Klima-, Energi- og Forsyningsudvalget 2021-22
KEF Alm.del Bilag 306
Offentligt
2565544_0001.png
Klimastatus
og -fremskrivning
2022
KEF, Alm.del - 2021-22 - Bilag 306: Orientering om offentliggørelse af Klimastatus og klimafremskrivning 2022
2565544_0002.png
INDHOLDSFORTEGNELSE
2
Klimastatus og -fremskrivning, 2022
Udgivet i april 2022 af:
Energistyrelsen, Carsten Niebuhrs Gade 43, 1577 København V
Telefon: 33 92 67 00, E-mail: [email protected]
Internet: http://www.ens.dk
Design og produktion: Energistyrelsen
KEF, Alm.del - 2021-22 - Bilag 306: Orientering om offentliggørelse af Klimastatus og klimafremskrivning 2022
2565544_0003.png
INDHOLDSFORTEGNELSE
3
Indholdsfortegnelse
1
1.1
1.2
1.3
1.4
1.5
1.6
1.7
2
2.1
2.2
2.3
2.4
2.5
3
3.1
3.2
3.3
4
4.1
4.2
4.3
5
5.1
5.2
5.4
6
6.1
6.2
6.3
7
Om Klimastatus og -fremskrivning 2022 ....................................................................................... 5
Hvad er baggrunden for KF22? ............................................................................................. 5
Hvad omfatter KF22, og hvordan laves fremskrivningen? .................................................... 5
Hvilke udledninger indgår i KF22? ......................................................................................... 5
Hvilke politiske tiltag mv. indgår i KF22? ............................................................................... 6
Hvordan er KF22 lavet? ......................................................................................................... 6
Hvad er usikkerheden knyttet til KF22? ................................................................................. 7
Hvordan er KF22 materialet organiseret? ............................................................................. 7
Det samlede billede ....................................................................................................................... 8
Status for klimalovens reduktionsmål .................................................................................... 9
Udviklingen i udledninger på tværs af sektorer ................................................................... 11
Udviklingen i udledninger på tværs af udledningstyper ....................................................... 13
Fremskrivningen af de enkelte sektorers udledninger 2019-2035 ...................................... 17
Usikkerhed ........................................................................................................................... 20
Husholdninger ............................................................................................................................. 22
Husholdningssektorens udledninger ................................................................................... 23
Husholdningernes energiforbrug, effektiviseringer og teknologiskift ................................... 24
Usikkerhed ........................................................................................................................... 27
Transport ..................................................................................................................................... 28
Transportsektorens udledninger .......................................................................................... 29
Effektiviseringer og teknologiudvikling ................................................................................. 31
Usikkerhed ........................................................................................................................... 34
Serviceerhverv ............................................................................................................................ 36
Servicesektorens udledninger ............................................................................................. 37
Effektiviseringer og teknologiskift ........................................................................................ 38
Usikkerhed ........................................................................................................................... 39
Fremstillingserhverv og bygge-anlægssektoren ......................................................................... 40
Fremstillings- og bygge-anlægssektorens udledninger ....................................................... 40
Effektiviseringer og teknologiskift ........................................................................................ 41
Usikkerhed ........................................................................................................................... 44
Produktion af olie, gas og VE-brændsler .................................................................................... 45
KEF, Alm.del - 2021-22 - Bilag 306: Orientering om offentliggørelse af Klimastatus og klimafremskrivning 2022
2565544_0004.png
INDHOLDSFORTEGNELSE
4
7.1
7.2
8
8.1
8.2
8.3
9
9.1
9.2
10
10.1
10.2
10.3
10.4
10.5
10.6
11
11.1
11.2
11.3
Udledninger i forbindelse med produktion af brændsler ...................................................... 46
Usikkerhed ........................................................................................................................... 49
El- og fjernvarme ......................................................................................................................... 50
El- og fjernvarmesektorens udledninger .............................................................................. 51
Effektiviseringer, teknologiskift og energiforbrug ................................................................. 51
Usikkerhed ........................................................................................................................... 54
Affald (inkl. affaldsforbrænding) .................................................................................................. 56
Affaldssektorens udledninger .............................................................................................. 56
Usikkerhed ........................................................................................................................... 58
Landbrug, landbrugsarealer, skove, gartneri og fiskeri ............................................................... 60
Samlede udledninger fra landbrug, landbrugsarealer, skove, gartneri og fiskeri. ............... 61
Udledninger fra landbrugsprocesser ................................................................................... 62
Udledninger fra landbrugets arealanvendelse ..................................................................... 64
Udledninger og optag fra skove ........................................................................................... 68
Udledninger fra energiforbrug i landbrug, gartneri, skovbrug og fiskeri .............................. 70
Usikkerhed ........................................................................................................................... 70
Status for klimaforpligtelser: Non-ETS udledninger og LULUCF ........................................ 74
Status for vedvarende energi og energieffektivisering ........................................................ 75
Usikkerhed ........................................................................................................................... 77
Danmarks EU forpligtigelser ....................................................................................................... 73
Appendiks 1: Sammenhæng mellem klimafremskrivningen (KF), global afrapportering (GA), scenarier
til klimaprogrammet (KP) og analyseforudsætninger til Energinet (AF) ......................... 78
Appendiks 2: Oversigt over KF22 sektornotater og forudsætningsnotater ........................................... 80
Appendiks 3: Oversigt over KF22-dataark ............................................................................................ 82
Appendiks 4: Sammenhæng mellem KF22 sektorer og KF21 sektorer samt CRF-tabel ..................... 83
Appendiks 5: Sammenligning af samlede nettoudledninger i KF22 og KF21 ....................................... 86
Appendiks 6: Samlede biogene energirelaterede CO
2
-udledninger i KF22 .......................................... 88
Appendiks 7: Ordforklaringer og forkortelser ........................................................................................ 90
Appendiks 8: Referencer ....................................................................................................................... 93
KEF, Alm.del - 2021-22 - Bilag 306: Orientering om offentliggørelse af Klimastatus og klimafremskrivning 2022
2565544_0005.png
1. OM KLIMASTATUS OG -FREMSKRIVNING 2022
5
1 Om Klimastatus og -fremskrivning
2022
Klimastatus og -fremskrivning 2022 (herefter KF22) er en redegørelse for, hvordan
Danmarks drivhusgasudledninger har udviklet sig fra 1990 til 2020, samt en teknisk,
faglig vurdering af, hvordan udledningen af drivhusgasser samt energiforbrug og -
produktion vil udvikle sig frem mod 2035 i et såkaldt ”frozen policy”-scenarie.
”Frozen policy” indebærer, at udviklingen er betinget af et ”politisk fastfrossent” fravær
af nye tiltag på klima- og energiområdet ud over dem, som Folketinget eller EU har
besluttet før 1. januar 2022, eller som følger af bindende aftaler. Fastfrysningen gælder
alene Danmarks og EU's klima- og energipolitik og betyder ikke, at udviklingen generelt
forudsættes at gå i stå. Fx er den økonomiske vækst og befolkningsudviklingen ikke
underlagt fastfrysningen.
Klimafremskrivningen tjener dermed bl.a. til at undersøge, i hvilket omfang Danmarks
klima- og energimålsætninger og -forpligtelser vil blive opfyldt inden for rammerne af
gældende regulering. Klimafremskrivningen kan således anvendes som teknisk
reference ved planlægning og konsekvensvurdering af nye tiltag på klima- og
energiområdet.
1.1
Hvad er baggrunden for KF22?
Ifølge Lov om klima af 18. juni 2020 (herefter klimaloven) skal der årligt udarbejdes en
klimastatus og -fremskrivning.
1
Klimaloven fastsætter et mål om, at Danmark skal reducere udledningen af
drivhusgasser med 50-54 pct. i 2025 og 70 pct. i 2030 ift. niveauet i 1990. Samtidig
fastlægger klimaloven et årshjul, som skal sikre en løbende opfølgning på, om
klimaindsatsen understøtter opfyldelsen af klimalovens målsætninger. Det fremgår
bl.a. af årshjulet, at klimafremskrivningen hvert år i april skal gøre status for opfyldelse
af Danmarks klimamål.
1.2 Hvad omfatter KF22, og hvordan laves fremskrivningen?
For at forstå resultaterne i KF22, er det vigtigt at være opmærksom på, hvilke
udledninger der indgår i fremskrivningen, hvilke politiske tiltag mv. der indregnes i
fremskrivningen, samt hvordan fremskrivningen laves.
1.3
Hvilke udledninger indgår i KF22?
Klimaloven fastsætter både drivhusgasreduktionsmål og retningslinjer for, hvorledes
disse skal opgøres. Klimalovens mål for drivhusgasreduktioner skal som
udgangspunkt opfyldes på dansk grund, og drivhusgasudledningerne, som omfattes af
1
Klimaloven foreskriver også, at der skal udarbejdes en global afrapportering for de
internationale effekter af den danske klimaindsats. Den globale afrapportering udarbejdes og offentliggøres parallelt
med KF22 i en selvstændig publikation. Ved reference her til KF22 menes derfor alene den nationale
klimafremskrivning.
KEF, Alm.del - 2021-22 - Bilag 306: Orientering om offentliggørelse af Klimastatus og klimafremskrivning 2022
2565544_0006.png
1. OM KLIMASTATUS OG -FREMSKRIVNING 2022
6
klimalovens målsætning, skal opgøres i overensstemmelse med FN’s
opgørelsesmetoder. Klimalovens målsætning omfatter Danmarks samlede
drivhusgasudledninger inklusiv kulstofoptag/-udledninger fra jord og skov (LULUCF),
negative udledninger fra teknologiske processer (fx lagring af CO
2
i undergrunden) og
indirekte CO
2
-udledninger (stoffer som senere omdannes til CO
2
i atmosfæren).
2
1.4
Hvilke politiske tiltag mv. indgår i KF22?
Skæringsdatoen for indregning af politiktiltag, der indgår i KF22’s modellering af
perioden 2021-2035, er sat til 1. januar 2022. Skæringsdatoen for indregning af
politiktiltag i den forrige Klimastatus og -fremskrivning 2021 var 1. januar 2021. De nye
politiktiltag, som indgår i KF22, omfatter bl.a. Aftale om grøn omstilling af dansk
landbrug, Aftale om infrastrukturplan 2035, Udmøntning af pulje til grøn transport og
Aftale om regulering af ladestandermarkedet, samt udbygning med yderligere 2 GW
havvind og teknologineutralt udbud af negative emissioner (fra Finansloven for 2022).
Den fulde oversigt over, hvilke nye politiktiltag der indgår i KF22, samt hvilke tiltag, der
ikke har kunnet indregnes i KF22, fx fordi de pågældende tiltag endnu ikke er
konkretiseret, eller fordi effekten af dem (endnu) ikke kan opgøres, fremgår af KF22
forudsætningsnotat 2A.
Det skal i denne forbindelse bemærkes, at energiøerne, der blev besluttet ifm.
Klimaaftale for energi og industri i 2020, fortsat ikke indgår i klimafremskrivningens
grundforløb i KF22, da etablering af øerne er betinget af endnu ikke besluttede tiltag, fx
ift. udlandsforbindelser.
3
Aftale om udbud og fremme af brint og grønne brændstoffer
(Power-to-X) fra 15. marts 2022 indgår heller ikke i KF22, da aftalen er indgået efter
skæringsdatoen for indregning af tiltag i klimafremskrivningen.
Ud over politiske tiltag indeholder klimafremskrivningen også en samlet opdateret
vurdering af udviklingen under gældende markedsvilkår. Heri indgår bl.a. konkrete
investeringsbeslutninger fra aktører
4
. Det er her vigtigt at bemærke, at
forudsætningerne for KF22 – herunder også forudsætninger vedrørende
brændselspriser og CO
2
-kvotepris – er fastlagt ultimo 2021, og at KF22 derfor ikke
tager højde for den efterfølgende udvikling i Ukraine og de afledte effekter heraf på
energimarkeder m.m.
1.5
Hvordan er KF22 lavet?
KF22 er en samling af flere forskellige fremskrivninger fra både Energistyrelsen og
Nationalt Center for Miljø og Energi (DCE), som Energistyrelsen afslutningsvis
kombinerer med statistiske opgørelser til en samlet klimastatus og -fremskrivning.
Udarbejdelsen af KF22 er yderligere beskrevet i KF22 forudsætningsnotat 0 og de
specifikke forudsætninger, data og modeller, der anvendes til fremskrivningen, er
præsenteret i de øvrige KF22 forudsætningsnotater (jf. appendiks 1).
Målsætningen omfatter, i overensstemmelse med FN-reglerne, ikke udledninger fra international skibs- og luftfart og ej
heller den direkte udledning af CO
2
fra forbruget af biomasse (afbrænding af fx træflis og træpiller, såkaldte biogene
CO
2
-udledninger). For uddybning af, hvilke udledninger der indgår i KF22, se KF22 forudsætningsnotat 2B.
3
For en uddybning af principperne for frozen policy i klimafremskrivningen, se KF22 forudsætningsnotat 2C.
4
For uddybning af håndteringen i KF af samarbejdsaftaler mellem regeringen og virksomheder se forudsætningsnotat
2C.
2
KEF, Alm.del - 2021-22 - Bilag 306: Orientering om offentliggørelse af Klimastatus og klimafremskrivning 2022
2565544_0007.png
1. OM KLIMASTATUS OG -FREMSKRIVNING 2022
7
1.6
Hvad er usikkerheden knyttet til KF22?
Det er vigtigt, at KF22 læses og anvendes med bevidsthed om, at følsomme antagelser
og usikkerheder påvirker nøgleresultaterne. Fremskrivningen skuer mere end 10 år
frem i tid, og resultaterne kan derudover variere fra år til år uafhængig af tiltag.
Fremskrivningsresultaterne er således både underlagt en generel metodeusikkerhed
samt en betydelig usikkerhed forbundet med udefrakommende variable, herunder
uforudsete udviklinger i adfærd og teknologi, eksterne faktorer som udsving i vejret mv.
Usikkerhederne forbundet med fremskrivningsresultaterne for de enkelte sektorer
behandles i kapitlerne om disse sektorer samt i de bagvedliggende sektornotater.
1.7
Hvordan er KF22 materialet organiseret?
Klimastatus og -fremskrivning 2022 består af en hovedrapport, bagvedliggende
sektornotater og forudsætningsnotater samt en række dataark. For hvert af
hovedrapportens sektorkapitler (kap. 3-11) er der således udarbejdet et eller flere
sektornotater, hvor status og fremskrivning for den pågældende sektor er mere
detaljeret analyseret og dokumenteret. Forudsætningerne anvendt i fremskrivningen er
ligeledes dokumenteret i en række forudsætningsnotater, der har været i offentlig
høring i januar 2022. For en oversigt over det skriftlige KF22 materiale se appendiks 1.
Ud over hovedrapport og sektornotater suppleres KF22 af en række dataark, der bl.a.
omfatter de såkaldte CRF-tabeller, energibalancen og yderligere data for udvalgte
sektorer. Data for indikatorer oplistet i Klimahandlingsplan 2020 fremgår af bilag 5.2 i
de relevante sektornotater og indgår som en del af ”Tal bag figurer” dataarket.
5
For
yderligere information om disse KF22-data og oversigt over KF22-dataark se appendiks
2.
5
I Klimahandlingsplan 2020 er der opstillet en række indikatorer, der fremadrettet kan bidrage til at vurdere fremdriften i
omstillingen af de enkelte sektorer.
KEF, Alm.del - 2021-22 - Bilag 306: Orientering om offentliggørelse af Klimastatus og klimafremskrivning 2022
2565544_0008.png
2. DET SAMLEDE BILLEDE
8
2 Det samlede billede
Klimastatus
er, at de samlede drivhusgasudledninger, inklusiv kulstofoptag og -
udledninger fra jord og skov udgjorde 44,9 mio. ton CO
2
e i 2020. I 2020 var
drivhusgasudledningerne således blevet reduceret med 43 pct. ift. Danmarks samlede
udledninger i 1990. Det skal her bemærkes, at covid-19 pandemien har haft indvirkning
på aktivitetsniveauet i nogle sektorer i 2020, og har dermed også haft indvirkning på
disse sektorers energiforbrug og drivhusgasudledninger. Selv om 2020 er seneste
statistik-år, vil KF22 analysen derfor i nogle tilfælde tage udgangspunkt i udledningerne
i 2019, hvor aktivitetsniveauerne alt andet lige må antages at være mere retvisende
udgangspunkter.
Klimafremskrivningen
viser, at de samlede netto-udledninger
6
, med den nuværende
vedtagne politik, forventes at være faldet til 41,4 mio. ton CO
2
e i 2025, og 33,5 mio. ton
CO
2
e i 2030, svarende til en reduktion på 47 pct. i 2025 og 57 pct. i 2030 ift. 1990-
niveauet. Fremskrivningen viser således, at der ift. klimalovens reduktionsmål for 2025
og 2030 på nuværende tidspunkt skønnes at udestå en reduktionsmanko på 3-8 pct.-
point i 2025 og 13 pct.-point i 2030, svarende til hhv. 2,4-5,5 mio. ton CO
2
e i 2025 og
10,1 mio. ton CO
2
e i 2030. I 2035 forventes de samlede netto-udledninger at være
yderligere reduceret til 30,2 mio. ton CO
2
e.
Klimafremskrivningen er i sagens natur behæftet med usikkerhed, og denne usikkerhed
er særligt udtalt i år. Den øgede usikkerhed skyldes dels usikkerheden knyttet til
effekterne af covid-19 pandemien, og dels effekterne af de nuværende usikkerheder på
energimarkederne, bl.a. som følge af situationen i Ukraine, der som nævnt i kap. 1 ikke
er indregnet i KF22. Begge forhold kan give varige effekter på adfærd, struktur og
6
Begrebet
”samlede netto-udledninger” refererer her til de samlede udledninger inkl. LULUCF og efter indregning af CCS.
KEF, Alm.del - 2021-22 - Bilag 306: Orientering om offentliggørelse af Klimastatus og klimafremskrivning 2022
2565544_0009.png
2. DET SAMLEDE BILLEDE
9
teknologivalg, som ikke er afspejlet i den nuværende fremskrivning. Det er derfor
vigtigt, at fremskrivningen læses i dette lys.
Den forventede udvikling i netto-udledninger og afstanden ift. reduktionsmålene i hhv.
2025 og 2030 er vist i figur 2.1.
Figur 2.1:
De samlede netto-udledninger samt 2025 og 2030 reduktionsmålene
mio. ton CO2e
Samlede netto-udledninger ift reduktionsmålene
100
90
80
70
60
50
40
30
20
10
0
1990 1995 2000 2005 2010 2015 2020 2025 2030 2035
2025 - 50 pct. reduktionsmål
2025 - 54 pct. reduktionsmål
2030 - 70 pct. reduktionsmål
Nettoudledning
2.1
Status for klimalovens reduktionsmål
7
Fremskrivningen viser, at de samlede udledninger i 2025 og 2030 vil ligge på hhv. 41,4
og 33,5 mio. ton CO
2
e i fravær af nye tiltag på klima- og energiområdet efter 1. januar
2022, som er skæringstidspunktet for indregning af politiske tiltag i KF22. Dette
indebærer en reduktionsmanko på 2,4-5,5 mio. ton CO
2
e ift. klimalovens indikative
målsætning om en reduktion i 2025-udledningerne på 50-54 pct. ift. 1990 niveauet,
samt en reduktionsmanko på 10,1 mio. ton CO
2
e ift. målsætningen om en reduktion i
2030-udledningerne på 70 pct. ift. 1990-niveauet.
Tabel 2.1:
Status for målopfyldelse ift. klimalovens reduktionsmål
1990
78,0
2019
47,4
KF22 nettoudledninger (mio. ton CO
2
e)
Klimalovens reduktionsmål ift. KF22 (mio. ton CO
2
e)
Manko ift. reduktionsmål (mio. ton CO
2
e)
KF22 reduktion ift. 1990
KF21 reduktion ift. 1990
0%
0%
39%
40%
43%
43%
2020
44,9
2025
41,4
35,9-39,0
2,4-5,5
47%
47%
2030 2035
33,5
23,4
10,1
57%
55%
61%
30,2
Note: I tabellen er både udledningerne i målår og tilhørende reduktionsmanko opgjort som rene årsværdier.
Ifølge klimaloven skal reduktionsmålene i både 2025 og 2030 opgøres som
gennemsnitsmål over tre år for at minimere udsving i enkeltår. I tabel 2.1 er
7
For status på Danmarks EU forpligtigelser ift. non-ETS udledninger og LULUCF samt vedvarende energi og
energieffektivisering henvises til kapitel 11.
KEF, Alm.del - 2021-22 - Bilag 306: Orientering om offentliggørelse af Klimastatus og klimafremskrivning 2022
2565544_0010.png
2. DET SAMLEDE BILLEDE
10
udledningerne i målår og tilhørende reduktionsmanko opgjort som rene årsværdier,
bl.a. i lyset af, at fremskrivningen af de energirelaterede udledninger er baseret på en
antagelse om, at alle fremskrivningsår er ”normalår”.
Sammenlignes der med sidste års klimafremskrivning (KF21) er reduktionsmankoen i
2025 i KF22 forøget med ca. 0,25 mio. ton CO
2
e, mens reduktionsmankoen i 2030 er
reduceret med knap 1,7 mio. ton CO
2
e. Denne udvikling er resultatet af en kombination
af nye politiktiltag, opdaterede forventninger til pris- og markedsudvikling og
opdaterede datagrundlag.
8
Nye politiktiltag indregnet i KF22
Væsentlige nye politiktiltag, der er indregnet i KF22 omfatter bl.a.
9
:
Aftale om grøn omstilling af dansk landbrug og den nationale CAP-plan.
Aftale om infrastrukturplan 2035 og aftale om regulering af ladestander-markedet,
samt udmøntning af pulje til grøn transport mv.
Aftale om udbygning med 2 GW havvind vedtaget ifm Finanslov 2022.
Aftale om teknologineutralt udbud af negative emissioner vedtaget ifm Finanslov
2022.
Disse aftalers effekt på udledningerne i de respektive sektorer beskrives kort i afsnit
2.4 nedenfor samt mere uddybende i de efterfølgende sektorkapitler i rapporten og i de
bagvedliggende sektornotater. Som nævnt i kapitel 1 indgår energiøerne fortsat ikke KF
grundforløbet, da etablering af øerne er betinget af endnu ikke besluttede tiltag og
derfor endnu ikke kan indregnes som frozen policy. Aftale om udbud og fremme af
brint og grønne brændstoffer fra marts 2022 indgår heller ikke i KF22, da aftalen er
indgået efter skæringsdatoen for indregning af tiltag i klimafremskrivningen.
Opdaterede forventninger til prisudviklinger
Udledningerne i KF22 er også påvirket af de opdaterede forventninger til CO
2
-
kvoteprisen og fossile brændselspriser. For CO
2
-kvoteprisen er niveauet i 2021 mere
end fordoblet ift. KF21, og i KF22 antages CO
2
-kvoteprisen således at nå op i nærheden
af 750 kr. per ton i 2030 (jf. KF forudsætningsnotat 3B). De fossile brændselspriser
ligger på kort sigt også højere i KF22 end i KF21, især for naturgas (jf. KF22
forudsætningsnotat 3A). Det er dog her vigtigt at bemærke, at prisforløbene til KF22 er
fastlåst ultimo 2021, og at de derfor ikke afspejler den markante udvikling, der har
været i brændselspriserne i løbet af første kvartal 2022.
Opdaterede forventninger til markedsudviklinger
Ud over prisudviklingen har opdaterede forventninger til markedsudviklingen også
betydning for udviklingen i udledningerne i KF22. Der er bl.a. opdaterede forventninger
til:
Derudover er den metodiske tilgang blevet opdateret på enkelte områder, hvilket i nogle tilfælde også kan påvirke
resultatet. Figur med sammenligning af netto-udledningerne i hhv. KF22 og KF21 for hele perioden 1990-2030 fremgår
af appendiks 5.
9
Jf. tabel 1 i KF22 forudsætningsnotat 2A.
8
KEF, Alm.del - 2021-22 - Bilag 306: Orientering om offentliggørelse af Klimastatus og klimafremskrivning 2022
2565544_0011.png
2. DET SAMLEDE BILLEDE
11
Udvalget på elbilsmarkedet, hvilket har betydning for, hvor hurtigt eldrevne
personbiler samt vare- og lastbiler vil afløse køretøjer med konventionelle
forbrændingsmotorer i transportsektoren
Efterspørgslen på landbrugsmarkederne, hvilket har betydning for mængden af
husdyr og afgrøder, der produceres i landbruget
Aktivitetsniveauet i cementproduktionen.
Opdaterede datagrundlag
Datagrundlaget for fremskrivningen opdateres og forbedres løbende, og dette har i
nogle tilfælde også betydning for fremskrivningen af udledningerne. Væsentlige
opdateringer i datagrundlaget til KF22 omfatter bl.a.:
Indregning af en højere fremtidig lækagerate fra biogasanlæg som følge af
resultater fra måleprojekt (jf. KF22 forudsætningsnotat 9B)
Opdatering af beregningsforudsætninger, bl.a. i form af en ny antagelse om højere
fremtidige temperaturer, som fører til reduceret nettooptag i mineraljorde i
landbruget (jf. KF22 forudsætningsnotat 10C)
Opdaterede data for skovarealernes kulstofindhold og forventede optag, andelen
af fældet træ, der lagres i træprodukter, forventninger til ny skovrejsning samt
ændret forvaltning, fx ved omlægning til urørt skov og naturarealer, som samlet set
øger det forventede nettooptag.
2.2
Udviklingen i udledninger på tværs af sektorer
Udviklingen i de samlede nettoudledninger er et resultatet af udviklingen i de forskellige
underliggende sektorer. Figur 2.2 viser hvordan udledningerne i de enkelte sektorer har
udviklet sig fra 1990 frem til 2020, og hvordan de forventes at udvikle sig i
fremskrivningsperioden fra 2021 til 2035 for disse sektorer samt for
carbon capture
and storage
(CCS).
Figur 2.2:
De samlede udledninger fordelt på sektorer samt CCS
mio. ton CO2e
Samlede udledninger
Husholdninger
Transport
Serviceerhverv
Fremstillingserhverv og bygge-
anlæg
Produktion af olie, gas og VE-
brændstoffer
El og fjernvarme
Affald (inkl. affaldsforbrænding)
Landbrug, skove, gartneri og fiskeri
100
95
90
85
80
75
70
65
60
55
50
45
40
35
30
25
20
15
10
5
0
-5
1990 1995 2000 2005 2010 2015 2020 2025 2030 2035
CCS
Note: I KF22 håndteres CCS teknisk som ikke-sektorfordelt, negativ udledning (jf. afsnit 2.4).
KEF, Alm.del - 2021-22 - Bilag 306: Orientering om offentliggørelse af Klimastatus og klimafremskrivning 2022
2565544_0012.png
2. DET SAMLEDE BILLEDE
12
Udviklingen i udledningerne på tværs af sektorer over tid
El- og fjernvarmesektoren (ekskl. affaldsforbrænding) har frem til 2010 typisk stået for
mellem 30 pct. og 40 pct. af de samlede danske udledninger, men denne andel er
derefter faldet betydeligt, jf. figur 2.3, og i 2020 stod sektoren således kun for 9 pct. af
de samlede udledninger. I 2025 forventes denne andel at være faldet til 3 pct., og i
2030 forventes el og fjernvarme (ekskl. affaldsforbrænding) at udgøre under 1 pct. af
de samlede nettoudledninger.
10
Historisk har der endvidere været markante udsving i
udledningerne fra el- og fjernvarmesektoren. Disse udsving skyldtes primært
vejrforhold, fx kolde vintre eller svingende nedbørsmængder i Norden, der påvirker den
nordiske vandkraftproduktion. Udsvingene vil aftage fremover i takt med, at de
samlede udledninger fra el- og fjernvarmesektoren reduceres som følge af udfasningen
af fossilfyrede kraftværker, og overgangen til el-produktion primært baseres på vind,
sol og biomasse.
I takt med de faldende udledninger fra el- og fjernvarmeproduktionen, stiger de øvrige
sektorers andel af de samlede udledninger alt andet lige, når de ikke reduceres i
samme omfang. Udledningerne fra landbrug, skove, gartneri og fiskeri, der både
omfatter udledninger fra landbrugsprocesser, landbrugsarealer og skove samt
sektorens energiforbrug, er således gået fra historisk at have udgjort omkring 25 pct. af
de samlede udledninger, til i 2020 at udgøre 35 pct. af de samlede udledninger. I 2025
forventes denne sektor at udgøre 41 pct. af netto-udledningerne, og i 2030 forventes
sektorens andel af de samlede udledninger at være steget yderligere til 45 pct.
Tilsvarende er transportsektorens andel af de samlede netto-udledninger vokset fra at
udgøre 15 pct. i 1990 til 28 pct. i 2020, og i 2025 og 2030 forventes hhv. 30 pct. og 32
pct. af netto-udledningerne at stamme fra transportsektoren.
Fordelingen af de samlede udledninger i 2030 på sektorer er vist i figur 2.3.
11
Som det
fremgår, vil udledningerne i 2030 være koncentreret på relativt få sektorer. Mere end 75
pct. af de samlede netto-udledninger på 33,5 mio. ton CO
2
e forventes således at
stamme fra enten landbrug, skove, gartneri og fiskeri eller transportsektoren.
Affaldsforbrænding bidrager også til el- og fjernvarmeproduktion. Hvis man lægger udledningerne fra
affaldsforbrænding sammen med udledningerne fra el- og fjernvarmesektoren udgjorde disse sektorer 12 pct. af netto-
udledningerne i 2020, og de forventes at udgøre hhv. 7 pct. i 2025 og 3 pct. 2030. Herudover bidrager private sekundære
producenter i andre sektorer også til el- og fjernvarmeproduktionen, men udledningerne herfra er forholdsvis
begrænsede (se også sektornotat 8A).
11
Bemærk at sektoropdelingen i KF22 er ændret marginalt ift. KF21, idet F-gasser er blevet fordelt på sektorer i KF22 (jf.
fordelingsnøgle for F-gasser præsenteret i KF22 forudsætningsnotat 9C om F-gasser). Dette har dog meget begrænset
betydning for sektorernes andel af de samlede udledninger i 2030, idet F-gasser udgør ca. 0,5 pct. af de samlede
nettoudledninger i 2030.
10
KEF, Alm.del - 2021-22 - Bilag 306: Orientering om offentliggørelse af Klimastatus og klimafremskrivning 2022
2565544_0013.png
2. DET SAMLEDE BILLEDE
13
Figur 2.3:
Sektorernes andel af de samlede netto-udledninger i 2030
Husholdninger;
1 pct.
