Finansudvalget 2021-22
FIU Alm.del Bilag 62
Offentligt
2506836_0001.png
GBREDDE PÅ STANDARDSIDE
Uligheds-
redegørelsen
December 2021
Ulighedsredegørelsen
December 2021
FIU, Alm.del - 2021-22 - Bilag 62: Ulighedsredegørelsen 2021, fra finansministeren FIU, Alm.del - 2021-22 - Bilag 62: Ulighedsredegørelsen 2021, fra finansministeren
2506836_0003.png
Uligheds-
redegørelsen
December 2021
FIU, Alm.del - 2021-22 - Bilag 62: Ulighedsredegørelsen 2021, fra finansministeren
Ulighedsredegørelsen
2021
I tabeller kan afrunding medføre, at tallene
ikke summer til totalen.
Denne publikationen er udarbejdet af
Finansministeriet
Christiansborg Slotsplads 1
1218 København K
Omslag:
Tryk:
Foto:
Oplag:
Pris:
ISBN:
BGRAPHIC
Stibo Complete
Scanpix
1.000
150 kr. inkl. moms
978-87-94088-32-9
Elektronisk publikation
ISBN: 978-87-94088-33-6
Publikationen kan hentes på
Finansministeriets
hjemmeside fm.dk
FIU, Alm.del - 2021-22 - Bilag 62: Ulighedsredegørelsen 2021, fra finansministeren
2506836_0005.png
Forord
Danmark er et af de mest lige lande i verden. Den stærke danske velfærd giver danskerne
lige adgang til sundhedsvæsen, uddannelse og socialt sikkerhedsnet. Det betyder, at mange
danske børn har gode og lige muligheder fra begyndelsen af deres liv. Sådan skal det blive
ved med at være.
Ulighed handler nemlig om andet og mere end indkomstforskellene målt ved Gini-koefficien-
ten. Det handler i lige så høj grad om at sikre, at alle har lige muligheder for at få en uddan-
nelse og et solidt fodfæste på arbejdsmarkedet, og at alle har lige muligheder for at leve et
godt og sundt liv.
Men der er stadigvæk børn i Danmark, som får en vanskelig start. Og der er stadigvæk om-
kring 45.000 unge mennesker, som hverken er i uddannelse eller i job, og som risikerer at stå
uden for det danske fællesskab.
Det skal vi gøre noget ved. Velfærden skal være til gavn for alle danskere.
Ulighedsredegørelsen giver et dybdegående billede af et Danmark, som trods vores stærke
velfærd stadigvæk viser tegn på ulighed. Over de seneste årtier er indkomstforskellene ste-
get, og topindkomsterne har haft den største indkomstfremgang. Og selvom danskernes sti-
gende levealder i høj grad omsættes til gode leveår, er der stadigvæk forskel på, hvor mange
gode leveår forskellige befolkningsgrupper har udsigt til.
Regeringen er aktivt gået ind i kampen imod ulighed. Vi ønsker at styrke den samfundsmo-
del, der har gjort Danmark til det trygge land, vi kender. Vi vil bevare den sociale mobilitet,
som det danske samfund nyder godt af. Og vi skal sørge for, at vores unge mennesker ikke
tabes på gulvet, og at vi som samfund sætter en ære i at bidrage til fællesskabet.
Regeringen har allerede taget skridt mod at sænke uligheden. Der er investeret i velfærden
for at sikre gode vilkår for børn og ældre. Retten til tidlig pension for personer med et langt og
ofte opslidende arbejdsliv giver bedre muligheder for at trække sig tilbage, mens helbredet er
godt. Og loftet over virksomhedernes fradrag for høje lønninger kan bidrage til, at topindkom-
sterne ikke løber fra resten af samfundet.
FIU, Alm.del - 2021-22 - Bilag 62: Ulighedsredegørelsen 2021, fra finansministeren
2506836_0006.png
Ulighedsredegørelsen er et godt værktøj til de næste skridt. Et værktøj som gør os klogere,
og som skaber overblik over både muligheder og barrierer i det danske samfund.
FIU, Alm.del - 2021-22 - Bilag 62: Ulighedsredegørelsen 2021, fra finansministeren FIU, Alm.del - 2021-22 - Bilag 62: Ulighedsredegørelsen 2021, fra finansministeren
2506836_0008.png
Kapitel 1
Sammenfatning
8
Ulighedsredegørelsen 2021
December 2021
FIU, Alm.del - 2021-22 - Bilag 62: Ulighedsredegørelsen 2021, fra finansministeren
Indhold
1.
Sammenfatning .............................................................................................................
1.1 Forskelle i indkomster og nettoformuer ..............................................................
1.2 Betydning af økonomisk arv ...............................................................................
1.3 Formuemobilitet på tværs af generationer .........................................................
1.4 Forskelle i sunde leveår ......................................................................................
Indkomstudvikling og -forskelle ....................................................................................
2.1 Udviklingen i befolkningens indkomster .............................................................
2.2 Topindkomster ....................................................................................................
2.3 Lavindkomstgruppen ..........................................................................................
2.4 Udvikling i indkomstforskellene ..........................................................................
Bilag 2.1 Bidrag til realvækst i disponibel indkomst ....................................................
Bilag 2.2 Indkomstudvikling, indkomstforskelle og lavindkomstgruppe.......................
Fordelingen af danskernes formuer..............................................................................
3.1 Danskernes personlige formuer .........................................................................
3.2 Formueforskellene i Danmark ............................................................................
3.3 Formueforskellene blandt unge voksne .............................................................
3.4 Internationale sammenligninger .........................................................................
Bilag 3.1 Flere opgørelser af formueforskellene..........................................................
9
11
16
18
20
23
24
31
40
43
49
51
53
54
61
71
76
81
2.
3.
4.
Betydning af økonomisk arv ......................................................................................... 87
4.1 Afdødes familierelationer og formuer ................................................................. 88
4.2 Hvem arver og hvor meget? ............................................................................... 92
4.3 Fordelingen af arv til børn ................................................................................... 98
Bilag 4.1 Fordeling af arv i indkomstfordelingen.......................................................... 105
5. Forskelle i sunde leveår ............................................................................................
5.1 Udviklingen i levetid ............................................................................................
5.2 Sundhed er flere ting ..........................................................................................
5.3 Udvikling i sunde leveår ......................................................................................
5.4 Forskelle i sunde leveår ......................................................................................
5.5 Sunde leveår opdelt på uddannelse ...................................................................
109
111
113
121
127
128
5.
Redaktionen er afsluttet 17. december 2021.
FIU, Alm.del - 2021-22 - Bilag 62: Ulighedsredegørelsen 2021, fra finansministeren
2506836_0010.png
Kapitel 1
Sammenfatning
8
Ulighedsredegørelsen 2021
December 2021
FIU, Alm.del - 2021-22 - Bilag 62: Ulighedsredegørelsen 2021, fra finansministeren
2506836_0011.png
1. Sammenfatning
Traditionelle fordelingsanalyser tager udgangspunkt i forskellene i forbrugsmulighederne, der typisk
måles ved forskellene i de disponible indkomster eller forskellene i nettoformuerne.
Forskelle i forbrugsmulighederne opgjort ved indkomster og formuer kan give vigtige indsigter i for-
skellige fordelingsspørgsmål. Samtidig er det en enkel og letforståelig tilgang, hvor der er gode data,
som gør det nemt at rangordne befolkningen og præcist opgøre forskellene. Men forskelle i indkomst
og formue giver ikke det fulde billede, hvis man ønsker indblik i ulighed. Andre relevante emner kan fx
være mulighederne for at opnå uddannelse, beskæftigelse og et godt helbred.
Med Aftale om finansloven for 2020 blev det besluttet, at der årligt skal offentliggøres en Ulighedsre-
degørelse, der har som formål at styrke vidensniveauet og skabe overblik over forskellige dimensio-
ner af ulighed,
jf. boks 1.1.
Boks 1.1
Status for arbejdet med Ulighedsredegørelsen
Regeringen (S), Radikale Venstre, Socialistisk Folkeparti, Enhedslisten og Alternativet har aftalt, at der skal udgives
en årlig ulighedsredegørelse, der analyserer ulighed i bredere forstand. Formålet med redegørelsen er at styrke
vidensniveauet, følge udviklingen og skabe overblik over forskellige dimensioner af ulighed, fx på velfærdsområdet,
jf. Aftale om finansloven 2020.
Ulighedsredegørelsen 2020
indeholdt både analyser af indkomstforskellene og forskellene i nettoformuer. Et nyt
datagrundlag blev benyttet til at belyse betydningen af unoterede aktier. Redegørelsen satte også fokus på ulighed i
bredere forstand, fx sammenhæng mellem indkomstforskellene og ulighed i muligheder. Publikationen havde desu-
den særskilt fokus på udviklingen i den såkaldte restgruppe uden uddannelse og de langsigtede effekter af lavind-
komst i barndommen. Derudover blev forskelle i livskvalitet og levealder analyseret.
Ulighedsredegørelsen 2021
bygger blandt andet videre på analyserne præsenteret i Ulighedsredegørelsen 2020, og
der indgår helt nye analyser af betydningen af arv fra forældre til børn og forskelle i sunde leveår.
Ulighedsredegørelsen udkom første gang i 2020. Redegørelsen indeholdt både analyser af traditio-
nelle økonomiske forskelle, herunder indkomst- og formueforskelle, men havde også fokus på ulighed
i bredere forstand.
Ulighedsredegørelsen 2020 viste, at der tegn på, at en del af forklaringen på indkomstforskellene i
Danmark kan henføres til frivillige valg, der tages gennem livet samt personlige egenskaber. Der er
usikkerhed omkring, hvor stor gennemslaget er fra ulighed i muligheder til indkomstforskellene, men
selv i et land som Danmark med et fintmasket socialt sikkerhedsnet sætter ulighed i muligheder store
spor. Blandt de analyserede årsager til ulighed i muligheder kan især peges på sociale problemer i
opvæksten og forældrenes arbejdsmarkedstilknytning og uddannelsesniveau.
Ulighedsredegørelsen 2021
December 2021
9
FIU, Alm.del - 2021-22 - Bilag 62: Ulighedsredegørelsen 2021, fra finansministeren
2506836_0012.png
Kapitel 1
Sammenfatning
Redegørelsen havde også fokus på forskelle i livskvalitet og levealder. Livskvaliteten stiger med ind-
komsten, men der er mange andre faktorer end indkomst, der har betydning for livskvaliteten. Det
kommer til udtryk ved, at personer med godt helbred, gode sociale relationer og følelsen af personlig
frihed har omtrent samme livskvalitet, uanset om de har høje eller lave indkomster.
Befolkningens levealder er steget markant. Samtidig er forskellene i levealder blevet mindre for be-
folkningen samlet set. Der er dog forsat tegn på en positiv sammenhæng mellem indkomst og leveal-
der, så personer med høje indkomster lever længere end personer med lave indkomster.
Analyserne i Ulighedsredegørelsen 2021 bygger videre på analyserne fra sidste års publikation. Ulig-
hedsredegørelsen 2021 har fokus på at belyse og forstå de grundlæggende årsager til udviklingen i
de økonomiske forskelle, herunder indkomst- og formueforskellene. Derudover analyseres betydnin-
gen af direkte arv for formuefordelingen i det år, som arven kan henføres til. Endelig ses der nærmere
på om stigningen i levealder også omsættes i flere sunde leveår samt på forskellene i sunde leveår i
befolkningen.
Forskelle i indkomster, nettoformue, arv og sunde leveår er selvstændige emner, men kan også ses i
sammenhæng. Det skyldes, at nettoformuen opbygges med henblik på at udjævne forbrugsmulighe-
derne over livet eller med andre motiver for øje, herunder at videregive midler til næste generation,
jf.
figur 1.1.
Nettoformue kan henføres til løbende opsparing af indkomster, arv, gaver og kapitalafkast
på beholdningen af aktiver. Omvendt reduceres nettoformuen, når denne forbruges eller gives videre
i form af arv og gaver til næste generation.
Figur 1.1
Nettoformue, kilder til opsparing og opsparingsmotiver
Kilde: Egen illustration.
Større løbende indkomster giver den enkelte bedre muligheder for at opbygge nettoformue og der-
med også bedre muligheder for at efterlade arv og give gaver, der øger nettoformuen hos modta-
gerne. Samtidig kan forventningen om et længere liv med flere gode leveår betyde, at den enkelte i
højere grad sparer op med henblik på forbrug senere i livet.
10
Ulighedsredegørelsen 2021
December 2021
FIU, Alm.del - 2021-22 - Bilag 62: Ulighedsredegørelsen 2021, fra finansministeren
2506836_0013.png
Kapitel 1
Sammenfatning
De observerede formueforskelle i dag afspejler dermed blandt andet den historiske udvikling i ind-
komsterne og opsparingstilbøjeligheden, mens formuerne blev opbygget. Ligesom formueforskellene
i dag også kan afhænge af, i hvilket omfang ældre generationer giver formue videre til yngre generati-
oner.
1.1 Forskelle i indkomster og nettoformuer
Ulighedsredegørelsen belyser både indkomst- og formueforskellene.
Indkomstforskellene er større i dag end i midten af 90’erne. Der har i perioder været tale om markante
stigninger, mens der i andre perioder har været en stagnerende udvikling. For formuerne foreligger
der først oplysninger inklusive pensionsformue mv. fra 2014, og i perioden frem til 2019 er der ikke
tegn på stigende formueforskelle. Der findes et mindre fuldstændigt datagrundlag, der går tilbage til
slutningen af 90’erne, og på dette grundlag er det heller ikke muligt at konkludere, at formueforskel-
lene er stigende, jf. kapitel 3.
Stigningen i indkomstforskellene målt ved Gini-koefficienten kan især henføres til udviklingen i kapital-
indkomsterne, herunder aktieindkomst og imputeret afkast af egen bolig, samt overførsler.
Indkomstforskellene er også i nogen grad påvirket af udviklingen i demografiske og strukturelle for-
hold. Det betyder, at indkomstforskellene kan stige (falde) uden, at det nødvendigvis er udtryk for, at
samfundets evne til at skabe lige muligheder er svækket (styrket). Eksempelvis har det betydning, at
antallet af ældre og personer med anden etnisk herkomst end dansk er øget siden 1994. Samtidig er
andelen af højtuddannede i befolkningen steget, og flere er i beskæftigelse.
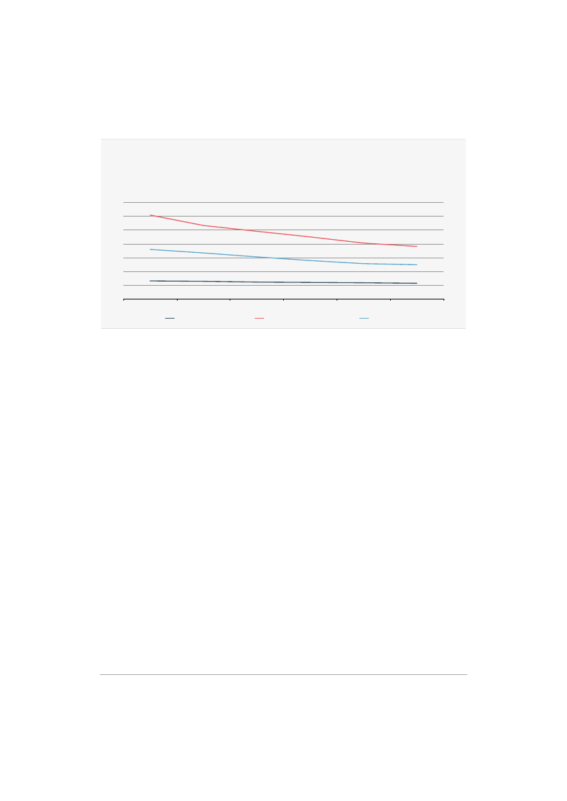
Indkomstforskellene målt ved Gini-koefficienten er øget fra ca. 20 pct. i 1994 til 28,5 pct. i 2019,
jf. fi-
gur 1.2.
Af den samlede stigning siden 1994 på ca. 8,5 pct.-point skønnes det, at ca. 2,3 pct.-point
kan henføres til udviklingen i demografiske og strukturelle forhold.
Ulighedsredegørelsen 2021
December 2021
11
FIU, Alm.del - 2021-22 - Bilag 62: Ulighedsredegørelsen 2021, fra finansministeren
2506836_0014.png
Kapitel 1
Sammenfatning
Figur 1.2
Indkomstforskellene målt ved Gini-koefficienten (1994-2019) og formueforskellene målt ved RMM
(2014-2019)
Gini-koefficient, pct.
40,0
35,0
30,0
25,0
20,0
15,0
10,0
5,0
0,0
94
95
96
97
98
99
00
01
02
03
04
05
06
07
08
09
10
11
12
13
14
15
16
17
18
19
Indkomstforskellene
Formueforskellene (h. akse)
RMM
4,0
3,5
3,0
2,5
2,0
1,5
1,0
0,5
0,0
Anm.: Se kapitel 2 og 3.
Kilde: Egne beregninger på lovmodellens datagrundlag.
Gini-koefficienten er et af de mest benyttede mål for de samlede indkomstforskelle i en befolkning el-
ler befolkningsgruppe. Det gælder, både når omfanget af indkomstforskellene og udviklingen i ind-
komstforskellene belyses.
Gini-koefficienten kan imidlertid være mindre velegnet i forbindelse med opgørelse af
formueforskel-
lene.
Forskellene i nettoformuerne dækker både over, at nogle har positive nettoformuer og andre har
negative nettoformuer. Det er derfor typisk ikke meningsfuldt at opgøre formueforskellene ved Gini-
koefficienten, da denne er følsom for negative værdier.
I stedet belyses formueforskellene ofte målt ved RMM (Ratio
between Mean and Median),
der angiver
forholdet mellem gennemsnits- og medianformuerne i befolkningen. Hvis RMM er større end én, har
mere end 50 pct. af befolkningen en nettoformue under gennemsnittet, altså er fordelingen "højre-
skæv".
I perioden fra 2014 til 2019 er forskellene i de samlede nettoformuer målt ved RMM reduceret fra godt
2,6 i 2014 til knap 2,3 i 2019.
Både Gini-koefficienten og RMM er summariske mål, der er koger den samlede fordeling ned til ét tal.
Det har en række fordele, men der er risiko for, at vigtige nuancer går tabt. Derfor er det relevant at
inddrage andre mål for at få en dækkende beskrivelse af indkomst- og formueforskellene.
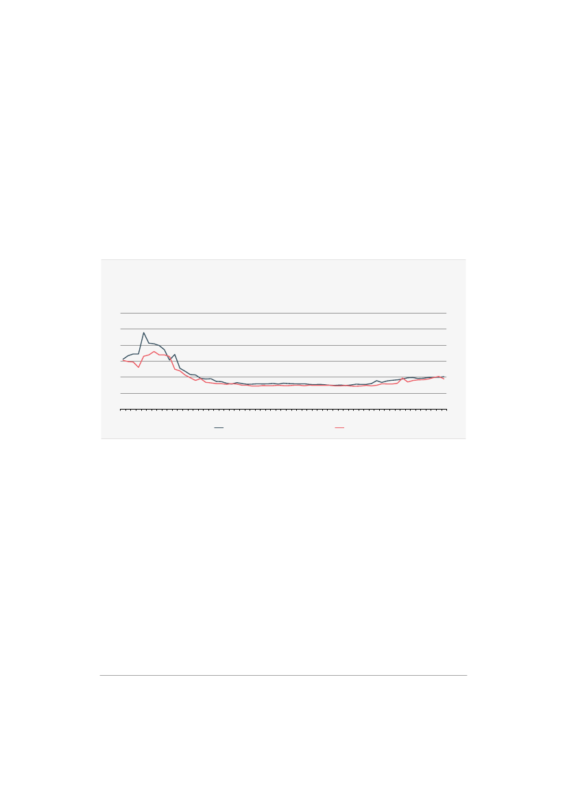
Et andet mål for forskellene i indkomster og formuer er koncentrationen blandt de personer med de
højeste indkomster og formuer. Andelen af den disponible indkomst, der kan henføres til den øverste
del af indkomstfordelingen, svarende til top 10 pct. og top 1 pct. af indkomstfordelingen, er steget
med henholdsvis 5,4 pct.-point og 2,8 pct.-point fra 1994 til 2019,
jf. figur 1.3.
12
Ulighedsredegørelsen 2021
December 2021
FIU, Alm.del - 2021-22 - Bilag 62: Ulighedsredegørelsen 2021, fra finansministeren
2506836_0015.png
Kapitel 1
Sammenfatning
Figur 1.3
Andel af disponible indkomster i top 10 pct. og
top 1 pct. af indkomstfordelingen, 1994-2019
Pct.
30
25
20
15
10
5
0
94 96 98 00 02 04 06 08 10 12 14 16 18
Top 10 pct.
Top 1 pct.
Pct.
30
25
20
15
10
5
0
Figur 1.4
Andel af nettoformue i top 10 pct. og top 1 pct.
af formuefordelingen, 2014-2019
Pct.
60
50
40
30
20
10
0
14
15
16
17
18
Top 1 pct.
19
Top 10 pct.
Pct.
60
50
40
30
20
10
0
Anm.: Andel af disponible indkomster er opgjort på baggrund af familieækvivalerede disponible indkomster for hele
befolkningen. Formueandele er opgjort på baggrund af alle voksne over 17 år og med udgangspunkt i personlig
nettoformue.
Kilde: Egne beregninger på lovmodellens datagrundlag.
Der er ikke tegn på en større koncentration af formuerne i toppen af formuefordelingen i perioden fra
2014 til 2019,
jf. figur 1.4.
Andelen af den samlede formue blandt personerne med de 10 pct. højeste
formuer er reduceret fra 53,7 pct. i 2014 til 50,5 pct. i 2019. Det er ikke et udtryk for, at formuerne er
faldet i toppen af formuefordelingen, men er drevet af relativt større stigninger i de reale aktiver og
pensionsformuerne blandt de øvrige 90 pct. af befolkningen. Samtidig er gælden (der reducerer netto-
formuen) vokset mindre blandt de øvrige 90 pct.
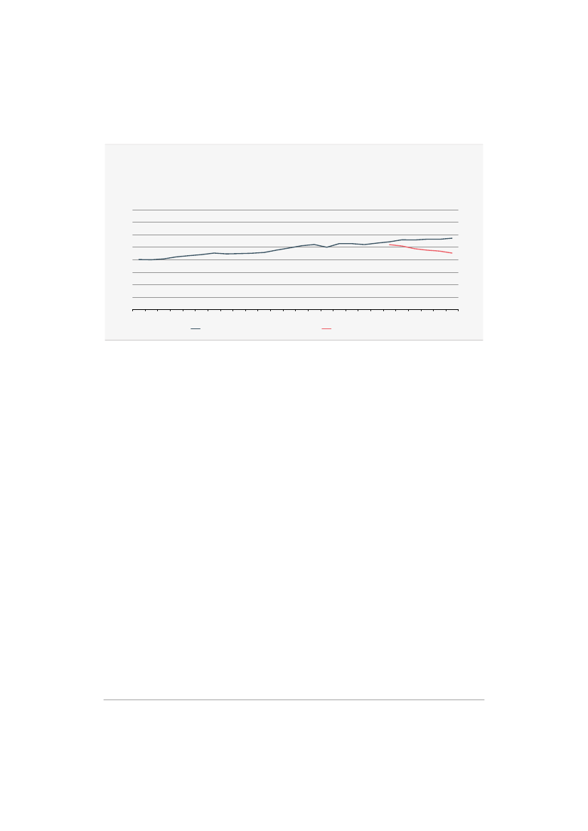
Danmark er kendetegnet ved, at der er en forholdsvis stor mobilitet i indkomstfordelingen over livet,
herunder i toppen af indkomstfordelingen. Mobiliteten er udtryk for, at nogle personer opnår en højere
indkomst og rykker op i indkomstfordelingen, fx ved at opnå beskæftigelse efter endt studie eller mid-
lertidig ledighed samt ved lønstigninger som følge af højere anciennitet eller mere ansvar. Modsat be-
væger nogle personer sig ned i indkomstfordelingen. Det kan blandt andet være ved midlertidig ledig-
hed eller ved tilbagetrækning fra arbejdsmarkedet.
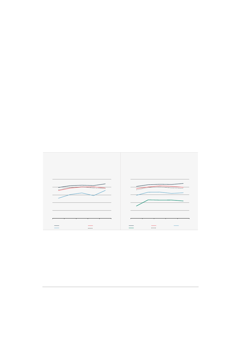
I gennemsnit er personer, der i 2009 var i top 10 pct. af indkomstfordelingen, rykket ca. 10 percentiler
ned i indkomstfordelingen i 2019, mens personer, der i 2009 var i top 1 pct. af indkomstfordelingen, i
gennemsnit er rykket ca. 7 percentiler ned,
jf. figur 1.5.
Det er et udtryk for, at der løbende sker en
stor udskiftning i personkredsen i toppen af indkomstfordelingen. Denne udskiftning er blandt andet
en naturlig konsekvens af, hvor den enkelte person er i livsforløbet.
Ulighedsredegørelsen 2021
December 2021
13
FIU, Alm.del - 2021-22 - Bilag 62: Ulighedsredegørelsen 2021, fra finansministeren
2506836_0016.png
Kapitel 1
Sammenfatning
Figur 1.5
Indkomstmobilitet blandt de højeste
indkomster, 2009-2019
Figur 1.6
Formuemobilitet blandt de mest formuende,
2014-2019
Percentiler
0
Percentiler
0
Percentiler
0
Percentiler
0
-4
-4
-1
-1
-8
-8
-2
-2
-12
Top 10 pct.
Top 1 pct.
Flyt i fordelingen for personer i top 10 og top 1 pct. i 2009
-12
-3
Top 10 pct.
Top 1 pct.
Flyt i fordelingen for personer i top 10 og top 1 pct. i 2014
-3
Anm.: Indkomstmobilteten er opgjort med udgangsunkt i individuel disponibel indkomst, og formuemobiliteten er
opgjort på baggrund af personlig nettoformue blandt voksne over 17 år. Gennemsnitlig ændring for personer i
henholdsvis 10. decil og 100. percentil. Det gennemsnitlige flyt i 10. decil dækker over både flyt op og ned i
fordelingen, mens ændringer i 100. percentil alene er flyt nedad i fordelingen.
Kilde: Egne beregninger på lovmodellens datagrundlag.
På samme måde kan formuemobilteten opgøres – dog over en kortere periode – svarende til 2014-
2019. Personer, der i 2014 var i top 10 pct. af formuefordelingen, er i gennemsnit rykket knap 1�½ per-
centiler ned i fordelingen. Omtrent samme ændring findes for personer, der var i top 1 pct. i 2014,
jf.
figur 1.6.
Formueforskellene er generelt større end indkomstforskellene. Det skyldes blandt andet, at formuerne
i højere grad end indkomsterne varierer gennem livet. Nettoformuen er typisk mindst og ikke sjældent
negativ for unge voksne, men stiger igennem hele den erhvervsaktive del af livet frem mod pensions-
tidspunktet. Nettoformuen er dermed typisk størst umiddelbart inden tilbagetrækning fra arbejdsmar-
kedet. Personer, der er på de alderstrin, hvor langt hovedparten har trukket sig tilbage fra arbejdsmar-
kedet, har typisk en lavere nettoformue, hvilket blandt andet skyldes nedsparing.
Formueforskellene er knapt dobbelt så store som indkomstforskellene målt ved RMM for alle voksne,
jf. figur 1.7.
Formueforskellene er betydeligt mindre blandt personer på samme alderstrin end blandt alle voksne i
befolkningen. Formue- og indkomstforskellene er dermed mere ens, når man tager højde for, at alder
har større betydning for formuen end for indkomsten.
14
Ulighedsredegørelsen 2021
December 2021
FIU, Alm.del - 2021-22 - Bilag 62: Ulighedsredegørelsen 2021, fra finansministeren
2506836_0017.png
Kapitel 1
Sammenfatning
Figur 1.7
Formue- og indkomstforskellene
Indeks (100=indkomstforskelle, hele befolkningen)
250
200
150
100
50
0
Formueforskelle
Indkomstforskelle
Formueforskelle indenfor
aldersgrupper, 30-65-årige
Indkomstforskelle indenfor
aldersgrupper, 30-65-årige
Indeks (100=indkomstforskelle, hele befolkningen)
250
200
150
100
50
0
Anm.: Indeks er opgjort på baggrundaf RMM for hhv. disponible indkomster og nettoformue.
Kilde: Egne beregninger på lovmodellens datagrundlag.
Man bør dog ikke uden videre sammenligne formueforskellene og indkomstforskellene. Formuefor-
skellene er resultatet af forskelle i valg og omstændigheder med betydning for forbrug og opsparing
gennem hele personens liv, mens indkomstforskellene i højere grad er udtryk for forskelle i valg og
omstændigheder med betydning for arbejdsindsats og uddannelsesniveau i dag.
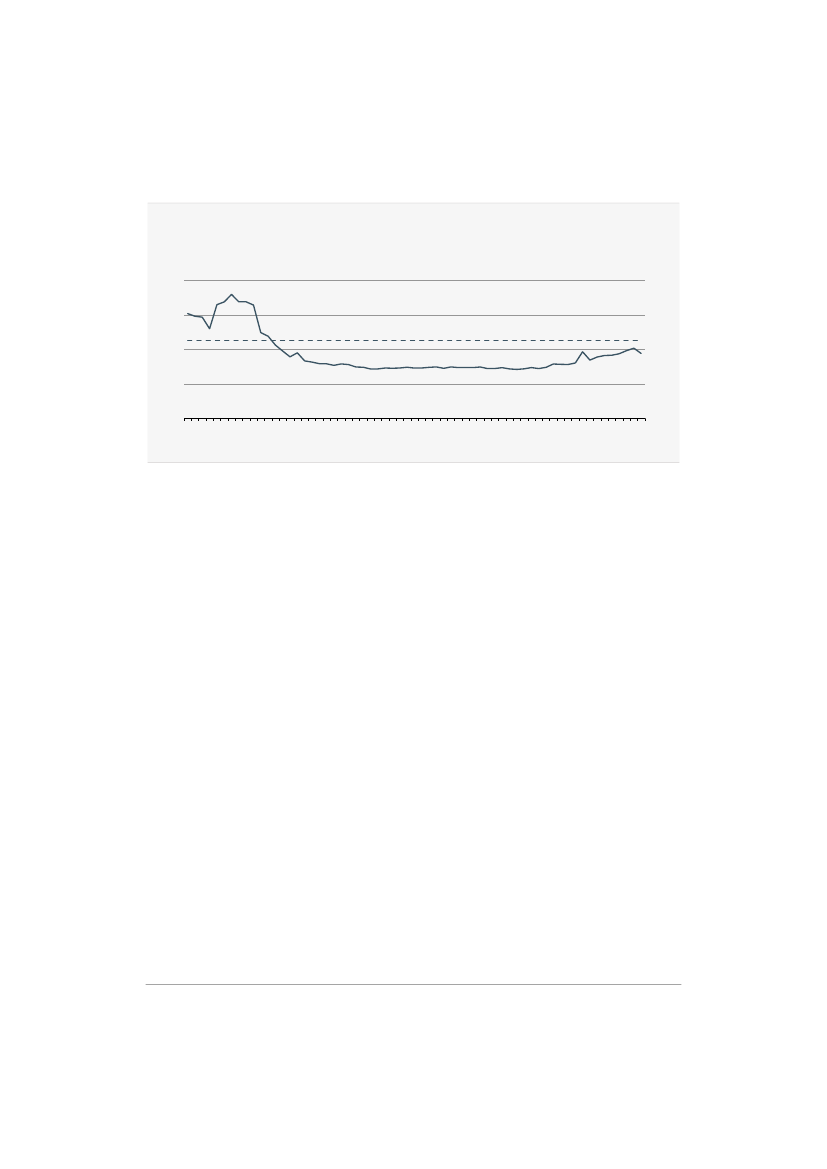
Formueforskellene målt ved RMM er faldende i takt med alderen,
jf. figur 1.8.
Det skyldes, at flere
sparer op blandt de over 30-årige, og dermed øges medianformuen relativt mere end gennemsnitsfor-
muen.
Ulighedsredegørelsen 2021
December 2021
15
FIU, Alm.del - 2021-22 - Bilag 62: Ulighedsredegørelsen 2021, fra finansministeren
2506836_0018.png
Kapitel 1
Sammenfatning
Figur 1.8
Formueforskellene målt ved RMM opdelt efter aldersgrupper, 2014 og 2019
RMM
6
5
4
3
2
1
0
18 20 22 24 26 28 30 32 34 36 38 40 42 44 46 48 50 52 54 56 58 60 62 64 66 68 70 72 74 76 78 80
2014
Alder, år
2019
RMM
6
5
4
3
2
1
0
Anm.: Se kapitel 3.
Kilde: Egne beregninger på lovmodellens datagrundlag.
Formueforskellene er væsentligt højere blandt unge under 30 år, men der er ikke tegn på, at de rela-
tivt store formueforskelle blandt unge voksne er et nyt fænomen, som kan forventes at lede til sti-
gende formueforskelle blandt kommende generationer. Formueforskellene blandt 25-årige var knap 4
målt ved RMM i 2014. Disse personer har som 30-årige i 2019 formueforskelle målt ved RMM på ca.
2, hvilket svarer til formueforskellene blandt de 30-årige i 2014.
1.2 Betydning af økonomisk arv
Forældre kan videregive økonomiske midler til deres børn gennem pengegaver og arv. Arv kan have
væsentlig økonomisk betydning for personer, der arver store beløb. Arven er i kroner størst blandt
personer placeret i den øverste del af formuefordelingen, mens arven har en smule større relativ be-
tydning i den nedre del af formuefordelingen. Samlet set er der tegn på, at arv i det år, som den tilfal-
der afdødes børn, har en forholdsvis begrænset betydning for formuefordelingen for befolkningen
som helhed.
Det skyldes, at arven udgør en relativ beskeden andel af den samlede nettoformue. Det spiller også
en rolle, at de aldersgrupper, der typisk arver, er relativt formuende i forvejen. Arven har dog større
relativ betydning for formueforskellene blandt unge, da den samlede nettoformue blandt unge i ud-
gangspunktet er væsentligt mindre.
De fleste børn af afdøde arver typisk, når de er mellem 45 og 65 år, svarende til ca. ¾ af børn af af-
døde, men arven er beskeden relativt til de samlede nettoformuer. Arven som andel af nettoformuen
udgør mindre end 1 pct. af nettoformuen de fleste steder i formuefordelingen blandt 50-59-årige (fra
4. decil og op), og betydningen af arv falder i takt med størrelsen på nettoformuen,
jf. figur 1.9.
Arv
udgør en større andel af nettoformuen blandt personer placeret i den nedre del af formuefordelingen
end blandt personer i den øvre del af formuefordelingen.
16
Ulighedsredegørelsen 2021
December 2021
FIU, Alm.del - 2021-22 - Bilag 62: Ulighedsredegørelsen 2021, fra finansministeren
2506836_0019.png
Kapitel 1
Sammenfatning
Figur 1.9
Arv som andel af nettoformue opdelt på
formuedeciler for alle 50-59-årige, 2019
Pct. af nettoformue
6,0
Pct. af nettoformue
6,0
Figur 1.10
Arv som andel af nettoformue opdelt på
formuedeciler for alle 20-29-årige, 2019
Pct. af nettoformue
6,0
Pct. af nettoformue
6,0
4,5
4,5
4,5
4,5
3,0
3,0
3,0
3,0
1,5
1,5
1,5
1,5
0,0
2.
3.
4.
5.
6.
7.
8.
9.
10. 100.
Formuedecil
0,0
0,0
4.
5.
6.
7.
8.
9.
10.
100.
Formuedecil
0,0
Anm.: 18+-årige. Personerne er rangeret efter personlig nettoformue i 2018, som er året inden arvetidspunktet. Arv fra
boer tildelt børnene i 2019. Det er ikke muligt at udregne arvens andel af nettoformue for hhv. 1. (figur 1.9) og
1-3. formuedecil (figur 1.10), da nettoformuen samlet set er negativ. Se også kapitel 4.
Kilde: Egne beregninger på lovmodellens datagrundlag.
Den gennemsnitlige arv er i kroner mindre i de yngre aldersgrupper end blandt personer i aldersgrup-
pen 50-59 år. Den relative betydning af arven blandt yngre personer i den nedre og midterste del af
formuefordelingen er dog større blandt 20-29-årige end blandt personer i den nedre og midterste del
af formuefordelingen blandt 50-59 årige,
jf. figur 1.10.
Arv påvirker formueforskellene i et begrænset omfang målt ved henholdsvis RMM og ejerandelen
blandt de mest formuende,
jf. tabel 1.1.
Betydningen af arv er en smule større blandt 20-29-årige end
blandt 50-59-årige. Den større relative betydning af arv blandt yngre skal ses i lyset af, at nettoformu-
erne blandt yngre aldersgrupper i udgangspunktet er meget beskedne, og små beløb i arv vil derfor
relativt set have en større betydning.
Ulighedsredegørelsen 2021
December 2021
17
FIU, Alm.del - 2021-22 - Bilag 62: Ulighedsredegørelsen 2021, fra finansministeren
2506836_0020.png
Kapitel 1
Sammenfatning
Tabel 1.1
Virkning i året af arv til børn på mål for formueforskellene, 2019
RMM
Udgangspunkt
50-59-årige
20-29-årige
Ændring
50-59-årige
20-29-årige
0,00
0,01
1,52
3,55
Top 10 pct.
Pct.
40,74
73,74
Pct.-pct.
-0,00
-0,06
-0,01
0,00
12,52
25,82
Top 1 pct.
Anm.: Opgørelsen tager udgangspunkt i fordelingen af personlige nettoformuer i 2018. Arv fra boer tildelt børnene i
2019. RMM angiver forholdet mellem gennemsnit og median. Se også kapitel 4.
Kilde: Egne beregninger på lovmodellens datagrundlag.
1.3 Formuemobilitet på tværs af generationer
Selvom om de relativt større formueforskelle blandt unge udligner sig med alderen, kan der være
nogle, der har bedre muligheder end andre for at opbygge formue. Derfor er det relevant at se på, om
der er en sammenhæng på tværs af generationer mellem forældre og børns placering i formueforde-
lingen.
Der er umiddelbart en positiv sammenhæng mellem børns nettoformue og henholdsvis forældrenes
nettoformue og disponible indkomster. 18-årige er placeret relativt højt i formuefordelingen blandt 18-
årige, hvis deres forældre er placeret højt i formue- og indkomstfordelingen for hele befolkningen,
jf.
figur 1.11.
18
Ulighedsredegørelsen 2021
December 2021
FIU, Alm.del - 2021-22 - Bilag 62: Ulighedsredegørelsen 2021, fra finansministeren
2506836_0021.png
Kapitel 1
Sammenfatning
Figur 1.11
Placering i formuefordelingen blandt 18-årige
opdelt på forældrenes placering i hele formue-
og indkomstfordelingen samme år, 2019
Percentil blandt 18-årige
100
80
60
40
20
0
0
20
40
60
80
100
Forældres placering i fordelingen, hele befolkningen
Nettoformue
Disponibel indkomst
Percentil blandt 18-årige
100
80
60
40
20
0
Figur 1.12
Placering i formuefordelingen blandt 40-årige i
2019 opdelt på placering i formuefordelingen
blandt 18-årige i 1997
Percentil blandt 40-årige, 2019
100
80
60
40
20
0
0
20
40
60
80
Percentil blandt 18-årige, 1997
100
Percentil blandt 40-årige, 2019
100
80
60
40
20
0
Anm.: I figur 1.11 er nettoformue og disponible indkomster opgjort på baggrund af individuel personlig formue og
individuel disponibel indkomst. Forældrenes placering i fordelingen er opgjort som gennemsnittet for
forældrene. Forældrenes placering er for befolkningen samlet set, mens percentilfordelingen for 18-årige er
opgjort inden for aldersgruppen. Forældrenes placering er dermed til en vis grad aldersafhængig. Den viste
sammenhæng er mellem børnenes gennemsnitlige placering opdelt efter forældrenes placering. Figur 1.12 viser
sammenhængen mellem placeringen blandt 40-årige i 2019 og placering blandt 18-årige i 1997. Den umiddelbart
tydligere sammenhæng mellem forældre og barn end mellem placering som ung og senere i livet skal fortolkes
med forbehold for, at formuefordelingen blandt forældrene er aldersafhængig.
Kilde: Egne beregninger på lovmodellens datagrundlag.
Samtidig er der en positiv sammenhæng mellem placeringen i formuefordelingen som 18-årig og pla-
ceringen som 40-årig,
jf. figur 1.12.
