Erhvervsudvalget 2021-22
ERU Alm.del Bilag 336
Offentligt
2595415_0001.png
Betalingsrapport 2022
Juni 2022
ERU, Alm.del - 2021-22 - Bilag 336: Orientering vedr. betalingsrapport 2022, fra erhvervsministeren
2595415_0002.png
Betalingsrapport 2022
Konkurrence- og Forbrugerstyrelsen
Carl Jacobsens Vej 35
2500 Valby
Tlf.: +45 41 71 50 00
E-mail: [email protected]
Online ISBN: 978-87-7029-779-0
Juni 2022
Betalingsrapporten er udarbejdet af
Konkurrence- og Forbrugerstyrelsen.
ERU, Alm.del - 2021-22 - Bilag 336: Orientering vedr. betalingsrapport 2022, fra erhvervsministeren
2595415_0003.png
Indhold
Kapitel 1
5
Resumé.................................................................................................................................................5
1.1
1.2
1.3
2.1
2.2
2.3
2.4
2.5
2.6
3.1
3.2
3.3
3.4
4.1
4.2
4.3
4.4
4.5
4.6
4.7
4.8
4.9
5.1
5.2
Danskernes brug af betalingsløsninger ....................................................................................... 5
Styrelsens håndhævelse af betalingsloven siden 2020 ........................................................ 7
Nye regler på betalingsområdet ................................................................................................... 10
Kapitel 2
12
Introduktion til betalingskort og kortsystemer ................................................................ 12
Kapitel 3
17
Regulering af nationale kortsystemer .................................................................................. 17
Indledning ............................................................................................................................................... 12
Centrale aktører i et kortsystem .................................................................................................. 12
Betalingsinstrumenter ...................................................................................................................... 13
Mobile betalingsløsninger ............................................................................................................... 13
Gebyrstruktur i et firepartssystem ............................................................................................. 14
Tosidet marked .................................................................................................................................... 15
Kapitel 4
22
Tilsynsaktiviteter.......................................................................................................................... 22
Indledning ............................................................................................................................................... 22
Påbud til pengeinstitutter vedrørende urimeligt høje avancer for valutatillæg .... 22
Påbud og indskærpelser til pengeinstitutter vedrørende betalingsinstitutters
adgang til betalingskontotjenester.............................................................................................. 24
Påbud til virksomheder for at overtræde ”frit valg”-reglerne i
interbankgebyrforordningens artikel 8, stk. 6....................................................................... 28
Virksomheders opkrævning af betalingskortgebyrer ........................................................ 29
Politianmeldelse af virksomheder for overtrædelser af betalingsloven og
interbankgebyrforordningen ......................................................................................................... 30
Analyser, undersøgelser og vejledninger ................................................................................. 31
Internationalt samarbejde .............................................................................................................. 32
Verserende retssager......................................................................................................................... 32
Indledning ............................................................................................................................................... 34
Forbrugernes brug af forskellige betalingsløsninger ......................................................... 35
Indledning ............................................................................................................................................... 17
Regulering af Dankort i fysisk handel ........................................................................................ 17
Undersøgelse af omkostninger ved drift af Dankort-systemet i fysisk handel i
2020 ........................................................................................................................................................... 18
Dankort-indløsningsgebyr i online handlen ........................................................................... 20
Kapitel 5
34
Forbrugerundersøgelse om valg af betalingsløsninger.................................................. 34
ERU, Alm.del - 2021-22 - Bilag 336: Orientering vedr. betalingsrapport 2022, fra erhvervsministeren
2595415_0004.png
5.3
5.4
5.5
Bilag 1
44
Statistik ............................................................................................................................................. 44
Forklaringer på brug/ikke brug af mobile betalingsløsninger ...................................... 39
Mobile betalinger – De bagvedliggende betalingskort ....................................................... 41
Anvendelse af flere betalingsinstrumenter ............................................................................. 42
Udstedte betalingskort.................................................................................................................................. 45
Transaktioner med udstedte betalingskort i Danmark ................................................................. 47
Grænseoverskridende transaktioner med betalingskort ............................................................. 52
Misbrug med udstedte betalingskort ..................................................................................................... 56
Bilag 2
59
Regler på betalingsområdet...................................................................................................... 59
Regulering ........................................................................................................................................................... 59
Lov om betalinger............................................................................................................................................ 59
EU-regulering .................................................................................................................................................... 71
Bekendtgørelser ............................................................................................................................................... 77
ERU, Alm.del - 2021-22 - Bilag 336: Orientering vedr. betalingsrapport 2022, fra erhvervsministeren
2595415_0005.png
SIDE 5
BETALINGSRAPPORT 2022
Kapitel 1
Resumé
Konkurrence- og Forbrugerstyrelsen udarbejder hvert andet år en rapport, der beskriver reg-
lerne og udviklingen på betalingsområdet. Baggrunden for rapporten er betalingslovens § 145,
stk. 10, hvoraf det fremgår, at erhvervsministeren hvert andet år afgiver en rapport om forhol-
dene på betalingskortmarkedet til Folketinget, og at Konkurrence- og Forbrugerstyrelsen ud-
arbejder rapporten.
Undersøgelsen viser, at digitale betalingsløsninger, som mobile betalingsløsninger via apps
samt PayPal, har vundet fodfæste på markedet og for mange forbrugere – især i online forret-
ninger – udgør et vigtigt alternativ til de traditionelle, fysiske betalingskort. Et flertal af for-
brugerne (51 pct.) svarede, at de brugte en digital løsning til betaling ved deres seneste køb i
en online forretning. Forbrugerne svarer endvidere, at MobilePay er deres mest benyttede be-
talingsløsning ved den seneste betaling i online forretninger, jf. Figur 1.1.
Lidt over hver femte forbruger benyttede en digital betalingsløsning ved deres seneste beta-
ling i en fysisk forretning. Apple Pay, der er den mest benyttede digitale løsning i de fysiske
forretninger, blev brugt af ca. 10 pct. af forbrugerne ved deres seneste betaling, jf. Figur 1.1.
Forbrugerundersøgelse om brug af betalingsløsninger
Konkurrence- og Forbrugerstyrelsen har i marts 2022 gennemført en spørgeskemaundersø-
gelse blandt flere end 2.000 forbrugere, som belyser, hvordan forbrugerne betaler ved køb af
varer eller tjenesteydelser i både fysiske og online forretninger.
I rapporten gennemgås brugen og misbruget af betalingsløsninger.
Danske forbrugere og virksomheder anvender i vidt omfang betalingskort og andre betalings-
løsninger, når de køber varer og tjenesteydelser. Det er derfor vigtigt, at betalingsområdet er
velfungerende og præget af gode rammevilkår.
1.1
Danskernes brug af betalingsløsninger
ERU, Alm.del - 2021-22 - Bilag 336: Orientering vedr. betalingsrapport 2022, fra erhvervsministeren
2595415_0006.png
SIDE 6
KAPITEL 1 RESUMÉ
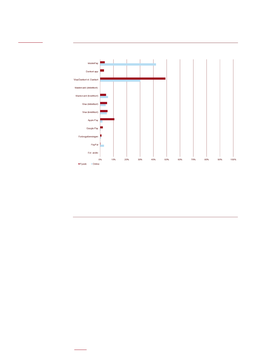
Figur 1.1
Hvilken betalingsløsning brugte forbrugeren ved det seneste køb i online for-
retninger
Note:
Anm.:
Kilde: Konkurrence- og Forbrugerstyrelsens forbrugerundersøgelse, marts 2022
Styrelsen har også spurgt forbrugerne, om de anvendte kontanter sidste gang de handlede i fysiske forretninger. Idet
der i kapitlet er fokus på fysiske betalingskort og digitale betalingsløsninger, er kontanter ikke medtaget i denne figur,
men ca. 7 pct. svarede, at de anvendte kontanter.
Figuren (rangeret efter fysiske butikker) er baseret på svarene på to spørgsmål:
1) Sidste gang du handlede i en fysisk forretning, hvilken betalingsløsning brugte du så? (Antal besvarelser: 2106)
2) Sidste gang du handlede i en online forretning, hvilken betalingsløsning brugte du så? (Antal besvarelser: 2106)
Det ”traditionelle” fysiske betalingskort er dog fortsat den mest udbredte løsning. Dette gæl-
der særligt ved betaling i fysiske forretninger.
Forbrugerne forklarer, at de anvender mobile betalingsløsninger, fordi løsningerne er hurtige
og nemme at anvende. Blandt forbrugere, der ikke anvender mobile betalingsløsninger, er den
primære forklaring, at de er vant til at bruge det fysiske betalingskort.
Ca. 80 pct. af forbrugerne svarer, at de benytter flere betalingsløsninger i det daglige. Hver
tredje af disse svarer, at de anvender flere betalingsløsninger, fordi de ikke har én fortrukken
betalingsløsning.
Når forbrugerne bruger mobile betalingsløsninger, er der dog ofte et fysisk betalingskort til-
knyttet disse løsninger. Næsten halvdelen af forbrugerne svarer, at de har aktiveret et
Visa/Dankort i deres mobile betalingsløsning – nærmere bestemt 48 pct. af de aktiverede kort.
ERU, Alm.del - 2021-22 - Bilag 336: Orientering vedr. betalingsrapport 2022, fra erhvervsministeren
2595415_0007.png
SIDE 7
BETALINGSRAPPORT 2022
Statistik om misbrug og brug af betalingskort
Der er et sket et betydeligt fald i misbrug af betalingskort de senere år. Eksempelvis er antallet
af misbrugstransaktioner i Danmark med dansk udstedte kort mere end halveret siden 2017.
Der er ligeledes sket et fald i misbruget ved grænseoverskridende transaktioner. Dette gælder
både danske kort, som bliver brugt i udlandet, og udenlandske kort, som bliver brugt i Dan-
mark. Det kommer bl.a. til udtryk ved, at antallet af transaktioner med falske danske kort i ud-
landet er faldet til at udgøre kun 475 transaktioner i 2021.
Dette indikerer alt i alt, at betalingskort er blevet et endnu sikrere betalingsmiddel for forbru-
gere i Danmark og i udlandet. Dette kan til dels skyldes den øgede sikkerhed, der er blevet im-
plementeret for kortbetalinger de senere år.
Brugen af dansk udstedte kort stiger fortsat, og der blev i 2021 for første gang gennemført
over to milliarder korttransaktioner. Danske forbrugere benytter stadig oftest det co-badgede
Dankort, VISA/Dankort, selv om internationale kort er på fremmarch. I 2021 stod co-badgede
Dankort for to ud ad tre transaktioner i Danmark. Det co-badgede Dankort har således fortsat
et betydeligt fodfæste i Danmark.
Konkurrencerådet traf den 30. marts 2022 afgørelse i to sager vedrørende betalingslovens
forbud mod urimeligt høje priser og avancer. Både Danske Bank og Nordea havde overtrådt
betalingslovens § 122, stk. 1, ved at anvende urimeligt høje priser og avancer ved opkrævnin-
gen af deres såkaldte valutatillæg. Valutatillægget er pengeinstitutternes gebyr for valutaom-
veksling og opkræves hver gang en kortholder foretager en transaktion i udenlandsk valuta
med et dansk udstedt Visa/Dankort. I begge sager fandt Konkurrence- og Forbrugerstyrelsen,
at valutatillægget hos Danske Bank og Nordea, indebærer en urimeligt høj avance, og at tillæg-
get dermed er fastsat i strid med betalingslovens § 122, stk. 1.
Forbud mod urimelige priser m.m.
Konkurrence- og Forbrugerstyrelsen fører tilsyn med betalingslovens § 122, stk. 1, der forby-
der urimeligt høje priser og avancer i forbindelse med gennemførslen af betalingstransaktio-
ner. Bestemmelsen anses for nødvendig, da der ikke er skabt fuld og reel konkurrence på beta-
lingskortområdet.
Konkurrence- og Forbrugerstyrelsen har siden den seneste betalingsrapport gennemført en
række tilsynsaktiviteter. Dette omfatter konkrete håndhævelsessager, udarbejdelse af analy-
ser, vejledning af og dialog med betalingsområdets aktører samt håndtering af ankesager.
Størstedelen af transaktionerne med dansk udstedte kort bliver foretaget kontaktløst, dvs. at
kortbetalingen sker uden at der indtastes PIN-kode (ca. 96 pct. i 2021). Endvidere foretager
danskerne flere og flere transaktioner online, men flest transaktioner foregår fortsat i fysiske
forretninger.
1.2
Styrelsens håndhævelse af betalingsloven siden 2020
Østre Landsret stadfæstede den 21. februar 2021 styrelsens afgørelser tilbage fra 2012 og 2013
om, at Nets’ gebyrer for indløsning af Dankort i online handel var urimeligt høje. I den første
afgørelse fandt styrelsen, at Nets’ dankortgebyrer i online handel ikke stod i rimeligt forhold til
Nets’ omkostninger og førte til en overnormal indtjening. Herefter påbød styrelsen Nets at ned-
sætte dankortgebyrerne ved online handel til ”et rimeligt niveau” senest den 31. januar 2013.
Konkurrence- og Forbrugerstyrelsen vurderede i den anden afgørelse, at Nets ikke havde efter-
levet styrelsens påbud. Styrelsen påbød derfor Nets at nedsætte gebyrerne til et beløb, som ikke
oversteg 1,20 kroner i gennemsnit. Nets nedsatte herefter gebyret i juli 2013. Nets har anket
landsrettens dom, der nu verserer ved Højesteret.
ERU, Alm.del - 2021-22 - Bilag 336: Orientering vedr. betalingsrapport 2022, fra erhvervsministeren
2595415_0008.png
SIDE 8
KAPITEL 1 RESUMÉ
Konkurrencerådet traf den 29. august 2018 afgørelse om, at kortindløseren Teller (nu Nets)
havde overtrådt konkurrencelovens § 11 ved at have misbrugt sin dominerende stilling i peri-
oden 2012-2016 gennem loyalitetsskabende rabatter over for Tellers største kunder. Teller, der
på daværende tidspunkt var et datterselskab i Nets-koncernen, var den største indløser af
transaktioner med internationale betalingskort i Danmark. Tellers loyalitetsskabende rabatter
var egnede til at afskærme markedet for konkurrenter. Derfor påbød Konkurrencerådet Teller
at ophøre med den ulovlige adfærd. Nets ankede imidlertid sagen, der fortsat verserer for Sø-
og Handelsretten. Sagen blev herefter anmeldt til SØIK (nu NSK) med henblik på strafferetlig
forfølgelse. Østre Landsret har den 5. maj 2021 afgjort, at afgørelsen fra 2018 kan offentliggøres
som den forelå, og at der således ikke var fortrolige oplysninger i afgørelsen.
De seneste to år har styrelsen udstedt syv påbud for overtrædelse af reglerne om betalingsin-
stitutters adgang til en betalingskontotjenester. Konkurrence- og Forbrugerstyrelsen og Kon-
kurrencerådet har bl.a. truffet afgørelse om, at pengeinstitutter har overtrådt betalingslovens
§ 63, stk. 1, ved, at pengeinstitutternes adgangsvilkår ikke var fastsat objektivt, og afgørelse
om, at pengeinstitutterne havde administreret disse vilkår på en diskriminerende og/eller
ikke-proportional måde. Konkurrence- og Forbrugerstyrelsen og Konkurrencerådet har i disse
sager navnlig fundet,
»
at der kan stilles krav til et betalingsinstituts forretningsmodel, men de skal være klare,
»
at der kan stilles krav om overholdelse af visse typer af relevant lovgivning,
»
at der ikke i forhold til ejerskab må diskrimineres mellem betalingsinstitutter og andre ak-
Betalingsinstitutters adgang til pengeinstitutter
Konkurrence- og Forbrugerstyrelsen fører også tilsyn med betalingslovens § 63, der forpligter
pengeinstitutter til at give betalingsinstitutter adgang til betalingskontotjenester på objektive,
ikke-diskriminerende og proportionale vilkår. Formålet med § 63 er netop at sikre betalings-
institutters adgang til betalingskontotjenester og dermed også styrke konkurrencen inden for
betalingsmarkedet.
I oktober 2021 gjorde Konkurrencerådet status på disse tiltag. Eksempelvis har styrelsen un-
dersøgt både Mastercards (tidligere Nets) og pengeinstitutternes omkostninger og indtægter
ved Betalingsservice. Undersøgelsen viste samlet set, at Mastercards og pengeinstitutternes
indtægter ligger mærkbart højere end omkostningerne ved at drive Betalingsservice. Der blev
ikke igangsat en sag om eventuelt urimeligt høje priser efter betalingsloven, men Konkur-
rence- og Forbrugerstyrelsen følger forhandlingerne mellem Mastercard og pengeinstitut-
terne om Betalingsservice tæt.
Konkurrencerådet offentliggjorde i september 2020 en analyse af konkurrencen på området
for automatiske regningsbetalinger, der navnlig anvendes ved tilbagevendende betalinger i
løbende kontraktforhold. Særligt løsningerne automatisk kortbetaling, MobilePay Subscripti-
ons og Betalingsservice anvendes i Danmark. Styrelsen fandt i analysen, at Betalingsservice
står for den største andel af de samlede transaktioner, og at Nets har en forholdsvis høj over-
skudsgrad fra Betalingsservice. Konkurrencerådet fandt, at der var grundlag for at styrke kon-
kurrencen på området for automatiske regningsbetalinger. Konkurrencerådet fremsatte heref-
ter en række anbefalinger for at modvirke uhensigtsmæssige loyalitetsvirkninger og for at for-
bedre mulighederne for konkurrerende løsninger. Endvidere skulle Konkurrence- og Forbru-
gerstyrelsen have særskilt fokus på, at nye samarbejder inden for betalingsområdet ville bi-
drage til at øge konkurrencen, og styrelsen skulle undersøge bankernes omkostninger ved Be-
talingsservice sammenholdt med Nets’ honorering af bankerne.
Flere af afgørelserne er truffet over for de samme pengeinstitutter og vedrører både deres vil-
kår generelt såvel som den konkrete anvendelse over for enkelte betalingsinstitutter.
tører (ubegrundet)
ERU, Alm.del - 2021-22 - Bilag 336: Orientering vedr. betalingsrapport 2022, fra erhvervsministeren
2595415_0009.png
SIDE 9
BETALINGSRAPPORT 2022
Bestemmelsen om betalingsinstitutters adgang til kontotjenester trådte i kraft i 2018. Konkur-
rencerådet har i 2022 meldt ud, at rådet fremadrettet vil politianmelde overtrædelser af beta-
lingslovens § 63, når det er relevant. Det skal ses i lyset af, at Konkurrencerådet sammen med
Finanstilsynet har udgivet en vejledning om reglerne, og at der foreligger en række afgørelser
på området, herunder fra Konkurrenceankenævnet, som fastlægger praksis, og som pengein-
stitutter kan orientere sig i.
Forretningernes betaling for brug af Dankortet
Konkurrence- og Forbrugerstyrelsen har håndhævet reguleringen af nationale betalingskort,
hvis anvendelse omfatter en væsentlig del af det samlede antal transaktioner i Danmark. Dan-
kortet er det eneste betalingskort, som falder under denne definition, og som derfor er omfat-
tet af disse regler. Reglerne indebærer bl.a., at fysiske forretningers maksimale betaling til
kortindløser (dvs. Nets) for indløsning af kundernes betalinger med Dankort fastsættes på
baggrund af en omkostningsundersøgelse, som styrelsen foretager hvert andet år.
Omkostningerne ved driften af Dankort-systemet har været faldende siden 2012, jf. Figur 1.2.
Figur 1.2
Omkostninger ved driften af Dankort-systemet for fysisk handel i mio. kr. (lø-
bende priser)
Note:
Figuren er baseret på de resultater som Konkurrence- og Forbrugerstyrelsen har fundet i styrelsens undersøgelser af om-
kostningerne ved indløsning af Dankortet i fysiske forretninger siden 2011
Kilde: Konkurrence- og Forbrugerstyrelsens omkostningsundersøgelser af Dankortet
Undersøgelsen fra 2021 viste, at de relevante omkostninger til driften af Dankort-systemet i
2020 udgjorde 436,4 mio. kr. Det svarer til 0,45 kr. pr. dankorttransaktion i 2020. Den sam-
lede maksimale betaling, som Nets må tage for indløsning af dankorttransaktioner i fysisk
handel pr. år i 2022 og 2023, er således 436,4 mio. kr. Dette udgør et fald på 33,2 mio. kr. eller
7,1 pct. i forhold til det, som Nets måtte opkræve for indløsning pr. år i 2020 og 2021.
ERU, Alm.del - 2021-22 - Bilag 336: Orientering vedr. betalingsrapport 2022, fra erhvervsministeren
2595415_0010.png
SIDE 10
KAPITEL 1 RESUMÉ
Forbud mod opkrævning af gebyr hos forbrugerne
Konkurrence- og Forbrugerstyrelsen har i 2020 og 2021 modtaget 54 henvendelser vedrø-
rende opkrævning af gebyrer for anvendelsen af betalingskort i fysiske eller online forretnin-
ger. Konkurrence- og Forbrugerstyrelsen har i 19 af disse sager udstedt påbud til virksomhe-
den om at ophøre med at opkræve gebyrer i strid med betalingslovens § 121, stk. 3. Sammen-
lignet med 2018-2019, der blev beskrevet i den seneste betalingsrapport, er der således sket
et væsentligt fald i antallet af henvendelser fra mere end 200 til 54. Desuden er antallet af ud-
stedte påbud faldet fra 80 påbud til 19. Det er således et fald i henvendelser og påbud på om-
kring 75 pct. fra perioden 2018/2019 til 2020/2021.
Efter opfordring fra erhvervsministeren inviterede Konkurrence- og Forbrugerstyrelsen i
2020 relevante aktører til dialog om udfordringerne med, at en del forretninger ulovligt op-
krævede gebyrer, når betaling skete gennem mobile betalingsløsninger så som Apple Pay og
Google Pay. Ved flere lejligheder viste det sig, at nogle forretningers betalingsterminaler regi-
strerede betalinger med mobile betalingsløsninger fejlagtigt. Frem for at blive registreret som
en betaling med et kort udstedt i Danmark, blev de i stedet registreret som en betaling med et
betalingskort udstedt uden for EU/EØS, hvor gebyropkrævning netop er tilladt.
Problemerne kan fx opstå, hvis forretningerne – som har det formelle ansvar for at der opkræ-
ves korrekt – ikke rettidigt har modtaget visse oplysninger fra de internationale kortselskaber,
forhold relateret til bl.a. bankernes rolle som kortudstedere eller forhold hos leverandørerne
af mobile betalingsløsninger. Styrelsen anbefalede som midlertidig løsning, at forretningerne
ophørte med at opkræve gebyrer for betalingskort udstedt uden for EU.
På baggrund af dialogen mellem aktørerne og Konkurrence- og Forbrugerstyrelsen tilkende-
gav en række aktører, at de enten ville eller allerede havde iværksat tiltag for at afhjælpe pro-
blemerne. Udviklingen i antallet af henvendelser og påbud peger på, at indsatsen fra aktører-
nes side har haft virkning.
Endelig er klage- og ankestrukturen inden for betalingsområdet ændret. Herefter kan materi-
elle sager indbringes for Konkurrenceankenævnet eller direkte for domstolene. Rent formelle
Lovændringerne har endvidere kodificeret den hidtidige praksis hos Konkurrence- og Forbru-
gerstyrelsen, hvor styrelsen kan prioritere sagerne inden for betalingsområdet. Det fremgår
nu direkte af betalingsloven, at styrelsen har denne mulighed. Prioriteringsbeføjelsen indebæ-
rer navnlig, at Konkurrence- og Forbrugerstyrelsen kan beslutte, om der er tilstrækkelig an-
ledning til at undersøge eller træffe afgørelse i en sag, eller om sagsbehandlingen skal indstil-
les, fx af ressourcemæssige hensyn.
Siden seneste betalingsrapport er der sket en række ændringer inden for betalingslovens om-
råde. Det overordnede ansvar for Konkurrence- og Forbrugerstyrelsens tilsyn varetages nu af
Konkurrencerådet, mens Konkurrence- og Forbrugerstyrelsen tidligere varetog opgaverne un-
der ministeransvar. Konkurrencerådet træffer afgørelse i principielle sager og sager med stor
betydning. Konkurrencerådet kan delegere kompetencen til at træffe afgørelser i andre sager
til Konkurrence- og Forbrugerstyrelsen. I bilag 2 gives en udførlig indføring i de bestemmel-
ser, som Konkurrence- og Forbrugerstyrelsen fører tilsyn med.
Strafferetlig forfølgelse af overtrædelser af betalingsloven
Som følge af Konkurrence- og Forbrugerstyrelsens tilsyn med betalingsloven er fem virksom-
heder blevet politianmeldt i løbet af de seneste to år. Virksomhederne er blevet anmeldt med
henblik på, at de bliver pålagt bødestraf for overtrædelser af betalingsloven, herunder beta-
lingslovens § 63, stk. 1, og § 121, stk. 3 samt interbankgebyrforordningen. I skrivende stund er
én af bøderne vedtaget. De resterende sager verserer fortsat.
1.3
Nye regler på betalingsområdet
ERU, Alm.del - 2021-22 - Bilag 336: Orientering vedr. betalingsrapport 2022, fra erhvervsministeren
2595415_0011.png
SIDE 11
BETALINGSRAPPORT 2022
sager (fx vedrørende aktindsigt og fortrolighed mv.) skal først forelægges Konkurrenceanke-
nævnet. Sagen kan herefter indbringes for domsstolene, når nævnet har truffet afgørelse. Fri-
sten for at indbringe en sag for domstolene eller Konkurrenceankenævnet er ligeledes ændret
fra 4 til 8 uger. Fristen gælder både for afgørelser truffet af Konkurrence- og Forbrugerstyrel-
sen og Konkurrenceankenævnet. Disse klage- og ankemuligheder svarer til, hvad der gælder
på konkurrenceområdet.
ERU, Alm.del - 2021-22 - Bilag 336: Orientering vedr. betalingsrapport 2022, fra erhvervsministeren
2595415_0012.png
SIDE 12
KAPITEL 2 INTRODUKTION TIL BETALINGSKORT OG KORTSYSTEMER
Kapitel 2
Introduktion til betalingskort og kortsystemer
Når forbrugerne foretager deres daglige indkøb, har de ofte mulighed for at vælge mellem
flere betalingsformer i betalingsøjeblikket.
2.1
Indledning
Betaler forbrugeren med betalingskort eller en mobil betalingsløsning, skal der overføres
penge fra forbrugerens til forretningens konto. Det foregår i et komplekst samspil, der er fast-
lagt i et net af aftaler mellem de involverede aktører. Aftalerne danner grundlag for det beta-
lingssystem, der gør det muligt for aktørerne, forbrugerne og forretningerne, på betalingskort-
områdets to sider at interagere.
De mest udbredte betalingssystemer i Danmark er kortsystemer og de bedst kendte eksem-
pler i Danmark er Dankort, Visa og Mastercard. Fælles for disse er, at de er organiseret i et så-
kaldt firepartssystem, hvor de fire aktører ud over kortselskabet omfatter kortholder, kortud-
steder, kortindløser og betalingsmodtager, jf. figur 2.1.
