgøre og rapportere udledninger af drivhusgasser
efter IPCC’s vejledninger for at sikre sammenlignelighed. Principperne for opgørelserne af de
enkelte landes udledninger er, at udledninger opgøres ud fra det såkaldte territorialprincip, der
går ud på, at udledninger tælles med i det land, de finder sted. Det gælder også
arealanvendelse, hvor fx træfældning skal bogføres med en CO
2
e-udledning i
oprindelseslandet selvom biomassen herfra måtte blive eksporteret og anvendt til
energiformål i et andet land.
KEF, Alm.del - 2021-22 - Bilag 310: Orientering om offentliggørelse af Global Afrapportering 2022
2566433_0012.png
1. FOKUS OG TILGANG
12
Den årlige offentliggørelse af Global Afrapportering og Klimastatus og –fremskrivning i
april er et element i det årshjul, der fastlægges med klimaloven. Formålet med
klimalovens årshjul er at sikre en løbende opfølgning på, om den danske klimaindsats
understøtter opfyldelsen af klimalovens målsætninger.
1.2
Opbygning af Global Afrapportering 2022
Global Afrapportering 2022 (GA22) består af en hovedrapport inkl. bilag samt 19
baggrundsnotater, der uddyber de emner, der belyses i afrapporteringen. I
hovedrapporten er der fokus på at formidle hovedresultaterne. Beskrivelser af
supplerende resultater, metodetilgang, datagrundlag mv. skal således findes i
baggrundsnotaterne.
Boks 4:
Regeringens globale klimaindsatser
Regeringen har igangsat en række indsatser for at reducere de globale drivhusgasudledninger
og Danmarks effekt herpå. I kapitel 12-17 afrapporteres myndighedernes globale
klimaindsatser. I tillæg hertil beskriver pjecen
Danmarks globale klimaaftryk
(KEFM, 2022),
nogle af de politiske initiativer, der kan reducere Danmarks globale klimapåvirkning.
Hovedrapporten er opdelt i fire overordnede dele: 1) Danmarks forbrug, 2) Danmarks
import og eksport, 3) Fokusområder og 4) Myndighedernes globale indsatser, jf. Figur
1.
Figur 1:
Opbygning af GA22
Forbrug
Danmarks forbrugsbaserede klimaaftryk
Ændringer i arealanvendelse (LUC)
Biomasse
Biobrændstoffer
Import og Eksport
Import
Global Afrapportering 2022 - Resumé
Eksport
Fokusemner
International transport
Eludveksling
Import og forbrug af soja
Små- og mellemstore virksomheders globale klimaarbejde
Globale klimaambitioner
Globale reduktioner
Globale klimatilpasningsindsatser
Klimabistand, klimafinansiering og investeringer
Politiske aftaler med global effekt
Bilag
Samarbejde med erhvervslivet om grønne løsninger
Baggrundsnotater
Myndighedernes globale indsatser
Fokus og tilgang
KEF, Alm.del - 2021-22 - Bilag 310: Orientering om offentliggørelse af Global Afrapportering 2022
2566433_0013.png
1. FOKUS OG TILGANG
13
De fire dele giver forskellige relevante perspektiver på Danmarks globale påvirkning af
klimaet. Med del 1 om
Forbrug
sættes der fokus på udledninger knyttet til de produkter,
der forbruges i Danmark, hvoraf mange er produceret i udlandet. Dermed sker en
væsentlig del af de drivhusgasudledninger, som er knyttet til de produkter, danskerne
køber, uden for Danmarks grænser. Med del 2 sættes der fokus på udledningerne
forbundet med Danmarks samlede import og eksport samt på de reduktioner, der kan
knyttes til Danmarks eksport af grønne energi- og miljøprodukter. Med del 3
præsenteres en række fokusområder, der vurderes særligt relevante ift. at belyse
Danmarks globale påvirkning af klimaet. Afslutningsvis indeholder del 4 en
gennemgang af myndighedernes indsatser for at reducere de globale udledninger.
Traditionelt opgøres klimaaftryk på landeniveau som et lands territoriale udledninger.
Det er en konsekvens af den tilgang, der er funderet i FN’s Klimakonvention, som har
eksisteret siden 1992. Den tilgang som anvendes i de globale afrapporteringer, findes
der endnu ikke en international ensartet fremgangsmetode for. Opgørelserne er derfor
forbundet med usikkerhed, og ikke alle aspekter af Danmarks klimapåvirkning er belyst.
Optimering af metoder og datagrundlag er et løbende fokusområde ift. de globale
afrapporteringer.
1.3
Sådan har vi gjort
Resultaterne i GA22 er udarbejdet på baggrund af en række forskellige datakilder og
metoder.
Danmarks udledninger knyttet til forbrug, import og eksport
er beregnet på baggrund af
en input-output model. Grundmodellen er den samme, som Energistyrelsen anvendte i
sidste års globale afrapportering. Metoden er baseret på en Simplified SNAC-tilgang
(Tukker, 2018) og kombinerer data fra Danmarks Statistik med data fra den globale
database EXIOBASE. Modellen beregner drivhusgasudledninger knyttet til de varer og
serviceydelser, som Danmark forbruger, importerer og eksporterer.
Danmarks grønne eksport
er baseret på en række forskellige kilder. Opgørelserne af
grøn eksport bygger på analyser vedr. eksport af energiteknologi, som Energistyrelsen
udgiver i samarbejde med Dansk Industri, Dansk Energi, Wind Denmark og Dansk
Fjernvarme, samt på Miljøstyrelsens analyse af eksport af vandteknologi og styrelsens
data for eksport af affalds- og renluftsteknologier. Opgørelsen af de potentielle
drivhusgasreduktioner knyttet til Danmarks grønne eksport er baseret på data fra
Energistyrelsens Teknologikataloger.
Danmarks forbrugsbaserede udledninger knyttet til ændringer i arealanvendelsen
er
baseret på beregninger via modeller udviklet af hhv. Chalmers universitet
1
og 2.-0 LCA
consultants.
1
Chalmers Tekniska Högskola.
KEF, Alm.del - 2021-22 - Bilag 310: Orientering om offentliggørelse af Global Afrapportering 2022
2566433_0014.png
1. FOKUS OG TILGANG
14
Udledninger knyttet til Danmarks forbrug af biomasse og biobrændstoffer
er baseret på
indberettede data om forbrug af biomasse og biobrændstoffer i Danmark samt
beregninger fra Institut for Geovidenskab og Naturforvaltning (IGN).
Fokusemnerne
er baseret på data, statistik, beregninger og cases. International
transport er baseret på officiel statistik fra Energistyrelsen og Danmarks Statistik,
eludveksling er baseret på beregninger med Energistyrelsens elsystemmodel. Import
og forbrug af soja er primært baseret på data fra Blonk Consultants og Institut for
Fødevare- og Ressourceøkonomi (IFRO). Danske virksomheders globale klimaarbejde
er baseret på et litteraturstudie af rapporter fra bl.a. Dansk Erhverv, SMV-Danmark.
Nationale tiltag med globale effekter er baseret på input fra relevante ministerier og
styrelser.
Myndighedernes globale indsatser
er afrapporteret ved bidrag direkte fra de ansvarlige
aktører for klimabistand (Udenrigsministeriet) og bilaterale energi-, fødevare- og
miljøsamarbejder (Energistyrelsen, Fødevarestyrelsen og Miljøministeriet). Ift. fremme
af grønne investeringer er denne del baseret på bidrag fra Erhvervsministeriet,
Danmarks Eksport Kreditfond (EKF) og Investeringsfonden for udviklingslande (IFU).
Derudover har en række ressortministerier bidraget til oversigten over politiske aftaler
med global klimaeffekt, der påvirker Danmarks globale udledninger.
Der er således indhentet bidrag fra en række ministerier og interessenter til rapporten.
Det følger desuden af klimaloven, at den globale afrapportering skal sendes i ekstern
høring, jf. bilag 1. Den overordnede metodetilgang var i ekstern høring i november 2021,
og den samlede GA22 sendes i ekstern høring i april/maj 2022.
Hovedparten af områderne, der belyses i GA22, inkluderer data frem til og med 2020 og
i nogle enkelte tilfælde også 2021. Det betyder, at effekten af covid-19 er afspejlet i
tallene, hvorfor den beskrevne udvikling skal forstås i denne kontekst. På det
foreliggende grundlag er det ikke muligt inden for alle områder i GA22 at vurdere
præcis, hvordan covid-19 har påvirket resultaterne.
KEF, Alm.del - 2021-22 - Bilag 310: Orientering om offentliggørelse af Global Afrapportering 2022
2566433_0015.png
FORBRUG
15
Forbrug
Traditionelt opgøres landes klimaaftryk ved at se på de drivhusgasudledninger, som
sker inden for landets grænser. Danmarks 70-pct. målsætning og indrapporteringer til
FN er således bundet op omkring Danmarks territoriale drivhusgasudledninger.
Mange af de produkter, som forbruges i Danmark, er dog produceret i udlandet.
Dermed sker en væsentlig del af de drivhusgasudledninger, som er knyttet til de
produkter, danskerne køber, uden for Danmarks grænser. Hvis klimaaftrykket af dansk
forbrug skal opgøres, er det derfor ikke tilstrækkeligt alene at se på de territoriale
udledninger.
Figur 2 illustrerer, hvordan territoriale udledninger, udledninger fra international
transport samt udledninger fra import kan henføres til enten Danmarks
forbrugsbaserede klimaaftryk eller eksport.
Figur 2:
Illustration af sammenhæng mellem Danmarks forbrugsbaserede klimaaftryk, de
territoriale udledninger, udledninger fra international transport samt udledninger fra import og
eksport
Direkte udledninger fra husholdninger
Territoriale
udledninger
Udledninger fra
international
transport
Danmarks
forbrugsbasere
de klimaaftryk
Udledninger fra
import
Udledninger fra
eksport
Indholdet i de enkelte kapitler
Denne del af GA22 belyser dansk forbrugs globale klimakonsekvenser opdelt i fire
kapitler. Det første kapitel dækker Danmarks forbrugsbaserede klimaaftryk, mens de
efterfølgende tre kapitler belyser yderligere udledninger knyttet til dansk forbrug, men
som grundet manglende konsoliderede metoder ikke indgår fuldt ud i klimaaftrykket:
Drivhusgasudledninger fra ændringer i arealanvendelse (LUC), forbrug af biomasse og
forbrug af biobrændstoffer.
Resultaterne i de fire kapitler kan således sammenlignes, men de bør ikke summeres,
hvilket er baggrunden for, at emnerne i de tre sidste kapitler optræder separat, selvom
de hver især fortæller noget om udledninger knyttet til dansk forbrug. Sammenhængen
mellem kapitlerne fremgår nedenfor og illustreret i Figur 3.
KEF, Alm.del - 2021-22 - Bilag 310: Orientering om offentliggørelse af Global Afrapportering 2022
2566433_0016.png
FORBRUG
16
Kapitel 2
Danmarks forbrugsbaserede klimaaftryk
fokuserer på drivhusgasudledninger
knyttet til dansk forbrug uanset, hvor i verden udledningerne finder sted. Dermed
inkluderer opgørelsen de udledninger, som er knyttet til hele produktionskæden af
produkter, som danskerne forbruger.
Kapitel 3
Ændringer i arealanvendelse (LUC)
stiller skarpt på drivhusgasudledninger fra
ændringer i arealanvendelse (LUC) med fokus på afskovning, der knytter sig til dansk
forbrug. Disse udledninger indgår ikke i kapitlet om det forbrugsbaserede klimaaftryk.
Kapitel 4
Biomasse
beskriver de drivhusgasudledninger, som knytter sig til dansk
forbrug af biomasse med fokus på el og fjernvarmeproduktion. I første kapitel er kun
indregnet udledninger fra transport og forarbejdning af biomassen, mens der i dette
kapitel gives et mere komplet billede.
Kapitel 5
Biobrændstoffer
beskriver de drivhusgasudledninger, som knytter sig til dansk
forbrug af biobrændstoffer, som iblandes benzin og diesel. Udgangspunktet er
Danmarks EU-rapportering af udledninger fra biobrændstoffer. Tilgangen er derfor
anderledes, og der gives et mere komplet billede end i kapitel 2, hvor biobrændstoffer
også indgår
2
.
Beskrivelser af de anvendte metoder, mere detaljerede resultater samt en beskrivelse
af de usikkerheder, der er knyttet til analysernes resultater, kan findes i
baggrundsnotaterne om hhv. Danmarks forbrugsbaserede klimaaftryk, ændringer i
arealanvendelse, biomasse og biobrændstoffer.
Figur 3:
Illustration af overlap mellem de udledninger der belyses i kapitlerne i den del af GA22
der vedr. udledninger knyttet til Danmarks forbrug
Kapitel 5
Biobrændstoffer
Kapitel 2
Danmarks forbrugsbaserede
klimaaftryk
Kapitel 3
Ændringer i
arealanvendelse
(LUC)
Kapitel 4
Biomasse
2
Danmarks forbrugsbaserede klimaaftryk indeholder ikke indirekte ændringer i arealanvendelse (iLUC), men det indgår i
kapitel 5 om biobrændstoffer. iLUC indgår tillige i kapitel 3, men med en anden tilgang end EU-rapporteringen, der er
udgangspunkt for kapitel 5.
KEF, Alm.del - 2021-22 - Bilag 310: Orientering om offentliggørelse af Global Afrapportering 2022
2566433_0017.png
2. DANMARKS FORBRUGSBASEREDE KLIMAAFTRYK
17
2 Danmarks forbrugsbaserede
klimaaftryk
Danmarks forbrugsbaserede klimaaftryk er en opgørelse af
drivhusgasudledningerne knyttet til dansk forbrug. Det betyder, at opgørelsen
omfatter udledninger fra de dele af dansk import og af dansk produktion,
som forbruges i Danmark. Omvendt indgår drivhusgasudledninger fra dansk
eksport ikke, da det per definition forbruges i udlandet.
Opgørelsen af Danmarks forbrugsbaserede klimaaftryk er en relativt ny disciplin
og metodeudviklingen på området er derfor på et relativt tidligt stadie.
2.1
2.1.1
Hovedresultater
Danmarks forbrugsbaserede klimaaftryk var 63 mio. ton CO
2
e i 2020
Danmarks forbrugsbaserede klimaaftryk var i 2020 63 mio. ton CO
2
e. Det svarer til ca.
11 ton CO
2
e pr. dansker. Det er samme niveau som i 2019
3
. Drivhusgasudledningerne
knyttet til dansk forbrug kan både ske i Danmark og i udlandet. 42 pct. af Danmarks
forbrugsbaserede klimaaftryk kan henføres til danske udledninger
4
, mens 58 pct. kan
henføres til udenlandske udledninger. Størrelsen af Danmarks forbrugsbaserede
klimaaftryk i udlandet påvirkes af, hvor meget og hvad Danmark importerer til forbrug,
men også af produktionsmetoder og klimainitiativer i de lande, som Danmark
importerer fra.
Boks 5:
Danmarks territoriale udledninger og det forbrugsbaserede klimaaftryk
Danmarks forbrugsbaserede klimaaftryk er knap 50 pct. højere end Danmarks territoriale
drivhusgasudledninger. Danmarks territoriale udledninger var i 2020 45 mio. ton CO
2
e
svarende til knap 8 ton CO
2
e pr. dansker (ENS, 2022). Det betyder, at Danmarks klimaaftryk er
højere, når man indregner de drivhusgasudledninger, som sker i udlandet som følge af dansk
forbrug og samtidig trækker de drivhusgasudledninger fra, som eksporteres til forbrug i andre
lande.
2.1.2
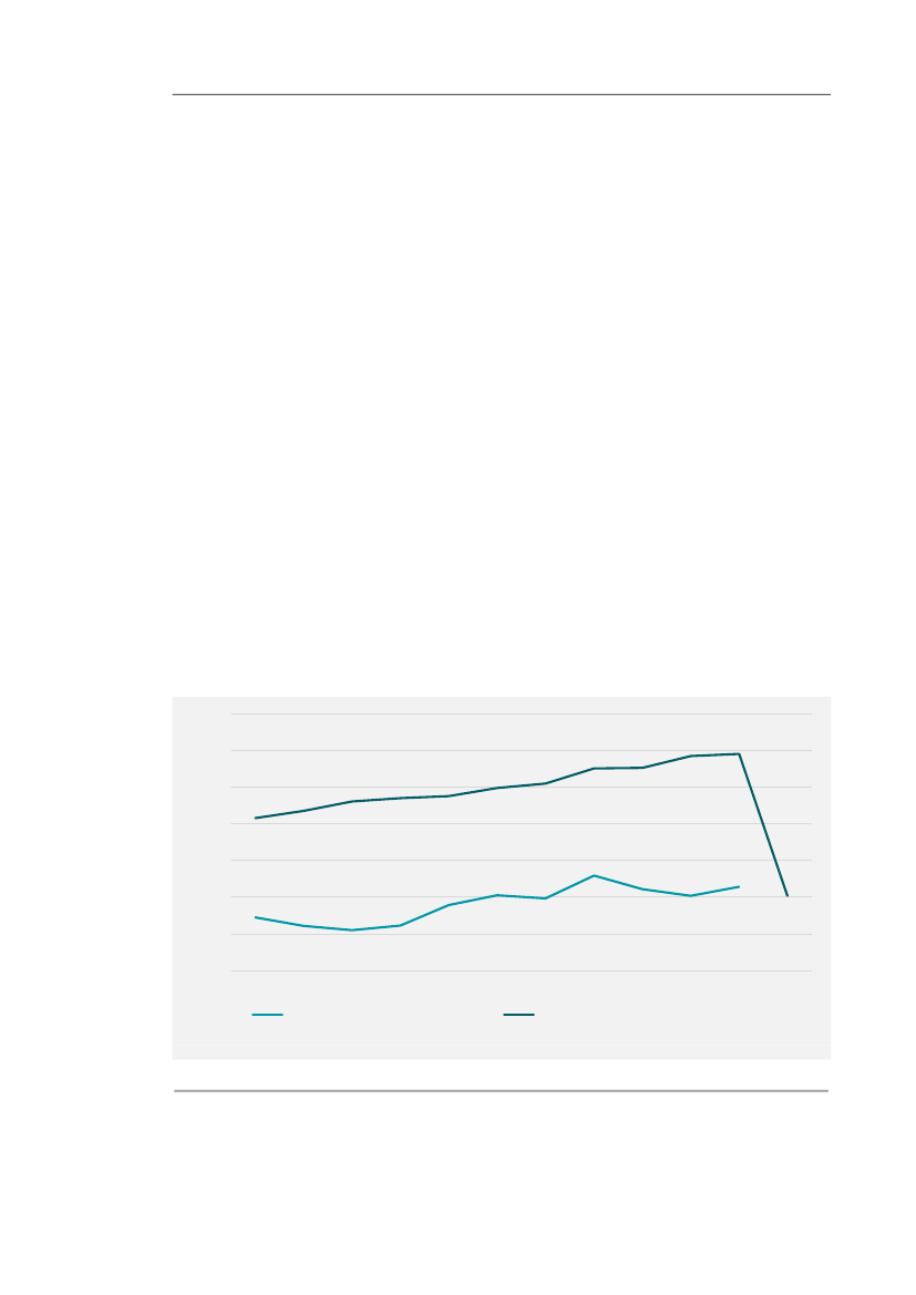
Danske udledninger knyttet til dansk forbrug er faldende
Danmarks forbrugsbaserede klimaaftryk nåede det højeste niveau i 1996 og er faldet
siden med undtagelse af perioden op til finanskrisen i 2008 (se Figur 4). De danske
udledninger knyttet til dansk forbrug er mere end halveret i perioden 1990 til 2020. I
samme periode er de udenlandske udledninger omvendt steget med en tredjedel.
Faldet i de danske udledninger skyldes bl.a., at den danske energisektor er blevet
væsentligt mindre klimabelastende. Dertil kan faldet i de danske udledninger og
Det forbrugsbaserede klimaaftryk for 2019 er forskelligt i Global Afrapportering 2021 (GA21) (61 mio. ton CO
2
e) og
GA22 (63 mio. ton CO
2
e). Det skyldes datamæssige forbedringer i GA22. Forskelle mellem GA21 og GA22 er nærmere
beskrevet i baggrundsnotatet om Danmarks forbrugsbaserede klimaaftryk.
4
Danske udledninger skal forstås som udledninger fra danske residenser. Det vil typisk være udledninger på dansk
territorie, men kan også være fx fra danske skibe i internationalt farvand eller danske turister i udlandet.
3
KEF, Alm.del - 2021-22 - Bilag 310: Orientering om offentliggørelse af Global Afrapportering 2022
2566433_0018.png
2. DANMARKS FORBRUGSBASEREDE KLIMAAFTRYK
18
stigningen i de udenlandske udledninger hænge sammen med, at en del af
produktionen er flyttet til udlandet.
Figur 4:
Danmarks forbrugsbaserede klimaaftryk fordelt på danske og udenlandske udledninger
120
100
Mio. ton CO
2
e
80
60
40
20
0
1990
1991
1992
1993
1994
1995
1996
1997
1998
1999
2000
2001
2002
2003
2004
2005
2006
2007
2008
2009
2010
2011
2012
2013
2014
2015
2016
2017
2018
2019
2020
Danske udledninger
Udenlandske udledninger
Kilde: Energistyrelsen. Anm.: Udledninger knyttet til import og dansk produktion indgår, og eksport er trukket fra. Danske
udledninger dækker over udledninger knyttet til de varer og serviceydelser, som produceres i Danmark.
2.1.3
Husholdningernes forbrug stod i 2020 for 61 pct. af udledningerne
Dansk forbrug kan opdeles i tre forbrugsgrupper: 1) husholdningernes forbrug, 2) det
offentliges forbrug og 3) forbrug relateret til investeringer
5
. Der er her tale om endeligt
forbrug, hvilket vil sige, at virksomhedernes forbrug ikke indgår, da det indgår i de
produkter og serviceydelser, som leveres til de tre forbrugsgrupper. Figur 5 viser, at
størstedelen (61 pct.) af Danmarks forbrugsbaserede klimaaftryk i 2020 var knyttet til
husholdningernes forbrug. Investeringer tegner sig for 25 pct., mens det offentliges
forbrug udgør 14 pct.
Figur 5:
Danmarks forbrugsbaserede klimaaftryk fordelt på forbrugsgrupper i 2020
Offentligt forbrug
14%
Investeringer
25%
Danmarks samlede
forbrugsbaserede
klimaaftryk var i 2020 ca.
63 mio. ton CO
2
e
Husholdninger
61%
Kilde: Energistyrelsen.
5
Investeringer dækker over virksomheders og det offentliges køb, som anvendes i mere end ét år. Det kan fx være
boliger, transportmidler, produktionsanlæg, inventar og software.
KEF, Alm.del - 2021-22 - Bilag 310: Orientering om offentliggørelse af Global Afrapportering 2022
2566433_0019.png
2. DANMARKS FORBRUGSBASEREDE KLIMAAFTRYK
19
For offentligt forbrug og for investeringer sker størstedelen af udledningerne i udlandet.
Omvendt sker størstedelen af udledningerne fra husholdningernes forbrug i Danmark.
Boks 6:
Danmarks forbrugsbaserede klimaaftryk og grønne offentlige indkøb
Energistyrelsen foretager årligt en opgørelse af klimaaftrykket fra det offentliges indkøb.
Rapport med resultaterne Klimaaftrykket fra offentlige indkøb i 2020 forventes udgivet
snarligt.
Opgørelsen af det offentlige indkøbs klimaaftryk kan ikke sammenlignes med klimaaftrykket
fra det offentliges forbrug, som det er opgjort i det forbrugsbaserede klimaaftryk. Det skyldes,
at det er to forskellige typer af klimaaftryksopgørelser. Opgørelsen af klimaaftrykket fra det
offentliges indkøb er en indkøbsanalyse af fakturadata på produktniveau. I Global
Afrapporterings opgørelse er klimaaftrykket fra det offentliges forbrug derimod en
delmængde af Danmarks forbrugsbaserede klimaaftryk og er opgjort med udgangspunkt i
input-output tabeller på brancheniveau.
2.1.4
Husholdningers udledninger er især knyttet til transport samt mad og drikke
Opdeling af husholdningernes forbrug på en række forbrugskategorier giver indblik i,
hvad husholdningernes forbrug består af. Figur 6 viser, at størstedelen af
udledningerne i 2020 stammede fra husholdningernes forbrug af transport samt føde-
og drikkevarer. Disse to kategorier tegnede sig hver især for ca. 10 mio. ton CO
2
e. For
transport var de største poster køb af transportydelser (fx fly- og togrejser)
6
, køb af
benzin og olie samt køb af køretøjer. Kød var husholdningernes største kilde til
udledninger inden for føde- og drikkevarer og stod for ca. 21 pct. af udledningerne i
denne forbrugskategori.
Figur 6:
Drivhusgasudledninger fra husholdningernes forbrug fordelt på forbrugskategorier
opdelt på danske og udenlandske udledninger i 2020
12
10
Mio. ton CO
2
e
8
6
4
2
0
Danske udledninger
Kilde: Energistyrelsen.
Udenlandske udledninger
6
International transport er nærmere beskrevet i kapitel 13, dog ikke med en forbrugsbaseret tilgang, hvorfor udledninger
knyttet til Danmarks forbrug af transport ikke direkte uddybes.
KEF, Alm.del - 2021-22 - Bilag 310: Orientering om offentliggørelse af Global Afrapportering 2022
2566433_0020.png
2. DANMARKS FORBRUGSBASEREDE KLIMAAFTRYK
20
2.1.5
Halvdelen af husholdningernes udledninger sker i Danmark
Halvdelen af udledningerne knyttet til husholdningernes forbrug skete i Danmark i
forbindelse med produktion, transport, forbrug og bortskaffelse af varer og ydelser. Det
gælder særligt for transport samt el, varme, brændsler, vand og renovation. Det skyldes,
at fx selve forbrændingen af benzin til transport og produktion af el primært sker i
Danmark. Omvendt skete udledningerne fra husholdningernes forbrug af elektronik og
boligudstyr samt beklædning, sko og tasker fortrinsvist i udlandet. Der er her tale om
forbrugskategorier, hvor en stor del af produktionen sker i udlandet.
Branchegruppen offentlig og privat service tegnede sig for flest udledninger
Omkring en tredjedel af Danmarks forbrugsbaserede udledninger i 2020 var knyttet til
de serviceydelser, som branchegruppen offentlig og privat service leverede til det
danske forbrug, jf. Figur 7. Kategorien ”Offentlig og privat service” omfatter i den
private sektor fx rejsebureauer, restauranter og hoteller, og i den offentlige sektor fx
hospitaler, daginstitutioner og gymnasier. Fordelingen på branchegrupper har fokus på
produktet, som leveres til dansk forbrug. I opgørelsen vil eksempelvis udledninger
knyttet til transport af tøj og sko være indregnet i engros- og detailhandlens
udledninger, der sælger skoen, og ikke transportsektorens udledninger.
