Klima-, Energi- og Forsyningsudvalget 2021-22
KEF Alm.del Bilag 161
Offentligt
2525505_0001.png
RAPPORT
Februar 2022
Grøn
skattereform
Første delrapport
Side1Side1
Side1
KEF, Alm.del - 2021-22 - Bilag 161: Grøn skattereform (første delrapport)
Side 1
Indhold
Forord ...................................................................................................2
Resumé.................................................................................................4
1.0 Udgangspunktet for en grøn skattereform.................................9
2.0 Sammenfatning og anbefalinger .............................................. 15
3.0 Omlægning af energiafgifter for rumvarme- og
vejtransport ....................................................................................... 62
4.0 Supplerende afgiftsmodeller..................................................... 72
5.0 Hovedtræk i nuværende regulering ......................................... 91
6.0 Tilskud ....................................................................................... 106
7.0 Det fremadrettede arbejde...................................................... 114
8.0 Appendiks ................................................................................. 117
8.1 Kommissorium for grøn skattereform.......................................................... 117
8.2 Lækage ....................................................................................................... 122
KEF, Alm.del - 2021-22 - Bilag 161: Grøn skattereform (første delrapport)
Grøn
skattereform
Side 2
Side 2
Forord
Ekspertgruppen for en Grøn skattereform blev nedsat i februar 2021.
Ekspertgruppens medlemmer er:
Michael Svarer, Professor ved Institut for Økonomi, Aarhus Universitet, For-
mand
Peter Birch Sørensen, Professor ved Institut for Økonomi, Københavns Uni-
versitet
Claus Thustrup Kreiner, Professor ved Institut for Økonomi, Københavns
Universitet
Mette Termansen, Professor ved Institut for Fødevare- og Ressourceøko-
nomi, Københavns Universitet
Joan Faurskov Cordtz, Partner ved PwC
Susanne Juhl, Bestyrelsesformand og -medlem
GrønskatefomSid1e
Sid1
Side1Side1
Vi skal i Ekspertgruppen udarbejde forslag til, hvordan vi i Danmark kan regulere
drivhusgasser med udgangspunkt i en højere og mere ensartet CO
2
e-afgift.
Det er en kompliceret opgave, vi er blevet stillet. Vejen til en mere ensartet
CO
2
e-afgift betyder, at vi for fremtiden skal beskatte CO
2
mere ens. Det står i
kontrast til i dag, hvor CO
2
beskattes meget forskelligt afhængig af, hvor CO
2
’en
udledes og hvilke brændsler, der anvendes.
Vores arbejde viser, hvordan en højere og mere ensartet CO
2
-afgift effektivt kan
reducere udledning af drivhusgasser og derved bidrage væsentligt til at indfri kli-
malovens mål om at reducere Danmarks udledning af drivhusgasser med 70 pct.
i 2030.
Udgangspunktet for vores forslag og anbefalinger er, at den grønne omstilling
ikke skal være unødig dyr for samfundet. Den skal også ske under hensyntagen
til klimalovens guidende principper om fx social balance, sammenhængskraft og
et sundt erhvervsliv. Det danner tilsammen et spændingsfelt af til en vis grad
modstridende hensyn, og i sidste ende er det et politisk valg, hvilke hensyn der
skal veje tungest. Vi præsenterer forslag, der vægter hensynene forskelligt. Der
er med andre ord ingen nemme eller perfekte løsninger.
Hvis vi indfører en ensartet CO
2
-afgift og skaber en mere ensartet regulering af
drivhusgasser, vil det påvirke borgere og virksomheder i alle dele af samfundet.
Ekspertgruppens arbejde viser et konkret skridt på vejen til at indfri 70 pct.-målet
i 2030.
Vores arbejde er opdelt i to rapporter, der tilsammen udgør en samlet analyse for
alle sektorer. Denne første delrapport indeholder først en introduktion til ud-
gangspunktet for en grøn skattereform (kapitel 1). Herefter følger vores anbefa-
linger og konklusioner (kapitel 2 og kapitel 3). Endelig indeholder rapporten yder-
ligere modeller (kapitel 4), hovedtræk i nuværende regulering og tilskud (kapitel 5
og 6), det fremadrettede arbejde (kapitel 7) og et appendiks (kapitel 8).
KEF, Alm.del - 2021-22 - Bilag 161: Grøn skattereform (første delrapport)
Grøn
skattereform
Side 3
Side 3
Ud over Ekspertgruppens medlemmer har afdelingschefer fra hhv. Skatteministe-
riet, Finansministeriet, Klima-, Energi-, Forsyningsministeriet, Erhvervsministeriet
samt Fødevareministeriet deltaget i drøftelserne. Vi er blevet betjent af et sekre-
tariat bestående af embedsmænd fra de involverede ministerier. Der skal lyde en
tak til dem for deres store dedikation og arbejde.
Vi vil også gerne benytte lejligheden til at takke de mange interessenter fra
dansk erhvervsliv og vigtige aktører i følgegruppen, der har bidraget til vores ar-
bejde.
Michael Svarer
/Ekspertgruppen for en Grøn skattereform, 8. februar 2022
Redaktionen er afsluttet den 6. februar 2022.
KEF, Alm.del - 2021-22 - Bilag 161: Grøn skattereform (første delrapport)
Grøn
skattereform
Side 4
Side 4
Resumé
Ekspertgruppen for en grøn skattereform har til opgave at fremlægge forslag til,
hvordan en ensartet CO
2
e-afgift kan give et væsentligt bidrag til opfyldelse af
Danmarks klimamål om 70 pct. reduktion af de indenlandske drivhusgasudled-
ninger i 2030 målt i forhold til 1990. Forslagene fra Ekspertgruppen skal tage
hensyn til klimalovens guidende principper om bl.a. omkostningseffektivitet, bæ-
redygtig erhvervsudvikling, social balance, beskæftigelse og sunde offentlige fi-
nanser samt ønsket om at undgå drivhusgaslækage.
I denne første delrapport foreslår Ekspertgruppen en arkitektur for en fremtidig
ensartet dansk CO
2
-afgift og et fremtidigt niveau for afgiftssatserne på CO
2
-ud-
ledninger. Rapporten beskriver, hvordan Ekspertgruppens forslag ventes at på-
virke udledningerne fra industri og andre erhverv, ikke-vejgående transport og el-
produktion samt individuel og kollektiv varme. I Ekspertgruppens slutrapport vil
landbrugets ikke-energirelaterede udledninger af metan og lattergas samt udled-
ningerne fra vejtransporten blive behandlet.
Ekspertgruppen anbefaler, at der stiles mod et afgiftsniveau eller en kombination
af afgifter og tilskud, som sikrer en CO
2
-reduktion i 2030 på ca. 3,5 mio. tons i de
nævnte sektorer (industri mv.). En reduktion i denne størrelsesorden skønnes at
være nødvendig for at opfylde klimalovens mål, når der tages hensyn til det for-
ventede reduktionsbidrag fra landbruget og effekten af den forventede højere
kvotepris i EU's CO
2
-kvotehandelssystem. Hvis der stiles mod et mindre redukti-
onsbidrag fra industri mv. end ca. 3,5 mio. tons, vil der skulle gennemføres re-
duktioner til en væsentligt højere samfundsøkonomisk omkostning i andre sekto-
rer.
Ekspertgruppens analyser viser, at det ikke er muligt at udforme en CO
2
-afgifts-
model, der fuldt ud tilgodeser samtlige mål og guidende hensyn i klimaloven og
kommissoriet. Der er et fundamentalt dilemma mellem ønsket om omkostningsef-
fektivitet (lavest mulig samfundsøkonomisk omkostning for at nå 70 pct.-målsæt-
ningen) og ønsket om at undgå store erhvervsforskydninger og deraf følgende
CO
2
-lækage, hvor produktionen og de tilhørende udledninger blot flytter til udlan-
det.
Fuld omkostningseffektivitet kræver en helt ensartet CO
2
-afgift på alle udlednin-
ger af CO
2
for at sikre, at CO
2
-reduktionerne sker dér, hvor de er billigst. Men da
industriens udledninger er stærkt koncentreret på nogle få store udledere, vil
disse virksomheder blive hårdt ramt af en høj ensartet CO
2
-afgift med deraf føl-
gende stor risiko for lækage. Hvis man vil reducere denne risiko gennem forskel-
lige former for kompensation, må man til gengæld give køb på kravet om streng
omkostningseffektivitet.
KEF, Alm.del - 2021-22 - Bilag 161: Grøn skattereform (første delrapport)
Grøn
skattereform
Side 5
Side 5
På den baggrund fremlægger Ekspertgruppen tre forskellige afgiftsmodeller, der
alle sikrer en CO
2
-reduktion i industri mv. på ca. 3,5 mio. tons i 2030 og samtidigt
opfylder Danmarks reduktionsmål for 2025, men som vægter klimalovens
guidende hensyn til omkostningseffektivitet og lækagerisiko forskelligt. Alle tre af-
giftsmodeller indebærer en delvis omlægning af de nuværende energiafgifter til
en CO
2
-afgift, en udvidelse af afgiftsgrundlaget, en betydelig ensretning af af-
giftssatserne, og et nedslag i den danske CO
2
-afgift på 50 pct. af kvoteprisen for
virksomheder omfattet af EU's kvotehandelssystem. I alle afgiftsmodeller sker
der endvidere en gradvis indfasning af CO
2
-afgiften, så virksomhederne har tid til
at omstille sig.
Når Ekspertgruppen ikke foreslår et fuldt afgiftsnedslag for kvoteprisen, skyldes
det, at kvoteprisen er en betaling ud af landet, som udgør en meromkostning for
samfundet ved at bruge fossile brændsler i kvotesektoren. Det er derfor ønske-
ligt, at der er en højere CO
2
-pris og dermed et stærkere incitament til CO
2
-reduk-
tioner inden for kvotesektoren end uden for kvotesektoren, da det danske sam-
fund sparer udgiften til kvoteprisen, når reduktionerne sker i kvotesektoren. Det
forhold, at en stor del af kvoterne uddeles gratis til virksomhederne, tilsiger også,
at der ikke bør være fuldt nedslag for kvoteprisen i den danske CO
2
-afgift. På
den anden side er kvoteomfattede virksomheder typisk meget energiintensive og
udsat for international konkurrence med deraf følgende risiko for lækage, hvis
deres samlede CO
2
-pris bliver for høj. Som et kompromis mellem disse modsat-
rettede hensyn foreslår Ekspertgruppen, at der gives 50 pct. nedslag for kvotepri-
sen.
I Ekspertgruppens
afgiftsmodel 1
vægtes hensynet til omkostningseffektivitet
højt. I denne model pålægges alle virksomheder uden for kvotesektoren en CO
2
-
afgift på 750 kr. pr. ton i 2030 svarende til den forventede kvotepris i 2030. Kvo-
teomfattede virksomheder, der står for langt størstedelen af industriens udlednin-
ger, får et afgiftsnedslag på 50 pct. af kvoteprisen og betaler således en CO
2
-af-
gift på 375 kr. pr. ton, hvorved deres samlede CO
2
-pris (afgift plus kvotepris) bli-
ver 1.125 kr. pr. ton i 2030. Der gives derudover et tilskud til negative udlednin-
ger. Afgiften skønnes at indbringe et provenu på ca. 0,8 mia. kr. i 2030, når virk-
somhederne har tilpasset sig. Dette provenu kan tilbageføres til erhvervene, fx
via en lempelse af selskabsskatten på ca. 0,6 pct.-point.
Afgiftsmodel 1 indebærer en forholdsvis lav samfundsøkonomisk omkostning
(tab af økonomisk velfærd i form af fx lavere realløn og tilpasningsomkostninger)
på 250 kr. pr. ton CO
2
-reduktion. Samtidig fremkommer over halvdelen af reduk-
tionerne via erhvervsforskydninger, dvs. via produktionsnedgang i de mest CO
2
-
intensive virksomheder, frem for via tekniske omstillinger, der sænker CO
2
-udled-
ningen pr. produceret enhed. Disse erhvervsforskydninger medfører stor risiko
for, at produktionen og udledningerne flytter til udlandet og dermed risiko for læ-
kage.
Denne lækagerisiko er særligt stor i virksomheder med mineralogiske produkti-
onsprocesser, der udgøres af fx cementproduktionen og teglværker og som står
for en stor del af industriens udledninger. I Ekspertgruppens
afgiftsmodel 2
imø-
degås lækagerisikoen via en reduceret CO
2
-afgiftssats på 100 kr. pr. ton for mi-
neralogiske processer mv., mens satserne for øvrige kvoteomfattede virksomhe-
der fastholdes på 375 kr. pr. ton og 750 kr. pr. ton i 2030 for ikke-kvoteomfattede
virksomheder.
KEF, Alm.del - 2021-22 - Bilag 161: Grøn skattereform (første delrapport)
2525505_0007.png
Grøn
skattereform
Side 6
Side 6
For at sikre den samme samlede CO
2
-reduktion på ca. 3,5 mio. tons i 2030 an-
vendes afgiftsprovenuet i model 2 til at finansiere tilskud til fangst og lagring af
CO
2
(CCS). Da tekniske reduktioner opnået via CCS-teknologi er samfundsøko-
nomisk dyrere end de reduktioner, der opnås via de store erhvervsforskydninger
i model 1, stiger den gennemsnitlige samfundsøkonomiske omkostning pr. ton
CO
2
-reduktion til ca. 500 kr. i model 2. Dette er prisen for at reducere den store
lækagerisiko inden for mineralogiske processer mv.
Afgiftsmodel 2 indebærer dog fortsat en mærkbar lækagerisiko inden for andre
brancher som fx raffinaderier, fiskeri og CO
2
-intensive virksomheder i fx fødeva-
resektoren. Hvis man ønsker at reducere denne risiko, er det ifølge Ekspertgrup-
pens analyser nødvendigt at tilvejebringe ekstra finansiering.
I Ekspertgruppens
afgiftsmodel 3
antages beregningsteknisk, at der fremskaffes
ekstra finansiering på 0,5 mia. kr. via en forhøjelse af den statslige bundskat med
0,05 pct.-point. Finansieringen kan alt efter politiske ønsker også tilvejebringes
ved omprioritering af de offentlige udgifter. Det ekstra provenu bruges i afgifts-
model 3 til at finansiere yderligere tilskud til CCS, som sikrer yderligere tekniske
CO
2
-reduktioner. Derved bliver det muligt at sænke CO
2
-afgiften for kvoteomfat-
tede til 225 kr. pr. ton og 600 kr. pr. ton for ikke-kvoteomfattede virksomheder og
stadig fastholde en samlet CO
2
-reduktion på ca. 3,5 mio. ton i 2030. De lavere
CO
2
-afgiftssatser medfører mindre erhvervsforskydninger og dermed lavere læ-
kagerisiko bredt i erhvervslivet. Prisen for denne yderligere sænkning af lækage-
risikoen er, at der som nævnt skal fremskaffes en ekstra finansiering, der skøn-
nes at øge den gennemsnitlige samfundsøkonomiske omkostning pr. ton CO
2
-
reduktion fra ca. 500 kr. i afgiftsmodel 2 til ca. 525 kr. i afgiftsmodel 3.
Nøgletallene for de tre afgiftsmodeller er sammenfattet i tabellen nedenfor.
”Ne-
gative
udledninger” dækker over CO
2
-reduktioner opnået ved fangst og lagring af
CO
2
fra biogene kilder. Valget mellem de tre modeller (eller hybrider heraf) må
derfor primært bero på en politisk afvejning af hensynet til omkostningseffektivitet
over for ønsket om at undgå store erhvervsforskydninger og høj lækagerisiko.
Overblik over konsekvenserne af afgiftsmodellerne
CO
2
-reduktion
(mio. ton)
CSS,
herunder
2030 negative
udled-
ninger
3,5
0,7
Afgiftssats
i 2030
(kr. pr. ton)
Ikke-
kvote/
kvote
1
750/
375
750/
375
600/
225
Omkostninger
og provenu
(mia. kr.)
Samfundsøko-
nomiske om-
kostninger (kr.
pr. ton)
2025
Model 1
(Bil-
ligste redukti-
oner)
Model 2
(Delvis hånd-
tering af læ-
kage)
Model 3
(Yderligere
håndtering af
lækage)
Umid-
Sats
Provenu Gns. (efter
delbar
Mar-
minera-
efter
kompen-
belast-
ginal
logi
adfærd
sation)
ning
2
375
2,8
0,8
350 (250)
750
1,0
0,7
3,5
1,7
100
2,3
0
500 (500)
850
0,6
3,5
2,0
100
1,6
-0,5
500 (525)
875
Anm.: Satser er afrundet til nærmeste 25 kr. pr. ton CO
2
. Satser vises i 2022-priser og provenuvirkninger vises i
2022-niveau. Det er antaget, at afgifterne løbende indekseres med det generelle prisniveau. Det er
beregningsteknisk antaget, at et eventuelt mindreprovenu dækkes af en forøgelse af bundskatten, og et
eventuelt merprovenu i 2030 anvendes til en generel nedsættelse af selskabsskatten.
KEF, Alm.del - 2021-22 - Bilag 161: Grøn skattereform (første delrapport)
Grøn
skattereform
Side 7
Side 7
Note 1: For en række afgiftsbaser er der i EU's Energibeskatningsdirektiv indført minimumsenergiafgifter. En sats
på 750 kr. pr. ton CO
2
skal i den forbindelse tolkes som summen af CO
2
- og energiafgiften.
Note 2: Samlet afgiftsbelastning af erhvervene før adfærdsændringer.
Kilde: Egne beregninger.
KEF, Alm.del - 2021-22 - Bilag 161: Grøn skattereform (første delrapport)
2525505_0009.png
Grøn
skattereform
Side 8
Side 8
Udgangspunktet
for en grøn skatte-
reform
1
KEF, Alm.del - 2021-22 - Bilag 161: Grøn skattereform (første delrapport)
Grøn
skattereform
Side 9
Side 9
1.0 Udgangspunk-
tet for en grøn
skattereform
Klimaforandringer er en global problemstilling. Med klimaloven er ambitionen, at
Danmark skal være et foregangsland i det internationale klimasamarbejde, som
kan inspirere og påvirke resten af verden til en skærpet indsats for at opfylde Pa-
risaftalens målsætning om at begrænse den globale temperaturstigning til 1,5
grader celsius. Danmark har med klimaloven forpligtet sig til at reducere udled-
ningen af drivhusgasser fra dansk territorium med 70 pct. i 2030 i forhold til ni-
veauet i 1990.
Indfrielsen af Danmarks klimamål skal ifølge klimaloven ske så omkostningsef-
fektivt som muligt under hensyntagen til både den langsigtede grønne omstilling,
bæredygtig erhvervsudvikling, dansk konkurrencekraft, sunde offentlige finanser
og beskæftigelse. Klimaindsatsen skal muliggøre en fortsat udvikling af dansk er-
hvervsliv, og Danmark skal vise, at det er muligt at gennemføre en grøn omstil-
ling og samtidig bevare et stærkt velfærdssamfund, hvor sammenhængskraften
og den sociale balance sikres.
Endelig fremgår det af klimaloven, at nationale tiltag, der anvendes for at redu-
cere udledningen af drivhusgasser, skal medføre reelle, indenlandske reduktio-
ner og ikke blot flytte drivhusgasudledningen uden for Danmarks grænser.
I december 2020 indgik et bredt politisk flertal (S, V, RV, SF og K) en aftale om
en grøn skattereform i flere faser. Ifølge aftalen bør en ensartet drivhusgasafgift
være et afgørende instrument til indfrielsen af 70 pct.-målet i 2030 under hensyn-
tagen til klimalovens guidende principper. Det blev i den forbindelse besluttet at
nedsætte en ekspertgruppe for en grøn skattereform med den opgave at udar-
bejde anbefalinger til en mere ensartet regulering af udledningen af CO
2
, herun-
der en mere ensartet CO
2
e-afgift.
1
I dette kapitel beskrives Ekspertgruppens opgaver, herunder de overvejelser,
kommissoriet har givet anledning til.
1
CO
2
e dækker over CO
2
-ækvivalenter, hvor udledningen af øvrige drivhusgasser som fx metan og lattergas om-
regnes til en ækvivalent udledning af CO
2
, dvs. en CO
2
-udledning med samme klimaeffekt.
KEF, Alm.del - 2021-22 - Bilag 161: Grøn skattereform (første delrapport)
Grøn
skattereform
Side 10
Side 10
1.1 Kommissorium
Efter indgåelse af
aftalen om en grøn skattereform
blev aftalepartierne i februar
2021 enige om et kommissorium for Ekspertgruppens arbejde,
jf. afsnit 8.2.
Af
kommissoriet fremgår, at Ekspertgruppen skal:
Udarbejde modeller til en ensartet CO
2
e-regulering, herunder udformning af
en mere ensartet CO
2
e-afgift.
Udarbejde forskellige scenarier, som bidrager væsentligt til 70 pct.-målsæt-
ningen under hensyntagen til klimalovens guidende principper. Udgangs-
punktet for scenarierne skal være, at de leverer den samfundsøkonomisk bil-
ligste løsning. Hvis der afviges fra den samfundsøkonomisk billigste løsning,
skal det begrundes hvorfor.
Af kommissoriet fremgår, at Ekspertgruppens arbejde skal opdeles i to rapporter,
der tilsammen udgør en samlet analyse. Denne første rapport indeholder anbefa-
linger til omlægning af afgifter på energi til en mere direkte afgift på udledning af
CO
2
og udvidelse af afgiftsgrundlaget til veldefinerede områder, der i dag er frita-
get for afgift,
jf. kapitel 2.
Rapporten fokuserer dermed på en afgift på udledninger, optag og lagring af CO
2
fra industrien, varme- og elproduktion samt ikke-vejgående transport,
jf. afsnit
2.1.
Samtidig skal en omlægning af energiafgifterne til en mere direkte og ens af-
gift på CO
2
-udledning beskrives. Det indebærer også en omlægning af energiaf-
giften til CO
2
-afgift på rumvarmeområdet samt for benzin og diesel,
jf. kapitel 3.
Med den endelige rapport skal Ekspertgruppen belyse modeller for en mere ens-
artet CO
2
e-regulering på tværs af hele økonomien, herunder vejtransport og
ikke-energirelaterede udledninger fra landbruget, samtidig med at der tages hen-
syn til klimalovens guidende principper,
jf. kapitel 7.
Deri indgår stillingtagen til,
om der bør ske en ensretning af afgiftsniveauerne på tværs af anvendelsesområ-
der.
Anden delrapport skal desuden indeholde en vurdering af fordele og ulemper ved
henholdsvis en reguleringsløsning for landbrugssektoren, en tilskudsløsning in-
den for EU’s landbrugsstøtte og en CO
2
e-afgift for denne sektor eller en kombi-
nation af disse samt mulige tiltag for omkostningseffektiv regulering af landbru-
get, som adresserer CO
2
e-udledninger og øvrige eksternaliteter, herunder fx
miljø og sundhed.
Bidragene til opfyldelse af klimalovens reduktionsmål kan både tage form af re-
duktion af CO
2
-udledninger og negative CO
2
-udledninger ved fx at opfange og
lagre CO
2
fra biomasse og biogas, da negative udledninger regnes med i 70 pct.-
målet på lige fod med CO
2
-reduktioner. For at opnå en omkostningseffektiv regu-
lering skal incitamentet til drivhusgasreduktion så vidt muligt være det samme på
tværs af hele økonomien. Det kan fx sikres ved at give et tilskud
en såkaldt ne-
gativ afgift
til negative CO
2
-udledninger med en sats svarende til CO
2
-afgifts-
satsen.
Derudover fremgår det af kommissoriet, at der som supplement til en ensartet
CO
2
-afgift skal peges på hensigtsmæssige kompensations- og tilbageføringsme-
kanismer, der skal understøtte klimalovens guidende principper. Rapporten bely-
ser derfor konsekvenser af en række forskellige tiltag, herunder tilskud, nedslag i
KEF, Alm.del - 2021-22 - Bilag 161: Grøn skattereform (første delrapport)
Grøn
skattereform
Side 11
Side 11
afgiftssatsen for kvoteomfattede virksomheder, differentierede afgiftssatser og
bundfradrag,
jf. kapitel 2 og 4.
I kapitel 2 redegøres endvidere for effekterne på
beskæftigelse og indkomstfordeling af en CO
2
-afgift på de områder, der er be-
handlet i denne rapport.
1.2 Ekspertgruppens fortolkning af kom-
missoriet og klimalovens guidende princip-
per
Ekspertgruppens analyser og anbefalinger tager i overensstemmelse med kom-
missoriet udgangspunkt i klimalovens guidende principper.
Klimalovens 70 pct.-målsætning vedrører CO
2
-udledningerne fra dansk territo-
rium, hvilket kan forsimples til udledningerne fra produktion i Danmark. Kommis-
soriet lægger derfor op til, at en dansk CO
2
e-afgift skal pålægges i
produktions-
leddet
ved kilden til de indenlandske CO
2
-udledninger. Adskillige analyser har
imidlertid påvist, at Danmarks
globale klimaaftryk
er noget større end udlednin-
gerne fra den danske produktion.
2
I opgørelsen af det globale klimaaftryk med-
regnes de udledninger i udlandet, der stammer fra produktion og transport af de
varer og tjenester, der importeres til Danmark. Til gengæld fraregnes CO
2
-udled-
ningerne fra den del af den indenlandske produktion, der går til eksport.
Hvis formålet med en klimaafgift er at sænke landets klimaaftryk, er det mest
målrettet at pålægge afgiften forbrugsleddet, hvor den belaster importerede og
indenlandsk producerede varer og tjenester ens. Størrelsen af en sådan klimaaf-
gift skal afspejle et skøn over, hvor meget drivhusgas der på globalt plan er ud-
ledt ved produktion og transport af den vare, der forbruges. Dette er i praksis me-
get usikkert og administrativt tungt, blandt andet fordi de indenlandske myndig-
heder kun har begrænset information om, hvordan produktionen og transporten i
udlandet er foregået. Endvidere tilskynder en klimaafgift i forbrugsleddet kun i
ringe grad den enkelte producent til at sænke sine udledninger, da afgiften nød-
vendigvis må afspejle et skøn over, hvor meget drivhusgas der i gennemsnit ud-
ledes ved produktion af varen
et gennemsnit den enkelte virksomhed typisk
kun har meget lille indflydelse på. En klimaafgift i forbrugsleddet virker derfor pri-
mært ved at tilskynde forbrugerne til at omlægge deres forbrug i klimavenlig ret-
ning.
Det internationale klimasamarbejde i FN-regi bygger på det princip, at de enkelte
lande er ansvarlige for CO
2
-udledningerne fra deres eget territorium, dvs. udled-
ningerne fra den hjemlige produktion, herunder produktion af indenlandske trans-
porttjenester.
3
Princippet afspejler, at de enkelte stater har jurisdiktion til at regu-
lere CO
2
-udledningerne fra eget territorium, men ikke har beføjelser til at regulere
udledningerne fra andre landes territorium.
2
Se fx Danmarks Statistik: ”Dansk forbrug sætter i høj grad sit klimaaftryk i udlandet”. DST Analyse, 16. decem-
ber 2021 (https://www.dst.dk/Site/Dst/Udgivelser/nyt/GetAnalyse.aspx?cid=47752).
Ifølge FN’s opgørelsesmetode henregnes udledninger fra afbrænding af træbaseret biomasse til det land, hvor
træerne fældes, og ikke til landet, hvor afbrændingen finder sted.
3
KEF, Alm.del - 2021-22 - Bilag 161: Grøn skattereform (første delrapport)
Grøn
skattereform
Side 12
Side 12
Vanskelighederne ved at implementere en klimaafgift i forbrugsleddet og princip-
perne for klimasamarbejdet i FN er baggrunden for, at klimalovens 70 pct. mål.
Af samme årsag fokuserer Ekspertgruppen på en CO
2
-afgift i produktionsleddet.
En CO
2
-afgift giver de enkelte virksomheder og husholdninger en direkte tilskyn-
delse til at sænke deres udledninger gennem fx energieffektivisering, omlægning
til vedvarende energikilder og udvikling af nye og mere klimavenlige teknologier.
En afgørende fordel ved at bruge afgiftsinstrumentet er således, at man udnytter
virksomhedernes og husholdningernes egen viden om, hvordan udledningerne
bedst og billigst kan sænkes. Dermed mobiliseres værdifuld viden om redukti-
onsmuligheder, som myndighederne ofte ikke ligger inde med.
Kravet om
omkostningseffektivitet
i klimaindsatsen står centralt i klimaloven og
kommissoriet og er derfor tillagt stor vægt i Ekspertgruppens arbejde. Ved om-
kostningseffektivitet forstås, at drivhusgasreduktionerne opnås til de lavest mu-
lige samfundsøkonomiske omkostninger, dvs. med de lavest mulige tab af øko-
nomisk velfærd i form af fx lavere realløn og omstillingsomkostninger. Det er i
sidste ende borgerne, der bærer byrden ved en CO
2
-afgift i form af lavere for-
brugsmuligheder som følge af lavere lønninger og højere priser.
En fuldt omkostningseffektiv CO
2
-afgift kræver som nævnt, at afgiften er den
samme på tværs af alle aktiviteter, og at der gives tilskud til negative udledninger
med en sats svarende til afgiftssatsen. En sådan ensartet CO
2
-afgift sikrer det
samme incitament til at sænke udledningerne overalt i økonomien, hvorved re-
duktionsindsatsen bliver koncentreret på områder, hvor den er billigst.
Klimaloven og kommissoriet nævner dog også andre vigtige hensyn, som ikke
nødvendigvis er forenelige med kravet om fuld omkostningseffektivitet, herunder
at begrænse
CO
2
-lækage,
hvor produktionen og de tilhørende udledninger flyttes
til udlandet, samt at sikre
sammenhængskraft og social balance.
Begge disse
hensyn kan blive udfordret af de
erhvervsforskydninger,
en ensartet CO
2
-afgift
må ventes at medføre.
Som det fremgår af analyserne i denne rapport, er industriens CO
2
-udledninger i
ganske høj grad koncentreret på nogle få, store udledere. Hvis disse CO
2
-inten-
sive virksomheder pålægges en høj afgift uden kompenserende foranstaltninger,
må store dele af deres produktion ventes at blive nedlagt eller flyttet til udlandet.
Den derved frigjorte arbejdskraft og kapital vil over tid finde anvendelse i andre
dele af dansk økonomi, men de deraf følgende erhvervsforskydninger indebærer
betydelig risiko for omfattende CO
2
-lækage. Samtidigt vil erhvervsforskydnin-
gerne indebære, at en stor del af tilpasningsomkostningerne ved reduktion af ud-
ledningerne vil blive koncentreret på nogle få virksomheder og brancher. Selvom
tilpasningsomkostningerne efter Ekspertgruppens vurdering vil være små målt i
forhold til Danmarks samlede nationalprodukt, kan de i nogle lokalområder vise
sig mærkbare, hvilket kan stride mod klimalovens hensyn om sammenhængs-
kraft og social balance i et geografisk perspektiv.
Analyserne i denne rapport afdækker således et uundgåeligt dilemma mellem
hensynet til omkostningseffektivitet og hensynet om at undgå væsentlige er-
hvervsforskydninger med deraf følgende CO
2
-lækage og ulige fordeling af tilpas-
ningsomkostninger. På den baggrund har Ekspertgruppen i kapitel 2 valgt at
fremlægge tre afgiftsmodeller, der vægter disse hensyn forskelligt, for at illustrere
de politiske afvejninger, som nødvendigvis må foretages.
KEF, Alm.del - 2021-22 - Bilag 161: Grøn skattereform (første delrapport)
Grøn
skattereform
Side 13
Side 13
Klimalovens og kommissoriets hensyn om social balance indebærer også, at om-
kostningerne ved at opfylde klimamålet ikke må være skævt fordelt på tværs af
indkomstgrupper. Analysen i kapitel 2 indikerer, at Ekspertgruppens forslag vil
have meget begrænsede virkninger på indkomstfordelingen og ikke vil
“vende
den tunge ende nedad”. Det afspejler blandt
andet, at byrden ved en afgift på er-
hvervenes udledninger i stort omfang vil blive båret af samtlige lønmodtagere i
form af en lidt lavere lønstigningstakt i en tilpasningsperiode.
Ifølge klimaloven skal Danmarks klimaindsats være forenelig med
sunde offent-
lige finanser,
og ifølge kommissoriet skal Ekspertgruppen fremlægge alternative
scenarier, hvoraf mindst ét scenarie indebærer, at skatter og afgifter samlet set
ikke stiger.
Kapitel 2 indeholder et scenarie, hvor skatter og afgifter samlet set ikke stiger,
samt et scenarie, hvor provenuet fra CO
2
-afgiften anvendes til kompenserende
tilskud, der skal modvirke lækage og store erhvervsforskydninger. Endelig indgår
i kapitel 2 et scenarie, hvor de kompenserende foranstaltninger kræver en ekstra
finansiering ud over afgiftsprovenuet. Denne finansiering er beregningsteknisk
antaget at fremkomme ved en stigning i den statslige bundskat, men kan alterna-
tivt fremskaffes ved omprioriteringer af de statslige udgifter.
For at sikre fuld sammenlignelighed mellem de tre alternative afgifts- og tilskuds-
modeller i kapitel 2 er afgifts- og tilskudssatserne fastsat således, at der i alle
scenarier opnås en forventet reduktion af CO
2
-udledningerne i 2030 på ca. 3,5
mio. ton. Med ambitionen i det aftalte reduktionsmål i medfør af
Aftale om grøn
omstilling af dansk landbrug
fra oktober 2021 og den skønnede effekt af udviklin-
gen i prisen på CO
2
-kvoter i EU skønnes det med en vis usikkerhed, at Danmark
ved at indføre en af de tre afgiftsmodeller i kapitel 2 vil kunne opfylde 70-pct.-må-
let. Et mindre ambitiøst reduktionsomfang fra sektorerne omfattet af første del-
rapport vil med stor sandsynlighed kræve, at man skal supplere med samfunds-
mæssigt dyrere tiltag for at nå 70-pct. målet.
Denne første delrapport omfatter relativt veldefinerede afgiftsområder. Rapporten
beskriver, hvordan en mere ensartet CO
2
-afgift kan udvides til områder, der i dag
er undtaget eller fritaget for CO
2
-afgift, herunder olie- og gasindvinding og olieraf-
finering, mineralogiske processer mv. og fossile brændsler til elproduktion. Ho-
vedparten af udledningerne er relateret til CO
2
.
I denne rapport anvendes derfor terminologien ‘CO
2
-afgift’ og
‘CO
2
-udledninger’,
men afgiftsgrundlaget omfatter også mindre CO
2
e-udledninger af andre drivhus-
gasser som metan og lattergas.
KEF, Alm.del - 2021-22 - Bilag 161: Grøn skattereform (første delrapport)
2525505_0015.png
Grøn
skattereform
Side 14
Side 14
Sammenfatning og
anbefalinger
2
KEF, Alm.del - 2021-22 - Bilag 161: Grøn skattereform (første delrapport)
Grøn
skattereform
Side 15
Side 15
2.0 Sammenfatning
og anbefalinger
Det er en betydelig udfordring at udforme et CO
2
-afgiftssystem, der forener de
mange forskellige hensyn i klimalovens guidende principper og Ekspertgruppens
kommissorium. Som nævnt i kapitel 1 vedrører klimalovens mål om 70 pct. driv-
husgasreduktion i 2030 de indenlandske udledninger. Ifølge klimaloven skal ind-
frielsen af dette mål ske så omkostningseffektivt som muligt, men under hensyn-
tagen til en række andre forhold, herunder den danske klimapolitiks effekt på de
globale udledninger, fx via drivhusgaslækage.
Dette kapitel giver et overblik over Ekspertgruppens analyser af en række afgifts-
modeller, der på forskellig vis vægter klimalovens og kommissoriets principper
og målsætninger. Kapitlet indledes med en status over den udestående redukti-
onsmanko i forhold til indfrielse af 70 pct.-målet. Derefter udfoldes Ekspertgrup-
pens anbefaling til ambitionsniveauet for CO
2
-reduktioner i de dele af dansk øko-
nomi, der er omfattet af denne rapport. Endelig følger Ekspertgruppens analyser
og diskussion af forskellige veje til at opfylde dette ambitionsniveau.
Det er en udfordring at
indrette et afgiftssystem,
der forener alle hensyn
Dette kapitel dækker re-
duktionsmanko, ambiti-
onsniveau og analyser af
veje til at opfylde det
2.1 Udledninger og nuværende CO
2
-afgifter
Med de hidtil vedtagne klimapolitiske tiltag skønnes Danmarks samlede drivhus-
gasudledninger at være 32,6 mio. ton CO
2
i 2030,
jf. Redegørelse for klimaeffek-
ter 2021.
På den baggrund skønnes der med en vis usikkerhed at udestå redukti-
oner på ca. 9,4 mio. ton CO
2
i 2030 for at indfri 70 pct.-målet,
jf. figur 2.1.
For at
indfri delmålet i 2025 om 50-54 pct. reduktion, er der en reduktionsmanko på 0,5-
3,6 mio. ton CO
2
, jf. Redegørelse for klimaeffekter 2021.
Danmark har derudover
en målsætning om at være klimaneutral senest i 2050.
En del af reduktionsmankoen i udledningen af CO
2
frem mod 2030 forventes alt
andet lige at blive indfriet som følge af en forventet stigende pris på CO
2
-kvoter i
EU’s kvotehandelssystem,
jf. afsnit 4.3.
Reduktionen hænger sammen med, at
der nu skønnes en betydeligt højere kvotepris i 2030, end hvad der blev lagt til
grund i opgørelsen fra
Klimastatus og -fremskrivning 2021.
Den skønnede reduk-
tion som følge af en højere kvotepris udgør godt 1 mio. ton CO
2
i 2030, som skal
fratrækkes de 9,4 mio. ton.
Der skønnes at udestå en
reduktion på ca. 9,4 mio.
ton CO
2
for at indfri 70
pct.-målet i 2030
En højere kvotepris for-
ventes at reducere man-
koen med yderligere
godt 1 mio. ton.
KEF, Alm.del - 2021-22 - Bilag 161: Grøn skattereform (første delrapport)
2525505_0017.png
Grøn
skattereform
Side 16
Side 16
Figur 2.1. De samlede nettoudledninger og 70 pct.
målsætningen
Mio. ton. CO
2
100
90
80
70
60
50
40
30
20
10
0
70 pct.-målsætningen
Mio. ton CO
2
100
90
80
70
60
50
40
30
20
10
0
1998
1990
1992
1994
1996
2000
2002
2004
2006
2008
2010
2012
2014
2016
2018
2020
2022
2024
2026
2028
Fremskrivning
Kilde: Klimastatus og -fremskrivning 2021 inkl.
Aftale om grøn omstilling af dansk landbrug
fra oktober 2021 og
delaftale til Finanslov 2022
Investeringer i et fortsat grønnere Danmark
fra december 2021. Figuren inkluderer
ikke effekten af stigningen i kvoteprisen.
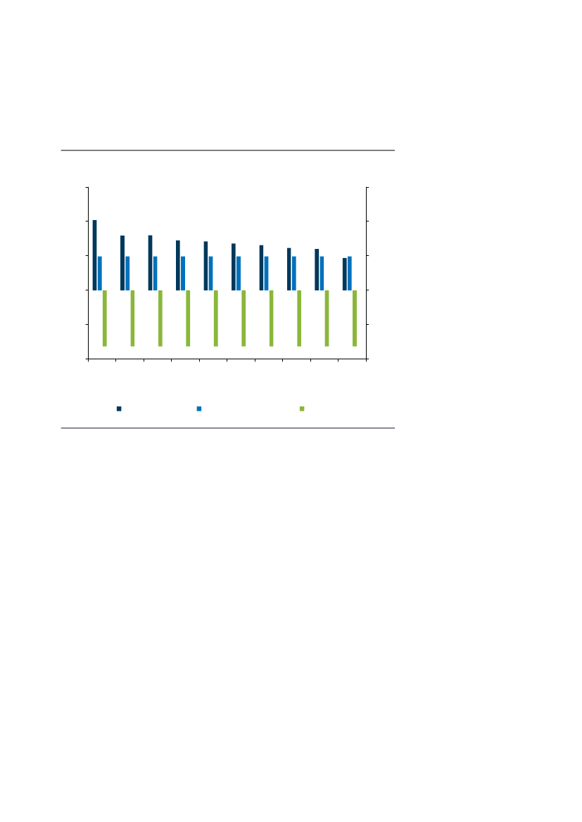
I denne rapport behandles udledninger fra industrien og øvrige erhverv, bortset
fra landbrugets ikke-energirelaterede udledninger af metan og lattergas, ikke-vej-
gående transport og elproduktion samt produktion af individuel og kollektiv
varme,
jf. figur 2.2.
Udledningerne skønnes tilsammen at udgøre ca. 9,2 mio. ton
CO
2
i 2030, når grundlaget er justeret for den højere kvotepris. Heraf kommer ca.
7,3 mio. ton fra industri og øvrige erhverv, ikke-vejgående transport og elproduk-
tion, mens ca. 1,9 mio. ton kommer fra produktion af individuel og kollektiv
varme.
Udledninger fra landbruget og transportsektoren ventes at udgøre langt største-
delen af Danmarks samlede udledninger i 2030. Landbrugets ikke-energirelate-
rede udledninger skønnes at udgøre ca. 13 mio. ton CO
2
i 2030, mens udlednin-
gerne fra vejgående og øvrig transport
4
ventes at være ca. 11,1 mio. ton. Affald
til deponi og F-gasser
5
og øvrige kilder ventes at udlede ca. 1,1 mio. ton i 2030.
6
2030
Rapporten behandler ud-
ledninger fra industrien
og øvrige erhverv, ikke-
vejgående transport, el-
produktion samt indivi-
duel og kollektiv varme.
De omfattede områder
skønnes at dække knap
1/3 af Danmarks forven-
tede udledninger i 2030
4
Øvrig transport dækker over intern transport i fremstillings, bygge-anlæg og serviceerhverv samt forsvaret og
fritidsfartøjer.
F-gasser er en gruppe kraftige klimagasser, som anvendes til blandt andet i kølemidler i airconditionanlæg, kø-
5
leskabe og varmepumper. Ud over affald til deponi indeholder tallet også udledninger fra biogaslækage, kompo-
stering og spildevand.
6
De samlede udledningerne fra KF21 inkl. nye klimapolitiske tiltag udgør ca. 32,6 mio. t. i 2030. I denne rapport
anvendes udledningerne efter, hvordan de beskattes. Det medfører et større forventet grundlag i 2030 end i
KF21, da ledningsgas i dag beskattes som var det 100 pct. fossilt, uafhængigt af den reelle mængde af biogas i
ledningsgassen.
KEF, Alm.del - 2021-22 - Bilag 161: Grøn skattereform (første delrapport)
2525505_0018.png
Grøn
skattereform
Side 17
Side 17
Disse områder behandles ikke i denne rapport, men i stedet i Ekspertgruppens
endelige rapport. Udledningerne fra industri mv. behandlet i denne rapport svarer
til knap 1/3 af de forventede, samlede udledninger i 2030.
Figur 2.2. Forventede udledninger i 2030 omfattet af denne rapport, mio. ton CO
2
Mio. ton CO
2
14
12
10
8
6
4
2
0
Mio. ton CO
2
14
Omfattet af første delrapport
12
10
8
6
4
2
0
Land- og skovbrug
(ikke-energi)
Alm. proces
Vejgående
transport
Varme
(individuel/kollektiv)
Ikke-vejgående
transport
Gartnerier og
landbrug (energi)
Nordsø og
raffinaderier
Elproduktion
Landbrug
Transport
Industri
El og varme
Affald
Anm.: Landbrug (energi) under industri indeholder landbrugets energirelaterede udledninger, mens de ikke-energirelatede udledninger fra landbruget er indeholdt
i Land- og skovbrug (ikke-energi). Ikke-vejgående transport dækker over færger, fiskere, jernbanen og indenrigsflyvninger. Alm. proces dækker over alle øvrige
udledninger i industrien i forbindelse med erhvervenes processer. Mineralogiske mv. dækker en række specifikke processer i industrien, bl.a. cementproduktion
og teglværker.
Kilde: Klimastatus og -fremskrivning 2021 og egne beregninger
Ud over de angivne udledninger i figur 2.2 forventes CCS-teknologi (carbon cap-
ture and storage) at reducere de samlede udledninger med ca. 1,4 mio. ton i
2030.
7
Disse reduktioner er ikke fordelt mellem sektorer, da de er baseret på
endnu ikke udmøntede tilskudspuljer. Derfor indgår de ikke i de enkelte katego-
rier i figuren, men derimod i den samlede fremskrivning og opgørelse af redukti-
onsmankoen.
I denne rapport er der ud over de anførte områder fokus på såkaldte negative
udledninger. De kan fx komme fra fangst og lagring af CO
2
ved afbrænding af
biogene kilder som biomasse på kraftvarmeanlæg, i forbindelse med produktion
I opgørelsen indgår 1,4
mio. ton fra CCS-tekno-
logi, der ikke er fordelt
på sektorer
Negative udledninger kan
udvide det samlede re-
duktionspotentiale
7
Carbon Capture and Storage (CCS) dækker over teknologi, hvor CO
2
fanges og efterfølgende lagres. Teknolo-
gien kan bidrage til negative udledninger, hvis CO
2
opsamles fra biogene kilder og lagres. Udledningen fra af-
brænding af fx biomasse er ikke medregnet, da udledningen ifølge FNs klimaregnskabsregler henregnes til LU-
LUCF-sektoren i det land, hvor biomassen høstes. Ved opsamling og efterfølgende lagring af CO
2
fra biogene
kilder reduceres CO
2
-koncentrationen i atmosfæren.
Affald og F-gasser
(eksl. forbrænding)
Mineralogiske mv.
KEF, Alm.del - 2021-22 - Bilag 161: Grøn skattereform (første delrapport)
2525505_0019.png
Grøn
skattereform
Side 18
Side 18
af biogas eller biogent affald (BECCS).
8
Negative udledninger vil derfor kunne
udvide det samlede reduktionspotentiale ud over de øvrige udledninger, der er
omfattet af rapporten.
Store dele af industriens udledninger er koncentreret på få store og meget CO
2
-
intensive udledere. Det gælder især inden for mineralogiske processer mv. (der
dækker bl.a. cementproduktion og teglværker) og andre store kvoteomfattede
virksomheder.
Det illustreres bl.a. ved, at ca. 45 pct. af industriens udledninger, inkl. ikke-vejgå-
ende transport i 2030, kan henføres til de fem største udledere inden for cement-
produktion, raffinaderier, olie- og gasproduktion i Nordsøen og kvoteomfattet in-
dustri,
jf. figur 2.3.
9
Derudover er der også en række mindre udledere, der dog
stadig er meget CO
2
-intensive.
Det betyder, at hovedparten af udledningerne, der berøres i denne rapport, ikke
er bredt fordelt, men i stedet samlet på en mindre del af økonomien, der kun ud-
gør en begrænset del af Danmarks samlede produktion og beskæftigelse. Kon-
kret står de fem største udledere for 0,7 pct. af værditilvæksten i industri mv. og
for 0,2 pct. af Danmarks samlede værditilvækst, mens de omfatter 0,4 pct. af be-
skæftigelsen i industri mv. og 0,1 pct. af den samlede beskæftigelse,
jf. figur 2.3.