Når en forbruger benytter sit kort til betaling, initieres en elektronisk betaling. For at betalin-
gen gennemføres, igangsættes et samspil mellem en række aktører:
Kortselskab
Kortudsteder
Kortindløser
Betalingsmodtager
Kortholder
2.2
Centrale aktører i et kortsystem
Kortindløser
indgår ligeledes aftale med kortselskabet og får via aftalen licens til at indløse
betalinger på vegne af betalingsmodtagere. Det er fortsat alene Nets, der indløser dankort-
transaktioner, mens der er flere, der tilbyder indløsning af betalinger foretaget med de inter-
nationale kort. Ud over Nets, der er den største kortindløser i Danmark, kan betalingsmodta-
gere få indløst betalinger med disse kort via bl.a. Worldline (tidligere Bambora), Swedbank
Pay, Clearhaus, Ayden, Elavon og Valitor.
Kortudsteder
indgår aftale med kortselskabet og får ved licens tilladelse til at udstede beta-
lingskort under kortselskabets kortsystem og -mærke. Kortudstederne er typisk pengeinsti-
tutter, men kan fx også være et betalingsinstitut, kreditkortselskab, detailhandelskæde eller
benzinselskab. De sidstnævnte udsteder i reglen kun kort, der kan benyttes til betaling i på-
gældende kædes forretninger eller tankstationer.
Kortselskab
ejer kortsystemet og tilknyttede rettigheder. Kortselskabet opstiller regler og
krav, fx til sikkerhedsprocedurer, som kortudstedere og -indløsere skal følge, hvis de ønsker at
være en del af kortsystemet. De mest kendte internationale kortselskaber i Danmark er Visa,
Mastercard, American Express og Diners Club, mens de mest kendte danske kortselskaber er
Nets, der ejer rettighederne til Dankort, og Forbrugsforeningen.
»
»
»
»
»
Betalingsmodtager
er en forretning, der indgår indløsningsaftale med kortindløser for at
kunne modtage betalingskort. Forretningerne kan både være fysiske og ikke-fysiske (online),
ERU, Alm.del - 2021-22 - Bilag 336: Orientering vedr. betalingsrapport 2022, fra erhvervsministeren
2595415_0013.png
SIDE 13
BETALINGSRAPPORT 2022
Kortholder
er den, som betalingskortet er udstedt til, og kortholder kan bruge kortet til at be-
tale for varer eller tjenesteydelser. Det er typisk en forbruger, men kortholder kan også være
en ansat i en virksomhed og lignende, der har fået udstedt et kort i kraft af sit ansættelsesfor-
hold.
2.3
Betalingsinstrumenter
fx netbutikker. Betalingsmodtager kan også være læger, offentlige myndigheder og andre in-
stitutioner.
Forbrugerne har som regel i betalingsøjeblikket i de fysiske forretninger eller online mulighed
for at vælge mellem en række betalingsmidler eller -instrumenter, såsom kontanter, betalings-
kort, bankoverførsel og indbetalingskort. Hver af disse har forskellige karakteristika og regu-
leres på forskellig vis. I § 7 i lov om betalinger er betalingskort ikke defineret, men derimod
omfattet af betalingsinstrumenter og derfor defineret som ”et
personligt instrument eller et sæt
af procedurer, der er aftalt mellem brugeren og udbyderen, og som brugeren benytter til at
iværksætte en betalingsordre”.
Man kan tænke på betalingskort og kode som et samlet instrument eller en nøgle, der giver ad-
gang til kortholders betalingskonto, fx i pengeinstitut eller kreditkortselskab.
Der er mange typer af betalingskort med hver sine karakteristika. Et kort kan være nationalt,
internationalt eller udenlandsk; et debet- eller kreditkort; og endelig kan et kort være forud-
eller efterbetalt.
Nationale
betalingskort kan kun bruges til betalinger i det land, hvor det er udstedt. Dankort
og Forbrugsforeningens kort er danske eksempler på nationale betalingskort.
Internationale
betalingskort er udstedt af danske kortudstedere med licens fra internationale kortselskaber.
Disse kort kan bruges ved betalinger både i Danmark og udlandet.
Udenlandske
betalingskort
er udstedt af udenlandske kortudstedere og omfatter således både kort, der er udstedt med
licens fra enten internationale eller nationale kortselskaber.
Omvendt går der et vist tidsrum ved en betaling med
kreditkort,
inden beløbet hæves fra eller
kræves inddækket på kortholders betalingskonto. Hvor lang tid der går, afhænger af aftalen
mellem kortholder og -udsteder. Eksempler på kreditkort er Forbrugsforeningens kort, Ma-
stercard, Visa, Diners Club og American Express.
Ved betaling med
debetkort
hæves beløb fra kortholders konto, umiddelbart efter at betaling
blev foretaget eller senest næste bankdag. Dankort, Mastercard Debit og Visa Debit er de mest
kendte eksempler i Danmark.
Danskerne anvender i stigende omfang mobile betalingsløsninger i form af apps. Disse kan
bygge oven på den eksisterende betalingsinfrastruktur, hvis brugerne tilknytter ét eller flere
betalingskort eller -konti. De bedst kendte eksempler på mobile betalingsløsninger i Danmark
er Apple Pay, MobilePay, Google Pay og PayPal.
Nogle mobile betalingsløsninger, fx Apple Pay, fungerer udelukkende oven på kortinfrastruk-
turen. Derfor initieres og gennemføres en helt almindelig korttransaktion, der involverer de i
Efter- og forudbetalte kort
kan som oftest kun bruges i begrænset omfang, fx. alene til køb i
en detailhandelskæde eller i et butikscenter. Forudbetalte kort er typisk gavekort, mens et
klassisk efterbetalt kort er et kontokort, fx et benzinkort. Dog findes der forudbetalte interna-
tionale kort, der kan benyttes, hvor kortholder ellers benytter eksempelvis Mastercard eller
Visa.
2.4
Mobile betalingsløsninger
ERU, Alm.del - 2021-22 - Bilag 336: Orientering vedr. betalingsrapport 2022, fra erhvervsministeren
2595415_0014.png
SIDE 14
KAPITEL 2 INTRODUKTION TIL BETALINGSKORT OG KORTSYSTEMER
Betalingskortområdet er kendetegnet ved en række forskellige gebyrer. Ved kortholderens be-
taling for køb af varer eller tjenesteydelser, opkræves en række gebyrer, der er tilknyttet selve
betalingskorttransaktionen, jf. figur 2.1.
Figur 2.1
Gebyrer i et firepartssystem
Andre mobile betalingsløsninger, som fx MobilePay, er omvendt hovedsageligt baseret på en
platform, der er baseret på konto til konto-overførsler.
2.5
Gebyrstruktur i et firepartssystem
det forrige afsnit beskrevne aktører, når brugeren benytter en sådan løsning ved betaling i en
fysisk forretning eller i e-handlen.
Anm.:
I et trepartssystem er gebyrstrukturen en smule anderledes. Kortselskabet opererer her både som kortudsteder og -ind-
løser. Det betyder, at der ikke er behov for et eksplicit interbankgebyr (3), som i det illustrerede firepartssystem. Endelig
kan betalingsmodtager overvælte sit indløsningsgebyr direkte på kortholder (5), hvis trepartssystemet ikke benytter en
licenstager til at udstede eller indløse transaktioner med betalingskortet, jf. nærmere herom i bilag 2.
Betalingsmodtageren betaler et indløsningsgebyr (også kaldet merchant service charge, MSC
(2)) til kortindløseren. Gebyret varierer alt efter, korttype, salgskanal mv., og hvilken forhand-
lingsevne/-styrke betalingsmodtageren har ved indgåelse af aftale med kortindløseren.
Kortholder betaler evt. et kortgebyr (1) til sin kortudsteder. Dette gebyr kan enten være et år-
ligt gebyr eller en engangsbetaling for udstedelse af kortet. Endelig tilbyder nogle kortudste-
dere betalingskortet gratis til kortholderen eller som en del af en samlet årlig betaling for
kortudstederens ydelser, fx som en del af en kundepakke i et pengeinstitut.
ERU, Alm.del - 2021-22 - Bilag 336: Orientering vedr. betalingsrapport 2022, fra erhvervsministeren
2595415_0015.png
SIDE 15
BETALINGSRAPPORT 2022
Derudover betaler kortindløseren et transaktionsbestemt gebyr (3), kaldet et interbankgebyr
til kortholderens kortudsteder. Endvidere betaler både kortudsteder og -indløser et licensge-
byr til kortselskabet for retten til henholdsvis at udstede betalingskortet og indløse transakti-
oner foretaget med kortet (4).
Afhængigheden mellem aktørerne på hver sin side af betalingskortområdet betyder, at der op-
står netværkseffekter i kortsystemet. Netværkseffekterne er indirekte, idet betalingsmodta-
gernes gevinst ved at indgå aftale med kortindløserne vokser med antallet af kortholdere, der
bruger betalingskortet (eller ved at kortholdere bruger deres kort mere). Tilsvarende stiger
kortholderes nytte af betalingskortet med antallet af betalingsmodtagere, der tager imod beta-
ling med kortet.
En del af denne udfordring består for kortselskabet i at sætte den rette pris på hver af marke-
dets to sider. Tilstedeværelsen af de indirekte netværkseffekter medfører, at de to sider ikke
kan ses og fortolkes uafhængigt af hinanden. Prisdannelsen på én side af kortsystemet afhæn-
ger altså ikke kun af aktørernes efterspørgsel og omkostninger på denne side, men også af ak-
tørernes efterspørgsel på den anden side af kortsystemet.
For kortselskabet er udfordringen derfor at gøre det attraktivt for både betalingsmodtagerne
at tage imod betalinger med kortet og for kortholderne at få udstedt og bruge betalingskortet.
Betalingskortområdet er et velkendt eksempel på et tosidet marked. Betalingsmodtagere (og
kortindløsere) optræder på den ene side af markedet, mens kortholdere (og –udstedere) op-
træder på den anden. De to sider har brug for en fælles platform for at kunne interagere. Kort-
selskabets kortsystem er den platform, der muliggør og understøtter interaktion mellem dem.
Betalingskortområdet er i Danmark reguleret ved lov om betalinger med tilhørende bekendt-
gørelser. Her er bl.a. fastsat generelle regler for betalingsmodtageres mulighed for overvælt-
ning af gebyrer samt for kortindløseres gebyrfastsættelse. Endvidere er betalingskortområdet
EU-reguleret. Læs nærmere om de relevante regler i bilag 2.
1
Endelig kan betalingsmodtageren opkræve et gebyr af kortholderen (5), hvis kortholderen be-
taler med et firmakort eller andet betalingskort, der ikke er reguleret af reglerne om inter-
bankgebyrer, jf. nærmere herom i bilag 2.
2.6
Tosidet marked
På betalingskortmarkedet fastsættes derfor i teorien to priser eller gebyrer: ét gebyr for ind-
løsning af korttransaktioner, der aftales mellem kortindløser og betalingsmodtager og ét ge-
byr for udstedelse af betalingskort, der aftales mellem kortudsteder og kortholder jf. afsnit 2.5.
Da gebyrerne tager hensyn til de forskellige aktørers betalingsvillighed/prisfølsomhed og den
indbyrdes afhængighed, er gebyrerne ikke nødvendigvis knyttet tæt til omkostningerne på
hver af de to sider af betalingskortområdet.
I Danmark betaler kortholdere typisk et relativt lavt eller intet gebyr for brug af betalingskor-
tet til kortudstedere. Det betyder, at omkostningerne på denne side af kortområdet overve-
jende bæres af betalingsmodtagerne på den anden side.
__________________
1
Lov nr. 652 af 8. juni 2017 med senere ændringer.
ERU, Alm.del - 2021-22 - Bilag 336: Orientering vedr. betalingsrapport 2022, fra erhvervsministeren
2595415_0016.png
SIDE 16
KAPITEL 2 INTRODUKTION TIL BETALINGSKORT OG KORTSYSTEMER
Endelig er betalingskortområdet generelt kendetegnet ved en væsentlig koncentration, hvor få
store kortsystemer har en stor del af markedet. Tilstedeværelsen af netværkseffekter kan
virke som en adgangsbarriere for nye konkurrenter, der kan have svært ved at vinde fodfæste
på markedet, idet eksisterende kortsystemer kan have nemmere ved at tiltrække nye korthol-
dere og betalingsmodtagere – netop på grund af et allerede relativt højt antal aktører på
begge sider af betalingskortområdet.
ERU, Alm.del - 2021-22 - Bilag 336: Orientering vedr. betalingsrapport 2022, fra erhvervsministeren
2595415_0017.png
SIDE 17
BETALINGSRAPPORT 2022
Kapitel 3
Regulering af nationale kortsystemer
Dette kapitel vedrører reguleringen af nationale kortsystemer. Hvis et sådant kortsystem har
en tilstrækkelig stor udbredelse i Danmark, er dette system omfattet af nogle særlige regler
for brug af kortet i fysisk handel, dvs. fysiske forretninger.
3.1
Indledning
Dankort er det langt mest brugte betalingskort i Danmark og det eneste betalingskort, der er
omfattet af disse regler. Reglerne fastsætter bl.a., hvor meget betalingsmodtagere i fysisk han-
del skal betale for at kunne tage imod betalinger med Dankort, dvs. det gebyr de betaler for at
få indløst transaktioner foretaget med Dankort. Reglerne er nærmere beskrevet i dette kapitel.
Boks 3.1
Hovedkonklusioner
De væsentligste konklusioner i kapitlet er angivet i boks 3.1.
»
Den samlede maksimale betaling, som Nets må tage for indløsning af dankorttransaktioner
»
Den gennemsnitlige maksimale omkostning ved driften af dankortsystemet udgjorde i 2020
»
Nets ændrede den 1. januar 2022 indløsningsgebyret til 0,32 pct. af beløbet ved transaktio-
i fysisk handel i 2022 og 2023, blev fastsat til 436,4 mio. kr. Dette udgør et fald på 33,2 mio.
kr. eller 7,1 pct. i forhold til det, som Nets kunne tage for indløsning i 2020 og 2021
ifølge styrelsens beregninger 0,45 kr. pr. transaktion i fysisk handel. Det er en mindre stig-
ning i forhold til 2018, hvor omkostningen pr. transaktion udgjorde 0,43 kr.
ner i e-handlen. Tidligere var gebyret 0,54 kr. pr. transaktion tillagt 0,19 pct. af købsbelø-
bet, hvor gebyret set ikke kunne overstige 2,50 kr. pr. transaktion.
For at tage imod Dankort skal betalingsmodtagere have en kortindløsningsaftale med Nets,
der p.t. er den eneste indløser af dankorttransaktioner. Siden den 1. januar 2010 er den sam-
lede sum, som indløsere, dvs. Nets, må opkræve for indløsning af transaktioner foretaget i fy-
sisk handel, blevet fastsat på baggrund af de faktiske omkostninger ved driften af Dankort-sy-
stemet i den fysiske handel.
3.2
Regulering af Dankort i fysisk handel
I forbindelse med gennemførelsen af det andet betalingstjenestedirektiv blev der foretaget en-
kelte justeringer i reguleringen af Dankortet. Der blev eksempelvis i lov om betalinger ændret
en række bestemmelser vedrørende abonnementsordningen med henblik på at sikre større
ERU, Alm.del - 2021-22 - Bilag 336: Orientering vedr. betalingsrapport 2022, fra erhvervsministeren
2595415_0018.png
SIDE 18
KAPITEL 3 REGULERING AF NATIONALE KORTSYSTEMER
Bekendtgørelsen fastsætter, hvilke typer af omkostninger der skal indgå i opgørelsen af om-
kostningerne ved driften af Dankort-systemet. I opgørelsen indgår alene omkostninger, der er
4
forbundet med driften af betalingssystemet i den fysiske handel.
Et betalingssystem er i lov om betalinger, jf. § 7 nr. 13, defineret som:
”Et system til overførsel
af midler med formelle og standardiserede rutiner og fælles regler for behandling, clearing eller
afvikling af betalingstransaktioner”.
De samlede omkostninger ved driften omfatter både pengeinstitutternes omkostninger ved at
udstede og administrere Dankort, og Nets’ omkostninger ved at indløse transaktioner med
Dankort for betalingsmodtagere i fysisk handel.
Det følger af bekendtgørelsens § 8, at Konkurrence- og Forbrugerstyrelsen hvert andet år skal
foretage en undersøgelse af omkostningerne ved driften af Dankort-systemet i fysisk handel.
Undersøgelsen danner grundlaget for fastsættelsen af den samlede maksimale sum af betalin-
ger pr. år, som kortindløsere må opkræve fra betalingsmodtagere for indløsning af Dankortet i
fysisk handel de kommende to år.
teknologineutralitet. Samtidig blev reglerne justeret, så erhvervsministeren i dag har bemyn-
2
digelse til at fastsætte hvilke typer af betalingsinstrumenter, der er omfattet af reguleringen.
Denne bemyndigelse er anvendt til at udstede bekendtgørelsen om prismodeller for visse ty-
3
per af betalingsinstrumenter (prismodelbekendtgørelsen) i henhold til § 123, stk. 4 og stk. 5, i
lov om betalinger, hvor det er angivet, hvilke betalingsinstrumenter, der er omfattet af be-
stemmelsen og de nærmere kriterier.
Konkurrence- og Forbrugerstyrelsen gennemførte i 2021 en undersøgelse af omkostningerne i
2020 ved driften af Dankort-systemet i den fysiske handel. Styrelsen traf afgørelse om, at de
relevante omkostninger til driften udgjorde 436,4 mio. kr. i 2020, hvilket svarer til et fald på
Konkurrence- og Forbrugerstyrelsen fører med afsæt i afgørelsen om omkostningsundersø-
gelsen løbende tilsyn med, at de af kortindløsere fastsatte abonnements- og procentsatser er i
5
overensstemmelse med styrelsens afgørelse. Samtidig understøtter undersøgelserne, at den
beregnede maksimale sum af betalinger med en vis forsinkelse følger udviklingen i de faktiske
omkostninger.
3.3
Undersøgelse af omkostninger ved drift af Dankort-systemet i fysisk handel i 2020
__________________
2
3
4
5
Det følger af betalingslovens § 123, stk. 4, at ”Erhvervsministeren
kan fastsætte nærmere regler om, at udbyderen for visse typer
af betalingsinstrumenter alene kan pålægge betalingsmodtageren at betale et årligt abonnement til dækning af udbyderens
omkostninger til driften af betalingssystemet.”
Jf. prismodelbekendtgørelsens § 14.
Bekendtgørelse nr. 2163 af 18. december 2020 om prismodeller for visse typer af betalingsinstrumenter.
Jf. prismodelbekendtgørelsens § 8 og 9, smh. § 1, stk. 2.
ERU, Alm.del - 2021-22 - Bilag 336: Orientering vedr. betalingsrapport 2022, fra erhvervsministeren
2595415_0019.png
SIDE 19
BETALINGSRAPPORT 2022
33,2 mio. kr. eller 7,1 pct. i forhold til 2018, hvor omkostningerne blev opgjort til 469,6 mio.
6
kr.
Den gennemsnitlige maksimale omkostning ved driften af Dankort-systemet udgjorde ifølge
styrelsens beregninger 0,45 kr. pr. transaktion i fysisk handel i 2020. Det er en mindre stig-
ning i forhold til 2018, hvor omkostning pr. transaktion udgjorde 0,43 kr., jf. tabel 3.1. Det til-
skrives, at der bl.a. har været færre dankorttransaktioner i fysisk handel, og at der er (gen)ud-
stedt flere Dankort i 2020 end i 2018.
Konkret blev undersøgelsen af omkostninger gennemført ved, at styrelsen indhentede oplys-
ninger om omkostninger knyttet til drift af Dankort-systemet i 2020 fra Nets og fem pengein-
stitutter. De indrapporterede hver især direkte til styrelsen. Metoden følger den fremgangs-
7
måde, der blev fastlagt i 2015.
Tabel 3.1
Omkostninger ved driften af Dankort-systemet for fysisk handel
2016
486
1.028
0,47
2018
470
1.084
0,43
Samlede omkostninger ved driften af Dankort-systemet (mio. kr.)
Antal transaktioner i fysisk handel (mio. stk.)
Gennemsnitlig omkostninger pr. transaktion (kr.)
Den samlede maksimale betaling, som Nets derfor må tage for indløsning af dankorttransakti-
oner i fysisk handel, blev fastsat til 436,4 mio. kr. for 2022 og 2023, jf. prismodelbekendtgørel-
sens § 9.
2020
436
974
0,45
Kilde: Konkurrence- og Forbrugerstyrelsens beregninger baseret på oplysninger fra pengeinstitutterne og Nets.
Kortholdere i de fem udvalgte pengeinstitutter foretog i 2020 samlet ca. 57 pct. af alle dan-
korttransaktioner i fysisk handel. Omkostningerne fra de fem institutter, blev sammen med
viden om antal transaktioner, brugt til at opgøre de samlede omkostninger for alle udstedere
af Dankort.
Efter indhentning af oplysninger fra pengeinstitutterne er der gennemført en omfattende ana-
lyse og validering af de indberettede oplysninger, herunder undersøgelse af de bagvedlig-
gende beregninger, samt årsager til eventuelle ændringer i forhold til tilsvarende omkostnin-
ger i 2018.
Pengeinstitutterne har, som udstedere af Dankort, en række omkostninger til bl.a. produktion,
transaktionsbehandling samt service og administration. Pengeinstitutternes produktionsom-
__________________
6
7
Se også Konkurrence- og Forbrugerstyrelsens afgørelse af 8. december 2021.
Beskrivelse af den anvendte, og dengang reviderede, metode er beskrevet i afsnit 8.5 i Betalingsrapporten fra 2016.
https://www.kfst.dk/media/48953/20160427-betalingskortmarkedet-2016.pdf.
ERU, Alm.del - 2021-22 - Bilag 336: Orientering vedr. betalingsrapport 2022, fra erhvervsministeren
2595415_0020.png
SIDE 20
KAPITEL 3 REGULERING AF NATIONALE KORTSYSTEMER
Kortindløsere har siden april 1999 haft mulighed for at opkræve indløsningsgebyrer fra beta-
lingsmodtagere i den ikke-fysiske handel, fx online handel og selvbetjente automater.
Hvad angår Nets’ omkostninger, består disse primært af it-omkostninger til drift af Dankort-
systemet, herunder omkostninger til netværk og driftspersonale. Derudover har Nets bl.a. om-
kostninger til løbende vedligeholdelse og systemforvaltning af Dankort-systemet og Dankort-
infrastrukturen på Nets’ kortplatform.
3.4
Dankort-indløsningsgebyr i online handlen
Tilsvarende har styrelsen foretaget en analyse af Nets’ indberettede oplysninger og udvikling i
omkostninger med henblik på at sikre, at omkostningerne er retvisende og en eventuel om-
kostningsændring er tilstrækkeligt begrundet.
kostninger vedrører primært oprettelse af kortstamdata i institutternes systemer samt pro-
duktion og fremsendelse af Dankort til kortholdere (kunderne). Omkostninger til transakti-
onsbehandling er hovedsageligt knyttet til bogføring af dankorttransaktioner og produktion af
elektroniske kontoudtog. Endelig har institutterne omkostninger til servicering af dankortfo-
respørgsler, dvs. henvendelser fra kortholdere, herunder håndtering af kortspærringer og lig-
nende forespørgsler i relation til Dankort.
Nets’ indløsningsgebyr for transaktioner via en af disse øvrige salgskanaler er ikke omfattet af
ovenstående regulering.
Gebyrerne skal imidlertid være i overensstemmelse med betalingslovens § 122, stk. 1, hvoref-
8
ter gebyrer ikke må være urimeligt høje. Konkurrence- og Forbrugerstyrelsen traf i 2012 og
2013 afgørelser vedrørende Nets’ indløsningsgebyr for Dankort på internettet, jf. nærmere
herom i Bilag 2.
I den første afgørelse vurderede styrelsen, at Nets’ indløsningsgebyr for Dankort var for høje
og derved en overtrædelse af betalingstjenestelovens § 79 (nugældende § 122, stk. 1 i lov om
betalinger). Styrelsen påbød Nets at nedsætte indløsningsgebyret for Dankortet. På baggrund
af denne afgørelse nedsatte Nets sine gebyrer for indløsning af dankorttransaktioner i online
handlen. I den anden afgørelse vurderede styrelsen, at indløsningsgebyret fortsat var for højt,
hvorfor Nets igen blev påbudt at nedsætte indløsningsgebyret til et af styrelsen fastlagt ni-
veau. Påbuddet var gældende frem til den 31. december 2014. Afgørelsen blev den 17. februar
2021, opretholdt i Østre Landsret, jf. også kapitel 4.
I forbindelse med styrelsens anden afgørelse nedsatte Nets indløsningsgebyret, for Dankort i
online handel, til de satser som er angivet i, tabel 3.2. Disse gebyrer gjaldt frem til den 31. ja-
nuar 2018. Herefter har Nets ændret priserne to gange. Senest den 1. januar 2022, hvorefter
gebyret nu udgør 0,32 pct. af transaktionsbeløbet.
__________________
8
Ved urimeligt høje gebyrer forstås gebyrer, som er højere, end hvad der ville være tilfældet under virksom konkurrence, jf. §
122 i lov om betalinger.
ERU, Alm.del - 2021-22 - Bilag 336: Orientering vedr. betalingsrapport 2022, fra erhvervsministeren
2595415_0021.png
SIDE 21
BETALINGSRAPPORT 2022
Tabel 3.2
Priser for indløsning af Dankort i online handel
Gældende til 31. januar 2018
Oprettelse
Ved egen betalingsserver
Årsabonnement
Transaktionsbeløb 0,00-50,00 kr.
Transaktionsbeløb 50,01-100,00 kr.
Transaktionsbeløb over 100,01kr.
Note:
Priserne er ikke momsbelagte.
Gældende til 31. december 2021
250 kr.
1.250 kr.
1.100 kr.
Gældende fra 1. januar 2022
0 kr.
0 kr.
0 kr.
250 kr.
1.250 kr.
1.000 kr.
0,70 kr. pr. transaktion
1,10 kr. pr. transaktion
1,39 kr. pr. transaktion
0,54 kr. pr. transaktion
+ 0,19 pct. af transaktionsbeløb 0,32 pct. af transaktionsbeløb
maks. 2,50 kr.
Kilde: Nets, www.dankort.dk/dk/priser
ERU, Alm.del - 2021-22 - Bilag 336: Orientering vedr. betalingsrapport 2022, fra erhvervsministeren
2595415_0022.png
SIDE 22
KAPITEL 4 TILSYNSAKTIVITETER
Kapitel 4
Tilsynsaktiviteter
Konkurrence- og Forbrugerstyrelsen er bemyndiget til at føre tilsyn med en række bestem-
melser i betalingsloven, tilhørende bekendtgørelser og en række EU-forordninger, jf. Bilag 2.