Det vil sige, at unge med relativt høje nettoformuer inden for al-
dersgruppen typisk også senere i livet vil være relativt højt placeret i formuefordelingen blandt deres
jævnaldrende.
Økonomisk litteratur
1
peger på, at muligheden for at ende i toppen af formuefordelingen ikke skyldes,
at yngre personer med formue kan akkumulere afkast over længere tid, da størrelsen på formuen
blandt unge er for begrænset til dette. I stedet fremhæves det i litteraturen, at sammenhængen mel-
lem placeringen som ung og senere i livet kan skyldes opsparings- og investeringsadfærd, der læres
på tværs af generationer, og at personer, der har modtaget pengegaver som børn, bliver ved med
dette gennem livet.
Born with a Silver Spoon? Danish Evidence on Wealth Inequality in Childhood,
Simon Halphen Boserup, Wojciech Kopczuk and
Claus Thustrup Kreiner, The Economic Journal.
1
Ulighedsredegørelsen 2021
December 2021
19
FIU, Alm.del - 2021-22 - Bilag 62: Ulighedsredegørelsen 2021, fra finansministeren
2506836_0022.png
Kapitel 1
Sammenfatning
1.4 Forskelle i sunde leveår
Der er væsentlige forskelle på, hvor længe personer i befolkningen lever. Det gælder også på tværs
af befolkningsgrupper, fx opdelt på uddannelsesniveau, branche eller indkomst. Eksempelvis kan per-
soner med en videregående uddannelse forvente et længere liv end ufaglærte. Middellevetiden i Dan-
mark er steget i de seneste årtier, samtidig med at forskellene målt ved levetid er reduceret.
Den bredt funderede stigning i middellevetiden stiller et nyt spørgsmål. Hvordan er kvaliteten af de
ekstra leveår? I takt med at en større andel af befolkningen opnår et langt liv, kan der blive stillet
større krav til, hvad det skal indeholde. Oplevelsen af at leve et godt liv kan eksempelvis afhænge af,
om man føler sig fysisk og mentalt rask, kan klare sig selv og ikke er ensom. Det er således kom-
plekst at vurdere kvaliteten af leveår i alle dimensioner, og der eksisterer derfor heller ikke ét mål, der
entydig kan benyttes til at vurdere, om et leveår samlet set er sundt. I det følgende tages der ud-
gangspunkt i antal leveår uden diagnoser for en række udvalgte somatiske sygdomme stillet i syge-
husvæsenet (dvs. eksklusive almenpraktiserende læger) og antal år uden aktivitetsbegrænsninger,
men det skal understreges, at dette ikke er udtømmende for udviklingen i sundhed og livskvalitet.
Middellevetiden er steget for både mænd og kvinder de seneste fire årtier. Stigningen har været en
smule større for mænd end for kvinder, således at forskellen i middellevetid mellem kønnene er ble-
vet mindre. Middellevetiden er steget med godt 6 år fra 75 år i 1981 til 81 år i 2019 for mænd. For
kvinder er middellevetiden steget med godt 4�½ år fra 80 år i 1981 til 84�½ år i 2019,
jf. figur 1.13.
Figur 1.13
Middellevetid for 50-årige opdelt på køn,
1981-2019
År
90
86
82
78
74
70
81 83 85 87 89 91 93 95 97 99 01 03 05 07 09 11 13 15 17 19
Mænd
Kvinder
År
90
86
82
78
74
70
Figur 1.14
Middellevetid, år uden begrænsninger og
diagnosefri-levetid for 50-årige, 1997-2017
År
5
+4,1 år
4
3
2
1
0
Mænd
Kvinder
Middellevetid
Leveår uden aktivitetsbegrænsninger
Diagnosefri levetid
+4 år
+3,9 år
+3,4 år
+2,7 år
+2,4 år
2
1
0
3
År
5
4
Anm.: Se kapitel 5.
Kilde: Egne beregninger på lovmodellens datagrundlag.
Med udgangspunkt i antal sunde leveår uden diagnoser for en række udvalgte somatiske sygdomme
eller funktionsnedsættelse, er der tegn på, at stigningerne i middellevetiden siden 1997 i betydeligt
omfang er blevet omsat til flere sunde leveår,
jf. figur 1.14.
Antallet af oplevede
leveår uden aktivitetsbegrænsninger
i de daglige aktiviteter, såsom at gå en tur,
gå op ad trappen eller lave mad, er steget med 4 år for mænd og 3,9 år for kvinder, svarende til 98-
20
Ulighedsredegørelsen 2021
December 2021
FIU, Alm.del - 2021-22 - Bilag 62: Ulighedsredegørelsen 2021, fra finansministeren
2506836_0023.png
Kapitel 1
Sammenfatning
115 pct. af stigningen i middellevetiden i samme periode. Antallet af diagnosefri leveår er steget med
ca. 2,7 år for mænd og 2,4 år for kvinder fra 1997 til 2017. Det svarer for begge køn til ca. 70 pct. af
stigningen i middellevetiden blandt 50-årige.
Stigningen i middellevetiden er udtryk for udviklingen i den forventede levetid for befolkningen som
helhed. Alle personer opnår imidlertid ikke samme alder. Nogle personer lever i kortere tid end mid-
dellevetiden, og andre lever længere. For at få et mere dækkende billede af udviklingen kan de sam-
lede forskelle i levetid opgøres.
Forskellene i levetid målt ved Gini-koefficienten for 50-årige er reduceret for både mænd og kvinder
siden 1981. Den største reduktion over den samlede periode er sket blandt mænd,
jf. figur 1.15.
For-
skellene i levetid målt ved Gini-koefficienten er reduceret med 5 pct.-point for mænd og knap 4 pct.-
point for kvinder.
Figur 1.15
Forskellene i levetid for 50-årige målt ved
Gini-koefficienten opdelt på køn, 1981-2019
Figur 1.16
Ændring i forskellene i leveår og sunde leveår
for 40-årige målt ved Gini-koefficienten opdelt
på køn, 1997-2017
Indeks (1997=100)
100
80
60
Indeks (1997=100)
100
80
60
40
20
0
Mænd
Leveår
Kvinder
Diagnosefri leveår
Gini-koefficient, pct.
30
25
20
15
10
5
0
Gini-koefficient, pct.
30
25
20
15
40
10
5
0
81 83 85 87 89 91 93 95 97 99 01 03 05 07 09 11 13 15 17 19
Mænd
Kvinder
20
0
Anm.: Se kapitel 5.
Kilde: Egne beregninger på lovmodellens datagrundlag.
Det forventede antal sunde leveår dækker over, at nogle personer vil opleve flere sunde leveår, og
nogle modsat vil opleve færre sunde leveår. Stigningen i antallet af diagnose-fri leveår er dog sket,
samtidig med, at forskellene i antal diagnose-fri leveår målt ved Gini-koefficienten er reduceret.
Blandt 40-årige i perioden 1997-2017 er forskellene i forventet antal leveår målt ved Gini-koefficienten
faldet mest for kvinder, og det samme gælder forskellene i sunde leveår, der er reduceret med ca. 10
pct. for kvinder og ca. 5 pct. for mænd fra 1997 til 2017,
jf. figur 1.16.
Ulighedsredegørelsen 2021
December 2021
21
FIU, Alm.del - 2021-22 - Bilag 62: Ulighedsredegørelsen 2021, fra finansministeren
2506836_0024.png
Kapitel 2
Indkomstudvikling og -forskelle
22
Ulighedsredegørelsen 2021
December 2021
FIU, Alm.del - 2021-22 - Bilag 62: Ulighedsredegørelsen 2021, fra finansministeren
2506836_0025.png
2. Indkomstudvikling og -
forskelle
Danmark er i en international sammenhæng kendetegnet ved at være et velstående land med små
indkomstforskelle i befolkningen. Det gælder både, når der ses på indkomstforskellene målt ved Gini-
koefficienten, og når fokus er på andelen af befolkningen i lavindkomstgruppen. Det kan blandt andet
tilskrives den danske samfundsmodel, der understøtter lige muligheder for at skabe sig dét liv, som
man ønsker for sig selv og sin familie, herunder som følge af formelt fri og lige adgang til uddannelse
og sundhed, og som med et fintmasket socialt sikkerhedsnet holder hånden under personer uden til-
strækkeligt forsørgelsesgrundlag.
I de senere år er velstanden øget, og udviklingen er kommet alle befolkningsgrupper til gavn. Stignin-
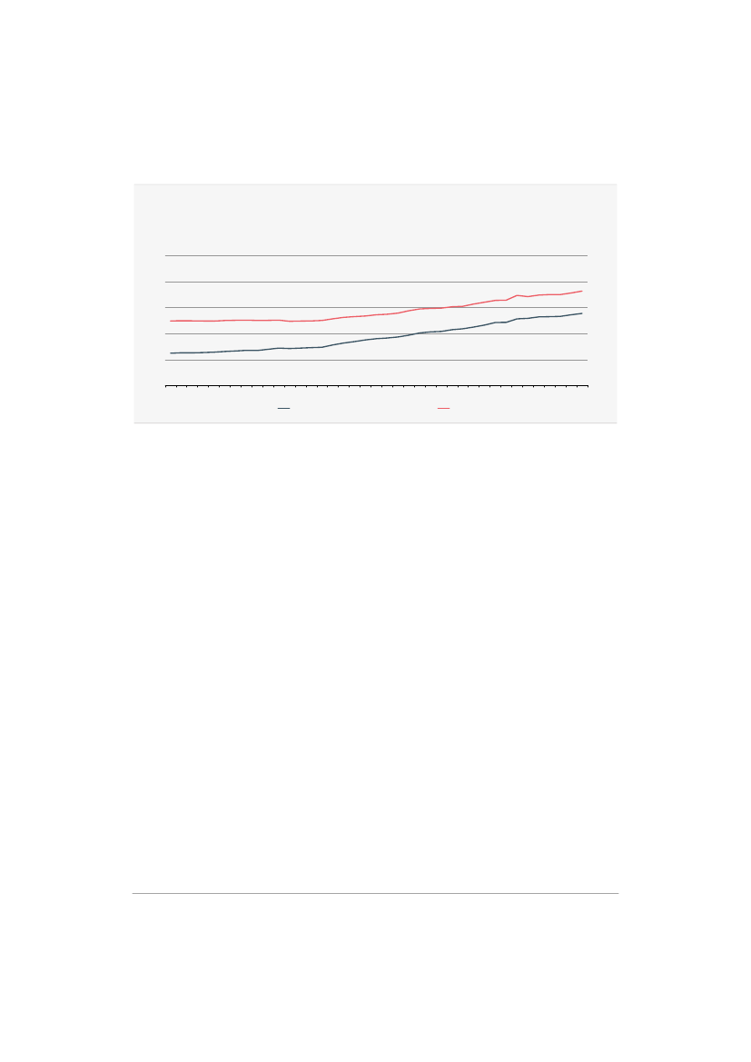
gen i de disponible indkomster har været højest blandt personer i toppen af indkomstfordelingen. Det
har bidraget til, at indkomstforskellene er steget, og at andelen af befolkningen i lavindkomstgruppen
er vokset. Fra 2012 til 2019 er de disponible indkomster vokset ca. 2�½ gang hurtigere i top 1 pct., der
består af den ene pct. af befolkningen med de højeste indkomster, end i befolkningen som helhed.
Naturlige ændringer i befolkningens sammensætning kan have betydning for fordelingen af de dispo-
nible indkomster, uden at det er udtryk for, at samfundets evne til at skabe lige muligheder er forrin-
get. Dette kapitel ser nærmere på, hvordan udviklingen i en række demografiske og strukturelle fakto-
rer har påvirket indkomstudviklingen og -forskellene. Der gives ligeledes et bud på, i hvilket omfang
stigningen i de disponible indkomster i top 1 pct. kan tilskrives indkomstudviklingen blandt direktører.
Hovedbudskaberne i kapitlet er:
De disponible indkomster er i gennemsnit vokset realt med knap 2 pct. årligt fra 1994 til 2019.
Indkomstudviklingen var særligt lav i perioden omkring finanskrisen fra 2006 til 2012, hvor den
udgjorde ca. 0,3 pct. årligt. Siden 2012 er de disponible indkomster vokset med ca. 2,1 pct. årligt.
Velstandsudviklingen har været bredt forankret på tværs af arbejdsmarkedstilknytning, alder og
indkomst. Befolkningsgrupper, der i udgangspunktet havde relativt høje disponible indkomster,
har imidlertid oplevet større indkomstfremgang end andre grupper.
De disponible indkomster er især for top 1 pct., dvs. den ene pct. af befolkningen med de højeste
disponible indkomster, vokset meget siden 2012. I denne periode er de disponible indkomster i
top 1 pct. vokset med 5,6 pct. årligt. Til sammenligning er indkomsten i midten af indkomstforde-
lingen vokset med 1,7 pct. årligt.
Ulighedsredegørelsen 2021
December 2021
23
FIU, Alm.del - 2021-22 - Bilag 62: Ulighedsredegørelsen 2021, fra finansministeren
2506836_0026.png
Kapitel 2
Indkomstudvikling og -forskelle
Indkomstudviklingen i top 1 pct. har altså været relativt høj sammenlignet med befolkningen som
helhed. Gruppen består af direktører og andre lønmodtagere, selvstændige og pensionister. Di-
rektører i gruppen har imidlertid haft en lidt mindre indkomststigning end resten af top 1 pct., og
indkomstudviklingen i top 1 kan derfor ikke primært tilskrives indkomstudviklingen blandt direktø-
rer. Det afspejler bl.a. større stigninger i kapitalindkomsterne for resten af top 1 pct.
Indkomstforskellene målt ved Gini-koefficienten er steget fra ca. 20 pct. i 1994 til ca. 28,5 pct. i
2019. Danmark er dog fortsat kendetegnet ved relativt små indkomstforskelle i et internationalt
perspektiv. Det skønnes, at ændringer i demografiske og strukturelle faktorer kan forklare 2,3
pct.-point af stigningen i indkomstforskellene i perioden.
Udviklingen i indkomstforskellene kan, ud over den demografiske udvikling, tilskrives udviklingen
i enkelte indkomstkomponenter. Overførselsindkomst, aktieindkomst og imputeret afkast på egen
bolig har især bidraget til større målte indkomstforskelle.
2.1 Udviklingen i befolkningens indkomster
Det tages typisk udgangspunkt i befolkningens årlige disponible indkomster, når indkomstudviklingen
belyses. Den disponible indkomst er sammensat af indkomst fratrukket skat og private pensionsind-
betalinger. Den disponible indkomst er et mål for personers og familiers forbrugsmuligheder. Udgifter
til forbrug, herunder forbrugsafgifter, indgår således ikke i den disponible indkomst.
Indkomsten
kan opdeles i personlig indkomst og kapitalindkomst.
Den personlige indkomst
omfatter
løn- og virksomhedsindkomst, overførselsindkomst, udbetalinger fra private pensioner samt anden
privat indkomst.
Kapitalindkomsten
omfatter udbytter og kursgevinster fra aktier, renteindtægter og
renteudgifter, imputeret afkast af egen bolig og anden kapitalindkomst. Imputeret afkast af egen bolig
gør det muligt at sammenligne forbrugsmulighederne på tværs af ejere og lejere og opgøres bereg-
ningsteknisk som 4 pct. af boligens værdi. Se
Ulighedsredegørelsen 2020
for en nærmere beskri-
velse af imputeret afkast af egen bolig.
Den gennemsnitlige disponible indkomst for hele befolkningen udgør knap 200.000 kr. i 2019. Det er
dét beløb pr. person, der i gennemsnit er tilgængeligt til forbrug og opsparing. Den gennemsnitlige
personlige indkomst efter skat udgør knap 180.000 kr., mens nettokapitalindkomst efter skat udgør
godt 23.000 kr. Hertil kommer fradrag for private pensionsindbetalinger på godt 3.000 kr.
For at kunne sammenligne forbrugsmulighederne på tværs af familiestørrelser tages udgangspunkt i
de familieækvivalerede disponible indkomster. Med ækvivaleringen af de disponible indkomster tages
højde for stordriftsfordele i familier, der består af flere personer. Eksempelvis vil en familie bestående
af to voksne og to børn med en samlet disponibel indkomst på 400.000 kr. (100.000 kr. pr. person)
opleve, at indkomsten rækker længere, end en enlig person, der bor alene med en disponibel ind-
komst på 100.000 kr.
Den gennemsnitlige familieækvivalerede disponible indkomst pr. person i befolkningen udgør ca.
275.000 kr. i 2019,
jf. tabel 2.1.
De familieækvivalerede disponible indkomster er i gennemsnit større
end de faktiske disponible indkomster, da personer i familier med mere end et familiemedlem får de-
res indkomster forhøjet, når der tages højde for familiestørrelser. Familieækvivaleringen sigter nemlig
24
Ulighedsredegørelsen 2021
December 2021
FIU, Alm.del - 2021-22 - Bilag 62: Ulighedsredegørelsen 2021, fra finansministeren
2506836_0027.png
Kapitel 2
Indkomstudvikling og -forskelle
på at korrigere for stordriftsfordele, hvilket gør indkomsterne (mere) sammenlignelige uanset familie-
størrelse.
Tabel 2.1
Gennemsnitlige indkomster i befolkningen, 2019
Faktiske indkomster
Indkomstkomponent
Lønindkomst
Virksomhedsindkomst
Erhvervsindkomst
Privat pension
Anden privat indkomst
Privat indkomst
Overførselsindkomst
Personlig indkomst
Skat af personlig indkomst
Personlig indkomst efter skat
Renteindtægter
Renteudgifter
Aktieindkomst
Imputeret afkast af egen bolig
Anden kapitalindkomst
Kapitalindkomst
Skat af kapitalindkomst
Kapitalindkomst efter skat
Private pensionsindbetalinger
Disponibel indkomst
185.000
10.700
195.700
19.700
1.600
217.000
50.300
267.300
-87.800
179.500
1.800
-8.500
10.100
23.500
1.500
28.500
-5.200
23.300
-3.300
199.500
265.200
15.500
280.600
23.900
2.500
307.000
61.900
368.900
-122.200
246.700
2.300
-12.200
13.700
32.500
1.900
38.300
-6.900
31.400
-4.500
273.500
Ækvivalerede indkomster
Anm.: Familieækvivalering beregnes som summen af familiens disponible indkomst delt med antal personer i familien
opløftet i 0,6. Ved private pensionsindbetalinger forstås indbetalinger til pensionsordninger, der ikke er
arbejdsgiveradministreret. Indbetalinger til arbejdsgiveradministrerede pensionsordninger er fratrukket i den
opgjorte lønindkomst. Afrunding medfører, at indkomstelementerne ikke nødvendigvis summer til de anførte
totaler.
Kilde: Egne beregninger på lovmodellens datagrundlag.
De disponible indkomster varierer mellem personerne i befolkningen. Det kan der være en række for-
skellige årsager til, herunder blandt andet forskelle i præferencer for arbejde og fritid, midlertidige ind-
komstudsving som følge af ledighed eller sygdom samt naturlig variation over livet.
Den disponible indkomst afhænger i høj grad af personernes arbejdsmarkedstilknytning, hvilket af-
spejler sig i indkomstsammensætningen. Personer i beskæftigelse (lønmodtagere og selvstændige),
Ulighedsredegørelsen 2021
December 2021
25
FIU, Alm.del - 2021-22 - Bilag 62: Ulighedsredegørelsen 2021, fra finansministeren
2506836_0028.png
Kapitel 2
Indkomstudvikling og -forskelle
har de højeste disponible indkomster. For lønmodtagerne udgør lønindkomsten størstedelen af ind-
komsten, mens virksomhedsindkomsten udgør hovedparten af indkomsten for selvstændige, idet løn-
og kapitalindkomst også har et væsentligt omfang.
Den disponible indkomst blandt fuldt ledige består hovedsageligt af overførselsindkomst samt en min-
dre andel lønindkomst (fra perioder i beskæftigelse). Den lavere disponible indkomst for denne
gruppe skal ses i lyset af, at hovedparten af indkomstgrundlaget er midlertidige indkomsterstattende
ydelser, herunder dagpenge og kontanthjælpsydelser.
Pensionister har i gennemsnit en disponibel indkomst, der er mindre end de beskæftigedes, men væ-
sentlig højere end indkomsten for fuldt ledige. Det skal ses i lyset af, at pensionisternes indkomster
består af udbetalinger af både offentlige pensioner samt udbetalinger fra private pensioner og ar-
bejdsmarkedsadministrerede ordninger. Hertil kommer, at især de yngste generationer over folkepen-
sionsalderen fortsat har nogen lønindkomst, samt at der er et væsentligt indkomstbidrag fra kapital-
indkomst.
I det følgende refererer disponible indkomster til de familieækvivalerede disponible indkomster i 2019-
prisniveau.
Lønmodtagere og selvstændige har i gennemsnit en disponibel indkomst på ca. 330.000 kr. i 2019,
jf.
figur 2.1.
For fuldt ledige udgør den disponible indkomst ca. 150.000 kr. og for pensionister mv. ca.
255.000 kr., mens den udgør knap 200.000 kr. for studerende. Når der ses bort fra hjemmeboende,
udgør den disponible indkomst for studerende ca. 135.000 kr.
Figur 2.1
Løbende indkomster opdelt efter arbejdsmarkedstilknytning, 2019
1.000 kr.
600
1.000 kr.
600
400
400
200
200
0
0
-200
Lønmodtagere
Løn-
indkomst
Selvstændige
Virksomheds-
indkomst
Kapital-
indkomst
Fuldt ledige
Overførsels-
indkomst
Studerende
Anden privat
indkomst
Pensionister mv.
Samlet
skat
Disponibel
indkomst
-200
Anm.: Familieækvivalerede indkomster.
Lønmodtagere
omfatter fuldtidsbeskæftigede samt deltidsansatte.
Pensionister mv.
omfatter folkepensionister, førtidspensionister og personer på efterløn. Børn, delårsbeskæftigede og andre 18-
66-årige er ikke vist i figuren. Private pensionsudbetalinger indgår under anden privat indkomst. Fradrag for
private pensionsindbetalinger er ikke medtaget i figuren, men indgår i disponibel indkomst.
Kilde: Egne beregninger på lovmodellens datagrundlag.
26
Ulighedsredegørelsen 2021
December 2021
FIU, Alm.del - 2021-22 - Bilag 62: Ulighedsredegørelsen 2021, fra finansministeren
2506836_0029.png
Kapitel 2
Indkomstudvikling og -forskelle
Igennem de seneste 25 år er danskernes indkomster vokset mere end priserne. Det betyder, at be-
folkningen i dag har mulighed for større privatforbrug og opsparing.
Den reale vækst i de disponible indkomster har i gennemsnit udgjort ca. 1,8 pct. årligt siden 1994,
jf.
figur 2.2.
Figur 2.2
Gennemsnitlig årlig realvækst i disponibel indkomst, 1994-2019
Pct.
3,0
2,5
Gns. årlig vækst i hele perioden
2,0
1,5
1,0
0,5
0,0
1994 - 2000
2000 - 2006
2006 - 2012
2012 - 2019
2,0
1,5
1,0
0,5
0,0
Pct.
3,0
2,5
Anm.: Gennemsnitlig real stigning i den disponible indkomst. Familieækvivalerede indkomster.
Kilde: Egne beregninger på lovmodellens datagrundlag.
Indkomstudviklingen var markant lavere i årene omkring finanskrisen, svarende til ca. 0,3 pct. årligt
fra 2006 til 2012. I de senere år har den gennemsnitlige årlige vækst i de disponible indkomster om-
trent været tilbage på samme niveau som i årene før 2006, og har udgjort ca. 2,1 pct. fra 2012 til
2019.
Demografiske og strukturelle faktorer
Analyserne i
Ulighedsredegørelsen 2020
pegede på, at udviklingen i demografiske og strukturelle fak-
torer i befolkningen har betydning for udviklingen og sammensætningen af de gennemsnitlige dispo-
nible indkomster. Eksempelvis bidrager stigende studietilbøjelighed og dermed flere studerende, der
typisk har en relativt lav disponibel indkomst, isoleret set til at reducere den gennemsnitlige indkomst i
befolkningen. Modsat bidrager stigende uddannelsesniveau i befolkningen via højere disponibel ind-
komst og større tilknytning til arbejdsmarkedet isoleret set til at øge den gennemsnitlige indkomst i
befolkningen.
Det er muligt at skønne over betydningen af ændringer i udvalgte demografiske og strukturelle fakto-
rer for udviklingen i de disponible indkomster i befolkningen. Konkret estimeres individuelle vægte til
hver enkel persontype, afhængig af i hvor høj grad gruppen er blevet mere eller mindre typisk i be-
folkningen i den betragtede periode. Opgørelsen er behæftet med en vis usikkerhed, idet der kan
være relevante faktorer, som er udeladt, ligesom der kan være faktorer med betydning for udviklingen
i befolkningens indkomst, der ikke findes tilgængelige oplysninger om. I opgørelsen tages højde for
ændringer i befolkningssammensætningen, for så vidt angår alder, herkomst, arbejdsmarkedstilknyt-
ning, uddannelsesniveau og familiesammensætning,
jf. boks 2.1.
Ulighedsredegørelsen 2021
December 2021
27
FIU, Alm.del - 2021-22 - Bilag 62: Ulighedsredegørelsen 2021, fra finansministeren
2506836_0030.png
Kapitel 2
Indkomstudvikling og -forskelle
Udviklingen i de disponible indkomster varierer på tværs af arbejdsmarkedstilknytning. Det skal blandt
andet ses i lyset af, at indkomstgrundlaget er forskelligt, og at de enkelte indkomstkomponenter ikke
udvikler sig i samme takt. Eksempelvis er udviklingen i kapitalindkomsterne mere konjunktur- og rente-
følsom end udviklingen i lønninger og overførselsindkomster.
Væksten i de disponible indkomster har været omtrent den samme for lønmodtagere, selvstændige og
pensionister og har udgjort knap 2 pct. årligt fra 1994 til 2012. Indkomstudviklingen for fuldt ledige og
studerende har været mindre, svarende til henholdsvis ca. 0,2 pct. og ca. 0,8 pct. årligt. Den lave vækst
for fuldt ledige, skal blandt andet ses i lyset af, at den samlede ledighed er reduceret markant i perioden.
For fuldt ledige og studerende har ændringer i demografiske og strukturelle forhold medvirket til at
dæmpe væksten. Det kan blandt andet hænge sammen med, at flere studerende og fuldt ledige var
enlige i 2012 end i 1994, hvorfor gruppen derfor i mindre grad har fået glæde af indkomstudviklingen
for en eventuel partner. Modsat har demografiske forhold, såsom højere uddannelsesniveau, medført,
at realvæksten i disponibel indkomst for lønmodtagere, selvstændige og pensionister har været højere.
Når der korrigeres for ændringer i demografiske og strukturelle faktorer, har væksten i disponibel ind-
komst været mere jævnt fordelt på tværs af arbejdsmarkedstilknytning fra 1994 til 2012,
jf. figur 2.3.
Figur 2.3
Realvækst i disponibel indkomst opdelt efter
arbejdsmarkedstilknytning, 1994-2012
Gns. årlig vækst, pct.
5
4
3
2
1
0
-1
Løn-
Selv-
modtagere stændige
Faktisk udvikling
Fuldt-
ledige
Studerende
Pen-
sionister
Gns. årlig vækst, pct.
5
4
3
2
1
0
-1
Figur 2.4
Realvækst i disponibel indkomst opdelt efter
arbejdsmarkedstilknytning, 2012-2019
Gns. årlig vækst, pct.
5
4
3
2
1
0
-1
Løn-
Selv-
modtagere stændige
Faktisk udvikling
Fuldt-
ledige
Studerende
Pen-
sionister
Gns. årlig vækst, pct.
5
4
3
2
1
0
-1
Fastholdt 1994 demografi
Fastholdt 2012 demografi
Anm.: Familieækvivalerede indkomster.
Lønmodtagere
omfatter fuldtidsbeskæftigede samt deltidsansatte.
Pensionister mv.
omfatter folkepensionister, førtidspensionister og personer på efterløn. Børn, delårsbeskæftigede og personer
med ukendt forsørgelsesgrundlag er ikke vist i figuren.
Kilde: Egne beregninger på lovmodellens datagrundlag.
Den årlige stigning i de disponible indkomster har især været høj blandt selvstændige fra 2012 til
2019. Det er også tilfældet efter korrektion for ændringer i demografiske og strukturelle faktorer. Såle-
des har væksten i disponibel indkomst udgjort ca. 4 pct. årligt for selvstændige. Omkring ¼ heraf kan
tilskrives tilstedeværelsen af få selvstændige med store negative disponible indkomster i 2012 og et
mindre antal selvstændige med meget høje disponible indkomster i 2019. For lønmodtagere, pensio-
nister og studerende har væksten været omtrent ens, svarende til knap 2 pct. årligt efter korrektion for
ændringer i demografi mv., mens de disponible indkomster for fuldt ledige er omtrent uændret realt
fra 2012 til 2019,
jf. figur 2.4.
Blandt fuldt ledige spiller det også en rolle, at sammensætningen af
28
Ulighedsredegørelsen 2021
December 2021
FIU, Alm.del - 2021-22 - Bilag 62: Ulighedsredegørelsen 2021, fra finansministeren
2506836_0031.png
Kapitel 2
Indkomstudvikling og -forskelle
gruppen ændrer sig over tid. Gruppen udgøres i dag i højere grad af kontanthjælpsmodtagere og i
mindre grad af personer i støttet beskæftigelse, der har en forholdsvis høj indkomst relativt til resten
af de fuldt ledige. Ligeledes har forhøjelsen af aldersgrænsen for ungeydelsen fra 25 år til 30 år i
2014 samt indførelsen af kontanthjælpsloftet i 2016 haft betydning. Der er ikke korrigeret herfor.
Boks 2.1
Udvalgte demografiske og strukturelle faktorer
Formålet med at kontrollere for demografiske og strukturelle faktorer er at sætte fokus på, hvordan ændringer i be-
folkningssammensætningen påvirker indkomstfordelingen.
Ved at tildele hver person en vægt baseret på udviklingen i en række karakteristika opnås en kontrafaktisk ind-
komstfordeling. Denne indkomstfordeling udgør et skøn for, hvordan befolkningens indkomster ville have været for-
delt, hvis de udvalgte faktorer var fastholdt som i startåret.
Konkret beregnes vægtene ved at estimere, i hvor høj grad personernes karakteristika forekommer oftere i slutåret
end i startåret. Estimationen tager udgangspunkt i følgende karakteristika:
Alder: 0-18-årige, 18-29-årige, 30-49-årige, 50-59-årige, 60-64-årige, 65-74-årige og 75+-årige
Herkomst: Dansk, vestlige lande og ikke-vestlige lande
Arbejdsmarkedstilknytning: Studerende, fuldt ledig og andre
Uddannelsesniveau: Ufaglært (inkl. uoplyst), gymnasial, faglært, KVU/MVU og LVU
Familietype: En voksen uden børn, en voksen med børn, to voksne uden børn, to voksne med børn
De enkelte faktorer interageres alle med hinanden, dog højest to faktorer ad gangen. I forhold til
Ulighedsredegørel-
sen 2020
ses bort fra
pardannelse,
og
fuldt ledig
indgår under arbejdsmarkedstilknytning.
Det skal bemærkes, at metoden forudsætter, at der ikke er ligevægtseffekter af ændringer i faktorerne. Eksempelvis
forudsættes det, at den stigende andel af personer med en lang videregående uddannelse ikke har betydning for
indkomsten i gruppen. Antagelsen kan ikke forventes fuldstændig opfyldt, hvorfor resultaterne skal fortolkes med
forsigtighed.
Se
Ulighedsredegørelsen 2020
for en nærmere beskrivelse af metoden.
Alle aldersgrupper har fået del i den økonomiske vækst. Det er især børn, via udviklingen i deres for-
ældres indkomster, og personer i aldersgrupperne over 50 år, der havde en høj indkomstvækst i peri-
oden fra 1994 til 2012.
Indkomstudviklingen fra 1994 til 2012 har i nogen grad været båret af demografiske og strukturelle
ændringer, hvilket blandt andet kan hænge sammen med stigende uddannelsesniveau,
jf. figur 2.5.
Modsat har den demografiske udvikling medvirket til at dæmpe indkomstfremgangen for de 18-29-
årige, hvilket blandt andet kan hænge sammen med flere studerende.
Ulighedsredegørelsen 2021
December 2021
29
FIU, Alm.del - 2021-22 - Bilag 62: Ulighedsredegørelsen 2021, fra finansministeren
2506836_0032.png
Kapitel 2
Indkomstudvikling og -forskelle
Figur 2.5
Realvækst i disponibel indkomst opdelt efter
aldersgruppe, 1994-2012
Gns. årlig vækst, pct.
5
4
3
2
1
0
0-17
år
18-29
år
30-49
år
50-59
år
60-64
år
65-75
år
75+
år
Gns. årlig vækst, pct.
5
4
3
2
1
0
Figur 2.6
Realvækst i disponibel indkomst opdelt efter
aldersgruppe, 2012-2019
Gns. årlig vækst, pct.
5
4
3
2
1
0
0-17
år
18-29
år
30-49
år
50-59
år
60-64
år
65-75
år
75+
år
Gns. årlig vækst, pct.
5
4
3
2
1
0
Faktisk udvikling
Fastholdt 1994 demografi
Faktisk udvikling
Fastholdt 2012 demografi
Anm.: Familieækvivalerede indkomster.
Kilde: Egne beregninger på lovmodellens datagrundlag.
Siden 2012 har indkomstudviklingen været mere jævnt fordelt på aldersgrupper, svarende til en stigning
på omkring 2-3 pct. årligt fra 2012 til 2019,
jf. figur 2.6.
Det er især indkomstudviklingen for personer
over 65 år, der har været båret frem af den demografiske og strukturelle udvikling fra 2012 til 2019.
Når indkomstudviklingen i en periode varierer på tværs af indkomstniveauer, så har det betydning for
udviklingen i de målte indkomstforskelle. Hvis gruppen af personer med de højeste indkomster ek-
sempelvis har en større indkomstfremgang end gruppen med de laveste indkomster, så vil indkomst-
forskellene vokse.
De disponible indkomster er steget for alle indkomstgrupper fra 1994 til 2012. Indkomstudviklingen
har imidlertid været mindst blandt personer med relativt lave indkomster og størst i toppen af ind-
komstfordelingen. Udviklingen i indkomsterne har således udgjort ca. 0,2 pct. årligt blandt personer i
1. indkomstdecil, mens den har udgjort ca. 2,7 pct. årligt for personer i 10. indkomstdecil fra 1994 til
2012,
jf. figur 2.7.
Når der korrigeres for udviklingen i demografiske og strukturelle faktorer fra 1994 til 2012, er ind-
komstudviklingen mere jævn på tværs af indkomstgrupper, idet væksten er højere for personer i 1.-3.
indkomstdecil, mens den er mindre for personer i 4.-10. indkomstdecil.
30
Ulighedsredegørelsen 2021
December 2021
FIU, Alm.del - 2021-22 - Bilag 62: Ulighedsredegørelsen 2021, fra finansministeren
2506836_0033.png
Kapitel 2
Indkomstudvikling og -forskelle
Figur 2.7
Vækst i disponibel indkomst opdelt efter
indkomstdeciler, 1994-2012
Gns. årlig vækst, pct.
6
5
4
3
2
1
0
1.
2.
3.
4.
5.
6.
7.
Indkomstdeciler
8.
9.
10. Top
1 pct.
Gns. årlig vækst, pct.
6
5
4
3
2
1
0
Figur 2.8
Vækst i disponibel indkomst opdelt efter
indkomstdeciler, 2012-2019
Gns. årlig vækst, pct.
6
5
4
3
2
1
0
1.
2.
3.
4.
5.
6.
7.
Indkomstdeciler
8.
9.
10. Top
1 pct.
Gns. årlig vækst, pct.
6
5
4
3
2
1
0
Faktisk udvikling
Fastholdt 1994 demografi
Faktisk udvikling
Fastholdt 2012 demografi
Anm.: Familieækvivalerede indkomster.
Kilde: Egne beregninger på lovmodellens datagrundlag for faktiske tal.
Siden 2012 har personer i 1. indkomstdecil oplevet en indkomstfremgang på niveau med personer i
midten af indkomstfordelingen, svarende til ca. 1,5 pct. årligt, og knap 2 pct. årligt med fastholdt de-
mografi mv.,
jf. figur 2.8.
Særligt i perioden fra 2012 til 2019 har indkomstudviklingen været høj blandt personer i top 1 pct.,
dvs. den ene pct. af befolkningen med de højeste indkomster. Det er imidlertid også indkomstvæk-
sten i top 1 pct., som i størst omfang reduceres, når befolkningssammensætningen fastholdes som i
2012. Det skyldes blandt andet, at flere personer i top 1 pct. er over 75 år, der er den gruppe i top 1
pct. med de højeste indkomster.
2.2 Topindkomster
I de senere år har den relativt kraftige indkomstudvikling for top 1 pct. været en del af debatten om
ulighed.
Danmark er kendetegnet ved en relativt stor indkomstmobilitet gennem livet, se fx
Ulighedsredegørel-
sen 2020.
Det er således typisk ikke de samme personer, som indgår i top 1 pct. i alle år.
Udviklingen i de disponible indkomster har været kraftigere blandt personer i top 1 pct. end for den
øvrige del af befolkningen. Siden 2012 er de disponible indkomster samlet set vokset med ca. 47 pct.
for personer i top 1 pct., svarende til 5,6 pct. årligt. Til sammenligning er den disponible indkomst for
90. percentil steget med ca. 18 pct., medianindkomsten er steget ca. 12 pct., mens indkomsten for
10. percentil er steget knap 5 pct.,
jf. figur 2.9.
Ulighedsredegørelsen 2021
December 2021
31
FIU, Alm.del - 2021-22 - Bilag 62: Ulighedsredegørelsen 2021, fra finansministeren
2506836_0034.png
Kapitel 2
Indkomstudvikling og -forskelle
Figur 2.9
Udvikling i real disponibel indkomst udvalgte steder i indkomstfordelingen, 2012-2019
Pct.
50
40
30
20
10
0
10. percentil
Median
90. percentil
Top 1 pct.
Pct.
50
40
30
20
10
0
Anm.: Ækvivalerede indkomster.
Kilde: Egne beregninger på lovmodellens datagrundlag.
I resten af dette afsnit fremgår en række illustrationer af personer beskæftiget i øverste virksomheds-
ledelse (”direktører”). Det skyldes, at en hypotese kan være, at denne gruppe trækker indkomstudvik-
lingen i top 1 pct. Der tages udgangspunkt i oplysninger for årene 2012-2019, som repræsenterer en
sammenhængende periode med mulighed for at afgrænse direktører konsistent.
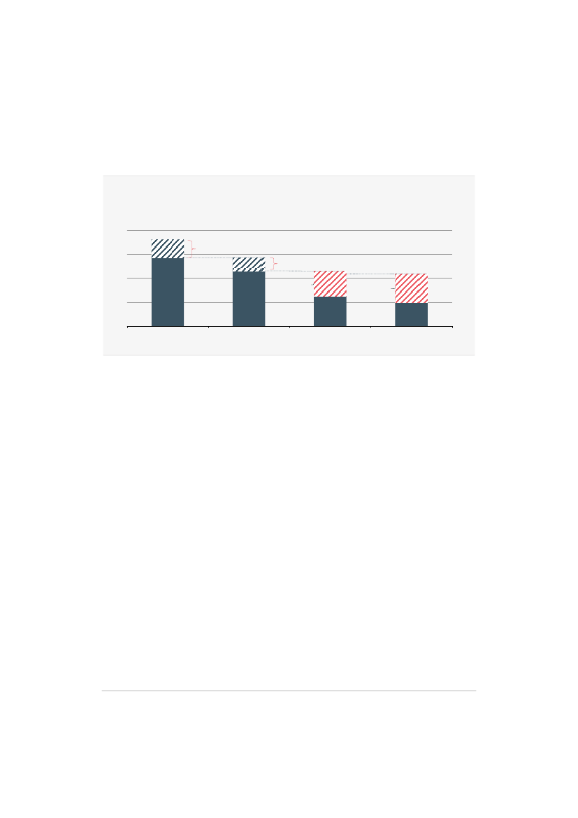
Direktører udgør ikke en større andel af top 1 pct. i 2019 end i 2012. Andelen af top 1 pct., der udgø-
res af direktører eller personer i familie med en direktør, udgør knap 20 pct. i alle de betragtede år,
jf.
figur 2.10.