Landbrug, skove,
gartneri og fiskeri;
45 pct.
CCS;
-4 pct.
Transport;
32 pct.
Serviceerhverv;
1 pct.
Fremstillingserhverv
og bygge-anlæg;
11 pct.
Produktion af olie, gas
og VE-brændstoffer;
7 pct.
Affald (inkl.
affaldsforbrænding);
7 pct.
El og fjernvarme;
1 pct.
Note: I KF22 håndteres CCS teknisk som ikke-sektorfordelt, negativ udledning (jf. afsnit 2.4).
2.3
Udviklingen i udledninger på tværs af udledningstyper
Sektorernes drivhusgasudledninger kan stamme fra flere forskellige kilder og typer af
aktiviteter. I det såkaldte
common reporting format
(CRF), der anvendes til de
internationale indberetninger til FN og EU, inddeles udledningerne i fem overordnede
CRF-kategorier: 1) energirelaterede udledninger, 2) procesudledninger, 3) udledninger
fra landbrugsprocesser, 4) LULUCF-udledninger og 5) affaldsrelaterede udledninger.
12
Udledningerne fra sektorerne husholdninger, transport og produktion af olie, gas og VE-
brændstoffer er stort set alle energirelaterede, mens servicesektoren og fremstilling og
bygge-anlægssektoren både har energirelaterede udledninger og procesudledninger.
13
Udledninger fra affaldssektoren omfatter både energirelaterede udledninger fra
affaldsforbrænding og affaldsrelaterede udledninger fra deponi, spildevand,
kompostering og biogaslækage, mens hovedparten af udledningerne fra landbrug,
skove, gartneri og fiskeri stammer fra landbrugsprocesserne (dvs. husdyrs fordøjelse,
gødningshåndtering og gødskning) samt landbrugets arealanvendelse.
14
Jf. også bilag 5.1 i KF22 forudsætningsnotat 2B.
Procesudledningerne fra servicesektoren består af F-gasser jf. KF22 sektornotat 5A og KF22 forudsætningsnotat 9C.
14
Skove har historisk leveret et væsentligt optag af CO , men dette optag reduceres i fremskrivningsperioden, og i
2
perioden 2025-2029 forventes en lille nettoudledning fra skovene.
12
13
KEF, Alm.del - 2021-22 - Bilag 306: Orientering om offentliggørelse af Klimastatus og klimafremskrivning 2022
2565544_0014.png
2. DET SAMLEDE BILLEDE
14
Figur 2.4:
De samlede udledninger fordelt på CRF-kategorier samt CCS
mio. ton CO2e
Samlede udledninger
Affaldsrelaterede udledninger
(CRF 5)
LULUCF udledninger (CRF 4)
Landbrugsudledninger (CRF 3)
Procesudledninger (CRF 2)
Energirelaterede udledninger
(CRF 1)
CCS
100
95
90
85
80
75
70
65
60
55
50
45
40
35
30
25
20
15
10
5
0
-5
1990 1995 2000 2005 2010 2015 2020 2025 2030 2035
Energirelaterede udledninger
Frem til 2015 har de samlede energirelaterede udledninger på tværs af sektorer typisk
udgjort mellem 70 og 75 pct. af Danmarks samlede drivhusgasudledninger. Siden da er
de energirelaterede udledningers andel af de samlede udledninger imidlertid faldet, og
faldet forventes at fortsætte i fremskrivningsperioden. I 2025 forventes de
energirelaterede udledninger således at udgøre omkring 55 pct. af de samlede
udledninger, i 2030 vil andelen være faldet yderligere til ca. 50 pct. og i 2035 nærmer
den sig 45 pct. Fremadrettet vil transport være den sektor, der tegner sig for
størstedelen af de energirelaterede udledninger, idet transportsektorens andel af de
energirelaterede udledninger stiger fra 45 pct. i 2019 til 53 pct. i 2025 og til 61 pct. i
2030. Denne stigning i transportsektorens andel af de energirelaterede udledninger
sker på trods af, at udledningerne fra transportsektoren falder i løbet af
fremskrivningsperioden.
Udviklingen i de energirelaterede udledninger afhænger både af det samlede
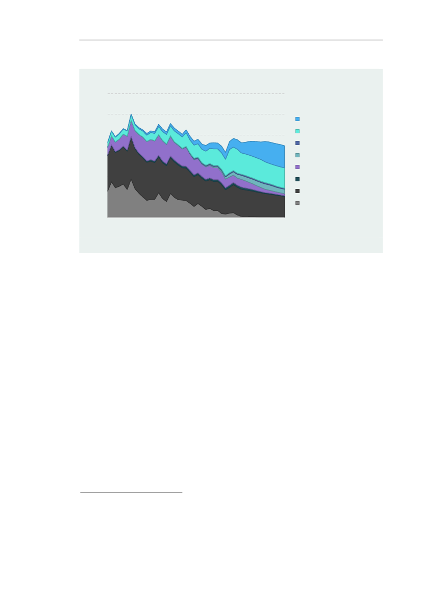
energiforbrug og andelen af vedvarende energi i energiforbruget. Figur 2.5 viser
sammensætningen af og udviklingen i det faktiske danske energiforbrug fra 1990 til i
dag og videre frem mod 2035.
KEF, Alm.del - 2021-22 - Bilag 306: Orientering om offentliggørelse af Klimastatus og klimafremskrivning 2022
2565544_0015.png
2. DET SAMLEDE BILLEDE
15
Figur 2.5:
Det samlede faktiske energiforbrug fordelt på energiformer (PJ)
PJ
Samlet faktisk energiforbrug
1200
1000
800
600
400
200
0
1990 1995 2000 2005 2010 2015 2020 2025 2030 2035
Note: Hovedparten af natur- og biogassen blandes i gassystemet, og bliver til ledningsgas, som anvendes hos
forbrugerne.
Vind og sol
Biomasse og øvrig VE
Biobrændstoffer
Biogas
Naturgas
Affald, ikke bionedbrydeligt
Olie
Kul & Koks
Vedvarende energi omfatter en lang række forskellige energikilder fra vind og sol, over
fast biomasse, til flydende biobrændstoffer og biogas mv. Nogle vedvarende
energikilder kan indgå direkte i sektorernes endelige energiforbrug, fx brug af træpiller
til rumvarme og procesvarme, mens andre vedvarende energikilder indgår i
produktionen af energivarer som elektricitet, fjernvarme, ledningsgas og
transportbrændstoffer. Forbrænding af biomasse er ifølge FN-opgørelsesreglerne
defineret som CO
2
-neutralt, mens de biogene energirelaterede CO
2
-udledninger
indberettes som et såkaldt memo-item (jf. forudsætningsnotat 2B). De biogene CO
2
-
udledninger fra det samlede danske forbrug af biomasse til energirelaterede formål er
vist i appendiks 6.
15
Mens udledningerne forbundet med el og fjernvarmeproduktion tilskrives el- og
fjernvarmesektoren, samt affaldssektoren fsva. udledningerne fra affaldsforbrænding,
så tilskrives udledninger forbundet med forbrug af ledningsgas og
transportbrændstoffer de respektive forbrugende sektorer. Udledningerne fra disse
sektorer afhænger derfor af VE-andelen i ledningsgas og transportbrændstoffer. Som
det fremgår af tabel 2.2, er disse VE-andele stigende i fremskrivningsperioden, for
transportbrændstoffers vedkommende fra 6 pct. i 2020 til 9 pct. 2030 og for
ledningsgassens vedkommende fra 16 pct. i 2020 til 75 pct. i 2030 og 92 pct. i 2035.
16
I
slutningen af fremskrivningsperioden forventes der derfor at være relativt få
udledninger forbundet med forbrug af ledningsgas.
De tilsvarende biogene energirelaterede CO
2
-udledninger fra de enkelte sektorer fremgår af bilagene til de respektive
sektornotater.
16
Det bemærkes at den her beregnede VE-andel i transportbrændstoffer adskiller sig fra RES-T, der anvendes i EU-
opgørelserne. I RES-T indgår bl.a. de forskellige typer biobrændstoffer med forskellige vægte afhængigt af deres
oprindelse og anvendte biomassetype, ligesom elforbruget fra elektrisk vejtransport og elektrisk jernbanetransport bl.a.
også indgår, igen med forskellige vægte.
15
KEF, Alm.del - 2021-22 - Bilag 306: Orientering om offentliggørelse af Klimastatus og klimafremskrivning 2022
2565544_0016.png
2. DET SAMLEDE BILLEDE
16
Tabel 2.2:
VE-andel i forbrug af el, ledningsgas og transportbrændstoffer samt samlet VE-andel
2019
2020
2025
2030
2035
VE-andel i elforbruget (RES-E)
65%
65%
93%
109%
102%
VE-andel i ledningsgas
10%
16%
38%
75%
92%
VE-andel i transportbrændstoffer
5%
6%
7%
9%
8%
Samlet VE-andel (RES) (før salg)
37%
42%
51%
64%
67%
Note: Tallene i tabellen er afrundede. Samlet RES er her opgjort før statistisk overførsel mellem Danmark og andre EU-
medlemsstater. Efter statistiske overførsler udgjorde RES 32 pct. i 2020 (jf. KF22 sektornotat 11B)
VE-andelen i transportbrændstoffer afhænger primært af det nationale CO
2
-
fortrængningskrav for transportbrændstoffer, og er derfor meget lidt afhængigt af, hvor
stort det totale forbrug af transportbrændstoffer er (se også KF22 sektornotat 4B).
Anderledes forholder det sig for VE-andelen i ledningsgas, som vil ændre sig, såfremt
forbruget af ledningsgas ændres. Dette skyldes, at VE-delen af ledningsgas består af
opgraderet biogas, og den producerede mængde biogas er uafhængig af
efterspørgslen, idet den antages at være bestemt af støtteordningerne (jf. KF22
forudsætningsnotat 7C og sektornotat 7A og 7B). En reduktion i forbruget af
ledningsgas vil derfor resultere i en tilsvarende reduktion i forbruget af fossil naturgas.
Reduktion i en sektors forbrug af ledningsgas vil derfor også sænke udledningerne fra
ledningsgasforbruget i andre sektorer, fordi VE-andelen i ledningsgassen samtidig
stiger.
VE-andelen i elforsyningen er også stigende fra 65 pct. i 2020 til 109 pct. i 2030.
17
Det
er i denne forbindelse værd at bemærke, at opfyldelse af målsætningen i Power-to-X-
strategien samt etablering af energiøerne, der som nævnt ikke indgår i KF22
grundforløbet, vil øge hhv. elforbruget og elforsyningen markant ift. niveauerne i KF22.
VE-andelen i det samlede energiforbrug stiger i KF22 fra 32 pct. i 2020 til 64 pct. i 2030
og 67 pct. i 2035.
Udledninger fra industriprocesser, landbrugsprocesser, arealer og affaldshåndtering
(ekskl. affaldsforbrænding)
De ikke-energirelaterede udledningstyper omfatter:
Procesudledninger, der er udledninger fra industriprocesser samt udledninger fra
apparat brug mv. (i form af F-gasser). Procesudledninger udgjorde 1,8 mio. ton
CO
2
e i 2019 og forventes at ligge på samme niveau i 2030. Procesudledninger fra
cementproduktion tegner sig for ca. 1,3 mio. ton CO
2
e årligt i
fremskrivningsperioden, og udgør således hovedparten af de samlede
procesudledninger.
Udledninger fra landbrugsprocesser, der omfatter udledninger fra dyrenes
fordøjelse, gødningshåndtering og gødskning. Udledninger fra landbrugsprocesser
udgjorde 11,4 mio. ton i CO
2
e i 2020 og forventes at være reduceret til 10,2 mio.
ton i 2030.
LULUCF-udledninger, der omfatter udledninger og optag fra landbrugsarealer og
skove, samt øvrige arealer og høstede træprodukter. LULUCF-nettoudledninger
udgjorde 3,1 mio. ton CO
2
e i 2020 og forventes at stige til 3,8 mio. ton i 2030.
17
RES-E er en målestok for overskud/underskud af VE-baseret elproduktion i det danske elsystem ift. det danske
elforbrug og kan derfor overstige 100 pct. I KF21 lå RES-E på 97 pct. i 2030. Stigningen i RES-E for perioden omkring
2030 er i vidt omfang et resultat af den øgede udbygning med havvind på 2 GW, der blev besluttet ifm. Finansloven for
2022.
KEF, Alm.del - 2021-22 - Bilag 306: Orientering om offentliggørelse af Klimastatus og klimafremskrivning 2022
2565544_0017.png
2. DET SAMLEDE BILLEDE
17
Affaldsrelaterede udledninger, der omfatter udledninger fra deponi, spildevand og
kompostering samt lækage fra biogasanlæg. De affaldsrelaterede udledninger
udgjorde 1,2 mio. ton CO
2
e i 2019 og forventes at stige til 1,6 mio. ton i 2030.
Udledninger fra landbrugsprocesser tegner sig således for størstedelen af de ikke-
energirelaterede udledninger, og udledninger fra landbrugsarealerne tegner sig
samtidig også for langt hovedparten af LULUCF-udledningerne. I 2025 forventes
udledningerne fra landbrugsprocesserne og landbrugsarealerne således tilsammen at
udgøre ca. 80 pct. af de ikke-energirelaterede udledninger, og dette forventes også at
være tilfældet i 2030 og 2035.
18
I takt med, at de energirelaterede udledninger generelt
falder, stiger den relative betydning af de ikke-energirelaterede udledninger, og en
væsentlig del af disse vedrører landbrugets produktionsprocesser og landbrugets
arealer.
2.4
Fremskrivningen af de enkelte sektorers udledninger 2019-2035
Der er ikke kun forskel på, hvor stor en andel sektorerne udgør af de samlede
udledninger, men der er også væsentlig forskel på, hvordan udledningerne i de enkelte
sektorer forventes at udvikle sig i fremskrivningsperioden. I dette afsnit beskrives
udledningerne i de forskellige sektorer ift. et 2019-udgangspunkt, da 2020-
udledningerne i nogle sektorer var påvirket af covid-19 pandemien.
Figur 2.6:
Udviklingen i sektorernes udledninger 2019-2030 (2019 = indeks 100)
Indeks (2019 = 100)
Indeks for sektorernes udledninger
Landbrug, skove, gartneri
og fiskeri
Produktion af olie, gas og
VE-brændstoffer
Affald (inkl.
affaldsforbrænding)
Transport
Fremstillingserhverv og
bygge-anlæg
Serviceerhverv
Husholdninger
140
120
100
80
60
40
20
0
2019
2020
2021
2022
2023
2024
2025
2026
2027
2028
2029
2030
2031
2032
2033
2034
Note: CCS er ikke afbilledet i figuren, da CCS ikke var etableret i 2019.
Udledningerne fra landbrug, skove, gartneri og fiskeri udgjorde 15,7 mio. ton CO
2
e i
2019. Udledningerne forventes at stige til 16,6 mio. ton i 2025, for herefter at aftage til
15,1 og 14,4 mio. ton CO
2
e i hhv. 2030 og 2035, svarende til et fald på 4 pct. i 2030 og 8
pct. i 2035 ift. 2019. Udviklingen i de samlede udledninger fra sektoren dækker over
forskellige udviklingstendenser i de forskellige delsektorer.
18
Bemærk at de samlede udledninger fra sektoren landbrug, skove, gartneri og fiskeri omfatter også sektorens
energiforbrug samt LULUCF udledninger og optag fra skove, øvrige arealer og høstede træprodukter (jf. kap. 10).
2035
El og fjernvarme
KEF, Alm.del - 2021-22 - Bilag 306: Orientering om offentliggørelse af Klimastatus og klimafremskrivning 2022
2565544_0018.png
2. DET SAMLEDE BILLEDE
18
Således falder udledningerne fra landbrugsprocesser fra 11,3 mio. ton CO
2
e i 2019 til
10,2 mio. ton i 2030, bl.a. som følge af tiltag fra landbrugsaftalen fra 2021 som
reduktionskrav for husdyrenes fordøjelse, hyppigere udslusning af gylle, ekstensivering
og udtag af landbrugsarealer mv. LULUCF-udledninger stiger fra 2,9 mio. ton CO
2
e i
2019 til 4,9 mio. ton i 2025
19
, for herefter at falde igen til 3,8 mio. ton i 2030. Stigningen
frem mod 2025 skyldes hovedsageligt, at skove går fra at levere netto-optag på 2,5
mio. ton CO
2
e (2019) til at have en netto-udledning på 0,3 mio. ton CO
2
e. Faldet i
LULUCF-udledninger fra 2025 og frem skyldes hovedsageligt udtag og vådlægning af
kulstofrig jord, samt et øget optag i mineraljorden bl.a. som konsekvens af øget
udlægning af efterafgrøder. Derudover bliver udledningerne fra skov mindre, og fra
2030 og fremad forventes skov igen at bidrage med et mindre optag.
Udledningerne fra transportsektoren udgjorde 13,5 mio. ton CO
2
e i 2019.
Transportudledningerne forventes at falde til 12,4 mio. ton CO
2
e i 2025 og 10,7 mio. ton
i 2030, og faldet fortsætter frem mod 2035, hvor transportudledningerne forventes at
være reduceret til 8,8 mio. ton svarende til et fald på knap 35 pct. ift. 2019. Faldet i
transportudledningerne kommer på trods af et stigende trafikarbejde og skyldes en
kombination af omstilling fra konventionelle til eldrevne køretøjer, iblanding af VE-
brændstoffer samt forbedret energieffektivitet i konventionelle køretøjer. For så vidt
angår omstillingen fra konventionelle til eldrevne køretøjer, så forventes der i 2030
knap 740.000 elbiler og godt 270.000 plug-in hybrid biler, bl.a. som følge af den
teknologi- og markedsmæssige udvikling, herunder et større udvalg af el-biler. I 2030
forventes der ligeledes omkring 57.000 el-varebiler og 8.000 plug-in hybrid varebiler,
2.600 el lastbiler og 2.700 el busser. Uden for vejtransporten ses bl.a. også øget
elektrificering af jernbanen i fremskrivningsperioden, hvilket medfører at udledninger
fra jernbanetrafikken falder fra 0,2 mio. ton CO
2
e i 2019 til nul fra 2031 og frem.
Udledningerne fra fremstillingserhverv og bygge-anlæg falder fra 5,1 mio. ton CO
2
e i
2019 til 4,7 mio. ton i 2025 og 3,7 mio. ton i 2030, og i 2035 forventes sektorens
udledninger at udgøre 3,1 mio. ton CO
2
e. Faldet skyldes et fald i de energirelaterede
udledninger fra sektoren (fra 3,6 mio. ton i 2019 til 1,5 mio. ton i 2035).
Procesudledningerne fra sektoren, hvoraf størstedelen stammer fra cementproduktion,
stiger fra 1,4 mio. ton CO
2
e i 2019 til godt 1,6 mio. ton i 2025 og bliver liggende på dette
niveau frem til 2035. Dette skyldes bl.a. forventningen om øget cementproduktion i
Danmark som følge af en opdateret vurdering givet tendenser fra de seneste års
produktions- og efterspørgselsudviklinger, samt vurderinger af den samlede
produktionskapacitet (jf. KF22 forudsætningsnotat 6B).
Forventningen om øget cementproduktion i Danmark, på trods af stigende kvotepriser,
skal bl.a. ses i lyset af, at stigningerne i kvotepris også rammer cementproducenter i
andre dele af EU.
Udledningerne fra el- og fjernvarmesektoren falder fra 4,9 mio. ton i 2019 til 1,3 mio.
ton i 2025. I 2030 forventes sektoren at udlede 0,3 mio. ton og i 2035 blot 0,15 mio. ton
CO
2
. Baggrunden for de kraftigt faldende udledninger er primært udfasning af de sidste
kulfyrede kraftvarmeværker, fortsat udbygning med vindkraft og solceller, kraftig
udbygning med varmepumper til produktion af fjernvarme og reduktion i
kraftvarmeproduktion baseret på ledningsgas. Først i fremskrivningsperioden medfører
19
Dog ligger LULUCF-udledninger kun på 2,4 mio. ton i 2021, bl.a. som følge af, at 2021 var et relativt koldt år, hvilket
øger optaget i mineraljorden.
KEF, Alm.del - 2021-22 - Bilag 306: Orientering om offentliggørelse af Klimastatus og klimafremskrivning 2022
2565544_0019.png
2. DET SAMLEDE BILLEDE
19
stigende brændselspriser højere elpriser, som gør det fordelagtigt for danske
elproducenter at øge den termiske elproduktion. Dette fører i få år til en højere andel af
el- og fjernvarmeproduktion baseret på kul, ledningsgas og særligt biomasse, før denne
senere i fremskrivningsperioden atter reduceres i konkurrencen fra øget produktion fra
sol- og vindkraft.
Energiøerne indgår ikke i KF22-grundforløbet. De system- og klimamæssige
konsekvenser af energiøerne for den danske el- og fjernvarmesektor søges derfor
belyst med en partiel følsomhedsberegning, hvor det indenlandske elforbrug holdes
uændret. Følsomhedsberegningen viser, at energiøerne vil få VE-andelen i elforbruget
til at stige fra 109 pct. til 123 pct. i 2030 og fra 101 pct. til 138 pct. i 2035. Energiøerne
forventes at levere et stort overskud af grøn elektricitet, som kan udnyttes for at
nedbringe drivhusgasudledningen fra andre sektorer gennem direkte eller indirekte
elektrificering, eller bidrage til at fortrænge fossil elproduktion i vores nabolande.
Følsomhedsberegningen viser også, at energiøerne alene har meget lille betydning for
den danske drivhusgasudledning, da omfanget af fossilbaseret elproduktion i Danmark
er meget begrænset i slutningen af fremskrivningsperioden.
Udledningerne fra affaldssektoren udgjorde 2,9 mio. ton CO
2
e i 2019. Frem mod 2024
stiger udledningerne fra affaldssektoren til 3,3 mio. ton for herefter at falde igen til 2,3
mio. ton i 2030 og 2,0 mio. ton i 2035. Udviklingen skyldes bl.a. højere udledninger
forbundet med metanlækage fra biogasanlæggene, da et måleprogram har ført til
opjustering af lækageraten for biogasanlæg (jf. KF22 forudsætningsnotat 9B og
sektornotat 9B). Den opjusterede lækagerate medfører højere forventede udledninger
fra biogaslækage, som antages at stige i takt med den stigende biogasproduktion frem
mod 2030. Derudover ses der også en lille stigning i udledningerne fra
affaldsforbrænding fra 1,6 mio. ton i 2019 til 1,7 mio. ton i 2024. Herefter falder
udledningerne fra affaldsforbrænding til 0,7 mio. ton i 2030 i takt med, at
affaldsforbrændingskapaciteten reduceres mhp. tilpasning til de reducerede danske
affaldsmængder, bl.a. som følge af aftalen om en klimaneutral affaldssektor fra 2020.
Øget udsortering medfører samtidig også, at den fossile andel i danske
affaldsmængder reduceres (jf. KF22 forudsætningsnotat 9A og sektornotat 9A).
Udledningerne fra produktion af olie, gas og VE-brændstoffer omfatter både
udledningerne forbundet med indvindingen i Nordsøen og udledningerne fra
raffinaderierne, og i 2019 udgjorde disse i alt 2,4 mio. ton CO
2
e. I
fremskrivningsperioden topper udledningerne fra sektoren i 2024 med 2,7 mio. ton,
hvorefter de falder til 2,3 mio. ton i 2030 og 2,1 mio. ton i 2035. De højere udledninger i
midten af 2020’erne skyldes øget egetforbruget ifm. indvinding, og hænger bl.a.
sammen med udskydelsen af idriftsættelsen af Tyrakomplekset samt idriftsættelsen af
en række andre, mindre projekter, hvor udledningen er størst i begyndelsen af
driftsfasen. Det skal endvidere bemærkes, at udledningerne fra raffinaderierne er
kvoteomfattede, hvilket betyder, at udviklingen i kvoteprisen kan have effekt, der ikke er
fuldt afspejlet i sektorens udledninger i KF22, da raffinaderier i KF22 er fremskrevet
fladt ud fra 2019-niveauet (jf. også kap. 7 og forudsætningsnotat 7B). Den ekstra
partielle effekt på raffinaderiernes udledning af den stigende kvotepris vurderes at
være i størrelsesordenen 0,08 mio. ton CO
2
.
20
20
Frem mod KF23 undersøges mulighederne for at videreudvikle håndteringen af raffinaderiernes udledninger i
modellerne bag klimafremskrivningen.
KEF, Alm.del - 2021-22 - Bilag 306: Orientering om offentliggørelse af Klimastatus og klimafremskrivning 2022
2565544_0020.png
2. DET SAMLEDE BILLEDE
20
CCS (carbon capture and storage)
CCS indgår igen i år som en ikke-sektorfordelt kilde til reduktion af udledningerne. CCS
forventes at blive etableret som følge af CCUS-puljen (fra Klimaaftale for energi og
industri, 2020) og det teknologineutrale udbud af negative emissioner (fra Finansloven
for 2022). Den forventede årlige CO
2
-reduktionseffekt fra CCS er vist i tabel 2.3
nedenfor.
Tabel 2.3:
Den forventede årlige CO
2
-reduktionseffekt fra CCS
CO
2
(mio.
ton)
CCUS-pulje
Pulje til
negative
emissioner
Reduktion
seffekt i
alt
2021
0
0
0
2022
0
0
0
2023
0
0
0
2024
0
0,5
0,5
2025
0,4
0,5
0,9
2026
0,4
0,5
0,9
2027
0,6
0,5
1,1
2028
0,6
0,5
1,1
2029
0,9
0,5
1,4
2030
0,9
0,5
1,4
2031
0,9
0,5
1,4
2032
0,9
0,5
1,4
2033
0,9
0
0,9
2034
0,9
0
0,9
2035
0,9
0
0,9
Kilde: KF22 forudsætningsnotat 7E: CCS (2022)
CCS er formelt set en kilde til nuludledning fra fossile udledninger eller
procesudledninger eller til negative udledninger, hvis teknologien anvendes til at
indfange biogene udledninger. Grundet den store usikkerhed omkring den
fremadrettede udvikling for CCS i Danmark, er der ifm. KF22 ikke foretaget en specifik
vurdering af, hvorledes CCS vil blive fordelt på sektorer, og dermed heller ikke af, hvilke
sektorers udledninger der i givet fald skulle reduceres som følge af CCS. I KF22
håndteres CCS derfor som en separat, ikke-sektorfordelt kilde til negative emissioner.
At CCS ikke er sektorfordelt betyder endvidere, at CCS ikke indgår som en integreret del
af systemberegningerne til KF22, hvorfor afledte effekter, fx ift. energiforbrug mv., ikke
vil være afspejlet i fremskrivningens resultater.
2.5
Usikkerhed
Som nævnt i kapitel 1 er det vigtigt, at KF22 resultaterne læses med en bevidsthed om
den usikkerhed, der knytter sig til fremskrivningen. Der er både tale om den generelle
usikkerhed, der altid vil være knyttet til at fremskrive drivhusgasudledninger, og den
specifikke usikkerhed, der knytter sig både til afledte effekter af covid-19 og afledte
effekter af udviklingen i Ukraine.
Generel usikkerhed
Den generelle usikkerhed i fremskrivningen er bl.a. relateret til vanskelighederne med at
fremskrive udviklingen i aktiviteten i samfundet generelt samt udviklingen i aktiviteten i
erhverv med væsentlige drivhusgasudledninger, fx cementproduktion og
landbrugsproduktion.
En anden generel kilde til usikkerhed i fremskrivningen, er usikkerhed ift.
investeringsadfærden, herunder særligt den hastighed, hvormed nye teknologier
indfases, fx elbiler i transport, begyndende skift væk fra fossile brændsler i
fremstillingserhverv og omstilling fra naturgasfyr til andre opvarmningsformer i
husholdninger. I den forbindelse vil der også være usikkerhed omkring størrelsen af
effekten af den afsatte CCUS-pulje og det teknologineutrale udbud til negative
emissioner (jf. KF22 forudsætningsnotat 7E).
Dertil kommer den generelle usikkerhed ift. fremskrivningens forudsætningsgrundlag,
herunder den økonomiske vækst, udviklingen i priser på ressourceinput og
KEF, Alm.del - 2021-22 - Bilag 306: Orientering om offentliggørelse af Klimastatus og klimafremskrivning 2022
2565544_0021.png
2. DET SAMLEDE BILLEDE
21
teknologiudviklingen. Disse faktorer vil endvidere også påvirkes af covid-19 og
udviklingen i Ukraine.
Covid-19 og udviklingen i Ukraine
Der er fortsat en væsentlig usikkerhed knyttet til de mulige varige konsekvenser af
covid-19pandemien, herunder hvorvidt der på længere sigt vil komme uforudsete
struktur- eller adfærdsændringer. Det skal i denne forbindelse særligt bemærkes, at
2020 er seneste statistik-år i KF22, men at den bagvedliggende fremskrivning i mange
tilfælde har taget udgangspunkt i 2019, der vurderes at være et mere hensigtsmæssigt
og retvisende fremskrivningsgrundlag. Da KF22 afrapporteringen samtidig viser de
faktiske historiske tal for 2020, vil dette i mange tilfælde betyde, at figurer og tabeller
viser et ”hak” i 2020.
Udviklingen i Ukraine har haft markante afledte effekter på en række internationale
markeder, ikke mindst energimarkederne. Forudsætningerne bag KF22 er fastlagt
ultimo 2021, og den markante udvikling i energipriserne, der er set i første kvartal af
2022, er derfor ikke afspejlet i KF22 resultaterne.
21
Det samme gælder regeringens
udspil
Danmark kan mere II
samt udspillet til en grøn skattereform. Disse elementer vil
således først kunne indgå i den kommende KF23.
Følsomhedsberegninger.
I de efterfølgende sektorkapitler gives der eksempler på væsentlige
usikkerhedsmomenter, og i en del tilfælde også følsomhedsberegninger for de
pågældende sektorer. I de bagvedliggende sektornotater er der en yderligere uddybning
af disse. Tværgående følsomhedsberegninger på fossile brændselspriser og CO
2
-
kvotepris vil blive afrapporteret i særskilt notat efter KF22 udgivelsen.
21
Energipriserne var dog allerede steget væsentlig frem mod slutningen af 2021, og disse stigninger er afspejlet i KF22
brændselsprisforudsætningerne, jf. KF22 forudsætningsnotat 3A.
KEF, Alm.del - 2021-22 - Bilag 306: Orientering om offentliggørelse af Klimastatus og klimafremskrivning 2022
2565544_0022.png
3. HUSHOLDNINGER
22
1 pct.