For leverancer af produkter fra maskin- og elektronikindustrien, øvrig
fremstillingsindustri og kemi- og medicinalindustrien skete næsten alle udledningerne i
udlandet grundet import af færdige produkter samt halvfabrikata som input til dansk
produktion. Omvendt var størstedelen af udledningerne i energisektoren samt landbrug,
skovbrug og fiskeindustriens leverancer udledt i Danmark
7
. Det kan hænge sammen
med, at bl.a. energisektoren har et stort energiforbrug i Danmark, og at landbruget har
en stor produktion i Danmark med dertilhørende udledninger.
2.1.6
7
Som nævnt indledningsvis indgår ændringer i arealanvendelse (LUC) ikke i Danmarks forbrugsbaserede klimaaftryk.
KEF, Alm.del - 2021-22 - Bilag 310: Orientering om offentliggørelse af Global Afrapportering 2022
2566433_0021.png
2. DANMARKS FORBRUGSBASEREDE KLIMAAFTRYK
21
Figur 7:
Danmarks forbrugsbaserede klimaaftryk fordelt på branchegrupper der leverer til
forbrug og opgjort på danske og udenlandske udledninger i 2020
18
16
14
12
10
8
6
4
2
0
Mio. ton CO
2
e
Danske udledninger
Udenlandske udledninger
Kilde: Energistyrelsen. Anm.: Direkte udledninger fra husholdningerne fremgår ikke af figuren. Husholdningernes direkte
udledninger stammer fx fra forbrænding af benzin i køretøjer og udgør ca. 7 mio. ton CO
2
e. Husholdningernes direkte
udledninger er pr. definition udledt i Danmark.
2.1.7
Udledning for hver krone forbrugt er halveret siden 1990
Forholdet mellem de forbrugsbaserede drivhusgasudledninger (både danske og
udenlandske) og størrelsen af danskernes forbrug kan opgøres i kg CO
2
e pr. krone.
Figur 8 viser, at der samlet set udledes halvt så mange drivhusgasser for hver forbrugt
krone i 2020 sammenlignet med 1990. Forbruget opgjort i kr. er steget støt i perioden
samtidig med, at især den danske energisektor er blevet væsentligt mindre
klimabelastende. Leverancerne fra alle ti branchegrupper havde en lavere udledning pr.
krone i 2020 sammenlignet med 1990.
Figur 8:
Udviklingen i drivhusgasintensitet fordelt på branchegrupper og samlet
160
140
120
Indeks 100
100
80
60
40
20
0
1990
1992
1994
1996
1998
2000
2002
2004
2006
2008
2010
2012
2014
2016
2018
2020
Landbrug, skovbrug og fiskeri
Energisektoren
Bygge- og anlægsvirksomhed
Føde-, drikke-, tobaksvarer
Øvrig fremstillingsindustri
Kemi- og medicinalindustri
Maskin- og elektronikindustri
Offentlig og privat service
Engros- og detailhandel
Transport
Indeks 100
Samlet
Kilde: Energistyrelsen. Anm.: Indeksår = 1990. Drivhusgasintensiteten for branchegrupperne er beregnet på baggrund af
værdien af branchegruppernes leverancer til endelig dansk forbrug angivet i løbende, kædede 2010-priser. Den samlede
drivhusgasintensitet er beregnet som den samlede endelige indenlandske anvendelse, også i løbende, kædede 2010-
priser.
KEF, Alm.del - 2021-22 - Bilag 310: Orientering om offentliggørelse af Global Afrapportering 2022
2566433_0022.png
3. ÆNDRINGER I AREALANVENDELSE (LUC)
22
3 Ændringer i arealanvendelse (LUC)
Ændringer i arealanvendelse
8
, især i form af afskovning, er en væsentlig kilde til
menneskeskabte drivhusgasudledninger. Udledninger fra ændringer i
arealanvendelse svarede til 11 pct. af de samlede, globale
drivhusgasudledninger i 2019 (UNEP, 2021). Rydning af skovarealer på globalt
plan kan skyldes udvidelser af landbrugsarealer, som er drevet af et stigende
globalt forbrug af arealkrævende produkter. Når fx et skovareal i Brasilien
omlægges fra regnskov til landbrugsareal, kan denne arealomlægning være et resultat
af et stigende forbrug af landbrugsprodukter eller andre arealkrævende aktiviteter.
På den måde kan dansk forbrug af fx landbrugsvarer påvirke den globale
arealanvendelse og dermed, hvor meget kulstof der bindes og frigives fra skove og
øvrige arealer. Drivhusgasudledninger fra ændringer i arealanvendelse knyttet til
Danmarks forbrug er derfor vigtige at belyse i forbindelse med den globale
afrapportering.
GA22 omfatter både en opgørelse med udgangspunkt i
direkte
ændringer i
arealanvendelse knyttet til Danmarks forbrug (dLUC) og en opgørelse med
udgangspunkt i
indirekte
ændringer i arealanvendelse knyttet til Danmarks forbrug
(iLUC). Begge tilgange er afgrænset til at omfatte effekten af afskovning
9
, og dLUC er
yderligere afgrænset til afskovning i troperne. Da der ikke er sket afskovning i Danmark
i de senere år, inkluderer opgørelsen af hverken dLUC eller iLUC udledninger fra
ændringer i arealanvendelse i Danmark. Det skal generelt bemærkes, at resultater for
både dLUC og iLUC er baseret på modelberegninger og ikke en konkret vurdering af
konsekvenser af forbruget af de enkelte fysiske varer.
Kapitel 10 eksemplificerer problemstillingen om direkte ændringer i arealanvendelsen
(dLUC) ved belysning af import og forbrug af soja.
Boks 7:
direkte og indirekte ændringer i arealanvendelse (hhv. dLUC og iLUC)
dLUC
er opgjort som den ændring i arealanvendelse, der sker på et areal, når skov ryddes i
troperne og omlægges til landbrugsareal for direkte at imødekomme forbrug af
landbrugsprodukter i Danmark.
iLUC
forudsætter, at alle arealkrævende aktiviteter trækker på et begrænset globalt
landbrugsareal. Det betyder, at al arealkrævende forbrug i Danmark får tilskrevet udledninger
fra ændringer i arealanvendelse. Det sker, uanset om udnyttelsen af areal direkte har medført
skovrydning, eller om det alene har øget presset på det begrænsede globale landbrugsareal,
og som konsekvens heraf potentielt indirekte har medført skovrydning et andet sted i verden.
8
9
På engelsk "Land-Use Change" (LUC), se forklaring i ordlisten, hvor underbegreberne iLUC og dLUC også forklares.
Opgørelserne i GA22 omfatter således ikke arealændringer fra fx en afgrøde til en anden eller fra græsareal til dyrket
areal. Afskovning vurderes at være den største faktor inden for iLUC.
KEF, Alm.del - 2021-22 - Bilag 310: Orientering om offentliggørelse af Global Afrapportering 2022
2566433_0023.png
3. ÆNDRINGER I AREALANVENDELSE (LUC)
23
3.1
3.1.1
Hovedresultater
Opgørelsen af ændringer i arealanvendelse afhænger af tilgangen
Danmarks forbrugsbaserede udledninger fra direkte ændringer i arealanvendelse
(dLUC) opgøres til ca. 1,9 mio. ton CO
2
e i 2018
10
, jf. Figur 9. Udledninger fra indirekte
ændringer i arealanvendelse (iLUC) knyttet til Danmarks forbrug opgøres til ca. 5,2 mio.
ton CO
2
e i 2020.
Til sammenligning er Danmarks forbrugsbaserede klimaaftryk uden effekter fra
ændringer i arealanvendelse i GA22 beregnet til ca. 63 mio. ton CO
2
e i 2020 (se kapitel
2). De opgjorte udledninger fra ændringer i arealanvendelse kan ikke lægges direkte
oven i Danmarks forbrugsbaserede klimaaftryk grundet mangel på konsoliderede
metoder på området.
Figur 9:
Udledninger fra ændringer i arealanvendelse knyttet til Danmarks forbrug med
udgangspunkt i hhv. dLUC og iLUC.
dLUC
iLUC
0,0
1,0
2,0
3,0
Mio. ton CO2 pr. år
4,0
5,0
6,0
Kilde: (Pendrill, 2022), 2.-0 LCA consultants og Energistyrelsen. Anm.: Resultater for hhv. dLUC og iLUC må ikke lægges
sammen.
Det bemærkes, at de to resultater for udledninger fra ændringer i arealanvendelse med
udgangspunkt i hhv. dLUC og iLUC ikke må lægges sammen eller fx tolkes som et
spænd. Opgørelserne allokerer som udgangspunkt de samme udledninger på to
forskellige måder.
3.1.2
Fødevareindustris varer bidrager mest til direkte ændringer i arealanvendelse
Figur 10 viser, at udledninger knyttet til leverancer fra branchegruppen ’Anden
fødevareindustri’ til dansk forbrug bidrager mest til de forbrugsbaserede udledninger
fra dLUC (direkte ændringer i arealanvendelse). ’Anden fødevareindustri’ dækker over
bl.a. forarbejdning af vegetabilske olier og fedt samt forarbejdning af fødevarer. Det er
særligt forarbejdning af palmeolie i produktion af fødevarer, der er af betydning.
2018 er seneste historiske år i den model, som er anvendt til beregning af dLUC. Det bemærkes, at det betyder, at
udledninger fra dLUC dermed ikke er opgjort for samme historisk år som udledninger fra iLUC eller for det samlede,
forbrugsbaserede klimaaftryk.
10
KEF, Alm.del - 2021-22 - Bilag 310: Orientering om offentliggørelse af Global Afrapportering 2022
2566433_0024.png
3. ÆNDRINGER I AREALANVENDELSE (LUC)
24
Figur 10:
Udledninger fra dLUC knyttet til Danmarks forbrug i 2018 fordelt på de 10
branchegrupper, hvis leverancer har tilknyttet flest udledninger fra dLUC
0,5
0,4
0,4
0,3
0,3
0,2
0,2
0,1
0,1
0,0
23%
Mio. ton CO
2
10%
6%
6%
5%
4%
3%
3%
Fremst. af maling og sæbe
mv.
2%
Mejerier
2%
Daginstitutioner, -centre
mv.
Anden fødevareindustri
Medicinalindustri
Hospitaler
Landbrug og gartneri
Restauranter
Slagterier
Kilde: Baseret på data fra (Pendrill, 2022) som Energistyrelsen har anvendt i den koblede input-output model.
Med udgangspunkt i den anvendte model og data kan det derudover udledes, at en
væsentlig del af udledninger fra dLUC allokeret til Danmarks forbrug er relateret til
afskovning i Indonesien. Yderligere detaljer kan ikke fastlægges på baggrund af de
tilgængelige data.
3.1.3
Dansk forbrug kan give indirekte ændringer i arealanvendelse
De forbrugsbaserede udledninger fra iLUC (indirekte ændringer i arealanvendelse)
svarer til udledninger knyttet til hhv. produktion i Danmark og importerede varer, men
fratrukket udledninger knyttet til eksporterede varer. Det er i overensstemmelse med
tilgangen til at beregne Danmarks forbrugsbaserede klimaaftryk (kapitel 3).
Udledninger fra iLUC knyttet til produktion i Danmark er opgjort til 4,2 mio. ton CO
2
e i
2020. Det betyder, at arealforbrug i Danmark til fx landbrugsproduktion indirekte kan
medføre ændringer i arealanvendelse globalt
11
. Udledninger fra iLUC knyttet til
importerede og eksporterede varer er estimeret til hhv. 8,2 mio. ton CO
2
e og 7,2 mio.
ton CO
2
e i 2020. De forbrugsbaserede udledninger fra iLUC kan dermed opgøres til ca.
5,2 mio. ton CO
2
e – udledninger knyttet til produktion plus udledninger knyttet til
importerede varer fratrukket udledninger knyttet til eksporterede varer.
Selvom der ikke er afskovning i Danmark, tilskrives produktion på danske arealer udledninger, fordi præmissen for
opgørelse af iLUC, som nævnt i boks 7, er, at alle arealkrævende aktiviteter kan medføre skovrydning globalt set.
Produktion på danske arealer tilskrives således udledninger, fordi arealforbrug i Danmark også bidrager til at begrænse
det globale landbrugsareal, der er til rådighed, og en øget efterspørgsel derfor skal imødekommes andetsteds, hvilket
bl.a. sker gennem skovrydning.
11
Bagerier, brødfabrikker mv.
KEF, Alm.del - 2021-22 - Bilag 310: Orientering om offentliggørelse af Global Afrapportering 2022
2566433_0025.png
4. BIOMASSE
25
4 Biomasse
Danmark har siden 1990 udskiftet en stor del af forbruget af fossile brændsler til
produktion af el og varme med faste biobrændsler (biomasse) (ENS,
Biomasseanalyse , 2020).
I dette kapitel belyses udledningerne fra træpiller og træflis, der anvendes til at
producere el og fjernvarme i den kollektive forsyning
12
, da træ udgør de
dominerende biobrændsler. Hovedparten af træet er importeret
13
. Udledninger ved
forbrænding af biomasse kan opgøres på mange måder
14
.
Klimapåvirkningen fra biomasse vurderes i et globalt perspektiv ved at belyse den
samlede globale nettoudledning af forbruget i 2020 samt udviklingen i
nettoudledningen over tid. Resultaterne afhænger af datagrundlag, metodevalg,
markedsforudsætninger og antagelser, hvortil der knytter sig forskellige usikkerheder.
Herunder er antagelserne om, hvad der ville være sket med træbiomassen, hvis den
ikke var blevet brugt til energiproduktion, centrale. Den specifikke påvirkning på
atmosfærens indhold af CO
2
vil desuden afhænge af det valgte tidsperspektiv
15
.
På grund af delvise overlap og forskellige opgørelsesmetoder kan resultaterne i
indeværende kapitel ikke lægges direkte oven i Danmarks forbrugsbaserede
klimaaftryk i kapitel 1.
4.1
Hovedresultater
Det danske forbrug af træbiomasse til energiproduktion øger atmosfærens indhold af
CO
2
. Den primære påvirkning er, at forbrændingen fremrykker de biogene CO
2
-
udledninger, der ellers ville ske på et senere tidspunkt. Den biogene nettoudledning fra
et enkelt års forbrug af træpiller og træflis til el og fjernvarme falder eksponentielt over
tid, når træbiomassen stammer fra langsigtet forvaltede skove. Eftersom den globale
opvarmning sker løbende, har den midlertidige forskydning af kulstofpuljen fra skov til
atmosfære en påvirkning på klimaet.
Når der produceres bioenergi af træbiomasse, fjernes træ fra skoven og forbrændes i
fx et varmeværk, hvorved træets indhold af kulstof frigives som CO
2
til atmosfæren.
Uden efterspørgslen til bioenergiproduktion ville træbiomassen være blevet efterladt i
skoven til naturlig forrådnelse, brændt af lokalt uden energiudnyttelse, anvendt til andre
træprodukter eller slet ikke høstet.
Industriens og husholdningernes forbrug af træbiomasse til el- og varmeproduktion indgår ikke i beregningerne.
Import udgør 61 pct. af det samlede danske forbrug af træpiller, træflis, brænde og træaffald til energiproduktion
(ENS, 2021). Se figur 2 i baggrundsnotatet.
14
Biomassebrændsler regnes i FN-opgørelsen af nationale udledninger som nuludledning ved anvendelsen til
energiproduktion, da ændringer i kulstoflagre opgøres i skovsektoren i det land, der producerer biomassebrændslet
(IPCC, IPCC Guidelines for National Greenhouse Gas Inventories, 2006).
15
Forbruget af træ til energiproduktion påvirker også skovenes biodiversitet. Det er ikke belyst i GA22, men se fx (JRC,
2021).
13
12
KEF, Alm.del - 2021-22 - Bilag 310: Orientering om offentliggørelse af Global Afrapportering 2022
2566433_0026.png
4. BIOMASSE
26
Nettoudledningen er det øgede indhold af CO
2
i atmosfæren, som forårsages af
forbruget af biomassebrændsler. Opgørelsen af den samlede nettoudledning fra
forbrug af træbiomasse omfatter biogene udledninger fra energiproduktion,
procesudledninger og udledninger fra indirekte effekter, jf. boks 8.
Boks 8:
Nettoudledninger fra træbiomasse
Resultaterne om nettoudledning forbundet med Danmarks forbrug af træbiomasse til
produktion af el og fjernvarme er baseret på en analyse fra Institut for Geovidenskab og
Naturforvaltning (IGN) ved Københavns Universitet
16
. Der opgøres en samlet nettoudledning,
som tager højde for træets alternative skæbne. Den omfatter følgende tre elementer af
udledninger:
Biogene udledninger fra energiproduktion:
Det kulstof som frigives fra skorstenen til
atmosfæren i form af CO
2
ved forbrænding af træ i stedet for at være bundet i
skovens kulstofpuljer af dødt og levende træ m.m.
Procesudledninger:
Udledninger forbundet med produktion og transport af biomasse.
Kan både være fossile og biogene.
Udledninger fra indirekte effekter:
Udledninger knyttet til ændringer i
arealanvendelsen, herunder fældning af hele træer til energiproduktion, eller i brugen
af træ som følge af forbruget af biomasse til energiproduktion
17
.
Nettoudledningen fra forbruget af biomasse til el og fjernvarme er beregnet isoleret fra
andre dele af energisystemet. Der er altså ikke fratrukket udledninger fra mulige
alternative energikilder.
Resultaterne er baseret på data om biomasseforbrug og antagelser om
skovforvaltning, træmarkedet mv. (IGN, 2022). Baseret på den bedst tilgængelige viden
er det bl.a. antaget, at næsten hele det danske forbrug af træpiller og træflis til dansk
produktion af el og fjernvarme kommer fra træer, der fældes af andre grunde end
energiproduktion (min. 95 pct.). Træerne fældes, fordi den mest værdifulde del af træet
kan sælges til byggematerialer, papir og andre træprodukter. Den anvendte
træbiomasse består hovedsageligt af grene, toppe og stammedele af dårlig kvalitet
samt rester fra træindustrien. Ligeledes er det antaget, at ekstra fældning af træer
alene med energiproduktion som formål omfatter max. 5 pct. af forbruget, og at skoven
(træbevoksningen) genetableres efter fældning, så der vokser nye træer op
18
.
“CO
2
emissions from biomass use in district heating and combined heat and power plants in Denmark”.
Institut for
Geovidenskab og Naturforvaltning, Københavns Universitet. 2022
17
Se boks 1 i baggrundsnotat om biomasse for en beskrivelse af udledninger, som skyldes indirekte effekter.
18
Genetablering af skov efter hugst har været et krav i den frivillige brancheaftale fra 2016 (Dansk Energi, 2016) og er
fra 30. juni 2021 et lovkrav i de danske bæredygtighedskriterier for træbiomasse til produktion af el og varme
(Bekendtgørelse 1352).
16
KEF, Alm.del - 2021-22 - Bilag 310: Orientering om offentliggørelse af Global Afrapportering 2022
2566433_0027.png
4. BIOMASSE
27
4.1.1
Træpiller og træflis dominerer forbruget af faste biobrændsler
Figur 11viser, at Danmarks forbrug af biomassebrændsler til produktion af el og varme
i perioden 2011-2020 steg fra 120 PJ til 148 PJ.
Træpiller og træflis udgjorde tilsammen den største del af forbruget af faste
biomassebrændsler i 2020. Heraf blev 76 pct. anvendt til produktion af el og
fjernvarme. Det svarer til et forbrug på 64 PJ. De udledninger, der beskrives i de
følgende afsnit, relaterer sig til dette forbrug.
Figur 11:
Danmarks forbrug af biomassebrændsler til el og varme 2011-2020
180
160
140
120
PJ
100
80
60
40
20
-
2011
Træflis
Brænde
2012
2013
2014
2015
2016
2017
2018
2019
2020
Træpiller, el og fjernvarme
Affald, bionedbrydeligt
Træpiller, privat
Træaffald
Kilde: (ENS, Energistyrelsens Energistatistik 2020, 2021). Anm.: Træflis er på figuren ikke opdelt i hhv. forbrug til el og
fjernvarme og privat forbrug (husholdninger og fremstillingsvirksomhed). Forbruget til el og fjernvarme udgør 93 pct.
4.1.2
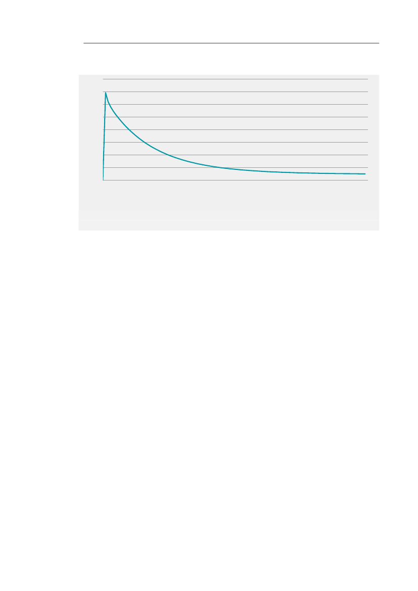
Nettoudledningen fra et enkelt års forbrug af træpiller og træflis til el og fjernvarme
reduceres over tid
Det danske forbrug af træpiller og træflis til el og fjernvarme i 2020 medførte isoleret
set en nettoudledning på initialt 6,9 mio. ton CO
2
, hvoraf de fossile udledninger
udgjorde 0,3 mio. ton CO
2
. Den biogene bruttoudledning på 6,6 mio. ton CO
2
svarer til
kulstofindholdet i det træ, som er fjernet fra skovenes kulstoflagre. Figur 12 illustrerer
udviklingen i den samlede nettoudledning over 100 år efter forbrugsåret 2020. Efter ti
år vil mængden af CO
2
i atmosfæren, der er knyttet til det konkrete forbrug i 2020, være
faldet til 4,0 mio. ton (et fald på 43 pct.), efter 20 år til 2,5 mio. ton (et fald på 65 pct.),
og 30 år efter forbrugsåret 2020 vil nettoudledningen være faldet til 1,6 mio. ton (et fald
på 77 pct.).
KEF, Alm.del - 2021-22 - Bilag 310: Orientering om offentliggørelse af Global Afrapportering 2022
2566433_0028.png
4. BIOMASSE
28
Figur 12:
Samlet nettoudledning, set over tid, fra forbruget i 2020 af 64 PJ træpiller og træflis til produktion
af el og fjernvarme
8
7
6
Mio. ton CO
2
5
4
3
2
1
0
10
Forbrugsåret
2020
0
20
30
40
50
60
70
80
90
100
År efter forbrugsåret
Kilde: (Nielsen, Bentsen, & Nord-Larsen, 2022). Anm.: Figuren illustrerer nettoudledningen fra den mængde og det
forbrugsmix af træpiller og træflis, der konkret blev anvendt til produktion af el og fjernvarme i forbrugsåret 2020.
Nettoudledningerne fra biomasse falder også over tid, når de opgøres per energienhed
i biomassen, dvs. som en udledningsfaktor, jf. Figur 13. Initialt ligger den samlede
nettoudledning fra forbrugsåret 2020 på 121 kg CO
2
per GJ. Efter 10 år ligger
nettoudledningerne fra biomasseforbruget i 2020, målt per energienhed, på 68 kg
CO
2
/GJ, hvilket er på niveau med udledninger fra fossil naturgas. Efter 80 år består de
samlede tilbageværende nettoudledninger fra forbruget i 2020 næsten udelukkende af
de fossile udledninger, som ikke reduceres over tid.
KEF, Alm.del - 2021-22 - Bilag 310: Orientering om offentliggørelse af Global Afrapportering 2022
2566433_0029.png
4. BIOMASSE
29
Figur 13:
Nettoudledning per energienhed i biomassen (udledningsfaktor), set over tid, fra
forbruget i 2020 af 64 PJ træpiller og træflis til produktion af el og fjernvarme
140
120
100
Kg CO
2
per GJ
80
60
40
20
0
Forbrugsåret 10
1
2020
20
30
50
År efter forbrugsåret
80
100
Indirekte udledning (iLUC/iWUC)
Biogen procesudledning
Reference kul
Fossil procesudledning
Biogen udledning fra energiproduktion
Reference naturgas
Kilde: (Nielsen, Bentsen, & Nord-Larsen, 2022). Anm.: Figuren illustrerer nettoudledningerne fra det forbrugsmix af træpiller
og træflis, der konkret blev anvendt til produktion af el og fjernvarme i 2020
4.1.3
Mængden af ekstra CO
2
i atmosfæren påvirkes af typen af biomasseinput
Nettoudledningen forbundet med forbruget af biomasse afhænger i høj grad af, hvilken
biomasse der anvendes. Mængden af ekstra CO
2
i atmosfæren fra forbrænding af små
trærester som grene og trætoppe falder fx hurtigere end fra stammer. Det skyldes, at
den alternative forrådnelse sker hurtigere for grene end for stammer.
Samlet set bestemmes nettoudledningen fra træbiomasse til energiproduktion af
mængde, træets alternative skæbne, typen af træbiomasse, lokale vækstforhold og
transportafstand
19
.
Se tabel 3 og 4 i baggrundsnotat om biomasse for en gennemgang af, hvilke forhold som påvirker nettoudledningen
fra biomasse, herunder de forskellige biomassetyper, deres oprindelse og deres såkaldte alternative skæbne samt
indirekte effekter.
19
KEF, Alm.del - 2021-22 - Bilag 310: Orientering om offentliggørelse af Global Afrapportering 2022
2566433_0030.png
5. BIOBRÆNDSTOFFER
30
5 Biobrændstoffer
Biobrændstoffer iblandes benzin og diesel og erstatter således fossile brændsler.
Biobrændstoffer regnes i FN-opgørelsen af nationale udledninger som
klimaneutrale ved anvendelsen, men giver anledning til udledning af
drivhusgasser i forbindelse med produktionen. Udledningerne finder sted i de
lande, hvor biobrændstofferne produceres, samt i forbindelse med transporten
af biobrændstofferne. Omfanget af udledninger afhænger af, hvilke
biomassetyper der anvendes til produktionen af biobrændstofferne, samt hvordan de
produceres. Opgørelsen i dette kapitel omfatter udledninger fra vugge-til-grav for
biobrændstoffer forbrugt i Danmark
20
. Dertil belyses indirekte ændringer i
arealanvendelse (iLUC) for biobrændstoffer, hvilket også indgår i kapitel 3 om LUC
knyttet til dansk forbrug, men det ikke kan sammenlignes, da der er anvendt forskellige
tilgange og modeller.
5.1
5.1.1
Hovedresultater
Forbruget af biobrændstoffer er steget grundet øget krav om iblanding
Fra 2012 har der i Danmark været et krav om gennemsnitlig iblanding af 5,75 pct.
biobrændstoffer i diesel, benzin og gas til transport. I 2020 blev kravet om iblanding af
biobrændstoffer forhøjet til 7,6 pct., hvilket har resulteret i et stigende forbrug af
biobrændstoffer i Danmark jf. Tabel 1. Det øgede forbrug har medført en reduktion i
udledningerne fra den danske transportsektor, men øget klimapåvirkning fra
produktionen af biobrændstofferne. Anvendelsen af bioethanol er steget markant fra
2019 til 2020, da branchen grundet det højere iblandingskrav har fordoblet iblandingen i
benzin
21
.