Til sammenligning udgør pensionister en omtrent tilsvarende andel på godt 20 pct. af top 1
pct.
32
Ulighedsredegørelsen 2021
December 2021
FIU, Alm.del - 2021-22 - Bilag 62: Ulighedsredegørelsen 2021, fra finansministeren
2506836_0035.png
Kapitel 2
Indkomstudvikling og -forskelle
Figur 2.10
Top 1 pct. opdelt på arbejdsmarkedstilknytning, 2012-2019
Pct.
100
80
60
40
20
0
2012
Direktører
2013
2014
Lønmodtagere
2015
2016
Selvstændige
2017
2018
2019
Andre
Pensionister mv.
Pct.
100
80
60
40
20
0
Anm.: Personerne i befolkningen er rangeret efter familieækvivaleret disponibel indkomst. Personer i top 1 pct., hvor
den personlige indkomst ikke ”rækker” til top 1 pct., kategoriseres ligesom den person, der har den højeste
indkomst i familien. Dette betyder bl.a., at børn indgår i samme gruppe, som den voksne med højest indkomst,
fx lønmodtagere.
Direktører
omfatter alle i Danmarks Statistiks Fagklassifikation (DISCO-08) i kategorierne
”Øverste virksomhedsledelse” og ”Virksomhedsledelse af tværgående funktioner”.
Lønmodtagere
omfatter fuld-
og deltidsbeskæftigede.
Pensionister mv.
omfatter førtidspensionister, efterlønnere og andre over 66 år.
Andre
består hovedsagligt af personer med udenlandsk løn o.lign., samt personer der får løn efter skatteordningen for
forskere, eksperter mv.
Kilde: Egne beregninger på lovmodellens datagrundlag.
Der er ikke tegn på, at indkomstudviklingen i top 1 pct. er drevet af indkomstudviklingen blandt direk-
tører i top 1 pct. Indkomstudviklingen blandt direktører i top 1 pct. har således været mindre end for
de øvrige personer i gruppen.
Den disponible indkomst blandt direktører er vokset ca. 40 pct., mens indkomstudviklingen for den
øvrige del af top 1 pct. har udgjort ca. 50 pct. fra 2012 til 2019,
jf. figur 2.11.
Indkomstudviklingen
blandt direktører i top 1 pct. har imidlertid været større end for direktører generelt på knap 30 pct.
Ulighedsredegørelsen 2021
December 2021
33
FIU, Alm.del - 2021-22 - Bilag 62: Ulighedsredegørelsen 2021, fra finansministeren
2506836_0036.png
Kapitel 2
Indkomstudvikling og -forskelle
Figur 2.11
Udvikling i real disponibel indkomst for top 1 pct. og direktører, 2012-2019
Pct.
60
50
40
30
20
10
0
Direktører i top 1 pct.
Direktører generelt
Top 1 pct. ekskl. direktører
Pct.
60
50
40
30
20
10
0
Anm.: Familieækvivalerede indkomster. Personer i top 1 pct., hvor den personlige indkomst ikke ”rækker” til top 1
pct., kategoriseres ligesom den person, der har den højeste indkomst i familien. Dette betyder bl.a., at børn
indgår i samme gruppe, som den voksne med højest indkomst, fx lønmodtagere.
Kilde: Egne beregninger på lovmodellens datagrundlag.
Direktørerne i top 1 pct. har haft en lavere vækst i disponibel indkomst end resten af gruppen siden
2012. Da direktører heller ikke udgør en større andel af top 1 pct., er det samlet set tegn på, at den
høje indkomstfremgang øverst i indkomstfordelingen ikke kan tilskrives udviklingen i disponibel ind-
komst blandt direktører i top 1 pct.
For direktører i top 1 pct. består den disponible indkomst i høj grad af lønindkomst, men også kapital-
indkomst udgør en forholdsvis stor andel.
I gennemsnit udgør lønindkomst ca. 1,8 mio. kr., og kapitalindkomster udgør ca. 1,3 mio. kr. for direk-
tører i top 1 pct. i 2019. Samtidig betaler direktørerne i gennemsnit ca. 1,4 mio. kr. årligt i skat
1
. Der-
med er direktørerne, sammen med de selvstændige, den gruppe, der har den største skattebetaling i
forhold til deres bruttoindkomst. Direktørerne har en disponibel indkomst på knap 1,8 mio. kr. i 2019.
Det overgås kun af pensionister mv. i top 1 pct., som har en disponibel indkomst på ca. 2 mio. kr.,
jf.
figur 2.12.
1
Familieækvivalerede beløb.
34
Ulighedsredegørelsen 2021
December 2021
FIU, Alm.del - 2021-22 - Bilag 62: Ulighedsredegørelsen 2021, fra finansministeren
2506836_0037.png
Kapitel 2
Indkomstudvikling og -forskelle
Figur 2.12
Løbende indkomster i top 1 pct. opdelt efter arbejdsmarkedstilknytning, 2019
Mio. kr.
4
Mio. kr.
4
2
2
0
0
-2
Direktører
Løn-
indkomst
Lønmodtagere
Virksomheds-
indkomst
Kapital-
indkomst
Selvstændige
Overførsels-
indkomst
Pensionister mv.
Anden privat
indkomst
Samlet
skat
Andre
Disponibel
indkomst
-2
Anm.: Familieækvivaleret disponibel indkomst. Personerne i befolkningen er rangeret efter familieækvivaleret
disponibel indkomst. Personer i top 1 pct., hvor den personlige indkomst ikke ”rækker” til top 1 pct.,
kategoriseres ligesom den person, der har den højeste indkomst i familien. Dette betyder bl.a., at børn indgår i
samme gruppe, som den voksne med højest indkomst, fx lønmodtagere.
Lønmodtagere
omfatter fuld- og
deltidsbeskæftigede.
Pensionister mv.
omfatter førtidspensionister, efterlønnere og andre over 66 år.
Andre
består
hovedsagligt af personer med udenlandsk løn o.lign., samt personer der får løn efter skatteordningen for
forskere, eksperter mv.
Kilde: Egne beregninger på lovmodellens datagrundlag.
Den årlige udvikling i de disponible indkomster blandt direktører i top 1 pct. har været væsentligt la-
vere end blandt pensionister i top 1 pct. Til gengæld har indkomstudviklingen blandt direktørerne væ-
ret en smule større end blandt andre lønmodtagere og selvstændige i top 1 pct.,
jf. tabel 2.2.
Vækstbidraget fra personlig indkomst efter skat, herunder lønindkomst, har været størst blandt direk-
tørerne i top 1 pct. Fra 2012 til 2019 har udviklingen i den personlige indkomst efter skat blandt direk-
tørerne bidraget til en stigning i den disponible indkomst på 1,5 pct. årligt, hvilket er en smule højere
end blandt andre lønmodtagere i top 1 pct.
Ulighedsredegørelsen 2021
December 2021
35
FIU, Alm.del - 2021-22 - Bilag 62: Ulighedsredegørelsen 2021, fra finansministeren
2506836_0038.png
Kapitel 2
Indkomstudvikling og -forskelle
Tabel 2.2
Bidrag til årlig realvækst i disponibel indkomst for top 1 pct., 2012-2019
Direktører
Indkomstkomponent
Lønindkomst
Virksomhedsindkomst
Erhvervsindkomst
Privat pension
Anden privat indkomst
Privat indkomst
Overførselsindkomst
Personlig indkomst
Skat af personlig indkomst
Pers. indk. efter skat
Renteindtægter
Renteudgifter
Aktieindkomst
Imputeret afkast af egen bolig
Anden kapitalindkomst
Kapitalindkomst
Skat af kapitalindkomst
Kap. indk. efter skat
Private pensionsindbetalinger
Disponibel indkomst
3,1
0,3
3,3
0,0
-0,1
3,2
0,0
3,2
-1,7
1,5
0,0
0,3
4,1
0,5
0,2
5,0
-1,8
3,2
0,0
4,7
2,5
0,1
2,6
0,0
-0,1
2,7
0,0
2,6
-1,4
1,2
0,1
0,2
3,4
0,6
0,3
4,6
-1,7
2,9
0,1
4,3
Andre
lønmodtagere
Selvstændige
Pct. pr. år
1,9
1,5
3,4
-0,1
-0,9
2,3
0,0
2,3
-2,3
0,0
0,4
0,2
2,4
0,6
1,4
5,0
-1,5
3,6
0,3
3,8
-0,3
2,0
1,7
0,6
0,2
2,6
0,1
2,7
-1,6
1,1
0,2
0,2
9,5
0,5
2,1
12,7
-4,9
7,7
0,1
8,9
3,3
0,1
3,4
0,0
-0,1
3,3
0,0
3,3
-1,9
1,4
0,7
0,2
5,0
0,5
0,3
7,0
-2,6
4,4
0,0
5,8
Pensionister
mv.
Andre
Anm.: Vækstbidragene er opgjort som ændringen i et givent indkomstelement delt med den disponible indkomst i
udgangspunktet. Afrunding medfører, at indkomstelementerne ikke nødvendigvis summer til de anførte totaler.
Kilde: Egne beregninger på lovmodellens datagrundlag.
Det er især udviklingen i kapitalindkomst efter skat, som har drevet stigningen i disponibel indkomst i
top 1 pct. på tværs af grupperne fra 2012 til 2019. Det skal ses i lyset af, at aflønningen af direktører i
et vist omfang kan bestå af aktieoptioner, der ved udnyttelse kan generere kapitalindkomst i form af
aktieindkomster ved løbende udbetaling af dividender og senere frasalg af aktierne. Der er dog ikke
tegn på, at udviklingen i kapitalindkomsterne efter skat i særlig grad har bidraget til stigningen i dispo-
nibel indkomst for direktører i top 1 pct.
Vækstbidraget fra kapitalindkomst efter skat har udgjort 3,2 pct. årligt for direktører, mens det har ud-
gjort 2,9 pct. for andre lønmodtagere og 3,6 pct. for selvstændige i top 1 pct. fra 2012 til 2019. Bidra-
get har været væsentligt højere og udgjort 7,7 pct. årligt blandt pensionister i top 1 pct. Det skal ses i
36
Ulighedsredegørelsen 2021
December 2021
FIU, Alm.del - 2021-22 - Bilag 62: Ulighedsredegørelsen 2021, fra finansministeren
2506836_0039.png
Kapitel 2
Indkomstudvikling og -forskelle
lyset af, at lønindkomst udgør en relativt lille del af den disponible indkomst blandt pensionister i top 1
pct. i 2019.
Stigningen i kapitalindkomster har medført, at en større andel af gruppen har kapitalindkomst som pri-
mær indtægtskilde.
Andelen af top 1 pct., der har kapitalindkomst som deres primære indkomst, er således steget fra ca.
20 pct. i 2012 til godt 30 pct. i 2019,
jf. figur 2.13.
Det gælder både for direktører i top 1 pct. og for den
øvrige del af gruppen.
Figur 2.13
Personer i top 1 pct. med kapitalindkomst som primær indtægtskilde, 2012-2019
Pct.
40
Pct.
40
30
30
20
20
10
10
0
2012
2013
Direktører i top 1 pct.
2014
2015
2016
2017
2018
2019
Direktører generelt
Top 1 pct. ekskl. direktører
0
Anm.: Kapitalindkomst anses som den primære indtægtskilde, hvis den udgør over 50 pct. af bruttoindkomsten.
Bruttoindkomsten omfatter personlig indkomst før skat og kapitalindkomster før skat.
Kilde: Egne beregninger på lovmodellens datagrundlag.
Arbejdskraftsundersøgelsen (AKU), som er en kvartalsvis interviewundersøgelse, giver mulighed for
at belyse antal arbejdstimer på en typisk arbejdsuge, for de personer, der ligger i top 1 pct. Da under-
søgelsen kun besvares af en forholdsvis lille andel af befolkningen, og at en endnu mindre andel kan
knyttes til lovmodellens stikprøve, er resultaterne vedrørende top 1 pct. behæftet med betydelig usik-
kerhed. Det er derfor ikke meningsfuldt at betragte de direktører, der befinder sig i gruppen som følge
af få observationer.
Den ugentlige selvrapporterede arbejdstid blandt alle direktører samt for personer i top 1 pct. er væ-
sentligt højere end for beskæftigede i midten af indkomstfordelingen både i 2012 og 2019. Arbejdsti-
den er desuden steget blandt direktører og personer i top 1 pct., mens den er reduceret en smule
blandt beskæftigede i midten af indkomstfordelingen.
Direktørernes selvrapporterede ugentlige arbejdstid er steget med ca. 4 timer, mens arbejdstiden er
steget med knap 2 timer ugentligt for personer i top 1 pct. fra 2012 til 2019,
jf. figur 2.14.
Til sammen-
ligning arbejder personer i midten af indkomstfordelingen lidt mindre hver uge, svarende til ca. �½
time.
Ulighedsredegørelsen 2021
December 2021
37
FIU, Alm.del - 2021-22 - Bilag 62: Ulighedsredegørelsen 2021, fra finansministeren
2506836_0040.png
Kapitel 2
Indkomstudvikling og -forskelle
Figur 2.14
Selvrapporteret ugentlig arbejdstid, 2012 og 2019
Antal timer
60
Antal timer
60
50
50
40
40
30
30
20
Direktører generelt
2012
Top 1 pct. af indkomstfordelingen
2019
Midten af indkomstfordelingen
20
Anm.: Gennemsnitlig arbejdstid indenfor gruppen er opgjort i referenceugen.
Midten af indkomstfordelingen
er afgrænset
som personer placeret i 45. til 55. percentil. Der er medtaget personer, der i henholdsvis 2012 og 2019 var enten
fuldtids-, deltidsbeskæftigede eller selvstændige, og som indgår i den kvartalsvise AKU i de respektive år. Indgår
en person i undersøgelsen i flere kvartaler, er der taget et gennemsnit af arbejdstimerne. Kun personer, der har
angivet et gennemsnitligt antal arbejdstimer, er medtaget i figuren.
Kilde: Egne beregninger på lovmodellens datagrundlag.
Der kan være en række andre grunde til, at lønningerne blandt direktører i top 1 pct. er steget siden
2012. Det kan blandt andet skyldes større international konkurrence, eller at direktørerne har større
ansvar, fx som følge af større værdi i selskabet eller flere ansatte.
Nogle nyere danske studier finder, at lønudviklingen for direktører (her i hele indkomstfordelingen) har
været relativt stor i de senere år. Det er i tråd med resultaterne i dette kapitel, der peger på, at direk-
tører har haft en indkomstfremgang på knap 30 pct. fra 2012 til 2019. Det er omkring 2�½ gange mere
end udviklingen i medianindkomsten på ca. 12 pct.
Studierne finder forskellige årsager til indkomstudviklingen blandt direktører, ligesom der er væsentlig
forskel på, i hvor høj grad udviklingen i aflønningen kan forklares ud fra målbare karakteristika. Studi-
erne peger blandt andet på, at de mest relevante faktorer for aflønningen af direktører er:
Størrelse på virksomheden
Branche
Incitamentsstrukturer, fx aflønning med aktieoptioner og -warrants
Fælles for studierne er dog, at det ikke har været muligt fuldt ud at forklare indkomstudviklingen
blandt direktører. Se
boks 2.2
for en gennemgang af to nyere danske studier af stigningen i aflønnin-
gen af direktører.
38
Ulighedsredegørelsen 2021
December 2021
FIU, Alm.del - 2021-22 - Bilag 62: Ulighedsredegørelsen 2021, fra finansministeren
2506836_0041.png
Kapitel 2
Indkomstudvikling og -forskelle
Boks 2.2
Udvalgte nyere studier af udvikling i direktørlønninger
Er danske direktørlønninger stukket af?,
Jørgensen, Sørensen, m.fl., 2019, Kraka
Studiet finder ”at direktørlønningerne er stukket af”. Det drejer sig især om lønninger til direktører i virksomheder,
hvor antallet af årsværk er over 1.000. Således er lønratioen, dvs. direktørernes løn delt med den gennemsnitlige
løn til medarbejderne, vokset fra ca. 8 i 2002 til ca. 33 i 2016.
I studiet benyttes en regression af lønratioen på en række forklarende variable, der knytter sig til direktøren, en
række forklarende variable, der knytter sig til virksomheden, samt års-dummies.
Studiet finder ikke en stærk sammenhæng mellem lønratioen og de forklarende variable. Således kan kun 27 pct. af
variationen forklares med den regression, der vedrører direktører i virksomheder med over 1.000 årsværk. Det illu-
streres også ved, at den prædikterede lønratio ikke stiger over tid i samme omfang som den faktiske udvikling.
De statistisk signifikante variable til at forklare variationen i lønrationen er størrelsen af virksomheden (antal års-
værk), virksomhedens produktivitet, dens brug af aktieaflønning samt tilknytning til visse sektorer. For variable ved-
rørende direktøren er uddannelsesniveau, og hvorvidt denne er internt forfremmet (negativ sammenhæng med løn)
af signifikant betydning. Brugen af aktieaflønning kan forklare 10 pct. af variationen og antal årsværk 7 pct. Internati-
onaliseringsgraden, målt ved eksportandelen, har ikke nogen signifikant effekt for virksomheder over 1.000 årsværk,
hvilket dog er tilfældet for alle virksomheder under et.
Studiet har ikke haft mulighed for at kontrollere for virksomhedernes størrelse målt på markedsværdi. Der peges
dog på, at der ser ud til at være en stærk positiv sammenhæng mellem stigningen i direktørlønratioen i virksomhe-
der med mere end 1.000 årsværk og markedsværdien af danske børsnoterede virksomheder.
Direktørlønninger og betydningen af korrekt benchmarking,
Bechman, 2019, Finans/Invest
Artiklen anvender oplysninger om 46 børsnoterede danske virksomheder i årene 2016, 2017 og 2018 til at lave en
regression af lønnen på en række virksomhedsspecifikke variable, som størrelse, sektortilknytning og endelig den
variable andel af den samlede løn. Som mål for virksomhedens størrelse bruges omsætning, men alternativt er virk-
somhedens samlede aktiver og samlede markedsværdi af egenkapital også afprøvet med samme resultater. Ande-
len af den samlede løn, der udgøres af en variabel komponent, skal kontrollere for direktørens incitamenter til at
opnå et godt resultat.
Samlet set kan 82 pct. af variationen i lønningerne forklares, og eftersom tids-dummyerne er statistisk insignifikante,
konkluderes det; ”at
der ikke umiddelbart er tale om stigninger i direktørlønningerne udover, hvad der kan forklares
af udviklingen i de andre variable herunder stigninger i virksomhedernes omsætning.”
Især den andel af lønnen, der
er variabel, og virksomhedens størrelse har stor forklaringsgrad på direktørens løn. Visse sektorer har også en stati-
stisk signifikant betydning.
Det er klart, at andelen af direktørens løn, der udgøres af en variabel komponent, kan være endogen i forhold til
direktørens samlede løn. I stedet forsøges det at kontrollere for, hvorvidt virksomheden anvender langsigtede incita-
mentsprogrammer. Ved denne specifikation opnås en forklaringsgrad af modellen på 66 pct.
Artiklens resultater skal dog ses i lyset af forholdsvis få observationer og en kort tidsperiode på 3 år.
Ulighedsredegørelsen 2021
December 2021
39
FIU, Alm.del - 2021-22 - Bilag 62: Ulighedsredegørelsen 2021, fra finansministeren
2506836_0042.png
Kapitel 2
Indkomstudvikling og -forskelle
2.3 Lavindkomstgruppen
Lavindkomstgruppen omfatter personer, der i et enkelt år har en disponibel indkomst under 50 pct. af
medianindkomsten for hele befolkningen. Personer i lavindkomstgruppen kan således siges at have
en relativt lav indkomst i forhold til befolkningen generelt.
Lavindkomstgruppen er vokset siden 1994. Godt 8 pct. af befolkningen har en disponibel indkomst
under 50 pct. af medianindkomsten i 2019. Det er lidt mere end en fordobling siden 1994, hvor lavind-
komstgruppen udgjorde knap 4 pct. af befolkningen,
jf. figur 2.15.
En stor del af stigningen i lavindkomstgruppen skyldes, at flere i dag får en uddannelse. Studerende
har typisk en relativt lav indkomst under uddannelse sammenlignet med befolkningen som helhed.
Omvendt kan studerende se frem til relativt høj indkomst efter endt studie. Hvis man ser bort fra stu-
derende, reduceres lavindkomstgruppen betragteligt, og stigningen siden 1994 er væsentlig mindre.
Figur 2.15
Personer i lavindkomstgruppen, 1994-2019
Andel af befolkningen, pct.
10
8
6
4
2
0
94
95
96
97
98
99
00
01
02
03
04
05
06
07
08
09
10
11
12
13
14
15
16
17
18
19
Alle
Eksklusive studerende
3 år i træk (ekskl. studerende)
Andel af befolkningen, pct.
10
8
6
4
2
0
Anm.: Lavindkomstgruppen omfatter personer med en ækvivaleret disponibel indkomst under 50 pct. af medianind-
komsten i befolkningen. I
Eksklusive studerende
ses bort fra studerende over 18 år og personer i familie med stu-
derende.
Kilde: Egne beregninger på lovmodellens datagrundlag.
Der er generelt stor mobilitet ud af lavindkomstgruppen, og mange oplever kun relativt lav indkomst i
en begrænset periode. Det gælder fx ledige, der finder et job, eller selvstændige, der i en kort periode
ikke har tjent penge i deres virksomhed. Der er derfor færre, der har været i lavindkomstgruppen flere
år i træk. Andelen af befolkningen, der har været i lavindkomstgruppen (opgjort ekskl. studerende) 3
år i træk, har udgjort mellem 1 pct. og 2 pct. af befolkningen i de senere år og udgør ca. 1,7 pct. af
befolkningen i 2019.
Den generelle velstandsudvikling har medført, at medianindkomsten i Danmark er vokset støt siden
1994. Det samme gælder lavindkomstgrænsen, som udgør 50 pct. af medianindkomsten.
40
Ulighedsredegørelsen 2021
December 2021
FIU, Alm.del - 2021-22 - Bilag 62: Ulighedsredegørelsen 2021, fra finansministeren
2506836_0043.png
Kapitel 2
Indkomstudvikling og -forskelle
Alle befolkningsgrupper har fået del i den generelle velstandsudvikling. Stigningen i de disponible ind-
komster har imidlertid været større for nogle grupper. Indkomstfremgangen for personer i beskæfti-
gelse og folkepensionister har eksempelvis været større end for personer, der modtager kontant-
hjælp.
Udviklingen i befolkningssammensætningen på herkomst har også bidraget til at øge antallet af per-
soner i lavindkomstgruppen fra 1994 til 2019. Det hænger blandt andet sammen med, at indvandrere
og efterkommere fra ikke-vestlige lande har en svagere tilknytning til arbejdsmarkedet end personer
med dansk oprindelse. Samtidig modtager personer, der ikke opfylder opholdskravet i kontanthjælps-
systemet, den lavere integrationsydelse (selvforsørgelses- og hjemrejseydelse eller overgangsydelse
fra 1. januar 2020) i tilfælde af ledighed.
Samtidig med en øget indvandring er andelen af personer med ikke-vestlig baggrund i lavindkomst-
gruppen (ekskl. studerende) steget fra ca. 12 pct. i 2012 til godt 20 pct. i 2017. Andelen af personer
med ikke-vestlig oprindelse, der er i lavindkomstgruppen (ekskl. studerende), er imidlertid reduceret
fra 2017 til 2019, hvilket blandt andet skal ses i lyset af, at flere personer med ikke-vestlig herkomst er
kommet i beskæftigelse.
Siden 1994 er andelen af personer med anden etnisk herkomst end dansk, der er i lavindkomstgrup-
pen (ekskl. studerende), således steget. Godt hver sjette person med ikke-vestlig baggrund i lavind-
komstgruppen i 2019 mod hver ottende i 2012,
jf. figur 2.16.
Figur 2.16
Personer i lavindkomstgruppen (ekskl. studerende) opdelt på herkomst, 1994-2019
Andel af befolkningsgruppe, pct.
25
20
15
10
5
0
94
95
96
97
98
99
00
01
02
03
04
05
06
07
08
09
10
11
12
13
14
15
16
17
18
19
Dansk oprindelse
Vestlig oprindelse
Ikke-vestlig oprindelse
Andel af befolkningsgruppe, pct.
25
20
15
10
5
0
Anm.: Personer i lavindkomstgruppen (ekskl. studerende) som andel af alle i befolkningsgruppen.
Kilde: Egne beregninger på lovmodellens datagrundlag.
En stigning i andelen af en befolkningsgruppe, der indgår i lavindkomstgruppen, kan skyldes, at grup-
pen udgør en større andel af befolkningen. Det er derfor relevant, i hvilket omfang grupperne er ble-
vet mere eller mindre overrepræsenteret i lavindkomstgruppen.
Repræsentativiteten er opgjort som andelen af gruppen, der er i lavindkomstgruppen, delt med
andelen af befolkningen i lavindkomstgruppen. Hvis andelen, der er i lavindkomstgruppen, er den
Ulighedsredegørelsen 2021
December 2021
41
FIU, Alm.del - 2021-22 - Bilag 62: Ulighedsredegørelsen 2021, fra finansministeren
2506836_0044.png
Kapitel 2
Indkomstudvikling og -forskelle
samme for både gruppen og befolkningen som helhed, er repræsentativitetsindekset lig 100, og grup-
pen er hverken over- eller underrepræsenteret i lavindkomstgruppen (ekskl. studerende).
Personer med anden etnisk herkomst er markant overrepræsenteret i lavindkomstgruppen (ekskl. stu-
derende). Modsat er personer med dansk oprindelse underrepræsenteret i lavindkomstgruppen. Det
hænger netop sammen med, at personer med anden etnisk herkomst i langt højere grad befinder sig i
lavindkomstgruppen end personer med dansk oprindelse. Dermed udgør de en større andel af lavind-
komstgruppen end af befolkningen som helhed.
Personer med ikke-vestlig herkomst har været ca. 3-4�½ gange overrepræsenteret i lavindkomstgrup-
pen (ekskl. studerende) i hele perioden fra 1994 til 2019. Set over hele perioden er overrepræsentati-
onsindekset for personer med ikke-vestlig herkomst steget en smule fra godt 300 i 1994 til ca. 360 i
2019,
jf. figur 2.17.
Figur 2.17
Over- og underrepræsentativitet i lavindkomstgruppen (ekskl. studerende), 1994-2019
Indeks (100 = ingen over/underrepræsentativitet)
500
Indeks (100 = ingen over/underrepræsentativitet)
500
400
400
300
300
200
200
100
100
0
94
95
96
97
98
99
00
01
02
03
04
05
06
07
08
09
10
11
12
13
14
15
16
17
18
19
0
Dansk oprindelse
Vestlig oprindelse
Ikke-vestlig oprindelse
Anm.: Repræsentativiteten er udregnet som andelen af gruppen, der er i lavindkomstgruppen, delt med andelen af
befolkningen i lavindkomstgruppen.
Kilde: Egne beregninger på lovmodellens datagrundlag.
Personer med dansk oprindelse er modsat underrepræsenteret i lavindkomstgruppen (ekskl. stude-
rende). Repræsentativitetsindekset for personer med dansk oprindelse er reduceret en smule fra
1994 til 2019.
I et internationalt perspektiv er lavindkomstgruppen i Danmark lille. Således er det kun i Island og
Tjekkiet, at lavindkomstgruppen udgør en mindre andel af befolkningen. Norge, Sverige og Tyskland
har en højere andel af befolkningen i lavindkomstgruppen,
jf. figur 2.18.
42
Ulighedsredegørelsen 2021
December 2021
FIU, Alm.del - 2021-22 - Bilag 62: Ulighedsredegørelsen 2021, fra finansministeren
2506836_0045.png
Kapitel 2
Indkomstudvikling og -forskelle
Figur 2.18
Lavindkomstgruppen i OECD-landene
Andel af befolkningen, pct.
25
20
15
10
5
0
Andel af befolkningen, pct.
25
20
15
10
5
0
ISL
POL
KOR
GBR
NOR
GRC
TUR
DEU
HUN
CAN
NLD
SWE
ESP
JPN
LTU
MEX
CZE
SVK
FRA
AUS
LVA
ISR
FIN
ITA
DNK
CHE
USA
LUX
AUT
PRT
EST
IRL
BEL
CHL
Anm.: Data er fra seneste år (2017, 2018, 2019 og 2020). For Danmark er data fra 2018. Definitionen af den disponible
indkomst i OECD’s opgørelse er ikke identisk med definitionen, der ligger til grund for opgørelsen i figur 15
mv.
Kilde: OECD’s
Income Distribution Database.
2.4 Udvikling i indkomstforskellene
Danmark er generelt kendetegnet ved små indkomstforskelle set i et internationalt perspektiv. Det
gælder både, når man ser på lønforskellene mellem lavt- og højtuddannede, lønforskellene mellem
mænd og kvinder og forskellene i de disponible indkomster.
Danmark er blandt de OECD-lande, hvor indkomstforskellene i befolkningen er mindst. Blandt sam-
menlignelige lande har blandt andet Norge lidt mindre indkomstforskelle målt ved Gini-koefficienten,
mens indkomstforskellene i Sverige er en smule større,
jf. figur 2.19.
SVN
Ulighedsredegørelsen 2021
December 2021
CRI
43
FIU, Alm.del - 2021-22 - Bilag 62: Ulighedsredegørelsen 2021, fra finansministeren
2506836_0046.png
Kapitel 2
Indkomstudvikling og -forskelle
Figur 2.19
Indkomstforskellene målt ved Gini-koefficienten i OECD-landene
Gini-koefficient, pct.
60
50
40
30
20
10
0
Gini-koefficient, pct.
60
50
40
30
20
10
0
LVA
JPN
SWE
NOR
GRC
LTU
IRL
MEX
ISL
POL
CHL
KOR
HUN
GBR
DEU
CAN
AUS
DNK
CHE
USA
AUT
PRT
Anm.: Data er fra seneste år (2017, 2018, 2019 og 2020). For Danmark er data fra 2018. Definitionen af den disponible
indkomst i OECD’s opgørelse er ikke identisk med definitionen, der ligger til grund for opgørelsen i figur 20
mv.
Kilde: OECD’s
Income Distribution Database.
Den større indkomstfremgang i toppen end i bunden af indkomstfordelingen har resulteret i, at ind-
komstforskellene er steget siden midten af 1990’erne.
Indkomstforskellene målt ved Gini-koefficienten er steget fra ca. 20 pct. i 1994 til ca. 28,5 pct. i 2019,
jf. figur 2.20.
Figur 2.20
Indkomstforskellene målt ved Gini-koefficienten, 1994-2019
Gini-koefficient, pct.
40
Gini-koefficient, pct.
40
TUR
SVN
CZE
SVK
FRA
NLD
ESP
EST
BEL
LUX
CRI
30
20
10
0
19
FIN
30
20
10
0
94
95
96
97
98
99
00
01
02
03
04
05
06
07
08
09
10
11
12
13
14
15
16
17
18
Ikke korriget
Fastholdt 1994-demografi
Anm.: Familieækvivalerede indkomster.
Kilde: Egne beregninger på lovmodellens datagrundlag.
44
Ulighedsredegørelsen 2021
December 2021
ISR
ITA
FIU, Alm.del - 2021-22 - Bilag 62: Ulighedsredegørelsen 2021, fra finansministeren
2506836_0047.png
Kapitel 2
Indkomstudvikling og -forskelle
Demografiske og strukturelle forhold har siden 1994 været med til at forstærke udviklingen i indkomst-
forskellene målt ved Gini-koefficienten. Det hænger blandt andet sammen med flere studerende med
relativt lave indkomster og generelt højere uddannelsesniveau i befolkningen, der bidrager til højere
produktivitet og dermed højere indkomster blandt personer i beskæftigelse. Det skønnes, at omkring
2,3 pct.-point af udviklingen i indkomstforskellene målt ved Gini-koefficienten kan henføres til udviklin-
gen i demografiske og strukturelle faktorer fra 1994 til 2019.
Det er muligt at dekomponere udviklingen i indkomstforskellene målt ved Gini-koefficienten i bidrag
fra hvert af de indkomstelementer, som den disponible indkomst er sammensat af. Dekomponeringen
giver et indblik i, i hvor høj grad indkomstelementerne har bidraget til stigningen i indkomstforskellene.
Det er ikke trivielt at foretage en sådan dekomponering, og der findes flere metoder, som kan benyt-
tes. I
Ulighedsredegørelsen 2020
findes en gennemgang af to typiske tilgange til at dekomponere ind-
komstforskellene målt ved Gini-koefficienten (i dette kapitel benyttes metode 2).
Den disponible indkomst er sammensat af en række indkomstelementer. Nogle indkomstelementer er
i høj grad koncentreret i toppen af indkomstfordelingen, fx aktieindkomster, hvorimod andre indkomst-
elementer i høj grad er koncentreret i bunden af indkomstfordelingen, fx overførselsindkomster.
Indkomstforskellene målt ved Gini-koefficienten steg med ca. 6 pct.-point i perioden fra 1994 til 2012.
Heraf kan knap 4 pct.-point af stigningen henføres til udviklingen i overførselsindkomsterne. Det var
således især udviklingen i overførselsindkomsterne, der bidrog til stigningen i indkomstforskellene.
Når der kontrolleres for den demografiske og strukturelle udvikling, er bidraget fra overførsler dog lidt
mindre og udgør ca. 3 pct.-point.
Når overførsler har bidraget til øgede indkomstforskelle, skal det ses i lyset af, at overførselsindkom-
ster typisk modtages af personer nederst i indkomstfordelingen, og at overførsler i gennemsnit ud-
gjorde en mindre del af den disponible indkomst i 2012 end i 1994.
Aktieindkomst og imputeret afkast af egen bolig har også bidraget til at øge indkomstforskellene med
henholdsvis ca. 1,3 pct.-point og 1,8 pct.-point fra 1994 til 2012. Erhvervsindkomsterne har modsat
bidraget til at reducere indkomstforskellene en smule, når der korrigeres for ændringer i demografiske
og strukturelle faktorer,
jf. figur 2.21.
Ulighedsredegørelsen 2021
December 2021
45
FIU, Alm.del - 2021-22 - Bilag 62: Ulighedsredegørelsen 2021, fra finansministeren
2506836_0048.png
Kapitel 2
Indkomstudvikling og -forskelle
Figur 2.21
Bidrag til udviklingen i indkomstforskellene
målt ved Gini-koefficienten, 1994-2012
Pct.-point
4
3
2
1
0
-1
-2
Pct.-point
4
3
2
1
0
-1
-2
Figur 2.22
Bidrag til udviklingen i indkomstforskellene
målt ved Gini-koefficienten, 2012-2019
Pct.-point
4
3
2
1
0
-1
-2
Pct.-point
4
3
2
1
0
-1
-2
Erhvervs-
indkomst
Overførsels-
indkomst
Samlet skat
Demografi
Imputeret
afkast af
egen bolig
Øvrige
elementer
Aktie-
indkomst
Imputeret
afkast af
egen bolig
Aktie-
indkomst
Overførsels-
indkomst
Samlet skat
Erhvervs-
indkomst
Ikke korrigeret
Fastholdt 1994 demografi
Demografi
Ikke korrigeret
Fastholdt 2012 demografi
Anm.: Øvrige elementer indeholder bl.a. renteindtægter og -udgifter samt anden kapitalindkomst.
Kilde: Egne beregninger på lovmodellens datagrundlag.
Fra 2012 til 2019 er indkomstforskellene målt ved Gini-koefficienten steget med ca. 2,5 pct.-point. Li-
gesom i perioden før 2012 er det især udviklingen i overførselsindkomster, aktieindkomster, og impu-
teret afkast af egen bolig, der har bidraget til at øge indkomstforskellene. Udviklingen i demografiske
og strukturelle faktorer har også bidraget til øgede indkomstforskelle, om end bidraget er noget min-
dre end tidligere. Således har demografi mv. bidraget med ca. 0,6 pct.-point af den samlede stigning i
indkomstforskellene fra 2012 til 2019.
jf. figur 2.22.
46
Ulighedsredegørelsen 2021
December 2021
Øvrige
elementer
FIU, Alm.del - 2021-22 - Bilag 62: Ulighedsredegørelsen 2021, fra finansministeren FIU, Alm.del - 2021-22 - Bilag 62: Ulighedsredegørelsen 2021, fra finansministeren
2506836_0050.png
Bilag 2.1
Bidrag til realvækst i disponibel indkomst
48
Ulighedsredegørelsen 2021
December 2021
FIU, Alm.del - 2021-22 - Bilag 62: Ulighedsredegørelsen 2021, fra finansministeren
2506836_0051.png
Bilag 2.1 Bidrag til realvækst i
disponibel indkomst
Tabel B.1
Bidrag til realvækst i disponibel indkomst
1994-2019
Indkomstkomponent
Lønindkomst
Virksomhedsindkomst
Erhvervsindkomst
Privat pension
Anden privat indkomst
Privat indkomst
Overførselsindkomst
Personlig indkomst
Skat af personlig indkomst
Personlig indkomst efter skat
Renteindtægter
Renteudgifter
Aktieindkomst
Imputeret afkast af egen bolig
Anden kapitalindkomst
Kapitalindkomst
Skat af kapitalindkomst
Kapitalindkomst efter skat
Private pensionsindbetalinger
Disponibel indkomst
1,2
0,0
1,2
0,2
0,0
1,4
0,0
1,4
-0,3
1,1
-0,1
0,3
0,2
0,4
0,0
0,8
-0,2
0,6
0,0
1,8
1994-2012
Pct. pr år.
1,0
0,0
1,0
0,2
0,0
1,3
-0,1
1,2
-0,1
1,1
-0,1
0,2
0,2
0,4
0,0
0,7
-0,2
0,5
0,0
1,7
1,5
0,2
1,6
0,3
0,0
1,9
0,1
2,0
-0,8
1,2
0,0
0,4
0,4
0,3
0,1
1,2
-0,3
0,9
0,0
2,1
2012-2019
Anm.: Afrunding i tabellen kan medføre, at tallene ikke summer til de anførte totaler.
Kilde: Egne beregninger på lovmodellens datagrundlag.
Ulighedsredegørelsen 2021
December 2021
49
FIU, Alm.del - 2021-22 - Bilag 62: Ulighedsredegørelsen 2021, fra finansministeren
2506836_0052.png
Bilag 2.2
Indkomstudvikling, indkomstforskelle og lavindkomstgruppe
50
Ulighedsredegørelsen 2021
December 2021
FIU, Alm.del - 2021-22 - Bilag 62: Ulighedsredegørelsen 2021, fra finansministeren
2506836_0053.png
Bilag 2.2 Indkomstudvikling,
indkomstforskelle og
lavindkomstgruppe
Tabel B.1
Indkomstforskelle og lavindkomstgruppe
1995 2000 2005 2010 2011 2012 2013 2014 2015 2016 2017 2018 2019
Indkomstforskelle
Gini-koefficient, pct.
19,9
22,6
23,8
26,4
26,4
26,0
26,6
27,1
27,9
27,8
28,1
28,1
28,5
Lavindkomstgruppe
Antal, 1.000 personer
Alle
Heraf børn
Andel af befolkningen, pct.
Alle
Børn
3,3
2,6
4,0
3,0
5,1
4,3
6,4
5,4
6,5
5,3
6,2
4,4
6,5
4,5
6,9
4,8
7,1
5,0
7,6
6,1
8,1
7,5
8,2
7,5
8,2
7,4
172
29
209
34
274
50
345
64
357
63
343
51
361
51
382
54
399
57
427
70
460
85
467
84
468
83
Medianindkomst
2019-niveau, 1.000 kr.
169
184
208
222
218
215
218
222
225
229
232
237
241
Kilde: Egne beregninger på lovmodellens datagrundlag.
Ulighedsredegørelsen 2021
December 2021
51
FIU, Alm.del - 2021-22 - Bilag 62: Ulighedsredegørelsen 2021, fra finansministeren
2506836_0054.png
Kapitel 3
Fordelingen af danskernes formuer
52
Ulighedsredegørelsen 2021
December 2021
FIU, Alm.del - 2021-22 - Bilag 62: Ulighedsredegørelsen 2021, fra finansministeren
2506836_0055.png
3. Fordelingen af danskernes
formuer
Forbrugsmulighederne er som udgangspunkt givet ved den disponible indkomst i en given periode.
Der er imidlertid muligheder for at flytte forbrug fra en periode til en anden. Er forbruget lavere end
den disponible indkomst, spares der op, og forbruget kan øges i en senere periode. Modsat kan et lån
betyde, at forbruget kan være højere end den disponible indkomst, mod at fremtidig disponibel ind-
komst bruges til at betale lånet tilbage.