Udledninger
2030
3 Husholdninger
Husholdningssektoren består af alle borgere i Danmark. Der er ca. 5,9 mio. mennesker,
som bor i ca. 2,7 mio. boliger
22
. Alle boliger har behov for opvarmning, og en del får
dette behov dækket gennem kollektiv fjernvarmeforsyning, mens andre må benytte
individuelle opvarmningsformer som fx gasfyr og varmepumper
23
. Derudover anvender
alle husstande en række el-apparater til bl.a. belysning, vask og rengøring, madlavning
og madopbevaring samt til underholdning.
Husholdningssektoren omfatter i KF22 udledninger knyttet til husholdningers forbrug
af individuel opvarmning, mens udledninger relateret til fjernvarme og elforbrug
opgøres i el- og fjernvarmesektoren, der beskrives i kapitel 8. Husholdningssektoren
omfatter også udledninger fra terrassevarmere baseret på gas, benzindrevne
plæneklippere og lignende. Herudover omfatter husholdningernes udledninger i KF22
nu også udledning af F-gasser forbundet med husholdningernes apparatforbrug mv. (jf.
KF22 forudsætningsnotat 9C).
Husholdningssektoren udledte i 2019 og 2020 hhv. 2,1 mio. og 1,9 mio. ton CO
2
e
svarende til ca. 4 pct. af Danmarks samlede udledninger i begge år.
Kilde: Statistikbanken, Danmarks Statistik. Tabellerne
FOLK1A: Folketal den 1. i kvartalet efter område, køn, alder og
civilstand
og
BOL101: Boliger efter område, beboertype, anvendelse og tid.
Antal boliger omfatter alene beboede boliger.
23
I dette notat anses individuelle opvarmningsformer som de former, hvor rumvarme og varmt brugsvand genereres i
den enkelte bolig. Gasfyr betragtes således også som en individuel opvarmningsform, selvom ledningsgassen bliver
fordelt til boligerne gennem fælles rør.
22
KEF, Alm.del - 2021-22 - Bilag 306: Orientering om offentliggørelse af Klimastatus og klimafremskrivning 2022
2565544_0023.png
3. HUSHOLDNINGER
23
I 2025, 2030 og 2035 forventes sektoren at udlede hhv. 1,1, 0,5 og 0,3 mio. ton CO
2
e
svarende til 3, 1,4 og 1 pct. af Danmarks samlede udledninger. Den forventede
udvikling i sektorens udledninger skyldes især følgende faktorer:
Den individuelle opvarmning i husholdninger bliver mindre CO
2
-intensiv af tre
årsager: Nogle individuelle opvarmningsformer konverterer til kollektiv
fjernvarmeforsyning, bl.a. på grund af øget udbygning af fjernvarmenettet. For de
husstande, der fortsat har individuel opvarmning, konverterer en del væk fra olie-
og gasfyr over til varmepumper. For de husstande, der stadig har gasfyr, falder
udledningerne på grund af en højere VE-andel i ledningsgassen.
Energieffektiviseringer i form af energiforbedringer af eksisterende boliger og
bedre bygningsstandarder for nybyggeri betyder, at det endelige energiforbrug til
opvarmning ikke stiger, selvom det opvarmede boligareal øges. Konverteringen til
fjernvarme og varmepumper betyder også, at husholdningernes varmebehov bliver
opfyldt mere energieffektivt.
3.1
Husholdningssektorens udledninger
Husholdningernes udledninger stammer fra en delmængde af sektorens energiforbrug,
nemlig den del af energiforbruget, der omfatter individuel opvarmning som olie- og
gasfyr, samt energiforbrug fra terrassevarmere, benzindrevne plæneklippere og
lignende
24
. Herudover er der i KF22 også udledning af F-gasser, som primært består af
husholdningernes brug af kølemidler i varmepumper.
Figur 3.1:
Udledninger fra husholdninger for 1990-2035 i mio. ton CO
2
e
mio. ton CO2e
Udledninger fra husholdninger
6
5
4
3
2
1
0
1990
F-gasser
Øvrige
Individuel opvarmning
1995
2000
2005
2010
2015
2020
2025
2030
2035
Note: Historiske værdier for energiforbrug er opgjort som faktiske tal. Øvrige omfatter terrassevarmere, benzindrevne
plæneklippere og lignende.
24
Husholdningernes forbrug af brændstof til transport – herunder benzin, diesel og el til elbiler – beskrives i kapitel 4 og
i sektornotat 4A om transport.
KEF, Alm.del - 2021-22 - Bilag 306: Orientering om offentliggørelse af Klimastatus og klimafremskrivning 2022
2565544_0024.png
3. HUSHOLDNINGER
24
Husholdningernes samlede udledninger for perioden 1990-2035 er vist i figur 3.1.
Som det fremgår af figuren, forventes sektorens samlede udledninger at falde med 78
pct. fra 2019 til 2030, og faldet forventes at fortsætte frem mod 2035, hvor
husholdningerne kun forventes at udlede 0,3 mio. ton CO
2
e.
3.2
Husholdningernes energiforbrug, effektiviseringer og teknologiskift
Selv om husholdningerne kun tegner sig for 4 pct. af de samlede udledninger i 2019,
står sektoren for 30 pct. af det samlede endelige energiforbrug. Energiforbruget i
husholdninger består af ca. 85 pct. rumvarme og ca. 15 pct. elforbrug.
Det endelige varmeforbrug til rumvarme og varmt brugsvand forventes at stige en
smule frem mod 2025 og derefter at falde (jf. KF22 sektornotat 3A). Elforbruget til
belysning og apparater forventes at toppe i 2020 og derefter falde. Der er ikke vedtaget
nye politiske tiltag i 2021 rettet mod husholdningernes opvarmning. Derfor drives den
forventede udvikling efter 2020 af de politiske aftaler, som også indgik i KF21, herunder
afgiftsjusteringer, der gør det billigere at varme op med el, reguleringsændringer, som
fjerner forhindring for konvertering af gasområder til fjernvarme, samt de fire
tilskudspuljer til udfasning af olie- og gasfyr, som med Finansloven for 2021 har fået
afsat flere midler: Bygningspuljen, Skrotningsordningen, Fjernvarmepuljen og
Afkoblingsordningen. KF22 tager ikke højde for de ekstra midler, der er afsat i
Aftale
om målrettet varmecheck
fra februar 2022 til at sikre hurtigere udfasning af fossile
varmekilder i danskernes hjem. Markedsprisen på naturgas har været høj siden
efteråret 2021, og situationen i Ukraine har øget usikkerhederne på energimarkederne,
hvilket samlet set kan få varig effekt på husholdningernes valg af opvarmningsform.
Opvarmning i husholdninger - teknologivalg
Udviklingen i udledninger og energiforbrug forbundet med opvarmning i husholdninger
drives af flere faktorer, heriblandt husholdningernes valg af opvarmningsform, arealet i
husholdninger, som skal opvarmes, og boligernes stand og alder. I forhold til
husholdningernes valg af opvarmningsform vil valget mange steder være begrænset i
forhold til, om der for den specifikke husholdning er adgang til et fjernvarmenet eller et
ledningsgasnet. Tidligere har der også været begrænsninger forbundet med
forbrugerbindinger som tilslutningspligt og/eller forblivelsespligt ift. fjernvarme og
ledningsgas. Som følge af Energiaftalen fra 2018 blev muligheden for at pålægge nye
forbrugerbindinger ophævet. Eksisterende forbrugerbindinger til ledningsgasnettet
ophæves som følge af
Klimaaftale for energi og industri mv. 2020
– de sidste
(tilslutnings- og forblivelsespligt) ophæves pr. d. 1. juli 2022. Eksisterende bindinger til
fjernvarme opretholdes.
Udviklingen forventes at gå mod mere fjernvarme og tilsvarende mindre individuelle
opvarmningsformer. I 2020 var det lidt over halvdelen af alle bygninger anvendt til
beboelse, som havde fjernvarme som primær opvarmningsform. I 2030 forventes det
at være ca. 65 pct., og stigningen fortsætter mod 2035. For de individuelle
opvarmningsformer forventes en stigning i varmepumper, mens der forventes at blive
færre bygninger anvendt til beboelse, som primært opvarmes med oliefyr, gasfyr,
biomassefyr eller elpaneler. Varmepumper var den primære opvarmningsform i 8 pct.
af bygningerne anvendt til beboelse i 2020, og andelen forventes at stige til 14 pct. i
2030 og 20 pct. i 2035. Gasfyr og oliefyr var den primære opvarmningsform i hhv. 21
pct. og 4 pct. af bygningerne anvendt til beboelse i 2020, og andelene forventes at falde
KEF, Alm.del - 2021-22 - Bilag 306: Orientering om offentliggørelse af Klimastatus og klimafremskrivning 2022
2565544_0025.png
3. HUSHOLDNINGER
25
til hhv. 10 pct. og 1 pct. i 2030. I 2030 forventes der at være ca. 185.000 bygninger
anvendt til beboelse, som har oliefyr eller gasfyr som primær opvarmningsform. Det
forventes også, at ca. 260.000 bygninger anvendt til beboelse har varmepumper, og at
ca. 1,2 mio. bygninger har fjernvarme som primær opvarmningsform i 2030. Det er
vigtigt at bemærke, at disse forventninger er baseret på brændselspriser fra december
2021, det vil sige fra før de skarpe prisstigninger som følge af situationen i Ukraine,
samt før regeringens præsentation af
Danmark kan mere II.
Figur 3.2:
Endeligt varmeforbrug i husholdninger fordelt på energivarer for 1990-2035 i PJ
PJ
Varmeforbrug i husholdninger
200
180
160
140
120
100
80
60
40
20
0
1990 1995 2000 2005 2010 2015 2020 2025 2030 2035
Fjernvarme
Elektricitet
Øvrig VE
Biomasse
Ledningsgas - VE-del
Ledningsgas - fossil-del
Olie
Kul & Koks
Nettovarmeforbrug
Noter: Historiske værdier for energiforbrug er opgjort som faktiske tal. Øvrig VE omfatter omgivelsesvarme
(varmepumper) og solenergi. Ledningsgas er opdelt i en fossil del og en VE del ud fra den samlede bionaturgasandel i
systemet.
Figur 3.2 viser, at opvarmning i husholdninger i stigende grad forventes at blive dækket
af fjernvarme. For de individuelle opvarmningsformer reduceres opvarmning baseret
på ledningsgas og olie. Biomasse reduceres også, men forventes stadig at udgøre 20
pct. af det endelige varmeforbrug i 2030. Øvrig VE består især af omgivelsesvarme i
form af varmepumper og en smule solenergi. Øvrig VE udgør 6 pct. af det endelige
varmeforbrug i 2019 og forventes at stige til 13 pct. i 2030. Elektricitet til elpaneler og
varmepumper forventes at blive fordoblet mellem 2019 og 2035. Den forventede
stigning omfatter et mindre fald i elforbrug til elpaneler samt mere end en fordobling i
elforbrug til varmepumper mellem 2019 og 2035. I 2030 forventes energimikset i
husholdningers opvarmning primært at bestå af fjernvarme, biomasse og
varmepumper, suppleret af elektricitet og ledningsgas. Ledningsgas består af naturgas
og bionaturgas, og udledningerne forbundet med forbrug af ledningsgas afhænger af
andelen af bionaturgas i ledningsgassen (jf. KF22 sektornotat 7B).
Opvarmning i husholdninger - energieffektivitet
Skiftet væk fra olie- og gasfyr over mod mere effektive forsyningsløsninger som
fjernvarme og varmepumper har været medvirkende til at reducere forskellen mellem
det endelige varmeforbrug og nettovarmeforbruget, som udgøres af tab i
konverterings- og fordelingsanlæg i de enkelte husholdningers varmeinstallationer. I
1990 blev 20 pct. af det endelige energiforbrug, som blev brugt til at producere
KEF, Alm.del - 2021-22 - Bilag 306: Orientering om offentliggørelse af Klimastatus og klimafremskrivning 2022
2565544_0026.png
3. HUSHOLDNINGER
26
rumvarme og varmt brugsvand til danske huse, ikke nyttiggjort til opvarmning af
boligerne. I 2030 forventes tabet blot at være på 8 pct. som det ses i figur 3.2.
Det opvarmede boligareal forventes at stige med ca. 3 pct. i enfamilieshuse og med ca.
12 pct. i etageboliger fra 2020 til 2030. Selv om boligarealet stiger, forventes det
endelige energiforbrug til opvarmning at falde med ca. 7 pct. for enfamilieshuse, og
kun at stige en smule for etageboliger i 2030. Varmeforbrug pr. kvadratmeter i boliger
er samlet set faldet siden 2010 og forventes at falde yderligere frem mod og efter
2030. Udviklingen er påvirket af, at husholdningerne løbende energieffektiviserer de
eksisterende boliger, og at nye boliger kræver mindre energi til opvarmning pr.
kvadratmeter end den eksisterende bygningsmasse. Desuden forventes som nævnt
oven for et skift mod opvarmningsformer, der indebærer et mindre konverteringstab i
varmeinstallationer, som fx varmepumper og fjernvarme.
Opvarmning i husholdninger - udledninger
CO
2
e-udledningen forbundet med opvarmning af både enfamiliehuse og etageboliger
forventes at falde med ca. 90 pct. frem mod 2030, og faldet forventes at fortsætte.
Konverteringen væk fra oliefyr og gasfyr og mod opvarmningsformer, der udleder
mindre CO
2
e, forventes at bidrage med en reduktion på 1,1 mio. ton CO
2
e i 2030 i
forhold til 2019. Ud over reduktioner på baggrund af konverteringer til renere
opvarmningsformer forventes en reduktion i udledningerne fra husholdningers
individuelle opvarmning på baggrund af en øget VE-andel i ledningsgassen.
Sammenlignet med en situation, hvor ledningsgassen er 100 pct. fossil, bidrager den
forventede VE-andel i ledningsgassen med en reduktion i husholdningernes udledning
på 0,5 mio. ton CO
2
e i 2030 i forhold til 2019.
Det skal bemærkes, at yderligere konverteringer væk fra ledningsgas vil føre til en fuld
tilsvarende reduktion i det fossile naturgasforbrug, og dermed også i udledningerne,
fordi udbuddet af bionaturgas antages at være bestemt af støtten til bionaturgas, og
ikke af efterspørgslen på ledningsgas (jf. sektornotat 7B).
Elforbrug i husholdninger
Elforbrug i husholdninger anvendes både til belysning og apparater samt til opvarmning
med varmepumper og elpaneler. Elforbrug til opvarmning er behandlet ovenfor, så
dette afsnit ser udelukkende på elforbrug til belysning og apparater.
Figur 3.3 viser, at elforbruget til belysning og apparater i husholdninger stiger med 19
pct. fra 1990 til 2019. Elforbruget stiger yderligere til 2020 og forventes at falde
derefter. Faldet fortsætter efter 2025, men i et lavere tempo. Det høje forbrug i 2020
kan skyldes øget hjemmearbejde i forbindelse med covid-19. Fremskrivningen tager
udgangspunkt i niveauet for 2019. Udviklingen efter 2020 skyldes et forventet udløb af
effekten af Ecodesign krav på el-apparaters effektivitet omkring 2025, fx i form af at
potentialet for at udskifte gammel belysning med LED-pærer efterhånden er udtømt.
KEF, Alm.del - 2021-22 - Bilag 306: Orientering om offentliggørelse af Klimastatus og klimafremskrivning 2022
2565544_0027.png
3. HUSHOLDNINGER
27
Figur 3.3:
Elforbrug til belysning og apparater i husholdninger for 1990-2035 i PJ.
PJ
Elforbrug i husholdninger
40
35
30
25
20
15
10
5
0
1990
1995
2000
2005
2010
2015
2020
2025
2030
2035
Belysning og apparater
Note: Historiske værdier for energiforbrug er opgjort som faktiske tal.
Udviklingen i elforbruget til belysning og apparater drives af antal husholdninger,
udvikling i apparatbestand pr. husholdning og udvikling i apparaternes effektivitet.
Antallet af husholdninger forventes at stige med ca. 9 pct. frem til 2035, svarende til
ca. 250.000 husstande. Det samlede fald i elforbrug til belysning og apparater er
sammensat af et stigende antal husholdninger, et nogenlunde uændret antal apparater
pr. husholdning og en stigende effektivitet for alle apparattjenester. Den forventede
effektivitetsstigning er stor nok til at udligne stigningerne, som de øvrige drivere giver
anledning til, og endda stor nok til at resultere i et faldende elforbrug til belysning og
apparater i husholdningerne.
3.3
Usikkerhed
I husholdningssektoren udgør den fremtidige udvikling i adfærd en stor usikkerhed.
Husholdningerne består af mange forskellige aktører med forskellige præferencer, som
ikke nødvendigvis har den nødvendige information eller de nødvendige forudsætninger
til at træffe rationelle beslutninger i forhold til valg af opvarmningsform eller elforbrug.
Desuden kan præferencerne ændre sig over tid på måder, som kan være svære at
forudse. Den samlede udvikling er summen af mange individuelle valg, og er derfor
vanskelig at fremskrive.
Derudover er der usikkerhed om fremskrivning af parametre, som er afgørende for det
fremtidige energiforbrug, som fx antallet af husholdninger, antal opvarmede
kvadratmeter mv.
KEF, Alm.del - 2021-22 - Bilag 306: Orientering om offentliggørelse af Klimastatus og klimafremskrivning 2022
2565544_0028.png
4. TRANSPORT
28
32 pct.
Udledninger
2030
4 Transport
Med mindre vi cykler eller går, er al transport forbundet med et energiforbrug, der
påvirker vores energisystem og dermed potentielt også udledningen af drivhusgasser.
Transportsektorens udvikling drives dels af alle de vidt forskellige behov for at
transportere mennesker og varer, dels ud fra regler og politiske tiltag på området, samt
den teknologiske udvikling.
Transportsektoren omfatter både individuel og kollektiv persontransport samt
godstransport fordelt på følgende transportkategorier
25
:
Vejtransport
Banetransport
Indenrigsluftfart
Indenrigssøfart
Øvrig transport (forsvar og fritidsfartøjer)
Transportsektoren udledte i 2019 13,5 mio. ton CO
2
e, svarende til ca. 28 pct. af
Danmarks samlede udledninger. Sektorens udledninger forventes frem mod 2025 at
falde til 12,4 mio. ton CO
2
e, og derefter yderligere til 10,7 mio. ton og 8,8 mio. ton i hhv.
2030 og 2035. Sektorens andel af de samlede udledninger forventes dog at forblive
omkring 30 pct., eftersom Danmarks samlede udledninger også bliver mindre.
Den forventede udvikling i sektorens udledninger er primært et resultat af den
forventede udvikling i vejtransporten, da vejtransporten står for langt størstedelen af de
25
Indenrigs luft- og søfart omfatter indenrigsruter samt ruter mellem Danmark og hhv. Grønland og Færøerne. I
overensstemmelse med FN’s opgørelsesmetode indgår udledninger fra udenrigs luft- og søfart ikke i det danske
klimaregnskab, men er beskrevet i Global Afrapportering 2022, som udkommer parallelt med KF22.
KEF, Alm.del - 2021-22 - Bilag 306: Orientering om offentliggørelse af Klimastatus og klimafremskrivning 2022
2565544_0029.png
4. TRANSPORT
29
samlede udledninger fra transportsektoren. Udviklingen i vejtransporten afhænger
særligt af følgende faktorer:
Voksende trafikarbejde (antal kørte kilometer stiger)
Elektrificering af vejtransporten gennem omstilling fra konventionelle til eldrevne
køretøjer.
Iblanding af VE-brændstoffer
26
i benzin og diesel
Forbedret energieffektivitet for nye konventionelle køretøjer
Til trods for et stadig voksende trafikarbejde i vejtransporten, forventes udledningerne
at falde som følge af elektrificering, øget iblanding af VE-brændstoffer samt mere
effektive konventionelle køretøjer.
4.1
Transportsektorens udledninger
Udviklingen i transportsektorens samlede drivhusgasudledninger er præsenteret i figur
4.1, som viser de historiske og de fremskrevne udledninger i perioden 1990-2035
fordelt på transportkategorier. Det bemærkes, at der i fremskrivningerne ikke er taget
eksplicit højde for eventuelle langtidseffekter af covid-19 for de enkelte
transportkategorier.
Figur 4.1:
Transportsektorens udledninger for 1990-2035 i CO
2
e fordelt på transportkategorier
mio. ton CO2e
Udledninger fra transportsektoren
16
14
12
10
8
6
4
2
0
1990
1995
2000
2005
2010
2015
2020
2025
2030
2035
Øvrig transport
Indenrigsluftfart
Indenrigssøfart
Banetransport
Vejtransport
Udledninger fra vejtransporten
I 2019 udledte vejtransporten 12,3 mio. ton CO
2
e svarende til 91 pct. af
transportsektorens samlede udledninger. Vejtransportens udledninger faldt til 11,3
mio. ton CO
2
e i 2020, primært som følge af covid-19. Udledningerne forventes at stige i
2021, for derefter at aftage gradvist frem mod 2025, hvor udledningerne forventes at
ligge på samme niveau som i 2020. På den anden side af 2025 begynder udledningerne
at falde mærkbart, og i 2030 forventes udledningerne fra vejtransporten at være 9,8
26
VE-brændstoffer (brændstoffer produceret på grundlag af vedvarende energikilder) er i notatet en fællesbetegnelse
for både biomassebaserede brændstoffer (fx biodiesel og bioethanol) og brændstoffer produceret vha. elektrolyse
(Power-to-X-teknologi).
KEF, Alm.del - 2021-22 - Bilag 306: Orientering om offentliggørelse af Klimastatus og klimafremskrivning 2022
2565544_0030.png
4. TRANSPORT
30
mio. ton CO
2
e, et fald på ca. 20 pct. i forhold til 2019. Frem mod 2035 falder
udledningerne yderligere til 7,9 mio. ton CO
2
e.
Personbiler står for hovedparten af vejtransportens udledninger, 58 pct. i 2019,
efterfulgt af varebiler og lastbiler. Dette fremgår af figur 4.2, som viser udledningen af
drivhusgasser fra vejtransporten opdelt på køretøjstyper samt grænsehandel
27
.
Personbilerne er samtidig den køretøjskategori, hvor det forventede fald i
udledningerne er størst, både i absolutte tal og relativt til størrelsen af udledningerne.
Figur 4.2:
Udledninger fra vejtransporten fordelt på køretøjer, 1990-2035
mio. ton CO2e
Udledninger fra vejtransporten
8
7
6
5
4
3
2
1
0
-1
1990
1995
2000
2005
2010
2015
2020
2025
2030
2035
Personbiler
Varebiler
Lastbiler
Grænsehandel
Busser
Motorcykler
Udledningerne fra vejtransporten er afhængig af aktiviteten i sektoren, dvs.
efterspørgslen på person- og godstransport på vejnettet, samt hvordan efterspørgslen
dækkes i forhold til køretøjstype og køretøjsbestandenes sammensætning på
teknologier og drivmidler. Efterspørgslen på vejtransport er opgjort som trafikarbejdet
(antal kørte køretøjskilometer) og forventes at vokse i takt med den generelle
økonomiske vækst samt en øget befolkning. Det samlede trafikarbejde for hele
vejtransporten forventes at stige med ca. 20 pct. fra 2020 til 2035 og omfatter blandt
andet effekterne af ’Aftale om infrastrukturplan 2035’.
På trods af den fortsatte stigning i trafikarbejdet forventes en reduktion i udledningen
af drivhusgasser fra alle køretøjstyper. Det forventede fald i udledningerne fra
vejtransporten skyldes overvejende en omstilling til eldrevne køretøjer, øget iblanding
af VE-brændstoffer samt en fortsat energieffektivisering af konventionelle køretøjer.
Indfasningen af eldrevne køretøjer forventes at gå hurtigst for personbiler, men salget
af elvarebiler, -lastbiler og -busser forventes ligeledes at tage fart, særligt på den anden
side af 2030. Udviklingen i bestanden af de forskellige typer køretøjer beskrives
nærmere i afsnit 4.2.
27
Ifølge FN’s opgørelsesmetode inkluderes udledninger forbundet med grænsehandel med brændstof i det land, hvor
brændstoffet tankes. Udledninger fra grænsehandel, dvs. brændstof som tankes i Danmark men forbruges i udlandet, er
opgjort særskilt og fastholdes i fremskrivningsperioden på 2019-niveau. Det bemærkes, at der er tale om et skønnet
niveau, da grænsehandlen ikke kan opgøres eksakt.
KEF, Alm.del - 2021-22 - Bilag 306: Orientering om offentliggørelse af Klimastatus og klimafremskrivning 2022
2565544_0031.png
4. TRANSPORT
31
Udledninger fra banetransport, indenrigs luft- og søfart
I 2019 udledte banetransporten 0,2 mio. ton CO
2
e, svarende til ca. 2 pct. af
transportsektorens udledninger. På trods af en forventning om udvidelse af togdriften,
reduceres udledningerne betydeligt efter 2025 i takt med, at fjern- og regionaltog, som
står for hovedparten af udledningerne, elektrificeres. I 2030 forventes udledningerne
fra banetransporten at være 0,02 mio. ton CO
2
e, altså blot en tiendedel af i dag, mens
der i 2035 ingen udledninger vil være. De sidste dieseltog forventes udfaset lige efter
2030.
Udledningerne fra indenrigsluftfarten forventes at stige fra 0,15 mio. ton CO
2
e i 2019,
svarende til 1,1 pct. af transportsektorens samlede udledninger, til hhv. 0,16 og 0,17
mio. ton CO
2
e i 2025 og 2030. Fra 2030 til 2035 forventes udledningerne at være
uændrede. Den relativt lille stigning i udledningerne skyldes en forventet stigning i
efterspørgslen på indenrigsflyvninger, som alt andet lige øger forbruget af jet fuel.
Dette modsvares dog delvist af en forventet forbedring af energieffektiviteten.
Flybranchen har udmeldt planer for iblanding af VE-brændstoffer frem mod 2030, men
da dette ikke vurderes driftsøkonomisk rentabelt uden yderligere regulering, og
udmeldingerne ikke er bindende, er det ikke indregnet i fremskrivningen. Ligeledes er
der ikke taget højde for de seneste udmeldinger fra regeringen vedr. grøn luftfart, der
ved udarbejdelsen af KF22 endnu ikke er udmøntet i konkrete tiltag.
For indenrigssøfarten forventes en mindre reduktion i udledningerne fra 0,52 mio. ton
CO
2
e i 2019, svarende til 3,9 pct. af transportsektorens samlede udledninger, til hhv.
0,51 og 0,50 mio. ton CO
2
e i 2025 og 2030. Reduktionen sker som følge af
elektrificering af en række færgeruter, blandt andet drevet af puljen for grøn omstilling
af indenrigsfærger. Fra 2030 til 2035 forventes udledningerne at være stort set
uændrede. I forhold til VE-brændstoffer, fx ammoniak eller metanol til søfart, er der i
KF22 ikke indlagt forventning om en indfasning af disse alternativer. Det skyldes
kombinationen af, at KF22 har en frozen policy tilgang og at de alternative
brændstoffer vil være forbundet med en anseelig merpris herunder krav til investeringer
i infrastruktur mv.
4.2
Effektiviseringer og teknologiudvikling
Det forventede fald i udledningen af drivhusgasser fra transportsektoren er drevet af
udviklingen i vejtransporten, som gennemgås i afsnittene nedenfor.
Udbredelse af nul- og lavemissionskøretøjer i vejtransporten
Udviklingen er i høj grad drevet af EU’s CO
2
-forordninger om krav til udledninger fra
salget af fabriksnye person-, vare- og lastbiler. Kravene strammes løbende frem mod
2030 og for at undgå store bøder, forventes køretøjsproducenterne både at skulle
accelerere produktionen og salget af nul- og lavemissionskøretøjer, hvilket
hovedsageligt vil sige køretøjer med el- og plug-in hybridteknologi, samt forbedre
brændstofeffektiviteten for deres konventionelle benzin- og dieselkøretøjer.
Forordningerne fremmer dermed den teknologiske udvikling, reducerer priserne på nul-
og lavemissionskøretøjer og øger udvalget heraf. Sammen med forventningen om en
udbygning af den offentligt tilgængelige opladeinfrastruktur, som bl.a. understøttes af
’Udmøntning af pulje til grøn transport’, betyder disse faktorer, at nul- og
lavemissionskøretøjer kan dække flere forbrugere og virksomheders behov og
præferencer. Salget af især eldrevne køretøjer forventes derfor at stige betydeligt.
KEF, Alm.del - 2021-22 - Bilag 306: Orientering om offentliggørelse af Klimastatus og klimafremskrivning 2022
2565544_0032.png
4. TRANSPORT
32
For personbiler er der sket en teknologisk og markedsmæssig udvikling, som, sammen
med en række lempelser i bilafgifterne, har medført, at salget af el- og plug-in
hybridbiler er steget markant de seneste år. I 2021 udgjorde elbiler 13 pct. af nysalget
og plug-in hybridbiler udgjorde 22 pct. Inden for et par år forventes salget af elbiler at
overstige salget af plug-in hybridbiler, primært som følge af, at afgiftslempelserne for
plug-in hybridbiler udfases hurtigere end for elbiler, udvalget af elbiler stiger betydeligt
samtidig med, at rækkevidden og oplademulighederne øges. I 2030 forventes ca. 54
pct. af nysolgte personbiler at være elbiler og ca. 6 pct. plug-in hybridbiler. Denne
udvikling forventes at øge andelen af el- og plug-in hybridbiler i personbilsbestanden til
ca. 31 pct. i 2030, svarende til omkring 1 mio. el- og plug-in hybridbiler. Heraf er ca.
740.000 rene elbiler. I 2035 forventes halvdelen af alle personbiler i Danmark at være
enten en el- eller plug-in hybridbil med en klar overvægt af rene elbiler. Elbiler forventes
således at udgøre 43 pct. af den samlede personbilsbestand i 2035. Udviklingen er vist
i figur 4.3.
Figur 4.3:
Bestand af personbiler fordelt på teknologier, 2019-2035
1000 stk.
Bestand af personbiler
4500
4000
3500
3000
2500
2000
1500
1000
500
2019
2020
2021
2022
2023
2024
2025
2026
2027
2028
2029
2030
2031
2032
2033
2034
2035
Diesel
Benzin
Plug-in hybrid
El
0
En tilsvarende udvikling mod flere eldrevne køretøjer forventes i de øvrige
køretøjskategorier. Udviklingen for varebilerne forventes at følge personbilernes
udvikling relativt nært, men med en vis forsinkelse. I 2021 udgjorde elvarebiler lige
under 5 pct. af det samlede varebilssalg, mens plug-in hybridvarebiler udgjorde ca. 1
pct. Disse andele forventes at stige til hhv. 34 pct. for elvarebiler og 5 pct. for plug-in
hybridvarebiler i 2030, og yderligere til hhv. 54 pct. og 5 pct. i 2035.
