Transportudvalget 2020-21
TRU Alm.del
Offentligt
2394232_0001.png
-- AKT 730242 -- BILAG 2 -- [ 04-05-2020 - Sammenfatning af analysen - Undersøgelse af finansiering og organisering af Lynetteholme ] --
FORTROLIGT
Undersøgelse af
finansiering og organisering
af Lynetteholmen
Sammenfatning af analysen
4. maj 2020
,
==
..
-
-
-
-
.
-
J
'
r·--
"
....,..:.._
-
TRU, Alm.del - 2020-21 - Endeligt svar på spørgsmål 454: Spm. om ministeren, på baggrund af besvarelsen af TRU alm. del – spørgsmål 342, vil redegøre for, om hemmeligstemplingen af Ernst & Youngs rapport om finansiering og organisering af Lynetteholm er i strid med miljøoplysningsloven, til transportministeren
2394232_0002.png
4. maj 2020
FORTROLIGT
Transport- og Boligministeriet
Frederiksholms Kanal 27 F
1220 København K
Undersøgelse af finansiering og organisering af Lynetteholmen
4. maj 2020
Transport- og Boligministeriet (TRM) har bedt Ernst & Young P/S (EY), Incentive Denmark ApS (Incentive),
Kammeradvokaten/Advokatfirmaet Poul Schmith (Kammeradvokaten) og MOE A/S (MOE) om at estimere det størst mulige
realistiske finansieringsbidrag fra arealudvikling på Lynetteholmen og de tilstødende områder.
Nærværende præsentation sammenfatter metode og resultater af denne undersøgelse på et overordnet niveau.
Ernst & Young P/S
Torben Hartz, Partner
+45 25293485
[email protected]
Jonas Jensen, Manager
+45 25293255
[email protected]
Præsentationen er er supplement til hovedrapporten
Undersøgelse af finansiering og organisering af Lynetteholmen.
Nærværende præsentation og hovedrapporten suppleres desuden af en række appendikser og en beregningsmodel.
Arbejdet er gennemført i perioden fra august 2019 til april 2020. Arbejdet er gennemført i nært samarbejde med en
styregruppe bestående af deltagere fra hhv. TRM, Københavns Kommune og Finansministeriet. By og Havn A/S har desuden
deltaget i arbejdet i form af input og kommentering.
Denne præsentation er en sammenfatning af hovedrapporten
Undersøgelse af finansiering og organisering af Lynetteholmen.
For yderligere detaljer om projektet henvises således til denne. Ved afvigelser mellem hovedrapporten og nærværende
præsentation har hovedrapporten fortrin.
Undersøgelse af finansiering og organisering af Lynetteholmen: Sammenfatning af analysen |
Side 2 of 19
TRU, Alm.del - 2020-21 - Endeligt svar på spørgsmål 454: Spm. om ministeren, på baggrund af besvarelsen af TRU alm. del – spørgsmål 342, vil redegøre for, om hemmeligstemplingen af Ernst & Youngs rapport om finansiering og organisering af Lynetteholm er i strid med miljøoplysningsloven, til transportministeren
2394232_0003.png
4. maj 2020
FORTROLIGT
1 Baggrund, formål og ...
2 Analyseramme
3 Organisationsmodeller
4 Analysens resultater
Indhold
Indholdsfortegnelse
Baggrund, formål Analyseramme
og konklusioner
1
Baggrund for opgaveløsning, formål og
konklusioner
Side 4
Organisationsmo Analysens
deller
resultater
3
Finansieringsbidraget drives af en række
pengestrømme, som afhænger af den valgte ...
Side 11
2
Vi beskriver på et overordnet niveau den metode,
vi har anvendt til at vurdere finansieringsbidra ...
Side 8
4
Overordnet gennemgang af analysens resultater
og følsomhedsanalyser
Side 14
Undersøgelse af finansiering og organisering af Lynetteholmen: Sammenfatning af analysen |
Side 3 of 19
TRU, Alm.del - 2020-21 - Endeligt svar på spørgsmål 454: Spm. om ministeren, på baggrund af besvarelsen af TRU alm. del – spørgsmål 342, vil redegøre for, om hemmeligstemplingen af Ernst & Youngs rapport om finansiering og organisering af Lynetteholm er i strid med miljøoplysningsloven, til transportministeren
2394232_0004.png
4. maj 2020
FORTROLIGT
1
Baggrund, formål og konklusioner
.
.
..
Baggrund for opgaveløsning, formål og konklusioner
Undersøgelse af finansiering og organisering af Lynetteholmen: Sammenfatning af analysen |
Side 4 of 19
TRU, Alm.del - 2020-21 - Endeligt svar på spørgsmål 454: Spm. om ministeren, på baggrund af besvarelsen af TRU alm. del – spørgsmål 342, vil redegøre for, om hemmeligstemplingen af Ernst & Youngs rapport om finansiering og organisering af Lynetteholm er i strid med miljøoplysningsloven, til transportministeren
2394232_0005.png
4. maj 2020
FORTROLIGT
1 Baggrund, formål og ...
2 Analyseramme
3 Organisationsmodeller
4 Analysens resultater
1 Baggrund, formål og konklusioner
Lynetteholmen skal understøtte fortsat vækst i hovedstaden
Etablering af Lynetteholmen medfører lavere boligprisstigning,
klimasikring af de indre dele af København og bidrag til finansiering af
infrastruktur
Analysens formål er at belyse det størst mulige realistiske
finansieringsbidrag, og hvordan dette kan realiseres
På denne baggrund skal følgende problemstillinger belyses:
1. Hvad er det størst mulige realistiske finansieringsbidrag fra arealudvikling på
Nordøstamager til etablering af den nødvendige infrastruktur?
2. Under hvilke organisatoriske rammer opnås dette bidrag?
Behovet for nye boliger og arbejdspladser i København er stigende og drevet af
en kombination af befolkningstilvækst og økonomisk vækst. Denne fortsatte
vækst kræver, at der er arealer tilgængelige for byudvikling.
Etablering af en ny ø i Københavns Østhavn, Lynetteholmen, har en række
egenskaber, som understøtter dette:
COVID-19 udbrud i Danmark
Analysearbejdet, der præsenteres i denne rapport, er afsluttet inden COVID-19-
udbruddet i Danmark.
Udbruddet vurderes primært at påvirke resultaterne, hvis det påvirker det
langsigtede velstandsniveau i Danmark.
Det kan føre til en mere moderat udvikling i boligpriserne
særligt på kort og
mellemlang sigt
og dermed potentielt påvirke finansieringsbidraget i
nedadgående retning. Omvendt bemærkes det dog også, at analysen dækker over
en meget lang tidsperiode, hvorfor kortvarige negative økonomiske effekter f.eks.
på huspriserne, ikke nødvendigvis vil have større effekt på analysens resultater og
konklusioner.
Øger boligudbud og reducerer boligprisstigninger.
Sikrer modtagelse af overskudsjord fra København.
Reducerer omkostninger til klimasikring.
Er et grundlag for en ny metro og Østlig Ringvej, som både betjener de nye
byområder og aflaster trafik i havneafsnittet og de centrale københavnske
bydele.
Der skal etableres et udviklingsselskab, som skal understøtte
udvikling af Lynetteholmen
Det er med principaftalen den 5. oktober 2018 (Principaftalen) mellem den
daværende regering og Københavns overborgmester besluttet, at der skal
etableres et Lynetteholmen I/S (LIS), som skal stå for udvikling af
Lynetteholmen.
Lynetteholmen kræver investeringer i infrastruktur og i udvikling af området.
Dette omfatter blandt andet en Østlig Ringvej og en ny metro. Det er en del af
grundlaget for Principaftalen, at denne infrastruktur kan finansieres af egne
indtægter, dvs. indtægter fra grundsalg, jorddeponi, brugerbetaling m.v.
For offentlige grundejere fremgår det, at Københavns Kommune og By & Havn
indskyder deres arealer på Refshaleøen og Kløverparken samt
tilbagekøbsrettigheder på Kløverparken som startkapital i LIS.
For private grundejere fremgår det, at der skal findes løsninger til, hvordan disse
grundejere kan inddrages, eksempelvis igennem kontant indskud eller i en
partnerskabsstruktur.
Kilde for illustration: lynetteholmen.com
Undersøgelse af finansiering og organisering af Lynetteholmen: Sammenfatning af analysen |
Side 5 of 19
TRU, Alm.del - 2020-21 - Endeligt svar på spørgsmål 454: Spm. om ministeren, på baggrund af besvarelsen af TRU alm. del – spørgsmål 342, vil redegøre for, om hemmeligstemplingen af Ernst & Youngs rapport om finansiering og organisering af Lynetteholm er i strid med miljøoplysningsloven, til transportministeren
2394232_0006.png
4. maj 2020
FORTROLIGT
1 Baggrund, formål og ...
2 Analyseramme
3 Organisationsmodeller
4 Analysens resultater
1 Baggrund, formål og konklusioner
Kort om Lynetteholmen-projektet
Lynetteholmen dækker et areal på 2,8 mio. m
2
, hvilket er på størrelse
med det samlede areal af Nordhavn
Etableringen og udviklingen af Lynetteholmen er det største enkeltstående
byudviklingsprojekt i København siden udviklingen af Christianshavn.
Selve Lynetteholmen kommer til at dække et areal på ca. 2,8 mio. m
2
med en
rummelighed på ca. 2,8 mio. m
2
byggeretter inkl. parkering. Derudover udvikles
de omkringliggende områder, herunder Refshaleøen, som tilsammen udgør et
areal på ca. 1,6 mio. m
2
. I alt udgør analysens arealer ca. 4,4 mio. m
2
og en
samlet rummelighed på ca. 5,1 mio. m
2
.
Til sammenligning forventes Nordhavn at have en rummelighed på 2,9 mio. m
2
,
Sydhavn en samlet rummelighed på 1,4 mio. m
2
og Ørestad (ekskl. Bella
Kvarter) en samlet rummelighed på 3,1 mio. m
2.
Områder dækket af analysen
Område A: Lynetteholmen
Ejet af Lynetteholmen I/S
Areal ca. 2,8 mio. m
2
Område B: Refshaleøen
Ejet af REDA, By & Havn og BIOFOS
Areal ca. 1,1 mio. m
2
Rummelighed af andre byudviklingsprojekter, m²
2,9
1,4
3,1
5,1
2,3
Område C: Quintus
1
Ejet af Københavns Kommune og
By & Havn
Areal ca. 0,1 mio. m
2
2,8
Sydhavnen
Nordhavnen
Ørestad
Lynetteholmen og
omkringliggende
områder
Område D: Kløverparken
2
Ejet af Skanska, Københavns Kommune,
By & Havn, HOFOR m.fl.
Areal ca. 0,4 mio. m
2
Lynetteholmen er et væsentligt udviklingsområde i KK’s
udbygningsplaner frem til 2075
3,4
3,7
5,1
2,3
2,8
Lynetteholmen og
20,0
7,8
Note 1: Det samlede areal af områderne på Quintus er ca. 0,3 mio. m
2
, men grundet den potentielle transportkorridor og placeringen
af Amagerforbrændingen på området, vurderes ca. 0,1 mio. m
2
at kunne bebygges.
Andre
Udenfor
Ikke planlagte
områder
Total udbygning
i København
frem til 2075
Note 2: Arealer på ca. 65.000 m
2
ejer af Raffinaderivej 10 A/S’ og HOFORs indgår ikke i analysen.
omkringliggende byudviklingsområderbyudviklingsområder
områder
Undersøgelse af finansiering og organisering af Lynetteholmen: Sammenfatning af analysen |
Side 6 of 19
TRU, Alm.del - 2020-21 - Endeligt svar på spørgsmål 454: Spm. om ministeren, på baggrund af besvarelsen af TRU alm. del – spørgsmål 342, vil redegøre for, om hemmeligstemplingen af Ernst & Youngs rapport om finansiering og organisering af Lynetteholm er i strid med miljøoplysningsloven, til transportministeren
2394232_0007.png
4. maj 2020
FORTROLIGT
1 Baggrund, formål og ...
2 Analyseramme
3 Organisationsmodeller
4 Analysens resultater
1 Baggrund, formål og konklusioner
Konklusioner
Spørgsmål 1: Hvad er det størst mulige realistiske
finansieringsbidrag?
Vi har undersøgt tre organisationsmodeller (1-3), jf. figuren til højre.
Analysens hovedresultater
I en situation med rentenormalisering estimeres finansieringsbidraget til
DKK 17,4 mia. i de tre undersøgte organisationsmodeller.
I en situation uden renteændringer estimeres finansieringsbidraget til DKK 22,9
mia. i de tre undersøgte organisationsmodeller.
Finansieringsbidrag
(DKK mia.)
Rentenormalisering
Uændrede renter
Finansieringsbidraget er risikojusteret og vil derfor være ens på tværs af de tre
organisationsmodeller.
I en situation, hvor LIS tager en større risiko ved eksempelvis at råde over flere
byggeretter, vil den samlede potentielle indtjening for LIS øges. LIS’
risikoeksponering øges dog ligeledes.
Organisationsmodel 1
REDA betaler et frivilligt bidrag til LIS på
Scenarie 1a
17,4
Scenarie 1b
22,9
Spørgsmål 2: Under hvilke organisatoriske rammer opnås dette
bidrag?
Vi har i samarbejde med projektets styregruppe udvalgt tre realistiske
organisationsmodeller for LIS jf. figuren til højre. Organisationsmodellerne adskiller
sig hovedsageligt ved, hvordan LIS samarbejder med REDA.
Organisationsmodel 2
LIS køber REDAs arealer på
Scenarie 2a
17,4
Scenarie 2b
22,9
Organisationsmodel 3
LIS og REDA samarbejder om REDAs
arealer på Refshaleøen. Som for
Scenarie 3a
17,4
Scenarie 3b
22,9
Undersøgelse af finansiering og organisering af Lynetteholmen: Sammenfatning af analysen |
Side 7 of 19
TRU, Alm.del - 2020-21 - Endeligt svar på spørgsmål 454: Spm. om ministeren, på baggrund af besvarelsen af TRU alm. del – spørgsmål 342, vil redegøre for, om hemmeligstemplingen af Ernst & Youngs rapport om finansiering og organisering af Lynetteholm er i strid med miljøoplysningsloven, til transportministeren
2394232_0008.png
4. maj 2020
FORTROLIGT
2
Analyseramme
.
.
..
Vi beskriver på et overordnet niveau den metode, vi har
anvendt til at vurdere finansieringsbidraget fra LIS
Undersøgelse af finansiering og organisering af Lynetteholmen: Sammenfatning af analysen |
Side 8 of 19
TRU, Alm.del - 2020-21 - Endeligt svar på spørgsmål 454: Spm. om ministeren, på baggrund af besvarelsen af TRU alm. del – spørgsmål 342, vil redegøre for, om hemmeligstemplingen af Ernst & Youngs rapport om finansiering og organisering af Lynetteholm er i strid med miljøoplysningsloven, til transportministeren
2394232_0009.png
4. maj 2020
FORTROLIGT
1 Baggrund, formål og ...
2 Analyseramme
3 Organisationsmodeller
4 Analysens resultater
2 Analyseramme
Metode til vurdering af finansieringsbidrag af LIS
Risiko estimeres baseret på markedsrisiko
Finansieringsbidraget fra LIS er risikojusteret, idet finansieringsbidraget er udregnet
med hensyntagen til LIS’ særlige risikoprofil, som er karakteriseret af to centrale
aktiviteter:
Diskontering med to diskonteringsrenter
Den valgte tilgang medfører, at pengestrømme, som genereres i
lavrisikoaktiviteter, tilbagediskonteres med en lav diskonteringsrente
(diskonteringsrente 1) i den periode, aktiviteten er i denne kategori.
Når der tages beslutning om at udvikle et område eksempelvis i en
partnerskabsstruktur, anvendes derimod en højere diskonteringsrente
(diskonteringsrente 2). Denne diskonteringsrente anvendes dog kun for selve
udviklingsperioden, dvs. den periode, hvor LIS er engageret i dette partnerskab.
Resultatet af denne tilgang er, at finansieringsbidraget er risikovægtet og
således vil være det samme, uagtet om LIS tager en mindre risiko ved at sælge
byggeretter eller en større risiko ved selv at udvikle områderne.
Med andre ord antages det, at LIS kan sælge byggeretterne til en markedspris,
som svarer til den forventede værdi af at udvikle og sælge ejendommene selv.
Aktiviteter med lav risiko, eksempelvis modtagelse af overskudsjord og salg af
byggeretter
Aktiviteter med højere risiko, eksempelvis ejendomsudvikling.
Denne risikoprofil er håndteret ved at anvende to diskonteringsrenter, som
illustreret i figuren nedenfor.
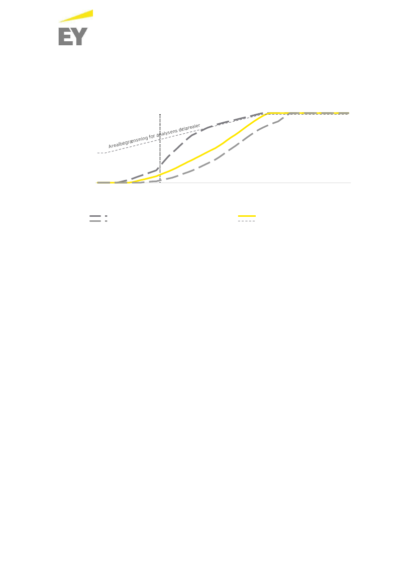
Illustration af principper for diskontering
Beslutning om at sælge byggeretter tages
Diskonteringsrente 1
Delområde A
Beslutning om at udvikle i partnerskab tages
Diskonteringsrente 1
Delområde B
Diskonteringsrente 2
Salg af byggeretter
Udvikling og salg af nøglefærdige ejendomme
Undersøgelse af finansiering og organisering af Lynetteholmen: Sammenfatning af analysen |
Side 9 of 19
TRU, Alm.del - 2020-21 - Endeligt svar på spørgsmål 454: Spm. om ministeren, på baggrund af besvarelsen af TRU alm. del – spørgsmål 342, vil redegøre for, om hemmeligstemplingen af Ernst & Youngs rapport om finansiering og organisering af Lynetteholm er i strid med miljøoplysningsloven, til transportministeren
2394232_0010.png
4. maj 2020
FORTROLIGT
1 Baggrund, formål og ...
2 Analyseramme
3 Organisationsmodeller
4 Analysens resultater
2 Analyseramme
Metode til vurdering af boligprisudvikling
Baggrund og formål
Udbud af nye boliger
Årlig udvikling m
2
500.000
400.000
300.000
200.000
100.000
0
Udvikling i ejendomsmarkedet er den vigtigste enkeltfaktor for
finansieringsbidraget fra LIS.
Vi har på denne baggrund udarbejdet en model for udvikling af boligprisern e,
der tager højde for boligudbud og -efterspørgsel i København.
Model for boligpriserne 2020-2075
Vi har lavet en model, som sikrer en konsistent sammenhæng mellem
efterspørgslen efter ejerboliger, udbuddet af ejerboliger og prisen på ejerboliger
ud fra en simpel logik om, at prisen sikrer, at udbud og efterspørgsel mødes.
Vi tager højde for, at boligpriserne i dag muligvis er højere end deres
langsigtede niveau.
Da fremskrivninger over mange år er behæftede med stor usikkerhed, opererer
vi med to modeller for udviklingen af boligpriser.
800
Lynetteholmen og omkringliggende områder
Andre byudviklingsområder
Uden for byudviklingsområderne
Ikke definerede arealer
Efterspørgsel efter boliger
600
400
200
0
To modeller for den fremtidige udvikling i boligpriser
2019
2021
2023
2025
2027
2029
2031
2033
2035
2037
2039
2041
2043
2045
2047
2049
2051
2053
2055
2057
2059
2061
2063
2065
2067
2069
2071
2073
Modellerne adskiller sig ved, at vi i model A forudsætter, at renten gradvist stiger
i henhold til Finansministeriets prognose, så realrenten på et 30-årigt boliglån i
2040 udgør 3,6%, mens vi i model B forudsætter, at renten forbliver på det
nuværende lave niveau.
I model A, hvor realrenten stiger frem til 2040, stiger boligpriserne med 2,1% i
hele perioden frem til 2075.
I model B, hvor realrenten ikke stiger, stiger boligpriserne med 2,4% i hele
perioden frem til 2075.
Befolkningseffekt (ingen indkomststigning)
Befolkningseffekt, indkomststigning
Indkomsteffekt
Resultater
Boligprismodel
År
Model A: Basis boligprisudvikling
med rentenormalisering
Model B: Basis boligprisudvikling
med uændrede renter
2020-2030
1,0%
Gennemsnitlig årlig vækst
2031-2040
1,3%
2041-2075
2,6%
Hele perioden
2,1%
1,7%
2,2%
2,6%
2,4%
Undersøgelse af finansiering og organisering af Lynetteholmen: Sammenfatning af analysen |
Side 10 of 19
2075
I begge modeller forudsættes udbygningen af boligmassen at ske i takt med
KK’s planer/forventninger.
1.000 m2
TRU, Alm.del - 2020-21 - Endeligt svar på spørgsmål 454: Spm. om ministeren, på baggrund af besvarelsen af TRU alm. del – spørgsmål 342, vil redegøre for, om hemmeligstemplingen af Ernst & Youngs rapport om finansiering og organisering af Lynetteholm er i strid med miljøoplysningsloven, til transportministeren
2394232_0011.png
4. maj 2020
FORTROLIGT
3
Organisationsmodeller
.
.
..
Finansieringsbidraget drives af en række pengestrømme,
som afhænger af den valgte organisationsmodel
Undersøgelse af finansiering og organisering af Lynetteholmen: Sammenfatning af analysen |
Side 11 of 19
TRU, Alm.del - 2020-21 - Endeligt svar på spørgsmål 454: Spm. om ministeren, på baggrund af besvarelsen af TRU alm. del – spørgsmål 342, vil redegøre for, om hemmeligstemplingen af Ernst & Youngs rapport om finansiering og organisering af Lynetteholm er i strid med miljøoplysningsloven, til transportministeren
2394232_0012.png
4. maj 2020
FORTROLIGT
1 Baggrund, formål og ...
2 Analyseramme
3 Organisationsmodeller
4 Analysens resultater
3 Organisationsmodeller
Organisationsmodeller
Tre organisationsmodeller og to ydermodeller
Organisationsmodel 1: REDA betaler frivilligt bidrag
I organisationsmodel 1
modtager LIS et frivilligt
bidrag fra REDA
By & Havn
Staten
Frivilligt bidrag
Vi har afdækket tre organisationsmodeller og to
ydermodeller, som hovedsageligt adskiller sig ved
graden af samarbejde med den største grundejer,
REDA.
Finansieringsbidrag til
infrastruktur
Lynetteholmen I/S
REDA
100%
Fælles for de tre organisationsmodeller
LIS står direkte for aktiviteterne jorddeponi og spuns,
salg af byggeretter samt opførelsen og driften af
parkeringsfaciliteter.
LIS udvikler og sælger nøglefærdige ejendomme samt
udvikler, udlejer og efterfølgende sælger ejendomme i
en partnerskabsstruktur med private aktører.
Aktiviteter varetaget af LIS
1. Jorddeponi og spuns
2. Salg af byggeretter
5. Parkering
Aktiviteter i partnerskabsstruktur
3. Udvikling og salg af nøglefærdige
ejendomme
4. Udvikling, udlejning og
efterfølgende salg af ejendomme
REDA udvikler selv
arealer på
Refshaleøen
Organisationsmodel 2: LIS køber REDAs arealer på Refshaleøen
LIS køber
I organisationsmodel 2
køber LIS REDAs arealer
på ca. 0,5 mio. m² på
Refshaleøen. I denne
model bibeholdes
ejerskabet for LIS, men
de arealer, LIS udvikler,
By & Havn
Staten
REDAs arealer
Finansieringsbidrag til
infrastruktur
Lynetteholmen I/S
REDA
0%
Ydermodeller
Ydermodel 1 - Kun salg af byggeretter:
ekspanderes.
Aktiviteter varetaget af LIS
1. Jorddeponi og spuns
2. Salg af byggeretter
5. Parkering
Aktiviteter i partnerskabsstruktur
3. Udvikling og salg af nøglefærdige ejendomme
4. Udvikling, udlejning og efterfølgende salg af
ejendomme
herved ikke gennemføre andre kommercielle
Organisationsmodel 3: LIS og REDA samarbejder om REDAs arealer
I organisationsmodel 3
samarbejder LIS og
REDA om REDAs arealer
frivilligt bidrag svarende til organisationsmodel 1.
Denne ydermodel repræsenterer en situation, hvor LIS
minimerer developerrisikoen.
Ydermodel 2
Kun udvikling af ejendomme:
By & Havn
Staten
LIS og REDA
samarbejder
I denne model vil
LIS selv udvikle
alle arealer
salg af
g
ejendo
Undersøgelse af finansiering
nøglefærdi
af Lynetteholmen: Sammenfatning af analysen |
Side
mme
19
og organisering
12 of
og
som hhv.
e
TRU, Alm.del - 2020-21 - Endeligt svar på spørgsmål 454: Spm. om ministeren, på baggrund af besvarelsen af TRU alm. del – spørgsmål 342, vil redegøre for, om hemmeligstemplingen af Ernst & Youngs rapport om finansiering og organisering af Lynetteholm er i strid med miljøoplysningsloven, til transportministeren
2394232_0013.png
udlejning med efterfølgende salg. Denne ydermodel
repræsenterer
4. maj 2020
en situation, hvor LIS tager en høj developerrisiko.
på Refshaleøen. I denne
model kan REDA indgå i
dele af LIS’ aktiviteter i en
partnerskabsstruktur.
Finansieringsbidrag til
infrastruktur
Lynetteholmen I/S
50%
REDA
FORTROLIGT
50%
Aktiviteter i partnerskabsstruktur
3. Udvikling og salg af nøglefærdige
ejendomme
4. Udvikling, udlejning og
efterfølgende salg af ejendomme
Aktiviteter med REDA
3. Udvikling og salg af nøglefærdige
ejendomme
4. Udvikling, udlejning og
efterfølgende salg af ejendomme
Aktiviteter varetaget af LIS
1. Jorddeponi og spuns
2. Salg af byggeretter
5. Parkering
Undersøgelse af finansiering og organisering af Lynetteholmen: Sammenfatning af analysen |
Side 13 of 19
TRU, Alm.del - 2020-21 - Endeligt svar på spørgsmål 454: Spm. om ministeren, på baggrund af besvarelsen af TRU alm. del – spørgsmål 342, vil redegøre for, om hemmeligstemplingen af Ernst & Youngs rapport om finansiering og organisering af Lynetteholm er i strid med miljøoplysningsloven, til transportministeren
2394232_0014.png
4. maj 2020
FORTROLIGT
1 Baggrund, formål og ...
2 Analyseramme
3 Organisationsmodeller
4 Analysens resultater
3 Organisationsmodeller
Pengestrømme og partnerskabsstruktur
LIS vil generere pengestrømme fra en række aktiviteter forbundet med
byudvikling af Lynetteholmen og de omkringliggende områder
Udvikling i partnerskab med ekstern, privat aktør
En række af aktiviteter indgår direkte i LIS’ kerneaktiviteter, herunder jorddeponi
og spuns, salg af byggeretter, parkering og evt. indtægter fra tilbageførsel af
ejendomsskatter.
Derudover vil LIS udvikle og sælge ejendomme i samarbejde med private
aktører i en partnerskabsstruktur.
Sidst er der mulighed for, at LIS kan modtage frivillige bidrag fra grundejere, der
opnår fordel ved den nye infrastruktur.
Udviklingsaktiviteter sker i en partnerskabsstruktur, hvor LIS samarbejder med
en privat aktør på projekt-til-projekt-basis. Eksempelvis kan LIS indgå et
partnerskab om udvikling, udlejning og salg af en ejendom på eksempelvis
100.000 m
2
, som i eksemplet nedenfor.
Det antages, at alt ejendomsudvikling foretages i en lignende
partnerskabsstruktur, fx i et P/S, hvor LIS ejer 50% og en ekstern, privat aktør
ejer 50%.
Dette gælder både udvikling og salg af nøglefærdige ejendomme samt
udvikling, udlejning og efterfølgende salg af ejendomme.
Dette understøtter risikodeling og betyder, at LIS løbende kan inddrage private
aktører, som ofte vil have væsentlige resurser inden for udvikling og salg af
ejendomme.
I eksemplet modtager hhv. LIS og investor et realt afkast på 6,5%. Hertil
kommer LIS’ indtægt fra salg af byggeretter.
Overblik over LIS’ pengestrømme
Finansieringsbidrag til
infrastruktur
Lynetteholmen I/S
1. Jorddeponi og spuns
2. Salg af byggeretter
4. Udvikling, udlejning og
efterfølgende salg af
ejendomme
3. Udvikling og salg
af nøglefærdige
ejendomme
Evt.
frivilligt bidrag
6. Evt.
tilbageførsel af
ejendomsskatter
LIS ejer 50%
Privat investor ejer 50%
5. Parkering
Partnerskab, som udvikler
eksempelvis 100.000 byggeretter
Eksempel på pengestrømme i et partnerskab
DKK mio.
4.000
2.000
160
160
160
160
160
2.280
2.290
Udføres direkte af LIS
Udvikling i partnerskab
med ekstern, privat aktør
Udføres direkte af LIS
-
-2.000
-870
-775
-870
-880
1
2
3
4
5
6
7
8
9
10
Konstruktionsomkostninger
Salgsindtægter
Køb af byggeretter
Udlejningsindtægter
Undersøgelse af finansiering og organisering af Lynetteholmen: Sammenfatning af analysen |
Side 14 of 19
TRU, Alm.del - 2020-21 - Endeligt svar på spørgsmål 454: Spm. om ministeren, på baggrund af besvarelsen af TRU alm. del – spørgsmål 342, vil redegøre for, om hemmeligstemplingen af Ernst & Youngs rapport om finansiering og organisering af Lynetteholm er i strid med miljøoplysningsloven, til transportministeren
2394232_0015.png
4. maj 2020
FORTROLIGT
4
Analysens resultater
.
.
..
Overordnet gennemgang af analysens resultater og
følsomhedsanalyser
Undersøgelse af finansiering og organisering af Lynetteholmen: Sammenfatning af analysen |
Side 15 of 19
TRU, Alm.del - 2020-21 - Endeligt svar på spørgsmål 454: Spm. om ministeren, på baggrund af besvarelsen af TRU alm. del – spørgsmål 342, vil redegøre for, om hemmeligstemplingen af Ernst & Youngs rapport om finansiering og organisering af Lynetteholm er i strid med miljøoplysningsloven, til transportministeren
2394232_0016.png
4. maj 2020
FORTROLIGT
1 Baggrund, formål og ...
2 Analyseramme
3 Organisationsmodeller
4 Analysens resultater
4 Analysens resultater
Risiko og organisationsmodel
En større risikovillighed vil øge LIS’ pengestrømme, men vil ikke
direkte ændre finansieringsbidraget
Illustration af forskel mellem finansieringsbidrag og potentiel
finansieringsevne
Det størst mulige realistiske finansieringsbidrag, som fremgår af konklusionen,
Lav risiko: Salg af
byggeretter i dag
Høj risiko: Udvikling,
udlejning og
ejendomme
Potentiel finansieringsevne
For at sikre at hhv. LIS’ risiko og LIS’ mulighed for at skabe profit er reflekteret i
analysens resultater, har vi derudover beregnet det samlede
Finansieringspotentialet beregnes som den maksimale gæld, som LIS kan
servicere ud fra antagelser om en realrentesats og gældens løbetid. Der er
således i denne beregning ikke taget højde for de risici, der helt naturligt er ved
projektet.
Forskellen mellem de to værdier er illustreret i figuren til højre. På næste side
gennemgås resultaterne for de to værdier.
Værdi
Vi estimerer værdien af LIS’ forventede samlede pengestrømme under
hensyntagen til risikoen i pengestrømmene og investorernes
alternativomkostninger.
Risikotillæg
Finansieringsbidrag
Samlet
udfaldsrum
Ydermodel 1
Organisationsmodel 1-3
Ydermodel 2
LIS’
involvering
Undersøgelse af finansiering og organisering af Lynetteholmen: Sammenfatning af analysen |
Side 16 of 19
TRU, Alm.del - 2020-21 - Endeligt svar på spørgsmål 454: Spm. om ministeren, på baggrund af besvarelsen af TRU alm. del – spørgsmål 342, vil redegøre for, om hemmeligstemplingen af Ernst & Youngs rapport om finansiering og organisering af Lynetteholm er i strid med miljøoplysningsloven, til transportministeren
2394232_0017.png
4. maj 2020
FORTROLIGT
1 Baggrund, formål og ...
2 Analyseramme
3 Organisationsmodeller
4 Analysens resultater
4 Analysens resultater
Finansieringsbidraget er det samme uagtet organisationsmodel, men der
findes et yderligere potentiale, hvis LIS øger sin risiko
Risiko og maksimalt finansieringspotentiale
Vi har beregnet det størst mulige realistiske finansieringsbidrag til DKK 17,4
mia. på tværs af scenarier med rentenormalisering og til DKK 22,9 mia. for
scenarier med uændrede renter.
Finansieringsbidraget fra LIS og den potentielle finansieringsevne for
LIS i en situation med rentenormalisering
45,0
40,0
35,0
30,0
45,0
34,2
26,1 - 27,5
22,4
8,7 - 10,1
14,7
40,0
35,0
30,0
25,0
DKK mia.
25,0
Såfremt der ikke tilsidesættes midler til reserve, vil der i de tre
organisationsmodeller være et yderligere finansieringspotentiale på DKK 8,7-
10,1 mia. afhængigt af organisationsmodel med rentenormalisering og på DKK
10,4-12,1 mia. med uændrede renter.