Et hovedformål med opsparing og gældsætning er at udjævne forbruget over livet. Mange låner ek-
sempelvis til forbrug under uddannelse, sparer op igennem den erhvervsaktive alder og forbruger af
formuen efter tilbagetrækning fra arbejdsmarkedet. Der kan imidlertid også være andre motiver for at
spare op eller optage lån, herunder ønsket om at efterlade arv eller forsikringshensyn. Et eksempel
på forsikringshensyn kan være et ønske om at have mulighed for at opretholde forbrug i tilfælde af
sygdom eller ledighed.
Danmark er kendetegnet ved samfundsstrukturer, der betyder, at behovet for blandt andet forsigtig-
hedsopsparing er mindre end i andre lande. Det fintmaskede sociale sikkerhedsnet reducerer beho-
vet for at spare op til midlertidige perioder uden indkomst, mens fri og lige adgang til uddannelse og
sundhed reducerer behovet for at spare op til sundhedsbehandling og uddannelse. Samtidig er mulig-
hederne for at låne relativt gode. Eksempelvis understøttes adgangen til at låne til uddannelse ved
SU-lån og køb af bolig med realkreditsystemet.
I dette kapitel belyses udviklingen i og fordelingen af danskernes nettoformuer. Kapitlet bygger videre
på analyserne af formuefordelingen i
Ulighedsredegørelsen 2020,
herunder ved at inddrage formue-
andelene blandt personer med de største formuer og ved at se på forskellene i nettoformuerne mel-
lem køn. Der er desuden fokus på formueforskellene blandt unge, som er større end blandt personer i
de øvrige aldersgrupper. Endelig sammenlignes formueforskellene på tværs af OECD-landene.
Hovedbudskaberne i kapitlet er:
Den gennemsnitlige nettoformue er steget realt med ca. ¼ mio. kr. fra 2014 til 2019. Den gen-
nemsnitlige nettoformue er ca. 1,4 mio. kr. i 2019. Mænd har i gennemsnit en større nettoformue
end kvinder. Forskellen mellem kønnene er størst blandt ældre aldersgrupper og er reduceret fra
2014 til 2019.
Det er ikke muligt at opnå et fuldstændigt billede af de samlede formueforskelle med ét summa-
risk mål. I stedet kan formueforskellene belyses ved en række forskellige mål. Et mål, der ofte
anvendes, er RMM, der angiver forholdet mellem gennemsnits- og medianformuen i befolknin-
gen. I perioden fra 2014 til 2019 er forskellene i de samlede nettoformuer målt ved RMM reduce-
Ulighedsredegørelsen 2021
December 2021
53
FIU, Alm.del - 2021-22 - Bilag 62: Ulighedsredegørelsen 2021, fra finansministeren
2506836_0056.png
Kapitel 3
Fordelingen af danskernes formuer
ret fra godt 2,6 i 2014 til knap 2,3 i 2019. Det kan blandt andet skyldes den fortsatte opbygning af
arbejdsmarkedspensionerne, som i stigende grad omfatter alle grupper på arbejdsmarkedet.
Når der zoomes ind på forskellene mellem personer med de største formuer og resten af befolk-
ningen, er der også tegn på, at formuerne er blevet mere lige fordelt. Eksempelvis er andelen af
den samlede nettoformue blandt personer med de 10 pct. højeste formuer reduceret fra 53,7 pct.
i 2014 til 50,5 pct. i 2019. Det er drevet af relativt større stigninger i de reale aktiver og pensions-
formuerne blandt de øvrige 90 pct. Samtidig er gælden (der reducerer nettoformuen) vokset
mindst blandt de øvrige 90 pct.
Der er også tegn på, at formueforskellene samlet set er faldet fra 1997 til 2019, hvor formuefor-
skellene dog kun kan opgøres med udgangspunkt i nettoformue eksklusive pension mv. Udviklin-
gen bør fortolkes forsigtigt, idet opbygningen af arbejdsmarkedspensioner også påvirker øvrige
aktiver og passiver, og det ikke er muligt at tage højde for dette i perioden før 2014 som følge af
manglende oplysninger.
Opgørelser af formueforskellene i befolkningen som helhed skal generelt fortolkes varsomt og i
lyset af, at opbygningen af nettoformue i høj grad afhænger af alder. Det kan derfor være mere
relevant at betragte de aldersfordelte formueforskelle, som typisk er mindre end formueforskel-
lene for befolkningen under ét. De aldersfordelte formueforskelle udgør omkring 1,5-2 målt ved
RMM blandt personer i aldersgrupperne over 30 år i 2019 mod 2,3 for befolkningen som helhed.
Blandt unge voksne under 30 år er formueforskellene dog markant større og udgør mellem 2,5
og 3,6 målt ved RMM. Formueforskellene blandt unge voksne skal ses i lyset af, at nettoformu-
erne typisk er små, og at små forskelle i kroner medfører store relative forskelle. De lave nettofor-
muer skyldes bl.a., at studerende, der har en forholdsvis begrænset formue, udgør en stor andel
af aldersgruppen.
Der er ikke tegn på, at de relativt store formueforskelle blandt unge voksne er et nyt fænomen,
som kan tolkes som et varsel om stigende formueforskelle for kommende generationer. Formue-
forskellene blandt 25-årige var således knap 4 målt ved RMM i 2014. Disse personer har som
30-årige i 2019 formueforskelle på ca. 2, hvilket også svarer til formueforskellene blandt de 30-
årige i 2014.
Internationale sammenligninger af formuefordelinger skal fortolkes med stor forsigtighed af en
række årsager. Danmark er et af de lande i OECD med de største formueforskelle, hvis der ta-
ges udgangspunkt i fordelingen af nettoformue eksklusive pensionsformue, mens Danmark mod-
sat er placeret i den halvdel med de mindste formueforskelle, hvis der tages udgangspunkt i en
mere fuldstændig opgørelse af nettoformuen inklusive pensionsformue.
3.1 Danskernes personlige formuer
Danmark er kendetegnet ved gode muligheder for at optage lån og spare op. Det kommer både sam-
fundet og den enkelte til gode.
For samfundet bidrager muligheden for at øge det løbende forbrug, fx i studietiden ved hjælp af SU-
lån, til en veluddannet og produktiv arbejdsstyrke. Det veludbyggede arbejdsmarkedspensionssystem
54
Ulighedsredegørelsen 2021
December 2021
FIU, Alm.del - 2021-22 - Bilag 62: Ulighedsredegørelsen 2021, fra finansministeren
2506836_0057.png
Kapitel 3
Fordelingen af danskernes formuer
sikrer en høj indkomst som folkepensionist for langt hovedparten af befolkningen og bidrager således
til at reducere de offentlige udgifter til folkepension, boligydelse mv. Og det særlige danske realkredit-
system gør det muligt for unge familier at få eget tag over hovedet relativt tidligt i livet.
For den enkelte er hovedformålet med at optage gæld eller opbygge formue at udligne forbrugsmulig-
hederne over livet. Mange optager studielån under uddannelse, lån ved bilkøb og realkreditlån i for-
bindelse med køb af fast ejendom. Lån kan også optages med henblik på at øge det løbende forbrug
i en periode med midlertidig lav indkomst, fx i forbindelse med orlov, sabatår, ledighed eller ved syg-
dom. Formue opbygges typisk igennem den erhvervsaktive alder ved anskaffelse af egen bolig, pen-
sionsopsparing og fri opsparing. Og formuen forbruges efter tilbagetrækning fra arbejdsmarkedet. Det
er derfor naturligt, at nogle personer i befolkningen har nettoformue, mens andre har nettogæld.
I Danmark findes der detaljerede registeroplysninger om
aktiver
og
passiver
på individniveau, som
gør det muligt at belyse udviklingen og fordelingen af nettoformuerne i befolkningen fra 1997 til 2019.
Det er imidlertid først fra 2014, at der findes tilgængelige oplysninger om pensionsopsparing. Desu-
den er værdien af biler, indeståender under virksomhedsordningen og andelsboliger indregnet i netto-
formuen fra 2014, mens dette ikke er tilfældet i tilgængelig formuestatistik fra før 2014.
De
reale aktiver
består primært af ejendomme, herunder helårsboliger, hvor ejeren har bopæls-
adresse, fritidsboliger (sommerhuse), andelsboliger og anden fast ejendom, hvor sidstnævnte blandt
andet dækker over forældrekøb, værdien af udlejningsejendomme og sommerhuse til udlejning. De
finansielle aktiver
opdeles som udgangspunkt i pensionsformue, der opgøres efter skat
1
, og (andre)
finansielle aktiver, som består af bankindestående, aktie- og obligationsbeholdning og andele i inve-
steringsfonde. Hertil indregnes ofte også indestående under virksomhedsordningen.
Passiverne
be-
står af prioritetsgæld, herunder især realkreditforeningsgæld, og andre lån, som blandt andet omfatter
forbrugslån, kassekredit og SU-lån.
Selvom Danmark har en veludbygget formuestatistik, findes der ikke tilgængelige oplysninger om alle
formueelementer. Det gælder blandt andet værdien af unoterede aktier, kontantbeholdninger og
indbo. Det er muligt med nogen usikkerhed at skønne over værdien af unoterede aktier til illustrative
formål. Der findes imidlertid ikke tilstrækkelige oplysninger om ejerskab af unoterede virksomheder,
der gør det muligt at lave en fuldstændig opgørelse af værdien og fordelingen af unoterede aktier,
jf.
boks 3.1.
Værdien af unoterede aktier indgår derfor ikke i analysen af udviklingen i formueforskellene.
I opgørelsen af passiver mangler gæld til det offentlige (med undtagelse af SU-lån) samt eventuelle
forbrugslån, der ikke indberettes.
1
I formuestatistikken er der forudsat en efterskatværdi svarende til 60 pct.
Ulighedsredegørelsen 2021
December 2021
55
FIU, Alm.del - 2021-22 - Bilag 62: Ulighedsredegørelsen 2021, fra finansministeren
2506836_0058.png
Kapitel 3
Fordelingen af danskernes formuer
Boks 3.1
Unoterede aktier
Der findes ikke en konsolideret formuestatistik inklusive unoterede aktier. Det er imidlertid muligt at identificere en
stor del af de såkaldte reelle ejere af ikke-børsnoterede selskaber fra og med 2017. Unoterede aktier handles ikke
på et organiseret marked, og det er derfor heller ikke muligt at observere handelspriserne. De unoterede aktier kan i
stedet skønsmæssigt værdiansættes med udgangspunkt i oplysninger om virksomhedernes egenkapital fra Regn-
skabsstatistikken.
En sådan opgørelse er foretaget i
Ulighedsredegørelsen 2020.
Værdien af unoterede aktier skønnes i gennemsnit
at udgøre ca. 6�½ mio. kr. blandt de godt 100.000 personer, der er registreret som ejere af unoterede aktier. Det sva-
rer til ca. 142.000 kr. blandt alle voksne i befolkningen i 2018.
Opgørelsen er dog behæftet med væsentlig usikkerhed, dels fordi det ikke er muligt at identificere alle reelle ejere,
dels fordi metoden til opgørelsen af værdien i sig selv er forbundet med usikkerhed,
jf. også Ulighedsredegørelsen
2020.
Det er ikke muligt at identificere alle ejere, fordi oplysningerne om reelle ejere ikke dækker alle danske virksomhe-
der, herunder virksomheder i brancherne landbrug, fiskeri og finansielle virksomheder, og det derfor ikke er muligt at
knytte reelt ejerskab af alle virksomheder til konkrete personer.
Hertil kommer, at det i opgørelsen ikke umiddelbart er muligt at tage højde for en vis grad af dobbelttælling af vær-
dien af datterselskaber. Der medfører isoleret set en risiko for, at værdien af unoterede aktier overvurderes. Der har
pågået et arbejde med at forfine metoden til fordeling af værdien af unoterede aktier. Det er i den sammenhæng
blevet bekræftet, at der ikke aktuelt findes en metode og et analysegrundlag, der gør det muligt konsistent at korri-
gere fordelingen af unoterede aktier for dobbelttælling.
Nettoformuen opgøres som værdien af de samlede aktiver fratrukket værdien af de samlede passiver,
dvs. gæld. Nettoformuen er den personlige nettoformue, dvs. formuen opgjort på personniveau, hvor-
for formuen ikke er ligeligt fordelt mellem ægtefæller.
I analysen anvendes to definitioner af nettoformuen, alt efter om nettoformuen opgøres for perioden
fra 2014 til 2019 eller fra 1997 til 2019.
Nettoformue
omfatter alle de tilgængelige oplysninger, der indgår i formuestatistikken for perioden fra
2014 til 2019. Nettoformuen er dermed den mest retvisende opgørelse af de samlede nettoformuer.
Nettoformue eksklusive pension mv.
dækker over nettoformuen opgjort eksklusive pension, værdi af
biler, værdi af andelsboliger og indeståender i virksomhedsordninger. I nettoformuen indgår dog fort-
sat gæld knyttet til anskaffelsen af aktiverne, der ikke kan udskilles fra øvrig bankgæld, fx banklån
knyttet til køb af bil og andelsbolig. Denne opgørelse er mulig at foretage for perioden fra 1997 til
2019.
Fra 2014, hvor oplysninger om pension mv. er tilgængelige, er den gennemsnitlige nettoformue (realt)
steget med ca. ¼ mio. kr. fra ca. 1,1 mio. kr. i 2014 til knap 1,4 mio. kr. i 2019,
jf. figur 3.1.
Stigningen
i perioden fra 2014 til 2019 kan henføres til stigninger i pensionsformuerne, i de reale aktiver eksklu-
sive biler og andelsboliger samt stigninger i de finansielle aktiver. Samtidig er husholdningernes gen-
nemsnitlige gæld faldet en smule i perioden.
56
Ulighedsredegørelsen 2021
December 2021
FIU, Alm.del - 2021-22 - Bilag 62: Ulighedsredegørelsen 2021, fra finansministeren
2506836_0059.png
Kapitel 3
Fordelingen af danskernes formuer
Figur 3.1
Gennemsnitlig reale formue og gæld opdelt på formuetype, 1997-2019 (2019-priser)
Mio. kr.
2
Mio. kr.
2
1
1
0
0
-1
97
98
00
01
02
03
04
05
06
07
08
09
Reale aktiver ekskl. biler og andelsboliger
Finansielle aktiver
Virk. opsp.
Biler og andelsboliger
Nettoformue ekskl. pension mv.
Nettoformue
10
11
12
13
14
15
16
Pensionsformuer
Gæld i alt
17
18
19
-1
Anm.: 18+-årige. Personlig nettoformue. Der findes ikke tilgængelig formuestatistik på individniveau om
pensionsformue før 2014, ligesom værdi af biler, andelsboliger og indeståender i virksomhedsordningen ikke er
indregnet i nettoformuen før 2014. Pensionsformuerne er beregningsteknisk nettoficeret med en beskatning på
40 pct. Værdien af formueelementerne er deflateret med udviklingen i forbrugerpriserne. Fra 2014 anvendes
formuestatistikken, mens lovmodellens datagrundlag anvendes for perioden før 2014.
Kilde: Egne beregninger på lovmodellens datagrundlag.
Formuesammensætningen opgjort som formueelementernes andel af den samlede nettoformue har
ændret sig en smule fra 2014 til 2019, idet reale aktiver og pensionsformue udgør en mindre andel af
den samlede nettoformue, mens de finansielle aktivers andel er omtrent uændret. Gælden som andel
af den samlede nettoformue er også faldet, hvilket isoleret set øger nettoformuen.
De reale aktivers (inklusive biler og værdi af andelsboliger) andel af nettoformuen er faldet med ca. 7
pct.-point fra 77 pct. i 2014 til knap 70 pct. i 2019,
jf. figur 3.2.
Gældens andel er faldet med ca. 10
pct.-point fra knap 52 pct. til 42 pct., og pensionsformuen er faldet med knap 3 pct.-point fra ca. 50
pct. til ca. 47 pct.
Ulighedsredegørelsen 2021
December 2021
57
FIU, Alm.del - 2021-22 - Bilag 62: Ulighedsredegørelsen 2021, fra finansministeren
2506836_0060.png
Kapitel 3
Fordelingen af danskernes formuer
Figur 3.2
Formueelementer som andel af nettoformue,
2014 og 2019
Pct.
80
Pct.
80
Figur 3.3
Aktiver som andel af samlede aktiver, 2014 og
2019
Pct.
80
Pct.
80
60
60
60
60
40
40
40
40
20
20
20
20
0
Reale aktiver
Finansielle aktiver Pensionsformue
Gæld i alt
0
0
Reale aktiver
Finansielle aktiver
Pension
0
2014
2019
2014
2019
Anm.: 18+-årige. Personlig nettoformue. Værdi af andelsboliger og biler indgår i reale aktiver og indestående i
virksomhedsordningen er tillagt finansielle aktiver. Nettoformue summerer til 100 pct. ved at summere aktiver
og fratrække gæld.
Kilde: Egne beregninger på lovmodellens datagrundlag.
Faldet i aktivernes andel af nettoformuen skal ses i lyset af, at gælden i kroner er omtrent uændret.
Når gælden ikke vokser med samme stigningstakt som aktiverne, øges nettoformuen samlet set. Det
bidrager isoleret set til en stigning i nettoformuen, der reducerer aktivernes andel. Opgøres formueak-
tiverne som andel af alle aktiver, er de reale aktiver faldet med knap 1,5 pct.-point fra knap 51 pct. i
2014 til ca. 49 pct. i 2019,
jf. figur 3.3.
Modsat er de øvrige aktivers andel steget, herunder især finan-
sielle aktivers andel, svarende til godt 1 pct.-point fra 16 pct. i 2014 til 17 pct. i 2019.
Den gennemsnitlige nettoformue eksklusive pensionsformue mv. er realt steget med ca. 0,4 mio. kr. i
perioden fra 1997 til 2019. Udviklingen i nettoformuen eksklusive pensionsformue mv. fra 1997 til
2014 skal dog fortolkes med forsigtighed. Det skyldes blandt andet, at udbygningen af arbejdsmar-
kedspensionerne, som udgør en forholdsvis stor andel af de samlede formuer, kan have haft betyd-
ning for udviklingen i de øvrige aktiver og passiver. En stigende pensionsformue kan medføre en re-
duktion af andre former for opsparing eller alternativt øge gælden. I den økonomiske litteratur er der
fundet tegn på, at større pensionsopsparing reducerer fri opsparing. Blandt andet finder DØRS, at ob-
ligatoriske arbejdsmarkedspensioner fortrænger mellem 0-30 pct. af fri opsparing afhængig af alders-
gruppe
2
.
Unge voksne under 30 år har typisk relativt små indkomster og små eller negative nettoformuer. Det
kan fx skyldes supplering af indkomsten i form af SU-lån, som muliggør større forbrug under uddan-
nelse. Desuden kan køb af bolig eller bil være forbundet med lån ud over værdien af aktivet, fx som
følge af omkostninger ved handlen.
2
Working Paper 2012: 1: The Crowding-Out Effect of Mandatory Labour Market Pension Schemes on Private Savings: Evidence from
Renters in Denmark,
Arnberg og Barslund, DØRS. Finansministeriet anvender 25 pct. som fortrængningseffekt i forbindelse
med fremskrivninger.
58
Ulighedsredegørelsen 2021
December 2021
FIU, Alm.del - 2021-22 - Bilag 62: Ulighedsredegørelsen 2021, fra finansministeren
2506836_0061.png
Kapitel 3
Fordelingen af danskernes formuer
Nettoformuen øges typisk i hele den erhvervsaktive alder og frem til pensionstidspunktet. Det skal
blandt andet ses i sammenhæng med opbygning af pensionsformue og stigende friværdi for bolig-
ejere som følge af afbetaling af boliglån.
Efter tilbagetrækning fra arbejdsmarkedet reduceres indkomsten, hvilket reducerer opsparingen.
Samtidig påbegyndes udbetalingen af den opsparede pensionsformue. Det medfører et fald i nettofor-
muen.
De reale aktiver er i højere grad end de finansielle aktiver og pensionsformuerne koblet sammen med
gæld, fx realkreditlån til boligkøb eller forbrugslån til køb af bil. Dette ses blandt andet ved, at værdien
af de reale aktiver stiger med alderen frem til midten af 40'erne, hvor gælden også når sit højeste ni-
veau,
jf. figur 3.4.
Det bemærkes, at profilen for nettoformuerne på tværs af forskellige alderstrin i 2019 skal fortolkes
med forsigtighed. Det skyldes, at oplysningerne stammer fra personer fra forskellige generationer,
som i nogen grad kan have forskellig formue over livet. Eksempelvis kan de nuværende erhvervsak-
tive personer forvente en højere pensionsformue end gruppen af aktuelle folkepensionister. Ligesom
lavere pensionsformuer for personer over 65 år ikke kun skyldes, at udbetaling af pension er påbe-
gyndt, men også at de ældste pensionister trak sig tilbage med en mindre pensionsformue.
Figur 3.4
Nettoformue (median) opdelt på alder og
formuetype, 2019
Mio. kr
3,0
2,5
2,0
1,5
1,0
0,5
0,0
-0,5
-1,0
18
25 32 39 46
Reale aktiver
Pensionsformuer
Nettoformue
53
60
67
Alder, år
74 81 88 95
Finansielle aktiver
Gæld i alt
Mio. kr
3,0
2,5
2,0
1,5
1,0
0,5
0,0
-0,5
-1,0
Figur 3.5
Median- og gennemsnitsformue opdelt på
alder, 2019
Mio. kr.
4,0
Mørke og røde vandrette stiplede linjer er 
hhv. gennemsnit og median for alle voksne
Mio. kr.
4,0
3,0
3,0
2,0
2,0
1,0
1,0
0,0
18
25
32
39
46
53
60
67
74
81
88
95
Alder, år
Gennemsnit
0,0
Median
Anm.: 18+-årige. Personlig nettoformue. Medianværdierne for de enkelte formuekomponenter summerer ikke til
medianværdien for nettoformuen, da det ikke er samme person, der udgør medianen i de forskellige opgørelser.
I figur 3.4 indgår indestående i virksomhedsordningen ikke, da medianværdien er 0 kr.
Kilde: Egne beregninger på lovmodellens datagrundlag.
Nettoformuen afhænger i høj grad af alderen. Nettoformuen er lavest og meget beskeden for 18-
årige, men stiger igennem livet efter 25-årsalderen frem mod pensionstidspunktet,
jf. figur 3.5.
Netto-
formuen er dermed størst for 65-årige, hvor medianen udgør 1,8 mio. kr., mens den tilsvarende gen-
nemsnitlige formue er 2,7 mio. kr. For personer i aldersgrupperne efter 65 år, hvor langt hovedparten
har trukket sig tilbage fra arbejdsmarkedet, er nettoformuen faldende. Det skyldes blandt andet ned-
sparing.
Ulighedsredegørelsen 2021
December 2021
59
FIU, Alm.del - 2021-22 - Bilag 62: Ulighedsredegørelsen 2021, fra finansministeren
2506836_0062.png
Kapitel 3
Fordelingen af danskernes formuer
Der er forskel på størrelsen af nettoformuen mellem kønnene, men forskellene er blevet mindre over
tid. Mænd har i gennemsnit en højere nettoformue end kvinder på tværs af alle aldersgrupper,
jf. figur
3.6.
Forskellene er i kroner større for de ældre alderstrin, hvilket kan ses ved, at afstanden mellem
den mørke og den røde linje i figur 3.6 øges i takt med alderen frem til tidspunktet for tilbagetrækning
fra arbejdsmarkedet, dvs. i midten af 60’erne.
Figur 3.6
Gennemsnitsformue opdelt efter alder og køn,
2019
Mio. kr.
4,0
Mio. kr.
4,0
Figur 3.7
Ratio for gennemsnitsnettoformue mellem
kvinder og mænd, 2014 og 2019
Ratio
0,9
0,8
Ratio
0,9
0,8
0,6
0,5
0,3
0,2
0,0
36-45 år
46-55 år
2014
56-65 år
Over 65 år
2019
3,0
3,0
0,6
2,0
2,0
0,5
0,3
1,0
1,0
0,2
0,0
18
25
32
39
46
53
60
67
74
81
88
95
Mænd
Alder, år
Kvinder
0,0
0,0
Anm.: 18+-årige. Personlig nettoformue. Ratio viser den gennemsnitlige nettoformue for kvinder i aldersgruppen i
forhold til mænd i aldersgruppen. En ratio på 1 betyder, at kvinder og mænd har den samme gennemsnitlige
nettoformue. En ratio, der er mindre end 1, betyder, at kvinder har en lavere nettoformue end mænd og
omvendt ved en ratio større end 1.
Kilde: Egne beregninger på lovmodellens datagrundlag.
Den relative forskel i nettoformuen mellem kvinder og mænd er størst for aldersgruppen over 65 år,
jf.
figur 3.7,
hvilket kommer til udtryk ved en lavere ratio. Forskellene i nettoformuen mellem køn er fal-
det fra 2014 til 2019, herunder især for over 65 årige. Det kommer til udtryk ved en stigende ratio for
alle aldersgrupper fra 2014 til 2019.
Faldet i formueforskellene mellem kvinder og mænd kommer også til udtryk ved, at kvinder er rykket
højere op i formuefordelingen opgjort efter formuedeciler. Som andel af den voksne befolkning udgør
kvinder ca. 51 pct. af alle voksne i 2019. Hvis mænd og kvinder er helt ligeligt fordelt i formuefordelin-
gen, vil alle formuedeciler derfor bestå af 51 pct. kvinder og 49 pct. mænd. Kvinder er underrepræ-
senteret i den øvre del af formuefordelingen, svarende til 8.-10. decil,
jf. figur 3.8.
Kvinder er omvendt
overrepræsenteret især i midten af fordelingen. Fra 2014 til 2019 er andelen af kvinder i 10. decil ste-
get med 1 pct.-point, mens andelen af kvinder i 1. decil er faldet med ca. 1 pct.-point. Andelen af kvin-
der i den øvrige del af formuefordelingen er omtrent uændret.
60
Ulighedsredegørelsen 2021
December 2021
FIU, Alm.del - 2021-22 - Bilag 62: Ulighedsredegørelsen 2021, fra finansministeren
2506836_0063.png
Kapitel 3
Fordelingen af danskernes formuer
Figur 3.8
Kvinders placering i fordelingen af
nettoformue, 2014 og 2019
Pct.
70
60
50
40
30
20
10
0
1.
2.
3.
4.
2014
5.
6.
7.
8.
2019
9.
10.
Formuedeciler
Pct.
70
60
50
40
30
20
10
0
Figur 3.9
Kvinders placering i fordelingen af
nettoformue ekskl. pension mv., 1997 og 2019
Pct.
70
60
50
40
30
20
10
0
1.
2.
3.
4.
1997
5.
6.
7.
8.
2019
9.
10.
Formuedeciler
Pct.
70
60
50
40
30
20
10
0
Anm.: 18+-årige. Personlig nettoformue. Andelen af kvinder i procent af den voksne befolkning udgør 51 pct. i 1997,
ca. 50,7 i 2014 og 50,8 i 2019. Ændringen i den samlede andel af kvinder medfører, at ændringer i andele af
kvinder over tid på tværs af deciler ikke summerer til 0. Serien for 2014-2019 er baseret på formuestatistikken,
mens serien for 1997-2019 er baseret på lovmodellens datagrundlag.
Kilde: Egne beregninger på lovmodellens datagrundlag.
Kvinders placering i formuefordelingen er nogenlunde den samme, når nettoformuen opgøres eksklu-
sive pension mv. i 2019,
jf. figur 3.9.
Fra 1997 til 2019 er der dog sket en markant udvikling, idet an-
delen af kvinder er steget i 1.-2. decil og 9.-10. decil, mens andelen af kvinder omvendt er faldet i
midten af fordelingen, svarende til 3.-8. decil.
Den samlede reduktion i forskellene mellem køn kan skyldes, at kvinder i stigende grad har opnået
højere indkomster og dermed bedre muligheder for at spare op.
Det bemærkes, at ovenstående forskelle mellem køn viser forskelle i personlig formue og derfor skal
ses i lyset af, at nogle af formuekomponenterne reelt kan være mere lige fordelt inden for familien og
derfor også mellem køn. Når nettoformuen opgøres som den personlige formue, tages der ikke højde
for, at det registrerede ejerskab kan følge et bestemt mønster. Såfremt ægtefæller ikke har særeje, er
det reelle ejerskab lige, men når formuen opgøres som den personlige formue, indgår værdien af fx
familiens bil kun i nettoformuen hos den registrerede ejer af bilen. Det samme kan gælde andre akti-
ver, fx finansielle aktiver. Aktiver så som ejerbolig, vil typisk være registreret hos begge ægtefæller og
er derfor i udgangspunktet ligeligt fordelt. Andre dele af formuen, herunder typisk pensionsformue, er
imidlertid helt individuelle, hvorfor den samlede formue ikke meningsfuldt kan fordeles ligeligt mellem
ægtefæller/registrerede partnere.
3.2 Formueforskellene i Danmark
Formueforskellene siger noget om fordelingen af nettoformuerne i befolkningen. Nettoformuerne
dækker både over, at nogle har positive nettoformuer og andre har negative nettoformuer. Omkring
hver tiende af de over 17-årige i befolkningen har en negativ nettoformue.
Ulighedsredegørelsen 2021
December 2021
61
FIU, Alm.del - 2021-22 - Bilag 62: Ulighedsredegørelsen 2021, fra finansministeren
2506836_0064.png
Kapitel 3
Fordelingen af danskernes formuer
Når indkomstforskellene for disponible indkomster opgøres, anvendes ofte Gini-koefficienten som ét
summarisk mål. Men dette mål er mindre meningsfuldt ved opgørelser af formueforskelle, da Gini-
koefficienten er følsom over for negative værdier. Det er i praksis ikke en udfordring for indkomstfor-
skellene, idet meget få har en negativ indkomst, mens det gør Gini-koefficienten svært anvendelig for
formueforskelle.
I stedet belyses formueforskellene i det følgende afsnit ved brug af flere forskellige mål. Først opgø-
res formueforskellene ved at se på ejerandelene på tværs af hele formuefordelingen. Herefter fokuse-
res der på udviklingen i ejerandelen blandt de mest formuende. Afslutningsvis opgøres formueforskel-
lene målt ved RMM (Ratio between Mean and Median), og RMM opgøres separat for mænd og kvin-
der og på tværs af aldersgrupper.
Formueforskellene i kapitlet og udviklingen over tid opgøres med udgangspunkt i
nettoformuen
og
nettoformuen eksklusive pension mv.,
jf. også tidligere angivne definitioner.
Det bemærkes, at selvom pension udgør den største andel af de udeladte aktiver i opgørelsen af net-
toformuen eksklusive pension mv. (svarende til 86 pct. af udeladte aktiver), har de øvrige komponen-
ter også betydning for de relative fordelingsmål, der præsenteres i det følgende afsnit. Der henvises
til
bilag 3.1,
hvor betydningen for de relative fordelingsmål af at undlade pensionsformue fremgår
særskilt sammen med andre fordelingsmål, herunder P90/P50 mv. I bilag 3.1 fremgår også udviklin-
gen i formueforskellene, når formueforskellene opgøres med udgangspunkt i en lige fordeling af net-
toformuen blandt voksne i familien for at tage højde for eventuelle mønstre i det registrerede ejerskab
inden for familierne.
Resultaterne i bilag 3.1 bekræfter de overordnede konklusioner, der præsenteres nedenfor.
Formueforskelle på tværs af formuefordelingen
Når ejerandelen opgøres efter formuedeciler, opnås et billede af de samlede formueforskelle på
tværs af formuefordelingen.
I midten af formuefordelingen, svarende til 2.-5. decil og 6.-9.decil, er andelen af den samlede netto-
formue steget med hhv. 1,2 pct.-point og 0,7 pct.-point,
jf. figur 3.10.
Omvendt er ejerandelen i 10. for-
muedecil tilsvarende faldet med 3,2 pct.-point.
62
Ulighedsredegørelsen 2021
December 2021
FIU, Alm.del - 2021-22 - Bilag 62: Ulighedsredegørelsen 2021, fra finansministeren
2506836_0065.png
Kapitel 3
Fordelingen af danskernes formuer
Figur 3.10
Andel af nettoformue opdelt på grupper i
formuefordelingen, 2014-2019
Figur 3.11
Andel af nettoformue ekskl. pension mv.
opdelt på grupper i formuefordelingen,
1997-2019
Pct.
90
75
60
45
30
15
0
-15
-30
Pct.
90
75
60
45
30
15
0
-15
-30
2014
1. decil
2015
2016
2.-5. decil
2017
2018
2019
6.-9. decil
Pct.
90
75
60
45
30
15
0
-15
-30
1997
2000
2003
2006
2009
2012
2015
2018
1. decil
2.-5. decil
6.-9. decil
Pct.
90
75
60
45
30
15
0
-15
-30
10. decil
10. decil
Anm.: 18+-årige. Personlig nettoformue. Personerne er rangeret efter nettoformue. Serien for 2014-2019 er baseret på
formuestatistikken, mens serien for 1997-2019 er baseret på lovmodellens datagrundlag. Udviklingen i negative
andele er vanskelig at fortolke, da det både kan dække over reduktioner i nettogælden i decilet eller en stigning i
nettoformuen for hele befolkningen.
Kilde: Egne beregninger på lovmodellens datagrundlag.
Når nettoformuen opgøres eksklusive pension mv., er ejerandelen faldet i 10. decil fra 1997 til 2019,
mens ejerandelen i 6.-9. decil er omtrent uændret,
jf. figur 3.11.
Formueforskelle målt ved ejerandelen blandt de mest formuende
Når de samlede formueforskelle skal opgøres med ét enkelt mål anvendes ofte andelen af nettofor-
muen, der ejes af de mest formuende personer i samfundet. Hvis andelen af formuen, der tilhører
personer i den øvre del af formuefordelingen i befolkningen, stiger over tid, er det et tegn på, at for-
mueforskellene bliver større. Modsat hvis andelen falder, så er det tegn på, at formueforskellene re-
duceres.
Andelen af den samlede nettoformue, der ejes af de 10 pct. af befolkningen med de største formuer,
er reduceret med knap 3,2 pct.-point fra 53,7 pct. i 2014 til 50,5 pct. i 2019,
jf. figur 3.12.
Tilsvarende
er andelen af den samlede nettoformue, som ejes af top 1 pct. af befolkningen med de største for-
muer, reduceret fra 16,9 pct. i 2014 til 16,2 pct. i 2019. Faldet i andelen af nettoformue, der ejes af de
højeste formuer, er modsvaret af en tilsvarende større andel blandt den øvrige del af befolkningen.
Ulighedsredegørelsen 2021
December 2021
63
FIU, Alm.del - 2021-22 - Bilag 62: Ulighedsredegørelsen 2021, fra finansministeren
2506836_0066.png
Kapitel 3
Fordelingen af danskernes formuer
Figur 3.12
Andel af den samlede formue ejet af top 10 pct. og top 1 pct., 1997-2019
Pct.
100
80
60
40
20
0
97
98
99
00
01
02
03
04
05
06
07
08
09
10
11
12
13
14
15
16
17
18
19
Pct.
100
80
60
40
20
0
Top 10 pct.
Top 1 pct.
Top 10 pct., ekskl. pension mv.
Top 1 pct., ekskl. pension mv.
Anm.: 18+-årige. Personlig nettoformue. Personerne er rangeret efter relevant formuebegreb. Serien for 2014-2019 er
baseret på formuestatistikken, mens serien for 1997-2019 er baseret på lovmodellens datagrundlag.
Kilde: Egne beregninger på lovmodellens datagrundlag.
Ejerandelen blandt de mest formuende er større, når nettoformuen opgøres eksklusive pension mv.,
men ejerandelen er ligeledes faldet over tid. I perioden fra 1997 til 2019 er ejerandelen af nettofor-
muen eksklusive pension mv. samlet set faldet fra 86,5 pct. til 73 pct. blandt top 10 pct. og fra 30,5
pct. til 26,3 pct. blandt top 1 pct. Der er dog forholdsvist store udsving hen over perioden, og ejeran-
delen blandt de mest formuende er lavest i årene 2006-2007.
Af den samlede ejerandel på 50,5 pct. blandt de 10 pct. mest formuende i 2019 kan 32,8 pct.-point
henføres til formue, der er ejet af mænd og 17,8 pct.-point til formue, der er ejet af kvinder,
jf. figur
3.13.
Af den samlede reduktion i ejerandelen på knap 3,2 pct.-point blandt de 10 pct. mest formuende
fra 2014 til 2019 kan godt 2,8 pct.-point henføres til formue ejet af mænd og godt 0,3 pct.-point til for-
mue ejet af kvinder. Det større fald i formueandelen blandt mænd skal også ses i forlængelse af, at
andelen af kvinder i 10. formuedecil er steget fra 2014 til 2019.
64
Ulighedsredegørelsen 2021
December 2021
FIU, Alm.del - 2021-22 - Bilag 62: Ulighedsredegørelsen 2021, fra finansministeren
2506836_0067.png
Kapitel 3
Fordelingen af danskernes formuer
Figur 3.13
Andel af den samlede formue ejet af top 10 pct. opdelt efter køn, 1997-2019
Pct.
100
80
60
40
20
0
97
98
99
00
01
02
03
04
05
06
07
08
09
10
11
12
13
14
15
16
17
18
19
Mænd top 10 pct.
Kvinder top 10 pct.
Mænd top 10 pct., ekskl. pension mv.
Pct.
100
80
60
40
20
0
Kvinder top 10 pct., ekskl. pension mv.
Anm.: 18+-årige. Personlig nettoformue. Formuedeciler er opgjort for alle voksne. Herefter er ejerandelen i 10.
formuedecil opgjort som nettoformuen blandt hhv. mænd og kvinder i 10. formuedecil som andel af den
samlede nettoformue for alle voksne. Serien for 2014-2019 er baseret på formuestatistikken, mens serien for
1997-2019 er baseret på lovmodellens datagrundlag.
Kilde: Egne beregninger på lovmodellens datagrundlag.
Når nettoformuen opgøres eksklusive pension mv. i perioden fra 1997 til 2019, er det samlede fald i
ejerandelen blandt top 10 pct. ca. 13�½ pct.-point. Heraf kan hele faldet henføres til mænd.
Af det samlede fald i ejerandelen med 3,2 pct.-point blandt top 10 pct. kan knap 3 pct.-point henføres
til et fald i reale aktivers andel af nettoformuen,
jf. figur 3.14.
Til sammenligning er reale aktivers andel
faldet med ca. 4 pct.-point for de øvrige 90 pct. Pensionsformuens andel af nettoformuen blandt top
10 pct. er faldet med godt 2 pct.-point, mens faldet blandt de resterende 90 pct. er knap 1 pct.-point.
Omvendt bidrager de finansielle aktivers andel af nettoformuen isoleret set til en stigning med 0,4
pct.-point i ejerandelen hos top 10 pct. mod -0,2 pct.-point for de øvrige 90 pct. Gældens andel er fal-
det med 1�½ pct.-point blandt top 10 pct. mod godt 8�½ pct. for de øvrige 90 pct. af formueejerne.
Gæld udgør dermed en væsentlig mindre andel af nettoformuen for de øvrige 90 pct. end tidligere.
Ulighedsredegørelsen 2021
December 2021
65
FIU, Alm.del - 2021-22 - Bilag 62: Ulighedsredegørelsen 2021, fra finansministeren
2506836_0068.png
Kapitel 3
Fordelingen af danskernes formuer
Figur 3.14
Ændring i andel af samlet nettoformue for top
10 pct. og øvrige 90 pct., 2014-2019
Pct.-point
2
0
-2
-4
-6
-8
-10
-12
Reale aktiver
Finansielle
aktiver
Pensionsformue
Gæld i alt
Figur 3.15
Ændring i andel af samlet nettoformue for top
1 pct. og øvrige 99 pct., 2014-2019
Pct.-point
2
0
-2
-4
-6
-8
-10
-12
Reale aktiver
Finansielle
aktiver
Pensionsformue
Gæld i alt
Pct.-point
2
0
-2
-4
-6
-8
-10
-12
Pct.-point
2
0
-2
-4
-6
-8
-10
-12
Top 10 pct.
Øvrige 90 pct.
Top 1 pct.
Øvrige 99 pct.
Anm.: 18+-årige. Personlig nettoformue. Indestående i virksomhedsordningen er tillagt finansielle aktiver.
Kilde: Egne beregninger på lovmodellens datagrundlag.
Billedet er omtrent det samme, når der fokuseres på top 1 pct. af befolkningen med de største for-
muer, og dette sammenholdes med de øvrige 99 pct. af formueejerne,
jf. figur 3.15.