Tabel 1:
Forbrug af biobrændstoffer (i TJ)
2017
Biodiesel og HVO
Bioethanol
Biogas
Total
7.208
1.822
121
9.151
2018
7.159
1.832
219
9.210
2019
6.920
1.796
217
8.933
2020
7.201
3.371
357
10.929
Kilde: Energistyrelsen på basis af indberetninger fra leverandører af brændstof til dansk forbrug
Biobrændstoffer kan baseres på forskellige biomassetyper som fx raps, majs,
sukkerroer og rest- og affaldsbiomasse. Palmeolie anses som værende særligt
problematisk ift. afskovning med dertilhørende klimapåvirkning. Forbruget af palmeolie
er stort set udfaset og udgør i 2020 mindre end 0,2 pct. af det samlede danske
Vugge-til-grav omfatter udledninger knyttet til dyrkning, produktion og transport af biobrændstoffer ekskl. indirekte
ændringer i arealanvendelse (iLUC).
21
Det højere iblandingskrav har betydet et skift i standard for benzin fra E5 til E10, hvilket konkret betyder, at
iblandingen er steget fra 5 til 10 pct.
20
KEF, Alm.del - 2021-22 - Bilag 310: Orientering om offentliggørelse af Global Afrapportering 2022
2566433_0031.png
5. BIOBRÆNDSTOFFER
31
biobrændstofforbrug. Af hensyn til risikoen for høje globale udledninger er palme- og
sojaolie med implementeringen af CO
2
-fortrængningskravet
22
udelukket fra anvendelse
som biobrændstoffer i den danske vejtransport fremadrettet.
5.1.2
Udledningerne fra dansk forbrug af biobrændstoffer er steget
Den øgede anvendelse af biobrændstoffer er den væsentligste årsag til, at vugge-til-
grav-udledningen af CO
2
e fra biobrændstoffer er steget fra godt 290.000 ton CO
2
e i
2019 til ca. 306.000 ton CO
2
e i 2020 jf. Figur 14.
Figur 14:
Danmarks vugge-til-grav-udledninger fordelt på biobrændstoftyper
400000
350000
300000
Ton CO
2
e
250000
200000
150000
100000
50000
0
2017
2018
Biodiesel/HVO
Bioethanol
2019
Biogas
2020
Kilde: Energistyrelsen på basis af indberetninger fra leverandører af brændstof til dansk forbrug
5.1.3
Biobrændstoffer i dansk forbrug udleder mindre per energienhed
Figur 15 viser, at til trods for den øgede udledning af drivhusgasser fra det samlede
forbrug af biobrændstoffer er de biobrændstoffer, der anvendes i Danmark, blevet
gradvist mere bæredygtige målt i g CO
2
e/MJ. Der er et stigende fokus på CO
2
e-
intensiteten af de biobrændstoffer, der anvendes, hvorfor brændstofleverandørerne
opsøger mere bæredygtige biobrændstoffer inden for fx 1.generations biodiesel eller
bioethanol.
For bioethanol er den gennemsnitlige udledning steget i 2020, hvilket skyldes en relativ
kort tidsperiode til indkøb af tilstrækkelige mængder bioethanol med en lav CO
2
e-
intensitet eftersom iblandingskravet blev hævet ultimo 2019. Der forventes et lavere
CO
2
e-aftryk fra bioethanol i de kommende år, hvor branchen har mulighed for at
tilpasse sig den skærpede regulering på området ved at indgå kontrakter med
leverandører, der leverer mere bæredygtige biobrændstoffer.
Fra 2022 er der indført et CO
2
-fortrængningskrav, som erstatter det nuværende
iblandingskrav jf. Lov om ændring af biobrændstofloven (Bemyndigelse til udmøntning af
nationale CO2­fortrængningskrav) fra maj 2021.
CO
2
-fortrængningskravet stiller krav om, at brændstofleverandørerne
skal reducere deres CO
2
e-udledning fra brændstoffer gennem iblanding af drivhusgasreducerende brændstoffer som
VE- og biobrændstoffer.
22
KEF, Alm.del - 2021-22 - Bilag 310: Orientering om offentliggørelse af Global Afrapportering 2022
2566433_0032.png
5. BIOBRÆNDSTOFFER
32
Figur 15:
Vugge-til–grav-udledninger fra biobrændstoffer per energienhed
50
45
40
35
g CO
2
e/MJ
30
25
20
15
10
5
0
Biodiesel
Bioethanol
2017
2018
Biogas
2019
2020
HVO
Vægtet
gennemsnit
Kilde: Energistyrelsen på basis af indberetninger fra leverandører af brændstof til dansk forbrug
5.1.4
Biobrændstoffer kan siges at give indirekte ændringer i arealanvendelse
Hvis biomasse til biobrændstoffer dyrkes på et areal, der tidligere har været anvendt til
fødevarer, vil fødevareproduktionen blive overflyttet til nye arealer, hvis efterspørgslen
efter fødevarer er uændret. Det medfører, at nye arealer opdyrkes, og dermed frigøres
der drivhusgasser især, hvis der er tale om afskovning. Disse drivhusgasudledninger
omtales som udledninger fra indirekte ændringer i arealanvendelse eller iLUC, jf. også
kapitel 3
23
, og kan tilskrives biobrændstofferne i tillæg til vugge-til-grav-
udledningerne
24
. Der er stor usikkerhed om iLUC-effekter, og der er ikke konsensus om
CO
2
e-udledninger for de enkelte typer af biobrændstoffer på tværs af forskellige
studier.
Omfanget af udledninger fra iLUC knyttet til Danmarks forbrug af biobrændstoffer
afhænger derfor af, hvilke studier der lægges til grund og dermed af, hvilke iLUC-
effekter der regnes med, jf. Figur 16.
Udledninger fra iLUC for biobrændstoffer kan ikke sammenholdes med udledninger fra iLUC knyttet til dansk forbrug
(kapitel 3), da der er anvendt forskellige tilgange og modeller.
24
EU stiller krav om, at der ud over vugge-til-grav-udledninger fra biobrændstoffer også skal indberettes iLUC-effekter
efter et sæt værdier fastsat af EU: 55 g/MJ for 1.g. biodiesel samt 12 g/MJ for bioethanol baseret på stivelse og 13
g/MJ for sukker. Disse data skal blot indberettes og har ikke nogen reguleringsmæssige konsekvenser. Derudover er
der truffet beslutning om, at biobrændstoffer med høj iLUC-risiko skal udfases frem mod 2030 i hele EU.
23
KEF, Alm.del - 2021-22 - Bilag 310: Orientering om offentliggørelse af Global Afrapportering 2022
2566433_0033.png
5. BIOBRÆNDSTOFFER
33
Figur 16:
Udledninger fra iLUC knyttet til dansk forbrug af biobrændstoffer sammenholdt med
vugge-til-grav-udledningerne
600
500
1000 ton CO
2
e
400
300
200
100
0
EU
EU
EU
Mirage
Mirage
Mirage
EU
VtG-udledninger
VtG-udledninger
VtG-udledninger
VtG-udledninger
Globiom
Globiom
Globiom
Mirage
Globiom
2017
2018
2019
2020
Anm.: Figuren viser tal baseret på tre forskellige studier: EU’s værdier samt modellerne Mirage og Globium
25
.
Udledninger fra iLUC var i 2017 på niveau med vugge-til-grav-udledningerne (bortset fra
når Globiom-værdierne anvendes). I takt med at vugge-til-grav-udledningerne fra
biobrændstoffer er faldet, udgør opgørelsen af udledningerne fra iLUC nu en større
andel af de samlede CO
2
e-udledninger ved produktion af biobrændsler. Det vurderes
således, at iLUC nu udgør størstedelen af årsagen til udledninger knyttet til
biobrændstoffer
26
. Faldet i vugge-til-grav-udledningerne forventes at fortsætte
fremadrettet, da der fortsat er et betydeligt potentiale for reduktion bl.a. ved forbedrede
produktionsmetoder og ved skift til fx affaldsbaserede biobrændstoffer og PtX-
brændstoffer. Skift til sidstnævnte brændstoffer kan ligeledes give anledning til fald i
udledninger fra iLUC
27
Mirage og Globiom er økonomiske modeller, der har til formål at kortlægge de udledninger, der er forbundet med
ændringer i arealanvendelser. Der redegøres for metodiske tilgange til opgørelse af iLUC-effekter i bilag til
baggrundsnotat 6.
26
Dertil kan bemærkes, at værdierne fra EU, der er grundlag for opgørelse af iLUC, har været konstante i perioden,
hvorfor en evt. reel udvikling i iLUC-udledninger ikke er afspejlet.
27
Det skyldes, at der ikke er iLUC- effekter forbundet med anvendelse af affaldsbaseret biobrændstof eller fra
syntetiske brændstoffer.
25
KEF, Alm.del - 2021-22 - Bilag 310: Orientering om offentliggørelse af Global Afrapportering 2022
2566433_0034.png
IMPORT OG EKSPORT
34
Import og eksport
Danmark er en lille, åben økonomi, hvor international handel fylder meget. Når Danmark
importerer og eksporterer varer og service, er der en klimapåvirkning, der rækker ud
over de danske landegrænser. Et produkts værdikæde går oftest på tværs af grænser,
og produkterne sætter klimaaftryk i flere lande på deres vej mod, at Danmark
importerer eller eksporterer dem.
Klimaeffekten knyttet til dansk import og eksport er derfor helt centrale emner, når
Danmarks globale påvirkning af klimaet skal synliggøres. Denne del af GA22 belyser i
to kapitler de globale klimaffekter af dansk import og eksport af varer og service. Den
del af importen, der går til dansk forbrug, indgår også i Danmarks forbrugsbaserede
klimaaftryk (kapitel 2), mens eksporten ikke indgår i klimaaftrykket, eftersom den går til
udenlandsk forbrug.
Kapitel 6
Import
indeholder en opgørelse af de drivhusgasudledninger, som er knyttet til
dansk import. Det dækker den udenlandske produktion og fragt af varer og
serviceydelser frem til, at det skifter til danske hænder i form af import. Dansk import
kan enten forbruges i Danmark eller eksporteres videre til udlandet. Opgørelsen
omfatter hele importen og dækker dermed bredere end de udenlandske udledninger,
som indgår i opgørelsen af det forbrugsbaserede klimaaftryk i form af import.
Kapitel 7
Eksport
belyser dansk eksports globale klimaeffekt ud fra tre forskellige
vinkler. Kapitlet opgør drivhusgasudledninger fra produktion og fragt af varer og
serviceydelser frem til, at det skifter fra danske til udenlandske hænder i form af
eksport. Samtidig eksporterer Danmark relativt store mængder grønne miljø- og
energiteknologier, og kapitlet belyser derfor også størrelsen af eksporten af grønne
løsninger samt potentialet for, at de kan give CO
2
e-reduktioner i de lande, de
eksporteres til.
I baggrundsnotaterne om import og eksport findes en beskrivelse af metoderne, mere
detaljerede resultater samt en beskrivelse af de usikkerheder, der er knyttet til
analysernes resultater.
Opgørelserne af drivhusgasudledninger knyttet til import og eksport indeholder ikke
udledninger knyttet til ændringer i arealanvendelse eller forbrænding af biomasse og
biobrændstoffer
28
.
28
Disse tre dele er dækket i separate kapitler med fokus på dansk forbrug og ikke import og eksport.
KEF, Alm.del - 2021-22 - Bilag 310: Orientering om offentliggørelse af Global Afrapportering 2022
2566433_0035.png
6. IMPORT
35
6 Import
Dette kapitel belyser de drivhusgasudledninger, som er knyttet til dansk import.
Opgørelsen omfatter hele livscyklussen for de importerede varer og
serviceydelser frem til, at de går fra udenlandske til danske hænder. Hvis en
dansker fx køber en tysk bil, vil der være udledninger knyttet til bilen forbundet
med produktionen og transporten af bilen. Det kan fx være udledninger fra
produktionen af elektronik i Taiwan eller udledninger fra fremstillingen af dæk i
Indien. Brugsfasen og bortskaffelsen af bilen indgår ikke i udledningerne fra import, da
de finder sted efter, bilen er overgået til danske hænder.
6.1
6.1.1
Hovedresultater
Udledningen knyttet til dansk import var på 97 mio. ton CO
2
e i 2020
De varer og serviceydelser, som Danmark importerer, sætter et klimaaftryk i udlandet.
Udledningerne knyttet til dansk import var 97 mio. ton CO
2
e i 2020. Det svarer til 1,5
gange Danmarks forbrugsbaserede klimaaftryk, og dermed er der knyttet flere
udledninger til vores import end til vores forbrug, hvilket skyldes, at noget af importen
eksporteres. Siden 1990 er udledningerne fra dansk import næsten fordoblet. Figur 17
viser, at udledningerne fra dansk import steg indtil finanskrisen, hvorefter de faldt brat
og siden har ligget på et stabilt niveau.
Dansk import omfatter alle de tilfælde, hvor varer og serviceydelser skifter fra
udenlandske til danske hænder. Det betyder, at import også omfatter tilfælde, hvor fx
danske rederier betaler udenlandske rederier for at transportere varer. Selv hvis varerne
ikke forbruges i Danmark, men transporteres mellem andre lande, vil brændstof til
disse skibe indgå i opgørelsen for import under skibsfart. I kapitel 8 beskrives
udledninger fra international transport nærmere.
Figur 17:
Udviklingen i udledninger fra dansk import samt import i kr.
140
120
Mio. ton CO
2
e
100
80
60
40
20
1990
1991
1992
1993
1994
1995
1996
1997
1998
1999
2000
2001
2002
2003
2004
2005
2006
2007
2008
2009
2010
2011
2012
2013
2014
2015
2016
2017
2018
2019
2020
1400
1200
1000
Mia. kr
800
600
400
200
0
0
Udledninger fra import (mio. ton CO2e)
Kilde: Energistyrelsen. Anm.: Importen i kr. er angivet i 2020-priser.
Importværdi (Mia. kr.)
KEF, Alm.del - 2021-22 - Bilag 310: Orientering om offentliggørelse af Global Afrapportering 2022
2566433_0036.png
6. IMPORT
36
6.1.2
Dansk import er blevet mindre klimabelastende pr. importkrone
Værdien af dansk import sætter udledningerne fra importen i perspektiv. Figur 17 viser,
at siden finanskrisen har værdien af dansk import igen været stigende, mens
udledningerne i samme periode har været nogenlunde konstante. Således er dansk
import de sidste godt 10 år blevet mindre klimabelastende pr. importkrone.
Udledninger fra dansk import i 2020 gik primært til forbrug i udlandet
I 2020 var ca. 40 pct. af udledningerne fra dansk import knyttet til dansk forbrug. De
resterende 60 pct. var knyttet til varer og serviceydelser, som først importeres til
Danmark, men derefter eksporteres ud af Danmark igen til forbrug i udlandet.
Udledningerne fra dansk import knyttet til forbrug i Danmark, dvs. varer og service
forbrugt i husholdningerne, det offentlige eller investeringer, steg i perioden fra 1990 til
2020 med 9 mio. ton CO
2
e. I samme periode steg dansk imports udledninger knyttet til
forbrug i udlandet med knap fire gange så meget. Denne udvikling kan hænge sammen
med, at en del af produktionen er flyttet til udlandet, og at en større andel af eksporten
baserer sig på import end på dansk produktion.
6.1.3
6.1.4
Seks ud af syv branchegruppers importudledninger er steget siden 1990
Figur 18 viser, at seks ud af syv branchegrupper har oplevet en stigning i udledninger
knyttet til de varer og serviceydelser, som de importerer. Transportsektoren står for den
største stigning i udledningen fra 6 til 21 mio. ton CO
2
e i perioden 1990 til 2020, hvilket
i høj grad skyldes en stigning i dansk skibsfart i udlandet. Dernæst følger kemi- og
medicinalindustrien, hvor udledningen er steget fra 4 til 14 mio. ton CO
2
e i samme
periode. Udledninger knyttet til import af el er nærmere belyst i kapitel 9.
Figur 18:
Udledninger fra dansk import fordelt på branchegrupper
140
120
100
Mio. ton CO
2
e
80
60
40
20
0
Transport
Kemi- og
medicinalindustri
Maskin- og
elektronikindustri
Øvrig fremstillingsindustri
Energisektoren
Føde-, drikke-, tobaksvarer
Andet
Kilde: Energistyrelsen.
6.1.5
Den største andel af udledningerne var i 2020 knyttet til transportbranchen
21 pct. af udledningerne fra dansk import var i 2020 knyttet til transportbranchens
import. To tredjedele af udledningerne relaterede sig til skibsfart, mens den sidste
KEF, Alm.del - 2021-22 - Bilag 310: Orientering om offentliggørelse af Global Afrapportering 2022
2566433_0037.png
6. IMPORT
37
tredjedel var knyttet til hjælpevirksomhed til transport samt luftfart. Hjælpevirksomhed
til transport dækker over fx havne og transportterminaler. Skibsfartens store andel skal
ses i lyset af, at Danmarks transportflåde er relativt stor. Størstedelen af udledningerne
fra dansk import knyttet til transportbranchen går ikke til dansk forbrug, men til varer
og serviceydelser, som eksporteres videre til udlandet (se kapitel 7 om eksport).
Branchegruppen øvrig fremstillingsindustri, som dækker over bl.a.
beklædningsindustrien og betonindustrierne, stod i 2020 for den næststørste andel af
importudledningerne med 17 pct.
6.1.6
Størstedelen af Danmarks importudledninger fandt sted i Europa
Danmark importerede i 2020 varer og serviceydelser fra store dele af verden. Figur 19
viser, at størstedelen af udledningerne fra dansk import fandt sted i Europa og Asien
med hhv. 46 og 30 pct.
Figur 19:
Udledninger fra dansk import fordelt på fem regioner i 2020 (mio. ton CO2e)
Kilde: Energistyrelsen. Anm.: Opdelingen af verdenen i regioner er baseret på EXIOBASE.
Det største klimaaftryk fra dansk import blev sat i Kina med ca. 14 mio. ton CO
2
e. Den
største andel af udledningerne fra import fra Kina knytter sig til den danske kemikalie-
og medicinalindustri (25 pct.). Det næststørste klimaaftryk blev sat i Rusland med ca.
11 mio. ton CO
2
e. For importen fra Rusland indgik mere end halvdelen (57 pct.) af
udledningerne i den danske olie- og gasindustri. Tyskland er pt. det eneste land, som
Danmark kan modtage naturgas fra. Herigennem er Danmarks gasforsyning tæt
forbundet med det europæiske gasmarked, som i høj grad forsynes med naturgas
importeret fra Rusland
29
. Udledningerne knyttet til import stammer bl.a. fra
energiforbrug ved udvindingen af gassen samt generel drift og udvikling af gas- og
oliefelter i Rusland. Selve forbrændingen af de importerede varer indgår ikke i
udledningerne fra dansk import.
29
I lighed med de øvrige beregninger vedr. import er udledninger i Rusland knyttet til import til Danmark beregnet på
basis af nationalregnskabets monetære IO-tabeller og tal fra Exiobase for samhandel mellem de forskellige brancher og
landene imellem. Beregningen bygger derfor ikke på et estimat af de fysiske importmængder, ligesom tallene vedrører
både olie og gas.
KEF, Alm.del - 2021-22 - Bilag 310: Orientering om offentliggørelse af Global Afrapportering 2022
2566433_0038.png
7. EKSPORT
38
7 Eksport
Dette kapitel belyser på forskellig vis det klimamæssige aspekt af dansk eksport.
Kapitlet belyser eksporten fra tre forskellige vinkler: 1) drivhusgasudledninger
fra dansk eksport, 2) værdien i kr. af dansk eksport af grønne løsninger og 3)
potentialet for CO
2
-reduktioner fra grøn, dansk eksport.
Hvis det fx drejer sig om en dansk vindmølle, der eksporteres, vil den første
vinkel opgøre de udledninger, som er forbundet med at producere og transportere
vindmøllen frem til, at den overgår til udenlandske hænder inklusiv udenlandske
udledninger knyttet til komponenter, der importeres til brug i den danske produktion.
Den næste vinkel stiller skarpt på værdien i kr. af dansk eksport af vindmøller og andre
grønne løsninger. Den tredje vinkel følger vindmøllen og øvrige grønne eksportvarer til
udlandet og undersøger, hvor stort potentialet er for, at fx dansk vindmølleteknologi i
brugsfasen fører til CO
2
-reduktioner i udlandet.
7.1
7.1.1
Hovedresultater - Drivhusgasudledninger fra dansk eksport
Drivhusgasudledninger fra dansk eksport var 119 mio. ton CO
2
e i 2020
Udledningerne fra dansk eksport var 119 mio. ton CO
2
e i 2020. Det svarer til næsten to
gange Danmarks forbrugsbaserede klimaaftryk. Dermed er der knyttet flere
udledninger til vores eksport end til vores forbrug, hvilket skyldes, at Danmark er en
åben økonomi, der handler meget med omverdenen. Ift. niveauet i 1990 viser Figur 20,
at udledningerne er fordoblet, hvilket bl.a. skyldes øget eksport. En stor del af
udledningerne stammer fra danske rederiers internationale fragt af varer.
Dansk import hænger sammen med eksporten, da import ofte indgår som halvfabrikata
i den danske produktion, der efterfølgende eksporteres fra Danmark som en del af et
produkt. En anden del af dansk import eksporteres direkte videre uden, at det
bearbejdes i Danmark. Et eksempel på det er udenlandsk skibstransport, som er købt af
danske rederier til at fragte varer mellem andre lande, og dermed til udenlandsk
forbrug.
KEF, Alm.del - 2021-22 - Bilag 310: Orientering om offentliggørelse af Global Afrapportering 2022
2566433_0039.png
7. EKSPORT
39
Figur 20:
Udvikling i udledninger fra dansk eksport og eksportværdi
180
160
140
Mio. ton CO
2
e
120
100
80
60
40
20
1990
1991
1992
1993
1994
1995
1996
1997
1998
1999
2000
2001
2002
2003
2004
2005
2006
2007
2008
2009
2010
2011
2012
2013
2014
2015
2016
2017
2018
2019
2020
1600
1400
1200
800
600
400
200
0
Mia. kr.
1000
0
Udledninger fra eksport (mio. ton CO2e)
Kilde:
Energistyrelsen.
Anm.:
Eksportværdien er angivet i faste 2020-priser.
Eksportværdi (mia. kr.)
7.1.2
Dansk eksport er blevet mindre klimabelastende pr. eksportkrone
Værdien af dansk eksport sætter udledningerne fra eksporten i perspektiv. Figur 20
viser, at udviklingen i værdien af dansk eksport tidligere fulgte udviklingen i
udledninger, men siden 2009 har værdien af dansk eksport genoptaget sin stigende
tendens, mens drivhusgasudledningerne i samme periode har været på samme niveau.
Således er dansk eksport de sidste ti år blevet mindre klimabelastende pr.
eksportkrone.
Transportbranchen står for ca. halvdelen af udledninger fra dansk eksport
I 2020 stod den danske transportbranches leverancer for ca. halvdelen af
udledningerne fra dansk eksport. Heraf udgjorde skibsfarten 93 pct. af udledningerne
inkl. udenlandsk hjælpevirksomhed i form af fx havne og transportterminaler. Næst
efter transportbranchen fulgte føde-, drikke-, og tobaksvarebranchen med 11 pct.
At skibsfarten fylder så meget i dansk eksport, skyldes dels, at Danmarks
transportflåde er relativt stor, og dels at danske rederiers fragt og deres køb af fragt
rundt omkring i verden kategoriseres som dansk eksport, når de fragtede varer ikke
forbruges i Danmark. Transportbranchen har som nævnt i forrige kapitel også en
væsentlig andel af importudledningerne, hvor størstedelen går til eksport.
7.1.3
7.1.4
Halvdelen af udledningerne i dansk eksport gik til Europa
Danmark eksporterede i 2020 varer og serviceydelser til mere end 150 forskellige
lande, og de dertil knyttede udledninger fordelt på fem verdensregioner er vist i Figur
21. Opgørelsen er baseret på, hvilke lande som modtager varer og serviceydelserne
med indlejrede drivhusgasudledninger i første eksportled. Første eksportled betyder
det land, som modtager dansk eksport, uagtet om den bliver eksporteret videre
efterfølgende. Omkring halvdelen af udledningerne var knyttet til dansk eksport til
Europa. Den næststørste aftager var Asien efterfulgt af Nord- og Sydamerika.
KEF, Alm.del - 2021-22 - Bilag 310: Orientering om offentliggørelse af Global Afrapportering 2022
2566433_0040.png
7. EKSPORT
40
Figur 21:
Udledninger fra dansk eksport fordelt på fem regioner i verden i 2020 (mio. ton CO2e)
Kilde: Energistyrelsen.
USA og Tyskland var de to lande, som aftog dansk eksport med flest indlejrede
udledninger i 2020. De to lande tegnede sig for hhv. 13 og 12 mio. ton CO
2
e. Det er
også de to lande, som Danmark eksporterede mest til i kr. og ører. Transport med skib
udgør en stor del af udledningerne fra dansk eksport, og det gælder også for eksport til
USA og Tyskland. Over halvdelen af udledningerne fra eksporten til USA var knyttet til
transportydelser fra dansk skibsfart (66 pct.). For udledningerne fra eksporten til
Tyskland udgjorde skibsfarten ligeledes den største andel af udledningerne (ca. 20
pct.).
7.2
Hovedresultater - Værdien af dansk eksport af grønne løsninger
Den grønne eksport er her afgrænset til grøn energiteknologi, grøn miljøteknologi og
relateret grøn service
30
, hvor alle dele kan siges at bidrage positivt til reduktioner af de
globale udledninger eller til miljø- og ressourcebesparelser.
7.2.1
Grøn milliardeksport i 2021
I 2021 eksporterede Danmark for knap 20 mia. kr. grøn miljøteknologi og 65 mia. kr.
grøn energiteknologi, hvilket svarer til hhv. ca. 2 og 8 pct. af den samlede danske
vareeksport
31
. Både eksport af grøn energiteknologi og grøn miljøteknologi har været
stigende siden 2010.
Vind- og vandteknologi dominerer hhv. energi- og miljøteknologieksport
I Figur 22 er eksportfordelingen mellem teknologityperne inden for grøn energi- og grøn
miljøteknologi i 2021 vist. Med en eksport på knap 43 mia. kr. udgør vindteknologi langt
den største del af den samlede danske grønne energiteknologieksport. Inden for
7.2.2
Grøn service dækker over serviceydelser såsom fx rådgivning eller servicering af produkter inden for grøn energi- og
miljøteknologi. Med ”grøn” forstås Eurostats definition af grønne produkter og alle produkter inden for bio- og
vindteknologi.
31
Der kan være overlap imellem eksporten af grøn miljøteknologi og eksporten af grøn energiteknologi, og derfor kan
disse ikke sammenlægges uden risiko for dobbelttælling.
30
KEF, Alm.del - 2021-22 - Bilag 310: Orientering om offentliggørelse af Global Afrapportering 2022
2566433_0041.png
7. EKSPORT
41
eksport af grøn miljøteknologi blev der eksporteret for ca. 15 mia. kr. grøn
vandteknologi i 2021.
Figur 22:
Eksport af grøn energiteknologi og grøn miljøteknologi i 2021 fordelt på energiformer
Fordeling af eksport på grønne
energiteknologier
Fordeling af eksport på grøn
miljøteknologi
16%
4%
15%
4%
28%
22 mia.
kr.
68%
65 mia.
kr.