Det er desuden vores vurdering, at der i ydermodel 1, hvor LIS minimerer sin
risiko ved alene at sælge byggeretter, vil være et yderligere
finansieringspotentiale på mellem DKK 5,8-7,0 mia., såfremt der ikke
tilsidesættes reserver til risici.
20,0
15,0
10,0
5,0
-
5,8
20,0
15,0
16,6
17,4
19,5
10,0
5,0
-
Ydermodel 1a
Scenarier med
rentenormalisering
Finansieringsbidrag
Ydermodel 2a
Potentiel finansieringsevne
Omvendt vil der i ydermodel 2, hvor LIS kun udvikler og sælger ejendomme ,
være et væsentligt finansieringspotentiale på DKK 14,7-17,7 mia., hvis der ikke
korrigeres for LIS’ risici forbundet til udvikling.
Finansieringsbidraget fra LIS og den potentielle finansieringsevne for
LIS i en situation med uændrede renter
45,0
40,0
35,0
30,0
43,4
33,4 - 35,0
28,8
10,4 - 12,1
7,0
17,7
45,0
40,0
35,0
30,0
25,0
20,0
DKK mia.
25,0
20,0
15,0
10,0
21,8
22,9
25,7
15,0
10,0
5,0
-
5,0
-
Ydermodel 1b
Finansieringsbidrag
Scenarier med
uændrede renter
Ydermodel 2b
Potentiel finansieringsevne
Undersøgelse af finansiering og organisering af Lynetteholmen: Sammenfatning af analysen |
Side 17 of 19
DKK mia.
Denne forskel illustrerer den øgede potentielle gevinst, som LIS kan opnå ved at
udvikle og sælge ejendomme frem for at sælge byggeretter. Det understreges
imidlertid, at der ligeledes er øgede risici ved udvikling og salg af ejendomme,
hvorfor der også er en øget risiko for tab.
DKK mia.
Til sammenligning var forventningen til de samlede indtægter af arealsalg ifm.
Ørestadslovens forarbejder ca. DKK 12 mia. i januar 1999.
TRU, Alm.del - 2020-21 - Endeligt svar på spørgsmål 454: Spm. om ministeren, på baggrund af besvarelsen af TRU alm. del – spørgsmål 342, vil redegøre for, om hemmeligstemplingen af Ernst & Youngs rapport om finansiering og organisering af Lynetteholm er i strid med miljøoplysningsloven, til transportministeren
2394232_0018.png
4. maj 2020
FORTROLIGT
1 Baggrund, formål og ...
2 Analyseramme
3 Organisationsmodeller
4 Analysens resultater
4 Analysens resultater
LIS’ samlede pengestrømme
Eksempel på LIS’ samlede pengestrømme ved scenarie 1 med rentenormalisering
2036-2050:
Efter 2051:
I perioden efter 2051 forventes LIS at have den største årlige indtægt, men er
ligeledes præget af, at LIS løbende afvikler sine aktiviteter. LIS har således den
største indtægt i perioden 2051-2060, hvor pengestrømmene er forholdsvis stabile.
Efter 2060 ses faldende indtægter, efterhånden som arealerne er færdigudviklede.
LIS’ samlede indtægter stiger fra ca. DKK 2,4 mia. i 2051 til ca. DKK 5,0 mia. i 2059,
hvor den årlige indtægt er størst.
LIS lukkes, når alle arealer er færdigudviklede og frasolgte, hvilket forventes at være
i 2068.
8.000
Denne periode er præget af, at LIS har
påbegyndt udviklingen af samtlige arealer.
LIS’ samlede indtægter stiger fra ca. DKK 0,5
mia. i 2036 til DKK 2,3 mia. i 2050.
6.000
LIS har primært indtægter fra salg af
byggeretter, men med begyndende indtægter
fra salg af nøglefærdige ejendomme samt
udlejning og efterfølgende salg af ejendomme.
DKK mio.
4.000
2.000
-
-2.000
-4.000
Køb/salg af arealer ifm. ejerskifte
Udlejning og efterfølgende salg
2020
2021
2022
2023
2024
2025
2026
2027
2028
2029
2030
2031
2032
2033
2034
2035
2036
2037
2038
2039
2040
2041
2042
2043
2044
2045
2046
2047
2048
2049
2050
2051
2052
2053
2054
2055
2056
2057
2058
2059
2060
2061
2062
2063
2064
2065
2066
2067
2068
2069
2070
2071
2072
2073
2074
2075
Frivilligt bidrag
Parkering
Salg af byggeretter
Tilbageførsel af ejendomsskatter
Salg af ejendomme efter opførelse
Jorddeponi og spuns
Undersøgelse af finansiering og organisering af Lynetteholmen: Sammenfatning af analysen |
Side 18 of 19
TRU, Alm.del - 2020-21 - Endeligt svar på spørgsmål 454: Spm. om ministeren, på baggrund af besvarelsen af TRU alm. del – spørgsmål 342, vil redegøre for, om hemmeligstemplingen af Ernst & Youngs rapport om finansiering og organisering af Lynetteholm er i strid med miljøoplysningsloven, til transportministeren
2394232_0019.png
4. maj 2020
FORTROLIGT
1 Baggrund, formål og ...
2 Analyseramme
3 Organisationsmodeller
4 Analysens resultater
4 Analysens resultater
Følsomhedsanalyser
Følsomheder på boligprisudviklingen
Den vigtigste enkeltfaktor for finansieringsbidraget fra LIS er
boligprisudviklingen. Boligprisudviklingen er samtidig behæftet
med stor usikkerhed, hvorfor vi har udført to følsomheder, hhv. en
lav boligprisudvikling og en høj boligprisudvikling.
I den lave boligprisudvikling antages boligpriserne at følge
byggeomkostningerne. Med denne boligprismodel estimerer vi,
hvor meget der skal bygges for at opnå en prisudvikling, hvor
boligpriserne følger byggeomkostningerne.
I den høje boligprisudvikling følger boligpriserne den historiske
stigningstakt korrigeret for særlige begivenheder. Med denne
boligprismodel estimerer vi, hvor meget der skal bygges for at
opnå en prisudvikling, hvor boligpriserne stiger i takt med de
historiske stigningstakter.
Som det fremgår af tabellen til højre, varierer finansieringsbidraget
fra LIS fra DKK 8,6-39,8 mia. afhængig af boligprisudviklingen.
Finansieringsbidrag fra LIS
(DKK mia.)
Lav
boligprisudvikling
Basis
boligprisudvikling
med
rentenormalisering
17,4
Basis
boligprisudvikling
med uændrede
renter
22,9
Høj boligprisudvikling
Prisfølsomhed for boligpriser
8,6
39,8
Overblik over øvrige følsomheder (i en situation med rentenormalisering)
Slamdepot på Refshaleøen (udbygges ikke)
Lynetteholmen zone 2 (udbygges)
-1,0
-
- 3,2
Areal med tilbagekøbsret (købes i 2052)
Bebyggelsesprocenter (-10%/+10%)
- 0,3
-1,9
- 1,7
Parkeringsnorm (10% af areal til parkering)
Anlægsomkostninger (75% fraktil/25% fraktil)
Almennyttig andel (35%/15%)
Tilbageførsel af ejendomsskatter (80% udligning)
Tilbageførsel af ejendomsskatter (0% udligning)
Realrente (4,0%/2,0%)
Investors afkastkrav (+0,5%)
-3,1
-1,4
-8,6
-
-
-1,7-1,6
- 1,7
-
1,1
6,1
Øvrige følsomhedsanalyser
En række af de anvendte forudsætninger er behæftede med
betydelig usikkerhed, hvorfor der er gennemført en række
følsomhedsanalyser for at vise, i hvilket omfang resultaterne er
afhængige af forudsætningerne.
De første følsomhedsanalyser omhandler planforudsætningerne,
herunder hvilke arealer der indgår i analysen,
bebyggelsesprocenter, parkeringsnorm, anlægsomkostninger og
andelen af almennyttige boliger.
Derudover har vi foretaget følsomhedsanalyser på tilbageførsel af
ejendomsskatter, niveauet af realrenten, niveauet af investors
8,5
-
-
3,6
Investors afkastkrav (+1,0%)
Moms (ingen fællesregistrering)
-2,6
-
-0,5
-
Undersøgelse af finansiering og organisering af Lynetteholmen: Sammenfatning af analysen |
Side 19 of 19
TRU, Alm.del - 2020-21 - Endeligt svar på spørgsmål 454: Spm. om ministeren, på baggrund af besvarelsen af TRU alm. del – spørgsmål 342, vil redegøre for, om hemmeligstemplingen af Ernst & Youngs rapport om finansiering og organisering af Lynetteholm er i strid med miljøoplysningsloven, til transportministeren
2394232_0020.png
afkastkrav samt de momsmæssige forhold.
4. maj 2020
-15
-10
-5
-
DKK mia.
5
10
15
FORTROLIGT
Undersøgelse af finansiering og organisering af Lynetteholmen: Sammenfatning af analysen |
Side 20 of 19
TRU, Alm.del - 2020-21 - Endeligt svar på spørgsmål 454: Spm. om ministeren, på baggrund af besvarelsen af TRU alm. del – spørgsmål 342, vil redegøre for, om hemmeligstemplingen af Ernst & Youngs rapport om finansiering og organisering af Lynetteholm er i strid med miljøoplysningsloven, til transportministeren
EY
| Assurance | Tax | Transactions | Advisory
Om EY
EY er en af verdens førende organisationer inden for revision,
skat, transaktioner og rådgivning. Den indsigt og de ydelser, vi
leverer, hjælper med at opbygge tillid til kapitalmarkederne og
den globale økonomi. Vi udvikler dygtige ledere og
medarbejdere, som sammen leverer det, vi lover vores
interessenter og bidrager til, at arbejdsverdenen og
arbejdslivet fungerer bedre - for vores medarbejdere, vores
kunder og det omgivende samfund.
EY henviser til den globale organisation og kan referere til et
eller flere medlemsfirmaer inden for Ernst & Young Global
Ernst & Young Global Limited, som er et engelsk
‘company
limited by guarantee’, yder ikke kunderådgivning. Flere
oplysninger om vores organisation kan findes på ey.com.
© 2020 Ernst & Young P/S. CVR-nr. 30700228
Limited, som hver især udgør en selvstændig juridisk enhed.
All Rights Reserved.
Dette materiale er udarbejdet alene til orientering, og oplysningerne i det tilsigter
ikke at være fyldestgørende, og de træder ikke i stedet for udførlige analyser eller
udøvelsen af professionelle skøn. I konkrete sager opfordres brugere til at
henvende sig til EY’s rådgivere.
ey.com/dk
TRU, Alm.del - 2020-21 - Endeligt svar på spørgsmål 454: Spm. om ministeren, på baggrund af besvarelsen af TRU alm. del – spørgsmål 342, vil redegøre for, om hemmeligstemplingen af Ernst & Youngs rapport om finansiering og organisering af Lynetteholm er i strid med miljøoplysningsloven, til transportministeren
2394232_0022.png
-- AKT 730242 -- BILAG 3 -- [ 04-05-2020 - Undersøgelse af finansiering og organisering af Lynetteholmen ] --
Transport- og
Boligministeriet
Undersøgelse af finansiering og
organisering af Lynetteholmen
Rapport
4. maj 2020
FORTROLIGT
TRU, Alm.del - 2020-21 - Endeligt svar på spørgsmål 454: Spm. om ministeren, på baggrund af besvarelsen af TRU alm. del – spørgsmål 342, vil redegøre for, om hemmeligstemplingen af Ernst & Youngs rapport om finansiering og organisering af Lynetteholm er i strid med miljøoplysningsloven, til transportministeren
Transport- og Boligministeriet
Undersøgelse af finansiering og organisering af
Lynetteholmen
Indhold
1
Sammenfatning
1.1 Baggrund
1.2 Formål
1.3 Konklusioner
1.4 Overblik over Lynetteholmen
1.5 Kritiske faktorer
1.6 Scenarier og økonomisk potentiale
1.7 Metode og hovedafgrænsning
1.8 Læsevejledning
Analyseramme
2.1 Metode til vurdering af finansieringsbidraget fra LIS
2.2 Metode til vurdering af boligprisudvikling
Organisationsmodeller
3.1 Baggrund for LIS
3.2 Framework for organisationsmodeller
3.3 Gennemgang af udvalgte tre organisationsmodeller og to ydermodeller
3.4 Generelle juridiske overvejelser
Kritiske faktorer
4.1 Ejendomspriser
4.2 Planforudsætninger
4.3 Moms
4.4 Ejendomsskatter
4.5 Jorddeponi og spuns
4.6 Øvrige faktorer
4.7 Sammenfatning af kritiske faktorer og værdier
Scenarier og resultater
5.1 Vurdering af finansieringsbidraget fra LIS
5.2 Finansieringsbidrag og risiko
5.3 Gennemgang af finansieringsbidrag og finansieringspotentiale for scenarierne
5.4 LIS’ samlede pengestrømme
5.5 Åbningsbalance
Følsomhedsanalyser
6.1 Resultaterne for følsomhedsanalyserne
3
3
3
3
4
10
11
17
19
20
20
23
29
29
29
31
34
36
36
40
42
43
43
44
45
47
48
49
51
55
59
60
61
2
3
4
5
6
2
TRU, Alm.del - 2020-21 - Endeligt svar på spørgsmål 454: Spm. om ministeren, på baggrund af besvarelsen af TRU alm. del – spørgsmål 342, vil redegøre for, om hemmeligstemplingen af Ernst & Youngs rapport om finansiering og organisering af Lynetteholm er i strid med miljøoplysningsloven, til transportministeren
2394232_0024.png
Transport- og Boligministeriet
Undersøgelse af finansiering og organisering af
Lynetteholmen
1
1.1
Sammenfatning
Baggrund
For at understøtte en fortsat vækst i hovedstaden er det med principaftalen den 5. oktober 2018 (Prin-
cipaftalen) mellem den daværende regering og Københavns overborgmester besluttet, at der skal etab-
leres et Lynetteholmen I/S (LIS), som skal forestå udvikling af Lynetteholmen.
Lynetteholmen kræver en række investeringer i infrastruktur og i udvikling af området. Den nødvendige
infrastruktur indebærer blandt andet store investeringer i en Østlig Ringvej og en ny metro. Det er en
del af grundlaget for Principaftalen, at denne infrastruktur kan finansieres af egne indtægter, dvs. ind-
tægter fra grundsalg, jorddeponi, brugerbetaling m.v.
På det organisatoriske plan fremgår det af Principaftalen, at der skal findes økonomiske og juridisk hold-
bare løsninger til, hvordan berørte private grundejere kan inddrages, eksempelvis igennem kontant ind-
skud eller i en partnerskabsordning.
1.2
Formål
På denne baggrund skal følgende problemstillinger belyses:
1.
2.
Hvad er det størst mulige realistiske finansieringsbidrag fra arealudvikling på Nordøstamager til
etablering af den nødvendige infrastruktur?
Under hvilke organisatoriske rammer opnås dette bidrag?
På denne baggrund har Transport- og Boligministeriet (TRM) bedt Ernst & Young P/S (EY), Incentive
Denmark ApS (Incentive), Kammeradvokaten/Advokatfirmaet Poul Schmith (Kammeradvokaten) og
MOE A/S (MOE) om at estimere det størst mulige realistiske finansieringsbidrag (herefter benævnt fi-
nansieringsbidraget) fra arealudvikling på Lynetteholmen og de tilstødende områder (Østhavnen) til
etablering af den nødvendige infrastruktur.
Nærværende rapport sammenfatter metode, forudsætninger og resultater af denne undersøgelse.
Rapporten er suppleret af en række appendikser og en beregningsmodel, som ligger til grund for de
præsenterede resultater.
1.3
1.3.1
Konklusioner
Spørgsmål 1: Hvad er det størst mulige realistiske finansieringsbidrag?
For at estimere finansieringsbidraget har vi undersøgt tre organisationsmodeller og to ydermodeller. Vi
har desuden undersøgt to modeller for udvikling i boligpriserne, hhv. en model med en rentenormalise-
ring og en model med uændrede renter.
Boligprisudviklingen er beregnet under antagelse af, at boligudbuddet følger Københavns Kommunes
(KK) planer for nuværende og fremtidige udbygningsområder.
Finansieringsbidraget er beregnet under hensyntagen til risikoprofilen i de tre organisationsmodeller og
vil derfor være ens på tværs af de tre organisationsmodeller. Således vil en større risikovillighed forven-
teligt øge LIS pengestrømme, men ikke finansieringsbidraget, da en øget risiko kræver at der budgette-
res med en højere diskonteringsrente, som tager højde for denne øgede risiko.
I en situation med rentenormalisering estimeres finansieringsbidraget til DKK 17,4 mia. i de tre un-
dersøgte organisationsmodeller.
I en situation med uændrede renter estimeres finansieringsbidraget til DKK 22,9 mia. i de tre under-
søgte organisationsmodeller.
Såfremt renteniveauet forbliver uændret i forhold til dagens niveau
1
, forventes det, at LIS kan bidrage
med DKK 22,9 mia. til finansiering af infrastruktur på sigt. Finansieringspotentialet i spændet mellem de
1
Den nuværende realrente på et 30-årigt realkreditlån er ca. 1,0%.
3
TRU, Alm.del - 2020-21 - Endeligt svar på spørgsmål 454: Spm. om ministeren, på baggrund af besvarelsen af TRU alm. del – spørgsmål 342, vil redegøre for, om hemmeligstemplingen af Ernst & Youngs rapport om finansiering og organisering af Lynetteholm er i strid med miljøoplysningsloven, til transportministeren
2394232_0025.png
Transport- og Boligministeriet
Undersøgelse af finansiering og organisering af
Lynetteholmen
to angivne finansieringsbidrag kan udnyttes senere i projektets levetid, når der er større vished om pro-
jektets indtægtsstrømme.
Finansieringsbidraget er i høj grad følsomt over for udviklingen i boligpriserne:
I en situation med en lav prisstigning på boliger svarende til stigningen i omkostninger kan værdien
af finansieringsbidraget estimeres til DKK 8,6 mia.
2
I en situation med en høj stigning i boligpriserne svarende til den historiske udvikling kan værdien af
finansieringsbidraget estimeres til DKK 39,8 mia.
3
1.3.2
Spørgsmål 2: Under hvilke organisatoriske rammer opnås dette bidrag?
Vi har identificeret en række organisationsmodeller som, i samarbejde med projektets styregruppe
4
, er
blevet reduceret til tre primære organisationsmodeller. Fælles for disse modeller er:
LIS står selvstændigt for etablering af Lynetteholmen, salg af byggeretter samt opførelsen og drif-
ten af parkeringsfaciliteter.
LIS vil udvikle 50% af de kommercielle byggeretter til hhv. boliger og erhverv. For denne aktivitet vil
LIS indgå partnerskaber med private aktører om udvikling af konkrete projekter.
De tre organisationsmodeller adskiller sig ved, hvordan LIS samarbejder med Refshaleøens Ejendomssel-
skab A/S (REDA), som er den største private aktør i Lynetteholmens nærområde:
Organisationsmodel 1:
Det forudsættes, at REDA betaler et frivilligt bidrag til LIS på
Organisationsmodel 2:
Det forudsættes, at LIS køber REDAs arealer på Refshaleøen
Organisationsmodel 3:
Det forudsættes, at LIS samarbejder med REDA om REDAs arealer på Refs-
haleøen.
.
Foruden de tre organisationsmodeller har vi undersøgt to ydermodeller, hvor LIS hhv. minimerer sin ri-
siko ved alene at sælge byggeretter eller øger sin risiko ved kun at udvikle kommercielle byggeretter.
Disse to ydermodeller vil ikke påvirke finansieringsbidraget i væsentlig grad, men i en situation, hvor LIS
øger sin risikoeksponering, vil der være en større potentiel gevinst.
1.4
Overblik over Lynetteholmen
Behovet for nye boliger og arbejdspladser i København er stigende, drevet af en kombination af befolk-
ningstilvækst og økonomisk vækst. Denne fortsatte vækst kræver, at der er arealer tilgængelige for by-
udvikling.
Priserne følger byggeomkostningerne. I denne boligprismodel estimerer vi, hvilket boligudbud der er nødvendigt for
at opnå en prisudvikling, hvor priserne følger byggeomkostningerne.
3
Priserne følger den historiske stigningstakt korrigeret for særlige begivenheder. I denne boligprismodel estimerer
vi, hvilket boligudbud der er nødvendigt for at opnå en prisudvikling, hvor priserne stiger i takt med de historiske stig-
ningstakter.
4
Styregruppen har bestået af repræsentanter fra TRM, Finansministeriet (FM) og KK.
2
4
TRU, Alm.del - 2020-21 - Endeligt svar på spørgsmål 454: Spm. om ministeren, på baggrund af besvarelsen af TRU alm. del – spørgsmål 342, vil redegøre for, om hemmeligstemplingen af Ernst & Youngs rapport om finansiering og organisering af Lynetteholm er i strid med miljøoplysningsloven, til transportministeren
2394232_0026.png
Transport- og Boligministeriet
Undersøgelse af finansiering og organisering af
Lynetteholmen
Efterhånden som Ørestad, Sydhavnen, de indre dele af Nordhavn, Valby Syd og Carlsberg Byen bliver
færdigbygget, og Godsbaneterrænet og arealerne omkring Bådehavnsgade er under udvikling, vil der
være behov for nye arealer til byudvikling. Dette skaber grundlag for en udvikling af Lynetteholmen og
de omkringliggende områder.
Etablering af Lynetteholmen har en række egenskaber, der understøtter målet om en fortsat udvikling
af hovedstaden:
Øget udbud af byggeretter, som understøtter fortsat byudvikling og reducerer boligprisstigninger.
Mulighed for at optage overskudsjord fra København.
Mulighed for at reducere vanddybde i indsejling, hvilket reducerer omkostninger til Østlig Ringvej og
klimasikring.Mulighed for at aflaste Inderhavnen for krydstogtsskibe.
Grundlag for en ny metro, som afhængigt af udformning kan bidrage til aflastning af havnesnittet.
5
5
Metrostrækningen mellem Kongens Nytorv og Christianshavn. Denne strækning er den eneste bybane, der krydser
Københavns Havn og forventes derfor, i fremtiden, at blive en flaskehals.
5
TRU, Alm.del - 2020-21 - Endeligt svar på spørgsmål 454: Spm. om ministeren, på baggrund af besvarelsen af TRU alm. del – spørgsmål 342, vil redegøre for, om hemmeligstemplingen af Ernst & Youngs rapport om finansiering og organisering af Lynetteholm er i strid med miljøoplysningsloven, til transportministeren
2394232_0027.png
Transport- og Boligministeriet
Undersøgelse af finansiering og organisering af
Lynetteholmen
1.4.1
Overblik over LIS og de påvirkede områder
Med Principaftalen blev det besluttet, at der oprettes et nyt selskab, LIS, som skal forestå udbygning og
udvikling af Østhavnen, et område som omfatter Lynetteholmen og de tilstødende områder.
Nærværende analyse omfatter på denne baggrund Lynetteholmen og tre øvrige områder, jf. nedenstå-
ende Figur 1:
Figur 1: Overblik over analysens områder
6
Som det fremgår af Figur 1, omfatter analysen fire områder. I alt udgør analysens areal 4,4 mio. m
2
.
Med de anvendte bebyggelsesprocenter på 110-150 afhængigt af område er den samlede rummelighed
5,1 mio. etagemeter under hensyn til, at en væsentlig del af Lynetteholmen ikke udbygges. Jf. Princip-
aftalen gælder, at KK og By & Havn (B&H) indskyder alle deres arealer på Refshaleøen og Kløverparken
ind i LIS som startkapital. Foruden disse arealer, som direkte indgår i LIS’ kerneaktiviteter, har REDA
7
og
BIOFOS A/S (BIOFOS)
8
m.fl. væsentlige arealer i analyseområdet.
I nærværende analyse antages det, at udviklingen af Lynetteholmen kan påbegyndes i 2022. Det antages desuden,
at det først er muligt at bebygge arealet, når den nødvendige infrastruktur er på plads, hhv. en ny metro og en Østlig
Ringvej. I overensstemmelse med analysen
Forundersøgelser af Østlig Ringvej
forventes det, at disse projekter kan
åbne i 2035.
7
REDA ejer en væsentlig del af arealerne på Refshaleøen. REDA er ejet af en række danske pensionskasser.
8
BIOFOS ejer og driver Renseanlæg Lynetten, som er placeret på Refshaleøen. BIOFOS er ejet af 15 kommuner.
6
6
TRU, Alm.del - 2020-21 - Endeligt svar på spørgsmål 454: Spm. om ministeren, på baggrund af besvarelsen af TRU alm. del – spørgsmål 342, vil redegøre for, om hemmeligstemplingen af Ernst & Youngs rapport om finansiering og organisering af Lynetteholm er i strid med miljøoplysningsloven, til transportministeren
2394232_0028.png
Transport- og Boligministeriet
Undersøgelse af finansiering og organisering af
Lynetteholmen
1.4.2
Pengestrømme og organisationsmodeller
Selskabet vil ved stiftelsen være ejet af B&H med 53%’s ejerskab og af staten med 47%’s ejerskab. Da
B&H er ejet med 5% af staten og 95% af KK, sikrer dette et ligeligt ejerskab mellem KK og staten.
En oversigt over generelle aktiviteter og pengestrømme i LIS fremgår af nedenstående Figur 2:
Figur 2: Oversigt over generelle aktiviteter og pengestrømme i LIS
LIS vil, jf. ovenstående Figur 2, generere pengestrømme fra en række aktiviteter forbundet med byud-
vikling af Lynetteholmen og de omkringliggende områder. En række af disse aktiviteter indgår direkte i
LIS’ kerneaktiviteter, herunder jorddeponi og spuns, salg af byggeretter, parkering og evt. indtægter fra
tilbageførsel af ejendomsskatter.
Desuden vil LIS, afhængigt af den valgte organisationsform, udvikle og sælge ejendomme i samarbejde
med private aktører i en partnerskabsstruktur. Konkret forudsættes det, at LIS indgår partnerskaber
med private udviklere på en projekt-til-projekt-basis
9
. Denne struktur skal understøtte risikodeling i for-
bindelse med ejendomsudvikling og sikre, at LIS løbende kan inddrage private aktører, som ofte vil have
væsentlige kompetencer inden for udvikling, udlejning og salg af ejendomme.
I nærværende analyse afdækkes tre organisationsmodeller og to ydermodeller for LIS. Modellerne ad-
skiller sig hovedsageligt ved graden af samarbejde med den største grundejer, REDA, som har et areal
på ca. 0,5 mio. m
2
på Refshaleøen:
I organisationsmodel 1 modtager LIS et frivilligt bidrag fra REDA.
I organisationsmodel 2 køber LIS REDAs arealer på ca. 0,5 mio. m
2
på Refshaleøen
I organisationsmodel 3 samarbejder LIS og REDA om REDAs arealer på Refshaleøen.
9
Partnerskaber kan indgås i eksempelvis P/S-selskaber.
7
TRU, Alm.del - 2020-21 - Endeligt svar på spørgsmål 454: Spm. om ministeren, på baggrund af besvarelsen af TRU alm. del – spørgsmål 342, vil redegøre for, om hemmeligstemplingen af Ernst & Youngs rapport om finansiering og organisering af Lynetteholm er i strid med miljøoplysningsloven, til transportministeren
2394232_0029.png
Transport- og Boligministeriet
Undersøgelse af finansiering og organisering af
Lynetteholmen
Fælles for de tre organisationsmodeller er:
LIS gennemfører en række økonomiske aktiviteter:
-
-
LIS står direkte for aktiviteterne jorddeponi og spuns, salg af byggeretter samt opførelsen og
driften af parkeringsfaciliteter.
LIS udvikler og sælger nøglefærdige ejendomme samt udvikler, udlejer og efterfølgende sælger
ejendomme i en partnerskabsstruktur med eksterne private aktører.
De tre organisationsmodeller fremgår af nedenstående Figur 3:
Organisationsmodel 1: REDA betaler frivilligt bidrag
By & Havn
Staten
Frivilligt
bidrag
LIS indgår ikke et samarbejde med REDA, men
indgår alene en aftale om et frivilligt bidrag.
REDAs rolle er som udgangspunkt at betragte
som værende en ekstern aktør og potentiel kon-
kurrent til LIS.
Lynetteholmen I/S
REDA
1. Jorddeponi og spuns m.fl.
2. Salg af byggeretter
3-5. Udvikling af ejendomme
6. Ejendomsskatter
REDA udvikler
egne arealer
Organisationsmodel 2: LIS køber REDAs arealer på Refshaleøen
By & Havn
Staten
LIS køber REDAs
arealer
LIS køber REDAs arealer på Refshaleøen og fore-
står derfor selv udviklingen heraf.
Lynetteholmen I/S
REDA
1. Jorddeponi og spuns m.fl.
2. Salg af byggeretter
3-5. Udvikling af ejendomme
6. Ejendomsskatter
Organisationsmodel 3: LIS og REDA samarbejder om REDAs arealer
By & Havn
Staten
Samarbejde
LIS går sammen med REDA i en partnerskabs-
struktur om udviklingen af REDAs arealer.
Lynetteholmen I/S
REDA
REDA og LIS
udvikler i fæl-
lesskab area-
ler på Refsha-
leøen
1. Jorddeponi og spuns m.fl.
2. Salg af byggeretter
3-5. Udvikling af ejendomme
6. Ejendomsskatter
Figur 3: Oversigt over de undersøgte organisationsmodeller
11
.
10
11
.
Det bemærkes, at aktivitet 6, indkomst fra tilbageførsel af ejendomsskatter, ikke genererer en værdi i basisscenari-
erne grundet usikkerhed om det fremtidige udligningssystem.
8
TRU, Alm.del - 2020-21 - Endeligt svar på spørgsmål 454: Spm. om ministeren, på baggrund af besvarelsen af TRU alm. del – spørgsmål 342, vil redegøre for, om hemmeligstemplingen af Ernst & Youngs rapport om finansiering og organisering af Lynetteholm er i strid med miljøoplysningsloven, til transportministeren
2394232_0030.png
Transport- og Boligministeriet
Undersøgelse af finansiering og organisering af
Lynetteholmen
Foruden de tre organisationsmodeller har vi afdækket to ydermodeller:
Ydermodel 1 - Kun salg af byggeretter:
I denne model vil LIS alene sælge byggeretter og herved
ikke gennemføre andre kommercielle aktiviteter. Ift. samarbejde med REDA modtager LIS et frivil-
ligt bidrag svarende til organisationsmodel 1. Denne model repræsenterer en situation, hvor LIS
minimerer developerrisikoen.
salg af nøglefærdige ejendomme og udlejning med efterfølgende salg
12
. Denne ydermodel repræ-
senterer en situation, hvor LIS tager en høj developerrisiko.
Ydermodel 2
Kun udvikling af ejendomme:
I denne model vil LIS selv udvikle alle arealer som hhv.
12
Udvikling gennemføres i samarbejde med private udviklere i P/S -selskaber, hvor LIS ejer 50%.
9
TRU, Alm.del - 2020-21 - Endeligt svar på spørgsmål 454: Spm. om ministeren, på baggrund af besvarelsen af TRU alm. del – spørgsmål 342, vil redegøre for, om hemmeligstemplingen af Ernst & Youngs rapport om finansiering og organisering af Lynetteholm er i strid med miljøoplysningsloven, til transportministeren
2394232_0031.png
Transport- og Boligministeriet
Undersøgelse af finansiering og organisering af
Lynetteholmen
1.5
Kritiske faktorer
Vi har identificeret en række kritiske faktorer, som påvirker LIS’ økonomi og herved det samlede finan-
sieringspotentiale. En oversigt over de identificerede kritiske faktorer fremgår af nedenstående Tabel 1:
Hovedforudsætninger
Påvirkning af projektet
Finansielle hoved-
forudsætninger
Der anvendes en diskonteringsrente på 3,8% for aktiviteter med fleksibel tidshori-
sont og lav risiko, herunder jorddeponi og spuns samt salg af byggeretter, og en hø-
jere diskonteringsrente på 6,5% for mere risikofyldte aktiviteter, herunder udvikling
af ejendomme.
Diskonteringsrenterne for LIS reflekterer den risiko, LIS tager i forskellige organisa-
tionsmodeller, og beregnes ud fra den risikofrie rente og en markedsbaseret risiko-
præmie, jf. appendiks 5.
Udviklingen af ejendomspriser (og lejepriser) driver indirekte LIS’ pengestrømme fra
salg af byggeretter og direkte LIS’ pengestrømme fra udvikling, udlejning og salg af
ejendomme.
Vi har udviklet en model til vurdering af den langsigtede boligprisudvikling, som indi-
kerer følgende gennemsnitlige årlige vækst i boligpriserne i perioden 2020-2075:
-
Udvikling i
ejendomspriser
-
Model A: Boligprisudvikling med rentenormalisering: 2,1%
Model B: Boligprisudvikling med uændrede renter: 2,4%
Væksten er drevet af en kombination af arealbegrænsninger i København, forventet
vækst i antallet af borgere og indkomststigninger.
For erhvervsejendomme har vi fremskrevet prisudviklingen baseret på den histori-
ske vækst, som viser en forventet prisudvikling på 0,5% årligt.
Ejendomspriser for almennyttige boliger og institutioner forventes at følge udviklin-
gen i byggeomkostninger på 0,5% årligt.
Områderne Refshaleøen, Kløverparken, Quintus og Lynetteholmen indgår i analysen
med i alt 4,4 mio. m
2
. Der antages generelt en bebyggelsesprocent på 150, dog la-
vere for Quintus (110), hvilket samlet giver mulighed for at udvikle 5,1 mio. bygge-
retter.
På alle delområder, hvor der udvikles boliger, antages 25% almennyttige boliger af
boligmassen.
15% af alle byggeretter anvendes til parkering.