Den faldende ejerandel blandt de mest formuende er ikke et udtryk for en faldende nettoformue i kro-
ner samlet set i gruppen (herunder fald i kroner i hverken aktiver eller passiver), men derimod at net-
toformuen i den øvrige del af befolkningen er steget relativt mere. Nettoformuen i top 10 pct. er realt
steget med knap 20 pct. fra 2014 til 2019, mens den for de øvrige 90 pct. er steget med godt 36 pct.,
jf. figur 3.16.
De reale aktiver er steget med nogenlunde samme stigningstakt for begge grupper,
mens væksten i de finansielle aktiver er større i top 10 pct. Omvendt er pensionsformuen steget med
mere blandt de øvrige 90 pct. af formueejerne end i top 10 pct. Samtidig er gælden kun steget en
smule blandt de øvrige 90 pct. af formueejerne, mens den er steget med 11 pct. for top 10 pct.
3
3
Når den gennemsnitlige gæld i figur 3.1 er faldet, mens den er steget i figur 3.16 og 3.17, er det udtryk for, at antallet af
personer i alderen over 17 år er steget. Således er den samlede gæld i kroner øget, mens gennemsnittet er faldet.
66
Ulighedsredegørelsen 2021
December 2021
FIU, Alm.del - 2021-22 - Bilag 62: Ulighedsredegørelsen 2021, fra finansministeren
2506836_0069.png
Kapitel 3
Fordelingen af danskernes formuer
Figur 3.16
Realvækst i nettoformue for top 10 pct. og
øvrige 90 pct., 2014-2019
Pct.
40
30
20
10
0
Nettoformue
Pensions-
formue
Reale aktiver
Finansielle
aktiver
Gæld i alt
Figur 3.17
Realvækst i nettoformue for top 1 pct. og
øvrige 99 pct., 2014-2019
Pct.
40
30
20
10
0
Pct.
40
30
20
10
0
Nettoformue
Reale aktiver
Finansielle
aktiver
Pensions-
formue
Gæld i alt
Pct.
40
30
20
10
0
Øvrige 90 pct.
Top 10 pct.
Øvrige 99 pct.
Top 1 pct.
Anm.: 18+-årige. Personlig nettoformue. Indestående i virksomhedsordningen er tillagt finansielle aktiver. Værdien af
formueelementerne er deflateret med udviklingen i forbrugerpriserne.
Kilde: Egne beregninger på lovmodellens datagrundlag.
Nettoformuen i top 1 pct. er steget med 22 pct. mod 29 pct. for de øvrige 99 pct. af formuefordelingen,
jf. figur 3.17.
De 99 pct. af formueejerne har haft større stigninger i reale aktiver og i pensionsformuen
samt en mindre stigning i gælden end top 1 pct. Omvendt er de finansielle aktiver steget mere i top 1
pct.
Den højere samlede realvækst i nettoformuen blandt de øvrige 90 pct. af formueejerne kan henføres
til højere vækstbidrag fra de reale aktiver og pensionsformuen samt et mindre negativt vækstbidrag
som følge af en lavere stigning i gælden. Vækstbidraget fra reale aktiver udgør ca. 9 pct. blandt top
10 pct. mod 15 pct. blandt de øvrige 90 pct.,
jf. figur 3.18.
Samtidig er bidraget fra pensionsformuerne
ca. 5 pct. blandt top 10 pct. mod ca. 16 pct. for de øvrige 90 pct. Det negative vækstbidrag som følge
af øget gæld er godt 2 pct. i top 10 pct. og knap �½ pct. for de øvrige 90 pct. Omvendt er vækstbidra-
get fra de finansielle aktiver ca. 8 pct. i top 10 pct. mod 5 pct. for de øvrige 90 pct. af formueejerne.
Ulighedsredegørelsen 2021
December 2021
67
FIU, Alm.del - 2021-22 - Bilag 62: Ulighedsredegørelsen 2021, fra finansministeren
2506836_0070.png
Kapitel 3
Fordelingen af danskernes formuer
Figur 3.18
Vækstbidrag for top 10 pct. og øvrige 90 pct.,
2014-2019
Figur 3.19
Vækstbidrag for top 1 pct. og top 99 pct.,
2014-2019
Pct.
20
15
10
5
0
-5
Pct.
20
15
10
5
0
-5
Pct.
20
15
10
5
0
-5
Pct.
20
15
10
5
0
-5
Reale aktiver
Finansielle
aktiver
Pensionsformue
Gæld i alt
Reale aktiver
Finansielle
aktiver
Pensionsformue
Gæld i alt
Top 10 pct.
Øvrige 90 pct.
Top 1 pct.
Øvrige 99 pct.
Anm.: 18+-årige. Personlig nettoformue. Indestående i virksomhedsordningen er tillagt finansielle aktiver.
Vækstbidraget er beregnet som ændring i den enkelte formuekomponent sat i forhold til nettoformuen i
udgangspunktet. Dette er gjort separat for henholdsvis gruppen af de mest formuende (top 1 pct. og top 10 pct.)
og for de øvrige (90 pct. og 99 pct.). Værdien af formueelementerne er deflateret med udviklingen i
forbrugerpriserne.
Kilde: Egne beregninger på lovmodellens datagrundlag.
Også faldet i ejerandelene i top 1 pct. kan forklares ved større vækstbidrag blandt de øvrige 99 pct.
fra reale aktiver og pensionsformuer samt en lavere stigning i gælden,
jf. figur 3.19.
Formueforskellene målt ved RMM
Formueforskellene målt ved RMM angiver forholdet mellem gennemsnits- og medianformuerne i be-
folkningen. Hvis RMM er større end én, har mere end 50 pct. af befolkningen en nettoformue under
gennemsnittet, altså er fordelingen "højre-skæv". Det er dog ikke muligt entydigt at fortolke årsagerne
til forskelle i niveauet for RMM. Et givent niveau for RMM over 1 kan både skyldes, at der er relativt
mange formuer, der er lige under medianen, eller at der er formuer, der er relativt meget større end
medianen.
Der er stor forskel i formueforskellene målt ved RMM, alt efter om pensionsformue indgår i nettofor-
muen eller ej. Formueforskellene er væsentlig højere, når formueforskellene opgøres eksklusive pen-
sion mv.,
jf. figur 3.20.
Forskellene i nettoformuerne målt ved RMM er reduceret fra godt 2,6 i 2014 til
ca. 2,3 i 2019.
68
Ulighedsredegørelsen 2021
December 2021
FIU, Alm.del - 2021-22 - Bilag 62: Ulighedsredegørelsen 2021, fra finansministeren
2506836_0071.png
Kapitel 3
Fordelingen af danskernes formuer
Figur 3.20
Formueforskellene målt ved RMM, 1997-2019
RMM
16
14
12
10
8
6
4
2
0
97
98
99
00
01
02
03
04
05
06
07
08
09
10
11
12
13
14
15
16
17
18
19
Nettoformue
Nettoformue ekskl. pension mv.
RMM
16
14
12
10
8
6
4
2
0
Anm.: 18+-årige. Personlig nettoformue. RMM er defineret som gennemsnitsformuen delt med medianformuen.
Serien for 2014-2019 er baseret på formuestatistikken, mens serien for 1997-2019 er baseret på lovmodellens
datagrundlag.
Kilde: Egne beregninger på lovmodellens datagrundlag.
Ser man på perioden fra 1997 til 2019, hvor nettoformuen kun kan opgøres eksklusive pension mv.,
er formueforskellene også samlet set faldet. Formueforskellene målt ved RMM er faldet fra 14,6 i
1997 til 7,6 i 2019. Opgørelsen viser dog både stigninger og fald over perioden, og fraværet af mulig-
hed for at tage højde for pensionsopsparing taler for ikke at fortolke hårdt på udviklingen. Det bemær-
kes, at der fra 2007 til 2014 har været en stigning i formueforskellene målt ved RMM, mens formue-
forskellene for nettoformue eksklusive pension mv. er faldende fra 2014 til 2019, ligesom det er tilfæl-
det, når formueforskellene opgøres på baggrund af nettoformue inklusive pension mv.
Der er ikke væsentlig større formueforskelle blandt mænd end blandt kvinder i 2019 målt ved RMM,
og formueforskellene blandt både mænd og kvinder er – ligesom for befolkningen som helhed – faldet
over tid. Således er formueforskellene opgjort for kvinder faldet fra 2,4 i 2014 til 2,2 i 2019, mens for-
mueforskellene opgjort for mænd er faldet fra 2,6 i 2014 til 2,3 i 2019,
jf. figur 3.21.
Ulighedsredegørelsen 2021
December 2021
69
FIU, Alm.del - 2021-22 - Bilag 62: Ulighedsredegørelsen 2021, fra finansministeren
2506836_0072.png
Kapitel 3
Fordelingen af danskernes formuer
Figur 3.21
Formueforskellene målt ved RMM opdelt på køn, 1997-2019
RMM
16
14
12
10
8
6
4
2
0
97
98
99
Mænd
00
01
02
03
Kvinder
04
05
06
07
08
09
10
11
12
13
14
15
16
17
18
19
Mænd, ekskl. pension mv.
Kvinder, ekskl. pension mv.
RMM
16
14
12
10
8
6
4
2
0
Anm.: 18+-årige. Personlig nettoformue. RMM er opgjort som gennemsnitsformuen delt med medianformuen. Serien
for 2014-2019 er baseret på formuestatistikken, mens serien for 1997-2019 er baseret på lovmodellens
datagrundlag.
Kilde: Egne beregninger på lovmodellens datagrundlag.
På samme vis er formueforskellene målt ved RMM i perioden fra 1997 til 2019 også faldet samlet set
for både mænd og kvinder, når nettoformuerne opgøres eksklusive pension mv. Faldet for mænd sker
dog fra et højere udgangspunkt end kvinder, og der er større udsving over tid i formueforskellene for
mænd end for kvinder. Formueforskellene opgjort for mænd er især små i årene 2005-2009.
De samlede formueforskelle blandt alle voksne skal opgøres og fortolkes med forsigtighed på grund
af den store naturlige sammenhæng mellem formue og alder. Det kan derfor være mere retvisende at
betragte formueforskellene opdelt efter alder. Formueforskellene er typisk lavere opdelt efter alder
end for befolkningen som helhed. Formueforskellene er mellem 1 og 2 målt ved RMM i hovedparten
af aldersgrupperne,
jf. figur 3.22.
70
Ulighedsredegørelsen 2021
December 2021
FIU, Alm.del - 2021-22 - Bilag 62: Ulighedsredegørelsen 2021, fra finansministeren
2506836_0073.png
Kapitel 3
Fordelingen af danskernes formuer
Figur 3.22
Formueforskellene målt ved RMM opdelt på alder, 2019
RMM
4,0
RMM
4,0
3,0
Den vandrette stiplede linje viser formueforskelle for alle voksne
3,0
2,0
2,0
1,0
1,0
0,0
18 20 22 24 26 28 30 32 34 36 38 40 42 44 46 48 50 52 54 56 58 60 62 64 66 68 70 72 74 76 78 80
Alder, år
0,0
Anm.: 18+-årige. Personlig nettoformue. RMM er opgjort som gennemsnitsformuen delt med medianformuen.
Kilde: Egne beregninger på lovmodellens datagrundlag.
Formueforskellene er væsentligt højere blandt unge voksne end blandt de øvrige aldersgrupper. For-
mueforskellene topper for de 23-26-årige, hvor de udgør ca. 3,5 målt ved RMM i 2019.
3.3 Formueforskellene blandt unge voksne
Den gennemsnitlige nettoformue blandt unge i midten af 20’erne svarer til ca. ¼ af den gennemsnit-
lige nettoformue blandt voksne i midten af 30’erne. Samtidig er formueforskellene målt ved RMM
blandt unge voksne i midten af 20’erne markant større end blandt voksne i midten af 30’erne.
En væsentlig forklaring på de større relative formueforskelle målt ved RMM blandt unge voksne er, at
nettoformuerne er meget små, og at små forskelle i kroner har stor betydning, når der ses på relative
formueforskelle.
Den lave nettoformue blandt unge i midten af 20’erne er en naturlig følge af, at der er tale om unge
mennesker, der typisk ikke er begyndt at spare op. Aldersgruppen udgøres i høj grad af studerende,
der i gennemsnit har en begrænset nettoformue. Både gennemsnits- og medianformuen er derfor lav,
men der kan være flere årsager til, at gennemsnitsformuen er større end medianformuen.
Unge i 20’erne, der vælger ikke at tage en uddannelse eller tager en kort uddannelse, vil have mulig-
hed for hurtigere at komme i beskæftigelse – og dermed mulighed for at spare op tidligere end deres
jævnaldrende studerende. Den gennemsnitlige nettoformue blandt fuldt beskæftigede i midten af
20’erne er godt 1�½ gang så stor, som deres jævnaldrende studerende, men gruppen udgør en min-
dre andel af årgangen end studerende. Det påvirker gennemsnittet i positiv retning, men har kun be-
grænset betydning for medianformuen.
Arv og gaver vil ligeledes påvirke formueforskellene blandt unge. Arv og gaver medfører, at relativt få
unge opnår formue tidligere i livet end andre. Arv og gaver vil påvirke gennemsnittet i positiv retning,
men kun i mindre grad påvirke medianen, hvilket ligeledes trækker i retning af større relative forskelle.
Ulighedsredegørelsen 2021
December 2021
71
FIU, Alm.del - 2021-22 - Bilag 62: Ulighedsredegørelsen 2021, fra finansministeren
2506836_0074.png
Kapitel 3
Fordelingen af danskernes formuer
Derudover kan opsparing blandt unge i højere grad være med henblik på forbrug inden for en kort
tidshorisont – fx opsparing til rejser, indskud til lejebolig mv. Unge, der sparer op med henblik på for-
brug året efter, vil i det ene år have relativt stor formue, der dog forbruges året efter. Det påvirker gen-
nemsnittet i positiv retning, men i mindre grad medianformuen,
jf. boks 3.2.
Der er ikke tegn på, at de relativt store formueforskelle blandt unge voksne er et nyt fænomen, som
kan forventes at lede til stigende formueforskelle blandt kommende generationer i alderen over 30 år.
Derimod er der tegn på, at formueforskelle blandt unge udligner sig, i takt med at en større andel af
årgangen kommer på arbejdsmarkedet og opnår en højere indkomst og dermed mulighed for at spare
op.
72
Ulighedsredegørelsen 2021
December 2021
FIU, Alm.del - 2021-22 - Bilag 62: Ulighedsredegørelsen 2021, fra finansministeren
2506836_0075.png
Kapitel 3
Fordelingen af danskernes formuer
Boks 3.2
Formueforskelle og betydning af opsparing og kortvarig gæld med henblik på forbrug inden for en
kort tidshorisont
Formueforskellene målt ved RMM falder for 25-årige, når formueforskellene opgøres med udgangspunkt i et gen-
nemsnit af nettoformuen over tre år, mens det samme ikke er tilfældet for 35-årige eller for alle voksne samlet set,
jf.
figur a.
Serien RMM 3 år er opgjort ved at beregne gennemsnitsformuen for den enkelte fra 2017 til 2019. Herefter er RMM
beregnet som gennemsnitsformue over medianformue med udgangspunkt i det 3-årige gennemsnit af nettoformuen.
Faldet i formueforskellene målt ved RMM blandt 25-årige er drevet af en relativt større stigning i medianformuen end
i den gennemsnitlige formue, når formuen opgøres som et 3-årigt gennemsnit.
Det kan være et tegn på, at en del af de større formueforskelle målt ved RMM blandt unge er drevet af, at nogle
unge opbygger en beskeden nettoformue, der er større end deres jævnaldrende i det pågældende år. Formuen for-
bruges dog allerede inden for en kort tidshorisont, mens andre i årgangen i mellemtid har opbygget en beskeden
formue. Når der ses på et gennemsnit over tre år, øges nettoformuen dermed samlet set for størstedelen af årgan-
gen, hvilket øger medianformuen relativt mere end gennemsnittet – og dermed reduceres formueforskellene.
På samme vis kan kortvarig gældsættelse med henblik på forbrug også påvirke formueforskellene målt ved RMM.
Eksempelvis hvis unge optager forbrugslån, som de betaler tilbage inden for en kort periode. Nogle unge vil have
negativ nettoformue det ene år, men gælden vil være afviklet året efter. Andre har dog i mellemtiden optaget for-
brugslån. Det vil også kunne bidrage til større formueforskelle målt ved RMM.
Figur a
Formueforskelle målt ved RMM for 25-årige og 35-årige i ét år og som gennemsnit over tre år, 2018
RMM
4,0
RMM
4,0
3,0
3,0
2,0
2,0
1,0
1,0
0,0
25-årige
RMM
35-årige
RMM 3 år
Alle voksne
0,0
Anm.: Personlig nettoformue. RMM 3 år er opgjort med udgangspunkt i gennemsnitsformuen på individniveau i
perioden 2017-2019.
Kilde: Egne beregninger på lovmodellens datagrundlag.
Ulighedsredegørelsen 2021
December 2021
73
FIU, Alm.del - 2021-22 - Bilag 62: Ulighedsredegørelsen 2021, fra finansministeren
2506836_0076.png
Kapitel 3
Fordelingen af danskernes formuer
Den gennemsnitlige nettoformue blandt 35-årige er 475.000 kr., mens den for 25-årige er ca. 116.000
kr.,
jf. figur 3.23.
Til sammenligning er medianformuen blandt 35-årige ca. 291.000 kr., mens den for
25-årige er ca. 34.000 kr. Forskellen i kroner mellem gennemsnits- og medianformuen er dermed
større for 35-årige end for 25-årige, svarende til knap 184.000 kr. for 35-årige mod 82.000 kr. for 25-
årige.
De større nettoformuer blandt 35-årige kan henføres til, at alle formueelementer spiller en større rolle.
Det gælder især de reale aktiver, herunder boligformuen, og pensionsformuen, men også gælden er
betydelig større blandt 35-årige. Det skyldes, at 35-årige i højere grad, end 25-årige har købt fast
ejendom. Således konverteres eventuel finansiel formue til boligformue, der også modsvares af finan-
siering af boligen, herunder realkreditlån.
Figur 3.23
Nettoformue opdelt på formueelementer blandt
25-årige og 35-årige, 2019
1.000 kr.
2.000
1.500
1.000
500
0
-500
-1.000
25-årige
Reale aktiver
Gæld i alt
Nettoformue
35-årige
Finansielle aktiver
Pensionsformue
1.000 kr.
2.000
1.500
Figur 3.24
Sammensætning af nettoformue blandt
25-årige og 35-årige, 2019
Pct.
200
Pct.
200
150
1.000
500
0
50
-500
-1.000
0
Reale aktiver
Finansielle
aktiver
25-årige
Pensions-
Gæld i alt
formue
35-årige
100
150
100
50
0
Anm.: Gennemsnitlig personlig nettoformue i aldersgruppen. Indestående i virksomhedsordningen er tillagt finansielle
aktiver. Sammensætningen af nettoformuen viser formueelementets andel af nettoformuen.
Kilde: Egne beregninger på lovmodellens datagrundlag.
Sammensætningen af nettoformuen er dermed også forskellig for hhv. 25-årige og 35-årige. Andelen
af nettoformuen, der består af reale aktiver, herunder boligformue, og pension, er væsentlig mindre
blandt 25-årige,
jf. figur 3.24.
Det ses også ved, at nettoformuen for de unge i langt højere grad består
af finansielle aktiver, herunder indestående i bank.
Den lavere nettoformue blandt 25-årige kan blandt andet henføres til, at studerende, der har en be-
grænset indkomst og formue, udgør den største andel af aldersgruppen,
jf. figur 3.25.
Samtidig er an-
delen af fuldt beskæftigede, der i gennemsnit har en højere indkomst og nettoformue, væsentligt la-
vere blandt 25-årige end 35-årige.
74
Ulighedsredegørelsen 2021
December 2021
FIU, Alm.del - 2021-22 - Bilag 62: Ulighedsredegørelsen 2021, fra finansministeren
2506836_0077.png
Kapitel 3
Fordelingen af danskernes formuer
Figur 3.25
Personer opdelt efter arbejdsmarkedstilknytning, 2019
Pct.
70
60
50
40
30
20
10
0
Fuldt beskæftigede
Selvstændige
Delvist
beskæftigede
Fuldt ledige
Studerende
Øvrige
Pct.
70
60
50
40
30
20
10
0
25-årige
35-årige
Anm.:
Delvist beskæftigede
omfatter deltids- og delårsbeskæftigede.
Kilde: Egne beregninger på lovmodellens datagrundlag.
Den løbende indkomst er i gennemsnit 369.000 kr. blandt 35-årige og 205.000 kr. blandt 25-årige,
jf.
figur 3.26.
Gennemsnitsindkomsten er for begge aldersgrupper højest blandt personer med fuld be-
skæftigelse.
Figur 3.26
Indkomst inklusive pension efter
arbejdsmarkedstilknytning, 2019
1.000 kr.
500
400
300
200
100
0
Mørke og røde stiplede linje er gnst. for 
alle hhv. 25‐årige og 35‐årige
Figur 3.27
Nettoformue efter arbejdsmarkdstilknytning,
2019
1.000 kr.
500
400
300
200
100
0
1.000 kr.
1.000
800
600
400
200
0
1.000 kr.
Mørke og røde stiplede linje er gnst. for alle 
hhv. 25‐årige og 35‐årige
1.000
800
600
400
200
0
Selvstændige
Fuldt
beskæftigede
Delvist
beskæftigede
Studerende
Fuldt ledige
Øvrige
Studerende
Selvstændige
Fuldt
beskæftigede
25-årige
35-årige
25-årige
Delvist
beskæftigede
Fuldt ledige
35-årige
Anm.: Personlig indkomst og nettoformue. Indkomst er opgjort som personlig indkomst tillagt indbetalinger til
pension eksklusive arbejdsmarkedsbidrag.
Delvist beskæftigede
omfatter deltids- og delårsbeskæftigede.
Kilde: Egne beregninger på lovmodellens datagrundlag.
Ulighedsredegørelsen 2021
December 2021
Øvrige
75
FIU, Alm.del - 2021-22 - Bilag 62: Ulighedsredegørelsen 2021, fra finansministeren
2506836_0078.png
Kapitel 3
Fordelingen af danskernes formuer
Der er således tegn på, at de højere indkomster blandt 35-årige omsættes til højere nettoformue,
jf.
figur 3.27.
Inden for de enkelte aldersgrupper er der en positiv sammenhæng mellem løbende ind-
komster og nettoformue. Fuldt beskæftigede har både højere nettoformue og indkomster end øvrige
grupper, når der ses bort fra selvstændige.
Der er tegn på, at de samlede større formueforskelle blandt unge voksne i Danmark er et forbigående
fænomen, der udligner sig i takt med alderen, når en større andel af årgangen kommer i beskæfti-
gelse – og dermed begynder at opbygge formue. Formueforskellene blandt 25-årige var således knap
4 målt ved RMM i 2014. Disse personer har som 30-årige i 2019 formueforskelle på ca. 2, hvilket ca.
svarer til formueforskellene blandt de 30-årige i 2014,
jf. figur 3.28.
Figur 3.28
Formueforskelle (nettoformue) målt ved RMM opdelt på alder, 2014 og 2019
RMM
6
5
4
3
2
1
0
18 20 22 24 26 28 30 32 34 36 38 40 42 44 46 48 50 52 54 56 58 60 62 64 66 68 70 72 74 76 78 80
2014
Alder, år
2019
RMM
6
5
4
3
2
1
0
Anm.: 18+-årige. Personlig nettoformue. Gennemsnitlig nettoformue delt med medianformuen i aldersgruppen.
Kilde: Egne beregninger på lovmodellens datagrundlag.
3.4 Internationale sammenligninger
Det kan i mange sammenhænge være relevant at sammenligne forholdene i Danmark med forhol-
dene i andre lande. OECD’s formuedatabase skønnes at udgøre et af de bedste sammenlignings-
grundlag på tværs af lande og anvendes ofte ved sammenligninger af formuefordelingen på tværs af
lande. Landesammenligninger er dog typisk behæftet med nogen usikkerhed og bør som hovedregel
fortolkes med forsigtighed. Det gælder også, når befolkningernes formueforhold sammenlignes på
tværs af lande.
Ved internationale sammenligninger af formuer kan flere faktorer have betydning for resultater og
konklusioner. Usikkerheden ved sammenligninger af formueforholdene på tværs af lande knytter sig
blandt andet til forskelle i kvaliteten af datagrundlaget og fortolkningen af betydningen af forskellige
samfundssystemer.
Der er betydelig forskel på kvaliteten og dækningen af oplysningerne om formue og gæld på tværs af
de 29 OECD-lande, som indgår i OECD’s formuefordelingsdatabase. Danmark er kendetegnet ved at
76
Ulighedsredegørelsen 2021
December 2021
FIU, Alm.del - 2021-22 - Bilag 62: Ulighedsredegørelsen 2021, fra finansministeren
2506836_0079.png
Kapitel 3
Fordelingen af danskernes formuer
have et godt og dækkende grundlag for formueoplysninger baseret på administrative oplysninger fra
skatteregistre mv. for hele befolkningen. Det gør sig særligt gældende fra 2014 til 2019, hvor der fin-
des oplysninger om pensionsformuer, og hvor værdien af biler, andelsboliger og indeståender under
virksomhedsordning er indregnet i den tilgængelige formuestatistik. For Norge og Holland er opgørel-
serne tilsvarende baseret på administrative oplysninger, idet der dog ikke er tilgængelige oplysninger
om pensionsformuer for disse lande.
For godt
af landene er opgørelserne derimod baseret på oplysninger indhentet ved interviewunder-
søgelser, som er mere usikre som følge af begrænsede stikprøver og risiko for fejlrapportering. Op-
gørelserne for de resterende knap
af landene er baseret på beregninger med udgangspunkt i data-
grundlag stillet til rådighed af den Europæiske Centralbank (ECB), som er følsomme over for de kon-
krete beregningstekniske antagelser.
OECD finder, at der er markante forskelle på den gennemsnitlige nettoformue eksklusive arbejdsmar-
kedsadministrerede pensionsformuer på tværs af OECD-landene. En del af de målte niveauforskelle i
husholdningernes formuer kan skyldes upræcise opgørelser som følge af lav datakvalitet for nogle
lande. De gennemsnitlige nettoformuer i Danmark, Norge og Holland er omtrent sammenlignelige,
mens eksempelvis de gennemsnitlige nettoformuer i Australien og USA er godt dobbelt så store,
jf.
figur 3.29.
Figur 3.29
Nettoformuer for udvalgte OECD-lande
Mio. USD
1,0
0,8
0,6
0,4
0,2
0,0
PRT
AUT
POL
KOR
FIN
IRL
GRC
NOR
GBR
LTU
JPN
HUN
DEU
CAN
SVN
NLD
ITA
SVK
ESP
LVA
AUS
USA
FRA
DNK
EST
CHL
LUX
BEL
NZL
Mio. USD
1,0
0,8
0,6
0,4
0,2
0,0
Nettoformue ekskl. pension
Pensionsformuer
Anm.: Formue for husstanden. Alle lande i OECD’s formuefordelingsdatabase. 2015 eller seneste tilgængelige år.
Opgjort i amerikanske dollar i 2011-niveau. OECD’s opgørelse afviger fra den gennemsnitlige nettoformue i den
øvrige del af kapitlet, der er opgjort på personniveau.
Kilde: OECD. Opdateret grundlag for
Inequalities in household wealth across OECD countries: Evidence from the OECD Wealth
Distribution Database,
2018, OECD.
Det kan også have væsentlig betydning for sammenligneligheden, om opgørelserne omfatter alle re-
levante formuekomponenter. Eksempelvis findes der ikke for alle lande tilgængelige oplysninger om
arbejdsmarkedsadministrerede pensionsformuer, der udgør en relativt stor andel af den samlede net-
toformue i Danmark. Hvis pensionsformuen udelades af opgørelsen, så er den gennemsnitlige netto-
Ulighedsredegørelsen 2021
December 2021
77
FIU, Alm.del - 2021-22 - Bilag 62: Ulighedsredegørelsen 2021, fra finansministeren
2506836_0080.png
Kapitel 3
Fordelingen af danskernes formuer
formue i Danmark blandt de fem laveste i OECD-landene. For at sikre sammenlignelighed i opgørel-
serne på tværs af landene tager OECD som hovedregel udgangspunkt i husstandenes nettoformue
eksklusive arbejdsgiveradministrerede pensionsformuer.
Danskerne har en relativt høj gæld sammenlignet med befolkningerne i de øvrige OECD-lande, hvil-
ket blandt andet kan hænge sammen med bedre rapportering. Det omfatter især gæld i forbindelse
med anskaffelse af egen bolig, som er understøttet af realkreditsystemet, der understøtter mulighe-
den for at købe egen bolig og dermed undgå at skulle betale leje for et bredt udsnit af befolkningen.
Samtidig understøtter muligheden for at optage SU-lån gode muligheder for at tage en uddannelse,
der giver gode muligheder for at få fodfæste på arbejdsmarkedet. Mulighed for at låne penge kan
også give hurtig adgang til at erhverve varige goder, eksempelvis en bil eller låne penge til uforudsete
udgifter. Modsat kan (for) stor gæld øge risikoen for ikke at kunne vedligeholde gælden i nedgangsti-
der.
OECD skønner, at forskellene i nettoformuerne eksklusive arbejdsmarkedsadministreret pensionsop-
sparing målt ved den andel, som er ejet af top 10 pct., er relativt høj i Danmark. Det kan blandt andet
skyldes, at pensionsformuerne, der i Danmark er mere ligeligt fordelt i befolkningen end den øvrige
del af formuerne, ikke indgår i opgørelsen. I Danmark ejer top 10 pct. ca. 62 pct. af den samlede net-
toformue eksklusive arbejdsadministreret pensionsformue, svarende til den tredjestørste andel blandt
OECD-landene,
jf. figur 3.30.
Figur 3.30
Nettoformue eksklusive pensionsopsparing ejet af top 10 pct. for udvalgte OECD-lande
Andel, pct.
100
Andel, pct.
100
80
80
60
60
40
40
20
20
0
GRC ITA
FIN BEL LTU AUS FRA LUX IRL CAN GBR LVA ESP NZL NOR PRT DEU AUT EST DNK NLD USA
0
Anm.: I figuren indgår lande, der fremgår af OECD’s formuefordelingsdatabase med oplysninger om formue i top 10
pct. Andel af den samlede nettoformue ejet af de 10 pct. af husstandene med størst formue. Husstandene er
rangeret efter nettoformue ekskl. arbejdsmarkedsadministreret pensionsformue. Nettoformue ekskl.
arbejdsmarkedsadministreret pensionsformue er fra 2015 eller seneste tilgængelige år. OECD’s opgørelse af
ejerandelen afviger fra opgørelsen i den øvrige del af kapitlet, hvor udgangspunktet er den personlige
nettoformue blandt voksne.
Kilde: OECD. Opdateret grundlag for
Inequalities in household wealth across OECD countries: Evidence from the OECD Wealth
Distribution Database,
2018, OECD.
78
Ulighedsredegørelsen 2021
December 2021
FIU, Alm.del - 2021-22 - Bilag 62: Ulighedsredegørelsen 2021, fra finansministeren
2506836_0081.png
Kapitel 3
Fordelingen af danskernes formuer
For Danmark findes oplysninger om alle typer af pensionsformuer, hvilket ikke er tilfældet for alle
OECD-landene (New Zealand, Norge og Holland udgår). OECD finder, at formueforskellene i Dan-
mark er relativt små i en international sammenhæng, når pensionsformuerne inddrages i opgørelsen.
Når pensionsopsparing inddrages i opgørelsen af nettoformuen, reduceres andelen af nettoformuen,
som er ejet af top 10 pct., til ca. 46 pct., svarende til en placering i den nederste halvdel blandt
OECD-landene,
jf. figur 3.31.
Figur 3.31
Nettoformue inklusive pensionsopsparing ejet af top 10 pct. for udvalgte OECD-lande
Andel, pct.
100
Andel, pct.
100
80
80
60
60
40
40
20
20
0
GRC
ITA
CAN GBR
BEL
AUS DNK
FIN
LTU
IRL
FRA
LUX
LVA
ESP
PRT
DEU
AUT
EST
USA
0
Anm.: I figuren indgår lande, der fremgår af OECD’s formuefordelingsdatabase med oplysninger om formue i top 10
pct. Andel af den samlede nettoformue ejet af de 10 pct. af husstandene med størst formue. Husstandene er
rangeret efter nettoformue inkl. arbejdsmarkedsadministreret pensionsformue. Nettoformue inkl.
arbejdsmarkedsadministreret pensionsformue er fra 2015 eller seneste tilgængelige år. OECD’s opgørelse af
ejerandelen afviger fra opgørelsen i den øvrige del af kapitlet, hvor udgangspunktet er den personlige
nettoformue blandt voksne.
Kilde: OECD. Opdateret grundlag for
Inequalities in household wealth across OECD countries: Evidence from the OECD Wealth
Distribution Database,
2018, OECD.
Der findes således ikke aktuelt et fuldt sammenligneligt grundlag, der gør det muligt entydigt at vur-
dere forskellene på fordelingen af nettoformuerne på tværs af OECD-landene. Og selv om der gjorde,
så bør man udvise forsigtighed ved fortolkningen af resultaterne, da samfundssystemet i det enkelte
land kan have betydning for de målte formueforskelle.
Der er således risiko for at fejlfortolke formueforskellene på tværs af lande, hvis der ukritisk tages ud-
gangspunkt i internationale sammenligninger. For Danmark og andre sammenlignelige lande kan et
fintmasket socialt sikkerhedsnet og en veludbygget offentlig sektor isoleret set bidrage til at reducere
behovet for at spare op. I Danmark sikrer det sociale sikkerhedsnet alle danskere et forsørgelses-
grundlag i forbindelse med midlertidigt bortfald af indkomst, fx i forbindelse med ledighed, sygdom el-
ler skilsmisse. Samtidig reducerer folkepensionen isoleret set behovet for privat pensionsopsparing.
Hertil kommer, at fri adgang til uddannelse og sundhed for alle betyder, at der ikke er behov for sær-
skilt opsparing til finansiering af uddannelsesaktiviteter for sig selv eller sine børn, ligesom behovet
for opsparing til at afholde uforudsete sundhedsudgifter er begrænset.
Ulighedsredegørelsen 2021
December 2021
79
FIU, Alm.del - 2021-22 - Bilag 62: Ulighedsredegørelsen 2021, fra finansministeren
2506836_0082.png
Bilag 3.1
Flere opgørelser af formueforskellene
80
Ulighedsredegørelsen 2021
December 2021
FIU, Alm.del - 2021-22 - Bilag 62: Ulighedsredegørelsen 2021, fra finansministeren
2506836_0083.png
Bilag 3.1 Flere opgørelser af
formueforskellene
De relative formueforskelle, der er præsenteret i kapitlet, er opgjort med udgangspunkt i
nettofor-
muen,
der indeholder samtlige tilgængelige oplysninger fra formuestatistikken og
nettoformuen eks-
klusive pension mv.,
der er opgjort som nettoformuen eksklusive pensionsformue, værdi af biler,
værdi af andelsboliger og indestående i virksomhedsordningen.
Førstnævnte kan opgøres for perioden fra 2014 til 2019 og sidstnævnte for perioden fra 1997 til 2019.
I det følgende præsenteres en række yderligere mål for formueforskellene, og der fokuseres særskilt
på betydningen af pensionsformue i perioden fra 2014 til 2019.
Formueforskellene målt ved RMM opgjort for nettoformue eksklusive pension er 4,9 mod 7,6, når
RMM opgøres med udgangspunkt i nettoformuen eksklusive pension mv., der indgår i kapitlet,
jf. ta-
bel B.1.
Formueforskellene for nettoformue eksklusive helårsbolig netto for realkreditlån er 2,3. For-
mueforskellene er 2,2, når nettoformuen opgøres eksklusive noterede aktier.
Ejerandelen blandt top 10 pct. er 66,7 pct., når andelen opgøres eksklusive pension og 72,4 pct., når
andelen opgøres eksklusive pension mv. Dvs. formueforskellene er større, når også værdi af biler,
værdi af andelsboliger og indestående i virksomhedsordning undlades, end når der blot ses bort fra
pensionsformue.
Ulighedsredegørelsen 2021
December 2021
81
FIU, Alm.del - 2021-22 - Bilag 62: Ulighedsredegørelsen 2021, fra finansministeren
2506836_0084.png
Bilag 3.1
Flere opgørelser af formueforskellene
Tabel B.1
Forskellige mål for formueforskellene opdelt på formuebegreber, 2019
Nettoformue
Ratio
RMM
P99/P50
P90/P50
P75/P50
P70/P30
2,3
16,8
5,7
2,8
9,4
7,6
85,1
22,2
8,4
312,2
4,9
50,6
13,3
5,6
51,9
2,3
18,3
5,7
2,7
8,8
2,2
16,0
5,6
2,8
9,5
Ekskl.
pension mv.
1)
Ekskl.
pension
Ekskl.
helårsbolig
Ekskl.
not. aktier
Nettoformue
Andel af samlet nettoformue
Top 1 pct.
Top 5 pct.
Top 10 pct.
16,2
35,6
50,5
Ekskl.
pension mv.
Ekskl.
pension
Pct.
Ekskl.
helårsbolig
Ekskl.
not. aktier
27,2
54,1
72,4
25,6
49,9
66,7
19,2
39,1
53,9
13,9
33,5
48,8
Anm.: 18+-årige. Personlig nettoformue. Opgørelsen af nettoformuen ekskl. helårsbolig svarer til nettoformeun
fratrukket værdi af helårsbolig og realkreditlån, der kan henføres til helårsboliger.
1)
Svarende til nettoformue eksklusive pension mv., der er anvendt i kapitlet. Serien i kapitlet er baseret på
lovmodellens datagrundlag, der dækker perioden 1997-2019. Opgørelsen i tabellen er baseret på
formuestastikken, der dækker perioden 2014-2019. Der er små forskelle i de to datagrundlag, hvorfor der kan
være mindre afvigelser fra tal i kapitlet for opgørelsen af nettoformue eksklusive pension mv.
Kilde: Egne beregninger på lovmodellens datagrundlag.
Formueforskellene målt ved RMM er faldet fra 2014 til 2019, uanset om RMM opgøres med udgangs-
punkt i nettoformuen, nettoformuen eksklusive pension eller nettoformuen eksklusive pension mv.,
jf.
figur B.1.
82
Ulighedsredegørelsen 2021
December 2021
FIU, Alm.del - 2021-22 - Bilag 62: Ulighedsredegørelsen 2021, fra finansministeren
2506836_0085.png
Bilag 3.1
Flere opgørelser af formueforskellene
Figur B.1
Formueforskellene opgjort med forskellige formueopgørelser målt ved RMM, 2014-2019
RMM
14
12
10
8
6
4
2
0
2014
2015
Nettoformue
2016
2017
Ekskl. pension mv.
2018
Ekskl. pension
2019
RMM
14
12
10
8
6
4
2
0
Anm.: 18+-årige. Personlig nettoformue.
Nettoformuen eksklusive pension mv.
er nettoformuen eksklusive pensionsformue,
værdi af biler, værdi af andelsboliger og indestående i virksomhedsordning, der er anvendt i kapitlet. Serien i
kapitlet er baseret på lovmodellens datagrundlag, der dækker perioden 1997-2019. Opgørelsen her er baseret på
formuestatistiken, der dækker perioden 2014-2019. Der er små forskelle i de to datagrundlag, hvorfor der kan
være mindre afvigelser fra tal i kapitlet for nettoformue eksklusive pension mv.
Kilde: Egne beregninger på lovmodellens datagrundlag.
Ligeledes er ejerandelen blandt de mest formuende faldet fra 2014 til 2019 med alle tre opgørelser af
nettoformuen,
jf. figur B.2
og
figur B.3.
Ulighedsredegørelsen 2021
December 2021
83
FIU, Alm.del - 2021-22 - Bilag 62: Ulighedsredegørelsen 2021, fra finansministeren
2506836_0086.png
Bilag 3.1
Flere opgørelser af formueforskellene
Figur B.2
Andel af den samlede formue ejet af top 10 pct,
2014-2019
Figur B.3
Andel af den samlede formue ejet af top 1 pct,
2014-2019
Pct.
100
80
60
40
20
0
2014
2015
2016
2017
2018
2019
Nettoformue
Ekskl. pension mv.
Pct.
100
80
60
40
20
0
Ekskl. pension
Pct.
100
80
60
40
20
0
2014
2015
2016
2017
2018
2019
Nettoformue
Ekskl. pension mv.