Det er Konkurrencerådet, der har det overordnede ansvar for styrelsens tilsyn med betalings-
loven. Det er derfor rådet, der træffer afgørelse i principielle sager og sager af større betyd-
ning. Styrelsen udarbejder ligeledes løbende analyser, artikler og vejledninger inden for områ-
det. Derudover deltager Konkurrence- og Forbrugerstyrelsen i det internationale samarbejde
på betalingsområdet gennem Europa-Kommissionen.
4.1
Indledning
Boks 4.1
Væsentligste tilsynsaktivi-
teter fra 2020 til 2022
De væsentligste af Konkurrence- og Forbrugerstyrelsens tilsynsaktiviteter er opsummeret i
Boks 4.1. Derudover er styrelsens undersøgelse af omkostninger ved driften af Dankort, som
led i tilsynet med prismodelbekendtgørelsen, særskilt behandlet i afsnit 3.3 ovenfor.
Konkurrence- og Forbrugerstyrelsen har bl.a.
»
Truffet afgørelse om to pengeinstitutters urimeligt høje avancer
»
Truffet en række afgørelse om betalingsinstitutters adgang til betalingskontotjenester
»
Udstedt mere end 15 påbud for overtrædelse af betalingslovens gebyrregler samt for over-
»
Politianmeldt fem virksomheder for overtrædelser af betalingsloven og interbankgebyrfor-
»
Undersøgt konkurrencen på området for automatiske regningsbetalinger
»
Deltaget i internationalt samarbejde
trædelser af interbankgebyrforordningen
ordningen
Danske Banks og Nordeas valutatillæg
Konkurrencerådet traf den 30. marts 2022 afgørelse i to sager vedrørende forbuddet mod uri-
9
meligt høje priser og avancer. Både Danske Bank og Nordea havde overtrådt betalingslovens
__________________
9
4.2
Påbud til pengeinstitutter vedrørende urimeligt høje avancer for valutatillæg
Offentliggørelsen af de to afgørelser afventer på nuværende tidspunkt afklaring af fortrolighedsspørgsmål. Når dette er afkla-
ret, kan de findes på styrelsens hjemmeside: https://www.kfst.dk/betalingsmarkedet/afgorelser/. Pressemeddelelsen om
afgørelserne kan imidlertid findes her: https://www.kfst.dk/pressemeddelelser/kfst/2022/20220330-konkurrenceradet-
griber-ind-over-for-bankers-valutatillaeg/.
ERU, Alm.del - 2021-22 - Bilag 336: Orientering vedr. betalingsrapport 2022, fra erhvervsministeren
2595415_0023.png
SIDE 23
BETALINGSRAPPORT 2022
§ 122, stk. 1, ved at have opnået urimeligt høje priser og avancer ved opkrævningen af deres
såkaldte valutatillæg. I begge sager fandt Konkurrence- og Forbrugerstyrelsen, at efter en stig-
ning i valutatillægget på op til 50 procent hos Danske Bank og Nordea, var avancen ved op-
krævningen af valutatillægget urimelig og dermed ulovlig.
Valutatillægget er pengeinstitutternes gebyr for valutaomveksling og opkræves hver gang
kortholder foretager en transaktion i fremmede valuta med et Visa/Dankort udstedt i Dan-
mark. I 2017 hævede Danske Bank og Nordea deres valutatillæg fra 1 pct. til 1,5 pct. af trans-
aktionsbeløbet for brug af Visa/Dankort i Europa og fra 1,5 pct. til 2 pct. for brug af Visa/Dan-
kort uden for Europa.
Det følger af betalingslovens § 122, stk. 1, at der ved fastsættelse af gebyrer m.v. i forbindelse
med gennemførelse af betalingstransaktioner med et betalingsinstrument ikke må anvendes
urimelige priser og avancer. Det vil sige, at bestemmelsen omfatter:
»
enhver virksomhed,
»
der fastsætter gebyrer og vederlag
»
i forbindelse med brug af betalingsinstrumenter.
Styrelsen vurderede også, at betalingslovens § 122, stk. 1, skal fortolkes således, at styrelsen
kan vurdere, om et gebyr isoleret set står i et rimeligt forhold til de relevante omkostninger.
Styrelsen tillagde det også vægt, at betalingslovens forarbejder underbygger denne fortolk-
ning, fordi bestemmelsen er udformet generelt og omfatter alle virksomheders prisfastsæt-
telse. Derfor omfattes priserne hos enhver virksomhed, der fastsætter gebyrer i forbindelse
med kortbetalinger.
Konkurrence- og Forbrugerstyrelsen fandt, at valutatillægget er omfattet af betalingslovens §
122, stk. 1. Styrelsen lagde i denne forbindelse vægt på, at der er tale om et gebyr, der er fast-
sat af pengeinstitutterne over for kortholder i forbindelse med gennemførelsen af en transak-
tion med et betalingsinstrument (i det konkrete tilfælde Visa/Dankort).
Konkurrence- og Forbrugerstyrelsen lagde vægt på, at bestemmelsens ordlyd understøtter, at
der i vurderingen af, om der er tale om urimelige priser og avancer kan tages udgangspunkt i
enhver aktørs gebyrer særskilt.
Endelig tillagde Konkurrence- og Forbrugerstyrelsen det vægt, at praksis efter betalingsreg-
lerne understøtter, at styrelsen kan undersøge prissætningen af et specifikt gebyr frem for
hele virksomhedens priser, som det var tilfældet i sagerne om PBS’ gebyrer og Nets’ ændring
af Dankortgebyrer i 2013, se mere herom i afsnit 4.9.
Priser og avancer er urimelige, når disse er højere, end hvad der ville være tilfældet under
virksom konkurrence. Afgørelsen af, om en pris er højere, end hvad der ville være tilfældet un-
der virksom konkurrence, og dermed i strid med § 122, stk. 1, sker gennem en kontrafaktisk
vurdering af forholdene, som de ville være i et konkurrencepræget marked. Der kan derfor
ikke kræves et egentligt bevis for, hvad prisen eller avancen ville være, men der kræves en væ-
sentlig sandsynliggørelse af ét af følgende tre forhold:
»
prisen ligger over prisen i andre lande med en effektiv betalingsformidling,
»
prisen står ikke i et rimeligt forhold til omkostningerne,
eller
»
prisen medfører en overnormal indtjening.
ERU, Alm.del - 2021-22 - Bilag 336: Orientering vedr. betalingsrapport 2022, fra erhvervsministeren
2595415_0024.png
SIDE 24
KAPITEL 4 TILSYNSAKTIVITETER
Efter bestemmelsen stilles der desuden mindre omfattende krav, til hvornår et prisindgreb
10
kan foretages, end efter konkurrencelovens § 11. Der kan bl.a. gribes ind over for enhver
virksomhed, der ved at gennemføre betalingstransaktioner, opnår urimelig priser og avancer,
uden krav om, at det påvises, at den pågældende virksomhed har en dominerende stilling på
det pågældende marked.
I den forbindelse tog styrelsen udgangspunkt i en
Activity-Based Costing-metode
(ABC-me-
tode) til at beregne de relevante omkostninger i forbindelse med det relevante produkt, der i
begge sager var valutaomveksling. ABC-metoden er en aktivitetsbaseret omkostningsmetode,
som identificerer de ressourcer, der anvendes i relation til produktionen af et specifikt pro-
dukt eller tjenesteydelse, fx valutaomveksling, og allokerer omkostninger til disse ressourcer.
Derved identificeres pengeinstituttets henførbare omkostninger, som består af både direkte
og indirekte omkostninger til den pågældende specifikke produkt eller tjenesteydelse.
Herudover inddrog styrelsen en andel af pengeinstitutternes faste fællesomkostninger (over-
head-omkostninger) i beregningen. Overhead-omkostninger kan ikke henføres til et specifikt
aktivitetsområde (eller en gruppe af aktivitetsområder) eller et eller flere produkter eller tje-
nesteydelser i en virksomhed. de er således ikke-henførbare.
I de pågældende sager undersøgte styrelsen, om Danske Banks og Nordeas valutatillæg knyt-
tet til brug af Visa/Dankort, i perioden 2016-2019, stod i rimeligt forhold til omkostningerne.
Konkurrence- og Forbrugerstyrelsen fører tilsyn med betalingslovens regler om adgang til be-
talingskontotjenester hos pengeinstitutter, jf. nærmere herom i Bilag 2. Betalingsinstitutter
har som udgangspunkt krav på adgang til betalingskontotjenester hos pengeinstitutter på ob-
jektive, ikke-diskriminerende og proportionale vilkår, jf. betalingslovens § 63, stk. 1. Pengein-
stitutterne er forpligtet til at underrette Konkurrence- og Forbrugerstyrelsen, når de giver et
betalingsinstitut afslag på adgang eller opsiger adgangen til en betalingskontotjenester. Beta-
lingslovens § 63, stk. 1, implementerer det andet betalingsdirektivs artikel 36, og formålet
med bestemmelsen er netop at sikre betalingstjenesteudbydere adgang til betalingskontotje-
nester og dermed styrke konkurrencen.
4.3
Påbud og indskærpelser til pengeinstitutter vedrørende betalingsinstitutters ad-
gang til betalingskontotjenester
Konkurrencerådet påbød herefter begge pengeinstitutter at nedsætte valutatillægget over for
kortindehaveren for transaktioner i udenlandske valuta med Visa-delen af Visa både inden og
uden for Europa, således at Danske Bank og Nordea ikke anvender urimelige priser og avancer
i henhold til betalingslovens § 122, stk. 1.
På baggrund af omkostningsopgørelsen baseret på de henførbare og ikke-henførbare omkost-
ninger beregnede styrelsen bl.a. pengeinstitutternes overskudsgrad for valutaomveksling. Sty-
relsen fandt, at begge valutatillæg ikke stod i rimeligt forhold til omkostningerne. I denne vur-
dering indgik en sammenligning med bl.a. overskudsgrad inden for betalingsområdet og andre
brancher. Baseret på det andet forhold, hvor prisen sammenholdes med de forbundne om-
kostninger, fandt styrelsen derfor, at valutatillæggene var i strid med § 122, stk. 1.
__________________
10
Se bl.a. Østre Landsret dom af 17. februar 2021, Nets Holding A/S mod Konkurrence- og Forbrugerstyrelsen, s. 283.
ERU, Alm.del - 2021-22 - Bilag 336: Orientering vedr. betalingsrapport 2022, fra erhvervsministeren
2595415_0025.png
SIDE 25
BETALINGSRAPPORT 2022
Konkurrencerådet og Konkurrence- og Forbrugerstyrelsen har siden sidste rapport truffet syv
afgørelser vedrørende pengeinstitutters vilkår for adgang til betalingskontotjenester og beta-
lingsinstitutters adgang hertil. Styrelsen har vurderet en række pengeinstitutters vilkår og
blandt andet fundet i disse sager,
»
at der kan stilles krav til et betalingsinstituts forretningsmodel, men de skal være klare,
»
at der kan stilles krav om overholdelse af visse typer af lovgivning,
»
at der ikke i forhold til ejerskab må diskrimineres mellem betalingsinstitutter og andre ak-
Ringkjøbing Landbobank A/S I
11
Konkurrence- og Forbrugerstyrelsen traf den 8. juli 2020 afgørelse om, at Ringkjøbing Land-
bobank A/S havde overtrådt betalingslovens § 63. stk. 1 ved at have fastsat vilkår for adgang
til betalingskontotjenester, der ikke var objektive, og at pengeinstituttet havde administreret
12
disse vilkår på en diskriminerende og/eller ikke-proportional måde.
På denne baggrund har Konkurrence- og Forbrugerstyrelsen udstedt en række påbud og poli-
tianmeldt et pengeinstitut.
tører (ubegrundet)
Konkurrence- og Forbrugerstyrelsen fandt navnlig, at vilkåret om, at Ringkjøbing Landbobank
ikke ønskede at betjene betalingsinstitutter, som i) havde en uigennemskuelig forretningsmo-
del, ii) og/eller antoges ikke at overholde gældende regler, iii) og/eller medførte en associe-
ring, der var skadelig for pengeinstituttet og kunne medføre unødig risikoeksponering for
pengeinstituttet, ikke var objektivt fastsat. Styrelsen fandt dog, at det eksempelvis kan være
nødvendigt for et pengeinstitut at kræve, at et betalingsinstituts forretningsmodel er gennem-
skuelig, men at et sådant krav forudsætter proportional administration.
Ligeledes påpegede styrelsen, at et krav om at overholde ”gældende
lovgivning”
kan være pro-
portionalt, men at det ikke nødvendigvis kan udstrækkes til alle former for lovgivning. Yder-
mere bemærkede styrelsen, hvis et pengeinstitut har et vilkår, hvorefter kundeforholdet ikke
må medføre en associering, der er skadelig for pengeinstituttet – eksempelvis kunder, der har
et negativt omdømme i den bredere offentlighed – kan det være både ikke-diskriminerende og
proportionalt. Dette vil dog forudsætte, at vilkåret håndhæves konsekvent og ensartet og der-
udover administreres proportionalt.
Styrelsen fandt endvidere, at Ringkjøbing Landbobanks administration af sine adgangsvilkår
var diskriminerende og/eller ikke-proportional. Styrelsen bemærkede, at kravet om proporti-
onal administration medfører, at et pengeinstitut skal angive over for sin kunde (betalingsin-
stituttet), hvilke konkrete forhold pengeinstituttet finder uigennemskuelige, når det stiller
krav om gennemskuelighed i forretningsmodellen. Endvidere er der tale om ikke-proportional
administration af vilkåret, når pengeinstituttet generelt afviser betalingsinstituttets adgang til
pengeinstituttets betalingskontotjenester, da nødvendigheden herfor skal sandsynliggøres.
Styrelsen fandt også i forhold til vilkåret vedrørende skadeligt omdømme, at dette vilkår var
__________________
11
12
Det bemærkes, at denne afgørelse er truffet før det overordnede ansvar for Konkurrence- og Forbrugerstyrelsens håndhæ-
velse af betalingsloven overgik fra Erhvervsministeren til Konkurrencerådet. Se nærmere herom i bilag 2.
Jf. Konkurrence- og Forbrugerstyrelsens afgørelse af 8. juli 2020,
Påbud til Ringkjøbing Landbobank om bankens vilkår til
betalingsinstitutter,
18/19832. Afgørelsen kan findes på styrelsens hjemmeside: https://www.kfst.dk/afgorelser-ruling/be-
talingskort/afgoerelser/2020/20200708-ringkj%C3%B8bing-landbobank_endelig-afg%C3%B8relse-vedr-betalingslovens-
63-stk-1/.
ERU, Alm.del - 2021-22 - Bilag 336: Orientering vedr. betalingsrapport 2022, fra erhvervsministeren
2595415_0026.png
SIDE 26
KAPITEL 4 TILSYNSAKTIVITETER
Ringkjøbing Landbobank A/S II
Konkurrencerådet traf derudover den 27. oktober 2021 afgørelse om, at Ringkjøbing Landbo-
bank A/S’ vilkår for adgang til betalingskontotjenester og administrationen af disse vilkår ikke
13
var i overensstemmelse med betalingslovens § 63, stk. 1. Blandt andet fandt styrelsen, at det
generelt kunne være legitimt at fastsætte vilkår om overholdelse af gældende regler om hvid-
vask og terrorfinansiering. Styrelsen fandt imidlertid, at det var diskriminerende, at alene be-
talingsinstituttets kunder skulle overholde disse regler. Det fremstod ikke begrundet, hvorfor
sådant et vilkår alene skulle gælde for betalingsinstitutter, og eksempelvis ikke for respon-
dent- eller korrespondentbanker eller andre finansielle aktører såsom vekselforretninger, fin-
tech-virksomheder eller lignende.
Derfor påbød Konkurrencerådet Ringkjøbing Landbobank at bringe deres vilkår i overens-
stemmelse med betalingslovens § 63, stk. 1, og herefter sikre, at vilkårene for adgang til beta-
lingskontotjenester er objektive, ikke-diskriminerende og proportionale. Derudover blev pen-
geinstituttet påbudt at sikre, at det afviste betalingsinstitut fik adgang til pengeinstituttets be-
talingskontotjenester på objektive, ikke-diskriminerende og proportionale vilkår.
Som følge heraf udstedte Konkurrence- og Forbrugerstyrelsen påbud til Ringkøbing Landbo-
bank om, at pengeinstituttet skulle sikre, at adgangsvilkårene til betalingskontotjenester er
objektive, ikke-diskriminerende og proportionale i henhold til betalingslovens § 63, stk. 1.
Endvidere påbød styrelsen Ringkjøbing Landbobank, at betalingsinstituttet skulle have ad-
gang til bankens betalingskontotjenester på objektive, ikke-diskriminerende og proportionale
vilkår, så instituttet kunne udbyde betalingstjenester uhindret og effektivt.
administreret diskriminerende. Styrelsen lagde bl.a. vægt på, at det ikke fremgik af Ringkjø-
bing Landbobanks fremsendte eksempler, hvilket vilkår de pågældende kundetyper blev afvist
efter, herunder om disse kundetyper var sammenlignelige med et betalingsinstitut. Endvidere
lagde styrelsen vægt på, at der ikke forelå konkrete eksempler på kunder eller potentielle kun-
der, der var blevet afvist, fordi kundeforholdet kunne skade pengeinstituttets renommé.
Sydbank A/S
Konkurrencerådet traf den 23. juni 2021 både afgørelse vedrørende Sydbank A/S’ vilkår for
adgang til betalingskontotjenester og afgørelse om Sydbanks afslag om adgang til betalings-
14
kontotjenester til en agent for et betalingsinstitut. Konkurrence- og Forbrugerstyrelsen
fandt, at en række af Sydbanks vilkår ikke var fastsat objektivt, navnlig da det fremgik, at en
række vilkår var fastsat ”som udgangspunkt”, og det ikke fremgik, hvilke konkrete konstater-
bare forhold, der gjorde, at et betalingsinstitut kunne anses for omfattet af dette udgangs-
punkt, f.eks. hvornår en virksomhed ansås for ”bosiddende i lande forbundet med særlig høj
risiko for hvidvask” . Sydbank havde derfor på flere punkter et subjektivt skøn, der var for
bredt. Endvidere fandt styrelsen, at et vilkår, der ekskluderer virksomheder fra adgang til be-
talingskontotjenester, fordi de tilbyder en af de i betalingsloven definerede betalingstjenester,
var i strid med betalingslovens § 63, stk. 1. Dette skyldes, at betalingsinstitutter er virksomhe-
__________________
13
14
Konkurrencerådets afgørelse af 23. juni 2021,
Sydbanks vilkår,
19/10259-64, og Rådets afgørelse af 23. juni,
Sydbanks afslag,
19/10259-65. Afgørelserne kan findes på styrelsen hjemmeside: https://www.kfst.dk/media/ohzkotrj/20210624-syd-
banks-vilk%C3%A5r-final.pdf og https://www.kfst.dk/media/gdvnzabi/20210624-sydbanks-afslag-final.pdf.
Konkurrencerådets afgørelse af 27. oktober 2021,
Rinkjøbing Landbobanks vilkår,
13/10544-75, og afgørelse af 27. oktober
2021,
Ringkjøbing Landbobanks afslag,
19/10544-76. Afgørelserne kan findes på styrelsens hjemmeside:
https://www.kfst.dk/media/mhibsoua/20211027-ringkjobing-landbobanks-vilkar.pdf og https://www.kfst.dk/me-
dia/smwggkgq/20211027-ringkjobing-landbobanks-adgang.pdf.
ERU, Alm.del - 2021-22 - Bilag 336: Orientering vedr. betalingsrapport 2022, fra erhvervsministeren
2595415_0027.png
SIDE 27
BETALINGSRAPPORT 2022
På baggrund af denne vurdering traf Konkurrencerådet afgørelse i begge sager og påbød Syd-
bank at sikre, at pengeinstituttets generelle vilkår for adgang til dennes betalingskontotjene-
ster er objektive, ikke-diskriminerende og proportionale i henhold til betalingslovens § 63,
stk. 1, og at Sydbank konkret skulle sikre, at betalingsinstitutter og disses agenter får adgang
til Sydbanks betalingskontotjenester på objektive, ikke-diskriminerende og proportionale vil-
kår, således at betalingsinstituttet kan udbyde betalingstjenester uhindret og effektivt, jf. beta-
lingslovens § 63, stk. 1.
Arbejdernes Landsbank A/S
Konkurrencerådet traf ligeledes den 27. april 2022 afgørelse om, at Arbejdernes Landsbank
A/S havde overtrådt betalingslovens § 63, stk. 1, fordi flere af bankens vilkår ikke var objek-
tivt, ikke-diskriminerende eller proportionelt fastsat. Styrelsen fandt endvidere, at bankens
15
administration over for et betalingsinstitut var i strid med betalingslovens § 63, stk. 1.
der, der har tilladelse til at udbyde de i betalingsloven oplistede betalingstjenester. Betalings-
lovens § 63, stk. 1, giver netop disse virksomheder retskrav på adgang til betalingskontotjene-
ster på objektive, ikke-diskriminerende og proportionale vilkår. Endelig fandt styrelsen, at
Sydbanks administration af vilkårene over for et betalingsinstituts agent var i strid med beta-
lingslovens § 63, stk. 1.
Konkurrencerådet påbød herefter Arbejdernes Landsbank at sikre, at vilkårene for adgang til
betalingskontotjenester er objektive, ikke-diskriminerende og proportionale i henhold til be-
talingslovens § 63, stk. 1, at pengeinstituttet skulle ophæve den konkrete opsigelse, samt at
__________________
15
Begge vilkår var ligeledes diskriminerende, da pengeinstituttet ikke havde peget på forhold,
der kunne retfærdiggøre en forskel i forhold til andre erhvervskunder, hvor udenlandsk ejer-
skab ikke var en hindring for at opnå kundeforhold. Konkurrence- og Forbrugerstyrelsen vur-
derede endeligt, at vilkåret om ikke at tilbyde kundeforhold til udenlandske respondenter ikke
var fastsat proportionalt, idet vilkåret var formuleret for bredt i forhold til pengeinstituttets
tilsigtede formål; ønsket om at mindske risiko for hvidvask og terrorfinansiering. Vilkåret gik
længere end nødvendigt for at nå det tilsigtede formål og var derfor ikke fastsat proportionalt.
Konkurrence- og Forbrugerstyrelsen fandt navnlig, at Arbejdernes Landsbanks vilkår om ude-
lukkende at tilbyde kundeforhold til indenlandske respondentforbindelser, herunder til beta-
lingsinstitutter, ikke var fastsat objektivt og var diskriminerende. En respondentforbindelse er
eksempelvis et penge- eller betalingsinstitut, der har en konto i en i et (andet) pengeinstitut.
Et sådant kundeforhold giver disse institutter mulighed for at gennemføre betalinger via det
pengeinstitut, som de har en konto hos. Arbejdernes Landsbank havde bl.a. ikke klart define-
ret og nedskrevet hvilke konkrete, konstaterbare forhold, der skulle være opfyldt, før en virk-
somhed blev betragtet som en ”indenlandske respondent” og ikke en udenlandsk. Det fremgik
ikke nogen steder, at dette beroede på betalingsinstituttets ejerforhold. Det fremstod heller
ikke begrundet, hvorfor et sådan vilkår udelukkende skulle gælde for respondentforbindelser
og ikke erhvervskunder. Som følge heraf var vilkåret om ikke at tilbyde udenlandske respon-
denter kundeforhold ligeledes ikke objektivt fastsat, da definitionen fulgte modsætningsvis af
”indenlandsk respondent”.
Konkurrencerådets afgørelse af 27. april 2022,
Arbejdernes Landsbank A/S’ vilkår,
sagsnr. 21/11840-63 og Konkurrencerå-
dets afgørelse af 27. april 2022,
Arbejdernes Landsbank A/S’ opsigelse af Cleahaus A/S,
sagsnr. 21/11840-64. Afgørelserne kan
findes på styrelsens hjemmeside: https://www.kfst.dk/media/hieju5ps/20220427-arbejdernes-landsbanks-vilk%C3%A5r-
63.pdf og https://www.kfst.dk/media/hv2jkiot/20220427-clearhaus-adgang-til-arbejdernes-landsbanks-betalingskontotje-
nester.pdf.
ERU, Alm.del - 2021-22 - Bilag 336: Orientering vedr. betalingsrapport 2022, fra erhvervsministeren
2595415_0028.png
SIDE 28
KAPITEL 4 TILSYNSAKTIVITETER
pengeinstituttet skulle sikre, at betalingsinstitutter får adgang til pengeinstituttet betalings-
kontotjenester på objektive, ikke-diskriminerende og proportionale vilkår, så betalingsinsti-
tuttet kan udbyde betalingstjenester uhindret og effektivt, jf. betalingslovens § 63, stk. 1.
Som følge af overtrædelsen af betalingslovens § 63, stk. 1, politianmeldte Konkurrence- og
Forbrugerstyrelsen Arbejdernes Landsbank A/S med henblik på strafforfølgning.
Bestemmelsen om betalingsinstitutters adgang til kontotjenester trådte i kraft i 2018. Konkur-
rencerådet har i 2022 meldt ud, at rådet fremadrettet vil politianmelde overtrædelser af beta-
lingslovens § 63, når det er relevant. Det skal ses i lyset af, at Konkurrencerådet sammen med
Finanstilsynet har udgivet en vejledning om reglerne, og at der foreligger en række afgørelser
på området, herunder fra Konkurrenceankenævnet, som fastlægger praksis, og som pengein-
16
stitutter kan orientere sig i.
Indskærpelse over for et pengeinstitut
Konkurrence- og Forbrugerstyrelsen traf den 17. marts 2022 afgørelse om at indstille sagsbe-
17
18
handlingen vedrørende en klage over et pengeinstitut. I denne forbindelse indskærpede
styrelsen over for instituttet, at det var en overtrædelse af betalingslovens § 63, stk. 2, hvis et
pengeinstitut ikke underrettede styrelsen om et afslag til en virksomhed med begrænset tilla-
delse til at udbyde betalingstjenester i henhold til bilag 1 nr. 1-6 i lov om betalinger, kort be-
nævnt et betalingsinstitut med begrænset tilladelse. Konkurrence- og Forbrugerstyrelsen vur-
derer således, at de betalingsinstitutter betalingslovens § 63, stk. 1 og 2 henviser til, også om-
fatter virksomheder med begrænset tilladelse efter lovens § 9, jf. § 51.
4.4
Påbud til virksomheder for at overtræde ”frit valg”-reglerne i interbankgebyrfor-
ordningens artikel 8, stk. 6
I perioden siden seneste betalingsrapport har Konkurrence- og Forbrugerstyrelsen truffet én
afgørelse vedrørende interbankgebyrforordningens artikel 8, stk. 6. Det bemærkes, at en over-
trædelse af bestemmelsen kan straffes med bøde. Se nærmere om bøder i afsnit 4.6.
Konkurrence- og Forbrugerstyrelsen fører løbende tilsyn med interbankgebyrforordningens
bestemmelser og har navnlig truffet afgørelse i sager om artikel 8, stk. 6, der vedrører ”frit
valg” i betalingsøjeblikket. Interbankgebyrforordningens artikel 8, stk. 6, vedrører såkaldte co-
badgede betalingskort, fx Visa/Dankort, og forpligter visse udbydere og betalingsmodtagere
til at lade en kortholder (betaler) vælge, om denne vil betale med enten Visa- eller Dankort-
delen af kortet jf. nærmere herom i Bilag 2.