65%
Fjernvarme
Vindenergi
Bioenergi
Øvrige teknologier
Renluft
Vand
Affald
Kilde: Eurostat og Energistyrelsens beregninger
7.2.3
Dansk eksport af både grøn energiservice og grøn miljøservice er stigende
I 2010 eksporterede Danmark for 2,2 mia., kr. grøn miljøservice, som i 2021 var steget
til 4,8 mia. kr., svarende til en stigning på 116 pct. Ligeledes lå eksporten af grøn
energiservice på 7,7 mia. kr. i 2010 og steg til 11,9 mia. kr. i 2021, hvilket svarer til en
stigning på 55 pct. Grøn miljø- og energiservice omfatter bl.a. servicering af de
eksporterede, grønne varer samt rådgivning.
7.3
Hovedresultater - Potentialet for CO
2
-reduktioner fra dansk, grøn
eksport
I forlængelse af den grønne eksport af miljø- og energiteknologi i afsnit 7.2 ovenfor
belyses her potentialet for, hvad dansk, grøn eksport kan bidrage med af CO
2
-
reduktioner uden for Danmark. I nærværende analyse er fokus på brugsfasen af
eksporteret, grøn, dansk energiteknologi. Grundstenen i analysen er en sammenligning
med en hypotetisk referencesituation, hvor eksporten ikke har fundet sted. Det er
væsentligt, at der er tale om et potentiale for CO
2
-reduktion og ikke et direkte estimat af
CO
2
-reduktionen.
7.3.1
Potentiale for CO
2
-reduktion på op til 215 mio. ton CO
2
fra eksport i 2021
Dansk eksport af grøn energiteknologi i 2021 har
i ét
givent år inden for teknologiernes
levetid potentiale til at reducere de globale udledninger med mellem 5 og 8 mio. ton
CO
2
. Ses der på hele levetiden af teknologierne er potentialet større, fordi der år efter år
skabes reduktioner. Over levetiden estimeres den danske eksport af grønne
energiteknologier i 2021 at have potentiale til at kunne reducere udledningerne uden for
Danmark med imellem 119 og 215 mio. ton CO
2
afhængigt af bl.a., hvilken teknologi
den danske eksport potentielt erstatter.
KEF, Alm.del - 2021-22 - Bilag 310: Orientering om offentliggørelse af Global Afrapportering 2022
2566433_0042.png
7. EKSPORT
42
Også anden teknologi end energiteknologi kan give reduktioner i udlandet. Boks 9 giver
to eksempler på dette.
7.3.2
Vindteknologi udgør størstedelen af potentialet for CO
2
-reduktion fra eksport
Figur 23 viser potentialerne for CO
2
-reduktion set over teknologiernes levetid fordelt på
de fire kategorier, som den grønne energiteknologieksport (se afsnit 7.2) er opdelt i:
Fjernvarmeteknologi, vindteknologi, bioteknologi og øvrig teknologi. Det venstre
cirkeldiagram viser den lave del af spændet for potentialet (119 mio. ton CO
2
) og det
højre cirkeldiagram viser den høje del (215 mio. ton CO
2
). Som det ses, er vindteknologi
dominerende i begge cirkeldiagrammer, hvilket hænger sammen med, at langt
størstedelen af den grønne, danske eksport udgøres af netop vindteknologi. Bioenergi
fylder også en del, særligt i den høje del af spændet (det højre cirkeldiagram). Det
skyldes, at biomassekraftvarme, der erstatter kraftvarme på kul, indgår.
Figur 23:
Fordeling af CO
2
-reduktionerne på teknologityper over hele levetiden
119 mio. ton CO2 - 215 mio. ton CO2
Øvrig
6%
Fjenvarme
10%
Bio
23%
Vind
61%
Vind
40%
Øvrig
10%
Fjenvarme
18%
Bio
32%
Anm.: Cirklen til venstre viser fordelingen mellem de fire teknologikategorier ved et minimum for potentialet og cirklen til
højre ved et maksimum for potentialet.
Boks 9:
Anden grøn eksport end energiteknologi kan give reduktioner i udlandet
Ud over eksport af grøn energiteknologi er der også anden eksport, der kan kategoriseres
som grøn og kan understøtte reduktion af drivhusgasudledninger i udlandet. To konkrete
eksempler
32
er:
Reduktion af madspild reducerer CO
2
e-udledninger
Chr. Hansen vurderer, at de i 2019/20 igennem salg af produktet FreshQ®, der forlænger
holdbarheden af yoghurt, forhindrede 200.000 ton spild af yoghurt på globalt plan. Chr.
Hansen vurderer endvidere, at den sparede produktion af yoghurt er svarende til op til
260.000 ton CO
2
e-udledninger på globalt plan.
Avlsprogram giver færre CO
2
e-udledninger fra malke- og kødkvæg
Med den danske virksomhed VikingGenetics avlsprogram optimeres forholdet imellem høj
mælkeproduktion og lav metanudledning fra malkekøer og kødkvæg. En ko fra
VikingGenetics, der erstatter en gennemsnitlig europæisk ko, vurderes af VikingGenetics
at kunne reducere udledninger fra en liter mælk med ca. 0,1 kg CO
2
e. Tallet er højere for
køer uden for Europa.
32
Eksemplerne er baseret på de pågældende virksomheders data og vurderinger, medmindre andet er angivet
.
KEF, Alm.del - 2021-22 - Bilag 310: Orientering om offentliggørelse af Global Afrapportering 2022
2566433_0043.png
FOKUSEMNER
43
Fokusemner
I denne del af GA22 sættes der fokus på en række udvalgte emner, der er særligt
relevante ift. at belyse Danmarks påvirkning af det globale klima. Det drejer sig om
international transport, eludveksling, import og forbrug af soja, virksomheders globale
klimaarbejde og globale effekter af nationale politiske aftaler.
Kapitel 8, 9 og 10 om hhv.
international transport, eludveksling
og
forbrug og import af
soja
sætter alle fokus på en vare eller branche, der har en væsentlig klimaeffekt uden
for Danmarks grænser. Kapitlerne er et tillæg til opgørelserne af forbrug, import og
eksport i del 1 og 2, der beskriver de samlede klimaaftryk.
I kapitel 11
Virksomheders globale klimaarbejde
ses der nærmere på, hvorvidt og
hvordan danske, små og mellemstore virksomheder (SMV’er) bredt set arbejder med at
reducere deres globale klimaaftryk.
I baggrundsnotaterne til disse kapitler findes beskrivelser af de anvendte metoder,
mere detaljerede resultater samt en beskrivelse af de usikkerheder, der er knyttet til
analysernes resultater.
KEF, Alm.del - 2021-22 - Bilag 310: Orientering om offentliggørelse af Global Afrapportering 2022
2566433_0044.png
8. INTERNATIONAL TRANSPORT
44
8 International transport
International luft- og søfart står for hhv. ca. 1,5 og knap 2 pct. af de samlede
globale CO
2
e-udledninger ( (ICCT, 2019)/ (Crippa, et al., 2019)/ (IMO, 2021)).
Udledningerne indgår ikke i opgørelserne af de forskellige landes territoriale
udledninger, som indrapporteres til FN. Reduktionsmål for international luft-
og søfart indgår dermed i de fleste tilfælde ikke i de enkelte landes nationale
målsætninger under Parisaftalen
33
. Reduktion af udledningerne forventes
håndteret i regi af FN’s internationale organisationer ICAO (for luftfart) og IMO (søfart)
og på europæisk plan gennem EU.
I dette kapitel af GA22 er fokus på, hvordan Danmark er med til at påvirke de globale
udledninger fra international luft- og søfart. Kapitlet indkredser de udledninger, som
involverer dansk aktivitet, men som ikke er en del af det danske reduktionsmål for
2030
34
.
Resultaterne i dette kapitel er dels påvirkede af, hvordan man definerer de dansk
relaterede dele af international luft- og søfart, dels af, hvorvidt der findes dataregistre,
der kan belyse dette.
8.1
Hovedresultater - International luftfart
Fokus for dette afsnit er klimapåvirkningen forbundet med danske luftfartsselskabers
globale aktiviteter samt danske såvel som udenlandske luftfartselskabers flyvninger til
og fra Danmark.
Boks 10:
Regulering af luftfartens drivhusgasudledninger
Regulering af luftfartens drivhusgasudledninger sker på globalt plan via ICAO’s
reguleringsmekanisme CORSIA og på EU-plan gennem EU’s kvotehandelssystem. Europa-
Kommissionen har i 2021, som led i ’Fit for 55’-pakken, fremsat en række forslag til øget
regulering af sektorens udledninger, herunder en revision af kvotehandelssystemet,
beskatning af flybrændstof samt et krav om iblanding af bæredygtige brændstoffer.
Samtidig arbejdes der både i Danmark og internationalt på udvikling og produktion af
bæredygtige flybrændstoffer, nye flyteknologier samt optimering af flyveruter og logistik i
lufthavne.
Udledning af CO
2
fra luftfart internt i EU er dog omfattet af EU’s kvotedirektiv, hvorfor denne udledning også er
indmeldt som værende omfattet af EU’s reduktionsmål under Parisaftalen (jf. EU’s såkaldte Nationally Determined
Contribution (NDC)).
34
International transport indgår i flere kapitler i GA22, og der er visse overlap. For en dybere gennemgang af
international transport i Global Afrapportering 2022, herunder regulering, indsatser, nøgletal og indikatorer henvises til
baggrundsnotatet
International transport.
33
KEF, Alm.del - 2021-22 - Bilag 310: Orientering om offentliggørelse af Global Afrapportering 2022
2566433_0045.png
8. INTERNATIONAL TRANSPORT
45
8.1.1
Drivhusgasudledningen fra udenrigsfly knyttet til Danmark har været stigende indtil
2020, hvor den falder
Klimaaftrykket fra dansk relateret luftfart beskrevet i dette afsnit omfatter kun direkte
udledninger af CO
2
fra forbrænding af brændstof. Klimaeffekten forbundet med
flyvning er imidlertid større end den, som tilskrives disse udledninger, hvilket der gøres
rede for i baggrundsnotatet.
Som det fremgår af Figur 24, har der igennem de seneste 10 år været en jævn stigning i
udledningen af drivhusgasser forbundet med flyrejser til og fra Danmark. Stigningen i
udledningerne afspejler en generel international vækst i efterspørgslen på flytransport.
I 2019 var udledningerne ca. 6 mio. ton CO
2
e, men faldt markant i 2020 til omkring 2
mio. ton som følge af covid-19.
Opgørelsen omfatter udenrigsflyvninger med passagerer og/eller gods, uanset
flyselskab og –ejerforhold, på strækninger mellem en dansk lufthavn og den
efterfølgende eller fra seneste udenlandske lufthavn til Danmark. Udledningerne kan
ikke knyttes specifikt til de ombordværende passagerers nationalitet eller fragtgodsets
produktions- eller slutanvendelsesland.
Udviklingen i udledningen af drivhusgasser fra dansk opererede fly, der tanker i
udlandet, har ligeledes overordnet set været stigende gennem perioden
35
. Ud over
generel økonomisk vækst påvirkes disse udledninger af ændringer i de danske
markedsandele.
Figur 24:
Udledning af drivhusgasser forbundet med udenrigsflyvning til og fra Danmark samt
fra dansk opererede flys tankning i udlandet, både passager- og godstransport.
7
6
5
Mio. ton CO
2
e
4
3
2
1
0
2009
2010
2011
2012
2013
2014
2015
2016
2017
2018
2019
2020
Dansk opererede fly i udlandet
Udenrigsflyvninger til og fra Danmark
Kilde: (Danmarks Statistik, Data udtrukket via Statistikbanken november 2021 fra Danmarks Statistiks database, der
løbende opdateres., 2021), (Trafikstyrelsen, 2021)
Da en overvejende del af dansk opererede flys tankning i udlandet sker i forbindelse med flyvninger til Danmark, vil
der være et overlap til opgørelsen af udledninger forbundet med flyvninger til og fra Danmark. De to tal kan derfor ikke
lægges sammen.
35
KEF, Alm.del - 2021-22 - Bilag 310: Orientering om offentliggørelse af Global Afrapportering 2022
2566433_0046.png
8. INTERNATIONAL TRANSPORT
46
8.1.2
Antallet af passagerer til og fra Danmark stiger indtil 2020, hvor det falder
Den internationale vækst i efterspørgslen på flytransport afspejles i et stigende antal
passagerer og et øget transportarbejde
36
(målt i personkilometer). Antallet af
passagerer på udenrigsfly til og fra Danmark steg fra ca. 20 mio. i 2009 til ca. 33 mio. i
2019, mens transportarbejdet i samme periode voksede fra ca. 37 mia.
personkilometer til ca. 62 mia. personkilometer, jf. Figur 25. Effekten af covid-19 ses
tydeligt i 2020, hvor antallet af passagerer faldt til ca. 8 mio. og transportarbejdet faldt
til ca. 12. mia. personkilometer.
Figur 25:
Antal passagerer og transportarbejde forbundet med udenrigsflyvninger til og fra
Danmark i perioden 2009-2020.
70
60
50
40
30
20
10
0
2009
2010
2011
2012
2013
2014
2015
2016
2017
2018
2019
2020
Transportarbejde [mia pkm]
Kilde: (Trafikstyrelsen, 2021)
Passagerer [mio]
Tilsvarende stigningen i passagerflyvninger er der sket en stigning i flygods til og fra
Danmark. Den samlede mængde flygods (gods fragtet enten med passager- eller
fragtfly) er fordoblet fra ca. 0,15 mio. ton i 2009 til ca. 0,30 mio. ton i 2019, men faldt til
ca. 0,23 mio. ton i 2020. Transportarbejdet (med fragtfly) målt i tonkilometer er
tilsvarende fordoblet i samme periode.
8.1.3 International luftfart til og fra Danmark er blevet mere effektiv
For at belyse den overordnede effektivitetsudvikling i udenrigsluftfarten er der opstillet
en række indikatorer for flyvninger til og fra Danmark, hvor udledningerne sættes i
relation til aktiviteten. Det seneste årti er flyene generelt blevet større og relativt mere
effektive, og samtidig er antal sæder pr. fly og sædeudnyttelsesgraden
(belægningsgraden) steget. Samlet set giver det anledning til en reduktion i
udledninger målt per passager og per transportarbejde, som vist i Figur 26.
Udledningerne per passager til og fra Danmark er i perioden 2009-2019 faldet fra 189 til
172 kg CO
2
e svarende til et fald på ca. 9 pct. Udledningerne per personkilometer faldt
med ca. 13 pct. over samme periode fra 105 g CO
2
e i 2009 til 91 g CO
2
e i 2019.
36
Transportarbejde defineres som antal passagerer/ton gods set ift. de antal km passagererne/godset rejser/fragtes.
KEF, Alm.del - 2021-22 - Bilag 310: Orientering om offentliggørelse af Global Afrapportering 2022
2566433_0047.png
8. INTERNATIONAL TRANSPORT
47
Stigningen i 2020 skal ses i lyset af covid-19, som bl.a. medførte en lavere
belægningsgrad.
Figur 26:
Udvikling i indikatorer for effektivitetsudviklingen i udenrigsluftfarten
(passagerflyvninger) til og fra Danmark i perioden 2009-2020.
250
200
150
100
50
0
2009
2010
2011
2012
2013
2014
2015
2016
2017
2018
2019
2020
CO2eq per Person [kg/p]
CO2eq per PersonKm [g/pkm]
Sæder per fly [antal]
Kilde: (Trafikstyrelsen, 2021). Anm.: Bemærk at y-aksens enheder er forskellig for de enkelte indikatorer og fremgår af
serieforklaringerne.
8.2
Hovedresultater - International søfart
Danmark er verdens 6. største søfartsnation målt som operatør, og dansk opererede
skibe (som enten er dansk ejede eller chartrede og dermed under dansk kontrol) udgør
cirka 4,4 pct. af verdensflåden (Danske Rederier, 2022). International søfart er et
globaliseret erhverv, og store dele af de danske aktiviteter foregår langt uden for
Europa, med USA, Kina og Japan som nogle af de største markeder.
Fokus for dette afsnit er klimapåvirkningen forbundet med danske såvel som
udenlandske skibes tankning af brændstof i Danmark samt med danskopererede
skibes globale aktiviteter.
Boks 11:
Regulering af søfartens drivhusgasudledninger
Regulering af søfartens drivhusgasudledninger sker på globalt plan i FN’s organisation for
søfart, IMO. IMO vedtog i 2018 en strategi om reduktion af drivhusgasser fra søfarten,
herunder et mål om, at udledningerne pr. transportarbejde i 2030 skal reduceres med mindst
40 pct. ift. til 2008-niveau. EU har med ’Fit-for-55’-pakken også taget skridt til at mindske
sektorens udledninger. Pakken indeholder bl.a. forslag om at udvide EU’s
kvotehandelssystem til at omfatte søfart.
Danske virksomheder står i spidsen for en række store indsatser i relation til omstilling af
søfarten – både ift. indkøb af CO
2
-neutrale skibe, udvikling og etablering af produktionsanlæg
for alternative brændstoffer og i forbindelse med motorudvikling til nye teknologier.
KEF, Alm.del - 2021-22 - Bilag 310: Orientering om offentliggørelse af Global Afrapportering 2022
2566433_0048.png
8. INTERNATIONAL TRANSPORT
48
8.2.1
Danske skibe i udlandet har stabile udledninger trods generel vækst i fragtmængderne
Udledningerne forbundet med bunkring (tankning) i Danmark af skibe i udenrigssøfart,
uanset skibenes nationale tilhørsforhold, har siden 2010 varieret mellem 1,7 mio. og 2,5
mio. ton CO
2
e, jf. figur 27
37
. I perioden 1990-2007 har der været en betydelig stigning i
udledningerne knyttet til dansk opererede skibes bunkring i udlandet, hvorefter
udledningerne er fladet mere ud, og i 2019 var udledningerne omkring 35 mio. ton
CO
2
e
38
, jf. Figur 27. Stigningen frem mod 2007 kan overordnet tilskrives den globale
økonomiske vækst og efterspørgsel på transportydelser. Det bemærkes, at
udledningerne fra dansk opererede skibe også påvirkes af ændringer i den danske
handelsflådes markedsandele.
Figur 27:
Udvikling i udledninger knyttet til dansk opererede skibes bunkring (tankning) i
udlandet samt udledninger knyttet til bunkring i Danmark af skibe i udenrigsfart.
50
45
40
Mio. ton CO
2
e
35
30
25
20
15
10
5
0
1990
1991
1992
1993
1994
1995
1996
1997
1998
1999
2000
2001
2002
2003
2004
2005
2006
2007
2008
2009
2010
2011
2012
2013
2014
2015
2016
2017
2018
2019
2020
Dansk opererede skibe i udlandet (bunkring i udlandet)
Skibe i udenrigsfart (bunkring i Danmark)
Kilde: (Energistyrelsen, 2021)
Set henover perioden 2011-18 er der på globalt plan sket en afkobling af udledningerne
fra den fortsatte vækst i fragtmængderne, jf. Figur 28. Denne udvikling afspejles også i
de danske udledninger. Effektiviseringerne skyldes primært bedre udnyttelse af
skibene, optimering af fart, operationer og ruter, nye design og teknologier samt større
og mere effektive skibe.
Udledninger fra skibes bunkring omfatter her alene udledninger forbundet med forbrændingen af de anvendte
brændstoffer. Opgørelsen af skibsfartens udledninger i eksportkapitlet omfatter udledninger fra hele værdikæden for
brændsler og dertil fx havneaktiviteter knyttet til eksporten.
38
Til sammenligning har Danske Rederier i forbindelse med regeringens Klimapartnerskab for Det Blå
Danmark opgjort udledningerne fra Det Blå Danmark i internationalt farvand til 52,8 mio. ton CO
2
i 2018. Forskellen til
opgørelsen i GA22 kan skyldes Danske Rederiers inklusion af danske rederiers udenlandske datterselskaber.
37
KEF, Alm.del - 2021-22 - Bilag 310: Orientering om offentliggørelse af Global Afrapportering 2022
2566433_0049.png
8. INTERNATIONAL TRANSPORT
49
Figur 28:
Vækst i den globale søfarts fragtede mængder og udledninger
150
140
130
Indeks, 2008 = 100
120
110
100
90
80
70
60
50
Godsmængde
Transportarbejde
CO2e udledning
Kilde: Baseret på IMO’s 4th GHG study (IMO, 2021). Anm.: Data vedr. fragtede mængder og udledninger er indekseret ift.
2008, der er baseline for IMO’s strategi fra 2018. De fragtede mængder er vist både i ton og i ton/km. Udledninger er fra
IMO’s opgørelse af international shipping.
International søfart er kendetegnet ved et meget stort antal aktører og en enorm
forskelligartethed ift. både skibstyper og de transportopgaver, der løses. Derfor er det
vanskeligt at sammenligne danske skibes klimaaftryk med andre landes. Selv en
sammenligning af udledninger inden for en given skibstype vil fx afhænge af
skibsstørrelser, kapacitetsudnyttelse, sejlhastighed, klimaforhold, sejlruter, antal havne
der anløbes, ventetider for anker, køling eller opvarmning af last, hvordan skibet losses
(selvlossende eller med landudstyr) mv.
Et område, hvor Danmark har særlig stor aktivitet, er containerskibe. Dansk flagede
39
containerskibe står for omkring 7,3 pct. af verdensflådens samlede transportarbejde
40
udført af containerskibe, men kun 5,5 pct. af udledningerne fra den samlede
verdensflådes containerskibe. Det skyldes bl.a., at de dansk flagede containerskibe er
blandt de absolut største i verden, hvilket er med til at sænke udledningerne ift.
transportarbejdet. Indsatser ift. teknologiudvikling, herunder optimering af skibsdesign
og funktioner, nye motorteknologier og brændstoffer, kan potentielt have stor
indflydelse på de samlede CO
2
e-udledninger, når det er rettet mod et så stort og
betydende segment af verdensflåden.
flagede skibe er skibe, der sejler i Danmark og internationalt under dansk opsyn (er registreret i Skibsregistret).
Transportarbejdet er defineret som sejlet distance (målt i sømil) gange dødvægtstonnage (som er et mål for et skibs
lasteevne eller kapacitet (last plus brændstof)). Data er fra IMO’s GISIS Ship Fuel Oil Consumption databasen, som ikke
indeholder data for kapacitetsudnyttelse, hvorved transportarbejdet således angiver det potentielt maksimale
transportarbejde frem for det faktiske transportarbejde.
40
39
Dansk
KEF, Alm.del - 2021-22 - Bilag 310: Orientering om offentliggørelse af Global Afrapportering 2022
2566433_0050.png
9. ELUDVEKSLING
50
9 Eludveksling
El er en vare, der grundet begrænsede lagringsmuligheder kræver, at produktion
og forbrug til enhver tid er i balance. Denne balance opnås på tværs af
landegrænser via elsystemet. Når der i Danmark ikke er balance mellem
elproduktion og -forbrug anvendes elsystemet således til at sikre balancen
ved at transportere el på tværs af landegrænser.
Ses der på national elforsyning, vil elimport til indenlandsk elforbrug ofte reducere det
importerende lands territoriale drivhusgasudledninger, fordi produktionen sker i et
andet land. Den omvendte situation gør sig gældende ved eleksport. Når Danmark fx
eksporterer el på tidspunkter med megen havvind, kan det reducere elproduktionen på
kulkraft i Tyskland, hvilket vil reducere udledningerne i Tyskland.
Dette kapitel forholder sig alene til påvirkningen af udenlandske udledninger som følge
af ændringer i udenlandsk elproduktion på grund af eludveksling med Danmark.
Eventuelle øgede udledninger på dansk jord fx i forbindelse med dansk eleksport
indgår således ikke, men vil fremgå af den årlige Klimastatus og -fremskrivning.
I dette kapitel opgøres udledningerne for historiske år. Endvidere anvendes
fremskrivningen af elproduktion og –forbrug i Klimastatus og –fremskrivning 2022
(KF22) til at estimere den fremtidige påvirkning af udlandets udledninger som følge af
dansk eludveksling
41
.
9.1
9.1.1
Hovedresultater
Udledninger i udlandet på 0,6 mio. ton CO
2
er knyttet til dansk eludveksling
I 2018-2020 har Danmark haft mere elimport end eleksport. Denne nettoelimport har
svaret til mellem 12 og 20 pct. af det indenlandske elforbrug. Nettoelimporten kan med
udgangspunkt i udlandets gennemsnitlige udledninger
42
siges at have medvirket til
yderligere udledninger i udlandet svarende til ca. 0,6 mio. ton CO
2
per år i perioden
2018-2020, jf. Tabel 2.
I 2020 havde Danmark en relativ høj netto elimport på ca. 7 TWh, hvilket svarer til ca.
20 pct. af det indenlandske elforbrug. Det bemærkes, at 2020 var et særligt år som
følge af covid-19, og samtidig har der været overskud i Norge og Sveriges
vandreservoirer pga. en mild vinter og store mængder sne i vinteren 2019/20.
Overskuddet i vandreservoirerne har muligvis givet anledning til den øgede danske
elimport fra vandkraften i Norge og Sverige.
Estimeringen tager således udgangspunkt i en frozen-policy tilgang. ”Frozen policy” indebærer, at udviklingen er
betinget af et ”politisk fastfrossent” fravær af nye tiltag på klima- og energiområdet ud over dem, som Folketinget har
besluttet før1. januar 2022, eller som følger af bindende aftaler. Estimeringen afspejler således ikke en forventet
udviklings effekt på udlandets udledninger, idet fx Energiøerne og Power-to-X ikke er inkluderet i KF22. Dertil er
udviklingstendenserne for udlandet baseret på data fra 2020. KF22 omfatter således væsentlige afgrænsninger ift. at
estimere den fremtidige påvirkning.
42
Den gennemsnitlige emissionsfaktor for elproduktion er for hver time opgjort for de lande, som Danmark har
eludveksling med (Norge, Sverige, Tyskland og Nederlandene).
41
KEF, Alm.del - 2021-22 - Bilag 310: Orientering om offentliggørelse af Global Afrapportering 2022
2566433_0051.png
9. ELUDVEKSLING
51
Tabel 2:
Elimport og eleksport i Danmark samt estimeret effekt på de udenlandske udledninger
for historiske år
Nøgletal
Type
2018
6,3
2,1
4,2
130
115
0,8
0,2
0,6
2019
6,3
1,9
4,4
115
80
0,7
0,1
0,6
2020
8,4
1,3
7,2
100
175
0,9
0,2
0,6
Import af el
Nettoimport
TWh
Udlandets gennemsnitlige
emissionsfaktor,
g CO
2
/kWh
Eksport af el
Nettoimport
Når Danmark importerer
Når Danmark eksporterer
Ved dansk elimport, øget
udledning
Ved dansk eleksport, reduceret
udledning
Netto-udledninger
Nøgletal: Effekt på udlandets
emissioner,
Mio. ton CO
2
Note: Nøgletallet for effekten på udlandets udledninger er lig import (eller eksport) gange emissionsfaktor, når Danmark
importerer (eller eksporterer) = Effekt på udledninger.