Figur 2.3. De 5 største udledere sammenlignet med samlet industri mv.
Industriens udledninger
er koncentreret på få
virksomheder
De fem største udledere i
industrien ventes at stå
for ca. 45 pct. af udled-
ningerne i 2030
Men udgør kun en meget
lille andel af værditilvæk-
sten og beskæftigelsen
Udledninger 2030, mio.
ton CO₂
3,2 mio.
ton CO
2
BVT, mio. kr.
3.660 mio. kr.
Beskæftigede, antal
personer
2.660 personer
0%
20%
40%
60%
80%
100%
Andel af industrien mv.
Anm.: Udledninger i 2030. Udledningerne for de 5 største udledere er fremskrevet ved at fastholde
deres andel af 2020-udledningerne for deres respektive branchekategori i 2030. Regnskabstal
stammer fra DST tabel NABP69 og er for 2019. Samlet industri mv. dækker i figuren industri, elpro-
duktion samt ikke-vejgående transport. Se anmærkning til tabel 2.6 for beskrivelse af antagelser
vedr. BVT- og beskæftigelsestal.
8
Bio Energy Carbon Capture
9
and Storage (BECCS) dækker over fangst og lagring af CO
2
fra biogene kilder.
Nordsøproduktionen omfatter en række aktører, hvoraf et par selskaber dog står for størstedelen af udlednin-
gerne.
KEF, Alm.del - 2021-22 - Bilag 161: Grøn skattereform (første delrapport)
2525505_0020.png
Grøn
skattereform
Side 19
Side 19
I det nuværende afgiftssystem varierer prisen på CO
2
meget på tværs af sekto-
rer,
jf. figur 2.4.
For brændsler til rumvarme og vejtransport er CO
2
-afgiften relativ høj, mens CO
2
-
afgiften for industrien og dele af den ikke-vejgående transportsektor er forholds-
vis lav. En del af industriens udledninger er ikke omfattet af energi- eller CO
2
-af-
gift. Mange af udledningerne er imidlertid omfattet af EU’s kvotehandelssystem
og betaler dermed kvoteprisen for udledning af CO
2
. I kvotehandelssystemet er
der dog et væsentligt fradrag i form af gratiskvoter, så virksomhederne ikke bæ-
rer den fulde byrde af kvoteprisen. Omfanget af gratiskvoter varierer meget på
tværs af brancher,
jf. afsnit 5.3.1.
Figur 2.4. Nuværende afgiftssystem i 2030
satser inden omlægning
Kr. pr. ton CO
2
2.500
2.000
1.500
1.000
500
0
CO₂-afgift
Energiafgift
Kvotepris
Det nuværende afgiftssy-
stem er stærkt differenti-
eret
Kr. pr. ton CO
2
2.500
2.000
1.500
1.000
500
0
Indenrigsfly
Jernbanen
Benzin
Diesel
Færger
Fiskere
Landbrug mv. (ikke-ETS)
Raffinaderier
Nordsøen
Mineralogi mv. (ikke-energi)
Alm. Proces (ikke-ETS)
Elproduktion
Rumvarme (ikke-ETS)
Landbrug mv. (ETS)
Alm. Proces (ETS)
Mineralogi mv. (energi)
Transport
Industri
El og varme
Anm.: Landbrug mv. dækker over landbrugets energirelaterede udledninger og gartneriernes energiforbrug. De nuværende energiafgifter er omregnet til CO
2
-
afgifter, men vil variere for forskellige brændsler inden for afgiftskategorierne. Der er brugt seneste fremskrivning af kvoteprisen på 750 kr. pr. ton CO
2
i 2030
(2022-priser). Afgiften for mineralogiske processer mv. (energi) samt en del af afgifterne for alm. proces og landbrug mv. træder først i kraft i hhv. 2023 og 2025.
ETS står for Emissions Trading System
og dækker over virksomheder og produktionsprocesser, der er omfattet af EU’s kvotehandelssystem.
Kilde: Egne beregninger.
2.2 Ambitionsniveau i første delrapport
Ekspertgruppen har taget udgangspunkt i, at denne delrapports anbefalinger skal
indfri reduktionsmålet for 2025 og levere et væsentligt bidrag til at nå 70 pct.-må-
let i 2030. De foreslåede løsninger indfrier i alle tilfælde den nedre del af spæn-
det for 2025-målet via en reduktion på mindst 0,5 mio. ton CO
2
og bidrager til
2030-målet via en reduktion på ca. 3,5 mio. ton CO
2
.
Ekspertgruppen anbefa-
ler et ambitionsniveau på
ca. 3,5 mio. ton i 2030
Rumvarme (ETS)
KEF, Alm.del - 2021-22 - Bilag 161: Grøn skattereform (første delrapport)
Grøn
skattereform
Side 20
Side 20
Ekspertgruppen vurderer, at det er nødvendigt, at de omfattede områder i første
delrapport (industri og andre erhverv, ikke-vejgående transport og elproduktion
samt individuel og kollektiv opvarmning) bidrager med reduktioner i denne stør-
relsesorden. Dette skal ses i sammenhæng med følgende forhold:
Der er med
Aftale om grøn omstilling af dansk landbrug
truffet beslutning om
et reduktionsmål, der svarer til, at landbruget skal reducere med ca. 4-6 mio.
ton CO
2
i 2030 ud over de konkrete reduktioner i aftalen.
Den forventede stigning i kvoteprisen skønnes isoleret set at bidrage med
reduktioner på godt 1 mio. ton CO
2
i forhold til, hvad der er lagt til grund i den
nuværende opgørelse af mankoen,
jf. afsnit 4.3.
De øvrige sektorer skal derfor levere ca. 2,5-4,5 mio. ton for at indfri redukti-
onsmankoen på 9,4 mio. ton CO
2
op til 70 pct.-målet. En reduktionsambition
på ca. 3,5 mio. ton CO
2
i 2030 vil derfor levere en stor del af den resterende
manko.
Reduktioner i andre store sektorer, fx transportsektoren, er samfundsøkono-
misk dyrere, og det er derfor hensigtsmæssigt, at de omfattede sektorer i
stedet bidrager med reduktionerne.
Som med landbrugets re-
duktionsmål og den hø-
jere kvotepris forventes
at indfri 70 pct.-målet
2.3 Anbefalinger: Tre indretninger af CO
2
-
afgiftssystemet
Ekspertgruppens anbefalinger tager udgangspunkt i kommissoriets betingelser.
Det er en central præmis, at de foreslåede modeller skal være omkostningseffek-
tive, medmindre andre forhold taler for at afvige herfra.
Herudover skal Ekspertgruppen inkludere en afgiftsmodel, hvor de samlede skat-
ter ikke stiger, hvilket håndteres ved, at provenuet fra CO
2
-afgiften i den første af
Ekspertgruppens modeller tilbageføres ved lempelser af eksisterende skatter og
afgifter. Her har Ekspertgruppen vurderet lempelser af selskabsskatten og elaf-
giften.
Dette afsnit præsenterer tre forskellige indretninger af afgiftssystemet. Konkret
præsenteres tre modeller, der afspejler forskellige vægtninger af klimalovens (og
kommissoriets) guidende principper. Det vurderes ikke muligt at finde én perfekt
model, der på tilfredsstillende vis opfylder alle principperne. I stedet præsenteres
forskellige veje til at nå 70 pct.-målet. Tilsammen viser afgiftsmodellerne en af-
vejning af forskellige og til en vis grad modstridende hensyn,
jf. figur 2.5.
Derved
bliver det i sidste ende et politisk valg, hvordan de forskellige hensyn vægtes, og
hvordan arkitekturen for et CO
2
-afgiftsystem indrettes.
Ekspertgruppens model-
ler er i udgangspunktet
omkostningseffektive
Det inkluderer en model,
hvor de samlede skatter
og afgifter ikke stiger
Kapitlet her præsenterer
tre indretninger af af-
giftssystemet med afvej-
ning af forskellige hen-
syn
KEF, Alm.del - 2021-22 - Bilag 161: Grøn skattereform (første delrapport)
2525505_0022.png
Grøn
skattereform
Side 21
Side 21
Figur 2.5 Afvejning mellem klimalovens guidende principper
Rapporten belyser - ud over de tre modeller - en række supplerende modeller for
indretningen af afgiftssystemet, bl.a. modeller med både højere og lavere ambiti-
onsniveauer,
jf. kapitel 4.
Rapporten inkluderer
også en række supple-
rende modeller
2.3.1 Overblik over de tre afgiftsmodeller
De tre afgiftsmodeller, hvis indretning er uddybet i
boks 2.1,
viser konsekven-
serne ved forskellige vægtninger af klimalovens hensyn.
Den første afgiftsmodel har en ensartet CO
2
-afgift og vægter dermed lave sam-
fundsøkonomiske omkostninger højt, da de største reduktioner for en given om-
kostning opnås ved en ensartet beskatning af alle CO
2
-udledninger. Provenuet
anvendes til at lempe selskabsskatten, som sænker de samfundsmæssige om-
kostninger yderligere.
Den første afgiftsmodel indebærer dog også risiko for betydelig produktionsned-
gang og medfølgende lækage i de CO
2
-intensive brancher. Derfor søger afgifts-
model 2 at reducere dette ved en lavere afgift for mineralogiske processer mv.,
som vurderes særligt lækageudsatte. For at opnå samme CO
2
-reduktion anven-
des afgiftsprovenuet til en tilskudspulje til CCS. Det øger de samfundsøkonomi-
ske omkostninger og bruger provenuet, men leder modsat til en større andel tek-
niske reduktioner.
Den tredje afgiftsmodel benytter yderligere finansiering på 0,5 mia. kr. til at redu-
cere den generelle CO
2
-afgiftssats og forhøje tilskudspuljen til CCS, så der på
Afgiftsmodellerne viser
forskellige vægtninger af
klimalovens hensyn
I model 1 er omkost-
ningseffektivitet vægtet
højt
I model 2 tages hensyn
til lækage inden for mine-
ralogiske processer mv.
I model 3 benyttes ekstra
finansiering til at tage
hensyn til erhvervsbe-
lastning og lækage
KEF, Alm.del - 2021-22 - Bilag 161: Grøn skattereform (første delrapport)
2525505_0023.png
Grøn
skattereform
Side 22
Side 22
trods af den lavere afgiftssats opnås samme reduktion. Formålet er at reducere
erhvervsbelastningen og risikoen for lækage generelt.
Boks 2.1
Ekspertgruppens modeller
Fælles for alle tre afgiftsmodeller er, at de indeholder en omlægning af energiafgifterne til
en CO
2
-afgift, udvidelse af afgiftsgrundlaget til områder, der i dag er fritaget for energi- og
CO
2
-afgift, ensretning af afgiftsniveauerne, delvist afgiftsnedslag for kvoteomfattede virk-
somheder, tilskyndelse til negative udledninger samt afskaffelse af det nuværende bund-
fradrag i CO
2
-afgiften. Disse fællestræk i modellerne er uddybet i flere detaljer i afsnit
2.3.2. Derudover indeholder de tre afgiftsmodeller helt overordnet følgende elementer:
Model 1
Billigste reduktioner. En ensartet CO
2
-afgiftssats på 750 kr. pr. ton CO
2
for
virksomheder uden for kvotesektoren svarende til den forventede kvotepris i 2030 og
en afgiftssats på 375 kr. pr. ton CO
2
for virksomheder i kvotesektoren. Der gives der-
udover et tilskud til negative udledninger, som højst kan udgøre afgiftssatsen for ikke-
kvotesektoren. Afgiftsprovenuet tilbageføres bredt til erhvervslivet, fx via en generel
lempelse af selskabsskatten.
Model 2
Delvis håndtering af lækage. En ensartet CO
2
-afgiftssats på 750 kr. pr. ton
CO
2
for virksomheder uden for kvotesektoren svarende til den forventede kvotepris i
2030, en afgiftssats på 375 kr. pr. ton CO
2
for virksomheder i kvotesektoren og en re-
duceret afgiftssats på 100 kr. pr. ton CO
2
for mineralogiske processer mv. Afgiftspro-
venuet anvendes til et tilskud til CCS til reduktioner fra fossile kilder og til negative ud-
ledninger fra biogene kilder (BECCS), hvor tilskudssatsen kan overstige afgiftssatsen
i ikke-kvotesektoren.
Model 3
Yderligere håndtering af lækage. En ensartet CO
2
-afgiftssats på 600 kr. pr.
ton CO
2
for virksomheder uden for kvotesektoren, en afgiftssats på 225 kr. pr. ton
CO
2
for virksomheder i kvotesektoren og en reduceret sats på 100 kr. pr. ton CO
2
for
mineralogiske processer mv. Afgiftsprovenuet samt yderligere finansiering på 0,5
mia. kr. anvendes til et tilskud til fx CCS til reduktioner fra fossile kilder og til negative
udledninger fra biogene kilder (BECCS), hvor tilskudssatsen kan overstige afgiftssat-
sen i ikke-kvotesektoren. Den yderligere finansiering er i beregningerne tilvejebragt
gennem en forhøjelse af bundskatten på 0,05 pct.-point, men det kan alternativt tilve-
jebringes via andre skatter eller omprioriteringer af udgifter.
For de tre modeller medfører afgiftssatserne, at de kvoteomfattede virksomheder ved den
forventede kvotepris på 750 kr. pr. ton CO
2
vil have en samlet betaling fra CO
2
-afgiften og
kvoten på 975-1.125 kr. pr. ton CO
2
afhængigt af modellen.
Det samlede overblik over konsekvenserne af modellerne fremgår af
tabel 2.1,
herunder modellernes konsekvenser for CO
2
-udledningerne i 2025 og 2030, af-
giftssatser, provenumæssige konsekvenser (umiddelbart og efter adfærd) og
samfundsøkonomiske omkostninger. De enkelte modeller og resultaterne uddy-
bes yderligere i de særskilte afsnit.
Boks 2.2
giver et overblik over de vigtigste
begreber til forståelse af modelresultaterne både i tabellen og i gennemgangen
af de øvrige kapitler.
Tabel 2.1 angiver model-
lernes samlede konse-
kvenser
KEF, Alm.del - 2021-22 - Bilag 161: Grøn skattereform (første delrapport)
2525505_0024.png
Grøn
skattereform
Side 23
Side 23
Tabel 2.1. Overblik over konsekvenserne af modellerne
CO
2
-reduktion
(mio. ton)
CCS,
herun-
der ne-
gative
udled-
ninger
0,7
Afgiftssats i
2030 (kr. pr.
ton)
Ikke-
kvote
/kvote
1
Omkostninger
og provenu
(mia. kr.)
Samfundsøko-
nomiske om-
kostnin-
ger/skyggepris
(kr. pr. ton)
4)
Mar-
ginal
2025
2030
Umid-
Sats
Provenu
Gns. (ef-
delbar
minera-
efter
ter kom-
belast-
logi
adfærd
3
) pensation)
ning
2)
375
2,8
0,8
350 (250)
Model 1
(Bil-
ligste reduk-
tioner)
Model 2
(Delvis hånd-
tering af læ-
kage)
Model 3
(Yderligere
håndtering af
lækage)
1,0
3,5
750/
375
750/
375
600/
225
750
0,7
3,5
1,7
100
2,3
0
500 (500)
850
0,6
3,5
2,0
100
1,6
-0,5
500 (525)
875
Anm.: Satser og skyggepriser er afrundet til nærmeste 25 kr. pr. ton CO
2
. Totaler kan afvige fra summen på
grund af afrundinger. Satser vises i 2022-priser, mens provenuvirkninger vises i 2022-niveau. Det er antaget, at
afgifterne løbende indekseres med det generelle prisniveau. Tilbageløbet er regnet under antagelse af fuld
nedvæltning i lønninger,
jf. afsnit 2.4.
CCS indgår som teknisk reduktion. Det er beregningsteknisk antaget, at et
eventuelt mindreprovenu dækkes af en forøgelse af bundskatten, og et eventuelt merprovenu i 2030 anvendes
til en generel nedsættelse af selskabsskatten.
Note 1: For en række afgiftsbaser er der i EU's Energibeskatningsdirektiv indført minimumsenergiafgifter. En sats
på 750 kr. pr. ton CO
2
skal i den forbindelse tolkes som summen af CO
2
- og energiafgiften.
Note 2: Opgjort ekskl. omlægning af rumvarme.
Note 3: Opgjort efter omlægning af rumvarmeafgiften og tilskud til CCS.
Note 4: De samfundsøkonomiske omkostninger er opgjort i faktorpriser.
Kilde: Egne beregninger.
Der er grundlæggende usikkerhed knyttet til de opgjorte effekter i tabellen, her-
under når de fordeles på brancheniveau. Det skyldes først og fremmest usikker-
hed om adfærdseffekterne og den teknologiske udvikling, ligesom der også er
usikkerhed ved de fremskrevne afgiftsgrundlag.
Boks 2.2
Nøglebegreber i forbindelse med modelberegninger
Effektberegninger er fo-
retaget med usikkerhed
Den umiddelbare belastning
defineres som den virkning, en afgiftsændring har på de
CO
2
-udledende virksomheder, inden virksomhederne begynder at ændre adfærd. Den
udregnes som produktet af virksomhedens CO
2
-udledning og afgiftsforhøjelsen.
Provenu efter adfærd
defineres som provenuvirkningen af en afgiftsændring, hvor der er
taget højde for ændringer i adfærd samt skatteændringens effekt på statens øvrige ind-
tægter og udgifter. Det er dette provenu, der kan disponeres til fx lempelser af skatter og
finansiering af tilskud. Provenu efter adfærd kaldes i andre sammenhænge for effekten på
statsfinanserne og provenu efter tilbageløb og adfærd.
Den samfundsøkonomiske omkostning
angiver værdien af det velfærdstab, samfundet
oplever som følge af øget beskatning og tilskud. Den samfundsøkonomiske omkostning
pr. ton CO
2
kaldes også skyggeprisen. Der skelnes imellem den gennemsnitlige skygge-
pris, som dækker over den samlede samfundsøkonomiske omkostning pr. ton reduceret
CO
2
, og den marginale skyggepris, der dækker over den samfundsøkonomiske omkost-
ning ved at reducere ét ton CO
2
mere.
KEF, Alm.del - 2021-22 - Bilag 161: Grøn skattereform (første delrapport)
2525505_0025.png
Grøn
skattereform
Side 24
Side 24
Når der indføres en CO
2
-afgift, kan CO
2
-reduktionerne opgøres i to typer af reduktioner:
tekniske og strukturelle effekter.
Tekniske effekter
dækker over reduktioner, der ikke påvirker produktionsomfanget, men
reducerer udledningerne pr. produceret enhed, fx via energieffektiviseringer, elektrificering,
brændselsskift osv.
Strukturelle effekter
(alternativt erhvervsforskydninger) dækker over reduktioner fra pro-
duktionsnedgang eller udflytning samt evt. grænsehandel. Det sker som følge af, at dan-
ske virksomheder ved en afgiftsforhøjelse er mindre konkurrencedygtige relativt til uden-
landske virksomheder og derfor bliver nødsaget til at sænke eller udflytte deres produk-
tion, eller at CO
2
-intensive produkter bliver dyrere relativt til CO
2
-lette produkter, hvilket får
forbrugerne til i højere grad at flytte deres forbrug mod CO
2
-lette produkter.
Ved beregning af CO
2
-reduktionseffekten af en afgiftsforhøjelse er det lagt til grund, at
man får flest CO
2
-reduktioner pr. krones afgiftsbelastning ved lave afgiftsforhøjelser, hvor-
imod det ved store afgiftsforhøjelser kræver en større afgiftsforhøjelse at reducere med
yderligere ét ton CO
2
. Det er således antaget, at hver krones afgiftsforhøjelse giver
samme procentvise reduktion i CO
2
-udledningerne.
Endvidere forudsættes det, at virksomhederne i et givet år reagerer delvist på den faktiske
afgiftsforhøjelse i året og delvist på den forventede endelige afgift i 2030. Reaktionen på
den faktiske afgift i året giver sig fx til udtryk ved, at virksomheder vil reducere udledning
ved tiltag såsom at spare på energien og justere i produktionsomfanget. Reaktionen på
den forventede endelige afgift vil påvirke virksomhedernes investeringsbeslutninger i fx
energieffektiviserende maskiner, elektrificering mv. Reaktionen på den endelige afgift er
forudsat at starte allerede ved annonceringstidspunktet.
De forskellige begreber og regnemetoder, herunder de enkelte branchers mulighed for
omstilling til mindre CO
2
-intensiv produktion, der ligger til grund for modelberegningerne, er
yderligere uddybet i rapportens dokumentationsnotat
.
2.3.2 Fællestræk for de tre afgiftsmodeller
Som nævnt, er en række fællestræk gennemgående i alle Ekspertgruppens mo-
deller. Det gælder følgende: Omlægning af energiafgifterne, udvidelse af afgifts-
grundlaget, nedslag i afgiften for en del af den forventede kvotepris og tilskud til
negative udledninger samt andre dele som afskaffelse af det nuværende CO
2
-
bundfradrag, gradvis indfasning af afgifterne og løbende indeksering af afgifts-
satserne. Disse elementer adskiller således ikke de tre modeller. Fællestræk-
kene er gennemgås i de næste afsnit.
Omlægning af energiafgifterne til CO
2
-afgift
Fossile brændsler er typisk pålagt energiafgift, og uden for kvotesektoren er fos-
sile brændsler også pålagt CO
2
-afgift,
jf. afsnit 5.1.
Energiafgiften betales i dag
på baggrund af energiindholdet i brændslet og er derfor differentieret på tværs,
når den opgøres pr. ton udledt CO
2
. Det hænger sammen med, at forskellige
energiprodukter har forskelligt CO
2
-indhold.
I modellerne omlægges energiafgifterne (delvist) til en CO
2
-afgift. Det betyder, at
energiprodukter med et højt CO
2
-indhold vil blive beskattet hårdere, mens ener-
giprodukter med et lavt CO
2
-indhold modsat bliver beskattet lempeligere i forhold
til i dag. Især kul og olie har et højere CO
2
-indhold end naturgas. Denne omlæg-
ning vil isoleret set give en mere ensartet CO
2
-beskatning på tværs af brændsler,
En række elementer er
gennemgående i de tre
præsenterede afgiftsmo-
deller
Energiafgifterne er diffe-
rentieret, når de opgøres
pr. ton udledt CO
2
Derfor omlægges energi-
afgifterne til CO
2
-afgifter,
hvilket isoleret set giver
en mere ensartet beskat-
ning
KEF, Alm.del - 2021-22 - Bilag 161: Grøn skattereform (første delrapport)
Grøn
skattereform
Side 25
Side 25
da afgifterne målrettes mod CO
2
i stedet for energiindhold. Konkret foreslås føl-
gende omlægning på de relevante områder:
For energiafgifterne på brændsler til proces i industri og andre erhverv om-
lægges så meget som muligt af energiafgiften til en CO
2
-afgift.
10
Det vil i ud-
gangspunktet være en tilnærmelsesvis fuld omlægning. Det gøres ved, at
energiafgifterne gradvis fjernes, mens en stigende CO
2
-afgift indfases.
For rumvarmeafgifterne, dvs. energiafgifterne for kollektiv og individuel
varme, omlægges en del af energiafgiften til CO
2
-afgift svarende til størrel-
sen på den generelle CO
2
-afgift i ikke-kvotesektoren.
11
CO
2
-afgiften vil såle-
des være ens på tværs af anvendelser. En del af energiafgiften på rum-
varme bevares, da den nuværende afgift overstiger de foreslåede niveauer
for CO
2
-afgiften. Omlægningen indebærer, at de relative priser på forskellige
brændsler til rumopvarmning i højere grad afspejler forskelle i den udledte
mængde CO
2
. Omlægning samt de nærmere konsekvenser for varmesekto-
ren er uddybet i afsnit 3.1.
For brændstofafgifterne på transportområdet (benzin og diesel) sker omlæg-
ningen på samme måde som for rumvarmeafgifterne. Der sker således ikke
en afgiftsstigning for benzin og diesel, men omlægningen sikrer, at den ge-
nerelle CO
2
-afgift gælder på tværs af områderne industri, erhverv mv., rum-
varme og brændstofafgifter. Omlægningen af brændstofafgifter for vejtrans-
port er uddybet i afsnit 3.2.
Procesafgifterne omlæg-
ges mest muligt til CO
2
-
afgifter
Afgifterne på produktion
af kollektiv og individuel
varme omlægges delvist
Brændstofafgifterne om-
lægges også delvist for
at sikre en generel CO
2
-
afgift på tværs
Hertil bemærkes, at det for nuværende ikke er muligt at skønne over effekterne
af en omlægning af rumvarmeafgifterne på affaldsområdet, herunder EU-forplig-
telser for affaldssektoren, kapacitetstilpasning, import, udsortering og genanven-
delsesmål. Det skyldes, at der inden for de seneste år er gennemført en række
ændringer inden for affaldssektoren, der endnu ikke er trådt i kraft. De konkrete
effekter skal derfor undersøges nærmere, herunder samspillet med øvrig regule-
ring. Det vurderes umiddelbart at ligge uden for Ekspertgruppens undersøgelses-
område, og Ekspertgruppen anbefaler, at dette undersøges yderligere særskilt
fra Ekspertgruppens arbejde,
jf. afsnit 3.1.
Overordnet forventes omlægningen at bidrage til en mere ensartet beskatning og
tilskynde til CO
2
-reduktioner. Det forventes imidlertid, at reduktionerne ved selve
omlægningen isoleret set vil være relativt begrænset.
Udvidelse til områder der i dag ikke er afgiftsbelagt
Udledning af CO
2
på en række veldefinerede områder inden for industri, ikke-vej-
gående transport og elproduktion er i dag ikke pålagt energi- eller CO
2
-afgift. Det
Det er ikke muligt at
skønne over effekterne
fra omlægningen på af-
faldsområdet
Det bidrager til en mere
ensartet beskatning,
samt begrænsede reduk-
tioner
En række veldefinerede
områder er i dag fritaget
for afgift
10
I denne sammenhæng dækker proces over energiforbrug i produktionsprocesser i industrien og andre er-
hverv. Det dækker således over energiforbrug i fx fødevareindustrien og gartnerierne, men ikke energiforbrug til
opvarmning i fx husstande. Industri og andre erhverv dækker i denne sammenhæng over (i) almindelig proces
(ETS), (ii) almindelig proces (ikke-ETS), (iii) landbrug mv. (energirelateret), (iv) gartnerier (ETS), (v) gartneri (ikke-
ETS), (vi) mineralogiske processer mv. (energi).
11
Omlægning fra energiafgifter til CO
2
-afgift indrettes, så det sikres, at den sker i overensstemmelse med energi-
beskatningsdirektivets minimumssatser. Med udgangspunkt i det eksisterende energibeskatningsdirektiv inde-
bærer det, at ikke hele energiafgiften kan omlægges, idet der fx skal være en minimumssats.
KEF, Alm.del - 2021-22 - Bilag 161: Grøn skattereform (første delrapport)
Grøn
skattereform
Side 26
Side 26
gælder færgers og fiskeres brændstofforbrug, indenrigsflyvninger, energirelate-
rede (indtil 2025) og ikke-energirelaterede udledninger fra mineralogiske proces-
ser mv., Nordsøens energiforbrug, raffinaderiers udledninger og brug af fossile
brændsler til elproduktion.
Udvidelser hertil vil være et skridt i retning af en mere ensartet CO
2
-afgift, så i
alle modellerne udvides afgiftsgrundlaget for CO
2
-afgiften til disse områder.
Det gældende energibeskatningsdirektiv indeholder en række obligatoriske frita-
gelser for flere af disse erhverv. I forslaget til revision af energibeskatningsdirekti-
vet lægges der op til, at nogle af de obligatoriske fritagelser ophæves,
jf. kapitel
5.
Ved udvidelserne af CO
2
-afgiften er det derfor en forudsætning, at de kan ind-
rettes på en måde, som er EU-medholdelig og ikke strider mod energibeskat-
ningsdirektivet, de obligatoriske afgiftsfritagelser eller øvrige juridiske forpligtel-
ser.
Ensretning af afgiftsniveauer
For at sikre de samfundsøkonomisk billigste reduktioner bør CO
2
-afgiften være
ensartet. Efter omlægningen og udvidelserne ensrettes afgiftsniveauerne derfor
overordnet på tværs af anvendelsesområder i alle modellerne. De konkrete ni-
veauer og den præcise ensretning varierer i de præsenterede
modeller, jf. afsnit
2.3.3-2.3.5.
Der gives et afgiftsnedslag for en del af kvoteprisen
Virksomheder omfattet af EU’s kvotehandelssystem
står for udledning af ca. 5
mio. ton CO
2
ud af de samlede 7,3 mio. ton CO
2
i 2030 fra industri og øvrige er-
hverv, ikke-vejgående transport og elproduktion.
Virksomheder med produktionsprocesser omfattet af kvotehandelssystemet be-
taler ud over eventuelle nationale afgifter også en kvotepris til EU. I den seneste
fremskrivning (primo 2022) skønnes den at udgøre ca. 750 kr. pr. ton CO
2
i 2030.
Derudover tildeles de et antal gratiskvoter for at modvirke lækage ud af EU. An-
delen af gratiskvoter udgør i øjeblikket ca. 40 pct. i gennemsnit, men ventes at
falde fremover.
Set fra et europæisk udgangspunkt vil de billigst mulige reduktioner opnås ved
en ens marginalpris på udledninger i alle EU-lande, hvilket vil indebære et fra-
drag i den nationale afgift for kvotevirksomhederne svarende til kvoteprisen.
Et hensyn til at ligestille alle virksomheder kan ligeledes tilsige, at virksomheder
inden for og uden for kvotesektoren betaler samme CO
2
-pris. Det vil igen sige, at
kvoteomfattede virksomheder tildeles fuldt nedslag for kvoteprisen i den inden-
landske CO
2
-afgift. I modsat retning trækker dog, at flere store udledere i kvote-
sektoren tildeles gratiskvoter og dermed ikke belastes fuldt ud af kvotebetalin-
gen.
Dertil kommer, at Danmark med 70 pct.-målet har påtaget sig en større redukti-
onsforpligtelse end krævet af EU. Det kan tale for, at man lægger vægt på at mi-
nimere Danmarks samfundsøkonomiske omkostning ved at opfylde målet. Fra et
dansk samfundsøkonomisk synspunkt er kvoteprisen en meromkostning ved at
bruge fossile brændsler inden for kvotesektoren. Det skyldes, at danske virksom-
heders betaling for at bruge en ekstra kvote ikke tilfalder den danske statskasse,
CO
2
-afgiften udvides til
disse områder
Udvidelserne skal indret-
tes, så de er forenelige
med bl.a. energibeskat-
ningsdirektivet
CO
2
-afgiften ensrettes på
tværs, hvor den præcise
indretning varierer i mo-
dellerne
Kvoteomfattede virksom-
heder udleder 5 ud af 7,3
mio. ton CO
2
i 2030.
De betaler ud over afgif-
ter en kvotepris, der
skønnes at udgøre 750
kr. pr. ton CO
2
i 2030.
Fra europæisk syns-
punkt bør marginalprisen
være ens på udledninger
i EU
Hensyn til at ligestille
virksomheder kan ligele-
des tilsige samme CO
2
-
pris
Fra et dansk samfunds-
økonomisk perspektiv
bør der dog ikke tages
højde for kvoteprisen
KEF, Alm.del - 2021-22 - Bilag 161: Grøn skattereform (første delrapport)
Grøn
skattereform
Side 27
Side 27
men derimod den udenlandske sælger af kvoten. Denne samfundsøkonomiske
meromkostning inden for kvotesektoren bør som udgangspunkt afspejles i den
pris på brændslerne, som virksomhederne i kvotesektoren konfronteres med. Det
indebærer, at der ikke skal gives nedslag for kvoteprisen i den indenlandske
CO
2
-afgift.
Virksomheder i kvotesektoren er imidlertid blandt de mest CO
2
-intensive, og de-
res omkostninger vil derfor typisk stige forholdsvis mere ved indførelse eller for-
højelse af en CO
2
-afgift. De risikerer derfor at miste markedsandele eller flytte
produktionen til udlandet, hvis de pålægges en høj CO
2
-afgift. I begge tilfælde vil
der ske CO
2
-lækage, idet faldende produktion og udledninger i Danmark helt el-
ler delvist vil blive modsvaret af stigende produktion og udledninger i udlandet.
Derfor taler hensyn til CO
2
-lækage for, at kvoteomfattede virksomheder får lem-
peligere beskatning.
Overvejelser om et nedslag i kvoteprisen skal således ske med afsæt i en afvej-
ning mellem den samfundsøkonomiske billigste løsning, et hensyn til kvoteomfat-
tede virksomheders højere risiko for lækage, en rimelighedsbetragtning om
samme marginalpris for virksomhederne inden og uden for kvotesektoren og et
hensyn til omfanget af gratiskvoter.
Som en sammenvejning af de modstridende hensyn lægger Ekspertgruppen i de
præsenterede modeller til grund, at der gives et delvist nedslag for kvoteprisen
på 50 pct. Kompromiset skal ses i lyset af, at hverken fuldt eller intet nedslag vur-
deres at være optimalt. I afsnit 4.4 er der desuden vist modeller med nedslag for
kvoteprisen på 0 og 100 pct.
Størrelsen af kvotenedslaget skal endvidere ses i lyset af, at størstedelen af ud-
ledningerne er koncentreret i kvotesektoren. For en given reduktionsmålsætning
vil et større nedslag for kvoteprisen indebære, at afgiften skal være mærkbart
højere,
jf. tabel 4.2 i kapitel 4.
Det betyder, at de kvoteomfattede virksomheder i
meget stort omfang selv ville skulle bære byrden ved et højere nedslag.
Tilskyndelse til negative udledninger
En fuldt omkostningseffektiv CO
2
-afgift kræver, at incitamentet til reduktioner er
det samme på tværs af alle aktiviteter, der er omfattet af 70 pct.-målet. Det om-
fatter også negative udledninger, der indgår på lige fod med reduktion af positive
udledninger. Da negative udledninger indgår i 70 pct.-målet, bør de i udgangs-
punktet
tildeles et tilskud (en ”negativ afgift”)
med en sats svarende til CO
2
-afgif-
ten. Det sikrer det samme incitament til at sænke udledningerne overalt, hvorved
reduktionsindsatsen sker, hvor den er billigst. Tilskuddet skal principielt kunne
opnås af alle teknologier, der kan sikre negative udledninger. Det lægges dog til
grund i beregningerne, at det kun er via fangst og lagring af CO
2
fra biogene kil-
der (BECCS), at der sker negative udledninger.
Fra et samfundsøkonomisk perspektiv bør udbetaling af afgiften på negative ud-
ledninger ske via skattesystemet og uden begrænsning, så alle negative udled-
ninger modtager et tilskud svarende til afgiftssatsen. Af hensyn til statens bud-
getsikkerhed kan det dog være nødvendigt at lægge et loft over den samlede ud-
betaling af negative afgifter. I Ekspertgruppens afgiftsmodeller udmøntes tilskyn-
delsen til negative udledninger derfor som en tilskudspulje med et loft. En til-
skudspulje med et fastsat loft kan endvidere understøtte konkurrence og redu-
cere støtteomkostningerne.
Virksomheder i kvote-
sektoren er imidlertid
energiintensive og læka-
geudsatte, hvilket kan
tale for et nedslag.
Et nedslag for kvotepri-
sen er en afvejning mel-
lem alle disse hensyn
Ud fra disse modstrid-
ende hensyn anbefales
et 50 pct. nedslag for
kvoteprisen.
Med en højere kvotened-
slag vil afgiften også
skulle fastsættes tilsva-
rende højere
En fuldt omkostningsef-
fektiv CO
2
-afgift bør have
samme incitament på po-
sitive og negative udled-
ninger
Afgift på negative udled-
ninger bør ske via puljer
KEF, Alm.del - 2021-22 - Bilag 161: Grøn skattereform (første delrapport)
Grøn
skattereform
Side 28
Side 28
Puljen indrettes både med et loft for den samlede pulje og et loft for støtten pr.
ton CO
2
-reduktion. Puljens samlede størrelse er fastsat ud fra et skøn over støt-
tebehovet ved en given støttesats pr. ton reduktion.
Den maksimale støtte pr. ton reduktion fastsættes i Ekspertgruppens første af-
giftsmodel efter CO
2
-afgiften i ikke-kvotesektoren. Dermed sikres to grundlæg-
gende balancer. For det første er det marginale incitament til reduktioner i ikke-
kvotesektoren ens ved positive og negative udledninger. For det andet er incita-
mentet til negative udledninger i kvotesektoren og ikke-kvotesektoren det
samme. Det stemmer overens med, at negative udledninger inden for og uden
for kvotesektoren tæller lige meget i opfyldelsen af 70 pct.-målet, hvorimod nega-
tive udledninger ikke indgår i kvotehandelssystemet. Støttesatsen betyder, at
kvotesektoren vil have et forskelligt incitament til reduktion af positive udlednin-
ger og negative udledninger.
Tilskudspuljen forudsættes udformet som en konkurrencemodel, hvor de billigste
reduktioner pr. ton CO
2
modtager støtte først.
I afvejningen af andre hensyn end omkostningseffektivitet kan tilskudssatsen til
negative udledninger også sættes højere end afgiftsniveauet i ikke-kvotesekto-
ren. Det vil være tilfældet i model 2 og 3, hvor der afviges fra hensynet til om-
kostningseffektivitet for netop at begrænse erhvervsbelastningen og risikoen for
lækage, fordi et højere tilskud gør det muligt at opnå samme reduktion med en
lavere afgiftssats.
Øvrige fællestræk: Afskaffelse af nuværende CO
2
-bundfradrag,
gradvis indfasning og løbende indeksering
Virksomheder med energiintensive produktionsprocesser, der i 2008 ikke var
omfattet af EU’s kvotehandelssystem, modtager i dag et bundfradrag i CO
2
-afgif-
ten. Det blev indført for at sidestille virksomheder uden for EU’s kvotehandelssy-
stem med dem indenfor, der modtager gratiskvoter. Det er typisk mindre, energi-
intensive virksomheder inden for gartnerierhvervet og fødevareindustrien.
I modellerne er det forudsat, at bundfradraget afskaffes. Bundfradraget giver en
begrænset tilskyndelse til reduktioner for de omfattede virksomheder, da det ud-
gør en meget høj andel af afgiften, og overskydende bundfradrag ikke kan udbe-
tales som tilskud. Desuden afspejler det i mindre grad virksomhedernes aktuelle
kompensationsbehov, da bundfradraget er baseret på virksomhedernes udled-
ninger tilbage i enten perioden 2003-2007 eller i 2007. En afskaffelse vil ligele-
des bidrage til et enklere og mere ensartet afgiftssystem.
I de analyserede afgiftsmodeller forudsættes det, at CO
2
-afgiften indfases grad-
vist fra 2025 til 2030 for at give virksomheder tid til at tilpasse sig, herunder på de
områder, som oplever de største afgiftsstigninger.
Konkret forhøjes CO
2
-afgiften for kvoteomfattede sektorer til 75 kr. pr. ton CO
2
i
2025, mens afgiften for de ikke-kvoteomfattede sektorer forhøjes til 350 kr. pr.
ton CO
2
i 2025. Herefter forhøjes alle afgifterne lineært frem mod en ensartet af-
giftssats i 2030. For kvoteomfattede sektorer, der allerede er pålagt en afgift over
75 kr. pr. ton CO
2
i 2025 (gartnerier og alm. proces), fastholdes afgiften, indtil
den generelle afgift for kvoteomfattede virksomheder overstiger denne. Den nøj-
agtige indfasning inklusive den forventede kvotepris er skitseret i
tabel 2.2.
Med loft for samlede
pulje og støtte pr. ton
Støtten pr. ton bør i ud-
gangspunktet maksimalt
svare til CO
2
-afgiftssat-
sen i ikke-kvotesektoren
Puljen indrettes som en
konkurrencemodel
Andre hensyn kan ret-
færdiggøre en højere til-
skudssats som i model 2
og model 3
Bestemte virksomheder
har i dag et bundfradrag i
CO
2
-afgiften
Dette anbefales afskaffet
i modellerne
Afgifterne indfases line-
ært fra 2025 til 2030
Hvor den nøjagtige ind-
fasning fremgår af tabel
2.2.
KEF, Alm.del - 2021-22 - Bilag 161: Grøn skattereform (første delrapport)
Grøn
skattereform
Side 29
Side 29
KEF, Alm.del - 2021-22 - Bilag 161: Grøn skattereform (første delrapport)
2525505_0031.png
Grøn
skattereform
Side 30
Side 30
Tabel 2.2. Indfasning af ensartet CO
2
-afgift i model 1-3
Kr./ton CO2
Model 1
Ikke-kvote
Kvote (inkl. forventet kvotepris)
Model 2
Ikke-kvote
Kvote (inkl. forventet kvotepris)
Mineralogiske processer mv.
(inkl. forventet kvotepris)
Model 3
Ikke-kvote
Kvote (inkl. forventet kvotepris)
Mineralogiske processer mv.
(inkl. forventet kvotepris)
Kilde: Egne beregninger.
350
75 (730)
430
510
590
670
750
135 (805) 195 (885) 255 (965) 315 (1045) 375 (1125)
2025
2026
2027
2028
2029
2030
350
75 (730)
75 (730)
430
510
590
670
750
135 (805) 195 (885) 255 (965) 315 (1045) 375 (1125)
80 (750)
85 (775)
90 (800)
95 (825)
100 (850)
350
75 (730)
75 (730)
400
450
500
550
600
105 (775) 135 (825) 165 (875) 195 (925) 225 (975)
80 (750)
85 (775)
90 (800)
95 (825)
100 (850)
I modellerne er der en reduktionseffekt i 2025, selvom afgifterne først forhøjes
herfra. Som forklaret i boks 2.2 skyldes det, at virksomhederne ud over den fakti-
ske afgift også skønnes at reagere på den forventede fremtidige afgift via fx de-
res investeringsbeslutninger.
Afgiftsindfasningen i modellerne er beregningsteknisk fastlagt lineært fra 2025,
men hvis der er et politisk ønske om det, kan indfasningen også ske hurtigere.
Det vil påvirke omfanget af reduktionerne i 2025, men ikke i 2030.
Afgifterne indekseres desuden løbende med prisudviklingen, for at de ikke udhu-
les af inflation. I modellerne er afgiftssatser og den forventede kvotepris opgjort i
2022-priser.
Der vil dog stadig være
en reduktion i 2025
Politiske ønsker kan til-
sige en hurtigere indfas-
ning end lagt til grund
Afgifterne indekseres lø-
bende
2.3.3 Model 1: Billigste reduktioner
Model 1 er opbygget med udgangspunkt i et omkostningseffektivt system, hvor
der
ud over de nævnte fællestræk
er ensartede CO
2
-afgiftssatser på 750 kr.
pr. ton CO
2
for virksomheder uden for kvotesektoren, 375 kr. for virksomheder in-
den for kvotesektoren og et tilskud på maksimalt 750 kr. pr. ton CO
2
for negative
udledninger.
Satsen på 750 kr. pr. ton CO
2
uden for kvotesektoren er desuden den samme
som den forventede kvotepris i 2030. Det betyder, at kvoteomfattede virksomhe-
der ved den forventede kvotepris på 750 kr. pr. ton CO
2
har en samlet betaling
fra afgiften og kvoten på 1.125 kr. pr. ton CO
2
.
Modellens satser fra afgifterne og kvoten er illustreret i
figur 2.6.
Model 1 tager udgangs-
punkt i et omkostnings-
effektivt afgiftssystem
Hvor satsen uden for
kvotesektoren svarer til
den forventede kvotepris
i 2030
KEF, Alm.del - 2021-22 - Bilag 161: Grøn skattereform (første delrapport)
2525505_0032.png
Grøn
skattereform
Side 31
Side 31
Figur 2.6. Model 1
satser efter omlægning
Kr. pr. ton CO
2
2.500
2.000
1.500
1.000
500
0
CO₂-afgift
Energiafgift
Kvotepris
Samlet afgift inden omlægning (inkl. kvotepris)
Kr. pt. ton CO
2
2.500
2.000
1.500
1.000
500
0
Indenrigsfly
Jernbanen
Benzin
Diesel
Landbrug mv. (ikke-ETS)
Raffinaderier
Færger
Fiskere
Nordsøen
Mineralogi mv. (ikke-energi)
Alm. Proces (ikke-ETS)
Elproduktion
Rumvarme (ikke-ETS)
Landbrug mv. (ETS)
Alm. Proces (ETS)
Transport
Industri
Mineralogi mv. (energi)
El og varme
Anm.: Landbrug mv. dækker over landbrugets energirelaterede udledninger og gartneriernes energiforbrug. De nuværende energiafgifter er omregnet til CO
2
-
afgifter, men for en række afgiftsbaser er der i EU's Energibeskatningsdirektiv minimumsenergiafgifter, så satserne skal i den forbindelse tolkes som summen af
CO
2
- og energiafgiften. Industriens
energiafgift efter omlægning afspejler EU’s Energibeskatningsdirektivs minimumsafgifter. ”Samlet afgift inden omlægning
(inkl.
kvotepris)”dækker
over summen af kvoteprisen (for kvoteomfattede virksomheder) og de indenlandske afgiftssatser, der vil gælde
i 2030 i medfør af den politiske
aftale af december 2020 om en grøn skattereform. Der er ikke medregnet gratiskvoter og bundfradrag. Der er brugt seneste fremskrivning af kvoteprisen på 750
kr. pr. ton CO
2
i 2030 (2022-priser).
Kilde: Egne beregninger.
Modellens afgifter giver anledning til et merprovenu, der i beregningerne tilbage-
føres bredt til erhvervslivet via en generel lempelse af selskabsskatten.
Hovedresultaterne for model 1 fremgår af
tabel 2.3.
Merprovenuet tilbagefø-
res via selskabsskatten
Rumvarme (ETS)
KEF, Alm.del - 2021-22 - Bilag 161: Grøn skattereform (første delrapport)
2525505_0033.png
Grøn
skattereform
Side 32
Side 32
Tabel 2.3. Hovedresultater af model 1
Model 1 Billigste reduktioner: 750 / 375 kr. pr. ton (ikke-kvote/kvote)
CO
2
-reduktioner
2025
2030
- heraf nega-
tive udlednin-
ger
1
Andel af tek-
niske redukti-
oner
1,0 mio. ton
3,5 mio. ton
0,7 mio. ton
Omkostninger og provenu,
2030
Umiddelbar
afgiftsbelastning
Provenu efter ad-
færd
Tilskud (negativ
afgift)
Samfundsøkonomi, 2030
1,3 mia.
kr.
0,9 mia.
kr.
350 kr. pr.
ton
250 kr. pr.
ton
2,8 mia. kr. Omkostning
Omkostning
1,2 mia. kr. (efter kompensa-
tion)
-0,4 mia. kr. Gns. skyggepris
Gns. skyggepris
0,8 mia. kr. (efter kompensa-
tion)
Provenu til kom-
47 pct. pensation (via
selskabsskat)
Anm.: Se tabel 2.1. Hovedresultater efter kompensation er efter tilbageførsel af provenuet via generel lempelse
af selskabsskatten.
Note 1: Angiver de skønnede, negative udledninger fra fangst og lagring af biogene kilder ved en tilskudssats på
750 kr. pr. ton CO
2
.