Pct.
100
80
60
40
20
0
Ekskl. pension
Anm.: 18+-årige. Personlig nettoformue.
Nettoformuen eksklusive pension mv.
er nettoformuen eksklusive pensionsformue,
værdi af biler, værdi af andelsboliger og indestående i virksomhedsordning, der er anvendt i kapitlet. Serien i
kapitlet er baseret på lovmodellens datagrundlag, der dækker perioden 1997-2019. Opgørelsen her er baseret på
formuestatistiken, der dækker perioden 2014-2019. Der er små forskelle i de to datagrundlag, hvorfor der kan
være mindre afvigelser fra tal i kapitlet for nettoformue eksklusive pension mv.
Kilde: Egne beregninger på lovmodellens datagrundlag.
Når der ses på udviklingen i øvrige relative mål for formueforskellene, er der også tegn på faldende
formueforskelle i perioden fra 2014 til 2019,
jf. figur B.4.
Figur B.4
Udviklingen i flere relative fordelingsmål, nettoformue
Ratio
25
20
15
10
5
0
2014
P99/P50
2015
2016
P90/P50
2017
P75/P50
2018
2019
P70/P30
Ratio
25
20
15
10
5
0
Anm.: 18+-årige. Personlig nettoformue.
Kilde: Egne beregninger på lovmodellens datagrundlag.
84
Ulighedsredegørelsen 2021
December 2021
FIU, Alm.del - 2021-22 - Bilag 62: Ulighedsredegørelsen 2021, fra finansministeren
2506836_0087.png
Bilag 3.1
Flere opgørelser af formueforskellene
Udviklingen i formueforskellene målt ved RMM og ejerandele blandt de mest formuende tager ud-
gangspunkt i den personlige nettoformue. Det skal ses i lyset af, at nogle af formuekomponenterne
ikke kan deles mellem personer i familien, fx pensionsformuerne. Omvendt kan der være et vist møn-
ster i, hvilken af ægtefælle/partner, der er registreret som ejer af aktiverne, og hvem der er debitor.
Derfor kan det være relevant at se, om konklusionerne om lavere formueforskelle målt ved RMM og
faldende ejerandele blandt de mest formuende også gælder, når formuen er fordelt ligeligt blandt
voksne i familien.
Opgøres formueforskellene med lige fordelt nettoformue blandt voksne i familien, falder RMM forsat i
perioden fra 2014 til 2019,
jf. figur B.5.
Figur B.5
RMM – lige fordeling af nettoformue på voksne
i familien, 2014-2019
RMM
2,5
2,0
1,5
1,0
0,5
0,0
2014
2015
2016
2017
RMM
2018
2019
RMM
2,5
2,0
1,5
Figur B.6
Ejerandele – lige fordeling af nettoformue på
voksne i familien, 2014-2019
Pct.
60
50
40
30
Pct.
60
50
40
30
20
10
0
2014
2015
2016
2017
2018
Top 1 pct
2019
Top 10 pct.
1,0
20
0,5
0,0
10
0
Anm.: 18+-årige. Nettoformuen for voksne er fordelt ligeligt på alle voksne i familien med undtagelse af børn over 17
år i familien, der er opgjort særskilt.
Kilde: Egne beregninger på lovmodellens datagrundlag.
Også ejerandelen blandt de mest formuende er fortsat faldende, når denne opgøres med udgangs-
punkt i en lige fordeling af nettoformuen blandt voksne i familien,
jf. figur B.6.
Konklusionerne om faldende formueforskelle fra 2014 til 2019, er således ikke følsomme over for, om
der anvendes personlig nettoformue, eller om nettoformuen fordeles ligeligt på voksne i familien.
Ulighedsredegørelsen 2021
December 2021
85
FIU, Alm.del - 2021-22 - Bilag 62: Ulighedsredegørelsen 2021, fra finansministeren
2506836_0088.png
Kapitel 4
Betydning af økonomisk arv
86
Ulighedsredegørelsen 2021
December 2021
FIU, Alm.del - 2021-22 - Bilag 62: Ulighedsredegørelsen 2021, fra finansministeren
2506836_0089.png
4. Betydning af økonomisk arv
Analyser af social mobilitet mellem generationer fokuserer ofte på sammenhængen mellem børns og
forældres indkomst eller uddannelse, dvs. såkaldt social arv. Til trods for at Danmark er kendetegnet
ved en høj grad af økonomisk lighed og formelt lige adgang til blandt andet uddannelse, er der fortsat
tegn på en vis sammenhæng på tværs af generationer, herunder mellem uddannelses- og indkomst-
niveau.
Social arv kan skyldes en række indirekte mekanismer, der indebærer, at børn arver forældrenes pla-
cering i indkomstfordelingen og resultater i uddannelsessystemet, herunder betydningen af forældres
uddannelsesmæssige ressourcer, tilknytning til arbejdsmarkedet og en stabil opvækst. Ved overførsel
af økonomisk arv og gaver fra forældrene til deres børn forekommer derimod en direkte overførsel af
formue fra forældre til børn.
Personer kan efterlade arv til deres børn og eventuelt andre familiemedlemmer eller særligt begunsti-
gede af forskellige årsager. Det kan være, at midlerne bliver efterladt med fuldt overlæg for at hjælpe
eller glæde arvingerne, dvs. at noget af formuen er opsparet med et såkaldt arvemotiv. I andre til-
fælde kan der være tale om midler, som man ikke har ønsket at forbruge, eksempelvis opsparing til
uforudsete udgifter mv. Arv kan også i nogle tilfælde skyldes, at personen døde tidligere end forventet
og derfor ikke har nået at forbruge hele formuen.
Som nævnt kan forældre videregive økonomiske midler til deres børn gennem pengegaver og arv.
Dette kapitel ser særskilt på størrelsen af arven, som efterlades fra forældre til deres børn. Der ses
nærmere på, hvilken betydning arven har for den enkelte arvings formue og for fordelingen af formu-
erne for befolkningen som helhed, i året som arven kan henføres til. Analysen giver dermed ikke et
fuldstændigt billede af betydningen af formueoverførsler mellem forældre og børn.
Der findes ikke digitalt registrerede oplysninger på individniveau om boer og arvinger i Danmark, der
gør det muligt fuldt ud at belyse betydningen eller fordelingen af arv. Til brug for analyserne i dette
kapitel videreudvikles en metode til at opgøre arv, som blandt andet er præsenteret i rapporten,
Dansk Økonomi, forår 2004
fra De Økonomiske Råd. Metoden tager udgangspunkt i detaljerede op-
lysninger om afdødes formuer året umiddelbart inden, at døden indtræffer, afdødes skatteoplysninger
samt oplysninger om potentielle arvinger, dvs. ægtefælle og børn (herunder voksne børn).
Med metoden kan der skønnes over størrelsen på og fordelingen af den direkte arv mellem forældre
og deres børn, men opgørelserne er behæftet med nogen usikkerhed. Det er fx ikke muligt at skønne
over arv til andre familiemedlemmer, venner, organisationer mv. Ligesom værdien af unoterede ak-
tier, indbo og kontanter ikke indgår i analysegrundlaget, og det ikke er muligt at tage højde for formue,
der videregives til fonde, herunder fonde der har til formål at begunstige familiemedlemmer.
Ulighedsredegørelsen 2021
December 2021
87
FIU, Alm.del - 2021-22 - Bilag 62: Ulighedsredegørelsen 2021, fra finansministeren
2506836_0090.png
Kapitel 4
Betydning af økonomisk arv
Hovedbudskaberne i kapitlet er:
Den samlede arv, der videregives til afdødes børn og ægtefælle mv., skønnes at udgøre godt 43
mia. kr. efter boafgift i 2019. Heraf arver børn af afdøde cirka 45 pct.
Den samlede arv er relativt begrænset i forhold til de samlede formuebevægelser i befolkningen i
et enkelt år. Eksempelvis er de årlige stigninger i de samlede pensionsformuer i gennemsnit om-
trent 3 gange større end arv i årene 2015-2019, mens værdistigninger på reale aktiver, herunder
især boliger, er 3�½ gange større end arv i samme år.
Arv kan have væsentlig betydning for den økonomiske situation for nogle arvinger. Børn af af-
døde, der arver, skønnes i gennemsnit at modtage ca. 0,6 mio. kr. Det skønnes, at ca. 5.000 af
de godt 32.000 børn modtager en millionarv i 2019. Disse personer er typisk placeret i den øvre
del af formuefordelingen i befolkningen, når de modtager arven.
Arven i kroner er størst for arvinger, som har relativt store nettoformuer i forvejen. Arven udgør
imidlertid den største andel af nettoformuen for personer, som har en relativt lav nettoformue i ud-
gangspunktet. Det skal ses i lyset af, at nettoformuen blandt dem med de laveste nettoformuer er
meget beskeden.
Børn af afdøde arver typisk i den periode af livet, hvor formuerne er størst. Det er én af forklarin-
gerne på, at den største andel af den samlede arv modtages af personer med relativt store for-
muer. Det er også personer med relativt store nettoformuer, der arver de største beløb, når der
zoomes ind på 50-59-årige børn af afdøde. Den relativt større betydning af arv (målt som andel af
nettoformuen) i den nederste del af formuefordelingen er mindre tydelig, når der ses på 50-59-
årige end for befolkningen som helhed. Det skal ses i lyset af, at en stor andel af 50-59-årige har
nettoformue af et vist omfang.
Opgørelserne peger på, at arv har en omtrent neutral virkning på formueforskellene i 2019. Det
gælder både, når der fokuseres på aldersgruppen 50-59-årige og på befolkningen som helhed.
Det skal ses i lyset af, at arvens størrelse i kroner typisk er forholdsvis beskeden sammenholdt
med nettoformuen. Der er selvfølgelig personer og familier, hvor arv spiller en stor rolle, idet der
videregives meget store beløb.
4.1 Afdødes familierelationer og formuer
Der findes ikke digitalt registrerede oplysninger om boer og arvinger i Danmark. Det betyder, at der
ikke er oplysninger om, hvem der arver, og hvor stor arven er.
Med udgangspunkt i oplysninger om afdødes familieforhold, typen af bobehandling og nettoformue er
det imidlertid muligt at skønne over, hvilke personer der i et givent år arver og hvor meget. Det gør
det blandt andet muligt at belyse, hvordan arv påvirker personer forskellige steder i formuefordelin-
gen.
I analysen defineres boet på baggrund af afdødes positive nettoformue eksklusive livrenter, ATP og
tjenestemandspensioner. Boets størrelse opgøres på baggrund af nettoformuen, året inden, personen
88
Ulighedsredegørelsen 2021
December 2021
FIU, Alm.del - 2021-22 - Bilag 62: Ulighedsredegørelsen 2021, fra finansministeren
2506836_0091.png
Kapitel 4
Betydning af økonomisk arv
dør. Analysen tager udgangspunkt i personer, der dør i 2019, og deres nettoformue eksklusive oven-
nævnte pensionsordninger ultimo 2018.
Oplysningerne om afdødes nettoformuer stammer dermed fra op til 12 måneder før dødstidspunktet.
Boets størrelse kan være
undervurderet,
hvis afdødes nettoformue er vokset frem mod dødstidspunk-
tet som følge af opsparing, afbetaling af gæld eller værdistigninger på aktiver, fx bolig eller værdipapi-
rer. Modsat kan boets størrelse være
overvurderet,
hvis nettoformuen er blevet mindre som følge af
forbrug af formue, optagelse af gæld eller værditab på aktiver. Derudover er der udgifter forbundet
med at opgøre et bo, som typisk betales af boet, fx advokatsalær. Endelig kan værdiansættelsen i for-
muestatistikken afvige fra værdiansættelsen på realisationstidspunktet.
Det er endvidere lagt til grund for opgørelsen, at hele arven fordeles mellem eventuelle børn og ægte-
fælle/registreret partner. I praksis kan der være andre arvinger i form af anden familie, venner, almen-
nyttige foreninger og fonde mv. Det kan være med til at overvurdere boet til afdødes børn og partner.
Det skal understreges, at opgørelsen af boets størrelse og identifikationen af de berørte arvinger af-
spejler et skøn, der er baseret på en række forudsætninger. Resultaterne er derfor forbundet med no-
gen usikkerhed,
jf. også boks 4.1.
I 2019 døde knap 55.000 personer. Heraf havde 77 pct. børn
1
og 37 pct. en ægtefælle/registreret
partner,
jf. figur 4.1.
Det er disse børn og ægtefæller/registrerede partnere, som udgør gruppen af po-
tentielle direkte arvinger i analysen.
Figur 4.1
Afdøde med børn og/eller ægtefælle/registreret
partner, 2019
1.000 personer
60
50
77 pct.
40
30
20
10
0
Alle
Med børn
Med ægtefælle
37 pct.
40
30
20
10
1.000 personer
60
50
Figur 4.2
Nettoformue blandt afdøde personer som
andel af den samlede nettoformue, 2019
1,2 pct. =
72 mia kr.
98,8 pct. = 5.778 mia kr.
0
Dør i 2019
Øvrige
Anm.: Afdøde har i gennemsnit ca. 2,1 barn i 2019. Nettoformuerne er opgjort ultimo 2018, svarende til året før
dødstidspunktet for afdøde. Nettoformuen er opgjort inklusive pensionsformue. Se kapitel 3 for definitioner.
Kilde: Egne beregninger på lovmodellens datagrundlag.
1
De 77 pct. dækker over børn, der kan identificeres i CPR-registret.
Ulighedsredegørelsen 2021
December 2021
89
FIU, Alm.del - 2021-22 - Bilag 62: Ulighedsredegørelsen 2021, fra finansministeren
2506836_0092.png
Kapitel 4
Betydning af økonomisk arv
Den samlede nettoformue for afdøde udgør 72 mia. kr. i 2019,
jf. figur 4.2.
Det svarer til, at de afdø-
des nettoformue udgør 1,2 pct. af den samlede nettoformue.
Den gennemsnitlige nettoformue blandt afdøde er en smule større end gennemsnitsformuen i befolk-
ningen som helhed. Den gennemsnitlige nettoformue blandt afdøde udgør i gennemsnit godt 1,3 mio.
kr. i 2019. Det er knap 90.000 kr. mere end befolkningen som helhed,
jf. figur 4.3.
Sammensætningen af nettoformuen blandt afdøde er imidlertid væsentlig anderledes. Gælden, her-
under i form af boliglån, er relativt lav. Afdøde har typisk en relativt stor finansiel formue, mens de har
relativt få reale aktiver. Det kan hænge sammen med, at reale aktiver i høj grad er blevet omsat til fi-
nansielle aktiver ved frasalg af især bolig. Samtidig er pensionsformuen (herunder livrenter, ATP og
tjenestemandspensioner) relativt lav blandt afdøde.
Den relativt lave pensionsformue blandt afdøde skal ses i lyset af, at disse personer ofte har været
pensionister i en del år og derfor har fået udbetalt en betragtelig del af pensionsopsparingen. Samti-
dig kan den fortsatte opbygning af pensionssystemet, herunder særligt modningen af arbejdsmar-
kedspensionerne, betyde, at yngre pensionister og personer i slutningen af den erhvervsaktive alder
har en relativt større pensionsopsparing sammenholdt med ældre generationer.
Figur 4.3
Nettoformue opdelt på alle voksne og afdøde,
2019
Mio. kr.
2,0
1,5
1,0
0,5
0,0
-0,5
-1,0
Gæld
Mio. kr.
2,0
1,5
1,0
0,5
0,0
-0,5
-1,0
Alle (18+-årige)
Afdøde
Finansiel formue
Pensionsformue
Nettoformue
Figur 4.4
Årlige ændringer i nettoformuer blandt afdøde,
2015-2019
1.000 kroner
120
90
60
30
0
-30
-60
2015
Gæld
Reale aktiver
2016
1.000 kroner
120
90
60
30
0
-30
-60
2017
2018
2019
Finansiel formue
Pensionsformue
Nettoformue
Reale aktiver
Anm.: 18+-årige. Personlig nettoformue. Nettoformuen er opgjort ultimo året inden dødstidspunktet. Opgjort i 2020-
prisniveau.
Kilde: Egne beregninger på lovmodellens datagrundlag.
Nettoformuerne blandt afdøde er vokset i de senere år. Afdødes efterladte formuer er vokset i alle år
fra 2015 til 2019, når der tages højde for den generelle prisudvikling i samfundet,
jf. figur 4.4.
Det er
især større pensionsformuer og reale aktiver, som har bidraget til voksende nettoformuer.
Udviklingen i de reale aktiver og pensionsformuerne skal ses i sammenhæng med stigende boligpri-
ser og generelt større pensionsformuer i befolkningen. Ændringer i de finansielle formuer hænger
sammen med kursstigninger og kursfald på værdipapirer, herunder aktier, men kan også skyldes
90
Ulighedsredegørelsen 2021
December 2021
FIU, Alm.del - 2021-22 - Bilag 62: Ulighedsredegørelsen 2021, fra finansministeren
2506836_0093.png
Kapitel 4
Betydning af økonomisk arv
større indestående i pengeinstitutter, blandt andet som følge af salg af fast ejendom og større pensi-
onsudbetalinger.
Boks 4.1
Metode til opgørelse af arv og arvinger
Der findes ikke digitalt registrerede oplysninger på individniveau om boer og arvinger, som gør det muligt entydigt at
identificere alle arvinger samt værdien af arv i et enkelt år. Det er imidlertid muligt at identificere de potentielle di-
rekte arvinger, der i analysen defineres som børn og ægtefælle/registreret partner til afdøde. Ligesom det er muligt
at skønne over værdien af den efterladte arv til analysebrug. Der findes ikke oplysninger om befolkningen, der gør
det muligt at skønne over overførsel af formue i form af gaver og forskud på arv, som derfor ikke indgår i analysen.
Opgørelsen tager udgangspunkt i oplysninger om afdødes formueforhold, familieforhold samt bobehandling. De
afdøde personer identificeres med udgangspunkt i oplysninger fra CPR-registret. Herefter tilknyttes oplysninger om
afdødes familieforhold med henblik på at identificere eventuelle børn og ægtefæller, dvs. de potentielle direkte arvin-
ger. På baggrund af skatteoplysninger om afdøde afgøres det, om boet er skiftet eller uskiftet. Endelig identificeres
afdødes nettoformue året inden dødstidspunktet ved hjælp af oplysninger fra formue- og gældsregistret. Formue- og
gældsregistret indeholder detaljerede oplysninger om personernes formue- og gældselementer,
jf. kapitel 3.
Arvinger
De
potentielle
arvinger er her eventuelle børn og ægtefælle/registreret partner til afdøde. Det er imidlertid ikke alle
potentielle arvinger, som
faktisk
arver på tidspunktet for dødsfaldet. Ved
uskiftet bo
viderefører den længstlevende
ægtefælle/registreret partner afdødes del af fællesboet. Afdødes børn har fortsat ret til halvdelen af parrets fællesbo,
men de arver i de fleste tilfælde først, når den efterladte partner dør (eller i færre tilfælde gifter sig igen). Er boet
skiftet,
arver både børn og ægtefælle/registreret partner med det samme. Hvis afdøde efterlader en ægtefælle og både har
fællesbørn og særbørn, så vil boet som regel skiftes, da særbørn kan kræve deres del af arven. Her lægges i opgø-
relsen til grund, at fællesbørn fra det seneste ægteskab (umiddelbart inden dødstidspunktet) ikke modtager arv efter
afdøde.
Der ses desuden bort fra arvinger, hvor afdødes nettoformue er nul eller negativ. Det antages, at arvinger ikke øn-
sker at arve et bo med en negativ værdi, selvom det reelt er muligt. I de tilfælde, hvor et bo efter skatteoplysnin-
gerne alligevel anses for skiftet, kan det skyldes, at afdøde har ejet formueelementer, som ikke kan identificeres
gennem formuestatistikken.
Det er muligt at testamentere op til tre fjerdedele af sin formue væk til andre end sine børn. Der findes imidlertid ikke
oplysninger, der gør det muligt at tage højde for, at afdøde kan have begunstiget øvrige familiemedlemmer, venner,
organisationer mv. Det kan bidrage til, at den beregnede arv til de direkte arvinger er overvurderet. Det er også mu-
ligt at testamentere et andet split end det ligelige split (50 pct. til børnene og 50 pct. til ægtefællen), som arveloven
lægger op til. I analysen er der taget udgangspunkt i arveloven uden testamente, dvs. en lige fordeling af arv.
Boer og beregning af boafgift
I fravær af tilgængelige oplysninger er det nødvendigt at skønne over værdien af afdødes bo på baggrund af oplys-
ninger fra formue- og gældsregistrene. Der er i analyser generelt blevet benyttet to forskellige metoder til at skønne
over boet.
I analysen her er udgangspunktet, at boet omtrent svarer til afdødes nettoformue året inden dødstidspunktet. Meto-
den indebærer dermed nogen usikkerhed om størrelsen af nettoformuen, idet yderligere opsparing eller forbrug frem
til dødstidspunktet vil påvirke nettoformuen. Boet defineres som positiv nettoformue fratrukket den del af pensions-
formuen, som ikke kan videregives som arv.
Ulighedsredegørelsen 2021
December 2021
91
FIU, Alm.del - 2021-22 - Bilag 62: Ulighedsredegørelsen 2021, fra finansministeren
2506836_0094.png
Kapitel 4
Betydning af økonomisk arv
Boks 4.1 (fortsat)
Metode til opgørelse af arv og arvinger
Det vedrører livrenter, ATP, tjenestemandspensioner samt enkelte engangsbeløb, mens kapital- og ratepensioner
ikke trækkes fra. Når det af data fremgår, at boet er skiftet, fordeles boet på evt. børn og ægtefælle/registreret part-
ner og ved uskiftet bo alene til ægtefælle/registreret partner. Ved uskiftet bo viderefører ægtefællen/registreret part-
ner (med fællesbørn med afdøde) hele boet, herunder forpligtelser til fx afbetaling af gæld eller lignende. Efter reg-
lerne for beregning af boafgift er der et bundfradrag på godt 300.000 kr. for den del af boet, som tilfalder børnene.
Beløb over 300.000 kr. beskattes med en flad afgiftssats på 15 pct. i 2019. Boet skal ikke betale boafgift af den halv-
del, som ægtefælle/registreret partner arver efter afdøde. Når en person, som sidder i uskiftet bo, dør, er bundfra-
draget omkring 600.000 kr. (dobbelt bundfradrag).
Regler for boafgift, 2021 på baggrund af SKAT.dk:
Boet skal ikke betale boafgift af den del af boet, der tilgår længstlevende ægtefælle/registreret partner
Boet skal betale en boafgift på 15 procent af arv til arvinger i den nærmeste familie, når arven overstiger et
bundfradrag på 308.800 kr. i 2021
Når afdøde sad i uskiftet bo, er der dobbelt bundfradrag
Når boafgiften på 15 procent er trukket fra, skal boet derudover betale en tillægsboafgift på 25 procent af arv til
arvinger uden for den nærmeste familie
I analysen er det ikke umiddelbart muligt at identificere, om afdøde sidder i uskiftet bo, og der tages ikke højde for
det dobbelte bundfradrag i opgørelsen. Det vil formentlig have mindre betydning for resultaterne. Der tages heller
ikke højde for personer, som sidder i uskiftet bo, og som skifter boet inden egen død. Det kunne eksempelvis være,
hvis den længstlevende ægtefælle gifter sig igen.
Faktisk grundlag for boafgift og afgiftsprovenu sammenholdt med skønnet grundlag og afgift
Skatteministeriet skønner, at afgiftsprovenuet fra boafgift udgør 4,8 mia. kr. i 2019 (2021-niveau), hvoraf en mindre
del kan henføres til ikke-nærtbeslægtede, jf. svar på SAU alm. del. spørgsmål 12 af 4. november 2021. Det skønnes
med stor usikkerhed, at i størrelsesordenen 4,3 mia. kr. kan henføres til afgift på arv til børn. Med udgangspunkt i
formuedata er det muligt omtrent at genskabe grundlaget for boafgift og provenuet heraf, men fordelingen på arvin-
ger er ufuldstændig. Det skyldes blandt andet, at det ikke er muligt at identificere alle arvinger til afdøde, herunder
især arvinger af relativt ældre personer, hvor der ikke nødvendigvis er registeroplysninger for sammenhæng mellem
afdøde og afdødes børn.
Alternativ metode for opgørelse af boet
Den alternative metode, der er anvendt i andre analyser, tager udgangspunkt i den observerede ændring i arvin-
gens egen formue omkring arvetidspunktet. Metoden skønnes dog at være behæftet med større usikkerhed, da især
udviklingen i børnenes formuer i fravær af arv kan være kompliceret at fastslå. Hertil kommer, at tidspunktet for ud-
betaling af arven kan variere og tage op til flere år.
4.2 Hvem arver og hvor meget?
De mulige direkte arvinger til afdøde kan i vidt omfang identificeres ved hjælp af centralt registrerede
oplysninger om afdødes børn og ægtefælle/registreret partner. Det er hermed muligt at opgøre antal-
let af
potentielle direkte arvinger,
der i analysen defineres som børn og ægtefælle/registreret partner.
92
Ulighedsredegørelsen 2021
December 2021
FIU, Alm.del - 2021-22 - Bilag 62: Ulighedsredegørelsen 2021, fra finansministeren
2506836_0095.png
Kapitel 4
Betydning af økonomisk arv
Det er dog langt fra alle børn, som mister en forælder, der faktisk arver på tidspunktet for dødsfaldet.
Det er primært tilfældet, når boet er uskiftet, eller der ikke efterlades en positiv nettoformue. Uskiftet
bo giver den efterladte ægtefælle/registreret partner råderet og forpligtelser over det samlede bo.
Ved hjælp af skatteoplysninger om behandlingen af afdødes bo kan det ses, om boet er skiftet, og de
potentielle arvinger, herunder afdødes børn og ægtefælle/registreret partner, kan identificeres. Der
tages her udgangspunkt i oplysninger for afdøde i 2019 og de relevante formueoplysninger for 2018.
Det skyldes, at 2019 er seneste år med tilgængelige bobehandlingsoplysninger.
I 2019 mistede 85.000 børn
2
en forælder, og 20.000 voksne mistede en ægtefælle/registreret partner.
Denne gruppe på ca. 105.000 personer er de potentielle arvinger. Det skønnes, at godt 32.000 af
børnene faktisk arver i forbindelse med opgørelsen af boet efter den afdøde, svarende til ca. 40 pct.
Blandt personer, der mister en ægtefælle/registreret partner, skønnes ca. 15.000 at efterlades med et
positivt bo, svarende til knap 75 pct.,
jf. figur 4.5.
Figur 4.5
Potentielle og faktiske arvinger, 2019
1.000 personer
100
80
60
40
20
Faktiske arvinger (bo>0)
0
Børn
Ægtefæller
0
1.000 personer
100
80
60
40
20
Anm.: Potentielle arvinger er personer, som er nærmeste familie til afdøde, dvs. børn af afdøde og ægtefælle/registreret
partner. Faktiske arvinger er den del af gruppen, som skønnes at modtage/videreføre en positiv arv/bo.
Kilde: Egne beregninger på lovmodellens datagrundlag.
De fleste danskere dør, når de er omkring 70-95 år, og mange har fået børn i starten af 20’erne til
slutningen af 30’erne. Børn af afdøde arver således typisk, når de er mellem 45 og 65 år, svarende til
ca. ¾ af børn af afdøde. Ægtefæller/registrerede partnere arver typisk, fra de er i slutningen af 60’erne
og frem til slutningen af 80’erne,
jf. figur 4.6.
Ægtefællerne/de registrerede partnere er således i gen-
nemsnit en smule yngre end den afdøde.
2
CPR-registret mangler oplysninger om børn-forælder forholdet for børn født før 1960. Det svarer til, at der mangler op-
lysninger for nogle arvende børn over ca. 60 år. Det er mest udbredt blandt børn, som er født før 1950, altså børn over 70
år.
Ulighedsredegørelsen 2021
December 2021
93
FIU, Alm.del - 2021-22 - Bilag 62: Ulighedsredegørelsen 2021, fra finansministeren
2506836_0096.png
Kapitel 4
Betydning af økonomisk arv
Figur 4.6
Potentielle og faktiske arvinger opdelt på alder, 2019
1.000 personer
4
1.000 personer
4
3
3
2
2
1
1
0
0
10
20
30
40
50
60
70
80
90
Børn, potentielle
Børn, faktiske arvinger
Ægtefælle, faktiske arvinger
Alder, år
Ægtefælle, potentielle
0
Anm.: Potentielle arvinger er personer, som er nærmeste familie til afdøde, dvs. børn og ægtefælle. Faktiske arvinger er
den del af gruppen, som skønnes at modtage/videreføre en positiv arv/bo. CPR-registret har begrænsede
oplysninger for forælder-børn sammenhæng især for børn født før 1950, svarende til personer over 70 år.
Kilde: Egne beregninger på lovmodellens datagrundlag.
Det er ikke den samlede nettoformue fra afdøde på ca. 72 mia. kr. i 2019, som efterlades som bo til
arvinger, jf. også tidligere definition af boet. En del af afdødes nettoformuer, primært pensioner i form
af livrenter, kan ikke videregives som arv. Det samlede potentielle bo, der er opgjort som nettoformu-
erne eksklusive nogle pensionstyper, udgør ca. 57 mia. kr., svarende til omtrent 80 pct. af afdødes
nettoformue,
jf. anden søjle i figur 4.7.
Hertil kommer, at der er afdøde, som ikke har ægtefælle/registreret partner eller børn, og hvor der
derfor ikke findes oplysninger, der gør det muligt at identificere eventuelle arvinger. Arven efter af-
døde uden ”nær” familie modtages af øvrige familiemedlemmer eller personer og institutioner begun-
stiget i testamente. Er der ingen arvinger, tilfalder arven staten. Den del af nettoformuerne fra afdøde,
som har enten børn eller ægtefælle/registreret partner, udgør ca. 46 mia. kr. før afgift,
jf. den tredje
søjle i figur 4.7.
Det er den del af afdødes nettoformue, der kan tilfalde
potentielle arvinger.
Børn af afdøde med en efterladt ægtefælle/registreret partner modtager ofte ikke arven med det
samme. En ægtefælle eller registreret partner kan vælge at sidde i uskiftet bo, når de har fællesbørn
med afdøde, og afdøde i øvrigt ikke har andre børn
3
. Det betyder, at den længstlevende ægtefælle
overtager hele formuen og forpligtelserne, og der uddeles dermed ikke nogen arv til afdødes børn.
Børnene har fortsat ret til halvdelen af afdødes del af boet, men de arver i de fleste tilfælde først, når
den anden forælder dør eller gifter sig igen. Skiftet bo, som primært arves af afdødes børn, udgør
godt halvdelen af den potentielle arv, svarende til ca. 25 mia. kr. før afgift.
Ved skiftet bo betales der afgift af den del af boet, der kan henføres til afdødes børn, mens der ingen
afgift er på den del af boet, der kan henføres til ægtefælle eller registreret partner,
jf. også boks 4.1.
Værdien af de samlede bo efter afgift skønnes til godt 43 mia. kr.,
jf. den fjerde søjle figur 4.7.
Heraf
3
Hvis afdøde har andre børn end fællesbørn, kan der indgås aftale med særbørnene om uskiftet bo.
94
Ulighedsredegørelsen 2021
December 2021
FIU, Alm.del - 2021-22 - Bilag 62: Ulighedsredegørelsen 2021, fra finansministeren
2506836_0097.png
Kapitel 4
Betydning af økonomisk arv
kan ca. 20 mia. kr., svarende til 45 pct., henføres til afdødes børn, mens den resterende del kan hen-
føres til ægtefælle/registreret partner.
Figur 4.7
Fra nettoformue til bo efter afgift, 2019
Mia. kr.
80
Diverse pensioner
Mia. kr.
80
60
Ingen direkte
arvinger
60
40
Uskiftet bo
20
Skiftet bo
0
Nettoformue
Potentielt bo
Bo før boafgift
Bo efter boafgift
Børn
Ægtefæller
40
20
0
Anm.:
Potentielt bo
er opgjort som nettoformue fratrukket pensionsformue undtagen diverse kapital- og ratepensioner.
Ingen direkte arvinger
omfatter også begrænsningerne i CPR-registret om forælder-børn sammenhæng. Børn født
især før 1950 har begrænsede oplysninger om forældrene.
Bo efter afgift
til ægtefæller og registrerede partnere
omfatter værdien af uskiftet bo.
Kilde: Egne beregninger på lovmodellens datagrundlag.
Det bemærkes, at der i beregningen af boafgift i analysen ikke er taget højde for, at der i tilfælde af
uskiftet bo er dobbeltfradrag for afdødes børn. Det bidrager isoleret set til at overvurdere arven en
smule.
Arv sammenlignet med de samlede formuebevægelser
De samlede nettoformuer i Danmark er vokset siden 2014. Nettoformuerne vokser i takt med opspa-
ring eller tilbagebetaling af gæld samt værdiforøgelse af eksisterende formue. Den samlede arv til
børn af afdøde i året udgør typisk en relativt lav værdi sammenlignet med stigningerne i de øvrige for-
mueelementer.
I årene 2015-2019 er den samlede danske nettoformue realt vokset med i gennemsnit 312 mia. kr. pr.
år. Den årlige skønnede bo efter boafgift til afdødes børn og ægtefælle/registreret partner udgør i
samme periode ca. 40 mia. kr. pr. år. Til sammenligning er pensionsformuen steget med 119 mia. kr.
om året, og de reale aktiver er steget med 147 mia. kr. årligt,
jf. figur 4.8.
Ulighedsredegørelsen 2021
December 2021
95
FIU, Alm.del - 2021-22 - Bilag 62: Ulighedsredegørelsen 2021, fra finansministeren
2506836_0098.png
Kapitel 4
Betydning af økonomisk arv
Figur 4.8
Real ændring i nettoformue og bo i året, 2015-2019
Mia. kr.
400
Mia. kr.
400
300
300
200
200
100
100
0
0
-100
2015
Gæld
2016
Finansiel formue
2017
Pensionsformue
2018
Reale aktiver
2019
Bo efter boafgift
-100
Anm.: 18+-årige. Ændringen i den samlede nettoformue for voksne i befolkningen og den samlede identificerede arv
efter afgift. Opgjort i 2020-prisniveau.
Kilde: Egne beregninger på lovmodellens datagrundlag.
Der er mindre udsving i den samlede arv fra år til år end i udviklingen i de enkelte formueelementer.
Det kan skyldes, at investeringshorisonten er relativt kort for personer i de aldersgrupper, som typisk
dør, og formuen derfor er placeret i forholdsvis sikre aktiver.
Arv opdelt efter typer af arvinger
Afdødes børn arver i gennemsnit knap 1,2 mio. kr. (tilsammen pr. afdød), mens ægtefæller/registre-
rede partnere efterlades med godt 1,5 mio. kr. i 2019. Afdøde, som efterlader sig en arv, har i gen-
nemsnit ca. to børn. Arven pr. barn udgør således knap 600.000 kr.,
jf. figur 4.9.
96
Ulighedsredegørelsen 2021
December 2021
FIU, Alm.del - 2021-22 - Bilag 62: Ulighedsredegørelsen 2021, fra finansministeren
2506836_0099.png
Kapitel 4
Betydning af økonomisk arv
Figur 4.9
Arv og bo opdelt på børn og ægtefælle/registreret partner, 2019
Mio. kr.
2,0
Mio. kr.
2,0
1,5
1,5
1,0
Uskiftet bo
1,0
0,5
0,5
0,0
Børn
Pr. barn
Skiftet bo
Ægtefælle/registret partner
0,0
Anm.: Der er taget udgangspunkt i formueoplysninger for afdøde og oplysninger om civilstatus og familieforhold. Arv
er opgjort efter boafgift.
Kilde: Egne beregninger på lovmodellens datagrundlag.
For ægtefæller/registrerede partnere videreføres boet hos den efterladte partner. Der er således ikke
tale om ny formue, men formuen ejes nu alene af den efterladte. For afdødes børn er der i højere
grad tale om tilførsel af nye økonomiske midler, der ikke tidligere var råderet over. Resten af analysen
fokuserer derfor på fordelingsvirkningerne af arv, der modtages af afdødes børn.
Der er stor forskel på, hvor meget de efterladte børn arver. Det afspejler, at afdøde har haft forskellige
indkomster og præferencer for opsparing. Men det afspejler også, at folk dør på forskellige tidspunk-
ter og dermed i varierende grad har nået at forbruge midler opsparet til alderdommen.
De fleste børn arver under �½ mio. kr. efter afgift. Omkring 15 pct. af de børn, som arver, skønnes at
modtage over 1 mio. kr. I alt ca. 5 pct. modtager over 2 mio. kr. i 2019,
jf. figur 4.10.
De personer,
som ingenting arver, er udeladt af opgørelsen.
Ulighedsredegørelsen 2021
December 2021
97
FIU, Alm.del - 2021-22 - Bilag 62: Ulighedsredegørelsen 2021, fra finansministeren
2506836_0100.png
Kapitel 4
Betydning af økonomisk arv
Figur 4.10
Børn opdelt på skønnet arv efter afgift, 2019
1.000 personer
20
1.000 personer
20
15
41 pct.
27 pct.
16 pct.
15
10
10
5
10 pct.
5 pct.
5
0
0 - 0,2
0,2 - 0,5
0,5 - 1,0
Arv, mio. kr.
1,0 - 2,0
Over 2,0
0
Anm.: Der er ca. 32.200 børn, som har arvet i skiftet bo i 2019. Børn, som har mistet en forælder, men hvor
bobehandlingskoden angiver, at der ikke er noget at arve, er ikke medtaget. Arv er opgjort efter boafgift.
Kilde: Egne beregninger på lovmodellens datagrundlag.
Der er således en mindre del af de arvende børn, som arver en større formue. Eksempelvis skønnes
ca. 10.000 børn at arve over 500.000 kr. i 2019. For nogle af disse arvinger vil arven have væsentlig
betydning for forbrugsmulighederne.
Det bemærkes dog, at skøn over større arveportioner forventes at være behæftet med større usikker-
heder end ved mindre boer. Personer med store formuer kan på den ene side have et større incita-
ment til at udarbejde et testamente, oprette særeje eller andet, og der er måske også plads til at give
en større andel til andre familiemedlemmer, fx børnebørn, yngre søskende, niecer og nevøer eller be-
gunstige almennyttige formål. Det kan bidrage til at overvurdere arven for børnene. Omvendt er det i
den øverste del af formuefordelingen, at det kan forventes, at en del af nettoformuerne er placeret i
andre aktiver uden for opgørelsen af boet i analysen, fx værdi af unoterede aktier og familiefonde mv.
Det medfører isoleret set, at størrelsen på arven undervurderes.
4.3 Fordelingen af arv til børn
Arv kan i en fordelingsanalyse opfattes som en ekstra indkomst, der tilfalder børnene ved forældrenes
død, eller som overførsel af formue fra forældre til børn. Fortolkningen af arv kan blandt andet være
forskelligt alt efter arvingens økonomiske situation. Det hænger sammen med, at arv, på linje med
indkomster, kan benyttes til enten forbrug eller opsparing. Den enkelte arvings valg af fordeling af ar-
ven mellem henholdsvis forbrug og opsparing kan blandt andet være påvirket af størrelsen på arvin-
gens eksisterende formue, aktuelle forbrugsbehov og præferencer for forbrug og opsparing. I praksis
vil det for mange arvingers vedkommende være en mellemting, hvor en del af arven forbruges med
det samme, mens den resterende del spares op.
I det følgende betragtes værdien af arv som en formueforøgelse for de arvende børn og der tages ud-
gangspunkt i arvingernes placeringen i
formuefordelingen.
I en fordelingsmæssig analyse kan det
også være relevant at tage udgangspunkt i
indkomstfordelingen
og der henvises til
bilag 1,
hvor stør-
relsen på arven er opdelt efter arvingernes placering i indkomstfordelingen.
98
Ulighedsredegørelsen 2021
December 2021
FIU, Alm.del - 2021-22 - Bilag 62: Ulighedsredegørelsen 2021, fra finansministeren
2506836_0101.png
Kapitel 4
Betydning af økonomisk arv
Børn, som arver, er typisk placeret i den øvre del af formuefordelingen for hele befolkningen. Det
hænger sammen med, at børn typisk arver efter deres forældre, når de er i anden halvdel af den er-
hvervsaktive alder, hvor der ofte er opbygget en formue, men kan også skyldes andre forhold.