9.1.2
Danmark udveksler primært el med Norge og Sverige
Danmark importerede i 2020 hovedsageligt strøm fra Norge og Sverige, men også en
mindre mængde fra Tyskland og Nederlandene, hvilket ligeledes var tilfældet i de to
tidligere år. Samlet set kom omtrent 70 pct. af elimporten fra Norge og Sverige i 2020,
hvor den store stigning i elimport (og også netto elimport) overordnet skyldtes
yderligere import fra Norge sammenlignet med 2019. Norges elproduktion har en høj
andel af vandkraft, hvorfor stigningen i netto elimport ikke resulterede en tilsvarende
stigning i de udenlandske udledninger.
Analysen viser også, at dansk eleksport hovedsageligt gik til Tyskland og Sverige i
2020. Det er en ændring ift. de foregående år, hvor Norge og Sverige har været de
lande, som Danmark har eksporteret til. Men igen pga. overskud i vandressourcerne i
Norge og Sverige har der været mindre behov for dansk strøm i 2020 sammenlignet
med tidligere år. Generelt var der i løbet af 2020 en mindre eleksport til udlandet end de
to foregående år, hvilket hovedsageligt skyldes et fald i eleksporten til Norge og
Sverige.
9.1.3
Danmark importerede, når der var meget el på vedvarende energi
Overordnet set har Danmark i 2020 importeret strøm på tidspunkter, hvor vandkraft var
dominerende i de lande, der importeredes fra. For eleksporten gælder, at den er sket på
tidspunkter, hvor modtagerlandene har haft en høj andel af vand-, vind- og atomkraft.
Modtagerlandene har dog også haft elproduktion baseret på kul og naturgas, når
Danmark har eksporteret. Samlet set estimeres dansk eludveksling at have medført
øgede udledninger i udlandet i 2020 på 0,6 mio. ton CO
2
e, jf. Tabel 2.
KEF, Alm.del - 2021-22 - Bilag 310: Orientering om offentliggørelse af Global Afrapportering 2022
2566433_0052.png
9. ELUDVEKSLING
52
9.1.4
Udviklingen i Klimastatus og –fremskrivning viser øget eleksport i de kommende år
I fremskrivningen i KF22 stiger dansk elproduktion procentvis mere end dansk
elforbrug frem mod 2030. Den primære årsag er, at flere havvindmølleparker forventes
at komme i drift inden udgangen af 2030. Analysen i GA22 viser, at eleksporten øges
og nettoimporten falder frem mod 2030. Det betyder, at Danmark i analysen vurderes
at bevæge sig fra at være nettoimportør til at blive nettoeksportør givet
forudsætningerne om forbrug og produktion i KF22. I fremskrivningen i KF22 indgår
energiøerne og PtX-aftalen ikke, hvilket forventes at øge hhv. den danske elproduktion
og elforbruget.
Dansk eludveksling vil, jf. analysen, reducere udledninger i udlandet frem mod 2030
Effekten af eludveksling mellem Danmark og udlandet forventes at ændre sig frem
mod 2030. De seneste år er udlandets udledninger blevet øget som følge af den danske
eludveksling, bl.a. fordi der har været mere import end eksport. Analysen i GA22 viser,
at udlandets udledninger reduceres fremadrettet. Det skyldes dels den stigende
eleksport fra Danmark til udlandet (og dermed faldende netto elimport), dels at
Danmark importerer på tidspunkter, hvor strømmen i udlandet er mere grøn end
strømmen i udlandet på de tidspunkter, hvor Danmark eksporterer.
Selvom Danmark kan siges at have medvirket til
yderligere
udledninger svarende til 0,6
mio. ton CO
2
i 2020, så estimeres dansk eludveksling at medvirke til at
reducere
udlandets udledninger med ca. 0,6 mio. ton CO
2
i 2030
43
.
9.1.5
9.1.6
Stigende eleksport vil ske, når der er vand, sol og vind i udlandets el
Eleksport fra Danmark forventes primært at blive eksporteret til Tyskland, Sverige og
Norge i fremskrivningsperioden, men på sigt også Nederlandene. Tages der afsæt i
hvilke teknologityper, der er i funktion i modtagerlandenes elproduktion, når Danmark
eksporterer, viser Figur 29, at det overordnet er vind-, vand- og solkraft, der producerer
el i udlandet på tidspunkter, hvor Danmark eksporterer. Undtagelsen er Tyskland, hvor
der fortsat vil være el produceret på kul og gas, hvorfor resultaterne indikerer, at
eleksport fra Danmark også fremadrettet vil bidrage til at reducere udledninger i
udlandet.
43
Opgjort på baggrund af KF22 med udgangspunkt i udlandets gennemsnitlige udledninger.
KEF, Alm.del - 2021-22 - Bilag 310: Orientering om offentliggørelse af Global Afrapportering 2022
2566433_0053.png
9. ELUDVEKSLING
53
Figur 29:
Eleksport fra Danmark baseret på elmikset i de lande, Danmark eksporterer til på de
tidspunkter, hvor Danmark eksporterer.
12
Historiske år
10
8
TWh
6
4
2
0
2018
Vind
2019
Atomkraft
2020
Træ mm.
2025
Gas og olie
2030
Kul og brunkul
Sol
2035
Andet
Vandkraft
Kilde: Energistyrelsen. Anm.: Danmark vil i stigende grad også sende strøm ud, når der er vind i udlandet sammenlignet
med i dag, jf. forudsætningerne i KF22.
9.1.7
Forøget dansk eleksport estimeres også i 2035 at give reduktioner i udlandet
Analysen viser, at en yderligere dansk eleksport vil medføre yderligere reduktioner i
udlandets udledninger, idet udlandet, især Tyskland, fortsat forudsættes at gøre brug af
kul og gas. Udlandets elproduktion forventes dog at blive grønnere og grønnere bl.a.
pga. nedlukning af konventionelle kraftværker i Europa. Derfor vil en forøget dansk
eleksport fortsat reducere udlandets udledninger, men med en aftagende effekt i
fremtiden især når Tyskland udfaser sine kul- og gaskraftværker.
En yderligere dansk elimport vil medføre øget elproduktion i udlandet, og derfor øge
udledningerne i udlandet i det omfang, den øgende produktion er baseret på fossile
brændsler. Elproduktionen i udlandet forventes dog fremadrettet i stigende grad at
blive mere grøn, og derfor vil en dansk elimport over tid også blive mere grøn.
KEF, Alm.del - 2021-22 - Bilag 310: Orientering om offentliggørelse af Global Afrapportering 2022
2566433_0054.png
10. IMPORT OG FORBRUG AF SOJA
54
10 Import og forbrug af soja
I dette kapitel zoomes der ind på import og forbrug af soja, da det er et område,
der særligt påvirker de globale drivhusgasudledninger især som følge af
direkte ændringer i arealanvendelse, fx afskovning, som følge af behovet for
landbrugsarealer til soja-produktionen. Resultaterne i dette kapitel kan
imidlertid ikke sammenlignes med opgørelsen af udledninger fra ændringer i
arealanvendelse i kapitel 3
44
.
Danmark importerer især soja i form af sojaskrå
45
. Figur 30 viser Danmarks samlede
import af sojaprodukter
46
fra 1990 til 2020, hvoraf importen af sojaskrå udgjorde langt
størstedelen af den samlede import af sojaprodukter til Danmark i alle år (over 90 pct.).
Danmarks import af sojaskrå har været forholdsvis stabil over perioden, jf. Figur 30.
Figur 30:
Tidsserie over Danmarks samlede import af sojaprodukter, herunder sojaskrå, fra
1990-2020.
2,50
2,00
Mio. ton produkt
1,50
1,00
0,50
0,00
1990
1991
1992
1993
1994
1995
1996
1997
1998
1999
2000
2001
2002
2003
2004
2005
2006
2007
2008
2009
2010
2011
2012
2013
2014
2015
2016
2017
2018
2019
2020
Sojaprodukter total
Kilde: Energistyrelsen
Sojaskrå
Hovedparten af den danske import af sojaskrå kommer fra Brasilien og Argentina, hvor
produktionen af råvaren kan være forbundet med ændringer i arealanvendelse, især
afskovning (Callesen, 2020). Soja betragtes derfor typisk som en "forest risk
commodity" (EU-Kommissionen, 2018), dvs. en vare som er forbundet med høj risiko
for afskovning i fx troperne.
Det skyldes, at opgørelsen bygger på forskellige metoder og datagrundlag, der ikke umiddelbart kan sammenlignes.
Valget af de forskellige opgørelsesmetoder skyldes hensynet til sammenlignelighed med andre analyser og opgørelser
af samme emne. Se baggrundsnotat
Import og forbrug af soja
for en uddybning af, hvad de forskellige metodetilgange
betyder for resultaterne.
45
Sojaskrå er et produkt, som bliver tilbage, når sojabønner presses for at udvinde sojaolie. Sojaskrå bruges til foder.
Sojaolie bruges til at fremstille fx margarine og industrielle produkter som sæbe og maling.
46
Sojaprodukter omfatter sojabønner, sojabønnemel, sojasauce, raffineret sojaolie, rå sojaolie og sojaskrå.
44
KEF, Alm.del - 2021-22 - Bilag 310: Orientering om offentliggørelse af Global Afrapportering 2022
2566433_0055.png
10. IMPORT OG FORBRUG AF SOJA
55
I 2020 importerede Danmark ca. 1,8 mio. ton sojaprodukter. Importen af sojaskrå
udgjorde ca. 93 pct. af den samlede import af sojaprodukter, svarende til ca. 1,67 mio.
ton. I dette kapitel fokuseres derfor på Danmarks import af sojaskrå, hvoraf 70 pct.
bliver anvendt i landbrugsproduktionen som grise-, malkekvæg- og fjerkræfoder.
10.1
10.1.1
Hovedresultater
Danmarks import af sojaskrå medfører drivhusgasudledninger på ca. 4 mio. ton CO
2
e
årligt
De samlede udledninger fra direkte ændringer i arealanvendelse (dLUC) knyttet til
Danmarks import af sojaskrå i 2020 er estimeret til 3,8-4,3 mio. ton CO
2
e. Størstedelen
af udledningerne fra sojaskrå-importen kan relateres til ændringer i arealanvendelse i
Argentina og Brasilien. Der er i disse lande observeret en væsentlig nedgang i
skovareal over de sidste 20-30 år, mens areal til dyrkning af sojabønner har været
stigende ( (Consultants, 2021) ud fra data fra (FAOSTAT, 2021)). Det estimeres, at
Danmarks import af sojaskrå fra Argentina er forbundet med 1,95 mio. ton CO
2
e og
import fra Brasilien med 1,67 mio. ton CO
2
e.
Forbrug af sojaskrå i landbrugsproduktionen
Hovedparten af Danmarks import af sojaskrå bliver brugt i landbrugsproduktionen som
grise-, malkekvæg- og fjerkræfoder. Jf. Tabel 3 bliver 65 pct. af den samlede import af
sojaskrå til Danmark brugt i grise- og mælkeproduktion, heraf størstedelen (51 pct.) i
griseproduktionen. Til sammenligning er forbruget af sojaskrå i produktionen af
slagtekyllinger estimeret til 78.655 ton pr. år svarende til 5 pct. af den samlede imp
Tabel 3:
Estimeret forbrug af sojaskrå i landbrugsproduktionen i 2020
Forbrug af sojaskrå,
Procentandel af den
ton i 2020
samlede sojaimport
Slagtegrise
Smågrise
Malkekøer
Slagtekyllinger
I alt
713.515
150.002
232.719
78.655
1.174.912
42 pct.
9 pct.
14 pct.
5 pct.
70 pct.
Mio. ton CO
2
e fra
dLUC
1,6-1,8
0,3-0,4
0,5-0,6
0,2-0,2
2,7-3,0
10.1.2
Kilde: Klimafremskrivning 2022, (Danmarks Statistik, ANI5: Slagtninger og produktion af svin efter kategori og enhed.
(tilgået februar 2022)., 2022), (Fødevarer, 2021a), (Bosselmann, 2022b) samt Energistyrelsens beregninger. Anm.:
Beregningerne er baseret på standard foderplaner i 2020. I allokeringen af udledninger kan det ikke adskilles, hvor og til
hvad importen fra specifikke producentlande bliver brugt til i Danmark. Udledninger er derfor beregnet med en simpel
tilgang, hvor procentandelen ganges med estimatet for de samlede udledninger knyttet til Danmarks import af sojaskrå.
KEF, Alm.del - 2021-22 - Bilag 310: Orientering om offentliggørelse af Global Afrapportering 2022
2566433_0056.png
10. IMPORT OG FORBRUG AF SOJA
56
10.1.4
Svinekød, ost og smågrise står for hovedparten af eksporten af indlejret soja
65 pct. af de sojaskrå, som Danmark importerer, eksporteres efterfølgende ud af
Danmark indlejret i animalske produkter og levende dyr i form af smågrise. En lille del
eksporteres direkte videre.
Samlet set blev der i 2020 eksporteret ca. 911.000 ton sojaskrå ud af Danmark indlejret
i animalske produkter. Hovedparten af sojaskråene var indlejret i eksporteret grisekød,
som står for 68 pct. af denne eksport, efterfulgt af ost som står for 17 pct.
47
Ligeledes eksporterede Danmark i 2020 omkring 14,8 mio. smågrise til primært
Tyskland og Polen. Det estimeres, at der var ca. 150.000 ton indlejret sojaskrå i denne
eksport.
Ud fra den samlede mængde eksporterede sojaskrå svarende til ca. 1,09 mio. ton kan
udledninger fra direkte ændringer i arealanvendelse indlejret i eksporten estimeres til
2,5-2,8 mio. ton CO
2
e.
47
Analysen omfatter ikke alle animalske produkter, som har indlejret soja – se nærmere redegørelse herfor i
baggrundsnotat
Import og forbrug af soja.
KEF, Alm.del - 2021-22 - Bilag 310: Orientering om offentliggørelse af Global Afrapportering 2022
2566433_0057.png
11. SMÅ OG MELLEMSTORE VIRKSOMHEDERS GLOBALE KLIMAARBEJDE
57
11 Små og mellemstore
virksomheders globale
klimaarbejde
Hovedparten af virksomhederne i Danmark er små og mellemstore virksomheder
(SMV’er). To ud af tre ansatte inden for den private sektor er beskæftiget i
SMV’erne, og i 2019 stod SMV’er for 63 pct. af værdiskabelsen inden for den
private sektor i Danmark (HSB, 2021). Derfor er SMV’erne en afgørende del af
den grønne omstilling.
Mange SMV’er er en del af det globale marked, og deres produktion er i høj grad
afhængig af udenrigshandel, fx når de køber eller sælger varer og ydelser på tværs af
landegrænser. Det betyder, at SMV’ernes aktiviteter har en effekt uden for Danmarks
grænser, også når det gælder klimaet. Derfor belyses SMV’ernes indsatser for at
begrænse deres globale klimaaftryk i GA22. Indsatserne omfatter fx, at danske
virksomheder som en del af deres klimaindsats stiller krav til deres udenlandske
leverandørers klimaindsats. Der vil danske virksomheder nemlig indirekte påvirke
udledningerne uden for Danmark.
Analysen af virksomheders globale klimaarbejde sætter fokus på, hvorvidt og hvordan
danske SMV’er bredt set arbejder med at reducere deres globale klimaaftryk. Analysen
er baseret på en række rapporter og analyser af emnet. For det konkrete klimaaftryk
ved dansk import og eksport samt dansk eksport af grønne teknologier og den
potentielle klimaeffekt herfra, henvises til kapitel 2, 6 og 7.
11.1
Hovedresultater
En række analyser og dataindsamlinger peger på, at der er stor interesse blandt danske
virksomheder ift. at reducere deres globale klimaaftryk. De danske virksomheder
oplever nemlig stigende krav og forventninger til virksomhedernes arbejde med
bæredygtighed og klimaindsats. Ligeledes forventer virksomhederne selv at skulle
fokusere mere på klima fremadrettet (DI, Bæredygtighed – en vigtig
konkurrenceparameter, DI analyse, 2021), (DE, 2021).
11.1.1
SMV’erne arbejder mindre med deres globale klimaaftryk end de store virksomheder
Mange danske virksomheder har fokus på, hvordan de kan øge deres globale
klimaindsats. Det fremgår bl.a. af en undersøgelse foretaget af Advice (Advice, 2020).
Her oplyser ca. 62 pct. af de adspurgte virksomheder, at de arbejder med at reducere
deres negative globale klimaftryk. Undersøgelsen viser dog også, at de større
virksomheder trækker denne procentsats op. Det er både ift. indsatsen og især
KEF, Alm.del - 2021-22 - Bilag 310: Orientering om offentliggørelse af Global Afrapportering 2022
2566433_0058.png
11. SMÅ OG MELLEMSTORE VIRKSOMHEDERS GLOBALE KLIMAARBEJDE
58
dokumentationen heraf
48
, at de små og mellemstore virksomheder sakker bagud ift. de
store virksomheder.
Der er flere grunde til, at især de mindre og mellemstore virksomheder ikke arbejder
mere med deres klimaaftryk – herunder både nationalt og globalt, end de gør. Mange af
dem oplever ikke, at arbejdet er værdiskabende nok for deres virksomhed, mens
ressourcer også nævnes som en væsentligt barriere. Ift. rapportering på
klimaparametre nævnes også udfordringer med data fra både leverandører og egen
virksomhed samt manglende viden og kompetencer (DE, 2021), (DEFB, 2021a).
Ligeledes viser en undersøgelse foretaget af Danmarks Erhvervsfremmebestyrelse, at
det kun er 12 pct. af SMV’erne, der i meget høj eller i høj grad arbejder med grøn
omstilling og cirkulær økonomi. (HSB, 2021).
I flere af sektorkøreplanerne fra klimapartnerskaberne
49
påpeges det da også, at der
især blandt de små- og mellemstore virksomheder er brug for hjælp til konkrete og
brugervenlige måder at fastslå deres CO
2
e-udledning på
50
.
11.1.2
Mindre andel af virksomhederne opgør samlede CO
2
e-udledninger
De virksomheder, der arbejder med reduktion af deres klimaaftryk, arbejder især med
reduktion af deres eget energiforbrug – dvs. reduktion af nationale udledninger – og i
mindre grad med klimarapportering af de samlede udledninger, der knytter sig til
virksomhedens produktion.
I en undersøgelse foretaget af Advice er det således kun 11 pct. af de adspurgte
virksomheder, som foretager beregninger af virksomhedens samlede COe
2
-udledninger
(Advice, 2020). Denne konklusion understøttes af en undersøgelse blandt Dansk
Erhvervs medlemmer. Undersøgelsen viser, at det kun er et begrænset antal
virksomheder, der rapporterer på samtlige klimaparametre. Den viser ligeledes, at 49
pct. ikke udarbejder klimarapportering, at 28 pct. ikke kan svare på spørgsmålet, og at
23 pct. rapporterer på en eller flere indikatorer for klima-performance jf. Figur 31, (DE,
2021).
48
49
At det især er de store virksomheder, der arbejder med klimaaftryk, må ses i lyset af, at de gennem CSR-direktivet
stilles over for krav omkring årlig udarbejdelse af klimarapportering. Med klimarapportering menes, at en virksomhed i
et ikke nærmere specificeret omfang eller format giver en affapportering af virksomhedens klimaarbejde.
Klimapartnerskaberne blev igangsat i slutningen af 2019, hvor regeringen sammen med erhvervslivet etablerede en
række partnerskaber, med det formål, at samarbejde om tiltag, der reducerer erhvervslivets udledninger af drivhusgas
og styrker virksomhedernes grønne konkurrenceevne.
50
Jf. sektorkøreplanen for produktionsvirksomheder og for handel
KEF, Alm.del - 2021-22 - Bilag 310: Orientering om offentliggørelse af Global Afrapportering 2022
2566433_0059.png
11. SMÅ OG MELLEMSTORE VIRKSOMHEDERS GLOBALE KLIMAARBEJDE
59
Figur 31:
Virksomhedernes svar ift. klimarapportering
Hvilke af følgende indikatorer rapporterer din virksomhed jeres performance på i
dag?
Energiforbrug
Scope 1
Scope 2
CO2-intensitet
Energiforbrug intensitet
Vedvarende energiandel
Scope 3
Ingen af ovenstående
Ved ikke
0%
10%
20%
28%
30%
40%
50%
60%
7%
6%
4%
4%
4%
49%
12%
11%
Kilde: Dansk Erhvervs medlemsundersøgelse, februar 2021. Anm.: Definitioner og mere information omkring scope 1, 2 og
3 kan findes i baggrundsnotatet
Små- og mellemstore virksomheders globale klimaarbejde.
En opgørelse af virksomhedens samlede udledninger kan medvirke til, at
virksomhederne begynder at se bredere på mulighederne for at reducere deres
udledninger og herunder muligheden for at stille krav til udenlandske leverandører om
at levere mere klimavenlige produkter og dermed påvirke udledningerne uden for
virksomheden og uden for Danmarks grænser.
11.1.3
Behov for fokus på de globale udledninger
Der er sat flere indsatser i gang for at understøtte bl.a. SMV’erne i klimaarbejdet
herunder bl.a. projekt
Klimaklar SMV
51
. Projektets formål er at udbrede erfaringer og
viden, opsamlet fra 50 deltagende virksomheder, om CO
2
e-aftryk, klimaplaner og
kommunikation til alle andre virksomheder i den danske fremstillingsindustri.
Erfaringerne fra projektet understreger vigtigheden af, at SMV’erne øger deres fokus på
klimarapportering af de samlede udledninger forbundet med virksomhedens
produktion og herunder også de globale udledninger. Projektet viste nemlig, at 90 pct.
af SMV’ernes forårsagede udledninger udgøres af det, der defineres som scope 3
udledninger, det vil sige drivhusgasudledninger fra kilder, der ikke er hverken ejet eller
kontrolleret af virksomheden. Det kan eksempelvis være udledninger fra leverandører,
som følger af udvinding, produktion og transport af de materialer, som virksomheden
har købt (DI, Klimaklar SMV, 2022). Det skal ses i lyset af, at en undersøgelse blandt
Dansk Erhvervs medlemmer (både SMV’er og de store virksomheder) viser, at kun
omkring 4 pct. af de adspurgte virksomhed rapporterer på netop scope 3
udledningerne, jf. 31.
51
Fremstillingsindustrien, Dansk Industri og Industriens Fond står bag projektet.
KEF, Alm.del - 2021-22 - Bilag 310: Orientering om offentliggørelse af Global Afrapportering 2022
2566433_0060.png
MYNDIGHEDERNES GLOBALE INDSATSER
60
Myndighedernes globale indsatser
Regeringens langsigtede strategi for global klimaindsats
En Grøn og Bæredygtig Verden
(Regeringen, 2020) sætter retningen for Danmarks samlede internationale
klimaindsats. Indfrielsen af Paris-aftalen og FN’s Verdensmål for bæredygtig udvikling
danner tilsammen rammen om den danske indsats. Strategien er opdelt i 5 spor, der
afspejler regeringens forskellige målsætninger:
1. Øge de globale klimaambitioner
2. Reducere de globale drivhusgasudledninger ved at vise vejen for grøn omstilling
3. Drive tilpasnings- og modstandsdygtighedsinitiativer i kampen mod
klimaforandringerne
4. Vende de globale finansieringsstrømme fra sort til grøn
5. Samarbejde med erhvervet om grønne løsninger, der gør en forskel
De fem strategiske målsætninger bliver årligt udmøntet i konkrete indsatser, som
fremgår af Global Strategi i Regeringens klimaprogram. I GA22 danner de fem spor
rammen for kapitlerne i denne del af GA22, der giver en status for et udvalg af
myndighedernes internationale klimaindsatser med et fokus på indsatser afviklet i
2021.
Indholdet i de enkelte kapitler
Kapitlerne i denne del af GA22 belyser følgende:
Kapitel 12:
Globale klimaambitioner
belyser udvalgte danske klimadiplomatiske
indsatser for at hæve de globale klimaambitioner.
Kapitel 13:
Globale reduktioner
belyser udvalgte danske indsatser under klimabistanden
samt de danske myndighedssamarbejder, som har til formål at reducere CO
2
-
udledninger globalt.
Kapitel 14:
Globale klimatilpasningsindsatser
belyser udvalgte indsatser under
klimabistanden, som har til formål at understøtte klimatilpasning i udsatte lande.
Kapitel 15:
Klimabistand, klimafinansiering og grønne investeringer
redegør kvantitativt
for dansk klimabistand og mobiliseret klimafinansiering samt offentlig medfinansiering
af grønne projekter internationalt fx vind- og solcelleparker.
Kapitel 16:
Samarbejde med erhvervslivet om grønne løsninger
belyser udvalgte
myndighedsindsatser ift. at fremme, at de klimaløsninger, der udvikles i danske
erhverv, kommer i spil i den globale grønne omstilling.
Beskrivelse af supplerende indsatser, uddybning af data mm. findes i
baggrundsnotaterne om Klimadiplomati, Reduktionsindsatser støttet gennem
klimabistanden, Bilaterale energisamarbejder, Bilaterale miljøsamarbejder, Bilaterale
KEF, Alm.del - 2021-22 - Bilag 310: Orientering om offentliggørelse af Global Afrapportering 2022
2566433_0061.png
MYNDIGHEDERNES GLOBALE INDSATSER
61
fødevaresamarbejder, Klimatilpasning, Klimafinansiering og Finansiering af
investeringer internationalt.
Kapitel 17:
Politiske aftaler med global effekt
belyser globale effekter af nationale
politiske aftaler indgået i 2021. Kapitlet giver en kvalitativ vurdering af mulige effekter
uden for Danmark af klima- og energipolitiske aftaler med nationalt sigte.
Vanskeligt at kvantificere klimaeffekterne af myndighedernes globale indsatser
Det er vanskeligt at kvantificere klimaeffekterne af myndighedernes globale indsatser.
Det skyldes især to forhold, der kendetegner det danske arbejde med den globale
klimadagsorden:
1.
Danmark påvirker partnere, men træffer ikke selv beslutningerne:
Hensigten med
indsatserne er ofte at påvirke relevante interessenter som fx. regeringer til at
træffe mere ambitiøse politiske beslutninger på klimadagsordenen. Det kan fx
ske gennem kapacitetsopbyggende samarbejder med partnere eller i
forhandlinger. Det vil til enhver tid være samarbejdspartnerne (fx et konkret
land), som i praksis
beslutter,
om de vil øge ambitionerne, implementere
lovgivning og/eller reducere nationale udledninger.
2.
Danmark samarbejder med andre:
Mange af de globale klimaindsatser, der
iværksættes fra dansk side, gennemføres i samarbejde med andre lande fx i EU,
i nordisk regi eller i alliancer og koalitioner som fx High Ambition Coalition og
Powering Past Coal Alliance. Den kollektive indsats gør det udfordrende at
påvise en direkte sammenhæng mellem den danske indsats og fx øgede
ambitioner globalt, men samarbejdet giver vægt til indsatsen over for de lande,
som Danmark ønsker at påvirke.
KEF, Alm.del - 2021-22 - Bilag 310: Orientering om offentliggørelse af Global Afrapportering 2022
2566433_0062.png
12. GLOBALE KLIMAAMBITIONER
62
12 Globale klimaambitioner
Ifølge regeringens langsigtede strategi for global klimaindsats arbejder Danmark
for at præge lande og ikke-statslige aktører til at forpligte sig til ambitiøse
målsætninger, der bidrager til at begrænse den globale temperaturstigning,
samt indsatser for klimatilpasning, modstandsdygtig og bæredygtig udvikling.