Etablering af kritisk infrastruktur
13
og modellerne for boligprisudviklingen er dri-
vende for, hvor hurtigt arealer kan udnyttes. Dette sikrer konsistens mellem bolig-
prisudvikling og arealforudsætninger.
LIS’ pengestrømme fra salg af byggeretter, udvikling og salg af nøglefærdige ejen-
domme samt udvikling, udlejning og efterfølgende salg af ejendomme påvirkes af
LIS’ momsomkostninger.
Der antages salgsmoms på salg af alle byggeretter direkte til tredjepart. For udvik-
ling i regi af LIS igennem P/S-selskaber antages fællesregistrering, hvorved der ikke
vil være moms ved overdragelse af byggeretter til P/S-selskaber. Salg af lejeboliger
efter fem års udlejning er ligeledes momsfrit.
Det fremgår af Principaftalen om anlæg af Lynetteholmen, at LIS oppe bærer ind-
tægter fra mergrundskyld af projektet. Grundet usikkerheder om det fremtidige ud-
ligningssystem er tilbageførsel af ejendomsskatter udeladt i basisscenarierne.
Til beregningerne anvendes den forventede grundskyldspromille på 12,6
og dæk-
ningsafgiftspromillen på 9,8‰ efter reform af ejendomsskatter.
LIS forventes at kunne modtage overskudsjord fra København til en pris, der kan
dække omkostningerne til spuns.
Det forventes, at Lynetteholmen påbegyndes i år 2022 og er fuldt opfyldt i år 2062.
Planforudsætninger
Moms
Tilbageførsel af ejen-
domsskatter
Jorddeponi og spuns
Tabel 1: Overblik over kritiske faktorer
13
Det antages, at hhv. Østlig Ringvej og metro til Lynetteholmen kan ibrugtages primo 203 5. På denne baggrund
antages det, at tilflytning til Lynetteholmen kan påbegyndes i 2035.
10
TRU, Alm.del - 2020-21 - Endeligt svar på spørgsmål 454: Spm. om ministeren, på baggrund af besvarelsen af TRU alm. del – spørgsmål 342, vil redegøre for, om hemmeligstemplingen af Ernst & Youngs rapport om finansiering og organisering af Lynetteholm er i strid med miljøoplysningsloven, til transportministeren
2394232_0032.png
Transport- og Boligministeriet
Undersøgelse af finansiering og organisering af
Lynetteholmen
1.6
Scenarier og økonomisk potentiale
For at bestemme finansieringsbidraget har vi undersøgt tre organisationsmodeller og to ydermodeller
samt fire mulige modeller for udvikling i boligpriserne. Vi har på denne baggrund opstillet seks scena-
rier:
Model A: Basis boligprisudvik-
ling med rentenormalisering
Ydermodel 1
Kun salg af byggeretter
Organisationsmodel 1
REDA betaler frivilligt bidrag
Organisationsmodel 2
LIS køber REDAs arealer på Refshaleøen
Organisationsmodel 3
LIS og REDA samarbejder om REDAs arealer
Ydermodel 2
Kun udvikling af ejendomme
Model B: Basis boligprisudvik-
ling med uændrede renter
Ydermodel 1a
Ydermodel 1b
Scenarie 1a
Scenarie 1b
Scenarie 2a
Scenarie 2b
Scenarie 3a
Scenarie 3b
Ydermodel 2a
Ydermodel 2b
Figur 4: Scenarieoverblik
Som det fremgår af Figur 4, adskiller scenarierne sig ved den forudsatte organisationsmodel og den for-
udsatte boligprisudvikling.
I forhold til boligprisudvikling gælder følgende:
I alle scenarier er boligprisfremskrivningen baseret på, at udbygningen af boligmassen i København
sker i takt med KK’s planer/forventninger.
For scenarier med rentenormalisering (scenarierne 1a-3a) antages det desuden, at renten vil stige
gradvist i henhold til FM’s prognose, så realrenten på et 30-årigt realkreditlån i 2040 er 3,6%.
For scenarier med uændrede renter (scenarierne 1b-3b) antages det, at renten ikke ændrer sig fra
det nuværende niveau på ca. 1,0%.
I forhold til den forudsatte organisationsmodel antages følgende:
For organisationsmodel 1 (scenarierne 1a og 1b) er det forudsat, at LIS tager en relativt lavere ri-
siko end i de øvrige scenarier, da LIS ikke involverer sig i udvikling af REDAs arealer på Refshale-
øen, men alene modtager et frivilligt bidrag fra REDA
14
.
For organisationsmodel 2 (scenarierne 2a og 2b) er det forudsat, at LIS tager en relativt højere ri-
siko ift. de øvrige scenarier, idet LIS, foruden Lynetteholmen og de indskudte arealer, også udvikler
alle arealer på Refshaleøen.
For organisationsmodel 3 (scenarierne 3a og 3b) er det forudsat, at LIS tager en middel risiko ift.
de øvrige scenarier. Således udvikler LIS her REDAs arealer i samarbejde med REDA, hvorfor risi-
koen er delt mellem LIS og REDA for denne del af projektet.
.
11
TRU, Alm.del - 2020-21 - Endeligt svar på spørgsmål 454: Spm. om ministeren, på baggrund af besvarelsen af TRU alm. del – spørgsmål 342, vil redegøre for, om hemmeligstemplingen af Ernst & Youngs rapport om finansiering og organisering af Lynetteholm er i strid med miljøoplysningsloven, til transportministeren
2394232_0033.png
Transport- og Boligministeriet
Undersøgelse af finansiering og organisering af
Lynetteholmen
1.6.1
Analysens hovedresultater
Hovedresultaterne for de undersøgte scenarier og følsomheder er sammenfattet i nedenstående Tabel
2:
Finansieringsbidrag
(DKK mia.)
Ydermodel 1
Kun salg af byggeretter
Organisationsmodel 1
REDA betaler frivilligt bidrag
Organisationsmodel 2
LIS køber REDAs arealer på Refshaleøen
Organisationsmodel 3
LIS og REDA samarbejder om REDAs
arealer
Ydermodel 2
Kun udvikling af ejendomme
Model A: Basis boligprisudvikling
med rentenormalisering
Ydermodel 1a
16,6
Scenarie 1a
17,4
Scenarie 2a
17,4
Scenarie 3a
17,4
Ydermodel 2a
19,5
Model B: Basis boligprisudvikling
med uændrede renter
Ydermodel 1b
21,8
Scenarie 1b
22,9
Scenarie 2b
22,9
Scenarie 3b
22,9
Ydermodel 2b
25,7
Tabel 2: Det størst mulige realistiske finansieringsbidrag i analysens scenarier og følsom-
heder.
Nutidsværdien vil være den samme, uagtet at LIS erhverver nye arealer
Som det fremgår af ovenstående tabel, kan finansieringsbidraget fra LIS opgøres til den samme risiko-
vægtede nutidsværdi på DKK 17,4 mia. i scenarier med rentenormalisering og DKK 22,9 mia. i scenarier
med uændrede renter.
Såfremt renteniveauet forbliver uændret, forventes det, at LIS kan bidrage med DKK 22,9 mia. til finan-
siering af infrastruktur på sigt. Finansieringspotentialet i spændet mellem de to angivne finansieringsbi-
drag kan udnyttes senere i projektets levetid, når der er større vished om projektets indtægtsstrømme.
Finansieringsbidraget er beregnet som nutidsværdien af LIS og udgør således den maksimale risikovæg-
tede værdi af LIS’ pengestrømme, som kan anvendes til investeringer i infrastruktur.
Som nævnt adskiller organisationsmodellerne 1, 2 og 3 sig ved håndtering af REDAs arealer. Således
modtager LIS et direkte, kontant frivilligt bidrag i organisationsmodel 1 (scenarie 1a og 1b).
.
Finansieringsbidraget er det samme på tværs af de tre organisationsmodeller, selvom LIS råder over
flere arealer i organisationsmodel 2 og 3.
.
Dette beskrives i afsnit 2 og yderligere i appendiks 5.
I ydermodel 1 og 2 ses der henholdsvist et lidt lavere og et lidt højere finansieringsbidrag. Denne forskel
ift. organisationsmodellerne 1-3 kan henføres til de momsmæssige konsekvenser, der er ved udvikling af
ejendomme i disse organisationsmodeller.
12
TRU, Alm.del - 2020-21 - Endeligt svar på spørgsmål 454: Spm. om ministeren, på baggrund af besvarelsen af TRU alm. del – spørgsmål 342, vil redegøre for, om hemmeligstemplingen af Ernst & Youngs rapport om finansiering og organisering af Lynetteholm er i strid med miljøoplysningsloven, til transportministeren
2394232_0034.png
Transport- og Boligministeriet
Undersøgelse af finansiering og organisering af
Lynetteholmen
Nutidsværdien er beregnet med baggrund i LIS’ risikoprofil
Vores vurdering af nutidsværdien for LIS tager højde for LIS’ særlige risikoprofil
15
. Konkret er LIS’ akti-
viteter kendetegnet ved to centrale aktiviteter:
Lavrisikoaktiviteter, som har en lav liggeomkostning og en fleksibel tidshorisont.
Højere risikoaktiviteter, som er forbundet med investeringer og/eller liggeomkostninger, og hvor
LIS er bundet af aktiviteten, når denne er igangsat.
Konkret anvendes der to diskonteringsrenter, hhv. en relativt lav diskonteringsrente til lavrisikoaktiviteter
som salg af byggeretter, og en højere diskonteringsrente til aktiviteter med højere risiko som udvikling af
ejendomme. Herved tages der højde for den forskel i risikoen, der er forbundet ved de forskellige aktivi-
teter i LIS.
Finansieringsbidraget er følsomt over for udvikling i boligpriser
Finansieringsbidraget er følsomt over for udviklingen i boligpriser. Således estimeres finansieringsbidra-
get til ca. DKK 17,4 mia. i en situation med rentenormalisering og til ca. DKK 22,9 mia. i en situation
med uændrede renter, hvilket dækker således over et væsentligt spænd i værdien.
Derudover er der to følsomhedsanalyser, som viser effekten på finansieringsbidraget, hhv. hvis boligpri-
serne følger byggeomkostningerne
16
, eller hvis boligpriserne følger den historiske vækst
17
.
Det skal bemærkes, at det anvendte centrale estimat for prisudviklingen (basis boligprisudvikling) re-
præsenterer vores bedste estimat for den langsigtede boligprisudvikling
18
.
1.6.2
Risiko og maksimalt finansieringspotentiale
LIS’ pengestrømme vil afhænge af den valgte organisationsmodel og LIS’ risikovillighed. Således afspej-
ler eksempelvis ydermodel 1 en situation, hvor LIS minimerer sin risiko ved alene at sælge byggeretter.
Omvendt afspejler ydermodel 2 en situation, hvor LIS kun udvikler og sælger ejendomme, hvorved LIS’
risikoeksponering øges.
For de tre organisationsmodeller er forskellen i LIS’ risiko alene et resultat af, at LIS råder over flere
arealer i organisationsmodel 2 og 3, hvor LIS erhverver yderligere arealer, ift. en situation, hvor LIS
alene modtager et frivilligt bidrag.
En større risikovillighed vil forventeligt øge LIS’ pengestrømme, men vil ikke direkte ændre finansie-
ringsbidraget. Dette skyldes, at hvis LIS påtager sig en øget risiko, er der ligeledes behov for at budget-
tere med en højere diskonteringsrente, som tager højde for denne øgede risiko.
LIS vil dog generere større pengestrømme, når risikoen øges ved udvikling af ejendomme modsat ved
salg af byggeretter. Disse større pengestrømme øger muligheden for profit i LIS og kan på papiret ser-
vicere en højere gæld, hvis der udelukkende ses på en realrente, som ikke tager højde for den øgede ri-
siko. Dette kan illustreres som den samlede potentielle finansieringsevne.
Det bemærkes imidlertid, at den øgede potentielle finansieringsevne, som LIS får ved udvikling af ejen-
domme frem for salg af byggeretter, er behæftet med en vis risiko, idet potentialet kan være svært at
realisere. Således skal der ved udvikling af ejendomme tages højde for en række risici, som ikke i samme
grad findes ved salg af byggeretter, f.eks. anlægsrisici og en større efterspørgselsrisiko.
På tilsvarende vis har B&H en særlig risikoprofil, da B&H i høj grad er involveret i samme type aktiviteter som Ly-
netteholmen.
16
Den gennemsnitlige boligprisudvikling kan i denne model estimeres til 0,3% pr. år i hele analyseperioden. Årsagen
til, at priserne i dette scenarie ikke stiger med 0,5%, som er den historiske stigningstakt i byggeomkostningerne, er,
at vi korrigerer for en gradvis tilpasning af det nuværende prisniveau til det strukturelle niveau i perioden 20 19-
2031.
17
Den gennemsnitlige boligprisudvikling kan i denne model estimeres til 3,5% pr. år i hele analyseperioden , når der
tages højde for historiske engangseffekter, som introduktion af afdragsfrie lån o.l.
18
KK har lavet en detaljeret plan for udbygningen af boligmassen i København. Basis boligprisudviklingen er baseret
på, at denne plan realiseres. Vi vurderer, at dette repræsenterer det mest sandsynlige scenarie for udbygningen af
boligmassen i København.
15
13
TRU, Alm.del - 2020-21 - Endeligt svar på spørgsmål 454: Spm. om ministeren, på baggrund af besvarelsen af TRU alm. del – spørgsmål 342, vil redegøre for, om hemmeligstemplingen af Ernst & Youngs rapport om finansiering og organisering af Lynetteholm er i strid med miljøoplysningsloven, til transportministeren
2394232_0035.png
Transport- og Boligministeriet
Undersøgelse af finansiering og organisering af
Lynetteholmen
I nedenstående Figur 5 fremgår en sammenligning af finansieringsbidraget fra LIS og den potentielle fi-
nansieringsevne for LIS:
Rentenormalisering
45,0
40,0
45,0
40,0
Uændrede renter
45,0
40,0
35,0
43,4
45,0
40,0
34,2
35,0
30,0
35,0
33,4 - 35,0
28,8
17,7
10,7 - 12,3
7,0
35,0
30,0
26,1 - 27,5
22,4
5,8
8,9 - 10,3
14,7
30,0
30,0
DKK mia.
DKK mia.
DKK mia.
25,0
20,0
15,0
10,0
5,0
-
25,0
20,0
15,0
20,0
15,0
10,0
5,0
-
20,0
16,6
17,4
19,5
10,0
5,0
-
21,8
22,9
25,7
15,0
10,0
5,0
-
Ydermodel 1a
Scenarier med
rentenormalisering
Ydermodel 2a
Ydermodel 1b
Scenarier med
uændrede renter
Ydermodel 2b
Finansieringsbidrag
Potentiel finansieringsevne
Finansieringsbidrag
Potentiel finansieringsevne
Figur 5: Finansieringsbidrag fra LIS og potentiel finansieringsevne for LIS
19
Som det fremgår af ovenstående Figur 5, er det vores vurdering, at der i ydermodel 1, hvor LIS minime-
rer sin risiko ved alene at sælge byggeretter, vil være et finansieringsbidrag på DKK 16,6 mia. i en situa-
tion med rentenormalisering og DKK 21,8 mia. i en situation med uændrede renter. Der vil desuden
være et yderligere potentiale på DKK 5,8 mia. - DKK 7,0 mia., såfremt der alene anvendes en risikofri
realrente
20
og herved ikke tilsidesættes reserver til risici.
Omvendt vil der i ydermodel 2, hvor LIS kun udvikler og sælger ejendomme
21
, være et finansieringsbi-
drag på DKK 19,5 mia. i en situation med rentenormalisering og DKK 25,7 mia. med uændrede renter.
Der vil desuden være et væsentligt potentiale på DKK 14,7-17,7 mia., hvis der alene anvendes en risiko-
fri realrente og ikke korrigeres for LIS’ risici forbundet til udvikling.
Denne forskel mellem ydermodel 1 og ydermodel 2 illustrerer den øgede potentielle gevinst, som LIS
kan opnå ved at udvikle og sælge ejendomme frem for at sælge byggeretter. Det understreges imidler-
tid, at der ligeledes er øgede risici ved udvikling og salg af ejendomme, hvorfor der også er en øget ri-
siko for tab.
Det bemærkes, at ændringerne i finansieringsbidraget fra hhv. DKK 16,6 mia. i ydermodel 1a til DKK 19,5 mia. i
ydermodel 2a og fra DKK 21,8 mia. i ydermodel 1b til DKK 25,7 mia. i ydermodel 2b kan henføres til momsmæssige
gevinster ved udvikling i en partnerskabsstruktur frem for ved salg af byggeretter til tredjepart.
20
Den potentielle finansieringsevne er bestemt som den maksimale gæld LIS’ kan servicere under antagelse af en
realrente på 3,0%.
21
Udvikling af boliger og erhverv i partnerskaber, herunder hhv. udvikling, udlejning og efterfølgende salg af bolig-
ejendomme samt udvikling og salg af nøglefærdige erhvervsejendomme.
19
14
DKK mia.
25,0
25,0
TRU, Alm.del - 2020-21 - Endeligt svar på spørgsmål 454: Spm. om ministeren, på baggrund af besvarelsen af TRU alm. del – spørgsmål 342, vil redegøre for, om hemmeligstemplingen af Ernst & Youngs rapport om finansiering og organisering af Lynetteholm er i strid med miljøoplysningsloven, til transportministeren
2394232_0036.png
Transport- og Boligministeriet
Undersøgelse af finansiering og organisering af
Lynetteholmen
1.6.3
Fordeling af effekter på LIS’ aktiviteter
Vi har inddelt LIS’ samlede pengestrømme i seks hovedaktiviteter samt i køb af arealer ifm. ejerskifte og
et eventuel frivilligt bidrag. Fordelingen af finansieringsbidraget på disse aktiviteter er sammenfattet i
nedenstående Tabel 3:
Scenarier med
rentenormalisering
Sc. 1a
1. Jorddeponi og spuns
2. Salg af byggeretter
3. Udvikling og salg af nøglefærdige ejen-
domme
4. Udvikling, udlejning og efterfølgende salg
af ejendomme
5. Parkering
-
9,3
4,4
4,3
0,2
Sc. 2a
-
11,1
5,2
5,0
0,2
Sc. 3a
-
10,2
4,8
4,6
0,2
Scenarier med
uændrede renter
Sc. 1b
-
12,1
5,8
5,9
0,2
Sc. 2b
-
14,3
6,8
6,9
0,2
Sc. 3b
-
13,2
6,3
6,4
0,2
Aktivitet
(DKK mia.)
Tabel 3: Oversigt over fordeling af finansieringsbidrag på aktiviteter
Som det fremgår af ovenstående Tabel 3, er den største indtægtskilde for LIS i alle scenarier salg af
byggeretter. Dette skal ses i lyset af, at halvdelen af LIS’ kommercielle grunde sælges direkte som byg-
geretter. Hertil kommer indtægter fra byggeretter til almennyttige boliger og institutioner, som ligele-
des bidrager til LIS’ samlede pengestrømme.
De resterende kommercielle grunde udvikler LIS i en partnerskabsstruktur, hvor de udvikler og sælger
nøglefærdige ejendomme samt udvikler, udlejer og efterfølgende sælger ejendomme, hvilket udgør en
tilsvarende værdi til salg af byggeretter.
Det ses, at øvrige aktiviteter (dvs. jorddeponi og spuns, parkering og evt. tilbageførsel af ejendomsskat-
ter) kun i begrænset omfang bidrager til LIS’ finansieringsbidrag.
15
TRU, Alm.del - 2020-21 - Endeligt svar på spørgsmål 454: Spm. om ministeren, på baggrund af besvarelsen af TRU alm. del – spørgsmål 342, vil redegøre for, om hemmeligstemplingen af Ernst & Youngs rapport om finansiering og organisering af Lynetteholm er i strid med miljøoplysningsloven, til transportministeren
2394232_0037.png
Transport- og Boligministeriet
Undersøgelse af finansiering og organisering af
Lynetteholmen
1.6.4
Åbningsbalance (baseret på beregnede værdier)
Vi har opstillet en åbningsbalance for LIS, jf. nedenstående:
Tabel 4: Åbningsbalance for LIS pr. den 1. januar 2020
22
16
TRU, Alm.del - 2020-21 - Endeligt svar på spørgsmål 454: Spm. om ministeren, på baggrund af besvarelsen af TRU alm. del – spørgsmål 342, vil redegøre for, om hemmeligstemplingen af Ernst & Youngs rapport om finansiering og organisering af Lynetteholm er i strid med miljøoplysningsloven, til transportministeren
2394232_0038.png
Transport- og Boligministeriet
Undersøgelse af finansiering og organisering af
Lynetteholmen
I det omfang, det fulde finansieringsbidrag ikke finder anvendelse, kan LIS desuden opnå en vis egenka-
pital. Det antages desuden, at LIS etableres med en mindre likvid egenkapital.
1.7
Metode og hovedafgrænsning
Finansieringsbidraget fra LIS er beregnet som nutidsværdien af LIS’ samlede pengestrømme i perioden
2020-2075. Det beregnede finansieringsbidrag er således værdien af alle LIS’ pengestrømme opgjort i
værdiansættelsesåret 2020.
LIS’ pengestrømme er opgjort ud fra alle de indtægter og udgifter, LIS har i evalueringsperioden, herun-
der omkostninger til etablering af Lynetteholmen, byggemodning (lokalveje, kanaler m.fl.) og omkost-
ninger til udvikling af ejendomme. Dog indgår udgifter og indtægter til etablering af hhv. metroen og
Østlig Ringvej ikke i LIS’ pengestrømme.
Såfremt metroen og Østlig Ringvej har en lavere omkostning end finansieringsbidraget fra LIS, vil der
således være et overskud fra projektet, som kan anvendes til andre aktiviteter. Omvendt vil der, hvis
Østlig Ringvej og metroen koster mere end finansieringsbidraget fra LIS, være et restfinansieringsbe-
hov.
Vi har ikke taget højde for LIS’ administrationsomkostninger, herunder transaktionsomkostninger i LIS
ifm. forhandling og køb af REDAs arealer samt arealer på Kløverparken m.v.
Grundet den lange analysehorisont skal det påpeges, at værdiestimaterne er behæftet med væsentlig
usikkerhed. På denne baggrund har vi valgt at udarbejde tre modeller for boligprisudviklingen, hhv. en
model med en lav boligprisudvikling (og heraf afledt hurtig udbygning af analysens områder), et centralt
estimat med en basis boligprisudvikling, som baserer sig på den forventede udbygningstakt, og en model
med en høj boligprisudvikling, som følger det historiske niveau.
Vi har i vores analyse opgjort effekterne direkte forbundet med de udvalgte udviklingsområder for LIS.
Mulige afledte effekter fra projektet for andre aktører, herunder staten og KK, er således ikke medtaget.
Eksempelvis indgår nye skatteindtægter fra øget trafikarbejde og evt. tabte skatter fra tilflytning fra an-
dre landsdele ikke i analysen.
1.7.1
COVID-19 udbrud i Danmark
Analysearbejdet, der præsenteres i denne rapport, er afsluttet inden COVID-19-udbruddet i Danmark.
Udbruddet vurderes primært at påvirke resultaterne, hvis det påvirker det langsigtede velstandsniveau i
Danmark.
Det kan føre til en mere moderat udvikling i boligpriserne
særligt på kort og mellemlang sigt
og der-
med potentielt påvirke finansieringsbidraget i nedadgående retning. Omvendt bemærkes det dog også,
at analysen dækker over en meget lang tidsperiode, hvorfor kortvarige negative økonomiske effekter
f.eks. på huspriserne, ikke nødvendigvis vil have større effekt på analysens resultater og konklusioner.
Det er med lovforslaget for anlæg af Nordhavnstunnellen forudsat, at KK i forhold til staten afholder alle udgifterne
forbundet med anlægsprojektets gennemførelse, hvorefter projektet endeligt finansieres af B&H. Det gælder dog ikke
udgifterne til forberedelsen af videreførelsen til Østlig Ringvej og udgifterne til tunnelstræk ningen fra øst fra Færge-
havns-vej til Kattegatvejs forlængelse, som forudsættes finansieret af selskabet LIS.
23
17
TRU, Alm.del - 2020-21 - Endeligt svar på spørgsmål 454: Spm. om ministeren, på baggrund af besvarelsen af TRU alm. del – spørgsmål 342, vil redegøre for, om hemmeligstemplingen af Ernst & Youngs rapport om finansiering og organisering af Lynetteholm er i strid med miljøoplysningsloven, til transportministeren
2394232_0039.png
Transport- og Boligministeriet
Undersøgelse af finansiering og organisering af
Lynetteholmen
1.7.2
Resultater fra analyse af Østlig Ringvej
I 2018 bad TRM EY og Incentive om at gennemføre en kortlægning m.v. af eventuelle finansieringskilder
til Østlig Ringvej.
I analysen identificerede vi følgende hovedaktiviteter, som påvirkes af etablering af Østlig Ringvej:
Arealer og ejendomme, hvilket omfattede øgede private og offentlige grundværdier, øgede ejen-
domsskatter og værdistigning fra parkering.
Nye borgere og erhverv, hvilket omfattede bidrag fra person- og virksomhedsskatter fra tilflytning
til byudviklingsområder.
Trafik, hvilket omfattede øgede skatter og afgifter.
Ved vurdering af de kortlagte aktiviteter estimerede vi følgende værdistigninger:
I et basisscenarie estimerede vi den samlede værdistigning som følge af etablering af Østlig Ringvej
til DKK 14,2 mia. Heraf vurderede vi, at DKK 3,6 mia. direkte kunne anvendes til medfinansierin-
gen:
-
-
Værdien på DKK 3,6 mia. kan sammenholdes med det potentielle finansieringsbidrag fra LIS på
DKK 17,4 mia. med rentenormalisering og DKK 22,9 mia. med uændrede renter.
Af den samlede værdistigning vurderede vi, at frivillige bidrag, offentlige grundværdistigninger og
parkering direkte kunne indgå i medfinansieringen i forbindelse med Østlig Ringvej.
-
For LIS vurderes det, at grundværdistigninger fra nye arealer og offentlige arealer
24
, parke-
ring, frivillige bidrag
25
og eventuel tilbageførsel af ejendomsskatter direkte kan indgå i medfi-
nansiering.
Øvrige værdistigninger fra øgede skatter og afgifter var i Østlig Ringvej-projektet udregnet før overflyt-
tede effekter og kommunal udligning.
24
25
Værdi fra hhv. direkte salg af byggeretter og/eller udvikling af disse.
Som direkte kontant bidrag eller reduktion i købspris for arealer.
18
TRU, Alm.del - 2020-21 - Endeligt svar på spørgsmål 454: Spm. om ministeren, på baggrund af besvarelsen af TRU alm. del – spørgsmål 342, vil redegøre for, om hemmeligstemplingen af Ernst & Youngs rapport om finansiering og organisering af Lynetteholm er i strid med miljøoplysningsloven, til transportministeren
Transport- og Boligministeriet
Undersøgelse af finansiering og organisering af
Lynetteholmen
1.8
Læsevejledning
Vores analyse er delt op på nærværende rapport, der beskriver hovedresultater og metode, en række
appendikser, som beskriver forudsætninger og baggrund for metodevalg, samt en Excel-baseret bereg-
ningsmodel til vurdering af effekter.
Rapporten består af følgende afsnit:
Afsnit 1 sammenfatter analysens hovedresultater.
Afsnit 2 beskriver den overordnede analyseramme med fokus på værdiansættelse af pengestrømme
og vurdering af boligprisudvikling.
Afsnit 3 beskriver de analyserede organisationsmodeller.
Afsnit 4 beskriver de kritiske faktorer, herunder væsentlige forudsætninger, som ligger til grund for
analysens resultater.
Afsnit 5 uddyber analyseresultaterne for scenarierne.
Afsnit 6 præsenterer en række følsomhedsanalyser.
Analysen er underbygget af en række appendikser, som i detaljer beskriver de forudsætninger og anta-
gelser, der ligger til grund for analysen og analysens resultater. Følgende appendikser supplerer rappor-
ten:
Appendiks 1
forudsætninger for finansielle analyser
Appendiks 2
analyse af organisationsmodeller
Appendiks 3
forudsætninger for arealanvendelse
Appendiks 4
forudsætninger for udbygningstakter
Appendiks 5
overordnet beregningsmetode og fastlæggelse af diskonteringsrenter
Appendiks 5a
gennemgang af peer-grupper
Appendiks 6
relevante momsmæssige forhold for Lynetteholmen I/S
Appendiks 7
boligudbud, -efterspørgsel og -priser
Appendiks 8
oversigt over pengestrømme.
19
TRU, Alm.del - 2020-21 - Endeligt svar på spørgsmål 454: Spm. om ministeren, på baggrund af besvarelsen af TRU alm. del – spørgsmål 342, vil redegøre for, om hemmeligstemplingen af Ernst & Youngs rapport om finansiering og organisering af Lynetteholm er i strid med miljøoplysningsloven, til transportministeren
2394232_0041.png
Transport- og Boligministeriet
Undersøgelse af finansiering og organisering af
Lynetteholmen
2
Analyseramme
Nærværende afsnit beskriver på et overordnet plan den metode, vi har anvendt til at vurdere finansie-
ringsbidraget fra LIS.
Metodeafsnittet består af følgende hovedelementer:
Metode til vurdering af finansieringsbidraget
Metode til vurdering af boligprisudvikling.
Metodeafsnittet er suppleret af en række appendikser, som detaljeret beskriver vores metode og analy-
seramme.
2.1
Metode til vurdering af finansieringsbidraget fra LIS
En detaljeret beskrivelse af den anvendte metode fremgår af appendiks 5.
LIS vil i fremtiden generere pengestrømme fra en række aktiviteter, som samlet vil danne grundlag for
finansieringsbidraget til infrastruktur.
I Tabel 5 nedenfor har vi identificeret nedenstående centrale aktiviteter, som genererer væsentlige pen-
gestrømme til LIS:
Aktivitet
Evt. frivilligt bidrag
Beskrivelse
Frivillige bidrag fra REDA drevet af den værditilvækst, som REDA oplever
qua etablering af infrastruktur til området.
Modtagelse af overskudsjord og udgifter til spunsning.
1. Jorddeponi og spuns
2. Salg af byggeretter
Direkte salg af byggeretter til hhv. kommercielle boliger og erhverv samt
almennyttige boliger og institutioner.
Udvikling og salg af nøglefærdige ejendomme i en partnerskabsstruktur i
samarbejde med en privat aktør.
Udvikling og udlejning med efterfølgende salg. Udlejning i en femårig peri-
ode grundet skattemæssige forhold. Ligeledes udvikling, udlejning og salg i
en partnerskabsstruktur i samarbejde med en privat aktør.
Udvikling og drift af parkeringsanlæg.
Tilbageførsel af ejendomsskatter fra nye ejendomme i analysens områder. I
basisscenarier antages værdien af denne aktivitet at være nul grundet usik-
kerhed om det fremtidige ejendomsskattesystem.
LIS køber arealer for at sikre sammenhæng i udviklingsområdet og som del
af de undersøgte organisationsmodeller.
3. Udvikling og salg af nøglefærdige
ejendomme
4. Udvikling, udlejning og efterføl-
gende salg af ejendomme
5. Parkering
6. Evt. tilbageførsel af ejendoms-
skatter
Køb af arealer ifm. ejerskifte
Tabel 5: Overblik over aktiviteter i LIS
Til værdiansættelse af de samlede pengestrømme, der genereres af LIS, kvantificeres disse bidrag base-
ret på analysens anvendte forudsætninger.
2.1.1
Risiko og organisationsmodel
LIS’ samlede pengestrømme vil afhænge af den valgte organisationsmodel og LIS’ risikovillighed.
Aktiviteter som jorddeponi og spuns samt salg af byggeretter er forbundet med en relativ lavere risiko
end aktiviteter som udvikling og salg af nøglefærdige ejendomme samt udvikling, udlejning og efterføl-
gende salg af ejendomme, som er forbundet med en relativt høj risiko.
20
TRU, Alm.del - 2020-21 - Endeligt svar på spørgsmål 454: Spm. om ministeren, på baggrund af besvarelsen af TRU alm. del – spørgsmål 342, vil redegøre for, om hemmeligstemplingen af Ernst & Youngs rapport om finansiering og organisering af Lynetteholm er i strid med miljøoplysningsloven, til transportministeren
2394232_0042.png
Transport- og Boligministeriet
Undersøgelse af finansiering og organisering af
Lynetteholmen
For at bestemme størrelsen af finansieringsbidraget afhængigt af den valgte organisationsmodel er der
behov for at korrigere for hhv. LIS’ finansieringsomkostning og den risiko, der er forbundet ved LIS’ for-
skellige aktiviteter.
For at sikre at hhv. LIS’ risiko og LIS’ mulighed for at skabe profit er reflekteret i analysens resultater,
har vi beregnet hhv. finansieringsbidraget (risikojusteret) og det samlede finansieringspotentiale (ikke
risikojusteret), som defineret herunder:
Det størst mulige realistiske finansieringsbidrag
beregnes som nutidsværdien af LIS’ samlede pen-
gestrømme, hvor vi estimerer værdien af LIS’ forventede samlede pengestrømme under hensynta-
gen til risikoen i pengestrømmene og investorernes alternativomkostninger.
Den samlede potentielle finansieringsevne
beregnes som den maksimale gæld, som LIS kan ser-
vicere ud fra antagelser om en realrentesats og gældens løbetid. Der er således i denne beregning
ikke taget højde for de risici
26
, der helt naturligt er ved projektet.
Forskellen mellem finansieringsbidraget og den potentielle finansieringsevne er illustreret af Figur 6
herunder:
Figur 6: Finansieringsbidrag og potentiel finansieringsevne
Vi har beregnet finansieringsbidraget som nutidsværdien af LIS’ samlede pengestrømme under anta-
gelse af passende diskonteringsrenter, der tager højde for projektets risici. Ved anvendelse af denne
metode reflekteres LIS’ risici i diskonteringsrenter, som fastsættes ved hjælp af sammenligning mod
markedsaktører med en tilsvarende risikoprofil.