__________________
16
17
Se pressemeddelelsen af 27. april 2022 her: https://www.kfst.dk/pressemeddelelser/kfst/2022/20220427-konkurrencera-
det-politianmelder-arbejdernes-landsbank-i-sag-om-opsigelse-af-et-betalingsinstitut/.
Hvor Konkurrence- og Forbrugerstyrelsen ikke træffer afgørelse i sagen, eksempelvis på grund af ressourcehensyn, men fin-
der anledning til at gøre opmærksom på de gældende regler, kan styrelsen ved en indskærpelse gøre en virksomhed op-
mærksom på, at der i det pågældende tilfælde kan være tale om en overtrædelse.
18
Konkurrence- og Forbrugerstyrelsens afgørelse af 17. marts 2022,
Indskærpelse,
https://www.kfst.dk/afgorelser-ruling/be-
talingskort/indskaerpelser/2022/20220317-indskaerpelse-vedrorende-etablering-af-portefoljekonto-og-indlosningsaftale/.
ERU, Alm.del - 2021-22 - Bilag 336: Orientering vedr. betalingsrapport 2022, fra erhvervsministeren
2595415_0029.png
SIDE 29
BETALINGSRAPPORT 2022
Konkurrence- og Forbrugerstyrelsen traf den 28. oktober 2021 afgørelse om, at Salling Group
havde overtrådt interbankgebyrforordningens artikel 8, stk. 6, ved ikke at give kunder mulig-
hed at for at vælge at betale med Visa-delen, når kunder benyttede et Visa/Dankort til at be-
19
tale med, og således hindrede kundes frie valg.
Konkurrence- og Forbrugerstyrelsen erfarede gennem sit tilsynsarbejde, at der var udfordrin-
ger med, at en del forretninger ulovligt havde opkrævet gebyrer, når der blev betalt med mo-
bile betalingsløsninger som fx Apple Pay og Google Pay. På opfordring fra erhvervsministeriet
20
inviterede styrelsen en række centrale aktører til møde herom i oktober 2020. Udfordringen
kunne blandt andet være opstået, fordi nogle forretningers betalingsterminaler i nogle til-
fælde registrerede betalingerne forkert. Betalingerne registreredes fejlagtigt som betalinger
med kort udstedt uden for EU, selvom det tilknyttede et kort var udstedt i EU, hvilket kunne
medføre en ulovlig gebyropkrævning.
Konkurrence- og Forbrugerstyrelsen har modtaget 54 henvendelser vedrørende opkrævning
af gebyrer for anvendelsen af betalingskort i 2020 og 2021. Konkurrence- og Forbrugerstyrel-
sen har i 19 af disse sager udstedt påbud til virksomheden om at ophøre med at opkræve ge-
byrer i strid med betalingslovens § 121, stk. 3.Sammenlignet med 2018-2019, der blev beskre-
vet i seneste betalingsrapport, er der således sket et væsentligt fald i antallet af henvendelser
fra mere end 200 til 54. Desuden er antallet af udstedte påbud faldet fra 80 påbud til 19. Det er
således et fald i henvendelser og påbud på omkring 75 pct. fra perioden 2018/2019 til
2020/2021.
Konkurrence- og Forbrugerstyrelsen påbød herefter Salling Group at ophøre med at hindre
betalere i at vælge betalingsvaremærke og/eller betalingsapplikation for de kategorier af kort
eller relaterede betalingsinstrumenter, som Salling tager imod, såfremt det ikke allerede er
sket. Det bemærkes, at en overtrædelse af bestemmelsen kan straffes med bøde. Se nærmere
herom i afsnit 4.6
4.5
Virksomheders opkrævning af betalingskortgebyrer
Styrelsen opfordrede herefter forretningerne til – som en midlertidig løsning – at vælge slet
ikke at opkræve gebyrer for kort udstedt uden for EU, hvilket de kunne sikre ved at kontakte
Konkurrence- og Forbrugerstyrelsen havde også i praksis set eksempler på, at forretningerne
ikke var opmærksomme på at opdatere deres betalingsterminaler. En anden årsag kunne mu-
ligvis være, at de internationale kortselskaber sendte de nødvendige oplysninger for sent til
kortindløserne, at kortindløserne ikke rettidigt videreformidlede oplysningerne fra kortsel-
skaberne til forretningerne, eller forhold relateret til eksempelvis bankernes rolle som kortud-
stedere. Endelig kunne det ikke udelukkes, at leverandørerne af de mobile løsninger kunne
spille en rolle, i forhold til hvordan problemerne opstår og kan løses.
__________________
19
20
Konkurrence- og Forbrugerstyrelsens afgørelse kan læses her: https://www.kfst.dk/media/adnmt3hq/20211028-salling-
group.pdf.
Se Konkurrence- og Forbrugerstyrelsens pressemeddelelse af 23. september 2020: https://www.kfst.dk/pressemeddelel-
ser/kfst/2020/20200923-indsats-mod-ulovlige-gebyrer-pa-betalinger/.
ERU, Alm.del - 2021-22 - Bilag 336: Orientering vedr. betalingsrapport 2022, fra erhvervsministeren
2595415_0030.png
SIDE 30
KAPITEL 4 TILSYNSAKTIVITETER
Efter møderne med de centrale, herunder kortselskaberne Mastercard og Visa, indløserne
Nets og Bambora samt brancheorganisationen Dansk Erhverv, tilkendegav en række aktører,
at de ville eller allerede havde iværksat tiltag, der skulle løse de førnævnte udfordringer og
dermed gøre det nemmere for forretningerne at overholde lovgivningen. Aktørerne ville
skærpe fokus på, at betalingssystemerne var opdaterede, og Dansk Erhverv tilkendegav, at de
ville bidrage med målrettet kommunikation til medlemmerne om, at de løbende skal opdatere
21
deres betalingsterminaler. Udviklingen i antallet af henvendelser og påbud peger på, at ind-
satsen fra aktørernes side har haft virkning.
4.6
Politianmeldelse af virksomheder for overtrædelser af betalingsloven og inter-
bankgebyrforordningen
deres indløser. For mange forretninger ville gebyrerne for disse kort i forvejen spille en lille
rolle.
En række af de afgørelser, som Konkurrence- og Forbrugerstyrelsen har truffet, vedrører virk-
somheder, der tidligere har modtaget et påbud fra styrelsen. Konkurrence- og Forbrugersty-
relsen har i disse tilfælde politianmeldt virksomhederne. Nærmere herom i afsnit 4.6.
Konkurrence- og Forbrugerstyrelsen har anmeldt Arbejdernes Landsbank A/S for at over-
træde betalingslovens § 63. Konkurrencerådet traf den 27. april 2022 afgørelse om, at Arbej-
dernes Landsbanks vilkår for adgang til betalingskontotjenester var i strid med betalingslo-
vens § 63, stk. 1, fordi kriterierne heri ikke var objektivt fastslagt, samt at pengeinstituttets
opsigelse af et betalingsinstitut var i strid med betalingslovens § 63, stk. 1, se nærmere herom
i afsnit 4.3, ovenfor. Overtrædelser af denne bestemmelse straffes med bøde, jf. betalingslo-
vens § 152, stk. 2. Konkurrencerådet besluttede derfor at anmelde Arbejdernes Landsbank til
22
Københavns Politi med henblik på strafforfølgelse.
I henhold til betalingslovens § 152, stk. 2 og 3, er der hjemmel til at straffe overtrædelser af en
række bestemmelser, som Konkurrence- og Forbrugerstyrelsen fører tilsyn med, med bøde.
Konkurrence- og Forbrugerstyrelsen har anmeldt fem virksomheder til politiet for sådanne
overtrædelser med henblik på, at de bliver pålagt bødestraf.
Konkurrencerådet har i tre tilfælde besluttet at anmelde virksomheder for overtrædelser af
tidligere påbud udstedt i medfør af betalingslovens § 145, stk. 2. I alle tre tilfælde vedrørte de
indledende påbud overtrædelser af betalingslovens § 121, stk. 3, der forbyder opkrævningen
af gebyrer for anvendelsen af betalingsinstrumenter, hvor gebyrsatserne er reguleret af inter-
bankgebyrforordningen.
Styrelsen udstedte derfor påbud til de tre virksomheder om at ophøre med at opkræve geby-
rer i strid med betalingslovens § 121, stk. 3. Styrelsen har efterfølgende truffet afgørelse ved-
rørende de samme tre virksomheder, hvor styrelsen fandt, at virksomhederne igen havde
__________________
21
22
Beslutningen om at oversende sagen til strafferetlig forfølgelse kan læses her: https://www.kfst.dk/pressemeddelel-
ser/kfst/2022/20220427-konkurrenceradet-politianmelder-arbejdernes-landsbank-i-sag-om-opsigelse-af-et-betalingsinsti-
tut/.
Se Konkurrence- og Forbrugerstyrelsens pressemeddelelse af 24. juni 2021: https://www.kfst.dk/pressemeddelel-
ser/kfst/2021/20210624-tiltag-mod-ulovlige-gebyrer-pa-mobilbetaling/.
ERU, Alm.del - 2021-22 - Bilag 336: Orientering vedr. betalingsrapport 2022, fra erhvervsministeren
2595415_0031.png
SIDE 31
BETALINGSRAPPORT 2022
overtrådt betalingslovens § 121, stk. 3, og derfor havde overtrådt styrelsens påbud. Som følge
heraf besluttede Konkurrencerådet, at virksomhederne skulle anmeldes til politiet med hen-
23
blik på strafferetlig forfølgelse.
Konkurrencerådet offentliggjorde den 15. september 2020 en analyse af konkurrencen på om-
rådet for automatiske regningsbetalinger, der navnlig anvendes ved tilbagevendende betalin-
25
ger i løbende kontraktforhold. Automatiske regningsbetalinger formidler automatisk beta-
ling fra en kunde til en forretningsdrivende og kan anvendes både til betaling af faste og varri-
erende beløb. Særligt løsningerne automatisk kortbetaling, MobilePay Subscriptions og Beta-
lingsservice anvendes i Danmark.
Analysen viste, at Betalingsservice står for den største andel af de samlede transaktioner,
nemlig [50-75] pct., og at Nets i denne forbindelse har en forholdsvis høj overskudsgrad. Kon-
kurrencerådet konkluderede herefter, at der var grundlag for at styrke konkurrencen på om-
rådet for automatiske regningsbetalinger.
På nuværende tidspunkt har en virksomhed vedtaget en bøde på 60.000 kr. De resterende sa-
ger verserer fortsat.
4.7
Analyser, undersøgelser og vejledninger
Konkurrence- og Forbrugerstyrelsen har endvidere politianmeldt én virksomhed for at over-
træde interbankgebyrforordningens artikel 8, stk. 6, der foreskriver, at betalere og betalings-
modtagere skal have mulighed for at vælge betalingsvaremærke eller betalingsapplikation, el-
ler begge, ved brug af et co-badget betalingsinstrument. Endvidere er det forbudt for beta-
lingsmodtagere at forhindre betalere i at fravælge et automatisk valg af betalingskortvare-
24
mærke ved et co-badget betalingsinstrument.
Konkurrencerådet fremsatte i denne forbindelse en række anbefalinger og tiltag for at mod-
virke uhensigtsmæssige loyalitetsvirkninger og for at forbedre mulighederne for konkurre-
rende løsninger. Endvidere skulle Konkurrence- og Forbrugerstyrelsen have særskilt fokus på,
at nye samarbejder inden for betalingsområdet ville bidrage til at øge konkurrencen. Styrelsen
skulle også undersøge visse pengeinstitutters omkostninger og indtjening ved Betalingsser-
vice. Det blev ligeledes foreslået at overveje et loft over interbankgebyrer ved kortbetaling,
I oktober 2021 gjorde Konkurrencerådet status på disse tiltag. Styrelsens undersøgelse af
både Mastercards (tidligere Nets) og pengeinstitutternes omkostninger og indtægter ved Be-
__________________
23
24
Beslutningerne om at oversende sagerne til strafferetlig forfølgelse kan læses her: https://www.kfst.dk/afgorelser-ru-
ling/betalingskort/afgoerelser/2019/20190318-pabud-om-ophor-af-gebyropkraevning-dantaxi4x48-as/,
https://www.kfst.dk/afgorelser-ruling/betalingskort/afgoerelser/2019/20191008-pabud-om-ophor-af-gebyropkraevning-
silvan-as/ og https://www.kfst.dk/afgorelser-ruling/betalingskort/afgoerelser/2021/20211028-camola-aps-gebyropkraev-
ning/.
Beslutningen om at oversende sagen til strafferetlig forfølgelse kan læses her: https://www.kfst.dk/afgorelser-ruling/beta-
lingskort/afgoerelser/2021/20211028-salling-group-as-pabud-om-ophor/.
Konkurrence- og Forbrugerstyrelsens analyse kan findes her: https://www.kfst.dk/analyser/kfst/publikatio-
ner/dansk/2020/20200915-regningsbetaling/.
25
ERU, Alm.del - 2021-22 - Bilag 336: Orientering vedr. betalingsrapport 2022, fra erhvervsministeren
2595415_0032.png
SIDE 32
KAPITEL 4 TILSYNSAKTIVITETER
talingsservice viste samlet set, at Mastercards og pengeinstitutternes indtægter ligger mærk-
bart højere end omkostningerne ved at drive Betalingsservice. Der blev ikke igangsat en sag
om eventuelt urimeligt høje priser efter betalingsloven, men Konkurrence- og Forbrugersty-
relsen følger forhandlingerne mellem Mastercard og pengeinstitutterne om Betalingsservice
tæt.
Konkurrence- og Forbrugerstyrelsen deltager i flere internationale ekspertgrupper inden for
betalingsområdet gennem EU-Kommissionen.
Konkurrence- og Forbrugerstyrelsen har også – i samarbejde med Finanstilsynet – udarbejdet
en vejledning om betalingslovens § 63 om betalingsinstitutters adgang til betalingskontotjene-
ster hos pengeinstitutter. Vejledningen blev offentliggjort den 12. februar 2021 og kan findes
26
her .
4.8
Internationalt samarbejde
Konkurrencerådet har truffet tre afgørelser inden for betalingsområdet, der verserer ved
domstolene.
Konkurrence- og Forbrugerstyrelsen samarbejder desuden løbende med EU-Kommissionen
og andre tilsynsmyndigheder i forhold til konkrete tilsynssager.
4.9
Verserende retssager
I perioden siden seneste betalingsrapport har Konkurrence- og Forbrugerstyrelsen deltaget i
EU-Kommissionens ekspertgruppe omkring interbankgebyrforordningen for at sikre en ens-
artet fortolkning på tværs af de nationale kompetente myndigheder. Derudover har styrelsen
delt sine erfaringer vedrørende tilsynet med betalingsloven med Finanstilsynet som led i EU-
samarbejdet.
Tellers kontraktvilkår
Konkurrencerådet traf den 29. august 2018 afgørelse om, at kortindløseren Teller (nu Nets)
27
havde misbrugt sin dominerende stilling i perioden 2012-2016 . I denne periode var Teller
datterselskab i Nets-koncernen og samtidig den største indløser af transaktioner med interna-
tionale betalingskort i Danmark. Afgørelsen er imidlertid truffet efter konkurrencelovens reg-
ler om forbud mod misbrug af dominerende stilling og vedrører således ikke betalingsloven.
Konkurrencerådet fandt, at Tellers kontrakter med nogle af de største kunder indeholdt rabat-
ter og kontraktvilkår, der havde en loyalitetsskabende effekt og derved kunne afskærme mar-
kedet for konkurrenter, hvilket udgjorde et misbrug af dominerende stilling. Konkurrencerå-
det har blandt andet påbudt, at virksomheden skal ophøre med den ulovlige adfærd.
__________________
26
27
Konkurrencerådets afgørelse af 29. august 2019,
Tellers kontraktbetingelser.
Afgørelsen kan findes på styrelsens hjemme-
side: https://www.kfst.dk/afgoerelser-ruling/konkurrenceomraadet/afgoerelser/2018/20180829-tellers-kontraktbetingel-
ser/.
https://www.kfst.dk/vejledninger/kfst/dansk/2021/20210212-vejledning-om-betalingslovens-63-kfst-som-
uafh%C3%A6ngig-myndighed/.
ERU, Alm.del - 2021-22 - Bilag 336: Orientering vedr. betalingsrapport 2022, fra erhvervsministeren
2595415_0033.png
SIDE 33
BETALINGSRAPPORT 2022
Nets ankede afgørelsen til Konkurrenceankenævnet, der stadfæstede Konkurrencerådets af-
gørelse i sagen den 18. september 2019. Sagen blev herefter anmeldt til Statsadvokaten for
Særlig Økonomisk og International Kriminalitet, SØIK (nu NSK), med henblik på strafferetlig
forfølgelse.
Nets indbragte imidlertid styrelsens afgørelser til Konkurrenceankenævnet, der opretholdte
begge afgørelser i 2013. Nets ankede herefter nævnets kendelserne til domstolene.
Efterfølgende vurderede Konkurrence- og Forbrugerstyrelsen i den anden afgørelse, at Nets
ikke havde efterlevet styrelsens påbud. Konkurrence- og Forbrugerstyrelsen påbød derfor
Nets at nedsætte gebyrerne til et beløb, som ikke oversteg 1,20 kroner i gennemsnit. Nets ned-
satte herefter gebyret i juli 2013.
Nets’ dankortgebyrer i e-handlen
Konkurrence- og Forbrugerstyrelsen traf den 29. november 2012 og 23. maj 2013 afgørelse
28
om Nets’ gebyrer for indløsning af Dankort på e-handlen, som nævnt i afsnit 3.4 ovenfor. Sty-
relsen fandt i den første afgørelse, at Nets’ dankortgebyrer i e-handlen ikke stod i rimeligt for-
hold til Nets’ omkostninger og førte til en overnormal indtjening. Gebyrerne var derfor i strid
med dagældende betalingstjenestelovs § 79 (bestemmelsen svarer til betalingslovens § 122,
stk. 1, der er nærmere beskrevet i afsnit 4.2 og Bilag 2.) Herefter påbød styrelsen Nets at ned-
sætte dankortgebyrerne ved nethandel til ”et rimeligt niveau” senest den 31. januar 2013.
Nets har efterfølgende indbragt sagen for Sø- og Handelsretten, hvor sagen fortsat verserer.
Østre Landsret har dog den 5. maj 2021 afgjort, at afgørelsen fra 2018 kan offentliggøres som
den forelå, og at der således ikke var fortrolige oplysninger i afgørelsen.
Østre Landsret afsagde i den forbindelse dom den 21. februar 2021, hvorved landsretten lige-
ledes har opretholdt styrelsens afgørelser i sagerne om Nets’ urimeligt høje gebyrer for indløs-
ning af Dankort på internettet. Nets har anket Østre Landsrets dom til Højesteret, hvor den
fortsat verserer.
__________________
28
Konkurrence- og Forbrugerstyrelsens og Konkurrenceankenævnets afgørelser samt Østre Landsrets dom kan findes her:
https://www.kfst.dk/afgorelser-ruling/betalingskort/domsafgoerelser/20210217-ostre-landsret-nets-gebyrer/.
ERU, Alm.del - 2021-22 - Bilag 336: Orientering vedr. betalingsrapport 2022, fra erhvervsministeren
2595415_0034.png
SIDE 34
KAPITEL 5 FORBRUGERUNDERSØGELSE OM VALG AF BETALINGSLØSNINGER
Kapitel 5
Forbrugerundersøgelse om valg af betalingsløsnin-
ger
5.1
Indledning
Konkurrence- og Forbrugerstyrelsen har i marts 2022 gennemført en spørgeskemaundersø-
29
gelse blandt mere end 2.000 forbrugere om, hvordan forbrugerne betaler ved køb af varer
eller tjenesteydelser i både fysiske forretninger og online forretninger. Der er i undersøgelsen
navnlig fokus på forbrugernes valg af digitale betalingsløsninger, herunder særligt mobile be-
talingsløsninger.
Med mobile betalingsløsninger forstås betalingsløsninger, som bruges via mobiltelefon, fx
Apple Pay, Google Pay og MobilePay. Med digitale betalingsløsninger menes mobile betalings-
løsninger og PayPal, der primært udgør en digital betalingsløsning ved betalinger i online for-
30
retninger.
Dette kapitel beskriver de centrale resultater fra denne undersøgelse. De væsentligste konklu-
sioner er angivet i boks 5.1.
Styrelsen har ligeledes undersøgt forbrugernes brug af de traditionelle fysiske betalingskort,
dvs. kort som Dankort, Mastercard og Visa.
__________________
29
30
Paypal kan både udgøre en mobil og fysisk betalingsløsning ved betalinger i fysiske forretninger. Fordi anvendelsen af Paypal
blandt forbrugerne hovedsageligt er online, medregnes Paypal kun som en digital betalingsløsning i fysiske forretninger.
Forbrugerundersøgelsen bestod af 14 spørgsmål. 2.106 respondenter, repræsentativt fordelt i forhold til alder, køn, uddan-
nelse, region og lønindkomst, indgik i undersøgelsen. Undersøgelsen blev gennemført i marts 2022 ved brug af Norstats pa-
nel.
ERU, Alm.del - 2021-22 - Bilag 336: Orientering vedr. betalingsrapport 2022, fra erhvervsministeren
2595415_0035.png
SIDE 35
BETALINGSRAPPORT 2022
Boks 5.1
Konklusioner
»
De digitale betalingsløsninger, som forbrugerne i dag har adgang til, har vundet fodfæste og
»
Der er en række fællestræk i begrundelserne på, hvorfor forbrugerne anvender eller undla-
udgør et reelt alternativ til de traditionelle, fysiske betalingskort– især i online forretnin-
ger:
»
44 pct. af forbrugerne svarer, at de bruger en digital løsning i online forretninger, og 62
pct. af forbrugerne svarer, at de benyttede en digital løsning til deres seneste betaling i
en online forretning.
»
Godt en fjerdedel af forbrugerne svarer, at de både bruger en digital betalingsløsning i
fysiske forretninger og sidst de handlede i en online forretning.
»
Samlet set er ”traditionelle”, fysiske betalingskort fortsat den hyppigst anvendte beta-
lingsform blandt forbrugerne.
»
Når forbrugere anvender mobile betalingsløsninger, er der dog ofte et fysiske betalingskort
»
Forbrugerne anvender flere betalingsløsninger:
der at anvende mobile betalingsløsninger:
»
Brugere af mobile betalingsløsninger angiver som den primære forklaring på, at de an-
vender løsningerne, fordi de er hurtige og nemme at benytte.
»
Ikke-brugere af mobile betalingsløsninger angiver omvendt, som den primære forklaring
på, at de ikke anvender løsningerne, at de er vant til at bruge det fysiske betalingskort.
tilknyttet de mobile betalingsløsninger:
»
De fleste respondenter svarer, at de har aktiveret et Visa/Dankort i deres mobile beta-
lingsløsning
Hvilken betalingsløsning brugte forbrugeren ved seneste køb
Konkurrence- og Forbrugerstyrelsen spurgte ind til, hvilken betalingsløsning forbrugerne be-
nyttede ved seneste betaling i henholdsvis fysiske forretninger og i online forretninger. Base-
ret på forbrugernes svar er det tydeligt, at forbrugerne oftest greb efter et Visa/Dankort eller
Dankort ved kassen i de fysiske forretninger, men efter mobilen i online handlen for at benytte
MobilePay.
Sidst de handlede i en online forretning benyttede over 40 pct. MobilePay, mens ca. 30 pct.
fandt et Dankort eller Visa/Dankort frem.
Lidt under hver anden svarede, at de ved seneste køb betalte med Visa/Dankort eller Dankort
i en fysisk forretning, mens den næst hyppigst benyttede betalingsform i forretninger var
Apple Pay, som 10 pct. af forbrugerne havde anvendt, jf. Figur 5.1.
5.2
Forbrugernes brug af forskellige betalingsløsninger
»
Knap 80 pct. af forbrugerne svarer, at de benytter flere betalingsløsninger.
»
Hver tredje af disse svarede, at de anvender flere betalingsløsninger, fordi de ikke har én
fortrukken betalingsløsning.
ERU, Alm.del - 2021-22 - Bilag 336: Orientering vedr. betalingsrapport 2022, fra erhvervsministeren
2595415_0036.png
SIDE 36
KAPITEL 5 FORBRUGERUNDERSØGELSE OM VALG AF BETALINGSLØSNINGER
Figur 5.1
Hvilken betalingsløsning brugte forbrugeren ved det seneste køb efter salgska-
nal
Note:
Anm.:
Styrelsen har også spurgt forbrugerne, om de anvendte kontanter sidste gang de handlede i fysiske forretninger. Idet
der i kapitlet er fokus på fysiske betalingskort og digitale betalingsløsninger, er kontanter ikke medtaget i denne figur,
men ca. 7 pct. svarede, at de anvendte kontanter.
Konkurrence- og Forbrugerstyrelsens forbrugerundersøgelse, marts 2022
Figuren er baseret på svarene på to spørgsmål:
1) Sidste gang du handlede i en fysisk forretning, hvilken betalingsløsning brugte du så? (Antal besvarelser: 2106)
2) Sidste gang du handlede i en online forretning, hvilken betalingsløsning brugte du så? (Antal besvarelser: 2106)
Kilde:
Samlet svarer ca. halvdelen af forbrugerne, at de brugte en digital betalingsløsning sidste gang
de handlede i en online forretning jf. Figur 5.1. For handel i fysiske forretninger svarede lidt
over hver femte, at de benyttede en digital løsning ved køb i en fysisk forretning.
ERU, Alm.del - 2021-22 - Bilag 336: Orientering vedr. betalingsrapport 2022, fra erhvervsministeren
2595415_0037.png
SIDE 37
BETALINGSRAPPORT 2022
Figur 5.2
Andel af forbrugere, der valgte en mobil betalingsløsning ved seneste køb
Note:
Figuren er baseret på svarene på to spørgsmål:
Anm.:
Kilde:
Styrelsen har grupperet svarene, så ”Fysiske betalingsløsninger” omfatter svarene: Dankort, Visa/Dankort, Mastercard
(debetkort), Mastercard (kreditkort), Visa (debetkort), Visa (kreditkort) og Forbrugsforeningen, mens ”digitale beta-
lingsløsninger” omfatter svarene: MobilePay, Dankort app, Apple Pay, Google Pay og PayPal
Konkurrence- og Forbrugerstyrelsens forbrugerundersøgelse, marts 2022
1) Sidste gang du handlede i en fysisk forretning, hvilken betalingsløsning brugte du så? (Antal besvarelser: 2106)
2) Sidste gang du handlede i en online forretning, hvilken betalingsløsning brugte du så? (Antal besvarelser: 2106)
Selv om flest forbrugere svarer, at de anvender MobilePay, er det ikke den eneste mobile beta-
lingsløsning, som de bruger. Knap hver sjette forbruger (16 pct.) svarer, at de anvender Apple
Pay i fysiske forretninger, mens knap én ud af ti forbrugere svarer, at de anvender Apple Pay i
online forrentninger. Dette betyder, at Apple Pay har fået en udbredelse der er på niveau med
de fysiske betalingsløsninger med undtagelse af Visa/Dankort eller Dankort, der fortsat er
mere udbredt. Især i fysiske forretninger er Apple Pay kommet godt med.