Eksempelvis kan større arv i toppen af formuefordelingen skyldes, at børn, som har forældre med be-
tydelige formuer, i større udstrækning kan forventes at modtage forskud på arv eller gaver gennem
livet samt umiddelbart op til dødstidspunktet. Det kan også dække over tillært opsparingsadfærd, der
læres videre af forældre. Begge dele kan bidrage til, at børnene opnår en højere placering i formue-
fordelingen, allerede inden arven modtages.
Afdødes børn, der arver, er typisk mellem 45 og 65 år, hvor den gennemsnitlige placering i formuefor-
delingen er 7.-8. decil,
jf. figur 4.11.
Figur 4.11
Arvende børn samt den gennemsnitlige placering i formuefordeling for hele befolkningen opdelt på
alder, 2019
Personer
2.500
Decilplacering
10
9
2.000
8
7
1.500
6
5
4
500
3
2
0
18
24
30
36
42
48
60
66
72
78
84
90
Alder, år
Gns. placering i formuefordelingen, hele befolkningen (h. akse)
54
96
1
1.000
Børn som arver (v. akse)
Anm.: Personerne er rangeret efter personlig nettoformue. Gennemsnitlig placering i formuefordelingen er for alle i
befolkningen på et givent alderstrin. Udviklingen i formuen gennem livet er beskrevet i kapitel 3
Ulighedsredegørel-
sen 2020,
Finansministeriet.
Kilde: Egne beregninger på lovmodellens datagrundlag.
Arven i kroner er størst blandt personer placeret i den øverste del af formuefordelingen. Den øverste
formuedecil i befolkningen, dvs. de 10 pct. med de største formuer, arver i gennemsnit 13.000 kr. ef-
ter afgift i 2019, mens personer i 1.-5. formuedecil i gennemsnit arver 700-2.400 kroner,
jf. figur 4.12.
Det er ikke alle, der arver, og beløbene er derfor betydeligt større for de berørte arvinger.
Ulighedsredegørelsen 2021
December 2021
99
FIU, Alm.del - 2021-22 - Bilag 62: Ulighedsredegørelsen 2021, fra finansministeren
2506836_0102.png
Kapitel 4
Betydning af økonomisk arv
Figur 4.12
Gennemsnitlig arv opdelt på formuedeciler for
alle voksne, 2019
1.000 kr.
60
1.000 kr.
60
Figur 4.13
Arv som andel af nettoformue opdelt på
formuedeciler for alle voksne, 2019
Pct.
6,0
Pct.
6,0
45
45
4,5
4,5
30
30
3,0
3,0
15
15
1,5
1,5
0
1.
2.
3.
4.
5.
6.
7.
8.
9.
10. 100.
Formuedecil
0
0,0
2.
3.
4.
5.
6.
7.
8.
9.
10. 100.
Formuedecil
0,0
Anm.: 18+-årige. Personerne er rangeret efter personlig nettoformue i 2018, som er året inden arvetidspunktet. Arv fra
boer tildelt børnene i 2019. Det er ikke muligt at udregne arvens andel af nettoformue i 1. formuedecil, da
nettoformuen samlet set er negativ.
Kilde: Egne beregninger på lovmodellens datagrundlag.
Arv udgør dog en større andel af nettoformuen for personer med relativt små nettoformuer. Det skyl-
des blandt andet, at nettoformuerne er meget små og tæt på nul i den nedre del af formuefordelingen,
og at der skal betragtelige arvesummer til for at øge den samlede formue for de mest formuende per-
soner. Arv udgør eksempelvis godt 5 pct. af nettoformuen for personer i 2. formuedecil, mens arv ud-
gør 0,2 pct. af nettoformuen for personer i 10. formuedecil i 2019,
jf. figur 4.13.
Fordelingen af arv blandt 50-59-årige
Det er ofte mere relevant at betragte formueforskellene og fordelingen af arv inden for alderstrin end
for befolkningen samlet. Det skyldes, at nettoformuerne i udgangspunktet er mere sammenlignelige,
og sandsynligheden for at arve er mere ens. I det følgende ses der derfor nærmere på fordelingsvirk-
ningerne af arv for personer i aldersgruppen 50-59-årige.
Det skønnes, at knap 15.000 personer i aldersgruppen 50-59 år arver i 2019. Dermed udgør alders-
gruppen omkring 40 procent af hele gruppen af børn af afdøde i 2019. Også inden for denne alders-
gruppe særskilt gælder det, at størrelsen på den økonomiske arv er stigende med nettoformuen. De
50-59-årige med de 10 pct. største nettoformuer arver i gennemsnit 27.500 kr. efter afgift, mens per-
soner placeret i 1. til 9. formuedecil modtager under 15.000 kr. efter afgift i 2019,
jf. figur 4.14.
Den
ene procent med de største formuer (dvs.100. percentil) arver i gennemsnit 56.000 kr. efter afgift.
100
Ulighedsredegørelsen 2021
December 2021
FIU, Alm.del - 2021-22 - Bilag 62: Ulighedsredegørelsen 2021, fra finansministeren
2506836_0103.png
Kapitel 4
Betydning af økonomisk arv
Figur 4.14
Gennemsnitlig arv opdelt på formuedeciler for
alle 50-59-årige, 2019
1.000 kr.
60
1.000 kr.
60
Figur 4.15
Arv som andel af nettoformue opdelt på
formuedeciler for alle 50-59-årige, 2019
Pct.
6,0
Pct.
6,0
45
45
4,5
4,5
30
30
3,0
3,0
15
15
1,5
1,5
0
1.
2.
3.
4.
5.
6.
7.
8.
9.
10. 100.
Formuedecil
0
0,0
2.
3.
4.
5.
6.
7.
8.
9.
10. 100.
Formuedecil
0,0
Anm.: 50-59-årige. Personer er rangeret efter personlig nettoformue i 2018. Arv er fra boer tildelt børnene i 2019. Det
er ikke muligt at udregne arvens andel af nettoformue i 1. formuedecil, da nettoformuen samlet set er negativ.
Kilde: Egne beregninger på lovmodellens datagrundlag.
På samme måde som for befolkningen som helhed er arven som andel af nettoformuen faldende i
takt med højere nettoformue. Personer placeret i den nederste del af formuefordelingen blandt 50-59-
årige arver mere som andel af deres eksisterende nettoformue end personer i den øvre del af formue-
fordelingen. For personer i 2. formuedecil udgør arven i gennemsnit ca. 2,5 pct. af nettoformuen,
mens arven udgør knap �½ pct. af nettoformuen for personer i 10. formuedecil i 2019,
jf. figur 4.15.
Sammenhængen er imidlertid mindre tydelig end for befolkningen samlet set. Det skyldes blandt an-
det, at hovedparten af de 50-59-årige har opbygget en relativt stor formue, og at en mindre andel af
de 50-59-årige har små og negative formuer, end når der ses på befolkningen som helhed.
Arvens betydning for formueforskellene
Arvens relativt større betydning i bunden af formuefordelingen indikerer, at arv bidrager til at reducere
formueforskellene i det pågældende år, som udbetalingen af arv kan henføres til. Men da arven i kro-
ner relativt til den samlede nettoformue er meget begrænset, er de samlede fordelingsmæssige kon-
sekvenser også beskedne.
For befolkningen samlet set påvirker arv ikke formueforskellene målt ved RMM (Ratio between Mean
and Median), der angiver forholdet mellem gennemsnits- og medianformue. Arv bidrager imidlertid til
en beskeden reduktion i ejerandelen blandt de mest formuende,
jf. tabel 4.1.
Tages der udgangs-
punkt i gruppen af 50-59-årige, hvor formueforskellene er mindre aldersafhængige, genfindes omtrent
de samme konklusioner, men de målte virkninger er mindre.
Ulighedsredegørelsen 2021
December 2021
101
FIU, Alm.del - 2021-22 - Bilag 62: Ulighedsredegørelsen 2021, fra finansministeren
2506836_0104.png
Kapitel 4
Betydning af økonomisk arv
Tabel 4.1
Virkning i året af arv til børn på mål for formueforskelle, 2019
RMM
Udgangspunkt
Hele befolkningen
50-59-årige
Ændring
Hele befolkningen
50-59-årige
-0,00
0,00
-0,02
-0,00
2,33
1,52
50,99
40,74
Pct.-point
-0,01
-0,01
Top 10 pct.
Pct.
16,10
12,52
Top 1 pct.
Anm.: Opgørelsen tager udgangspunkt i fordelingen af personlig nettoformue i 2018. Arv fra boer tildelt børnene i
2019. RMM angiver forholdet mellem gennemsnit og median. I analysen indgår kun den del af befolkningen, der
er over 17 år.
Kilde: Egne beregninger på lovmodellens datagrundlag.
Opgørelserne viser, at den målte virkning af arv på formueforskellene er små og omtrent neutrale i
2019. Der er således ikke umiddelbart noget stærkt grundlag for at sige, at arv til børn af afdøde iso-
leret set øger eller sænker formueforskellene i det år, som arven kan henføres til.
Det skal bemærkes, at opgørelsen alene er et skøn for fordelingsvirkningerne af arv i 2019 på bag-
grund af en række beregningstekniske antagelser, herunder om værdien af arv og afgrænsningen af
modtagerne af arv. Opgørelserne er derfor, som nævnt, behæftet med usikkerhed.
102
Ulighedsredegørelsen 2021
December 2021
FIU, Alm.del - 2021-22 - Bilag 62: Ulighedsredegørelsen 2021, fra finansministeren FIU, Alm.del - 2021-22 - Bilag 62: Ulighedsredegørelsen 2021, fra finansministeren
2506836_0106.png
Bilag 4.1
Fordeling af arv i indkomstfordelingen
104
Ulighedsredegørelsen 2021
December 2021
FIU, Alm.del - 2021-22 - Bilag 62: Ulighedsredegørelsen 2021, fra finansministeren
2506836_0107.png
Bilag 4.1 Fordeling af arv i
indkomstfordelingen
Det kan være relevant også at se på sammenhængen mellem arvingernes placeringen i
indkomstfor-
delingen
og størrelsen på arven.
Størrelsen på arven er stigende med indkomsten, om end den er meget lige fordelt i de ni nederste
indkomstdeciler. Sammenhængen mellem indkomst og arv skal ses i lyset af, at personers placering i
formuefordelingen hænger sammen med placeringen indkomstfordelingen. Personer med store ind-
komster har oftere store formuer og omvendt.
Personer med de 10 pct. største indkomster er også dem, som modtager den største arv målt i kro-
ner. Sammenhængen er imidlertid betydeligt mindre på tværs af indkomstfordelingen, end tilfældet er,
når arven fordeles efter formuefordelingen.
Personer i 10. indkomstdecil inden for aldersgruppen 50-59-årige arver i gennemsnit 24.500 kr. efter
afgift,
jf. figur B.1,
hvilket er godt dobbelt så meget som gennemsnittet for personer i 1-.9. decil., som
arver ca. 10.000 kr. Den øverste percentil, altså den ene procent af befolkningen med de største ind-
komster (blandt de 50-59-årige), arver i gennemsnit knap 5 gange så meget som de øvrige 99 pro-
cent.
Ulighedsredegørelsen 2021
December 2021
105
FIU, Alm.del - 2021-22 - Bilag 62: Ulighedsredegørelsen 2021, fra finansministeren
2506836_0108.png
Bilag 4.1
Fordeling af arv i indkomstfordelingen
Figur B.1
Gennemsnitlig arv opdelt på indkomstdeciler
for alle 50-59-årige, 2019
Figur B.2
Arv som andel af nettoformue opdelt på
indkomstdeciler for alle 50-59-årige, 2019
1.000 kroner
60
1.000 kroner
60
Pct. af nettoformuen
6,0
Pct. af nettoformuen
6,0
45
45
4,5
4,5
30
30
3,0
3,0
15
15
1,5
1,5
0
1.
2.
3.
4.
5.
6.
7.
Indkomstdecil
8.
9.
10. 100.
0
0,0
1.
2.
3.
4.
5.
6.
7.
Indkomstdecil
8.
9.
10. 100.
0,0
Anm.: 50-59-årige. Ækvivalerede disponible indkomster i 2018. Arv er fra boer i 2019.
Kilde: Egne beregninger på lovmodellens datagrundlag.
Størrelsen på arv som andel af nettoformue er faldende fra 1. indkomstdecil til 10. indkomstdecil,
jf.
figur B.2.
Sammenhængen er imidlertid ikke lige så tæt som ved formuefordelingen. Det skal blandt
andet ses i lyset af, at den samlede nettoformue i den nederste del af indkomstfordelingen ikke er ne-
gativ eller tæt på nul, samt at arven sættes i forhold til nettoformuen opdelt på indkomster, og der vil
således være en naturlig udligning af effekten.
106
Ulighedsredegørelsen 2021
December 2021
FIU, Alm.del - 2021-22 - Bilag 62: Ulighedsredegørelsen 2021, fra finansministeren FIU, Alm.del - 2021-22 - Bilag 62: Ulighedsredegørelsen 2021, fra finansministeren
2506836_0110.png
Kapitel 5
Forskelle i sunde leveår
108
Ulighedsredegørelsen 2021
December 2021
FIU, Alm.del - 2021-22 - Bilag 62: Ulighedsredegørelsen 2021, fra finansministeren
2506836_0111.png
5. Forskelle i sunde leveår
Ofte er forskelle i den økonomiske situation på tværs af befolkningen omdrejningspunktet for debatten
om ulighed, fx indkomst- eller formueforskellene. De økonomiske forhold kan blandt andet være gode
indikatorer for, om og for hvem de mest nødvendige forbrugsbehov er dækket. Hertil kommer, at der
findes dækkende oplysninger af høj kvalitet for hele befolkningen om eksempelvis indkomst og for-
mueforhold.
Det er imidlertid ikke muligt at belyse alle aspekter og implikationer af ulighed alene ud fra økonomi-
ske størrelser. En anden væsentlig parameter er forskellene i sundhed. Populært sagt er det svært at
få glæde af ens indkomst eller formue, hvis man eksempelvis ikke er i live eller ikke er rask.
Der er væsentlige forskelle på, hvor længe personer i befolkningen lever. Det gælder også på tværs
af befolkningsgrupper, fx opdelt på uddannelsesniveau, branche eller indkomst. Eksempelvis kan per-
soner med en videregående uddannelse forvente et længere liv end ufaglærte.
Middellevetiden i Danmark er steget i de seneste årtier, samtidig med at forskellene i levetid er redu-
ceret. Den bredt funderede stigning i middellevetiden stiller et nyt spørgsmål. Hvordan er kvaliteten af
de ekstra leveår? I takt med at en større andel af befolkningen opnår et langt liv, kan der blive stillet
større krav til, hvad det skal indeholde. Oplevelsen af at leve et godt liv kan eksempelvis afhænge af,
om man føler sig fysisk og mentalt rask, kan klare sig selv og ikke er ensom.
Litteraturen har i de seneste årtier i stigende grad fokuseret på at definere, måle og debattere, hvad
et godt eller sundt leveår er. I praksis afhænger vurderingen af et godt liv af, hvordan den enkelte per-
son oplever det. Det er væsentligt mere komplekst at afgrænse gode leveår end størrelsen på ind-
komsten eller middellevetiden. Der findes ikke en entydig definition af gode eller sunde leveår.
I dette kapitel belyses gode leveår i form af sunde år uden fysisk funktionsnedsættelse og år uden di-
agnose for en række alvorlige sygdomme. Og der gives et bud på udviklingen i forskellene på sunde
leveår i befolkningen.
Formålet med opgørelserne er at nuancere eksisterende analyser af forskellene i sundhed, som ofte
tager udgangspunkt i forskelle i levealdre. Der inddrages oplysninger om befolkningens sundhed fra
flere kilder. Det er således ikke muligt at konkludere noget håndfast om eksempelvis indekseringen af
pensionsalderen, det demografiske træk eller indretningen af det fremtidige sundhedssystem.
Ulighedsredegørelsen 2021
December 2021
109
FIU, Alm.del - 2021-22 - Bilag 62: Ulighedsredegørelsen 2021, fra finansministeren
2506836_0112.png
Kapitel 5
Forskelle i sunde leveår
Hovedbudskaberne i kapitlet er:
Befolkningens middellevetid er øget markant de seneste to årtier. Middellevetiden for 50-årige er
steget med godt 4�½ år for mænd og ca. 4 år for kvinder fra 1997 til 2019.
I samme periode er forskellen på, hvor lang tid man lever, reduceret. Forskellene i levetid målt
ved Gini-koefficienten er reduceret med 3,3 pct.-point for 50-årige mænd og 3,9 pct.-point for 50-
årige kvinder.
Der er flere måder at opgøre sundhed på. Afgrænsningen kan blandt andet tage afsæt i mental
sundhed, fysisk sundhed, funktionsnedsættelse eller livsindhold. Det valgte mål kan have betyd-
ning for det målte niveau og udviklingen i sunde leveår.
Der er tegn på, at stigningerne i middellevetiden fra 1997 til 2017 i betydeligt omfang er blevet
omsat til flere sunde leveår. Antallet af oplevede
leveår uden aktivitetsbegrænsninger
i det dag-
lige, såsom at gå en tur, gå op ad trappen eller lave mad, er steget med 4,0 år for 40-årige mænd
og 3,9 år for 40-årige kvinder. Siden 2002 er andelen af personer mellem 65 og 79 år, der selv
vurderer sig begrænset, reduceret med 5,5 pct.-point til 37 pct.
Andelen af livet, som udgøres af sunde leveår uden aktivitetsbegrænsninger, er steget på tværs
af køn i den betragtede periode. For 40-årige mænd kan hele stigningen i middellevetid siges at
være omsat til sunde leveår uden aktivitetsbegrænsninger, hvorfor andelen af livet med sunde
leveår også er steget. For 40-årige kvinder har stigningen i sunde leveår uden aktivitetsbegræns-
ninger ligefrem oversteget stigningen i middellevetiden, hvilket har medført en større stigning i
andelen af livet med sunde leveår.
Antallet af
diagnosefri leveår
er steget med 2,7 år for 40-årige mænd og 2,4 år for 40-årige kvin-
der. Stigningen er dog mindre end stigningen i middellevetiden, hvorfor andelen af livet uden di-
agnoser er faldet for begge køn fra 1997 til 2017. Diagnoser er her afgrænset til en række ud-
valgte diagnoser for somatiske sygdomme, som er forbundet med høj dødelighed. Det omfatter
dog kun diagnoser stillet i sygehusvæsenet (dvs. ikke hos almenpraktiserende læger).
Forskellene i diagnosefri levetid målt ved Gini-koefficienten er reduceret fra 1997 til 2017, men
reduktionen i forskellene i sunde leveår for både mænd og kvinder har været mindre end redukti-
onen i forskellene i levetid.
Middellevetiden er lavere blandt ufaglærte end blandt øvrige uddannelsesgrupper. Samtidig ud-
gør sunde leveår en mindre del af middellevetiden for ufaglærte. Eksempelvis udgør diagnosefri
leveår ca. 85 pct. af middellevetiden for 50-årige mænd med en videregående uddannelse i
2017, mens den blandt ufaglærte 50-årige mænd udgør 81 pct.
På tværs af uddannelsesgrupper har alle oplevet en stigning i antallet af sunde leveår fra 1997 til
2017. De relative forskelle mellem uddannelsesgrupper er dog blevet større over tid. Eksempel-
vis har ufaglærte 50-årige mænd opnået ét ekstra sundt leveår uden diagnoser, mens erhvervs-
uddannede mænd har opnået 2,8 flere sunde leveår, og mænd med en videregående uddan-
nelse har fået 2,9 ekstra sunde leveår. Forskellene på tværs af uddannelsesgrupper skal fortol-
kes varsomt, da gruppernes sammensætning er ændret over tid.
110
Ulighedsredegørelsen 2021
December 2021
FIU, Alm.del - 2021-22 - Bilag 62: Ulighedsredegørelsen 2021, fra finansministeren
2506836_0113.png
Kapitel 5
Forskelle i sunde leveår
5.1 Udviklingen i levetid
Sundheden i befolkningen målt ved middellevetiden er steget over de seneste knap 40 år. Middelle-
vetiden for en befolkningsgruppe beregnes med udgangspunkt i de aldersfordelte overlevelsessand-
synligheder fra et år til det næste. Middellevetiden for nyfødte opgøres eksempelvis ved for et givent
år at beregne, hvor stor en andel af de 0-årige, der bliver et år, hvor stor en andel af de 1-årige der
bliver to år, og så fremdeles. Herefter kan den gennemsnitlige levetid (middellevetiden) opgøres. Ek-
sempelvis er middellevetiden for en 0-årig omkring 82 år i 2019.
Middellevetiden kan udtrykkes som den forventede levetid for en person givet de aldersfordelte over-
levelsessandsynligheder i et givent år. De aldersfordelte overlevelsessandsynligheder, og dermed
middellevetiden, er steget over tid og forventes at stige fremover. En nyfødt vil derfor formentlig
kunne forvente at leve længere end 82 år.
Stigningen i middellevetiden i begyndelsen og midten af 1900-tallet kan primært henføres til faldende
børnedødelighed. Sandsynligheden for at overleve det første år er i dag markant større end for 100 år
siden. Der er tegn på, at de seneste årtiers stigning i levetiden i højere grad hænger sammen med
lavere risiko for at dø blandt ældre personer. Det kan blandt andet skyldes, at behandlingen af ud-
valgte sygdomme, såsom cancer, diabetes og hjertekarsygdomme, er forbedret. Herudover kan noget
af den positive udvikling formentlig forklares ved ændringer i livsstil, herunder et fald i antallet af ry-
gere i befolkningen.
Middellevetiden for kvinder er højere end for mænd. En del af forskellen kan forklares ved forskelle i
livsstil på tværs af køn
1
. Der tages ofte udgangspunkt i de såkaldte KRAM-faktorer, som omfatter
kost, rygning, alkohol og motion. Her klarer mænd sig især dårligere end kvinderne i kategorierne ryg-
ning og alkohol, hvor mænd er overrepræsenteret i gruppen af storforbrugere,
jf. National sundheds-
profil, 2017,
Sundhedsstyrelsen.
Middellevetiden er steget for både mænd og kvinder de seneste fire årtier. Stigningen har været en
smule større for mænd end for kvinder, så forskellen i middellevetid mellem kønnene er blevet min-
dre. Middellevetiden for 50-årige mænd i dag er omtrent på niveau med middellevetiden for kvinder
omkring årtusindeskiftet.
Middellevetiden for 50-årige mænd er steget fra ca. 75 år i 1981 til ca. 81 år i 2019, mens middelleve-
tiden for 50-årige kvinder er steget fra ca. 80 år i 1981 til ca. 84�½ år i 2019,
jf. figur 5.1.
1
Se fx Helweg-Larsen og Juel,
Sex differences in mortality in Denmark during half a century, 1943-92, 2000.
Ulighedsredegørelsen 2021
December 2021
111
FIU, Alm.del - 2021-22 - Bilag 62: Ulighedsredegørelsen 2021, fra finansministeren
2506836_0114.png
Kapitel 5
Forskelle i sunde leveår
Figur 5.1
Middellevetid for 50-årige opdelt på køn, 1981-2019
År
90
År
90
86
86
82
82
78
78
74
74
70
1981 1983 1985 1987 1989 1991 1993 1995 1997 1999 2001 2003 2005 2007 2009 2011 2013 2015 2017 2019
Mænd
Kvinder
70
Anm: Middellevetid for personer, der er i live som 50-årige.
Kilde: Danmarks Statistik, Statistikbanken.
Stigningen i middellevetiden er udtryk for udviklingen i den forventede levetid for befolkningen som
helhed. Alle personer opnår imidlertid ikke samme alder. Nogle personer lever i kortere tid end mid-
dellevetiden, og andre lever længere. For at få et mere dækkende billede af udviklingen kan det der-
for være nødvendigt at opgøre forskellene i levetid.
Der er flere mål, der kan belyse forskellene i levetid. Her tages udgangspunkt i Gini-koefficienten, der
også benyttes til at opgøre indkomstforskellene. Gini-koefficienten er et relativt spredningsmål. Det
betyder, at de målte forskelle i levetid reduceres, hvis de absolutte forskelle i levetid udgør en fal-
dende andel af middellevetiden, eksempelvis hvis de absolutte forskelle er uændret, mens middelle-
vetiden stiger.
Forskellene i levetid for 50-årige målt ved Gini-koefficienten er reduceret med 5 pct.-point for mænd
og 4 pct.-point for kvinder fra 1981 til 2019,
jf. figur 5.2.
Andre spredningsmål peger også på, at for-
skellene i levetid er reduceret, jf. kapitel 4 i
Ulighedsredegørelsen 2020,
Finansministeriet.
112
Ulighedsredegørelsen 2021
December 2021
FIU, Alm.del - 2021-22 - Bilag 62: Ulighedsredegørelsen 2021, fra finansministeren
2506836_0115.png
Kapitel 5
Forskelle i sunde leveår
Figur 5.2
Forskellene i levetid for 50-årige målt ved Gini-koefficienten opdelt på køn, 1981-2019
Gini-koefficient, pct.
30
Gini-koefficient, pct.
30
26
26
22
22
18
18
14
14
10
1981 1983 1985 1987 1989 1991 1993 1995 1997 1999 2001 2003 2005 2007 2009 2011 2013 2015 2017 2019
Mænd
Kvinder
10
Anm.: Forskelle i levetid for 50-årige. Opgjort på baggrund af aldersfordelte overlevelsessandsynligheder i året.
Kilde: Egne beregninger på Lovmodellens datagrundlag.
Reduktionen i forskellene i levetid skal blandt andet ses i lyset af, at færre personer dør tidligt. Det
kan blandt andet skyldes bedre forebyggelse og behandling af sygdomme, som før har været forbun-
det med større dødelighed i årene op til og omkring pensionsalderen. For eksempel cancer, diabetes
og hjertekarsygdomme
2
. Andre faktorer kan være sundere kostvaner, mere motion, mindre rygning
og lavere alkoholforbrug. Ligesom mindre nedslidende arbejdsforhold for nogle grupper kan have be-
tydning.
Det skal bemærkes, at virkningerne af forbedringer i sundhed typisk først viser sig lang tid efter, at de
indtræffer. Eksempelvis vil forbedringer i befolkningens sundhed, som følge af en faldende andel ry-
gere i befolkningen, først slå fuldt igennem i højere middellevetid og eventuelt faldende forskelle i le-
vetid, når den fulde virkning i form af færre tilfælde af blandt andet lungesygdomme viser sig fuldt ud
efter en række år.
5.2 Sundhed er flere ting
Udviklingen i middellevetiden og forskellene i levetid giver ikke et fuldkomment billede af befolknin-
gens helbred. Et bredere fokus kan inddrage kvaliteten af levetiden, herunder om flere leveår giver
anledning til flere sunde leveår med mulighed for at leve et aktivt liv.
Sundhed i et sådant bredere fokus kan være sammensat af en række faktorer, herunder om man op-
lever at have et godt helbred både fysisk og mentalt med fravær af begrænsende lidelser. Der kan
også være andre ting, der har betydning for den samlede oplevelse af et godt liv, fx et aktivt fritids-
eller arbejdsliv, og om man jævnligt har kontakt til familie og venner, eller føler sig ensom.
Se fx Aburto m.fl.,
Potential gains in life expectancy by reducing inequality of lifespans in Denmark: an international comparison and cause-
of-death analysis, 2018.
2
Ulighedsredegørelsen 2021
December 2021
113
FIU, Alm.del - 2021-22 - Bilag 62: Ulighedsredegørelsen 2021, fra finansministeren
2506836_0116.png
Kapitel 5
Forskelle i sunde leveår
Der er blevet peget på, at sunde leveår blandt ældre kan vurderes ud fra fire dimensioner, som omfat-
ter fravær af sygdom, opretholdelsen af et højt kognitivt og fysisk funktionsniveau, aktiv deltagelse i
samfundslivet samt mental sundhed,
jf. boks 5.1.
Boks 5.1
Sunde leveår blandt ældre
Forskningen tager udgangspunkt i flere indikatorer, når sunde leveår analyseres. Rowe og Kahns har eksempelvis
præsenteret en model i studiet
Successful Aging
(1997) (oversat: sund aldring), som beskriver, hvad der skal til for
at blive ældre og fortsat have et sundt liv. Modellen danner grundlag for tilgangen til sundhed og sunde leveår i
analyserne her. Tilgangen tager udgangspunkt i den ældre del af befolkningen og er dermed ikke nødvendigvis
repræsentativ for, hvad sunde leveår er for hele befolkningen under ét.
Modellen for sund aldring omfattede i udgangspunktet tre områder, men senest har Sundhedsstyrelsen og
Syddansk Universitet (Sund
aldring,
2021) tilføjet en kategori omkring
mental sundhed.
De tre oprindelige kategorier
for sund aldring omfatter
fravær af sygdom, aktiv deltagelse i livet
samt
højt kognitivt og fysisk funktionsniveau.
Det
enkelte område dækker over en lang række af potentielle underkategorier, som alle kan være med til at belyse
hovedområdet fra forskellige vinkler.
Fravær af sygdom
kan dække over fraværet af specifikke sygdomme eller en bredere gruppe af sygdomme med
ens karakteristika.
Højt kognitivt og fysisk funktionsniveau
omfatter evnerne til at gennemføre aktiviteter af fysisk og
kognitiv karakter.
Aktiv deltagelse i livet
omfatter ifølge Rowe og Kahn både sociale relationer og såkaldte
produktive aktiviteter. Sociale relationer beskriver blandt andet muligheden for at modtage hjælp fra andre, herunder
støtte i perioder med personlige udfordringer, mens
produktive
aktiviteter eksempelvis omfatter ulønnet frivilligt
arbejde eller pasning af børnebørn.
Der er en vis grad af overlap på de fire områder, ligesom der også tit er en tæt sammenhæng mellem dem.
Eksempelvis kan et sygdomsforløb medføre nedsat funktionsniveau både fysisk og kognitivt. Nedsat
funktionsniveau kan bidrage til mindre deltagelse i livet samt være med til at påvirke det mentale helbred negativt.
Hvert af de fire områder, som samlet set afgrænser sundhed, kan beskrives med forskellige indikatorer. Under hvert
enkelt område er der en række mulige definitioner, metoder og data, der kan bidrage til at beskrive gode leveår,
jf.
figur a.
114
Ulighedsredegørelsen 2021
December 2021
FIU, Alm.del - 2021-22 - Bilag 62: Ulighedsredegørelsen 2021, fra finansministeren
2506836_0117.png
Kapitel 5
Forskelle i sunde leveår
Boks 5.1 (fortsat)
Sunde leveår blandt ældre
Figur a
Sunde leveår er flere ting
Anm.:
Fravær af sygdom:
baseret på Charlson-diagnoser over en treårig periode.
Aktiv deltagelse i livet:
Frivillighedsundersøgelsen
af VIVE, 2021.
Højt kognitivt og fysisk funktionsniveau:
Baseret på data fra SHARE i
2015.
Mental sundhed: Declining incidence of dementia: A national registry-based study over 20 years
af Taudorf m.fl.,
2019 og
Livskvalitetsundersøgelsen
af Danmarks Statistik, 2015.
Kilde: Egne beregninger på lovmodellens datagrundlag.
Definitionen af, hvad det vil sige at have et godt helbred, kan variere over tid. Det kan blandt skyldes, at der i takt
med at middellevetiden stiger, stilles større krav til egen sundhed, og hvad man skal være i stand til. De fleste for-
venter formentlig, at alderdommen skal bruges på tid med børnebørnene, fritidsinteresser og måske endda flere
rejser. Det kan også hænge sammen med, at nogle sygdomme påvirker helbredet forskelligt over tid. Invalideringen
af bestemte sygdomme reduceres således ofte over tid. Et amerikansk studie* viser, at især øjensygdomme og
blodpropper bliver mindre invaliderende fra starten af 1990’erne til slutningen af 00’erne. Modsat viser de, at de-
mens er mere invaliderende over tid. Det kan hænge sammen med, at flere modtager diagnosen i dag, i takt med at
befolkningen bliver ældre.
*) Se
Understanding the improvement in disability free life expectancy in the US elderly population, 2016,
Chernem
m.fl.
Det er komplekst at vurdere kvaliteten af leveår i alle dimensioner. Og der eksisterer derfor heller ikke
ét mål, der entydig kan benyttes til at vurdere, om et leveår samlet set er sundt. Opgørelserne i dette
kapitel knytter sig til de dimensioner, der har fokus på sunde leveår uden diagnoser for en række ud-
valgte somatiske sygdomme eller funktionsnedsættelse. Det er således ikke en udtømmende beskri-
velse af den generelle sundhed i befolkningen.
Betydning af sundhed for livstilfredshed
Oplevelsen af at være sund er i nogen grad subjektiv og kan variere fra person til person. Eksempel-
vis vil nogle personer opleve sig selv som værende sunde, hvis de kan klare dagligdags opgaver som
at stå ud af sengen og være i stand til at lave mad. Andre vil først definere sig som sunde, hvis de
Ulighedsredegørelsen 2021
December 2021
115
FIU, Alm.del - 2021-22 - Bilag 62: Ulighedsredegørelsen 2021, fra finansministeren
2506836_0118.png
Kapitel 5
Forskelle i sunde leveår
også er i stand til at rejse, besøge venner og familie, mens andre igen vil tolke et sundt liv som det at
være i stand til at gå på arbejde og løbe langdistanceløb.
Oplevelsen af at være sund kan også variere over tid. I et velstående land med en høj grad af lige
muligheder for uddannelse og sundhed kan forventningerne til det sunde liv blive opfattet relativt til
sundheden i den øvrige befolkning. I takt med at flere og flere kan leve et aktivt liv med rejser og fy-
sisk udfoldelse, kan disse aktiviteter blive opfattet som almindelige og som en forventelig del af et
sundt liv.
Tilsvarende kan oplevelsen af at være sund også variere mellem aldersgrupper eller på tværs af ge-
nerationer. Eksempelvis har forskelle i fysisk sundhed målt ved begrænsninger i dagligdagen umid-
delbart mindre betydning for livstilfredsheden i den ældre del af befolkningen end i den yngre del af
befolkningen. Det kan blandt andet skyldes, at lidelser med betydning for det fysiske helbred er mere
almindelige i den ældre del af befolkningen.
Livskvalitetsundersøgelsen,
Danmarks Statistik fra 2015 viser en sammenhæng mellem livstilfreds-
hed og oplevelsen af eget helbred. De personer, som føler sig begrænset i dagligdagens aktiviteter
på grund af helbredet, er generelt mindre tilfredse med livet end personer, der ikke føler sig begræn-
set,
jf. figur 5.3.
Figur 5.3
Tilfredshed med livet opdelt på alder og
begrænsninger i dagligdagen pga. helbredet
Tilfredshed med livet
10
8
6
4
2
0
50-59
60-69
Ikke begrænset
Meget begrænset
70-79
Alder, år
80-89
90-99
Lidt begrænset
Alle
Tilfredshed med livet
10
8
6
4
2
0
Figur 5.4
Tilfredshed med livet opdelt på alder og
selvvurderet helbred
Tilfredshed med livet
10
8
6
4
2
0
50-59
60-69
Meget godt
Meget dårligt
70-79
Alder, år
Godt
Alle
80-89
90-99
Dårligt
Tilfredshed med livet
10
8
6
4
2
0
Anm.: Selvvurderede aktivitetsbegrænsninger fra
Livskvalitetsundersøgelsen 2015
gennemført af Danmarks Statistik
vedrørende spørgsmålene: ”Er du på grund af dit helbred begrænset i dine daglige aktiviteter?” og ”Hvordan
synes du, dit helbred er alt i alt?”. Ca. 42.500 personer har besvaret undersøgelsen. Opregnet til
befolkningsniveau ved hjælp af vægte fra undersøgelsen. Tilfredshed med livet knytter sig til følgende spørgsmål
i undersøgelsen: ”Alt i alt hvor tilfreds er du med dit liv for tiden?”. Svaret angives på en skala mellem 0 og 10.
Kilde: Egne beregninger på lovmodellens datagrundlag.
Tilsvarende er personer, der beskriver deres helbred som værende enten ”meget dårligt” eller ”dår-
ligt”, markant mindre tilfredse med livet, end personer, som beskriver deres helbred som ”godt” eller
”meget godt”,
jf. figur 5.4.
116
Ulighedsredegørelsen 2021
December 2021
FIU, Alm.del - 2021-22 - Bilag 62: Ulighedsredegørelsen 2021, fra finansministeren
2506836_0119.png
Kapitel 5
Forskelle i sunde leveår
Sundhed som fravær af funktionsnedsættelser eller sygdom
Personer med et godt helbred kan blandt andet afgrænses til personer, der
ikke
føler sig begrænset i
almindelige daglige aktiviteter (højt
fysisk funktionsniveau)
eller ikke er ramt af sygdom (sygdomsfri).
I litteraturen er personers helbred ofte blevet undersøgt med udgangspunkt i oplysninger om selvop-
levet helbred indsamlet ved interview- eller spørgeskemaundersøgelser (surveydata). Analyser på
denne type af data er begrænset af, at oplysningerne typisk ikke indsamles systematisk over tid og
kun omfatter en mindre del af befolkningen.
To surveys, som er indsamlet over tid, er den såkaldte Ældredatabase og SHARE
3
. I begge undersø-
gelser stilles spørgsmål vedrørende selvvurderet helbred til et begrænset antal ældre over 50 år.
Ældredatabasen er en national undersøgelse af danskernes helbred, som blev gennemført første
gang i 1997 og indsamles hvert femte år. SHARE er en europæisk undersøgelse af helbredet i de en-
kelte landes befolkninger, der er indsamlet ca. hvert andet år siden 2002.
Et spørgsmål, som ofte indgår i helbredsundersøgelser, er, om de adspurgte generelt føler sig
be-
grænset i aktiviteter, som personer normalt udfører, på grund af helbredsproblemer
4
. Det giver såle-
des en subjektiv vurdering af eget helbred. Selvvurderet helbred er tidligere vist korreleret med fore-
komsten af sygdom og død. Selvvurderet helbred opgjort på denne måde viser isoleret set en forbed-
ring af helbredet i befolkningen fra 2002 til 2015 opgjort ved SHARE. Omkring 37 pct. af personer
mellem 65 og 79 år svarede, at de følte sig begrænset i 2015, hvilket er ca. 5,5 pct.-point færre end i
2002,
jf. figur 5.5.
En anden tilgang til at opgøre befolkningens helbred er at stille en række spørgsmål om muligheden
for selvstændigt at udføre udvalgte aktiviteter (ADL). Spørgsmålene tager udgangspunkt i konkrete
aktiviteter, som bidrager til at gøre det muligt at klare sig selv i hverdagen, fx om det er muligt selv at
klare madlavning, toiletbesøg og gå op ad trapper
5
. Det er dermed en mere objektiv indikator baseret
på konkrete aktiviteter, og besvarelserne kan være mere sammenlignelige på tværs af de adspurgte
og over tid.
Befolkningens helbred skønnes at være forbedret ved opgørelse af ADL over de seneste to årtier.
Ifølge Ældredatabasen er andelen af de 65-79-årige med begrænsninger i at udføre én af seks hver-
dagsaktiviteter faldet fra 34 pct. i 1997 til 26,5 pct. i 2017. Oplysningerne i SHARE viser et fald i ande-
len med begrænsninger fra ca. 9 pct. i 1997 til ca. 6 pct. i 2017.
Den højere andel af personer med begrænsninger ifølge oplysningerne fra Ældredatabasen skyldes
blandt andet, at der her både er mulighed for at svare ”ja” til at være begrænset i mere og mindre
grad.
The Survey of Health, Ageing and Retirement in Europe.
”..har De på grund af et helbredsproblem følt begrænsninger i forhold til de aktiviteter, folk normalt laver?” forkortet
GALI: Global Activity Limitation Indicator.
5
Målet beskrives i litteraturen som ADL: Activities of Daily Living.
3
4
Ulighedsredegørelsen 2021
December 2021
117
FIU, Alm.del - 2021-22 - Bilag 62: Ulighedsredegørelsen 2021, fra finansministeren
2506836_0120.png
Kapitel 5
Forskelle i sunde leveår
Figur 5.5
Indikatorer på dårligt helbred, 1997 og 2017
Pct. af befolkningen/ældre
50
40
30
20
10
0
Landspatientregistret
Charlson-diagnose
Registerdata
2017 (2015)
Ældredatabasen
SHARE
SHARE
Begrænset i daglige aktivteter
pga. helbredsproblemer
Begrænset i at gennemføre mindst en ud af seks daglige
aktiviteter
Surveydata
1997 (2002)
Pct. af befolkningen/ældre
50
40
30
20
10
0
Anm.: Opgørelsen af Charlson-diagnoser omfatter voksne over 70 år. Ældredatabasen og SHARE omfatter 65-79-
årige, idet datagrundlaget er begrænset til gruppen i ældredatabasen i 1997. Oplysninger fra Ældredatabasen og
diagnoser er fra 1997 og 2017. Oplysninger fra SHARE er fra 2002 og 2015.