Finansieringsbidraget af LIS’ pengestrømme er derfor risikokorrigeret, og under antagelse af et perfekt
marked vil finansieringsbidraget være det samme, uagtet om LIS tager en mindre risiko ved at sælge
byggeretter eller en større risiko ved selv at udvikle områderne. Dette skyldes, at det antages, at LIS
kan sælge byggeretterne til den risikovægtede markedspris eller selv kan tage risikoen i udviklingsperio-
den.
Det bemærkes, at den samlede potentielle finansieringsevne (bestemt som den maksimale gæld LIS’ kan
servicere under antagelse af en realrente på 3,0%) vil være højere, hvis LIS tager en yderligere risiko.
Dette er beskrevet nærmere i appendiks 5, afsnit 2.4.
26
Lynetteholmenprojektet strækker sig over en lang tidshorisont og er i høj grad påvirket af eksterne risikofaktorer,
herunder særligt prisudviklingen for ejendomme, anlægsomkostninger m.fl. For at tage højde for disse risikofaktorer
er finansieringsbidraget beregnet som nutidsværdien af LIS’ pengestrømme under hensyn til LIS’ risikoprofil. LIS’
samlede potentielle finansieringsevne, når der ikke tages højde for disse risici, vil dog være større, særligt i det om-
fang LIS øger sin risikoeksponering.
21
TRU, Alm.del - 2020-21 - Endeligt svar på spørgsmål 454: Spm. om ministeren, på baggrund af besvarelsen af TRU alm. del – spørgsmål 342, vil redegøre for, om hemmeligstemplingen af Ernst & Youngs rapport om finansiering og organisering af Lynetteholm er i strid med miljøoplysningsloven, til transportministeren
2394232_0043.png
Transport- og Boligministeriet
Undersøgelse af finansiering og organisering af
Lynetteholmen
2.1.2
Risiko estimeres baseret på markedsrisiko
LIS vil komme til at bestå af en lang række projekter, som organiseres direkte under LIS, eller i en række
partnerskaber med private udviklere afhængigt af den valgte organisationsform. Dette adskiller sig væ-
sentlig fra et
”normalt”
offentligt anlægsprojekt, hvor der typisk vil være en stor initial anlægsomkost-
ning, der kan undergå en detaljeret risikoanalyse og tillægges en anlægsbudgetreserve.
Når finansieringsbidraget fra LIS skal beregnes, er der behov for at tage højde for den type risiko , der
karakteriserer et selskab med mange delvist uafhængige aktiviteter og risici. Således påvirkes LIS af en
række markedsrelaterede risici i hele projektforløbet. Disse risici inkluderer anlægsrisici, prisudvikling og
udvikling i anlægsomkostninger m.fl.
Det er vores vurdering, at den bedste tilgang til at prissætte disse risici er ved at sammenholde LIS’ risi-
koeksponering med sammenlignelige markedsaktører, hvor markedet har prissat risikoen (børsnoterede
selskaber).
LIS’ risiko er karakteriseret af to centrale aktiviteter:
Aktiviteter med lav risiko, som har en lav liggeomkostning og en fleksibel tidshorisont.
Aktiviteter med højere risiko, som er forbundet med investeringer og/eller liggeomkostninger, og
hvor LIS er bundet af aktiviteten, når denne er igangsat.
Vi har estimeret den markedsbaserede risiko ved at se på sammenlignelige børsnoterede selskaber,
hvorved risikoen er markedsmæssigt fastsat. Konkret medfører denne tilgang, at pengestrømme, som
genereres i lavrisikoaktiviteter, tilbagediskonteres med en lav diskonteringsrente i den periode, aktivite-
ten er i denne kategori. Så snart der tages beslutning om at udvikle et område i eksempelvis et partner-
skab, anvendes derimod en højere diskonteringsrente. Denne diskonteringsrente anvendes dog kun for
selve udviklingsperioden, dvs. den periode, hvor LIS er engageret i denne partnerskabsstruktur.
Ovennævnte er illustreret i Figur 7 herunder:
Figur 7: Principper for diskontering
2.1.3
Den estimerede risiko baseret på de samlede anlægsomkostninger
I det omfang LIS organiseres på en måde, hvor der sker udvikling af ejendomme, vil LIS oppebære væ-
sentlige anlægsomkostninger foruden de direkte anlægsomkostninger til etablering af Lynetteholmen.
For at synliggøre den traditionelle anlægsrisiko (som der i et traditionelt offentligt anlægsprojekt skal
tilsidesættes reserver til) har vi opstillet et overblik over LIS’ samlede eksponering over for anlægsom-
kostninger opdelt på følgende hovedaktiviteter:
Jorddeponi og spuns
Byggemodning
Udvikling af ejendomme m.v.
Denne analyse viser, hvor store de samlede anlægsomkostninger er for LIS, og vil således indikere LIS’
eksponering for anlægsrisiko, jf. afsnit 5.2.
Det skal bemærkes, at der er tale om en lang række uafhængige projekter (hvor nogle vil gå godt, og an-
dre dårligt), og derfor vil denne tilgang ikke give et realistisk billede af projektets faktiske , samlede ri-
siko.
22
TRU, Alm.del - 2020-21 - Endeligt svar på spørgsmål 454: Spm. om ministeren, på baggrund af besvarelsen af TRU alm. del – spørgsmål 342, vil redegøre for, om hemmeligstemplingen af Ernst & Youngs rapport om finansiering og organisering af Lynetteholm er i strid med miljøoplysningsloven, til transportministeren
2394232_0044.png
Transport- og Boligministeriet
Undersøgelse af finansiering og organisering af
Lynetteholmen
2.1.4
Diskonteringsrenter
De anvendte diskonteringsrenter kan sammenfattes i nedenstående Tabel 6:
Diskonteringsrente
Beskrivelse
Nominel
diskonterings-
rente
Real
diskonterings-
rente
Diskonteringsrente for aktiviteter med lav risiko
og ingen/lav kapitalbinding.
Diskonteringsrente 1 er fastsat baseret på en
peer-gruppe af selskaber, som hovedsageligt er
involverede i aktiviteter, som omfatter fasthol-
delse af ejendomme over en længere periode.
5,3%
3,8%
Diskonteringsrente 1
Diskonteringsrente 2
Diskonteringsrente for aktiviteter med høj risiko
og høj kapitalbinding.
Diskonteringsrente 2 er fastsat baseret på en
peer-gruppe af selskaber, som hovedsageligt er
involverede i developeraktiviteter og aktiviteter
med tilsvarende høj risiko og kapitalbinding.
8,1%
6,5%
Tabel 6: Anvendte diskonteringsrenter
2.1.5
Realrente
Vi anvender en realrenteforudsætning på 3,0%. Denne forudsætning er baseret på udgangspunktet i an-
dre beslutningsgrundlag for store indtægtsfinansierede anlægsprojekter, herunder Femern Bælt-forbin-
delsen, analyser af en Kattegatforbindelse m.v.
2.2
Metode til vurdering af boligprisudvikling
Udviklingen i ejendomsmarkedet spiller en central rolle for det samlede finansieringsbidrag fra LIS, her-
under spiller særligt boligprisudviklingen en væsentlig rolle, da denne historisk har vokset mere end er-
hvervspriser, og at boliger udgør en væsentlig større del af den samlede bygningsmasse.
Finansieringsbidraget vil selvsagt afhænge af, hvilken pris boligerne kan afsættes til, og i hvilken takt
boligerne kan afsættes. Vi har derfor udarbejdet en prognose for dette baseret på en langsigtet bolig-
prismodel for det københavnske boligmarked, som vi har udviklet til formålet.
Prognosen er udarbejdet i tre trin:
Trin 1: Prognose for de fremtidige stigningstakter for boligpriser og udbygningstakt for boligmas-
sen
Trin 2: Salgspriser i dag for sammenlignelige boliger
Trin 3: Prognose for salgspriser for udviklingsområder relateret til Lynetteholmen.
Nedenfor beskriver vi kort de tre trin. I appendiks 7
Incentive (2020): Boligudbud, -efterspørgsel og
-priser: Beregningsforudsætninger for udbygning af Lynetteholmen og Refshaleøen
findes en detaljeret
beskrivelse af arbejdet.
23
TRU, Alm.del - 2020-21 - Endeligt svar på spørgsmål 454: Spm. om ministeren, på baggrund af besvarelsen af TRU alm. del – spørgsmål 342, vil redegøre for, om hemmeligstemplingen af Ernst & Youngs rapport om finansiering og organisering af Lynetteholm er i strid med miljøoplysningsloven, til transportministeren
2394232_0045.png
Transport- og Boligministeriet
Undersøgelse af finansiering og organisering af
Lynetteholmen
2.2.1
Trin 1: Prognose for de fremtidige stigningstakter for boligpriser og udbygningstakt for boligmassen
Da fremskrivninger over mange år er behæftede med stor usikkerhed, opererer vi med to modeller for
udviklingen af boligpriser, jf. Tabel 7 nedenfor.
I begge modeller forudsættes udbygningen af boligmassen at ske i takt med KK’s planer/forventninger.
Modellerne adskiller sig ved, at vi i model A forudsætter, at renten gradvist stiger i henhold til FM’s prog-
nose, således at realrenten på et 30-årigt realkreditlån i 2040 udgør 3,6%, mens vi i model B forudsæt-
ter, at renten forbliver på det nuværende lave niveau på ca. 1,0%:
Model for boligprisudvikling
Model A: Basis boligprisudvikling
med rentenormalisering
Kort beskrivelse
Udbygningen af boligmassen i København sker i takt med KK’s planer/forvent-
ninger. Renten forudsættes at stige gradvist i henhold til FM’s prognose, så re-
alrenten på et 30-årigt realkreditlån i 2040 er 3,6%.
Udbygningen af boligmassen i København sker i takt med KK’s planer/forvent-
ninger. Renten forudsættes ikke at ændre sig fra det nuværende niveau.
Model B: Basis boligprisudvikling
med uændrede renter
Tabel 7. To modeller for den fremtidige prisudvikling på det københavnske boligmarked
Fremskrivningerne er baseret på en prognose for den demografiske udvikling i København, den fremti-
dige vækst i borgernes indkomster, effekterne af lånebegrænsninger, en korrektion for forskellen mel-
lem det nuværende prisniveau og det strukturelle prisniveau samt parametre, der beskriver, hvordan
borgernes boligefterspørgsel afhænger af indkomst og boligpriser.
Fremskrivningerne er, som nævnt, usikre. Udviklingen vil bl.a. afhænge af fremtidige indkomststigninger
for de nuværende københavnere og tilflyttere, ændringer i den finansielle regulering af boligkøb, æn-
dringer i reguleringen af boligmarkedet, ændrede skatteregler, ændringer i flyttemønstre mellem land
og by, konjunkturer, renteniveauet og udbygningen af boligområder i Københavns omegnskommuner.
Dette er parametre der, grundet analysens lange tidshorisont, er behæftede med stor usikkerhed.
Prognose for udvikling i boligpriserne
Vi har opsummeret prognoserne for udviklingen i boligpriserne i de to modeller i Tabel 8:
Boligprismodel
Gennemsnitlig årlig vækst
År
Model A: Basis boligprisudvik-
ling med rentenormalisering
Model B: Basis boligprisudvik-
ling med uændrede renter
2020-2030
1,0%
1,7%
2031-2040
1,3%
2,2%
2041-2075
2,6%
2,6%
Hele perioden
2,1%
2,4%
Tabel 8. Opsummering af boligprisudviklingen for de to modeller for 2020-2075
Af Tabel 8 ses følgende:
I model A, hvor realrenten stiger frem til 2040, stiger priserne med 2,1% i hele perioden frem til
2075.
I model B, hvor realrenten ikke stiger, stiger priserne med 2,4% i hele perioden frem til 2075.
Det skal bemærkes, at prognosen for begge modeller for 2020-2030 er påvirket af den gradvise tilpas-
ning til det strukturelle niveau, og at prognosen er påvirket af antagelser om lånebegrænsninger for
nogle husholdninger. Til sammenligning er prisen på ejerboliger i København steget med 6,5% om året i
gennemsnit i de seneste 25 år. Priserne har i denne periode været påvirket af en række ekstraordinære
24
TRU, Alm.del - 2020-21 - Endeligt svar på spørgsmål 454: Spm. om ministeren, på baggrund af besvarelsen af TRU alm. del – spørgsmål 342, vil redegøre for, om hemmeligstemplingen af Ernst & Youngs rapport om finansiering og organisering af Lynetteholm er i strid med miljøoplysningsloven, til transportministeren
2394232_0046.png
Transport- og Boligministeriet
Undersøgelse af finansiering og organisering af
Lynetteholmen
begivenheder og tiltag, som har øget priserne, herunder introduktionen af nye låneformer, afdragsfri-
hed, skattestop og byfornyelse. Vi estimerer, at prisstigningerne ville have været i omegnen af 3,6% om
året uden disse tiltag.
Historisk er boligpriserne steget mere i byer som Oslo, Stockholm, Paris og London.
Vi har gennemført to supplerende følsomhedsanalyser, der viser effekterne af en lavere udvikling i bo-
ligpriserne, der svarer til den historiske stigning i byggeomkostningerne, og en kraftigere stigning i bo-
ligpriserne, der svarer til den historiske prisstigningstakt korrigeret for de ekstraordinære tiltag.
Prognoser for udbygningstakt
I Figur 8 har vi opsummeret prognoserne for udbygningstakten af boligmassen i København og sammen-
holdt disse med den historiske udbygningstakt i perioderne 1986-2006 og 2012-2019.
Prognosen for udbygningen er den samme i de to modeller. Den er, som nævnt, fastlagt ud fra KK’s
planer/forventninger til udbygningen af boligmassen. Ifølge disse udbygges boligmassen med 218.000
m
2
om året i gennemsnit frem mod 2075, hvilket er lavere end det historiske gennemsnit på 382.000
m
2
om året for 2012-2019, men højere end gennemsnittet for 1986-2006 på 82.000 m
2
om året. Sam-
let udbygges boligmassen i København med 47% frem til 2075.
450.000
400.000
350.000
300.000
361.000
Basis
boligprisudvikling
205.000
159.000
Historisk
gennemsnit
2012-2019
Historisk
gennemsnit
1986-2006
Årlig m2
250.000
200.000
150.000
100.000
50.000
0
Kilde: Incentive.
Figur 8. Årlig udbygning af boligmassen, m
2
pr. år (gennemsnit for udvalgte perioder)
27
2.2.2
Trin 2: Salgspriser i dag for sammenlignelige boliger
I trin 2 har vi vurderet, hvad lejligheder, der svarer til dem, der opføres på Lynetteholmen, Refshaleøen
m.fl., i dag ville koste, hvis de var opført og klar til salg.
Vi har vurderet dette ud fra en opgørelse af de gennemsnitlige realiserede salgspriser i seks udvalgte
referenceområder.
Det historiske gennemsnit er baseret på data fra Danmarks Statistisk, gennemsnit for 2012 -2019 er baseret på
BYGB34 (boligareal), og gennemsnit for 1986-2006 er baseret på BYGB1 (parcel- og stuehuse, række-, kæde- og
dobbelthuse, etageboliger og anden helårsbeboelse. Areal angiver bygningens samlede areal, dvs. bygningens etage-
areal, tagetageareal og kælderareal).
27
2020
2022
2024
2026
2028
2030
2032
2034
2036
2038
2040
2042
2044
2046
2048
2050
2052
2054
2056
2058
2060
2062
2064
2066
2068
2070
2072
2074
25
TRU, Alm.del - 2020-21 - Endeligt svar på spørgsmål 454: Spm. om ministeren, på baggrund af besvarelsen af TRU alm. del – spørgsmål 342, vil redegøre for, om hemmeligstemplingen af Ernst & Youngs rapport om finansiering og organisering af Lynetteholm er i strid med miljøoplysningsloven, til transportministeren
2394232_0047.png
Transport- og Boligministeriet
Undersøgelse af finansiering og organisering af
Lynetteholmen
De gennemsnitlige salgspriser fremgår af Tabel 9 nedenfor. De gennemsnitlige salgspriser varierer mel-
lem DKK 35.200 og 56.700 pr. m
2
i de seks referenceområder. Gennemsnittene dækker desuden over
en betydelig variation i priserne inden for de enkelte områder. Medianen ligger på niveau eller lidt lavere
end gennemsnittet:
Referenceområde
1. Nordhavn
2. Langelinie, Midtermolen, Frederiksstaden m.fl.
3. Nærområde til Refshaleøen
4. Kløverparken
5. Teglholmen
6. Ørestad
Gennemsnitlig salgspris
52.800 (37.100-77.400)
49.900 (32.100-76.400)
56.700 (41.200-89.700)
37.200 (25.400-47.100)
40.600 (25.700-54.700)
35.200 (26.400-44.600)
Median
50.900
49.100
53.600
37.300
40.100
35.400
Tabel 9: Salgspriser for referenceområder, DKK pr. m² (min. og maks. er angivet i parentes
ved henholdsvis 2,5%-fraktilen og 97,5%-fraktilen)
28
Ud fra en vurdering af karakteristika for og salgspriserne i de seks referenceområder vurderer vi, at
gennemsnitspriserne i udviklingsområderne A-D ville være som angivet i Tabel 10 nedenfor, hvis de var
klar til salg i dag:
Område
Område A: Lynetteholmen
Område B: Refshaleøen
Område C: Quintus
Område D: Kløverparken
Estimeret salgspris i dag
46.000
46.000
Ej relevant, alene erhverv
42.000
Tabel 10. Estimerede salgspriser for område A-D, DKK pr. m²
For at sikre at de anvendte priser er realiserbare i markedet, har vi i forhold til de i Tabel 9 anførte refe-
rencesalgspriser på de undersøgte områder foretaget en mindre prisjustering på ca. 10% ift. de mest
sammenlignelige referenceområder, som er Nordhavn og Langelinie samt nærområdet til Refshaleøen.
Denne justering skal ses i lyset af, at ikke alle arealer vil være med samme attraktive beliggenhed ved
vand, og at visse arealer endvidere vil ligge i nærheden af industriområder.
Ovenstående salgspriser reflekterer en situation, hvor områderne er færdigudviklede og infrastruktur
samt faciliteter er etableret, så områderne er attraktive boligområder, svarende til niveauet for øvrige
udviklingsområder i de centrale dele af København.
For at kompensere for de gener, der alt andet lige er ved at tilflytte et udviklingsområde med en lang
udviklingshorisont, har vi indarbejdet en generel nedjustering af salgspriserne i de første 10 år af et ud-
viklingsområde. Salgsprisen pr. m
2
på DKK 46.000 og DKK 42.000 er før denne nedjustering.
Priserne er opgjort på baggrund af de faktiske salgspriser for ejerlejligheder solgt i perioden 2017 -2019 registre-
ret på boligsiden.dk. Boliger, der er solgt som familiekøb, indgår ikke i opgørelsen. For boliger, der er solgt flere
gange, anvendes nyeste salgspris. De 2,5% laveste og højeste observationer er frasorteret for at undgå effekt fra
outliers. Vi har ikke korrigeret salgspriserne for de enkelte boligsalg for prisstigninger i perioden 2017 -2019. De gen-
nemsnitlige salgspriser er derfor en smule lavere end salgspriserne for de seneste handler. De laveste og højeste kva-
dratmeterpriser i de enkelte referenceområder er angivet i parentes.
Kilde: Incentive på baggrund af data fra boligsiden.dk.
28
26
TRU, Alm.del - 2020-21 - Endeligt svar på spørgsmål 454: Spm. om ministeren, på baggrund af besvarelsen af TRU alm. del – spørgsmål 342, vil redegøre for, om hemmeligstemplingen af Ernst & Youngs rapport om finansiering og organisering af Lynetteholm er i strid med miljøoplysningsloven, til transportministeren
2394232_0048.png
Transport- og Boligministeriet
Undersøgelse af finansiering og organisering af
Lynetteholmen
2.2.3
Trin 3: Prognose for salgspriser for udviklingsområder relateret til Lynetteholmen
Ved at kombinere input fra trin 1 og 2 kan vi estimere prisudviklingen for boligerne i de relevante udvik-
lingsområder. Resultatet fremgår af Figur 9 nedenfor, der viser prognosen for prisudviklingen for Ly-
netteholmen og Refshaleøen.
Priserne for Kløverparken forudsættes at følge samme trend, men altså fra et lavere udgangspunkt.
100.000
90.000
80.000
70.000
67.800
46.000 46.000
50.200
54.300
57.300
73.400
86.900
DKK pr. m
2
60.000
50.000
40.000
30.000
20.000
10.000
-
2020
2030
2040
2050
Basis boligprisudvikling (rentenormalisering)
Basis boligprisudvikling (uændrede renter)
Figur 9. Prognose for boligpriser på Lynetteholmen og Refshaleøen til samlet analyse af fi-
nansieringspotentiale, DKK pr. m
2 29
2.2.4
Andel af indkomsten husholdninger bruger på bolig
I vores basisscenarie stiger boligpriserne hurtigere end indkomsten. Det betyder, at husholdningerne alt
andet lige vil bruge en stigende del af deres indkomst på bolig i fremtiden.
For at illustrere effekten har vi i Figur 10 illustreret udviklingen for husholdninger, der i dag bruger 20%
af deres indkomst på bolig:
Figur 10: Eksempel på andel af indkomsten, som husholdninger bruger på bolig
Som det fremgår, stiger andelen af husstandens indkomst, der bruges på bolig, i dette eksempel til lige
under 35% i 2060.
29
Det bemærkes, at der for alle områder indgår en nedjustering af salgsprisen i de første 10 år af et nyt udviklings-
område, som reflekterer de gener, der er forbundet ved at tilflytte et udviklingsområde med en lang udviklingshori-
sont.
27
TRU, Alm.del - 2020-21 - Endeligt svar på spørgsmål 454: Spm. om ministeren, på baggrund af besvarelsen af TRU alm. del – spørgsmål 342, vil redegøre for, om hemmeligstemplingen af Ernst & Youngs rapport om finansiering og organisering af Lynetteholm er i strid med miljøoplysningsloven, til transportministeren
Transport- og Boligministeriet
Undersøgelse af finansiering og organisering af
Lynetteholmen
Udgangspunktet på de 20% er tænkt som et illustrativt eksempel. Der vil være husholdninger, der bruger
en større andel til bolig, og husholdninger, der bruger en mindre andel til bolig.
Det er i øvrigt værd at bemærke, at husholdningerne i eksemplet stadig vil få flere penge til overs til an-
det forbrug i fremtiden, i takt med at indkomsterne stiger, til trods for at de anvender en stigende
andel
af deres indkomst til bolig.
Endelig er det værd at bemærke, at indkomsterne kan stige med mere end de forudsatte 0,9% om året,
hvis husholdningerne, der flytter til København, har en højere gennemsnitsindkomst end de husholdnin-
ger, der flytter fra København. Det vil reducere andelen af indkomsterne, som bruges på bolig, med de
forudsatte boligprisstigninger.
28
TRU, Alm.del - 2020-21 - Endeligt svar på spørgsmål 454: Spm. om ministeren, på baggrund af besvarelsen af TRU alm. del – spørgsmål 342, vil redegøre for, om hemmeligstemplingen af Ernst & Youngs rapport om finansiering og organisering af Lynetteholm er i strid med miljøoplysningsloven, til transportministeren
Transport- og Boligministeriet
Undersøgelse af finansiering og organisering af
Lynetteholmen
3
Organisationsmodeller
Nærværende afsnit beskriver de organisatoriske rammebetingelser og de organisationsmodeller, der
danner grundlag for beregningen af finansieringsbidraget.
For en detaljeret gennemgang af organisationsmodeller henvises til appendiks 2.
3.1
Baggrund for LIS
Formålet med etableringen af LIS som en selvstændig økonomisk enhed er, at anlæggelsen af Lynette-
holmen som projekt skal være selvfinansierende og generere det størst mulige realistiske finansierings-
bidrag til infrastruktur.
Med etablering af LIS skabes der en klar ansvarsstruktur for udviklingen af området og for opgørelsen af
områdets finansieringsevne. LIS vil ligeledes, som selvstændig økonomisk aktør, kunne inddrage andre
aktører og eksempelvis samarbejde med REDA ift. også at udvikle Refshaleøen. Ligeledes vil evt. fremti-
dige tilføjelser til projektet kunne høre direkte under LIS, og derved vil man bibeholde en klar organisa-
tion med direkte mandat og udgangspunkt i området.
En forudsætning for at kunne realisere finansieringsbidraget fra arealudvikling på Lynetteholmen er at
afdække, under hvilke organisatoriske rammer dette kan opnås, herunder også vurdere, hvilken betyd-
ning forskellige mulige organisationsmodeller har for finansieringsevnen i projektet.
Til at afdække dette har vi etableret et framework til at afsøge det mulige udfaldsrum for organisations-
modeller og på baggrund af dette opstillet en bruttoliste over mulige organisationsmodeller. Med ud-
gangspunkt i denne liste og i samarbejde med projektets styregruppe har vi dernæst udvalgt de tre mest
sandsynlige og realiserbare organisationsmodeller for LIS, der vil indgå i scenarierne for analysen af fi-
nansieringsbidraget for Lynetteholmen.
3.2
Framework for organisationsmodeller
Vi har etableret et framework for organisationsmodeller, som tager udgangspunkt i to dimensioner:
Involveringsdimensionen: LIS kan operere ud fra kun at sælge byggeretter til at udvikle, udleje og
efterfølgende sælge ejendomme:
-
-
-
LIS kan vælge en kort involvering, hvor byggeretter sælges hurtigt med relativ lav risiko.
Alternativt kan LIS vælge en lang involvering, hvor byggeretter udvikles til ejendomme, som
enten frasælges eller eventuelt udlejes for at blive solgt senere.
Valg af organisering vurderes at ville have markant indflydelse på LIS’ finansieringspotentiale
og risici.
Samarbejdsdimensionen: LIS kan operere fra at agere alene til at samarbejde og have fælles ejer-
skab med andre aktører:
-
-
-
LIS kan vælge ikke at samarbejde med andre aktører og alene forestå udviklingen af de nye til-
gængelige arealer, evt. i konkurrence med REDA og andre aktører.
Alternativt kan samarbejdsmodeller inddrage øvrige interessenter, eksempelvis kan der opret-
tes et fælles udviklingsselskab med deltagelse af REDA.
Samarbejdsgraden kan bidrage til at reducere risici og muliggøre fordelagtige incitamentsstruk-
turer. Det samlede potentiale må dog forventes reduceret, når fx risici deles.
29
TRU, Alm.del - 2020-21 - Endeligt svar på spørgsmål 454: Spm. om ministeren, på baggrund af besvarelsen af TRU alm. del – spørgsmål 342, vil redegøre for, om hemmeligstemplingen af Ernst & Youngs rapport om finansiering og organisering af Lynetteholm er i strid med miljøoplysningsloven, til transportministeren
2394232_0051.png
Transport- og Boligministeriet
Undersøgelse af finansiering og organisering af
Lynetteholmen
Det anvendte framework for organisationsmodeller har dannet grundlag for opstilling af en række mu-
lige organisationsmodeller for Lynetteholmen, som er sammenfattet i Figur 11 herunder:
Figur 11: Bruttoliste over mulige organisationsmodeller
Vi har, i samarbejde med projektets styregruppe, udvalgt tre organisationsmodeller og to ydermodeller,
som danner grundlag for kvantificeringen af finansieringsbidraget. Modellerne er udvalgt ud fra føl-
gende parametre:
Modeller kan gå på tværs af de ovenfor opstillede principielle modeller for at optimere sammenhæn-
gen mellem samarbejde, risiko og realiserbarhed.
Kun de mest sandsynlige og realiserbare modeller skal analyseres i dybden og kvantificeres.
Modeller med meget begrænset involvering fra LIS er fravalgt, da de ikke i passende omfang repræ-
senterer villigheden til at tage en vis grad af risiko for at øge LIS’ økonomiske potentiale.
Modeller med lang involvering ville gå længere end LIS’ forventede risikotolerance, samtidig med at
en sådan involvering formentlig ville blive mødt af konkurrencemæssige udfordringer.
På baggrund af bruttolisten er tre organisationsmodeller og to ydermodeller fastsat i samarbejde med
projektets styregruppe, jf. nedenstående Figur 122:
Figur 12: De tre udvalgte organisationsmodeller og to ydermodeller
Modellerne er således valgt ud fra en betragtning om, at kun de mest sandsynlige og realiserbare model-
ler skal analyseres i dybden og kvantificeres.
30
TRU, Alm.del - 2020-21 - Endeligt svar på spørgsmål 454: Spm. om ministeren, på baggrund af besvarelsen af TRU alm. del – spørgsmål 342, vil redegøre for, om hemmeligstemplingen af Ernst & Youngs rapport om finansiering og organisering af Lynetteholm er i strid med miljøoplysningsloven, til transportministeren
2394232_0052.png
Transport- og Boligministeriet
Undersøgelse af finansiering og organisering af
Lynetteholmen
3.3
Gennemgang af udvalgte tre organisationsmodeller og to ydermodeller
De udvalgte tre organisationsmodeller og to ydermodeller vil i nærværende afsnit blive uddybet.
Organisationsmodellerne adskiller sig primært ift., hvordan LIS vil interagere med og tage højde for
REDA. Dette manifesterer sig gennem de forskellige måder, hvorpå modellerne håndterer REDA:
Organisationsmodel 1: REDA forbliver en ekstern aktør og konkurrent til LIS og betaler et frivilligt
bidrag til infrastruktur.
Organisationsmodel 2: LIS køber alle REDAs arealer på Refshaleøen. Derved fjernes en konkurrent,
men til gengæld modtages der ikke et frivilligt bidrag.
Organisationsmodel 3: LIS og REDA går sammen i et partnerskab med REDA (eksempelvis i et P/S-
selskab) om at udvikle REDAs arealer på Refshaleøen. Derved fjernes en konkurrent.
3.3.1
Som det fremgår af Figur 13, kan LIS’ aktiviteter inddeles i to kategorier:
Aktiviteter, som direkte varetages af LIS.
Aktiviteter, som foretages i samarbejde med en privat aktør i en partnerskabsstruktur.
I organisationsmodel 1 varetager LIS således selv salg af byggeretter, mens udvikling og salg af nøgle-
færdige ejendomme samt udvikling, udlejning og efterfølgende salg af ejendomme foretages i samar-
bejde med en privat aktør i en partnerskabsstruktur. Dette går igen i organisationsmodel 2 og 3. Som
nævnt adskiller organisationsmodellerne sig primært ift., hvordan LIS vil interagere med og tage højde
for REDA.
I organisationsmodel 1 indgår LIS ikke et samarbejde med REDA, men indgår alene en aftale om et frivil-
ligt bidrag.
LIS’ finansieringsbidrag til infrastruktur vil være afledt af et miks af pengestrømme fra lavrisikoaktivite-
ter som salg af byggeretter og pengestrømme fra højere risikoaktiviteter som udvikling og salg af ejen-
domme. Det må således kunne forventes, at LIS vil kunne realisere et forholdsvist stort økonomisk po-
tentiale.
Tidshorisonten for organisationsmodel 1 vil være at betragte som lang ift. den tid, som LIS er involveret
i projektaktiviteter, idet det antages, at LIS ud over salg af byggeretter vil involvere sig i udvikling og
salg af både nøglefærdige ejendomme og udlejningsejendomme, jf. punkt 3 og 4 i Figur 13.
REDAs rolle er som udgangspunkt at betragte som værende en ekstern aktør og potentiel konkurrent til
LIS. I organisationsmodel 1 ændres dette forhold ikke, og REDA vil derfor kun interagere formelt med
LIS gennem dets frivillige bidrag til infrastruktur. Refshaleøen vil derfor blive udviklet separat fra Ly-
netteholmen.
31
TRU, Alm.del - 2020-21 - Endeligt svar på spørgsmål 454: Spm. om ministeren, på baggrund af besvarelsen af TRU alm. del – spørgsmål 342, vil redegøre for, om hemmeligstemplingen af Ernst & Youngs rapport om finansiering og organisering af Lynetteholm er i strid med miljøoplysningsloven, til transportministeren
2394232_0053.png
Transport- og Boligministeriet
Undersøgelse af finansiering og organisering af
Lynetteholmen
3.3.2
Figur 14: Organisationsmodel 2
hovedtræk og pengestrømme
Ligesom i organisationsmodel 1 antages det i organisationsmodel 2, at LIS selv varetager salget af byg-
geretter, mens LIS i en partnerskabsstruktur udvikler og sælger nøglefærdige ejendomme samt udvikler,
udlejer og efterfølgende sælger ejendomme.
I organisationsmodel 2 køber LIS REDAs arealer på Refshaleøen og forestår derfor selv udviklingen
heraf i samarbejde med en privat aktør i en partnerskabsstruktur.
Det økonomiske potentiale forventes at være større end ved organisationsmodel 1, idet LIS vil kunne
realisere afkast fra udvikling og salg af ejendomme både på egne og REDAs arealer, og udviklingen og
frasalget vil kunne tilpasses efterspørgslen og demografien m.v. Dog vil LIS også skulle oppebære risi-
koen for et større areal og udviklingen heraf. Det økonomiske potentiale er derfor i høj grad drevet af
LIS’ evne til at omsætte omkostningerne ved at overtage REDAs arealer til værdi igennem udvikling og
salg af ejendomme.
Tidshorisonten for organisationsmodel 2 vil, ligesom ved organisationsmodel 1, være at betragte som
lang ift. den tid, som LIS er involveret i projektaktiviteter, idet det antages, at LIS ud over salg af byg-
geretter vil involvere sig i udvikling og salg af både nøglefærdige ejendomme og udlejningsejendomme
på egne arealer og på REDAs arealer.