Forbrugernes svar i undersøgelsen indikerer ligeledes, at PayPal tilsyneladende er lige så ud-
bredt blandt forbrugerne som de øvrige betalingsformer med undtagelse af MobilePay og
Visa/Dankort eller Dankort i online handlen. Blot lidt mere end 3 pct. af forbrugerne svarer, at
de benytter Google Pay i fysiske forretninger og online forretninger.
Det omvendte billede ses i online forretninger, hvor flest forbrugere svarer, at de anvender
MobilePay (70 pct.). Den næstmest udbredte betalingsform i online forretninger er Visa/Dan-
kort eller Dankort (63 pct.).
Hvilke betalingsløsninger anvender forbrugeren
Visa/Dankort eller Dankort er den betalingsløsning, som flest af de adspurgte forbrugere sva-
rer, de bruger i fysiske forretninger (66 pct.). Knap halvdelen af de adspurgte svarer, at de
bruger den mobile betalingsløsning MobilePay i fysiske forretninger (48 pct.), jf. Figur 5.3.
ERU, Alm.del - 2021-22 - Bilag 336: Orientering vedr. betalingsrapport 2022, fra erhvervsministeren
2595415_0038.png
SIDE 38
KAPITEL 5 FORBRUGERUNDERSØGELSE OM VALG AF BETALINGSLØSNINGER
Figur 5.3
Betalingsløsninger efter salgssted
Note:
Anm.:
Kilde:
Styrelsen har også hørt forbrugerne, om de anvender kontanter i fysiske forretninger. Idet der i kapitlet er fokus på
fysiske kort og digitale betalingsløsninger, er kontanter ikke medtaget i denne figur. Ca. 32 pct. svarer, at de anvender
kontanter.
Konkurrence- og Forbrugerstyrelsens forbrugerundersøgelse, marts 2022
Figuren er baseret på svarene på to spørgsmål:
1) Når du køber varer eller serviceydelser i fysiske forretninger, hvordan betaler du? (Antal besvarelser: 2107)
2) Når du køber varer eller serviceydelser i online forretninger, hvordan betaler du? (Antal besvarelser: 2107)
Samlet udgør digitale betalingsløsninger over 1/3 af de betalingsløsninger, som forbrugerne
svarer, de anvender i fysiske forretninger. I online forretninger er det godt 40 pct. af forbru-
gerne, der anvender digitale betalingsløsninger, jf. Figur 5.4.
ERU, Alm.del - 2021-22 - Bilag 336: Orientering vedr. betalingsrapport 2022, fra erhvervsministeren
2595415_0039.png
SIDE 39
BETALINGSRAPPORT 2022
Figur 5.4
Mobile betalingsløsningers andel af samlede betalingsformer
Note:
Anm.:
Kilde:
Styrelsen har grupperet svarene, så ”Fysiske betalingsløsninger” omfatter svarene: Dankort, Visa/Dankort, Mastercard
(debetkort), Mastercard (kreditkort), Visa (debetkort), Visa (kreditkort) og Forbrugsforeningen, mens ”digitale beta-
lingsløsninger” omfatter svarene: MobilePay, Dankort app, Apple Pay, Google Pay og PayPal.
Konkurrence- og Forbrugerstyrelsens forbrugerundersøgelse, marts 2022
Figuren er baseret på svarene på to spørgsmål:
1) Når du køber varer eller serviceydelser i fysiske forretninger, hvordan betaler du? (Antal besvarelser: 2106)
2) Når du køber varer eller serviceydelser i online forretninger, hvordan betaler du? (Antal besvarelser: 2106)
Styrelsen spurgte i undersøgelsen forbrugerne, der anvender mobile betalingsløsninger, hvor-
for de anvender disse. Den primære forklaring på, hvorfor forbrugerne benytter mobile beta-
lingsløsninger er, at de er hurtige og nemme. Dette svarede 60 pct. af forbrugerne for så vidt
angår brugen i fysiske forretninger, mens hele 75 pct. angav dette som forklaring for så vidt
angår brugen i online forretninger, jf. figur 5.5.
Den næst hyppigst angivne begrundelse er, at forbrugeren ved brug af en mobil betalingsløs-
ning kan slippe for at tage pung, kort eller kontanter med.
Det fremstår således umiddelbart som et aktivt valg at bruge mobile betalingsløsninger. Dette
understøttes af de lave svarprocenter for svaralternativerne ”Jeg
bruger kun løsningen, når det
er den eneste mulighed i den pågældende forretning”
og ”Jeg
bruger kun løsningen, når jeg har
glemt pung, kort eller kontanter”.
5.3
Forklaringer på brug/ikke brug af mobile betalingsløsninger
ERU, Alm.del - 2021-22 - Bilag 336: Orientering vedr. betalingsrapport 2022, fra erhvervsministeren
2595415_0040.png
SIDE 40
KAPITEL 5 FORBRUGERUNDERSØGELSE OM VALG AF BETALINGSLØSNINGER
Figur 5.5
Årsag til tilvalg af en mobil betalingsløsning efter salgskanal
Note:
Figuren er baseret på svarene på to spørgsmål:
1) Hvorfor bruger du mobile betalingsløsninger i fysisk handel? (Antal besvarelser: 1207)
Konkurrence- og Forbrugerstyrelsens forbrugerundersøgelse, marts 2022
Kilde:
2) Hvorfor bruger du mobile betalingsløsninger i online handel? (Antal besvarelser: 1507)
Der er relativt få forbrugere, som ser ulemper ved mobile betalingsløsningerne. Kun 12 pct.
svarer, at de ikke har tillid til mobile betalingsløsninger i online forretninger, og blot 6 pct.
svarer det samme for så vidt angår fysiske forretninger. Det bemærkes endvidere, at 17 pct. af
de forbrugere, der ikke benytter mobile betalingsløsninger i fysiske forretninger, svarer, at de
ikke har sat en mobil betalingsløsning op. Derved har disse forbrugere selvsagt ingen mulig-
hed for at betale med en mobil betalingsløsning i en fysisk forretning.
Konkurrence- og Forbrugerstyrelsen spurgte tilsvarende de forbrugere, der svarede, at de
ikke brugte mobile betalingsløsninger, hvorfor forbrugerne ikke anvender disse løsninger.
Den hyppigst angivne begrundelse er, at forbrugerne er vant til at betale med det fysisk beta-
lingskort. Det gælder især i fysiske forretninger, jf. figur 5.6.
ERU, Alm.del - 2021-22 - Bilag 336: Orientering vedr. betalingsrapport 2022, fra erhvervsministeren
2595415_0041.png
SIDE 41
BETALINGSRAPPORT 2022
Figur 5.6
Årsag til fravalg af mobil betalingsløsning efter salgskanal
Note:
Figuren er baseret på svarene på to spørgsmål:
1) Hvorfor anvender du ikke mobile betalingsløsninger i fysiske forretninger? (Antal besvarelser: 522)
2) Hvorfor anvender du ikke mobile betalingsløsninger i online forretninger? (Antal besvarelser: 351)
Konkurrence- og Forbrugerstyrelsens forbrugerundersøgelse, marts 2022
Kilde:
Mobile betalingsløsninger gennemfører betalinger ved anvendelse af et bagvedliggende beta-
lingskort (kortbaseret transaktion) eller via brugerens bankkonto (konto til konto-overfør-
31
sel) .
5.4
Mobile betalinger – De bagvedliggende betalingskort
De fleste respondenter svarer, at de har aktiveret et Visa/Dankort i deres mobile betalingsløs-
ning jf. figur 5.7. Det bemærkes, at det endnu ikke er muligt at aktivere Dankort i hverken
Apple Pay eller Google Pay. Af svarene i styrelsens undersøgelse kan det derfor ses, at nogle
forbrugere fejlagtigt tror, at de har aktiveret, deres Dankort i disse løsninger, når det er mest
nærliggende, at de har aktiveret deres Visa/Dankort.
__________________
31
Det vil sige, den bagvedliggende transaktion er en kontooverførsel fra brugerens bankkonto til forretningens bankkonto evt.
via udbyderens mellemregningskonto. Det kan eksempelvis ske ved, at brugerens/betalerens konto enten er oplyst direkte af
brugeren ved oprettelsen/aktiveringen af den mobile betalingsløsning eller ved at udbyderen, via det tilknyttede betalings-
kort, kan identificere den bagvedliggende betalingskonto.
ERU, Alm.del - 2021-22 - Bilag 336: Orientering vedr. betalingsrapport 2022, fra erhvervsministeren
2595415_0042.png
SIDE 42
KAPITEL 5 FORBRUGERUNDERSØGELSE OM VALG AF BETALINGSLØSNINGER
Hver fjerde Apple Pay-bruger svarer, at de har aktiveret et Mastercard (debetkort), mens hver
fjerde Google Pay-bruger svarer, at de har aktiveret et Visa (debetkort) jf. figur 5.7.
Figur 5.7
Hvilke(t) betalingskort har du aktiveret i den enkelte mobile betalingsløsning?
Note:
Figuren er baseret på svarene på tre spørgsmål:
1) Hvilke(t) betalingskort har du aktiveret i Apple Pay? (Antal besvarelser: 379)
2) Hvilke(t) betalingskort har du aktiveret i Google Pay? (Antal besvarelser: 110)
3) Hvilke(t) betalingskort har du aktiveret i MobilePay? (Antal besvarelser: 1632)
Kilde:
Konkurrence- og Forbrugerstyrelsens forbrugerundersøgelse, marts 2022
En næsten lige så stor andel (31 pct.) svarer, at de bruger flere betalingsløsninger, fordi de
ikke altid har pungen med og derfor bruger en mobil betalingsløsning. Det modsatte, hvor for-
brugeren har glemt sin mobil og derfor bruger sin pung, ses i mindre grad (16 pct.).
80 pct. af forbrugerne svarer, at de bruger mere end ét betalingsinstrument. En tredjedel af
disse svarer, at de anvender flere betalingsløsninger, fordi de ikke har en fortrukken beta-
lingsløsning.
5.5
Anvendelse af flere betalingsinstrumenter
ERU, Alm.del - 2021-22 - Bilag 336: Orientering vedr. betalingsrapport 2022, fra erhvervsministeren
2595415_0043.png
SIDE 43
BETALINGSRAPPORT 2022
Figur 5.8
Hvorfor forbrugerne vælger at bruge flere betalingsformer
Note:
Figuren er baseret på svarene på spørgsmålet:
Hvorfor bruger du flere betalingsformer?
(antal besvarelser: 1734)
Konkurrence- og Forbrugerstyrelsens forbrugerundersøgelse, marts 2022
Kilde:
ERU, Alm.del - 2021-22 - Bilag 336: Orientering vedr. betalingsrapport 2022, fra erhvervsministeren
2595415_0044.png
SIDE 44
BILAG 1 STATISTIK
Bilag 1
Statistik
Bilaget indeholder en række tabeller om antal udstedte kort, brug og misbrug af disse ud-
stedte kort i Danmark og udlandet, samt brug og misbrug af udenlandsk-udstedte kort i Dan-
mark.
»
»
»
»
»
»
»
»
»
»
»
»
»
»
»
Tabel 1
Tabel 2
Tabel 3
Tabel 4
Tabel 5
Tabel 6
Tabel 7
Tabel 8
Tabel 9
Tabel 10
Tabel 11
Tabel 12
Tabel 13
Tabel 14
Tabel 15
Udstedte betalingskort efter korttype
Udstedte betalingskort med kontaktløs funktion efter korttype
Transaktioner med udstedte betalingskort i Danmark efter korttype
Transaktioner med udstedte betalingskort i Danmark efter anvendelsessted
Værdi af transaktioner med udstedte betalingskort i Danmark efter korttype
Værdi af transaktioner med udstedte betalingskort i Danmark efter anvendel-
sessted
Gennemsnitlig transaktionsværdi med udstedte betalingskort efter anvendel-
sessted
Grænseoverskridende transaktioner
Grænseoverskridende transaktioner med betalingskort efter anvendelsessted
Grænseoverskridende transaktioner efter anvendelsessted: Udenlandske kort
brugt i Danmark
Værdi af grænseoverskridende transaktion med betalingskort efter korttype
Værdi af grænseoverskridende transaktioner efter anvendelsessted
Misbrug med udstedte kort i Danmark efter misbrugstype
Misbrug med udstedte betalingskort i Danmark efter anvendelsessted
Grænseoverskridende kortmisbrug efter misbrugstype
ERU, Alm.del - 2021-22 - Bilag 336: Orientering vedr. betalingsrapport 2022, fra erhvervsministeren
2595415_0045.png
SIDE 45
BETALINGSRAPPORT 2022
Udstedte betalingskort
Tabel 1
Udstedte betalingskort efter korttype
I alt
Dankort
Co-badged
Dankort
Antal (1.000 stk.)
2017
2018
2018
2019
2021
8.985
9.252
9.470
9.486
9.567
483
406
355
316
263
4.275
4.416
4.507
4.524
4.553
2.473
2.678
2.872
2.979
3.108
1.754
1.752
1.736
1.667
1.643
Internationale
debetkort
Internationale
kreditkort
Vækst (pct., år-år)
2017
2018
2018
2019
2021
2,0
3,0
2,4
0,2
0,9
-12,0
-15,9
-12,6
-11,0
-16,8
1,3
3,3
2,1
0,4
0,6
9,4
8,3
7,2
3,7
4,3
-1,2
-0,1
-0,9
-4,0
-1,4
Andel (pct.)
2017
2018
2018
2019
2021
100,0
100,0
100,0
100,0
100,0
6,2
5,4
4,4
3,7
3,3
47,9
47,6
47,7
47,6
47,7
25,7
27,5
28,9
30,3
31,4
20,2
19,5
18,9
18,3
17,6
Vækstbidrag (pct., år-år)
2017
2018
2018
2019
2021
2,0
3,0
2,4
0,2
0,9
-0,7
-0,9
-0,6
-0,4
-0,6
0,6
1,6
1,0
0,2
0,3
2,4
2,3
2,1
1,1
1,4
-0,2
0,0
-0,2
-0,7
-0,3
Note:
Anm.:
Kilde:
Antal aktive udstedte kort ultimo året.
Co-badgede Dankort er Visa/Dankort. I Danmarks Nationalbanks statistik omtales co-badgede Dankort som ”co-bran-
dede Dankort”.
Danmarks Nationalbanks Statistikbank, tabel DNBSUK (marts 2022), og Konkurrence- og Forbrugerstyrelsens egne bereg-
ninger.
ERU, Alm.del - 2021-22 - Bilag 336: Orientering vedr. betalingsrapport 2022, fra erhvervsministeren
2595415_0046.png
SIDE 46
BILAG 1 STATISTIK
Tabel 2
Udstedte betalingskort med kontaktløs funktion efter korttype
I alt
Dankort
Co-bagdede
Dankort
Antal (1.000 stk.)
Internationale
debetkort
Internationale
kreditkort
2017
2018
2018
2019
2021
6.454
7.725
8.507
8.635
9.145
143
178
196
207
204
3.515
4.153
4.499
4.517
4.549
2.241
2.594
2.842
2.948
3.106
555
800
970
963
1.286
Vækstbidrag (pct., år-år)
2017
2018
2018
2019
2021
24,3
19,7
10,1
1,5
5,9
0,8
0,5
0,2
0,1
0,0
13,7
9,9
4,5
0,2
0,4
10,2
5,5
3,2
1,2
1,8
-0,3
3,8
2,2
-0,1
3,7
Andel (pct.)
2017
2018
2018
2019
2021
100,0
100,0
100,0
100,0
100,0
2,2
2,3
2,3
2,4
2,2
54,5
53,8
52,9
52,3
49,7
34,7
33,6
33,4
34,1
34,0
8,6
10,4
11,4
11,2
14,1
Andel af udstedte kort, der er udstedt med kontaktløs funktion (pct.)
2017
2018
2018
2019
2021
71,8
83,5
89,8
91,0
95,6
29,6
43,8
55,2
65,5
77,6
82,2
94,0
99,8
99,8
99,9
90,6
96,9
99,0
99,0
99,9
31,6
45,7
55,9
57,8
78,3
Note:
Anm.:
Kilde:
Co-badgede Dankort er Visa/Dankort. I Danmarks Nationalbanks statistik omtales co-badgede Dankort som ”co-bran-
dede Dankort”.
Antal aktive udstedte kort ultimo året.
Danmarks Nationalbanks statistikbank, tabel DNBSUK (marts 2022), og Konkurrence- og Forbrugerstyrelsens egne bereg-
ninger.
ERU, Alm.del - 2021-22 - Bilag 336: Orientering vedr. betalingsrapport 2022, fra erhvervsministeren
2595415_0047.png
SIDE 47
BETALINGSRAPPORT 2022
Transaktioner med udstedte betalingskort i Danmark
Tabel 3
Transaktioner med udstedte betalingskort i Danmark efter korttype
I alt
Dankort
Co-badgede
Dankort
Antal (1.000 stk.)
Internationale
debetkort
Internationale
kreditkort
2017
2018
2018
2019
2021
1.846.547
1.876.912
1.989.160
1.978.521
2.048.163
66.905
54.682
45.405
38.680
31.556
1.313.914
1.330.917
1.387.015
1.370.029
1.388.857
430.711
450.874
509.044
525.041
584.158
35.017
40.439
47.696
44.771
43.592
Vækst (pct., år-år)
2017
2018
2018
2019
2021
8,7
1,6
6,0
-0,5
3,5
-13,6
-18,3
-17,0
-14,8
-18,4
7,5
1,3
4,2
-1,2
1,4
18,1
4,7
12,9
3,1
11,3
0,1
15,5
17,9
-6,1
-2,6
Andel (pct.)
2017
2018
2018
2019
2021
100,0
100,0
100,0
100,0
100,0
3,6
2,9
2,3
2,0
1,5
71,2
70,9
69,7
69,2
67,8
23,3
24,0
25,6
26,5
28,5
1,9
2,2
2,4
2,3
2,1
Vækstbidrag (pct., år-år)
2017
2018
2018
2019
2021
8,7
1,6
6,0
-0,5
3,5
-0,6
-0,7
-0,5
-0,3
-0,4
5,4
0,9
3,0
-0,9
1,0
3,9
1,1
3,1
0,8
3,0
0,0
0,3
0,4
-0,1
-0,1
Note:
Anm.:
Kilde:
Co-badgede Dankort er Visa/Dankort. I Danmarks Nationalbanks statistik omtales co-badgede Dankort som ”co-bran-
dede Dankort”.
Eksklusive kontanthævninger.
Danmarks Nationalbanks statistikbank, tabel DNBSTS (marts 2022), og Konkurrence- og Forbrugerstyrelsens egne bereg-
ninger.
ERU, Alm.del - 2021-22 - Bilag 336: Orientering vedr. betalingsrapport 2022, fra erhvervsministeren
2595415_0048.png
SIDE 48
BILAG 1 STATISTIK
Tabel 4
Transaktioner med udstedte betalingskort i Danmark efter anvendelsessted
I alt
Fysiske
forretninger
Online handel mv.
Antal (1.000 stk.)
Selvbetjening og
automatsalg
2017
2018
2019
2020
2021
1.846.547
1.876.912
1.989.160
1.978.521
2.048.163
1.425.560
1.516.676
1.601.781
1.556.741
1.571.044
326.555
266.305
290.388
337.335
384.902
94.432
93.931
96.991
84.445
92.217
Vækst (pct., år-år)
2017
2018
2019
2020
2021
8,7
1,6
6,0
-0,5
3,5
5,8
6,4
5,6
-2,8
0,9
25,0
-18,5
9,0
16,2
14,1
3,9
-0,5
3,3
-12,9
9,2
Andel (pct.)
2017
2018
2019
2020
2021
100,0
100,0
100,0
100,0
100,0
77,2
80,8
80,5
78,7
76,7
17,7
14,2
14,6
17,0
18,8
5,1
5,0
4,9
4,3
4,5
Vækstbidrag (pct.)
2017
2018
2019
2020
2021
8,7
1,6
6,0
-0,5
3,5
4,6
4,9
4,5
-2,3
0,7
3,8
-3,3
1,3
2,4
2,4
0,2
0,0
0,2
-0,6
0,4
Note:
Anm.:
Transaktioner i online handel mv. er alle
Card-Not-Pressent
(CNP) transaktioner og omfatter således mere end blot
transaktioner i online handlen. Inkluderet er fx transaktioner via køb i apps og betalinger i tilknytning til postordre og
telefonsalg.
MobilePay ændrede platform, så transaktioner fra 2018 hovedsageligt bliver afviklet via konto til konto-overførsler og
dermed ikke via den tidligere platform, der byggede oven på kortinfrastrukturen. Skiftet bidrager til fald i antal transak-
tioner i online handlen mv. fra 2017 til 2018, se Nationalbankens Stat NYT fra 1. juni 2018. (https://www.nationalban-
ken.dk/da/statistik/find_statistik/Documents/Betalinger/Betalinger%20-%2020180601.pdf).
Kilde:
Danmarks Nationalbanks statistikbank, tabel DNBSTS (marts 2022), og Konkurrence- og Forbrugerstyrelsens egne bereg-
ninger.
ERU, Alm.del - 2021-22 - Bilag 336: Orientering vedr. betalingsrapport 2022, fra erhvervsministeren
2595415_0049.png
SIDE 49
BETALINGSRAPPORT 2022
Tabel 5
Værdi af transaktioner med udstedte betalingskort i Danmark efter korttype
I alt
Dankort
Co-badgede
Dankort
Værdi (mio. kr.)
Internationale
debetkort
Internationale
kreditkort
2017
2018
2019
2020
2021
575.385
569.611
585.572
588.545
629.181
24.490
19.324
15.846
13.534
11.227
426.003
422.217
427.620
430.063
454.824
101.831
101.837
111.398
118.166
135.295
23.061
26.233
30.708
26.782
27.835
Vækst (pct., år-år)
2017
2018
2019
2020
2021
9,3
-0,8
5,1
3,1
7,8
-15,5
-21,2
-18,1
-12,8
-16,2
7,1
-1,5
3,3
2,9
6,4
33,2
3,7
14,1
12,0
17,3
14,6
15,8
20,0
-11,8
4,7
Andel (pct.)
2017
2018
2019
2020
2021
100,0
100,0
100,0
100,0
100,0
4,0
3,2
2,5
2,1
1,6
77,4
76,9
75,6
75,4
74,5
14,3
15,0
16,3
17,7
19,2
4,2
4,9
5,6
4,8
4,7
Vækstbidrag (pct.)
2017
2018
2019
2020
2021
9,3
-0,7
5,1
3,2
7,8
-0,8
-0,8
-0,6
-0,3
-0,3
5,6
-1,1
2,6
2,2
4,8
3,9
0,5
2,1
2,0
3,1
0,6
0,7
1,0
-0,7
0,2
Note:
Anm:
Eksl. kontanthævningerKilde :Danmarks Nationalbanks statistikbank om betalinger, tabel DNBSTS (marts 2022), og Kon-
kurrence- og Forbrugerstyrelsens egne beregninger.
Co-badgede Dankort er Visa/Dankort. I Danmarks Nationalbanks statistik omtales co-badgede Dankort som ”co-bran-
dede Dankort”.
ERU, Alm.del - 2021-22 - Bilag 336: Orientering vedr. betalingsrapport 2022, fra erhvervsministeren
2595415_0050.png
SIDE 50
BILAG 1 STATISTIK
Tabel 6
Værdi af transaktioner med udstedte betalingskort i Danmark efter anvendel-
sessted
I alt
Fysiske
forretninger
Online handel mv.
Selvbetjening og
automatsalg
Værdi (mio. kr.)
2017
2018
2019
2020
2021
492.417
488.503
513.305
529.453
570.738
343.083
348.241
360.680
361.028
366.852
129.778
119.478
130.830
149.526
179.326
19.556
20.784
21.795
18.899
24.560
Vækst (pct., år-år)
2017
2018
2019
2020
2021
9,3
-0,8
5,1
3,1
7,8
2,7
1,5
3,6
0,1
1,6
31,7
-7,9
9,5
14,3
19,9
8,3
6,3
4,9
-13,3
30,0
Andel (pct.)
2017
2018
2019
2020
2021
100,0
100,0
100,0
100,0
100,0
69,7
71,3
70,3
68,2
64,3
26,4
24,5
25,5
28,2
31,4
4,0
4,3
4,2
3,6
4,3
Vækstbidrag (pct.)
2017
2018
2019
2020
2021
9,3
-0,8
5,1
3,1
7,8
2,0
1,0
2,5
0,1
1,1
6,9
-2,1
2,3
3,6
5,6
0,3
0,2
0,2
-0,6
1,1
Anm:
Eksl. kontanthævninger
Kilde:
Danmarks Nationalbanks statistikbank om betalinger, tabel DNBSTS (marts 2022), og Konkurrence- og Forbrugerstyrel-
sens egne beregninger.
ERU, Alm.del - 2021-22 - Bilag 336: Orientering vedr. betalingsrapport 2022, fra erhvervsministeren
2595415_0051.png
SIDE 51
BETALINGSRAPPORT 2022
Tabel 7
Gennemsnitlig transaktionsværdi med udstedte betalingskort efter anvendel-
sessted
I alt
Fysiske
forretninger
Online handel mv.
Værdi (kr.)
Selvbetjening og
automatsalg
2017
2018
2019
2020
2021
302
295
288
292
302
241
230
225
232
234
397
449
451
443
466
207
221
225
224
266
Kilde:
Konkurrence- og Forbrugerstyrelsens egne beregninger baseret på Danmarks Nationalbanks statistikbank om betalinger,
tabel DNBSTS (marts 2022).
ERU, Alm.del - 2021-22 - Bilag 336: Orientering vedr. betalingsrapport 2022, fra erhvervsministeren
2595415_0052.png
SIDE 52
BILAG 1 STATISTIK
Grænseoverskridende transaktioner med betalingskort
Tabel 8
Grænseoverskridende transaktioner med betalingskort efter korttype
Danske kort (brugt i udlandet)
I alt,
danske kort
Co-badgede
Dankort
Internationale
debetkort
Internatio-
nale
kreditkort
20.996
22.448
24.112
26.150
16.268
Udenlandske kort (brugt i Danmark)
I alt,
Udenland-
ske kort
69.597
81.238
97.153
103.538
53.805
Udenlandske
debetkort
Udenland-
ske
kreditkort
26.474
31.292
37.532
38.330
17.194
Antal (1.000 stk.)
2017
2018
2019
2020
2021
176.896
206.119
238.152
264.002
233.554
107.829
124.313
142.013
152.394
130.022
48.071
59.358
72.027
85.458
87.264
43.123
49.946
59.621
65.208
36.611
Vækst (pct., år-år)
2017
2018
2019
2020
2021
16,5
15,5
10,9
-11,5
8,0
15,3
14,2
7,3
-14,7
8,3
23,5
21,3
18,6
2,1
8,5
6,9
7,4
8,5
-37,8
2,4
16,7
19,6
6,6
-48,0
18,6
15,8
19,4
9,4
-43,9
20,6
18,2
19,9
2,1
-55,1
14,4
Andel (pct.)