Busser følger et særligt forløb. For rutebusser, som indfases i takt med udbud af
offentlige konktrakter til buskørsel, forventes en hurtig omstilling til el og et fortsat
relativt lavt salg af gasbusser. For turistbusserne, som udgør cirka halvdelen af
busbestanden, er forventningen til indfasning af el langt lavere. Samlet set for busser
forventes ca. 57 pct. af nysalget i 2030 af være elbusser stigende til ca. 72 pct i 2035.
For lastbiler har der indtil for nylig været lave forventninger til mulighederne for
elektrificering. På det seneste, i takt med den hastige udvikling af både batterier,
drivliner (motorer/transmissioner) og infrastruktur, er der internationalt en øget
KEF, Alm.del - 2021-22 - Bilag 306: Orientering om offentliggørelse af Klimastatus og klimafremskrivning 2022
2565544_0033.png
4. TRANSPORT
33
forventning til, at lastbiler med elektriske drivliner og batterier bliver en realistisk
løsning, også i de tungere segmenter. I KF22 forventes salget af ellastbiler at stige til
15 pct. af nysalget i 2030 og 35 pct. af nysalget i 2035.
Til trods for den relativt progressive elektrificering af vejtransporten, forventes der
forsat at være et relativt stort salg af konventionelle køretøjer frem mod 2035. Der
forventes således stadig at være behov og præferencer blandt køberne i forhold til fx
lasteevner, rækkevidde, præstationer m.v., der bedst imødekommes af de
konventionelle teknologier.
Energiforbrug i vejtransporten
Vejtransportens energiforbrug er et produkt af aktiviteten i sektoren kombineret med
køretøjernes energieffektivitet. De hidtidige effektiviseringer i de konventionelle
køretøjer har ikke været tilstrækkelige til at imødegå det stigende energiforbrug, der har
fulgt væksten i efterspørgslen på transport. Med den forventede elektrificering vil
denne tendens knække i fremskrivningsperioden og energiforbruget falder frem mod
2035, som vist i figur 4.4, hvor energiforbruget er fordelt på energivarer. Det samlede
energiforbrug fra vejtransporten forventes at falde fra ca. 173 PJ i 2019 til 156 PJ i
2030 og 138 PJ i 2035. En del af energiforbruget vil være VE-brændstoffer som følge af
et dansk CO
2
e-fortrængningskrav, der gradvist skærpes frem mod 2030, jf. sektornotat
4B.
Figur 4.4:
Energiforbrug i vejtransporten fordelt på energivarer
PJ
Energiforbrug i vejtransporten
Øvrige
Elektricitet
VE-brændstoffer
iblandet benzin
Benzin
VE-brændstoffer
iblandet diesel
Diesel
200
180
160
140
120
100
80
60
40
20
0
1990
1995
2000
2005
2010
2015
2020
2025
2030
2035
Note: Øvrige dækker bl.a. over gas og brint
KEF, Alm.del - 2021-22 - Bilag 306: Orientering om offentliggørelse af Klimastatus og klimafremskrivning 2022
2565544_0034.png
4. TRANSPORT
34
4.3
Usikkerhed
Fremskrivning af transportens energiforbrug og udledninger 15 år frem er forbundet
med betydelig usikkerhed. Det er vanskeligt at give en samlet usikkerhedsvurdering,
idet fremskrivningen bygger på en række forudsætninger, som kan trække
udviklingerne i modsatte retninger.
Der er til KF22 udført forskellige følsomhedsberegninger for vejtransporten, som
afspejler effekten på udledningerne af ændringer i udvalgte forudsætninger med
betydning for indfasningsforløbet for nul- og lavemissionskøretøjer, jf. sektornotat 4A.
For at anskueliggøre usikkerheden forbundet med tempoet for den igangværende
omstilling af personbiler fra konventionelle til nul- og lavemissionsbiler, er der beregnet
to alternative salgsforløb for el- og plug-in hybridbiler. Dels et forceret forløb, hvor
tidspunktet for, hvornår forbrugerne bredt set anser elbiler som alternativ til benzin- og
dieselbiler, er fremrykket 5 år fra 2030 til 2025, og dels et forløb hvor tidpunktet
tilsvarende er forsinket 5 år. Resultatet af dette er vist i figur 4.5.
Figur 4.5:
Effekter af ændret indfasningsforløb for elbiler (BEV) og plug-in hybridbiler (PHEV)
Ændret indfasningsforløb for el- og plug-in hybridbiler
100%
90%
80%
70%
60%
50%
40%
30%
20%
10%
0%
mio. ton CO2
10
9
8
7
6
5
4
3
2
1
0
2023
2019
2020
2021
2022
2024
2025
2026
2027
2028
2029
2030
2031
2032
2033
2034
PHEV udfaldsrum (venstre akse)
CO2 udfaldsrum (højre akse)
BEV udfaldsrum (venstre akse)
KF22
Hvis forbrugerens præferencer for elbiler således øges i forhold til antagelsen i KF22,
vil det medføre et øget salg af elbiler, som erstatter salget af de øvrige teknologier,
deriblandt også plug-in hybridbiler. Omvendt vil et scenarie, hvor forbrugernes
præferencer for elbiler reduceres, betyde et lavere salg af elbiler til fordel for de øvrige
teknologier, heriblandt plug-in hybridbiler. Disse alternative forløb giver i 2030
anledning til en salgsandel på hhv. 83 og 1 pct. for el- og plug-in hybridbiler i det
fremrykkede forløb og 43 og 12 pct. i det forsinkede forløb. Effekten på udledningerne
ift. KF22 er asymmetrisk, hvilket vil sige, at fremrykkede præferencer for elbiler giver
anledning til en reduktion ift. KF22 på cirka 0,65 mio. tons i 2030 og 1,44 mio. tons i
2035, mens en forsinkelse kun giver anledning til hhv. 0,12 mio. tons og 0,45 mio. tons
større udledning i 2030 og 2035.
Udviklingen i trafikarbejdet har ligeledes betydning for de forventede udledninger fra
vejtransporten. Der er opstillet to alternative forløb til det centrale KF22-forløb, hvor
2035
KEF, Alm.del - 2021-22 - Bilag 306: Orientering om offentliggørelse af Klimastatus og klimafremskrivning 2022
2565544_0035.png
4. TRANSPORT
35
trafikarbejdet vokser hhv. hurtigere, svarende til den historiske vækst i perioden 2010-
2020, og langsommere, svarende til Landstrafikmodellens basisfremskrivning.
Forskellen mellem det nedre og det øvre spænd giver anledning til et udfaldsrum i
udledningerne på ca. 0,51 mio. ton CO
2
e i 2030 og 0,73 mio. ton CO
2
e i 2035.
Der er endvidere stor usikkerhed forbundet med den adfærd, der er knyttet til plug-in
hybridbilers mulighed for opladning og kørsel på el. I KF22 er det antaget, at 50 pct. af
kørslen foregår på el. Hvis andelen af plug-in hybridbilernes kørsel på el ændres til hhv.
35 pct. og 65 pct. giver det anledning til et spænd i udledningerne på ca. 0,2 mio. ton
CO
2
e i 2030 og 0,16 mio. ton CO
2
e i 2035.
KEF, Alm.del - 2021-22 - Bilag 306: Orientering om offentliggørelse af Klimastatus og klimafremskrivning 2022
2565544_0036.png
5. SERVICEERHVERV
36
1 pct.
Udledninger
2030
5 Serviceerhverv
Serviceerhverv omfatter sektorerne privat service, offentlig service og detail- og
engroshandel. Privat service dækker over en bred vifte af brancher, blandt andet
restauranter, pengeinstitutter og datacentre, mens den offentlige service blandt andet
dækker over daginstitutioner, skoler, hospitaler og offentlig administration. Detail- og
engroshandel omfatter handel fra supermarkeder til bilforhandlere.
Langt hovedparten af sektorens energiforbrug er el og fjernvarme, hvis udledninger
opgøres i kapitel 8, ligesom udledninger knyttet til transport opgøres i transportkapitlet.
Servicesektorens udledninger kommer derfor hovedsageligt fra ledningsgas brugt til
individuel opvarmning, mens der også tidligere har været en betydelig udledning af F-
gasser.
Servicesektoren udledte i 2019 og 2020 hhv. 0,9 og 0,8 mio. ton CO
2
e, svarende til knap
2 pct. Danmarks samlede udledning. I 2025, 2030 og 2035 forventes sektoren at
udlede hhv. 0,6, 0,2 og 0,2 mio. ton CO
2
e svarende til ca. 1 pct. af den samlede danske
udledninger i de tre år.
Udviklingen i udledninger skyldes især følgende faktorer:
Udfasning af ledningsgas gennem konvertering til varmepumper til rumvarme
Øget VE-andel i ledningsgassen, der sænker udledningen fra det resterende
ledningsgasforbrug
Datacentre hører under branchen privat service, og udbygges betydeligt i disse år.
Datacentrene bidrager til et væsentligt øget elforbrug i servicesektoren i 2030, men
KEF, Alm.del - 2021-22 - Bilag 306: Orientering om offentliggørelse af Klimastatus og klimafremskrivning 2022
2565544_0037.png
5. SERVICEERHVERV
37
udledningerne forbundet hermed indgår, som det også er tilfældet for sektorens øvrige
el- og fjernvarmeforbrug, i kapitel 8 om el- og fjernvarmesektoren.
5.1
Servicesektorens udledninger
Størstedelen af energiforbruget er elforbrug, mens sektorens udledninger i dag
hovedsageligt kommer fra fossile brændsler brugt til rumvarme.
Servicesektorens samlede udledninger er vist i figur 5.1. Sektorens udledninger
omfatter både energirelaterede udledninger og F-gasser. Energirelaterede udledninger
dækker over udledninger fra individuel rumvarme, intern tranport og procesvarme. De
relativt lave udledninger skal ses i lyset af, at udledninger afledt fra forbrug af el- og
fjernvarme, indgår i opgørelsen af udledninger fra el- og fjernvarmesektoren (jf. kap. 8).
Figur 5.1:
Udledninger fra serviceerhvervene fordelt på undersektorer og F-gasser
mio. ton CO2e
Udledninger fra serviceerhvervene
2
1,8
1,6
1,4
1,2
1
0,8
0,6
0,4
0,2
0
1990 1995 2000 2005 2010 2015 2020 2025 2030 2035
F-gasser
Metan, lattergas og indirekte CO2
Privat service
Offentlig service
Detail- og engroshandel
Sektorens samlede udledninger ventes at falde til 0,2 mio. ton CO
2
e i 2030 og 2035. Det
svarer til et fald på hhv. 74 og 81 pct. ift. 2019. Frem til i dag har reduktionerne særligt
været drevet af skift fra oliebaseret rumvarme til fjernvarme, mens den forventede
reduktion frem mod 2030 og 2035 især skyldes øget VE-andel i ledningsgassen og
konvertering fra gasfyr til varmepumper. I 2020 udgjorde udledninger fra ledningsgas
to tredjedel af sektorens samlede udledning, men denne andel ventes at falde til ca. 30
pct. i 2030 og helt ned til 6 pct. i 2035, som følge af både skift fra gasfyr til
varmepumper, og i lyset af den markante stigning i VE-andelen i ledningsgassen.
I 2025 stammer mere end halvdelen af udledningen fra rumvarme, med langt
størstedelen heraf fra ledningsgas. Den tilbageværende udledning i 2030 er mere
ligeligt fordelt mellem gasfyr til rumvarme, fossilt energiforbrug og affald til
mellemtemperatur procesvarme, indirekte CO
2
fra mobile kilder og F-gasser. I 2035 er
udledningen hovedsageligt fra affaldsforbrænding til mellemtemperatur procesvarme,
indirekte CO
2
og F-gasser. Mellemtemperatur procesvarme bliver blandt andet brugt på
hospitaler, vaskerier og i restaurantbranchen, mens indirekte CO
2
fra mobile kilder
KEF, Alm.del - 2021-22 - Bilag 306: Orientering om offentliggørelse af Klimastatus og klimafremskrivning 2022
2565544_0038.png
5. SERVICEERHVERV
38
knytter sig til ufuldstændig forbrænding fra brug af benzin til fx motorsave og
plæneklippere. F-gasserne kommer særligt fra branchens køle- og fryseanlæg.
5.2
Effektiviseringer og teknologiskift
Selvom servicesektoren ikke står for mere end 2 pct. af de samlede udledninger, så
bruger sektoren 13 procent af Danmarks samlede endelige energiforbrug, stigende til
20 pct. i 2035. Som det fremgår af figur 5.2 forventes det endelige energiforbrug i
servicesektoren at stige fra 80 PJ i 2019 til 125 PJ i 2035. Stigningen i
servicesektorens energiforbrug skyldes hovedsageligt opførsel af datacentre. I 2019
blev der brugt knap 1 PJ el i datacentre i Danmark, men det ventes at stige til ca. 27 PJ
i 2030 og 35 PJ i 2030. I handel er der både et stort elforbrug til belysning og til køling
og ventilation. I den private servicesektor er elforbruget, udover datacentre, særligt
inden for restaurationsbranchen, mens både skoler, daginstitutioner og hospitaler
bruger en betydelig mængde el i den offentlige service. Generelt forventes der et
stigende elforbrug til varmepumper. I 2019 udgjorde el 45 pct. af sektorens endelige
energiforbrug stigende til 63 pct. i 2035. Dermed står servicesektoren for mere end 40
pct. af det samlede endelige elforbrug i 2035 med den nuværende fremskrivning.
Figur 5.2:
Endeligt energiforbrug i serviceerhvervene fordelt på energivarer
PJ
Energiforbrug i serviceerhvervene
140
120
100
80
60
40
20
0
1990
Fjernvarme
Elektricititet
Øvrig VE
Ledningsgas - VE-del
Ledningsgas - fossil-del
Øvrig fossil
Olie
1995
2000
2005
2010
2015
2020
2025
2030
2035
Ledningsgas udgør størstedelen af servicesektorens fossile energiforbrug.
Servicesektorens ledningsgasforbrug lå på 9 PJ i 2020, men forventes at falde til 5 PJ i
2030 og 3 PJ i 2035. Reduktionen i gasforbruget skyldes primært konvertering fra
gasfyr til varmepumper. De udledninger, der henføres til dette, falder yderligere som
følge af den markante stigning i VE-andelen i ledningsgassen. Ved at konvertere væk
fra gas i f.eks. rumvarme, vil VE-andelen i det tilbageværende ledningsgasforbrug alt
andet lige stige, hvilket vil føre til yderligere CO
2
e-reduktioner.
KEF, Alm.del - 2021-22 - Bilag 306: Orientering om offentliggørelse af Klimastatus og klimafremskrivning 2022
2565544_0039.png
5. SERVICEERHVERV
39
5.4
Usikkerhed
Inden for servicesektoren er der særlig stor usikkerhed forbundet med udbygning af
datacentre, samt den fremtidige teknologiske udvikling og betydning heraf på
datacentrenes elforbrug og forbrugsprofil.
28
Dette påvirker dog ikke udledningerne fra
servicesektoren, da udledningerne fra elproduktion som nævnt ligger under el- og
fjernvarmesektoren.
Udledningerne fra sektoren er forholdsvis begrænsede, men da en del af forklaringen er
øget VE-andel i ledningsgassen, vil ændringer i sektorens gasforbrug have afledte
effekter på de samlede udledninger, der overstiger effekten på sektorens egne
udledninger.
Fremskrivningen af indirekte CO2, der særligt kommer i forbindelse med brugen af
benzin, er lavet på baggrund af det historiske brug af benzin, hvilket kan betyde, at
udledningen her fra overestimeres.
28
Der kan læses mere om forudsætningerne brugt til fremskrivning af elforbruget i KF22 forudsætningsnotat 6A om
datacentre.
KEF, Alm.del - 2021-22 - Bilag 306: Orientering om offentliggørelse af Klimastatus og klimafremskrivning 2022
2565544_0040.png
6. FREMSTILLINGSERHVERV OG BYGGE-ANLÆGSSEKTOREN
40
11 pct.
Udledninger
2030
6 Fremstillingserhverv og bygge-
anlægssektoren
Fremstillingserhvervene omfatter virksomheder, som producerer varer, der sælges til
private eller andre virksomheder. Det drejer sig fx om fødevarer og tekstiler, møbler og
elektronik, kemiske og farmaceutiske produkter, byggematerialer og maskiner. Bygge-
anlægserhvervene omfatter virksomheder, som beskæftiger sig med alle typer af
opgaver inden for byggeri og anlægsarbejde.
Fremstillings- og bygge-anlægssektoren udledte i både 2019 og 2020 5,1 mio. ton CO
2
e
svarende til hhv. 10,7 og 11,4 pct. af Danmarks samlede udledninger. I 2025, 2030 og
2035 forventes sektorerne at udlede hhv. 4,7, 3,7 og 3,2 mio. ton CO
2
e svarende til 11,5,
10,9 og 10,4 pct. af Danmarks samlede udledninger. Den forventede udvikling i
sektorens udledninger skyldes især følgende forventninger til deres fremtidige
energiforbrug:
Øget elektrificering og energieffektivisering, herunder højere grad af anvendelse af
varmepumper til intern udnyttelse af overskudsvarme
Øget VE-andel i ledningsgassen
6.1
Fremstillings- og bygge-anlægssektorens udledninger
Udledningerne fra fremstillingserhvervene er karakteriseret ved at have en stor andel af
procesudledninger i forhold til andre sektorer.
Procesudledninger
er udledninger, der
fremkommer som produkt af en kemisk proces i produktionen. Den største kilde til
procesudledninger er fremstillingsprocesser, hvor eksempelvis ler og kridt indgår som
KEF, Alm.del - 2021-22 - Bilag 306: Orientering om offentliggørelse af Klimastatus og klimafremskrivning 2022
2565544_0041.png
6. FREMSTILLINGSERHVERV OG BYGGE-ANLÆGSSEKTOREN
41
råstof, fx ved produktion af cement og tegl gennem kalcinering af råstoffet ved høje
temperaturer. Ved
energirelaterede udledninger
forstås udledninger som følge af
anvendelse af fossile brændsler til produktionsprocesser, herunder procesvarme og
intern transport.
29
De samlede udledninger fra fremstillings- og bygge-anlægssektoren i perioden 1990-
2035 er vist i figur 1. Udledningerne omfatter både energirelaterede udledninger,
procesudledninger samt en mindre andel F-gasser. De samlede udledninger er fra 1990
frem til 2020 faldet fra 8,1 til 5,1 mio. ton CO
2
e svarende til et fald på 37 pct. for hele
perioden. Frem mod hhv. 2025 og 2030 forventes sektoren at reducere udledningerne
med yderligere hhv. 0,4 og 1,4 mio. ton CO
2
e i forhold til i dag, og i 2035 forventes
udledningerne at være reduceret til knap 3,2 mio. ton CO
2
e.
Figur 6.1:
Fremstillings- og bygge-anlægssektorens udledninger
mio. ton CO2e
Udledninger fra fremstillingserhverv og bygge-anlæg
F-gasser
Procesudledninger - Øvrige
erhverv
Procesudledninger -
Cementproduktion
Energirelateret - Metan, lattergas
og indirekte CO2
Energirelateret CO2 - Bygge- og
anlægssektoren
Energirelateret CO2 -
Fremstillingserhverv
10
9
8
7
6
5
4
3
2
1
0
1990 1995 2000 2005 2010 2015 2020 2025 2030 2035
Note: F-gasser er en gruppe potente drivhusgasser, der bl.a. anvendes som kølemidler i køle- og fryseanlæg og i
airconditionanlæg. F-gasser er nærmere beskrevet i forudsætningsnotat 9C
Siden 1990 er der sket fald i udledningerne fra alle tre typer udledninger, men særligt de
energirelaterede udledninger har bidraget til de samlede reduktioner. Frem imod 2025
og 2030 forventes de energirelaterede udledninger fortsat at blive reduceret, mens de
procesrelaterede udledninger derimod forventes at stige en anelse. Dermed forskyder
fordelingen mellem energirelaterede og procesrelaterede udledninger sig, således at de
procesrelaterede udledninger fra sektoren i 2030 vil udgøre 45 pct. mod 30 pct. i dag,
og i 2035 forventes de procesrelaterede udledninger at udgøre over halvdelen af
udledningerne fra fremstillings- og bygge-anlægssektoren.
6.2
Effektiviseringer og teknologiskift
Reduktionerne i udledningerne er sket og vil fortsat ske på trods af forventninger om
vækst i både fremstillingsindustrien og bygge- og anlægssektoren. De faldende
29
Udledninger fra forbrug af el- og fjernvarme samt fra raffinaderier regnes ikke med i dette kapitel, da de indgår i hhv.
opgørelsen af udledninger fra forsyningssektoren (se kap 8) og opgørelsen af udledninger fra olie, gas og VE-
brændstoffer (se kap 7).
KEF, Alm.del - 2021-22 - Bilag 306: Orientering om offentliggørelse af Klimastatus og klimafremskrivning 2022
2565544_0042.png
6. FREMSTILLINGSERHVERV OG BYGGE-ANLÆGSSEKTOREN
42
udledninger kan bl.a. forklares med energieffektiviseringer, og for så vidt angår den
historiske udvikling også med strukturelle forskydninger mod mindre energiintensive
brancher. En forventning om øget cementproduktion fremover trækker i modsatte
retning, og er den afgørende faktor for de fortsat forventede, høje procesudledninger jf.
ovenfor.
Energi- og CO
2
-intensitet
Erhvervslivets CO
2
-intensitet er et nøgletal for CO
2
-udledning pr. produceret økonomisk
værdi. En lavere CO
2
-intensitet forekommer, når industrien bliver mere energieffektiv
eller skifter fossile brændsler ud med vedvarende energi. Også strukturelle
forskydninger i erhvervslivet kan ændre CO
2
-intensiteten.
Som det ses af figur 6.2, har både CO
2
-intensiteterne og energiintensiteterne i
fremstillingserhvervene og bygge-anlægserhvervene været faldende siden 2010, og
denne udvikling forventes at fortsætte frem mod 2030 og videre frem til 2035,
energiintensiteterne dog kun meget svagt. At CO
2
-intensiteten falder hurtigere end
energiintensiteten, er bl.a. et resultat af, at CO
2
-reduktionerne i høj grad sker som
resultat af et brændselsskifte væk fra fossile brændsler over mod øget elektrificering
og at VE-andelen i ledningsgassen øges.
Figur 6.2:
Energi- og CO
2
-intensiteter i fremstillingserhverv og bygge-anlægserhverv
Energi- og CO2-intensitet i fremstillingserhverv og bygge-
anlæg
Indeks (2010 = 100)
120
100
80
60
40
20
0
CO2-intensitet -
Fremstillingserhverv
Energiintensitet -
Fremstillingserhverv
CO2-intensitet - Bygge- og
anlæg
Energiintensitet - Bygge- og
anlæg
2010
2015
2020
2025
2030
2035
Note: Energiintensiteten er beregnet som energiforbrug i forhold til produktion, og CO
2
-intensiteten er beregnet som
CO
2
-udledninger i forhold til produktion.
En forventning om øget intern udnyttelse af overskudsvarme ved hjælp af
varmepumper inden for fremstillingserhvervene fremover er også med til at forbedre
CO
2
-intensiteten. Overskudsvarmen forventes at blive anvendt til både rumvarme og
mellemtemperatur procesvarme, og den erstatter i høj grad ledningsgas og til dels
faste brændsler, og dermed bidrager udnyttelsen af overskudsvarme til reduktioner af
fremstillingserhvervenes CO
2
e-udledninger.
Figur 6.2 viser CO
2
- og energiintensiteter med indekserede tal. Ser man i stedet på de
faktiske udledninger, fremgår det, at bygge-anlægserhvervene anvender betydeligt
KEF, Alm.del - 2021-22 - Bilag 306: Orientering om offentliggørelse af Klimastatus og klimafremskrivning 2022
2565544_0043.png
6. FREMSTILLINGSERHVERV OG BYGGE-ANLÆGSSEKTOREN
43
mindre energi og udleder mindre CO
2
pr. produceret enhed end fremstillingserhvervene.
Fremstillingserhvervene har energi- og CO2e-intensiteter på hhv. 0,11 PJ pr. mia. kr. og
6,7 kt CO2e pr. mia. kr. i 2020 mens bygge- anlægserhvervenes tilsvarende intensiteter
er på hhv. 0,02 PJ pr. mia. kr. og 1,3 kt CO2e pr. mia. kr. Bygge-anlægserhvervene har
altså et betydeligt mindre energiforbrug og CO2e-udledning pr. produceret enhed end
fremstillingserhvervene.
Energiforbrug
De energirelaterede udledninger i fremstillingserhvervene er karakteriseret ved, at der
er en relativ stor udledning tilknyttet en række produktionsprocesser, hvor der er brug
for høje temperaturer (over 150
c
grader), som opnås via direkte indfyring af brændsler.
Derfor har der historisk set været en stor andel fossile brændsler i det endelige
energiforbrug for fremstillings- og bygge-anlægssektoren, som vist i figur 6.3.
Andelen af fossile brændsler er dog på vej nedad. I 1990 bestod 66 pct. af
fremstillings- og bygge-anlægssektorens energiforbrug af fossile brændsler, mens det i
dag er 50 pct. I 2025 forventes andelen at være faldet til 40 pct. og i 2030 til 25 pct. Ser
man helt frem til 2035 forventes andelen at være reduceret til 18 pct.
Figur 6.3:
Endeligt energiforbrug i fremstillings- og bygge-anlægssektoren fordelt på energivarer
PJ
Energiforbrug i fremstillingserhverv og bygge-anlæg
160
140
120
100
80
60
40
20
0
1990 1995 2000 2005 2010 2015 2020 2025 2030 2035
Fjernvarme
Elektricititet
Øvrig VE
Biomasse
Ledningsgas - VE-del
Ledningsgas - fossil-del
Affald, ikke bionedbrydeligt
Olie
Kul & Koks
Inden 2030 forventes mængden af vedvarende energi i fremstillings- og bygge-
anlægssektoren at overstige mængden af fossil energi (når der ses på de primære
brændsler og ikke elektricitet og fjernvarme). Nedgangen i anvendelsen af fossile
brændsler afspejler primært, at der forventes en væsentlig øget VE-andel i
ledningsgassen, men også en stigning i anvendelsen af affald (herunder
bionedbrydeligt affald), som fortrænger kul og petrokoks i cementproduktion.
Reduktioner i cementindustrien er særligt udfordrende, grundet det høje energiforbrug
til højtemperaturprocesser. Højtemperaturprocesser kræver typisk direkte indfyring af
brændsel eller skal ske ved temperaturer, hvor eksempelvis elektrificering ofte er
vanskelig i eksisterende produktionsapparater. Det er muligt at benytte el til
højtemperaturprocesser, men det vil ofte kræve en total udskiftning/ombygning af
KEF, Alm.del - 2021-22 - Bilag 306: Orientering om offentliggørelse af Klimastatus og klimafremskrivning 2022
2565544_0044.png
6. FREMSTILLINGSERHVERV OG BYGGE-ANLÆGSSEKTOREN
44
produktionsapparatet. For den øvrige fremstillings- og bygge-anlægssektor ses der
omvendt en elektrificering i primært mellemtemperaturprocesser og rumvarme ved
hjælp af varmepumper.
Fra og med 2024 forventes et øget gasforbrug i fødevareindustrien som konsekvens af
en ny gasforbindelse til sukkerfabrikkerne på Lolland. Ligeledes forventes der fra og
med 2022 at komme et forbrug af ledningsgas i cementindustrien som følge af den
nyetablerede gasforbindelse til Aalborg Portland. Det forventes, at cementindustrien vil
have et gasforbrug på 2,7 PJ, ud af et samlet energiforbrug på 14,6 PJ i 2030.
Som beskrevet i både kapitel 3 og 5 er den højere VE-andel i ledningsgassen og deraf
lavere udledninger i fremstillings- og bygge-anlægssektoren en konsekvens af den
udvikling, der sker i sammensætningen af ledningsgassen (jf. sektornotat 7B).
Yderligere ses af figur 6.3, at det samlede endelige energiforbrug i fremstillings- og
bygge-anlægssektoren forventes at ligge nogenlunde stabilt den kommende årrække.
Der forventes en svag stigning frem imod 2025 hvorefter det falder en smule igen. I
2035 forventes det samlede energiforbrug i fremstillings- og bygge-anlægssektoren at
være ca. 1 PJ lavere end i dag. Det relativt stabile energiforbrug sker på trods af vækst i
sektoren jf. figur 3, som modvirkes dels af investeringer i energibesparelser samt
konverteringer til mere energieffektive teknologier.
6.3
Usikkerhed
For fremstillings- og bygge-anlægssektorens udledninger er der bl.a. usikkerhed
forbundet med aktivitetsniveauer for både fremstillingserhvervene og bygge-
anlægserhvervene, og specifikt for cement-, glas- og teglindustrien er der også
usikkerhed forbundet med både brændselsforbruget i produktionen og det færdige
cementprodukt.
Der er stor usikkerhed knyttet til udledningerne fra cementproduktionen. Bl.a. andelen
af alternative brændsler, gennemsnitlige andele af klinker i det færdige cementprodukt
samt ændringer i aktivitetsniveauer og disse usikkerheder er præsenteret som en
følsomhedsanalyse i forhold til grundforløbet i sektornotat 6A.
KEF, Alm.del - 2021-22 - Bilag 306: Orientering om offentliggørelse af Klimastatus og klimafremskrivning 2022
2565544_0045.png
7. PRODUKTION AF OLIE, GAS OG VE-BRÆNDSLER
45
7 pct.
Udledninger
2030
7 Produktion af olie, gas og VE-
brændsler
I Danmark indvindes og produceres en række forskellige brændsler, herunder fossil olie
og gas foruden VE-brændsler som biogas, biobrændstoffer og PtX-produkter.
Sektoren omfatter indvinding af olie og gas i Nordsøen, raffinaderiernes aktiviteter,
samt produktion af biogas, biobrændstoffer og Power-to-X (PtX). Sektoren udledte i
2019 og 2020 hhv. 2,4 og 1,9 mio. ton CO
2
e svarende til 5,1 og 4,2 pct. af Danmarks
samlede udledninger. I 2025, 2030 og 2035 forventes sektoren at udlede hhv. 2,4, 2,3
og 2,1 mio. ton CO
2
e svarende til 5,8 pct., 6,9 pct. og 7,0 pct. af Danmarks samlede
udledninger.