Kilde: Egne beregninger på Ældredatabasen, SHARE samt lovmodellens datagrundlag.
En ulempe ved oplysninger om selvoplevet sundhed fra spørgeskemaundersøgelser er, at de kun
omfatter et mindre udsnit af befolkningen. Oplysninger indsamlet med administrative formål omfatter
modsat typisk hele befolkningen. Det gælder eksempelvis forekomsten af diagnoser modtaget på
hospitaler, som er indsamlet centralt i Landspatientregisteret. Det er på baggrund heraf muligt at iden-
tificere alle personer med diagnoser for udvalgte sygdomme. Det gælder eksempelvis de såkaldte
Charlson-diagnoser, herunder diabetes, hjertekarsygdomme, demens og kræft, som har det til fælles,
at de vurderes at øge risikoen for at dø.
Andelen af befolkningen over 70 år, som lever med en Charlson-diagnose, er steget de seneste 20
år. Andelen af befolkningen med en såkaldt Charlson-diagnose er steget fra 28,5 pct. i 1997 til knap
30 pct. i 2017 med den anvendte opgørelsesmetode.
Sunde leveår
Ved at kombinere oplysninger om befolkningens dødelighed og ’sygdoms’-hyppigheder er det muligt
at opgøre antal sunde leveår ved den såkaldte
Sullivans metode, jf. boks 5.2.
Mål for sygdomshyppig-
heder tager udgangspunkt i de aldersbetingende forekomster af diagnoser eller aktivitetsbegrænsnin-
ger opdelt på køn.
Sunde leveår udgør den største del af livet, når det opgøres med udgangspunkt i seks surveyspørgs-
mål om begrænsninger i daglige aktiviteter på baggrund af data fra SHARE. Med udgangspunkt i
samme mål, men på baggrund af data fra Ældredatabasen, er der færre sunde leveår og en mindre
forskel på tværs af køn. En af fordelene ved Ældredatabasen er, at det er en betydeligt større stik-
prøve end SHARE, og det må derfor forventes, at stikprøveusikkerheden er mindre.
118
Ulighedsredegørelsen 2021
December 2021
FIU, Alm.del - 2021-22 - Bilag 62: Ulighedsredegørelsen 2021, fra finansministeren
2506836_0121.png
Kapitel 5
Forskelle i sunde leveår
Sunde leveår uden aktivitetsbegrænsninger udgør 80,4 år for kvinder og 77,6 år for mænd i 2015 op-
gjort ved SHAREs data,
jf. figur 5.6.
Opgjort på baggrund af data fra Ældredatabase udgør sunde le-
veår ca. 75�½ år og er omtrent ens på tværs af køn.
Diagnosefri levetid baseret på oplysninger fra Landspatientsregistret er lidt kortere end ved mål for
begrænsninger i daglige aktiviteter baseret på data fra SHARE. Diagnosefri levetid udgør således
79,0 år for kvinder og 75,4 år for mænd i 2017.
Figur 5.6
Mål for sunde leveår for 50-årige, 2017 eller seneste år
Alder, år
90
85
80
75
70
65
60
Landspatientregistret
Middellevetid
Charlson-diagnose
Mænd
Ældredatabasen
SHARE*
SHARE*
Begrænset i aktivteter
pga. helbredsproblemer
Begrænset i at gennemføre mindst en ud af seks
daglige aktiviteter
Kvinder
Alder, år
90
85
80
75
70
65
60
Anm.: Datagrundlagene varierer på tværs af mål. Landspatientregistret er brugt til diagnoser. SHARE
The Survey of
Health, Ageing and Retirement in Europe
er en spørgeskemaundersøgelse foretaget af forskere, finansieret af EU-
kommissionen. ADL (Activities
of Daily Living)
er en samlet score over en række spørgsmål vedrørende konkrete
daglige aktiviteter, såsom begrænsninger i at gå en tur, lave mad, gå på trapper eller lignende. GALI
Global Acti-
vity Limitation Indicator
omfatter ét spørgsmål vedr. begrænsninger i daglige aktiviteter.
*)
2015-tal.
Kilde: Egne beregninger på VIVEs ældredatabase, SHARE samt lovmodellens datagrundlag.
Antallet af sunde leveår er færrest, når det opgøres på baggrund af ét spørgsmål om aktivitetsbe-
grænsninger i bred forstand. Det dækker over, at en stor andel af de ældre, svarende til ca. 40 pct. af
de 65-79-årige, i nogen grad føler sig begrænset på grund af helbredet. Sammenlignet med andre
helbredsindikatorer kan det indikere, at målet er for bredt, og at det formentlig indkredser en gruppe
af ældre, som kan opretholde et normalt liv med høj livskvalitet.
Ulighedsredegørelsen 2021
December 2021
119
FIU, Alm.del - 2021-22 - Bilag 62: Ulighedsredegørelsen 2021, fra finansministeren
2506836_0122.png
Kapitel 5
Forskelle i sunde leveår
Boks 5.2
Metode til opgørelse af sunde leveår
Sunde leveår opgøres ved den såkaldte Sullivans metode, som er en udbredt metode til at opgøre sunde leveår. Fx
i EU-kommissionens opgørelse af
Healthy Life Years,
som opgør sunde leveår for EU’s medlemslande.
Et centralt spørgsmål i beregningen af sunde leveår er, hvordan sundhed defineres, og hvordan det er muligt at op-
gøre på baggrund af tilgængelige oplysninger om danskernes helbred. For at kunne opgøre sunde leveår er der
behov for oplysninger, som indikerer, om en personer er ved godt eller dårligt helbred.
I praksis beregnes sandsynligheden for at være ved dårligt helbred for hvert alderstrin og evt. inden for en given
gruppe, herunder køn og uddannelse. De kombinerede overlevelses- og sundhedssandsynligheder er således med
til at danne den samlede sandsynlighed for at overleve som sund på hvert alderstrin og deraf antallet af sunde le-
veår.
Sullivans metode
Med Sullivans metoden beregnes en sygdoms- eller invalideringshyppighed på hvert alderstrin i befolkningen. Den
beregnede hyppighed kombineres med dødelighedstavler og derved fås et mål for sund overlevelse på hvert alders-
trin til beregning af sund middellevetid. Dødelighedstavler indeholder de aldersbetingede overlevelsessandsynlighe-
der og danner dermed grundlag for opgørelsen af middellevetider.
Sunde leveår for 50-årige opgøres eksempelvis ved at beregne, hvor stor en andel af de 50-årige, der bliver ét år
ældre, og hvor mange af disse der er ved godt helbred. Det samme for de 51-årige osv.
Sandsynligheden for at være ved godt helbred opgøres, som andelen, der vurderer sig selv som værende ved godt
helbred, eller som andelen der ikke har en relevant diagnose. Det er således muligt for personer, som på et tidligere
tidspunkt i livet havde dårligt helbred, at vurdere sig selv som værende ved godt helbred igen senere i livet. Hyppig-
hederne opgøres altså med såkaldt
tilbagelægning.
Det er på linje med EU-kommissionens fremgangsmåde. Det
kan i få tilfælde medføre, at sandsynligheden for at have et godt helbred er stigende med alderen inden for nogle
aldersintervaller.
Hvordan opgøres sunde leveår?
Ved opgørelsen af sunde leveår skelnes der ofte mellem antallet af sunde leveår og sunde leveår som andel af mid-
dellevetiden. En 65-årige kan eksempelvis ifølge opgørelsen fra EU-kommissionen på baggrund af oplysninger fra
EU-SILC forvente 11,3 sunde leveår i 2019, hvilket er uændret siden 2018. I samme periode er middelevetiden for
de 65-årige imidlertid steget fra 19,4 år til 19,8 år. Det betyder, at sunde leveår som andel af middellevetiden er fal-
det fra 58 pct. til 57 pct. Antallet af sunde leveår er
uændret,
mens sunde leveår som andel af middellevetiden er
faldet.
Konklusionerne af opgørelsen kan variere alt efter, hvordan sunde leveår præsenteres.
Mål for sunde leveår
Sunde leveår bliver her opgjort ved hjælp af oplysninger om selvoplevet helbred fra surveyundersøgelser og diagno-
ser fra Landspatientregistret. Det første beskriver leveår uden begrænsninger i at gennemføre hverdagsaktiviteter,
leveår uden aktivitetsbegrænsninger.
Det andet viser leveår uden sygdom,
diagnosefri levetid.
120
Ulighedsredegørelsen 2021
December 2021
FIU, Alm.del - 2021-22 - Bilag 62: Ulighedsredegørelsen 2021, fra finansministeren
2506836_0123.png
Kapitel 5
Forskelle i sunde leveår
Boks 5.2 (fortsat)
Metode til opgørelse af sunde leveår
Selvrapporteret sundhed (surveydata)
Til survey-målet for sunde leveår benyttes et Activities of Daily Livinging (ADL) mål. Dette er baseret på besvarelser
vedrørende muligheden for at udføre forskellige dagligdagsaktiviteter. De tager udgangspunkt i områderne: Gå om-
kring i hjemmet (evt. ved hjælp af stok, krykker el.lign.), vaske sig (gå i bad), tage tøj eller sko af og på, klippe tå-
negle, gå på trapper og gå udendørs. Mangel på sundhed er defineret som at have besvær med eller slet ikke at
kunne udføre mindst en af disse aktiviteter.
Opgørelsen af sunde leveår i analysen benytter data fra Ældredatabasen. Ældredatabasen har i basisåret ikke no-
gen besvarelse på de ældste alderstrin over 79 år, og det antages derfor beregningsteknisk, at sygdomsfrekvensen
er konstant efter 75-79 år for alle årene. Desuden er sygdomsfrekvenserne lagt fladt inden for aldersintervaller af 5
år, da respondenterne til undersøgelsen er udvalgt i 5-års aldersintervaller. Undersøgelsen er gennemført i årene
1997, 2002, 2007, 2012 og 2017.
Der er i opgørelsen taget udgangspunkt i nogle relativt få grupper af aktiviteter, som i sig selv har nogle begræns-
ninger. Det er som nævnt muligt at udvide med spørgsmål om andre aktiviteter, som kan være med til at belyse
sundhed i flere dimensioner. Det kan eksempelvis udvides med spørgsmål om aktiviteter som at benytte en telefon
eller computer, handle ind, rengøring i eget hjem, selv stå for regnskaber mv., der i litteraturen er omtalt som IADL
(instrumental
activities of daily living).
Det kan også udvides til at omhandle mål såsom gribestyrke. Store stikprøver
er særligt vigtigt for beregning af sunde leveår, da metoden kræver observationer på flere alderstrin og helst også
på de højeste alderstrin, hvilket kan være svært at indsamle og ofte er sparsomt repræsenteret i stikprøver for hele
befolkningen.
Sygdomme (registerdata)
Ved opgørelsen af sundhed ved brug af registeroplysninger for hele befolkningen er de aldersbetingede sundheds-
sandsynligheder beregnet på baggrund hoveddiagnoser på de danske sygehuse fra Landspatientregistret. Sygdom-
mene omfatter 17 sygdomsgrupper, som betegnes Charlson-diagnoser. De blev samlet og beskrevet af Mary Charl-
son, som påviste, at de var forbundet med en forøget sandsynlighed for at dø. I opgørelsen af diagnosefri middelle-
vetid defineres en person som værende ved et dårligt helbred, hvis vedkommende har modtaget en Charlson-diag-
nose i året, året inden eller året efter opgørelsestidspunktet. Hvis vedkommende overlever en Charlson-diagnose i
mere end et år, vurderes personen i opgørelsen som værende diagnosefri igen. Charlson-diagnoser er selvsagt ikke
dækkende over alle sygdomme, som kan påvirke individets helbredsstatus. Sjældne sygdomme og psykiske diag-
noser er eksempelvis ikke dækket, da det er somatiske hovedgrupper af udbredte sygdomme.
Diagnoserne omfatter følgende 17 hovedgrupper: Blodprop i hjertet (myokardieinfarkt), kongestiv hjerteinsufficiens,
perifer arteriesygdom, blodkarsygdomme i hjernen, demens, forhøjet blodtryk i lungekredsløb, bindevævssyg-
domme, mavesårssygdomme, mild leversygdom, diabetes uden komplikationer, diabetes med komplikationer, hjer-
neskader / lammelse af legemer, nyresygdom, kræft, alvorlig leversygdom, metastatisk kræft og AIDS/HIV.
5.3 Udvikling i sunde leveår
Udviklingen i sunde leveår kan belyses med udgangspunkt i antallet eller andelen af middellevetiden,
som er sunde leveår. Der tages her udgangspunkt i to mål for sunde leveår – diagnosefri leveår og
leveår uden aktivitetsbegrænsninger. Diagnosefri leveår er opgjort på baggrund af registeroplysnin-
ger, mens leveår uden aktivitetsbegrænsninger er opgjort på baggrund af surveyoplysninger fra Æl-
dredatabasen.
Ulighedsredegørelsen 2021
December 2021
121
FIU, Alm.del - 2021-22 - Bilag 62: Ulighedsredegørelsen 2021, fra finansministeren
2506836_0124.png
Kapitel 5
Forskelle i sunde leveår
Antallet
af sunde leveår er steget over tid for de fleste af de benyttede mål, hvilket blandt andet frem-
går af Sundhedsstyrelsens litteraturgennemgang,
Sund aldring,
2021. Det skal ses i lyset af, at en
uændret sundhed i befolkningen kombineret med længere levetid i sig selv vil resultere i flere sunde
leveår.
Der er modsat tegn på, at konklusionen om, hvorvidt
andelen
af livet med godt helbred er øget eller
reduceret over tid, afhænger af det valgte mål og datagrundlag.
Leveår uden aktivitetsbegrænsninger
Personer over 50 år oplever som hovedregel færre begrænsninger i daglige aktiviteter i 2017 sam-
menlignet med 1997. Blandt mænd er andelen med oplevede begrænsninger faldet mest blandt de
ældste, mens andelen er faldet mindst blandt personer i de yngre aldersgrupper og endda steget en
smule for de 50-54-årige,
jf. figur 5.7.
Figur 5.7
Mænd med begrænsninger i daglige aktiviteter,
1997 og 2017
Pct.
60
50
40
30
20
10
0
50-54
55-59
60-64
1997
65-69 70-74
Alder, år
75-79
2017
80-84
Pct.
60
50
40
30
20
10
0
Figur 5.8
Kvinder med begrænsninger i daglige
aktiviteter, 1997 og 2017
Pct.
60
50
40
30
20
10
0
50-54
55-59
60-64
1997
65-69 70-74
Alder, år
75-79
2017
80-84
Pct.
60
50
40
30
20
10
0
Anm.: Andelen af befolkningen, som er begrænset i daglige aktiviteter, tager udgangspunkt i svar på: ”Hvordan klarer
du følgende opgaver? Har du normalt besvær med: 1) At klippe tånegle?, 2) At gå på trapper?, 3) At gå
udendørs?, 4) At gå omkring i hjemmet?, 5) At vaske dig (gå i bad)? og 6) At tage tøj eller sko af og på?”.
Spørgsmålene er ikke stillet til personer under 65 år i 2017, hvorfor andelene for disse aldersgrupper stammer fra
2012-besvarelserne. Spørgsmålene er stillet til aldersgrupperne 52-, 57-, 62-, 67-, 72- og 77-årige og
repræsenterer dermed 5-års aldersintervaller. Det er beregningsteknisk lagt til grund, at andelen af befolkningen
over 80 år, som er begrænset i daglige aktiviteter, er den samme som blandt 75-79-årige.
Kilde: Egne beregninger på lovmodellens datagrundlag og Ældredatabasen.
Blandt kvinder er andelen med oplevede aktivitetsbegrænsninger faldet for alle aldersgrupper, idet
udviklingen også her har været størst blandt personer i de ældste aldersgrupper,
jf. figur 5.8.
tværs af aldersgrupper oplever en større andel af kvinderne end mændene begrænsninger i daglige
aktiviteter.
Det skal bemærkes, at der ikke findes oplysninger om udviklingen i andelen med aktivitetsbegræns-
ninger for personer over 79 år, som beregningsteknisk antages at være identisk med andelen blandt
75-79-årige. Hvis andelen med aktivitetsbegrænsninger faktisk er reduceret
mere
for personer over
122
Ulighedsredegørelsen 2021
December 2021
FIU, Alm.del - 2021-22 - Bilag 62: Ulighedsredegørelsen 2021, fra finansministeren
2506836_0125.png
Kapitel 5
Forskelle i sunde leveår
79 år, så er udviklingen undervurderet. Modsat hvis andelen er reduceret
mindre,
så er udviklingen
overvurderet.
Faldet i andelen af personer med aktivitetsbegrænsninger på tværs af aldersgrupper bidrager til en
relativt stor stigning i det skønnede antal sunde leveår for personer over 50 år. Det skal ses i lyset af,
at hvis andelen med aktivitetsbegrænsninger havde været uændret, så ville stigningen i middelleveti-
den i sig selv have medført en stigning i antallet af sunde leveår målt som år uden aktivitetsbegræns-
ninger.
Sunde leveår målt som leveår uden aktivitetsbegrænsninger er steget omtrent svarende til stigningen
i middellevetiden fra 1997 til 2017. Leveår uden aktivitetsbegrænsninger er steget med omkring 4 år
for både kvinder og mænd, mens middellevetiden er steget lidt mere for mænd og lidt mindre for kvin-
der,
jf. figur 5.9.
Stigningen i antal leveår uden aktivitetsbegrænsninger udgør dermed ca. 98-115 pct.
af stigningen i middellevetiden på tværs af køn.
Det kan blandt andet skyldes, at bedre sygdomsbehandling, mere skånsomme operationer og bedre
genoptræning efter eksempelvis en hofteoperation bidrager til at reducere eller undgå funktionsned-
sættelser, som normalt er forbundet med aktivitetsbegrænsninger. Herudover kan et mindre nedsli-
dende arbejdsliv for nogle være med til at udskyde fysiske skavanker. Endelig kan livsstilsændringer
være med til at forbedre den generelle sundhed.
Figur 5.9
Udvikling i middellevetid og levetid uden aktivitetsbegrænsninger for 50-årige, 1997-2017
År
5
+4,1 år
4
+4,0 år
+3,4 år
3
3
+3,9 år
År
5
4
2
2
1
1
0
Mænd
Middellevetid
Kvinder
Leveår uden aktivitetsbegrænsninger
0
Anm.: 50+-årige. Se boks 5.2 for metode.
Kilde: Egne beregninger på lovmodellens datagrundlag.
Opgørelsen viser, at andelen af livet, som udgøres af sunde leveår uden aktivitetsbegrænsninger, er
steget på tværs af køn i den betragtede periode. For mænd kan hele stigningen i middellevetid siges
at være omsat til sunde leveår, hvorfor andelen af livet med sunde leveår er steget. For kvinder har
stigningen i sunde leveår ligefrem oversteget stigningen i middellevetiden, hvilket har medført en
større stigning i andelen af livet med sunde leveår.
Ulighedsredegørelsen 2021
December 2021
123
FIU, Alm.del - 2021-22 - Bilag 62: Ulighedsredegørelsen 2021, fra finansministeren
2506836_0126.png
Kapitel 5
Forskelle i sunde leveår
Andelen af leveår uden aktivitetsbegrænsninger er steget med 2 pct.-point fra 1997 til 2017 for
mænd, mens den er steget med 4 pct.-point for kvinder fra 1997 til 2017. 50-årige mænd oplever ca.
82 pct. af livet uden aktivitetsbegrænsninger, mens det er 75 pct. for kvinder i 2017,
jf. figur 5.10 og
5.11.
Figur 5.10
Levetid uden aktivitetsbegrænsninger for
50-årige mænd, 1997 og 2017
År
90
85
80
75
70
82 pct.
65
60
1997
Uden aktivitetsbegrænsninger
2017
Middellevetid
80 pct.
65
60
År
90
85
80
75
70
Figur 5.11
Levetid uden aktivitetsbegrænsninger for
50-årige kvinder, 1997 og 2017
År
90
85
80
75
70
75 pct.
65
60
1997
Uden aktivitetsbegrænsninger
2017
Middellevetid
71 pct.
65
60
År
90
85
80
75
70
Anm.: 50+-årige. Se boks 5.2 for metode.
Kilde: Egne beregninger på lovmodellens datagrundlag.
Diagnosefri leveår
Der er en mindre andel af kvinder end af mænd, som modtager en diagnose. Det kan blandt andet
skyldes, at kvinder er mere opmærksomme på eget helbred, og oftere går til lægen. Det kan også
skyldes, at kvinder har en sundere livsstil end mænd. Opgørelsen af diagnosefri leveår tager ud-
gangspunkt i somatiske hoveddiagnoser på de danske sygehuse fra Landspatientregistret. Sygdom-
mene omfatter 17 sygdomsgrupper, der betegnes ”Charlson-diagnoser”.
Sandsynligheden for at modtage en diagnose har været stigende fra slutningen af 90’erne for både
mænd og kvinder. Kvinder har imidlertid fortsat en lavere risiko end mænd for at modtage en diag-
nose på tværs af alle alderstrin.
Stigningen i antal diagnoser afspejler formentlig blandt andet bedre teknologi på sundhedsområdet
og mere udbredt og bedre screening for alvorlige lidelser. Det kan således skyldes, at flere syg-
domme opdages tidligere og behandles med det resultat, at levetiden forlænges. Længere levetid gi-
ver desuden mulighed for at blive diagnosticeret flere gange i løbet af livet. Det kan imidlertid også for
nogle sygdomme skyldes, at de bliver mere udbredte.
Det kan desuden have betydning for udviklingen i andelen med diagnoser, hvis der forekommer æn-
dringer i praksis for, om diagnoserne bliver stillet hos lægen eller på hospitalet. Diagnoser er i opgø-
relsen identificeret ved oplysninger fra Landspatientregistret, som alene omfatter hospitalspatienter.
124
Ulighedsredegørelsen 2021
December 2021
FIU, Alm.del - 2021-22 - Bilag 62: Ulighedsredegørelsen 2021, fra finansministeren
2506836_0127.png
Kapitel 5
Forskelle i sunde leveår
Andelen af personer, der modtager en diagnose, er steget blandt personer over 70 år for både mænd
og kvinder fra 1997 til 2017,
jf. figur 5.12 og 5.13.
Figur 5.12
Mænd med en diagnose opdelt på alder, 1997
og 2017
Andel med diagnose, pct.
35
30
25
20
15
10
5
0
40 45 50 55 60 65 70 75 80 85 90 95 100
Alder, år
1997
2017
Andel med diagnose, pct.
35
30
25
20
15
10
5
0
Figur 5.13
Kvinder med en diagnose opdelt på alder, 1997
og 2017
Andel med diagnose, pct.
35
30
25
20
15
10
5
0
40 45 50 55 60 65 70 75 80 85 90 95 100
Alder, år
1997
2017
Andel med diagnose, pct.
35
30
25
20
15
10
5
0
Anm.: Diagnoser er defineret som Charlson-diagnoser, jf. boks 5.2. Som følge af få observationer i de ældre
aldersgrupper er det beregningsteknisk lagt til grund, at andelen med en diagnose er uændret for 80+-årige.
Kilde: Egne beregninger på lovmodellens datagrundlag.
Sunde leveår målt ved diagnosefri levetid er steget fra 1997 til 2017. Stigningen i andelen af personer
med en diagnose betyder, at det ikke er helbredsforbedringer målt ved færre diagnoser, som har
medført flere sunde leveår. Stigningen i diagnosefri middellevetid skyldes, at middellevetiden er ste-
get, og ikke at der forekommer færre diagnosticerede sygdomme.
Det kan hænge sammen med, at sygehudsvæsenet er blevet bedre til at opdage og diagnosticere
nogle sygdomme. Det kan blandt andet skyldes bedre teknologi, flere screeninger af patienter og ny
viden. Det vil i sig selv være med til at øge antallet af
identificerede
sygdomme i befolkningen, men vil
som udgangspunkt ikke gøre befolkningen mindre sund.
I takt med at levetiden stiger, er der også flere ældre, som når at få sygdomme forbundet med høj al-
der, eksempelvis demens, diabetes og hjertekarsygdomme.
Sunde leveår målt som diagnosefri leveår er steget med ca. 2,7 år for mænd og 2,4 år for kvinder fra
1997 til 2017,
jf. figur 5.14.
Det svarer for begge køn til i størrelsesordenen 65-70 pct. af stigningen i
middellevetiden blandt 50-årige.
Ulighedsredegørelsen 2021
December 2021
125
FIU, Alm.del - 2021-22 - Bilag 62: Ulighedsredegørelsen 2021, fra finansministeren
2506836_0128.png
Kapitel 5
Forskelle i sunde leveår
Figur 5.14
Udvikling i middellevetid og diagnosefri levetid for 50-årige, 1997-2017
År
5
+4,1 år
4
+3,4 år
3
+2,7 år
+2,4 år
2
2
3
4
År
5
1
1
0
Mænd
Middellevetid
Kvinder
Diagnosefri levetid
0
Anm.: 50+-årige. Se boks 5.2 for metode.
Kilde: Egne beregninger på lovmodellens datagrundlag.
Til trods for at antallet af sunde leveår er steget, er andelen af livet, som udgøres af sunde leveår
uden diagnoser, reduceret en smule fra 1997 til 2017. Det skyldes, at stigningen i antallet af diagno-
sefri år udgør en lidt mindre andel af stigningen i middellevetiden end andelen af sunde leveår i 1997.
Andelen af livet, som er sunde leveår, er faldet fra 86 pct. til 83 pct. for mænd, mens andelen er faldet
fra 87 pct. til 85 pct. for kvinder fra 1997 til 2017,
jf. figur 5.15 og 5.16.
Figur 5.15
Levetid med og uden diagnoser for 50-årige
mænd, 1997 og 2017
År
90
85
80
75
70
65
60
1997
Diagnosefri levetid
2017
Middellevetid
86 pct.
83 pct.
65
60
År
90
85
80
75
70
Figur 5.16
Levetid med og uden diagnoser for 50-årige
kvinder, 1997 og 2017
År
90
85
80
75
70
65
60
1997
Diagnosefri levetid
2017
Middellevetid
85 pct.
År
90
85
80
75
70
65
60
87 pct.
Anm.: Sunde leveår er her derfineret som diagnosefri middellevetid og regnet ved Sullivans metode, se boks 5.2. Der er
taget udgangspunkt i personer, som er i live som 50-årige.
Kilde: Egne beregninger på lovmodellens datagrundlag.
126
Ulighedsredegørelsen 2021
December 2021
FIU, Alm.del - 2021-22 - Bilag 62: Ulighedsredegørelsen 2021, fra finansministeren
2506836_0129.png
Kapitel 5
Forskelle i sunde leveår
Det skal bemærkes, at oplevelsen af sygdomsforløb kan ændre sig over tid. Det er eksempelvis langt
mindre problematisk at blive diagnosticeret med diabetes i dag end for blot nogle årtier siden. Det
samme gælder i høj grad hjertesygdomme, hvor eksempelvis dødeligheden under ét er faldet mar-
kant over de seneste 50 år.
5.4 Forskelle i sunde leveår
Forskelle i levealdre kan være et tegn på forskelle i helbred, som blandt andet kan afspejle fysisk
miljø, sociale forhold, adfærd, opvækst samt medfødte forskelle i helbred. Forskellene i levealdre er
faldet over tid. Det kan afspejle, at befolkningen generelt har opnået et bedre helbred, eller at der er
bedre mulighed for at overleve med dårligt helbred.
Det forventede antal sunde leveår er en gennemsnitsbetragtning, der dækker over, at nogle personer
vil opleve flere sunde leveår, og nogle modsat vil opleve færre sunde leveår. I takt med at antallet af
sunde leveår er steget, har fordelingen af sunde leveår ændret sig. Flere 40-årige opnår et relativt
højt antal sunde leveår i 2017 end i 1997 (fordelingen af sunde leveår er rykket til højre). Det gælder
både for mænd og kvinder,
jf. figur 5.17 og 5.18.
Figur 5.17
40-årige mænd opdelt på diagnosefri levetid,
1997 og 2017
Pct.
4
Pct.
4
Figur 5.18
40-årige kvinder opdelt på diagnosefri levetid,
1997 og 2017
Pct.
4
Pct.
4
3
3
3
3
2
2
2
2
1
1
1
1
0
40 44 48 52 56 60 64 68 72 76 80 84 88 92 96 100
Alder, år
1997
2017
0
0
40 44 48 52 56 60 64 68 72 76 80 84 88 92 96 100
Alder, år
1997
2017
0
Anm.: Fordelingerne er opgjort som 5-års glidende gennemsnit. Fordelingen er baseret på sandsynlighederne for at
overleve uden en diagnose i 1997 og 2017 på 1-års alderstrin.
Kilde: Egne beregninger på lovmodellens datagrundlag.
Ændringen i fordelingerne peger på, at forskellene i antallet af sunde leveår for 40-årige er reduceret
fra 1997 til 2017. Der er således mindre forskelle på, hvor mange sunde leveår forskellige personer i
befolkningen kan forventes at opleve i 2017 end i 1997.
Forskellene i sunde leveår målt ved Gini-koefficienten er faldet for både mænd og kvinder, men faldet
har været størst blandt kvinder. Forskellene i sunde leveår er reduceret med ca. 5 pct. for mænd og
ca. 10 pct. for kvinder fra 1997 til 2017,
jf. figur 5.19 og 5.20.
Faldet i forskellene i sunde leveår er dog
mindre end faldet i forskellene i levetid.
Ulighedsredegørelsen 2021
December 2021
127
FIU, Alm.del - 2021-22 - Bilag 62: Ulighedsredegørelsen 2021, fra finansministeren
2506836_0130.png
Kapitel 5
Forskelle i sunde leveår
Figur 5.19
Forskelle i sunde leveår målt ved
Gini-koefficienten, 40-årige mænd
Indeks (1997=100)
110
Indeks (1997=100)
110
Figur 5.20
Forskelle i sunde leveår målt ved
Gini-koefficienten, 40-årige kvinder
Indeks (1997=100)
110
Indeks (1997=100)
110
100
100
100
100
90
90
90
90
80
80
80
80
70
1997
Leveår
2017
Diagnosefri leveår
70
70
1997
Leveår
2017
Diagnosefri leveår
70
Anm.: Forskellene i sunde leveår på baggrund af fordelingen af diagnosefri leveår.
Kilde: Egne beregninger på lovmodellens datagrundlag.
Reduktionen i de relative forskelle i antallet af sunde leveår målt ved Gini-koefficienten dækker over,
at de absolutte forskelle i sunde leveår målt ved standardafvigelsen er steget en smule. Det skal imid-
lertid ses i sammenhæng med, at antallet af sunde leveår er steget relativt mest for den del af befolk-
ningen med det laveste antal sunde leveår.
5.5 Sunde leveår opdelt på uddannelse
Forskellene i sunde leveår kan blandt andet dække over variationer på tværs af befolkningsgrupper,
fx uddannelsesgrupper. Det kan eksempelvis hænge sammen med forskelle i livsstil, arbejdsforhold
eller andet, der har betydning for at leve et sundt liv.
Når middellevetider og sunde leveår opdeles på uddannelsesgrupper skal man være opmærksom på,
at grupperne varierer i størrelse på tværs af alderstrin og over tid som følge af det stigende uddannel-
sesniveau i befolkningen. Det betyder, at sammensætningseffekter kan have betydning for resulta-
terne, som derfor skal fortolkes med forsigtighed.
Det er eksempelvis tilfældet for gruppen af ufaglærte. Andelen af ufaglærte i de yngre aldersgrupper i
befolkningen er mindre end andelen af de ældre aldersgrupper. Det hænger sammen med stigningen
i uddannelsesniveauet, som har betydet, at en stadig stigende andel af befolkningen opnår en kom-
petencegivende uddannelse. Der kan være en selektionseffekt, så den resterende gruppe af ufag-
lærte i højere grad har underliggende sociale og helbredsmæssige udfordringer, som både medfører,
at de ikke får en uddannelse og som også påvirker deres levetid og sundhed.
Ufaglærte udgør ca. 25 pct. af de 30-årige blandt både mænd og kvinder, mens gruppen udgør ca. 55
af mændene og 70 pct. af kvinderne blandt de 70-årige i 1997,
jf. figur 5.21.
128
Ulighedsredegørelsen 2021
December 2021
FIU, Alm.del - 2021-22 - Bilag 62: Ulighedsredegørelsen 2021, fra finansministeren
2506836_0131.png
Kapitel 5
Forskelle i sunde leveår
Figur 5.21
Ufaglærte opdelt på alder og køn, 1997
Pct. af befolkningen
80
Pct. af befolkningen
80
Figur 5.22
Ufaglærte opdelt på alder og køn, 2017
Pct. af befolkningen
80
Pct. af befolkningen
80
60
60
60
60
40
40
40
40
20
20
20
20
0
30
35
40
45
Mænd
50
55
Alder, år
60
Kvinder
65
70
0
0
30
35
40
45
Mænd
50
55
Alder, år
60
Kvinder
65
70
0
Anm.: Personer med ukendt uddannelse og gymnasial uddannelse som højst fuldførte uddannelse indgår ikke.
Videregående uddannelser omfatter kort-, mellem- og lang videregående uddannelser.
Kilde: Egne beregninger på lovmodellens datagrundlag.
Stigningen i uddannelsesniveauet betyder, at andelen af ufaglærte i befolkningen som helhed er re-
duceret over tid. Andelen af ufaglærte er lavere for både mænd og kvinder i alle aldersgrupper i 2017
end i 1997,
jf. figur 5.22.
Sunde leveår udgør en mindre del af middellevetiden for ufaglærte end for personer i de øvrige ud-
dannelsesgrupper. Det kan hænge sammen med, at ufaglærte generelt har flere livsstilsudfordringer,
såsom større risiko for rygning og alkoholforbrug, mindre motion og mere usunde kostvaner,
jf. Den
Nationale Sundhedsprofil,
Sundhedsstyrelsen 2017.
Det er ikke entydigt, i hvilket omfang der er en kausal sammenhæng mellem uddannelsesniveau og
sundhed. Der kan være andre faktorer, som har betydning for både helbred og valg af uddannelse,
eksempelvis forhold i opvæksten og forældres uddannelsesniveau,
jf. boks 5.3.
Diagnosefri leveår udgør 81 pct. af middellevetiden for ufaglærte mænd, mens mænd med en videre-
gående uddannelse kan forvente 85 pct. i 2017,
jf. figur 5.23.
For ufaglærte kvinder udgør diagnosefri
leveår 84 pct. af middellevetiden, og for kvinder med en videregående uddannelse 87 pct.,
jf. figur
5.24.
Ulighedsredegørelsen 2021
December 2021
129
FIU, Alm.del - 2021-22 - Bilag 62: Ulighedsredegørelsen 2021, fra finansministeren
2506836_0132.png
Kapitel 5
Forskelle i sunde leveår
Figur 5.23
Leveår med og uden diagnoser for 50-årige
mænd opdelt på uddannelsesniveau, 2017
År
90
85
80
75
70
65
60
55
Grundskole
Erhvervsuddannelse
Videregående
Middellevetid
Diagnosefri levetid
81 pct.
83 pct.
85 pct.
År
90
85
80
75
70
65
60
55
Figur 5.24
Leveår med og uden diagnoser for 50-årige
kvinder opdelt på uddannelsesniveau, 2017
År
90
85
80
75
70
65
60
55
Grundskole
Erhvervsuddannelse
Videregående
Middellevetid
Diagnosefri levetid
84 pct.
86 pct.
87 pct.
År
90
85
80
75
70
65
60
55
Anm.: 50+-årige. Personer med ukendt uddannelse og gymnasial uddannelse som højst fuldførte uddannelse indgår
ikke. Videregående uddannelser omfatter kort-, mellem- og lang videregående uddannelse.
Kilde: Egne beregninger på lovmodellens datagrundlag og Landspatientregistret.
For alle uddannelsesgrupper er antallet af diagnosefri leveår steget, men stigningen har været størst i
gruppen med en videregående uddannelse. Eksempelvis har ufaglærte 50-årige mænd opnået et
ekstra sundt leveår uden diagnoser fra 1997 til 2019, mens erhvervsuddannede 50-årige mænd har
opnået 2,8 flere sunde leveår, og 50-årige mænd med en videregående uddannelse har opnået 2,9
ekstra sunde leveår.
Antallet af sunde leveår blandt ufaglærte mænd er således reduceret relativt til antallet af sunde le-
veår blandt personer med en videregående uddannelse fra 1997 til 2017,
jf. figur 5.25.
Det samme er
tilfældet for kvinder,
jf. figur 5.26.
130
Ulighedsredegørelsen 2021
December 2021
FIU, Alm.del - 2021-22 - Bilag 62: Ulighedsredegørelsen 2021, fra finansministeren
2506836_0133.png
Kapitel 5
Forskelle i sunde leveår
Figur 5.25
Diagnosefri middellevetid for 50-årige mænd
opdelt på uddannelsesniveau, 1997-2017
Indeks (VU=100)
100
95
90
85
80
75
1997
Grundskole
2002
2007
2012
2017
Videregående
Erhvervsuddannelse
Indeks (VU=100)
100
95
90
85
80
75
Figur 5.26
Diagnosefri middellevetid for 50-årige kvinder
opdelt på uddannelsesniveau, 1997-2017
Indeks (VU=100)
100
95
90
85
80
75
1997
Grundskole
2002
2007
2012
2017
Videregående
Erhvervsuddannelse
Indeks (VU=100)
100
95
90
85
80
75
Anm.: Personer med ukendt uddannelse og gymnasial uddannelse som højst fuldførte uddannelse indgår ikke.
Videregående uddannelser omfatter kort-, mellem- og lang videregående uddannelser.
Kilde: Egen beregninger på Landspatientregistret samt lovmodellens datagrundlag.
Det bemærkes, at noget af den lavere andel af middellevetiden, som udgøres af sunde leveår, for
ufaglærte kan skyldes sammensætningseffekter, da gruppen af ufaglærte udgør en faldende andel af
befolkningen over tid. Man bør således fortolke resultaterne varsomt, når man opgør udviklingen for
befolkningsgrupper, som ikke er homogene over tid eller på tværs af aldersgrupper.
Ulighedsredegørelsen 2021
December 2021
131
FIU, Alm.del - 2021-22 - Bilag 62: Ulighedsredegørelsen 2021, fra finansministeren
2506836_0134.png
Kapitel 5
Forskelle i sunde leveår
Boks 5.3
Uddannelse og helbred
Litteraturen har identificeret en sammenhæng (korrelation) mellem uddannelse og helbred målt ved forskellige indi-
katorer, såsom dødelighed og selvvurderet helbred. Det er mindre klart, hvordan uddannelse påvirker helbredet, og
hvordan helbredet egentlig påvirker uddannelse (kausalitet). Nogle studier viser, at lav fødselsvægt medfører udfor-
dringer senere i livet både på klassiske økonomiske variable, såsom uddannelsesniveau og indkomst, men også på
helbredet senere i livet. Andre studier har ved brug af ændringer i lovgivningen om antal lovpligtige år i skole vist, at
uddannelse påvirker helbredet positivt. Studierne er næsten altid forbundet med usikkerhed, ligesom det stadig er
uklart, hvad de bagvedliggende mekanismerne er. Flere år under uddannelse kan medføre større viden om sundhed
samt bedre mulighed for at optage ny viden, fx på sundhedsområdet. Det kan også medføre, at arbejdslivet udsky-
des, hvilket kan være med til at reducere slid fra et hårdt arbejdsliv.
Der er stadig rum for forskning, som belyser sammenhængen mellem uddannelse og helbred. Der er formentlig en
påvirkning fra uddannelse til helbred og fra helbred til uddannelse, ligesom der vil være en række andre faktorer,
som påvirker helbredet. Det kan eksempelvis være miljøet under opvæksten, der i sig selv kan have betydning for,
hvilken livsstil individet tager med videre i livet, og som kan påvirke både helbred og uddannelsesniveau.
Figur b
Sammenhængen mellem uddanelse og helbred samt andre faktorer
Kilde: Egen illustration.
132
Ulighedsredegørelsen 2021
December 2021
FIU, Alm.del - 2021-22 - Bilag 62: Ulighedsredegørelsen 2021, fra finansministeren FIU, Alm.del - 2021-22 - Bilag 62: Ulighedsredegørelsen 2021, fra finansministeren
2506836_0136.png
RET RYGBREDDE PÅ STAN
Ulighedsredegørelsen
December 2021
fm.dk