3.3.3
Ligesom i organisationsmodel 1 og 2 antages det i organisationsmodel 3, at LIS selv varetager salget af
byggeretter, mens LIS i en partnerskabsstruktur udvikler og sælger nøglefærdige ejendomme samt ud-
vikler, udlejer og efterfølgende sælger ejendomme.
32
TRU, Alm.del - 2020-21 - Endeligt svar på spørgsmål 454: Spm. om ministeren, på baggrund af besvarelsen af TRU alm. del – spørgsmål 342, vil redegøre for, om hemmeligstemplingen af Ernst & Youngs rapport om finansiering og organisering af Lynetteholm er i strid med miljøoplysningsloven, til transportministeren
2394232_0054.png
Transport- og Boligministeriet
Undersøgelse af finansiering og organisering af
Lynetteholmen
I organisationsmodel 3 antages det, at LIS og REDA samarbejder om REDAs arealer på Refshaleøen , ek-
sempelvis i en partnerskabsstruktur.
Organisationsmodel 3’s økonomiske potentiale forventes at være større end organisationsmodel 1 og på
linje med organisationsmodel 2, idet LIS vil kunne realisere afkast fra udvikling og salg af ejendomme
både på egne og REDAs arealer. Dog vil LIS ift. organisationsmodel 2 kun realisere afkast fra 50% af RE-
DAs arealer, som der til gengæld ikke skal købes andel i.
Tidshorisonten for organisationsmodel 3 vil være at betragte som lang ift. den tid, som LIS er involveret
i projektaktiviteter, idet det antages, at LIS ud over salg af byggeretter vil involvere sig i salg og udlej-
ning af ejendomme bl.a. i samarbejde med REDA for hvad angår REDAs arealer.
Ift. organisationsmodel 1 og 2 forventes organisationsmodel 3 at have et relativt højt niveau af koordi-
neringsomkostninger, da udviklingsbeslutninger vil skulle afklares med interessenter fra både LIS og
REDA.
3.3.4
Ydermodeller
Dette afsnit vil skitsere grundtrækkene for de to udvalgte ydermodeller 1 og 2, jf. Figur 16 og Figur 17.
Ift. at afdække det fulde spænd af finansieringsbidraget, som Lynetteholmen som projekt kan generere,
er følgende relevante og specifikke ydermodeller blevet udvalgt i koordinering med projektets styre-
gruppe:
Ydermodel 1: Kun salg af byggeretter
Ydermodel 2: Kun udvikling af ejendomme.
Ydermodel 1: Kun salg af byggeretter
Figur 16: Ydermodel 1
hovedtræk og pengestrømme
Som det fremgår af Figur 16, repræsenterer ydermodel 1 et minimalistisk, teoretisk scenarie for LIS,
hvor der kun foretages jorddeponi og spuns, salg af byggeretter samt parkeringsaktivitet.
Tidshorisonten for LIS er her kort ift. den tid, som LIS er involveret i projektaktiviteter, og det økonomi-
ske potentiale og de associerede risici er begrænsede. I teorien er ingen aktiviteter henlagt i P/S -selska-
ber. Den eneste aktør er således LIS, som ejer, administrerer og står for salg af byggeretter.
Ydermodel 1 belyser derfor, hvorledes finansieringsbidraget kunne se ud, hvis LIS besluttede at operere
med lavest mulige risikotolerance og tidshorisont.
33
TRU, Alm.del - 2020-21 - Endeligt svar på spørgsmål 454: Spm. om ministeren, på baggrund af besvarelsen af TRU alm. del – spørgsmål 342, vil redegøre for, om hemmeligstemplingen af Ernst & Youngs rapport om finansiering og organisering af Lynetteholm er i strid med miljøoplysningsloven, til transportministeren
2394232_0055.png
Transport- og Boligministeriet
Undersøgelse af finansiering og organisering af
Lynetteholmen
Ydermodel 2: Kun udvikling af ejendomme
Figur 17: Ydermodel 2
hovedtræk og pengestrømme
Som det fremgår af Figur 17, repræsenterer ydermodel 2 et teoretisk højrisikoscenarie for LIS, hvor LIS
ikke sælger nogle kommercielle byggeretter, men udvikler alle de kommercielle byggeretter i en partner-
skabsstruktur sammen med developere og entreprenører. P/S-selskaberne både udvikler og sælger nøg-
lefærdige ejendomme samt udvikler, udlejer og efterfølgende sælger ejendomme. Tidshorisonten for LIS
er lang, og det økonomiske potentiale og de associerede risici er store.
Ydermodel 2 belyser derfor, hvorledes finansieringsbidraget kunne se ud, hvis LIS besluttede at operere
med størst mulig risikotolerance og tidshorisont med ambitionen om at realisere det teoretisk største
finansieringspotentiale.
3.4
Generelle juridiske overvejelser
For samtlige af de tre udvalgte organisationsmodeller vil hjemmelsgrundlaget for LIS skulle define re in-
teressentskabets formål, ejerforhold og rammer for udviklingen af Lynetteholmen. Normalt vil et I/S
med statslig deltagelse have mulighed for at udøve accessorisk virksomhed samt have adgang til at
stifte selskaber og erhverve ejerandele i andre selskaber som led i formålsvaretagelsen, men det bør
fremhæves særskilt, hvis det bliver en central del af fremgangsmåden for udviklingen af Lynetteholmen.
Private aktører vil ikke deltage i selve interessentskabet, men de vil eventuelt kunne deltage i P/S -sel-
skaber eller som investorer i øvrigt.
Ligeledes vil anvendelsen af partnerskaber i eksempelvis P/S-selskaber til salg af byggeretter skulle defi-
neres eksakt for hver af de tre organisationsmodeller, herunder ejerforhold og privates mulighed for sel-
skabsdeltagelse. Private parters deltagelse i et P/S må ikke give dem en fordel, som de ikke kunne opnå
på markedet, og i det omfang et P/S udøver økonomisk aktivitet, skal det også ske på markedsvilkår.
Desuden skal det afklares, om udvælgelsen af samarbejdspartnere skal ske ved annoncering/udbud, så
alle private aktører får samme mulighed for at deltage. Overordnet set bør involveringen af private aktø-
rer ske på grundlag af aftaler baseret på armslængdeprincippet og markedsvilkår. Fremgangsmåden ved
valg af private aktører bør på denne baggrund fastlægges i LIS’ hjemmelsgrundlag
30
.
3.4.1
Grundlæggende statsstøtteprincipper
I statsstøtteanalysen af organiseringen og finansieringen af Lynetteholmen er der to gennemgående te-
maer:
Hvilke aktiviteter er økonomiske og risikerer at påvirke konkurrencen (og hvilke er omvendt ikke-
økonomiske/henhører under myndighedsudøvelse og/eller vil ikke påvirke konkurrencen). Disse ak-
tiviteter kan inkludere, men er ikke begrænsede til salg, udlejning, drift m.v. (vs. planlægning, for-
valtning m.v.).
30
Det bemærkes, at det er afgørende, at LIS etableres som et skattetransparent selskab (fx I/S eller P/S), idet selska-
bet ellers skal betale selskabsskat af overskuddet.
34
TRU, Alm.del - 2020-21 - Endeligt svar på spørgsmål 454: Spm. om ministeren, på baggrund af besvarelsen af TRU alm. del – spørgsmål 342, vil redegøre for, om hemmeligstemplingen af Ernst & Youngs rapport om finansiering og organisering af Lynetteholm er i strid med miljøoplysningsloven, til transportministeren
Transport- og Boligministeriet
Undersøgelse af finansiering og organisering af
Lynetteholmen
Indgår det offentlige alle transaktioner med de økonomiske/konkurrenceudsatte aktiviteter på mar-
kedsvilkår (eller opnår disse aktiviteter eller involverede private virksomheder omvendt en fordel,
som markedet ikke ville give dem). Problematikker associeret hermed inkluderer valg af privat del-
tager ved udbud og værdiansættelse af aktiver m.v.
Hvis der ydes en fordel til økonomiske/konkurrenceudsatte aktiviteter, skal det overvejes, om denne for-
del kan ydes som lovlig og forenelig statsstøtte
formentlig efter forudgående notifikation.
Hvert
”aktivitetsniveau”
i organisationsmodellerne skal således analyseres selvstændigt og konkret uan-
set juridisk form (LIS, P/S-selskaber, REDA, entreprenører, brugere m.v.).
For en detaljeret gennemgang af LIS’ økonomiske aktiviteter henvises til appendiks 2.
35
TRU, Alm.del - 2020-21 - Endeligt svar på spørgsmål 454: Spm. om ministeren, på baggrund af besvarelsen af TRU alm. del – spørgsmål 342, vil redegøre for, om hemmeligstemplingen af Ernst & Youngs rapport om finansiering og organisering af Lynetteholm er i strid med miljøoplysningsloven, til transportministeren
2394232_0057.png
Transport- og Boligministeriet
Undersøgelse af finansiering og organisering af
Lynetteholmen
4
Kritiske faktorer
I nærværende afsnit beskrives de væsentlige kritiske faktorer for værdifastsættelse af udviklingsområ-
derne A-D.
En detaljeret beskrivelse af de anvendte forudsætninger fremgår af appendiks 1.
4.1
Ejendomspriser
LIS genererer størstedelen af pengestrømme fra ejendomsrelaterede aktiviteter, hhv.:
Salg af byggeretter
Udvikling og salg af nøglefærdige ejendomme
Udvikling, udlejning og efterfølgende salg af ejendomme.
4.1.1
Værdiansættelse af byggeretter
Byggeretter værdiansættes baseret på hhv. byggeomkostninger og salgspriser. Byggeretspriser afhæn-
ger således af forudsætningerne for arealanvendelse, da anlægsomkostninger og salgspriser afhænger
af anvendelsen.
Byggeretter værdiansættes som residualværdien af indtægter og omkostninger ved udvikling af bygge -
retter. Således anvendes samme metode, som fandt anvendelse i
Forundersøgelse Østlig Ringvej, 2018,
hvilket sikrer konsistens på tværs af analyserne.
Baseret på den anvendte metode kan byggeretspriser fastsættes til nedenstående niveau i 2020 i en
situation med uændrede renter (i DKK pr. etagemeter)
31
:
Område
Område A: Lynetteholmen
Kommerciel bolig
8.100
Kommercielt
erhverv
7.200
Almennyttig
bolig
32
4.500
Institutioner
5.000
Tabel 11: Byggeretspriser i 2020 for områder A-D (i en situation med uændrede renter).
Byggeretspriser er for byggemodnede grunde efter 10%’s nedjustering i salgspriser
33
Ud fra de anvendte forudsætninger vurderes den teoretiske værdi af en byggeret i 2020 på Lynettehol-
men til DKK 8.100 pr. etagemeter. Dette er på niveau med dagens marked for byggeretter, som er i ni-
veauet DKK 6.000-10.000 pr. etagemeter afhængig af området.
Det bemærkes, at i et scenarie med rentenormalisering vil byggeretspriserne for boliger stige på kort sigt. Dette
skyldes, at realobligationsrenten forventes at falde til 0,0% frem mod 2021, hvorefter den stiger til 3,6% i 2040, jf.
FM’s prognose. Et fald i realobligationsrenten har en positiv effekt på salgspriserne, jf. appendiks 7.
32
Byggeretspris for salgspriser er baseret på residualværdien ved etablering af almennyttige boliger med udgangs-
punkt i de definerede maksimumpriser.
33
Det antages, at salgspriser i nye byudviklingsområder er lavere grundet gener i udviklingsperioden. På denne bag-
grund har vi valgt at reducere salgspriser med 10% faldende til 0% over en 10-årig periode i nye udviklingsområder.
31
36
TRU, Alm.del - 2020-21 - Endeligt svar på spørgsmål 454: Spm. om ministeren, på baggrund af besvarelsen af TRU alm. del – spørgsmål 342, vil redegøre for, om hemmeligstemplingen af Ernst & Youngs rapport om finansiering og organisering af Lynetteholm er i strid med miljøoplysningsloven, til transportministeren
2394232_0058.png
Transport- og Boligministeriet
Undersøgelse af finansiering og organisering af
Lynetteholmen
Da prisudviklingen for boliger i hhv. organisationsmodel 2 og 3 stiger hurtigere end byggeomkostnin-
gerne, vil byggeretspriser for kommercielle boliger opleve en større vækst end den underliggende pris-
udvikling for boliger, som illustreret i Figur 18 herunder:
Rentenormalisering
Akk. årlig gennemsnitlig
vækst (CAGR)
Boligpris: 1,6%
Byggeretspriser: 4,0%
322
Uændrede renter
Akk. årlig gennemsnitlig
vækst (CAGR)
Boligpris: 2,1%
Byggeretspriser: 5,2%
500
450
400
350
300
500
450
400
350
300
459
298
Indeks
250
200
150
100
50
-
Indeks
195
109
160
100
2020
Boligpris
250
200
158
100
147
100
2020
Boligpris
100
150
189
118
109
125
100
50
-
2030
2040
2050
2030
2040
2050
Byggeretspris
Byggeretspris
Figur 18: Sammenhæng mellem udvikling i boligpriser og byggeretspriser
Af Figur 18 ses det, at den forventede vækst i boligpriser vil drive en væsentlig vækst i byggeretspriser,
efterhånden som forskellen mellem anlægsomkostninger og salgspriser stiger.
I en situation med rentenormalisering estimerer vi, at den reale byggeretspris i 2050 vil være om-
trent tredoblet i forhold til dagens niveau (en stigning fra indeks 100 til 322).
I en situation med uændrede renter estimerer vi, at den reale byggeretspris i 2050 vil være mere
end firdoblet i forhold til dagens niveau (en stigning fra indeks 100 til 459).
Da byggeretspriserne er en residual af ejendomsprisudviklingen, vil byggeretspriser være særligt
følsomme over for udviklingen i ejendomspriser. Således ses det, at en ændring i prisudviklingen for
boliger på ca. 0,5%-point medfører en væsentlig ændring i udvikling af byggeretspriser på ca. 1,2%-
point. Stiger boligpriserne således hurtigere end forudsat, vil værdien af byggeretter ligeledes stige
endnu mere. Omvendt vil en langsommere vækst i boligprisudviklingen medføre lavere vækst i byg-
geretspriserne.
Jf. ovenstående er det vores vurdering, at byggeretspriserne vil stige fra et niveau på omkring DKK
8.000 pr. m² i 2020 til op mod ca. DKK 38.000 pr. m² i 2050
34
. Vi forventer således, at byggeret-
ter i fremtiden vil stige væsentligt ift. dagens niveau. Sammenholdes de estimerede priser med fx
arealpriser i London på op mod DKK 50.000-85.000 pr. m
2
, vurderes niveauet dog fortsat at være
rimeligt ift., hvad der ses i storbyer med tilsvarende høje salgspriser for boliger
35
. Dette er uddybet
i appendiks 7.
4.1.2
Værdiansættelse af udvikling og salg af nøglefærdige ejendomme
Direkte salg af nøglefærdige ejendomme omfatter udvikling af ejendomme og umiddelbart derefter et
salg af disse nøglefærdige ejendomme til tredjepart. For LIS dækker denne aktivitet over hhv. salg af
private boliger og salg af erhvervsejendomme.
Det antages, at LIS gennemfører udvikling og salg af nøglefærdige ejendomme i en partnerskabsstruktur
med en privat part, eksempelvis i P/S-selskaber. Denne struktur er valgt for at reducere LIS’ risiko og for
34
35
I en situation med uændrede renter og en gennemsnitlig boligpris i 2050 på ca. DKK 87.000 pr. m
2
.
Arealpriser i London på DKK 50.000-85.000 pr. m
2
i områder med salgspriser på bolig i niveauet DKK 95.000 -
145.000 pr. m
2
.
37
TRU, Alm.del - 2020-21 - Endeligt svar på spørgsmål 454: Spm. om ministeren, på baggrund af besvarelsen af TRU alm. del – spørgsmål 342, vil redegøre for, om hemmeligstemplingen af Ernst & Youngs rapport om finansiering og organisering af Lynetteholm er i strid med miljøoplysningsloven, til transportministeren
2394232_0059.png
Transport- og Boligministeriet
Undersøgelse af finansiering og organisering af
Lynetteholmen
at sikre, at LIS får mulighed for at inddrage viden fra den private part. Således sikrer partnerskabsstruk-
turen, at LIS løbende kan inddrage private aktører, som ofte vil have væsentlige resurse inden for udvik-
ling og salg af ejendomme.
Værdien af aktiviteten for LIS er bestemt som nutidsværdien af pengestrømmen for LIS for en periode
på fem år bestående af hhv. en treårig etableringsperiode og en toårig periode til salg.
Til værdiansættelsen anvendes den høje diskonteringsrente 2, jf. afsnit 2. Salgspriser, omkostninger og
udviklingshorisont er bestemmende for, hvor stor værdi LIS genererer for de forskellige aktiviteter.
38
TRU, Alm.del - 2020-21 - Endeligt svar på spørgsmål 454: Spm. om ministeren, på baggrund af besvarelsen af TRU alm. del – spørgsmål 342, vil redegøre for, om hemmeligstemplingen af Ernst & Youngs rapport om finansiering og organisering af Lynetteholm er i strid med miljøoplysningsloven, til transportministeren
2394232_0060.png
Transport- og Boligministeriet
Undersøgelse af finansiering og organisering af
Lynetteholmen
4.1.3
Værdiansættelse af udvikling, udlejning og efterfølgende salg af ejendomme
Værdiansættelse af udvikling, udlejning og efterfølgende salg af ejendomme beregnes ligeledes som nu-
tidsværdien af en developers pengestrømme over udviklingsperioden. Det antages ligeledes, at LIS gen-
nemfører denne aktivitet i en partnerskabsstruktur med en privat part.
Kommercielle boliger, der udlejes, anlægges over en treårig periode, udlejes i fem år og sælges efterføl-
gende over en toårig periode. Indtægter fra salg fordeles ligeligt over de to år.
Som for direkte salg anvendes en nutidsværdibetragtning til opgørelse af værdien for LIS. Der anvendes
ligeledes den høje diskonteringsrente 2, jf. afsnit 2.
39
TRU, Alm.del - 2020-21 - Endeligt svar på spørgsmål 454: Spm. om ministeren, på baggrund af besvarelsen af TRU alm. del – spørgsmål 342, vil redegøre for, om hemmeligstemplingen af Ernst & Youngs rapport om finansiering og organisering af Lynetteholm er i strid med miljøoplysningsloven, til transportministeren
2394232_0061.png
Transport- og Boligministeriet
Undersøgelse af finansiering og organisering af
Lynetteholmen
4.2
Planforudsætninger
Analysen har fokus på fire udviklingsområder. De anvendte planforudsætninger fremgår af nedenstå-
ende Tabel 12 og uddybes i appendiks 3:
Område
Område A: Lynetteholmen
Lynetteholmen har et areal på ca. 2.820.000 m
2
bestående af jordop-
fyld. Arealet antages at blive opfyldt i perioden 2022-2062.
Området vil blive anvendt til byudvikling, og et større areal reserveres til
park og andre rekreative formål.
Området er ejet af LIS.
Bebyggelsesprocent på 150 for den oprindelige del af arealet på
1.900.000 m
2
.
Område B: Refshaleøen
Refshaleøen har et areal på ca. 1.070.000 m
2
bestående af hhv. tidli-
gere industrigrunde og Renseanlæg Lynetten.
Området vil blive anvendt til byudvikling. Dog kan arealet, som anvendes
til renseanlæg, først anvendes efter 2035.
Området er ejet af hhv. REDA, B&H og BIOFOS.
Bebyggelsesprocent på 150 for hele området.
Område C: Quintus
Quintus er udlagt til forurenende erhverv, miljøklasse 6-7. En 50 meter
bred korridor på området er udlagt til potentiel transportkorridor imel-
lem Magretheholmen og Amagerforbrændingen.
Området antages at kunne anvendes til forurenende erhverv i begræn-
set omfang.
Området er ejet af KK samt B&H.
Det samlede areal er ca. 300.000 mio. m
2
, men grundet den potentielle
transportkorridor og placeringen af Amagerforbrændingen på området,
vurderes 80.000 m
2
at kunne bebygges.
Bebyggelsesprocent på 110 for hele området.
Område D: Kløverparken
Kløverparken dækker et areal på ca. 455.000 m². Området er i dag kun
delvist bebygget og p.t. udlagt til industri. Området er ejet af flere
grundejere, herunder KK, B&H, Skanska, Raffinaderivej 10 A/S, HOFOR
og Kløvermarken A/S.
Raffinaderivej 10 A/S’ og HOFORs arealer indgår ikke i analysen, idet
arealerne ikke antages at erhverves af LIS. Kløverparkens samlede areal
ekskl. disse arealer vurderes således at udgøre ca. 390.000 m
2
.
Bebyggelsesprocent på 150 for hele området.
Totalt areal i analysen
4.360.000
5.135.000
80.000
90.000
1.070.000
1.610.000
2.820.000
2.850.000
Areal (m
2
)
Etagemeter
36
(m
2
)
390.000
585.000
Tabel 12: Oversigt over planforudsætninger
4.2.1
Udbygningshastighed
Udbygningshastigheden bestemmes af boligprismodellen for at sikre sammenhæng mellem udbuddet af
byggegrunde, efterspørgslen og salgspriserne
37
. Som nævnt sker udbygningen i takt med KK’s pla-
36
37
Forudsætningen anvendt i basisscenarierne. Der gennemføres følsomheder for forskellige bebyggelsesprocenter.
I følsomhed 1, hvor priserne holdes nede af en aggressiv udbygning, vil der være væsentlig mangel på arealer i
analysens fire områder A-D. Vi har desuden antaget, at det er begrænset, hvor meget der kan bygges i et enkelt om-
råde ad gangen. Udbygningen i følsomhed 1 kræver herved anvendelse af andre områder, som er uddybet i appen-
diks 4.
40
TRU, Alm.del - 2020-21 - Endeligt svar på spørgsmål 454: Spm. om ministeren, på baggrund af besvarelsen af TRU alm. del – spørgsmål 342, vil redegøre for, om hemmeligstemplingen af Ernst & Youngs rapport om finansiering og organisering af Lynetteholm er i strid med miljøoplysningsloven, til transportministeren
2394232_0062.png
Transport- og Boligministeriet
Undersøgelse af finansiering og organisering af
Lynetteholmen
ner/forventninger. Derudover har vi foretaget to følsomhedsanalyser med hhv. en aggressiv udbyg-
ningstakt og en konservativ udbygningstakt, jf. appendiks 4 og appendiks 7. I alle situationer er der en
arealbegrænsning, som er bestemt af jordopfyldningshastigheden for Lynetteholmen.
Den samlede udbygning for alle områder fremgår af nedenstående Figur 21:
5.000.000
4.500.000
4.000.000
3.500.000
2035: Forventet færdiggørelse af infrastruktur
etagemeter
3.000.000
2.500.000
2.000.000
1.500.000
1.000.000
500.000
-
2019
2021
2023
2025
2027
2029
2031
2033
2035
2037
2039
2041
2043
2045
2047
2049
2051
2053
2055
2057
2059
2061
2063
2065
2067
2069
2071
2073
2075
2077
2079
2081
Følsomhed 1: Lav boligprisudvikling
Følsomhed 2: Høj boligprisudvikling
Model A og B: Basis boligprisudvikling
Arealbegrænsning
Figur 21: Overblik over udbygningstakt i scenarier
Generelt er udbygningstakterne baseret på følgende grundprincipper:
Mængden af byggeretter, der udvikles pr. år, drives af boligprismodellen.
Udbygning af Lynetteholmen fra 2035 for at sikre passagergrundlag til metroen.
KK’s rækkefølgeplan respekteres i det omfang, dette er muligt. Således kan områderne udbygges
hurtigere, men vil altid blive udviklet i samme rækkefølge.
Lynetteholmen kan først udbygges efter 2035, når hhv. Østlig Ringvej og metroen er færdiggjort.
Tidsplan for udbygning af de enkelte delområder fremgår af nedenstående figur:
Model A og B: Basis boligprisudvikling (moderat udbygning)
300.000
Årlig udbygning (m
2
)
250.000
200.000
150.000
100.000
50.000
-
Refshaleøen
Refshaleøen, depot
Kløverparken
Lynetten
Lynetteholmen
Figur 22: Udbygningstakt for boliger i model A og B
basis boligprisudvikling
I scenariet med basis boligprisudvikling vil det være nødvendigt at udbygge København med ca.
160.000-360.000 m
2
bolig pr. år for at holde prisudviklingen på boliger nede, som beskrevet i afsnit 2.
Denne mængde boliger kan umiddelbart absorberes af de allerede planlagte områder samt af analysens
områder.
I scenariet med basis boligprisudvikling påbegyndes udbygning af analysens arealer, jf. KK’s notat be-
regningstekniske forudsætninger (Beregningstekniske
forudsætninger for udbygningen af Lynetteholm-
sprojektet,
9. september 2019). Dette skal sikre konsistens med øvrige analysespor, herunder trafikale
analyser af metro og Østlig Ringvej.
41
2083
TRU, Alm.del - 2020-21 - Endeligt svar på spørgsmål 454: Spm. om ministeren, på baggrund af besvarelsen af TRU alm. del – spørgsmål 342, vil redegøre for, om hemmeligstemplingen af Ernst & Youngs rapport om finansiering og organisering af Lynetteholm er i strid med miljøoplysningsloven, til transportministeren
2394232_0063.png
Transport- og Boligministeriet
Undersøgelse af finansiering og organisering af
Lynetteholmen
Lynettehol-
men forventes at være fuldt udbygget i 2063.
Der vil først opstå et mindre behov for at udbygge arealer uden for analysens områder efter 2063 grun-
det arealbegrænsning på Lynetteholmen, men behovet vil være begrænset til ca. 50.000 m
2
bolig i
2063.
4.2.2
Arealanvendelse
Foruden de tilgængelige arealer har arealanvendelsen væsentlig indflydelse på værdien af områderne A-
D i analysen. Bebyggelsesprocenter og arealanvendelse er fastsat med udgangspunkt i principperne fra
KIK-2 og input fra projektets styregruppe.
Et overblik over centrale bebyggelsesprocenter og bygningssammensætning for arealanvendelse er
sammenfattet i Tabel 13 herunder:
Beskrivelse
Fordeling mellem boliger,
erhverv og parkering
38
Baggrund
Fordeling baseret på KK’s notat,
Beregningstekniske
forudsætninger for udbygningen af Lynetteholmspro-
jektet.
Central forudsætning
Almennyttig andel
Almennyttig andel på 25% af boligmassen på tværs af
alle arealer, jf. KK’s Kommuneplan 2015 og 2019
(hhv. Kommuneplan 2015 og Kommuneplan 2019).
Parkeringsforudsætninger baseret på
Analyse af bil-
og cykelparkeringsnormerne i København, Kommune-
plan 2019.
Det antages, at en p-plads optager 30 m
2
.
60% bolig
25% erhverv
15% parkering
25% af total bolig-
masse
175 m
2
bolig pr.
p-plads
150 m
2
erhverv pr. p-
plads
300 m
2
institution pr.
p-plads
39
33% af erhvervsareal
ekskl. parkering
Parkeringsdækning
Institutioner
For alle blandede områder antages det, at 33% af er-
hvervsmassen reserveres til institutioner.
Tabel 13: Oversigt over øvrige arealforudsætninger
4.3
Moms
For en detaljeret gennemgang af relevante momsmæssige forhold for LIS henvises til appendiks 6.
Inden for rammerne af LIS er det muligt at foretage visse strukturelle tilpasninger, der eliminerer uhen-
sigtsmæssige momsomkostninger hos sælger og/eller køber. Vi har antaget, at LIS foretage r de nødven-
dige strukturelle tilpasninger, men det understreges, at de faktiske momsforhold er afhængige af den
struktur, som LIS etableres efter.
Som udgangspunkt forudsætter vi imidlertid, at LIS etablerer en række P/S-selskaber til udviklingen af
Lynetteholmen og de omkringliggende områder, hvor LIS har en ejerandel. Vi forudsætter endvidere, at
LIS fællesregistrerer alle P/S-selskaberne under ét, hvilket betyder, at LIS som udgangspunkt kan over-
føre byggeretter til P/S-selskaberne momsfrit.
LIS er involveret i forskellige aktiviteter, som genererer pengestrømme, jf. afsnit 0. Der gælder generelt
forskellige momsmæssige forhold for de enkelte aktiviteter, hvilket LIS bør være opmærksom på, når
38
39
Overordnet vurdering baseret på en blanding af grundskole (1:425 m
2
), daginstitution (1:200 m
2
) og plejecentre
(1:500 m
2
). For øvrige offentlige og almene formål fastsættes parkeringsnorm baseret på den konkrete funktion.
42
TRU, Alm.del - 2020-21 - Endeligt svar på spørgsmål 454: Spm. om ministeren, på baggrund af besvarelsen af TRU alm. del – spørgsmål 342, vil redegøre for, om hemmeligstemplingen af Ernst & Youngs rapport om finansiering og organisering af Lynetteholm er i strid med miljøoplysningsloven, til transportministeren
2394232_0064.png
Transport- og Boligministeriet
Undersøgelse af finansiering og organisering af
Lynetteholmen
P/S-selskabet etableres. Vi har gennemgået de momsmæssige forhold ved nedenstående aktiviteter i
appendiks 6:
Salg af byggeretter
Udvikling og salg af nøglefærdige ejendomme
Udvikling, udlejning og efterfølgende salg af ejendomme.
4.4
Ejendomsskatter
Det fremgår af Principaftalen om anlæg af Lynetteholmen, at LIS oppebærer indtægter fra mergrund-
skyld af projektet
40
.
En model for tilbageførsel af grundskyld kendes fra finansieringsmodellen, som blev anvendt ved etable-
ringen af Ørestad og Nordhavn, hvor B&H i rollen som udviklingsselskab modtog et merprovenu fra
grundskyld som en fordring fra KK.
Det er muligt at estimere nutidsværdien af Lynetteholmens og de omkringliggende områders ejendoms-
skatter, herunder både grundskyld og dækningsafgift, og tilbageføre denne værdi ud fra en model tilsva-
rende den, der fandt anvendelse ved Ørestad. Således har vi estimeret ejendomsskatterne over en 50-
årig periode og tilbagediskonteret værdien af disse skatter til en nutidsværdi ved anvendelse af en rente
på 4,0%
41
, som kan tilbageføres til LIS. Til beregningen har vi anvendt den forventede grundskyldspro-
mille i KK på 12,6‰ og en dækningsafgiftspromille på 9,8‰.
En væsentlig faktor i estimatet af ejendomsskatter efter kommunalt udligningsbidrag er, hvor stor en del
af KK’s øgede skatteeffekt, der udlignes og herved ikke tilkommer KK.
I det nuværende ejendomsskattesystem har KK et positivt nettoprovenu fra grundskyld fra nye byområ-
der efter udligning svarende til, at ca. 80% af indtægterne udlignes.
I maj 2017 blev der indgået en politisk aftale om et nyt ejendomsskattesystem. Afhængigt af hvordan
dette nye ejendomsskattesystem implementeres, vil andelen af grundskyld og dækningsafgift, der udlig-
nes i KK, kunne stige til potentielt over 100% for nye grunde. Det er vores forståelse, at der frem til
2026 er aftalt en overgangsordning, hvor grundskyld og dækningsafgift indgår i udligningssystemet ba-
seret på den nuværende ejendomsvurdering og skattepromille. Efter 2026 har vi dog ikke kendskab til
den konkrete grundskyldsmodel, da det er vores forståelse, at denne p.t. ikke er fastlagt.
Baseret på denne usikkerhed omkring den fremtidige grundskyld og dækningsafgift samt afledte udlig-
ning anvendes følgende forudsætninger i analysen:
Tilbageførsel af grundskyld og dækningsafgift indgår ikke i basisscenariet grundet den høje usikker-
hed om bidragets størrelse.
Vi har desuden gennemført følgende følsomhedsanalyser:
En følsomhedsanalyse, hvor grundskyld og dækningsafgift indgår efter en model svarende til den
anvendte model for Ørestad, men med en udligningsprocent på 80%, jf. den nuværende situation.
En følsomhedsanalyse, hvor det antages, at arealerne i analysen indgår med den fulde grundskyld
og dækningsafgift ud fra en antagelse om, at der evt. kan indføres en særlovgivning, der friholder
analysens områder for udligning af grundskylden og dækningsafgift (dvs. en ordning, hvor grund-
skylden og dækningsafgiften direkte tilbageføres til projektet uden om udligningssystemet).
4.5
Jorddeponi og spuns
En væsentlig forudsætning for udbygning af Lynetteholmen er etablering ved at aftage overskudsjord.
Denne faktor vil have en direkte og indirekte effekt på værdien af LIS:
Der er en direkte indtægt og omkostning forbundet med modtagelse af overskudsjord.
40
41
Baseret på samme model, som fandt anvendelse for Østlig Ringvej-projektet, indgår ligeledes dækningsafgift.
Samme sats, som fandt anvendelse i analyse af Østlig Ringvej og ifm. beregning af bidrag fra Ørestad og Nordhavn.
43
TRU, Alm.del - 2020-21 - Endeligt svar på spørgsmål 454: Spm. om ministeren, på baggrund af besvarelsen af TRU alm. del – spørgsmål 342, vil redegøre for, om hemmeligstemplingen af Ernst & Youngs rapport om finansiering og organisering af Lynetteholm er i strid med miljøoplysningsloven, til transportministeren
2394232_0065.png
Transport- og Boligministeriet
Undersøgelse af finansiering og organisering af
Lynetteholmen
Indirekte vil hastigheden, hvorved projektet modtager overskudsjord, diktere den maksimale udvik-
lingshastighed for Lynetteholmen.
For anlægsomkostninger, indtægter og jordopfyldshastighed anvendes forudsætninger baseret på B&H’s
indledende analyse af projektet:
Jordopfyld af Lynetteholmen i perioden 2022-2062.