Den forventede udvikling i sektorens udledninger skyldes især følgende faktorer:
Idriftsættelse af Tyra-komplekset giver stigning i udledninger fra olie- og
gasindvinding frem til 2027
Aldrende olie- og gasfelter i Nordsøen giver fald i indvinding af olie og gas og
dermed fald i dertilhørende udledninger efter 2027
Raffinaderiernes energiforbrug antages uændret og udledningerne forventes
dermed konstante.
Derudover påvirkes udviklingen i sektorens elforbrug også af udbygningen af både
biogasproduktion (i form af elforbrug til opgradering af biogas) og PtX (i form af
elforbrug til elektrolyse), hvor udledninger forbundet med elproduktion opgøres under
el- og fjernvarmesektoren i kapitel 8. Indvirkningen på VE-andelen i ledningsgassen
indgår i kapitel 2.
KEF, Alm.del - 2021-22 - Bilag 306: Orientering om offentliggørelse af Klimastatus og klimafremskrivning 2022
2565544_0046.png
7. PRODUKTION AF OLIE, GAS OG VE-BRÆNDSLER
46
7.1
Udledninger i forbindelse med produktion af brændsler
Den primære årsag til udledninger fra sektoren er egetforbrug af fossile brændsler til
olie- og gasindvinding i Nordsøen og på raffinaderierne. En mindre del af udledningerne
skyldes desuden flaring, som er afbrænding af gas, der af sikkerhedsmæssige eller
anlægstekniske grunde ikke nyttiggøres på indvindingsplatformene i Nordsøen eller på
raffinaderierne. Afslutningsvis er brændstofproduktion i mindre omfang årsag til
flygtige udledninger i form af fordampning, udslip ved utætheder mm. Udledninger
forbundet med metanlækage fra biogasproduktion indgår i affaldssektorens
udledninger i kapitel 9, mens udledninger forbundet med forbrug af naturgas eller
andre fossile brændsler til at dække energiforbrug i biogasproduktion indgår i andre
sektorer.
Sektorens samlede udledninger for perioden 1990-2035 er vist i figur 7.1. Der ses
faldende udledninger gennem 00’erne, især grundet faldende udledninger fra flaring.
Egetforbrug af fossile brændsler på raffinaderier og boreplatforme udgør størstedelen
af udledningerne og forventes at udgøre ca. 95 pct. af udledningerne i sektoren i 2030.
Reduktionen i udledningerne i 2020-2022 skyldes ombygning af boreplatformen ved
Tyrafeltet, som derved er ude af drift. Stigningen i udledninger fra 2023 til 2027 hænger
sammen med dels idriftsættelsen af Tyrakomplekset, dels idriftsættelsen af en række
andre, mindre projekter, hvor udledningerne er størst i begyndelsen af driftsfasen. Efter
2027 falder indvindingen af olie og gas grundet aldrende felter.
Figur 7.1:
Udledninger fra brændstofproduktion fordelt på egetforbrug af fossile brændsler på
raffinaderier og olie- og gasindvinding, flaring og flygtige udledninger
mio. ton CO2e
Udledninger fra brændstofproduktion
4,5
4
3,5
3
2,5
2
1,5
1
0,5
0
1990 1995 2000 2005 2010 2015 2020 2025 2030 2035
Flaring
Flygtige udledninger fra olie og gas
Egetforbrug af fossile brændsler til
olie- og gasindvinding
Egetforbrug af fossile brændsler på
raffinaderier
Indvinding af olie og gas
Udledningerne forbundet med olie- og gasindvinding hænger tæt sammen med
aktivitetsniveauet i sektoren. Udledningerne fra olie- og gasindvinding i 2030 forventes
at være ca. 1,2 mio. ton CO
2
faldende til ca. 1,0 mio. ton CO
2
i 2035. Udledninger fra
olie- og gasindvinding i Nordsøen skyldes dels energiforbruget på platformene, som i
dag primært dækkes af naturgasfyrede gasturbiner, dels flaring. Gasforbruget på
platformene er naturgas, dvs. udelukkende fossil gas, i modsætning til ledningsgassen,
KEF, Alm.del - 2021-22 - Bilag 306: Orientering om offentliggørelse af Klimastatus og klimafremskrivning 2022
2565544_0047.png
7. PRODUKTION AF OLIE, GAS OG VE-BRÆNDSLER
47
som består af en blanding af bionaturgas og naturgas. Figur 7.2 viser udviklingen fra
1990 til 2035 og viser, at indvindingen af olie og gas i Nordsøen var på ca. 370 PJ i
1990 og voksede i de efterfølgende år, indtil indvindingen toppede i midten af 00’erne
på ca. 1200 PJ og herefter har været faldende.
Indvindingen af olie og gas forventes at stige frem mod 2027, bl.a. som følge af
genopbygningen af anlægget ved Tyrafeltet og idriftsættelsen af en række andre,
mindre projekter. Efter 2027 forventes indvindingen af falde grundet aldrende felter.
Den forventede indvinding af olie og gas i Nordsøen i 2035 er 80 PJ gas og 180 PJ olie.
Danmark har været nettoeksportør af gas siden midten af 1980’erne, og det forventes
at Danmark fortsat vil være nettoeksportør i hele fremskrivningsperioden, bortset fra
årene 2021- 2023 på grund af genopbygning af anlæggene på Tyrafeltet. Derimod har
Danmark været nettoimportør af olie siden midten af 2010’erne, hvilket forventes at
fortsætte i hele fremskrivningsperioden (undtagen i 2027).
Figur 7.2:
Indvinding af olie og gas i Nordsøen
PJ
Indvinding af olie og gas i Nordsøen
1400
1200
1000
800
600
400
200
0
1990
Naturgas
Råolie
1995
2000
2005
2010
2015
2020
2025
2030
2035
Raffinaderier
Udledningerne fra raffinaderier forventes at være ca. 1,0 mio. ton CO
2
i 2030 og i 2035.
I KF22 fastholdes raffinaderiernes energiforbrug på et konstant niveau frem mod 2035,
jf. forudsætningsnotat 7B. Der har i den seneste historiske periode været en svag
stigning i aktivitet som er blevet modsvaret af løbende effektiviseringer. Udledningerne
fra raffinaderierne er tæt knyttet til energiforbruget, og forventes deraf ligeledes at
være konstante i perioden, hvilket fremgår af Figur 7.1. Raffinaderiernes energiforbrug
er i KF22 antaget konstant, der er derfor ikke foretaget en egentlig modellering af
raffinaderiernes fremtidige aktiviteter, hvor kvoteprisen kan have betydning. Højere
kvotepris kan eventuelt give nok incitament til yderligere effektiviseringer og/eller skift
af dele af raffinaderigassen med fx brint, hvilket kan have effekt på de samlede
KEF, Alm.del - 2021-22 - Bilag 306: Orientering om offentliggørelse af Klimastatus og klimafremskrivning 2022
2565544_0048.png
7. PRODUKTION AF OLIE, GAS OG VE-BRÆNDSLER
48
udledninger, men denne eventuelle effekt er ikke indregnet her. Den ekstra partielle
effekt på raffinaderiernes udledning af den stigende kvotepris vurderes, som nævnt i
kapitel 2, at være i størrelsesordenen 0,08 mio. ton CO
2.
Produktion af biogas og biobrændstoffer
Biogas produceres på en række forskellige anlæg i Danmark, hvoraf langt størstedelen
af produktionen finder sted på landbrugsanlæg (jf. KF22 forudsætningsnotat 7C).
Produktionen af biogas er vist i Figur 7.3 for perioden 1990 til 2035. Produktionen af
især biogas til opgradering til bionaturgas voksede markant i løbet af 2010’erne og
væksten i biogasproduktionen forventes at fortsætte frem mod 2030, hvor
produktionen forventes at toppe på lidt over 50 PJ. I perioden 2030 til 2035 forventes
det, at biogasproduktion til elproduktion vil falde, idet
størstedelen
af de
elproducerende anlæg kun har fået tilsagn til støtte frem til 2032.
Den øgede produktion af biogas og opgraderet biogas er drevet af støtteordninger til
biogasproduktion, og størrelsen på produktionen i klimafremskrivningen er dermed
uafhængig af efterspørgslen. Ændringer i efterspørgslen på ledningsgas vil derfor slå
fuldt igennem på den del af ledningsgasforbruget, som fortsat er fossil naturgas, og
dermed ændre VE-andelen af ledningsgassen (jf. også sektornotat 7B).
Figur 7.3:
Produktion af biogas fordelt på anvendelse
PJ
Biogasproduktion fordelt på anvendelse
60
50
40
30
20
10
0
1990
1995
2000
2005
2010
2015
2020
2025
Elproduktion
2030
2035
Opgradering til bionaturgas
Proces og varme
Foruden biogas produceres også flydende biobrændstoffer i Danmark i form af
biodiesel. Udledningerne forbundet med denne produktion indgår i andre sektorers
klimaregnskab, og der er ikke datagrundlag for at identificere dem eksplicit i KF22.
PtX
PtX er i KF22 udelukkende inkluderet i form af elektrolysekapacitet til produktion af
grøn brint. Eventuel viderekonvertering til andre e-brændstoffer såsom ammoniak og
metanol indgår ikke i KF22. Det antages i KF22 at elektrolysekapaciteten udbygges til
KEF, Alm.del - 2021-22 - Bilag 306: Orientering om offentliggørelse af Klimastatus og klimafremskrivning 2022
2565544_0049.png
7. PRODUKTION AF OLIE, GAS OG VE-BRÆNDSLER
49
254 MW fra 2024 og herefter er konstant frem mod 2035. Brintproduktionen ved
elektrolyse forventes at være ca. 2,0 PJ i 2030 og 2,3 PJ i 2035. Elforbruget knyttet til
elektrolyse forventes at være ca. 3,0 PJ i 2030 og 3,4 PJ i 2035.
Aftalen om udvikling og fremme af brint og grønne brændstoffer (PtX-strategien), som
blev indgået mellem regeringen og en række af Folketingets partier den 15. marts 2022,
er ikke inkluderet i KF22, idet aftalen blev indgået efter KF22’s skæringsdato 1. januar
2022.
30
Eventuelle direkte og indirekte effekter af aftalen forventes at indgå i fremtidige
klimafremskrivninger.
7.2
Usikkerhed
Olie- og gasindvinding
Det er usikkert om en højere kvotepris kan give nok incitament til tekniske forbedringer
i form af fx energieffektiviseringer, hvilket kan føre til lavere udledninger. Forhøjede
priser på fossile brændsler kan øge incitamentet for olie- og gasindvinding fra
Nordsøen, hvilket kan øge indvindingen og dermed udledningerne.
Raffinaderier
Fremskrivningen af raffinaderiernes energiforbrug er forbundet med en vis usikkerhed,
men der har dog de sidste tyve år kun været små udsving i energiforbruget. Der er dog
ikke foretaget en egentlig modellering af raffinaderiernes fremtidige aktiviteter men
antaget et konstant energiforbrug i fremskrivningsperioden. Det er usikkert, hvorvidt en
højere CO2-kvotepris kan give anledning til en reduktion i udledninger gennem
effektiviseringstiltag og/eller udskiftning af dele af raffinaderigassen med fx brint.
Energieffektivisering kan føre til lavere udledninger, mens det er usikkert, hvorvidt
udskiftning af raffinaderigas med brint vil medføre lavere udledninger, idet det er
usikkert, hvorvidt raffinaderigassen kan fortrænge fossile brændsler andre steder.
Biogasproduktion
Da mængden af opgraderet biogas spiller en stor rolle for udledningerne i de øvrige
gasforbrugende sektorer, er der lavet en følsomhedsberegning på konsekvensen for
VE-andelen i ledningsgas af en ændring i mængden af opgraderet biogas på ± 3 PJ i
2030 stigende til ± 5 PJ i 2035. I det lave skøn er VE-andelen i 2030 og 2035 hhv. 69
pct. og 80 pct., mens VE-andelen i det høje skøn i 2030 og 2035 er hhv. 79 pct. og 103
pct.
31
. Til sammenligning ligger VE-andelen i ledningsgas i grundforløbet på hhv. 75
pct. i 2030 og 92 pct. i 2035 (jf. tabel 2.2).
PtX
Der er foretaget en følsomhedsberegning af brintproduktion fra elektrolyse og
dertilhørende elforbrug under antagelse om, at det planlagte udbud til PtX samt EU-
godkendelse af IPCEI-projekterne tilsammen giver anledning til en elektrolysekapacitet
på 600 MW frem for de antagne 200 MW fra PtX-udbuddet i grundforløbet. I
følsomhedsanalysen antages den samlede elektrolysekapacitet at ligge på i alt 654
MW elektrolyse fra 2025 og frem. Følsomhedsberegningen giver en brintproduktion på
ca. 7,2 PJ i 2030 og dertilhørende elforbrug på ca. 10,9 PJ med det modellerede antal
fuldlasttimer.
30
31
For en uddybning af principperne bag klimafremskrivningens frozen policy antagelse, se KF22 forudsætningsnotat 2C.
En VE-andel over 100 pct. indikerer nettoeksport
KEF, Alm.del - 2021-22 - Bilag 306: Orientering om offentliggørelse af Klimastatus og klimafremskrivning 2022
2565544_0050.png
8. EL- OG FJERNVARME
50
1 pct.
Udledninger
2030
8 El- og fjernvarme
El- og fjernvarmesektoren omfatter i KF22 hovedparten af de anlæg, der forsyner det
danske samfund med el og fjernvarme, dog ikke affaldsforbrændingsanlæg, der
behandles som en del af affaldssektoren i kapitel 9
32
. Sektoren omfatter eksempelsvis
kraftvarmeanlæg, der laver både el og fjernvarme, vindkraftanlæg og solceller, der laver
el, samt kedler, solvarmeanlæg og varmepumper, der laver fjernvarme.
El- og fjernvarmesektoren (ekskl. affaldsforbrænding) udledte i 2020 3,9 mio. ton CO
2
e
svarende til 8,7 pct. af Danmarks samlede udledninger. I 2025, 2030 og 2035 forventes
sektoren at udlede hhv. 1,3 mio. ton, 0,3 mio. ton og 0,15 mio. ton CO
2
e svarende til
hhv. 3 pct., 0,8 pct. og 0,5 pct. af Danmarks samlede udledninger de pågældende år.
Den forventede udvikling i sektorens udledninger skyldes flere forhold, herunder
udfasning af de sidste kulfyrede kraftvarmeværker,
fortsat udbygning med vindkraft og solceller,
kraftig udbygning med varmepumper til produktion af fjernvarme og
reduktion i kraftvarmeproduktion baseret på ledningsgas.
32
Affaldsforbrændingsanlæg leverer også el- og fjernvarme, men behandles i KF22 som en del af affaldssektoren i kapitel 9. Derudover
er der en række sekundære producenter, der også bidrager til el- og fjernvarmeproduktion. Sekundære producenter er producenter, hvor
hovedproduktet ikke er energi og omfatter fx kraftvarmeanlæg i industri- og servicesektoren. Energiforbruget og tilhørende
drivhusgasudledning fra sekundære producenter opgøres i KF22 under de sektorer, hvor producenterne er hjemmehørende.
KEF, Alm.del - 2021-22 - Bilag 306: Orientering om offentliggørelse af Klimastatus og klimafremskrivning 2022
2565544_0051.png
8. EL- OG FJERNVARME
51
8.1
El- og fjernvarmesektorens udledninger
El- og fjernvarmesektorens samlede udledninger for perioden 1990-2035 er vist i
nedenstående Figur 8.1. Sektorens udledninger omfatter udelukkende energirelaterede
udledninger (CRF-1), som stammer fra forbrænding af fossile brændsler som kul, olie
og naturgas.
Figur 8.1:
Udledning fra el- og fjernvarmesektoren ekskl. affaldsforbrænding i perioden 1990-
2035
mio. ton CO2e
Udledninger fra el og fjernvarme ekskl. affaldsforbrænding
45
40
35
30
25
20
15
10
5
0
1990
1995
2000
2005
2010
2015
2020
2025
2030
2035
Som Figur 8.1 viser, har el- og fjernvarmesektoren fra 1990 til i dag bevæget sig fra at
være en sektor med store drivhusgasudledninger til at have et væsentligt mindre
klimaaftryk. I fremskrivningsperioden frem mod 2035 forventes denne udvikling at
fortsætte, og udledningen fra sektoren forventes at være 0,3 mio. ton CO
2
e i 2030,
hvilket svarer til en reduktion på næsten 99 pct. i forhold til 1990-niveauet. Hvor
sektoren i 1990 således var en væsentlig del af klimaudfordringen, er den i fremtiden i
høj grad en del af løsningen, idet el og fjernvarme produceret på basis af vedvarende
energi forventes at spille en vigtig rolle i nedbringelse af klimabelastningen fra andre
sektorer. Af samme grund forventes elforbruget at stige markant i
fremskrivningsperioden frem mod 2035.
8.2
Effektiviseringer, teknologiskift og energiforbrug
Årsagen til det fortsatte fald i udledningerne fra el- og fjernvarmesektoren skal således
ikke findes i en faldende aktivitet i sektoren, men derimod i en fundamental omlægning
af den måde el og fjernvarme fremstilles på. Som det fremgår af nedenstående Figur
8.2, er udviklingen i el- og fjernvarmesektoren karakteriseret ved en næsten
fuldstændig omstilling til vedvarende energi, hvilket især er et resultat af udfasningen
af kulfyret kraftvarme på centrale værker, konvertering til biomasse, samt fortsat
udbygning med landvind, havvind og solceller.
KEF, Alm.del - 2021-22 - Bilag 306: Orientering om offentliggørelse af Klimastatus og klimafremskrivning 2022
2565544_0052.png
8. EL- OG FJERNVARME
52
Figur 8.2:
El- og fjernvarmesektorens energiforbrug fordelt på energiformer
33
(PJ).
PJ
Energiforbrug i el og fjernvarme (inkl. affaldsforbrænding)
Omgivelsesvarme
Solenergi
Vindenergi
Biomasse m.m.
Affald, bionedbrydeligt
Ledningsgas - VE-del og biogas
Ledningsgas - fossil-del
Affald, ikke-bionedbrydeligt
Olie
Kul
600
500
400
300
200
100
0
1990 1995 2000 2005 2010 2015 2020 2025 2030 2035
Overordnet forventes forbruget af fossile brændsler til el- og fjernvarmeproduktion at
blive reduceret med 50 pct., 87 pct. og 90 pct. i hhv. 2025, 2030 og 2035 sammenholdt
med forbruget i 2020. Den danske elproduktion vil således i fremtiden primært være
baseret på sol- og vindenergi
34
, og den resterende andel af el- og
fjernvarmeproduktionen vil hovedsageligt være baseret på biomasse. Fossile
brændsler anvendes alene på spids- og reservelastanlæg, og dette forstærkes af, at VE-
andelen af ledningsgas vil stige yderligere frem mod 2030.
Først i fremskrivningsperioden medfører en markant stigning i de fossile
brændselspriser (jf. Forudsætningsnotat 3A) en højere andel af el- og
fjernvarmeproduktion baseret på kul og særligt biomasse. Dette skyldes, at de øgede
brændselspriser vil hæve elprisen, som gør det fordelagtigt for de danske
elproducenter at øge den termiske elproduktion.
Sektorsamspil
VE-baseret el og fjernvarme kan forsyne andre sektorer og dermed bidrage til
nedbringelsen af deres respektive udledninger. Det kan enten ske gennem direkte
elektrificering af fx transport, opvarmning og industrielle processer, gennem
konvertering af tidligere ledningsgasopvarmede bygninger til fjernvarme eller gennem
indirekte elektrificering, fx via fremstillingen af syntetiske grønne brændstoffer (Power-
to-X). En forudsætning herfor er dog, at det stigende elforbrug ledsages af en fortsat
VE-udbygning.
I et langsigtet klimaperspektiv er udfordringen for sektoren således, hvordan og i
hvilket omfang el og fjernvarme kan leveres i de mængder, der er behov for, og hvilke
Selvom affaldsforbrænding ikke indgår i opgørelsen af el- og fjernvarmesektorens drivhusgasudledning i KF22, indgår
affaldsforbrug til affaldsforbrænding i opgørelsen af el- og fjernvarmesektorens
energiforbrug,
eftersom
affaldsforbrænding spiller en vigtig rolle i fjernvarmesektoren.
34
Med aftalen i forbindelse med finansloven om yderligere 2 GW havvind inden 2030 er dette yderligere fremskyndet.
33
KEF, Alm.del - 2021-22 - Bilag 306: Orientering om offentliggørelse af Klimastatus og klimafremskrivning 2022
2565544_0053.png
8. EL- OG FJERNVARME
53
ressourcer, økonomiske såvel som naturgivne fx i form af arealer og råstoffer, det vil
kræve.
Elbalancen
Det danske elsystem er stærkt integreret i det nordeuropæiske elmarked, og historisk
har balancen mellem indenlandsk elproduktion og elimport svinget kraftigt afhængigt
af forholdene på markedet, som bl.a. påvirkes af vejrforhold som nedbør, temperatur
og vind.
Figur 8.3:
Elforbrug inkl. transmissions- og distributionstab, elproduktion og elimport.
TWh
Elforbrug, elfproduktion og elimport
70
60
50
40
30
20
10
0
-10
-20
1990
1995
2000
2005
2010
2015
2020
2025
Elimport
2030
2035
Elproduktion
Elforbrug inkl. nettab
Under de valgte forudsætninger, herunder om energiøerne
35
, forventes den
indenlandske elproduktion at overstige det indenlandske elforbrug i de fleste år frem
mod 2035. Resultatet er dog forbundet med væsentlige usikkerheder knyttet til flere
forhold, både på produktionssiden, bl.a. om idriftsættelse af kommende
havvindmølleparker og solcelleprojekter, og på forbrugssiden, herunder udviklingen i
elforbruget fra store datacentre. Sammenholdt med udsving af vejrmæssig art må man
derfor også i fremtiden forvente, at der vil være år med netto eleksport og år med netto
elimport, men disse udsving vil betyde stadigt mindre for udledningerne.
Energiøerne forventes at påvirke Danmarks el-balance betydeligt i en positiv retning.
Med energiøerne forventes Danmark at få et stort overskud af grøn strøm, som kan
udnyttes til direkte eller indirekte elektrificering af andre sektorer, eller kan eksporteres
til Danmarks nabolande, hvor det må forventes at fortrænge fossilbaseret elproduktion
og dermed at have en positiv klimaeffekt.
Fluktuerende elproduktion og fleksibelt elforbrug
I en fremtid, hvor fluktuerende energikilder vil spille en stadigt større rolle i
elforsyningen vil det ikke alene være en udfordring at sikre, at et stigende elforbrug
ledsages af en fortsat VE-udbygning. Det skal også sikres, at produktionen på alle
35
Energiøerne indgår ikke i KF22 grundforløb, som beskrevet i KF22 forudsætningsnotat 8A Havvind.
KEF, Alm.del - 2021-22 - Bilag 306: Orientering om offentliggørelse af Klimastatus og klimafremskrivning 2022
2565544_0054.png
8. EL- OG FJERNVARME
54
tidspunkter matcher forbruget og dette skal tackles i et samspil mellem alle de
involverede sektorer, fx også gennem øget fleksibilitet på forbrugssiden.
I KF22 sektornotat 8B om forbrug af el er det beskrevet, hvordan en væsentlig del af
den forventede stigning i elforbruget sker som elforbrug i elbiler og varmepumper, som
potentielt vil kunne agere mere fleksibelt end det klassiske elforbrug. En anden
væsentlig del af stigningen i elforbruget skyldes datacentre, der er karakteriseret ved at
have et forbrug der er næsten konstant i alle årets timer. Det klassiske forbrug
udgjorde ca. 90 pct. i 2019. Denne andel forventes reduceret til hhv. ca. 55 pct. og ca.
50 pct. i 2030 og 2035. Sammensætningen af elforbruget kommer således til at se
markant anderledes ud frem mod 2030 og 2035. Elforbruget til elektrolyse og til dels
fjernvarmeforsyning kan ligeledes i højere grad end det klassiske forbrug spille
sammen med den fluktuerende elproduktion fra vind og sol.
8.3
Usikkerhed
På grund af den meget høje VE-andel i produktionen af el- og fjernvarme gælder
usikkerheden i fremskrivningen i mindre grad de fremtidige drivhusgasudledninger,
men primært i hvilket omfang og tempo sektoren vil kunne bidrage til omstillingen i
andre sektorer. Fx har variationer i nedbørs-, temperatur- og vindforhold tidligere
påvirket el- og fjernvarmesektorens udledning betydeligt, med variationer på +/- 5 mio.
ton CO
2
, men sidst i fremskrivningsperioden, forventes sektorens udledninger at blive
betydeligt mindre påvirkelige af vejrmæssige udsving, i 2030 fx med variationer i
størrelsesordenen -0,1 mio. ton CO
2
til +0,2 mio. ton CO
2
.
De væsentligste usikkerheder knytter sig til sektorens rammebetingelser, som fx
brændsels- og CO
2
-kvotepriser, priser på VE-teknologier, bl.a. som konsekvens af
svingende råvarepriser, udviklingen i elforbrug, planmæssige forhold omkring den
indenlandske udbygning med havvind, landvind og solceller, samt udviklingen i
sammensætningen af elproduktionskapaciteter i udlandet. Hertil kommer usikkerhed
om fremtidige investeringer i fjernvarmesektoren, fx knyttet til usikkerhed om
prisudviklingen på varmepumper o.lign.
I KF22 sektornotat 8A om el- og fjernvarmesektoren er der beskrevet flere
følsomhedsanalyser. Nedenfor beskrives alene, hvordan fremskrivningen og særligt
elbalancen kan blive påvirket, hvis energiøerne medtages i fremskrivningen.
Alternativt forløb med energiøer
Energiøerne indgår ikke i KF22-grundforløbet. De system- og klimamæssige
konsekvenser af energiøerne for den danske el- og fjernvarmesektor søges derfor
belyst med en partiel følsomhedsberegning, hvor energiøen ved Bornholm antages
nettilsluttet i 2029-2030, og hvor energiøen i Nordsøen antages nettilsluttet i 2032-
2033, mens det indenlandske elforbrug holdes uændret
36
.
Følsomhedsberegningen med energiøerne viser, at VE-andelen i elforbruget stiger fra
109 pct. til 123 pct. i 2030 og fra 101 pct. til 138 pct. i 2035. En VE-andel i elforbruget,
som er højere end 100 pct., betyder, at Danmark med energiøerne forventes at have et
stort overskud af grøn elektricitet, som kan udnyttes til at nedbringe
36
En beskrivelse af antagelserne bag det partielle alternative forløb på forsyningssiden med energiøer findes i KF22
Sektornotat 8A.
KEF, Alm.del - 2021-22 - Bilag 306: Orientering om offentliggørelse af Klimastatus og klimafremskrivning 2022
2565544_0055.png
8. EL- OG FJERNVARME
55
drivhusgasudledningen fra andre sektorer gennem direkte eller indirekte elektrificering,
eller bidrage til at fortrænge fossil elproduktion i vores nabolande.
Følsomhedsberegningen viser også, at energiøerne alene har meget lille direkte
betydning for den danske drivhusgasudledning
37
. Årsagen til den lille effekt på de
danske udledninger er det i forvejen meget begrænsede omfang af fossilbaseret
elproduktion i Danmark. Energiøerne forventes dog at have en positiv klimaeffekt i det
europæiske elsystem, eftersom dansk eleksport vil fortrænge fossilbaseret
elproduktion i udlandet, ligesom energiøerne også vil åbne muligheder for at dække nye
indenlandske elforbrug, fx til yderligere fremstilling af syntetiske grønne brændstoffer
(Power-to-X), som kan fortrænge fossile brændsler i andre sektorer.
37
Effekten på de danske CO2-udledninger sidst i fremskrivningsperioden vurderes at ligge i intervallet +0,01 mio. ton til -
0,02 mio. ton, se KF22 Sektornotat 8A.
KEF, Alm.del - 2021-22 - Bilag 306: Orientering om offentliggørelse af Klimastatus og klimafremskrivning 2022
2565544_0056.png
9. AFFALD (INKL. AFFALDSFORBRÆNDING)
56
7 pct.
Udledninger
2030
9 Affald (inkl. affaldsforbrænding)
Affaldssektoren omfatter i KF22 behandling af affald og spildevand fra husholdninger,
serviceerhverv og industri, kompostering af have- og parkaffald, samt metanlækage fra
biogasanlæg
38
. Sektoren udledte i 2019 ca. 2,9 mio. ton CO
2
e svarende til 6 pct. af
Danmarks samlede udledninger. I 2025, 2030 og 2035 forventes sektoren at udlede
hhv. 3,2, 2,3 og 2,0 mio. ton CO
2
e svarende til 8 pct., 7 pct. og 7 pct. af Danmarks
samlede udledninger. Udledningerne er generelt knyttet til de konkrete mængder og
typer af affald, samt hvordan dette behandles. Den forventede udvikling i sektorens
udledninger skyldes især følgende faktorer:
Implementering af
Klimaplan for en grøn affaldssektor og cirkulær økonomi
(Klimaplanen), herunder tiltag til øget udsortering af affald til genanvendelse og
reduktion af forbrændingskapaciteten
Udbygning af biogasproduktion og metanlækage fra biogasanlæg
Henfald af historisk deponeret biologisk materiale
9.1
Affaldssektorens udledninger
Affaldssektoren er karakteriseret ved, at den bortskaffer restprodukter fra øvrige
sektorers forbrug og produktion af varer og tjenesteydelser. Affaldet forberedes til
genanvendelse, energiudnyttes eller deponeres, alt efter dets egenskaber. Hovedparten
af affaldet genanvendes, dog forbrændes ca. 33 pct. af affaldet, og energiproduktionen
38
Det bemærkes, at udledning af F-gasser blev indregnet under affaldssektoren til KF21. I KF22 er
udledningen af F-gasser fordelt ud på aktivitet og indgår således som udledninger i de sektorer, hvis
aktiviteter frembringer udledningerne (jf. også forudsætningsnotat 9C).
KEF, Alm.del - 2021-22 - Bilag 306: Orientering om offentliggørelse af Klimastatus og klimafremskrivning 2022
2565544_0057.png
9. AFFALD (INKL. AFFALDSFORBRÆNDING)
57
herfra har de seneste 10 år dækket omkring 25 pct. af det endelige varmeforbrug og 4
pct. af det endelige elforbrug. Affaldssektoren er således tæt koblet til el- og
fjernvarmesektoren, som beskrives i kapitel 8.