Arbejdet gennemføres via klimadiplomatiske indsatser i EU-regi, multilateralt i
partnerskaber og globale initiativer og dækker over et meget stort antal konkrete
indsatser. Her belyses et udvalg af indsatserne i 2021
52
.
12.1
12.1.1
Hovedresultater
Danmark bidrog til tilblivelsen af EU’s første klimalov
Det lykkedes i 2021 at få vedtaget den første europæiske klimalov i EU’s historie. En
klimalov, der har gjort EU’s klimamål for 2030 på mindst 55 pct. og målet om
klimaneutralitet senest i 2050 juridisk bindende, og samtidig har etableret de rammer,
der skal sikre, at EU når i mål. Ud over klimamålet lykkedes det at få sat adskillige
danske aftryk på forhandlingerne. Det gælder bl.a. ift., at EU efter 2050 skal have
negative emissioner
53
, at der er fastsat en proces for vedtagelse af EU’s delmål for
drivhusgasudledninger i 2040 og etablering af europæiske klimapartnerskaber mellem
regeringer og erhvervsliv efter dansk forbillede.
Danmark bidrog på COP 26 til, at 1,5 graders målsætningen blev holdt i live
COP26 blev afholdt i efteråret 2021 under den uformelle overskrift
”Keeping 1.5
degrees alive”.
Op til og under COP26 kom der ambitionsudmeldinger fra en lang række
lande. Ifølge analyser før COP26 blev den globale temperaturstigning estimeret til 2,2
grader i slutningen af dette århundrede, hvis alle mål blev indfriet. Efter COP26
estimeres den globale opvarmning i optimistiske scenarier at være reduceret ned til 1,8
grader i slutningen af dette århundrede, hvis alle mål og løfter indfries (IEA,
www.iea.org, 2022), (climateactiontracker, 2021).
Danmark deltog aktivt på COP26, dels ved at præge ambitiøse fælles positioner fra EU,
herunder hvad angår udfasning af kul, forud for COP26 og dels i forhandlingerne på
COP26 bl.a. med henblik på at få vedtaget de sidste udeståender i Parisaftalens
regelsæt og dermed skabe rammen for den globale klimaindsats. Engagementet skete
også via en aktiv indsats i uformelle koalitioner med sårbare fattige lande og små
østater såsom
High Ambition Coalition.
Klima-, energi- og forsyningsministeren havde
en særlig rolle som co-facilitator sammen med Grenada for ministerdrøftelser om
12.1.2
Kapitlet tager udgangspunkt i baggrundsnotaterne om
Klimadiplomati
og
Reduktionsindsatser via klimabistanden.
I
baggrundsnotaterne gives et udvidet overblik over regeringens internationale indsatser for at øge de globale
klimaambitioner samt for at reducere globale udledninger via klimabistanden.
53
EU har fastsat et mål om klimaneutralitet i 2050. Det betyder, at der skal være balance mellem udledninger og optag
af drivhusgasser. Målet om, at EU efter 2050 skal have negative emissioner, betyder således, at EU skal reducere
udledningerne yderligere efter 2050.
52
KEF, Alm.del - 2021-22 - Bilag 310: Orientering om offentliggørelse af Global Afrapportering 2022
2566433_0063.png
12. GLOBALE KLIMAAMBITIONER
63
Glasgow-pagtens
54
reduktionsafsnit. Resultatet blev bl.a., at partnerne tilsluttede sig, at
1,5 graders målsætning nu står tydeligt som det mål, man vil forfølge.
12.1.3
Danmarks indsats for global udfasning af fossile brændsler
Med udgangspunkt i Nordsøaftalen har Danmark i 2021 sammen med Costa Rica sat
sig i spidsen for Beyond Oil and Gas Alliance (BOGA). Alliancen skal lægge pres på
regeringer for at udfase olie- og gasproduktion og lade reserver blive i jorden. BOGA
blev lanceret på COP26 af 11 BOGA-medlemmer, der tilsammen råder over olie- og gas
reserver på over 5 milliarder tønder olieækvivalenter (UCube, 2022), svarende til 73
gange Danmarks årlige olie- og gasforbrug (BP, 2019).
Danmark har ligeledes arbejdet for at styrke det globale momentum for kuludfasning i
forskellige fora og samarbejder, bl.a. ved at skabe mandat for EU's fælles position på
kuludfasning og støtte det britiske COP26 formandskab i deres kampagne om at
”gøre
kul til historie”
samt via Energy Transition Council, hvor Danmark op til COP26 var co-
lead for dialogerne om omstilling fra kul til ren energi i bl.a. Egypten og Indonesien.
Kuludfasningsdagsordenen havde en fremtrædende placering ved G7-topmøde i 2021,
hvor man bl.a. vedtog et stop for al international finansiering af termisk kul, og på
COP26 lykkedes det at få klimaudfordringerne ved kul og fossile brændsler nævnt i
sluterklæringen. Disse resultater er i tråd med de danske bestræbelser på området.
12.1.4
Støtte til mål om klimaneutral skibsfart i 2050 på initiativ af Danmark
Regeringen besluttede i september 2021 at arbejde for et globalt mål om klimaneutral
søfart i 2050. I forlængelse af regeringens beslutning tog Danmark initiativ til at samle
opbakning til en erklæring om støtte til, at FN’s Søfartsorganisation (IMO) vedtager et
mål om klimaneutral søfart i 2050 i samarbejde med bl.a. USA, Storbritannien og
Marshalløerne. Initiativet blev præsenteret på COP26, og erklæringen bakkes nu op af
31 lande fra 5 kontinenter. Den vil blive fulgt op af en klimadiplomatisk indsats forud
for de kommende møder i IMO. Erklæringen skal ses i sammenhæng med et ”Call to
Action” fra flere end 200 ambitiøse virksomheder og organisationer, bl.a. Mærsk.
Danmarks engagement i IEA og ift. Verdensmål 7
Danmarks engagement i det Internationale Energiagentur (IEA) har resulteret i, at klima-
, energi- og forsyningsministeren har varetaget flere fremtrædende roller i regi af IEA. I
januar 2021 blev ministeren udnævnt til formand for IEA’s globale energikommission
for en social og økonomisk retfærdig grøn omstilling. Kommissionen præsenterede i
oktober 2021 sine anbefalinger og eksempler, som skal bidrage til at understøtte det
globale arbejde for en retfærdig omstilling af energisektorer. Danmark var på FN’s
topmøde om energi i september 2021 udnævnt til Verdensmål 7-champion. Her tog
Danmark initiativ til ”Green Hydrogen Compact Catalogue”
55
.
12.1.5
FN afholder årligt en klimakonference under den såkaldte klimakonvention (UNFCCC). Som afslutning på denne
vedtager alle parter (FN’s medlemslande og EU) en politisk sluterklæring, der overordnet tager bestik af udviklingen og
sætter retning fremad. Glasgowpagten er navnet på sluterklæringen fra det 26. møde under klimakonventionen (også
kaldet COP26).
55
Et offentligt privat partnerskab rettet mod at skabe en kommerciel værdikæde og øge produktionen af grøn hydrogen.
54
KEF, Alm.del - 2021-22 - Bilag 310: Orientering om offentliggørelse af Global Afrapportering 2022
2566433_0064.png
13. GLOBALE REDUKTIONER
64
13 Globale reduktioner
Ifølge den langsigtede strategi for global klimaindsats arbejder Danmark for grøn
omstilling i praksis med fokus på, at de lande i verden, der udleder mest,
reducerer deres udledninger, og at udviklingslandene gennemgår en
bæredygtig udvikling.
Danske indsatser for at fremme grøn omstilling og reduktion af de globale
udledninger foregår både multilateralt, især igennem støtte til multilaterale fonde og
energiorganisationer, og bilateralt via bl.a. myndighedssamarbejder. I dette kapitel
belyses et udvalg af hhv. multilaterale indsatser og indsatser via de danske
myndighedssamarbejder
56
.
13.1
13.1.1
Hovedresultater
Danske multilaterale indsatser støtter globale reduktioner
Klimabistanden udmøntes efter reduktionsmålsætningerne i Danmarks nye
udviklingspolitiske strategi og regeringens langsigtede strategi for global klimaindsats
samt Verdensmål 7 vedrørende adgang til bæredygtig energi og Verdensmål 13
angående klimaindsats. Klimabistanden til reduktionsindsatser i multilaterale
organisationer kan grupperes inden for fire temaer, der konkretiserer målsætningerne
jf. Tabel 4.
Tabel 4:
Præsentation af de fire temaer samt udvalgte resultater ift. tema
Tema
National kapacitetsopbygning, NDC’er,
energiomstilling og en inklusiv grøn
transition:
De nationale klimabidrag
(NDC’er) er omdrejningspunktet for
ambitioner på reduktionsområdet.
Udviklingslandene har behov for støtte
for at få det fulde udbytte af arbejdet
med NDC’erne. Støtten bidrager til at
højne ambitionerne inden for energi og
reduktioner og evnen til at levere på
dem.
Udvalgte resultater ift. tema
Støtte til arbejdet med NDC’er via NDC- Partnerskabet (NDCP)
Danmark har i 2021 bl.a. bidraget med 13,2 mio. kr. til NDCP, der
huses under World Ressource Institute (WRI). NDCP har støttet 67
udviklingslande med at forbedre deres NDC’er. 40 lande har
opdateret deres NDC’er (NDC-Partnership, 2022).
Støtte til grøn energiomstilling via det Internationale Energi
Agentur (IEA)
Danmark har bevilliget 50 mio. kr. til IEA for perioden 2021 til 2025
for at accelerere energiomstillingen i Brasilien, Kina, Indien,
Indonesien, Mexico og Sydafrika med fokus på energieffektivitet.
Støtte til fonden for bæredygtig energi i Afrika (SEFA)
Danmark bidrog i 2021 med 100 mio. kr. til SEFA’s arbejde med
afrikanske landes udnyttelse af nye muligheder for grøn energi (ESI
Africa, 2022). SEFA’s mål er at bidrage til en grøn energiomstilling i
Afrika og samtidig sikre, at alle mennesker får adgang til
elektricitet. I dag bor næsten 600 mio. mennesker uden for el-
nettet. SEFA har i 2021 bidraget til flere vedvarende
energiprojekter, herunder bl.a. elektricitet i landdistrikterne gennem
soldrevne mini-elnet, og støtte til en finansieringsplatform for
genopretning efter covid-19 fokuseret på decentral energi. Endelig
er aftaler om etablering af to solenergiparker blevet afsluttet i Chad
og Lesotho (AfDB, 2021b).
Adgang til ren energi på nationalt- og
husholdningsniveau
Dansk klimabistand har været med til
at støtte adgang til ren energi i nogle
af de mindst udviklede lande både i og
uden for Afrika.
56
Kapitlet tager udgangspunkt i baggrundsnotaterne om
Reduktionsindsatser støttet gennem klimabistanden, Bilaterale
energisamarbejder, Bilaterale miljøsamarbejder
og
Bilaterale fødevaresamarbejder.
KEF, Alm.del - 2021-22 - Bilag 310: Orientering om offentliggørelse af Global Afrapportering 2022
2566433_0065.png
13. GLOBALE REDUKTIONER
65
Bæredygtig energi til klimatilpasning
spiller en central rolle ifm.
klimatilpasning i udviklingslandene,
hvor det er med til at sikre adgang til
vejrinformation, vand og køling.
Soldrevne varmepumper i Tanzania
Danmark bevilligede i 2021 omkring 45 mio. kr. gennem Energy
Sector Management Assistance Program (ESMAP) til et
Verdensbanks projekt for soldrevne vandpumper i Tanzania (UM,
2021d). Projektet bygger på nye teknologiske løsninger, og
solenergien kan bidrage til øget produktivitet og klimatilpasning.
Optag af CO
2
e via Den Globale Miljøfacilitet (GEF)
Dekarbonisering og reduktioner på
Danmark har støttet GEF med 450 mio. kr. i perioden 2018-2022.
tværs af sektorer
adresserer indsatser, GEF’s projekter har siden 2018 sikret et optag af 874,7 mio. ton
der bidrager til at reducere udledninger CO
2
e i landbrug, skovbrug og andre arealer (GEF, 2022). I 2021 har
i sektorer som landbrug, byggeri,
GEF bl.a. godkendt et projekt, som mobiliserer privat kapital til at
transport og industri samt tiltag, der
hjælpe med at reducere udledninger og mindske jordforringelse i
kan bidrage til at stoppe afskovning og Argentina, og projekter, der introducerer elektriske
binde CO
2
e
57
.
transportsystemer og midler i fx. Cote d’Ivoire, Seychellerne og
Sierra Leone.
Kilde: Udenrigsministeriet
13.1.1.1.1 Bilaterale indsatser inden for tre områder understøtter bæredygtig omstilling
Danmarks bilaterale samarbejder handler om at bringe danske erfaringer i spil, således
at partnerlandene understøttes i en hurtigere og mere bæredygtig omstilling.
Partnerlandene opnår de bedste resultater med blivende effekt gennem et fokus på
kapacitetsopbygning og forbedring af rammevilkår. Ved at opbygge viden og kapacitet
i partnerlandenes nationale myndigheder – med udgangspunkt i det enkelte lands
specifikke behov - styrkes de politiske beslutningstagere til at træffe bæredygtige og
omkostningseffektive politiske beslutninger.
Danmark samarbejder bl.a. med Kina, Indien, Vietnam, Sydkorea, Japan, Sydafrika og
Tyrkiet, der alle mellem COP25 og COP26 annoncerede øgede ambitioner for 2030
og/eller mål om klimaneutralitet omkring midten af det 21. århundrede.
Indeværende afsnit indeholder information om samarbejder på energi-, miljø- og
fødevareområdet.
13.1.1.2 Myndighedssamarbejder inden for energi
Siden 2012 har Energistyrelsen på vegne af Danmark indgået myndighedssamarbejder
med statslige, regionale og lokale myndigheder i 19 lande, som tilsammen udleder
mere end 60 pct. af verdens CO
2 58
. Hertil kommer en række samarbejder af kortere
varighed.
Danmark anses som et af de førende lande i verden inden for grøn energiomstilling
59
.
Ved at trække på en lang erfaring med grøn omstilling af energisystemet kan Danmark
således rådgive og assistere andre lande i at reducere udledninger forbundet med
Indsatser på dette område kan tage form af naturbaserede løsninger som fx. bevaring og genopretning af natur og
skov, elektrisk mobilitet/transport, de-karbonisering af cement, shipping/søfart og kunstgødning og generelt fremme af
grønne værdikæder.
58
Samme opgørelse som i førnævnte fodnote.
59
Fx i form af Climate Change Performance Index (CCPI), hvor Danmark indtager den øverste mulige rangering, samt
World Energy Council’s Trilemma Index, hvor Danmark indtager en 3. plads.
57
KEF, Alm.del - 2021-22 - Bilag 310: Orientering om offentliggørelse af Global Afrapportering 2022
2566433_0066.png
13. GLOBALE REDUKTIONER
66
produktion og forbrug af energi. Myndighedssamarbejderne har særlig fokus på de
områder, hvor Energistyrelsen har opbygget kernekompetencer, jf. Figur 32.
Figur 32:
Danske kernekompetencer ift. grøn omstilling af energisystemet
Langsigtet energiplanlægning indgår i de fleste af de bilaterale
energisamarbejder, da det er ”rygraden” i at skabe en omfattende og blivende
grøn energiomstilling. Gennem energimodellering og udarbejdelse af
fremtidige scenarier skabes et velfunderet grundlag til at drive nye politiske
energi- og klimamålsætninger
Rammevilkår for integration af vedvarende energi: Forbedrede rammevilkår
hjælper med at øge andelen af grønne energikilder. Ud fra danske erfaringer
rådgives således mhp. at øge transparensen og forbedre rammevilkår for
vedvarende energikilder herunder lovgivning, regulering, udbudsmodeller,
incitamentsordninger og godkendelsesprocesser.
Integration af vedvarende energi: Der er stor efterspørgsel på danske erfa-
ringer med at integrere store mængder vedvarende fluktuerende energi både
på teknisk niveau og gennem politisk regulering. Ved at dele danske erfaringer
på området bliver partnerlandene bedre til at udnytte etablerede vedvarende
energikilder.
Energieffektivitet: Stort set alle partnerlande forventer at udvide deres
energiforsyning fremadrettet. Derfor er der stort fokus på energieffektivitet i
myndighedssamarbejderne. Der arbejdes primært med energieffektivitet inden
for bygninger og industri, hvor formålet er reduceret energiforbrug eller
reduceret energiintensitet.
Fjernvarme:
Med henblik på at fremme billig og grøn varme rådgiver Danmark om
langsigtet planlægning af varmesystemet og stabile regulatoriske rammer i
lande, som har lignende behov for opvarmning af bygningsmassen i urbane
områder.
Boks 12:
Nyt havvindcenter skal understøtte Indiens realisering af mål om 30 GW
havvind i 2030
Indien er verdens tredjestørste forbruger af energi og hovedparten af landets energiforbrug
dækkes i dag med fossile energikilder. Det gør Indien til verdens tredjestørste udleder af CO
2
(IEA, India Energy Outlook 2021, 2021). Men Indien har store ambitioner for vedvarende energi
og et mål om 30 GW havvind i 2030 (MNRE, 2021).
For at understøtte bl.a. 2030-målet, lancerede Energistyrelsen og det indiske Ministry of New
and Renewable Energy i september 2021 et fælles virtuelt videnscenter for havvind – Centre
of Excellence for Offshore Wind and Renewable Energy
60
. Centeret vil med afsæt i danske
erfaringer på området bidrage til at skabe de rette lovgivningsmæssige rammer for udbud og
udbygning af havvind med henblik på at understøtte realiseringen af Indiens 2030-mål.
Indfrier Indien ambitionen om 30 GW havvind i 2030, er der potentiale for at undgå CO
2
-
udledninger i størrelsesordenen 47 mio. ton CO
2
årligt (IEA, India Energy Outlook 2021,
2021)
61
. Det svarer til mere end 1,5 gange de årlige CO
2
-udledninger fra Danmarks
energiforbrug i 2020.
13.1.1.3 Myndighedssamarbejder inden for miljø
Danmark har mere end 35 års erfaring med bæredygtig vandforvaltning,
affaldshåndtering og forureningsbekæmpelse. Denne erfaring bruges aktivt i
Se mere på hjemmesiden:
https://coe-osw.org/
Baseret på sammenligning med det forventede indiske elektricitetsmix i 2030 i IEA’s Stated Policies
Scenario (STEPS) i IEA India Energy Outlook 2021.
61
60
KEF, Alm.del - 2021-22 - Bilag 310: Orientering om offentliggørelse af Global Afrapportering 2022
2566433_0067.png
13. GLOBALE REDUKTIONER
67
Miljøstyrelsens myndighedssamarbejder i Indien, Kina og Sydafrika på vandområdet
samt i Indonesien og Kenya inden for affald og cirkulær økonomi. I 2021 indgik
Miljøstyrelsen desuden 2 nye samarbejdsaftaler med hhv. Etiopien og Marokko.
Myndighedssamarbejderne inden for miljø bidrager især til reduktion af
drivhusgasudledninger globalt ved at understøtte reduktioner i energiforbrug knyttet til
vandforvaltning og ved at sikre øget genanvendelse og mindsket ressourceforbrug
gennem indsatser for en mere bæredygtig affaldshåndtering.
Boks 13:
Case - Optimeret vandforvaltning i Sydafrika
Vandforvaltningen i Sydafrika har været præget af et stort vandtab, stort indtægtstab og
dårlig indtægtsdækning på vandforsyning og spildevandshåndtering. Alle de nævnte faktorer
er selvforstærkende og medfører en dårlig og urentabel service med et stort ressourcespild
og unødvendigt stort klimaaftryk bl.a. som følge af et unødigt stort energiforbrug i forbindelse
med vandforsyningen.
Derfor har det sydafrikansk-danske myndighedssamarbejde fokus på at bryde den
selvforstærkende proces. Fokus var i første fase – fra 2019-2022 – på at forbedre effekten af
det sydafrikanske vandministeriums reguleringsredskab, der skal bistå kommunerne med at
identificere, hvordan de reducerer vandspild. Arbejdet blev videreført i 2021, hvor en række
sydafrikanske kommuner modtog støtte til at implementere løsninger og identificere og
udvikle investeringsprojekter, der kan hjælpe dem med at nedbringe deres vand- og
indtægtstab.
13.1.1.4 Myndighedssamarbejder inden for fødevareproduktion
Fødevareproduktionen står for ca. 31 pct. af de menneskeskabte
drivhusgasudledninger i verden (FAO, 2021). Det er således afgørende, at verdens
fødevaresystemer bliver mere grønne og effektive. Den danske fødevaresektor har
opnået vigtige resultater inden for innovative og bæredygtige fødevareløsninger. Der er
et betydeligt potentiale i at udbrede disse løsninger til andre lande. Det gør Danmark
gennem bilaterale myndighedssamarbejder på fødevareområdet med Kina, Kenya,
Vietnam, Mexico, Nigeria, Colombia og Indonesien
62
.
Arbejdet med at nedbringe drivhusgasudledninger i partnerlandene sker ved at arbejde
med avl og genetik, ingredienser, fødevaretab og madspild såvel som viden om biogas,
gødningshåndtering, foderoptimering samt dyrevelfærd- og sundhed.
62
Flere af samarbejderne har været i gang siden 2014. Samarbejder med Indonesien og Mexico har været i gang siden
hhv. 2018 og 2019, mens samarbejdet med Nigeria har været i gang i et år.
KEF, Alm.del - 2021-22 - Bilag 310: Orientering om offentliggørelse af Global Afrapportering 2022
2566433_0068.png
13. GLOBALE REDUKTIONER
68
Boks 14:
Case - Bæredygtig vækst i den colombianske svinesektor
Colombia er en vækstøkonomi med en årlig vækst på 5 pct. og en befolkning på over 50 mio.
mennesker. Middelklassens vækst og stigende efterspørgsel på svinekød har medvirket til en
fordobling af svinekødsproduktionen de seneste 10 år.
I perioden fra 2005-2016 har danske landmænd reduceret drivhusgasudledninger fra grise- og
grisekødsproduktion med 25 pct. (L&F, 2020). Gennem det dansk-colombianske
myndighedssamarbejde, deler Danmark sine erfaringer om bæredygtige forhold inden for
svineproduktion med Colombia.
Det dansk-colombianske samarbejde begyndte i 2016 og har haft fokus
på dyrevelfærd, antibiotikaresistens og udarbejdelse af en national fødevarekontrolplan, som
har til formål at forbedre fødevaresikkerheden.
Sundheds- og fødevaremyndighederne i Columbia har i 2021 udviklet fællesprincipper for
fødevarekontrol for at forbedre fødevaresikkerheden og dermed undgå tab af fødevarer.
Ligeledes har fødevaremyndigheder fra alle regioner i Colombia i 2021 afholdt
beredskabsøvelse med fokus på afrikansk svinepest. Afrikansk svinepest kan have
katastrofale konsekvenser for svinekødsproduktionen, og et stærkt beredskab kan derfor
være et effektivt værn mod store produktionstab med drivhusgasudledninger til følge.
KEF, Alm.del - 2021-22 - Bilag 310: Orientering om offentliggørelse af Global Afrapportering 2022
2566433_0069.png
14. GLOBALE KLIMATILPASNINGSINDSATSER
69
14 Globale klimatilpasningsindsatser
Ifølge den langsigtede strategi for global klimaindsats arbejder Danmark for at
inspirere og drive tilpasnings- og modstandsdygtighedsinitiativer i
klimakampen via både udviklingssamarbejdet og eksportfremmeindsatsen.
GA22 fokuserer på Danmarks bidrag til klimatilpasningsindsatser støttet
gennem både bilaterale og multilaterale kanaler som del af klimabistanden i
2021. Konkret belyses centrale resultater for klimatilpasningsindsatser i 2021
63
.
14.1
Hovedresultater
Klimabistanden målrettet klimatilpasningsindsatser
64
udmøntes efter
tilpasningsmålsætningerne i Danmarks nye udviklingspolitiske strategi
Fælles om
verden
og regeringens langsigtede strategi for global klimaindsats. Klimabistanden til
tilpasningsindsatser kan grupperes inden for fire områder, der konkretiserer
målsætningerne. Tre af disse områder belyses i dette kapitel, jf. Tabel 5, mens det
fjerde område
eksportfremmeindsatsen
belyses nærmere i kap. 16.
Tabel 5:
Udvalgte tilpasningsindsatser finansieret via klimabistanden
Område
Øget modstandsdygtighed over for
klimaforandringerne for de mest
sårbare mennesker og grupper i de
mindst udviklede lande:
Fattige og
marginaliserede mennesker og grupper i
de mindst udviklede lande rammes
hårdest af klimaforandringer og
naturforringelser (IPCC, Special Report
on the Ocean and Cryosphere in a
Changing Climate, 2019). Derfor har
Danmark en klar målsætning om at
styrke indsatsen for klimatilpasning og
modstandsdygtighed over for især disse
grupper. Det sker bl.a. gennem bidrag til
en række fonde, der sammentænker
klimahensyn med hensynet til de mest
sårbare.
Adgang til rent vand
er en
menneskerettighed og en fundamental
forudsætning for at opnå ordentlige
levevilkår samt modstandsdygtighed
over for klimaforandringer. Forbedret
adgang til rent vand i Afrika er derfor et
vigtigt fokusområde for Danmark. Med
Udvalgte resultater ift. område
Støtte til Den Grønne Klimafond (GCF)
Danmarks har støttet GCF med 555 mio. kr. GCF er verdens
største fond dedikeret til reduktions- og tilpasningsindsatser.
Knap 60 pct. af fondens støtte til klimatilpasning går til de mest
sårbare lande. GCF’s klimatilpasningsindsatser fokuserer bl.a. på
støtte til formulering af nationale tilpasningsplaner.
Støtte til Fonden for de mindst udviklede lande (LDCF)
Danmark er blandt de seks største donorer til LDCF. På COP26
lovede Danmark yderligere 100 mio. kr. i støtte til fonden. Støtten
var en del af udmøntningen af de 100 mio. kr. i ekstra
klimabistand, der blev vedtaget som en del af aftaler om
finansloven for 2021. LDCF er målrettet klimatilpasning i de
mindst udviklede lande, hvoraf størstedelen er i Afrika.
Bilaterale indsatser skal give forbedrede vandadgange
Bilateralt har Danmark igangsat indsatser sammen med en
række partnerlande bl.a. Burkina Faso og Uganda
65
. Indsatsen
forventes at give cirka 1,4 mio. nye eller forbedrede vandadgange
i Afrika frem mod 2025.
Støtte til den Afrikanske Vandfacilitet
tager udgangspunkt i baggrundsnotatet om
Tilpasningsindsatser støttet via klimabistand og eksportfremme.
Klimatilpasning er en proces for tilpasning til aktuelle eller forventede klimaforandringer og deres konsekvenser.
Klimatilpasning handler dermed om at forebygge og begrænse konsekvenserne af klimaforandringer. Et begreb knyttet
tæt til klimatilpasning er modstandsdygtighed, som i denne kontekst er kapaciteten hos mennesker eller naturlige
systemer til at tilpasse sig eller transformere som reaktion på risici, der skabes eller forværres af klimaforandringer.