Området modtager 2 mio. ton jord pr. år.
Jordindtægt vurderes til DKK 50 pr. ton, og spunsomkostninger til i alt DKK 1.750 mio.
Når VVM-undersøgelsens resultater foreligger, forventes der at indgå en mere detaljeret vurdering af
ovennævnte forhold, hvilket vil blive indarbejdet i analysens resultater.
4.6
Øvrige faktorer
En række øvrige faktorer påvirker værdien af LIS. Disse er sammenfattet herunder:
Håndtering af krydstogtsterminal og havnedrift
Ledningsomkostninger.
Sikkerhedszonen omkring Prøvestenen
4.6.1
Sikkerhedszonen omkring Prøvestenen
Den overvejende del af Prøvestenen bliver i dag anvendt af virksomheder, der af miljømæssige årsager
kræver stor afstand til boliger. For at muliggøre en byudvikling på den anden side af Prøvestenskanalen
er en zonering af Prøvestenen nødvendig, så virksomheder med store sikkerhedsafstande til boliger pla-
ceres længst væk.
Den nuværende lejekontrakt for Prøvestenen ophører i 2035, hvorefter aktiviteterne på Prøvestenen
kan tilpasses, således at det bliver muligt at fjerne/ændre sikkerhedszonens påvirkning af Kløverparken.
I nærværende analyse antages det således, at der efter 2035 ikke vil være en sikkerhedsrestr iktion på
omkringliggende arealer.
4.6.2
44
TRU, Alm.del - 2020-21 - Endeligt svar på spørgsmål 454: Spm. om ministeren, på baggrund af besvarelsen af TRU alm. del – spørgsmål 342, vil redegøre for, om hemmeligstemplingen af Ernst & Youngs rapport om finansiering og organisering af Lynetteholm er i strid med miljøoplysningsloven, til transportministeren
2394232_0066.png
Transport- og Boligministeriet
Undersøgelse af finansiering og organisering af
Lynetteholmen
4.6.3
Håndtering af krydstogtsterminal og havnedrift
Jf. Principaftalen skal det undersøges, i hvilket omfang det er muligt at udflytte visse havneaktiviteter til
Lynetteholmen, blandt andet krydstogtsskibe fra inderhavnen.
På nuværende stade er dette forhold endnu ikke afdækket. I nærværende analyse indgår muligheden for
krydstogtsdrift og evt. havnedrift således ikke direkte.
Hvis der i senere analyser viser sig et behov eller en mulighed for udflytning af sådanne aktiviteter, kan
Copenhagen Malmö Port (CMP)/B&H købe byggeretter på Lynetteholmen til markedspris baseret på en
konkret sag.
4.6.4
Ledningsomkostninger
LIS vil have omkostninger til ledningsomlægninger i det omfang ledninger ikke er placeret på gæsteprin-
cippet. Det er vores forståelse, at langt de fleste ledninger, der påvirkes af Lynetteholmen-projektet, er
placeret på gæsteprincippet, hvorfor omkostninger tilfalder ledningsejere og ikke LIS. Det er på denne
baggrund vores vurdering, at ledningsomlægninger ikke i signifikant grad vil påvirke LIS pengestrømme.
4.7
Sammenfatning af kritiske faktorer og værdier
En sammenfatning af kritiske faktorer fremgår af Tabel 14 herunder:
Aktivitet
Kritiske faktorer
Salg af byggeretter
Udvikling og salg af nøglefærdige ejendomme
Udvikling, udlejning og efterfølgende salg af ejendomme
Parkering
Jorddeponi og spuns
Evt. tilbageførsel af ejendomsskatter
Arealanvendelse
Udvikling i salgspriser for bolig og erhverv
Udvikling i anlægsomkostninger
Udviklingshastigheden
Skatteregler
Risikodeling mellem parter i projektet
Arealanvendelse
Udbygningshastighed
Parkeringsindtægter og anlægsomkostninger
Mængden af overskudsjord ift. udbygningsha-
stighed
Omkostninger til spuns
Udvikling i salgspriser for bolig og erhverv
Arealanvendelse
Skatteregler, herunder udligningsparadigme
Tabel 14: Overblik over kritiske faktorer
Det bemærkes, at der ikke er taget stilling til risici forbundet med tilvejebringelse af en lokalplan m.v. I
nærværende analyse forudsættes det, at resultatet af VVM-undersøgelsen understøtter de forventede
45
TRU, Alm.del - 2020-21 - Endeligt svar på spørgsmål 454: Spm. om ministeren, på baggrund af besvarelsen af TRU alm. del – spørgsmål 342, vil redegøre for, om hemmeligstemplingen af Ernst & Youngs rapport om finansiering og organisering af Lynetteholm er i strid med miljøoplysningsloven, til transportministeren
Transport- og Boligministeriet
Undersøgelse af finansiering og organisering af
Lynetteholmen
tidsplaner og planforudsætninger. Hvis dette viser sig ikke at være tilfældet, bør forudsætningerne for
udviklingen af arealerne genbesøges.
46
TRU, Alm.del - 2020-21 - Endeligt svar på spørgsmål 454: Spm. om ministeren, på baggrund af besvarelsen af TRU alm. del – spørgsmål 342, vil redegøre for, om hemmeligstemplingen af Ernst & Youngs rapport om finansiering og organisering af Lynetteholm er i strid med miljøoplysningsloven, til transportministeren
2394232_0068.png
Transport- og Boligministeriet
Undersøgelse af finansiering og organisering af
Lynetteholmen
5
Scenarier og resultater
For at estimere finansieringsbidraget med hensyn til organisationsform, tidshorisont og risiko har vi op-
stillet fire modeller for boligprisudviklingen, jf. afsnit 2, og tre mulige organisationsmodeller og to yder-
modeller, jf. afsnit 3.
En sammenfatning af hovedforudsætningerne for organisationsmodellerne er sammenfattet herunder:
Organisationsmodel
Ydermodel 1
Kun salg
af byggeretter
Beskrivelse
LIS sælger alene byggeretter
direkte til tredjepart.
LIS antages fortsat at mod-
tage et frivilligt bidrag fra
REDA
Fordeling af aktiver
43
I ydermodel 1 sælges udelukkende byggeretter:
Aktivitet
Salg af byggeretter
Udvikling og salg af nøg-
lefærdige ejendomme
Udvikling, udlejning og ef-
terfølgende salg af ejen-
domme
Organisationsmodel 1
REDA betaler frivilligt
bidrag
LIS sælger byggeretter og
udvikler ejendomme.
REDA betaler et frivilligt bi-
drag
Andel
100%
-
-
Organisationsmodel 2 -
LIS køber REDAs area-
ler på Refshaleøen
LIS sælger byggeretter og
udvikler ejendomme.
LIS køber 100% af REDAs
arealer med
I alle scenarier antages det, at der generelt ud-
vikles 60% bolig, 25% erhverv og 15% parkering
på arealerne.
Det antages, at 25% af boligmassen er almen-
nyttig, og 33% af erhverv er institutioner.
Det antages yderligere, at 50% af de kommerci-
elle byggeretter udvikles i P/S med henblik på
både salg af nøglefærdige ejendomme samt ud-
lejning og efterfølgende salg af ejendomme.
På denne baggrund antages følgende fordeling
af aktiviteter i alle scenarier:
Aktivitet
Andel
63,7%
23,1%
13,2%
Organisationsmodel 3 -
LIS og REDA samarbej-
der om REDAs arealer
LIS sælger byggeretter og
udvikler ejendomme.
Salg af byggeretter
Udvikling og salg af nøg-
lefærdige ejendomme
Udvikling, udlejning og ef-
terfølgende salg af ejen-
domme
Ydermodel 2 - Kun ud-
vikling af ejendomme
LIS udvikler selv alle bygge-
retter i en P/S-struktur.
I ydermodel 2 udvikles alle kommercielle byg-
geretter. Erhvervsejendomme sælges som nøg-
lefærdige ejendomme, og boligejendomme som
udlejningsejendomme.
Byggeretter til institutioner og almennyttig bolig
sælges direkte til tredjepart.
Aktivitet
Salg af byggeretter
Udvikling og salg af nøg-
lefærdige ejendomme
Udvikling, udlejning og ef-
terfølgende salg af ejen-
domme
Andel
27,4%
19,7%
52,9%
Tabel 15: Oversigt over organisations- og ydermodellerne
43
Alle værdier ekskl. parkering. 15% af alle byggeretter er reserveret til parkering.
47
TRU, Alm.del - 2020-21 - Endeligt svar på spørgsmål 454: Spm. om ministeren, på baggrund af besvarelsen af TRU alm. del – spørgsmål 342, vil redegøre for, om hemmeligstemplingen af Ernst & Youngs rapport om finansiering og organisering af Lynetteholm er i strid med miljøoplysningsloven, til transportministeren
2394232_0069.png
Transport- og Boligministeriet
Undersøgelse af finansiering og organisering af
Lynetteholmen
5.1
Vurdering af finansieringsbidraget fra LIS
En oversigt over finansieringsbidraget fremgår af Tabel 16 herunder:
Finansieringsbidrag
(DKK mia.)
Ydermodel 1
Kun salg af byggeretter
Organisationsmodel 1
REDA betaler frivilligt bidrag
Organisationsmodel 2
LIS køber REDAs arealer på Refshaleøen
Organisationsmodel 3
LIS og REDA samarbejder om REDAs
arealer
Ydermodel 2
Kun udvikling af ejendomme
Basis boligprisudvikling med
rentenormalisering
Ydermodel 1a
16,6
Scenarie 1a
17,4
Scenarie 2a
17,4
Scenarie 3a
17,4
Ydermodel 2a
19,5
Basis boligprisudvikling med
uændrede renter
Ydermodel 1b
21,8
Scenarie 1b
22,9
Scenarie 2b
22,9
Scenarie 3b
22,9
Ydermodel 2b
25,7
Tabel 16: Det størst mulige realistiske finansieringsbidrag
Af ovenstående tabel fremgår finansieringsbidraget, som er estimeret ved at beregne nutidsværdien for
LIS’ pengestrømme i 2020. Overordnet bemærkes følgende:
I scenarier, hvor der antages en rentenormalisering, estimeres finansieringsbidraget til DKK 17,4
mia. på tværs af de tre undersøgte organisationsmodeller.
I scenarier, hvor renten ikke ændres, estimeres finansieringsbidraget til DKK 22,9 mia. på tværs af
de tre undersøgte organisationsmodeller.
Det ses, at finansieringsbidraget er det samme på tværs af den valgte organisationsmodel (model 1 -
3). Dette skyldes, at nutidsværdien af LIS ikke påvirkes af den valgte organisationsmodel, da den
risikovægtede værdi af aktiviteterne i LIS er den samme, idet det antages, at LIS køber arealer af
REDA til den korrekte markedspris.
Finansieringsbidraget er meget følsomt over for udviklingen i boligpriserne, og resultaterne for or-
ganisationsmodel 1-3 svinger således mellem DKK 17,4-22,9 mia. afhængig af, om der antages en
boligprisudvikling med rentenormalisering eller en boligprisudvikling med uændrede renter.
Finansieringsbidraget i ydermodel 1 og 2 afviger fra finansieringsbidraget ved organisationsmodel
1-3. Dette skyldes primært momsmæssige forhold. Ved kun at sælge byggeretter opnår LIS ikke fri-
holdelse fra moms, hvorimod LIS ved at udvikle, udleje og efterfølgende sælge ejendomme i en vis
grad kan strukturere sig således, at selskabet kan friholdes fra moms.
Såfremt renteniveauet forbliver uændret, forventes det, at LIS kan bidrage med DKK 22,9 mia. til
finansiering af infrastruktur på sigt. Finansieringspotentialet i spændet mellem de to angivne finan-
sieringsbidrag kan udnyttes senere i projektets levetid, når der er større vished om projektets ind-
tægtsstrømme.
48
TRU, Alm.del - 2020-21 - Endeligt svar på spørgsmål 454: Spm. om ministeren, på baggrund af besvarelsen af TRU alm. del – spørgsmål 342, vil redegøre for, om hemmeligstemplingen af Ernst & Youngs rapport om finansiering og organisering af Lynetteholm er i strid med miljøoplysningsloven, til transportministeren
2394232_0070.png
Transport- og Boligministeriet
Undersøgelse af finansiering og organisering af
Lynetteholmen
5.2
Finansieringsbidrag og risiko
Finansieringsbidraget er estimeret som nutidsværdien af LIS’ samlede pengestrømme under antagelse
af en passende diskonteringsrente. I denne værdi er der taget hensyn til risikoen i pengestrømmene og
investors alternativomkostning, hvorfor værdien af LIS er ens på tværs af organisationsmodel 1 -3 på
trods af, at LIS’ samlede pengestrømme afviger fra organisationsmodel til organisationsmodel.
For at vurdere det samlede finansieringspotentiale i de forskellige organisationsmodeller uagtet risiko har
vi ligeledes udregnet finansieringsevnen for LIS. Finansieringsevnen er udregnet som den maksimale
gæld, som LIS kan servicere ud fra antagelser om en realrente på 3,0%.
Rentenormalisering
45
40
45
40
Uændrede renter
45
40
35
43,4
35,0
34,2
17,7
10,4
7,0
12,1
11,3
45
40
35
30
34,2
35
30
35
33,4
28,8
26,1
22,4
5,8
8,7
27,5
26,8
14,7
30
30
DKK mia.
DKK mia.
25
20
15
10
5
25
20
15
10,1
9,4
DKK mia.
20
15
10
5
-
Ydermodel 1a
20
16,6
17,4
17,4
17,4
19,5
10
5
21,8
22,9
22,9
22,9
25,7
15
10
5
-
Ydermodel 1b
Sc. 1b Sc. 2b Sc. 3b
-
Ydermodel 2b
Sc. 1a Sc. 2a Sc. 3a
-
Ydermodel 2a
Finansieringsbidrag
Potentiel finansieringsevne
Finansieringsbidrag
Potentiel finansieringsevne
Figur 23: Nutidsværdi og potentiel finansieringsevne
Som det fremgår af Figur 23, er finansieringsbidraget på tværs af organisationsmodel 1-3 uændret.
Den potentielle finansieringsevne afviger derimod fra DKK 22,4/28,8 mia. i ydermodel 1 (kun salg af
byggeretter) til DKK 34,2/43,4 mia. i ydermodel 2 (kun udvikling af ejendomme). Dette illustrerer, at
DKK mia.
25
25
49
TRU, Alm.del - 2020-21 - Endeligt svar på spørgsmål 454: Spm. om ministeren, på baggrund af besvarelsen af TRU alm. del – spørgsmål 342, vil redegøre for, om hemmeligstemplingen af Ernst & Youngs rapport om finansiering og organisering af Lynetteholm er i strid med miljøoplysningsloven, til transportministeren
2394232_0071.png
Transport- og Boligministeriet
Undersøgelse af finansiering og organisering af
Lynetteholmen
hvis LIS er villig til at påtage sig yderligere risiko, er den potentielle finansieringsevne også højere, men
tager vi hensyn til risikoen, er finansieringsbidraget uændret (før momsforhold).
Finansieringsbidraget i ydermodellerne afviger fra organisationsmodel 1-3, hvilket skyldes momsmæs-
sige forhold, som nævnt ovenfor.
Det bemærkes, at hvis LIS påtager sig yderligere risici, er det potentielle tab ligeledes større. Nedenfor
har vi vist det samlede anlægsbudget inkl. byggemodning for hver af organisationsmodellerne og yder-
modellerne. Det bemærkes, at omkostninger er upåvirkede af boligprisudviklingen:
Totale anlægsomkostninger
inkl. byggemodning
(DKK mia.)
Byggemodning af grund
Anlægsomkostninger
Totale anlægsomkostninger
Spunsning af Lynetteholmen
Totale anlægsomkostninger
inkl. spunsning
7,5
-
7,5
1,7
9,2
Ydermodel 1
Organisations-
model 1
8,3
17,2
25,5
1,7
27,2
Organisations-
model 2
9,7
20,3
30,0
1,7
31,7
Organisations-
model 3
9,0
18,8
27,8
1,7
29,5
4,8
37,2
42,0
1,7
43,7
Ydermodel 2
Tabel 18: Overblik over anlægsomkostninger for LIS ved de tre organisationsmodeller og to
ydermodeller
Som det fremgår af Tabel 18, vil LIS have færrest anlægsomkostninger i ydermodel 1 og flest i ydermo-
del 2, og LIS vil således være mere eksponeret mod budgetoverskridelser og andre risici i anlægsfasen i
ydermodel 2 end i ydermodel 1.
50
TRU, Alm.del - 2020-21 - Endeligt svar på spørgsmål 454: Spm. om ministeren, på baggrund af besvarelsen af TRU alm. del – spørgsmål 342, vil redegøre for, om hemmeligstemplingen af Ernst & Youngs rapport om finansiering og organisering af Lynetteholm er i strid med miljøoplysningsloven, til transportministeren
2394232_0072.png
Transport- og Boligministeriet
Undersøgelse af finansiering og organisering af
Lynetteholmen
5.3
51
TRU, Alm.del - 2020-21 - Endeligt svar på spørgsmål 454: Spm. om ministeren, på baggrund af besvarelsen af TRU alm. del – spørgsmål 342, vil redegøre for, om hemmeligstemplingen af Ernst & Youngs rapport om finansiering og organisering af Lynetteholm er i strid med miljøoplysningsloven, til transportministeren
2394232_0073.png
Transport- og Boligministeriet
Undersøgelse af finansiering og organisering af
Lynetteholmen
5.3.1
5.3.2
Ejendomsudvikling
I forhold til udvikling af LIS’ arealer dels sælger LIS byggeretter direkte, dels udvikler og sælger LIS nøg-
lefærdige ejendomme, og dels udvikler, udlejer og efterfølgende sælger LIS ejendomme. En oversigt
over værdien af ejendomsudvikling er sammenfattet i nedenstående Tabel 20:
Rentenormalisering
Ejendomsudvikling
(DKK mia.)
Andel af
etagemeter
45
Sc. 1a
Salg af byggeretter
Udvikling og salg af nøglefær-
dige ejendomme
Udvikling, udlejning og efter-
følgende salg af ejendomme
Total værdi
63,7%
23,1%
13,2%
100,0%
9,4
4,4
4,3
18,0
Sc. 2a
11,1
5,2
5,0
21,3
Sc. 3a
10,2
4,8
4,6
19,6
Sc. 1b
12,1
5,8
5,9
23,7
Sc. 2b
14,3
6,8
6,9
28,1
Sc. 3b
13,2
6,3
6,4
25,9
Uændrede renter
Tabel 20: Overblik over værdi fra ejendomsudvikling
I alle scenarier sælger LIS 50% af de kommercielle byggeretter og udvikler de resterende 50% i en
partnerskabsstruktur, som både udvikler og sælger nøglefærdige ejendomme samt udvikler, udlejer
og efterfølgende sælger ejendomme.
I scenarierne med organisationsmodel 1 (scenarie 1a og 1b), hvor LIS modtager et frivilligt bidrag,
men ikke køber sig ind på REDAs arealer, ses der et mindre potentiale fra ejendomsudvikling end i
de to øvrige scenarier. Dette skyldes, at LIS i dette scenarie råder over færre arealer. I alt ses et
finansieringsbidrag på hhv. DKK 18,0 mia. i scenarie 1a og DKK 23,7 mia. i scenarie 1b.
finansieringsbidrag for
eller i samarbejde med
mia. og DKK 28,1 mia.
hhv. DKK 19,6 mia. og
ejendomsudvikling, da LIS udvikler REDAs arealer alene (scenarie 2a og 2b)
REDA (scenarie 3a og 3b). Samlet ses et finansieringsbidrag på DKK 21,3
for hhv. 2a og 2b. For scenarierne 3a og 3b ses et finansieringsbidrag på
DKK 25,9 mia.
I scenarierne med hhv. organisationsmodel 2 og 3 (scenarie 2a og 3a samt 2b og 3b) ses et større
44
45
.
Andel af etagemeter ekskl. parkering.
52
TRU, Alm.del - 2020-21 - Endeligt svar på spørgsmål 454: Spm. om ministeren, på baggrund af besvarelsen af TRU alm. del – spørgsmål 342, vil redegøre for, om hemmeligstemplingen af Ernst & Youngs rapport om finansiering og organisering af Lynetteholm er i strid med miljøoplysningsloven, til transportministeren
2394232_0074.png
Transport- og Boligministeriet
Undersøgelse af finansiering og organisering af
Lynetteholmen
Af Tabel 19 ses det, at den potentielle finansieringsevne er højere i de scenarier, hvor LIS råder
over flere arealer (scenarie 2a og 2b samt 3a og 3b) ift. scenarierne, hvor LIS alene modtager et
direkte frivilligt bidrag (scenarie 1a og 1b).
5.3.3
Øvrige aktiviteter
Øvrige aktiviteter bidrager med en begrænset værdi. En oversigt over værdien er sammenfattet i neden-
stående Tabel 21:
Rentenormalisering
Øvrige aktiviteter
(DKK mia.)
Sc. 1a
Parkering
Evt. tilbageførsel af ejendomsskatter
Jorddeponi og spuns
Total værdi
0,2
-
-
0,2
Sc. 2a
0,2
-
-
0,2
Sc. 3a
0,2
-
-
0,2
Sc. 1b
0,2
-
-
0,2
Sc. 2b
0,2
-
-
0,2
Sc. 3b
0,2
-
-
0,2
Uændrede renter
Tabel 21: Overblik over værdi fra øvrige aktiviteter
Finansieringsbidraget fra parkering varierer en smule på tværs af scenarierne (dog for lidt til at
fremgå af de afrundede tal), hvilket skyldes, at LIS antages at udvikle flere parkeringspladser, når
LIS også står for udvikling af hele Refshaleøen (scenarie 2a og 2b) eller dele af Refshaleøen (scena-
rie 3a og 3b).
Indtægter fra jorddeponi og omkostninger ifm. spuns antages at udligne hinanden og således gå i
nul.
I alle scenarier antages der ingen indtægter fra tilbageførsel af ejendomsskatter grundet usikkerhe-
der omkring det nye ejendomsskattesystem.
5.3.4
53
TRU, Alm.del - 2020-21 - Endeligt svar på spørgsmål 454: Spm. om ministeren, på baggrund af besvarelsen af TRU alm. del – spørgsmål 342, vil redegøre for, om hemmeligstemplingen af Ernst & Youngs rapport om finansiering og organisering af Lynetteholm er i strid med miljøoplysningsloven, til transportministeren
2394232_0075.png
Transport- og Boligministeriet
Undersøgelse af finansiering og organisering af
Lynetteholmen
54
TRU, Alm.del - 2020-21 - Endeligt svar på spørgsmål 454: Spm. om ministeren, på baggrund af besvarelsen af TRU alm. del – spørgsmål 342, vil redegøre for, om hemmeligstemplingen af Ernst & Youngs rapport om finansiering og organisering af Lynetteholm er i strid med miljøoplysningsloven, til transportministeren
2394232_0076.png
Transport- og Boligministeriet
Undersøgelse af finansiering og organisering af
Lynetteholmen
5.4
55
TRU, Alm.del - 2020-21 - Endeligt svar på spørgsmål 454: Spm. om ministeren, på baggrund af besvarelsen af TRU alm. del – spørgsmål 342, vil redegøre for, om hemmeligstemplingen af Ernst & Youngs rapport om finansiering og organisering af Lynetteholm er i strid med miljøoplysningsloven, til transportministeren
2394232_0077.png
Transport- og Boligministeriet
Undersøgelse af finansiering og organisering af
Lynetteholmen
8.000
2036-2050:
Denne periode er præget af, at LIS har
påbegyndt udviklingen af samtlige arealer.
Efter 2051:
I perioden efter 2051 forventes LIS at have den største årlige
indtægt, men er ligeledes præget af, at LIS løbende afvikler
sine aktiviteter.
6.000
DKK mio.
4.000
LIS har primært indtægter fra salg af
byggeretter, men med begyndende indtægter
fra salg af nøglefærdige ejendomme samt
udlejning og efterfølgende salg af
ejendomme.
2.000
-
-2.000
-4.000
-6.000
Køb/salg af arealer ifm. ejerskifte
Udlejning og efterfølgende salg
Figur 24: LIS' samlede pengestrømme (scenarie 1a)
2020
2021
2022
2023
2024
2025
2026
2027
2028
2029
2030
2031
2032
2033
2034
2035
2036
2037
2038
2039
2040
2041
2042
2043
2044
2045
2046
2047
2048
2049
2050
2051
2052
2053
2054
2055
2056
2057
2058
2059
2060
2061
2062
2063
2064
2065
2066
2067
2068
2069
2070
2071
2072
2073
2074
2075
Frivilligt bidrag
Parkering
Salg af byggeretter
Tilbageførsel af ejendomsskatter
Salg af ejendomme efter opførelse
Jorddeponi og spuns
56
TRU, Alm.del - 2020-21 - Endeligt svar på spørgsmål 454: Spm. om ministeren, på baggrund af besvarelsen af TRU alm. del – spørgsmål 342, vil redegøre for, om hemmeligstemplingen af Ernst & Youngs rapport om finansiering og organisering af Lynetteholm er i strid med miljøoplysningsloven, til transportministeren
2394232_0078.png
5.4.1
5.4.2
5.4.3
LIS’ pengestrømme i perioden 2036-2050
Perioden fra 2036-2050 er præget af, at LIS har påbegyndt udviklingen af samtlige arealer i nærvæ-
rende analyse. Både LIS’ udgifter og indtægter stiger således i forhold til forrige periode.
LIS har udgifter til byggemodning og anlæg af ejendomme i forbindelse med udviklingen af arealer på
Refshaleøen, Quintus, Kløverparken og Lynetteholmen. LIS har ligeledes indtægter fra salg af byggeret-
ter, salg af nøglefærdige ejendomme samt begyndende indtægter fra udlejning og efterfølgende salg af
ejendomme fra alle arealerne.
Pengestrømmene fra perioden kan således overordnet opsummeres som følger. Intervallerne indikerer
forskellen på scenarier med rentenormalisering ift. scenarier med uændrede rente:
I forbindelse med aktiviteten salg af byggeretter stiger LIS’ årlige indtægt fra ca. DKK 0,4 mia. i
2036 til niveauet ca. DKK 1,2 mia. i 2050 afhængigt af den anvendte boligprismodel.
I forbindelse med aktiviteten udvikling og salg af nøglefærdige ejendomme stiger LIS’ årlige indtæg-
ter fra et niveau på ca. DKK 0,1 mia. til ca. DKK 0,3 mia. i 2036 til niveauet ca. DKK 0,6 mia. til ca.
DKK 0,9 mia. i 2050. I forbindelse med aktiviteten udvikling, udlejning og efterfølgende salg af ejen-
domme stiger LIS’ årlige indtægter fra et niveau på ca. DKK 0,0 til ca. DKK 0,2 mia. i 2036 til ni-
veauet ca. DKK 0,5 mia. til ca. DKK 0,9 mia. i 2050.
5.4.4
LIS’ pengestrømme i perioden efter 2051-
Perioden efter 2051 er præget af en afvikling af aktiviteter inden for LIS. Således ses det, at LIS’ penge-
strømme er størst i perioden 2051-2060, hvor de ligeledes er forholdsvis stabile. Efter 2060 ses fal-
dende pengestrømme, efterhånden som arealer er færdigudviklede.
57
TRU, Alm.del - 2020-21 - Endeligt svar på spørgsmål 454: Spm. om ministeren, på baggrund af besvarelsen af TRU alm. del – spørgsmål 342, vil redegøre for, om hemmeligstemplingen af Ernst & Youngs rapport om finansiering og organisering af Lynetteholm er i strid med miljøoplysningsloven, til transportministeren
LIS lukkes, når alle arealer er færdigudviklet og/eller frasolgt, hvilket forventes at være i 2068.
Pengestrømmene fra perioden kan opsummeres som følger. Intervallerne indikerer forskellen på scena-
rier med rentenormalisering ift. scenarier med uændrede rente:
I forbindelse med aktiviteten salg af byggeretter har LIS frem mod 2056 forholdsvis stabile indtæg-
ter på DKK 1,2 mia. til DKK 2,4 mia. Fra 2057 falder indtægterne i takt med, at arealerne færdigud-
vikles, og at LIS sælger de sidste byggeretter i 2060.
I forbindelse med aktiviteten udvikling og salg af nøglefærdige ejendomme stiger LIS’ årlige indtæg-
ter fra et niveau på DKK 0,7 mia. til DKK 0,8 mia. i 2051 til niveauet DKK 1,2 mia. til DKK 1,4 mia. i
2059. I årene herefter falder indtægterne ligeledes i takt med, at arealerne færdigudvikles, og i
2063 antages den sidste nøglefærdige ejendom at blive frasolgt.
I forbindelse med aktiviteten udvikling, udlejning og efterfølgende salg af ejendomme stiger LIS’ år-
lige indtægter fra et niveau på DKK 0,5 mia- til DKK 0,7 mia. i 2051 til niveauet DKK 1,5 mia. til
DKK 1,7 mia. i 2061. Herefter falder indtægterne ligeledes i takt med, at de sidste ejendomme sæl-
ges, og i 2068 antages den sidste udlejningsejendom at blive frasolgt.
58
TRU, Alm.del - 2020-21 - Endeligt svar på spørgsmål 454: Spm. om ministeren, på baggrund af besvarelsen af TRU alm. del – spørgsmål 342, vil redegøre for, om hemmeligstemplingen af Ernst & Youngs rapport om finansiering og organisering af Lynetteholm er i strid med miljøoplysningsloven, til transportministeren
2394232_0080.png
5.5
59
TRU, Alm.del - 2020-21 - Endeligt svar på spørgsmål 454: Spm. om ministeren, på baggrund af besvarelsen af TRU alm. del – spørgsmål 342, vil redegøre for, om hemmeligstemplingen af Ernst & Youngs rapport om finansiering og organisering af Lynetteholm er i strid med miljøoplysningsloven, til transportministeren
2394232_0081.png
6
Følsomhedsanalyser
En række af de anvendte forudsætninger i nærværende analyse er behæftede med betydelig usikkerhed,
hvorfor vi har gennemført en række følsomhedsanalyser for at vise, i hvilket omfang resultaterne er af-
hængige af forudsætningerne.
Et overblik over følsomhedsanalyserne er vist i Figur 25 nedenfor, hvor effekten på finansieringsbidra-
get fra LIS fremgår:
Scenarie 1a-3a
Slamdepot på Refshaleøen (udbygges ikke)
Lynetteholmen zone 2 (udbygges)
-1,0
-
- 3,2
Areal med tilbagekøbsret (købes i 2052)
Bebyggelsesprocenter (-10%/+10%)
Parkeringsnorm (10% af areal til parkering)
Anlægsomkostninger (75% fraktil/25% fraktil)
Almennyttig andel (35%/15%)
Tilbageførsel af ejendomsskatter (80% udligning)
Tilbageførsel af ejendomsskatter (0% udligning)
Realrente (4,0%/2,0%)
-3,1
- 0,3
-1,9
- 1,7
-
-
1,1
-
6,1
-1,7-1,6
- 1,7
-
-
3,6
8,5
Investors afkastkrav (+0,5%)
Investors afkastkrav (+1,0%)
Moms (ingen fællesregistrering)
-15
-10
-5
-1,4
-
-2,6
-
-0,5
-
-
5
DKK mia.
10
15
Scenarie 1b-3b
Slamdepot på Refshaleøen (udbygges ikke)
Lynetteholmen zone 2 (udbygges)
Areal med tilbagekøbsret (købes i 2052)
Bebyggelsesprocenter (-10%/+10%)
Parkeringsnorm (10% af areal til parkering)
Anlægsomkostninger (75% fraktil/25% fraktil)
Almennyttig andel (35%/15%)
Tilbageførsel af ejendomsskatter (80% udligning)
Tilbageførsel af ejendomsskatter (0% udligning)
Realrente (4,0%/2,0%)
Investors afkastkrav (+0,5%)
Investors afkastkrav (+1,0%)
Moms (ingen fællesregistrering)
-15
-10
-5
-3,9
-8,6
-1,3
-
-
4,0
- 0,4
-2,3
-
2,2
-
-
-2,4
-
2,4
-
2,0
-
-
4,5
1,3
6,1
10,3
-1,5-
-2,8
-
-0,6
-
-
DKK mia.
5
10
15
Figur 25: Overblik over følsomhedsanalysernes effekt på finansieringsbidraget
60
TRU, Alm.del - 2020-21 - Endeligt svar på spørgsmål 454: Spm. om ministeren, på baggrund af besvarelsen af TRU alm. del – spørgsmål 342, vil redegøre for, om hemmeligstemplingen af Ernst & Youngs rapport om finansiering og organisering af Lynetteholm er i strid med miljøoplysningsloven, til transportministeren
2394232_0082.png
6.1
Resultaterne for følsomhedsanalyserne
Forudsætningerne for og resultaterne af de enkelte følsomhedsanalyser gennemgås nedenfor.
6.1.1
Boligprisudvikling
Udviklingen af boligpriserne vil bl.a. afhænge af fremtidige indkomststigninger for de nuværende køben-
havnere og tilflyttere, ændringer i den finansielle regulering af boligkøb, ændringer i reguleringen af bo-
ligmarkedet, ændrede skatteregler, ændringer i flyttemønstre mellem land og by, konjunkturer, renteni-
veauet og udbygningen af boligområder i Københavns omegnskommuner. Dette er parametre der, grun-
det analysens lange tidshorisont, er behæftede med stor usikkerhed.
Vi har derfor gennemført to følsomhedsanalyser, jf. nedenstående tabel:
Model
Følsomhed 1:
Lav boligprisudvikling
Kort beskrivelse
Priserne følger byggeomkostningerne.