Figur 9.1:
Affaldssektorens drivhusgasudledninger (mio. ton CO
2
e/år); 1990-2035
mio. ton CO2e
Affaldssektorens drivhusgasudledninger, 1990-2035
3,5
3
2,5
2
1,5
1
0,5
Deponi
Affaldsforbrænding
Biogaslækage
Øvrig affaldshåndtering
Kompostering
Spildevand
0
1990
1995
2000
2005
2010
2015
2020
2025
2030
2035
Sektorens samlede udledninger for perioden 1990-2030 er vist i figur 9.1.
Sektorens udledninger omfatter både energirelaterede udledninger fra
affaldsforbrænding (CRF-1) og affaldsrelaterede udledninger (CRF-5) som stammer fra
deponi af biologisk materiale, metanlækage fra biogasanlæg, kompostering og
behandling af spildevand. De energirelaterede udledninger består hovedsageligt af CO
2
,
alt imens de affaldsrelaterede udledninger fortrinsvis består af metan og lattergas.
Affaldsforbrænding
Drivhusgasudledningerne fra affaldsforbrænding forventes at udgøre 1,6 mio. ton CO
2
e
i 2025, 0,7 mio. ton CO
2
e i 2030 og 0,5 mio. ton CO
2
e i 2035. Sammenholdes de
forventede udledninger i 2025, 2030 og 2035 med udledningerne i 2019, svarer det
henholdsvis til en forøgelse på ca. 3 pct. i 2025 og reduktioner på ca. 60 og 66 pct. i
2030 og 2035.
Reduktionen i udledningerne fra affaldsforbrænding sker som følge af tiltagene i
Klimaplanen, som består af en række tiltag, der tilsigter at øge udsortering og
genanvendelse af dansk affald, samt en reduktion af forbrændingskapaciteten.
Kombinationen af en reduktion af forbrændingsegnet affald og kapacitetsreduktion,
forventes at mindske den fossile andel i det forbrændingsegnede affald og begrænse
import af plastholdigt forbrændingsegnet affald, hvormed sektorens
drivhusgasudledninger reduceres.
Deponi
Udledningen af metan fra deponier antages reduceret til 0,5 mio. ton CO
2
e i 2025 og ca.
0,4 mio. ton CO
2
e i 2030 og 2035, svarende til en reduktion på henholdsvis 17 og 32
pct. i forhold til 2019. Reduktionen skyldes henfald af deponeret biologisk materiale og
KEF, Alm.del - 2021-22 - Bilag 306: Orientering om offentliggørelse af Klimastatus og klimafremskrivning 2022
2565544_0058.png
9. AFFALD (INKL. AFFALDSFORBRÆNDING)
58
at der i dag kun deponeres biologisk materiale i begrænset omfang, som følge af et
forbud imod deponering af forbrændingsegnet affald fra 1997.
Metanlækage fra biogasanlæg
Udledningen af metan, i form af lækage fra biogasanlæggene, forventes at stige til ca.
0,6 mio. ton CO
2e
i 2025, 0,8 mio. ton CO
2e
i 2030 og 0,7 mio. ton CO
2e
i 2035, svarende
til en stigning på hhv. 33 pct., 100 pct. og 59 pct. i forhold til 2019. Den forventede
stigning i drivhusgasudledninger skyldes en forøgelse af biogasproduktionen, jf.
[kapitel 7]. Det mindre fald i udledningerne fra 2030 til 2035 skyldes et ophør af tilsagn
om støttebevillinger til visse typer biogasproduktion.
Den forventede metanlækage fra biogasanlæg er forøget væsentligt i KF22 i forhold til
tidligere års klimafremskrivninger, på baggrund af opdateret viden om
biogasanlæggenes nuværende metantab, som medfører at den antagne lækagerate for
fremskrevne år øges fra 1 pct. til knap 3 pct.
Kompostering
Udledningen af metan og lattergas fra kompostering forventes at udgøre ca. 0,2 mio.
ton CO
2
e i henholdsvis 2025, 2030 og 2035. Der forventes således ingen væsentlige
ændringer i udledninger fra kompostering set i forhold til 2019, hvilket skyldes at den
komposterede mængde forventes at holdes forholdsvist konstant frem imod 2035.
Spildevandsbehandling
Udledningen af metan og lattergas fra behandlingen af spildevand forventes at udgøre
ca. 0,2 mio. ton CO
2
e i 2025, 2030 og 2035. Der forventes således ingen væsentlige
ændringer i udledninger fra behandlingen af spildevand set i forhold til 2019.
9.2
Usikkerhed
Der er usikkerheder forbundet med fremskrivningen af affaldssektorens udledninger.
Med henblik på at belyse de væsentligste usikkerheders betydning for
fremskrivningens resultat, er der udarbejdet følgende følsomhedsberegninger til KF22:
Kapacitet i affaldsforbrændingssektoren
Metanlækage fra biogasanlæg
KF22 forudsætter på baggrund af Klimaplanen, at den samlede årlige miljøgodkendte
kapacitet i affaldsforbrændingssektoren
reduceres med 30 pct. i 2030, set i forhold til
kapaciteten i 2020. Kapacitetstilpasningen søges gennemført ved at implementere en
udbudsbaseret model med mulighed for at indføre supplerende virkemidler, såfremt
kapacitetsudviklingen ikke udvikler sig i takt med affaldsmængderne.
Der er gennemført en følsomhedsberegning, som illustrerer den mulige udvikling i
sektorens drivhusgasudledninger, såfremt kapacitetstilpasningen sker i takt med
udfasning af udtjente ovnlinjer på de danske anlæg. Følsomhedsberegningen bygger
således på en antagelse om, at den miljøgodkendte kapacitet tilpasses i takt med at
ovnlinjernes alder ellers ville tilsige et behov for større reinvesteringer. Beregningen er
baseret på oplysninger fra de dedikerede og multifyrede forbrændingsanlæg om deres
forventninger til hvornår der skal gennemføres større reinvesteringer på de 42
eksisterende ovnlinjer. Under disse forudsætninger forventes klimaplanens målsætning
KEF, Alm.del - 2021-22 - Bilag 306: Orientering om offentliggørelse af Klimastatus og klimafremskrivning 2022
2565544_0059.png
9. AFFALD (INKL. AFFALDSFORBRÆNDING)
59
om en 30 pct. reduktion af forbrændingskapaciteten opnået i 2035 og som følge af den
senere indfasning øges sektorens CO
2
-udledninger med ca. 0,6 mio. ton i 2030 ift. KF22
grundforløbet.
Som nævnt ovenfor, er den forventede
metanlækage fra biogasanlæg
forøget i KF22 i
forhold til tidligere klimafremskrivninger. Dette skyldes, at der er opnået ny viden om
biogasanlæggenes nuværende metantab. Der er dog fortsat stor usikkerhed forbundet
med de forventede metanudslip, hvorfor der er gennemført en følsomhedsberegning,
hvor det antages, at nye anlæg, vil have en meget lav udledning og at gamle anlæg
tætnes, hvormed den gennemsnitlige lækagerate falder til 1-1,5 pct. i 2030. Under
denne antagelse skønnes den samlede udledning forbundet med metanlækage fra
biogasanlæg reduceret med ca. 0,4-0,5 mio. ton CO2e i 2030 ift. KF22 grundforløbet.
KEF, Alm.del - 2021-22 - Bilag 306: Orientering om offentliggørelse af Klimastatus og klimafremskrivning 2022
2565544_0060.png
10. LANDBRUG, LANDBRUGSAREALER, SKOVE, GARTNERI OG FISKERI
60
Udledninger
2030
45 pct.
10 Landbrug, landbrugsarealer, skove,
gartneri og fiskeri
Dette kapitel beskriver den forventede udvikling i udledninger og optag fra:
landbrugets processer
landbrugets arealanvendelse
skove og høstede træprodukter
energiforbruget i landbrug, gartneri, skovbrug og fiskeri.
Sektoren landbrugsprocesser, landbrugsarealer, skove, gartneri og fiskeri udledte i
2019 og 2020 hhv. 15,7 og 15,9 mio. ton CO
2
e svarende til 33 og 35 pct. af Danmarks
samlede udledninger. I 2025, 2030 og 2035 forventes sektoren at udlede hhv. 16,6, 15,1
og 14,4 mio. ton CO
2
e svarende til 40, 45 og 48 pct. af Danmarks samlede udledninger.
Den forventede udvikling i sektorens udledninger skyldes især forventningerne om:
Et fald i udledninger fra landbrugets processer, som skyldes færre udledninger fra
gødningshåndtering og gødskning på marker, bl.a. som følge af implementering af
nye, politiske tiltag på området.
Et fald i udledninger fra landbrugsarealer, primært på baggrund af en forventet
stigning i arealet af dyrket kulstofrig jord, som udtages og omlægges til
vådområder. Mineraljorderne forventes at have et CO
2
-optag fra 2020 til 2035, som
skyldes øget udbyttestigning og tilførsel af halm og planterester fra bl.a.
efterafgrøder.
En aftagende kulstofbinding i de danske skove grundet forventet høst af træer.
KEF, Alm.del - 2021-22 - Bilag 306: Orientering om offentliggørelse af Klimastatus og klimafremskrivning 2022
2565544_0061.png
10. LANDBRUG, LANDBRUGSAREALER, SKOVE, GARTNERI OG FISKERI
61
10.1
Samlede udledninger fra landbrug, landbrugsarealer, skove, gartneri
og fiskeri.
Dansk landbrugs udledninger af drivhusgasser er tæt forbundet med udviklingen i
husdyrbestanden, herunder især udviklingen i kvæg- og svinebestanden, samt
fordelingen på husdyrtyper. Ligeledes er det afgørende, hvordan landbrugets arealer
forvaltes.
De danske skove har i mange år fungeret som nettooptagere af CO
2
via forøgelse af
skovenes kulstoflagre, men dette ser ud til at ændre sig i løbet af de nærmeste år, hvor
skovene går fra at agere nettooptagende til at være nettoudledende i nogle år.
Energiforbruget i landbrug, gartneri, skovbrug og fiskeri udgør en mindre andel af
sektorens samlede udledninger. Energiforbruget er især forbundet med intern transport
(herunder særligt kørsel med landbrugsmaskiner og fiskekuttere) samt procesvarme
(fx til opvarmning af væksthuse og stalde).
Figur 10.1:
Sektorens udledninger for 1990-2035 (mio. ton CO
2
e)
Udledninger fra landbrug, gartneri, fiskeri, skove og øvrige
arealer
mio. ton CO2e
30
25
20
15
10
5
0
-5
-10
1990 1995 2000 2005 2010 2015 2020 2025 2030 2035
By- og vådområder (LULUCF)
Landbrugets arealanvendelse
(LULUCF)
Landbrugsprocesser
Energiforbrug - Landbrug, gartneri,
skovbrug og fiskeri
Skov (LULUCF)
De samlede CO
2
e-udledninger fra landbrugsprocesser, landbrugsarealer, skove,
gartneri og fiskeri i perioden 1990-2035 er vist i figur 10.1. Udledningerne er især drevet
af udviklingen i udledninger fra landbrugsprocesser samt landbrugets arealanvendelse.
Udledningerne fra landbrugets processer forventes at udgøre omkring 68 pct. af
sektorens samlede udledninger i 2030, mens LULUCF og energiforbruget fra landbrug,
gartneri, skovbrug og fiskeri forventes at stå for hhv. ca. 25 pct. og 7 pct.
KEF, Alm.del - 2021-22 - Bilag 306: Orientering om offentliggørelse af Klimastatus og klimafremskrivning 2022
2565544_0062.png
10. LANDBRUG, LANDBRUGSAREALER, SKOVE, GARTNERI OG FISKERI
62
Tekstboks 10.1:
Udledninger fra landbrugsprocesser, landbrugsarealer, skove, gartneri og
fiskeri fordelt på kilder.
Udledninger fra landbrugsprocesser:
Landbrugets processer medfører især udledning af drivhusgasserne 1) metan (CH
4
)
fra husdyrenes fordøjelse og fra gødningshåndtering, samt 2) lattergas (N
2
O) fra
gødningshåndtering, gødskning på marker. For en nærmere beskrivelse af
udledninger fra landbrugsprocesser henvises til KF22 sektornotatet 10B.
Udledninger og optag fra landbrugsarealer:
Landbrugsarealer omfatter dyrkede arealer og græsarealer i landbruget, hvor
ændringer i de biologiske kulstofpuljer kan medføre optag eller frigivelse af CO
2
.
Kulstofpuljerne omfatter kulstofrig jord, mineraljord samt levende og død biomasse i
frugttræer, bærbuske, markkrat og læhegn. Udledninger og optag opgøres som del af
LULUCF-udledningerne (Land Use, Land-Use Change and Forestry)
39
, der også
omfatter udledninger fra skov og øvrig arealanvendelse (bebyggelse og vådområder).
I KF22 samt tilhørende sektornotater er LULUCF-sektoren opdelt i to overordnede
arealkategorier, hvor landbrugsarealer beskrives i sektornotat 10C, og skovarealer
beskrives i sektornotat 10D. For uddybende gennemgang af udledningerne fra
kategorierne henvises til disse sektornotater.
Udledninger og optag fra skov:
Udledninger og optag fra skov opgøres ligeledes som ændringer i kulstofpuljerne
levende biomasse, død biomasse, mineraljord og kulstofrig jord. Når skoven vokser
optager den CO
2
i den stående levende biomasse, ligesom skovrejsning på
landbrugsarealer på sigt kan bidrage til optag af CO
2
i vedmassen. Når skoven
hugges, afregnes dette som udledninger. Hvis hugsten ikke afbrændes, men i stedet
anvendes som høstede træprodukter fx til byggematerialer, lagres kulstoffet i træet,
hvilket opgøres som optag. Udledninger og optag fra skov beskrives i detaljer i KF22
sektornotat 10D.
Udledninger fra energiforbruget i landbrug, gartneri, skovbrug og fiskeri:
Udledningerne fra sektorens energiforbrug skyldes anvendelsen af fossile brændsler,
der anvendes til bl.a. intern transport og procesvarme. Udledningerne forbundet med
sektorens forbrug af el og fjernvarme opgøres under el- og fjernvarmesektoren i
kapitel 8. For nærmere beskrivelse af udledninger fra energiforbruget i landbrug,
gartneri, skovbrug og fiskeri henvises til KF22 sektornotat 10A om energiforbruget i
landbrug, gartneri, skovbrug og fiskeri.
10.2
Udledninger fra landbrugsprocesser
Landbrugets processer er karakteriseret ved en række komplicerede biologiske og
kemiske processer, som medfører udledninger af metan og lattergas og i mindre grad
CO
2
. Udledningerne herfra kan opdeles i tre hovedkilder, som beskrevet i tekstboks 1 i
sektornotat 10B.
Udledningerne fra landbrugsprocesser er reduceret fra 13,3 mio. ton CO
2
e i 1990 til
11,4 mio. ton CO
2
e i 2020. Denne udvikling forventes at fortsætte frem mod 2030, hvor
udledningerne forventes at udgøre ca. 10,2 mio. ton CO
2
e, hvilket svarer til en reduktion
39
På dansk arealanvendelse, arealændringer og skove.
KEF, Alm.del - 2021-22 - Bilag 306: Orientering om offentliggørelse af Klimastatus og klimafremskrivning 2022
2565544_0063.png
10. LANDBRUG, LANDBRUGSAREALER, SKOVE, GARTNERI OG FISKERI
63
på ca. 23 pct. ift. 1990. Faldet i udledningerne fra 2020 til 2030 er drevet af et fald i
udledningerne fra gødningshåndtering og gødskning på marker på hhv. 1 og 0,5 mio.
ton CO
2
e, bl.a. som følge af nye, politiske tiltag. Omvendt forventes udledningerne fra
husdyrenes fordøjelse at stige i perioden fra nu og frem mod 2030 grundet en forventet
stigning i bestanden samt øget mælkeydelse.
KF22 indregner nye, politisk besluttede tiltag på området, herunder særligt som følge af
aftale om grøn omstilling af dansk landbrug
(herefter landbrugsaftalen), samt en
forventet udvikling i udbredelse af miljøteknologier. De tiltag, som er indregnet jf.
landbrugsaftalen, er bl.a. reduktionskrav for husdyrenes fordøjelse, hyppigere
udslusning, samt øvrige tiltag, som reducerer kvælstofudvaskningen fra rodzonen.
Husdyrenes fordøjelse
Udledningerne stammer hovedsageligt fra kvægproduktionen, hvoraf malkekvæg er
den største kilde. De samlede udledninger fra husdyrenes fordøjelse forventes at stige
fra 4,1 mio. ton CO
2
e i 2020 til 4,4 mio. ton CO
2
e i 2030. Efter 2030 forventes
udledningerne på et nogenlunde stabilt niveau ved fravær af nye politiske tiltag.
Stigningen skyldes en forventet stigning i bestanden af særligt malkekvæg frem mod
2030 og øget mælkeydelse som følge af genetisk forædling, øget foderindtag og
optimeret fodersammensætning. Tabel 1 viser den forventede stigning i bestanden af
malkekvæg og øvrige kvæg, som omfatter kalve, tyre, kvier og ammekøer, frem mod
2030. Fremskrivningen er baseret på den europæiske AGMEMOD-model (se
forudsætningsnotat 10B for detaljer).
Tabel 10.1:
Antal af malkekvæg og øvrige kvæg, samt udledningen relateret til deres fordøjelse i
2020, 2025 og 2030.
Dyrekategori
2020
2025
2030
Malkekvæg
566.986
572.204
590.674
Øvrige kvæg
Fordøjelsesudledninger fra kvæg (mio. ton CO
2
)*
1.120.575
3,6
1.129.783
3,7
1.140.204
3,9
*Kvæg står for ca. 87 % af udledninger fra husdyrenes fordøjelse. Svin, heste, hjorte, fjerkræ og mink
udleder også små mængder CH
4
ved fordøjelsen.
Der indgår i KF22 et generelt reduktionskrav for husdyrenes fordøjelse, der følger af
landbrugsaftalen. Kravet er indregnet som et krav om øget fedtfodring fra og med 2025
for konventionelle malkekvæg. En øget mængde fedt i foderet er ligesom andre
fodermidler og fodertilsætningsstoffer med til at reducere metanudledningerne. Denne
reduktion er dog ikke tilstrækkelig til at udligne de øgede udledninger som følge af
stigningen i bestanden og øget produktivitet.
Gødningshåndtering
Udledninger fra gødningshåndtering udgjorde 3,1 mio. ton CO
2
e i 2020 og forventes at
falde til 2,1 mio. ton CO
2
e i 2030. Efter 2030 forventes udledningerne at stabiliseres på
nogenlunde 2030-niveau ved fravær af nye politiske tiltag. Udledningerne, som
omfatter metan og lattergas fra stald og lager, stammer historisk set primært fra den
danske svineproduktion.
KEF, Alm.del - 2021-22 - Bilag 306: Orientering om offentliggørelse af Klimastatus og klimafremskrivning 2022
2565544_0064.png
10. LANDBRUG, LANDBRUGSAREALER, SKOVE, GARTNERI OG FISKERI
64
Tabel 10.2:
Antal producerede smågrise og slagtesvin og antal søer, samt udledninger relateret
til deres gødningshåndteringen i 2020, 2025 og 2030.
Dyrekategori
2020
2025
2030
Søer
1.054.896
1.016.707
930.713
Smågrise
33.246.324
36.469.741
36.458.309
Slagtesvin
19.066.047
21.806.322
21.650.801
Gødningsudledninger fra svin (mio. ton
1,5
1,0
0,8
CO
2
e)*
*Svin står for ca. 47% (2020) og 39% (2030) af udledninger fra gødnings-håndteringen. Kvæg står for 45%
(2020) og 53% (2030).
Selvom der ikke forventes en større ændring i svineproduktionen fra 2020 frem mod
2030 (Tabel 2), forventes andelen af udledninger fra gødningshåndtering relateret til
svineproduktionen at falde fra ca. 47 pct. i 2020 til 39 pct. i 2030. Det skyldes primært,
at der i KF22 indregnes et krav om hyppigere udslusning af svinegylle fra 2023, som
vedtaget i landbrugsaftalen. Hyppigere udslusning medfører en reduktion i udledning af
metan fra stalde. Derudover indregnes en øget brug af miljøteknologier i stalde samt en
betydeligt øget levering af svine- og kvæggylle til biogasproduktion fremadrettet, hvilket
ligeledes medfører en reduktion i udledninger fra gødningshåndtering.
Miljøteknologier omfatter bl.a. gyllekøling, forsuring i stalde og luftrensning, og de
påvirker lattergasudledningen fra gødningshåndtering. Den forventede udvikling i brug
af miljøteknologier er baseret på en vurdering udført af SEGES og beskrives nærmere i
sektornotat 10B.
Gødskning på marker
Lattergasudledninger fra gødskning på markerne stammer fra flere udledningskilder og
afhænger især af, hvor meget kvælstof der tilføres jorden. Udledningerne forventes at
falde fra 4,2 mio. ton CO
2
e i 2020 til 3,8 mio. ton CO
2
e i 2030. Efter 2030 forventes
udledningerne at stabiliseres på nogenlunde 2030-niveauet ved fravær af nye politiske
tiltag. Faldet fra 2020 til 2030 skyldes bl.a. et øget udnyttelseskrav for husdyrgødning
og øgede forventninger til ekstensivering og permanent udtagning af landbrugsarealer,
som følge af landbrugsaftalen og implementeringen af CAP 2023-2027. Begge tiltag
medfører et mindre forbrug af handelsgødning (Figur 2), som leder til en reduktion i
lattergasudledninger fra marker.
Tabel 10.3:
Mængde kvælstof (kt N) og udledninger (mio. ton CO2e) fra kunstgødning i 2020,
2025 og 2030.
2020
2025
2030
Mængde kvælstof (N) fra kunstgødning (kt N)
Udledninger fra kunstgødning (mio. ton CO
2
e)
252
0,9
203
0,8
197
0,8
*Kunstgødning står for 25 pct. (2020) og 22 pct. (2030) af udledningerne fra gødskning på marker.
10.3
Udledninger fra landbrugets arealanvendelse
Udledninger fra landbrugets arealanvendelse omfatter optag og udledninger af CO
2
e
fra dyrkede marker og græsarealer, som opgøres som en del af LULUCF-udledninger.
Udledningerne forventes at falde fra 5,1 mio. ton CO
2
e i 2020 til 3,5 mio. ton CO
2
e i
2030 og 3,1 mio. ton CO
2
e i 2035. Faldet skyldes i høj grad tiltag vedrørende permanent
udtagning og vådlægning af kulstofrig jord, da udledninger som følge af dyrkning og
KEF, Alm.del - 2021-22 - Bilag 306: Orientering om offentliggørelse af Klimastatus og klimafremskrivning 2022
2565544_0065.png
10. LANDBRUG, LANDBRUGSAREALER, SKOVE, GARTNERI OG FISKERI
65
dræning af kulstofrig jord står for hovedparten af de samlede udledninger fra
landbrugets arealanvendelse. Derudover er der udledninger og optag fra mineraljord og
udledninger fra kulstofpuljen i levende og død biomasse.
I Danmark ligger knap 6 pct. af landbrugsarealet på kulstofrig jord (Tabel 4), og dette
areal står for hovedparten af udledningerne både i 2020 og i 2030. Mineraljorden, som
udgør langt hovedparten af landbrugsarealet, påvirkes i højere grad af vejret, hvilket kan
føre til både netto-optag og -udledninger af CO
2
. Dette gør fremskrivningen af
kulstofpuljeændringer i mineraljorden udfordrende.
Tabel 10.4:
Landbrugsarealet fordeling og udledninger inkl. non-CO2 på mineral og kulstofrig
jord (ekskl. udledninger fra biomasse).
Landbrugsarealet (ha)
1990
Mineral jord
Kulstofrig jord
Mineral jord
Kulstofrig jord
2.924.266
215.290
1,1
6,4
2020
2.800.408
170.429
-0,1
4,8
2025
2.767.428
159.597
-0,3
4,5
2030
2.726.206
133.488
-0,6
3,7
2035
2.710.717
131.688
-0,6
3,7
Udledninger (mio. ton CO2e)
Dyrket kulstofrig jord
Kulstofrig jord er defineret som jord med mindst 6 pct. organisk kulstof og er generelt
oprindelige moser med tørv, som har været vådlagt. Når disse arealer dyrkes, drænes
jorden, og dermed nedbrydes jordens organiske materiale pga. ilttilførsel, hvilket
medfører CO
2-
udledning. Udledningerne er faldet fra 6,4 mio. ton CO
2
e i 1990 til 4,8 mio.
ton CO
2
e i 2020. Dette er en konsekvens af, at arealet med dyrket kulstofrig jord er
blevet mindre som følge af, at kulstofindholdet i de kulstofrige jorder er blevet frigivet,
og arealet derfor er blevet omklassificeret fra kulstofrig jord til mineraljord, som har et
lavere kulstofindhold. De senere år er der indgået politiske aftaler, som afsætter midler
til at udtage de dyrkede kulstofrige landbrugsarealer og omlægge dem til vådområder.
Dermed reduceres udledningerne kraftigt. I KF22 forventes det, at der i 2030 er udtaget
knap en fjerdedel af de kulstofrige arealer, der dyrkes i 2020 (Figur 2).
KEF, Alm.del - 2021-22 - Bilag 306: Orientering om offentliggørelse af Klimastatus og klimafremskrivning 2022
2565544_0066.png
10. LANDBRUG, LANDBRUGSAREALER, SKOVE, GARTNERI OG FISKERI
66
Figur 10.2:
Dyrkede og udtagne arealer med kulstofrig landbrugsjord fra 1990 til 2035.
1000 ha
Dyrket og udtaget arealer med kulstofrig landbrugsjord
250
200
150
Dyrket kulstofrig jord
100
50
0
Udtaget og vådlagt
1990 1995 2000 2005 2010 2015 2020 2025 2030 2035
Frem mod 2035 forventes en yderligere reduktion til ca. 3,7 mio. ton CO
2
e. Årsagen til
den yderligere reduktion i fremskrivningen er, at der forventes en permanent udtagning
og vådlægning af kulstofrig jord som følge af vedtagne politikker og afsatte midler fra
2018 og frem, herunder udtagningsordninger fra Finanslov 2020 og 2021,
landbrugsaftalen og CAP 2023-27.
Mineraljord
Mineraljord udgør i dag ca. 94 pct. af det danske landbrugsareal og er defineret som
jord med under 6 pct. organisk kulstof. Udledninger og optag af CO
2
fra mineraljord
afhænger af samspillet mellem tilførslen af organisk materiale (plantemateriale og
husdyrgødning), vejrforhold, jordtypen og dyrkningshistorikken. Tilførsel af organisk
materiale og vejrforhold varierer betydeligt over årene. Dette resulterer i en stor årlig
variation i ændringer i mineraljordens kulstofpulje, som kan betyde enten
nettoudledning (fx 2018) eller et nettooptag (fx 2010), hvilket kan ses i de historiske
udledninger jf. Figur 3.
KEF, Alm.del - 2021-22 - Bilag 306: Orientering om offentliggørelse af Klimastatus og klimafremskrivning 2022
2565544_0067.png
10. LANDBRUG, LANDBRUGSAREALER, SKOVE, GARTNERI OG FISKERI
67
Figur 10.3:
Udledninger (positive) og optag (negative) af CO2e i mineraljorden på
landbrugsarealer fra 1990 og fremskrevet til 2035.
mio. ton CO2e
Udledninger og optag fra mineraljord på landbrugsarealer
1,5
1
0,5
0
-0,5
-1
1990
1995
2000
2005
2010
2015
2020
2025
2030
2035
Mineraljord
Fremskrivningen af kulstofpuljeændringerne i mineraljorden viser ligeledes årlig
variation i udledninger/optag. Modelleringen tager højde for temperaturforskelle
mellem otte landsdele (Nordjylland, Sydjylland, Østjylland, Vestjylland, Fyn,
Hovedstaden/Nordsjælland, Sjælland inkl. Lolland-Falster og Bornholm) ved at bruge
temperaturscenarier udarbejdet af Danmarks Meteorologiske Institut. Bemærk, at året
2021 er modelleret med observeret temperatur, og derfor afviger fra de øvrige
fremskrevne år, hvor der er antaget en temperaturstigning. Temperaturstigningen
medfører et mindre optag (ca. 0,2 - 0,4 mio. ton CO
2
) i perioden 2022-2026, hvorefter
optaget stiger til omkring 0,5 - 0,6 mio. ton CO
2
fra 2027 og den efterfølgende periode.
Det skyldes den antagende udbyttestigning på gennemsnitlig 0,7 pct. per år (varierer
mellem afgrøder), samt at der som følge af landbrugsaftalen, antages et øget
efterafgrødeareal og areal med græs i forhold til korn.
Levende og død biomasse
Ændringer i biomassens kulstofpulje kan føre til både udledninger og optag af CO
2
og
opgøres både for levende og død biomasse (Figur 4). Levende biomasse inkluderer
frugttræer, bærbuske, poppel, pil og andre vedholdige flerårige afgrøder, samt ikke-
produktive elementer så som læhegn og markkrat. Ifølge IPCCs regneregler opgøres
puljeændringer årligt, hvorfor etårige afgrøder ikke giver anledning til hverken
udledninger eller optag på nationalt niveau. De årlige ændringer i kulstofpuljen, som
medfører både udledninger og optag, skyldes dermed vækst, tilplantning eller fældning
af disse planter. Udledninger fra kulstofpuljen af død biomasse, skyldes
arealændringer, når skov omlægges til landbrugsarealer. Den efterladte døde biomasse
fra skoven (nedfaldne blade, kviste og delvis omsatte træstumper) nedbrydes
efterfølgende, hvilket fører til udledning. Disse udledninger afrapporteres under
landbrugsarealer, hvis afskovningen sker til dyrket mark eller græsarealer. I
fremskrivningsårene forventes biomasse at udlede mellem 0,1 og 0,4 mio. ton CO
2
e
årligt.
KEF, Alm.del - 2021-22 - Bilag 306: Orientering om offentliggørelse af Klimastatus og klimafremskrivning 2022
2565544_0068.png
10. LANDBRUG, LANDBRUGSAREALER, SKOVE, GARTNERI OG FISKERI
68
Figur 10.4:
Udledninger og optag fra levende og død biomasse på landbrugsarealer (uden non-
CO2 fra afbrænding).
Udledninger og optag fra levende og død biomasse på
landbrugsarealer
mio. ton CO2e
0,6
0,5
0,4
0,3
0,2
0,1
0
-0,1
1990
1995
2000
2005
Levende biomasse
2010
2015
Død biomasse
2020
2025
2030
Nettoudledning
2035
10.4
Udledninger og optag fra skove
Træer optager CO
2
mens de vokser og lagrer kulstof i vedholdig biomasse. Derudover
kan der lagres kulstof i høstede træprodukter
40
. Nettoændringer i disse to kulstofpuljer
kan enten betyde en nettoudledning eller et nettooptag af CO
2
. Om skove og
træprodukter har en nettoudledning eller et nettooptag beror på forholdet mellem den
årlige tilvækst og den årlige træhugst/-nedbrydning. Ud over ændringer i kulstofpuljer
omfatter opgørelsen udledninger af CO
2
, metan og lattergas fra skovarealerne.