2017
2018
2019
2020
2021
100,0
100,0
100,0
100,0
100,0
60,3
59,6
57,7
55,7
55,9
28,8
30,2
32,4
37,4
37,5
10,9
10,1
9,9
7,0
6,6
100,0
100,0
100,0
100,0
100,0
61,5
61,4
63,0
68,0
69,2
38,5
38,6
37,0
32,0
30,8
Vækstbidrag (pct.)
2017
2018
2019
2020
2021
16,5
15,5
10,9
-11,5
8,0
9,3
8,6
4,4
-8,5
4,6
6,4
6,1
5,6
0,7
3,2
0,8
0,8
0,9
-3,7
0,2
16,7
19,6
6,6
-48,0
18,6
9,8
11,9
5,8
-27,6
14,0
6,9
7,7
0,8
-20,4
4,6
Note:
Anm.:
Kilde:
Co-badgede Dankort er Visa/Dankort. I Danmarks Nationalbanks statistik omtales co-badgede Dankort som ”co-bran-
dede Dankort”.
Eksklusive kontanthævninger.
Danmarks Nationalbanks statistikbank, tabel DNBSTS (marts 2022), og Konkurrence- og Forbrugerstyrelsens egen bereg-
ninger.
ERU, Alm.del - 2021-22 - Bilag 336: Orientering vedr. betalingsrapport 2022, fra erhvervsministeren
2595415_0053.png
SIDE 53
BETALINGSRAPPORT 2022
Tabel 9
Grænseoverskridende transaktioner med betalingskort efter anvendelses-
sted
I alt
Fysiske
forretninger
Online handel mv.
Kontant-
hævninger
Antal (1.000 stk.)
2017
2018
2019
2020
2021
206.119
238.152
264.002
233.554
252.151
72.684
86.166
89.952
48.057
66.039
127.209
145.929
168.444
183.371
183.865
6.226
6.057
5.606
2.126
2.247
Årligvækst (pct., år-år)
2017
2018
2019
2020
2021
16,5
15,5
10,9
-11,5
8,0
16,5
18,5
4,4
-46,6
37,4
17,4
14,7
15,4
8,9
0,3
1,5
-2,7
-7,4
-62,1
5,7
Andel (pct.)
2017
2018
2019
2020
2021
100,0
100,0
100,0
100,0
100,0
35,3
36,2
34,1
20,6
26,2
61,7
61,3
63,8
78,5
72,9
3,0
2,5
2,1
0,9
0,9
Vækstbidrag (pct.)
2017
2018
2019
2020
2021
16,5
15,5
10,9
-11,5
8,0
5,8
6,5
1,6
-15,9
7,7
10,7
9,1
9,5
5,7
0,2
0,1
-0,1
-0,2
-1,3
0,1
Kilde:
Danmarks Nationalbanks statistikbank, tabel DNBSTS (marts 2022), og Konkurrence- og Forbrugerstyrelsens egne bereg-
ninger.
ERU, Alm.del - 2021-22 - Bilag 336: Orientering vedr. betalingsrapport 2022, fra erhvervsministeren
2595415_0054.png
SIDE 54
BILAG 1 STATISTIK
Tabel 10
Grænseoverskridende transaktioner efter anvendelsessted: Udenlandske
kort brugt i Danmark
I alt
Fysiske
forretninger
Online handel mv.
Antal (1.000 stk.)
2017
2018
2019
2020
2021
81.238
97.153
103.538
53.805
63.809
64.065
76.756
84.988
37.961
48.181
14.579
18.199
16.580
14.845
14.682
Kontant-
hævninger
2.594
2.198
1.970
999
946
Årligvækst (pct., år-år)
2017
2018
2019
2020
2021
16,7
19,6
6,6
-48,0
18,6
78,9
79,0
82,1
70,6
75,5
17,9
18,7
16,0
27,6
23,0
3,2
2,3
1,9
1,9
1,5
Andel (pct.)
2017
2018
2019
2020
2021
100,0
100,0
100,0
100,0
100,0
35,3
36,2
34,1
20,6
26,2
61,7
61,3
63,8
78,5
72,9
3,0
2,5
2,1
0,9
0,9
Vækstbidrag (pct.)
2017
2018
2019
2020
2021
16,7
19,6
6,6
-48,0
18,6
8,5
15,6
8,5
-45,4
19,0
8,8
4,5
-1,7
-1,7
-0,3
-0,6
-0,5
-0,2
-0,9
-0,1
Kilde: Nationalbanks Statistikbank om betalinger, tabel DNBSTS (marts 2022), samt Konkurrence- og Forbrugerstyrelsens egne
beregninger.
ERU, Alm.del - 2021-22 - Bilag 336: Orientering vedr. betalingsrapport 2022, fra erhvervsministeren
2595415_0055.png
SIDE 55
BETALINGSRAPPORT 2022
Tabel 11
Værdi af grænseoverskridende transaktion med betalingskort efter korttype
Danske kort (brugt i udlandet)
Co-badgede
Dankort
Udenlandske kort (brugt i Danmark)
Udl.
debetkort
I alt
Int.
debetkort
Int.
kreditkort
Værdi (mio. kr.)
2017
2018
2019
2020
2021
85.586
94.910
101.148
75.675
89.213
45.597
50.315
51.166
37.995
44.262
3.435
4.199
4.703
3.089
5.156
10.139
10.081
10.214
4.138
5.032
35.684
39.046
40.767
21.358
25.303
16.708
17.725
18.912
11.182
13.807
18.976
21.321
21.855
10.176
11.496
I alt
Udl.
kreditkort
Note:
Co-badgede Dankort er Visa/Dankort, men kunne fx også være Mastercard/Dankort. I Danmarks Nationalbanks statistik
omtales co-badgede Dankort som ”co-brandede Dankort”.
Kilde: Nationalbanks Statistikbank om betalinger, tabel DNBSTS (marts 2022).
Tabel 12
Værdi af grænseoverskridende transaktioner efter anvendelsessted
Danske kort (brugt i udlandet)
Fysiske
forretninger
I alt
Online handel
I alt
mv.
Værdi (mio. kr.)
47.044
54.281
61.231
57.114
64.527
Fysiske
forretninger
Udenlandske kort (brugt i Danmark)
Online handel mv.
2017
2018
2019
2020
2021
85.586
94.910
101.148
75.675
89.213
31.001
33.305
32.984
15.725
21.720
35.684
39.046
40.767
21.358
25.303
23.338
25.905
26.213
10.704
14.586
9.294
10.523
12.139
9.213
9.326
Kilde: Nationalbanks Statistikbank om betalinger, tabel DNBSTS (marts 2022).
ERU, Alm.del - 2021-22 - Bilag 336: Orientering vedr. betalingsrapport 2022, fra erhvervsministeren
2595415_0056.png
SIDE 56
BILAG 1 STATISTIK
Misbrug med udstedte betalingskort
Tabel 13
Misbrug med udstedte kort i Danmark efter misbrugstype
I alt
Tabte og stjålne kort
Antal (stk.)
2017
2018
2019
2020
2021
70.076
63.240
52.656
40.509
24.641
26.193
23.939
19.097
12.782
10.177
Værdi (1.000 kr.)
2017
2018
2019
2020
2021
118.388
78.930
50.893
35.030
28.311
60.299
33.785
21.897
14.293
14.947
Andel af samlede antal transaktioner (promille)
2017
2018
2019
2020
2021
0,04
0,03
0,03
0,02
0,01
0,02
0,01
0,01
0,01
0,01
Andel af samlede kortomsætning (promille)
2017
2018
2019
2020
2021
Kilde:
0,21
0,14
0,09
0,06
0,04
0,14
0,08
0,05
0,03
0,03
0,00
0,00
0,00
0,00
0,00
0,45
0,37
0,22
0,14
0,07
0,00
0,00
0,00
0,00
0,00
0,13
0,15
0,12
0,08
0,04
196
1.351
213
460
7
57.893
43.794
28.783
20.277
13.357
184
599
60
158
7
43.699
38.702
33.499
27.569
14.457
Falske kort
Online handel
Danmarks Nationalbanks statistikbank, tabel DNBSTS og DNBSMIS (marts 2022), og Konkurrence- og Forbrugerstyrel-
sens egne beregninger
ERU, Alm.del - 2021-22 - Bilag 336: Orientering vedr. betalingsrapport 2022, fra erhvervsministeren
2595415_0057.png
SIDE 57
BETALINGSRAPPORT 2022
Tabel 14
Misbrug med udstedte betalingskort i Danmark efter anvendelsessted
I alt
Forretninger
(Total)
Forretninger
(pin & chip)
Forretninger
(kontaktløs)
Kontant-
automat
Online handel
Antal (stk.)
2017
2018
2019
2020
2021
70.076
63.240
52.656
40.509
24.641
14.554
17.657
15.081
10.721
8.004
7.670
7.891
3.937
3.345
1.365
6.884
9.766
11.144
7.376
6.639
11.823
6.881
4.076
2.219
2.180
43.699
38.702
33.499
27.569
14.457
Samlede værdi ved misbrug (1.000 kr.)
2017
2018
2019
2020
2021
118.388
78.930
50.893
35.030
28.311
13.393
11.042
9.602
7.156
6.801
12.564
9.508
7.413
5.648
4.048
829
1.534
2.189
1.508
2.753
47.102
24.094
12.508
7.597
8.153
57.893
43.794
28.783
20.277
13.357
Andel af samlede antal transaktioner (promille)
2017
2018
2019
2020
2021
0,04
0,03
0,03
0,02
0,01
0,01
0,01
0,01
0,01
0,00
0,01
0,01
0,00
0,00
0,00
0,00
0,01
0,01
0,00
0,00
0,20
0,13
0,09
0,06
0,07
0,13
0,15
0,12
0,08
0,04
Andel af samlede kortomsætning (promille)
2017
2018
2019
2020
2021
Kilde:
0,21
0,14
0,09
0,06
0,04
0,04
0,03
0,03
0,02
0,02
0,03
0,03
0,02
0,01
0,01
0,00
0,00
0,01
0,00
0,01
0,57
0,30
0,17
0,13
0,14
0,45
0,37
0,22
0,14
0,07
Danmarks Nationalbanks Statistikbank, tabel DNBSTS og DNBSMIS (marts 2022), og Konkurrence- og Forbrugerstyrel-
sens egne beregninger
ERU, Alm.del - 2021-22 - Bilag 336: Orientering vedr. betalingsrapport 2022, fra erhvervsministeren
2595415_0058.png
SIDE 58
BILAG 1 STATISTIK
Tabel 15
Grænseoverskridende kortmisbrug efter misbrugstype
Danske kort brugt i udlandet
I alt
Tabte og
stjålne kort
Falske kort
Online
handel
I alt
Udenlandske kort brugt i Danmark
Tabte og
stjålne kort
Falske kort
Online
handel
Antal (stk.)
2017
2018
2019
2020
2021
2017
2018
2019
2020
2021
2017
2018
2019
2020
2021
2017
2018
2019
2020
2021
Kilde:
211.181
258.905
243.452
209.034
154.862
215.557
221.832
188.839
131.141
115.771
1,02
1,09
0,92
0,90
0,61
2,52
2,34
1,87
1,73
1,30
5.596
6.865
6.266
3.898
4.358
7.421
6.853
9.107
9.744
11.312
0,07
0,07
0,07
0,08
0,06
0,19
0,17
0,23
0,52
0,46
24.892
16.357
9.130
4.301
475
31.783
22.284
12.811
5.545
758
0,32
0,18
0,10
0,09
0,01
0,82
0,55
0,32
0,30
0,03
180.693
235.683
228.056
200.835
150.029
176.353
192.695
166.921
115.852
103.701
1,42
1,62
1,35
1,10
0,82
3,75
3,55
2,73
2,03
1,61
56.143
52.659
21.109
20.129
13.856
47.507
37.134
21.270
18.525
13.200
0,69
0,54
0,20
0,19
0,26
1,33
0,95
0,52
0,87
0,52
5.130
3.962
4.234
2.697
2.123
8.047
4.391
3.687
2.780
2.094
0,08
0,05
0,05
0,07
0,04
0,30
0,15
0,13
0,23
0,13
1.103
376
250
407
293
1.584
824
568
432
335
0,02
0,00
0,00
0,01
0,01
0,06
0,03
0,02
0,04
0,02
49.910
48.321
16.625
17.025
11.440
37.876
31.919
17.015
15.313
10.771
3,42
2,66
1,007
1,15
0,78
4,08
3,03
1,40
1,66
1,15
Værdi (1.000 kr.)
Andel af samlede antal transaktioner (promille)
Andel af samlede kortomsætning (promille)
Danmarks Nationalbanks statistikbank, tabel DNBSTS og DNBSMIS (marts 2022),og Konkurrence- og Forbrugerstyrelsens
egne beregninger.
ERU, Alm.del - 2021-22 - Bilag 336: Orientering vedr. betalingsrapport 2022, fra erhvervsministeren
2595415_0059.png
SIDE 59
BETALINGSRAPPORT 2022
Bilag 2
Regler på betalingsområdet
Brugen af betalingskort i Danmark reguleres af en række danske og fælleseuropæiske regler.
En række af disse regler er underlagt Konkurrence- og Forbrugerstyrelsens tilsyn. Dette tilsyn
32
33
omfatter flere bestemmelser i lov om betalinger , interbankgebyrforordningen og prismo-
34
delbekendtgørelsen , der er behandlet i afsnit 3.2, og bekendtgørelse om offentliggørelse af
35
maksimale gebyrer for betalingsmodtagere i fysisk handel .
Regulering
Som led i at beskrive indholdet af reglerne, indeholder dette bilag også en redegørelse for
praksis, der er relevant for de enkelte bestemmelser, da disse bidrager til fortolkningen af reg-
lerne. Redegørelsen er begrænset til praksis t.o.m. sidste rapport fra 2020. Styrelsens tilsyns-
aktiviteter efter sidste rapport beskrives i kapitel 4.
Lov om betalinger
Betalingsloven gennemfører det andet betalingsdirektiv (PSD2) . Loven finder anvendelse for
udstedere af elektroniske penge, udbydere af betalingstjenester og betalingsmodtagere. Beta-
lingsloven indeholder også en række nationale særregler, herunder bl.a. de lovgivningsmæs-
sige rammer for prismodelbekendtgørelsen.
36
Nedenfor følger en oversigt og kort beskrivelse af disse regler samt de ændringer, der er fore-
taget siden seneste rapport, Betalingsmarkedet 2020, der blev udgivet i foråret 2020. Det ved-
rører navnlig ændringen af betalingsloven, hvormed beslutningskompetencen er overgået til
Konkurrencerådet.
__________________
32
33
Lov nr. 652 af 8. juni 2017 med senere ændringer.
34
Europa-Parlamentets og Rådets Forordning (EU) 2015/751 af 29. april 2015 om interbankgebyrer for kortbaserede beta-
lingstransaktioner.
35
Bekendtgørelse nr. 2163 af 18. december 2020 om prismodeller for visse typer af betalingsinstrumenter i henhold til § 123,
stk. 4 og 5, i lov om betalinger.
Europa-Parlamentets og Rådets direktiv (EU) 2015/2366 af 25. november 2015 om betalingstjenester i det indre marked.
36
Bekendtgørelse nr. 1364 af 1. december 2017 om offentliggørelse af maksimale gebyrer for betalingsmodtagere i fysisk han-
del.
ERU, Alm.del - 2021-22 - Bilag 336: Orientering vedr. betalingsrapport 2022, fra erhvervsministeren
2595415_0060.png
SIDE 60
BILAG 2 REGLER PÅ BETALINGSOMRÅDET
Tilsynet med loven er delt mellem Finanstilsynet, Forbrugerombudsmanden og Konkurrence-
og Forbrugerstyrelsen. Styrelsen fører tilsyn med betalingslovens
I det følgende redegøres for betalingsloven og ovenstående bestemmelser. Indledningsvis
fremhæves eventuelle ændringer, dernæst redegøres for reglernes indhold i øvrigt.
»
§ 63 adgang til betalingskontotjenester i pengeinstitutter
»
§ 64 adgang til betalingssystemer
37
»
§§ 120-123 om fastsættelse og opkrævning af gebyrer for betalingstjenester.
Ændringer i betalingsloven
Siden seneste rapport er der gennemført en række ændringer af betalingsloven. Det er dog
ikke alle ændringer, der er relevante for de bestemmelser, som Konkurrence- og Forbruger-
styrelsen fører tilsyn med eller tilsynet i øvrigt. Disse er derfor forbigået nedenfor, hvor der
fokuseres på de relevante ændringer.
Ændring af ansvarsfordeling
38
I december 2020 vedtog Folketinget en ændringslov , hvorefter det overordnede ansvar for
Konkurrence- og Forbrugerstyrelsens tilsyn med betalingsloven overgik fra erhvervsministe-
ren til Konkurrencerådet.
Ved ændringsloven blev § 145 a indsat. Det følger af bestemmelsen, at Konkurrencerådet har
det overordnede ansvar for styrelsens administration efter betalingsloven og regler udstedt
efter denne. Det er herefter Konkurrencerådet, der træffer afgørelse i principielle sager og sa-
39
ger af særlig stor betydning. Rådet kan også delegere sin beslutningskompetence til Konkur-
40
rence- og Forbrugerstyrelsen. Navnlig har det medført, at tilsynet med loven nu er uaf-
41
hængigt af erhvervsministeren.
Endelig har Konkurrence- og Forbrugerstyrelsen i betalingslovens § 145 b fået hjemmel di-
rekte i betalingsloven til at træffe afgørelse om, hvorvidt der er tilstrækkelig anledning til at
undersøge en sag, herunder om sagsbehandlingen skal indstilles midlertidigt eller endeligt.
bestemmelsen kodificerede styrelsens hidtidige praksis, hvorefter sagsbehandlingen eksem-
pelvis kunne indstilles af ressourcemæssige hensyn.
Ændring af appelsystem
Appelsystemet inden for betalingsområdet er ligeledes blevet ændret. Denne mindre åbenbare
ændring af reglerne på betalingsområdet følger af henvisningen til konkurrencelovens § 20 i
__________________
37
38
39
40
41
Lov nr. 1940 af 15. december 2020 om ændring af lov om betalinger, hvidvaskloven, lov om kapitalmarkeder og forskellige
andre love.
Jf. betalingslovens § 145 a, stk. 1.
Jf. betalingslovens § 145 a, stk. 2.
Jf. betalingslovens § 145 a, stk. 3.
Jf. betalingslovens § 145, stk. 1.
ERU, Alm.del - 2021-22 - Bilag 336: Orientering vedr. betalingsrapport 2022, fra erhvervsministeren
2595415_0061.png
SIDE 61
BETALINGSRAPPORT 2022
Konkurrencelovens § 20 medfører efter sin ændring, at materielle afgørelser efter betalings-
loven kan indbringes for Konkurrenceankenævnet eller direkte for domstolene, uden først at
46
indbringes for Konkurrenceankenævnet. Omvendt kan formelle afgørelser, som fx afslag på
aktindsigt, ikke indbringes for domstolene, før sagen har været forelagt Konkurrenceanke-
47
nævnet, og nævnet har truffet afgørelse.
45
betalingslovens § 145, stk. 4, 2. pkt. Konkurrencelovens § 20 blev ændret som led i gennemfø-
42
43
44
relsen af det såkaldte ECN+-direktiv . Ændringsloven til konkurrenceloven trådte i kraft 4.
marts 2021.
Adgang til betalingskontotjenester og -systemer
Betalingslovens §§ 63-64 regulerer adgangen til betalingskontotjenester og -systemer. Penge-
institutter og betalingssystemer pålægges en række forpligtelser, navnlig at stille betalings-
kontotjenester og -systemer til rådighed for henholdsvis betalingsinstitutter og betalingstje-
nesteudbydere på nærmere angivne vilkår. Konkurrence- og Forbrugerstyrelsen og Finanstil-
50
synet har i fælleskab i februar 2021 udarbejdet en vejledning om betalingslovens § 63. Der
redegøres kort for reglerne i det følgende.
Klagefristen på otte uger gælder for afgørelser truffet af Konkurrencerådet og Konkurrence-
og Forbrugerstyrelsen til både Konkurrenceankenævnet og domstolene. Tilsvarende gælder
en frist på otte uger for at indbringe Konkurrenceankenævnets afgørelser for domstolene.
49
Hvis ikke afgørelsen er indbragt til efterprøvelse inden for de otte uger, er den endelig.
Endvidere er fristen for klager over Konkurrence- og Forbrugerstyrelsens afgørelser truffet i
48
medfør af betalingsloven nu udvidet fra fire til otte uger.
Adgangen til betalingskontotjenester – betalingslovens § 63
51
Ifølge betalingslovens § 63, stk. 1, skal pengeinstitutter give betalingsinstitutter adgang til
deres
betalingskontotjenester
på objektive, ikke-diskriminerende og proportionale vilkår. Ad-
gangen skal gøre betalingsinstituttet i stand til at udbyde betalingstjenester uhindret og effek-
tivt. Betalingslovens § 63 implementerer PSD2-direktivets artikel 36. Bestemmelserne skaber
derfor pligter og rettigheder for pengeinstitutter og betalingsinstitutter i alle medlemsstater.
__________________
42
43
44
45
46
47
48
49
50
Europa-Parlamentets og Rådets direktiv (EU) 2019/1 af 11. december 2018 om styrkelse af de nationale konkurrencemyn-
digheders forudsætninger for at håndhæve konkurrencereglerne effektivt og sikring af et velfungerende indre marked.
Lov nr. 207 af 15. februar 2021 om ændring af konkurrenceloven og straffeloven.
Lov nr. 384 af 10. juni 1997 med senere ændringer.
Lovbekendtgørelse nr. 360 af 4. marts 2021.
Jf. konkurrencelovens § 20, stk. 1, 2. pkt.
Jf. konkurrencelovens § 20, stk. 2.
Jf. konkurrencelovens § 20, stk. 3.
Jf. konkurrencelovens § 20, stk. 3, 1. pkt., smh. stk. 1, 2. pkt.
51
Et betalingsinstitut er en juridisk person, der er meddelt tilladelse til at udbyde betalingstjenester efter betalingslovens § 9,
og institutter, der er meddelt tilladelse i et andet EU- eller EØS-land, jf. betalingslovens § 7, nr. 2. Dette omfatter også virk-
somheder, der har begrænset tilladelse efter betalingslovens § 51, jf. Konkurrence- og Forbrugerstyrelsens indskærpelse af
17. marts 2022: https://www.kfst.dk/afgorelser-ruling/betalingskort/indskaerpelser/2022/20220317-indskaerpelse-
vedrorende-etablering-af-portefoljekonto-og-indlosningsaftale/.
Se vejledningen her: https://www.kfst.dk/pressemeddelelser/kfst/2021/20210212-ny-vejledning-om-betalingsloven-og-
hvidvaskloven/.
ERU, Alm.del - 2021-22 - Bilag 336: Orientering vedr. betalingsrapport 2022, fra erhvervsministeren
2595415_0062.png
SIDE 62
BILAG 2 REGLER PÅ BETALINGSOMRÅDET
Konkurrence- og Forbrugerstyrelsen har som tilsynsmyndighed også kompetence til at ud-
stede et påbud til et pengeinstitut om at give adgang for en betalingstjenesteudbyder til at op-
54
rette og føre en betalingskonto i det pågældende betalingsinstitut. Endvidere kan en overtræ-
55
delse af både adgangs- og underretningspligten straffes med bøde.
Praksis
Konkurrence- og Forbrugerstyrelsen har truffet en række afgørelser vedrørende betalingslo-
56
vens § 63, stk. 1, om adgangen til betalingskontotjenester.
S
tyrelsen har både truffet afgørel-
ser om adgangsvilkårene generelt og den konkrete administration af vilkår over for betalings-
institutterne.
Adgangsvilkår
Konkurrence- og Forbrugerstyrelsen har eksempelvis fundet, at en række af Arbejdernes
Landsbank A/S’ vilkår var i strid med betalingslovens § 63, stk. 1, da de ikke var fastsat objek-
tivt og/eller administreret proportionalt. Dette omfattede vilkår i henhold til hvilke et beta-
lingsinstitut skulle
»
opsige en nærmere bestemt andel af sine kunder, hvor der knyttede sig en begrundet kon-
Hvis et pengeinstitut giver afslag på adgang til et betalingsinstitut, skal pengeinstituttet under-
52
rette Konkurrence- og Forbrugerstyrelsen, samt behørigt begrunde afslaget. Styrelsen kan
53
også fastsætte nærmere regler om underretninger.
Da der er tale om en implementering af en EU-retsakt, skal betalingsloven fortolkes i lyset af
direktivet og EU-Domstolens praksis.
kret mistanke om ulovlige transaktioner m.v.
»
nedbringe en nærmere bestemt andel af sine erhvervskunder registreret uden for Danmark
til en nærmere angivet maksimal andel af betalingsinstituttets samlede erhvervskunder, og
udenlandske erhvervskunders transaktioner, der via betalingsinstituttet gennemførtes gen-
nem pengeinstituttet, til en nærmere angivet maksimal andel af betalingsinstituttets sam-
lede udenlandske transaktioner
»
afbryde eller afvikle visse forretningsforbindelser, der er foreningskunder registreret uden
for Danmark, eller hvis virksomhed primært bestod i udstedelse eller forhandling af, eller
57
som på anden vis relaterede sig til virtuelle valutaer (kryptovalutaer).
__________________
52
53
54
55
56
57
Jf. betalingslovens § 63, stk. 2.
Jf. betalingslovens § 63, stk. 3.
Jf. betalingslovens § 145, stk. 2, nr. 1.
Jf. betalingslovens § 152, stk. 2.
Se styrelsens praksis her: https://www.kfst.dk/betalingsmarkedet/afgorelser/styrelsesafgorelser/.
Jf. Konkurrence- og Forbrugerstyrelsens afgørelse af 28. juni 2019,
Afgørelse vedrørende betalingslovens § 63, stk. 1 om ad-
gang til betalingskonti, der føres i kreditinstitutter,
j.nr. 19/06783. Afgørelsen kan læses her: https://www.kfst.dk/afgorelser-
ruling/betalingskort/afgoerelser/2019/20190628-adgang-til-betalingskonti-der-fores-i-kreditinstitutter/.
ERU, Alm.del - 2021-22 - Bilag 336: Orientering vedr. betalingsrapport 2022, fra erhvervsministeren
2595415_0063.png
SIDE 63
BETALINGSRAPPORT 2022
Administration af adgangsvilkår
Konkurrence- og Forbrugerstyrelsen har også truffet afgørelser om den konkrete administra-
58
tion af adgangsvilkår.
Adgang til betalingssystemer – betalingslovens § 64
64
Efter betalingslovens § 64, stk. 1, skal vilkår for
adgang til betalingssystemer
for betalingstje-
nesteudbydere være objektive, ikke-diskriminerende og proportionale. Vilkårene må derfor
ikke forhindre adgang i videre omfang end nødvendigt for at beskytte mod specifikke risici og
for at sikre betalingssystemets finansielle og driftsmæssige stabilitet. Risici kan fx være afvik-
65
lingsrisici, operationelle risici og forretningsmæssige risici.