I modellen med lave prisstigninger vil det være nødvendigt at udbygge Køben-
havn med ca. 500-600.000 m² bolig pr. år for at holde prisudviklingen på boli-
ger nede, hvilket er væsentligt over dagens niveau på ca. 160.000-360.000 m²
bolig pr. år.
Den beregnede udbygningstakt ligger markant over det historiske niveau, og
det kan diskuteres, om dette scenarie i praksis kan realiseres
49
. Det er således
vores vurdering, at boligmassen skal udbygges med 571.000 m² om året i gen-
nemsnit over hele perioden. Til sammenligning er boligmassen i 2012 -2019 i
gennemsnit udvidet med 382.000 m² om året.
Følsomhed 2:
Høj boligprisudvikling
Priserne følger den historiske stigningstakt korrigeret for særlige begivenheder.
Vi estimerer, hvor meget der skal bygges for at opnå en prisudvikling, hvor pri-
serne stiger i takt med de historiske stigningstakter.
I denne model udbygges boligmassen med 188.000 m² om året i gennemsnit,
hvilket er lavere end det historiske gennemsnit på 382.000 m² om året for
2012-2019, men højere end gennemsnittet for 1986-2006 på 82.000 m² om
året.
Tabel 24: Prisfølsomhed for boligpriser
Baseret på ovenstående prisscenarier har vi estimeret boligprisudviklingen til:
I følsomheden med lav boligprisudvikling, hvor boligpriserne følger udviklingen i byggeomkostnin-
gerne, stiger priserne blot med 0,3% om året i gennemsnit frem til 2075. Det svarer til, at priserne
samlet stiger med 21% frem til 2075.
I følsomheden med høj boligprisudvikling, hvor priserne følger de historiske stigningstakter korrige-
ret for engangseffekter, stiger priserne i gennemsnit med 3,5% om året. Det svarer til, at priserne
samlet set næsten seksdobles frem til 2075.
Det bemærkes, at dette scenarie vil kræve en væsentlig udbygning af arealer uden for arealerne på Lynettehol -
men, Refshaleøen og Kløverparken. Resultatet flugter i øvrigt meget godt med de ekspertvurderinger, vi har fået i
forbindelse med udarbejdelsen af scenarierne. Disse vurderinger går på, at det bliver meget vanskeligt/umuligt at
holde prisstigningstakten på 0,3% om året.
49
61
TRU, Alm.del - 2020-21 - Endeligt svar på spørgsmål 454: Spm. om ministeren, på baggrund af besvarelsen af TRU alm. del – spørgsmål 342, vil redegøre for, om hemmeligstemplingen af Ernst & Youngs rapport om finansiering og organisering af Lynetteholm er i strid med miljøoplysningsloven, til transportministeren
2394232_0083.png
Til at estimere den udbygningstakt, der skal til for at realisere hhv. den lave og høje boligprisudvikling,
har vi udviklet en langsigtet model for udbud og efterspørgsel, jf. appendiks 7:
Finansieringsbidrag fra LIS
(DKK mia.)
Prisfølsomhed for boligpriser
Lav boligprisud-
vikling
8,6
Basis boligprisud-
vikling med rente-
normalisering
17,4
Basis boligprisud-
vikling med uæn-
drede renter
22,9
Høj boligprisudvik-
ling
39,8
Tabel 25: Følsomhedsanalyse 1 - effekt på finansieringsbidraget
Som det fremgår af Tabel 25, er finansieringsbidraget meget følsomt over for boligprisudviklingen, og
resultaterne svinger således mellem DKK 8,6
39,8 mia. afhængig af, om der antages en lav boligpris-
udvikling eller en høj boligprisudvikling.
Dette spænd skyldes primært, at værdien af LIS’ arealer er direkte påvirket af salgspriserne på boliger,
men påvirkes også af, at udbygningstakten af arealerne varierer med boligprisudviklingen. Således vil en
lavere boligprisudvikling øge efterspørgslen efter boliger og kræve et større boligudbud, hvilket betyder,
at udbygningstakten for arealerne accelereres. Dette medfører en jordopfyldsbegrænsning for LIS, idet
jordopfyldet af Lynetteholmen ikke forventes at kunne følge med boligudbuddet.
6.1.2
62
TRU, Alm.del - 2020-21 - Endeligt svar på spørgsmål 454: Spm. om ministeren, på baggrund af besvarelsen af TRU alm. del – spørgsmål 342, vil redegøre for, om hemmeligstemplingen af Ernst & Youngs rapport om finansiering og organisering af Lynetteholm er i strid med miljøoplysningsloven, til transportministeren
2394232_0084.png
6.1.3
B&H’s slamdepotareal på Refshaleøen
Samtlige af B&H’s arealer på Refshaleøen indgår i alle scenarierne, og det antages, at disse indskydes i
LIS og udvikles på linje med de øvrige arealer i analysen
50
.
B&H har imidlertid bemærket, at det areal, som på nuværende tidspunkt anvendes til slamdepot, blev
udlagt som grønt område i forbindelse med Principaftalen. Der er således usikkerhed om, hvorvidt dette
areal kan udbygges på linje med de øvrige arealer:
Finansieringsbidrag fra LIS
(DKK mia.)
Scenarier med rentenormalisering
Scenarier med uændrede renter
Slamdepot udbygges
ikke
16,4
21,6
Slamdepot udbygges
17,4
22,9
Effekt ift.
basisscenarie
-1,0
-1,3
Tabel 28: Følsomhedsanalyse 3
effekt på finansieringsbidrag
Som det fremgår af ovenstående Tabel 28, har B&H’s slamdepotareal en større negativ effekt på finan-
sieringsbidraget fra LIS. Dette skyldes, at arealet, i modsætning til BIOFOS-arealet, er indskudt i LIS om-
kostningsfrit, og ved ikke at udbygge arealet har LIS færre etagemeter at udvikle og sælge.
6.1.4
Udbygning af Lynetteholmen zone 1 og zone 2
Lynetteholmens samlede areal på ca. 2,8 mio. m
2
etableres som to zoner, hhv. en zone 1 på ca. 1,9 mio.
m
2
og zone 2 på ca. 0,9 mio. m
2
. Zone 1 reserveres til bebyggelse med en bebyggelsesprocent på 150,
og zone 2 reserveres til grønne område med en bebyggelsesprocent på 0.
50
Med undtagelse af lystbådehavnen på Refshaleøen, som i udgangspunktet ikke indgår i scenarierne. Dette uddybes
i afsnit 6.1.3.
63
TRU, Alm.del - 2020-21 - Endeligt svar på spørgsmål 454: Spm. om ministeren, på baggrund af besvarelsen af TRU alm. del – spørgsmål 342, vil redegøre for, om hemmeligstemplingen af Ernst & Youngs rapport om finansiering og organisering af Lynetteholm er i strid med miljøoplysningsloven, til transportministeren
2394232_0085.png
Arealanvendelsen er imidlertid ikke endeligt fastlagt, og efter dialog med styregruppen har vi estimeret
effekten af at benytte en bebyggelsesprocent på 75 for Lynetteholmen zone 2. Til følsomhedsanalysen
antages det, at Lynetteholmen zone 2 bebygges, når Lynetteholmen zone 1 er fuldt udbygget:
Finansieringsbidrag fra LIS
(DKK mia.)
Scenarier med rentenormalisering
Scenarier med uændrede renter
Lynetteholmen zone 2
bebygges
20,6
26,9
Lynetteholmen zone 2
bebygges ikke
17,4
22,9
Effekt ift.
basisscenarie
3,2
4,0
Tabel 29: Følsomhedsanalyse 4
effekt på finansieringsbidrag
Som det fremgår af Tabel 29, har bebyggelsen af Lynetteholmen zone 2 en større direkte effekt på fi-
nansieringsbidraget fra LIS.
6.1.5
6.1.6
Bebyggelsesprocenter
De endelige bebyggelsesprocenter for arealerne er endnu ikke besluttet, hvorfor disse er behæftede
med en vis usikkerhed. Følsomhedsanalysen nedenfor er estimeret med henholdsvis en 10% højere be-
byggelsesprocent på alle arealer og en 10% lavere bebyggelsesprocenter på alle arealer:
Finansieringsbidrag fra LIS
(DKK mia.)
Scenarier med rente-
normalisering
Scenarier med uændrede
renter
10% lavere
bebyggelses-
procent
15,6
20,6
Basis
17,4
22,9
10% højere
bebyggelses-
procent
19,1
25,1
Effekt ift.
basisscenarie
-1,9/1,7
-2,3/2,2
Tabel 31: Følsomhedsanalyse 6
effekt på finansieringsbidrag
Som det fremgår af Tabel 31 ovenfor, har bebyggelsesprocenterne en direkte effekt på finansieringsbi-
draget fra LIS. Dette skyldes, at bebyggelsesprocenterne påvirker antallet af etagemeter, som LIS kan
udvikle og sælge.
51
64
TRU, Alm.del - 2020-21 - Endeligt svar på spørgsmål 454: Spm. om ministeren, på baggrund af besvarelsen af TRU alm. del – spørgsmål 342, vil redegøre for, om hemmeligstemplingen af Ernst & Youngs rapport om finansiering og organisering af Lynetteholm er i strid med miljøoplysningsloven, til transportministeren
2394232_0086.png
Ændringen i bebyggelsesprocenterne svarer stort set til ændringen i finansieringsbidraget, dvs. at en
ændring på 10% i bebyggelsesprocenterne medfører en ændring på 10% i finansieringsbidraget. Det be-
mærkes dog, at en ændring i bebyggelsesprocenterne ligeledes påvirker udbygningstakten på arealerne,
hvilket har en mindre effekt.
6.1.7
Parkeringsnorm
På baggrund af parkeringsnormerne angivet for udviklingsområder i Kommuneplan 2019 udlægges 15%
af arealet til parkering. Det er ikke endeligt besluttet, hvorvidt samme parkeringsnorm skal ligge til
grund for Lynetteholmen, hvorfor vi efter dialog med styregruppen har foretaget en følsomhedsanalyse
heraf:
Finansieringsbidrag fra LIS
(DKK mia.)
Scenarier med rentenormalisering
Scenarier med uændrede renter
15% af areal til
parkering
17,4
22,9
10% af areal til
parkering
18,5
24,2
Effekt ift.
basisscenarie
1,1
1,3
Tabel 32: Følsomhedsanalyse 7
effekt på finansieringsbidrag
Som det fremgår af Tabel 32 har parkeringsnormen en direkte effekt på finansieringsbidraget fra LIS.
Dette skyldes primært, at jo lavere andel af arealet, som anvendes til parkering, jo større andel kan an-
vendes til bebyggelse, hvilket driver en større værdi.
6.1.8
Anlægsomkostninger
Anlægsomkostningerne er fastsat baseret på et statistisk studie foretaget af MOE. Studiet vurderes at
udgøre et godt estimat for de forventede anlægsomkostninger. Udviklingen af Lynetteholmen og de om-
kringliggende områder løber imidlertid over en meget lang årrække, hvor både konjunkturer og teknolo-
gisk udvikling kan have en effekt på projektet, herunder også anlægsomkostningerne. Således er an-
lægsomkostningerne behæftede med en vis usikkerhed.
Som en del af det statistiske studie har MOE udarbejdet en fraktil på hhv. 25% og 75% for anlægsom-
kostningerne.
52
Således svarer 25% fraktilen til anlægsomkostningen for et relativt billigt byggeri og
75% fraktilen svarer til et relativt dyrt byggeri. Vi vurderer, at dette giver et godt estimat af udfaldsrum-
met for anlægsomkostningerne for LIS:
Finansieringsbidrag fra LIS
(DKK mia.)
Scenarier med rente-
normalisering
Scenarier med uændrede
renter
75% fraktil
8,8
14,3
Basis
17,4
22,9
25% fraktil
23,5
29,0
Effekt ift. basis-
scenarie
-8,6/6,1
-8,6/6,1
Tabel 33: Følsomhedsanalyse 8
effekt på finansieringsbidrag
Som det fremgår af Tabel 33, har en ændring i anlægsomkostningerne en direkte og potentiel stor ef-
fekt på finansieringsbidraget for LIS. Dette understreger den risici, som LIS er eksponeret imod i an-
lægsfasen af Lynetteholmen.
I fraktilen på 25% er anlægsomkostningerne ekskl. byggemodning DKK 16.400 pr. m
2
, DKK 16.700 pr. m
2
og DKK
15.400 pr. m
2
for hhv. privat bolig, erhverv og almennyttig bolig. I fraktilen på 75% er anlægsomkostningerne ekskl.
byggemodning hhv. DKK 28.500 pr. m
2
, DKK 28.200 pr. m
2
og DKK 21.400 pr. m
2
for samme typer byggeri. I alle
tilfælde er det antaget, at grundene er byggemodnet.
52
65
TRU, Alm.del - 2020-21 - Endeligt svar på spørgsmål 454: Spm. om ministeren, på baggrund af besvarelsen af TRU alm. del – spørgsmål 342, vil redegøre for, om hemmeligstemplingen af Ernst & Youngs rapport om finansiering og organisering af Lynetteholm er i strid med miljøoplysningsloven, til transportministeren
2394232_0087.png
6.1.9
Almennyttige boliger
KK har en målsætning om, at almennyttige boliger skal udgøre 25% af nye boliger i byen:
Finansieringsbidrag fra LIS
(DKK mia.)
Scenarier med rente-
normalisering
Scenarier med uændrede
renter
35% almennyttige
boliger af
boligmassen
15,8
20,5
Basis
(25% almennyt-
tige boliger af
boligmassen)
17,4
22,9
15% almennyttige
boliger af
boligmassen
19,1
25,3
-1,6/1,7
-2,4/2,4
Effekt ift.
basisscenarie
Tabel 34: Følsomhedsanalyse 9
effekt på finansieringsbidrag
Som det fremgår af ovenstående Tabel 34, har en ændring i andelen af almennyttige boliger en stor ef-
fekt på finansieringsbidraget fra LIS. Dette skyldes, at værdien af en almennyttig bolig er meget be-
grænset sammenlignet med en privat bolig.
6.1.10
Tilbageførsel af ejendomsskatter
Det er vores forståelse, at afhængigt af hvordan det nye ejendomsskattesystem implementeres, vil an-
delen af grundskyld og dækningsafgift, der udlignes i KK, potentielt kunne stige til over 100% for nye
grunde. Dette er dog behæftet med en betydelig usikkerhed, og hvis en mindre andel udlignes, vil det
udgøre en indtægt for KK:
12,0
10,0
DKK mia.
8,0
4,0
8,5
10,3
-
-
100% udligning
1,7
2,0
80% udligning
0% udligning
Scenarier med uændrede renter
Scenarier med rentenormalisering
Figur 26: Værdi af tilbageførsel af ejendomsskatter
Som det fremgår af ovenstående figur, udgør ejendomsskatter potentielt en stor indtægt for KK, og
denne indtægt kan indgå som finansieringsbidrag fra LIS. Det skal dog bemærkes, at resultaterne er ba-
seret på det forventede ejendomsskattesystem, herunder ejendomsskattesatser, og disse forudsætnin-
ger kan ændre sig i analysens løbetid.
Baseret på ovenstående Figur 25 opgøres finansieringsbidraget til følgende ved udligning på hhv. 100%,
80% og 0%:
Finansieringsbidrag fra LIS
(DKK mia.)
Scenarier med rente-
normalisering
Scenarier med uændrede
renter
Udligning på 100%
17,4
22,9
Udligning på 80%
Udligning på 0%
Effekt ift.
basisscenarie
1,7/8,5
2,0/10,3
19,1
24,9
25,9
33,2
Tabel 35: Følsomhedsanalyse 10
effekt på finansieringsbidrag
66
TRU, Alm.del - 2020-21 - Endeligt svar på spørgsmål 454: Spm. om ministeren, på baggrund af besvarelsen af TRU alm. del – spørgsmål 342, vil redegøre for, om hemmeligstemplingen af Ernst & Youngs rapport om finansiering og organisering af Lynetteholm er i strid med miljøoplysningsloven, til transportministeren
2394232_0088.png
6.1.11
Realrente og diskonteringsrenter
Som udgangspunkt anvender vi en forudsætning om en real lånerente på 3,0%. Det er vores forståelse,
at en realrente i dette niveau er anvendt i forbindelse med andre infrastrukturprojekter, men hvorvidt
en rente i dette niveau er retvisende, er behæftet med usikkerhed.
Den reale lånerente anvendes dels til estimering af den potentielle finansieringsevne, men indgår ligele-
des i estimeringen af diskonteringsrenterne, jf. appendiks 5. Nedenfor er resultatet af en ændring i real-
renten vist for finansieringsbidraget for LIS:
Finansieringsbidrag fra LIS
(DKK mia.)
Scenarier med rente-
normalisering
Scenarier med uændrede
renter
Realrente på 4,0%
(4,4% og 6,8%)
14,4
19,0
Realrente på 3,0%
(3,8% og 6,5%)
17,4
22,9
Realrente på 2,0%
(3,2% og 6,3%)
21,0
27,4
Effekt ift.
basisscenarie
-3,1/3,6
-3,9/4,5
Tabel 36: Følsomhedsanalyse 11
effekt på finansieringsbidrag
Som det fremgår af Tabel 36, er finansieringsbidraget meget følsomt over for ændringer i realrenten,
idet realrenten har stor indflydelse på niveauet af diskonteringsrenten. Således estimeres diskonterings-
rente 1 og 2 til henholdsvis 4,4% og 6,8% ved en realrente på 4,0% og 3,2% samt til 6,3% ved en real-
rente på 2,0%.
Realrenten har endvidere en direkte effekt på den potentielle finansieringsevne, som vist nedenfor:
Potentielle finansieringsevne fra LIS
(DKK mia.)
Scenarier med rentenormalisering
Scenarie 1a
Scenarie 2a
Scenarie 3a
Scenarier med uændrede renter
Scenarie 1b
Scenarie 2b
Scenarie 3b
Realrente på
4,0%
18,5
19,2
18,8
23,9
24,7
24,3
Realrente på
3,0%
26,1
27,5
26,8
33,4
35,0
34,2
Realrente på
2,0%
37,2
39,5
38,4
47,0
49,8
48,4
Effekt ift.
basisscenarie
-7,6/11,1
-8,3/12,0
-8,0/11,6
-9,5/13,6
-10,3/14,8
-9,9/14,2
Tabel 37: Følsomhedsanalyse 11
effekt på den potentielle finansieringsevne
Som det fremgår af ovenstående Tabel 37, er den potentielle finansieringsevne meget følsom over for
ændringer i realrenten. Realrenten repræsenterer den reale lånerente, som vi antager, at LIS kan op-
tage gæld til. Ligeledes gør det sig gældende, at over en så lang periode, som projektet strækker sig
over, vil renteniveauet have stor betydning på grund af renters renteeffekt.
67
TRU, Alm.del - 2020-21 - Endeligt svar på spørgsmål 454: Spm. om ministeren, på baggrund af besvarelsen af TRU alm. del – spørgsmål 342, vil redegøre for, om hemmeligstemplingen af Ernst & Youngs rapport om finansiering og organisering af Lynetteholm er i strid med miljøoplysningsloven, til transportministeren
2394232_0089.png
6.1.12
Investors afkastkrav ved salg af udlejningsejendomme
Investors afkastkrav anvendes til fastlæggelse af salgspriserne for udlejningsejendomme, herunder både
boligejendomme og erhvervsejendomme. Niveauerne for afkastkravene er baseret på markedsdata og
afspejler således dagens forventning til investors afkastkrav, jf. appendiks 1.
Grundet analysens lange tidshorisont er investors afkastkrav behæftet med en vis usikkerhed.
Finansieringsbidrag fra LIS
(DKK mia.)
Scenarier med rente-
normalisering
Scenarier med uændrede
renter
Bolig 3,45% og er-
hverv 4,45%
17,4
22,9
+0,5%-point
16,0
21,4
1,0%-point
14,8
20,1
Effekt ift.
basisscenarie
-1,4/-2,6
-1,5/-2,8
Tabel 38: Følsomhedsanalyse 12
effekt på finansieringsbidrag
Som det fremgår af Tabel 38, er finansieringsbidraget følsomt over for ændringer i investors afkastkrav.
Dette skyldes, at investors afkastkrav har direkte indflydelse på salgspriserne, som LIS kan realisere.
Desto højere afkastkrav, desto lavere salgspris.
6.1.13
Fællesregistrering af P/S-selskaber i forhold til moms
Som en del af opdraget, skal det undersøges, hvorvidt dele af projektet kan friholdes fra moms. Vi vur-
derer, at det som udgangspunkt er muligt at foretage visse strukturelle tilpasninger, der eliminerer
uhensigtsmæssige momsomkostninger hos sælger og/eller køber. Én af disse tilpasninger er, at LIS fæl-
lesregistrerer alle P/S-selskaberne under ét, hvilket indebærer, at der ikke skal betales moms af intern
omsætning mellem de fællesregistrerede virksomheder.
Det er vores vurdering, at anvendelsen af reglerne om fællesregistrering er normal praksis i en situation
som LIS’, men fællesregistreringen skal godkendes af Skatterådet, hvorfor der er en risiko for, at de vur-
derer situationen anderledes. På baggrund af dette og dialog med styregruppen har vi foretaget en føl-
somhedsanalyse, hvor finansieringsbidraget estimeres uden anvendelse af reglerne om fællesregistre-
ring, jf. Tabel 39 nedenfor:
Finansieringsbidrag fra LIS
(DKK mia.)
Scenarier med rentenormalisering
Scenarier med uændrede renter
Uden fælles-
registrering
17,0
22,3
Med fællesregistrering
17,4
22,9
Effekt ift.
basisscenarie
-0,4
-0,6
Tabel 39: Følsomhedsanalyse 12
effekt på finansieringsbidrag
Som det fremgår af Tabel 39 vil det, alt andet lige, have en negativ effekt på DKK 0,6 mia. i scenarie 1a-
3a og DKK 0,4 mia. i scenarie 1b-3b, hvis LIS ikke fællesregistrerer P/S-selskaberne. Dette skyldes, at
LIS i dette tilfælde ikke vil kunne overføre byggeretterne til P/S-selskaberne momsfrit, hvorfor P/S-sel-
skaberne vil have en omkostning til moms.
68
TRU, Alm.del - 2020-21 - Endeligt svar på spørgsmål 454: Spm. om ministeren, på baggrund af besvarelsen af TRU alm. del – spørgsmål 342, vil redegøre for, om hemmeligstemplingen af Ernst & Youngs rapport om finansiering og organisering af Lynetteholm er i strid med miljøoplysningsloven, til transportministeren
EY | Assurance | Tax | Transactions | Advisory
Om EY
EY er en af verdens førende organisationer inden for revision, skat,
transaktioner og rådgivning. Den indsigt og de ydelser, vi leverer, hjæl-
per med at opbygge tillid til kapitalmarkederne og den globale økonomi.
Vi udvikler dygtige ledere og medarbejdere, som sammen leverer det, vi
lover vores interessenter og bidrager til, at arbejdsverdenen og arbejds-
livet fungerer bedre - for vores medarbejdere, vores kunder og det om-
givende samfund.
EY henviser til den globale organisation og kan referere til et eller f lere
medlemsfirmaer inden for Ernst & Young Global Limited, som hver især
udgør en selvstændig juridisk enhed. Ernst & Young Global Limited, som
er et engelsk
‘company
limited by guarantee’, yder ikke kunderådgiv-
ning. Flere oplysninger om vores organisation kan findes på ey.com.
© 2020 Ernst & Young P/S. CVR-nr. 30700228
All Rights Reserved.
Dette materiale er udarbejdet alene til orientering, og oplysningerne i det tilsigter ikke at være
fyldestgørende, og de træder ikke i stedet for udførlige analyser eller udøvelsen af professio-
nelle skøn. I konkrete sager opfordres brugere til at henvende sig til EY’s rådgivere.
ey.com/dk
69
TRU, Alm.del - 2020-21 - Endeligt svar på spørgsmål 454: Spm. om ministeren, på baggrund af besvarelsen af TRU alm. del – spørgsmål 342, vil redegøre for, om hemmeligstemplingen af Ernst & Youngs rapport om finansiering og organisering af Lynetteholm er i strid med miljøoplysningsloven, til transportministeren
2394232_0091.png
-- AKT 730242 -- BILAG 4 -- [ 04-05-2020 - Appendiks 1 v7.00 ] --
Transport- og
Boligministeriet
Undersøgelse af finansiering og
organisering af Lynetteholmen
Appendiks 1
version 7
Forudsætninger i finansielle analyser
4. maj 2020
FORTROLIGT
TRU, Alm.del - 2020-21 - Endeligt svar på spørgsmål 454: Spm. om ministeren, på baggrund af besvarelsen af TRU alm. del – spørgsmål 342, vil redegøre for, om hemmeligstemplingen af Ernst & Youngs rapport om finansiering og organisering af Lynetteholm er i strid med miljøoplysningsloven, til transportministeren
2394232_0092.png
Transport- og Boligministeriet
Appendiks 1
forudsætninger i finansielle analyser
Indhold
1
Introduktion
1.1 Formål
1.2 Versioner af nærværende notat
A1:
2.1
2.2
2.3
2.4
Ejendomsmarked: udbud og efterspørgsel
Anlægsomkostninger
Salg af byggeretter
Salgspriser
Lejeniveauer (og investors afkastkrav)
2
2
2
3
3
5
6
7
9
9
9
10
10
12
13
14
14
14
14
2
3
A2: Skatter og afgifter
3.1 Friholdelse af moms
3.2 Modeller for tilbageførsel af ejendomsskatter
A3: Parkering
4.1 Parkeringsforudsætninger
A4: Jorddeponi og spuns
A5: Ledningsomkostninger
A6: Øvrige faktorer
7.1 Sikkerhedszonen omkring Prøvestenen
7.2
7.3 Håndtering af krydstogtsterminal og havnedrift
4
5
6
7
Ernst & Young P/S - Dirch Passers Allé 36 - Postboks 250 - 2000 Frederiksberg - CVR-nr. 30 70 02 28
1
TRU, Alm.del - 2020-21 - Endeligt svar på spørgsmål 454: Spm. om ministeren, på baggrund af besvarelsen af TRU alm. del – spørgsmål 342, vil redegøre for, om hemmeligstemplingen af Ernst & Youngs rapport om finansiering og organisering af Lynetteholm er i strid med miljøoplysningsloven, til transportministeren
2394232_0093.png
Transport- og Boligministeriet
Appendiks 1
forudsætninger i finansielle analyser
1
1.1
Introduktion
Formål
Nærværende notat sammenfatter hovedforudsætningerne og metoderne, som finder anvendelse i for-
bindelse med hovedelement A omhandlende de finansielle analyser som led i
Undersøgelse af finansie-
ring og organisering af Lynetteholmen.
Notatet er opdelt i arbejdsspor A1-A6 i de finansielle analyser, jf. Figur 1:
A1: Ejendomsmarked: udbud og efterspørgsel
A2: Skatter og afgifter
A3: Parkering
A4: Jorddeponi og spuns
A5: Ledningsomkostninger
A6: Øvrige faktorer
Figur 1: Illustration af arbejdsspor i de finansielle analyser, som gennemgås i nærværende
notat
1.2
Versioner af nærværende notat
Version
001
002
003
004
005
006
007
nærværende
version
Dato
Den 4. oktober 2019
Den 28. oktober
2019
Den 12. december
2019
Den 26. februar
2020
Den 30. marts 2020
Den 16. april 2020
Den 4. maj. 2020
Beskrivelse/ændringer
Første version fremlagt på statusmødet den 4. oktober 2019.
Anden version gennemgået på styregruppemødet den 28. oktober
2019. Hovedforudsætninger, status og udeståender opdateret.
Tredje version gennemgået på styregruppemøde den 12. december
2019. Hovedforudsætninger, status og udeståender opdateret.
Fjerde version. Gennemgang af hovedforudsætninger og metode an-
vendt i første rapportudkast af den 21. februar 2020.
Femte version. Opdateret notat ifm. andet rapportudkast dateret den
20. marts 2020.
Sjette version. Mindre korrekturrettelser. Fremsendt ifm. rapport da-
teret den 16. april 2020.
Udkast stempel fjernet og fremsendt ifm. rapport dateret den 4. maj
2020.
Ernst & Young P/S - Dirch Passers Allé 36 - Postboks 250 - 2000 Frederiksberg - CVR-nr. 30 70 02 28
2
TRU, Alm.del - 2020-21 - Endeligt svar på spørgsmål 454: Spm. om ministeren, på baggrund af besvarelsen af TRU alm. del – spørgsmål 342, vil redegøre for, om hemmeligstemplingen af Ernst & Youngs rapport om finansiering og organisering af Lynetteholm er i strid med miljøoplysningsloven, til transportministeren
2394232_0094.png
Transport- og Boligministeriet
Appendiks 1
forudsætninger i finansielle analyser
2
A1: Ejendomsmarked: udbud og efterspørgsel
I arbejdsspor A1 har vi fastlagt forudsætningerne for udviklingen af Lynetteholmen og de omkringlig-
gende områder samt afsætningsmulighederne for de boliger og erhvervsejendomme, som opføres.
Hovedforudsætningerne i forbindelse med ejendomsmarkedet er sammenfattet i flere forskellige appen-
dikser, jf. Tabel 1 nedenfor:
Appendiks
Appendiks 1
(nærværende appendiks)
Hovedforudsætning
Appendiks 3
forudsætninger
for arealanvendelse
Anlægsomkostninger
Lejeniveauer
Investors afkastkrav (kapitaliseringsfaktor)
Metode for værdiansættelse af byggeretter
Arealer, som indgår i nærværende analyse
Arealanvendelse og bebyggelsesprocenter
Udbygningstakt for analysens arealer (baseret på den generelle udbygnings-
hastighed, jf. appendiks 7)
Appendiks 4
forudsætninger
for udbygningstakt
Appendiks 7
baggrunds-
rapport: boligudbud,
-efterspørgsel og -priser
Boligprisudvikling, herunder tre boligprismodeller
Boligpriser tilsvarende dagens niveau
Generel udbygningshastighed for København
Tabel 1: Overblik over hovedforudsætninger i appendikser
2.1
Anlægsomkostninger
Anlægsomkostningerne driver værdiansættelsen af byggeretter og ejendomsudviklingen, herunder ud-
vikling og salg af nøglefærdige ejendomme samt udvikling, udlejning og efterfølgende salg af ejen-
domme.
2.1.1
Anvendt metode
Vi har gennemført et benchmarkingstudie faciliteret af MOE, hvor erfaringsmæssige anlægsomkostnin-
ger inden for følgende kategorier sammenholdes:
Bolig (privat bolig og almennyttig bolig)
Erhverv (kontor, forretning, lager og let industri)
Parkering.
Dette studie giver et empirisk grundlag for de endelige anlægsomkostninger, herunder passende følsom-
hedsanalyser.
Ernst & Young P/S - Dirch Passers Allé 36 - Postboks 250 - 2000 Frederiksberg - CVR-nr. 30 70 02 28
3
TRU, Alm.del - 2020-21 - Endeligt svar på spørgsmål 454: Spm. om ministeren, på baggrund af besvarelsen af TRU alm. del – spørgsmål 342, vil redegøre for, om hemmeligstemplingen af Ernst & Youngs rapport om finansiering og organisering af Lynetteholm er i strid med miljøoplysningsloven, til transportministeren
2394232_0095.png
Transport- og Boligministeriet
Appendiks 1
forudsætninger i finansielle analyser
Anlægsomkostningerne omfatter alle relevante bygge- og anlægsudgifter, rådgivning samt bygherres
øvrige udgifter, jf. Tabel 2 nedenfor:
Kategori
Budgetpost
Håndværkerudgifter
Bygningsarbejder
Bygge- og anlægsudgift
Byggeplads og vejrlig
Tillæg ved hoved- eller totalentreprise
Rådgivning
Rådgivning og bistand
Stempelafgift og advokat
Landinspektør
Øvrige bygherreudgifter
Renter
Øvrige udgifter og administration
Salgsomkostninger
Salgsomkostninger
Tabel 2: Overblik over budgetposter i anlægsomkostninger
Hertil kommer udgifter til byggemodning af grundene, hvilke også indgår i MOEs studie. Det bemærkes,
at vi antager, at byggegrundene byggemodnes før evt. salg af byggeretter. Således forudsættes det for
eksempel, at der er etableret infrastruktur, kloakering og renset for forurening, før byggeretterne sæl-
ges. Dog antages det, at developeren har en mindre omkostning til byggemodning ifm. tilslutning m.v.
2.1.2
Anvendte forudsætninger
Baseret på ovenstående budgetposter har MOE fastlagt nedenstående anlægsomkostninger, som ligger
til grund for de anvendte forudsætninger i nærværende analyse og i følsomhedsanalyserne. I basissce-
narierne har vi anvendt medianomkostningen, og i følsomhedsanalyserne har vi anvendt hhv. 25%’s
fraktilen og 75%’s fraktilen.
Anlægsomkostning ekskl. moms
Kategori
Budgetpost
Fraktil på 25%
Lejlighed
Bolig
Almennyttig
Kontor
Forretning
Erhverv
Lager
Let industri
Parkeringshus i terræn
Parkering
Parkeringskælder
Byggemodning
Byggemodning
7.400
1.900
10.500
2.300
13.400
2.800
6.300
7.100
5.300
8.900
12.600
9.300
10.300
19.100
11.100
15.100
19.100
12.300
17.900
25.000
18.300
21.100
32.600
21.800
15.400
Median
19.800
Fraktil på 75%
27.500
Tabel 3: Anlægsomkostninger baseret på MOEs statistiske studie, DKK pr. m
2
Baseret på input fra B&H har vi, som tillæg til ovenstående anlægsomkostninger, tilføjet en budgetpost
til salgsomkostninger for hhv. bolig (dog ikke for almennyttige boliger) og erhverv
1
.
1
Baseret på input fra B&H er det vores forståelse, at de budgetterer med en omkostning til salg på DKK 720 pr. m
2
.