Definitionerne er udarbejdet af IPCC.
65
Flere danskstøttede aktiviteter i Burkina Faso er pt. sat i bero grundet militærkuppet i januar 2022.
64
63
Kapitlet
KEF, Alm.del - 2021-22 - Bilag 310: Orientering om offentliggørelse af Global Afrapportering 2022
2566433_0070.png
14. GLOBALE KLIMATILPASNINGSINDSATSER
70
aftale om finanslov for 2021 (FL21) har
regeringen afsat 625 mio. kr. dedikeret
til vandindsatser, hvilket er mere end
dobbelt så meget som det foregående
år.
Fremme af indsatser der
sammentænker klima, miljø og
biodiversitet.
Gennem støtte til bl.a.
multilaterale udviklingsbanker og
civilsamfundsorganisationer søger
Danmark at fremme naturbaserede
løsninger
66
, der har til formål at løse
udviklingsudfordringer som fattigdom,
fødevareusikkerhed, adgang til rent
vand, klimaforandringer, naturkatastrofer
og biodiversitetstab gennem bevarelse
og genopretning af vigtige økosystemer.
Allerede i dag er der udbredt sult og
fattigdom, som de eksisterende
fødevaresystemer ikke tager hånd om,
samtidig med at klodens ressourcer er
hårdt pressede. En situation der
forværres alene med den stadigt
voksende befolkning.
Kilde: Udenrigsministeriet
I 2021 er der igangsat en markant indsats gennem den
Afrikanske Vandfacilitet under den Afrikanske Udviklingsbank,
hvor Danmark har bidraget med 199,5 mio. kr. Indsatsen
forventes at give ny eller forbedret adgang til rent drikkevand og
sanitet til ca. 1.mio. mennesker i Sahel og Afrikas Horn.
Genopretning af mangroveskove i Indonesien
Danmark har bl.a. gennem Verdensbanken støttet med 35 mio.
kr. til bevarelse og genopretning af mangroveskov i Indonesien.
Det er en naturbaseret løsning, der sikrer mod oversvømmelser
og flodbølger, reducerer udledningerne af drivhusgasser, styrker
biodiversiteten og samtidig også forbedrer livsgrundlaget for
lokalbefolkningen.
Første FN fødevaretopmøde
FN afholdt sit første Fødevaretopmøde i 2021. Danmark var
særligt aktiv i arbejdet inden for sund kost/klimarigtige kostråd,
afskovning, anti-mikrobiel resistens, fødevaretab/spild samt
forebyggelse af sult og skolemadsprogrammer. Opfølgning af
topmødet finder primært sted via landes gennemførelse af
nationale planer (pathways). Ambitionen om at skabe
fødevaresystemer, der på en gang kan brødføde verdens
voksende befolkning på en sund måde samtidig med, at der
tages hensyn til klimaet og sikres gode levevilkår for de mange
producenter, er en vigtig prioritet i de kommende år.
Fremme af klimatilpasning i de forskellige lande, som Danmark er involveret i, kan
rumme mange forskelligartede indsatser. I baggrundsnotatet om tilpasningsindsatser
er det eksemplificeret med detaljerede beskrivelser af indsatsen i Uganda og Burkina
Faso. Her præsenteres et par konkrete eksempler på indsatserne i de to lande.
Boks 15:
Case vedr. øget modstandsdygtighed gennem støtte til landbruget
I det nordlige Uganda arbejder Danmark for at øge modstandsdygtighed for 200.000 småbønder
og flygtninge gennem bl.a. støtte til udvikling af landbruget med fokus på klimatilpasning og
undervisning i klimasikre dyrkningsmetoder. Det har bl.a. medført, at brugen af tørkeresistent
såsæd er gået fra 5 pct. til 70 pct. efter den danskstøttede intervention. Indsatsen er i 2021 nået
ud til 114.000 bønder. Hver landmand har modtaget mindst 20 undervisningsgange årligt, og en
stor del af programmets 350 landbrugsrådgivere bor selv i landsbyerne. En konsulentanalyse fra
2020 viste, at udbyttet fra landbruget er steget, og at både lokalbefolkningen og flygtninge har
oplevet øget levestandard og ernæring som følge af programmet.
66
Tiltag til at beskytte, bæredygtigt administrere og gendanne naturlige eller modificerede økosystemer, håndtere
samfundsmæssige udfordringer effektivt og adaptivt på samme tid og give fordele for mennesker og biodiversitet
(IUCN).
KEF, Alm.del - 2021-22 - Bilag 310: Orientering om offentliggørelse af Global Afrapportering 2022
2566433_0071.png
14. GLOBALE KLIMATILPASNINGSINDSATSER
71
Boks 16:
Case vedr. vandindsatsen i Burkina Faso
Danmark har i 2021 og frem til militærkuppet i januar 2022 arbejdet sammen med det
burkinske Vand- og Sanitetsministerium om at fremme forvaltningen af vand. Projektet har
støttet den nationale vandstrategi, der har til formål at sikre bæredygtig adgang til vand og
sanitet til alle. Formålet med projektet var at integrere forvaltning af vandressourcer med
mekanismer, der kan forebygge konflikter, der opstår i forbindelse med vandanvendelse.
Ligeledes har projektet fokuseret på at tilpasse forvaltningen af vandressourcer til
klimaforandringer. 220 landsbyer og 675.757 mennesker har i perioden 2016-2020 fået
adgang til rent vand som følge bidrag fra bl.a. Danmark. Derudover er mere end 600 km
flodbredder blevet beskyttet, og forskellige initiativer som plantning af planter og opbygning
af stenbarrierer er blevet iværksat som led i beskyttelsen af landets overfladevand.
KEF, Alm.del - 2021-22 - Bilag 310: Orientering om offentliggørelse af Global Afrapportering 2022
2566433_0072.png
15. KLIMABISTAND, KLIMAFINANSIERING OG INVESTERINGER
72
15 Klimabistand, klimafinansiering og
investeringer
Dette kapitel redegør kvantitativt for omfanget af dels Danmarks klimabistand og
dels af den klimafinansiering, som Danmark mobiliserer gennem bl.a. de
multilaterale udviklingsbanker. Ligeledes afrapporteres der på offentlig dansk
finansiering af internationale investeringer og projekter, der har både positive
og negative effekter på klimaet
67
.
Med afrapporteringen på investeringer internationalt rapporteres der på den del af den
langsigtede strategi for global klimaindsats, som fastlægger Danmarks arbejde for at
accelerere et skift fra sorte til grønne klimavenlige investeringer på alle niveauer og i
alle landegrupper.
15.1
15.1.1
Hovedresultater
Danmarks klimabistand og mobiliserede klimafinansiering er stigende
Klimabistanden udgjorde i 2020 lidt mere end 2 mia. kr., hvoraf ca. 56 pct. gik til
klimatilpasningsindsatser og ca. 44 pct. til reduktionsindsatser, jf. Tabel 6. Ydermere
kan 378 mio. kr. i klimabistand gennem EU’s globale instrumenter i 2020 tilskrives
Danmark. Samtidig har Danmark mobiliseret ca. 1,3 mia. kr. i klimafinansiering til
udviklingslande gennem IFU og ca. 3,5 mia. kr. gennem de multilaterale
udviklingsbanker, jf. Tabel 6.
Tabel 6:
Oversigt over Danmarks samlede klimabistand og mobiliseret klimafinansiering 2018-
2020
I mio. kr.
2018
2019
2020
(mio. kr.)
Klimabistand i alt
Klimabistand i pct. af udviklingsbistand
68
Tilpasning i pct. af klimabistanden
Klimabistand mobiliseret gennem EU’s globale
instrumenter
69
Klimafinansiering mobiliseret gennem IFU
Klimafinansiering mobiliseret gennem
multilaterale udviklingsbanker
1.154
8,4 pct.
53 pct.
384
(mio. kr.)
2.161
15,1 pct.
41 pct.
362
(mio. kr.)
2.036
13,7 pct.
56 pct.
378
614
3.500
675
3.500
1.269
3.500
Kapitlet tager udgangspunkt i baggrundsnotaterne om hhv.
Klimafinansiering
og
Finansiering af investeringer
internationalt.
68
§ 06.3 på finansloven.
69
Danmark støtter også klimaaktiviteter i udviklingslandene gennem EU’s klimabistand. EU’s klimabistand formidles
gennem EU’s forskellige globale instrumenter for naboskab, udviklingssamarbejde og international samarbejde.
67
KEF, Alm.del - 2021-22 - Bilag 310: Orientering om offentliggørelse af Global Afrapportering 2022
2566433_0073.png
15. KLIMABISTAND, KLIMAFINANSIERING OG INVESTERINGER
73
Samlet
5.652
6.698
7.183
Kilde: Udenrigsministeriet 2022. Anm.: Faktiske tilsagn til nye bevillinger til klimaprojekter i udviklingslandene indgået i
perioden fremgår af baggrundsnotatet om
Klimafinansiering
Danmarks samlede klimabistand er i perioden 2009 til 2020 steget fra 493 mio. kr. i
2009 til lidt over 2 mia. kr. i 2020, men med store udsving hen over årene. Der er
historisk tilstræbt en balance mellem indsatser, som støtter tilpasning til effekterne af
klimaforandringerne, og indsatser, som sigter mod at reducere udledninger over årene.
I gennemsnit er ca. 45 pct. gået til tilpasning og 55 pct. til reduktion hen over årene.
Danmark har i 2021 besluttet, at klimabistanden skal udgøre mindst 25 pct. af
udviklingsbistanden til udviklingslande
70
fra 2023 til udviklingslande over §06.3. Heraf
skal mindst 60 pct. gå til klimatilpasningsprojekter med særlig vægt på de fattigste og
mest sårbare udviklingslande. På baggrund af denne beslutning forventes Danmarks
samlede bidrag til at mobilisere finansiering til klimainvesteringer i udviklingslandene
fra 2023 at udgøre mindst 1 pct. af de udviklede landes kollektive mål om at mobilisere
100 mia. USD årligt
71
. Danmark meldte sin nye politiske målsætning om finansiering,
herunder af klimatilpasning, ud forud for COP26 og indgik sammen med en række
donorlande i dannelsen af Champions Group for Adaptation Finance, der presser på for
øget finansiering til tilpasning.
15.1.2
Staten bidrager med finansiering til grønne projekter internationalt
Staten er ejer eller medejer af en række finansielle institutioner, som kan bidrage med
finansiering til projekter, det kan være vanskeligt at få finansieret udelukkende via
private midler, typisk fordi der er usikkerheder forbundet med projekterne. Den
offentlige finansiering er med til at mindske risikoen ved projektet og dermed
mobilisere privat finansiering, så investeringen kan realiseres.
De væsentligste danske finansielle institutter med internationalt fokus er Danmarks
Eksportkredit (EKF), Investeringsfonden for Udviklingslande (IFU) og de multilaterale
banker, som Danmark er medejer af. Regeringen besluttede i 2021 at stoppe offentlig
dansk finansiering og eksportfremmeydelser til fossile brændsler i energisektoren i
udlandet. Stoppet trådte i kraft i starten af 2022
72
.
Aktiviteterne i EKF og IFU belyses nærmere i det følgende. Ift. de multilaterale banker
arbejder Danmark aktivt for at fremme og konkretisere de multilaterale
udviklingsbankers grønne ambitionsniveau gennem øget finansiering til fx vedvarende
energi og energieffektivitet samt udfasning af deres finansiering til fossile
energiprojekter. Flere multilaterale banker skærpede deres politikker i 2021, herunder
Over §06.3 på finansloven.
Siden COP15 i 2009 har Danmark endvidere været forpligtet til at bidrage til den kollektive målsætning for de
udviklede lande om at øge mobilisering af klimafinansiering fra forskellige kilder, herunder private investorer, til at nå et
niveau på mindst 100 mia. USD årligt i 2020. Målsætningen blev i forbindelse med Parisaftalen udvidet til at gælde frem
til 2025.
72
Der er dog visse naturgasrelaterede projekter, der er undtaget for stoppet frem til 2025 på betingelse af, at en række
krav er opfyldt.
71
70
KEF, Alm.del - 2021-22 - Bilag 310: Orientering om offentliggørelse af Global Afrapportering 2022
2566433_0074.png
15. KLIMABISTAND, KLIMAFINANSIERING OG INVESTERINGER
74
Verdensbanken, den Asiatiske Udviklingsbank og Den Europæiske Bank for
Genopbygning og Udvikling (EBRD).
15.1.2.1 Vedvarende energi udgør den største andel af eksportfinansieringen via Danmarks
eksportkredit (EKF)
EKF understøtter dansk eksport og internationalisering ved at udstede
eksportkreditgarantier og bidrager dermed til at sikre danske virksomheder mod de
økonomiske og politiske risici, der kan være forbundet med at eksportere til andre
lande.
EKF har i perioden 2017-2021 haft et højt aktivitetsniveau inden for vedvarende energi,
jf. Tabel 7.
Tabel 7:
EKF's samlede internationale aktiviteter opgjort på sektor, mio. kr.
Teknologisk fordeling
Energiproduktion
-
-
Industri
Infrastruktur
Landbrug
Andet
I alt
Vedvarende energi
Fossile brændsler
2017
2018
2019
6.398
6.284
114
338
1.990
522
173
9.421
22.438
21.879
558
887
4.955
77
288
28.645
11.135
11.135
-
227
710
305
193
12.570
2020
8.948
8.948
-
816
6.919
338
560
17.581
2021
9.593
9.593
-
1.102
4.487
96
2.290
17.568
Anm.: Tallene viser EKF’s samlede internationale aktiviteter. Der kan forekomme afvigelser ift. EKF’s officielle regnskab.
Kilde: EKF Danmark Eksportkredit
Ift. EKF’s samlede aktiviteter i perioden 2017-2021, er vedvarende energi den sektor,
der udgør langt den største andel (67 pct.), mens infrastruktur også udgør en væsentlig
del. Fossile brændsler udgør en meget begrænset andel (<1 pct.).
EKF arbejder på at udvikle en metode til at kvantificere klimaftrykket af deres
aktiviteter. Projektet forventes afsluttet i løbet af 2022, hvorefter EKF kan foretage
kvantitative målinger af aktiviteternes klimaaftryk.
15.1.2.2 IFU har for første gang opgjort klimaaftrykket fra sine investeringer
IFU tilbyder risikovillig kapital til finansielt bæredygtige virksomheder, der bidrager til
grøn omstilling samt økonomisk og social udvikling i investeringslandene.
IFU forvalter bl.a. Klimainvesteringsfonden og Verdensmålsfonden, der begge er
eksempler på investeringspartnerskaber mellem offentlige og private aktører, som
medvirker til at realisere projekter i udviklingslande.
KEF, Alm.del - 2021-22 - Bilag 310: Orientering om offentliggørelse af Global Afrapportering 2022
2566433_0075.png
15. KLIMABISTAND, KLIMAFINANSIERING OG INVESTERINGER
75
IFU’s samlede portefølje udgjorde i 2020 investeringer for 5070 mio. kr.
73
I 2021
opgjorde IFU for første gang det samlede klimaaftryk fra sine investeringer for
porteføljen i 2020. Opgørelsen viser, at IFU’s samlede klimaaftryk lå på knap 740.000
ton CO
2
e i 2020, og at det især var investeringer i cement og landbrug, der bidrog til
udledningerne, jf. Tabel 8. Klimaaftrykket fra investeringer i vedvarende energi skyldes
udledninger fra produktion og opførelse af anlæggene. Samlet set var 21 pct. af IFU’s
totale investeringer i 2020 i vedvarende energi, 16 pct. i fonde
74
og 16 pct. i finansielle
institutioner
75
, mens 2 pct. var i cementanlæg og 1,3 pct. i energianlæg baseret på
fossile brændsler.
Tabel 8:
IFU’s totale investeringer fordelt på sektorer baseret på klimaaftryksberegninger
Sektor opdeling
Procentvis fordeling
af IFU’s udestående
kapital i 2020 fordelt
per sektor ( i pct.)*
21,3 pct.
1,3 pct.
0,8 pct.
2,2 pct.
8,3 pct.
4,6 pct.
10,9 pct.
13,9 pct.
16,2 pct.
5,6 pct.
16,2 pct.
100 pct.
Klimaaftryk
2020
(tCO
2
e/år)**
Procentvis fordelingen
af klimaaftryk fordelt
per sektor (2020)
Intensitet
(tCO
2
e/DKK)
- Energi
Vedvarende energi
- Energi
Fossile brændsler
Gødning
Cement
Landbrug (dyrehold)
Landbrug (andet)
Hotel, restaurant og
ejendomme
Andet industri
Fonde (andre fonde
end forvaltet af IFU)
Microfinans fonde
Finansielle
institutioner
Total
16.701
14.610
2,3 pct.
2 pct.
10,5 pct.
23,7 pct.
10,4 pct.
0,4 pct.
2,9 pct.
9,5 pct.
15,5 pct.
13 pct.
9,8 pct.
100 pct.
21
218
1993
1587
229
11
39
100
140
340
95
151
77.469
175.473
77.183
2.659
21.680
69.898
114.910
96.155
72.604
739.340
Kilde: IFU. Anm.: *Fordeling af IFU’s udestående kapital for den samlede portefølje fordelt på sektorer. Anm.: **
Klimaaftryk indeholdende scope 1,2 og 3 emissioner og opgjort ift. IFU’s andel af investeringen.
Fratrukket investeringer i inaktive selskaber og investeringer i udviklingsprojekter.
IFU’s investeringer i fonde er fx fonde, der har et sektor fokus eller et geografisk fokus.
75
IFU’s investeringer i finansielle institutioner er fx investeringer i banker.
73
74
KEF, Alm.del - 2021-22 - Bilag 310: Orientering om offentliggørelse af Global Afrapportering 2022
2566433_0076.png
16. SAMARBEJDE MED ERHVERVSLIVET OM GRØNNE LØSNINGER
76
16 Samarbejde med erhvervslivet om
grønne løsninger
Ifølge den langsigtede strategi for global klimaindsats arbejder Danmark for, at
den danske globale klimaindsats skal have erhvervslivet med og sikre, at
danske løsninger leverer for både danskerne og ude i verden. Det sker både
gennem konkret støtte til, at erhvervslivet kan afsætte sine grønne produkter
globalt, og gennem udviklingen af rammer og regulering, der kan understøtte
det grønne fokus i erhvervslivet overordnet set. Her belyses en række udvalgte
initiativer
76
.
16.1
16.1.1
Hovedresultater
Regeringens eksportordning skal åbne døre for dansk erhvervsliv
Danmark har i 2021-23 etableret en eksportordning på vandområdet, som bl.a. har til
formål at gennemføre
Vandeksportstrategien
77
,
påvirke lokale rammevilkår og åbne
døre for dansk erhvervsliv. Derudover har Danmark indgået bilaterale samarbejder på
vand- og miljøområdet med syv udviklingslande, herunder Indien, Kina og Sydafrika, og
fra 2021 og til 2023 med yderligere fem OECD-lande, herunder USA og Tyskland
78
.
Det bliver lettere for virksomheder at investere bæredygtigt
EU’s taksonomiforordning skal sikre en ensartet klassifikation af grønne og
miljømæssigt bæredygtige aktiviteter på tværs af det europæiske marked og dermed
gøre det lettere for investorer at identificere bæredygtige investeringer og finansielle
produkter. Danmark har fra starten støttet op om udviklingen af taksonomien, da den
anses for at kunne bidrage til at facilitere de nødvendige bæredygtige investeringer i
den grønne omstilling.
I 2021 blev taksonomiens tekniske screeningskriterier for økonomiske aktiviteter
relateret til klima vedtaget af Kommissionen. Screeningskriterierne definerer, hvornår
økonomiske aktiviteter kan betragtes som grønne og miljømæssigt bæredygtige.
Samlet omfattes 88 forskellige økonomiske aktiviteter, som bidrager væsentligt til
modvirkning af klimaændringer og 95 aktiviteter vedrørende tilpasning til
klimaændringer. EU-Kommissionen har i starten af 2022 lagt op til at inkludere
aktiviteter inden for atomkraft og naturgas i klimaretsakten, hvilket regeringen har
kæmpet imod – atomkraft pga. problematikkerne med radioaktivt affald og sikkerhed,
naturgas fordi det er et fossilt brændsel.
16.1.2
Kapitlet tager udgangspunkt i baggrundsnotaterne om
Klimadiplomati, Tilpasningsindsatser støttet via klimabistand
og
Finansiering af investeringer internationalt.
Små og mellemstore virksomheders globale klimaarbejde belyses i kapitel
11.
77
Regeringens eksportstrategi for vand der sætter rammen for den danske eksportindsats for vandområdet i de
kommende år.
78
Se baggrundsnotat om de
bilaterale miljøsamarbejder
for en uddybning af den bilaterale indsats på vand- og
miljøområdet.
76
KEF, Alm.del - 2021-22 - Bilag 310: Orientering om offentliggørelse af Global Afrapportering 2022
2566433_0077.png
16. SAMARBEJDE MED ERHVERVSLIVET OM GRØNNE LØSNINGER
77
Som led i implementeringen af taksonomiforordningen fastlagde Kommissionen i 2021
desuden en række rapporteringskrav. Disse krav skal gøre det muligt for de
virksomheder, som bliver omfattet af taksonomiforordningen at vurdere, hvordan og i
hvilket omfang deres aktiviteter lever op til taksonomiens kriterier for miljømæssig
bæredygtighed. Rapporteringskravene træder i kraft fra 1. januar 2022 og indfases i de
kommende år. Det er forventningen, at taksonomiforordningens rapporteringskrav i
Danmark vil omfatte ca. 60 store ikke-finansielle børsnoterede virksomheder og ca. 21
finansielle virksomheder samt ca. 1.300-1.400 finansielle produkter. Der vil blive set på
muligheder for at anvende taksonomien i forbindelse med kommende globale
afrapporteringer, når de største virksomheder er begyndt at afrapportere i henhold til
taksonomiforordningen.
16.1.3
Skærpet bæredygtighedsrapportering for virksomheder
EU-kommissionen fremsatte i april 2021 forslag til direktiv om virksomheders
bæredygtighedsrapportering (CSRD). Danmark støtter forslaget om at styrke
bæredygtighedsrapportering, der er et centralt led i omstillingen af europæisk
erhvervsliv til en bæredygtig økonomi. Med CSRD vil flere europæiske virksomheder
blive omfattet af reglerne om bæredygtighedsrapportering end i dag. Det fremgår af
forslaget, at standarderne skal præcisere de oplysninger, som virksomhederne skal
offentliggøre om miljøforhold, herunder klimaforandringer.
Virksomheder får hjælp til at fremme bæredygtige leverandørkæder
I september 2021 bevilgede regeringen 7,2 mio. kr. til et nyt Videncenter for
bæredygtige værdikæder under Dansk Initiativ for Etisk Handel (DIEH).
Værdikædecentret skal bl.a. understøtte arbejdet med at gøre danske virksomheders
værdi- og leverandørkæder mere bæredygtige og ansvarlige gennem vidensopbygning,
markedsanalyser og rådgivning. Bevillingen har særligt fokus på at understøtte de
eksisterende, branchespecifikke danske alliancer for bæredygtig produktion og handel
med hhv. soja og palmeolie.
Fokus på eksport af grønne og bæredygtige fødevarer
I efteråret 2021 igangsatte Udenrigsministeriet og Fødevareministeriet udarbejdelsen
af en ny strategisk handlingsplan for fødevareklyngens fremtidige eksport. Arbejdet
gennemføres i tæt partnerskab med erhvervet, som deltager aktivt. Handlingsplanen
forventes lanceret medio 2022. Handlingsplanen vil have et grønt og bæredygtigt
fokus. I foråret 2022 er der derfor bl.a. nedsat en task-force, der skal se på
mulighederne for at styrke afsætningen af plantebaserede fødevarer.
16.1.4
16.1.5
KEF, Alm.del - 2021-22 - Bilag 310: Orientering om offentliggørelse af Global Afrapportering 2022
2566433_0078.png
17. POLITISKE AFTALER MED GLOBAL EFFEKT
78
17 Politiske aftaler med global effekt
Nationale politiske aftaler kan, selv om de er tiltænkt en national, dansk kontekst,
have betydelige klimaeffekter uden for landets grænser, det der her kaldes
”globale effekter”. Det kan være reducerende globale klimaeffekter såsom
investeringer i ny grøn teknologi, der fremmer det globale marked for grønne
løsninger, eller eksport af grøn energi. Det kan dog også være, at effekter af en
politisk aftale vil øge de globale udledninger ved større efterspørgsel og dermed
produktion af klimabelastende varer i udlandet.
17.1
Hovedresultater
Der er besluttet 24 energi- og klimapolitiske aftaler
79
i 2021. Ud af dem vurderes 12 at
kunne have en klimaeffekt uden for Danmarks grænser.
De 12 klima- og energipolitiske aftaler fra 2021 vurderes både at have positive og
negative effekter på drivhusgasudledningerne i udlandet. Hvis den samme aftale
vurderes at have væsentlige modsatrettede effekter, er begge effekter beskrevet.
Nedenfor beskrives 4 politiske aftaler, der på forskellig vis vurderes at have en globale
klimaeffekt. De øvrige 8 klima-og energipolitiske aftaler fremgår af baggrundsnotatet
Nationale politiske aftaler med global effekt.
Tabel 9:
Vurdering af politiske aftaler med global klimaeffekt
Beskrivelse af aftale
Infrastrukturplan 2035 (28.06.2021)
Med aftalen afsættes 105,8 mia. kr. i
perioden 2022-2035 til initiativer på
transportområdet. Herunder også
initiativer der vil bidrage til den grønne
omstilling af transportsektoren såsom
forbedring af ladeinfrastruktur og bedre
kollektiv transport. Aftalen indeholder
også andre initiativer såsom vedligehold
og fornyelse af det danske vejnet.
Aftalen kan medføre øgede udledninger i udlandet, idet aftalen
formodes at øge den danske efterspørgsel efter materialer som
beton, stål og asfalt til anlæg af veje og andre anlæg. Anlæg af
veje kræver mange materialer, som til dels importeres til
Danmark fra udlandet. Både udvinding og transport af de
relativt tunge materialer er forbundet med øgede
drivhusgasudledninger i udlandet.
Vurdering af global klimaeffekt
79
Klima- og energipolitiske aftaler defineres som aftaler med væsentlige nationale klimaeffekter eller aftaler, hvor der i
aftaleteksten henvises til klimahensyn. Der er taget udgangspunkt i de aftaler, der indgår i regeringens Redegørelse for
klimaeffekter 2021.
KEF, Alm.del - 2021-22 - Bilag 310: Orientering om offentliggørelse af Global Afrapportering 2022
2566433_0079.png
17. POLITISKE AFTALER MED GLOBAL EFFEKT
79
Aftale om nye krav for anvendelsen af energiafgrøder til produktion af biogas (30.06.2021)
Med aftalen vil biogas i stigende grad produceres på
restprodukter såsom gylle i stedet for på energiafgrøder eller
fødevarer såsom majs eller roer. Aftalen kan reducere
drivhusgasudledningerne i udlandet, særligt dem der knytter sig
til majs-produktion. Ved at reducere den danske efterspørgsel
efter majs til biogasproduktion, kan majsen anvendes til andre
formål, og behovet for landbrugsarealet til dyrkning af majs
reduceres globalt. Dermed kan aftalen reducere de globale
drivhusgasudledninger gennem
ændringer i arealanvendelsen.