Kilde: Egne beregninger
Model 1 er den af de tre viste modeller, der medfører de samfundsøkonomisk bil-
ligste reduktioner i industrien mv., da afgiften ud over nedslaget for kvoteprisen
er ensartet.
At reduktionerne er de samfundsøkonomisk billigste betyder, at omkostningerne i
form af tab af økonomisk velfærd (fx tab af velstand eller mindre realløn) for et gi-
vet reduktionsniveau minimeres, hvilket afspejles i en lav skyggepris (samfunds-
økonomiske omkostninger pr. ton reduceret CO
2
). Den samlede samfundsøkono-
miske omkostning er på 1,3 mia. kr. svarende til en gennemsnitlig skyggepris på
350 kr. pr. ton CO
2
, før mulige gevinster fra anvendelse af provenuet er indregnet
og 250 kr. pr. ton CO
2
efter lempelsen af selskabsskatten. Sammenlignet med
andre områder, fx transport, hvor den afgiftsmæssige skyggepris for privatbilisme
udgør i størrelsesordenen 2.000 kr. pr. ton CO
2
, er det meget billige reduktioner
målt i samfundsøkonomisk omkostning.
Det hænger også sammen med, at en stor del af industrien på nuværende tids-
punkt har lave eller ingen afgifter, så selv relativt billige reduktionstiltag ikke på
nuværende tidspunkt er rentable, men vil blive det med højere afgifter.
Modellen skønnes at give 0,7 mio. ton CO
2
reduktion fra negative udledninger,
som forventes at komme fra fangst og lagring af CO
2
(CCS) fra biogasanlæg
samt biomasse- og affaldsværker i varmesektoren.
Udover at modellen giver anledning til omkostningseffektive reduktioner, vurde-
res den også at indebære store konsekvenser for virksomheder med meget CO
2
-
intensiv produktion. Det kan illustreres ved, at kun ca. 47 pct. af de opnåede re-
duktioner skønnes at fremkomme via tekniske effekter, hvoraf en del sikres via
tilskud til negative udledninger (negativ afgift). Det betyder, at over halvdelen (53
pct.) af reduktionerne kommer fra struktureffekter, der dækker over reduktioner
fra produktionsnedgang eller udflytning.
Modellen har lave sam-
fundsøkonomiske om-
kostninger
Især sammenlignet med
andre områder, fx trans-
port, er det samfunds-
økonomisk ’billige’ re-
duktioner
Bl.a. fordi de nuværende
afgifter er lave
0,7 mio. ton skønnes at
komme fra negative ud-
ledninger
Modellen vil indebære in-
denlandsk produktions-
nedgang for CO
2
-inten-
sive virksomheder
KEF, Alm.del - 2021-22 - Bilag 161: Grøn skattereform (første delrapport)
Grøn
skattereform
Side 33
Side 33
Struktureffekter og erhvervsforskydninger behøver ikke nødvendigvis direkte at
resultere i lækage, hvis fx forbruget også ændres som følge af afgiften. Det kan
være tilfældet for dele af den ikke-vejgående transport, som bortfalder ved sti-
gende priser og erstattes af andet forbrug. Store struktureffekter vil dog oftest
være et udtryk for en betydelig lækagerisiko.
Lækage kan også ske gennem en lang række andre kanaler end produktion, der
flytter til udlandet, eller markedsandele, der tabes. Lækage kan fx også fore-
komme gennem kvotehandelssystemet eller via priseffekter på markedet for fos-
sile brændsler. Overvejelser om lækage er uddybet i afsnit 8.2.
De store struktureffekter i model 1 hænger sammen med, at industriens CO
2
-ud-
ledninger er stærkt koncentreret på få store udledere. Når disse virksomheder
har meget store udledninger i forhold til deres størrelse, er deres overskud, om-
kostninger, bruttoværditilvækst (BVT) og antal ansatte forholdsvis begrænsede i
forhold til omfanget af deres CO
2
-udledninger.
12
Det medfører, at disse udledere ved en generel, ensartet CO
2
-afgift ikke nødven-
digvis har et stort overskud til at dække afgiftsbyrden. Afgiften vil tilmed udgøre
en relativt stor forøgelse af deres omkostninger, hvilket
hvis den overvæltes i
prisen - vil give en stor prisstigning. Prisstigningen vil typisk medføre, at efter-
spørgslen efter deres produkter falder, og de derfor må begrænse den inden-
landske produktion, fordi de taber markedsandele til udenlandske konkurrenter
og må lukke ned eller flytte produktionen til udlandet. En større del af det inden-
landske forbrug af de producerede varer vil dermed blive dækket af import, hvil-
ket vil resultere i lækage.
Figur 2.7
illustrerer reduktionerne fra modellen på brancheniveau opdelt på tekni-
ske- og struktureffekter. I figuren angiver den mørke del af søjlerne det procent-
vise fald i CO
2
-udledningen fra fald i produktionen, mens den lysere del angiver
det procentvise fald fra tekniske reduktioner, dvs. fald i udledningen pr. produce-
ret enhed. Derudover er den absolutte reduktion for branchen illustreret på højre
akse.
Reduktionerne fra disse
struktureffekter vil ofte
indebære lækagerisiko
Lækage kan dog komme
fra andre kanaler end ud-
flytning af produktion
Struktureffekterne er et
resultat af meget koncen-
trerede udledninger
Hvor de store udledere
typisk udgør en lille del
af den samlede økonomi
Figur 2.7 viser fordelin-
gen mellem struktur- og
tekniske effekter
12
Bruttoværditilvæksten (BVT) er et mål for værditilvæksten (forøgelsen af værdien af varer eller tjenester) i
samfundet eller i et erhverv, inkl. produktionskatter, men før evt. produktskatter og afgifter.
KEF, Alm.del - 2021-22 - Bilag 161: Grøn skattereform (første delrapport)
2525505_0035.png
Grøn
skattereform
Side 34
Side 34
Figur 2.7. Model 1
andel struktur- og tekniske effekter i forhold til grundlaget
Pct. af udledninger
100
80
60
1,0
40
20
0
0,5
Mio. ton CO
2
2,0
Struktureffekt (pct.)
Teknisk effekt (pct.)
Absolut reduktion (højre akse)
1,5
0,0
Indenrigsfly
Alm. proces
(ikke-ETS)
Alm. proces
(ETS)
Færger
Fiskere
Nordsøen
Raffinaderier
Jernbanen
Transport
Industri
El
Anm.: De grønne diamanter er reduktionen i udledninger i mio. ton (højre akse). Søjlerne dækker over andelen af afgiftskategoriens grundlag, der reduceres
(venstre akse). Tekniske effekter dækker over reduktioner, der ikke påvirker produktionsomfanget, men reducerer udledningerne pr. produceret enhed, fx via
energieffektiviseringer, elektrificering, brændselsskift osv. Struktureffekter dækker over reduktioner fra produktionsnedgang eller udflytning. Det kan ske som følge
af, at danske virksomheder nu er mindre konkurrencedygtige relativt til udenlandske virksomheder og derfor bliver nødsaget til at sænke deres produktion, eller
ved at CO
2
-intensive produkter bliver dyrere relativt til CO
2
-lette produkter, hvilket får forbrugerne til at flytte deres forbrug.
Kilde: Egne beregninger.
Det skønnes, at udledningerne fra cementproduktionen vil falde med over 85
pct., hvoraf tilnærmelsesvis det hele kan tilskrives struktureffekter. Da cement-
produktionen forventes at dække godt 20 pct. af industriens udledninger efter
indregning af en højere kvotepris, udgør det en stor andel af de samlede redukti-
oner. Samme forhold gør sig gældende for flere andre af industriens store udle-
dere, heriblandt raffinaderierne. Det skønnes, at knap 2/3 af reduktionerne kan
henføres til få meget CO
2
-intensive virksomheder inden for netop mineralogiske
processer mv., raffinaderierne og enkelte større kvoteomfattede industrivirksom-
heder.
Dette faktum er på sin vis den ensartede afgiftsmodels styrke, da formålet med
CO
2
-afgiften netop også er at sikre, at CO
2
-intensiv produktion erstattes af min-
dre CO
2
-intensiv produktion. Det er dog samtidig modellens udfordring, da det
medfører en stor risiko for lækage, hvor CO
2
-intensiv produktion (med dertilhø-
rende arbejdspladser) og udledninger blot flyttes til udlandet, så de globale ud-
ledninger er uændrede.
Følgeindustrier og virksomheder, som leverer inputs eller aftager varer fra de
CO
2
-intensive sektorer, kan ligeledes blive mærkbart påvirket af CO
2
-afgiften via
lavere efterspørgsel efter deres produkter eller højere priser på deres inputs.
Hovedparten af reduktio-
nerne i modellen kan
henføres til få CO
2
-inten-
sive brancher
især ce-
mentproduktionen
Det er både modellen
styrke og svaghed, at
CO
2
-intensiv produktion
erstattes af mindre CO
2
-
intensiv produktion
Følgeindustrier kan også
blive ramt
Belastningen som andel
af BVT viser også, at en-
kelte områder rammes
hårdt.
Tilskud til negati
-ve udledninger
Tilskud
Mineralogi mv.
(øvrige)
Gartnerier
(ikke-ETS)
Mineralogi
(cement)
Landbrug mv.
Elproduktion
Gartnerier
(ETS)
KEF, Alm.del - 2021-22 - Bilag 161: Grøn skattereform (første delrapport)
2525505_0036.png
Grøn
skattereform
Side 35
Side 35
Erhvervsbelastningen og de deraf følgende struktureffekter afhænger i høj grad
af udledningernes størrelse i forhold til værditilvæksten.
Figur 2.8
illustrerer såle-
des dels den absolutte belastning fordelt på sektorer, dels belastningen i forhold
til BVT. Det ses, at det særligt er færger, fiskeriet, mineralogiske processer mv.
(primært cementproduktionen) og raffinaderierne, der belastes af CO
2
-afgiften i
model 1. Især cementproduktionen er betydeligt mere belastet end alle de andre
områder.
Erhvervsbelastningen er her opgjort efter tilpasning. For brancher, hvor en stor
del af tilpasningen og reduktionerne kan henføres til produktionsnedgang, vil den
umiddelbare belastningen være betydeligt højere. Det gør sig fx gældende for
cementproduktionen, raffinaderierne og fiskere, hvor belastningen før tilpasning
er markant højere relativt til de brancher, der har en mindre produktionsnedgang.
Selv når belastningen er
opgjort efter tilpasning
Figur 2.8. Model 1
Erhvervsbelastning efter tilpasning opgjort i mio. kr. og i forhold til BVT
Mio. kr.
600
500
400
60
300
40
200
100
0
20
0
Belastning, mio. kr. (venstre akse)
Belastning ift. BVT, pct. (højre akse)
Pct.
100
80
Indenrigsfly
Alm. proces
Gartnerier mv.
Fiskere
Jernbanen
Færger
Raffinaderier
Nordsøen
Mineralogi
(cement)
Mineralogi
(øvrige)
Transport
Landbrug mv.
Industri
Anm.: Belastningen er opgjort efter tilpasning, som forklaret i boks 2.4, og i 2022-priser.
Kilde: Egne beregninger.
Modellens samlede konsekvenser for særligt CO
2
-intensive erhverv kan udfordre
ønsket om at være et foregangsland, der skal inspirere resten af verden, hvis kli-
mamålene primært opnås ved at flytte produktion væk fra Danmark. Det kan især
være vanskeligt at forestille sig, at modellen vil inspirere lande med en stor CO
2
-
intensiv industri. Modsat vil en omstilling, der er unødigt samfundsøkonomisk
dyr, heller ikke være foreneligt med ønsket om at være et foregangsland.
Model 1 kan derfor også
udfordre ønsket om Dan-
mark som foregangsland
Elproduktion
El
KEF, Alm.del - 2021-22 - Bilag 161: Grøn skattereform (første delrapport)
Grøn
skattereform
Side 36
Side 36
Anvendelse af provenu
Model 1 medfører et merprovenu på ca. 0,8 mia. kr. (efter tilskud til negative ud-
ledninger), som kan anvendes til kompensation for erhvervene i form af fx gene-
relle skattelempelser.
Det er grundlæggende vanskeligt inden for det eksisterende skattesystem at til-
bageføre provenuet målrettet de virksomheder, som rammes hårdest af CO
2
-af-
giften. Disse virksomheder vil typisk ikke have en tilsvarende stor skattebetaling
(fra fx selskabsskat) set i forhold til belastningen fra CO
2
-afgiften.
I modellen er det beregningsteknisk forudsat, at provenuet på 0,8 mia. kr. anven-
des til en lempelse af den generelle selskabsskattesats. Det vil i meget begræn-
set omfang tilfalde de CO
2
-intensive virksomheder, men særligt brancher med
store selskabsskattebetalinger, fx den finansielle sektor og medicinalindustrien,
jf. afsnit 4.6.
En selskabsskattelettelse medfører imidlertid, at provenuet fra CO
2
-
afgiften bliver tilbageført til erhvervene som helhed.
En selskabsskattelettelse vil desuden lede til generelt højere produktivitet, som
øger reallønnen. Derfor opnås en samfundsøkonomisk gevinst ved denne an-
vendelse af provenuet. Det skal ses i lyset af, at CO
2
-afgiften isoleret set inde-
bærer samfundsøkonomiske omkostninger. For model 1 sænkes de samlede
samfundsøkonomiske omkostninger fra 1,3 mia. kr. til ca. 0,9 mia. kr. ved at an-
vende provenuet til en lempelse af selskabsskatten.
De samlede ændringer skønnes ikke at have betydelige fordelingsmæssige kon-
sekvenser,
jf. afsnit 2.4.
Det kan alternativt overvejes at anvende provenuet til lempelser målrettet hus-
holdninger, fx den almindelige elafgift, som er høj og ikke målrettet nedbringelse
af CO
2
. Det er primært husholdningerne, der vil få gavn af en lavere elafgift,
mens ikke-momsregistrerede erhverv mv. (fx den finansielle sektor) dog også er
omfattet. Forslaget skal ses i sammenhæng med, at en CO
2
-afgift i sidste ende
bæres af husholdningerne,
jf. afsnit 2.4,
og at der i Ekspertgruppens forslag ind-
føres en afgift på elproduktionen, som netop er målrettet CO
2
-udledningen.
En lempelse af den almindelige elafgift vil isoleret set reducere de reale ind-
komstforskelle, da lavere indkomstgrupper bruger en relativt større del af deres
disponible indkomst på forbrug af el.
Konklusion vedrørende model 1
Sammenfattende viser ovenstående analyse af model 1, at en ensartet CO
2
-af-
gift er et samfundsøkonomisk særdeles effektivt instrument, men også at en stor
del af CO
2
-reduktionerne i industrien ved denne afgiftsmodel fremkommer ved
produktionsnedgang i brancher med stor lækagerisiko.
Analysen viser endvidere, at lækageproblemet ikke kan løses ved at anvende af-
giftsprovenuet til generelle skattelettelser, fx i form af en sænkning af selskabs-
skatten, da det ikke vil være målrettet de hårdest ramte virksomheder. Derfor af-
viger de følgende modeller fra princippet om en helt ensartet beskatning og ind-
drager andet end afgiftssystemet. Modellerne inkluderer instrumenter, som i hø-
jere grad imødekommer ønsket om at tage hensyn til CO
2
-lækage og den eksi-
sterende erhvervsstruktur.
Model 1 medfører et mer-
provenu på 0,8 mia. kr.
Det er dog svært at tilba-
geføre det til de ramte
virksomheder
Det forudsættes derfor,
at provenu føres tilbage
via lempet selskabsskat
En selskabsskat vil med-
føre højere produktivitet
og sænke de samfunds-
økonomiske omkostnin-
ger
Som ikke skønnes at
have fordelingseffekter
Provenu kan alternativt
føres tilbage via lempet
elafgift
Som vil reducere de reale
indkomstforskelle
En ensartet CO
2
-afgift er
et særdeles effektivt in-
strument, men medfører
risiko for lækage
Derfor afviger de øvrige
modeller fra en helt ens-
artet beskatning
KEF, Alm.del - 2021-22 - Bilag 161: Grøn skattereform (første delrapport)
2525505_0038.png
Grøn
skattereform
Side 37
Side 37
2.3.4 Model 2: Delvis håndtering af lækage
Model 1 tager alene hensyn til lækage via det delvise afgiftsnedslag for kvoteom-
fattede virksomheder, der typisk er udsat for lækagerisiko. Model 2 går et skridt
videre for at reducere risikoen for lækage. Ud over de nævnte fællestræk ved
alle modellerne er der fortsat en ensartet CO
2
-afgift på 750 kr. pr. ton CO
2
for
virksomheder uden for kvotesektoren og 375 kr. for virksomheder inden for kvo-
tesektoren. Dertil har mineralogiske processer mv. en reduceret afgiftssats på
100 kr. pr. ton CO
2
, da de vurderes særligt lækageudsatte,
jf. boks 2.3.
Samtidigt
anvendes det fulde afgiftsprovenu til at finansiere tilskud til CCS for at sikre
samme CO
2
-reduktion i 2030 som i model 1.
De fleste kvoteomfattede virksomheder har ved den forventede kvotepris på 750
kr. pr. ton CO
2
en samlet betaling fra afgiften og kvoten på 1.125 kr. pr. ton CO
2
.
Modellens afgiftssatser inkl. kvoteprisen er illustreret i
figur 2.9,
og modellens ho-
vedresultater fremgår af
tabel 2.4.
Figur 2.9. Model 2
satser efter omlægning
Kr. pr. ton CO
2
2.500
2.000
1.500
1.000
500
0
CO₂-afgift
Energiafgift
Kvotepris
Samlet afgift inden omlægning (inkl. kvotepris)
Kr. pr. ton CO
2
2.500
2.000
1.500
1.000
500
0
I model 2 nedsættes sat-
sen for mineralogiske
processer mv., og afgifts-
provenuet anvendes til et
tilskud til CCS
Figur 2.9 viser modellens
afgiftssatser og tabel 2.4
hovedresultaterne
Indenrigsfly
Diesel
Fiskere
Jernbanen
Færger
Benzin
Landbrug mv. (ikke-ETS)
Alm. Proces (ikke-ETS)
Raffinaderier
Nordsøen
Elproduktion
Mineralogi mv. (ikke-energi)
Mineralogi mv. (energi)
Rumvarme (ikke-ETS)
Landbrug mv. (ETS)
Alm. Proces (ETS)
Transport
Anm.: Se figur 2.6.
Kilde: Egne beregninger.
Industri
El og varme
Rumvarme (ETS)
KEF, Alm.del - 2021-22 - Bilag 161: Grøn skattereform (første delrapport)
2525505_0039.png
Grøn
skattereform
Side 38
Side 38
Tabel 2.4. Hovedresultater for model 2
Model 2
Delvis håndtering af lækage: 750 / 375 /100 kr. pr. ton (ikke-kvote/kvote/mineralogi-
ske processer mv.), tilskud til CCS
CO
2
-reduktioner
2025
2030
Heraf negative
udledninger og
CCS-tilskud
Tekniske re-
duktioner
Omkostninger og provenu, 2030
Samfundsøkonomi, 2030
1,8 mia. kr.
1,8 mia. kr.
500 kr. pr.
ton
500 kr. pr.
ton
Umiddelbar
0,7 mio. ton erhvervsbelast-
ning
3,5 mio. ton
Provenu efter ad-
færd
2,3 mia. kr. Omkostning
Omkostning
1,1 mia. kr. (efter kompen-
sation)
1,1 mia. kr. Gns. skyggepris
Gns. skyggepris
0 mia. kr. (efter kompen-
sation)
1,7 mio. ton
Tilskud
Provenu til yderli-
gere kompensa-
70 pct.
tion (via sel-
skabsskat)
Anm.: Se tabel 2.1.
Kilde: Egne beregninger.
Idet mineralogiske processer mv. får en reduceret afgiftssats, afviger modellen
fra den samfundsøkonomisk billigste.
Prisen for satsreduktionen er isoleret set færre CO
2
-reduktioner. Ved at sænke
satsen for mineralogiske processer mv. fra 375 til 100 kr. pr. ton CO
2
opnås ca. 1
mio. ton CO
2
færre reduktioner. Hvis der skal sikres samme samlede CO
2
-reduk-
tion som i model 1, er der derfor behov for supplerende reduktionstiltag. Redukti-
onerne herfra vil være dyrere og derfor medføre højere samfundsøkonomiske
omkostninger, hvilket er prisen for at reducere lækagerisikoen.
Derfor er der i model 2 lagt til grund, at afgiftsprovenuet anvendes til et yderligere
tilskud til CCS og BECCS (ud over den negative afgift) med henblik på at tilveje-
bringe yderligere tekniske reduktioner og ikke pålægge de øvrige sektorer større
afgiftsbelastning.
Principielt kan den negative afgift og tilskudspuljen til CCS udformes som to se-
parate puljer, men da det kun forventes at være CCS-teknologien, der kan sikre
negative udledninger i de omfattede sektorer, kan puljen også være én samlet
pulje, der omfatter både CCS fra biogene kilder og fra fossile kilder. Der er be-
regningsteknisk taget udgangspunkt i en sådan udformning.
Puljens størrelse øges derfor fra ca. 0,4 mia. kr. i model 1 til ca. 1,1 mia. kr. i mo-
del 2, svarende til at hele afgiftsprovenuet anvendes hertil. Det betyder også, at
den højeste støttesats pr. ton CO
2
er højere.
Sammenlignet med modellen med ensartede satser (model 1) øges andelen af
tekniske reduktioner fra ca. 47 pct. til ca. 70 pct., og de strukturelle effekter bliver
tilsvarende reduceret. Det skyldes, at tekniske effekter fra CCS for biogene og
fossile kilder på i alt ca. 1,7 mio. ton CO
2
erstatter tilsvarende reduktioner fra mi-
neralogiske processer mv., der i væsentlig grad skyldes struktureffekter.
Det må forventes, at tilskuddet til CCS kan tilfalde store punktu
dledere i industrien. Tilskuddet bidrager således til at sikre flere
reduktioner i industrien, end hvad der forventes via afgiften alene.
Modellen er mindre om-
kostningseffektiv
Satsreduktionen giver
isoleret set lavere reduk-
tionsniveau
For at sikre reduktio-
nerne bruges provenuet
på tilskud til CCS
Som kan indrettes som
en samlet pulje med til-
skud til negative udled-
ninger
Med en pulje der udgør
1,1 mia. kr.
Modellen øger den tekni-
ske andel af reduktioner
fra 47 pct. i model 1 til 70
pct. i model 2
Tilskud til CCS må for-
ventes at tilfalde store
punktudledere
KEF, Alm.del - 2021-22 - Bilag 161: Grøn skattereform (første delrapport)
2525505_0040.png
Grøn
skattereform
Side 39
Side 39
Når en del af reduktionerne tilvejebringes via et tilskud til CCS, bliver de sam-
fundsøkonomiske omkostninger væsentligt højere end i model 1. Omvendt tager
tilskuddet og den nedsatte afgift for mineralogiske processer mv. hensyn til CO
2
-
lækage og den eksisterende erhvervsstruktur.
Reduktionerne og erhvervsbelastningen fra alle de øvrige sektorer er uændrede
sammenlignet med model 1,
jf. figur 2.10 og figur 2.11,
da disse sektorer betaler
samme afgift som i model 1 og ikke forventes at anvende CCS. Derfor er der i
model 2 fortsat samme høje belastning af bl.a. fiskeriet og raffinaderierne.
Derudover bemærkes, at brancheopdelingen i visse tilfælde kan dække over en
stor variation mellem de omfattede virksomheder. Der kan således være meget
CO
2
-intensive virksomheder blandt især kvoteomfattet alm. proces, som også får
en høj afgiftsbelastning, selvom branchen som helhed har en lavere gennemsnit-
lig belastning.
Den centrale forskel i forhold til model 1 er således, at afgiftsprovenuet anvendes
til at sikre reduktioner fra tilskud til CCS for at imødegå den lavere sats for mine-
ralogiske processer mv. frem for at kompensere øvrige virksomheder eller lempe
generelle skatter, som ville kunne give anledning til samfundsøkonomiske gevin-
ster.
Boks 2.3
Overvejelser om en afgiftssats på 100 kr. pr. ton CO
2
til mineralogiske processer mv.
Tilskuddet øger de sam-
fundsøkonomiske om-
kostninger, men begræn-
ser lækagerisikoen
For de øvrige brancher er
belastningen dog uæn-
dret
Brancheopdelingen kan
dække over store for-
skelle inden for sektorer
Samtidig er der ikke pro-
venu til øvrig tilbagefør-
sel
I mineralogiske processer mv. er der produktionsformer, hvor både energiforbruget og
selve processerne udleder store mængder CO
2
. I denne sektor opvarmes fx kalk til høje
temperaturer, hvorved der frigives CO
2
. Når produktionen skal ske ved meget høje tempe-
raturer, kræves et højt energiforbrug, der i dag i overvejende grad dækkes af fossile
brændsler. Sektoren har således en særlig udfordring ved nedbringelse af CO
2
, for selv
ved omstilling til vedvarende energikilder vil der fortsat være procesudledninger, der kun i
et mindre omfang kan reduceres. En reduktion i disse virksomheders CO
2
-udledning kræ-
ver derfor både et skifte i brændselsforbrug samt en udvikling af nye produkttyper.
Mineralogiske processer mv. er desuden en del af den kvotebelagte sektor og skal der-
med tilkøbe kvoter på baggrund af udledning. Virksomheder inden for mineralogiske pro-
cesser mv. modtager et væsentligt antal gratiskvoter, hvorved de ikke fuldt ud bærer kvo-
teomkostningerne. Gratiskvoter tildeles den energiintensive del af industrien, der af EU
vurderes at være særligt udsat for lækage i forbindelse med produktion uden for EU. Hertil
kommer, at der i sektoren er en høj grad af konkurrence, og at sektoren vil blive stillet rin-
gere i forhold til konkurrenter fra andre EU-lande, der ikke er underlagt både CO
2
-afgift og
kvoteomkostninger.
Ekspertgruppen har noteret sig, at der er igangsat en række særskilte initiativer i sektoren
med det formål at reducere udledningerne, fx energieffektivisering og udvikling af mindre
klimabelastende produktioner. Det vurderes dog, at en markant sænkning af udlednin-
gerne fra fx cementproduktion vil forudsætte indførelse af CCS. Herved frigives CO
2
-kvo-
ter, der kan sælges til virksomheder i andre EU-lande, hvilket sænker den samfundsøko-
nomiske omkostning ved indførelse af CCS i kvotesektoren.
KEF, Alm.del - 2021-22 - Bilag 161: Grøn skattereform (første delrapport)
2525505_0041.png
Grøn
skattereform
Side 40
Side 40
Figur 2.10. Model 2
struktureffekter og tekniske effekter på udledningerne
Pct. af udledninger
100
Struktureffekt (pct.)
Teknisk effekt (pct.)
Absolut reduktion (højre akse)
Mio. ton CO
2
2,0
80
1,5
60
1,0
40
0,5
20
0
0,0
Indenrigsfly
Alm. proces
(ikke-ETS)
Alm. proces
(ETS)
Færger
Fiskere
Jernbanen
Raffinaderier
Nordsøen
Mineralogi mv.
(øvrige)
Elproduktion
El
Gartnerier
(ikke-ETS)
Mineralogi
(cement)
Transport
Anm.: Se figur 2.7
Kilde: Egne beregninger.
Industri
Tilskud
Tilskud til CCS
Landbrug mv.
Gartnerier
(ETS)
KEF, Alm.del - 2021-22 - Bilag 161: Grøn skattereform (første delrapport)
2525505_0042.png
Grøn
skattereform
Side 41
Side 41
Figur 2.11. Model 2
Erhvervsbelastning efter tilpasning opgjort i mio. kr. og i forhold til BVT
Mio. kr.
600
500
400
60
300
40
200
100
0
20
0
Belastning, mio. kr. (venstre akse)
Belastning ift. BVT, pct. (højre akse)
Pct.
100
80
Indenrigsfly
Alm. proces
Fiskere
Jernbanen
Færger
Gartnerier mv.
Raffinaderier
Nordsøen
Mineralogi
(cement)
Mineralogi
(øvrige)
Landbrug mv.
Transport
Industri
Anm.: Se figur 2.8.
Kilde: Egne beregninger
Der er forskellige alternativer til at reducere lækage og opnå det samme redukti-
onsniveau. I stedet for at anvende tilskud til CCS som et supplerende reduktions-
tiltag, kunne de øvrige afgiftssatser blot forhøjes. Alternativt kunne der indføres
et bundfradrag for at mindske risikoen for lækage, hvormed de højere afgifter på
også mineralogiske processer kan bevares. Disse veje er dog fravalgt. I det føl-
gende gennemgås først tilskud til CCS og derefter uddybes de fravalgte alternati-
ver.
Tilskud til CCS
I model 1 forventes, at tilskuddet til negative udledninger (”negativ afgift”) kan
give tilstrækkelig tilskyndelse til, at fx en række biogasanlæg vil tage CCS-tekno-
logi i brug, da der i forvejen udskilles CO
2
ved opgradering af rå biogas til natur-
gaskvalitet, hvilket reducerer omkostningerne ved fangst og lagring på dette om-
råde.
For store fossile punktkilder inden for industrien vurderes det imidlertid, at den
pågældende CO
2
-afgift ikke i sig selv er tilstrækkelig til at sikre indførelse af
CCS, da omkostningerne ved CCS-teknologien er højere end afgiftsbesparelsen.
Selv hvis afgiften sættes tilstrækkelig højt, vil konkurrenceudsatte virksomheder
ikke kunne bære omkostningen. Derfor vurderes tilskud til CCS at være nødven-
digt for at få teknologien i spil på dette område.
Der er forskellige alterna-
tiver til at reducere læ-
kage og opnå reduktio-
nerne alligevel
I model 1 forventes fx
biogasanlæg at tage CCS
i brug
Dog kræver det yderli-
gere tilskud for store fos-
sile kilder
Virksomheder inden for
mineralogiske processer
mv. forventes at kunne få
gavn af tilskuddet
Elproduktion
El
KEF, Alm.del - 2021-22 - Bilag 161: Grøn skattereform (første delrapport)
Grøn
skattereform
Side 42
Side 42
Med CCS kan der opnås betydelige reduktioner fra CO
2
-intensive virksomheder
med mindre risiko for produktionsnedgang, fordi udledningerne fanges og lagres.
Idet CCS-teknologien primært finder anvendelse ved større punktkilder og med
den højere kvotepris forventes mineralogiske processer mv., herunder cement-
produktionen, at kunne få gavn af tilskuddet.
En potentiel ulempe ved et målrettet tilskud til CCS er, at andre konkurrencedyg-
tige og billigere teknologier i industrien i mindre grad tages i brug. I industrien for-
ventes CCS dog især på områder, hvor en høj afgift blot ville begrænse produkti-
onen. Endvidere må det forventes, at en meget stor del af tilskudspuljen går til
enkelte virksomheder. Der vil i puljedesignet skulle tages højde herfor, fx gen-
nem en såkaldt
åben bog-forhandling,
hvor vinderen fremviser sine økonomiske
forudsætninger for projektet for at reducere risikoen for overkompensation.
CCS er derudover fortsat en uprøvet teknologi i større skala i Danmark. Der skal
i forbindelse med udmøntning af eventuelle midler til CCS overvejes sammen-
hæng til allerede afsatte midler til CCS i forhold til effekter og udviklingen i om-
kostninger mv., ligesom det kan være nødvendigt at sikre en vis risikodeling mel-
lem staten og støttemodtagere. Ved beregningen af effekten af tilskuddet til CCS
er det forudsat, at tilskudspuljen lægges oven i de puljemidler, der allerede er af-
sat til denne teknologi.
Det bemærkes, at der statsstøtteretsligt kan være begrænsninger på den maksi-
male støtteandel til anlægsomkostningerne, hvilket der ikke er taget højde for i
modellen. Kombinationen af tilskud til CCS og nedslag for mineralogiske proces-
ser mv. vil skulle udformes i overensstemmelse med statsstøttereglerne.
Et alternativ: Højere CO
2
-afgifter for nogle sektorer
Afgiftslempelsen for mineralogiske processer mv. fører alt andet lige til en lavere
CO
2
-reduktion i 2030. Som et alternativt instrument til at øge reduktionerne har
Ekspertgruppen undersøgt konsekvenserne ved at hæve CO
2
-afgiftssatserne for
de resterende sektorer for derved at opnå tilsvarende reduktioner som i model 1.
Da mineralogiske processer mv. står for en så stor del af reduktionerne i model
1, kræver det mærkbare stigninger i CO
2
-afgiften for de øvrige sektorer eller flere
reduktioner fra den negative afgift. Det nøjagtige niveau afhænger af, om satsen
for tilskuddet til negative udledninger som i model 1 følger med satsen i ikke-kvo-
tesektoren. Hvis tilskudssatsen hæves tilsvarende, skønnes det at kræve en af-
gift på 825 kr. pr. ton CO
2
i ikke-kvotesektoren og en afgift på 450 kr. pr. ton CO
2
i kvotesektoren. En stor del af de yderligere reduktioner vil komme fra tilskuddet
til negative udledninger.
Hvis den maksimale tilskudssats derimod fastholdes på 750 kr. pr. ton CO
2
, vil
afgifterne skulle hæves til 975 kr. pr. ton CO
2
i ikke-kvotesektoren og 600 kr. pr.
ton CO
2
i kvotesektoren svarende til en samlet CO
2
-pris (afgift plus kvotepris) på
1.350 kr. pr. ton i kvotesektoren. De højere afgifter vil øge den umiddelbare er-
hvervsbelastning til 3,3 mia. kr.
Ulempen ved at hæve CO
2
-afgiftssatserne er, at en større del af den samlede
CO
2
-reduktion fremkommer ved erhvervsforskydninger med deraf følgende læka-
gerisiko frem for via tekniske reduktioner. Dette afspejler, at tilskud til CCS er et
meget målrettet instrument til at sikre tekniske reduktioner. Derudover kan det
En potentiel ulempe er at
andre teknologier brin-
ges mindre i spil
Og at store dele af puljen
går til få virksomheder
Samtidig er CCS fortsat
en uprøvet teknologi i
stor skala
Tilskuddet skal udformes
i overensstemmelse med
statsstøttereglerne
Alternativt til tilskuddet
kan afgiftssatserne på
andre områder sættes op
Hvis tilskudssatsen øges
tilsvarende, skal afgiften
øges med 75 kr. pr. ton
Med fast tilskudssats,
skal afgifterne forhøjes
med 225 kr. pr. ton
Højere satser vil derfor
give større erhvervsfor-
skydninger i forhold til
tilskuddet
KEF, Alm.del - 2021-22 - Bilag 161: Grøn skattereform (første delrapport)
Grøn
skattereform
Side 43
Side 43
netop sikre reduktioner inden for mineralogiske processer mv., som kan være bil-
ligere end de yderligere reduktioner, der opnås ved en højere afgiftssats.
Et andet alternativ: Bundfradrag
Et andet muligt alternativ til et tilskud til CCS for at mindske lækage er at tilbage-
føre afgiftsprovenuet til virksomhederne via et aktivitetsbaseret bundfradrag i
CO
2
-afgiften, mens afgiftssatsen kan sættes højere for at sikre samme CO
2
-re-
duktion.
Et aktivitetsbaseret bundfradrag vil betyde, at incitamentet til CO
2
-reduktion er
højt på marginalen (som følge af CO
2
-afgiften), mens den gennemsnitlige CO
2
-
afgiftsbelastning forbliver lav (som følge af bundfradraget). Ved at koble fradra-
get sammen med virksomhedernes aktivitet opnås en sænkning af virksomhe-
dernes marginalomkostninger, som modvirker den omkostningsdrivende effekt af
CO
2
-afgiften.
Et afgiftssystem med en CO
2
-afgift og et aktivitetsafhængigt bundfradrag vil give
et større incitament til (tekniske) CO
2
-reduktioner end et tilsvarende simplere sy-
stem med en lavere CO
2
-afgift uden bundfradrag, hvis den umiddelbare afgifts-
betaling er den samme. Det skyldes, at den marginale afgift i systemet med
bundfradrag vil være højere, hvilket giver et større incitament til at sænke CO
2
-
udledningen pr. produceret enhed. Derfor er der argumenter for, at et system
med høj marginal CO
2
-afgift og bundfradrag giver større CO
2
-reduktioner for en
given påvirkning af erhvervsstrukturen end et simpelt system uden bundfradrag.
I praksis er det dog vanskeligt at indrette et aktivitetsbaseret bundfradrag, så det
virker fuldstændigt efter de teoretiske principper. Hvis et bundfradrag skal have
en virkning på udflytning og erhvervsstruktur, skal det være betinget af, at der
opretholdes erhvervsaktivitet i Danmark. Fradraget kan for eksempel knyttes til
virksomheders fysiske produktion eller til virksomheders værditilvækst. Alt efter
hvilket mål for produktionen bundfradraget baseres på, vil det skabe incitament til
at øge denne aktivitet. Dette er til dels tilsigtet, idet formålet med et aktivitetsba-
seret bundfradrag netop at øge aktiviteten og dermed modvirke erhvervsstruktur-
elle reduktioner. Derudover vil dog også give incitament til at forvride produktio-
nen, så en given virksomhed opnår yderligere udbetaling af bundfradrag. Disse
uhensigtsmæssige forvridninger af virksomheders adfærd vil bl.a. øge de sam-
fundsøkonomiske omkostninger
jf. afsnit 4.5.2.
Dertil kommer administrative udfordringer ved at indfører et aktivitetsbaseret
bundfradrag. En opgørelse af bundfradraget knyttet til fysisk produktion af den el-
ler de varer, som virksomhederne producerer (målt i fx antal, kg, liter), vil i prak-
sis være omkostningstungt og vanskeligt at gennemføre administrativt, særligt
hvis fradraget gives til mere end nogle få virksomheder. Et administrerbart sy-
stem vil derfor skulle indrettes, så tilskuddet gives på et lettere observerbart
grundlag, fx virksomhedernes værditilvækst opgjort på grundlag af momsregn-
skabet. Omkostningen ved et sådant mere simpelt målbart begreb er imidlertid,
at der ikke er en en-til-en sammenhæng mellem marginalomkostningerne og
værditilvæksten.
I rapportens afsnit 4.5.3 er der regnet på afgiftsmodeller med hhv. aktivitetsbase-
rede bundfradrag og lempede afgiftssatser. Disse beregninger bekræfter det teo-
retiske resultat, at en model med bundfradrag sænker de erhvervsstrukturelle ef-
fekter og øger de tekniske reduktioner. Dog indikerer beregningerne også, at de
Et muligt alternativ er et
aktivitetsbaseret bund-
fradrag og højere satser
Et bundfradrag øger inci-
tamentet på marginalen,
mens den gennemsnit-
lige afgift holdes lav
Det kan give større inci-
tament til tekniske reduk-
tioner
I praksis er det dog van-
skeligt at indrette, og det
kan skabe uhensigts-
mæssige forvridninger
og udfordringer ved im-
plementering
I kapitel 4 viser modeller
med et bundfradrag, at
gevinsterne er begræn-
set, selv uden at tage
højde for mulige forvrid-
ninger og administration
KEF, Alm.del - 2021-22 - Bilag 161: Grøn skattereform (første delrapport)
Grøn
skattereform
Side 44
Side 44
kvantitative gevinster er begrænsede sammenlignet med lempede afgiftssatser
og tilskud til CCS. Hertil skal desuden lægges de administrative vanskeligheder
og forvridninger i virksomheders adfærd ved at indføre et bundfradrag i praksis,
som ikke er indregnet i modelresultaterne.
Beregningerne indikerer dermed, at et bundfradrag ikke nødvendigvis er en mere
samfundsøkonomisk optimal og effektiv metode til at reducere risiko for lækage
for de mest CO
2
-intensive og konkurrenceudsatte virksomheder end lempede af-
giftssatser og tilskud til CCS. Ekspertgruppen har derfor vurderet, at dette taler
for, at der ikke indføres et system med aktivitetsbaserede bundfradrag.
Konklusion vedrørende model 2
Ekspertgruppens analyse viser, at en kombination af en reduceret CO
2
-afgifts-
sats for mineralogiske processer mv. og tilskud til CCS i væsentlig grad kan er-
statte CO
2
-reduktioner fra erhvervsforskydninger med tekniske reduktioner. Da
erhvervsforskydninger ofte vil resultere i lækage, vil en sådan indretning af af-
giftssystemet begrænse risikoen for lækage betydeligt. Afgiftsmodeller, hvor til-
skuddet til CCS erstattes af en højere CO
2
-afgift på andre områder end mineralo-
giske processer mv. eller af aktivitetsbaserede bundfradrag, vil ikke sikre en be-
tydeligt større omlægning fra erhvervsforskydninger til tekniske CO
2
-reduktioner.
Derudover risikerer de at indebære en række uhensigtsmæssigheder og imple-
menteringsudfordringer.
Model 2 har dog væsentligt højere samfundsøkonomiske omkostning end model
1, og der er intet provenu til at lette generelle skatter. Dette er prisen for at
sænke lækagerisikoen for udvalgte brancher.
Der vil ligeledes stadig være brancher og virksomheder, der ikke kan anvende
CCS-teknologi og dermed ikke får gavn af tilskuddet eller den nedsatte afgifts-
sats. De vil fortsat stå over for en så høj omkostning som følge af CO
2
-afgiften, at
de i nogle tilfælde vil være i stor risiko for produktionsnedgang eller udflytning.
Hvis man ønsker at kompensere disse virksomheder, er der behov for yderligere
finansiering, der fx kan give mulighed for at reducere afgiftssatsen for enten ud-
valgte brancher eller generelt.
Derfor anbefaler Ekspert-
gruppen heller ikke en
model med bundfradrag
Kombinationen af lavere
sats og en tilskudspulje
mindsker lækagerisiko
for de store udledere
Det giver dog højere
samfundsøkonomiske
omkostninger
Øvrige brancher vil lige-
ledes fortsat stå over for
en høj CO
2
-afgift.
2.3.5 Model 3: Yderligere håndtering af lækage
Hvis der ønskes betydelige reduktioner fra de omfattede områder, og der samti-
dig ikke ønskes store erhvervsforskydninger med risiko for lækage, kan det være
en løsning at lægge yderligere vægt på tilskud. Det vil sikre flere tekniske reduk-
tioner, så der kan fastsættes en lavere CO
2
-afgiftssats med samme reduktionsni-
veau.
En sådan løsning medfører lavere erhvervsmæssige omkostninger og færre er-
hvervsforskydninger, men når reduktioner findes ved en mere omkostningstung
teknologi, øges de samfundsøkonomiske omkostninger. Dertil kommer den sam-
fundsøkonomiske omkostning ved at sikre finansiering af ekstra tilskud via højere
skatter (som kan medføre øgede skatteforvridninger) eller lavere offentlige udgif-
ter på andre områder, der mindsker mulighederne for at tilgodese andre sam-
fundsmæssige hensyn.
Yderligere tilskud og la-
vere satser kan afbøde
virkningerne for er-
hvervslivet
Men det øger de sam-
fundsøkonomiske om-
kostninger og kræver fi-
nansiering ud over af-
giftsprovenuet.
I model 3 benyttes et
yderligere provenu på 0,5
mia. kr.
KEF, Alm.del - 2021-22 - Bilag 161: Grøn skattereform (første delrapport)
2525505_0046.png
Grøn
skattereform
Side 45
Side 45
I det følgende vises en model 3, hvor der ud over afgiftsprovenuet benyttes et
yderligere provenu på 0,5 mia. kr. til tilskud, som gør det muligt at sænke afgifts-
satserne og stadig opnå en CO
2
-reduktion i 2030 på ca. 3,5 mio. tons. Det er be-
regningsteknisk antaget, at provenuet tilvejebringes ved en forøgelse af den
statslige bundskat på 0,05 pct.-point.
Modellen er opbygget med ensartede CO
2
-afgiftssatser på 600 kr. pr. ton CO
2
for
virksomheder uden for kvotesektoren, 225 kr. for virksomheder inden for kvote-
sektoren og 100 kr. pr. ton CO
2
for mineralogiske processer mv.,
jf. figur 2.12.
Relativt til model 2 sænkes CO
2
-afgiften bredt set med 150 kr. pr. ton CO
2
. Det
betyder, at de fleste kvoteomfattede virksomheder ved den forventede kvotepris
på 750 kr. pr. ton CO
2
, har en samlet betaling fra afgiften og kvoten på 975 kr. pr.
ton CO
2
i 2030.
Hovedresultaterne for model 3 fremgår af
tabel 2.5.
Figur 2.12. Model 3
satser efter omlægning
Kr. pr. ton CO
2
2.500
2.000
1.500
1.000
500
0
CO₂-afgift
Energiafgift
Kvotepris
Samlet afgift inden omlægning (inkl. kvotepris)
Kr. pr. ton CO
2
2.500
2.000
1.500
1.000
500
0
Så CO
2
-afgiften kan sæn-
kes bredt set med 150 kr.
Indenrigsfly
Fiskere
Jernbanen
Færger
Benzin
Diesel
Alm. Proces (ikke-ETS)
Landbrug mv. (ikke-ETS)
Raffinaderier
Nordsøen
Elproduktion
Mineralogi mv. (ikke-energi)
Rumvarme (ikke-ETS)
Alm. Proces (ETS)
Landbrug mv. (ETS)
Mineralogi mv. (energi)
Transport
Anm.: Se figur 2.6.
Kilde: Egne beregninger.
Industri
El og varme
Rumvarme (ETS)
KEF, Alm.del - 2021-22 - Bilag 161: Grøn skattereform (første delrapport)
2525505_0047.png
Grøn
skattereform
Side 46
Side 46
Tabel 2.5 Hovedresultater af model 3
Model 3
Yderligere håndtering af lækage: 600 / 225 / 100 kr. pr. ton. (ikke-kvote/kvote/mine-
ralogiske processer mv.), tilskud til CCS
CO
2
-reduktioner
2025
0,6 mio. ton
Omkostninger
Umiddelbar
erhvervsbelast-
ning
Samfundsøkonomi
Omkostning
Omkostning
1,8 mia.
kr.
1,8 mia.
kr.
500 kr. pr.
ton
1,6 mia. kr.
2030
Heraf negative
3,5 mio. ton
Provenu efter
adfærd
1,0 mia. kr.
(efter finansie-
ring)
udledninger og
2,0 mio. ton
CCS-tilskud
Tilskud
Provenu efter
1,4 mia. kr.
Gns. skyggepris
Tekniske re-
duktioner
75 pct.
tilskud (før fi-
nansiering via
bundskat)
Gns. skyggepris
-0,5 mia. kr.
(efter finansie-
ring)
525 kr. pr.
ton
Anm.: Se tabel 2.1.
Kilde: Egne beregninger.
Den yderligere finansiering anvendes i beregningerne til at forhøje tilskuddet til
CCS fra 1,1 mia. kr. i model 2 til 1,4 mia. kr. i model 3. Puljen stiger kun med 0,3
mia. kr., idet de lavere afgiftssatser sænker afgiftsprovenuet, hvorved den sam-
lede belastning af de offentlige finanser bliver 0,5 mia. kr.