Fra 1990 og frem til 2020 har danske skove og træprodukter haft årlige nettooptag på
gennemsnitlig 1,9 mio. ton CO
2
e. Frem mod 2035 forventes det årlige nettooptag at
falde til gennemsnitlig 0,5 mio. ton CO
2
e. Skove og høstede træprodukter forventes at
have et nettooptag på 0,26 mio. ton CO
2
e i 2030 og 0,36 mio. ton CO
2
e i 2035. Figur 5
viser udviklingen i udledninger og optag fra skov og høstede træprodukter fra 1990 til
2035.
Nedgangen i nettooptag skyldes primært et forventet mindre nettooptag af CO
2
i skove
frem til 2035. I årene 2025-2029 forventes endda en lille nettoudledning fra skovene.
Årsagen er blandt andet en foryngelse af skovene, idet træer forventes at blive fældet
og erstattet af nye træer.
træprodukter er den del af hugsten som afsættes som industritræ eller gavntræ. Det er savskåret træ og
træplader, som fx bruges til byggematerialer. På engelsk ”harvested wood products” (HWP).
40
Høstede
KEF, Alm.del - 2021-22 - Bilag 306: Orientering om offentliggørelse af Klimastatus og klimafremskrivning 2022
2565544_0069.png
10. LANDBRUG, LANDBRUGSAREALER, SKOVE, GARTNERI OG FISKERI
69
Figur 10.5:
Udledninger og optag fra skov og høstede træprodukter.
mio. ton CO2e
Udledninger og optag fra skov og høstede træprodukter
0,5
0
-0,5
-1
-1,5
-2
-2,5
-3
-3,5
-4
-4,5
1990
1995
2000
2005
2010
2015
Skov
2020
2025
2030
2035
Høstede træprodukter
Samlet udledning
Udledninger og optag fra skove og træprodukter er en konsekvens af udviklingen i det
samlede skovareal, udviklingen i skovenes kulstofpulje og udviklingen i kulstofpuljen i
træprodukter. Skovarealet i Danmark har været stigende siden 1805 og forventes også
at stige frem til 2035 som følge af skovrejsning. Skovenes kulstofpulje har været
stigende siden 1990. Fra 2020 forventes denne kulstofpulje dog at stagnere, bl.a. som
følge af fældning af træer. Kulstofpuljen i træprodukter forventes at være stigende
siden 1990 og frem til 2035 (Figur 6), som skyldes, at der samlet produceres et større
input til puljen end afløb i form af træprodukter, der afskaffes.
Figur 10.6:
Udviklingen i skovareal samt kulstofpuljerne i skove og høstede træprodukter.
1000 ha
Kulstofpuljen i danske skove
mio. ton CO2
800
700
600
500
400
300
200
100
0
1990
2000
2010
2020
2030
2035
400
350
300
250
200
150
100
50
0
Skovens samlede
kulstofpulje (omregnet til
CO2) (højre akse)
Høstede træprodukter
kulstofpulje (højre akse)
Skovareal [1000 ha]
KEF, Alm.del - 2021-22 - Bilag 306: Orientering om offentliggørelse af Klimastatus og klimafremskrivning 2022
2565544_0070.png
10. LANDBRUG, LANDBRUGSAREALER, SKOVE, GARTNERI OG FISKERI
70
10.5
Udledninger fra energiforbrug i landbrug, gartneri, skovbrug og fiskeri
Udledningerne fra energiforbruget i landbrug, gartneri, skovbrug og fiskeri forventes
reduceret fra 1,4 mio. ton CO
2
e i 2020 til ca. 1 mio. ton CO
2
e i 2030 (figur 7). Frem mod
2035 forventes en yderligere reduktion til ca. 0,9 mio. ton CO
2
e i fravær af nye politiske
tiltag. I 1990 var udledningerne 2,4 mio. ton CO2e, og den forventede reduktion mellem
1990 og 2030 svarer dermed til en reduktion på ca. 57 pct.
Figur 10.7:
Udledninger fra energiforbrug i landbrug, gartneri, skovbrug og fiskeri.
Energirelaterede udledninger fra landbrug, gartneri skovbrug
og fiskeri
mio. ton CO2e
3
2,5
2
1,5
1
0,5
0
1990 1995 2000 2005 2010 2015 2020 2025 2030 2035
Metan, lattergas og indirekte CO2
(ikke sektorfordelt)
Fiskeri (CO2)
Landbrug, gartneri og skovbrug
(CO2)
Ses der alene på landbrug, gartneri og skovbrug, stammer udledningerne fra disse
sektorers energiforbrug hovedsageligt fra forbruget af fossile brændsler til intern
transport, herunder særligt kørsel med landbrugsmaskiner, og procesvarme fx til
opvarmning af væksthuse og stalde. I 2020 lå de energirelaterede udledninger fra
landbrug, gartneri og skovbrug på ca. 1 mio. ton CO
2
e. Udledningerne forventes at falde
med ca. 0,3 mio. ton CO
2
e frem mod 2030. Frem mod 2035 forventes udledningerne at
falde yderligere med 0,1 mio. ton CO
2
e i fravær af nye politiske tiltag. Reduktionen er
drevet af en løbende energieffektivisering og konvertering fra fossile brændsler til
varmepumper knyttet til sektorernes procesvarmebehov.
Fiskerisektorens udledninger knytter sig især til dieselolieforbruget i fiskekuttere og
udgjorde 0,34 mio. ton CO
2
e i 2020. Fra 2020 frem mod 2035 forudsættes en yderligere
reduktion i de energirelaterede udledninger fra fiskeri til ca. 0,29 mio. ton CO
2
e i 2030
og 0,27 mio. ton CO
2
e i 2035. Faldet i udledningerne er drevet af en faldende aktivitet
samt strukturelle ændringer i form af en forsat ændring af fiskeflåden mod færre, men
større og mere energieffektive kuttere.
10.6
Usikkerhed
Udledninger fra landbrugets processer
Opgørelsen og fremskrivning af udledninger fra landbrugsprocesser er behæftet med
usikkerhed ift. beregningsmetoder og aktivitetsdata. Usikkerheden vurderes at være
betydeligt højere i fremskrivningen end i opgørelsen af historiske udledninger, da en
KEF, Alm.del - 2021-22 - Bilag 306: Orientering om offentliggørelse af Klimastatus og klimafremskrivning 2022
2565544_0071.png
10. LANDBRUG, LANDBRUGSAREALER, SKOVE, GARTNERI OG FISKERI
71
række variable, som har væsentlig betydning for udledningsberegninger, er vanskeligt
at forudsige. Dette gælder fx udviklingen i antal husdyr og hektar afgrøder, som
afhænger af markedsforhold i EU og forbrugerpræferencer. Antagelser om 15 pct. flere
eller færre svin (både søer, smågrise og slagtesvin) i 2030 vil hhv. øge og reducere
landbrugets udledninger med knap 0,2 mio. ton CO
2
e svarende til ca. 2 pct. af de
samlede udledninger fra landbrugsprocesser i 2030 (Tabel 5). Tilsvarende vurderes
det, at 10 pct. flere eller færre eksporterede smågrise vil hhv. reducere og øge
landbrugets udledninger med 0,05 mio. ton CO
2
e i 2030 svarende til ca. 0,5 pct. af
landbrugets udledninger i 2030.
Tabel 10.5:
Resultater fra følsomhedsanalyser, mio. ton CO2e.
KF22
+ 15 pct.
- 15 pct.
+ 10 pct.
svin
svin
eksporterede
smågrise
Udledning 2030
10,2
10,4
10,0
10,2
Samlet ændring ift. KF22
Kilde: DCE
- 10 pct.
eksporterede
smågrise
10,3
0,05
0,2
-0,2
-0,05
I KF22 indregnes landbrugsaftalen og den nationale CAP-plan. Da den konkrete
implementering af disse aftaler endnu ikke er endeligt fastlagt, kan der i kommende
klimafremskrivninger forekomme justeringer af forudsætningerne.
Udledninger fra landbrugets arealanvendelse
Fremskrivning af udledninger og optag fra landbrugets arealanvendelse er
karakteriseret ved betydelig usikkerhed, som også gør sig gældende for det historiske
drivhusgasregnskab. Ændringer i de biologiske kulstofpuljer er vanskelige at
kvantificere pga. metodiske udfordringer. Puljeændringerne er et resultat af kompleks
interaktioner i kulstofkredsløbets jord-plante-luftsfære.
Der er usikkerhed forbundet med både størrelsen af udledningerne og arealet af de
kulstofrige landbrugsjorder, som er kvantitativt den største udledningskilde fra
landbrugets arealanvendelse. Ligeledes er omfanget og hastigheden på udtagningen af
kulstofrig landbrugsjord usikker. DCE har vurderet, udledningerne vil være ca. 0,5 mio.
ton CO
2
større i 2030 end opgjort i KF22, hvis kun 50 pct. af det målsatte areal udtages
til vådområder. Klima-, Energi-, og Forsyningsministeriet har igangsat et
forskningsarbejde, der skal sikre bedre viden om, hvordan udledningerne fra kulstofrige
jorder kan beregnes mere retvisende.
Modellen (C-TOOL) som fremskriver udledninger og optag i mineraljorden er især
følsom over for den antagende temperaturudvikling, udbyttestigning,
halmnedmuldning, brug af efterafgrøder samt tilførsel af andre planterester. Uden den
indregnede udbyttestigning ville mineraljorden i fremtiden udlede over 0,10 mio. ton
CO
2
årligt mere, mens en ekstra udbyttestigning på 50 pct. over den antaget i KF22,
ville øge optaget med ca. 0,08 mio. ton CO
2
i 2030. En følsomhedsanalyse af
betydningen af halmnedmuldning i C-TOOL viser, at hvis al halm fjernes fra markerne
vil udledninger øges med ca. 0,5 mio. ton CO
2
i 2030 (Figur 8).
KEF, Alm.del - 2021-22 - Bilag 306: Orientering om offentliggørelse af Klimastatus og klimafremskrivning 2022
2565544_0072.png
10. LANDBRUG, LANDBRUGSAREALER, SKOVE, GARTNERI OG FISKERI
72
Figur 10.8:
Følsomhed overfor antaget udbyttestigning, halmnedmuldning og
temperaturstigning i beregning af udledninger og optag fra mineraljorden.
mio. ton CO2e
Følsomhedsanalyse af udledninger og optag fra mineraljord.
0,6
0,4
0,2
0
Ingen halmnedmuldning
Ingen udbyttestigning
Basistemp plus 0,3 grader
KF22 (basistemp)
50 pct. udbyttestigning
Basistemp minus 0,3 grader
-0,2
-0,4
-0,6
-0,8
-1
2021
2022
2023
2024
2025
2026
2027
2028
2029
2030
2031
2032
2033
2034
2035
-1,2
Kilde: DCE
Analyser med forskellige temperaturscenarier viser, hvor følsom de modellerede
kulstofpuljeændringer i KF22 er i forhold til ændringer i de forventede temperaturer. En
usikkerhedsanalyse udført af DCE med C-TOOL modellen (Figur 8) viser, at tillægges
0,3 ºC grader til temperaturscenarie, ville det i 2030 mindske kulstofoptaget i jordpuljen
med 0,23 mio. ton CO
2
. Skulle temperaturen være 0,3 grader ºC under det af DMI
vurderet i basis temperaturscenariet, ville det medføre et yderligere kulstofoptag på ca.
0,24 mio. ton CO
2
.
Udledninger og optag fra skove
Opgørelsen af historiske udledninger og optag fra skove og træprodukter er forbundet
med en betydelig metodisk måleusikkerhed. Det skyldes, at nettoudledninger og -optag
er et resultat af små relative ændringer i meget store kulstofpuljer.
I fremskrivningen er det vanskeligt at forudsige omfanget af trætilvækst samt
træfældning og deraf følgende foryngelse af skove, fordi der er mange aktører
involveret i forvaltning af skovarealet. Den faktiske forvaltning af skovarealet
fremadrettet afhænger af mange faktorer, især træernes type og alder, men også
økonomi, priser og efterspørgsel samt politiske tiltag. Hvis der fx udelukkende plantes
hurtigt voksende nåletræer, ville det årlige nettooptag ved skovrejsning blive øget med
0,3 mio. ton CO
2
e i 2035. Udviklingen i skovenes kulstofpulje frem mod 2035 er derfor
behæftet med betydelig usikkerhed.
Udledninger fra energiforbrug i landbrug, gartneri, skovbrug og fiskeri
Fremskrivningen af energiforbruget i landbrug, gartneri, skovbrug og fiskeri er baseret
på den forventede udvikling i økonomisk aktivitet. Da disse sektorer er særligt
følsomme over for ændrede markedsforhold, er udviklingen i økonomisk aktivitet
behæftet med væsentlig usikkerhed. Derudover er det på nuværende tidspunkt usikkert,
hvorvidt eller i hvilket omfang den danske fiskeflåde eller landbrugets interne transport
i fremskrivningsperioden vil kunne elektrificeres og dermed bidrage til at reducere de
energirelaterede udledninger. I KF22 regnes derfor ikke med et potentiale for
elektrificering af den danske fiskeflåde eller landbrugets interne transport.
KEF, Alm.del - 2021-22 - Bilag 306: Orientering om offentliggørelse af Klimastatus og klimafremskrivning 2022
2565544_0073.png
11. DANMARKS EU FORPLIGTIGELSER
73
11 Danmarks EU forpligtigelser
Danmark har en række forpligtelser i EU under fællesskabets 2030-ramme for klima- og
energipolitikken, hvilket overordnet set er fastsat i Rådets forordning af 2018/1999 om
forvaltning af energiunionen og klimaindsatsen. På denne baggrund er Danmark for
perioden 2021-2030, forpligtet til at:
a) Reducere udledningerne i de ikke-kvotebelagte sektorer (non-ETS). De ikke-
kvotebelagte sektorer omfatter primært transport, landbrug, ikke-energitunge
erhverv, affald/spildevand, små fjernvarme- og kraftvarmeværker samt
husholdninger.
b) Levere et positivt klimaregnskab ift. udledninger og optag fra skove, dyrkede
arealer, græsarealer og vådområder (LULUCF) efter nærmere bestemte kriterier.
c) Opfylde en række forpligtelser til forbruget af vedvarende energi samt
energieffektivisering.
I dette kapitel gøres status for udsigten til, at disse forpligtigelser kan forventes opfyldt
under KF22.
41
Konklusionen er, at Danmark vil kunne leve op til de gældende EU-mål på
klima- og energiområdet.
EU-Kommissionen har fremlagt den såkaldte ”Fit for 55”-pakke, som lægger op til en
række stramninger af EU’s klima- og energilovgivning. Eftersom forslagene fra
Kommissionen fortsat er under forhandling i EU og derfor ikke er vedtaget, er der ikke
til KF22 foretaget en konkret vurdering af status for opfyldelse af disse potentielt
41
For en mere detaljeret gennemgang henvises til sektornotater 11A og 11B.
KEF, Alm.del - 2021-22 - Bilag 306: Orientering om offentliggørelse af Klimastatus og klimafremskrivning 2022
2565544_0074.png
11. DANMARKS EU FORPLIGTIGELSER
74
væsentligt strammere mål. KF22 skal vise status for gældende mål og forpligtelser, jf.
at KF22 er en frozen policy fremskrivning.
11.1
Status for klimaforpligtelser: Non-ETS udledninger og LULUCF
Tabel 11.1 beskriver Danmarks EU forpligtelser i forhold til non-ETS udledninger og
LULUCF-udledninger og gør status for hvorvidt disse forpligtigelser forventes opfyldt
under KF22.
Tabel 11.1:
Status for opfyldelse af Danmarks forpligtelser i EU mht. non-ETS- og LULUCF-
udledninger.
Indikator
Forpligtelse
Forventet status
Primær usikkerhed
Reduktion
af non-ETS
udledninger
39 pct. reduktion i
2030 i forhold til
2005. Reduktionen
skal følge en given
reduktionssti.
Der forventes en
akkumuleret manko på
ca. 5 mio. ton CO2e i
perioden 2021-30.
Forpligtelsen kan
opfyldes uden nye tiltag,
hvis det besluttes at gøre
brug af LULUCF-kreditter
og/eller ETS-kvoter.
Der er især usikkerhed
forbundet med at fremskrive
antallet af husdyr i
landbruget og udledninger
fra transport samt
biogassens andel af
ledningsgas. Derudover er
der stor usikkerhed
forbundet med at estimere
udledninger fra
affaldsdeponi og
biogasanlæg.
Der er stor usikkerhed
forbundet med at estimere
fremtidig udledning og optag
fra skovarealer ældre end 30
år samt emissionsfaktorer
for organiske
landbrugsarealer og optag i
mineraljorde i landbruget.
LULUCF-
kreditter
LULUCF-sektoren
skal samlet set
levere et positivt
klimaregnskab
beregnet efter
nærmere
bestemte
regneregler (No-
debit reglerne).
Opfyldt. Akkumulerede
LULUCF-kreditter i 2030
svarer til over 30 mio. ton
CO2e.
I Figur 11.1 illustreres udviklingen i non-ETS udledningerne og reduktionsforpligtelsen.
Det fremgår, at non-ETS-udledningerne i perioden 2021 til 2023 forventes at være
lavere end emissionstildelingerne qua den givne reduktionssti. I årene 2024 til 2030
forventes non-ETS-udledningerne derimod at være højere end denne.
Overskydende emissionstildelinger i enkelte år kan overføres til senere år i perioden, og
samlet betyder det, at der forventes en akkumuleret manko på ca. 5 mio. ton CO2e i
2030. Denne manko kan indfries ved gennemførelsen af yderligere klimatiltag eller ved
anvendelse af en del af de akkumulerede LULUCF-kreditter og/eller brug af ETS-kvoter.
KEF, Alm.del - 2021-22 - Bilag 306: Orientering om offentliggørelse af Klimastatus og klimafremskrivning 2022
2565544_0075.png
11. DANMARKS EU FORPLIGTIGELSER
75
Figur 11.1:
Status for opfyldelse af non-ETS-reduktionsmål, 2021-30
mio. ton CO2e
Status for opfyldelse af non-ETS-reduktionsmål
35
30
25
20
15
10
5
0
-5
2021 2022 2023 2024 2025 2026 2027 2028 2029 2030
Akkumuleret manko
Non-ETS udledning
Emissionstildeling
11.2
Status for vedvarende energi og energieffektivisering
Tabel 11.2 beskriver Danmarks EU forpligtelser i forhold til vedvarende energi og
energieffektivisering og gør status for hvorvidt disse forpligtelser forventes opfyldt
under KF22.
Tabel 11.2:
Status for opfyldelse af Danmarks forpligtelser i EU for vedvarende energi og
energieffektivisering
Indikator
Forpligtelse
Forventet status
Primær usikkerhed
VE-andel (RES)
Ambitiøst bidrag til
EU's fælles VE-mål
om 32 pct. samlet.
Opfyldt. Der forventes en
VE-andel på 64 pct. i
2030. Dette overstiger
klart de 55 pct. som blev
vurderet ”tilstrækkeligt
ambitiøst” af EU
kommissionen ved NECP-
rapporteringen (2020).
Implementeringssporet
opfylder ligeledes kravet i
forordningen.
Opfyldt. RES-T forventes
at nå 41 pct. i 2030.
VE-andel i transport
(RES-T) og elforbrug
(RES-E), især fsva.
tidspunkt for havvinds
og solcellers
idriftsættelse
VE-andel i
transport (RES-T)
Min. 14 pct. i 2030
Elektrificeringsgrad og
RES-E
KEF, Alm.del - 2021-22 - Bilag 306: Orientering om offentliggørelse af Klimastatus og klimafremskrivning 2022
2565544_0076.png
11. DANMARKS EU FORPLIGTIGELSER
76
Indikator
Avancerede
biobrændstoffer i
transport
Forpligtelse
Min. 0,2 pct. i
2022, 1,0 pct. i
2025 og 3,5 pct. i
2030 (beregnet
under RES-T
definition)
Forventet status
Primær usikkerhed
Forpligtelse for 2022 og 2025 forventes opfyldt.
Det er ikke muligt på nuværende tidspunkt at
forudsige med sikkerhed, om kravet i 2030 vil blive
opfyldt uden yderligere tiltag. Der skal dog fra 2025
indføres regulering med ILUC-effekter eller
lignende. Dette forventes at have en positiv
indflydelse på den konkrete fremtidige opfyldelse
af kravet til avancerede biobrændstoffer, da det
forventes at begrænse forbruget af f.eks.1.g.
biobrændstoffer.
Opfyldt. RES-HC
forventes at overstige 60
pct. fra 2021, men
derudover forventes også
en årlig stigningstakt
større end 1,1 pct.-point i
hovedparten af årene
frem mod 2030.
Skønnes opfyldt jf.
analysen ”Danmark
sparer på energien og
står til at opfylde EU’s
krav om
energibesparelser med
127 pct.”
42
Udviklingen i
fjernvarmen samt
udbredelsen af
varmepumper i
husholdninger og
industri
VE-andel i
opvarmning og
procesenergi
(RES-H&C)
Årlig forhøjelse på
1,1 pct.-point,
undtaget når RES-
H&C overstiger 60
pct.
Energibesparelser
0,8 pct. årligt i
perioden 2021-
2030 ift. det
gennemsnitlige
energiforbrug i
perioden 2016-
2018
Der henvises til
analysen, der ligger til
grund for skøn
Figur 11.2 illustrerer udviklingen i de forskellige VE-andele.
Den samlede VE-andel (RES) forventes at stige fra 41,5 pct. i 2020 til 64 pct. i 2030.
Heri er ikke medregnet eventuelle statistisk overførsel mellem Danmark og andre EU-
medlemsstater. Efter statistiske overførsler udgjorde den samlede danske VE-andel
31,7 pct. i 2020.
VE-andelen i elforbruget (RES-E) forventes at stige fra 65,3 pct. i 2020 til 109 pct. i 2030
og at toppe i 2031 på 110 pct. Herefter forventes et stigende elforbrug at overstige
udbygningen med vedvarende energi i elforsyningen således at VE-andelen falder til
102 pct. frem mod 2035. Bidraget fra energiøerne indgår ikke i ovenstående, men
behandles i en partiel alternativberegning, - se i afsnittet om usikkerheder nedenfor. På
tilsvarende vis indgår i ovenstående heller ikke en eventuelt forøgelse af elforbruget, fx
til PtX-anlæg.
VE-andelen i opvarmning og procesenergi (RES-H&C) forventes at stige fra 51,1 pct. i
2020 til 76 pct. i 2030, hvilket især skyldes en stigende VE-andel i ledningsgassen samt
øget anvendelse af varmepumper i husholdninger, industri og fjernvarme.
42
https://kefm.dk/Media/C/4/Minianalyse%20-%20Energieffektivisering.pdf.
KEF, Alm.del - 2021-22 - Bilag 306: Orientering om offentliggørelse af Klimastatus og klimafremskrivning 2022
2565544_0077.png
11. DANMARKS EU FORPLIGTIGELSER
77
VE-andelen i transportsektoren (RES-T) forventes at stige fra 9,6 pct. i 2020 til 41 pct. i
2030, hvilket især skyldes regulering i forhold til iblanding af biobrændstoffer i diesel
og benzin samt elektrificering af person- og varebiler og banetransport.
Figur 11.2:
VE-andele i samlet energiforbrug, elforbrug, opvarmning og procesenergi, samt
transport
pct.
VE-andele
120%
100%
80%
60%
40%
20%
0%
Elforbrug (RES-E)
Opvarmning og
procesenergi (RES-H&C)
Samlet (RES) (før salg)
Transport (RES-T)
2019
2020
2021
2022
2023
2024
2025
2026
2027
2028
2029
2030
2031
2032
2033
2034
Note: VE-andele (RES) er opgjort iflg. VE-direktivet/Eurostat. Samlet RES er opgjort før eventuelle statistisk overførsel
mellem Danmark og andre EU-medlemsstater. Efter statistiske overførsler udgjorde RES 31,7 pct. i 2020
11.3
Usikkerhed
Non-ETS udledninger er særligt følsomme over for udvikling i transport og landbrug,
udbredelse af varmepumper i rumvarme og industri, samt biogassens produktion,
håndtering og anvendelse.
VE-andele i de enkelte år er særlig følsomme over for havvinds og solcellers
idriftsættelsestidspunkt. En partiel alternativberegning viser endvidere, at energiøernes
idriftsættelse vil øge VE-andelen i elforbruget (RES-E) til 123 pct. i 2030 og yderligere til
138% i 2035 (for uændret elforbrug).
Afslutningsvist skal det som tidligere nævnt bemærkes, at EU’s stats- og
regeringsledere i december 2020 vedtog at øge 2030-målet for reduktion af
udledninger fra 40 pct. (ekskl. LULUCF) til mindst 55 pct. (inkl. LULUCF) ift. 1990. EU-
Kommissionen har efterfølgende fremlagt den såkaldte ”Fit for 55”-pakke, som lægger
op til en lang række opstramninger af EU’s klima- og energilovgivning. Forslagene
lægger bl.a. op til at stramme Danmarks klima- og energiforpligtelser i EU. Eftersom
forslagene fra Kommissionen fortsat er under forhandling i EU og derfor ikke er
vedtaget, er der ikke i dette notat foretaget en vurdering af status ift. opfyldelse af
disse potentielt væsentligt strammere mål. Dog kan det nævnes, at EU-kommissionen
foreslår at stramme ovennævnte mål for non-ETS og LULUCF ganske meget, hvorfor de
mål, der foreslås for Danmark, ikke nødvendigvis kan forventes opfyldt med allerede
vedtagne politikker og virkemidler.
2035
KEF, Alm.del - 2021-22 - Bilag 306: Orientering om offentliggørelse af Klimastatus og klimafremskrivning 2022
2565544_0078.png
APPENDIKS 1
78
Appendiks 1: Sammenhæng
mellem klimafremskrivningen (KF),
global afrapportering (GA),
scenarier til klimaprogrammet (KP)
og analyseforudsætninger til
Energinet (AF)
Klimafremskrivning
(KF)
Baggrun
d
Del af klimalovens
årshjul (jf. §6 i
klimaloven).
Global afrapportering
(GA)
Del af klimalovens
årshjul (jf. §6 i
klimaloven).
Klimaprogram (KP) -
Scenarier
Klimaprogrammet indgår i
klimalovens årshjul (jf. § 7 i
klimaloven) og scenarierne
udarbejdes til
klimaprogrammet
Analyse-
forudsætninger til
Energinet
Analyseforudsætnin
gerne (AF) har til
formål at angive et
sandsynligt
udviklingsforløb for
det danske el- og
gassystem, og
udarbejdes til brug
for Energinets
opgave med at
planlægge
udviklingen i el- og
gastransmissionsnet
tet.
Fremskrivning af
forbrug og
produktion af el og
gas i Danmark.
Fokus
Opgørelse af Danmarks
samlede
drivhusgasudledninger i
overensstemmelse med
FN’s
opgørelsesmetoder (jf.
også KF22
forudsætningsnotat 2B
om principper for
udledningsopgørelse). I
overensstemmelse med
FN-reglerne indregnes
udledninger fra
international skibs- og
luftfart ikke i
fremskrivningen.
FN-opgørelsesreglerne
indebærer generelt, at
udledninger opgøres fra
produktionssiden
(fremfor forbrugssiden).
Belyser Danmarks
klimapåvirkning
uden for landets
grænser – både
positivt og
negativt.
Konkret opgøres
udledninger
forbundet med
Danmarks forbrug,
import og eksport.
Dertil ses nærmere
på den globale
klimapåvirkning fra
dansk el-
udveksling med
udlandet,
international sø- og
luftfart,
erhvervslivets
indsats, samt
udledninger fra
import og forbrug
af soja.
Afrapporteringen
belyser desuden,
hvordan Danmark
Scenarierne optegner
forskellige fremtidsbilleder
af, hvordan opnåelse af 70%-
målet i 2030 og målet om
klimaneutralitet i 2050 vil
kunne se ud. Der er
udarbejdet 4 scenarier for
klimamålsopnåelse i hhv.
2030 og 2050. De 4 scenarier
er baseret på forskellige
kombinationer af antagelser
om udvikling i rammevilkår
(teknologier, markeder, priser,
mv.).
Scenarierne er ikke ideelle
bud på, hvordan
klimamålsopnåelse bør se
ud, og der findes yderligere
scenarier for målopnåelse,
end dem som er udarbejdet
til klimaprogrammet.
KEF, Alm.del - 2021-22 - Bilag 306: Orientering om offentliggørelse af Klimastatus og klimafremskrivning 2022
2565544_0079.png
APPENDIKS 1
79
Tidshoris
ont
Historisk (fra 1990 til
2020 i KF22) og
fremskrivning (fra 2021
frem til 2035 i KF22).
Type af
fremskri
vning
Frozen policy,
dvs.”politisk
fastfrossent” fravær af
nye tiltag på klima- og
energiområdet ud over
dem, som Folketinget
eller EU har besluttet før
skæringsdatoen eller
som følger af bindende
aftaler. For KF22 er
skæringsdatoen 1.
januar 2022. (jf. også
KF22
forudsætningsnotat 2C
om principper for frozen
policy)
bidrager til at
reducere globale
udledninger via en
række forskellige
myndighedsindsats
er
Historisk og aktuel
status. Historiske
dataserier varierer
tidsmæssigt
afhængigt af
emnet, men i nogle
tilfælde fra 1990 til
seneste statistikår
(2020). Der er
ingen
fremskrivning i
GA22 (udover
elhandelsbalancen
s effekt på
udenlandske
emissioner)
Der udarbejdes scenarier for
2030 samt 2050. Scenarierne
for 2030 skal ses som
trædesten på vejen mod
scenarierne for 2050.
Mindst frem til 2045
for AF22
Anvendel
se
Til undersøgelse af i
hvilket omfang
Danmarks klima- og
energimålsætninger og
–forpligtelser vil blive
opfyldt inden for
rammerne af gældende
regulering.
Som teknisk reference
ved planlægning og
konsekvensvurdering af
nye tiltag på klima- og
energiområdet.
https://ens.dk/service/f
remskrivninger-
analyser-
modeller/klimastatus-
og-fremskrivning-2022
Opgør hvordan
danske forbrugere,
erhvervsliv og
myndigheder
påvirker de globale
udledninger på
godt og ondt.