Underretningspligten
Styrelsen har også løbende truffet afgørelser omkring underretningspligten i betalingslovens §
63, stk. 2.
62
Styrelsen har blandt andet fundet, at en underretning 1. august 2018 i forbindelse
med et afslag den 2. marts 2018 ikke var rettidigt. Styrelsen lagde også vægt på, at underret-
63
ningen først skete, efter styrelsen havde rettet henvendelse om forholdet.
Senere har styrelsen truffet afgørelse om, at Arbejdernes Landsbank ikke havde administreret
opsigelsen af et betalingsinstitut proportionalt, da pengeinstituttet ikke angav årsagen til opsi-
gelsen af kundeforholdet samt ikke varslede opsigelsen i rimelig tid. Pengeinstituttet diskrimi-
nerede også betalingsinstituttet ved ikke at følge sine egne retningslinjer for opsigelse.
60
Sty-
relsen udtalte i denne forbindelse, at et vilkår, der er fastsat proportionalt, også skal admini-
streres proportionalt. Det indebærer, at pengeinstituttet skal fastsætte en rimelig frist for, at
betalingsinstituttet får mulighed for at opfylde vilkårene og dermed få eller opretholde adgang
61
til pengeinstituttets betalingskontotjenester.
Styrelsen har eksempelvis truffet afgørelse om, at Arbejdernes Landsbank A/S diskriminerede
et betalingsinstitut ved at stille vilkår om, at instituttet skulle afbryde eller afvikle visse forret-
ningsforbindelser, der var foreningskunder registreret uden for Danmark, når sammenligne-
lige kunder efter Arbejdernes Landsbanks generelle vilkår var tilladt at have foreningskunder
59
registreret uden for Danmark.
__________________
58
59
60
Jf. Konkurrence- og Forbrugerstyrelsens afgørelse af 28. juni 2019,
Afgørelse vedrørende betalingslovens § 63, stk. 1 om ad-
gang til betalingskonti, der føres i kreditinstitutter,
j.nr. 19/06783.
Ibid., s. 7.
61
62
Se Konkurrence- og Forbrugerstyrelsens afgørelse af 7. november 2019,
Opsigelse af et betalingsinstituts betalingskonto,
j.nr.
19/09337.
Konkurrence- og Forbrugerstyrelsens afgørelse af 6. november 2018,
Afgørelse vedrørende manglende underretning til Kon-
kurrence- og Forbrugerstyrelsen efter betalingslovens § 63, stk.
2
– Den Jyske Sparekasse A/S,
j.nr. 18/13090. Afgørelsen er til-
gængelig via ovenstående link.
Jf. betalingslovens § 64, stk. 1.
Se styrelsens praksis her: https://www.kfst.dk/betalingsmarkedet/afgorelser/styrelsesafgorelser/.
63
Se eksempelvis Konkurrence- og Forbrugerstyrelsens afgørelser af 6. november 2018 over for en række betalingsinstitutter:
https://www.kfst.dk/betalingsmarkedet/afgorelser/styrelsesafgorelser/.
Et betalingssystem er et system til overførsel af midler med formelle og standardiserede rutiner og fælles regler for behand-
ling, clearing eller afvikling af betalingstransaktioner, jf. betalingslovens § 7, nr. 13.
64
65
ERU, Alm.del - 2021-22 - Bilag 336: Orientering vedr. betalingsrapport 2022, fra erhvervsministeren
2595415_0064.png
SIDE 64
BILAG 2 REGLER PÅ BETALINGSOMRÅDET
Formålet med bestemmelsen er at sikre ens behandling af forskellige betalingstjenesteudby-
dere i EU og at stimulere konkurrencen mellem disse ved at undgå en situation, hvor nogle be-
68
talingssystemer kan diskriminere mellem forskellige betalingstjenesteudbydere.
Konkurrence- og Forbrugerstyrelsen kan udstede påbud om, at vilkår for adgang til et beta-
69
lingssystem for betalingstjenesteudbydere skal ændres. En overtrædelse af bestemmelsen
70
kan straffes med bøde.
Kravene i § 64, stk. 1, gælder, uanset om der er tale om trepartssystemer, som benytter licens-
67
havere, firepartssystemer eller direkte debitering.
Det fremgår udtrykkeligt af bestemmelsen, at betalingssystemer ikke må pålægge betalingstje-
nesteudbydere, brugere af betalingstjenester eller andre betalingssystemer en række nær-
mere oplistede krav. Et betalingssystem må fx ikke pålægge regler, der forskelsbehandler ud-
bydere af betalingstjenester for så vidt angår deltagernes rettigheder, forpligtelser og beføjel-
66
ser.
Overførsel af det fulde beløb ved en betalingsordre – betalingslovens § 120
Det følger af betalingslovens § 120, stk. 1, at betalerens udbyder, betalingsmodtagerens udby-
der og deres eventuelle formidlere skal overføre det fulde beløb uden fradrag af gebyrer. Be-
stemmelsen skal sikre, at det fulde beløb, som betaleren har iværksat, kommer frem til modta-
geren. Endvidere omfatter bestemmelsen alle betalingstransaktioner, herunder kreditover-
førsler, kortbetalinger og direkte debiteringer.
En undtagelse følger af stk. 2, 1. pkt., hvorefter betalingsmodtageren og dennes udbyder kan
aftale, at udbyderen trækker sine gebyrer fra det overførte beløb, før det krediteres betalings-
modtageren. Efter stk. 2, 2. pkt., skal betalingsmodtageren særskilt oplyses i overensstem-
71
72
melse med §§ 71 og 78 om betalingstransaktionens fulde beløb og størrelsen af gebyrerne.
Regulering af gebyrer
Betalingsloven indeholder en række bestemmelser, der regulerer fastsættelsen og opkrævnin-
gen af gebyrer. Reglerne henvender sig både til betalingsmodtagere samt udbydere af beta-
lingstjenester.
__________________
66
67
68
69
70
71
72
Jf. betalingslovens § 64, stk. 1, sidste pkt. og nr. 2.
Jf. præambelbetragtning nr. 52 i PSD2.
Jf. præambelbetragtning pkt. 49-52.
Jf. betalingslovens § 152, stk. 2.
Jf. betalingslovens § 145, stk. 2, nr. 2.
Om betalingsmodtagerens udbyders pligt til at give oplysninger til betalingsmodtageren ved enkeltstående transaktioner.
Om betalingsmodtagerens udbyders pligt til at give oplysninger til betalingsmodtageren ved transaktioner omfattet af ram-
meaftaler.
ERU, Alm.del - 2021-22 - Bilag 336: Orientering vedr. betalingsrapport 2022, fra erhvervsministeren
2595415_0065.png
SIDE 65
BETALINGSRAPPORT 2022
Betalingslovens § 121, stk. 1 fastslår, at betalingsmodtageren skal betale de gebyrer, som den-
nes udbyder opkræver, og betaleren skal betale de gebyrer, som dennes udbyder opkræver,
når en betalingstransaktion gennemføres inden for EU. Bestemmelsen omfatter alle betalings-
transaktioner, herunder kreditoverførsler, kortbetalinger og direkte debiteringer.
Efter § 121, stk. 2, må betalingsmodtagerens udbyder ikke hindre betalingsmodtageren i at
opkræve gebyr hos betaleren for brug af det pågældende betalingsinstrument, hindre beta-
lingsmodtageren i at tilbyde betaleren en rabat eller hindre betalingsmodtageren i på anden
måde at tilskynde betaleren til at anvende et givent betalingsinstrument, jf. dog § 121, stk. 3.
Formålet med denne bestemmelse er at fremme gennemsigtigheden og konkurrencen.
Opkrævning af gebyrer – betalingslovens § 121
Betalingslovens § 121 fastsætter udgangspunktet for opkrævning af gebyrer mellem beta-
lingsmodtager og dennes udbyder samt betaler og dennes udbyder.
Konkurrence- og Forbrugerstyrelsen kan udstede de nødvendige påbud for at sikre overhol-
74
delsen af reglerne, og en overtrædelse af betalingslovens § 120, stk. 1, kan straffes med bøde
75
ligesom en overtrædelse af et af styrelsens påbud.
Hvis der trækkes andre gebyrer end dem, som er nævnt i § 120, stk. 2, fra det overførte beløb,
skal betalerens udbyder sikre, at betalingsmodtageren modtager det fulde beløb. Ved beta-
lingstransaktioner, der iværksættes af eller via betalingsmodtageren, gælder forpligtelsen
73
imidlertid betalingsmodtagerens udbyder.
Hvis en betalingsmodtager opkræver et gebyr hos betaleren for anvendelse af et betalingsin-
strument, må gebyret dog ikke overstige betalingsmodtagerens omkostninger til at gennem-
76
føre betalingstransaktionen.
Betalingslovens § 121, stk. 3, modificerer dette udgangspunkt for opkrævning af gebyrer. Her-
efter må betalingsmodtageren ikke opkræve gebyrer for
anvendelsen
af betalingsinstrumen-
ter, for hvilke interbankgebyrerne er reguleret i forordningen om interbankgebyrer for kort-
baserede betalingstransaktioner – populært omtalt som ”forbuddet mod overvæltning”. Dette
77
gælder endvidere for visse betalingstjenester. Bestemmelsen omfatter bl.a. de mest udbredte
kortmærker i Danmark, fx Dankort, Visa og Mastercard. Det gælder både betalinger i fysisk
handel og online handel mv., og der skelnes ikke mellem debet- og kreditkort. Endvidere om-
fatter bestemmelen også digitale betalingstjenester, herunder mobile betalingsløsninger, hvor
overførslen af midler sker via en sådan betalingskorttransaktion.
På trods af formuleringen ”forbud mod overvæltning”, omfatter bestemmelsen også gebyrer,
der ikke blot ”sender” et gebyr videre fra betalingsmodtageren, som denne skal betale til sin
__________________
73
74
75
76
77
Jf. § 120, stk. 3.
Dvs. for de betalingstjenester, på hvilke forordning af 14. marts 2012 (EU) nr. 260/2012 om tekniske og forretningsmæssige
krav til kreditoverførsler og direkte debiteringer i euro og om ændring af forordningen (EF) nr. 929/2009 finder anvendelse,
jf. § 121, stk. 3. Denne forordning er således ikke relevant for direkte debiteringer i danske kroner.
Jf. betalingslovens § 145, stk. 2.
Jf. § 120, stk. 2, 2. pkt.
Jf. henholdsvis betalingslovens § 152, stk. 2, og stk. 3.
ERU, Alm.del - 2021-22 - Bilag 336: Orientering vedr. betalingsrapport 2022, fra erhvervsministeren
2595415_0066.png
SIDE 66
BILAG 2 REGLER PÅ BETALINGSOMRÅDET
Forbuddet omfatter ikke transaktioner med firmakort (commercial
cards)
eller med betalings-
kort udstedt af kortordninger (kortsystemer), der er organiseret som trepartssystemer, samt
78
hævning af kontanter i kontantautomater eller ved disken hos en betalingstjenesteudbyder.
79
For disse må der således stadig opkræves gebyr af betaler (kortholder).
Konkurrence- og Forbrugerstyrelsen kan udstede de nødvendige påbud for at sikre overhol-
delsen af § 121, stk. 1-3. Overtræder en virksomhed et sådant påbud, kan dette straffes med
81
82
bøde. Endvidere er overtrædelsen af § 121, stk. 2, 1. pkt., bødebelagt direkte.
»
Dantaxi4x48 A/S’ manglende opdatering af betalingsterminaler, der resulterede i en op-
udbyder (kortindløser), til betaleren (kortholderen), men også gebyrer, der selvstændigt på-
lægges for
anvendelsen
af de omfattede betalingsinstrumenter.
Baggrunden for reglerne er ensretning af gebyrpraksis i EU og at sænke gebyrerne, der op-
80
kræves over for betalerne.
Praksis
Konkurrence- og Forbrugerstyrelsen har truffet afgørelse i en lang række sager, navnlig ved-
83
rørende betalingslovens § 121, stk. 3. Eksempelvis har styrelsen fundet, at
krævning af gebyr ved brug af betalingskort, var omfattet af betalingslovens § 121, stk. 3.
»
Silvan A/S ligeledes havde opkrævet gebyrer ved brug af betalingskort, da deres terminaler
85
havde været ramt af fejl i en periode, og derfor overtrådt betalingslovens § 121, stk. 3.
84
I begge tilfælde fandt styrelsen også, at der var tale om en overtrædelse af tidligere udstedte
påbud.
Forbud mod anvendelse af urimelige priser og avancer i forbindelse med gennemførelse af beta-
linger – betalingslovens § 122
Betalingslovens § 122, stk. 1 forbyder, at virksomheder opkræver urimelige priser og avancer
i forbindelse med gennemførslen af betalingstransaktioner med betalingsinstrumenter, herun-
86
der fx kortbetalinger og overførsler via netbank eller mobile betalingsløsninger. Efter ordly-
__________________
78
79
80
81
82
83
84
Jf. Forordningens artikel 1, stk. 3.
Jf. betalingslovens § 152, stk. 3.
Jf. betalingslovens § 152, stk. 2.
Der henvises i den forbindelse til kapitel 7 om styrelsens tilsyn.
Jf. Præambelbetragtning nr. 66 i PSD2.
Se styrelsens praksis her: https://www.kfst.dk/betalingsmarkedet/afgorelser/styrelsesafgorelser/?page=0.
Konkurrence- og Forbrugerstyrelsens afgørelse af 18. marts 2019,
Afgørelse vedrørende Dantaxi4x48 A/S’ opkrævning af ge-
byr ved brug af betalingskort,
j.nr. 18/15680.
85
86
Betalingslovens § 122 omfatter efter sin ordlyd alle former for betalingsinstrumenter, således som disse er defineret i beta-
lingslovens § 7, nr. 18. Bestemmelsen viderefører betalingstjenestelovens § 79. Bestemmelsen blev først indført ved lov i
1999 (den dagældende betalingskortlov).
Konkurrence- og Forbrugerstyrelsens afgørelse af 8. oktober 2019,
Afgørelse vedrørende Silvan A/S’ opkrævning af gebyr ved
brug af betalingskort,
j.nr. 19/0654.
ERU, Alm.del - 2021-22 - Bilag 336: Orientering vedr. betalingsrapport 2022, fra erhvervsministeren
2595415_0067.png
SIDE 67
BETALINGSRAPPORT 2022
Boks 1
Hvad er en teknisk tjene-
ste?
Der er herved taget højde for, at betalingssystemer kan organiseres på mange forskellige må-
89
der, og at funktioner kan foregå i forskellige virksomheder. Forbuddet mod urimelige priser
90
og avancer omfatter også ”tekniske tjenester” , jf. Boks 1 nedenfor.
En teknisk tjeneste kan bestå i mange ting, men mere konkret kan der blandt andet være tale
om følgende ydelser:
»
Håndtering og lagring af data
»
Databeskyttelse
»
Datavalidering
»
Drift af kommunikationsnetværk
»
Levering og vedligeholdelse af betalingsterminaler og betalingsmodul (payment gateway)
den og forarbejderne omfattes enhver virksomhed, der fastsætter gebyrer og vederlag
i forbin-
87
delse med
brug af betalingsinstrumenter. Samtidig omfatter bestemmelsen alle gebyrer og
88
vederlagstyper, der opkræves, når en betaling gennemføres. Bestemmelsen finder eksempel-
vis anvendelse på pengeinstitutters opkrævning af valutatillæg for brug af betalingskort i ud-
landet, da bestemmelsen omfatter ethvert gebyr fastsat i forbindelse med gennemførelse af
betalingstransaktioner med betalingsinstrumenter. Konkurrencerådet har den 30. marts 2022
truffet afgørelser om Danske Bank og Nordeas valutatillæg, der er beskrevet mere indgående i
kapitel 4.
Konkurrence- og Forbrugerstyrelsen kan gribe ind over for alle aktørers anvendelse af urime-
lige priser og avancer i forbindelse med gennemførsel af kortbetalinger eller direkte debite-
ring, uagtet hvilke ydelser de måtte levere, og hvordan de måtte være organiseret. Overtræ-
91
delser af § 122, stk. 1 og 2, kan straffes med bøde.
Forarbejderne til betalingslovens § 122 præciserer nærmere, at urimelige priser og avancer er
priser og avancer, der er højere, end de ville være under virksom konkurrence. For at afgøre
dette foretages en hypotetisk præget bedømmelse af forholdene, som de ville være i et kon-
kurrencepræget marked. Der stilles derfor ikke krav om et egentligt bevis for, hvad prisen el-
92
ler avancen ville være, men der en væsentlig sandsynliggørelse. Konkurrence- og Forbruger-
styrelsen kan gribe ind over for aktører, der
__________________
87
88
89
90
91
92
Interbankgebyrer suppleres dog af et prisloft, som blev indført med forordningen om interbankgebyrer. Forordningen er
nærmere beskrevet nedenfor.
Jf. nærmere forarbejderne til lov nr. 217 af 13. april 1999 om ændring af lov om betalingskort m.v. (1998/1 LFS 129).
Jf. betalingslovens § 5, nr. 10.
Jf. betalingslovens § 152, stk. 2.
Jf. FT 2016-17, tillæg A, bemærkninger til L 157, side 259 hs.
Jf. FT 2016-17, tillæg A, bemærkninger til L 157, side 259 hs.
ERU, Alm.del - 2021-22 - Bilag 336: Orientering vedr. betalingsrapport 2022, fra erhvervsministeren
2595415_0068.png
SIDE 68
BILAG 2 REGLER PÅ BETALINGSOMRÅDET
1. fastsætter priser, som ligger over prisen i andre lande med en effektiv betalingsformidling,
2. fastsætter priser, der ikke står i et rimeligt forhold til omkostningerne, eller
9394
3.
fastsætter priser, der medfører en overnormal indtjening.
Ifølge § 122, stk. 2, omfatter forbuddet også fastsættelse af gebyr mv. i forbindelse med gen-
nemførsel af direkte debitering. Herefter kan Konkurrence- og Forbrugerstyrelsen også gribe
ind, hvis gebyrerne på direkte debiteringsprodukter, der bl.a. omfatter Betalingsservice, vur-
deres at være urimeligt høje og overstiger, hvad de ville være, hvis der var virksom konkur-
rence på området.
Konkurrence- og Forbrugerstyrelsen har bl.a. truffet to afgørelser, der angik, om Nets havde
opkrævet urimelige gebyrer for indløsning af dankorttransaktioner i online handlen i 2012 og
i 2013. Den første sag var foranlediget af en klage fra Foreningen for Dansk Internethandel
(FDIH), der mente, at Dankort-indløsningsgebyrerne i online handlen var for høje og derfor i
strid med betalingstjenestelovs § 79.
97
Praksis
Konkurrence- og Forbrugerstyrelsen har tidligere truffet afgørelse efter betalingstjenestelo-
95
96
vens § 79. Betalingslovens § 122, stk. 1, viderefører den tidligere bestemmelse, hvorfor
praksis efter betalingstjenestelovens § 79 også er relevant for betalingslovens § 122, stk. 1.
I den første afgørelse (FDIH1) vurderede styrelsen, at Nets’ gebyrer var for høje og derved
udgjorde en overtrædelse af betalingstjenestelovens § 79. Styrelsen påbød derfor Nets at ned-
sætte gebyrerne. På baggrund af denne afgørelse nedsatte Nets gebyrerne.
Sagen er nærmere beskrevet i afsnit 4.9.
98
I den anden afgørelse (FDIH2) vurderede styrelsen, at indløsningsgebyrerne fortsat var for
høje, hvorfor Nets igen blev påbudt at nedsætte gebyrerne til ikke højere end gennemsnitligt
1,20 kr. i halvandet år, hvorefter det påligger Nets ikke at overtræde betalingstjenestelovens §
79 (læs: betalingslovens § 122). Ligeledes er denne sag nærmere beskrevet i afsnit 4.9.
Nets havde som følge af Konkurrence- og Forbrugerstyrelsens påbud i FDIH1 reduceret sine
indløsningsgebyrer for dankorttransaktioner i online handlen den 31. januar 2013. Ændrin-
gen bestod primært i, at Nets gjorde det billigere at modtage betalinger med dankort i beløbs-
intervallet
__________________
93
94
95
96
97
98
Ifølge forarbejderne forstås herved: ”[…]
en forretning af investeringerne i det pågældende forretningsområde, der overstiger
forrentningen for tilsvarende virksomheder i virksom konkurrence.”,
jf. FT 2016-17, tillæg A, bemærkninger til L 157, side 259
hs og 260 vs.
Jf. FT 2016-17, tillæg A, bemærkninger til L 157, side 259 hs.
Jf. FT 2016-17, tillæg A, bemærkninger til L 157, side 259 vs.
Konkurrence- og Forbrugerstyrelsens afgørelse af 23. maj 2013, Vurdering
af Nets’ ændring af dankortgebyrer som følge af
Konkurrence- og Forbrugerstyrelsens afgørelse af 30. november 2012.
Lov nr. 385 af 25. maj 2009 om betalingstjenester og elektroniske penge med senere ændringer.
Konkurrence- og Forbrugerstyrelsens afgørelse af 30. november 2012,
FDIH’s klage over dankortgebyrer på internettet.
ERU, Alm.del - 2021-22 - Bilag 336: Orientering vedr. betalingsrapport 2022, fra erhvervsministeren
2595415_0069.png
SIDE 69
BETALINGSRAPPORT 2022
Begge afgørelser er opretholdt ved Konkurrenceankenævnets afgørelser og ved Østre Lands-
100
rets dom af 17. februar 2021, men verserer fortsat for Højesteret.
99
Gebyrtyper
Betalingsloven regulerer ikke nærmere, hvilke typer af gebyrer betalingsmodtageres udby-
dere (kortindløsere) kan eller skal anvende. Udbydere kan derfor vælge, om et gebyr skal
være transaktionsbestemt, udgøre en procentdel af transaktionsbeløbet eller en kombination
heraf.
Selv om § 122 gælder for alle udbyderes fastsættelse af gebyrer, betyder den ikke, at gebyrer
skal være ens for alle former for brug af et betalingskort, hvorfor der i princippet kan anven-
des forskellige gebyrer for fysisk og ikke-fysisk handel.
Betalingslovens § 122 suppleres af prismodelbekendtgørelsen, se afsnit 3.2.
Interbankgebyrforordningen fastsætter dog, at betalingsmodtagerens udbyder som udgangs-
punkt skal opkræve
individuelt specificerede gebyrer for forskellige korttyper,
medmindre beta-
101
lingsmodtageren skriftligt anmoder om ens gebyrer for forskellige korttyper.
Fordelingen af omkostninger ved driften af betalingssystemer – betalingslovens § 123
Ifølge betalingslovens § 123, stk. 1, kan en udbyder af betalingstjenester (kortindløser) på-
lægge betalingsmodtageren (forretningen) at betale til driften af et betalingssystem. Vederla-
get kan eksempelvis fastsættes til en procentsats af transaktionsbeløbet, som en fast ydelse
(abonnement) eller som en kombination af de to.
Gebyrerne fastsættes i overensstemmelse med betalingslovens § 122, og prismodelbekendtgø-
relsen, jf. ovenfor og afsnit 3.2. Til dette udgangspunkt gælder dog nogle modifikationer og
undtagelser.
Bestemmelsen i § 123, stk. 4, begrænser adgangen for udbyderen af visse typer af betalingsin-
strumenter til at kræve sine omkostninger ved driften af betalingssystemet dækket af beta-
lingsmodtageren. Det følger af bestemmelsen, at erhvervsministeren kan fastsætte nærmere
regler om, hvilke prismodeller der kan anvendes. Erhvervsministeren kan endvidere fastsætte
nærmere regler om beregningen af betalingen i disse modeller, jf. betalingslovens § 123, stk. 5,
hvilket er sket i prismodelbekendtgørelsen, jf. afsnit 3.2.
Efter § 123, stk. 3, kan betalingstjenesteudbydere og betalingsmodtagere indgå aftale om beta-
ling for særlige ordninger tilknyttet det enkelte betalingsinstrument, i det omfang disse ikke
er omfattet af betalingslovens § 123, stk. 4.
__________________
99
100
101
Hhv. Konkurrenceankenævnets kendelse af 25. juni 2013,
Nets Holding A/S mod Konkurrence- og Forbrugerstyrelsen,
og Kon-
kurrenceankenævnets kendelse af 11. december 2013,
Nets Holding A/S mod Konkurrence- og Forbrugerstyrelsen.
Se https://www.kfst.dk/afgorelser-ruling/betalingskort/domsafgoerelser/20210217-ostre-landsret-nets-gebyrer/.
Jf. artikel 9 (1), i interbankgebyrforordningen.
ERU, Alm.del - 2021-22 - Bilag 336: Orientering vedr. betalingsrapport 2022, fra erhvervsministeren
2595415_0070.png
SIDE 70
BILAG 2 REGLER PÅ BETALINGSOMRÅDET
En eventuel aftale om særskilt betaling for en særlig ordning skal være indgået frivilligt. Udby-
derne kan derfor ikke afvise at udbyde eksisterende ydelser med henvisning til, at der er tale
102
om en særlig ordning, som betalingsmodtager skal betale for.
Efter § 123, stk. 2, skal en udbyder fastsætte gebyrer uafhængigt af betalingsmodtagerens for-
hold ved opkrævning af gebyr fra betaler (kortholder) for betalers anvendelse af et betalings-
instrument (betalingskort). Formålet er at forhindre udbydere i at diskriminere betalingsmod-
tagerne gennem betalere afhængigt af eksempelvis betalingsmodtagerens størrelse. Udbydere
104
kan derfor ikke via gebyrfastsættelse påvirke betaleres valg af betalingsmodtager.
Konkurrence- og Forbrugerstyrelsen kan udstede de nødvendige påbud for overholdelsen af
105
disse bestemmelser, og en overtrædelse af et sådant påbud kan straffes med bøde. Endvi-
106
dere er overtrædelse af betalingslovens § 123, stk. 1 og 2, direkte pålagt bødestraf.
Erhvervsministeren kan også fastsætte nærmere regler om, hvilke særlige ordninger der kan
103
indgås aftale om.
»
Hvis danske forbrugere handler
”uopfordret”
i udenlandske netbutikker, der ikke direkte
Reglerne for, hvornår de såkaldte informationssamfundstjenester er undtaget fra betalingslo-
107
108
ven, følger dels af e-handelsdirektivet , dels af e-handelsloven . Definitionen på ”informati-
onssamfundstjenester” følger af e-handelslovens § 2, nr. 1, jf. Boks 2.
henvender sig til det danske marked. Her vil det være lovgivningen i den enkelte netbutiks
hjemland, der gælder for forretningens (betalingsmodtagerens) fastsættelse og opkrævning
af gebyrer for betaling med betalingskort, der ikke er omfattet af forbuddet mod overvælt-
ning i § 121, stk. 3.