Da en endnu større andel af reduktionerne tilvejebringes via tilskud, kan den ge-
nerelle afgiftssats fastsættes lavere. Den lavere sats resulterer i, at erhvervsbe-
lastningen falder med ca. 0,7 mia. kr. til 1,6 mia. kr., og dermed må en række af
de øvrige meget CO
2
-intensive virksomheder forventes at have mindre risiko for
markant produktionsnedgang. Den tekniske andel af reduktionerne stiger ligele-
des fra 70 pct. til 75 pct.
Modellen indebærer til gengæld en yderligere, men dog mindre forøgelse af
skyggeprisen til 500 kr. pr. ton CO
2
(525 kr. inklusive finansieringen via bund-
skat). Forøgelsen af de samfundsøkonomiske omkostninger er altså et resultat
af, at billigere reduktioner fra afgiften erstattes af dyrere reduktioner fra tilskuddet
til CCS.
De ensartede incitamenter fra model 1 forvrides nu endnu mere i model 3, hvor
tilskudssatsen skønnes at være 875 kr. pr. ton CO
2
, mens afgiftssatsen er 600
kr. pr. ton CO
2
. Der vil altså være andre reduktionstiltag end CCS med omkost-
ninger på mellem 600 og 875 kr. pr. ton CO
2
, der ikke foretages, selvom de er
billigere, fordi afgiften er lavere end tilskuddet. Det øger de samfundsøkonomi-
ske omkostninger, hvilket er prisen for at undgå den større erhvervsbelastning og
struktureffekter. Da det må forventes, at de billigste CCS-reduktioner sikres først,
vil de ekstra reduktioner fra at øge puljen også være relativt dyrere.
Det ses ligeledes, at en meget stor andel af de samlede reduktioner er fra til-
skuddet. 2 mio. ton af CO
2
-reduktionerne kan henføres hertil, hvoraf en del kan
henføres til den negative afgift. Modsat kan kun ca. 1,5 mio. ton henføres til
selve afgiften.
Den yderligere finansie-
ring anvendes til højere
tilskud og lavere afgifter
Modellen sænker således
erhvervsbelastningen og
øger den tekniske andel
af reduktionerne
Modellen indebærer en
højere skyggepris
Det er resultatet af, at
CO
2
-afgifterne er mindre
ensartet
En stor del af reduktioner
kommer fra tilskuddet
KEF, Alm.del - 2021-22 - Bilag 161: Grøn skattereform (første delrapport)
Grøn
skattereform
Side 47
Side 47
Idet tilskudssatsen i model 2 og 3 sættes højere end afgiftsniveauet, giver det til-
skyndelse til, at CO
2
’en lagres
(hvor incitamentet er tilskuddet) i stedet for at blive
genanvendt (hvor incitamentet er CO
2
-afgiften). Forskellen mellem afgifts- og til-
skudssats gør det mindre attraktivt at anvende CO
2
’en,
hvilket kan have betyd-
ning for fx produktionen af kulstofholdige Power-to-X-brændstoffer. Kulstofhol-
dige PtX-brændsler vurderes umiddelbart mest relevante inden for skibsfart og
luftfart. De ventes derfor kun i begrænset omfang at kunne tilvejebringe reduktio-
ner omfattet af 70 pct.-målet, da udledninger fra international skibs- og lufttrans-
port, som udgør størstedelen, ikke er omfattet af 70 pct.-målet.
Figur 2.13 illustrerer struktur- og tekniske effekter fra hvert område. Her kan det
også konstateres, at reduktionerne bredt set falder relativt til model 1 og 2, mens
reduktionerne fra tilskuddet til CCS stiger.
Den højere tilskudssats
kan påvirke produktio-
nen af Power-to-X-
brændstoffer, der dog
forventes kun at bidrage
begrænset til 70 pct.-må-
let
Figur 2.13 viser struktur-
og tekniske effekter af
modellen
KEF, Alm.del - 2021-22 - Bilag 161: Grøn skattereform (første delrapport)
2525505_0049.png
Grøn
skattereform
Side 48
Side 48
Figur 2.13. Model 3
struktureffekter og tekniske effekter på udledningerne
Pct. af udledninger
Struktureffekt (pct.)
100
Teknisk effekt (pct.)
Absolut reduktion (højre akse)
Mio. ton CO
2
2,0
80
1,5
60
1,0
40
0,5
20
0
0,0
Indenrigsfly
Alm. proces
(ikke-ETS)
Alm. proces
(ETS)
Fiskere
Jernbanen
Færger
Raffinaderier
Nordsøen
Mineralogi mv.
(øvrige)
Elproduktion
El
Gartnerier
(ikke-ETS)
Mineralogi
(cement)
Gartnerier
(ETS)
Transport
Anm.: Se figur 2.7.
Kilde: Egne beregninger.
Industri
Tilskud
I
figur 2.14
ses, at belastningen falder for alle brancher undtagen for mineralogi-
ske processer mv., som fastholder CO
2
-afgiftssatsen på 100 kr. pr. ton. Der er
stadig en betydelig belastning for især færger, fiskeriet og raffinaderierne, men
den er lavere end i de øvrige modeller. Belastningen er også et resultat af, at
disse brancher er helt fritaget for afgift i dag. Brancheopdelingen kan fortsat
dække over, at enkelte virksomheder rammes relativt hårdere af afgiften, end
hvad de gennemsnitlige tal indikerer. Disse virksomheder vil også belastes min-
dre i model 3 end i de øvrige modeller.
Belastningen for indu-
strien sænkes bredt i
modellen, men enkelte
områder rammes stadig
Tilskud til CCS
Landbrug mv.
KEF, Alm.del - 2021-22 - Bilag 161: Grøn skattereform (første delrapport)
2525505_0050.png
Grøn
skattereform
Side 49
Side 49
Figur 2.14. Model 3
Erhvervsbelastning efter tilpasning opgjort i mio. kr. og i forhold til BVT
Mio. kr.
600
500
400
60
300
40
200
100
0
20
0
Belastning, mio. kr. (venstre akse)
Belastning ift. BVT, pct. (højre akse)
Pct.
100
80
Indenrigsfly
Alm. proces
Jernbanen
Færger
Fiskere
Gartnerier mv.
Raffinaderier
Nordsøen
Landbrug mv.
Transport
Industri
Anm.: Se figur 2.8.
Kilde: Egne beregninger.
CCS vurderes kun relevant for relativt få virksomheder i industrisektoren, hvorfor
stigningen i CCS-puljen må forventes især at tilfalde biomasse- og affaldsværker
i varmesektoren. Mens øvrige brancher i industrien ikke vurderes at få del i selve
tilskuddet, belastes de dog markant mindre via den lavere CO
2
-afgiftssats.
Således kan disponeringen af et tilskud indirekte blive en bred kompensation,
idet CO
2
-afgiftssatsen og dermed erhvervsbelastningen reduceres for alle virk-
somhederne ved en given mængde CO
2
-reduktioner.
Ekspertgruppen har også undersøgt effekten af at anvende de ekstra ca. 0,5
mia. kr. til finansiering af et aktivitetsbaseret bundfradrag frem for finansiering af
øgede tilskud til CCS. Beregninger i rapportens afsnit 4.5 indikerer, at både
struktureffekterne og dermed risikoen for CO
2
-lækage samt de samfundsøkono-
miske omkostninger ikke vil være mærkbart lavere. Dette afspejler, at tilskud til
CCS med de gjorte antagelser om omkostningerne ved denne teknologi sikrer en
stor målretning mod tekniske CO
2
-reduktioner.
Et risikomoment ved model 3 er, at den forudsætter endnu mere omfattende re-
duktioner via en endnu umoden teknologi som CCS. Ekspertgruppen har derfor
overvejet en alternativ tilskudsmodel, hvor en del af støttemidlerne udmøntes fra
en teknologineutral tilskudspulje, hvor alle virksomheder kan søge tilskud til alle
teknologier, som skønnes at kunne sænke CO
2
-udledningen pr. produceret en-
hed. Det vurderes imidlertid, at en meget stor del af støtten fra en sådan pulje vil
gå til CO
2
-reduktioner, der alligevel ville blive foretaget for at undgå den foreslå-
Det yderligere tilskud for-
ventes at tilfalde bio-
masse- og affaldsværker
Tilskud kan dog ses som
indirekte kompensation,
da alle opnår lavere afgift
En model med bundfra-
drag vurderes ikke at
løse udfordringen bedre
Der er dog en risiko ved
CCS, der stadig er en
umoden teknologi, men
en generel pulje vurderes
mindre hensigtsmæssig
Elproduktion
El
Mineralogi
(cement)
Mineralogi
(øvrige)
KEF, Alm.del - 2021-22 - Bilag 161: Grøn skattereform (første delrapport)
Grøn
skattereform
Side 50
Side 50
ede CO
2
-afgift, hvorved støtten kun i begrænset omfang vil sikre additionelle re-
duktioner,
jf. afsnit 6.2.1.
På grund af risikoen for støttespild og de administrative
omkostninger ved at identificere støtteværdige teknologier har Ekspertgruppen
fravalgt en generel tilskudsmodel.
Konklusion vedrørende model 3
Model 3 med reducerede satser og yderligere finansiering af tilskud til CCS giver
en mindre erhvervsbelastning og dermed mindre lækagerisiko bredere i er-
hvervslivet sammenlignet med model 1 og 2. Den ekstra finansiering gør det mu-
ligt at opnå samme CO
2
-reduktioner med lavere afgiftssatser og et højere tilskud
og sikrer, at en større andel af reduktionerne fremkommer ved tekniske tiltag, der
ikke reducerer den indenlandske produktion.
Prisen herfor er en højere skyggepris på CO
2
-reduktionerne, da de ekstra tilskud
må antages at finansiere reduktioner, som i gennemsnit er dyrere end de margi-
nale reduktioner i model 2. Derudover er modellen ikke længere provenuneutral,
og der er ligesom i model 2 ikke et provenu til at kompensere generelt. En stor
del af reduktionerne vil samtidig bero på en stadig umoden teknologi, hvis fremti-
dige omkostninger er usikre.
Model 3 mindsker altså
erhvervsbelastningen og
struktureffekter
Men giver højere skygge-
pris og kræver ekstern fi-
nansiering
2.3.6 Nærmere sammenligning af de tre
afgiftsmodeller
De tre afgiftsmodeller illustrerer de tydelige dilemmaer for indretningen af afgifts-
systemet, herunder de ændringer der sker ved at gå fra en ensartet afgift i model
1 til model 2 og 3, hvor en større del af reduktioner tilvejebringes via tilskud.
For det første stiger de samfundsøkonomiske omkostninger. Model 1 har en gen-
nemsnitlig skyggepris før kompensation på 350 kr. pr. ton CO
2
(250 kr. pr. ton ef-
ter kompensation), som stiger til henholdsvis 500 kr. pr. ton CO
2
og 525 kr. pr.
ton (efter finansiering) i model 2 og 3. Det er et udtryk for, at en mere ensartet
CO
2
-afgift sikrer de samfundsøkonomisk billigste reduktioner, mens tilskuddene i
stedet gives til nogle mindre omkostningseffektive reduktioner.
For det andet falder erhvervsbelastningen fra model 1 til model 3. Når en større
del af reduktionerne sker via tilskud, er det muligt med et lavere afgiftstryk på in-
dustrien, hvilket viser sig i den umiddelbare erhvervsbelastning. Mens den er 2,8
mia. kr. i model 1, reduceres den til 1,6 mia. kr. i model 3.
For det tredje stiger andelen af tekniske reduktioner. Det er ligeledes et direkte
resultat af, at tilskuddet (som i sig selv giver tekniske reduktioner) bidrager med
en større andel, og dermed fortrænger en del af de struktureffekter, CO
2
-afgiften
medfører.
For det fjerde falder afgiftsprovenuet. Mens provenuet til tilbageførsel i model 1
er på 0,8 mia. kr., vendes det i stedet til et finansieringsbehov i model 3 på ca.
0,5 mia. kr.
I sammenligningen af CO
2
-effekter på brancheniveau i
figur 2.15
illustreres disse
pointer også. For mineralogiske processer mv. er det især tydeligt, at bidraget
falder fra model 1 til 2, når der ikke medregnes mulige CCS-reduktioner fra
De tre modeller viser de
centrale dilemmaer
De samfundsøkonomiske
omkostninger stiger fra
model 1 til 3
Omvendt falder erhvervs-
belastningen
Og den tekniske andel af
reduktionerne øges
Men provenuet falder og
giver i model 3 et finan-
sieringsbehov
Effekter på brancheni-
veau illustrerer samme
pointer
KEF, Alm.del - 2021-22 - Bilag 161: Grøn skattereform (første delrapport)
2525505_0052.png
Grøn
skattereform
Side 51
Side 51
denne sektor. Der sker ikke et yderligere fald i udledningerne fra mineralogiske
processer ved overgang til model 3, da satsen fastholdes. For de øvrige bran-
cher er belastningen og dermed reduktionerne uændret fra model 1 til 2, men fal-
der generelt i model 3.
Figur 2.15. Sammenligning af de tre modeller
CO
2
-reduktioner og initiale udledninger
Mio. ton CO
2
2,5
2,0
1,5
1,0
0,5
0,0
Model 1
Model 2
Model 3
Udledninger inden afgift
Mio. ton CO
2
2,5
2,0
1,5
1,0
0,5
0,0
Indenrigsfly
Jernbanen
Fiskere
Gartnerier (ikke-ETS)
Alm. proces (ikke-ETS)
Varme (omlægning)
Færger
Raffinaderier
Nordsøen
Gartnerier (ETS)
Mineralogi mv.
Elproduktion
Alm. proces (ETS)
Transport
Industri
El og varme
Tilskud
Anm.: De grønne diamanter dækker afgiftskategoriens grundlag, dvs. de initiale udledninger i 2030 før indførelsen af de nye afgifter og tilskud, mens søjlerne dækker
over reduktionerne i de forskellige modeller.
Kilde: Egne beregninger.
Tabel 2.6
viser mere detaljerede erhvervsøkonomiske konsekvenser af de tre af-
giftsmodeller. Fælles for alle modellerne er, at de erhvervsøkonomiske konse-
kvenser er størst for Nordsøen, raffinaderierne, cementproduktion, fiskere og
færger.
Boks 2.4
beskriver, hvordan erhvervsbelastningen er beregnet.
I alle modeller er det
samme områder, der har
størst erhvervsbelast-
ning
Tilskud til CCS
Landbrug mv.
KEF, Alm.del - 2021-22 - Bilag 161: Grøn skattereform (første delrapport)
2525505_0053.png
Grøn
skattereform
Side 52
Side 52
Tabel 2.6. Sammenligning af de tre modeller
erhvervsbelastning ekskl.
kompensation
2030
Model 1 / model 2
Belastning
pr. beskæf-
tiget
kr. pr. besk.
Model 3
Belast-
ning pr.
beskæfti-
get
kr. pr.
besk.
100.900
44.500
3.000
86.000
Belast-
ning i
forhold
til. BVT
Pct.
Belast-
ning
Mio. kr.
Transport
Færger
Fiskere
Jernbanen
Indenrigsfly
Industri
Alm. proces
- Føde-, drikke-
og tobaksvarein-
dustri
- Kemisk industri
- Plast-, papir- og
metalindustri
- Bygge og anlæg
- Anden industri
Landbrug mv.
Gartnerier
Nordsøen
Raffinaderier
Mineralogiske
processer mv.
- heraf cement
El og varme
Elproduktion
I alt
100
2.150
(1.900)
50
50
50
150
0
250
50
300
200
350
(100)
150
(50)
350
150
50
50
Belastning i
forhold til BVT
Pct.
Belast-
ning
Mio. kr.
123.800
53.700
4.400
141.000
4,3
6,5
0,9
11,8
300
100
0
50
3,5
5,4
0,6
7,2
1.200
3.200
400
700
0
4.200
14.600
71.400
452.500
24.800
(7.300)
487.100
(188.700)
4.400
1.100
(1.000)
0,2
0,2
0,1
0,1
0,0
1,2
1,7
1,7
6,4
3,1
(0,9)
33,3
(12,9)
0,3
0,2
(0,1)
50
0
0
100
0
200
50
200
150
100
50
500
1.800
200
600
0
2.900
13.600
42.500
289.700
7.300
188.700
0,1
0,1
0,0
0,1
0,0
0,8
1,6
1,0
4,1
0,9
12,9
50
1.350
2.600
700
0,2
0,1
Anm.: De erhvervsøkonomiske omkostninger er beregnet efter tilpasning, dvs. efter at brancherne har tilpasset
deres produktion til de nye afgiftsniveauer. Dermed vil belastningen bestå af den afgiftsbelastning, brancherne
har ved deres nye produktion, samt af de omstillingsomkostninger, som brancherne har haft til at omstille deres
produktion. Belastning er afrundet til nærmeste 50 mio. kr. og belastning pr. beskæftiget til nærmeste 100 kr. pr.
beskæftiget. Totaler kan afvige fra summen af de enkelte brancher på grund af afrundinger. Konsekvenserne for
model 2 er vist i parentes for mineralogiske processer mv. For de øvrige brancher er de erhvervsøkonomiske
konsekvenser ens mellem model 1 og 2. Antal beskæftigede og BVT er 2019-tal og baseret på Danmarks
Statistisks (DST) nationalregnskab. For transporterhvervene (ekskl. fiskeri) har det ikke været muligt at basere
antal beskæftigede og BVT direkte på nationalregnskabet og tallene for disse brancher skal derfor fortolkes med
ekstra forsigtighed. For ”Jernbanen” skyldes det, at nationalregnskabet inkludere toge som et delelement i den
større branche ”Landstransport”. Beskæftigelsen i ”Jernbanen” er derfor baseret på tabel RAS309 fra DST, hvor
beskæftigelsen er lig summen af brancherne ”491000 Passagertransport
med regional-
eller fjerntog”, ”492000
Godstransport med tog” og ”493120 S-togtrafik, metro og andre nærbaner”. BVT i ”Jernbanen” er beregnet som
den samlede BVT i ”Landtransport” ganget med den beskæftigelsesandel, som de tre førnævnte togbrancher
udgør af den samlede beskæftigelse i landtransportbrancherne i RAS309 (branchernekoderne 491000-495000).
For ”Færger” og ”Indenrigsfly” er det ikke muligt at skelne imellem indenrigs-
og udenrigstransport i
nationalregnskabet og i RAS309. For at beregne beskæftigelse for indenrigstransporten i sø- og luftfart er der
derfor gjort brug af tabel SKIB31, SKIB32, FLYV32 og FLYV41 til at beregne andelen af indenrigstransport i sø-
og luftfart for hhv. gods- og passageretransport, og disse andele er gange på beskæftigelsestallene for gods- og
passageretransport for sø- og luftfart i RAS309. Andelen af indenrigsøfart fra fæger i passageretransporten er
baseret på andel biler på hhv. indenrigs- og udenrigsfærgeruter. Beskæftigelsesandelene for indenrigstransport i
hhv. sø- og luftfart er endvidere anvendt til at skønne over BVT for indenrigstransporten i sø- og luftfart. Til at
fordele CO
2
-grundlaget fra afgiftsbaserne ud på brancheniveau er det beregningsteknisk antaget, at CO
2
-
KEF, Alm.del - 2021-22 - Bilag 161: Grøn skattereform (første delrapport)
2525505_0054.png
Grøn
skattereform
Side 53
Side 53
grundlaget fra afgiftsbasen “mineralogiske processer mv.” alene kommer fra nationalregnskabsbrancherne (69-
gruppering) “papirindustri”, “trykkerier mv.”, “plast- og gummiindustri”, “glas- og betonindustri”, “fremst. af metal”,
“metalvareindustri” og “reparation og installation af maskiner og udstyr”.
CO
2
-grundlaget fra afgiftsbasen
“almindelig proces” antages alene at komme fra de øvrige industribrancher og branchen “bygge og anlæg”. For
de resterende afgiftsbaser er der en 1-til-1 sammenhæng med en af brancherne ovenfor. CO
2
-grundlaget for
“almindelig proces” er konkret fordelt ud på disse brancher ud fra nationalregnskabsdata til GrønREFORM, hvor
der kan skelnes mellem kvoteomfattede og ikke-kvoteomfattede CO
2
-udledninger på brancheniveau. Samme
data er brugt til at beregne de nuværende afgiftssatser
for brancherne omfattet af udledningerne fra “almindelig
proces”.*Det er ikke muligt at skønne over transporterhverv grundet manglende data.
Kilde: Egne beregninger.
Boks 2.4
Erhvervsbelastning
De erhvervsøkonomiske konsekvenser beskriver den omkostning, som de afgiftsbelagte
brancher påføres ved CO2-afgiftsstigningerne.
De erhvervsøkonomiske omkostninger er beregnet efter tilpasning, dvs. efter at bran-
cherne har tilpasset deres produktion til de nye afgiftsniveauer. Belastningen efter tilpas-
ning består således af den afgiftsbelastning, brancherne har ved deres nye produktion,
samt de omkostninger, som brancherne har haft til at omstille deres produktion.
I model 1 er belastningen for Nordsøen og cementproduktionen henholdsvis 300
mio. kr. og 150 mio. kr. i 2030, mens belastningen er 350 mio. kr. for færger og
200 mio. kr. for raffinaderierne. Dermed står disse brancher for næsten halvdelen
af den samlede belastning, da de oplever den største afgiftsstigning i forhold til
udgangspunktet og er blandt de mest udledende brancher. Den store belastning
medfører også, at det især er disse brancher, der har de højeste belastninger pr.
beskæftiget og i forhold til BVT, hvilket især er tilfældet for cementproduktionen,
raffinaderier og færger.
Ved model 3 er de overordnede konklusioner de samme, men belastningen er
generelt på et lavere niveau. Mineralogiske processer mv. belastes markant min-
dre grundet den nedsatte CO
2
-afgiftssats i model 2 og 3, mens både raffinaderi-
erne og færger belastes mindre som følge af den generelle CO
2
-afgiftsnedsæt-
telse i model 3. Disse erhverv er fortsat hårdere ramt end de fleste øvrige bran-
cher.
Belastningen af de forskellige brancher kan ligeledes illustreres gennem en
række branchespecifikke indikatorer. De branchespecifikke indikatorer er uddy-
bet i
boks 2.5
og vises i
tabel 2.7.
Boks 2.5
Analyse af belastning vi-
ser, at få udvalgte bran-
cher står for halvdelen af
belastningen i model 1
Mineralogi belastes mindre
i model 2 og øvrige områ-
der belastes mindre i mo-
del 3
Der kan også ses på en
række branchespecifikke
indikatorer
Branchespecifikke indikatorer
De erhvervsøkonomiske konsekvenser, herunder beskæftigelse og BVT, kan bruges som
indikation på, hvor meget brancherne belastes af en CO
2
-afgift relativt til deres bidrag til
dansk økonomi. Alternativt kan belastningen illustreres ved en række branchespecifikke
indikatorer, som kan give en klarere indikation af, hvor meget brancherne faktisk belastes.
Det skal understreges, at resultaterne udelukkende skal fortolkes illustrativt. Nedenstå-
ende beregninger skal desuden ses i lyset af, at der for nogle brancher
blandt andet
gartnerier
er stor spredning i forhold til størrelse, hvilket kan give anledning til uhensigts-
mæssigheder, når der foretages gennemsnitsskøn.
Der vil være en række afledte konsekvenser samt en forventelig geografisk påvirkning. Fi-
skerierhvervet er fx placeret i kystområderne. Det samme gælder for indenrigssøfart.
KEF, Alm.del - 2021-22 - Bilag 161: Grøn skattereform (første delrapport)
2525505_0055.png
Grøn
skattereform
Side 54
Side 54
Tabel 2.7. Udvalgte illustrative erhvervsøkonomiske konsekvenser i ud-
valgte brancher
Erhvervsøkono-
misk indikator
Gns. belastning pr.
Landbrug mv.
bedrift
Gns. belastning pr.
Gartnerier
bedrift
Gns. belastning pr.
Fiskere
erhvervsfisker
Branche
Færger Stigning i billetpris
Indenrigsflyvninger Stigning i billetpris
Model 1 og 2
9.500
52.500
245.000
30
28
Model 3
6.500
47.000
205.000
24
16
Enhed
Kr. pr. bedrift
Kr. pr. bedrift
Kr. pr. erhvervsfi-
sker
Kr. pr. passager
Kr. pr. passager
Anm.: Resultaterne er illustrative og regnet ved , at den umiddelbare afgiftsbelastningen lægges på bedriften,
fiskekutteren eller billetprisen. Resultaterne skal ikke fortolkes som forventede effekter af en CO
2
-afgift.
Kilde: Egne beregninger på baggrund af blandt andet Danmarks Statistik (JORD1, FIREGN1, SKIB31 og
FLYV32).
2.4 Fordelings- og beskæftigelsesvirknin-
ger af en CO
2
-afgift
Dette afsnit beskriver fordelingsvirkningerne af de præsenterede modeller. Det
skal ses i lyset af, at det af klimaloven og kommissoriet fremgår, at indfrielsen af
70 pct.-målet blandt andet skal tage hensyn til den sociale balance i samfundet.
De skønnede fordelingsvirkninger afspejler ministeriernes sædvanlige regneprin-
cipper, og de viste fordelingsvirkninger er i udgangspunktet på lidt længere sigt,
dvs. efter en tilpasning.
Fordelingsvirkningerne af en skat eller afgift afspejler ikke nødvendigvis den for-
melle afgiftsbetaling. En CO
2
-afgift for industrien vil umiddelbart påhvile virksom-
hederne, men virksomheder kan ikke i sig selv bære en afgiftsbyrde. Byrden vil
altid bæres af husholdningerne som enten lønmodtagere, forbrugere eller virk-
somhedsejere. Dette vil således ske gennem lavere lønninger, højere forbruger-
priser eller reducerede afkast for virksomhedens ejere
eller en kombination
heraf.
Beregningsteknisk er det lagt til grund, at en forhøjelse af CO
2
-afgiften for indu-
strien på sigt vil blive nedvæltet på husholdningerne gennem lavere lønninger i
den private sektor. Det skyldes, at størstedelen af industrien er udsat for interna-
tional konkurrence og derfor kun har begrænset mulighed for at overvælte CO
2
-
afgiften i varepriserne eller i overskuddet, da investorerne ellers vil flytte deres in-
vesteringer.
En nedvæltning i lavere lønninger vil først påvirke de ansatte i de berørte sekto-
rer. En del af disse vil søge over i andre erhverv, hvilket vil skabe et nedadgå-
ende lønpres i sektorer, der belastes mindre eller slet ikke af CO
2
-afgiften. Det
generelle lønniveau for den private sektor vil over tid reduceres og have en til-
svarende afsmittende virkning på lønningerne i den offentlige sektor, der tilpas-
ses lønniveauet i den private sektor samt på de satsregulerede overførsler.
Ministeriernes regneprin-
cipper er lagt til grund
for fordelingseffekterne
CO
2
-afgiften påhviler
umiddelbart virksomhe-
derne, men vil i sidste
ende altid bæres af hus-
holdninger
En forhøjelse af CO
2
-af-
giften vurderes primært
at nedvæltes i lavere pri-
vate lønninger
Hvilket vil resultere i et
generelt lavere lønniveau
bredt set i samfundet
KEF, Alm.del - 2021-22 - Bilag 161: Grøn skattereform (første delrapport)
2525505_0056.png
Grøn
skattereform
Side 55
Side 55
Forhøjelsen af CO
2
-afgiften på de berørte områder skønnes efter ministeriernes
regneprincipper ikke i betydelig grad at påvirke indkomstforskellene målt ved
Gini-koefficienten,
jf. tabel 2.8.
13
Hvis afgiftsbelastning alternativt overvæltes i højere forbrugerpriser, vil det bela-
ste husholdninger, der forbruger CO
2
-intensive produkter. Dette forventes også
at fordele sig nogenlunde bredt over indkomstfordelingen, men vil dog belaste
husholdningerne nederst i indkomstfordelingen hårdere grundet højere forbrugs-
kvote.
Antagelserne vurderes generelt rimelige, men der kan være særligt CO
2
-insten-
sive sektorer, fx mineralogiske processer mv. og raffinaderierne, hvor ikke hele
afgiftsbetaling kan nedvæltes i lavere lønninger. På kortere sigt kan en del af den
øgede afgiftsbetaling nedvæltes i virksomhedernes overskud, men på længere
sigt vil den samlede virkning på virksomhedernes afkast være negligerbar.
Tabel 2.8. Virkning på indkomstforskelle af model 1
Selskabs-
skat
-0,6 pct.-
point
Elafgift
-11 øre pr.
kWh
Model 1
inkl. sel-
skabsskat
Model 1
inkl. elaf-
gift
Derfor skønnes ikke be-
tydelige effekter på ind-
komstforskellene
Hvis afgiften overvæltes
i priserne, belastes hus-
holdninger, der forbru-
ger CO
2
-intensive pro-
dukter
For udvalgte sektorer
kan dele af afgiften ned-
væltes i virksomheder-
nes overskud
Model 1
1)
Umiddelbar
belastning
Provenu ef-
ter adfærd
Gini-koeffici-
ent
Mia. kr.
2,6
Mia. kr.
0,8
Pct.-
0,00
point
-1,5
-0,8
0,00
-1,3
2)
-0,7
-0,02
3)
1,0
0
0,00
1,3
0
-0,02
3)
Anm.: Provenuvirkninger er afrundet til 50 mio. kr. Den anførte virkning på indkomstforskellene målt ved Gini-
koefficienten er beregnet under antagelse om fuld nedvæltning i lønninger. Der tages forbehold for
fordelingsvirkninger specielt knyttet til landbrug, mineralogiske processer mv. og Nordsø.
Note 1: Den umiddelbare belastning fra forhøjelse af CO
2
-afgift udgør 2,8 mia. kr. mens omlægning af
rumvarmeafgiften medfører en reduktion af den umiddelbare belastning på ca. 270 mio. kr. tilskud til negative
udledninger udgør desuden -410 mio. kr. af provenuvirkningen efter tilbageløb og adfærd.
Note 2: Umiddelbar provenuvirkning inkl. moms ekskl. elafgift af offentligt forbrug.
Note 3: Elafgift indgår ikke i opgørelsen af den disponible indkomst og påvirker dermed ikke direkte
indkomstforskellene. Den viste virkning på Gini-koefficienten afspejler således en ækvivalent ændring i den
disponible indkomst.
Kilde: Egne beregninger.
Merprovenuet fra CO
2
-afgiften tilbageføres beregningsteknisk via en reduktion af
selskabsskattesatsen på ca. 0,6 pct.-point. En generel reduktion af selskabsskat-
tesatsen antages over tid også nedvæltet via et højere generelt lønniveau, hvor-
med indkomstforskellene målt ved Gini-koefficienten ikke påvirkes i nævnevær-
dig grad,
jf. også figur 2.16.
Til sammenligning medfører en reduktion af den almindelige elafgift en relativt
større ækvivalent forhøjelse af den disponible indkomst for personer med relativt
lave indkomster end for personer med relativt høje indkomster. En reduktion af
En selskabsskattelem-
pelse vil give højere ge-
nerelle lønninger
Mens en reduktion af el-
afgiften vil mindske de
reale indkomstforskelle
13
Indkomstforskellene
opgøres efter ministeriernes regneprincipper ud fra de aktuelle disponible indkomster og
påvirkes derfor i udgangspunktet ikke af eventuelle ændringer i forbrugerpriserne. Fordelingsvirkningerne af æn-
drede priser mv. opgøres derfor i stedet som en såkaldt ækvivalent indkomstændring, der har samme fordelings-
profil som virkningen på husholdningernes aktuelle købekraft. Opgørelsen af fordelingsvirkning som ækvivalente
ændringer af indkomstforskellene er yderligere dokumenteret i
Skatteøkonomisk Redegørelse 2021, kap. 4.
KEF, Alm.del - 2021-22 - Bilag 161: Grøn skattereform (første delrapport)
2525505_0057.png
Grøn
skattereform
Side 56
Side 56
elafgiften skønnes dermed at medføre en ækvivalent reduktion af indkomstfor-
skellene målt ved Gini-koefficienten med ca. 0,02 pct.-point.
Figur 2.16. Virkning af model 1 i pct. af disponibel indkomst
Pct. af disponibel indkomst
0,3
Pct. af disponibel indkomst
0,3
0,2
0,2
0,1
0,1
0,0
0,0
-0,1
-0,1
-0,2
1.
2.
3.
4.
5.
6.
7.
8.
9.
10.
Indkomstdeciler
Elafgift
Selskabsskat
CO₂-afgift
-0,2
Anm.: Virkning i pct. af disponibel indkomst af model 1 for forhøjelse af CO
2
-afgiften for erhverv, en reduktion af
satsen for selskabsskatten med ca. 0,6 pct.-point og en reduktion af den almindelige elafgift med ca. 11 øre/kWh
i 2030. Indkomstdeciler er opgjort på baggrund af familieækvivalerede indkomster i 2018.
Kilde: Egne beregninger
Arbejdsudbuds- og omstillingseffekter af en CO
2
-
afgift
Dette afsnit beskriver arbejdsudbuds- og omstillingseffekter på arbejdsmarkedet
af de præsenterede afgiftsmodeller.
CO
2
-afgiften i modellerne skønnes isoleret set at medføre en beskeden reduktion
i arbejdsudbuddet
14
. Selskabsskattelempelsen i model 1 forventes modsat at
medføre en beskeden forøgelse af arbejdsudbuddet, som samlet set gør ar-
bejdsudbudseffekterne i modellen meget små og tæt på 0. Model 3 omfatter en
forhøjelse af bundskatten, som skønnes at medføre en mindre reduktion af ar-
bejdsudbuddet. Alle tre modeller skønnes derfor at have en meget lille effekt på
arbejdsudbuddet.
En højere CO
2
-afgift vil på sigt ikke reducere beskæftigelsen i nævneværdig
grad, men føre til en mindre omstilling af beskæftigelsen. Omstillingseffekter på
Alle modeller skønnes at
have en meget lille effekt
på arbejdsudbuddet
CO
2
-afgiften vil dog føre
til en mindre omstilling
og ændring af erhvervs-
strukturen
14
Arbejdsudbudsvirkningen antages, på baggrund af de skønnede fordelingsvirkninger, at kunne skønnes med
udgangspunkt i en ækvivalent forhøjelse af satsen for selskabsskatten.
KEF, Alm.del - 2021-22 - Bilag 161: Grøn skattereform (første delrapport)
2525505_0058.png
Grøn
skattereform
Side 57
Side 57
arbejdsmarkedet opstår, når erhvervsstrukturen ændrer sig i industrien. Det sker
dels gennem, at CO
2
-intensive virksomheder nedskalerer eller helt lukker deres
produktion, hvorved arbejdskraften flytter over til mindre CO
2
-intensive virksom-
heder, og dels igennem, at CO
2
-intensive virksomheder nedvælter CO
2
-afgiften i
lavere lønninger, hvormed en del af de ansatte i de berørte virksomheder vil
søge over i andre erhverv.
Forhøjelsen af CO
2
-afgiften skønnes i model 1 samlet set at omstille i størrelses-
ordenen af 4.000 personer på mellemlang sigt (svarende til fx 4-5 år), hvilket
svarer til ca. 0,7 pct. af beskæftigelsen i de berørte brancher,
jf. tabel 2.9.
For
model 2 og 3 omstilles i størrelsesordenen af hhv. 3.200 og 2.300 personer sva-
rende til hhv. 0,5 og 0,4 pct. af beskæftigelsen i de berørte brancher.
De viste omstillingseffekter skal fortolkes som bruttotal, dvs. tallene beskriver det
samlede antal personer, som over tid skifter job pga. forhøjelsen af CO
2
-afgiften.
Da arbejdskraften løbende finder ny beskæftigelse i mindre CO
2
-intensive virk-
somheder, vil det reelle beskæftigelsesfald være væsentlig lavere end omstil-
lingseffekten i de enkelte år. Over tid svarer beskæftigelsesfaldet til de begræn-
sede reduktioner i arbejdsudbuddet, som skønnes at være tæt på 0 og maksi-
malt på 300 personer. Samlet set medfører modellerne hver især, at mindre end
én procent af beskæftigelsen i de berørte brancher skifter job pga. forhøjelsen af
CO
2
-afgiften,
jf. tabel 2.9.
Tabel 2.9. Omstillingseffekter på arbejdsmarkedet for udvalgte brancher
Model 1
Antal
beskæfti-
gede
Landbrug
og
Fiskeri mv.
Forsyning
70.800
Ændring
Pct.
Model 2
Ændring
Pct.
Model 3
Ændring
Pct.
Forhøjelsen af CO
2
-afgift
medfører, at mindre end
én procent i de berørte
brancher skifter job
I modellerne
Tallene skal tolkes som
bruttotal, og beskæftigel-
sen påvirkes væsentligt
mindre inden for de en-
kelte år.
-1.000
-1,5
-1.000
-1,5
-800
-1,1
26.300
-500
-1,8
-500
-1,8
-300
-1,0
Mineralogi
mv.
Øvrig indu-
stri
Indenlandsk
transport
I alt
14.100
-1.000
-7,2
-200
-1,4
-200
-1,4
478.700
-1.000
-0,2
-1.000
-0,2
-600
-0,1
10.200
600.100
-500
-4.000
-4,5
-0,7
-500
-3.200
-4,5
-0,5
-400
-2.300
-3,4
-0,4
Anm.: Beskæftigelsestallene er afrundet til nærmeste 100 personer. Omstillingseffekterne er beregnet ud fra
samme metode, som struktureffekterne for CO
2
-udledning, som beskrevet i rapportens dokumentationsnotat.
Dvs. for de fleste brancher er omstillingseffekterne beregnet ved, at den initiale beskæftigelse er ganget med
(afgiftsbelastning /BVT)*-2,
jf. dokumentationsnotatets afsnit 1.3.3
(i dokumentationsnotatet anvendes BFI frem
for BVT, men ved beskæftigelseseffekterne anvendes BVT pga. manglede data for BFI. BVT og BFI er stort set
ens for de fleste brancher). Data og korrektioner ift. at adskille indenrigstransporten fra udenrigstransporten er
baseret på samme kilder og antagelser som beskrevet i tabel 2.6. Til forskel fra tabel 2.6 er de 20 største
kvoteregistrerede udledere i industrien taget ud af deres respektive nationalregnskabsbranche, og
omstillingseffekterne for disse 20 virksomheder er beregnet på samme fremgangsmåde, som ved brancherne.
Data for beskæftigelse og BVT i de 20 virksomheder er baseret på deres årsregnskaber for 2019.
Landbrug og
Fiskeri mv.
dækker over brancherne
landbrug mv., gartnerier
og
fiskere.
Forsyning dækker over brancherne
nordsøen, raffinaderier
og
elproduktion. Mineralogi mv.
dækker over nationalregnskabsbranchen
Glas- og
KEF, Alm.del - 2021-22 - Bilag 161: Grøn skattereform (første delrapport)
Grøn
skattereform
Side 58
Side 58
betonindustri,
der antages at stå for de samlede udledninger fra mineralogiske prosser mv.
Øvrig industri
dækker
over de øvrige industribrancher i nationalregnskabet, der antages at stå for de samlede udledninger fra alm.
proces. Indenlandsk transport dækker over brancherne
færger, jernbanen
og
indenrigsfly.
Kilde: Egne beregninger
Der er generelt stor usikkerhed om størrelsesordenen på omstillingseffekterne,
men de kortsigtede beskæftigelseseffekter vurderes at være små. Ovenstående
er godt i tråd med undersøgelser fra De Økonomiske Råds Sekretariat, der finder
lignende størrelsesordner på omstillingseffekterne i deres modelsetup,
jf. rappor-
tens dokumentationsnotats afsnit 3.
De Økonomiske Råds Se-
kretariatet finder lig-
nende omstillingseffekter
2.5 Implementerbarhed
Ekspertgruppen har ved udarbejdelse af modellerne lagt stor vægt på, at model-
lerne både administrativt og juridisk kan implementeres i tide til at indfri redukti-
onsmålene i 2025 og 2030. Det er forventningen, at modellerne kan leve op til
dette, idet systemtilretninger og ændringer af administrationen som udgangs-
punkt vurderes at kunne ske i det nuværende afgiftssystem. Der vil dog være be-
hov for at opnå en statsstøttegodkendelse af modellerne for det samlede afgifts-
og tilskudssystem inkl. kompenserende tiltag.
Ekspertgruppen noterer sig endvidere, at kommende ændringer i EU-regulerin-
gen på klima-
og energiområdet, herunder særligt de forslag, der indgår i “Fit for
55“-pakken,
kan få væsentlig betydning for indfrielse af nationale klimamål og
national klima- og energiregulering,
jf. afsnit 5.3.
Overordnet vurderes mo-
dellerne at kunne imple-
menteres
Men de skal overvejes i
forhold til kommende
EU-regulering
2.6 Ekspertgruppens anbefalinger
Ekspertgruppens primære anbefaling i denne rapport er, at man indfører en CO
2
-
afgiftsmodel, der sikrer en samlet reduktion på ca. 3,5 mio. ton i de dele af øko-
nomien, der er omfattet af analysen ovenfor.
Ekspertgruppen ser en reduktion i denne størrelsesorden som nødvendig for at
nå klimalovens målsætning om en 70 pct. reduktion i 2030. Sammen med det
forventede bidrag fra landbrugets reduktionsmål og de forventede effekter af en
højere kvotepris skønnes Ekspertgruppens forslag at lukke reduktionsmankoen i
2030.
Baggrunden for denne anbefaling er, at CO
2
-reduktioner, der helt eller delvis op-
nås via afgiftsinstrumentet, er samfundsøkonomisk billigere end reduktioner, der
alene opnås via tilskud eller direkte regulering. Det skyldes, at en CO
2
-afgift til-
skynder til udnyttelse af information om reduktionsmuligheder, som myndighe-
derne ikke ligger inde med.
Ovenfor er beskrevet tre afgiftsmodeller, der alle skønnes at sikre CO
2
-reduktio-
ner i den anbefalede størrelsesorden. Modellerne er udvalgt, fordi de klart illu-
strerer nødvendigheden af en politisk afvejning mellem klimalovens og kommis-
soriets guidende principper.
Grundlæggende skal der foretages en afvejning mellem CO
2
-reduktioner opnået
via forskydninger af erhvervsaktivitet fra virksomheder med høj CO
2
-intensitet til
virksomheder med lav CO
2
-intensitet og reduktioner opnået via tekniske reduktio-
ner af CO
2
-intensiteten i de enkelte virksomheder.
Ekspertgruppen anbefa-
ler en reduktion på ca.
3,5 mio. ton CO
2
i 2030
Reduktionen ses som
nødvendig for at nå 70
pct.-målet
Afgiftsinstrumentet sik-
rer billigere reduktioner
end anden regulering
Modellerne illustrerer
nødvendigheden af poli-
tiske afvejninger
Især mellem erhvervsfor-
skydninger og omkost-
ningerne ved at øge de
tekniske reduktioner
De billigste reduktioner
med ensartet afgift med-
fører væsentlige er-
hvervsforskydninger
KEF, Alm.del - 2021-22 - Bilag 161: Grøn skattereform (første delrapport)
Grøn
skattereform
Side 59
Side 59
Ekspertgruppens analyser peger entydigt på, at de samfundsøkonomisk billigste
reduktioner opnås gennem en ensartet CO
2
-afgift, men at en ensartet CO
2
-afgift,
der sikrer den anbefalede samlede reduktion, vil medføre betydelige erhvervsfor-
skydninger.
Dermed vil en stor del af den CO
2
-intensive produktion flytte til udlandet, og til-
pasningsomkostningerne ved opfyldelse af de danske klimamål vil blive koncen-
treret på nogle få brancher. Ønsker man at undgå dette, kan man arbejde med
en reduceret CO
2
-afgiftssats for særligt CO
2
-intensive og konkurrenceudsatte
brancher kombineret med tilskud til teknisk omstilling af produktionen, fx via
CCS,
jf. model 2 og 3.
Dermed opnås en omstilling fra reduktioner opnået via er-
hvervsforskydning til tekniske reduktioner, men omkostningen herved er en væ-
sentligt højere samfundsøkonomisk skyggepris pr. ton CO
2
-reduktion.
Ekspertgruppens analyser indikerer, at anvendelsen af afgiftsprovenuet til et
bundfradrag i CO
2
-afgiften ikke samlet set løser denne problemstilling bedre end
nedsatte satser og tilskud. Det afspejler, at tilskuddet til CCS er et meget målret-
tet instrument til at opnå tekniske CO
2
-reduktioner. Derudover er der en række
implementeringsmæssige udfordringer med både et generelt og et målrettet
bundfradrag.
Med forbehold for den store usikkerhed, der er forbundet med den type beregnin-
ger, antyder Ekspertgruppens forskellige afgiftsmodeller størrelsesordenen af det
politiske dilemma.
Ved at vælge model 2 frem for model 1 opnår man at øge andelen af tekniske
CO
2
-reduktioner med ca. 23 pct.-point svarende til knap 0,9 mio. ton. Til gengæld
stiger den samlede samfundsøkonomiske omkostning fra ca. 0,9 mia. kr. (efter
tilbageførsel via selskabsskat) til ca. 1,8 mia. kr., svarende til en samfundsøko-
nomisk omkostning på knap 1.000 kr. (550 kr. ekskl. tilbageførsel via selskabs-
skat) for hvert ton, der omlægges fra reduktioner opnået via erhvervsforskydning
til reduktioner via teknisk omstilling.
Da den tekniske reduktion via tilskud ikke direkte øger virksomhedernes omkost-
ninger, vil denne form for CO
2
-reduktion medføre mindre CO
2
-lækage til udlan-
det. Samtidig må det antages, at en stor del af reduktionen via erhvervsforskyd-
ning, som undgås via tilskuddet, ville have medført tæt på 100 pct. lækage som
følge af danske tab af markedsandele og udflytning af produktion. Den omtalte
samfundsøkonomiske omkostning på 1.000 kr. pr. ton CO
2
(550 kr. pr. ton CO
2
ekskl. tilbageførsel) for omlægningen til tekniske reduktioner kan derfor groft sagt
opfattes som den danske samfundsøkonomiske omkostning ved at forhindre en
stigning i udlandets CO
2
-udledninger på 1 ton og fastholde dansk erhvervsstruk-
tur.
På samme måde kan man beregne, at man ved at vælge model 3 frem for model
1 opnår en omlægning fra CO
2
-reduktioner via erhvervsforskydning til tekniske
reduktioner på i alt ca. 1,0 mio. ton. Den samfundsøkonomiske omkostning for
de yderligere godt 0,1 mio. ton, der omlægges, vil være på knap 700 kr. pr. ton.
Beløbet kan sammenlignes med de 550 kr. pr. ton fra model 1 til 2, hvilket illu-
strerer en stigende marginalpris på at få flere tekniske effekter. På samme måde
kan det opfattes som prisen for at forhindre en stigning i udlandets udledninger
og fastholde dansk erhvervsstruktur.