Scenarierne udarbejdes som
teknisk baggrundsmateriale
til klimaprogrammet og
gengives desuden i selve
klimaprogrammet.
Scenarierne kan anvendes
som et teknisk grundlag for
overvejelser vedr. opnåelse
af 70%-målet i 2030 og målet
om netto-nuludledninger i
2050.
https://ens.dk/service/frems
krivninger-analyser-
modeller/tekniske-analyser-
til-baggrund-klimaprogram-
2021
https://kefm.dk/aktuelt/nyhe
der/2021/sep/regeringen-
fremskynder-klimaindsatsen-
med-koereplan-til-ny-2025-
deadline
AF beskriver et bud
på en udvikling af de
dele af
energiområdet, der
er relevante for
Energinets
planlægning. AF
tager højde for den
generelle
teknologiudvikling og
forudsætter
opnåelse af politiske
målsætninger, også
hvis der ikke er
vedtaget konkrete
virkemidler til
opnåelse heraf. AF
baserer sig således
ikke på et frozen
policy-scenarie.
AF anvendes af
Energinet til at
planlægge
udviklingen i det
danske el- og
gastransmissionsnet
.
For
yderliger
e info
https://ens.dk/serv
ice/fremskrivninger
-analyser-
modeller/global-
afrapportering-
2022
https://ens.dk/servic
e/fremskrivninger-
analyser-
modeller/analysefor
udsaetninger-til-
energinet
KEF, Alm.del - 2021-22 - Bilag 306: Orientering om offentliggørelse af Klimastatus og klimafremskrivning 2022
2565544_0080.png
APPENDIKS 2
80
Appendiks 2: Oversigt over KF22
sektornotater og
forudsætningsnotater
KF22 omfatter ud over hovedrapporten også 17 sektornotater og 38
forudsætningsnotater. Disse fremgår af tabellerne nedenfor
Tabel A1.1:
KF22 sektornotater
Notat nr.
3A
4A
4B
5A
6A
7A
7B
8A
8B
9A
9B
10A
10B
10C
10D
11A
11B
Sektornotat
Husholdninger
Transport
Forbrug og sammensætning af transportbrændstoffer
Serviceerhverv
Fremstillingserhverv og bygge-anlæg
Produktion af olie, gas og VE-brændstoffer
Forbrug og sammensætning af ledningsgas
El og fjernvarme (ekskl. affaldsforbrænding)
Forbrug af el
Affaldsforbrænding
Øvrigt affald og spildevand
Energiforbrug i landbrug, gartneri, skovbrug og fiskeri
Landbrugsprocesser
Landbrugsarealer
Skov og høstede træprodukter
Danmarks drivhusgasreduktionsforpligtelser i EU
Danmarks EU forpligtelser ift VE samt udvalgte nationale aftaler
Tabel A1.2:
KF22 forudsætningsnotater
Notat nr.
0
1A
1B
1C
1C-Vej
1C-BBM
1C-BVM
1D
2A
2B
2C
3A
Forudsætningsnotat
Introduktion til KF22 forudsætningsmaterialet
Ramses modellen
IntERACT modellen
Transportmodellen FREM
Vejtransport i FREM
Bilbestandsmodellen
Bilvalgsmodellen
DCE’s beregningsmetoder for landbrug, LULUCF og affald
Ny politik, der indgår i KF22, samt politik der ikke indregnes
Principper for udledningsopgørelse
Principper for frozen policy
Brændselspriser
KEF, Alm.del - 2021-22 - Bilag 306: Orientering om offentliggørelse af Klimastatus og klimafremskrivning 2022
2565544_0081.png
APPENDIKS 2
81
Notat nr.
3B
3C
3D
4A
4B
4C
5A
5B
6A
6B
7A
7B
7C
7D
7E
8A
8B
8C
8D
9A
9B
9C
10A
10B
10C
10D
Forudsætningsnotat
CO2-kvotepris
Elproduktionskapaciteter i udlandet og interkonnektorer
Økonomiske vækstforudsætninger
Bilvalgsforudsætninger
VE-brændstoffer
Grænsehandel med brændstoffer
Husholdningernes opvarmning
Husholdningernes apparatforbrug
Datacentre
Cementproduktion
Olie-gas produktion
Raffinaderier
Biogasproduktion
PtX
CCS
Havvind
Landvind
Solceller
Termisk produktionskapacitet (ekskl. affaldsforbrænding)
Affaldsforbrænding
Affald (ekskl. affaldsforbrænding) og spildevand
F-gasser
Energiforbrug i landbrug, gartneri, skovbrug og fiskeri
Landbrugsprocesser
Landbrugsarealer og øvrige arealer (eksklusiv skov)
Skov og høstede træprodukter
KEF, Alm.del - 2021-22 - Bilag 306: Orientering om offentliggørelse af Klimastatus og klimafremskrivning 2022
2565544_0082.png
APPENDIKS 3
82
Appendiks 3: Oversigt over KF22-
dataark
Ifm. med KF22 offentliggøres også en række dataark. Disse er oplistet i tabellen.
Tabel A2.1:
KF22 dataark
Filnavn
KF22 resultater -
Tal bag figurer
KF22 forudsætninger - Tal bag
figurer
KF22 CRF-tabel
Emissionsopgørelse per drivhusgastype for årrækken 1990-
2035. Statistiske år er faktiske år, mens
fremskrivningsperioden er normalår.
I KF22 anvendes Energistyrelsens historiske udledningstal.
Totalerne er identiske med DCE’s historiske udledningstal,
men der er små forskelle i fordelingen af udledningerne på
visse kategorier.
KF22 CRF-tabel (opgjort med
AR4 GWP-faktorer)
KF22 er opgjort ved brug af de nye global warming potential
faktorer fra IPCC’s 5. Assesment Report (AR5).
Opgørelse af KF22 ved brug af global warming potential
faktorer fra IPCCs’ 4. Assesment Report (AR4).
Offentliggøres for at vise for at vise betydningen af skiftet fra
AR4 til AR5 GWP-faktorer (jf. også forudsætningsnotat 2B).
Energibalance
Sektordataark
National energibalance for brændsler for årrækken 2015-
2035
El og fjernvarme
Transport
Landbrug og LULUCF
Beskrivelse
Omfatter tal bag figurer i KF22 hovedrapporten og
sektornotaterne
Omfatter tal bag figurer i KF22 forudsætningsnotaterne
KEF, Alm.del - 2021-22 - Bilag 306: Orientering om offentliggørelse af Klimastatus og klimafremskrivning 2022
2565544_0083.png
APPENDIKS 4
83
Appendiks 4: Sammenhæng
mellem KF22 sektorer og KF21
sektorer samt CRF-tabel
Sammenhæng mellem KF22 sektorer og KF21 sektorer
Ligesom i KF21 er udledningerne i KF22 fordelt på otte sektorer samt CCS. Den eneste
ændring i sektorafgrænsningen mellem KF21 og KF22 er, at F-gasser i KF22 er blevet
fordelt ud på sektorerne serviceerhverv, fremstillingserhverv, husholdninger og
transport (jf. KF22 forudsætningsnotat 9C om F-gasser).
Tabel A3.1:
KF22 sektorer
KF22 sektor
Husholdninger
Transport
Serviceerhverv
Fremstillingserhverv og bygge-
anlæg
Produktion af olie, gas og VE-
brændstoffer
El og fjernvarme
Affald og spildevand
Landbrug, landbrugsarealer,
skove, gartneri og fiskeri
Ekskl. udledninger fra affaldsforbrænding
Inkl. udledninger fra affaldsforbrænding, deponi,
spildevand, kompostering og lækage fra biogasanlæg.
Inkl. sektorens energiforbrug
Bemærkning
Ekskl. energiforbrug og udledninger forbundet med
transport, inkl. sektorens andel af F-gasudledning
Inkl. sektorens andel af F-gasudledning
Inkl. datacentre og inkl. sektorens andel af F-
gasudledning
Inkl. sektorens andel af F-gasudledning
Note: Da CCS ikke er fordelt på sektorer i KF22 håndteres denne teknisk som en separat, negativ
udledning.
Sammenhæng mellem KF22 sektorer og CRF-tabel
Sektorafgrænsningen i KF22 følger så vidt muligt kategorierne i CRF-tabellerne.
Tabellen neden for viser således hvordan drivhusgasserne CO2, CH4, N2O, indirekte
CO2 under de forskellige CRF-kategorier er fordelt på KF22 sektorerne (her identificeret
med kapitelnumre i hovedrapporten). F-gasser er fordelt på sektorer ud fra
fordelingsnøglen vist i KF22 forudsætningsnotat 9C.
KEF, Alm.del - 2021-22 - Bilag 306: Orientering om offentliggørelse af Klimastatus og klimafremskrivning 2022
2565544_0084.png
APPENDIKS 4
84
Tabel A4.1:
Fordelingsnøgle for CRF-kategorier på KF22 sektorer
CRF code
1A1a
1A1ax
1A1b
1A1c
1A2
1A2gvii
1A3a
1A3bi
1A3bii
1A3biiix
1A3biiiy
1A3biv
1A3bx
1A3c
1A3d
1A4ai
1A4aii
1A4bi
1A4bii
1A4ci
1A4cii
1A5bi
1A5bii
1B2a
1B2b
1B2c
2A0
2A1
2B
2C
2D
2E
2F
2G
2H
3A
3B
3D
3F
Description
Public electricity and heat production
Public electricity and heat production (Waste incieration)
Petroleum refining
Other energy industries (oil/gas extraction)
Combustion in manufacturing industry
Industry - Other (mobile)
Domestic aviation
Road transport - Cars
Road transport - Light duty trucks
Road transport - Heavy duty trucks
Road transport - Busses
Road transport - Motorcycles and mopeds
Road transport - Bordertrade
Railways
Domestic navigation
Commercial and institutional
Commercial and institutional (mobile)
Residential
Residential (mobile)
Agriculture, forestry and aquaculture
Ag./for./fish. (mobile)
Military (mobile)
Recreational boats (mobile)
Fugitive emissions from oil
Fugitive emissions from gas
Fugitive emissions from flaring
Mineral industry - excl. cement production
Mineral industry - cement production
Chemical industry
Metal industry
Non-energy products from fuels and solvent use
Electronic industry
Product uses as ODS substitutes
Other product manufacture and use
Other industrial processes
Enteric fermentation
Manure management
Agricultural soils
Field burning of agricultural residues
CO2, CH4,
N2O, Indirekte
CO2
08
09
07
07
06
06
04
04
04
04
04
04
04
04
04
05
05
03
03
10
10
04
04
07
07
07
06
06
06
06
06
06
06
06
06
10
10
10
10
KEF, Alm.del - 2021-22 - Bilag 306: Orientering om offentliggørelse af Klimastatus og klimafremskrivning 2022
2565544_0085.png
APPENDIKS 4
85
CRF code
3G
3H
3I
4A
4B
4C
4D
4E
4F
4G
4H
5A
5B1
5B2
5C
5D
5E
Description
Liming
Urea application
Other carbon-containing fertilizers
Forest land
Cropland
Grassland
Wetlands
Settlements
Other Land
Harvested wood products
Other LULUCF
Solid waste disposal
Composting
Anaerobic digestion at biogas facilities
Incineration and open burning of waste
Waste water treatment and discharge
Other waste
CO2, CH4,
N2O, Indirekte
CO2
10
10
10
10
10
10
10
10
10
10
10
09
09
09
09
09
09
Note: 03 er husholdninger; 04 transport; 05 serviceerhverv; 06 fremstillingserhverv og bygge-anlæg; 07
produktion af olie, gas og VE-brændstoffer; 08 El og fjernvarme; 09 affald, 10 landbrug, landbrugsarealer,
skove, gartneri og fiskeri. CH4 er metan og N20 er lattergas.
KEF, Alm.del - 2021-22 - Bilag 306: Orientering om offentliggørelse af Klimastatus og klimafremskrivning 2022
2565544_0086.png
APPENDIKS 5
86
Appendiks 5: Sammenligning af
samlede nettoudledninger i KF22
og KF21
I dette appendiks sammenlignes de samlede udledninger i KF22 med de samlede
udledninger i KF21. Det skal i denne forbindelse bemærkes, at det generelt ikke vil være
muligt entydigt at forklare alle ændringerne fra KF21 til KF22, da disse ændringer vil være
det samlede resultat af både politiktiltag og ændrede generelle forudsætninger ift fx
priser og teknologi samt afledte effekter mellem sektorerne. I nogle tilfælde kan
resultaterne endvidere også være påvirket af metode- og modeludvikling (som bl.a.
beskrevet i KF22 forudsætningsnotaterne).
Figur App.5.1:
Samlede nettoudledninger i KF22 og KF21
mio. ton CO2e
Samlede nettoudledninger
100
90
80
70
60
50
40
30
20
10
0
1990
1995
2000
2005
2010
2015
2020
2025
2030
2035
KF21
KF22
Figur App. 5.1 viser de samlede nettoudledninger i hhv. KF22 og KF21. Forskellen i
historiske år skyldes primært ændringer i opgørelsen ift LULUCF og i mindre omfang ift.
landbrugsprocesser.
43
Forskellen i fremskrivningsperioden dækker i sagens natur over
en række forskelligrettede ændringer i de forskellige sektorer (jf. også afsnit 3.1 i
sektornotaterne, der viser sammenligningen mellem de enkelte sektorers udledninger i
hhv. KF22 og KF21).
Som nævnt i afsnit 2.1 i kapitel 2, er udviklingen i udledninger fra KF21 til KF22 resultat
af en kombination af nye politiktiltag, opdaterede forventninger til pris- og
43
For LULUCF drejer det sig hovedsageligt om ændringer i opgørelsen af udledninger fra skove og høstede træprodukter
(jf. sektornotat 10D), samt dyrkede arealer (jf. sektornotat 10C), mens det for landbrugsprocesser vedrører
udledningerne fra gødskning (som skyldes metodiske ændringer i beregning af udledninger fra afgrøderester, jf.
sektornotat 10B).
KEF, Alm.del - 2021-22 - Bilag 306: Orientering om offentliggørelse af Klimastatus og klimafremskrivning 2022
2565544_0087.png
APPENDIKS 5
87
markedsudvikling, og opdaterede datagrundlag. Effekten af disse faktorer på de
enkelte sektorers udledninger er beskrevet i rapportens sektorkapitler samt mere
uddybende i de bagvedliggende sektornotater. Her skal det særligt bemærkes, at
forskellen mellem KF22 og KF21 i årene 2021 og 2022 blandt andet skyldes højere
udledninger fra el og fjernvarmesektoren i disse år i KF22 som følge af, at de øgede
fossile brændselspriser øger elprisen både herhjemme og internationalt, hvilket gør det
fordelagtigt på kort sigt at øge den danske el-produktion på kul og biomasse (jf.
sektornotat 8A).
KEF, Alm.del - 2021-22 - Bilag 306: Orientering om offentliggørelse af Klimastatus og klimafremskrivning 2022
2565544_0088.png
APPENDIKS 6
88
Appendiks 6: Samlede biogene
energirelaterede CO
2
-udledninger i
KF22
Klimafremskrivningens opgørelse af sektorernes udledninger følger FN’s
opgørelsesregler, da udledningsopgørelsen ift. 70 pct. målsætningen ifølge klimaloven
skal følge disse. CO
2
-udledning fra forbruget af biomasse medregnes i LULUCF-sektoren
i det land, hvor biomassen høstes. Ved afbrænding af dansk og importeret biomasse og
biobrændsler til energiformål medregnes den heraf følgende biogene CO
2
-udledning
derfor ikke for at undgå dobbelttælling (jf. KF22 forudsætningsnotat 2B). Ifølge FN-
reglerne skal CO
2
-udledningerne fra forbruget af biomasse til energi dog opgøres og
indberettes under et såkaldt ”memo item”. Dette bilag viser de samlede biogene
energirelaterede CO
2
-udledninger forbundet med forbrænding af biomasse og
biobrændsler.
Som det fremgår af figur App.6.1 har de samlede biogene energirelaterede CO
2
-
udledninger været stigende i perioden fra 1990 frem til 2020, hvor de udgjorde 18,6
mio. ton CO
2
. I de første fremskrivningsår stiger de samlede biogene energirelaterede
CO
2
-udledninger yderligere til 26,5 mio. ton i 2023, for herefter at aftage til 21 mio. ton i
2030 og 18,2 mio. ton i 2035. Det høje niveau af energirelaterede biogene CO2-
udledninger i årene 2021-23 skal bl.a. ses i lyset af de høje fossile brændselspriser i
fremskrivningen i disse år (jf. KF22 forudsætningsnotat 3A). Stigningen i de biogene
energirelaterede CO
2
-udledninger stammer især fra el- og fjernvarmesektoren, hvor den
markante stigning på kort sigt i de fossile brændselspriser medfører en højere andel af
el- og fjernvarmeproduktion baseret på biomasse (og også på kul, jf. sektornotat 8A).
El- og fjernvarmesektoren er generelt den sektor, der tegner sig for den største andel af
de samlede biogene energirelaterede CO
2
-udledninger i fremskrivningsperiode. I 2030
står el- og fjernvarmesektoren således for 49 pct. af disse udledninger.
KEF, Alm.del - 2021-22 - Bilag 306: Orientering om offentliggørelse af Klimastatus og klimafremskrivning 2022
2565544_0089.png
APPENDIKS 6
89
Figur App.6.1:
Samlede biogene energirelaterede CO
2
-udledninger fordelt på sektorer
mio. ton CO2e
Samlede biogene energirelaterede CO2-udledninger
Husholdninger
Transport
Serviceerhverv
Fremstillingserhverv og
bygge-anlæg
El og fjernvarme
Affald (inkl.
affaldsforbrænding)
Landbrug, skove, gartneri og
fiskeri
30
25
20
15
10
5
0
1990 1995 2000 2005 2010 2015 2020 2025 2030 2035
Figur App. 6.2 viser udviklingen i og sammensætningen af de biogene energirelaterede
CO
2
-udledninger fordelt på brændsler. Som det ses, stammer størstedelen af de
biogene energirelaterede CO
2
-udledninger fra træ i form af træflis, træpiller og øvrigt
træ. De biogene energirelaterede CO2-udledninger fra bionaturgas stiger også i takt
med den øgede produktion af bionaturgas og deraf stigende VE-andel i
ledningsgassen.
Figur App. 6.2:
De samlede biogene energirelaterede CO
2
-udledninger fordelt på brændsler
mio. ton CO2e
Samlede biogene energirelaterede CO2-udledninger
30
25
20
15
10
5
0
1990
Bioethanol
Biodiesel
Bioolie
Træpiller
Træflis
Træ Øvrig
Halm
Affald, bionedbrydeligt
Biogas inkl. bionaturgas
1995
2000
2005
2010
2015
2020
2025
2030
2035
KEF, Alm.del - 2021-22 - Bilag 306: Orientering om offentliggørelse af Klimastatus og klimafremskrivning 2022
2565544_0090.png
APPENDIKS 8
90
Appendiks 7: Ordforklaringer og
forkortelser
Ordforklaringer
Biobrændstoffer:
Brændstof produceret af biologisk materiale. Der skelnes mellem 1.
og 2. generations biobrændstof. 1. generations biobrændstof er primært ethanol og
biodiesel, der produceres på basis af fødevareafgrøder. Bioethanol produceres typisk
af stivelses- og sukkerholdige afgrøder såsom korn og sukkerrør, mens biodiesel typisk
produceres af olieholdige afgrøder såsom raps, sojabønner og palmeolie. 2.
generations biobrændstof fremstilles typisk på basis af restprodukter fra landbrug og
industri.
Biogen energirelateret CO
2
-udledning:
Den CO
2
-udledning, der er knyttet til
forbrænding af biomasse og biobrændsler.
Biomasse:
En fælles betegnelse for al organisk materiale, som dannes ved planters
fotosyntese og med solen som energikilde. I energisammenhænge er de mest
almindelige produkter halm, brænde, træflis, træpiller, træaffald, bionedbrydeligt affald,
mm.
Bionaturgas:
Biogas som er opgraderet til at overholde leveringskrav for gas i
ledningsgasnettet.
CO
2
-intensitet:
Mål for udledningen af CO
2
i forhold til den økonomiske produktion.
Opgøres som forholdet mellem CO
2
-udledning og produktionsværdi.
Common Reporting Format (CRF):
Standard format for indberetning af
emissionsopgørelse under FN opgørelsesmetoden.
Drivhusgasudledninger:
Drivhusgasser omfatter kuldioxid (CO
2
), metan (CH
4
), lattergas
(N
2
O) samt F-gasser. Gasserne har forskellig drivhuseffekt, men omregnes til
CO
2
-
ækvivalenter
(forkortet CO
2
e) ud fra gassens opvarmningspotentiale i et hundredårigt
perspektiv i forhold til CO
2
. CO
2
e-udledninger er således en måde at opgøre
drivhusgasudledninger på, som muliggør en sammenlægning af forskellige
drivhusgasser med forskellig drivhuseffekt i forhold til gassens styrke og hvor længe
den er i atmosfæren. Med enheden CO
2
e omregnes klimaeffekten af den enkelte gas til,
hvad effekten ville svare til opgjort i CO
2
.
Energiintensitet:
Mål for energiforbrug i forhold til den økonomiske produktion.
Opgøres som forholdet mellem energiforbrug og produktionsværdi.
Endeligt energiforbrug:
Det endelige energiforbrug udtrykker energiforbruget leveret til
slutbrugerne, dvs. private og offentlige erhverv samt husholdninger. Anvendelser
omfatter: fremstilling af varer og tjenester, rumopvarmning, belysning og andet
apparatforbrug samt transport. Hertil kommer et olieforbrug til ikke-energiformål, dvs.
smøring og rensning samt bitumen til asfaltering. Energiforbrug i forbindelse med
KEF, Alm.del - 2021-22 - Bilag 306: Orientering om offentliggørelse af Klimastatus og klimafremskrivning 2022
2565544_0091.png
APPENDIKS 8
91
udvinding af energi, raffinering og konvertering er ikke inkluderet i det endelige
energiforbrug. Afgrænsningen og opdelingen af endeligt energiforbrug følger
retningslinjerne hos Det Internationale Energi Agentur (IEA) og Eurostat. Herefter
udskilles energiforbrug til transport på vej og bane, til søs, i luften og i rør -uanset
forbruger -som en særlig hovedkategori. Det betyder, at energiforbrug i erhverv og
husholdninger opgøres ekskl. forbrug til transportformål. Det endelige energiforbrug er
desuden ekskl. grænsehandel med olieprodukter, der er defineret som den mængde af
motorbenzin, gas-/dieselolie og petroleumskoks, der indkøbes af privatpersoner og
vognmænd m.fl. på den ene side af grænsen og forbruges på den anden side af
grænsen.
Faktisk energiforbrug:
Det faktiske energiforbrug fremkommer ved at tage det endelige
energiforbrug og hertil lægge distributionstab samt energiforbrug i forbindelse med
udvinding af energi og raffinering. Desuden tillægges det anvendte egetforbrug af
energi ved produktion af elektricitet og fjernvarme.
Ikke-kvoteomfattede drivhusgasudledninger (non-ETS):
Omfatter primært transport,
landbrug (eksklusive LULUCF), husholdninger, øvrige erhverv, affald og et antal mindre,
decentrale kraftvarmeværker, dvs. talrige større og mindre udledningskilder.
Reguleringen sker gennem national indsats i de enkelte lande, der har fået EU-fastsatte
drivhusgasreduktionsmål relativt til 2005-udledningerne. Basisåret er 2005, hvilket
skyldes, at det er det tidligste år, hvor der forelå data, der muliggjorde opdelingen
mellem kvote- og ikke-kvoteomfattede udledninger.
ILUC-effekt:
Når biomasse til biobrændstoffer dyrkes på et areal, der tidligere har været
anvendt til fødevarer, vil fødevareproduktionen blive overflyttet til nye arealer, da
efterspørgslen efter fødevarer antages uændret. ILUC er den udledning, der finder sted
når et tidligere u-dyrket areal (fx et skovareal) omlægges til produktion af
fødevareafgrøder, som følge af anvendelse af biobrændstoffer.
Indirekte udledninger:
Indirekte CO
2
beregnes på baggrund af udledninger af CH
4
,
NMVOC og CO, som i atmosfæren oxideres til CO
2
. Det er kun fossile emissioner af
CH
4
, NMVOC og CO, der bidrager til beregningen.
Kulstofpulje:
Skove og øvrige arealer (primært dyrkede arealer og græsarealer i
landbruget) spiller en vigtig rolle som kulstofpulje, idet CO
2
enten kan lagres i eller
frigives fra træer, planter og jord. Størrelsen på kulstofpuljen i skove og øvrige arealer
er afhængig af, hvordan jorden og skoven anvendes.
Kvoteomfattede drivhusgasudledninger (ETS):
Omfatter energiproduktion, tung
industri, luftfart og andre store punktkilder. Den samlede kvotemængde fastsættes på
EU-niveau, og mængden skærpes årligt. Kvoterne udbydes på et fælleseuropæisk
marked, hvor kvotevirksomhederne handler kvoter, og hvor nogle typer af produktion
tildeles gratis kvoter.
Ledningsgas:
I Danmark blandes fossil naturgas med bionaturgas (dvs. opgraderet
biogas) i ledningsgasnettet. Forbrugeren har ikke mulighed for at vælge, hvilken type
gas der anvendes, idet den fossile naturgas og bionaturgassen bliver blandet i
gasnettet og bliver til ledningsgas.
KEF, Alm.del - 2021-22 - Bilag 306: Orientering om offentliggørelse af Klimastatus og klimafremskrivning 2022
2565544_0092.png
APPENDIKS 8
92
LULUCF:
Opgørelse af optag af kulstof fra CO2 og udledninger af CO2, CH4 og N2O
primært i forbindelse med dyrkning af jord i landbruget og drift af skovarealer opgøres i
LULUCF-sektoren, som er en engelsk betegnelse for
Land Use, Land Use Change and
Forestry.
VE (Vedvarende Energi):
Solenergi, vindkraft, vandkraft, geotermi, omgivelsesvarme til
varmepumper samt bioenergi (halm, skovflis, brænde, træpiller, træaffald, flydende
biobrændsler, bionaturgas, bionedbrydeligt affald og biogas).
VE-andele:
For opsummering af principper for opgørelse af VE-andele se bilag til
sektornotat 11B.
Forkortelser
BF20:
Basisfremskrivning 2020
CO
2
e.:
CO2-ækvivalenter
CRF:
Common reporting format
DCE:
Danish Centre for Environment and Energy
(Nationalt Center for Miljø og Energi,
Aarhus Universitet)
ETS:
Emission Trading System
(Det europæiske CO2-kvotemarked)
ILUC:
Indirect Land Use Change
KF21:
Klimastatus og -fremskrivning 2021
KF22:
Klimastatus og -fremskrivning 2022
LULUCF:
Land Use & Land Use Change & Forestry
(oversættes på dansk til
arealanvendelse, arealanvendelsesændringer og skovbrug)
NECP:
National energy and climate plan
Pct.:
Procent (%)
PJ:
Peta Joule
PtX:
Power-to-X
RES:
Renewable Energy Share
(samlet VE-andel)
RES-E:
Renewable Energy Share - Electricity
(VE-andel i elforbruget)
RES-H&C:Renewable
Energy Share - Heating and Cooling
(VE-andel i opvarmning og
procesenergi)
RES-T:
Renewable Energy Share – Transportation
(VE-andel i transport)
TWh:
Tera Watt-timer
VE:
Vedvarende energi
KEF, Alm.del - 2021-22 - Bilag 306: Orientering om offentliggørelse af Klimastatus og klimafremskrivning 2022
2565544_0093.png
APPENDIKS 8: REFERENCER
93
Appendiks 8: Referencer
Hvert KF22 sektornotater indeholder en referenceliste for det pågældende notat. Dette
appendiks omfatter alene referencer, som er direkte indeholdt i hovedrapporten, og
som ikke er en del af KF22 materialet. For liste over KF22 sektornotater og
forudsætningsnotater se appendiks 2.
Aftale om grøn omstilling af landbruget.
https://fvm.dk/landbrug/aftale-om-groen-
omstilling-af-landbruget/
Aftale om infrastrukturplan 2035 (28. juni 2021):
https://www.trm.dk/politiske-
aftaler/2021/aftale-om-infrastrukturplan-2035-aftale/
Aftale om regulering af ladestandermarkedet af 28. oktober 2021
https://www.trm.dk/politiske-aftaler/2021/aftale-om-regulering-af-
ladestandermarkedet/
Aftale om Udmøntning af pulje til grøn transport (25. juni 2021):
https://www.trm.dk/politiske-aftaler/2021/aftale-om-udmoentning-af-pulje-til-groen-
transport/
Aftale om udvikling og fremme af brint og grønne brændstoffer (PtX-strategien) af 15.
marts 2022.
https://www.regeringen.dk/aktuelt/publikationer-og-aftaletekster/aftale-
om-udvikling-og-fremme-af-brint-og-groenne-braendstoffer/
Danmarks Statistik, Statistikbanken a):
FOLK1A: Folketal den 1. i kvartalet efter område,
køn, alder og civilstand
Danmarks Statistik, Statistikbanken b):
BOL101: Boliger efter område, beboertype,
anvendelse og tid.
Danmark kan mere II.
https://www.regeringen.dk/aktuelt/publikationer-og-
aftaletekster/danmark-kan-mere-ii/
Europa-parlamentets og rådets CO2-forordninger (EU):
2019/631:
https://eur-lex.europa.eu/legal-content/DA/TXT/?uri=CELEX:32019R0631
2019/1242:
https://eur-lex.europa.eu/legal-content/DA/TXT/?uri=CELEX:32019R1242
Finanslov 2022,
https://fm.dk/media/25335/aftale-om-finansloven-for-2022.pdf.
Forslag til Lov om ændring af lov om klima (Indikativt klimamål for 2025)
https://www.ft.dk/samling/20211/lovforslag/l31/index.htm
Klimaaftale for energi og industri mv. 2020 af 22. juni 2020
(https://www.regeringen.dk/publikationer-og-aftaletekster/klimaaftale-for-energi-og-
industri-mv-2020/)
KEF, Alm.del - 2021-22 - Bilag 306: Orientering om offentliggørelse af Klimastatus og klimafremskrivning 2022
2565544_0094.png
APPENDIKS 8: REFERENCER
94
Klimalov og bemærkninger til lovforslaget:
https://www.ft.dk/samling/20191/lovforslag/L117/index.htm.
Klimaplan for grøn affaldssektor og cirkulær økonomi af 16. juni 2020
(https://www.regeringen.dk/media/9591/aftaletekst.pdf)