Aftalen sænker loftet for, hvor stor en
andel energiafgrøder, der må anvendes
ved produktion af biogas. Loftet sænkes
fra 12 til 8 pct. i 2022 og herefter gradvist
til 4 pct. i 2024. Desuden udfases majs
helt som energiafgrøde senest i 2025.
Principaftale for en køreplan for lagring af CO
2
(første del af en samlet CCS strategi (30.06.2021)) og
aftale om en køreplan for fangst, transport og lagring af CO
2
(anden del af en samlet CCS-strategi
(14.12.2021))
Aftalerne kan have betydelige globale reduktionseffekter. I det
omfang, der kommer international efterspørgsel efter CO
2
-
lagring, og aftalerne medfører, at Danmark kan udvide den
internationale kapacitet, vil aftalen understøtte lagring af CO
2
globalt og nationalt og kan dermed reducere CO
2
-indholdet i
atmosfæren. Opførsel af CCS-anlæg i Danmark kan øge de
globale drivhusgasudledninger ved import af anlægsmaterialer,
Delaftale 2
idet både udvinding, forarbejdning og fragt af materialer udleder
Aftalen omhandler langsigtet regulering til drivhusgasser. Sammenlignet med de globale
udrulning af CCS på markedsbaserede
reduktionseffekter, vurderes effekterne fra anlæggelse af CCS-
vilkår samt fremme af CCS på kort sigt
anlæg dog at være små. Samlet set vurderes aftalen derfor at
via. CCUS-pulje mm.
kunne reducere drivhusgasudledningerne i udlandet.
Aftale om grøn omstilling af dansk landbrug (04.10.2021)
Udtagning af dansk landbrugsjord kan lede til mindre
produktion i Danmark. Dermed er der potentielt mulighed for
ændringer i arealanvendelse i udlandet som følge af øget
landbrugsproduktion uden for Danmark. Aarhus Universitet
påpeger, at økologisk produktion er mere arealkrævende
(Kristensen, 2021), og fremme af økologisk produktion vil derfor
kunne føre til reduceret landbrugsproduktion i Danmark.
Fødevareministeriet vurderer, at såfremt de danske økologiske
produkter fortrænger konventionelle produkter i udlandet, vil det
lede til lækage, men såfremt de danske økologiske produkter
fortrænger økologiske produkter i udlandet vil det ikke lede til
lækage.
I aftalens udviklingsspor afsættes bl.a. midler til udvikling og
demonstration af teknologier med reduktionspotentiale inden
for landbruget. Hvis grøn landbrugsteknologi bliver billigere og
implementerbar, er det også til gavn for omstillingen i udlandet.
Dermed kan udviklingssporet reducere
drivhusgasudledningerne i udlandet gennem ændringer i prisen
og mulighederne generelt inden for grøn landbrugsteknologi.
Delaftale 1
Delaftalen fastsætter principper for
lagring af CO
2
i Danmark. Aftalen
igangsætter desuden yderligere
undersøgelser af nye lagringslokaliteter
for CO
2
i Danmark.
Aftalen skal understøtte den grønne
omstilling i land- og skovbrugssektoren
og sikre en forbedring af det danske
vandmiljø og bedre plads til naturen i
landbrugslandet.
Centralt for aftalen er princippet om, at
landbruget skal gøres mindre
klimabelastende med samme
produktionsniveau.
Aftalen indeholder centrale initiativer vedr.
bl.a. udtagning af lavbundsjord, mere
økologi, udviklingstiltag inden for nye
teknologier, plantebaserede fødevarer og
forbedret vandmiljø.
Kilde: Energistyrelsen. Anm.: Det er kun udvalgte politiske aftaler, der fremgår af denne tabel, de resterende otte, der er
vurderet, fremgår af baggrundsnotatet
Nationale politiske aftale med global effekt.
KEF, Alm.del - 2021-22 - Bilag 310: Orientering om offentliggørelse af Global Afrapportering 2022
2566433_0080.png
18. REFERENCER
80
18 Referencer
Advice. (2020).
De danske virksomheders klimaindsats 2020. .
Advice A/S.
AfDB. (2021b).
SEFA Annual Report 2021 (ikke offentlig endnu).
Bosselmann, e. a. (2022b).
Sojaforbrug i animalsk produktion og eksport af smågrise.
BP. (2019).
Statistical Review of World Energy .
Callesen, B. o. (2020).
Den danske import af soja 2017-2018: Hvor store arealer
beslaglægger den i producentlandene, og hvor stor andel af den importerede soja
anvendes til svine- og mælkeproduktion?
climateactiontracker. (2021).
Warming Projections Global Update.
Hentet fra
www.climateactiontracker.org:
https://climateactiontracker.org/documents/997/CAT_2021-11-
09_Briefing_Global-Update_Glasgow2030CredibilityGap.pdf
Consultants, B. (2021).
Complete dataset - LUC impact tool. Version 2021. .
Crippa, M., Oreggioni, G., Guizzardi, D., Muntean, M., Schaaf, E., Lo Vullo, E., . . . Vignati,
E. (2019).
Fossil CO2 and GHG emissions of all worlds countries .
Luxenborg:
JRC.
Danmarks Statistik. (november 2021). Data udtrukket via Statistikbanken november
2021 fra Danmarks Statistiks database, der løbende opdateres.
Danmarks Statistik. (2022).
ANI5: Slagtninger og produktion af svin efter kategori og
enhed. (tilgået februar 2022).
Danske Rederier. (10.. januar 2022). Mail fra Danske Rederier til Energistyrelsen.
Dansk-Energi. (2016).
Brancheaftale om sikring af bæredygtigt biomasse (træpiller og
træflis).
DE, D. E. (2021).
Klar til transparens? Danske virksomheders arbejde med
bæredygtighedsrapportering 2021.
Dansk Erhverv.
DEFB. (2021a).
Genstart af danske SMV’er 2021 .
Danmarks Erhvervsfremmebestyrelse.
DI. (2021).
Bæredygtighed – en vigtig konkurrenceparameter, DI analyse.
DI. (3. Marts 2022).
Klimaklar SMV.
Hentet fra Dansk Industri:
https://www.danskindustri.dk/klimaklarSMV/
Energistyrelsen. (2021).
Energistatistik 2020. .
Energistyrelsen
https://ens.dk/sites/ens.dk/files/Statistik/energistatistik2020.pdf.
KEF, Alm.del - 2021-22 - Bilag 310: Orientering om offentliggørelse af Global Afrapportering 2022
2566433_0081.png
18. REFERENCER
81
ENS. (2020).
Biomasseanalyse .
Energistyrelsen.
ENS. (2021).
Energistyrelsens Energistatistik 2020.
ENS. (2022).
Klimastatus og -fremskrivning 2022.
Energistyrelsen.
ENSb. (2021).
Klimastatus og -fremskrivning 2021.
ESI Africa, Z. G. (4.. Januar 2022).
Ganie Zeenat (2021) COP26: Donors show support for
SEFA with big cash donations.
Hentet fra Regional News Archives -
ESI.Africa.com: https://www.esi-africa.com/regional-news/
EU-Kommissionen. (2018).
Feasibility study on options to step up EU action against
deforestation: inventory of existing EU policies, legislation and initiatives
addressing the drivers of deforestation and forest degradation: final report. .
FAO. (2021).
Pre- and post-production processes along supply chains increasingly
dominate GHG emissions from agri-food systems globally and in most countries.
FAOSTAT. (2021).
Food and agriculture data. Food and Agriculture Organization of the
United Nations,. .
Fødevarer, L. &. (2021a).
Statistik 2020: Grisekød.
GEF. (3.. Januar 2022).
GEF corporate scoreboard december 2021.
Hentet fra The GEF:
https://www.thegef.org/sites/default/files/documents/2021-
12/GEF_Corporate_Scorecard_December_2021_12.pdf
HSB, e. (2021).
SMV’ernes tilstand 2021.
Danmarks Erhvervsfremmebestyrelse.
ICAO. (2019).
Working Paper, Assembly - 40th session, Executive Committee, Agenda
Item 16: Environment Protection - International Aviation and Climate Change -
Policy and Standardizations .
ICCT. (2019).
CO2 EMISSIONS FROM COMMERCIAL AVIATION, 2018. Working Paper
2019-16.
International Council on Clean Transportation.
IEA. (2021).
India Energy Outlook 2021.
IEA. (Februar 2022). Hentet fra www.iea.org:
https://www.iea.org/commentaries/cop26-climate-pledges-could-help-limit-
global-warming-to-1-8-c-but-implementing-them-will-be-the-key
IMO. (2021).
Fourth Greenhouse Gas Study 2020.
IPCC. (2006).
IPCC Guidelines for National Greenhouse Gas Inventories.
Japan:
Prepared by the National Greenhouse Gas Inventories Programme, Eggleston
H.S., Buendia L., Miwa K., Ngara T., and Tanabe K. (eds). Published: IGES.
IPCC. (2019).
Special Report on the Ocean and Cryosphere in a Changing Climate.
KEF, Alm.del - 2021-22 - Bilag 310: Orientering om offentliggørelse af Global Afrapportering 2022
2566433_0082.png
18. REFERENCER
82
IPCC. (8. . April 2022).
IPCC 2006 Guidelines.
Hentet fra IPCC: https://www.ipcc-
nggip.iges.or.jp/public/2006gl/
JRC. (2021).
The use of woody biomass for energy production in the EU.
Joint Research
Centre. EU-Commission.
KEFM. (29. April 2022). Danmarks globale klimaaftryk. København.
Kristensen, e. a. (2021).
Videnssyntese om livscyklusvurderinger og klimaeffektivitet i
landsbrugssektoren: Del 2 Landbrugsproduktion.
IFRO.
L&F. (2020).
Bæredygtigt Landbrug.
Landbrug og Fødevarer.
MNRE. (5.. April 2021).
Offshore wind: Ministry of New and Renewable Energy.
Hentet
fra Ministry of New and Renewable Energy: https://mnre.gov.in/wind/offshore-
wind
NDC-Partnership. (4.. Januar 2022).
Partnership in action.
Hentet fra
https://pia.ndcpartnership.org/
Nielsen, A. T., Bentsen, N. S., & Nord-Larsen, T. (2022).
CO2 emissions from biomass
use in district heating and combined heat and power plants in Denmark.
IGN.
Pendrill, F. e. (2022).
Deforestation risk embodied in production and consumptionof
agricultural and forestry commodities 2005-18.
Regeringen. (2020).
En grøn og bæredygtig verden - regeringens langsigtede strategi for
global klimaindsats.
Trafikstyrelsen. (2021). Udtræk fra Luftfartsstatistikken leveret november 2021 af
Trafikstyrelsen. .
Tukker, A. e. (2018).
Towards robust authoritative assesments of environmental impacts
embodied in trade.
UCube, R. (2022).
Discovered resources, .
UM. (2021d).
Danish support to clean cooking and access to water in Africa through
ESMAP.
UNEP, U. N. (2021).
Emissions Gap Report 2020: The Heat Is On – A World of Climate.
KEF, Alm.del - 2021-22 - Bilag 310: Orientering om offentliggørelse af Global Afrapportering 2022
2566433_0083.png
ORDFORKLARINGER OG FORKORTELSER
83
Ordforklaringer og forkortelser
Ordforklaringer
Biobrændstoffer:
Brændstoffer som er produceret af biomasse. Hvis
biobrændstoffer er produceret på afgrøder, der alternativt kan anvendes til
fødevarer eller foder (fx raps, palmeolie, soja, etc.), kaldes de 1. generations
biobrændstoffer, og hvis de er produceret på affald, restprodukter eller
energiafgrøder (fx pil, elefantgræs, etc.), kaldes de 2. generations biobrændstoffer.
Biogen CO
2
-udledning:
Den CO
2
-udledning der er knyttet til forbrænding af biomasse.
Biomasse:
En fælles betegnelse for al organisk materiale, som dannes ved planters
fotosyntese og med solen som energikilde. I energisammenhænge er de mest
almindelige produkter halm, brænde, træflis, træpiller, træaffald, bionedbrydeligt affald
m.m. I GA defineres biobrændstoffer desuden også som biomasse.
Bunkre:
Bunkre = at tanke et fly eller skib – afledt af det engelske ord for det
brændstof, der påfyldes til international transport, som bliver kaldt ”bunker fuels”
CO
2
e-udledninger:
Drivhusgasser omfatter kuldioxid (CO
2
), metan (CH
4
), lattergas
(N
2
O) samt F-gasser. Gasserne har forskellig drivhuseffekt, men omregnes til CO
2
-
ækvivalenter (forkortet CO
2
e) ud fra gassens opvarmningspotentiale i et hundredårigt
perspektiv ift. til CO
2
. CO
2
e-udledninger er således en måde at opgøre
drivhusgasudledninger på, som muliggør en sammenlægning af forskellige
drivhusgasser med forskellig drivhuseffekt ift. gassens styrke, og hvor længe den er i
atmosfæren. Med enheden CO
2
e omregnes klimaeffekten af den enkelte gas til, hvad
effekten ville svare til opgjort i CO
2
.
Danmarks forbrugsbaserede klimaaftryk:
En opgørelse af de CO
2
e-udledninger som
kan tilskrives dansk forbrug af varer og serviceydelser. Opgørelsen indeholder både
udledninger i Danmark og udledninger i udlandet.
Dansk opererede fly/skibe:
Et fly eller skibs operatør (ikke nødvendigvis dets ejer)
bestemmer over besætning, konkrete ruter, hastighed, bunkring m.v.
Den finansielle sektor:
Omfatter bl.a. penge- og realkreditinstitutter, pensions- og
livforsikringsselskaber, skadesforsikringsselskaber, investeringsforeninger og
kapitalfonde.
Direkte udledninger (fra et virksomhedsperspektiv):
CO
2
e-udledninger fra kilder, der er
ejet eller kontrolleret af virksomheden. Det kan fx være udledninger fra forbrænding i
kedler eller køretøjer, der er ejet eller kontrolleret af virksomheden.
Direkte ændringer i arealanvendelse (direct Land Use Change – dLUC):
Ændringer i
brugen af et areal som er direkte forårsaget af et forbrug af en given vare. Det kan fx
være, at man rydder skov for at dyrke landbrugsafgrøder på et givent areal.
KEF, Alm.del - 2021-22 - Bilag 310: Orientering om offentliggørelse af Global Afrapportering 2022
2566433_0084.png
ORDFORKLARINGER OG FORKORTELSER
84
Drivhusgasprotokollen
(GHG Protokollen): En frivillig og globalt anerkendt standard til
at opgøre drivhusgasser. Den benyttes særligt af virksomheder. Protokollens formål er
at hjælpe med at afgrænse virksomheders direkte og indirekte CO
2
e-udledninger for at
sikre en ensartet måde at udregne det samlede klimaaftryk på.
Emissionsfaktor for udenlandsk el:
Emissionsfaktor (kg CO
2
/MWh el) for den el i
udlandet, der marginalt fortrænges eller merproduceres frem mod 2030, hvis Danmark
øger eller mindsker nettoeeleksporten.
Energiserviceeksport:
Eksport af rådgivning/viden fra rådgivende
ingeniørvirksomheder og anden teknisk rådgivning fra energiteknologiproducerende
virksomheder. Det omfatter fx energiplanlægning, vedvarende energi og andre
energiopgaver.
Energiteknologi:
Produkter der bruges i forbindelse med energiområdet fx inden for
områderne fjernvarme, bioenergi, vindenergi eller energibesparende udstyr.
Energiøer:
”øer” hvor strømmen fra mange havmølleparker samles og føres direkte fra
energiøen til flere lande. Med klimaaftalen for energi og industri fra juni 2020 blev det
besluttet, at Danmark skal etablere 5 GW ny havvind samt understøttende
eltransmissionsforbindelser.
Globale udledninger:
Summen af udledninger fra alle verdens lande opgjort efter FN’s
opgørelsesmetoder, herunder også udledninger fra international transport.
Grøn energiteknologi:
To grønne erhvervsområder som er defineret af Eurostat: 1)
Udnyttelse af vedvarende energi – dvs. varer og teknologier forbundet med vindkraft
(onshore og offshore), omdannelse af biomasse til bioenergi, jordvarme, bølgekraft og
solenergi. 2) Bedre udnyttelse af energi – dvs. varer og teknologier forbundet med
elbesparende teknologier, energistyring og -lagring, grønne transportløsninger,
kraftvarmeteknologi, varmepumper osv.
Grønne investeringer:
Investeringer i virksomheder eller projekter som har til formål at
fremme den grønne omstilling. Det kan fx være i vindmølleparker eller i virksomheder,
der producerer grøn energiteknologi eller andre teknologier, produkter eller services,
der bidrager til den grønne omstilling.
Hypotetisk klimaeffekt:
Den klimaeffekt, der potentielt kan komme fra brugen af en
given (klima)løsning. Det er dermed en mulig ”undgået CO
2
e-udledning” (avoided
emissions).
iLUC-effekt:
Den klimamæssige effekt som er knyttet til indirekte ændringer i
arealanvendelser. Den klimamæssige effekt består i, at jordens og vegetationens
kulstofbalancer påvirkes, når arealanvendelsen ændres. Når disse balancer påvirkes,
har det klimamæssige konsekvenser.
KEF, Alm.del - 2021-22 - Bilag 310: Orientering om offentliggørelse af Global Afrapportering 2022
2566433_0085.png
ORDFORKLARINGER OG FORKORTELSER
85
Indirekte udledninger (fra et virksomhedsperspektiv):
CO
2
e-udledninger fra
virksomhedens leverandører eller kunder som er en konsekvens af virksomhedens
aktiviteter.
Indirekte ændringer i arealanvendelse (indirect Land Use Change - iLUC):
Den
arealændring som sker indirekte, når fx et landbrugsareal omlægges til dyrkning af fx
energiafgrøder. Eftersom det antages, at den globale efterspørgsel efter
landbrugsvarer efter denne omlægning vil være uændret, indebærer det teoretisk set, at
det bliver attraktivt at dyrke landbrugsafgrøderne andetsteds. Det kan derfor medføre
ændringer i arealanvendelser som fx skovrydning.
IO-tabeller (input-output tabeller):
Statistiske tabeller der i monetære enheder
beskriver, hvordan brancherne i en given økonomi (fx den danske) hhv. køber og sælger
varer og serviceydelser fra og til hinanden.
Klimaeffekt:
Den større eller mindre CO
2
e-udledning der kommer fra en konkret
handling.
Klimaneutralitet:
Balance mellem CO
2
-udslippet og absorberingen af CO
2
fra
atmosfæren til kulstofdræn, dvs. verdens drivhusgasudslip opvejes af kulstofbinding.
Klimapartnerskaberne
er etableret i 2019 af regeringen som led i den danske
klimaindsats. Der er etableret klimapartnerskaber indenfor 13 af erhvervslivets
sektorer, hvor erhvervslivet igennem erhvervsorganisationerne skal komme med input
til, hvordan Danmarks 70 pct. reduktionsmål kan opnås. Klimapartnerskaberne er:
Affald og vand, Cirkulær økonomi; Bygge- og anlægssektoren; Det Blå Danmark; Energi-
og forsyningssektoren; Energiintensiv industri; Finanssektoren; Fødevare- og
landbrugssektoren; Handel; Landtransport; Life science og biotech; Lufttransport;
Produktionsvirksomhed samt Service, IT og rådgivning.
Kulstofdræn:
Systemer der absorberer mere CO
2
, end de udleder. De vigtigste
kulstofdræn er jordbunden, skovene og havene.
Miljøteknologi:
Produkter der bruges i forbindelse med miljøområdet herunder inden
for områderne ren luft, vand og affald.
Nettoeleksport:
Eksport af el over en periode (typisk et år) fratrukket import af el. Er
nettoeleksporten negativ har der i perioden været større import end eksport.
Respiration:
Biokemisk proces hvorved levende celler udvinder kemisk energi fra ilt og
organiske forbindelser. Ved respiration dannes der CO
2
og vand som produkter.
Taksonomi:
I GA22 henviser ordet taksonomi til den taksonomi, som EU-
Kommissionen har udarbejdet som led i Kommissionens arbejde med at sætte fokus
på bæredygtige investeringer. Taksonomien er her et klassifikationssystem for
miljømæssigt bæredygtige økonomiske aktiviteter.
KEF, Alm.del - 2021-22 - Bilag 310: Orientering om offentliggørelse af Global Afrapportering 2022
2566433_0086.png
ORDFORKLARINGER OG FORKORTELSER
86
Territoriale direkte CO
2
e-udledninger (fra et virksomhedsperspektiv):
CO
2
e-
udledninger fra kilder der er ejet eller kontrolleret af virksomheden, og som udledes i
Danmark.
Territoriale udledninger:
De drivhusgasudledninger der opgjort efter FN’s
opgørelsesmetoder udledes inden for et lands nationalt fastsatte grænser. Kaldes også
de nationale udledninger.
Vareeksport:
Virksomheders salg af produkter til udlandet.
Ændringer i arealanvendelse (Land-Use Change - LUC):
En overordnet betegnelse der
dækker over ændringer i brugen af areal. Det kan fx være, når et landbrugsareal
omlægges til dyrkning af energiafgrøder, eller når regnskov ryddes til dyrkning af
landbrugsafgrøder. Betegnelsen forholder sig ikke til, hvad ændringen i
arealanvendelsen er forårsaget af. Ændringer i arealanvendelser kan både være direkte
og indirekte knyttet til et givent forbrug.
Forkortelser
BNP
CO
2
e
DCE
DGIF
EKF
EUDP
FUD
GA22
HVO
IFU
IRENA
LULUCF
MUDP
Bruttonationalprodukt
CO
2
-ækvivalenter
Nationalt Center for Miljø og Energi, Aarhus
Universitet
Danmarks Grønne Investeringsfond
Danmarks Eksportkreditfond
Det Energiteknologiske Udviklings- og
Demonstrationsprogram
Forskning, udvikling og demonstration
Global Afrapportering 2022
Hydrotreated vegetable oil (brintbehandlet
bioolie)
Investeringsfonden for udviklingslande
The International Renewable Energy Agency
Land Use, Land-Use Change and Forestry
Det Miljøteknologiske Udviklings- og
Demonstrationsprogram
KEF, Alm.del - 2021-22 - Bilag 310: Orientering om offentliggørelse af Global Afrapportering 2022
2566433_0087.png
87
NDC
National Determined Contribution
(reduktionsforpligtelse under
Klimakonventionen)
Organisation for Economic Co-operation and
Development
Peta Joule, 1.000.000 GJ eller 277.778 MWh
Power-to-X
Task Force on Climate-related Financial
Disclosures
Tera Watt-timer, 1.000.000 MWh.
US dollars, amerikanske dollars
Vedvarende energi
OECD
PJ
PtX
TCFD
TWh
USD
VE
KEF, Alm.del - 2021-22 - Bilag 310: Orientering om offentliggørelse af Global Afrapportering 2022
2566433_0088.png
OVERSIGT OVER BILAG OG BAGGRUNDSMATERIALE TIL GLOBAL AFRAPPORTERING 2022
88
Oversigt over bilag og
baggrundsmateriale til Global
Afrapportering 2022
Bilag:
-
-
Bilag 1: Juridisk baggrund for den globale afrapportering
Bilag 2: xxx
Baggrundsmateriale:
-
-
-
-
-
-
-
-
-
-
-
-
-
-
-
-
-
-
-
Baggrundsnotat 1: Danmarks forbrugsbaserede klimaaftryk
Baggrundsnotat 2: Danmarks forbrugsbaserede udledninger relateret til
ændringer i arealanvendelse
Baggrundsnotat 3: Danmarks forbrug af biomasse
Baggrundsnotat 4: Danmarks forbrug af biobrændstoffer
Baggrundsnotat 5: Danmarks import
Baggrundsnotat 6: Danmarks eksport
Baggrundsnotat 7: International transport (sø- og luftfart)
Baggrundsnotat 8: Eludveksling
Baggrundsnotat 9: Danmarks import og forbrug af soja
Baggrundsnotat 10: Små og mellemstore virksomheders globale klimaarbejde
Baggrundsnotat 11: Klimadiplomati
Baggrundsnotat 12: Globale reduktionsindsatser støttet gennem
klimabistanden
Baggrundsnotat 13: Reduktionsindsatser ifm. bilaterale
myndighedssamarbejder vedr. energi
Baggrundsnotat 14: Reduktionsindsatser ifm. bilaterale
myndighedssamarbejder vedr. miljø
Baggrundsnotat 15: Reduktionsindsatser ifm. bilaterale samarbejder vedr.
fødevarer
Baggrundsnotat 16: Globale klimatilpasningsindsatser støttet gennem
klimabistand og eksportfremme
Baggrundsnotat 17: Klimafinansiering
Baggrundsnotat 18: Finansiering af investeringer internationalt
Baggrundsnotat 19: Nationale politiske aftaler med global effekt
KEF, Alm.del - 2021-22 - Bilag 310: Orientering om offentliggørelse af Global Afrapportering 2022
2566433_0089.png
BILAG 1: JURIDISK BAGGRUND FOR DEN GLOBALE AFRAPPORTERING
89
Bilag 1: Juridisk baggrund for den
globale afrapportering
I tillæg til den årlige Klimastatus og –fremskrivning fastlægger klimaloven, at der skal
udarbejdes en årlig global afrapportering for de internationale effekter af den danske
klimaindsats. Ifølge klimaloven er formålet med afrapporteringen at synliggøre
Danmarks globale påvirkning af klimaet, både positivt og negativt (KLI, 2020).
Ifølge klimalovens §6 er klima-, energi- og forsyningsministeren forpligtet til årligt at
udarbejde en klimastatus og -fremskrivning, der bl.a. skal indeholde en ”Global
afrapportering for de internationale effekter af den danske klimaindsats”. Af
lovbemærkningerne fremgår det, at det er Energistyrelsen, der udarbejder den årlige
Klimastatus og -fremskrivning.
Det præcise indhold i den globale afrapportering fastlægges ikke med klimaloven, men
det fremgår af lovbemærkningerne, at ”Der skal herunder fremgå oplysninger om
reduktioner i international skibs- og luftfart og reduktioner fra eksport af el fra
vedvarende energikilder. Desuden kan effekterne af de danske bilaterale
energisamarbejder med store CO
2
-udledere indgå, ligesom effekterne af dansk import
og forbrug søges belyst. Hertil redegøres der for den danske bistand på klimaområdet.”
De områder, der fremhæves i lovbemærkningerne, belyses således alle i
afrapporteringen. De nævnte områder er ikke en udtømmende liste, når det handler om
at kortlægge Danmarks globale påvirkning af klimaet. I GA22 er det valgt at belyse
nogle yderligere områder som fx grønne investeringer.
Det fremgår endvidere af klimaloven, at den globale afrapportering skal sendes i
ekstern høring således, at eksterne aktører kan kommentere på forudsætninger,
antagelser mv. Klimaloven fastlægger, at der i forbindelse med høringen afholdes et
møde, hvor antagelser og forudsætninger i fremskrivningen præsenteres.