For at undgå at produkti-
onen flytter til udlandet
kan der arbejdes med en
reduceret sats og tilskud
til teknisk omstilling
Problemstillingen løses
ikke bedre ved et bund-
fradrag
Modellerne kan antyde
størrelsen på det politi-
ske dilemma
Ved overgangen fra mo-
del 1 til 2 er prisen på
550-1.000 kr. pr. ton yder-
ligere teknisk reduktion
Som groft sagt kan opfat-
tes som omkostningen
ved at begrænse 1 ton
udledning i udlandet og
fastholde dansk er-
hvervsstruktur
I model 3 omlægges
endnu mere til teknisk re-
duktion, men til en sti-
gende pris
Erhvervsforskydninger
kan have lokale konse-
kvenser på kort sigt
KEF, Alm.del - 2021-22 - Bilag 161: Grøn skattereform (første delrapport)
Grøn
skattereform
Side 60
Side 60
Da erhvervsforskydninger også indebærer tilpasningsomkostninger for de be-
rørte lokalsamfund og muligvis uønskede geografiske fordelingsvirkninger, kan
de nævnte samfundsøkonomiske omkostninger tolkes bredere som den samlede
samfundsøkonomiske omkostning for at undgå lækage og indenlandske omstil-
lingsomkostninger. Under alle omstændigheder er det en politisk vurdering, om
det danske samfund ud fra disse hensyn bør afholde meromkostninger i denne
størrelsesorden ved at afvige fra den omkostningseffektive model med en ensar-
tet CO
2
-afgift uden yderligere tilskud end til negative udledninger.
Det tilkommer ikke Ekspertgruppen at tage stilling til dette spørgsmål, men det
kan være relevant at pege på, at regeringens klimaprogram fra september 2021
beskriver en lang række reduktionstiltag, der har en væsentligt højere samfunds-
økonomisk skyggepris end de ovennævnte omkostninger på 550-1.000 kr. pr.
ton ved at forhindre en stigning i udlandets CO
2
-udledninger.
Hvis der er villighed til at betale sådanne høje samfundsøkonomiske omkostnin-
ger som angivet i regeringens klimaprogram for at reducere de indenlandske ud-
ledninger, og hvis en reduktion af de udenlandske udledninger tillægges tilnær-
melsesvis samme værdi (da klimaeffekten er den samme, uanset hvor udlednin-
gerne finder sted), peger det på, at Ekspertgruppens modeller 2 og 3
eller lig-
nende modeller, der afviger fra streng omkostningseffektivitet og ensartet afgift
for at modvirke lækage
kan være at foretrække frem for model 1.
Det er ikke Ekspertgrup-
pen opgave at tage stil-
ling til afvejningen
Men ud fra de samfunds-
økonomiske omkostnin-
ger i klimaprogrammet,
kan det pege på, at mo-
dellerne 2 og 3 er at fore-
trække
KEF, Alm.del - 2021-22 - Bilag 161: Grøn skattereform (første delrapport)
2525505_0062.png
Grøn
skattereform
Side 61
Side 61
Omlægning af
energiafgifter for
rumvarme- og vej-
transport
3
KEF, Alm.del - 2021-22 - Bilag 161: Grøn skattereform (første delrapport)
Grøn
skattereform
Side 62
Side 62
3.0 Omlægning af
energiafgifter for
rumvarme- og vej-
transport
I dette kapitel præsenteres Ekspertgruppens anbefalinger for delvis omlægning
af energiafgifter for rumvarme og vejtransport.
3.1 Omlægning af rumvarmeafgiften
I kommissoriet fremgår det, at
“Ved
omlægning fra energiafgifter til CO
2
-afgift
skal der blandt andet tages højde for det fossile indhold (i form af plastik m.m.) i
affaldsmængderne ved affaldsafbrænding til fjernvarme, samt hvordan kul kan
udfases i fjernvarmen. Endvidere skal betydningen af loftet over fjernvarmepri-
sen, fx vedrørende overskudsvarme fra overskudsvarmeleverandører, samt rum-
varmeafgift på individuel og kollektiv rumvarme belyses”.
I dette afsnit uddybes Ekspertgruppens anbefalinger til afgifter på rumvarme i
første delrapport. I modellerne indgår en delvis omlægning af rumvarmeafgiften,
hvor en del af energiafgiften omlægges til en CO
2
-afgift. Afsnittet belyser konse-
kvenser for varmesektoren med fokus på betydning for affald til forbrænding,
fjernvarme, afgiftsdrevne varmepriser samt udfasning af kul.
3.1.1 Nuværende beskatning af rumvarme
Rumvarme omfatter husholdningslignende opvarmning og varmt vand. Det om-
fatter også erhvervenes opvarmning af bygninger, kontorer mv. samt opvarmning
af varmt vand til håndvask, bad mv. Erhvervene står for ca. 20 pct. af det sam-
lede fossile rumvarmeforbrug. CO
2
-udledninger fra rumvarme forventes at ud-
gøre ca. 1,9 mio. ton i 2030, hvoraf udledningerne fra individuel varme forventes
at udgøre ca. 70 pct.
15
Rumvarmeafgiften omfatter i dag alle afgifter af fossile brændsler til varmepro-
duktion, dvs. naturgas, olie, kul og affald. I dag betales både en CO
2
-afgift og
15
Individuel rumvarme er typisk opvarmning med naturaasfyr, oliefyr, individuel varmepumpe eller biomassefyr.
Endvidere omfatter individuel rumvarme bygas.
KEF, Alm.del - 2021-22 - Bilag 161: Grøn skattereform (første delrapport)
2525505_0064.png
Grøn
skattereform
Side 63
Side 63
energiafgift af rumvarme. Desuden betales NO
x
-afgift og i enkelte tilfælde andre
afgifter. Med de gældende energiafgifter og CO
2
-afgiften for rumvarme er den
samlede afgiftsbelastning pr. ton CO
2
ca. 1.170 kr. i gennemsnit på tværs af alle
fossile brændsler i 2030,
jf. figur 3.1.
Det dækker imidlertid over væsentlige for-
skelle.
Figur 3.1. Afgiftsbelastning af fossile brændsler til rumvarme med gældende af-
gifter, 2022-priser
Kr. pr. ton CO
2
3.000
Energiafgift
CO₂-afgift
Kr. pr. ton CO
2
3.000
2.500
2.500
2.000
2.000
1.500
Gennemsnit fossilt (2030)
1.500
1.000
1.000
500
500
0
Naturgas
Olie
Kul
Affald,
fossilt
Affald
(2030)
Affald
(2022)
0
Kilde: Egne beregninger.
Energiafgifterne på affald pålægges blandede affaldslæs og dermed også bio-
gent affald. Når der tages højde for, at det biogene affald i blandede læs er på-
lagt energiafgift, er den gennemsnitlige afgift på affald omregnet til kr. pr. ton CO
2
ca. 1.700 kr. i 2022. De gennemsnitlige afgifter på affald forventes at stige frem
mod 2030 til ca. 2.600 kr. Det skyldes, at den fossile andel i affaldet forventes at
falde, hvorfor den nuværende energiafgift på affaldsmængden vil omfatte en min-
dre mængde CO
2
. Dette skøn er baseret på sammensætningen af dansk affald
og tager således ikke højde for importeret affald.
Nuværende regulering af affald
Fossilt affald til forbrænding er i dag pålagt affaldsvarme- og tillægsafgift, der til-
sammen svarer til energiafgiften på andre fossile brændsler. Udledningerne fra
affaldsforbrænding er endvidere pålagt CO
2
-, NO
X
- og svovlafgift.
Biogent affald i rene læs er ligesom biomasse afgiftsfritaget. Biogent affald, der
er blandet med fossilt affald, pålægges dog i praksis både affaldsvarme- og til-
lægsafgift.
KEF, Alm.del - 2021-22 - Bilag 161: Grøn skattereform (første delrapport)
2525505_0065.png
Grøn
skattereform
Side 64
Side 64
Hovedparten af de
danske affaldsforbrændingsanlæg er omfattet af EU’s kvote-
handelssystem. Dermed skal de fleste danske affaldsforbrændingsanlæg betale
kvoteprisen for den fossile udledning fra forbrænding af affald. Anlæg omfattet af
EU’s
kvotehandelssystem betaler desuden CO
2
-afgift, som baseres på opgørel-
serne til
EU’s
kvotehandelssystem, hvor de største anlæg kan måle den fossile
andel af affaldet via røggassen, mens øvrige anlæg betaler CO
2
-afgift på basis af
det skønnede forbrug ganget med en fastsat emissionsfaktor for blandet affald.
3.1.2 Struktur for en omlægning
I modellerne indgår en delvis omlægning af rumvarmeafgiften til en CO
2
-afgift.
En delvis omlægning vil medføre en forhøjelse af CO
2
-afgiften svarende til det
generelle niveau i industrien og en tilsvarende lempelse af energiafgifterne. Med
omlægningen vil der som udgangspunkt være tale om en mere præcis beskat-
ning af CO
2
.
Omlægningen er balanceret efter, at afgiftssatsen pr. ton CO
2
er uændret for na-
turgas gældende for både kvote- og ikke-kvoteomfattet rumvarme. Det vil med-
føre ændrede samlede afgifter (summen af energiafgifter og en CO
2
-afgift) for
øvrige brændsler end naturgas og vil indebære, at den samlede afgiftsbelastning
af øvrige fossile brændsler i gennemsnit stiger med ca. 50 kr. pr. ton CO
2
i 2030.
Ved en delvis omlægning lempes energiafgiften på biogent affald i den blandede
affaldsmængde uden en modsatrettet stigning i CO
2
-afgiften. Dermed lempes af-
giften for biogent affald samlet set. En delvis omlægning af afgiften til en CO
2
-af-
gift på 750 kr. pr. ton CO
2
i model 1 skønnes at indebære et mindreprovenu efter
tilbageløb og adfærd på ca. 0,2 mia. kr., idet energiafgifterne som helhed reduce-
res til ca. 30,5 kr. pr. GJ,
jf. tabel 3.1.
Ved omlægningen indføres ikke et nedslag i CO
2
-afgiften for den kvoteomfattede
fossile varmeproduktion. Det skal ses i sammenhæng med, at et nedslag for kvo-
teprisen isoleret set vil medføre en lempelse i forhold til den nuværende beskat-
ning af fossil varmeproduktion inden for kvotesektoren, hvilket dermed vil øge
forbruget af fossil varme og CO
2
-udledningerne herfra.
Tabel 3.1. Provenumæssige konsekvenser ved delvis afgiftsomlægning
2030
Grundlag
Baseline
Sats
Kr.
Fossil CO
2
Energi
I alt provenu
Mio.
ton
PJ
Mia.
kr.
1,9
42,0
179,2
63,0
Umiddel-
bart pro-
venu
Mia. kr.
0,3
2,4
2,7
Delvis omlægning
Sats
Kr.
750
30,5
Forskel
1)
Umiddel- Provenu efter
bart pro- tilbageløb og
venu
adfærd
Mia. kr.
1,3
1,1
2,4
Mia. kr.
0,9
-1,1
-0,2
Anm.: Satser udtrykker afgiften i henholdsvis kr. pr. ton CO
2
vedrørende CO
2
-afgift og i kr. pr. GJ vedrørende
energiafgiften. Satser er opgjort i 2022-priser, mens provenuer er opgjort i 2022-niveau. Provenu i baseline og
ved delvis omlægning er opgjort som umiddelbare provenuer.
Note 1: Forskel i provenu er opgjort efter tilbageløb og adfærd, hvor adfærd alene omfatter arbejdsudbudsvirk-
ningen. Kilde: Egne beregninger.
KEF, Alm.del - 2021-22 - Bilag 161: Grøn skattereform (første delrapport)
Grøn
skattereform
Side 65
Side 65
For individuel varme, hvor det fossile energiforbrug overvejende udgøres af na-
turgas, forventes adfærdseffekterne at være meget begrænsede, da satsen fast-
holdes uændret. Der vil dog alt andet lige være en lille effekt på det resterende
olieforbrug via en højere samlet afgift. Heraf fås en beskeden CO
2
-reduktion fra
individuel varme.
For kollektiv varme forventes affald at udgøre langt det største fossile energifor-
brug i 2030. Naturgas og en meget begrænset mængde olie udgør den reste-
rende andel. Det største energiafgiftsgrundlag udgøres imidlertid af det biogene
affald.
En højere afgift på afbrænding af fossilt affald vurderes at tilskynde affaldsfor-
brændingsanlæggene til at modtage mindre fossilt affald og eventuelt udsortere
det fossile affald på blandede affaldslæs for dermed at påvirke sammensætnin-
gen af affald, der afbrændes.
En omlægning af afgifterne vil derved tilskynde til reduktion i fossil CO
2
-udled-
ning fra affaldsforbrændingssektoren. Dette forstærkes yderligere af, at den af-
talte kapacitetstilpasning i
”Klimaplan
for en grøn affaldssektor og cirkulær øko-
nomi”
fra 2020 gennemføres. Den højere afgift på fossilt affald vurderes derfor
isoleret set at bidrage til yderligere CO
2
-reduktioner. Der er indregnet en begræn-
set beregningsteknisk reduktion af CO
2
-udledningene på baggrund heraf.
16
Det er på nuværende tidspunkt ikke muligt at skønne præcist over CO
2
-effek-
terne af en omlægning af rumvarmeafgifterne på affaldsområdet. Det skyldes, at
der inden for de seneste år er vedtaget en række tiltag for at reducere udlednin-
gen af CO
2
inden for affaldssektoren, som endnu ikke er trådt i kraft. Tiltagene
vedrører EU-forpligtelser for affaldssektoren, kapacitetstilpasning, import, udsor-
tering og genanvendelsesmål. De konkrete effekter af disse tiltag skal undersø-
ges nærmere, herunder samspillet med øvrig regulering.
Dette vurderes umiddelbart at ligge uden for Ekspertgruppens undersøgelsesom-
råde, og derfor anbefales det, at dette undersøges særskilt fra Ekspertgruppens
arbejde.
En lempet belastning af det biogene affald kan imidlertid øge incitamentet til af-
brænding af biogent affald, hvilket er i modstrid med intentionerne i
”Klimaplan for
en grøn affaldssektor og cirkulær økonomi”
samt Danmarks EU-forpligtelse til at
genanvende affald frem for at forbrænde det.
En delvis omlægning vil have begrænsede fordelingsmæssige effekter. Individuel
opvarmning med oliefyr bliver dyrere, mens fjernvarme i 2025 bliver billigere
grundet afgiftslempelsen for affald,
jf. tabel 3.2.
Det skal ses i lyset af, at affalds-
varme bliver lidt billigere, mens opvarmning med oliefyr bliver lidt dyrere,
jf. tabel
3.2.
Størstedelen af oliefyr forventes endvidere at være udfaset i 2030. Tallene
skal dog ses i lyset af, at sammensætningen af fjernvarmeproduktionen på for-
skellige varmekilder varierer meget mellem de geografisk forskellige fjernvarme-
områder,
jf. boks 3.1.
16
Den anvendte beregningstekniske effekt kan afvige, hvis der foretages en nærmere analyse. Den beregnings-
tekniske effekt er beskrevet i dokumentationsnotatet.
KEF, Alm.del - 2021-22 - Bilag 161: Grøn skattereform (første delrapport)
2525505_0067.png
Grøn
skattereform
Side 66
Side 66
Tabel 3.2. Årlig ændring i varmepriser for husstande med forskellige
varmekilder
Kr. pr. år inkl. moms
Individuel opvarm-
ning
Naturgas
Olie
Fjernvarme
Landsfordeling
(2025)
Højere andel
olie/kul
1)
Højere andel affald
2)
Kul
Affald (2030)
-125
300
-475
1.775
-1.450
-100
225
-350
1.275
-1.050
0
800
0
575
Delvis omlægning til 750 kr. pr.
ton CO
2
(model 1 og 2)
Delvis omlægning til 600 kr. pr.
ton CO
2
(model 3)
Anm.: Det bemærkes, at mange fjernvarmekunder betaler en pris baseret på kombinationen af varmekilder, her-
under fx biomassekedler og varmepumper, der ikke bliver berørt af omlægningen. Beregningerne er baseret på
et hus med et energiforbrug på 65 GJ om året. Der er tale om stiliserede priseksempler, som tager udgangs-
punkt i fuld overvæltning af afgiftsændringerne i priserne og ikke tager hensyn til bl.a. virkningsgrader og tab ifm.
distribution af varmen. 1) Andelen af hhv. olie og kul er antaget at være 14 pct. point højere end gennemsnittet,
mens andelen af affald er 9 pct. point lavere end gennemsnittet. 2) Andelen af affald er antaget 40 pct. point hø-
jere end gennemsnittet og andelen af kul er antaget 1 pct. point lavere end gennemsnittet, mens andelen af olie
er uændret.
Kilde: Klimastatus- og fremskrivning 2021 og egne beregninger.
I tabel 3.2 bliver den fossile affaldsvarme isoleret set dyrere, men samlet bliver
affaldsvarme billigere. Grundet en række individuelle forhold kan det ikke enty-
digt skønnes, hvordan affaldsforbrændingsanlæggene vil overvælte en afgifts-
lempelse i fx affaldstakst og som følge deraf de kommunale affaldsgebyrer for
husholdninger og erhverv eller varmepriser. Der er desuden geografisk forskel
på energikilder inden for både individuel opvarmning med olie- og naturgasfyr
samt kollektive varmeområder med bl.a. affaldsvarme og naturgas, hvorfor der
kan være betydelige geografiske forskelle i ændringerne i varmeprisen,
jf. boks
3.1.
Boks 3.1.
Ændring i varmepriser for fjernvarme
Der må forventes at være stor variation i, hvordan fjernvarmeprisen for husstande, som
opvarmes med fjernvarme, ændrer sig med en omlægning af rumvarmeafgiften.
Det skyldes, at sammensætningen af fjernvarmeproduktionen på forskellige varmekilder
varierer meget mellem de forskellige fjernvarmeområder. I nogle områder kan affalds-
varme fx være dominerende og i andre biomasse. Typisk vil fjernvarmeproduktionen være
baseret på en kombination af varmekilder, hvoraf nogle ikke vil være berørt af omlægnin-
gen.
Sammensætningen af fjernvarmeproduktionen forventes endvidere at ændre sig betyde-
ligt frem mod 2030, hvor den fossilt baserede varmeproduktion forventes at falde. Herun-
der forventes udfasning af kul, mens særligt fjernvarme fra varmepumper forventes at
stige.
I områder med affaldsvarme må der alt andet lige forventes at ske en reduktion af fjernvar-
meprisen, via den lempede afgift på affald, dog afhængig af affaldets sammensætning på
biogent og fossilt. Olie anvendes alene i meget begrænset omfang i fjernvarmen, hvorfor
KEF, Alm.del - 2021-22 - Bilag 161: Grøn skattereform (første delrapport)
2525505_0068.png
Grøn
skattereform
Side 67
Side 67
afgiftsstigningen på olie alt andet lige tilsvarende må forventes at have en begrænset ef-
fekt på fjernvarmepriserne. Kul forventes at blive udfaset frem mod 2028. I fjernvarmeom-
råder, hvor fjernvarmeproduktionen baseres på naturgas, varmepumpe og vedvarende
energi (bortset fra bioaffald), vil afgiften på fjernvarmeproduktionen ikke blive påvirket.
Alternativet til en delvis omlægning af rumvarmeafgiften er en fuld omlægning af
rumvarmeafgiften. En fuld omlægning indebærer, at CO
2
-afgiftssatsen for rum-
varme bliver et spejl af det nuværende samlede afgiftsniveau og derved bryder
med ensartetheden på tværs af de andre områder, der behandles i denne rap-
port.
En fuld omlægning vil medføre større fordelingsmæssige konsekvenser for var-
mekunderne og provenumæssige konsekvenser, særligt i affaldssektoren med
begrænsede CO
2
-reduktioner til følge.
En fuld omlægning er på baggrund af ovenstående fravalgt i første delrapport.
3.1.3 Mulige effekter ved en omlægning af
energiafgifterne og CO
2
-afgiften på affald til
forbrænding
Langt de fleste affaldsmængder til forbrænding udgøres af blandet affald, hvor
der i dag skønnes at være ca. 45 pct. fossilt energiindhold i det forbrændingseg-
nede affald. Det fossile energiindhold ventes at falde til lidt under 30 pct. frem
mod 2030.
En omlægning og forhøjelse af afgiften for afbrænding af fossilt affald forventes
umiddelbart at reducere incitamentet til at afbrænde fossilt affald. Det vil alt andet
lige øge incitamentet til udsortering af det fossile affald i blandede affaldslæs og
dermed øget genanvendelse samt bidrage til opfyldelse af 70 pct.-målet.
Omlægningen vil samtidig medføre en lavere afgift på afbrænding af det biogene
affald i blandede læs, hvilket kan øge tilskyndelsen til at forbrænde og eventuelt
importere en større mængde biogent affald i blandede læs. Det vil modvirke en
kapacitetstilpasning af affaldsforbrændingssektoren og kan udfordre opfyldelse
af EU’s genanvendelsesmål.
Håndteringen af affald i Danmark følger affaldshierarkiet i EU’s
affaldsrammedi-
rektiv. Der er på den baggrund fastsat juridisk bindende genanvendelsesmål i
henholdsvis 2025, 2030 og 2035, som alle medlemsstater er forpligtet til at følge.
Efterlevelsen af direktivet nationalt sker blandt andet gennem aftalen
Klimaplan
for en grøn affaldssektor og cirkulær økonomi
fra 2020 (S, V, RV, SF, KF, LA og
Å), som gennem øget sortering og øget genanvendelse har til formål at reducere
mængderne af affald til forbrænding. Det er også besluttet, at den danske af-
faldsforbrændingskapacitet skal reduceres, så den tilpasses de forventede, redu-
cerede danske mængder af forbrændingsegnet affald i 2030.
Konsekvenserne af en omlægning til en mere ensartet CO
2
-afgift i forhold til øv-
rige politiske mål og EU-forpligtelser på affaldsområdet ligger uden for Ekspert-
gruppens undersøgelsesområde, og Ekspertgruppen anbefaler, at dette under-
søges yderligere uden for Ekspertgruppens regi.
KEF, Alm.del - 2021-22 - Bilag 161: Grøn skattereform (første delrapport)
Grøn
skattereform
Side 68
Side 68
Loft over fjernvarmepriserne
Siden Ekspertgruppen blev nedsat, hvor kommissoriet lagde op til, at betydning
for loftet over fjernvarmeprisen, herunder prisen vedrørende overskudsvarme,
skal belyses, er der aftalt nye regler for den fremtidige udnyttelse af overskuds-
varme.
Med
Aftale om fremme af overskudsvarme
(S, V, RV, SF, EL, KF, LA og Å) fra
september 2021 er det besluttet, at 1) overskudsvarme skal underlægges et pris-
loft baseret på vedvarende energi, samt 2) virksomheder, der indgår i en ordning,
der sikrer energieffektiviseringer, kan blive fritaget for deres overskudsvarmeaf-
gift. Virksomheder, der deltager i ordningen, forpligtes til at udføre energigen-
nemgange og gennemføre energieffektiviseringstiltag af processer og anlæg re-
lateret til overskudsvarme.
Med aftalen indføres således en ny prisregulering af overskudsvarme med et loft
over prisen på den overskudsvarme, der leveres fra en virksomhed til en fjern-
varmeleverandør. Prisloftet har blandt andet til formål at give stabile og klare
rammer for regulering af prisen på overskudsvarme med henblik på at sikre ud-
nyttelse af overskudsvarme og rimelige varmepriser for forbrugerne.
Prisloftet skal fastsættes, så omkostningerne ved udnyttelse af overskudsvarme
ikke må overstige de gennemsnitlige omkostninger til fjernvarmevirksomhedens
billigste alternative grønne varmeproduktion. Prisloftet skal give et robust og ret-
visende billede af den alternative omkostning til overskudsvarme. Den alternative
omkostning kunne fx være, at fjernvarmeselskaber skal investere i en stor var-
mepumpe.
Der er besluttet forskellige muligheder for fleksibilitet i forhold til prisloftet for
blandt andet at understøtte, at prisloftet ikke er en barriere for udnyttelse af over-
skudsvarme. Der er ligeledes indført en bagatelgrænse, der undtager små leve-
randører af overskudsvarme med en kapacitet under 0,25 MW fra prisregulerin-
gen.
Ekspertgruppen har taget de nye regler til efterretning og vurderer på den bag-
grund, at det ikke er nødvendigt at belyse spørgsmålet yderligere.
Udfasning af kul i fjernvarmen
Med
Klimafremskrivning og -status 2021
forventes kul at være udfaset i 2028,
hvor Nordjyllandsværket forventes at lukke ned som det sidste værk, der anven-
der kul som primært brændsel. Der er dog enkelte værker, der fortsat kan an-
vende kul i helt særlige situationer af hensyn til elforsyningssikkerheden, fx ved
kabelnedbrud.
En omlægning af energiafgiften på rumvarme mod CO
2
-afgift vil øge afgiften på
kul, idet kul har et højt CO
2
-indhold pr. GJ sammenlignet med andre fossile
brændsler, fx naturgas. Dermed vil en omlægning balanceret efter CO
2
-indhold
alt andet lige reducere tilskyndelsen til at anvende kul på kraftvarmeværkerne.
Det skønnes dog, at omlægningen ikke i større omfang vil påvirke udfasningen af
kul ud over den allerede forventede udfasning givet omkostningerne forbundet
med at anvende eller omstille til andre brændsler.
KEF, Alm.del - 2021-22 - Bilag 161: Grøn skattereform (første delrapport)
2525505_0070.png
Grøn
skattereform
Side 69
Side 69
Ekspertgruppen noterer sig den forventede udfasning af kul i fjernvarmen og vur-
derer på den baggrund, at det ikke er nødvendigt at belyse yderligere tiltag.
3.2 Anbefalinger vedrørende vejtransport
I dette afsnit uddybes Ekspertgruppens anbefalinger til regulering af afgifter for
vejtransportsektoren i første delrapport, og hvad der forventes at blive taget stil-
ling til som led i den endelige rapport.
3.2.1 Vejtransport i første delrapport
Ekspertgruppen har til opgave at komme med anbefalinger til en mere ensartet
beskatning af CO
2
. Det vil generelt betyde, at de laveste afgiftssatser forhøjes,
og at afgiftsgrundlagene udvides. Transportområdet adskiller sig fra øvrige områ-
der, fordi de nuværende samlede afgifter på benzin og diesel er relativt høje,
jf.
kapitel 5.
Fremskrivninger viser, at udledninger fra vejtransport udgør ca. 10,5 mio. ton i
2030, hvis der ikke gennemføres nye initiativer, der reducerer udledningerne. Det
svarer til næsten en tredjedel af de forventede samlede danske drivhusgasudled-
ninger i 2030.
Tabel 3.3. Afgifter pr. liter benzin og diesel
Energiaf-
gift
2030, 2021-pri-
ser
Benzin (E10)
Diesel (B7)
427,9
279,0
CO
2
-afgift
NO
X
-afgift
I alt
Energi- og CO
2
-afgift
Kr. pr. ton CO
2
0,8
0,9
467,5
324,2
2.161
1.389
Øre pr. liter
38,8
44,3
Anm.: Udover energi- og CO
2
-afgift er der på bilområdet yderligere CO
2
-relaterede afgifter ved anskaffelse og
ejerskab (registreringsafgift og grøn ejerafgift). Andelen af VE-brændstoffer forudsættes at være 9,8 volumenpct.
for benzin (E10). For diesel forudsættes andelen af VE-brændstoffer at være 6,8 volumenpct. i 2022 (B7-diesel)
og 12,8 pct. i 2030.
Kilde: Egne beregninger.
I 2030 forventes afgifterne på benzin og diesel at svare til henholdsvis ca. 2.150
kr. og ca. 1.400 kr. pr. ton CO
2
,
jf. tabel 3.3.
Dieselbiler betaler en udligningsaf-
gift, der afhænger af brændstoføkonomien. Udligningsafgiften er fastsat, så den
svarer til besparelsen ved, at afgiften på diesel er lavere end på benzin for en bil
med et gennemsnitligt kørselsomfang.
Overordnet set gælder det for transportområdet, at:
CO
2
-reduktioner ved forhøjelser af afgifterne på brændstoffer til vejtransport
generelt er samfundsøkonomisk væsentligt dyrere end i andre sektorer. Det
skyldes blandt andet, at de samlede afgifter på personbiler i forvejen er me-
get høje sammenlignet med andre områder, og at salg af brændstof er føl-
somt over for grænsehandel.
Den fremtidige EU-regulering af transportområdet er uafklaret. Europa-Kom-
missionens
“Fit
for 55”-pakke indeholder initiativer, der kan påvirke den sam-
lede regulering af transportsektoren betydeligt inden for de kommende år,
KEF, Alm.del - 2021-22 - Bilag 161: Grøn skattereform (første delrapport)
2525505_0071.png
Grøn
skattereform
Side 70
Side 70
herunder forslaget om strammere CO
2
-krav for biler og varebiler og etable-
ring af et nyt CO
2
-kvotehandelssystem, der bl.a. omfatter brændstoffer til
transport.
Når CO
2
-reducerende tiltag på vejtransportområdet overvejes, vil der derfor være
en afvejning mellem relativt høje samfundsøkonomiske omkostninger og mar-
kante drivhusgasudledninger frem mod 2030.
Anbefalinger vedrørende vejtransport i arbejdet med en mere ensartet beskat-
ning af CO
2
vil også skulle ses i sammenhæng med
Aftale om grøn omstilling af
vejtransporten,
der blev indgået i december 2020 (S, RV, SF og EL). Aftalen in-
deholder langsigtede initiativer på baggrund af anbefalinger fra
Kommissionen
for grøn omstilling af personbiler.
Ekspertgruppen har noteret sig, at salget af
grønne biler i 2021 er steget markant hurtigere end forventet.
Ekspertgruppen anbefaler med afsæt i ovenstående, at der i første omgang sker
en delvis omlægning af brændstofafgifterne. Ekspertgruppen vil som led i den
endelige rapport tage stilling til endelige anbefalinger om en eventuel ændring af
niveau for afgifterne for benzin og diesel.
Den delvise omlægning anbefales gennemført ved en forhøjelse af den generelle
CO
2
-afgift, som også omfatter brændstoffer til transport, og at energiafgifterne på
henholdsvis benzin og diesel nedsættes tilsvarende med det formål, at det sam-
lede afgiftsniveau for benzin og diesel forbliver uændret. Den konkrete tilpasning
af afgiftssatserne vil skulle overvejes i forhold til EU-retten.
Ved at omlægge afgifterne på brændstof fra energi- til en CO
2
-afgift, understøttes
i udgangspunktet en omstilling fra fossile brændstoffer til VE-brændstoffer, da
VE-brændstoffer ikke omfattes af CO
2
-afgiften, og på den måde opnår en kon-
kurrencefordel i forhold til fossile brændstoffer,
jf. boks 3.2.
Prisen på VE-brændstoffer til transport er dog væsentligt højere end på konventi-
onelt brændstof. Merprisen på de relevante VE-brændstoffer skønnes at være i
størrelsesordenen 2.500 kr. pr. ton CO
2
, som VE-brændstofferne fortrænger.
CO
2
-afgiften skønnes således med betydelig usikkerhed at skulle være i størrel-
sesordenen 2.500 kr. pr. ton CO
2
, før brændstofleverandørerne vil forøge ande-
len af VE-brændstoffer væsentligt.
Boks 3.2
VE-brændstoffer
VE-brændstoffer er en fællesbetegnelse for drivhusgasreducerende brændstoffer baseret
på vedvarende energi,
der alle medtælles som drivhusgasneutrale ifølge FN’s opgørelses-
metode.
VE-brændstoffer kan opdeles i brændstoffer med biologisk og ikke-biologisk oprindelse. I
dag udgør VE-brændstoffer med biologisk oprindelse, som fx biodiesel og bioethanol,
størstedelen af de anvendte VE-brændstoffer i vejtransporten. VE-brændstoffer kan desu-
den være brændstoffer baseret på Power-to-X-teknologi.
KEF, Alm.del - 2021-22 - Bilag 161: Grøn skattereform (første delrapport)
2525505_0072.png
Grøn
skattereform
Side 71
Side 71
Supplerende mo-
deller
4
KEF, Alm.del - 2021-22 - Bilag 161: Grøn skattereform (første delrapport)
2525505_0073.png
Grøn
skattereform
Side 72
Side 72
4.0 Supplerende af-
giftsmodeller
I dette kapitel præsenteres en række supplerende afgiftsmodeller samt øvrige
overvejelser vedrørende den stigende kvotepris og anvendelsen af provenuet i
hovedmodellerne.
For de supplerende modeller udfoldes de centrale afvejninger ved at afvige fra
hovedmodellerne med blandt andet andre reduktionsniveauer, forskellige ned-
slag i CO
2
-afgiften for kvotebetaling og effekter af et aktivitetsbaseret bundfra-
drag. Modellerne kan dels anskues som en række alternativer, der afspejler for-
skellige vægtninger af kommissoriets hensyn, dels som følsomhedsberegninger
for, hvordan effekterne ændrer sig ved at justere på dele af de grundlæggende
elementer i modellerne.
4.1 Udgangspunkt for modellerne er de
præsenterede hovedmodeller
Udgangspunktet for kapitlet er hovedmodellerne,
jf. kapitel 2.
Disse modeller har
alle en reduktion på ca. 3,5 mio. ton CO
2
og et nedslag for kvoteprisen på 50 pct.
Der er desuden ikke indført bundfradrag i disse.
De udvalgte modeller er et resultat af en række valg og vægtning af hensyn, som
efter Ekspertgruppens vurdering er bedst imødekommet i hovedmodellerne, men
også kan vægtes anderledes. I det følgende præsenteres modeller med en
række justeringer i de centrale elementer:
1.
2.
3.
Reduktions-/ambitionsniveau: Her vises modeller med reduktioner på 2,5,
ca. 3,5 (hovedmodellerne) og 4,5 mio. ton CO
2
i 2030.
Nedslag for kvoteprisen: Her vises modeller med 0 pct., 50 pct. (hovedmo-
dellerne) og 100 pct. nedslag i sammenligning.
Bundfradrag: Her vises en række modeller med et aktivitetsbaseret bundfra-
drag, der sammenlignes med tilsvarende afgiftsmodeller.
I beregningerne for de supplerende modeller tages udgangspunkt i
model 2,
som har ensartede afgifter med et nedslag for kvoteprisen på 50 pct., en sats på
100 kr. pr. ton CO
2
til mineralogiske processer mv., og hvor afgiftsprovenuet an-
vendes til tilskud til CCS.
4.2 Reduktionsniveau
Ekspertgruppens hovedmodeller indeholder et reduktionsniveau på ca. 3,5 mio.
ton CO
2
. Forskellige andre hensyn kan imidlertid begrunde andre reduktionsni-
KEF, Alm.del - 2021-22 - Bilag 161: Grøn skattereform (første delrapport)
2525505_0074.png
Grøn
skattereform
Side 73
Side 73
veauer. Det kan fx være et ønske om mindre erhvervsbelastning, eller at yderli-
gere reduktioner fra industrien besluttes senere. Omvendt kan der også være et
ønske om, at industri erhverv, ikke-vejgående transport og elproduktion bidrager
endnu mere til indfrielse af klimamålene.
Tabel 4.1
og
figur 4.1
illustrerer afgiftssystemet ved modeller med forskellige re-
duktionsniveauer, men hvor den grundlæggende struktur i model 2 bevares. Der
vises en model med et reduktionsniveau på henholdsvis 2,5 mio. ton CO
2
og 4,5
mio. ton CO
2
samt hovedmodel 2 med et reduktionsniveau på ca. 3,5 mio. ton
CO
2
til sammenligning.
Tabel 4.1. Sammenligning af hovedresultater ved forskellige
ambitionsniveauer
2030
Sats (ikke-kvote/kvote/mineralogi-
ske processer mv.)
Maksimal tilskudssats til CCS pr.
ton opfanget CO
2
CO
2
-reduktioner
2030
- heraf tilskud
Mio. ton
Mio. ton
2,5
1,1
3,5
1,7
4,5
2,1
2,5 mio. ton
525/150/100
750
3,5 mio. ton
(model 2)
750/375/100
850
4,5 mio. ton
900 /525/100
900
Økonomiske konsekvenser
Umiddelbar erhvervs-
belastning
1)
Erhvervsbelastning ef-
ter tilpasning
Provenu efter adfærd
(efter finansiering)
2)
Samfundsøkonomi
Gennemsnitlig skygge-
pris (efter kompensa-
tion)
Marginal skyggepris
Kr. pr. ton
Kr. pr. ton
425
750
500
850
550 (550)
900
Mia. kr.
Mia. kr.
Mia. kr.
1,2
1,0
0,0
2,3
1,7
0,0
3,0
2,2
-0,2 (0,0)
Anm.: Provenuvirkninger er afrundet til nærmeste 50 mio. kr. Samfundsøkonomiske omkostninger er afrundet til
nærmeste 25 mio. kr. Totaler kan afvige fra summen på grund af afrundinger. Satser vises i 2022-priser, mens
provenuvirkninger vises i 2022-niveau. Det er antaget, at afgifterne løbende indekseres med det generelle
prisniveau. Tilbageløbet er regnet under antagelse af fuld nedvæltning i lønninger,
jf. afsnit 2.4.
Det er
beregningsteknisk antaget, at et eventuelt mindreprovenu dækkes af en forøgelse af bundskatten, og at et
eventuelt merprovenu i 2030 anvendes til en generel nedsættelse af selskabsskatten.
Note 1: Opgjort ekskl. omlægning af rumvarme.
Note 2: Opgjort efter omlægning af rumvarmeafgiften og tilskud til CCS.
Kilde: Egne beregninger.
KEF, Alm.del - 2021-22 - Bilag 161: Grøn skattereform (første delrapport)
2525505_0075.png
Grøn
skattereform
Side 74
Side 74
Figur 4.1. Sammenligning af reduktioner ved forskellige ambitionsniveauer
Mio. ton CO
2
2,5
2,5 mio. ton
3,5 mio. ton
4,5 mio. ton
Udledninger
Mio. ton CO
2
2,5
2,0
2,0
1,5
1,5
1,0
1,0
0,5
0,5
0,0
0,0
Indenrigsfly
Alm. proces
(ikke-ETS)
Fiskere
Varme (omlægning)
Færger
Jernbanen
Nordsøen
Raffinaderier
Mineralogi mv.
(cement)
Gartnerier (ETS)
Mineralogi mv.
(øvrige)
Gartnerier
(ikke-ETS)
Elproduktion
Alm. proces (ETS)
Transport
Industri
El og varme
Anm.: For modellen med et reduktionsniveau på ca. 3,5 mio. ton CO
2
er der taget udgangspunkt i model 2.
Kilde: Egne beregninger.
Model med 2,5 mio. ton CO
2
reduktion i 2030
Ved at sænke ambitionsniveauet for CO
2
-reduktioner fra afgiftsforhøjelser kan
man sænke belastningen på virksomhederne, herunder de store CO
2
-intensive
udledere, der især belastes af CO
2
-afgiften. Dette kan ske via en model, hvor
CO
2
-afgiften i stedet forhøjes til 525 kr. pr. ton med 50 pct. nedslag for kvotepri-
sen og en sats på 100 kr. pr. ton til mineralogiske processer mv.
En sådan model skønnes at indebære en reduktion på i størrelsesordenen 2,5
mio. ton CO
2
i 2030. Det vurderes, at der med et afgiftsniveau i denne størrelse
med en vis sandsynlighed kan bevares produktion fra de største og mest læka-
geudsatte virksomheder.
Selv om reduktionerne er lavere i denne model end i hovedmodellerne, kan de
ligeledes især henføres til de mest CO
2
-intensive erhverv, da det netop er for
disse, at afgiften sættes mest op. De mest CO
2
-intensive erhverv har med gæl-
dende regler de laveste afgiftssatser.
Reduktionerne i denne model vil være samfundsøkonomisk billigere end i hoved-
model 2, illustreret med den gennemsnitlige skyggepris på 475 kr. pr. ton CO
2
,
hvilket er et udtryk for, at de billigste reduktioner først opnås, når afgifterne hæ-
ves, herunder særligt de områder, der i dag har de laveste afgifter eller ingen af-
gift.
Tilskud til CCS
Landbrug mv.
KEF, Alm.del - 2021-22 - Bilag 161: Grøn skattereform (første delrapport)
Grøn
skattereform
Side 75
Side 75
Modellen kan således ses som et ønske om at reducere erhvervsbelastning, og
derved undgå stor nedgang i produktion fra de største udledere, ved at sænke
ambitionsniveauet for deres bidrag til 70 pct.-målsætningen. En model med la-
vere afgiftssatser imødekommer isoleret set i højere grad hensynet til den nuvæ-
rende erhvervsstruktur og risiko for lækage fra de største udledere. Omvendt op-
nås der ikke lige så betydelige reduktioner i 2030 som i hovedmodellerne, og de
reduktioner vil i så fald skulle findes andetsteds eller på et andet tidspunkt.
Model med 4,5 mio. ton CO
2
-reduktion
Alternativt kan der overvejes en model, hvor ambitionsniveauet sættes op til 4,5
mio. ton CO
2
. Det kan være ud fra et ønske om, at industrien (inkl. erhverv, ikke-
vejgående transport og elproduktion) bidrager endnu mere til at opnå klimamå-
lene i 2025 og 2030, fx fordi reduktioner på dette område forventes at indebære
relativt lave samfundsøkonomiske omkostninger i forhold til andre sektorer, fx
transportområdet.
I dette tilfælde sættes afgifterne op til ca. 900 kr. pr. ton CO
2
uden for kvotesekto-
ren og ca. 525 kr. pr. ton CO
2
inden for kvotesektoren.
Når afgiftssatsen overstiger et vist niveau, og tilskuddet til CCS er kalibreret efter
afgiftssatsen i ikke-kvotesektoren, begynder tilskuddet til CCS at blive så stort, at
det overstiger merprovenuet fra den højere CO
2
-afgift. Det sker konkret ved et
reduktionsniveau omkring 4,5 mio. ton CO
2
. Derfor indebærer denne model et
mindreprovenu på ca. 0,2 mia. kr., der beregningsteknisk finansieres via en
bundskatteforhøjelse på 0,02 pct.-point.
For de CO
2
-intensive erhverv
ud over mineralogiske processer mv., som har en
nedsat afgift på 100 kr. pr. ton CO
2
er den høje afgift en særlig udfordring, da
de i høj grad er udsat for international konkurrence. Derudover er omkostnin-
gerne ved at skifte til VE-teknologi høje for disse virksomheder. Der vil derfor
sandsynligvis være en stor del af disse brancher, der begrænser produktionen
mærkbart eller lukker ned, herunder raffinaderierne, fiskere og større øvrige kvo-
teomfattede udledere. I andre brancher vil en stor del af reduktionen modsat ske
via tekniske omstillinger, fx elektrificering og energieffektivisering.
Reduktionerne vil indebære en gennemsnitlig skyggepris på 550 kr. pr. ton CO
2
,
mens den marginale skyggepris vil være noget højere med ca. 900 kr. pr. ton
CO
2
. Det er stadig forholdsvis billige reduktioner, men den højere marginale
skyggepris afspejler, at ved et højere ambitionsniveau vil de ekstra reduktioner
være forholdsvist dyrere. Det høje ambitionsniveau afspejles også i den umiddel-
bare erhvervsbelastning på ca. 3,0 mia. kr., der er ca. 0,7 mia. mere end i hoved-
modellen (model 2).
Det bemærkes, at den umiddelbare erhvervsbelastning i modellen med en reduk-
tion på 4,5 mio. ton CO
2
er over dobbelt så stor som i modellen med en reduktion
på 2,5 mio. ton CO
2
. Det illustrerer, at virksomhederne laver de fleste og billigste
reduktioner ved lave afgiftssatser, og derfor kræver det en større afgiftsbelast-
ning ved høje afgiftssatser at opnå en given yderligere reduktion, ligesom de bil-
ligste reduktioner ved CCS tilvejebringes først.
KEF, Alm.del - 2021-22 - Bilag 161: Grøn skattereform (første delrapport)
2525505_0077.png
Grøn
skattereform
Side 76
Side 76
4.3 Højere kvotepris
I EU’s kvotehandelssystem reguleres drivhusgasudledninger fra større
anlæg,
jf.
afsnit 5.3.
CO
2
-kvoterne udløber ikke og kan i princippet beholdes til evig tid.
Derfor kan CO
2
-kvoter sidestilles med et finansielt aktiv, og kvoteprisen fremskri-
ves derfor efter samme måde.
I sin
“Fit for 55”-pakke
annoncerede EU-Kommissionen, at der lægges op til at
begrænse antallet af kvoter i det nuværende kvotehandelssystem. Det har
sammen med den højere end forventede økonomiske aktivitet
lagt et opadgå-
ende pres på kvoteprisen, og prisen er mere end tredoblet det seneste halvandet
år,
jf. figur 4.2.
Figur 4.2. Historisk udvikling i EU’s CO
2
-kvotepris
Kr. pr. ton. CO
2
700
600
500
400
300
200
100
0
EU øger klimamål til
55 pct., dec. 2020
Kr. pr. ton. CO
2
700
600
500
400
300
200
100
0
Daglig udvikling
Månedlig udvikling
Anm.: Kvoteprisen er opgjort i 2021-priser.
Kilde: Egne beregninger baseret på Den Europæiske Energibørs (EEX).
Finansministeriet foretager løbende fremskrivninger, og fremskrivningen af 2030-
kvoteprisen er steget markant i løbet af 2021. Den seneste fremskrivning, som
blev foretaget primo 2022, indeholder en CO
2
-kvotepris, der, sammenlignet med
Klimastatus- og fremskrivning 2021,
er vokset med groft regnet 100 pct.,
jf. figur
4.3.
En kvoteprisforhøjelse påvirker alle europæiske virksomheder. Danske virksom-
heder bliver således som udgangspunkt ikke mindre konkurrencedygtige relativt
til sine europæiske konkurrenter, og stigningen i kvoteprisen kan tolkes som en
fælles prisstigning på kvoteomfattede produkter. Som approksimation af den for-
ventede effekt af kvoteprisstigningen er det lagt til grund, at kvoteprisen kun æn-
drer de danske virksomheders incitament til teknisk omstilling modsat en natio-
KEF, Alm.del - 2021-22 - Bilag 161: Grøn skattereform (første delrapport)
Grøn
skattereform
Side 77
Side 77
nalafgift, der også har en erhvervsstrukturel effekt som følge af ændret konkur-
renceevne,
jf. kapitel 2.
Det indebærer, at alle reduktioner fra kvoteprisstigningen
er af teknisk karakter. Det medfører, at stigningen i CO
2
-kvoteprisen som ud-
gangspunkt har to typer af effekter, der har afgørende effekt for Ekspertgruppens
modeller:
1)
En højere kvotepris giver isoleret set virksomheder større incitament til at fo-
retage tekniske omstillinger, som reducerer deres CO
2
-udledninger. Det in-
debærer, at CO
2
-udledningerne i 2030 og kravet til den reduktion, der kom-
mer fra en national afgift med afsæt i 70 pct.-målsætningen, alt andet lige er
faldet.
Virksomhederne vil som følge af kvoteprisstigningen allerede have foretaget
en del af de tekniske omstillinger, som en national afgift ellers havde givet
anledning til. CO
2
-effekterne fra en national afgift vil derfor, for en given af-
giftssats, alt andet lige være mindre end i en situation uden en kvoteprisstig-
ning.
17
2)
Ekspertgruppen har med afsæt i den markant forhøjede kvotepris valgt at
skønne over den isolerede effekt af den højere kvotepris i 2030. Skønnet foreta-
ges med udgangspunkt i samme tilgang som ved beregning af effekter af afgifts-
ændringer. Det skønnes, at kvoteprisstigningen isoleret set vil bidrage med re-
duktioner i størrelsesordenen 1 mio. ton CO
2
, der alle skyldes tekniske reduktio-
ner i de kvoteomfattede virksomheder.