»
Hvis betalingsmodtagere, der er etableret i andre EU/EØS-lande, leverer såkaldte
”informa-
tionssamfundstjenester”
til danske forbrugere, finder betalingsloven heller ikke anvendelse.
Her vil det ligeledes være lovgivningen i den enkelte betalingsmodtagers hjemland, der
gælder.
Der er dog to situationer, hvor betalingslovens regler som udgangspunkt ikke gælder for beta-
lingsmodtagers salg af varer og tjenesteydelser i online handlen.
Lovens rækkevidde
Som udgangspunkt gælder betalingslovens regler alle betalingsmodtagere, der sælger varer og
tjenesteydelser på det danske marked. Betalingsmodtagere, der ikke er etableret i Danmark, fx
ved et datterselskab eller en filial, men som via internettet henvender sig til danske forbru-
gere, skal ligeledes overholde betalingslovens regler.
__________________
102
103
104
105
106
107
Jf. betalingslovens § 145, stk. 2, og § 152, stk. 3.
Jf. betalingslovens § 152, stk. 2.
Jf. FT 2016-17, tillæg A, bemærkninger til L 157, side 261, vs.
Jf. § 123, stk. 6. Denne bemyndigelse er endnu ikke udnyttet.
Jf. FT 2016-17, tillæg A, bemærkninger til L 157, side 261, vs.
Europa-Parlamentets og Rådets direktiv 2000/31/EF af 8. juni 2000 om visse retlige aspekter af informationssamfundstjene-
ster, navnlig elektronisk handel, i det indre marked (EFT L 2000, nr. L 178 af 17. juli 2000, s. 1-16).
Lov nr. 227 af 22. april 2002 om tjenester i informationssamfundet, herunder visse aspekter af elektronisk handel.
108
ERU, Alm.del - 2021-22 - Bilag 336: Orientering vedr. betalingsrapport 2022, fra erhvervsministeren
2595415_0071.png
SIDE 71
BETALINGSRAPPORT 2022
Boks 2
Definition af informations-
tjenester
E-handelslovens § 2, nr. 1, definerer tjenester i informationssamfundet (informationssam-
fundstjenester) som…
… ”enhver tjeneste, der har et kommercielt sigte og som leveres online (ad elektronisk vej over
en vis distance) på individuel anmodning fra en tjenestemodtager.”
Ved en ”tjenestemodtager” forstås enhver fysisk eller juridisk person, der modtager og an-
vender en informationssamfundstjeneste, jf. e-handelslovens § 2, nr. 4.
Boks 3
E-handelslovens formål
Når forbrugere (kortholder) betaler med betalingskort mv. for at købe disse tjenester i online
handlen, gælder de danske gebyrregler som udgangspunkt ikke.
E-handelsloven indeholder et afsenderlandsprincip. Danske myndigheder kan derfor – som
hovedregel – ikke gribe ind over for udbydere af informationssamfundstjenester, der retter
deres aktiviteter mod det danske marked, når forretningerne er etableret i et andet EU/EØS-
land, jf. e-handelslovens § 4.
Informationssamfundstjenester er tjenester, hvor forbrugerne af sig selv kontakter udbyderen
og beder om tjenester, som derpå leveres online. Det kan fx være flybilletter, som forbrugerne
bestiller, betaler for og får leveret via internettet eller til deres mobiltelefon fra et flyselskab
etableret i et andet EU/EØS-land.
EU-regulering
Det andet betalingsdirektiv (PSD2)
Det andet betalingsdirektiv er, som nævnt, gennemført i flere af betalingslovens bestemmel-
ser, og danner derfor grundlag for fortolkningen af betalingsloven. Derfor redegøres der ikke
særskilt for indholdet af direktivet.
Interbankgebyrforordningen
Interbankgebyrforordningen finder direkte anvendelse i Danmark. Konkurrence- og Forbru-
109
gerstyrelsen fører tilsyn med flere af forordningens bestemmelser.
En del af betalingsområdets regulering følger direkte af forordninger eller er en gennemførsel
af direktiver. Der er ikke sket ændringer af den relevante EU-regulering siden seneste beta-
lingsrapport, hvorfor der i det følgende alene redegøres for indholdet af den hidtidige regule-
ring.
__________________
109
Jf. betalingslovens § 145, stk. 1.
ERU, Alm.del - 2021-22 - Bilag 336: Orientering vedr. betalingsrapport 2022, fra erhvervsministeren
2595415_0072.png
SIDE 72
BILAG 2 REGLER PÅ BETALINGSOMRÅDET
Interbankgebyrer er gebyrer, der betales direkte eller indirekte mellem kortudsteder og kort-
110
indløser, som deltager i en kortbaseret betalingstransaktion, for hver enkelt transaktion. Det
bemærkes, at bestemmelserne om interbankgebyrer ikke finder anvendelse på betalingskort-
systemer (betalingskortordninger) med tre parter og firmakort. Disse betalingskort er ikke
111
omfattet af betalingslovens § 121, stk. 3.
Det bemærkes at overtrædelse af hver enkelt af interbankgebyrforordningens bestemmelser
112
kan straffes med bøde. Konkurrence- og Forbrugerstyrelsen kan ligeledes udstede de nød-
113
vendige påbud.
Der foreligger på nuværende tidspunkt kun praksis vedrørende artikel 4 og artikel 8, stk. 6.
Artikel 3-5, loft på interbankgebyrer
Artikel 3-5 regulerer interbankgebyrerne for debet- og kreditkorttransaktioner.
Til gengæld finder artikel 3, stk. 3, ikke anvendelse efter 9. december 2020, hvorfor medlems-
stater ikke længere kan tillade anvendelsen af et vægtet gennemsnit på 0,20 pct. af den gen-
nemsnitlige årlige transaktionsværdi for debetkort for hver betalingskortsystem. Herefter skal
reglerne i artikel 3, stk. 1 og 2 anvendes, jf. nedenfor.
Artikel 4, stk. 1, fastsætter et lignende loft for kreditkorttransaktioner, dog på 0,30 pct. Det er
ikke muligt at modificere dette udgangspunkt.
De to bestemmelser suppleres af artikel 5, der forbyder enhver omgåelse af de to bestemmel-
ser. Dette skal sikre, at der ikke gennem alternative gebyrstrømme opkræves højere gebyrer.
Medlemsstaterne kan fastsætte et lavere procentuelt loft end 0,20 pct., der kan suppleres af et
114 115
loft på et fast beløb . Beregningsmetoden reguleres af artikel 3, stk. 4.
Ifølge artikel 3, stk. 1, må interbankgebyret for debetkorttransaktioner ikke overstige 0,20 pct.
af transaktionens værdi. Betalingstjenesteudbydere kan derfor bestemme størrelsen af inter-
bankgebyret, så længe den ikke overstiger denne tærskel.
Artikel 3 indeholder endvidere bestemmelser, der giver den tilsynsførende myndighed mulig-
hed for at indhente de nødvendige oplysninger for kontrollen af korrekt anvendelse af artikel
3-5.
Praksis
På baggrund af en undersøgelse af interbankgebyrer traf Konkurrence- og Forbrugerstyrelsen
__________________
110
111
112
113
114
115
Jf. interbankgebyrforordningen, art. 2, nr. 10.
Jf. betalingslovens § 152, stk. 3.
Jf. betalingslovens § 145, stk. 2.
Der henvises til afsnittet af Regulering af gebyrer.
Dog aldrig, så summen overstiger de 0,20 pct.
Jf. interbankgebyrforordningen, art. 3, stk. 2, litra a.
ERU, Alm.del - 2021-22 - Bilag 336: Orientering vedr. betalingsrapport 2022, fra erhvervsministeren
2595415_0073.png
SIDE 73
BETALINGSRAPPORT 2022
den 12. marts 2019 afgørelse i medfør af interbankgebyrforordningens artikel 4. Styrelsen på-
bød Danske Bank A/S at ophøre med at tilbyde eller kræve et interbankgebyr per transaktion,
der udgjorde mere end 0,3 pct. af transaktionens værdi for kreditkorttransaktioner. Afgørel-
sen vedrørte primært kort af typen ”Corporate
Mastercards med privat hæftelse”,
der har be-
grænset udbredelse blandt danske kunder. Danske Bank samarbejdede med styrelsen om sa-
gen og oplyste, at pengeinstituttet har gennemført en række tiltag for at sikre efterlevelse af
116
forordningens artikel 4.
Artikel 7, adskillelse af betalingskortordning og behandlingsenhed
Artikel 7, stk. 1, regulerer forholdet mellem betalingskortordninger og behandlingsenheder.
Bestemmelsen opstiller en række krav angående uafhængighed samt et forbud mod diskrimi-
nering og bundling af priser. Formålet med bestemmelsen er at skabe bedre mulighed for kon-
kurrence om behandling af transaktioner med betalingskort inden for de respektive betalings-
kortordninger.
”Enheden” eller ”det beslutningstagende organ”, der har ansvaret for betalingskortordningen,
og den juridiske enhed, der varetager behandling af transaktionerne, skal derfor være adskilt
regnskabsmæssigt, organisatorisk og beslutningsmæssigt.
Den Europæiske Banktilsynsmyndighed (European Banking Authority, EBA) har iht. artikel 7,
stk. 1a, jf. også artikel 7, stk. 6, udarbejdet nærmere tekniske standarder for adskillelsen, som
117
EU-Kommissionen godkendte 4. oktober 2017.
Den kompetente myndighed i medlemsstaten kan afkræve en betalingskortordning en uaf-
118
hængig rapport, der bekræfter overholdelsen af forpligtelserne i artikel 7, stk. 1.
Artikel 7, stk. 3-5, fastsætter også en række krav til de standarder og betingelser, der er til-
knyttet behandling af en ordnings betalingskort:
Restriktionerne kan i princippet både være fastsat i forhold til licensaftaler (fx i forholdet mel-
lem betalingskortordning og kortudsteder/-indløser), i forhold til udstedelse (forholdet mel-
lem kortholder og -udstederen) og i forhold til indløsning (forholdet mellem kortindløseren og
betalingsmodtageren).
Artikel 6, licenser og territoriale restriktioner
Artikel 6 forbyder territoriale restriktioner i licensaftaler eller lignende bestemmelser tilknyt-
tet en betalingskortordning. Det er ikke nærmere defineret i forordningen, hvad territoriale
restriktioner er.
__________________
116
117
Jf. Konkurrence- og Forbrugerstyrelsens afgørelse af 12. marts 2019,
Konkurrence- og Forbrugerstyrelsen påbud til Danske
Bank A/S,
j.nr. 18/10859. Afgørelsen kan læses her: https://www.kfst.dk/afgorelser-ruling/betalingskort/afgoerel-
ser/2019/20190502-konkurrence-og-forbrugerstyrelsens-pabud-til-danske-bank-a-s/.
Jf. interbankgebyrforordningen, artikel 7, stk. 2.
118
Kommissionen foretog dog en række ændringer til EBA’s udkast til tekniske standarder, førend Kommissionen kunne god-
kende disse. Se https://ec.europa.eu/competition/sectors/financial_services/commission_letter_eba_2017_en.pdf. De tekni-
ske standarder forefindes i Kommissionens delegerede forordning (EU) 2018/72 af 4. oktober 2017 om supplerende regler
til Europa-Parlamentets og Rådets forordning (EU) 2015/751.
ERU, Alm.del - 2021-22 - Bilag 336: Orientering vedr. betalingsrapport 2022, fra erhvervsministeren
2595415_0074.png
SIDE 74
BILAG 2 REGLER PÅ BETALINGSOMRÅDET
»
Betalingskortordninger skal give mulighed for at sikre, at godkendelses- og clearingmedde-
lelser i forbindelse med enkeltstående kortbaserede betalingstransaktioner kan adskilles
119
og behandles af forskellige behandlingsenheder,
»
Territorial forskelsbehandling i de bestemmelser om behandling, som betalingskortordnin-
120
ger anvender, er forbudt,
»
Behandlingsenheder i Unionen skal sikre, at deres system er teknisk interoperabelt med
systemer i andre behandlingsenheder i Unionen ved at bruge standarder, som er udviklet af
121
internationale eller europæiske standardiseringsorganer og
»
Betalingskortordninger må ikke vedtage eller anvende forretningsbestemmelser, der be-
122
grænser interoperabiliteten blandt behandlingsenheder i Unionen.
Artikel 8, co-badging og ”frit valg”
Det overordnede formål med artikel 8 er at styrke ”inter-brand”-konkurrencen mellem beta-
lingskortordninger. Navnlig ved, at en særlig ordning ikke skal sikres særlig status via aftaler,
da valget af betalingsapplikation skal ligge hos forbrugeren for at sikre effektiv konkurrence
123
mellem varemærker, dvs. kortmærkerne.
Co-badging
Bestemmelsen finder anvendelse på forholdet mellem aktørerne i firepartsmodellen (beta-
lingskortordning (kortselskab), kortudsteder, kortindløser, betalingsmodtager og betaler
(kortholder).
Disse regler sigter på at skabe mulighed for, at forskellige aktører kan behandle en given kort-
transaktion. Overordnet skal betalingskortordningen sikre, at godkendelses- og clearingsmed-
delelser ikke er låst til én behandlingsenhed, men kan varetages af konkurrerende aktører. Det
fordrer dels, at der ikke er territoriale krav i bestemmelser om behandling, dels at systemet er
teknisk interoperabelt med andre behandlingsenheder i EU.
Bestemmelsen skal ses i sammenhæng med stk. 3-5, hvorefter betalingskortordninger ikke må
forskelsbehandle kortindløsere eller -udstedere i forbindelse med co-badging eller opkræv-
ning af gebyrer, hvis et givent betalingsvaremærke ikke benyttes på et co-badget betalingsin-
strument. En betalingskortordning kan derfor ikke aftale med en specifik udsteder at co-badge
givne kortmærker, uden at andre kortudstedere har samme mulighed. Eventuel forskelsbe-
124
handling skal begrundes objektivt og være ikke-diskriminerende.
Forordningens artikel 8, stk. 1, indeholder et forbud mod, at betalingskortordninger eller li-
censaftaler gør det svært for, eller forhindrer, at en kortudsteder co-badger to eller flere beta-
lingsvaremærker (kortmærker) eller -applikationer på ét kort.
__________________
119
120
121
122
123
124
Jf. interbankgebyrforordningen, artikel 7, stk. 3.
Jf. interbankgebyrforordningen, artikel 7, stk. 4.
Jf. interbankgebyrforordningen, artikel 7, stk. 5, 1. pkt.
Jf. interbankgebyrforordningen, artikel 7, stk. 5, 2. pkt.
Jf. interbankgebyrforordningen, artikel 8, stk. 3.
Jf. præambelbetragtning nr. 40 i interbankgebyrforordningen.
ERU, Alm.del - 2021-22 - Bilag 336: Orientering vedr. betalingsrapport 2022, fra erhvervsministeren
2595415_0075.png
SIDE 75
BETALINGSRAPPORT 2022
En betalingskortordning må endvidere ikke opkræve gebyrer eller lignende med henblik på at
125
begrænse brugen af det konkurrerende betalingsvaremærke på samme betalingskort.
Endelig må ingen aktører i forbindelse med co-badgede betalingskort anvende tekniske foran-
staltninger eller lignende, som tvinger transaktionerne (som styrelsen forstår som den tekni-
ske behandling af disse) gennem en specifik kanal eller behandlingsenhed. Sådanne foranstalt-
126
ninger skal være ikke-diskriminerende. Eksempelvis vil det være diskriminerende at kræve
en række sikkerhedskrav til et givent betalingsvaremærke frem for et andet på et co-badged
betalingskort uden objektivt at kunne begrunde dette.
Frit valg af co-badgede betalingskort
I artikel 8, stk. 2, gives forbrugeren (kortholderen) en øget mulighed for at vælge, hvilke beta-
lingskortvaremærker, forbrugeren ønsker at sammensætte på et givent betalingskort.
Efter ordlyden får forbrugeren mulighed for over for en betalingstjenesteudbyder (kortudste-
der) at kræve, at denne skal udstede et kort med mere end ét betalingsvaremærke på (fx Ma-
stercard, Visa, Diners etc.). Det er imidlertid en betingelse, at forbrugeren er berettiget til et
127
kort med de pågældende mærker, og at udstederen i det hele taget tilbyder co-badging.
Valgfrihed i betalingsøjeblikket
Forordningens artikel 8, stk. 6, vedrører selve betalingsøjeblikket og skal give betaleren (kort-
holderen) øget valgfrihed i forbindelse med brug af et co-badget betalingsinstrument. Ingen
aktører, der er involveret i gennemførelsen af en betalingstransaktion, må hindre eller be-
grænse betalerens mulighed for at vælge det betalingsvaremærke, denne ønsker på et givent
co-badget betalingsinstrument.
Det bemærkes, at ansvaret for dette gælder alle aktører, dvs. terminalleverandører, indløsere,
udstedere, betalingskortordninger og andre udbydere af tekniske tjenester i forbindelse med
betalingstransaktionen.
Betalingsmodtagere har dog muligheden for at installere et prioriteret valg på deres termina-
ler, så terminalen eksempelvis er indstillet til at foreslå Dankort ved brug af Visa/Dankort. Be-
taleren (kortholderen) skal dog altid have mulighed for at ændre denne prioritering.
I forbindelse med brug af et co-badget betalingsinstrument såsom Visa/Dankort kan bestem-
melsen om frit valg af betalingsvaremærke - i kraft af den øgede valgfrihed – bidrage til en
mere effektiv konkurrence mellem forskellige betalingskort.
Det bemærkes, at bestemmelsen ikke regulerer, hvorvidt der må kræves betaling for udvikling
af disse løsninger, jf. dog stk. 4, hvor det fremgår, at der ikke må opkræves ”strafgebyrer”, hvis
der anvendes en anden betalingskortordning end den ønskede.
__________________
125
126
127
Jf. interbankgebyrforordningen, artikel 8, stk. 4.
Jf. interbankgebyrforordningen, artikel 8, stk. 5.
DA:”[…]
forudsat at betalingstjenesteudbyderen tilbyder en sådan tjeneste.”
EN:”[…]
provided that such a service is offered by the payment service provider.”
ERU, Alm.del - 2021-22 - Bilag 336: Orientering vedr. betalingsrapport 2022, fra erhvervsministeren
2595415_0076.png
SIDE 76
BILAG 2 REGLER PÅ BETALINGSOMRÅDET
Konkurrence- og Forbrugerstyrelsen har truffet afgørelse i en række sager vedrørende mang-
lende mulighed for ”frit valg” af betalingsvaremærke. De pågældende sager har vedrørt beta-
lingsmodtageren og har blandt andet vedrørt Coop Danmark A/S, der ikke gav betalere mulig-
hed for i fysisk handel frit at vælge mellem VISA-siden og Dankortsiden på deres VISA/Dan-
128
kort, når de betalte. Styrelsen har truffet lignende afgørelse over for Dagrofa ApS, og PayEx
Danmark A/S.
Praksis
Konkurrence- og Forbrugerstyrelsen har på nuværende tidspunkt alene truffet afgørelse om
overtrædelse af forordningens artikel 8, stk. 6.
Endvidere har Konkurrence- og Forbrugerstyrelsen truffet afgørelse over for Coop Danmark
A/S, og påbudt at det skal sikres, at betaleren frit kan vælge betalingsvaremærke og/eller be-
talingsapplikation. Dette påbud vedrørte betalingsfunktionen i Coops medlemsapp, hvor funk-
129
tionaliteten ikke efterlevede forordningens artikel 8, stk. 6.
Artikel 9, forbud mod blandede priser
Udgangspunktet efter artikel 9, stk. 1, skal indløsere tilbyde individuelt specificerede priser
130
for forskelige kategorier af betalingskort og -varemærker til forretningerne. Formålet er
samlet set at skabe gennemsigtighed i prisstrukturen og derved gøre det nemmere for forret-
ningen at vurdere hvilke betalingskort, der er mest attraktive.
Forretningen skal ud fra indløserens prissætning kunne se, hvilke betalingskort der er dyre,
og hvilke der er billige. Forpligtelsen omfatter differentierede gebyrer på tværs af betalings-
kortvaremærker, samt forskellige kategorier. Dertil kommer, at indløseren skal oplyse om in-
131
terbankgebyrer og ordningsgebyrer for de forskellige betalingskort.
Det er forsat muligt for forretningen at anmode om såkaldt ”blandede gebyrer”, dvs. ens geby-
132
rer for forskellige kategorier af betalingskort og for forskellige betalingskortvaremærker.
__________________
128
129
130
131
132
Jf. Konkurrence- og Forbrugerstyrelsens afgørelse af 24. januar 2019,
Konkurrence- og Forbrugerstyrelsens påbud til Coop
Danmark A/S,
j.nr. 18/08129-34. Afgørelsen kan læses her; https://www.kfst.dk/afgorelser-ruling/betalingskort/afgoerel-
ser/2019/20190221-konkurrence-og-forbrugerstyrelsens-pabud-til-coop-danmark-a-s/.
Jf. interbankgebyrforordningen, artikel 9, stk. 1.
Jf. interbankgebyrforordningen, artikel 9, stk. 2.
Jf. interbankgebyrforordningen, artikel 9, stk. 1, sidste led, og stk. 2, sidste led.
Jf. Konkurrence- og Forbrugerstyrelsens afgørelse af 5. april 2018,
Konkurrence- og Forbrugerstyrelsens påbud til Coop Dan-
mark A/S,
j.nr. 18/08129-5. Afgørelsen kan læses her: https://www.kfst.dk/afgorelser-ruling/betalingskort/afgoerel-
ser/2018/20180405-pabud-til-coop-danmark-a-s/.
ERU, Alm.del - 2021-22 - Bilag 336: Orientering vedr. betalingsrapport 2022, fra erhvervsministeren
2595415_0077.png
SIDE 77
BETALINGSRAPPORT 2022
Artikel 10, ”Honour all cards”-rule
Forordningens artikel 10 vedrører forretningens valg eller fravalg af visse betalingskort. For-
målet er, at forretningen får muligheden for kun at modtage de betalingskort, som forretnin-
gen ønsker, uden at indløseren eller betalingskortordningen påtvinger forretningen andre
kort.
Den historiske baggrund for artikel 10, er de såkaldte ”honour
all cards”-regler.
Dette var afta-
levilkår, hvor betalingskortordninger krævede, at en forretning, hvis den blot ønskede at mod-
tage ét af ordningens betalingskort, skulle modtage alle ordningens betalingskort, modsat reg-
len i artikel 10.
Artikel 10, stk. 2 undtagelsesbestemmelse for så vidt angår samme kategori af betalingskort
inden for en given ordning, der er omfattet af samme interbankgebyrloft.
Ifølge artikel 10, stk. 4, skal det være muligt for forbrugeren at få et hurtigt overblik over,
hvilke betalingskort forretningen modtager.
Udstedere skal ifølge artikel 10, stk. 5, sikre, at betalingskort kan identificeres elektronisk og
visuelt, så det kan fastslås, hvilken kategori de tilhører. Den elektroniske identificering kan
133
f.eks. tilknyttes kortets BIN-nummer eller kortets EMV-chip.
Formålet er, at en betalingsmodtager får mulighed for at tilbyde rabatter eller benytte andre
redskaber for at tilskynde forbrugeren til at bruge betalingskort, som betalingsmodtageren
anser mest hensigtsmæssige.
Bekendtgørelser
Artikel 11, styring af forbrugere mod udvalgte betalingskort
Slutteligt forbyder forordningens artikel 11 bestemmelser, der hindrer betalingsmodtageren i
at styre forbrugeren (betaleren) mod de betalingskort, betalingsmodtageren måtte ønske.
Ændringer
Bekendtgørelse om interbankgebyrer for indenlandske forbrugerrelaterede debetkorttransaktio-
ner
Konkurrence- og Forbrugerstyrelsen førte tilsyn med bekendtgørelse om interbankgebyrer
for indenlandske forbrugerrelaterede debetkorttransaktioner, der var udstedt i medfør af be-
talingslovens dagældende §§ 122, stk. 2 (nu stk. 3) og 152, stk. 7.
Bekendtgørelsen fastsatte, at betalingstjenesteudbydere i forbindelse med forbrugerrelate-
rede debetkorttransaktioner ikke måtte tilbyde eller kræve et interbankgebyr pr. transaktion,
__________________
133
Der er udstedt en række bekendtgørelser i medfør af betalingsloven, der supplerer både beta-
lingsloven og den øvrige regulering. I det følgende redegøres først for ændringer i disse regler
og dernæst for reglernes indhold i øvrigt.
Se evt. https://www.e-csg.eu/scs-volume-v8.
ERU, Alm.del - 2021-22 - Bilag 336: Orientering vedr. betalingsrapport 2022, fra erhvervsministeren
2595415_0078.png
SIDE 78
BILAG 2 REGLER PÅ BETALINGSOMRÅDET
som udgjorde mere end 0,20 pct. af transaktionens værdi. Dette kunne dog være et vægtet
135
gennemsnit beregnet på årsbasis.
134
136
Bekendtgørelse ophævedes automatisk 9. december 2020, hvorfor forholdene nu reguleres
af interbankgebyrforordningens artikel 3.
Bekendtgørelsen fastsætter, at alle indløsere har pligt til på en tydelig måde at offentliggøre
deres maksimale gebyrer, som de pålægger betalingsmodtagere, i forbindelse med betalings-
transaktioner.
Bekendtgørelse om offentliggørelse af maksimale gebyrer for betalingsmodtagere i fy-
sisk handel
Erhvervsministeren kan i medfør af betalingslovens § 123, stk. 5, 2. pkt., fastsætte supple-
rende regler for betalingsinstrumenter omfattet af § 123, stk. 1. Bemyndigelsen er udnyttet
ved udstedelse af bekendtgørelse om offentliggørelse af maksimale gebyrer for betalingsmod-
137
tagere i fysisk handel .
Bestemmelsen omfatter alle betalingskort, både debet- og kreditkort, der kan bruges hos beta-
lingsmodtagere i den fysiske handel.
Bekendtgørelsen fastsætter i § 3, at betalingsmodtageren kun må opkræve gebyrer fra betale-
ren, hvis betalingsmodtageren i forbindelse med transaktionens gennemførelse
med sikkerhed
kan fastslå, at transaktionen ikke er omfattet af betalingslovens § 121, stk. 3.
Bestemmelsen fastsætter endvidere, at indløsere skal offentliggøre det maksimale gebyr for
hver enkelt type betalingsinstrument, de indløser. Opkræver de samme maksimalgebyr for
forskellige betalingskort, er det tilstrækkeligt at offentliggøre én gebyrsats. Det skal dog angi-
ves, hvilke betalingskort det gælder for. Hvis en indløser opkræver forskellige maksimalgeby-
rer for forskellige betalingskort, fx danske og udenlandske, skal hvert af disse gebyrer offent-
138
liggøres.
__________________
134
135
136
137
Jf. bekendtgørelsens § 3, stk. 1.
Jf. bekendtgørelsens § 6, stk. 1.
Jf. bekendtgørelsens § 2.
Jf. bekendtgørelsens § 3, stk. 2-3.
138
Bekendtgørelse nr. 1364 af 1. december 2017 om offentliggørelse af maksimale gebyrer for betalingsmodtagere i fysisk han-
del.