17
Det gælder i alle tilfælde, hvor der er aftagende marginaleffekt af prisændringer, hvilket er forudsat i Ekspert-
gruppens model-setup. Når der anvendes bagstopperteknologier som fx CCS (som sætter ind i bundfradrags-
modellerne), vil der være modsatrettede effekter, da der dermed ikke er aftagende marginaleffekt langs hele
efterspørgselskurven. I denne situation kan der derfor ikke udledes generelt om CO
2
-effekterne af en kvotepris-
stigning.
KEF, Alm.del - 2021-22 - Bilag 161: Grøn skattereform (første delrapport)
2525505_0079.png
Grøn
skattereform
Side 78
Side 78
Figur 4.3. Fremskrivning af EU’s CO
2
-kvotepris
Kr. pr. ton. CO
2
800
700
600
500
400
300
200
100
0
Kr. pr. ton. CO
2
800
700
600
500
400
300
200
100
0
Historisk pris
Nyeste fremskrivning
Fremskrivning KF21
Anm.: Kvoteprisen er opgjort i 2021-priser. KF21 står for
Klimastatus og -fremskrivning 2021.
Kilde: Egne beregninger baseret på Den Europæiske Energibørs (EEX).
Beregningerne af den forhøjede kvotepris er yderligere uddybet i dokumentati-
onsnotatet.
4.4 Nedslag for kvoteprisen
For at imødekomme kvotevirksomhederne, som omfatter de mest CO
2
-intensive
udledere
og generelt rammes hårdest af den ensartede afgift
kan der gives et
nedslag i CO
2
-afgiften svarende til en andel af kvotebetalingen. På nuværende
tidspunkt er de kvoteomfattede virksomheder helt fritaget for den nugældende
CO
2
-afgift. I det følgende vises modeller med 0 pct., 50 pct. og 100 pct. nedslag.
Tabel 4.2
og
figurer 4.2 og 4.3
sammenligner hovedresultater, fordeling af er-
hvervsomkostninger (umiddelbart og efter tilpasning) samt fordelingen af redukti-
oner ved forskellige nedslag for kvoteprisen.
Modellerne med 0 og 100 pct. kvotenedslag sammenlignes med model 2, og mi-
neralogiske processer mv. får derfor en sats 100 kr. pr. ton CO
2
. Reduktionen fra
tilskud holdes konstant på tværs af alle tre modeller. Der foretages således en
ren
“alt
andet lige”-betragtning.
KEF, Alm.del - 2021-22 - Bilag 161: Grøn skattereform (første delrapport)
2525505_0080.png
Grøn
skattereform
Side 79
Side 79
Tabel 4.2. Sammenligning af hovedresultater ved forskellige nedslag for
kvotepris
2030
Sats (ikke-kvote/kvote/mineralogi-
ske processer mv.)
CO
2
-reduktioner
2030
- heraf tilskud
Mio. ton
Mio. ton
3,5
1,7
3,5
1,7
3,5
1,7
0 pct. ned-
slag
500/500/100
50 pct. nedslag
(model 2)
750/375/100
100 pct.
nedslag
950/200/100
Økonomiske konsekvenser
Umiddelbar erhvervsbe-
lastning
Erhvervsbelastning efter
tilpasning
Provenu efter adfærd
Mia. kr.
Mia. kr.
Mia. kr.
2,1
1,6
0,0
2,3
1,7
0,0
2,3
1,7
-0,2
Samfundsøkonomi
Gennemsnitlig skyggepris
(efter yderligere finansie-
ring)
Marginal skyggepris
Kr. pr.
ton
Kr. pr.
ton
475
500
500
750
525 (550)
950
Anm.: Se
tabel 4.1.
Erhvervsbelastningen (umiddelbart og efter tilpasning) er større i modellen med 100 pct.
nedslag end modellen med 50 pct. nedslag, men som følge af afrundinger fremgår det ikke af tabellen. Det
gælder dog for alle Ekspertgruppens modeller, at et større nedslag for kvotepris isoleret set indebærer en større
umiddelbart belastning, hvis man fortsat ønsker samme reduktionsniveau.
Kilde: Egne beregninger.
KEF, Alm.del - 2021-22 - Bilag 161: Grøn skattereform (første delrapport)
2525505_0081.png
Grøn
skattereform
Side 80
Side 80
Figur 4.4. Fordeling af reduktioner ved forskellige nedslag for kvotepris
Mio. ton CO
2
1,8
1,6
1,4
1,2
1,0
0,8
0,6
0,4
0,2
0,0
0 pct.
50 pct.
100 pct.
Udledninger
Mio. ton CO
2
1,8
1,6
1,4
1,2
1,0
0,8
0,6
0,4
0,2
0,0
Indenrigsfly
Færger
Fiskere
Jernbanen
Gartnerier (ikke-ETS)
Mineralogi mv. (øvrige)
Varme (omlægning)
Raffinaderier
Nordsøen
Gartnerier (ETS)
Elproduktion
Alm. proces (ikke-ETS)
Mineralogi mv. (cement)
Alm. proces (ETS)
Transport
Anm.: For modellen med 50 pct. nedslag er der taget udgangspunkt i model 2.
Kilde: Egne beregninger.
Industri
El og varme
Tilskud til CCS
Landbrug mv.
KEF, Alm.del - 2021-22 - Bilag 161: Grøn skattereform (første delrapport)
2525505_0082.png
Grøn
skattereform
Side 81
Side 81
Figur 4.5. Sammenligning af erhvervsbelastning efter tilpasning ved forskellige nedslag for kvotepris
Mio. kr.
450
400
350
300
250
200
150
100
50
0
0 pct.
50 pct.
100 pct.
Mio. kr.
450
400
350
300
250
200
150
100
50
0
Indenrigsfly
Færger
Fiskere
Jernbanen
Nordsøen
Gartnerier (ikke-ETS)
Raffinaderier
Mineralogi mv. (øvrige)
Gartnerier (ETS)
Transport
Anm.: For modellen med 50 pct. nedslag er der taget udgangspunkt i model 2.
Kilde: Egne beregninger.
Industri
Mineralogi mv. (cement)
Alm. proces (ikke-ETS)
Alm. proces (ETS)
Landbrug mv.
Som bemærket vil et europæisk udgangspunkt tilsige, at der fastsættes en ens-
artet marginalpris på alle udledninger. Dermed bør der være samme CO
2
-pris i
kvote- og ikke-kvotesektoren, hvilket tilsiger et 100 pct. kvotenedslag.
Kvoteomfattede virksomheder vil endvidere typisk være mere konkurrenceud-
satte, og dermed lækageudsatte end andre virksomheder. Dette trækker også i
retning af at indrette afgiftssystemet med fuldt kvotenedslag. Imidlertid modtager
kvoteomfattede virksomheder gratiskvoter, så de bærer ikke den fulde erhvervs-
økonomiske omkostning ved en stigning i kvoteprisen. Hertil kommer, at hensy-
net til at opnå den samfundsøkonomisk laveste omkostning ved opfyldelse af 70
pct.-målsætningen indebærer, at der ikke skal gives nedslag for kvotepris, idet
kvotebetalingen ikke er en direkte betaling til den danske statskasse for danske
udledninger.
I sammenligningen af de forskellige nedslag for kvoteprisen bekræftes resultatet
om, at de laveste samfundsøkonomiske omkostninger findes i modellen uden
nedslag i CO
2
-afgiften for kvoteprisen. Det ses imidlertid i
tabel 4.2,
at den gen-
nemsnitlige samfundsøkonomiske omkostning kun stiger i begrænset omfang
ved et højere nedslag for kvoteprisen.
Med 0 pct. nedslag er den samfundsøkonomiske omkostning 475 kr. pr. ton CO
2
,
mens den stiger til 525/550 kr. pr. ton CO
2
ved 100 pct. nedslag. For et redukti-
onsomfang på ca. 3,5 mio. ton CO
2
dækker det over ca. 200 mio. kr. højere sam-
Elproduktion
El
KEF, Alm.del - 2021-22 - Bilag 161: Grøn skattereform (første delrapport)
Grøn
skattereform
Side 82
Side 82
lede omkostninger for samfundet. Det skyldes, at den højeste CO
2
-afgiftssats sti-
ger fra 500 kr. pr. ton CO
2
til 950 kr. pr. ton CO
2
, hvorfor der foretages nogle re-
duktionstiltag, der er dyrere. I modellen med 100 pct. nedslag for kvoteprisen
skal afgiften i ikke-kvotesektoren således sættes relativt højt op for at nå en re-
duktion på ca. 3,5 mio. ton CO
2
, hvilket gør, at afgiftsforhøjelsen og tilskud til
CCS samlet set medfører et mindreprovenu. I modellen er der derfor indarbejdet
et finansieringsbidrag fra en forhøjelse af bundskatten med 0,02 pct.-point, som
ligeledes øger de samfundsøkonomiske omkostninger.
Stigningen i afgiftssatsen ved højere nedslag hænger sammen med, at en meget
stor del af reduktionerne under alle omstændigheder vil skulle findes inden for
kvotesektoren, da knap 70 pct. af udledningerne fra industrien, erhverv, ikke-vej-
gående transport og elproduktion kommer fra virksomheder, der er en del af
EU’s kvotehandelssystem.
Hvis der skal opnås samme reduktion med et højere nedslag for kvoteprisen, er
den naturlige konsekvens derfor også, at CO
2
-afgiften i ikke-kvotesektoren skal
sættes så højt op, at der på trods af nedslaget i kvotesektoren stadig vil være en
relativ høj CO
2
-afgift i kvotesektoren og dermed risiko for udflytning og lækage
blandt visse brancher.
Et højere nedslag for kvoteprisen vil overordnet flytte erhvervsbelastningen fra
CO
2
-afgiften fra kvotesektoren til ikke-kvotesektoren. Det følger naturligt af ned-
slaget, og det ses også af
figur 4.3,
at alle kvoteomfattede områder, får en
min-
dre
belastning ved større nedslag, mens alle ikke-kvoteomfattede områder får en
større
belastning.
Idet modellerne er kalibreret efter samme reduktionsniveau, vil en forskydning af
belastningen på samme måde forskyde fordelingen af reduktioner. Derfor vil et
større nedslag for kvoteprisen medføre, at en større andel af reduktionerne sker
uden for kvotesektoren.
Eftersom CO
2
-udledningerne i høj grad er koncentreret om kvotevirksomhe-
derne, vil modeller med delvist eller fuldt nedslag for kvotepris således medføre,
at koncentrationen om kvotevirksomhederne reduceres en anelse, samtidig med
at der modsat også kun sker en begrænset forøgelse af de samfundsøkonomi-
ske omkostninger.
Isoleret set bør et kvotenedslag begrundes i andre argumenter end udelukkende
at friholde de mest CO
2
-intensive virksomheder. Som forklaret i kapitel 2 er det
Ekspertgruppens anbefaling, at et nedslag for kvoteprisen sker med afsæt i en
afvejning mellem lave samfundsøkonomiske omkostninger, et hensyn til kvote-
omfattede virksomheders højere risiko for lækage, en rimelighedsbetragtning om
samme marginalpris for virksomhederne inden og uden for kvotesektoren og gra-
tiskvoternes betydning for det reelle afgifts- og kvotetryk på kvotesektoren.
4.5 Bundfradrag
Formålet med et bundfradrag i CO
2
-afgiften er at omfordele den samlede afgifts-
belastning på tværs af virksomheder. På den måde fremkommer en større del af
de samlede CO
2
-reduktioner via tekniske reduktioner frem for via erhvervsfor-
KEF, Alm.del - 2021-22 - Bilag 161: Grøn skattereform (første delrapport)
2525505_0084.png
Grøn
skattereform
Side 83
Side 83
skydninger, så risikoen for lækage reduceres. Bundfradrag giver imidlertid samti-
dig anledning til implementeringsmæssige, statsfinansielle, EU-retslige og admi-
nistrative udfordringer.
4.5.1 Generelt om bundfradrag
Ved indførelse af et bundfradrag skal der tages stilling til, hvilke virksomheder
der er berettigede til fradraget, og hvordan fradraget skal udformes, samt hvor-
dan bundfradraget opnås.
Der kan overordnet peges på følgende typer af bundfradrag:
Fradrag baseret på historiske udledninger: Bundfradraget kan baseres på hi-
storiske udledninger / energiforbrug i en forudgående basisperiode. Derved
sænkes den samlede afgiftsbelastning, uden at virksomhedernes incitament
til at reducere deres udledninger svækkes på marginalen. Det skyldes, at
virksomhederne fortsat sparer den fulde CO
2
-afgift for hvert ton, hvormed de
sænker deres udledninger (forudsat at uudnyttet bundfradrag kan udbeta-
les).
Et fast bundfradrag, som er uafhængigt af virksomhedens aktuelle produk-
tion, betyder dog samtidig, at CO
2
-afgiften slår fuldt igennem på virksomhe-
dernes marginalomkostninger. Hertil kommer, at det kan være uhensigts-
mæssigt, at virksomheder med en faldende produktion oppebærer et fradrag
baseret på historisk højere produktion, mens virksomheder med en stigende
produktion opnår et fradrag baseret på en historisk lav produktion. For nye
virksomheder vil der ikke være fradrag, hvis bundfradraget baseres på rent
historiske udledninger. Dette kan samlet set have en negativ virkning på virk-
somhedsdynamikken og produktiviteten i samfundet. Endvidere vil der være
brug for en værnsregel for at sikre, at bundfradraget ikke gives ved frasalg,
nedlukning eller udflytning af større dele af virksomheden.
Aktivitetsbaseret bundfradrag: Hvis et bundfradrag skal have en virkning på
udflytning og erhvervsstruktur, skal det være betinget af, at der opretholdes
en vis erhvervsaktivitet i Danmark. Et bundfradrag i en CO
2
-afgift kan derfor
baseres på et mål for virksomhedens produktion. Dette medfører, at hvis
produktionen øges, udløses en proportional stigning i bundfradraget, som
modvirker den omkostningsdrivende virkning af CO
2
-afgiften. Dermed redu-
cerer bundfradraget virksomhedens marginale produktionsomkostning, sam-
tidig med at det marginale incitament til at sænke udledningerne gennem
teknisk omstilling bevares. Bundfradraget vil kunne omfatte nye virksomhe-
der ved, at deres fradrag baseres på et benchmark for fx den relevante bran-
che.
Bundfradraget kan enten gives til alle virksomheder eller målrettes, så det især
er CO
2
-intensive og konkurrenceudsatte virksomheder, der modtager det
fx alle
kvoteomfattede virksomheder eller alene virksomheder, som modtager gratiskvo-
ter.
Fordelen ved at basere bundfradraget på modtagere af gratiskvoter er, at grup-
pen af virksomheder er velafgrænset og lille, og at virksomhederne er både CO
2
-
intensive og konkurrenceudsatte. En ulempe kan være, at tildelingen af gratis-
kvoter sker på basis af fælleseuropæiske kriterier for, hvornår der risikeres læ-
kage fra EU-området til tredjelande, vurderet ud fra handelsstrømme mellem EU
KEF, Alm.del - 2021-22 - Bilag 161: Grøn skattereform (første delrapport)
Grøn
skattereform
Side 84
Side 84
og omverdenen. Ved indførelse af en dansk CO
2
-afgift på kvoteomfattede virk-
somheder opstår imidlertid også risiko for lækage fra den danske kvotesektor til
andre EU-lande, og denne risiko opfanges ikke nødvendigvis af de gældende kri-
terier for tildeling af gratiskvoter. Der kan derfor være virksomheder med betyde-
lig lækagerisiko, som ikke tildeles bundfradrag.
Generelt bemærkes det, at jo flere virksomheder der omfattes, jo større vil den
administrative udfordring være. Modsat kan målretning medføre statsstøtteretlige
udfordringer og må desuden forventes at medføre løbende pres for, at flere virk-
somheder/brancher omfattes. Udfordringer ved implementering af bundfradrag i
praksis uddybes nedenfor.
4.5.2 Aktivitetsbaseret bundfradrag i praksis
I ovenstående afsnit er beskrevet effekten af et aktivitetsbaseret bundfradrag,
hvis dette indrettes fuldstændigt efter de teoretiske principper. I praksis vil effek-
ten af et aktivitetsbaseret bundfradrag dog afhænge af, hvilket mål for virksom-
hedens produktion fradraget konkret baseres på. Det kunne fx være dansk fysisk
produktion eller værditilvækst.
Et aktivitetsbaseret bundfradrag vil øge den aktivitet, som tilskuddet målrettes ef-
ter. Formålet med et aktivitetsbaseret bundfradrag er netop at øge aktiviteten og
dermed modvirke erhvervsstrukturelle reduktioner. Bundfradraget vil dog yder-
mere give incitament til at forvride produktionen, så et større grundlag omfattes
af bundfradrag. Disse uhensigtsmæssige forvridninger af virksomheders adfærd
vil øge de samfundsøkonomiske omkostninger ligesom det kan medføre ændrin-
ger i virksomheders produktion og dermed deres CO
2
-udledninger.
I det følgende er uddybet forvridninger af virksomheders adfærd for et bundfra-
drag, der er målrettet hhv. fysisk produktion og værditilvækst.
Et bundfradrag baseret på dansk fysisk produktion vil virke som et tilskud til pro-
duktion af disse varer. Hvis et bundfradrag baseres på fysisk produktion af varer,
vil hver enkelt type vare, der modtager et bundfradrag, skulle defineres. Ved fx
stålproduktion vil det være et bundfradrag på x kr. pr. ton produceret stål i Dan-
mark. Er der fx to typer stål, skal der indrettes to typer bundfradrag til stål.
Alt efter hvordan produkterne, der omfattes af et bundfradrag, defineres, vil for-
bruget forvrides over mod disse typer produkter. I det omfang tilskuddet fx gives
til CO
2
-intensiv produktion, vil det forskyde produktion mod CO
2
-intensive pro-
dukter.
Derudover vil et bundfradrag for alle produktvarianter kræve detaljeret viden om
CO
2
-intensiteten i hvert produkt. Der vil således være mærkbare implemente-
ringsudfordringer forbundet med at indrette denne type bundfradrag, samtidig
med at det kræver årlige eftersyn i form af fx revisorerklæringer og lignende.
Det taler for at indrette bundfradraget til få afgrænsede varegrupper, som er sær-
ligt lækageudsatte. Det kan fx være produkter som stål, jern, aluminium, cement
og gødning.
KEF, Alm.del - 2021-22 - Bilag 161: Grøn skattereform (første delrapport)
Grøn
skattereform
Side 85
Side 85
Indrettes bundfradraget til et eller få produkter, skal det undersøges, om en kon-
kret indretning vil være i overensstemmelse med statsstøttereglerne. Det vurde-
res umiddelbart vanskeligt at indrette et bundfradrag, der har generel karakter, er
målrettet aktivitet og samtidig omfatter en række specifikke produkter.
I forhold til produkter som stål, jern, aluminium, cement og gødning bemærkes,
at EU-Kommissionen som en del af deres forslag til en CO
2
-grænsetilpasnings-
mekanisme (CBAM) har foreslået at omfatte disse varegrupper for at adressere
risikoen for CO
2
-drivhusgaslækage fra EU til tredjelande med en mindre ambitiøs
klimapolitik. Den særlige status, som disse varer kunne have i form af lækageud-
sathed, minimeres derfor i forhold til lande uden for EU med indførelse af CBAM.
Dog vil CBAM ikke være et værn mod lækage til andre EU-lande.
På baggrund af vanskelighederne ved at opgøre de enkelte virksomheders pro-
duktion i fysiske enheder kan aktiviteten omfattet at et bundfradrag alternativt op-
gøres ved værditilvæksten med udgangspunkt i virksomhedernes momsregn-
skab.
Hvis bundfradraget skal baseres på den indenlandske aktivitet, skal eksportsalg
medregnes i værditilvæksten, mens importudgifter skal fratrækkes. Dertil kom-
mer, at der vil være et incitament for virksomhederne til at flytte deres økonomi-
ske aktiviteter til de enheder, der har et bundfradrag. Fx via opkøb af afgiftsplig-
tige virksomheder, ændrede interne afregningspriser eller ved at flytte ikke-CO
2
-
krævende processer ind i virksomheden. Dermed øges værditilvæksten og
grundlaget omfattet af bundfradraget.
Hvis et bundfradrag skal målrettes CO
2
-intensive virksomheder, giver det yderli-
gere praktiske problemer. Erfaringen viser, at det ved fastlæggelse af bundfra-
draget er vanskeligt at skelne mellem energiintensive og ikke-energiintensive
virksomheder ud fra generelle kriterier. Særligt kan virksomheder have både
energiintensiv og ikke-energiintensiv produktion, hvorved det reelt er de enkelte
aktiviteter i virksomheden, der skal vurderes. En afgiftslempelse, der afhænger af
særlige forhold, giver desuden incitament til kunstige opdelinger af virksomheder,
med henblik på at en del af virksomheden skal omfattes af de lempede afgifter.
De implementeringsmæssige, administrative og statsstøtteretlige problemstillin-
ger ved bundfradrag, som er beskrevet ovenfor, kan gøre bundfradrag til et mere
uhensigtsmæssigt instrument til at modvirke lækage set i forhold til andre meto-
der, som for eksempel kombinationen af lempede afgiftssatser og tilskud,
jf. kapi-
tel 2.
4.5.3 Modeller med bundfradrag
Med udgangspunkt i ovenstående er der skønnet over konsekvenserne af et akti-
vitetsbaseret bundfradrag. I beregningerne er der ikke medtaget forvridninger
ved at målrette et bundfradrag i praksis,
jf. afsnit 4.5.2.
For at imødegå risiko for lækage kan der gives et bundfradrag eller alternativt en
afgiftslempelse i den ensartede CO
2
-afgift for konkurrenceudsatte og CO
2
-inten-
sive virksomheder. I det følgende er der derfor sammenlignet modeller med hen-
holdsvis bundfradrag og lempede afgiftssatser, hvor afgiftssatser inkl. bundfra-
drag svarer omtrent til de lempede afgiftssatser.
KEF, Alm.del - 2021-22 - Bilag 161: Grøn skattereform (første delrapport)
Grøn
skattereform
Side 86
Side 86
Først sammenlignes modeller, hvor der gives henholdsvis et bundfradrag og en
lempet afgiftssats udelukkende til mineralogiske processer mv.
I model B.1. gives et bundfradrag på ca. 76 pct. til mineralogiske processer mv.,
så afgiftssatsen inkl. bundfradrag udgør ca. 100 kr. pr. ton CO
2
. I model B.2 lem-
pes afgiftssatsen til 100 kr. pr. ton CO
2
for mineralogiske processer mv. I begge
modeller er der et nedslag i afgiftssatsen for kvoteprisen på 50 pct.
I model B.1 gives desuden et tilskud til CCS fra negative udledninger svarende til
afgiftssatsen i ikke-kvotesektoren. I model B.2 er der et yderligere merprovenu,
givet at der ikke er en omkostning til bundfradrag. Derfor gives yderligere tilskud
til CCS, så det tilbageværende provenu i de to modeller er ens.
Beregningerne viser, at et bundfradrag sikrer en stor andel tekniske reduktioner,
og en meget præcis tilbageførsel af provenu til de virksomheder, der bliver ramt
af CO
2
-afgiften. Beregningerne bekræfter altså det teoretiske resultat om, at in-
troduktion af et bundfradrag for en given afgiftssats sænker de erhvervsstruktur-
elle effekter, men bevarer incitamentet for tekniske reduktioner svarende til den
marginale afgiftssats.
Beregningerne indikerer imidlertid også, at der i de to modeller er stort set
samme erhvervsstrukturelle og tekniske reduktioner samt niveau af samfunds-
økonomiske omkostninger,
jf. tabel 4.3.
Herefter sammenlignes en model med et bundfradrag til alle kvoteomfattede sek-
torer med en model med tilsvarende lempede afgiftssatser.
I model B.3 gives et bundfradrag på ca. 86 pct. for mineralogiske processer mv.
og ca. 50 pct. for de resterende kvoteomfattede sektorer. I model B.4 lempes
satsen for mineralogiske processer mv. til 100 kr. pr. ton CO
2
, og der gives et
nedslag i afgiftssatsen for kvoteprisen på 50 pct. for de resterende kvotesektorer.
I model B.3 med bundfradrag betyder den marginale afgiftssats på 750 kr. pr. ton
CO
2
for alle sektorer, at der vil blive foretage CCS for både fossile og negative
udledninger op til denne marginale omkostning. I model B.4 uden bundfradrag gi-
ves tilskud til CCS til både fossile og negative udledninger, så modellerne ikke
afviger på dette punkt. I model B.4 er der et yderligere merprovenu, givet at der
ikke er en omkostning til bundfradrag. Derfor gives yderligere tilskud til CCS i for-
hold til model B.3, så det tilbageværende provenu i de to modeller er omtrent
ens.
Sammenligningen af de to modeller giver samme overordnede resultat som ved
model B.1. og B.2, nemlig at de indebærer omtrent ens erhvervsstrukturelle og
tekniske effekter. Derudover er de samfundsøkonomiske omkostninger lavere i
bundfradragsmodellen, men forskellen er begrænset,
jf. tabel 4.3.
I bundfradragsmodellerne er der, som nævnt, ikke taget højde for forvridninger af
virksomheders adfærd, hvorved de samfundsøkonomiske omkostninger er væ-
sentligt undervurderede, og reduktionen i marginalomkostningerne ved et bund-
fradrag sandsynligvis er mindre.
Samlet set indikerer beregningerne, at bundfradrag ikke er en samfundsøkono-
misk billigere metode til at reducere risiko for lækage for de mest CO
2
-intensive
og konkurrenceudsatte virksomheder end lempede afgiftssatser og tilskud til
CCS.
KEF, Alm.del - 2021-22 - Bilag 161: Grøn skattereform (første delrapport)
2525505_0088.png
Grøn
skattereform
Side 87
Side 87
Tabel 4.3. Sammenligning af hovedresultater for modeller med samme
gennemsnitlige sats ved henholdsvis bundfradrag og lempede afgiftssatser
2030
Sats (ikke-kvote/kvote/mi-
neralogiske processer mv.)
CCS-tilskudssats til fossile
og negative udlednin-
ger/kun til negative udled-
ninger
3)
Model B.1
800/425
-/800
Model B.2
800/425/100
-/825
Model B.3
750
-/750
Model B.4
750/375/100
825/-
Bundfradrag
76 pct. til mine-
ralogiske pro-
cesser mv.
86 pct. og 50
pct. til hen-
holdsvis mi-
neralogiske
-
processer mv.
og andre kvo-
teomfattede
områder
3,3
67
33
3,5
71
29
-
CO
2
-reduktioner
2030
Mio. ton
3,5
66
34
3,5
71
29
Tekniske re-
Pct.
duktioner
Erhvervs-
Pct.
strukturel
Økonomiske konsekven-
ser
Umiddelbar
erhvervsbe-
Mia. kr.
lastning
1)
Provenu efter
adfærd og
Mia. kr.
CCS
2)
Samfundsøkonomi
Gennemsnit-
lig skyggepris
Marginal
skyggepris
Kr. pr. ton
Kr. pr. ton
450
800
475
825
475
750
500
825
2,5
0,4
2.5
0,4
2,2
0
2.2
0
Anm.: Provenuvirkninger er afrundet til nærmeste 50 mio. kr. Samfundsøkonomiske omkostninger er afrundet til
nærmeste 25 mio. kr. Totaler kan afvige fra summen på grund af afrundinger. Satser vises i 2022-priser, mens
provenuvirkninger vises i 2022-niveau. Det er antaget, at afgifterne løbende indekseres med det generelle
prisniveau. Tilbageløbet er regnet under antagelse af fuld nedvæltning i lønninger,
jf. afsnit 2.4.
Det er
beregningsteknisk antaget, at et eventuelt mindreprovenu dækkes af en forøgelse af bundskatten, og at et
eventuelt merprovenu i 2030 anvendes til en generel nedsættelse af selskabsskatten.
Note 1: Opgjort ekskl. omlægning af rumvarme.
Note 2: Opgjort efter omlægning af rumvarmeafgiften og tilskud til CCS.
Note 3:
Hvis tallet befinder sig til venstre for ”/”, da angiver det en tilskudssats til CCS både til fossile og negative
udledninger. Hvis tallet befinder sig til højre for ”/”, da angiver det
en tilskudssats til CCS kun til negative
udledninger.
Kilde: Egne beregninger.
4.6 Anvendelse af provenu
De afgiftsmodeller, hvor provenuet ikke anvendes til tilskud, efterlader et merpro-
venu, der kan benyttes til lempelse af de generelle skatter. Det gælder blandt an-
det hovedmodel 1.
Som nævnt er det grundlæggende svært at tilbageføre provenuet til de virksom-
heder og brancher, som rammes hårdest af CO
2
-afgiften, såfremt det skal gøres i
KEF, Alm.del - 2021-22 - Bilag 161: Grøn skattereform (første delrapport)
2525505_0089.png
Grøn
skattereform
Side 88
Side 88
det generelle skattesystem. Generelle skattelempelser vil typisk ikke være mål-
rettet netop disse virksomheder.
I det følgende vises effekterne af at anvende provenuet til at lempe selskabsskat-
ten, som er udgangspunktet i modellerne med et overskydende provenu.
Tabel
4.4
viser lempelsen, hvis provenuet fra model 1 benyttes til at sænke den gene-
relle selskabsskattesats.
Tabel 4.4. Effekter af en selskabsskattelempelse i model 1
Belastning
fra CO
2
-af-
gift efter til-
pasning
Transport
Færger
1
Fiskere
Jernbanen
1
Indenrigsfly
Industri
Alm. proces
Føde-, drikke- og tobaksvarein-
dustri
Kemisk industri
50
50
50
Bygge og anlæg
Maskin-, elektronik- og tekstilin-
dustri
Landbrug mv.
Gartnerier
Nordsøen
Raffinaderier
Mineralogiske processer mv.
heraf cement
2
Træindustri
Medicinalindustri
Service
Bil-, detail- og engroshandel
Finansiel service
Øvrige serviceerhverv
El og varme
Elproduktion
I alt
100
2.150
120
1.530
-20
630
21.200
1.918.500
0
0
0
260
310
250
-260
-310
-250
488.100
79.600
750.700
150
0
250
50
300
200
350
150
0
0
20
20
10
60
190
10
0
30
0
20
-
0
200
40
20
10
80
-190
260
50
290
220
330
-
0
-200
49.900
11.300
77.600
192.600
114.200
64.700
3.700
4.500
500
14.100
300
8.800
24.400
1
Reduktion i
selskabs-
skat
Mio. kr.
Samlet be-
lastning ef-
ter sel-
skabsskat
Antal be-
skæftigede
Personer
350
150
50
50
20
0
0
0
340
130
30
50
2.900
2.400
6.900
400
Anm.: Reduktionen i selskabsskat er beregnet ved brug af tabel SELSK3 fra Danmarks Statistik. Belastning efter
tilpasning er afrundet til nærmeste 50 mio. kr., reduktion i selskabsskat og belastning efter selskabsskat til
nærmeste 10 mio. kr. og antal beskæftigede til nærmeste 100 personer.
Note 1: Der er ekstra usikkerhed om beregningerne for transporterhvervene ekskl. fiskeri på grund af
datamæssige udfordringer med af adskille jernbane og togtransport fra den resterende landtransport og med at
adskille indenrigstransporten for sø- og luftfart fra udenrigstransport,
jf. tabel 2.5.
KEF, Alm.del - 2021-22 - Bilag 161: Grøn skattereform (første delrapport)
Grøn
skattereform
Side 89
Side 89
Note 2: For cementproduktion er det ikke muligt at beregne reduktion i selskabsskatten og dermed heller ikke
samlet belastning efter selskabsskat.
Kilde: Egne beregninger.
Lempelsen vil især gå til brancher med få eller ingen CO
2
-udledninger. Der er så-
ledes overordnet ingen klar sammenhæng mellem store CO
2
-udledninger og
høje selskabsskattebetalinger. Selskabsskattelempelsen tildeles især den finan-
sielle sektor, medicinalindustrien og øvrige store serviceerhverv og anden indu-
stri. Omvendt modtager mineralogiske processer mv., raffinaderierne og fiskeriet
ikke betydelige lempelser.
En lempelse af selskabsskatten kan imidlertid have positive struktureffekter, som
kan imødegå det samfundsøkonomiske tab, der sker ved en forhøjelse af CO
2
-
afgiften. Selskabsskattelempelser giver en samfundsøkonomisk gevinst ved at
påvirke investeringsomfanget og dermed kapitalapparatet pr. beskæftiget og ar-
bejdsproduktiviteten. Det får de generelle lønninger til at stige.
I sidste ende er det husholdningerne der, ligesom ved CO
2
-afgiften, påvirkes af
en selskabsskattelempelse gennem højere lønninger bredt set. Derudover for-
ventes den at have nogenlunde samme fordelingsprofil som CO
2
-afgiften. Det
kan begrunde, at et overskydende provenu fra CO
2
-afgiften disponeres til netop
en selskabsskattelempelse.
Lempelse af den almindelige elafgift
Ønsker man at kompensere forbrugeren mere direkte, kan man alternativt sænke
andre forbrugerrettede skatter og afgifter. Her kan overvejes generelle person-
skatter eller en lempelse af fx den almindelige elafgift. En lempelse af elafgiften
fokuseres mere mod de lavere indkomstgrupper end selskabsskatten, da de bru-
ger en større del af deres disponible indkomst på forbrug af el, sammenlignet
med de højere indkomstdeciler. En lempelse af den almindelige elafgift vil såle-
des isoleret set svare til en reduktion af indkomstforskellene.
Indførelse af en afgift på fossile brændsler til elproduktion taler for, at der ikke
også skal være en afgift på forbruget af el, da der som udgangspunkt ikke bør
være en afgift på forbruget af el fra vedvarende energi. Lempelsen af den almin-
delige elafgift kan ses i sammenhæng med, at elvarmeafgiften og elafgiften til
procesformål alene svarer til Energibeskatningsdirektivets minimumsafgifter på
el, dvs. henholdsvis 0,8 øre pr. kWh for husholdninger og 0,4 øre pr. kWh for er-
hverv.
KEF, Alm.del - 2021-22 - Bilag 161: Grøn skattereform (første delrapport)
2525505_0091.png
Grøn
skattereform
Side 90
Side 90
Hovedtræk i nuvæ-
rende regulering
5
KEF, Alm.del - 2021-22 - Bilag 161: Grøn skattereform (første delrapport)
Grøn
skattereform
Side 91
Side 91
5.0 Hovedtræk i
nuværende regule-
ring
Ekspertgruppens overvejelser og anbefalinger skal ses i sammenhæng med den
nuværende regulering af drivhusgasudledninger. I dag er der både energiafgifter,
en CO
2
-afgift og andre afgifter på fossile brændsler mv. Der er ligeledes en
række tilskudsordninger, der har til hensigt at understøtte den grønne omstilling.
Desuden er der kvoter på visse udledninger
som følge af EU’s kvotehandelssy-
stem. Afgifterne opgjort i forhold til CO
2
-udledninger varierer på tværs af sektorer
og brændsler. Der er områder med meget høje afgifter på CO
2
-udledninger, og
der er områder med lav eller ingen CO
2
-afgift. Tilskudsordningerne er kun i me-
get begrænset omfang målrettet CO
2
-udledninger. Dette kapitel redegør for den
nuværende regulering i Danmark og EU og sammenligner det danske afgiftssy-
stem med beskatning af CO
2
i udvalgte lande. Der er alene set på direkte regule-
ring af udledning af CO
2
og ikke på anden regulering, som kan have indirekte
indflydelse.
5.1 Det nuværende afgiftssystem
Det nuværende afgiftssystem relateret til drivhusgasudledninger består primært
af energiafgifter og en CO
2
-afgift på en del af udledningerne. Da CO
2
-udlednin-
gen følger forbruget af de enkelte typer af fossile brændsler, vil afgifterne på fos-
sile brændsler også være lig med afgifter på CO
2
-udledninger.
Afgifterne omfatter primært udledninger, der kommer fra fossile brændsler. Der-
med er ikke-energirelaterede udledninger ikke afgiftsbelagt. De ikke-energirelate-
rede udledninger er i langt overvejende grad landbrugets udledninger af andre
drivhusgasser end CO
2
samt skoves og øvrige arealers udledninger og optag af
CO
2
e (den såkaldte LULUCF-sektor)
18
.
I
tillæg til afgifterne betaler virksomheder, der er omfattet af EU’s kvotehandels-
system, en kvotepris for deres marginale årlige CO
2
-udledninger, men modtager
samtidig en del af kvoterne gratis. I dag er langt de fleste kvoteomfattede virk-
somheders produktion undtaget fra den danske CO
2
-afgift af hensyn til at undgå
dobbeltregulering (både kvotebetaling og national CO
2
-afgift).
18
Opgørelseskategorien Land Use, Land Use Change and Forestry (LULUCF) dækker over udledninger og op-
tag fra især skove og jorde.
KEF, Alm.del - 2021-22 - Bilag 161: Grøn skattereform (første delrapport)
Grøn
skattereform
Side 92
Side 92
Det nuværende afgiftssystem indeholder en lang række afgiftsfritagelser og diffe-
rentierede afgiftssatser i forhold til CO
2
-udledninger.
Energiafgiften udgør en forholdsvis lille belastning af CO
2
-udledninger, hvis
denne er anvendt til produktion (såkaldt proces) og er desuden differentieret alt
efter sektorer/produktionsprocesser.
Energiafgifter og en CO
2
-afgift tilskynder til at reducere brugen af fossile brænds-
ler og dermed CO
2
-udledninger. Energiafgifter er i dag balanceret efter energiind-
hold i de fossile brændsler, mens CO
2
-afgiften er balanceret efter de enkelte
brændslers CO
2
-indhold.
Målrettes energiafgifterne efter CO
2
-indhold, vil det ændre på afgiftsbelastningen
af de enkelte brændsler. Kul har fx et højt CO
2
-indhold pr. energienhed, mens
naturgas har et relativt lavere CO
2
-indhold pr. energienhed. Dermed vil kul få en
relativ højere afgiftsbelastning i forhold til fx naturgas. Det vil have betydning for
den samlede mængde anvendelse af fossile brændsler og dermed også CO
2
-ud-
ledning.
Differentiering i niveauet for afgifter efter anvendelse har den konsekvens, at er-
hvervenes energiafgift til produktion er relativt lav, og at afgiften for energiforbrug
i landbruget og gartnerier samt til de såkaldte mineralogiske processer mv. er la-
vere end for den øvrige industri,
jf. figur 2.4.
Afgifterne er væsentligt højere for husholdningerne end for erhvervene. Det be-
mærkes dog, at erhvervene betaler samme afgifter som husholdningerne for for-
brug til komfortopvarmning i kontorer mv. og varmt brugsvand, der er af hushold-
ningslignende karakter (såkaldt rumvarme). Visse energirelaterede udledninger
er afgiftsfritaget, herunder udledninger fra Nordsøen, raffinaderier, søfart, luftfart
og jernbanetransport. Hertil kommer, at afgiftsbelastningen er differentieret på
tværs af brændsler opgjort pr. ton CO
2
,
jf. figur 2.4.
Alle sektorer, der er omfattet af EU’s kvotehandelssystem, betaler en kvotepris
for deres CO
2
-udledninger. Procesudledninger fra industrielle processer er ikke
pålagt afgifter, men størstedelen af udledninger fra industrielle processer er om-
fattet af EU’s kvotehandelssystem.
Virksomheder, som vurderes at være i risiko
for at udflytte produktion uden
for EU som følge af EU’s klimaregulering,
tildeles i
varierende grad gratiskvoter,
jf. afsnit 5.3.
Modtagere af gratiskvoter bærer såle-
des ikke den fulde omkostning ved udledningerne. På marginalen har modtagere
af gratiskvoter dog fortsat det fulde incitament til CO
2
-reduktioner, svarende til
kvoteprisen.
Nogle danske virksomheder med energitunge processer uden for kvotesektoren
modtager med gældende regler et bundfradrag i deres betaling af den nuvæ-
rende CO
2
-afgift. Bundfradraget blev indført med henblik på at sidestille dem
med gratiskvoter hos virksomheder inden for kvotesektoren,
jf. afsnit 4.5.
Tabel 5.1 viser strukturen for de nuværende afgifter (energi og CO
2
) og kvotepris
på CO
2
-udledning.
Derudover er der afgifter på visse industrielle drivhusgasser (fluorgasserne CFC,
HFC’er, PFC’er og SF
6
), hvor afgiften er balanceret efter niveauet for CO
2
-afgif-
ten.
KEF, Alm.del - 2021-22 - Bilag 161: Grøn skattereform (første delrapport)
2525505_0094.png
Grøn
skattereform
Side 93
Side 93
Endvidere er der energiafgifter på elforbrug. Formålet med afgiften på elforbrug
er hovedsageligt fiskalt begrundet. Et lavere elforbrug vil indirekte reducere CO
2
-
udledninger, i det omfang elektriciteten produceres med fossile brændsler. Afgif-
terne på elforbrug er dog ikke målrettet i forhold til at reducere CO
2
-udledning,
som finder sted i forbindelse med produktion af fossil el. Dertil kommer, at udled-
ninger fra elproduktion er omfattet af EU’s kvotehandelssystem.
Tabel 5.1. Nuværende afgifts- og kvotebelastning i 2022 fordelt på udvalgte
anvendelsesområder
(2022-priser)
Energiafgift
CO
2
-afgift
Kr. pr. ton CO
2
Transport
Benzin
2)
Diesel
2)
Færger
Fiskere
Jernbanen
Indenrigsfly
Industri
Alm. proces (ikke-ETS)
Alm. proces (ETS)
Landbrug mv. (ikke-ETS)
4)
Landbrug mv. (ETS)
4)
Nordsøen
Raffinaderier
Mineralogiske processer mv.
(energi)
5)
Mineralogiske processer mv. (ikke-
energi)
5)
El og varme
Elproduktion
Rumvarme (ikke-ETS)
Rumvarme (ETS)
-
661-1.482
7)
661-1.482
7)
-
179,2
179,2
601
-
601
601
840-1.662
7)
1.441-
2.262
7)
78,9
3)
78,9
3)
20,3-26,3
6)
26,3
3)
-
-
-
-
179,2
-
179,2
-
-
-
-
-
601
-
601
601
601
601
601
258
680
200-206
627
601
601
601
601
1.978
1.133
-
-
-
-
179,2
179,2
-
-
179,2
-
-
-
-
-
-
601
2.021
1.237
-
-
179,2
601
Kvote
1)
I alt
Kr. pr. ton
CO
2
Anm.: Der er i ovenstående ikke taget højde for, at der uddeles en væsentlig andel af gratiskvoter, dvs.
virksomheder afholder ikke nødvendigvis kvoteprisen. Der er taget udgangspunkt i naturgas for rumvarme og
proces. Der er i tabellen set bort fra SO
2
- og NOX-afgiften samt eventuelt fiskalt indhold i tarifferne. Med
Aftale
om grøn skattereform
er der aftalt en forhøjelse af energiafgiften for erhverv med 6 kr. pr. GJ, som indfases for
alm. proces fra 2023 og landbrug mv. og mineralogiske processer mv. fra 2025. De er dog endnu ikke
implementeret og indgår derfor ikke i opgørelsen.
1) Kvoteprisen varierer over tid. Der er brugt en en kvotepris på ca. 601 kr. pr. ton CO
2
, svarende til prisen i
december 2021.
2) Udover energi- og CO
2
-afgift er der på bilområdet yderligere CO
2
-relaterede afgifter ved anskaffelse og
ejerskab (registreringsafgift og grøn ejerafgift). Andelen af VE-brændstoffer forudsættes at være 9,8 volumenpct.
for benzin (E10). For diesel forudsættes andelen af VE-brændstoffer at være 6,8 volumenpct. i 2022 (B7-diesel)
og 12,8 pct. i 2030.
3) Beregnet med emissionsfaktor for naturgas.
4) Landbrug mv. betaler enten 1,6 pct. af den fulde afgift eller den faktiske EU-minimumssats. Disse satser er
forholdsvis ens.
KEF, Alm.del - 2021-22 - Bilag 161: Grøn skattereform (første delrapport)
Grøn
skattereform
Side 94
Side 94
5) Omfatter mineralogiske og metallurgiske processer (cement, teglværker, glas, mineraluld (isolering),
stålvalseværk mfl.). Disse er kvoteomfattede og betaler ikke CO
2
-afgift.
6) Afgiftssatser er for energirelaterede udledninger fra hhv. landbrug (beregnet med emissionsfaktor for olie) og
gartnerier (beregnet med emissionsfaktor for naturgas).
7) Afgifter udgør hhv. 661 kr. pr. ton CO
2
for kul, 851 kr. pr. ton CO
2
for olie, 1.284 kr. pr. ton CO
2
for naturgas og
en gennemsnitlig opgjort afgift for fossilt og biogent affald udgør 1.482 kr. pr. ton CO
2
.
Kilde: Egne beregninger
Drivhusgasudledningerne fra afbrænding af biomasse opgøres som CO
2
-neu-
trale i
henhold til internationale regler og FN’s opgørelsesmetode.
De internatio-
nale regler tilsiger, at udledninger fra biomasse ikke opgøres ifm. afbrænding til
fx energiformål, men i stedet registreres i det land, hvor biomassen høstes. Af
samme grund indgår biomasse som en vedvarende energikilde i fx kraftvarme-
produktionen og er ikke pålagt energiafgifter. Fra 30. juni 2021 stilles der i Dan-
mark lovkrav til blandt andet bæredygtigheden af træbiomasse til energi, som går
længere end EU’s krav.
Lovkravene betyder blandt andet, at der i Danmark ikke
må bruges biomasse fra lande, hvis skove er i tilbagegang, medmindre det kom-
mer fra bæredygtigt forvaltede skove, eller der er tale om restprodukter.
5.2 Nuværende tilskudssystem
Der findes i dag en række forskellige tilskudspuljer, der har til hensigt at under-
støtte den grønne omstilling,
jf. boks 5.1.
Hensynet bag støttetildelingen på tværs af de eksisterende støtteordninger har
ikke været at give en ensartet støtte pr. fortrængt ton CO
2
, men har blandt andet
været et ønske om at fremme forskellige formål som fx vedvarende energi eller
energieffektiviseringer. Når der gives tilskud som
prisstøtte,
gives tilskuddet ty-
pisk pr. energienhed og dermed ikke pr. CO
2
-enhed. For puljer, hvor støtten gi-
ves som
anlægsstøtte,
fx de nuværende bygnings- og erhvervspuljer, gives der
tilsvarende ikke en ensartet støtte pr. fortrængt ton CO
2
.
De nuværende tilskudsordninger, der relaterer sig direkte eller indirekte til udled-
ninger fra energiforbrug og industri, er primært følgende (listen er ikke udtøm-
mende):
Tilskud til vedvarende elproduktion
Tilskud til biogas
Tilskudspuljer til husholdninger, erhverv og det offentlige til blandt andet
energieffektiviseringer, skifte til vedvarende energi eller mindre CO
2
-udle-
dende fossile kilder
Grundbeløbspuljer
Tilskudspuljer til nye teknologier (fx CCS og PtX) samt forskning, udvikling
og demonstration.
Der er for støtteordningerne sket en udvikling mod i højere grad at lade teknolo-
gier konkurrere mod hinanden via teknologineutrale udbud.
Et eksempel er de teknologineutrale udbud for VE-elproduktion fra 2018, hvor
projekter inden for landvindmøller, solceller, bølgekraft, vandkræftværker og
åben-dør-havvindmøller kan søge.
Tilskuddene varierer på tværs af anvendelse og på tværs af teknologier. Tilskud-
dene varierer endvidere i måden, støtten gives på. Støtte tildeles således både
som engangstilskud til anlægsinvestering og som forskellige former for prisstøtte,
KEF, Alm.del - 2021-22 - Bilag 161: Grøn skattereform (første delrapport)
2525505_0096.png
Grøn
skattereform
Side 95
Side 95
som kan fungere via CfD
19
, garanteret afregningspris eller fast pristillæg. Dette
betyder ofte i praksis, at støtteniveauerne og støtte pr. energienhed falder med
tiden, og at der i dag gives forskellig støtte til samme teknologi afhængig af op-
førselstidspunkt.
Boks 5.1
Beskrivelse af nuværende tilskudsordninger
Tilskudsordninger til vedvarende elproduktion (VE) omfatter ordninger til at fremme vedva-
rende energi, herunder elproduktion fra biomasse, biogas, landvindmøller, havvindmøller
og solceller. Formålet med tilskud til VE-elproduktion er i høj grad at fremme vedvarende
energikilder ved at gøre dem konkurrencedygtige sammenlignet med fossile energikilder.
De nuværende ordninger for støtte til biogas omfatter biogas til transport, proces og varme
samt opgradering af biogas, som føres ind i gasnettet. Støtten afhænger af gasprisen og
biogasproduktionens omfang, hvorfor der er stor usikkerhed om de forventede omkostnin-
ger til støtten frem mod 2030. Den nye pulje til biogas, der blev fastlagt med
Klimaaftale for
energi og industri mv.
fra 2020, har til formål at støtte biogas, der opgraderes og føres ind i
gasnettet med henblik på at fortrænge naturgas.
En række af tilskudspuljerne til husholdninger, erhverv og det offentlige blev indført med
Energiaftale 2018,
blandt andet med det formål at få udskiftet olie- og gasfyr med grøn-
nere opvarmning som varmepumper og fjernvarme. Derudover er Erhvervspuljen indført
med det formål at effektivisere og omstille virksomhedernes energiforbrug og dermed re-
ducere CO
2
-udledninger.
Grundbeløbspuljer dækker over nogle mindre puljer målrettet tidligere
‘grundbeløbsvær-
ker’ og deres kunder. Grundbeløb er historisk blevet givet til mindre
naturgasfyrede kraft-
varmeværker for at stå til rådighed med elkapacitet, men er nu bortfaldet. Støtten, som er
under udfasning, består af rådgivningsindsatser, støtte til skift til vedvarende energi, hånd-
tering af strandede omkostninger samt tilskud til varmepumper på abonnement. Derud-
over et investeringstilskud (etableringsstøtte) til at fortrænge fossile brændsler fra fjernvar-
meproduktionen.
Puljerne til udvikling af nye teknologier omfatter blandt andet en ny pulje til fangst, anven-
delse og lagring af CO
2
(CCUS) grundlagt med
Klimaaftale for energi og industri mv.
fra
2020, som skal fremme fangst og lagring af CO
2
og dermed bidrage til at levere drivhus-
gasreduktioner frem mod 2030. Yderligere blev det med Finansloven 2022 aftalt, at fangst
af CO
2
mv. skal give 0,5 mio. ton i CO
2
reduktioner fra 2025. EUDP-midlerne kan søges til
udvikling af nye energiteknologier og har til formål at øge Danmarks forsyningssikkerhed
under hensyntagen til det globale klima og et renere miljø.
I dag er der endvidere aftalt støtteordninger til CCS, herunder bl.a. tilskud til ne-
gative udledninger fra delaftale til Finanslov 2022
Investeringer i et fortsat grøn-
nere Danmark.
CCS er umiddelbart relevant for enkelte punktkilder inden for in-
dustrien, affaldsforbrændings-, biogas- og biomasseanlæg. Ved at støtte CCS-
teknologien vurderes det muligt at hente betydelige CO
2
-reduktioner, om end der
er behov for et betydeligt tilskud,
jf. boks 5.2.
19
Med
“Contract for Difference” (CfD) bydes på en elpris. Når elprisen er under budprisen, betaler staten prisforskel-
len til byder, og omvendt når prisen er over budprisen.
KEF, Alm.del - 2021-22 - Bilag 161: Grøn skattereform (første delrapport)
2525505_0097.png
Grøn
skattereform
Side 96
Side 96
Boks 5.2
CCS
Fangst og lagring af CO2 eller Carbon Capture and Storage (CCS) virker ved at indfange
CO
2
og deponere den i undergrunden. Via CCS kan man blandt andet indfange de fossile
eller biogene udledninger fra afbrænding i affaldsforbrændingsanlæg eller fange den
CO
2
, der frigives, når kalk brændes til cement. Man kan også fange den CO
2
, der udledes,
når biomasse brændes til energiproduktion.
Teknologierne er kendte og benyttes i visse former allerede i dag kommercielt. Der er dog
begrænset erfaring med anvendelse i stor skala i Danmark. Der er derfor behov for udvik-
ling og modning af de allerede eksisterende teknologier. I dag vurderes det muligt at fange
ca. 90 pct. af den udledte CO
2
.
Med udgangspunkt i de tekniske omkostninger og den forventede kvotepris skønnes det
med stor usikkerhed, at ca. 3,3 mio. ton CO
2
-reduktioner kan realiseres ved fangst og lag-
ring af CO
2
fra fossile og biogene kilder ved et initialt støtteniveau stigende fra afgifts- og
tilskudsincitament i spændet 600 til 1.000 kr. pr. ton CO2. Det faktiske støttebehov afhæn-
ger af afgiftssatsen.
Endelig skal det bemærkes, at ved en højere betalingsvillighed for CO
2
, fx gennem et mar-
ked, hvor CO
2
efterspørges til anvendelse i fx Power-to-X, kan betalingsvilligheden over-
stige det skønnede støtteniveau, hvilket alt andet lige vil reducere effekterne af en CCS-
pulje, men imidlertid frigive midler til andre potentielle reduktioner.
5.3 EU-forpligtelser og EU-mål for 2030
(“Fit for 55”)
EU-regulering bidrager til mere lige konkurrencevilkår og reducerer dermed risi-
koen for lækage og udflytning af arbejdspladser
både inden og uden for EU.
EU’s
klimaregulering består primært af EU’s kvotehandelssystem,
landespeci-
fikke reduktionsforpligtelser for de øvrige sektorer
20
gennem den såkaldte byrde-
fordelingsaftale, samt specifikke mål for vedvarende energi mv.
EU har hævet sit mål for drivhusgasreduktioner fra mindst 40 pct. til mindst 55
pct. i 2030 i forhold til 1990. Europa-Kommissionen har den 14. juli 2021 fremlagt
en stor lovpakke (“Fit for
55”-pakken)
med forslag til en række direktiver og for-
ordninger, der skal understøtte indfrielsen af det øgede mål på EU-niveau.
“Fit
for 55”-pakken er endnu ikke færdigbehandlet, men er beskrevet til sidst i kapit-
let. Derfor gælder fortsat de nuværende EU-regler på klima- og energiområdet,
inkl. de forpligtelser, der følger heraf.
5.3.1 Nuværende EU-regulering
I EU’s kvotehandelssystem reguleres drivhusgasudledninger
fra større anlæg,
herunder størstedelen af el-, fjernvarme- og industrisektoren samt luftfart internt i
20
Disse sektorer er transport, landbrug, husholdninger, øvrige erhverv, affald og et antal mindre, decentrale kraftvarme-
værker.
KEF, Alm.del - 2021-22 - Bilag 161: Grøn skattereform (første delrapport)
2525505_0098.png
Grøn
skattereform
Side 97
Side 97
EU.
21
EU’s kvotehandelssystem
har i dag et EU-mål om reduktion af drivhusgas-
udledninger på 43 pct. i 2030 i forhold til 2005-niveauet. 57 pct. af kvoterne sæt-
tes til salg på auktion, og 43 pct. tildeles som gratiskvoter til virksomheder. Kvo-
terne kan handles frit, og udledningerne prissætter dermed drivhusgasudlednin-
ger for de omfattede sektorer. Kvotehandelen skal dermed bidrage til en omkost-
ningseffektiv indfrielse af det fælleseuropæiske mål.
Kvoterne udløber ikke, og kan i princippet beholdes til evig tid. Derfor kan CO
2
-
kvoter sidestilles med et finansielt aktiv. Det indebærer, at værdifastsættelsen af
kvoter også fremskrives som et finansielt aktiv. I EU-Kommissionens
”Fit
for 55”-
pakke lagde Kommissionen op til, at de vil stramme op på antallet af kvoter i det
nuværende CO
2
-kvotesystem. Det har lagt et opadgående pres på kvoteprisen,
som med den nyeste fremskrivning fra Finansministeriet forventes at være mere
end fordoblet i 2030 sammenlignet med det skøn, der blev benyttet i
Klimastatus
og -fremskrivning 2021, jf. figur 4.3 i afsnit 4.3.
Gratiskvoter
tildeles til virksomheder med det formål at reducere risikoen for, at
konkurrenceudsatte erhverv flytter produktion ud af EU som konsekvens af, at
EU’s klimaregulering er mere ambitiøs end
reguleringen i lande uden for EU.
Producenter kan gemme overskydende gratiskvoter til senere eller sælge dem
på kvotemarkedet. Gratiskvoterne tildeles producenter på baggrund af reglerne
ud fra produceret mængde produkt, fx ton cement, mineraluld, mursten osv., eller
på baggrund af varme- eller brændselsforbruget afhængig af produkterne
22
.
Fjernvarmeproducenter får tildelt kvoter på baggrund af varmen distribueret til
fjernvarmenettet, mens der ikke tildeles kvoter til produktion af elektricitet,
jf.
boks 5.3.
Boks 5.3
Tildeling af gratiskvoter
Tildelingen af gratiskvoter sker ud fra fire faktorer:
1.
2.
Producentens historiske produktion som estimat for den forventede produktion.
Produktets referenceværdi baseret på drivhusgasintensiteten for de 10 pct. mindst drivhus-
gasintensive virksomheder inden for hvert produkt. Det skal give incitament til at reducere
udledningerne.
Produktets lækagefaktor som en vurdering af risikoen for udflytning baseret på international
konkurrence samt drivhusgasintensiteten.
En tværsektoriel korrektionsfaktor, der udgør et loft for, hvor stor en andel af de samlede
kvoter i kvotehandelssystemet der må være gratiskvoter. Loftet er p.t. 43 pct. for perioden
2021-30.
3.
4.
I 2020 modtog 274 producenter og luftfartsoperatører gratiskvoter i Danmark,
hvilket i gennemsnit dækkede ca. 58 pct. af deres udledninger fra 2018-2020.
Mængden af gratiskvoter reduceres løbende, og fra 2021 er gratiskvoteandele
tilpasset til en ny periode i kvotehandelsperioden, så de danske virksomheder i
2021 i gennemsnit modtog ca. 40 pct. af deres kvoter gratis. Frem mod 2030 for-
ventes gratiskvotetildelingen at blive reduceret yderligere, hvilket dog afhænger
21
Derudover er det muligt for medlemslandene at omfatte større affaldsforbrændingsanlæg i ETS, hvilket blandt andet
Danmark har gjort brug af.
22
Dette er en bred kategori, der dækker over flere forskellige aktiviteter, herunder blandt andet stålplader, føde-
vareingredienser og udvinding af olie og gas.
KEF, Alm.del - 2021-22 - Bilag 161: Grøn skattereform (første delrapport)
2525505_0099.png
Grøn
skattereform
Side 98
Side 98
af forhandlinger om revision af EU’s kvotehandelssystem
og CO
2
-grænsetilpas-
ningsmekanismen som led i
“Fit
for 55”-pakken,
jf. nedenfor.
Der er stor variation i tildelingen alt efter, hvor lækageudsatte de forskelligere
sektorer vurderes at være, samt hvor relativt CO
2
-effektiv dansk produktion er i
forhold til de mest CO
2
-effektive inden for hvert produkt. Fx fik dansk cementpro-
duktion tildelt gratiskvoter svarende til 69 pct. af deres udledninger i 2018-2020,
mens det var 18 pct. for den danske forsyningsbranche.
Byrdefordelingsaftalen
udmønter et fælles EU-reduktionsmål på 30 pct. i 2030 i
forhold til 2005 for de ikke-kvoteomfattede sektorer, herunder landbrug, trans-
port, dele af individuel bygningsopvarmning samt ikke-kvoteomfattet procesener-
giforbrug. Retligt bindende, årlige reduktionsforpligtelser er fordelt mellem lan-
dene ud fra primært velstandsniveau. Danmarks reduktionsmål er 39 pct. i 2030 i
forhold til 2005. Reduktionsmålet i byrdefordelingsaftalen kan opnås via natio-
nale reduktionstiltag og fælles EU-regulering.
Der er desuden mulighed for at anvende fleksibilitetsmekanismer til indfrielsen,
jf.
boks 5.4.
Boks 5.4.
Danmarks adgang til fleksibilitetsmekanismer i forhold til. eksisterende reduktions-
forpligtelse i ikke-kvotesektoren (2021-2030)
Danmark har under EU’s nuværende 2030-ramme
for klima- og energipolitik mulighed for
en række fleksibilitetsmekanismer, herunder 1) LULUCF-kreditter, 2) kvoteannullering, 3)
ubegrænset adgang til at købe andre medlemslandes udledningsrettigheder, 4) mulighe-
den for at skyde reduktionsforpligtelsen i tid (banking og borrowing) og 5) ubegrænset ad-
gang til at købe EU-interne projektkreditter.
Danmark har mulighed for at medregne LULUCF-kreditter på op til 14,6 mio. ton CO
2
e for
perioden 2021-2030 under forudsætning af, at kulstofbalancen forbedres med mindst
denne mængde i LULUCF-sektoren. Kommissionens forslag til revision af regnskabsreg-
lerne kan potentielt ændre antallet af LULUCF-kreditter i Danmark.
Derudover har Danmark mulighed for at anvende op til 8 mio. CO
2
-kvoter, svarende til 8
mio. ton CO
2,
gennem fleksibilitetsmekanismen kvoteannullering til målopfyldelse i perio-
den 2021-2030, hvilket er en mulighed Danmark har fastholdt. Indmeldingen binder ikke
Danmark i forhold til, om Danmark konkret skal benytte kvoteannullering som en del af op-
fyldelsen under byrdefordelingsaftalen.
Med den seneste
Klimastatus og -fremskrivning 2021
forventes Danmark at have
en akkumuleret reduktionsmanko i byrdefordelingsaftalen på 3 mio. ton CO
2
e i
perioden 2021-30. Det skønnes med en vis usikkerhed, at
Aftale om grøn omstil-
ling af dansk landbrug
fra oktober 2021 vil nedbringe de akkumulerede udlednin-
ger omfattet af byrdefordelingsaftalen tilstrækkeligt til, at Danmarks nuværende
forpligtelser er indfriet uden anvendelse af Danmarks adgang til fleksibilitetsme-
kanismer. Her medregnes ikke udviklingstiltag fra
Aftale om grøn omstilling af
dansk landbrug.
Energibeskatningsdirektivet
opstiller rammerne for medlemsstaternes beskatning
af energiprodukter, herunder fossile brændsler, anvendt som motorbrændstof el-
ler opvarmning og elektricitet. Direktivet indeholder minimumssatser på forskel-
lige energiprodukter og elektricitet og fastsætter rammer for medlemsstaternes
anvendelse af afgiftsdifferentieringer samt obligatoriske og frivillige fritagelser i
energiafgifterne.
KEF, Alm.del - 2021-22 - Bilag 161: Grøn skattereform (første delrapport)
Grøn
skattereform
Side 99
Side 99
Direktivet finder ikke anvendelse på biomasse i form af brænde, trækul mv. Ener-
giprodukter anvendt i raffinaderier er omfattet af en obligatorisk afgiftsfritagelse,
mens energiprodukter og elektricitet anvendt til elproduktion, til jernbane, samt til
indenrigssøfart og -luftfart er omfattet af en frivillig afgiftsfritagelse.
5.3.2
Oversigt over EU’s “Fit
for 55”
Ekspertgruppens arbejde frem mod den endelige rapport pågår parallelt med for-
handlingerne om
”Fit-for-55”-pakken,
der først forventes at træde i kraft fra 2023-
2026. Fit-for-55-pakken indeholder en lang række lovforslag på klima- og energi-
området, der skal
understøtte indfrielsen af EU’s øgede reduktionsmål på mindst
55 pct. reduktion i 2030 i forhold til 1990. De samlede forslag i
“Fit
for 55”-pakken
fremgår nederst,
jf. tabel 5.2.
“Fit
for 55”-pakken forventes at få både direkte og indirekte effekt i forhold til ind-
frielsen af 70 pct.-målet. Det gælder blandt andet økonomiske konsekvenser
samt konsekvenser for nationale forpligtelser, minimumssatser og arkitektur af
afgiftssystemet. Fx tælles optag og udledninger fra jorde og skove (LULUCF)
som noget nyt med
i EU’s overordnede klimamål.
Det bemærkes, at det potenti-
elt kan medføre, at der på europæisk plan skabes et incitament til negative ud-
ledninger.
EU’s kvotehandelssystem revideres som led i “Fit
for 55”-pakken med et forslag
om at styrke
EU’s
kvotehandelssystem, udvide systemet til også at omfatte sø-
fart og etablere et separat kvotehandelssystem for vejtransport og opvarmning af
bygninger.
Som led heri foreslås tildeling af gratiskvoter ændret på blandt andet to punkter.
For det første foreslås en reduceret tildeling af gratiskvoterne efter 2026 for en
række produkter, hvor der vurderes at være muligheder for en teknisk omstilling
og dermed drivhusgasreduktioner, uden det medfører (betydelig) lækage.
Desuden foreslås i et selvstændigt lovforslag en CO
2
-grænsetilpasningsmeka-
nisme (CBAM), der pålægger udvalgte importerede produkter en CO
2
-pris sva-
rende til kvoteprisen. Forslaget omfatter stål, jern, aluminium, cement, gødning
og elproduktion med mulighed for senere udvidelse til yderligere sektorer. Idet
mekanismen er et alternativ til gratiskvoter, indføres en gradvis udfasning af gra-
tiskvoter for de omfattede produkter over perioden 2026-2036. Det vil særligt på-
virke CO
2
-intensive og konkurrenceudsatte virksomheder, der i dag modtager en
betydelig andel gratiskvoter.
Med
byrdefordelingsaftalen
lægges op til skærpede, bindende reduktionsforplig-
telser for medlemslandene i de omfattede sektorer, der hovedsageligt er land-
brug, transport og individuel opvarmning. Danmark tildeles som et blandt flere
lande det højeste reduktionsmål i de omfattede sektorer på 50 pct. i 2030 i for-
hold til 2005-niveauet. Dertil foreslår Europa-Kommissionen skærpede mål og
forpligtelser ifm. revision af direktiv for vedvarende energi og direktiv om energi-
effektivitet samt som noget nyt nationale reduktionsforpligtelser for LULUCF-sek-
toren.
Der bør i forbindelse med indfrielsen af Danmarks 70 pct.-målsætning tages
højde for de nationale forpligtelser for Danmark som følge af EU-regulering.
KEF, Alm.del - 2021-22 - Bilag 161: Grøn skattereform (første delrapport)
2525505_0101.png
Grøn
skattereform
Side 100
Side 100
Europa-Kommissionen har som led i
“Fit
for 55”-pakken derudover fremsat for-
slag om en revision af
energibeskatningsdirektivet.
Med forslaget omfattes bio-
masse af det afgiftspligtige område. Det gælder dog kun brænde og trækul men
ikke affald.
Desuden ophæves muligheden for at anvende afgiftsfritagelser for energiproduk-
ter og elektricitet til indenrigssøfart og -luftfart. Derudover videreføres mulighe-
den for at anvende afgiftsfritagelser for elproduktion og jernbane. Endelig videre-
føres den obligatoriske fritagelse for raffinaderier.
Tabel 5.2. Forslag i
“Fit
for 55”-pakken
Formål
Sikre en ensartet CO
2
-pris, der kan drive om-
Styrkelse af
EU’s
kvotehandelssy-
stillingen i de sektorer, som er omfattet af
stem med udvidelse til søfart (revi-
kvotehandel, og på tværs af medlemslande
sion). Separat ETS til vejtransport,
med henblik på en omkostningseffektiv indfri-
opvarmning af bygninger (nyt)
else af EU’s klimamål.
Forpligte EU’s medlemslande til at reducere
Byrdefordelingsaftalen (revision)
udledningen af drivhusgasser nationalt gen-
nem bindende, nationale reduktionsmål.
Fremme øget nettooptag af CO
2
i skove og
LULUCF (regulering af optag og ud-
jorde gennem nationale mål, herunder nye
ledninger fra jorde og skove) (revi-
nationale årlige reduktionsforpligtelser fra
sion)
2026-2030.
Adressere risikoen for karbonlækage
dvs.
udflytning af CO
2
-intensiv produktion fra EU
CO
2
-grænsetilpasnings-mekanisme
til tredjelande med en mindre ambitiøs klima-
(nyt)
politik
samt give tredjelande incitament til at
øge klimaambitionerne.
Øge CO
2
-standarderne for personbiler og va-
CO
2
-standarder for biler og vare-
revogne for at fremme omstillingen af vej-
vogne (revision)
transporten.
Direktiv for vedvarende energi inkl.
Øge ambitionsniveauet for udbygning af ved-
forøgelse af mål for vedvarende
varende energi i EU.
energi (revision)
Direktiv for energieffektivitet inkl.
forøgelse af mål for energieffektivi- Øge ambitionsniveauet for energieffektivise-
tet og energispareforpligtelsen (re- ring i EU.
vision)
Fastsætte regler og minimumspunktafgifts-
Energibeskatningsdirektivet (revi-
satser for beskatning af energiprodukter, som
sion)
anvendes som motorbrændstof og brændsel
til opvarmning, samt elektricitet
At en stigende andel af brændstof til luftfarten
Bæredygtige brændstoffer til fly-
i EU er bæredygtigt, samt at der sikres lige
transport (nyt)
konkurrencevilkår for luftfartssektoren.
Bæredygtige brændstoffer til skibs- At brugen af alternative brændstoffer frem-
fart (nyt)
mes i skibsfart.
Forordning om udbygning af infra-
Fremme udbygning af infrastruktur for alter-
struktur til alternative brændstoffer
native drivmidler i EU for køretøjer, skibe og
(revision)
luftfartøjer.
At bidrage til omstilling mod klimaneutralitet
ved at adressere sociale effekter over for ud-
Forslag til ny social klimafond (nyt) satte grupper som følge af indførsel af det
nye kvotehandelssystem for vejtransport og
bygninger.
Kilde: Klimaprogram 2021.
Forslag
KEF, Alm.del - 2021-22 - Bilag 161: Grøn skattereform (første delrapport)
Grøn
skattereform
Side 101
Side 101
5.4 CO
2
-beskatning i andre lande
Det er generelt vanskeligt at sammenligne afgiftssystemerne på tværs af lande,
da der er forskel på både satser, baser, differentieringer, undtagelser samt bag-
vedliggende faktorer, fx andelen af vedvarende energi.
De fleste OECD-lande beskatter fossile brændsler med energiafgift og eventuelt
CO
2
-afgift
23
Transportsektoren beskattes højest i langt de fleste OECD-lande.
Modsat beskattes de resterende fossile udledninger uden for transportsektoren
mere lempeligt. Særligt er CO
2
-udledninger fra industri og landbrug oftest lavere
beskattet end de resterende fossile udledninger af CO
2
. CO
2
-afgiften dækker
sjældent majoriteten af udledningerne, idet hvert land har mange forskelligartede
undtagelser og lempelser, særligt for industri og landbrug.
5.4.1 CO
2
-afgifter i Tyskland og Nederlandene
En række lande (fx Tyskland og Nederlandene) har inden for de seneste år ind-
ført nye eller højere afgifter. De forskellige afgiftssystemer gør sammenligning på
tværs vanskelig, men grundlæggende gælder det, at hvis andre lande, parallelt
med Danmark, øger CO
2
-afgiftssatser, herunder særligt lande, Danmark handler
meget med, vil det medføre mindre risiko for lækage.
Fra den 1. januar 2021 har Tyskland introduceret et nationalt CO
2
-kvotesystem,
der omfatter drivmidler og
fyringsolie, som ikke er omfattet af EU’s CO
2
-kvote-
handelssystem. Det tyske CO
2
-kvotesystem implementeres i to faser. Under før-
ste fase i årene 2021-2025 fastsættes kvoteprisen ved lov, stigende fra 186 kr. i
2021 til 409 kr. pr. ton CO
2
i 2025. Prisen afhænger ikke af udbud og efterspørg-
sel efter CO
2
-kvoterne og har således samme effekt som afgiftsforhøjelser. I an-
den fase fra 2026 vil prisen på CO
2
-kvoter blive fastsat på markedsvilkår, idet der
dog er fastlagt både et minimum på 409 kr. og et maksimum på 483 kr. for kvote-
prisen.
Nederlandene har fra den 1. januar 2021 indført en national afgift for drivhusgas-
udledninger fra industri underlagt EU’s kvotehandelssystem samt affaldsforbræn-
ding (der i Nederlandene ikke er inkluderet i kvotehandelssystemet).
Afgiftsniveauet er knyttet op på kvoteprisen i EU’s kvotehandelssystem, hvormed
der kun betales afgift i det omfang, den nationale CO
2
-afgiftssats ligger over den
gennemsnitlige årlige pris på CO
2
-kvoter i EU. Den nederlandske CO
2
-afgift har
således karakter af en samlet minimumspris på CO
2
-udledning. Afgiften indfases
fra den 1. januar 2021 fra et niveau på 223 kr. pr. ton CO
2
, der herefter årligt sti-
ger lineært mod 930 kr. pr. ton CO
2
i 2030.
Industrivirksomheder i risiko for CO
2
-lækage tildeles såkaldte
‘dispensationsret-
tigheder’ fastsat ud fra referenceværdier for gratiskvotetildeling i EU’s kvotehan-
delssystem,
jf. afsnit 5.3.1.
Dispensationsrettighederne kan handles mellem om-
fattede virksomheder.
23
Kilde: OECD “Taxing Energy Use 2019: Using taxes for climate action”
KEF, Alm.del - 2021-22 - Bilag 161: Grøn skattereform (første delrapport)
2525505_0103.png
Grøn
skattereform
Side 102
Side 102
Provenu fra den nationale afgift anvendes til at finansiere grønne aktiviteter i in-
dustrien gennem såkaldte
‘carbon
contracts for difference’,
hvor virksomheder til-
deles subsidier op til en fastsat pris på CO
2
-udledning, således at støttesatsen
reduceres, i takt med at CO
2
-afgiften stiger.
5.4.2 Sammenligning med CO
2
- og energiafgifter i
Sverige
På baggrund af udfordringerne med at sammenligne den effektive beskatning på
tværs af lande kan der i stedet tages udgangspunkt i en mere selektiv sammen-
ligning af CO
2
- og energibeskatningen. En sammenligning med Sverige er op-
lagt, da landet i mange andre henseender minder om Danmark og også er et
høj-afgiftsland.
Danmark og Sverige minder meget om hinanden i den overordnede afgiftsstruk-
tur og det samlede niveau for beskatning af CO
2
-udledninger. I både Danmark og
Sverige er beskatningen af fossil energi opdelt i energiafgifter og en CO
2
-afgift.
Sverige har dog generelt en højere CO
2
-afgift, men lavere energiafgifter end
Danmark,
jf. tabel 5.3.
Sverige har, ligesom Danmark, ikke en bred og høj ensar-
tet afgift for alle udledninger af CO
2
, idet der er undtagelser og lempelser for
CO
2
-afgiften samt områder, der ikke er afgiftsbelagte.
Danmark og Sverige fastsætter energiafgifter og CO
2
-afgiften forskelligt. I Dan-
mark er henholdsvis energiafgifter i kr. pr. GJ og CO
2
-afgift i kr. pr. ton CO
2
den
samme uanset brændslet. Den svenske CO
2
-afgift varierer mellem ca. 750-890
kr. pr. ton CO
2
for forskellige brændsler. Sverige slår flere forskellige brændsler
sammen til samme sats både for energi- og CO
2
-afgiften, selv om der er forskel
på brændslets brændværdi eller dets udslip af CO
2
. Den svenske CO
2
-afgift er
således ikke fuldstændig målrettet den faktiske CO
2
-udledning.
Tabel 5.3. Danske og svenske CO
2
- og energiafgifter på udvalgte fossile
brændsler i 2020
Energiafgift
Kr. pr. GJ
Benzin
1
Diesel
2
CO
2
-afgift
Danmark
12,4
10,5
13,1
13,8
10,1
16,8
177
177
177
177
177
177
Sverige
56
44,5
67,7
61,3
45,9
84,5
799
752
915
786
804
890
88,6
48,7
17,9
16,2
17,9
17,9
1.265
823
242
208
314
189
I alt
Danmark
145,8
88,2
69,8
70,5
66,8
73,5
2.081
1.489
943
904
1.171
774
Sverige
144,6
93,2
85,6
77,4
63,8
104
2.064
1.574
1.157
994
1.118
1.079
Danmark
133,4
77,7
56,7
56,7
56,7
56,7
1.904
1.312
766
727
994
597
Sverige
Fyringsolie
Fuelolie
Naturgas
Kul
Kr. pr. ton CO
2
Benzin
1
Diesel
2
Fyringsolie
Fuelolie
Naturgas
Kul
Anm.: Omregnet fra svenske handelsenheder til kr. pr. ton CO
2
ved danske standard forudsætninger om
massefylde, energiindhold pr. ton (GJ pr. ton) og CO
2
pr. GJ. De svenske satser er omregnet med faktoren 1
SEK= 0,71 DKK. 1) For benzin med tvunget iblanding af ca. 6,5 volumenpct. biodrivmiddel (angives at reducere
KEF, Alm.del - 2021-22 - Bilag 161: Grøn skattereform (første delrapport)
Grøn
skattereform
Side 103
Side 103
CO
2
med ca. 2,6 pct.). 2) For diesel med tvunget iblanding af 25 volumenpct. biodrivmiddel (angivet at reducere
CO
2
med ca. 19,3 pct.).
Transport er den sektor, der er beskattet hårdest i Sverige, men både Danmark
og Sverige har stort set samme niveau for de samlede energiafgifter og CO
2
-af-
giften for standard benzin og diesel.
For så vidt angår individuel og kollektiv varme beskattes rumvarme i husholdnin-
ger og den kommercielle sektor relativt højt i Sverige, ligesom i Danmark. Indivi-
duel opvarmning har stort set samme niveau for de samlede energiafgifter og
CO
2
-afgiften i Danmark og Sverige
24
, mens kollektiv opvarmning med fossile
brændsler er lidt lavere beskattet i Sverige end i Danmark.
Industri
Danmark og Sverige har begge lempelser for afgifter på fossile brændsler an-
vendt til henholdsvis produktion i industrien og af landbruget (traktorer og vækst-
huse). Det samlede niveau for afgifter på CO
2
-udledninger er omtrent ens for det
meste af industrien i Danmark og Sverige. Sverige har dog væsentlig højere af-
gifter for procesforbrug i industri uden for kvotesektoren og på landbrug.
I Danmark udgør energiafgiften på fossile brændsler til produktion i industrien 4,5
kr. pr. GJ og til landbrug mv. 1,5 kr. pr. GJ. Derudover betaler industri og land-
brug fuld rumvarmeafgift, der udgjorde 56,7 kr. pr. GJ i 2020. I Sverige skelnes
ikke systematisk mellem rumvarme og proces, men der er særlige lempelser til
virksomheder, der er brancheregistreret i landbrug og industri. I Sverige betales
30 pct. energiafgift for industri for både proces og opvarmning. Dermed udgør
energiafgiften fx ca. 5,5 kr. pr. GJ for naturgas til både produktion og rumvarme.
For forbrug til produktion i industri
inden for
kvotesektoren fritager både Danmark
og Sverige fossile brændsler fra CO
2
-afgift. Både Danmark og Sverige fritager
desuden mineralogiske processer mv. for både energiafgifter og CO
2
-afgift. Der-
udover fritager begge lande brændsler til fly og skib samt raffinaderier mv. for af-
gifter.
For forbrug til produktion i industri
uden for
kvotesektoren og landbrug (traktorer
og væksthuse) betales fuld CO
2
-afgift af fossile brændsler i både Sverige og
Danmark. Da CO
2
-afgiftssatserne er en del højere i Sverige end i Danmark, er de
samlede svenske afgifter af CO
2
-udledningen væsentlig højere for disse sekto-
rer. Fx vil en industrivirksomhed med forbrug af olie, hvoraf 80 pct. går til produk-
tion og 20 pct. til rumvarme, skulle betale 73,1 kr. pr. GJ i Sverige og 28 kr. pr.
GJ i Danmark.
Samlet set har det svenske og danske afgiftssystem helt overordnet sammenlig-
nelig struktur og niveau. Det svenske afgiftssystem er umiddelbart mere målrettet
CO
2
-udledninger, men i praksis varierer den svenske CO
2
-afgift mere end den
danske CO
2
-afgift. Desuden omfatter det svenske afgiftssystem færre klimagas-
ser end det danske. Omvendt er der aftalt højere afgifter i Danmark for den tunge
industri (mineralogiske processer mv.) end gældende i Sverige. Ligeledes er de
danske afgifter højere på kraftvarme fra kul.
24
For individuel opvarmning i husholdninger, det offentlige og handels- og serviceerhverv ved dansk brændsels-
mix, imens afgifterne er lidt højere i Sverige med svensk brændselsmix.
KEF, Alm.del - 2021-22 - Bilag 161: Grøn skattereform (første delrapport)
Grøn
skattereform
Side 104
Side 104
KEF, Alm.del - 2021-22 - Bilag 161: Grøn skattereform (første delrapport)
2525505_0106.png
Grøn
skattereform
Side 105
Side 105
Tilskud
6
KEF, Alm.del - 2021-22 - Bilag 161: Grøn skattereform (første delrapport)
Grøn
skattereform
Side 106
Side 106
6.0 Tilskud
En ensartet CO
2
-afgift og tilsvarende tilskud til negative udledninger er den mest
omkostningseffektive måde at indfri 70 pct.-målsætningen på.
Afgiften sætter en pris på CO
2
-udledningen, så udlederen betaler for den nega-
tive effekt, som udledningen har på klimaet. Et tilskud til teknisk omstilling sæn-
ker derimod prisen på en eller flere teknologier, som reducerer CO
2
-udledningen.
Det kan give den samme tilskyndelse til at skifte til de støttede teknologier som
en afgift på CO
2
-udledningen, men sikrer ikke generelt, at CO
2
-udledninger pris-
fastsættes svarende til den negative effekt på klimaet. Tilskud kan dog anvendes
som middel til at fremme teknisk omstilling og udvikling og derved reducere ned-
gang i produktion og erhvervsforskydning, som kan fremkomme ved anvendelse
af afgifter.
Tilskud er et mindre omkostningseffektivt instrument end afgifter til opnåelse af
CO
2
-reduktioner, da det er svært at målrette tilskuddet til de projekter, som virk-
somheder og borgere skal anvende for mest omkostningseffektivt at sænke ud-
ledningerne. Det skyldes blandt andet, at staten fx ikke har fuld viden om mulige
tiltag og omkostninger for hver enkelt virksomhed. Ved en ensartet CO
2
-afgift ud-
nyttes virksomhedens egen information til billigst muligt at opnå reduktioner. Det
er ikke muligt med et tilskud, og der vil derfor være højere samfundsøkonomiske
omkostninger forbundet med tilskud.
Hvorvidt tilskud er et hensigtsmæssigt instrument, afhænger således af priorite-
ring af andre formål end hensynet til omkostningseffektivitet. I de tilfælde, hvor
tilskudsinstrumentet ønskes anvendt, er der endvidere en række opmærksom-
hedspunkter, der bør overvejes, herunder den konkrete indretning af tilskudspul-
jer.
I det følgende beskrives overvejelser ved at give tilskud, både i forhold til nuvæ-
rende tilskud og i forbindelse med indretning af nye tilskud i kombination med en
ensartet CO
2
-afgift.
KEF, Alm.del - 2021-22 - Bilag 161: Grøn skattereform (første delrapport)
2525505_0108.png
Grøn
skattereform
Side 107
Side 107
6.1 Tilskud til produktion og forbrug
Overordnet set kan tilskud gives til producenter af energi eller til forbrugere af
energi i form af borgere og virksomheder. Ved støtte til produktionen af vedva-
rende energi (VE) eller anvendelsen af CO
2
e-reducerende teknologier skal der
tages hensyn til en række principper,
jf. tabel 6.1.
Tabel 6.1. Principper for indretning af tilskud
Støtte til energiproducenter
Brændsler til elproduktion pålæg-
ges CO
2
-afgift. Vedvarende energi
er ikke pålagt CO
2
-afgift, og VE-pro-
duktion bør ikke støttes, hvis CO
2
-
afgiften er høj nok til at nå det givne
reduktionsmål.
Biogas til naturgasnettet, der be-
skattes med CO
2
-afgiften, skal opnå
et tilskud svarende til afgiften (de
facto afgiftsfritagelse for biogas).
Eventuel støtte til udviklingen af
ikke-modne teknologier bør eksplicit
begrundes i klimalovens guidende
principper.
Støtte til energiforbrugere
Incitamenter til energieffektivisering,
skifte til vedvarende energi og skifte
til mindre udledende fossile teknolo-
gier adresseres gennem CO
2
-afgif-
ten.
Klimalovens guidende principper
kan i visse tilfælde begrunde tilskud
til CO
2
-reducerende teknologi fx
VE-teknologi eller CCS.
6.1.1 Støtte til energiproducenter
Der er i dag støtte til fremme af VE-produktion fra fx solceller, landvind, havvind
og biogas. Støtten er ikke omkostningseffektiv i forhold til 70 pct.-målsætningen.
Ved indførelse af en CO
2
-afgift bør denne støtte fremadrettet overvejes og poten-
tielt udfases.
En ensartet CO
2
-afgift på fossile brændsler vil medføre, at prisen på anvendel-
sen af fossile brændsler stiger, hvilket hæver prisen på fossil energi. Støtte til
VE-produktion kan sænke priserne på vedvarende energi relativt til fossil energi.
Dermed vil en ensartet CO
2
-afgift på samme måde som et tilskud til produktionen
af vedvarende energi skabe incitament til produktion af vedvarende energi.
Fremtidig støtte til VE-produktion bør derfor overvejes ifm. en højere og mere
ensartet CO
2
-afgift på anvendelsen af fossile brændsler. Det vil dog afhænge af
niveauet for CO
2
-afgiften.
Biogas, der er et VE-brændstof, blandes i gasnettet med fossil gas, hvilket bety-
der, at al ledningsgas er afgiftsbelagt. Det er på nuværende tidspunkt ikke muligt
at adskille biogen og fossil gas i gasnettet. For at opnå
de facto
afgiftsfritagelse
for biogas skal biogas, der tilføres gasnettet, derfor modtage en støtte svarende
til CO
2
-afgiften på naturgas.
Ekspertgruppen anbefaler, at tilskud til biogasproduktion i udgangspunktet støt-
tes med en sats svarende til CO
2
-afgiftssatsen på fossilt gas, hvilket svarer til, at
anvendelse af biogas er afgiftsfritaget. Andre samfundsøkonomiske positive eller
negative effekter ved produktionen af biogas end fortrængning af naturgasfor-
brug (såkaldte eksternaliteter), skal der kompenseres for ved henholdsvis yderli-
gere eller lavere tilskud til biogasproduktion.
KEF, Alm.del - 2021-22 - Bilag 161: Grøn skattereform (første delrapport)
Grøn
skattereform
Side 108
Side 108
Der findes i dag flere støtteordninger til biogas. Støtten til produktion af bionatur-
gas, der tilføres gasnettet, svinger fra år til år og afhænger af bl.a. naturgaspris. I
perioden 2021-2030 forventes bionaturgasproducenterne at modtage en gen-
nemsnitlig støttesats på lidt over 100 kr. pr. GJ (2022-priser). Det svarer til en
pris på lidt knap 1.800 kr. pr. ton reduceret CO
2
, hvis det antages, at bionaturgas
erstatter naturgas. Der er i omregningen ikke taget højde for andre drivhusgasre-
duktioner og -udledninger, som fx mindre afdampning fra gylle eller udslip af me-
tan fra biogasanlæg
25
.
6.1.2 Støtte til energiforbrugere
Borgere og virksomheder kan gennem en række støttepuljer i dag søge om
støtte til blandt andet energieffektiviseringer, skifte til vedvarende energi eller
mindre CO
2
-udledende fossile kilder. En ensartet CO
2
-afgift på fossile brændsler
vil medføre, at prisen på anvendelsen af fossile brændsler stiger. Det vil alt andet
lige medføre incitament til energibesparelser og til at anvende vedvarende
energi, ligesom støtteordningerne.
En ensartet CO
2
-afgift vil give tilskyndelse til at reducere udledninger på den bil-
ligst mulige måde for forbrugerne uden at vælge, hvor reduktionerne skal komme
fra. Dette gør støtteordningerne ikke. Derfor er en ensartet CO
2
-afgift mere om-
kostningseffektiv.
Selvom afgifter i udgangspunktet sikrer mere omkostningseffektive reduktioner
end tilskud, kan klimalovens guidende principper i visse tilfælde begrunde anven-
delsen af tilskud til fx konkurrenceudsatte virksomheder. Det bør dog altid over-
vejes, om tilskud er det mest effektive instrument til et givent formål.
6.1.3 Mulighed for omprioritering
Ved indførelse af en højere og mere ensartet CO
2
-afgift bør samspillet mellem
afgiften og det nuværende tilskudssystem overvejes. Der kan fx være et overlap i
effekter, hvor afgiften giver tilskyndelse til at ændre produktion eller forbrug, hvis
eksisterende tilskudspuljer er indrettet efter samme formål på et givent område.
Samtidig er EU’s CO
2
-kvotepris steget markant i løbet af 2021,
jf. afsnit 4.3.
Det
øger isoleret set de kvoteomfattede virksomheders incitament til at søge tilskuds-
puljer for at reducere omkostningerne forbundet med kvoter. Omvendt medfører
den højere kvotepris i sig selv reduktioner inden for de kvoteomfattede sektorer,
hvilket vil indebære, at tilskudsbehovet pr. CO
2
-reduktion alt andet lige bliver
mindre efter forhøjelsen af kvoteprisen.
En række af de eksisterende tilskudspuljer kan derfor genovervejes, herunder
om midlerne kan omprioriteres. Det skal dog bemærkes, at flere af de eksiste-
rende støtteordninger ikke alene er målrettet CO
2
-reduktioner, men også tjener
25
Ved omregningen af støtte pr GJ til støtte pr CO
2
-reduktion er det beregningsteknisk antaget, at bionaturgas
tilført naturgasnettet 1:1 fortrænger forbruget af naturgas. Biogasproduktionen påvirker imidlertid også udlednin-
gerne af drivhusgasser både positivt og negativt på andre måder, bl.a. via lavere udledning i landbruget. Der er
hellere ikke taget højde for andre, eksternaliteter som fx bedre kvælstofsudnyttelse eller lugtgener, forbundet
med biogasproduktion.
KEF, Alm.del - 2021-22 - Bilag 161: Grøn skattereform (første delrapport)
Grøn
skattereform
Side 109
Side 109
andre formål, som fx en række EU-forpligtelser. Der er desuden en række juridi-
ske forhold forbundet med eventuel omprioritering, herunder at ikke alle eksiste-
rende tilskudsordninger kan afskaffes eller omprioriteres.
Det gælder som udgangspunkt, at det er juridisk muligt at omprioritere eller af-
skaffe tilskud, der endnu ikke er disponeret til konkrete støttemodtagere. Hvis
midlerne er udmøntede, kan der være tale om ekspropriation, hvis man ompriori-
terer eller afskaffer puljerne.
Inden for Klima-, Energi- og Forsyningsministeriets område er de samlede eksi-
sterende tilskud til grøn omstilling i omegnen af 70 mia. kr. i perioden 2022-2030.
Der er en række af disse eksisterende tilskudsmidler, som endnu ikke er udmøn-
tet, og som juridisk kan omprioriteres, eller puljerne kan indrettes anderledes,
jf.
tabel 6.2.
Der er indregnet CO
2
-effekter, energibesparelser og økonomiske effekter af de
eksisterende puljer i klimapolitiske og økonomiske fremskrivninger, som alt andet
lige ændres ved omprioritering eller afskaffelse. En omprioritering af eksiste-
rende tilskud kan muligvis give mulighed for i højere grad at målrette tilskuddet
mod CO
2
-reduktioner. Det vil dog skulle undersøges nærmere. Det bemærkes, at
en eventuel omprioritering kræver politisk opbakning fra forskellige forligskredse.
Finansiering gennem omprioritering af eksisterende tilskudspuljer skal også ses i
lyset af, at det kan medføre færre forvridninger end anden finansiering (fx forhø-
jelse af mere forvridende skatter).
Ekspertgruppen anbefaler, at det undersøges, i hvilket omfang eksisterende pul-
jer kan omprioriteres og anvendes mere hensigtsmæssigt, herunder særligt i ly-
set af indførelse af en højere og mere ensartet CO
2
-afgift. Ekspertgruppen vil
som led i den endelige rapport arbejde videre med tilskud.
KEF, Alm.del - 2021-22 - Bilag 161: Grøn skattereform (første delrapport)
2525505_0111.png
Grøn
skattereform
Side 110
Side 110
Tabel 6.2. Oversigt over eksisterende tilskudspuljer, hvor omprioriteringer
er juridisk mulige, 2022-2030 i mio. kr. i 2021-priser
2022-2030
Teknologineutrale udbud
Ny pulje til biogas
Bygningspuljen
Skrotningsordningen
Afkoblingsordningen
Fjernvarmepuljen
Erhvervspuljen
Tilskudspulje til grøn omstilling og målrettede
energieffektiviseringer
Udvidet rådgivningsindsats
Varmepumper på abonnement
Energiforbedringer og digitale løsninger mv. i
kommunale og regionale bygninger
Pulje til CCUS
Teknologineutral pulje til understøttelse af ne-
gative udledninger (FL22)
EUDP-midler
Ikke-fordelt
Sum
15.696
609
275
2.944
1.400
148
400
185
2.420
160
4
10
72
3.830
2.011
1.836
Heraf bidrag til gen-
opretningsplan
-
-
137
20
40
70
220
-
-
-
72
-
-
50
Anm.: Juridsk mulighed for omprioritering går fra 1. juli 2022 til og med 2030. Afskaffelse eller omprioritering af
puljerne kan øge CO
2
-udledningen i baseline.
Kilde: Energistyrelsen
6.2 Indretning af tilskud
En tilskudspulje skal søges indrettet hensigtsmæssigt efter formålet, fx at sikre
CO
2
-reduktioner under hensyntagen til klimalovens guidende principper,
jf. boks
6.1.
Boks 6.1
Principper for indretning af tilskud
Tilskud skal ikke anvendes, såfremt afgifter sikrer samme formål, da afgifter er
mere omkostningseffektive. På samme måde skal tilskud ikke anvendes, hvis
anden regulering kan opnå samme formål mere omkostningseffektivt.
Tilskud skal indrettes efter formålet. Tilskud kan fx have til formål at bidrage til
yderligere reduktioner under klimalovens guidende principper.
Tilskud inden for 70 pct.-målsætningen bør målrettes CO
2
-reduktioner og der-
for tildeles pr. reduceret ton CO
2
.
Tilskud skal indrettes, så tilskuddets formål opfyldes så omkostningseffektivt
som muligt.
Samspillet mellem afgifter, anden regulering og tilskud skal overvejes.
Der skal foretages en afvejning mellem administrative omkostninger og effek-
ten af tilskud.
KEF, Alm.del - 2021-22 - Bilag 161: Grøn skattereform (første delrapport)
Grøn
skattereform
Side 111
Side 111
Et tilskud, der er målrettet CO
2
-reduktioner, skal gives med en støttesats opgjort i
kr. pr. ton CO
2
-reduktion. Tilskuddet kan enten gives som anlægsstøtte eller akti-
vitetsbaseret støtte. Ved anlægsstøtte udmåles støtten proportionalt med kapaci-
teten for nedbringelse af CO
2
-udledningerne i det støttede anlæg, men ikke til, at
anlægget tages i drift, dvs. den faktiske nedbringelse af CO
2
-udledninger. An-
lægsstøtte betales enten initialt eller fordeles ud over en årrække. Der kan fast-
sættes et loft på den samlede udbetaling af støtte for at understøtte budgetsik-
kerhed for staten. Der vil være administrative omkostninger forbundet med ind-
retning af tilskud og udmøntning af midler. De administrative omkostninger af-
hænger af tilskudspuljens indretning og vil generelt øges, når puljens kompleksi-
tet øges.
Dertil kommer, at der i et vist omfang vil blive givet støtte til projekter, der også
ville være blevet gennemført uden støtten. Det vil øge de samfundsøkonomiske
omkostninger, da behovet for finansiering via forvridende skatter øges.
Anlægsstøtte kan gøre det muligt for virksomhederne at investere i et bestemt
anlæg, men kan samtidig give incitament til at investere i anlæg, selv når det ikke
er den billigste måde at reducere udledninger på.
Aktivitetsbaseret støtte vil fungere som produktionsstøtte, hvor støtteomfanget er
afhængigt af virksomhedens produktion, hvilket kan give incitament til at opret-
holde en større produktion alene som følge af tilskuddet. Aktivitetsbaserede til-
skud kan endvidere have visse statsstøtteretlige udfordringer, da aktivitetsbase-
ret støtte ifølge EU-Kommissionen i højere grad end anlægsstøtte forvrider kon-
kurrencesituationen.
Støtten skal ikke baseres på reduktion i energiforbruget, da energi produceres
med forskellig CO
2
-intensitet. Fx vil en reduktion af energiforbruget baseret på
vedvarende energi ikke umiddelbart reducere CO
2
-udledningerne, medmindre
den vedvarende energikilde er en knap ressource, der har alternative anvendel-
ser. Det er muligt at opgøre støtten i kr. pr. ton CO
2
-reduktion ud fra virksomhe-
dernes CO
2
-udledninger og det CO
2
-besparende potentiale i de projekter, som
støttes.
Tilskuddet kan søges målrettet til grønne investeringer, hvor det er forventnin-
gen, at de ikke ville være blevet gennemført i fravær af tilskuddet. Det skal derfor
via puljedesignet søges at sikre, at støtten gives til virksomheder, som ikke har
mulighed for at foretage investeringen uden støtte. I praksis er det dog vanskeligt
at målrette tilskuddet til disse investeringer, da virksomheder, som ville have fo-
retaget investeringen i fravær af tilskud, også vil kunne søge om støtte.
Tilskudspuljer kan enten indrettes med fast sats eller gennem en konkurrence-
model, hvor de billigste bud vinder, og hvor satsen defineres af de ansøgtes bud,
indtil puljen er tømt. En konkurrencepulje (uden målretning) vil primært tilgodese
ansøgere, der ville have gennemført investeringerne i fravær af puljen, og derved
vil puljen overvejende være kompensation for grønne investeringer. Derudover
kan puljer afgrænses i forhold til, hvilke tekniske reduktioner tilskuddet omfatter.
Tilskud kan således målrettes udvalgte teknologier, hvilket dog indebærer risiko
for, at man ikke støtter de billigste teknologier.
Tilskud til teknologier som fx CCS, hvor der kan være få potentielle tilbudsgivere,
skal indretningen af puljen og tildelingen af tilskudsmidler tage højde for den be-
grænsede konkurrence. Der kan fx forhandles med vinderen af et udbud, hvor
KEF, Alm.del - 2021-22 - Bilag 161: Grøn skattereform (første delrapport)
Grøn
skattereform
Side 112
Side 112
alle økonomiske forudsætninger for projektet fremlægges for at skabe sikkerhed
for, at der ikke overkompenseres. Der kan endvidere for ny, umoden teknologi
være behov for at sikre en vis risikodeling mellem staten og støttemodtagere.
6.2.1 Sammenhæng til CO
2
-afgiften
Antallet af ansøgninger om tilskud til projekter, som ville være gennemført uaf-
hængig af tilskudspuljen, vil stige, når tilskudsordningen indføres samtidig med
en afgiftsforhøjelse. Dette skyldes, at mange af de projekter, som vil blive gen-
nemført som reaktion på CO
2
-afgiften, også vil kunne søge støtte.
Dertil vil en del af tilskuddet gå til virksomheder, som uden tilskuddet var lukket
grundet afgiften. Disse virksomheder vil med tilskuddet fortsætte produktionen
med lavere CO
2
-intensitet. I dette tilfælde vil tilskuddet ikke give yderligere CO
2
-
reduktioer inden for 70 pct.-målsætningen, da udledningerne ellers ville være
blevet reduceret grundet nedlukningen af produktionen. Dermed kan tilskuddet
nedjustere effekten af en afgift, men tilskuddet vil omvendt i dette tilfælde redu-
cere erhvervsforskydninger og derigennem imødekomme klimalovens guidende
principper. Tilskuddet vil bidrage til, at en del af reduktionerne fra nedgang i pro-
duktion ændres til tekniske reduktioner, så den eksisterende erhvervsstruktur i
højere grad kan bevares.
Tilskudspuljer bør generelt overvejes i forhold til administrative omkostninger, im-
plementerbarhed for staten, erhverv og husholdninger, samfundsøkonomiske
omkostninger mv. Indretning af en tilskudsordning skal endvidere ske i overens-
stemmelse med EU’s statsstøtteregler. Afhængigt af de konkrete bestemmelser
kan der fx være begrænsninger på den maksimale støtteandel til anlægsomkost-
ningerne.
KEF, Alm.del - 2021-22 - Bilag 161: Grøn skattereform (første delrapport)
2525505_0114.png
Grøn
skattereform
Side 113
Side 113
Det fremadrettede
arbejde
7
KEF, Alm.del - 2021-22 - Bilag 161: Grøn skattereform (første delrapport)
Grøn
skattereform
Side 114
Side 114
7.0 Det fremadret-
tede arbejde
Ekspertgruppens arbejde er opdelt i to rapporter, der tilsammen udgør en samlet
analyse. Denne første rapport indeholder anbefalinger til omlægning af afgifter
fra energi til en mere direkte afgift på CO
2
og udvidelse af afgiftsgrundlaget til
veldefinerede områder.
Den endelige rapport skal præsenteres i efteråret 2022 og vil i udgangspunktet
adressere alle udledninger omfattet af 70 pct.-målet, herunder landbruget.
7.1 Den endelige rapport
Med den endelige rapport skal Ekspertgruppen belyse modeller for en mere ens-
artet CO
2
e-regulering under hensyn til klimalovens guidende principper.
Ekspertgruppen skal som led heri belyse forskellige afgiftsniveauer og indfas-
ningsprofiler frem mod 2030 samt de økonomiske og praktiske konsekvenser
heraf. I den endelige rapport skal Ekspertgruppen forholde sig til alle udledninger
omfattet af 70 pct.-målet, herunder vejtransport og ikke-energirelaterede udled-
ninger fra landbruget.
Deri indgår stillingtagen til, hvorvidt der på sigt skal ske en fuld omlægning af
energiafgifterne for rumvarme samt benzin og diesel. Desuden kan det overve-
jes, om der bør ske en yderligere ensretning af afgiftsniveauerne på tværs af an-
vendelsesområder. Ligesom Ekspertgruppen i den endelige rapport kan under-
søge, om en omlægning af tariffer er hensigtsmæssig i arbejdet med en ensartet
CO
2
e-regulering.
Endelig fremgår det af kommissoriet, at Ekspertgruppen skal komme med forslag
til mulige måder at konstruere kompensationsmekanismer, herunder blandt an-
det tilskudsordninger og sammenhæng til eksisterende tilskudspuljer, generelle
tiltag og andre mulige mekanismer, herunder europæisk regulering og
EU’s
kvo-
tehandelssystem.
Anbefalinger i denne første delrapport skal således betragtes som en del af en
samlet analyse på vejen til en mere ensartet CO
2
-regulering af alle omfattede ud-
ledninger, herunder en mere ensartet CO
2
-afgift.
Ekspertgruppen vil i arbejdet med den endelige rapport tage udgangspunkt i de
samme principper, der lægges til grund for denne rapport. Ekspertgruppen kan i
den endelige rapport genbesøge principper og anbefalinger fra første delrapport.
KEF, Alm.del - 2021-22 - Bilag 161: Grøn skattereform (første delrapport)
Grøn
skattereform
Side 115
Side 115
Den endelige rapport skal indeholde forskellige scenarier, der bidrager væsent-
ligt til indfrielsen af 70 pct.-målet under hensyntagen til klimalovens guidende
principper.
7.2 Anbefalinger om regulering af landbru-
gets udledninger
Den endelige rapport skal behandle reguleringen af land- og skovbrugets CO
2
e-
udledninger. Ekspertgruppen blev nedsat primo 2021. I mellemtiden har et bredt
flertal (S, V, DF, SF, RV, EL, K, NB, LA og KD) i oktober 2021 indgået
Aftale om
grøn omstilling af dansk landbrug,
der skal understøtte den grønne omstilling af
land- og skovbrugssektoren frem mod 2030.
Med landbrugsaftalen er der aftalt et bindende reduktionsmål for land- og skov-
brugssektorens drivhusgasudledninger (ekskl. energirelaterede udledninger) på
55-65 pct. i 2030 i forhold til 1990. Dette svarer til en reduktion på yderligere ca.
4-6 mio. ton CO
2
e fra sektoren ud over de konkrete tiltag, som er besluttet med
landbrugsaftalen. Med landbrugsaftalen iværksættes samtidig udviklingstiltag,
der skønnes at have tekniske reduktionspotentialer i land- og skovbrugssektoren
på ca. 5 mio. ton CO
2
e. Udviklingstiltagene omfatter bl.a. nye teknologier som fo-
dertilsætningsstoffer, gylle- og gødningshåndtering og pyrolyse.
Der er i dag ikke en samlet regulering af land- og skovbrugssektorens drivhus-
gasudledning, der skaber tilstrækkeligt incitament til at reducere de samlede driv-
husgasudledninger fra sektoren.
I kommissoriet fremgår det, at den endelige rapport derfor skal
“indeholde
en
vurdering af fordele og ulemper ved henholdsvis en reguleringsløsning for land-
brugssektoren, en tilskudsløsning inden for EU’s
landbrugsstøtte og en CO
2
e-af-
gift for denne sektor eller en kombination af disse, samt mulige tiltag for omkost-
ningseffektiv regulering af landbruget, som adresserer CO
2
e-udledninger og øv-
rige eksternaliteter, herunder fx miljø og sundhed. […] Desuden skal
der indgå
en vurdering af fordele og ulemper ved forskellige løsninger for udledninger fra
landbrugsjorde og andre udledninger fra LULUCF, som ekspertgruppen finder re-
levante at belyse”.
Ekspertgruppens anbefalinger til en fremtidig regulering af land- og skovbrugs-
sektorens drivhusgasudledninger kan således udgøre et væsentligt bidrag til at
sikre de nødvendige reduktioner for at indfri det bindende reduktionsmål for sek-
toren og det nationale 70 pct.-mål i 2030.
KEF, Alm.del - 2021-22 - Bilag 161: Grøn skattereform (første delrapport)
2525505_0117.png
Grøn
skattereform
Side 116
Side 116
Appendiks
8
KEF, Alm.del - 2021-22 - Bilag 161: Grøn skattereform (første delrapport)
Grøn
skattereform
Side 117
Side 117
8.0 Appendiks
8.1 Kommissorium for grøn skattereform
I dette kapitel gengives kommissoriet.
8.1.1 Formål og baggrund
Af aftale om Grøn skattereform indgået mellem regeringen (Socialdemokratiet),
Venstre, Radikale Venstre, Socialistisk Folkeparti og Det Konservative Folkeparti
d. 8. december 2020 fremgår det, at en CO
2
e-afgift bør være et afgørende instru-
ment til at indfri 70 pct.-målsætningen under hensyntagen til klimalovens
guidende principper, herunder til bæredygtig erhvervsudvikling og dansk konkur-
rencekraft, sunde offentlige finanser og beskæftigelse, et stærkt velfærdssam-
fund, sammenhængskraften og social balance og dermed reelle CO
2
e-reduktio-
ner (minimere CO
2
e-lækage) og uden samlet tab af arbejdspladser til udlandet.
På kort sigt er det muligt at foretage de første og væsentlige skridt i retning af en
mere ensartet CO
2
-afgift. På en række områder vil det dog kræve et udviklingsar-
bejde at finde egnede afgiftsmodeller, ligesom de EU-retlige, administrative og
implementeringsmæssige forhold skal undersøges.
Regeringen og aftalepartierne er derfor enige om at gennemføre den grønne
skattereform i to faser. Første fase vil fokusere på justeringer inden for det eksi-
sterende afgiftssystem samt udvidelser til veldefinerede områder. Anden fase
skal fastlægge rammerne for en ensartet CO
2
e-afgift.
Det er aftaleparternes ambition, at Danmark i 2030 skal have en ensartet CO
2
e-
afgift under hensyntagen til lækageeffekter mv.
8.1.2 Afgiftsstruktur
En ensartet CO
2
e-afgift på alle udledninger er den mest omkostningseffektive
måde at sikre indfrielse af 70 pct.-målsætningen, idet den fastsætter en ensartet
pris på udledningen af drivhusgasækvivalenter, hvormed reduktionerne på tværs
af sektorer sker, hvor de er billigst.
Danske CO
2
-udledninger fra fossile brændsler beskattes i dag med en kombina-
tion af klima- og energiafgifter. Derudover er dele af industrien samt større
energi-
og forbrændingsanlæg omfattet af EU’s kvotesystem. Afgiftssystemet har
blandt andet til formål at tilgodese virksomheder i konkurrence med udenlandske
virksomheder. De konkurrenceudsatte erhverv (fx mineralogiske processer mv.,
KEF, Alm.del - 2021-22 - Bilag 161: Grøn skattereform (første delrapport)
Grøn
skattereform
Side 118
Side 118
elproduktion og landbrug) betaler derfor de laveste energiafgifter eller er helt fri-
taget fra at betale energiafgifter. Omvendt er andre erhverv og danske hushold-
ninger højere beskattet, fx i forbindelse med opvarmning og deres forbrug af
benzin og diesel.
Det nuværende afgiftssystem er derudover kendetegnet ved, at afgiftsniveauet
varierer markant afhængig af anvendelsen af fossile brændsler.
Med det nuværende afgiftssystem betaler virksomheder for eksempel en langt
højere afgift for at opvarme deres bygninger end for at producere deres varer. Af-
gifterne på rumvarme til opvarmning af bygninger udgør ca. 1.300 kr. pr. ton
CO
2
, mens afgifterne på industrielle processer i produktionen udgør ca. 0-250 kr.
pr. ton CO
2
. Tilsvarende varierer tilskud pr. ton CO
2
betydeligt på tværs af områ-
der.
Samlet set er der høje afgifter på CO
2
-udledning fra fossile brændsler brugt til
transport og til almindelig opvarmning i huse mv. Mineralogiske processer (ce-
mentproduktion mv.) og fossile brændsler til elproduktion er i det nuværende af-
giftssystem reelt afgiftsfritaget, men dog kvoteomfattet, ligesom ikke-energirela-
terede udledninger fra landbruget, som fx metan fra kvæg eller lattergas fra gød-
ningsanvendelse, også er afgiftsfritaget.
Landbrugets ikke-energirelaterede udledninger af metan fra husdyr, lattergas fra
gødningsanvendelse og kulstofbinding på landbrugsjorderne, skal dog ses i sam-
menhæng med øvrige regulerede næringsstofudledninger. Dog foreligger der på
nuværende tidspunkt ikke et tilstrækkeligt grundlag for at afgiftsbelægge CO
2
e
fra alle landbrugets ikke-energirelaterede udledninger.
Således vil en omlægning af afgiftssystemet, herunder en omlægning fra beskat-
ning af energi til CO
2
, indebære en større omlægning, der skal ses i samspil med
nationale tilskudsordninger, EU’s Energibeskatningsdirektiv, EU’s kvotehandels-
direktiv og statsstøttereglerne, samt kommende
forslag til revision af EU’s klima-
og energilovgivning, herunder Energibeskatningsdirektiv og
EU’s kvotehandelsdi-
rektiv, der ventes fremlagt medio 2021. Det ventes blandt andet, at EU-Kommis-
sionen vil foreslå at styrke kvotehandelssystemet samt modeller for udvidelse af
kvotehandel til yderligere sektorer, herunder vejtransport og individuel opvarm-
ning af bygninger.
8.1.3 Ekspertgruppens opgaver
Ekspertgruppen får til opgave at udarbejde modeller til en ensartet CO
2
e-regule-
ring, herunder udformning af en mere ensartet CO
2
e-afgift. Der skal leveres en
samlet analyse i form af delafrapporteringer, der vurderer konsekvenserne ved
forskellige modeller for en mere ensartet CO
2
e-afgift. Den optimale afgiftsstruktur
skal dermed belyses i forhold til 70 pct.-målsætningen, og eventuelle afledte for-
hold, herunder anden regulering af øvrige eksternaliteter, administrative forhold
og barrierer for national regulering, skal fremgå eksplicit.
Ekspertgruppen skal udarbejde forskellige scenarier, der bidrager væsentligt til
70 pct.-målsætningen i 2030.
Ekspertgruppen skal desuden tage stilling til, hvordan klimalovens guidende prin-
cipper operationaliseres. Ekspertgruppen skal i sammenhæng hermed præsen-
tere forskellige scenarier, som vægter hensynene forskelligt (fx vægter lækage
KEF, Alm.del - 2021-22 - Bilag 161: Grøn skattereform (første delrapport)
Grøn
skattereform
Side 119
Side 119
højt eller lavt). Udgangspunktet for alle scenarierne bør være, at de leverer den
samfundsøkonomiske billigste løsning. I det omfang det hensyn fraviges, skal det
begrundes hvorfor.
Ekspertgruppen skal sigte mod scenarier, der samlet set er provenuneutrale og
understøtter BNP og arbejdsudbud på en socialt balanceret måde. Forslagene
behøver dog ikke at være provenuneutrale år-for-år. Ekspertgruppen skal desu-
den inkludere et forslag, hvor skatter og afgifter samlet set ikke stiger.
Ud over endemålet skal der laves forskellige indfasningsscenarier, herunder føl-
somhedsscenarier henset til usikkerhed forbundet med fremskrivningerne. Der
skal tages hensyn til usikkerhed i indfasningsscenarierne. Disse scenarier skal
bl.a. ses i sammenhæng med indfrielse af 2025-målet.
Hvert scenarie skal belyse følgende:
Samfundsøkonomi: De samlede samfundsøkonomiske konsekvenser målt
ved forvridningstab både opgjort i total samt som andel af CO
2
e-reduktion
(skyggepris).
Nationaløkonomiske konsekvenser: Provenu, herunder skattetryk, BNP, ar-
bejdsudbud, konkurrenceevne og beskæftigelse, belastning af erhverv (inkl.
detaljerede branchefordelinger) og husholdninger. Disse konsekvenser skal
skitseres på kort sigt (tilpasnings-/transitionsomkostninger) og strukturelt.
Udledning, lækage og miljøpåvirkning: CO
2
e-reduktioner, CO
2
e-lækage, bi-
drag til EU’s klimamål samt øvrige miljøpåvirkninger mv. (eksternaliteter), så-
fremt det vurderes relevant.
Social balance: Fordelingseffekter, GINI, regionsforskelle m.m.
Derudover skal der i arbejdet tages hensyn til, at den teknologiske udvikling er
usikker, og at denne usikkerhed har konsekvenser for de samfundsøkonomiske
omkostninger ved indfrielse af 70-pct.-målsætningen. Ekspertgruppen skal derfor
se på de teknologiske forhold og muligheder på tværs af de enkelte brancher,
herunder de aktuelle og fremtidige teknologiske muligheder for omstilling.
Ekspertgruppens arbejde skal indebære, at den foreslåede CO
2
e-regulering
bedst muligt understøtter indførelsen af nye ressourcebesparende teknologier for
såvel industri som landbrug.
Endelig skal ekspertgruppens forslag være implementerbare og tage højde for
lovgivningsmæssige, EU-retlige, systemmæssige og administrative konsekven-
ser. Der skal herunder tages hensyn til forslagets overholdelse af energibeskat-
ningsdirektivet, et muligt forslag til nyt energibeskatningsdirektiv, EU's statsstøt-
teregler og øvrig relevant international regulering. Det skal ses i lyset af, at udvik-
lingstiden og implementeringstiden for tiltag på afgiftsområdet, herunder nye af-
giftsstrukturer, er betydelig.
Arbejdet skal desuden tænkes sammen med de øvrige klimapolitiske tiltag, her-
under også nuværende tilskudspuljer og aftaleordninger mv., regulering af øvrige
miljøpåvirkninger (eksternaliteter).
Det skal sikres, at omlægning af fase 1, hvor omlægningen af den aftalte forhø-
jelse i kr. pr. GJ balanceret efter CO
2
, skal være konsistent med den langsigtede
løsning.
KEF, Alm.del - 2021-22 - Bilag 161: Grøn skattereform (første delrapport)
Grøn
skattereform
Side 120
Side 120
Der skal ske en delafrapportering ultimo 2021 med henblik på at kunne indkalde
aftalepartierne til drøftelse ultimo i 2021 på baggrund af rapporten. Endelig afrap-
portering skal ske i efteråret 2022.
8.1.4 Indhold i første delrapport
Første delrapport skal beskrive den overordnede arkitektur for en ensartet CO
2
e-
regulering, herunder lækage, sammenhængen med 70 pct.-målet og kvotesyste-
met (nuværende og kommende) og tilskudsordninger, der kan danne udgangs-
punkt for arbejdet frem mod de konkrete modeller, der skal indgå i den endelige
afrapportering. Såfremt det er muligt, kan den første rapport også indeholde an-
befalinger til niveau for ensartet CO
2
e-afgift i 2030.
Som et skridt på vejen mod den endelige arkitektur for en mere ensartet CO
2
e-
regulering, skal første delrapport skitsere en model for omlægning af energiafgif-
terne til en mere direkte afgift på CO
2
e-udledning.
Med første fase af en grøn skattereform er regeringen og aftalepartierne enige
om at forhøje energiafgiften på fossile brændsler for erhverv med 6 kr. pr. GJ.
Dette element forventes at medføre reduktioner i de klimabelastende udledninger
på ca. 0,5 mio. ton CO
2
e frem mod 2025.
Samtidigt skal ekspertgruppen arbejde mod at udvide afgiftsgrundlaget til områ-
der, der er relativt veldefinerede, bl.a. CO
2
-udledninger fra olie- og gasindvinding
og olieraffinering, CO
2
-udledninger i forbindelse med mineralogiske processer
mv., fossile brændsler til elproduktion samt evt. øvrige CO
2
-afgiftsfritagelser, som
ekspertgruppen finder relevante at involvere i første fase.
Ved omlægning fra energiafgifter til CO
2
-afgift skal der bl.a. tages højde for det
fossile indhold (i form af plastik mm.) i affaldsmængderne ved affaldsafbrænding
til fjernvarme, samt hvordan kul kan udfases i fjernvarmen. Endvidere skal betyd-
ningen af loftet over fjernvarmeprisen, fx vedrørende overskudsvarme fra over-
skudsvarmeleverandører, samt rumvarmeafgift på individuel og kollektiv rum-
varme belyses.
Ekspertgruppen skal pege på hensigtsmæssige kompensations- og tilbagefø-
ringsmekanismer. Kompensationsmekanismerne kan fx være i form af bundfra-
drag, tilskud, differentierede satser og/eller forsinket indfasning af afgifter samt
mere generelle kompensationstiltag.
Ekspertgruppen bør også vurdere samspillet mellem det udvidede afgiftsgrund-
lag, nationale tilskudsordninger og det europæiske kvotesystem med henblik på
at sikre en ensartet CO
2
e-regulering. Særligt hvorvidt det vil være hensigtsmæs-
sigt at give fradrag i CO
2
e-afgiften for kvotebetalinger skal også belyses. Desu-
den kan der til sammenligning ses på CO
2
-beskatning i andre relevante lande.
8.1.5 Indhold i endelige afrapportering
Med anden delrapport skal ekspertgruppen belyse modeller for en mere ensartet
CO
2
e-regulering af alle omfattede udledninger. Herunder forskellige afgiftsni-
veauer og indfasningsprofiler frem mod 2030 samt de økonomiske og praktiske
konsekvenser heraf.
KEF, Alm.del - 2021-22 - Bilag 161: Grøn skattereform (første delrapport)
Grøn
skattereform
Side 121
Side 121
Anden delrapport skal desuden indeholde en vurdering af fordele og ulemper ved
henholdsvis en reguleringsløsning for landbrugssektoren, en tilskudsløsning in-
den for EU’s landbrugsstøtte og en CO
2
e-afgift for denne sektor eller en kombi-
nation af disse, samt mulige tiltag for omkostningseffektiv regulering af landbru-
get, som adresserer CO
2
e-udledninger og øvrige eksternaliteter, herunder fx
miljø og sundhed. Bedriftsregnskaber er en forudsætning for CO
2
e-afgifter på
landbruget. Det er lagt til grund, at arbejdet hermed foregår i særskilt regi. Desu-
den skal der indgå en vurdering af fordele og ulemper ved forskellige løsninger
for udledninger fra landbrugsjorde og andre udledninger fra LULUCF, som ek-
spertgruppen finder relevante at belyse. Der skal inddrages hensyn til kom-
mende EU-lovgivning på området, herunder en potentiel ny tilgang til regulering
af landbrugets klimapåvirkning gennem revision af byrdefordelingaftalen og LU-
LUCF-forordningen
i EU og særskilt landbrugssøjle i EU’s kvotesystem.
Endelig skal ekspertgruppen komme med forslag til mulige måder at konstruere
kompensationsmekanismer, herunder blandt andet bundfradrag, tilskudsordnin-
ger, differentierede satser, forsinket indfasning og sammenhæng til eksisterende
tilskudspuljer, generelle tiltag og andre mulige mekanismer, herunder europæisk
regulering og gennem kvotehandelssystemet. Kompensationsmekanismerne bør
desuden ses i lyset af bl.a. lækage, virksomhedernes konkurrenceevne og be-
skæftigelse. Herunder bør den store variation i erhvervsbelastning både mellem
og inden for sektorer tænkes ind. Forslag til kompensationsmekanismer skal af-
vejes i forhold til øvrige effekter heraf.
I arbejdet kan hele skatte-, afgifts- og tilskudssystemet inddrages, herunder også
fradrag, undtagelser, kompensationstiltag og tilskudsordninger, både som bidrag
til klimamålsætningerne, finansieringselement eller til at imødegå andre utilsig-
tede virkninger af reformen, fx fordelingshensyn.
8.1.6 Ekspertgruppens organisering
Kommissionen vil bestå af en ekstern formand og derudover fem eksterne med-
lemmer.
Desuden vil afdelingschefer fra hhv. Skatteministeriet, Finansministeriet, Klima-,
Energi-, Forsyningsministeriet, Erhvervsministeriet samt Fødevareministeriet del-
tage i drøftelserne. Afdelingschefer fra øvrige ministerier inddrages efter behov.
Ekspertgruppen vil få stillet et uafhængigt sekretariat til rådighed bestående af
embedsmænd fra de involverede ministerier, og hvor formandskabet varetages i
fællesskab af Skatteministeriet og Finansministeriet.
Derudover etableres der en følgegruppe til ekspertgruppen, bestående af Dansk
Industri, Dansk Erhverv, Dansk Energi, Landbrug & Fødevarer, FH Fagbevægel-
sens Hovedorganisation, Kraka, Concito, Rådet for Grøn Omstilling, Klimarådet
og Det Miljøøkonomiske Råd. Følgegruppen kan fungere som nyttig vidensbank
for kommissionen. På denne måde vil følgegruppen kunne bidrage med aktuel
og relevant viden og sparring til ekspertgruppens arbejde om bl.a. den teknologi-
ske udvikling, incitamenter og økonomiske forhold. Ekspertgruppen kan derud-
over benytte sig af eksterne eksperter, herunder ved bestilling af eksterne analy-
ser.
KEF, Alm.del - 2021-22 - Bilag 161: Grøn skattereform (første delrapport)
Grøn
skattereform
Side 122
Side 122
8.2 Lækage
Det fremgår af kommissoriet, at drivhusgasreguleringen skal beskrives under
hensyntagen til lækageeffekter. Ønsket om at reducere risiko for lækage er en
del af klimalovens guidende principper. Hvis de globale reduktioner skal maksi-
meres og lækage reduceres, bør den optimale CO
2
-afgift teoretisk set korrigeres
for lækageeffekter, så mere lækageudsatte brancher betaler lavere afgifter. Dette
kapitel redegør for Ekspertgruppens arbejde med lækage, herunder hvorfor det
ikke anbefales at udarbejde lækagekorrigerede satser.
Drivhusgaslækage dækker over en situation, hvor indenlandske tiltag for at redu-
cere udledninger i Danmark skaber øgede udledninger i udlandet, fx hvis dele af
eller hele produktionen af en given vare flyttes til udlandet. Det betyder, at dan-
ske klimapolitiske tiltag potentielt reducerer de globale drivhusgasudledninger
mindre
end de danske udledninger reduceres. Denne effekt kan opgøres som en
såkaldt lækagerate, som udtrykker andelen af de indenlandske CO
2
-udledninger,
der erstattes af udenlandske udledninger ved et givet tiltag.
Det vurderes på nuværende tidspunkt ikke hensigtsmæssigt at korrigere speci-
fikke afgiftssatser eksplicit for præcise lækagerater. Det skal blandt andet ses i
lyset af de kommende justeringer til EU’s kvotehandelssystem,
som forventeligt
vil påvirke lækageeffekterne betydeligt, ligesom der grundlæggende er usikker-
hed knyttet til vurderinger af effekten af ændringer i dansk produktion på udlan-
dets produktion og udledninger. Det er generelt uhensigtsmæssigt at fastsætte
afgiftssatser på baggrund af fx ind- og udlandets relative drivhusgasintensiteter
eller handelsmønstre, der potentielt kan ændre sig betydeligt over tid.
8.2.1 Typer af lækage
Lækageeffekter kan forekomme gennem forskellige mekanismer, herunder
blandt andet udenrigshandel, priseffekter på fossile brændsler og international
regulering (fx EU’s kvotehandelssystem).
26
Drivhusgaslækage kan kun forekomme, såfremt andre lande har mulighed for at
øge deres udledninger. Lande med en bindende forpligtelse til at reducere CO
2
-
udledningerne, fx gennem EU’s byrdefordelingsaftale, kan således i udgangs-
punktet ikke lade deres udledninger stige som konsekvens af dansk klimapolitik,
medmindre de overopfylder forpligtelsen. Såfremt et dansk klimatiltag fx får en
virksomhed til at flytte produktionen til et andet EU-land, vil virksomhedens ud-
ledninger indgå i det andet lands udledninger og reduktionskrav. Det er derfor, at
klimaaftaler med bindende forpligtelser for de enkelte lande generelt forventes at
reducere lækageeffekter. Hvis der derimod er tale om fælles forpligtelser
fx un-
der EU’s kvotehandelssystem, der ikke er fordelt på enkelte lande –
kan der op-
stå lækage, idet fx en mere ambitiøs dansk klimapolitik kan medføre, at forpligtel-
sen kan opnås uden tilsvarende bidrag fra de øvrige lande.
26
Der kan også være lækageeffekter gennem anden regulering, fx EU’s krav om reducerede udledninger fra
nye biler, og gennem øvrig politik, fx ved at Danmark er et foregangsland. Disse effekter er ikke umiddelbart
mulige at estimere i de tilgængelige økonomiske modeller.
KEF, Alm.del - 2021-22 - Bilag 161: Grøn skattereform (første delrapport)
Grøn
skattereform
Side 123
Side 123
Lækage gennem udenrigshandel forekommer, når politiske tiltag forvrider prisfor-
holdet mellem ind- og udland. Hvis fx Danmark indfører en højere afgift på driv-
husgasudledninger end udlandet, bliver det relativt dyrere at producere drivhus-
gasintensive varer i Danmark. Det forværrer konkurrenceevnen for dansk pro-
duktion. Ved uændret efterspørgsel medfører den højere afgift øget import af
CO
2
-intensive varer og øgede udenlandske udledninger gennem en udflytning af
produktionen. Udflytningen af produktionen kan både være i form af markedsan-
dele eller outsourcing, eller ved at virksomheder lukker eller flytter helt.
Lækagen kan også forekomme mere indirekte gennem det internationale marked
for fossile brændsler. Øgede afgifter på fossile brændsler vil gøre det mindre at-
traktivt at bruge disse i produktionen. Det mindsker den indenlandske efterspørg-
sel efter fossile brændsler, hvilket vil få prisen på det internationale marked for
fossile brændsler til at falde marginalt. Dette prisfald vil øge efterspørgslen efter
fossile brændsler i udlandet. Selv om prisfaldet måtte være meget beskedent,
kan den resulterende stigning i udlandets brændselsforbrug udgøre en væsentlig
andel af faldet i det indenlandske brændselsforbrug, når den udenlandske øko-
nomi er meget stor i forhold til den indenlandske økonomi. Selv i en lille økonomi
med meget lille indflydelse på de internationale brændselspriser kan lækagera-
ten via det internationale brændselsmarked derfor være betydelig.
Det er vanskeligt at estimere lækagerater rent empirisk, fordi man principielt skal
fastlægge et givet indenlandsk tiltags kausale effekt på både de indenlandske og
udenlandske CO
2
-udledninger. Derfor estimeres lækageeffekter sædvanligvis
ved hjælp af generelle ligevægtsmodeller (CGE-modeller), fx GrønREFORM, der
er under udvikling i DREAM-gruppen på vegne af Finansministeriet og indehol-
der en lækagemodel.
27
De Økonomiske Råd har også estimeret lækagerater
med en lignende tilgang i publikationer fra henholdsvis 2019 og 2021,
jf. neden-
for.
8.2.2 Lækageeffekt gennem udenrigshandel
Det er en forudsætning for at beregne lækageeffekter, at man kan beskrive den
danske handel med resten af verden tilstrækkeligt præcist. Da det i praksis ikke
er teknisk muligt at beskrive den danske handel med hvert enkelt af de øvrige
lande i verden i hver enkelt branche i én økonomisk model, grupperes udlandet
typisk i regioner eller lignende. Ved en sådan tilgang vil en given udenlandsk
branche fra et dansk synspunkt dermed være sammensat af den pågældende
branche i hver region vægtet efter, hvor stor en del af handlen med Danmark i
den pågældende branche, hver region udgør. Lækageeffekter gennem udenrigs-
handlen beregnes i udgangspunktet ved, at fx en reduktion i den danske produk-
tion i en given branche giver anledning til en tilsvarende øget produktion i hver af
de øvrige regioner på baggrund af et handelsvægtet gennemsnit, dvs. afhængigt
af den initiale samhandel med Danmark i den pågældende branche i hver region.
Selv om de initiale handelsmønstre i et vist omfang må forventes at følge de nu-
værende forskelle i produktions- og transportomkostninger, produktkvalitet mv.
på tværs af regionerne, er det ikke sikkert, at ændringer i dansk produktion vil
27
GrønREFORM er i udgangspunktet en beskrivelse af dansk økonomi, og effekterne i udlandet i forbindelse
med lækageberegninger i GrønREFORM er således delvist baseret på en udvidelse af den globale, generelle
ligevægtsmodel GTAP (Global
Trade Analysis Project).
KEF, Alm.del - 2021-22 - Bilag 161: Grøn skattereform (første delrapport)
Grøn
skattereform
Side 124
Side 124
føre til proportionale udenlandske produktionsændringer i henhold til de nuvæ-
rende handelsmønstre.
Fx kunne produktionen overtages helt af én af de øvrige regioner, eller blot for-
dele sig på regionerne med en anden fordeling, end hvad det initiale danske han-
delsmønster giver anledning til. Det ville imidlertid kræve omfattende analyser af
hver enkelt branche på tværs af de relevante lande, hvis ændringen i produktio-
nens fordeling på lande eller regioner skulle beskrives på et så højt detaljeni-
veau. Derfor lægges den mere generelle forudsætning præsenteret ovenfor til
grund, og lækageeffekterne gennem udenrigshandlen er således behæftet med
en vis usikkerhed.
Ligesom grupperingerne af udlandet består af forskellige lande, består økonomi-
ens brancher som regel af meget forskellige virksomheder
særligt når der er
tale om internationale sammenligninger. Fx stammer udledningerne i national-
regnskabsbranchen
ikke-metalliske mineraler
i Danmark næsten udelukkende fra
CO
2
-intensiv cementproduktion, hvorimod den samme branche i udlandet i hø-
jere grad indeholder anden og mindre CO
2
-intensiv produktion.
Hvis den danske cementproduktion sænkes, vil det formentligt give anledning til
øget cementproduktion i udlandet, men under den angivne branchedefinition
medfører det øget udenlandsk produktion af ikke-metalliske mineraler generelt.
Denne sammensætningseffekt kan potentielt give anledning til en undervurderet
lækageeffekt i den pågældende branche. Fra et dansk synspunkt vil det princi-
pielt være mere retvisende at estimere en lækageeffekt specifikt for cementpro-
duktion frem for ikke-metalliske mineraler, men det kræver data på et meget højt
detaljeniveau for både indenlandsk og udenlandsk produktion og vil i praksis ikke
kunne lade sig gøre for samtlige brancher. Det bemærkes, at sammensætnings-
effekter ligeledes kan give anledning til overvurderede lækageeffekter.
8.2.3 Drivhusgasintensitet og sammensætnings-
effekter
Forskelle i produktionens drivhusgasintensitet, dvs. udledninger i forhold til vær-
ditilvækst, i de enkelte brancher i henholdsvis ind- og udland påvirker lækageef-
fekterne. Hvis en dansk branche er mindre drivhusgasintensiv end den tilsva-
rende branche i udlandet, vil en afgift, som resulterer i at en større del af produk-
tionen i branchen flytter til udlandet, medføre højere CO
2
-lækage. Drivhusgasin-
tensiteten i en given branche kan ændre sig over tid, fx som følge af inddragelse
af nye teknologier i produktionen. Hvis de nye teknologier indtræder forskudt i
henholdsvis den indenlandske og udenlandske produktion, kan drivhusgasinten-
siteten vise sig følsom over for tidspunktet for opgørelsen. Det er særligt et pro-
blem i fastsættelsen af afgiftssatser, som normalt ikke revideres løbende på bag-
grund af nye data.
Problemstillingen kan illustreres ved, at De Økonomiske Råd i 2019 estimerede
lækageraten i det danske landbrug til at være i intervallet 27-75 pct.,
28
mens de i
2021 estimerede samme lækagerate til at være ca. 25 pct.
29
28
29
De Økonomiske Råd (2019): Økonomi og Miljø 2019
De Økonomiske Råd (2021): Økonomi og Miljø 2020
KEF, Alm.del - 2021-22 - Bilag 161: Grøn skattereform (første delrapport)
Grøn
skattereform
Side 125
Side 125
Nedjusteringen af den skønnede lækagerate skyldtes delvis, at DØR i 2021 an-
lagde en kortere tidshorisont, men to yderligere forhold bidrog til nedjusteringen.
Ifølge de data, der lå til grund for det første estimat, var dansk landbrug
mindre
drivhusgasintensivt end landbruget i udlandet, mens dansk landbrug ifølge data
bag den seneste vurdering er
mere
drivhusgasintensivt end landbruget i udlan-
det.
Derudover forbedrede De Økonomiske Råd modelleringen af landbrugets reduk-
tionsmuligheder mellem de to publikationer, så landbruget i den seneste vurde-
ring i højere grad kunne reducere udledningerne uden at sænke produktionen og
eksporten. Inden lækageeffekterne lægges til grund for afgiftssatser, bør det så-
ledes undersøges, i hvilket omfang opgørelserne af den relative drivhusgasinten-
sitet mellem ind- og udlandet i de berørte brancher ændrer sig over tid.
8.2.4
Lækage knyttet til EU’s kvotehandelssystem
I et normalt kvotesystem, med en given mængde kvoter, vil der i udgangspunktet
være en lækagerate på 100 pct., da kvoter, som ikke forbruges i Danmark, i ste-
det kan forbruges af andre lande. Dvs., at de samlede udledninger i EU er uæn-
drede, men blot flyttes mellem landene. Lækageraten inden for EU’s kvotehan-
delssystem er imidlertid påvirket af den såkaldte markedsstabilitetsreserve
(MSR). Hvis mængden af ubrugte kvoter når en vis grænse, placeres de midlerti-
digt i MSR, og fra 2023 annullereres de overskydende kvoter, hvis mængden af
kvoter i MSR overstiger mængden af auktionerede kvoter året før. I det omfang
MSR fører til annullerede kvoter, vil der således være en lækagerate på under
100 pct. i
EU’s
kvotehandelssystem.
Klimalovgivningen i EU indebærer en bindende begrænsning på CO
2
-udlednin-
gerne i de ikke-kvotebelagte sektorer samlet set. I beregningen af lækageeffekter
i GrønREFORM forudsættes det således, at de samlede drivhusgasudledninger i
de ikke-kvotebelagte sektorer i EU ekskl. Danmark ikke kan stige. Det betyder, at
ændringer i Danmarks import og eksport ikke kan påvirke de samlede udlednin-
ger i ikke-kvotesektoren, og der vil dermed ikke være lækage mellem EU-lande i
de sektorer, der ikke indgår i
EU’s
kvotehandelssystem.
EU’s kvotehandelssystem
forventes imidlertid ændret inden for de kommende år.
Europa-Kommissionen fremlagde den 14. juli 2021 en lovpakke,
“Fit
for 55”-pak-
ken, med forslag til revision af EU’s lovgivning på klima-
og energiområdet,
jf. af-
snit 5.3.2.
Lovpakken forventes at medføre ændrede lækageeffekter for både
kvoteomfattede og ikke-kvoteomfattede sektorer i forhold til
EU’s
nuværende
kvotehandelssystem, som ligger til grund for de nuværende estimater af lækage-
effekter.
Den samlede lovpakke forhandles de kommende år. Det er således ikke muligt
at vurdere, præcis hvilke effekter den kommende lovgivning vil have på lækagen
i
EU’s
kvotehandelssystem, men lækageeffekterne skal under alle omstændighe-
der konsolideres, når den nye lovgivning er på plads. Lækageeffekterne bør ikke
lægges til grund for vurderinger af politiske tiltag, så længe der på relativt kort
sigt forventes justeringer til et så centralt element som
EU’s
kvotehandelssystem.
KEF, Alm.del - 2021-22 - Bilag 161: Grøn skattereform (første delrapport)
Grøn
skattereform
Side 126
Side 126
8.2.5 Generelle ligevægtseffekter
Ud over de ovenfor nævnte forhold vil lækageeffekterne også være påvirket af
generelle ligevægtseffekter, herunder brancheforskydninger som følge af tilpas-
ninger til ændrede priser hos virksomheder og forbrugere.
En vigtig effekt er fx, at lønniveauet i økonomien falder, hvis virksomhederne ef-
terspørger mindre arbejdskraft som følge af en drivhusgasbeskatning, der redu-
cerer deres konkurrenceevne. Når lønniveauet falder, forbedres konkurrenceev-
nen i forhold til udlandet i brancher med lave drivhusgasudledninger, hvor ek-
sporten, produktionen og beskæftigelsen således stiger.
Fx vil en CO
2
-afgift på energiintensive industriprodukter i Danmark gøre det let-
tere for udenlandske producenter af tilsvarende produkter at sælge deres varer i
Danmark. Ved en uændret efterspørgsel vil produktionen af energiintensive indu-
striprodukter i udlandet derfor fortrænge noget af produktionen i Danmark. Den
øgede udenlandske produktion af energiintensive industriprodukter sker på be-
kostning af produktion i andre udenlandske sektorer, hvoraf nogle er ikke-energi-
intensive. Når den ikke-energiintensive produktion i udlandet falder til fordel for
den energiintensive industriproduktion, vil det isoleret set føre til øgede udlednin-
ger af drivhusgasser i udlandet. Omvendt forholder det sig i den ikke-energiinten-
sive industri, hvor en afgift på dansk produktion vil føre til en øget import og pro-
duktion af ikke-energiintensive industrivarer i udlandet, hvilket sænker drivhus-
gasudledningerne i udlandet.
De generelle ligevægtseffekter varierer alt efter, hvor mange og hvilke brancher
der pålægges afgifter. Hvis alle brancher fx pålægges en afgift samtidigt, er der
ikkenogen brancher, som er fritaget fra afgiften og derved kan tiltrække arbejds-
kraft og de øvrige produktionsfaktorer, men der vil være en tendens til, at mindre
CO
2
-intensive brancher tiltrækker arbejdskraft fra de mere CO
2
-intensive bran-
cher, der vil opleve de største omkostningsstigninger som følge af en generel af-
gift. I praksis pålægges afgifter sjældent én enkelt branche, og de branchefor-
delte lækageeffekter er derved i de fleste tilfælde mindre relevante end de sam-
lede lækageeffekter knyttet til en konkret afgiftsændring
særligt hvis der er tale
om brancher, hvor de generelle ligevægtseffekter dominerer.
Den overordnede størrelsesorden af de generelle ligevægtseffekter kan illustre-
res ved at sammenligne forskellige afgiftsstød i GrønREFORM. Hvis hver bran-
che enkeltvis pålægges en ensartet afgift på drivhusgasudledninger, mens de
øvrige brancher fritages, summerer lækageeffekterne af alle disse stød til ca. 9
pct., og hvis alle brancher pålægges afgiften samtidigt, bliver den totale lækage-
rate ca. 31 pct. Til sammenligning beregnede De Økonomiske Råd i 2019 og
2021 den samlede danske lækagerate til henholdsvis 45-53 pct. og 21 pct. Disse
estimater skal ses i lyset af alle de ovenfor nævnte usikkerheder og skal således
tolkes varsom.
KEF, Alm.del - 2021-22 - Bilag 161: Grøn skattereform (første delrapport)
2525505_0128.png
Grøn
skattereform
Side 127
Ekspertgruppen for en
grøn skattereform