Ernst & Young P/S - Dirch Passers Allé 36 - Postboks 250 - 2000 Frederiksberg - CVR-nr. 30 70 02 28
4
TRU, Alm.del - 2020-21 - Endeligt svar på spørgsmål 454: Spm. om ministeren, på baggrund af besvarelsen af TRU alm. del – spørgsmål 342, vil redegøre for, om hemmeligstemplingen af Ernst & Youngs rapport om finansiering og organisering af Lynetteholm er i strid med miljøoplysningsloven, til transportministeren
2394232_0096.png
Transport- og Boligministeriet
Appendiks 1
forudsætninger i finansielle analyser
Med udgangspunkt i dette og i medianomkostningen fra MOEs studie fastlægger vi anlægsomkostnin-
gerne ekskl. byggemodning for områderne A-D til følgende:
Ejendomstype
Privat bolig
Erhverv
Almennyttig bolig
A: Lynetteholmen
20.520
22.370
17.900
B: Refshaleøen
20.520
22.370
17.900
C: Quintus
-
10.750
-
D: Kløverparken
20.520
22.370
17.900
Tabel 4: Anlægsomkostninger ekskl. byggemodning anvendt i nærværende analyse, DKK
pr. m²
Bemærkninger til anvendte anlægsomkostninger
For alle private boliger anvendes en anlægsomkostning på DKK 20.520 pr. m
2
baseret på median-
omkostningen fra MOEs studie og på salgsomkostningen, der er baseret på input fra B&H.
For erhverv anvendes en anlægsomkostning på DKK 22.370 pr. m
2
baseret på et gennemsnit af
medianomkostningen for hhv.
kontor
og
forretning,
jf. Tabel 3, samt salgsomkostningen
2
.
For erhverv på Quintus antages det dog, at der udelukkende opføres erhverv med karakter af let
industri og lagerbygninger. Derfor anvendes en anlægsomkostning på DKK 10.750 pr. m
2
baseret
på et gennemsnit af medianomkostningen for hhv.
lager
og
let industri.
2.2
Salg af byggeretter
LIS vil generere pengestrømme fra salg af byggeretter fra følgende kilder:
Salg af kommercielle byggeretter
Salg af almene byggeretter
Salg af byggeretter til institutioner
Salg af byggeretter til partnerskaber (som LIS selv har ejerandel i).
2.2.1
Anvendt metode
Byggeretterne værdiansættes i en DCF-model, hvor byggeretsværdien beregnes som residualværdien
for en developer, baseret på developerens forventede omkostninger og indtægter samt developerens
afkastkrav (diskonteringsrente, jf. appendiks 5).
Anlægsomkostningen for erhverv estimeres således: 50% * DKK 25.000 + 50% * DKK 18.300 + DKK 720 = DKK
22.370 pr. m
2
.
2
Ernst & Young P/S - Dirch Passers Allé 36 - Postboks 250 - 2000 Frederiksberg - CVR-nr. 30 70 02 28
5
TRU, Alm.del - 2020-21 - Endeligt svar på spørgsmål 454: Spm. om ministeren, på baggrund af besvarelsen af TRU alm. del – spørgsmål 342, vil redegøre for, om hemmeligstemplingen af Ernst & Youngs rapport om finansiering og organisering af Lynetteholm er i strid med miljøoplysningsloven, til transportministeren
2394232_0097.png
Transport- og Boligministeriet
Appendiks 1
forudsætninger i finansielle analyser
På baggrund af dette kan en principiel model for værdiansættelse af byggeretter opstilles, jf. Tabel 5
nedenfor:
Priser i DKK
‘000
(ekskl. moms)
Anlægsomkostninger
Byggemodning
Salgsindtægt
Areal
3.000 m²
3.000 m²
3.000 m²
DKK/m²
20.520
300
36.800
År 1
-20.520
-300
-
-20.820
0,97
-20.192
År 2
-20.520
300
-
-20.220
0,91
-18.446
År 3
-20.520
-300
-
-20.820
0,86
-17.868
År 4
-
-
49.680
49.680
0,81
40.109
År 5
-
-
49.680
49.680
0,76
37.732
Pengestrømme fra salg af byggeretter
Diskonteringsrente 2
NPV primo år 1
Værdi af byggeret
6,30%
21.335
7.100
Tabel 5: Principiel model for værdiansættelse af byggeretter
Det bemærkes, at værdiansættelsen af byggeretter i Tabel 5 er illustrativ. Der er således hverken inklu-
deret en realstigning i boligpriserne eller byggeomkostningerne.
2.3
Salgspriser
Salgspriser for ejendomme kan opdeles på følgende hovedsegmenter:
Kommercielle boliger
Almennyttige boliger og institutioner
Erhverv.
Kommercielle boliger
Salgspriserne for kommercielle boliger er fastsat baseret på de gennemsnitlige realiserede salgspriser i
seks udvalgte referenceområder, jf. appendiks 7.
Det bemærkes, at vi foretager en generel nedjustering af salgspriserne og lejepri serne i de første 10 år
af et udviklingsområde for at kompensere for de gener, der er ved at flytte til et udviklingsområde med
en lang udviklingshorisont. Nedjusteringen udgør 10% i det første år og falder lineært til 0% i år 10.
Salgspris (før nedjustering)
Område
Inkl. moms
Område A: Lynetteholmen
46.000
Ekskl. moms
36.800
Inkl. moms
41.400
Ekskl. moms
33.120
Salgspris (efter nedjustering)
Almennyttige boliger og institutioner
Almennyttige boliger og institutioner sælges ikke på et frit marked. Vi har anvendt følgende forudsæt-
ninger:
Almennyttige boliger er prisregulerede. Således er salgsprisen for almennyttigt boligbyggeri fast-
sat til DKK 26.686 pr. m
2
, som er den gennemsnitlige, maksimale pris på tværs af hhv. almene fa-
milieboliger, ældreboliger og ungdomsboliger.
3
Der udvikles og sælges udelukkende erhvervsejendomme på Quintus.
Ernst & Young P/S - Dirch Passers Allé 36 - Postboks 250 - 2000 Frederiksberg - CVR-nr. 30 70 02 28
6
TRU, Alm.del - 2020-21 - Endeligt svar på spørgsmål 454: Spm. om ministeren, på baggrund af besvarelsen af TRU alm. del – spørgsmål 342, vil redegøre for, om hemmeligstemplingen af Ernst & Youngs rapport om finansiering og organisering af Lynetteholm er i strid med miljøoplysningsloven, til transportministeren
2394232_0098.png
Transport- og Boligministeriet
Appendiks 1
forudsætninger i finansielle analyser
B&H har oplyst, at byggeretter til institutioner kan sælges for DKK 5.000 pr. m
2
, hvilket vi anven-
der.
Erhverv
Erhvervsejendommene kan ikke prisfastsættes ud fra samme referenceramme som boligpriserne, da er-
hverv dækker over en række funktioner, og da markedsdata typisk vil være i form af en markedsleje og
et afkastkrav for investor.
Vi har således valgt at estimere salgsprisen for erhvervsejendomme på baggrund af en étårs DCF -bereg-
ning, som kaldes
første års afkastmodel,
og som er den mest anvendte model til opgørelse af markeds-
værdi for erhvervsejendomme.
Ligning 1: Første års afkastmodel
�½�½ �½ �½�½
=
�½ �½ �½�½
�½
(
�½�½�½�½�½
�½�½�½�½ �½�½�½�½ �½
)
�½�½�½�½�½ �½�½�½ �½ �½�½�½�½
�½
�½�½�½�½�½ �½�½�½ �½�½
�½ �½�½�½ �½�½�½�½�½
Vi fastsætter lejeniveauet for erhvervsejendomme baseret på markedsdata fra markedsrapporter og en
screening af lejeniveauet for tilgængelige kontorlejemål i referenceområderne. Ligeledes fastsættes in-
vestorernes afkastkrav baseret på markedsrapporter:
4
Erhvervstype
Kontorejendomme
Retail-ejendomme
Interval for investors af-
kastkrav, jf. markedsdata
3,50-4,50%
4,25-5,50%
Interval for markedsleje,
jf. markedsdata
1.400-2.050
2.000-3.600
Interval for markeds-
leje, jf. screening
800-2.000
N/A
Tabel 7: Markedsdata for lejeniveau (DKK pr. m
2
) og investors afkastkrav for erhvervsejen-
domme
Driftsomkostningerne er fastsat til DKK 100 pr. m
2
på baggrund af erfaringstal og dialog med B&H.
Baseret på markedsrapporter og en screening af tilgængelige lejemål fastlægger vi salgspriserne for er-
hvervsejendomme til følgende:
Område
Område A: Lynetteholmen
Salgspris
ekskl. moms
5
35.300
Lejeniveau
ekskl. moms
1.665
Driftsomkostning
ekskl. moms
100
Investors
afkastkrav
4,45%
2.4
Lejeniveauer (og investors afkastkrav)
Lejeniveauer for ejendomme kan opdeles på følgende hovedsegmenter:
Kommercielle boliger
Erhverv, jf. afsnit 2.3.
Kommercielle boliger
Lejeniveauet og investors afkastkrav for kommercielle boliger er fastsat efter samme metode som er-
hvervsejendommene, dvs. baseret på markedsrapporter og en screening af tilgængelige lejemål.
35.300
4
5
Colliers Markedsupdate Puls Q4 2019.
Baseret på første års afkastmo del beregnes salgspris (DKK) for erhvervsejendomme til følgende:
( 1. 665
100 )
Ernst & Young P/S - Dirch Passers Allé 36 - Postboks 250 - 2000 Frederiksberg - CVR-nr. 30 70 02 28
7
TRU, Alm.del - 2020-21 - Endeligt svar på spørgsmål 454: Spm. om ministeren, på baggrund af besvarelsen af TRU alm. del – spørgsmål 342, vil redegøre for, om hemmeligstemplingen af Ernst & Youngs rapport om finansiering og organisering af Lynetteholm er i strid med miljøoplysningsloven, til transportministeren
2394232_0099.png
4,45%
Transport- og Boligministeriet
Appendiks 1
forudsætninger i finansielle analyser
Ernst & Young P/S - Dirch Passers Allé 36 - Postboks 250 - 2000 Frederiksberg - CVR-nr. 30 70 02 28
8
TRU, Alm.del - 2020-21 - Endeligt svar på spørgsmål 454: Spm. om ministeren, på baggrund af besvarelsen af TRU alm. del – spørgsmål 342, vil redegøre for, om hemmeligstemplingen af Ernst & Youngs rapport om finansiering og organisering af Lynetteholm er i strid med miljøoplysningsloven, til transportministeren
2394232_0100.png
Transport- og Boligministeriet
Appendiks 1
forudsætninger i finansielle analyser
Erhvervstype
Interval for investors af-
kastkrav, jf. markedsdata
3,50-3,75%
Interval for markedsleje, jf.
markedsdata
1.675-2.100
Interval for markeds-
leje, jf. screening
1.600-2.500
Boligejendomme
Tabel 9: Markedsdata for lejeniveau (DKK pr. m
2
) og investors afkastkrav for boligejen-
domme
Driftsomkostningerne er fastsat til DKK 275 pr. m
2
på baggrund af erfaringstal og dialog med B&H.
Driftsomkostningerne for kommercielle boliger vurderes højere end erhverv, idet disse inkluderer ejen-
domsskatter.
Baseret på ovenstående fastlægger vi lejeniveauet for kommercielle boliger til følgende:
Område
Område A: Lynetteholmen
Lejeniveau
2.000
Driftsomkostninger
275
Investors
afkastkrav
3,45%
Ernst & Young P/S - Dirch Passers Allé 36 - Postboks 250 - 2000 Frederiksberg - CVR-nr. 30 70 02 28
9
TRU, Alm.del - 2020-21 - Endeligt svar på spørgsmål 454: Spm. om ministeren, på baggrund af besvarelsen af TRU alm. del – spørgsmål 342, vil redegøre for, om hemmeligstemplingen af Ernst & Youngs rapport om finansiering og organisering af Lynetteholm er i strid med miljøoplysningsloven, til transportministeren
2394232_0101.png
Transport- og Boligministeriet
Appendiks 1
forudsætninger i finansielle analyser
3
A2: Skatter og afgifter
Dette afsnit dækker disse to emner:
Friholdelse af moms
Modeller for tilbageførsel af ejendomsskatter.
3.1
Friholdelse af moms
Inden for rammerne af LIS er det muligt at foretage visse strukturelle tilpasninger, der eliminerer uhen-
sigtsmæssige momsomkostninger hos sælger og/eller køber. Vi har antaget, at LIS foretager de nødven-
dige strukturelle tilpasninger, men det understreges, at de faktiske momsforhold er afhængige af den
struktur, som LIS etableres efter.
Som udgangspunkt forudsætter vi imidlertid, at LIS etablerer en række P/S-selskaber til udviklingen af
Lynetteholmen og de omkringliggende områder, hvor LIS har en ejerandel. Vi forudsætter endvidere, at
LIS fællesregistrerer alle P/S-selskaberne under ét, hvilket betyder, at LIS som udgangspunkt kan over-
føre byggeretter til P/S-selskaberne momsfrit.
Vi henviser til appendiks 6 for en detaljeret gennemgang af de relevante momsmæssige forhold for LIS.
3.2
Modeller for tilbageførsel af ejendomsskatter
Det fremgår af Principaftalen om anlæg af Lynetteholmen, at LIS oppebærer indtægter fra mergrund-
skyld af projektet
6
.
En model for tilbageførsel af grundskyld kendes fra finansieringsmodellen, som blev anvendt ved etable-
ringen af Ørestad og Nordhavn, hvor B&H i rollen som udviklingsselskab modtog et provenu fra grund-
skyld som en fordring fra KK.
Det er muligt at estimere nutidsværdien af ejendomsskatter for Lynetteholmen og de omkringliggende
områder, herunder både grundskyld og dækningsafgift, og tilbageføre værdien af disse ejendomsskatter
ud fra en model tilsvarende den, der fandt anvendelse ved Ørestad. Således har vi estimeret ejendoms-
skatterne over en 50-årig periode og tilbagediskonteret værdien af disse skatter til en nutidsværdi ved
anvendelse af en rente på 4,0%
7
. Nutidsværdien kan tilbageføres til LIS.
De centrale forudsætninger til beregning af denne nutidsværdi er følgende:
Der anvendes en grundskyldspromille på 12,6‰.
Der anvendes en dækningsafgiftssats på 0,98%.
Der anvendes en real diskonteringsrente på 4,0%.
En væsentlig faktor i estimatet af ejendomsskatter efter kommunalt udligningsbidrag er, hvor stor en del
af KK’s øgede skatteeffekt, der udlignes og herved ikke tilkommer KK.
I det nuværende ejendomsskattesystem har KK et positivt nettoprovenu fra grundskyld fra nye byområ-
der efter udligning svarende til, at ca. 80% af indtægterne udlignes.
Det er imidlertid vores forståelse, at der er betydelig usikkerhed om den fremtidige udligning i KK. Såle-
des indgår tilbageførsel af grundskyld og dækningsafgift ikke i basisscenarierne i nærværende analyse.
Tilbageførsel af ejendomsskatter indgår dog i følsomhedsanalyserne.
6
7
Baseret på samme model, som fandt anvendelse for Østlig Ringvej-projektet, indgår dækningsafgift ligeledes.
Samme sats, som fandt anvendelse i analyse af Østlig Ringvej og ifm. beregning af bidrag fra Ørestad og Nordhavn.
Ernst & Young P/S - Dirch Passers Allé 36 - Postboks 250 - 2000 Frederiksberg - CVR-nr. 30 70 02 28
1
0
TRU, Alm.del - 2020-21 - Endeligt svar på spørgsmål 454: Spm. om ministeren, på baggrund af besvarelsen af TRU alm. del – spørgsmål 342, vil redegøre for, om hemmeligstemplingen af Ernst & Youngs rapport om finansiering og organisering af Lynetteholm er i strid med miljøoplysningsloven, til transportministeren
2394232_0102.png
Transport- og Boligministeriet
Appendiks 1
forudsætninger i finansielle analyser
4
A3: Parkering
LIS’ pengestrømme fra parkering er drevet af følgende elementer:
Omkostninger ifm. opførelsen af parkeringsfaciliteter
Indtægter fra driften af parkeringsfaciliteter.
Vi udregner den samlede pengestrøm fra parkering på Lynetteholmen under forudsætning af, at der pri-
mært opføres parkeringshuse i terræn, hvilket svarer til parkeringsstrategien i Ørestad. Dette betyder,
at arealet til parkeringshuse modregnes i bebyggelsesprocenterne (parkering antages at udgøre 15% af
arealet).
Det antages endvidere, at parkeringspladserne anlægges sideløbende med, at ejendomme etableres på
Lynetteholmen og de omkringliggende områder.
Derudover forudsætter vi generelt, at ejeren af et givent areal forestår opførelsen og driften af parke-
ringsfaciliteterne på arealet. Således vil LIS stå for alt parkering på Lynetteholmen, Quintus og Kløver-
parken, men kun en del af parkeringen på Refshaleøen, afhængigt af valg af organisationsmodel.
4.1
Parkeringsforudsætninger
Parkeringsnorm
Til vurderingen af parkeringsdækningen tages der udgangspunkt i
Kommuneplan 2019,
herunder
Ana-
lyse af bil- og cykelparkeringsnormerne i København,
februar 2019.
I denne fremgår det, at parkeringsnormen for udpegede udviklingsområder, herunder Lynetteholmen, er
følgende:
Bolig: 175 m² pr. p-plads
Erhverv: 150 m² pr. p-plads
Institution: 300 m² pr. p-plads.
8
Typer af parkering
Det antages, at parkeringsstrategien for Lynetteholmen svarer til den strategi, som er vedtaget for Øre-
stad. Parkeringsstrategien herfor indeholder et ønske om at skabe en bilfri bydel, hvor bilerne er gemt
væk. Derfor er der kun tilladt 10% parkering i terræn, og resten skal være i nedgravet konstruktion. På
baggrund af dette er følgende antaget:
Parkering i terræn: 10%
Parkering i parkeringshuse i terræn: 80%
Parkering i parkeringsanlæg under terræn: 10%.
Anlægsomkostning samt drifts- og vedligeholdelsesomkostninger
Til vurdering af anlægsomkostninger samt drifts- og vedligeholdelsesomkostninger tages der udgangs-
punkt i MOEs statistiske studie og data fra forundersøgelsen af Østlig Ringvej, herunder en markedsun-
dersøgelse fra Realdania By & Byg
9
. Realdanias undersøgelse har samlet danske og internationale ek-
sempler på parkeringsløsninger og indeholder bl.a. en vurdering af anlægsomkostninger samt drifts- og
vedligeholdelsesomkostninger.
På baggrund af ovenstående og dialog med B&H fastlægger vi anlægsomkostningerne samt drifts- og
vedligeholdelsesomkostningerne til følgende:
Anlægsomkostninger:
-
8
9
parkering i terræn: DKK 25.000 pr. p-plads
Parkeringsnormen for institutioner afhænger af en konkret vurdering og kan ifølge KK være mellem 200 -600 m
2
.
Parkering og Bykvalitet,
inspirationshæfte af Realdania, 2014.
Ernst & Young P/S - Dirch Passers Allé 36 - Postboks 250 - 2000 Frederiksberg - CVR-nr. 30 70 02 28
10
TRU, Alm.del - 2020-21 - Endeligt svar på spørgsmål 454: Spm. om ministeren, på baggrund af besvarelsen af TRU alm. del – spørgsmål 342, vil redegøre for, om hemmeligstemplingen af Ernst & Youngs rapport om finansiering og organisering af Lynetteholm er i strid med miljøoplysningsloven, til transportministeren
2394232_0103.png
Transport- og Boligministeriet
Appendiks 1
forudsætninger i finansielle analyser
-
-
parkeringshus: DKK 150.000 pr. p-plads
parkeringsanlæg under terræn: DKK 250.000 pr. p-plads
Drifts- og vedligeholdelsesomkostninger:
-
-
-
parkering i terræn: DKK 1.000 pr. p-plads pr. år
parkeringshus: DKK 1.200 pr. p-plads pr. år
parkeringsanlæg under terræn: DKK 2.000 pr. p-plads pr. år.
Parkeringsindtægter
Til vurdering af parkeringsindtægterne tager vi udgangspunkt i Østlig Ringvej-analysen, og følgende ind-
tægter pr. p-plads anvendes for hhv. bolig og erhverv, herunder institutioner:
Bolig: DKK 1.100 pr. p-plads pr. måned (inkl. moms)
Erhverv: DKK 1.800 pr. p-plads pr. måned (inkl. moms).
Ovenstående parkeringsindtægter er ved en belægningsgrad på 100%, hvilket vi ligeledes antager vil
være den gennemsnitlige belægningsgrad.
Værdiansættelse af parkering
På baggrund af ovenstående forudsætninger udregner vi som nævnt de samlede pengestrømme fra par-
kering til LIS og udregner nutidsværdien af disse pengestrømme. Til udregning af nutidsværdien anven-
der vi følgende antagelser, foruden de ovenstående antagelser:
Vi tilbagediskonterer LIS’ pengestrømme med diskonteringsrente 2, jf. appendiks 5.
Vi antager en driftsperiode for parkeringsfaciliteterne på 50 år, hvorefter scrap-værdien er DKK 0.
Vi anvender således ingen terminalværdi.
Ernst & Young P/S - Dirch Passers Allé 36 - Postboks 250 - 2000 Frederiksberg - CVR-nr. 30 70 02 28
11
TRU, Alm.del - 2020-21 - Endeligt svar på spørgsmål 454: Spm. om ministeren, på baggrund af besvarelsen af TRU alm. del – spørgsmål 342, vil redegøre for, om hemmeligstemplingen af Ernst & Youngs rapport om finansiering og organisering af Lynetteholm er i strid med miljøoplysningsloven, til transportministeren
2394232_0104.png
Transport- og Boligministeriet
Appendiks 1
forudsætninger i finansielle analyser
5
A4: Jorddeponi og spuns
En væsentlig forudsætning for udbygning af Lynetteholmen er etablering ved at aftage overskudsjord.
Denne faktor vil have en direkte og indirekte effekt på værdien af LIS:
Der er en direkte indtægt og omkostning forbundet med modtagelse af overskudsjord og spunsning
af Lynetteholmen.
Indirekte vil hastigheden, hvorved projektet modtager overskudsjord, diktere den maksimale udvik-
lingshastighed for Lynetteholmen.
For anlægsomkostninger, indtægter og jordopfyldshastighed anvendes forudsætninger baseret på B&H’s
indledende analyse af Lynetteholmen:
Jordopfyld af Lynetteholmen i perioden 2022-2062
Området modtager 2 mio. ton jord pr. år
Jordindtægt vurderes til DKK 50 pr. ton, og spunsomkostninger til i alt DKK 1.750 mio.
Når VVM-undersøgelsens resultater foreligger, forventes der at indgå en mere detaljeret vurdering af
ovennævnte forhold, hvilket vil blive indarbejdet i analysens resultater.
Udbygningen af Lynetteholmen kan potentielt opleve begrænsninger grundet jordopfyldshastigheden,
hvis den antaget udbygningstakt er meget aggressiv. Jf. afsnit 4 i rapporten og appendiks 4 antager vi
generelt, at udbygningstakten følger KK’s planer/forventninger. Ved denne udbygningstakt vil udbygnin-
gen af Lynetteholmen kun opleve en mindre begrænsning i 2063, som er det sidste år af udbygningen af
Lynetteholmen.
Derudover har vi foretaget et par følsomhedsanalyser vedrørende boligprisudviklingen, jf. afsnit 6 i rap-
porten. I disse vil LIS opleve følgende begrænsninger grundet jordopfyldshastigheden:
Lav boligprisudvikling (aggressiv udbygning): Udbygningen af Lynetteholmen vil allerede være be-
grænset i 2044 grundet jordopfyldshastigheden, hvilket reducerer den årlige udbygningstakt mar-
kant.
Høj boligprisudvikling (konservativ udbygning): Udbygningen af Lynetteholmen vil ikke opleve
nogle begrænsninger som følge af jordopfyldshastigheden.
Ernst & Young P/S - Dirch Passers Allé 36 - Postboks 250 - 2000 Frederiksberg - CVR-nr. 30 70 02 28
12
TRU, Alm.del - 2020-21 - Endeligt svar på spørgsmål 454: Spm. om ministeren, på baggrund af besvarelsen af TRU alm. del – spørgsmål 342, vil redegøre for, om hemmeligstemplingen af Ernst & Youngs rapport om finansiering og organisering af Lynetteholm er i strid med miljøoplysningsloven, til transportministeren
2394232_0105.png
Transport- og Boligministeriet
Appendiks 1
forudsætninger i finansielle analyser
6
A5: Ledningsomkostninger
Det fremgår af opdraget, at det især er hovedforsyningsledninger fra Amagerværket, ARC og Rensean-
læg Lynetten, som forventes berørt af planerne for Lynetteholmen. Det er karakteristisk, at de tre vær-
kers ydelser i vidt omfang kan karakteriseres som monopolydelser.
I Danmark er der tradition for, at priserne på monopolydelser reguleres af myndighederne på forskellig
vis, således at udbyderne af monopolydelserne ikke har mulighed for at sætte uhensigtsmæssigt høje
priser.
Nedenfor fremgår, hvilken prisregulering de enkelte værker p.t. er omfattet af:
Prisregulering
Værk
Vand/spildevand
Amagerværket
ARC
Renseanlæg Lynetten
X
Varme
X
X
El
X
X
Tabel 11: Prisregulering af ledningsejere
Karakteristisk for alle former for prisregulering er, at eventuel opkrævning af omkostninger til lednings-
omlægninger først kan igangsættes, når der er afholdt omkostninger.
Endvidere er det karakteristisk, at prisreguleringen et langt stykke hen ad vejen sætter en grænse for
opkrævning hos forbrugerne baseret på faktisk afholdte omkostninger.
Hvis det antages, at Lynetteholmen først om en årrække medfører ledningsomlægninger, må det også
antages, at den nuværende prisregulering kan være væsentligt ændret i forhold til den omtalte nuvæ-
rende prisregulering ovenfor. Det vil sige, at vi skal forholde os til, hvordan den fremtidige prisregule-
ring vil se ud.
Her er det vores opfattelse, at de nævnte forsyningsområder også i fremtiden vil være monopolområder
og derfor naturligt være underlagt priskontrol fra myndighederne. Det er også vores opfattelse, at den
fremtidige prisregulering kan anses for i al væsentlighed at medføre, at de omkostninger, der afholdes
til ledningsomlægninger, kan opkræves 1:1.
Således forudsætter vi, at omkostninger relateret til ledningsomkostninger (for ledninger på gæsteprin-
cippet) overvæltes 1:1 på forbrugerne over en periode.
Vi afventer input, herunder estimater, fra det tekniske spor.
Ernst & Young P/S - Dirch Passers Allé 36 - Postboks 250 - 2000 Frederiksberg - CVR-nr. 30 70 02 28
13
TRU, Alm.del - 2020-21 - Endeligt svar på spørgsmål 454: Spm. om ministeren, på baggrund af besvarelsen af TRU alm. del – spørgsmål 342, vil redegøre for, om hemmeligstemplingen af Ernst & Youngs rapport om finansiering og organisering af Lynetteholm er i strid med miljøoplysningsloven, til transportministeren
2394232_0106.png
Transport- og Boligministeriet
Appendiks 1
forudsætninger i finansielle analyser
7
A6: Øvrige faktorer
Øvrige faktorer omfatter følgende emner:
Håndtering af krydstogtsterminal og havnedrift.
Sikkerhedszonen omkring Prøvestenen
7.1
Sikkerhedszonen omkring Prøvestenen
Den overvejende del af Prøvestenen bliver i dag anvendt af virksomheder, der af miljømæssige årsager
kræver stor afstand til boliger. For at muliggøre en byudvikling på den anden side af Prøvestenskanalen
er en zonering af Prøvestenen nødvendig, så virksomheder med store sikkerhedsafstande til boliger pla-
ceres længst væk.
Vi forstår, at lejekontrakten for CMP på Prøvestenen ophører i 2035, hvorefter aktiviteterne på Prøve-
stenen tilpasses, således at det bliver muligt at fjerne/ændre sikkerhedszonen.
7.2
7.3
Håndtering af krydstogtsterminal og havnedrift
Jf. Principaftalen skal det undersøges, i hvilket omfang det er muligt at udflytte visse havneaktiviteter til
Lynetteholmen, blandt andet krydstogtsskibe fra inderhavnen.
På nuværende stade er dette forhold endnu ikke afdækket. I nærværende analyse indgår muligheden for
krydstogtsdrift og evt. havnedrift således ikke direkte.
Hvis der i senere analyser viser sig et behov eller en mulighed for udflytning af sådanne aktiviteter, kan
CMP/B&H købe byggeretter på Lynetteholmen til markedspris baseret på en konkret sag.
1
Ernst & Young P/S - Dirch Passers Allé 36 - Postboks 250 - 2000 Frederiksberg - CVR-nr. 30 70 02 28
14
TRU, Alm.del - 2020-21 - Endeligt svar på spørgsmål 454: Spm. om ministeren, på baggrund af besvarelsen af TRU alm. del – spørgsmål 342, vil redegøre for, om hemmeligstemplingen af Ernst & Youngs rapport om finansiering og organisering af Lynetteholm er i strid med miljøoplysningsloven, til transportministeren
2394232_0107.png
Transport- og Boligministeriet
Appendiks 1
forudsætninger i finansielle analyser
EY
| Assurance | Tax | Transactions | Advisory
Om EY
EY er en af verdens førende organisationer inden for revision,
skat, transaktioner og rådgivning. Den indsigt og de ydelser, vi
leverer, hjælper med at opbygge tillid til kapitalmarkederne og
den globale økonomi. Vi udvikler dygtige ledere og medarbej-
dere, som sammen leverer det, vi lover vores interessenter og
bidrager til, at arbejdsverdenen og arbejdslivet funge rer bedre -
for vores medarbejdere, vores kunder og det omgivende sam-
fund.
EY henviser til den globale organisation og kan referere til et el-
ler flere medlemsfirmaer inden for Ernst & Young Global Limi-
ted, som hver især udgør en selvstændig juridisk enhed. Ernst &
Young Global Limited, som er et engelsk
‘company
limited by
guarantee’, yder ikke kunderådgivning. Flere oplysninger om
vores organisation kan findes på ey.com.
© 2020 Ernst & Young P/S. CVR-nr. 30700228
All Rights Reserved.
Dette materiale er udarbejdet alene til orientering, og oplysnin-
gerne i det tilsigter ikke at være fyldestgørende, og de træder
ikke i stedet for udførlige analyser eller udøvelsen af professio-
nelle skøn. I konkrete sager opfordres brugere til at henvende
sig til EY’s rådgivere.
ey.com/dk
Ernst & Young P/S - Dirch Passers Allé 36 - Postboks 250 - 2000 Frederiksberg - CVR-nr. 30 70 02 28
15
TRU, Alm.del - 2020-21 - Endeligt svar på spørgsmål 454: Spm. om ministeren, på baggrund af besvarelsen af TRU alm. del – spørgsmål 342, vil redegøre for, om hemmeligstemplingen af Ernst & Youngs rapport om finansiering og organisering af Lynetteholm er i strid med miljøoplysningsloven, til transportministeren
2394232_0108.png
-- AKT 730242 -- BILAG 5 -- [ 04-05-2020 - Appendiks 2 v7.00 ] --
Transport- og
Boligministeriet
Undersøgelse af finansiering og
organisering af Lynetteholmen
Appendiks 2
version 7
Analyse af organisationsmodeller
4. maj 2020
FORTROLIGT
TRU, Alm.del - 2020-21 - Endeligt svar på spørgsmål 454: Spm. om ministeren, på baggrund af besvarelsen af TRU alm. del – spørgsmål 342, vil redegøre for, om hemmeligstemplingen af Ernst & Youngs rapport om finansiering og organisering af Lynetteholm er i strid med miljøoplysningsloven, til transportministeren
2394232_0109.png
Transport- og Boligministeriet
Appendiks 2
analyse af organisationsmodeller
Indhold
1
Introduktion
1.1 Formål
1.2 Versioner af nærværende notat om mulige organisationsmodeller
Metode og proces
2.1 Kortlægning af rammebetingelser
2.2 Etablering af framework for organisationsmodeller
2.3 Opstilling af bruttoliste
2.4 Udvælgelse af organisationsmodeller til videre analyse
2.5 Beskrivelse og analyse af de tre udvalgte organisatoriske modeller
Organisatoriske rammebetingelser
3.1 Kortlægning af interessenter
3.2 Potentielle organisationspartnere
Bruttoliste
Udvælgelse af organisationsmodeller og ydermodeller
Beskrivelse og analyse af udvalgte organisationsmodeller og ydermodeller
6.1 Organisationsmodel 1: REDA betaler frivilligt bidrag
6.2 Organisationsmodel 2: LIS køber REDAs arealer på Refshaleøen
6.3 Organisationsmodel 3: LIS og REDA samarbejder om Refshaleøen
6.4 Ydermodeller
Betragtninger angående statsstøtte
7.1 Grundlæggende statsstøtteprincipper
7.2 Den overordnede karakter af Lynetteholmens potentielle aktiviteter
7.3 Overblik over de forventede aktiviteter for organisationsmodeller og ydermodeller
2
2
3
4
4
4
5
5
5
6
6
7
8
10
11
11
13
15
17
19
19
19
20
2
3
4
5
6
7
Ernst & Young P/S - Dirch Passers Allé 36 - Postboks 250 - 2000 Frederiksberg - CVR-nr. 30 70 02 28
1
TRU, Alm.del - 2020-21 - Endeligt svar på spørgsmål 454: Spm. om ministeren, på baggrund af besvarelsen af TRU alm. del – spørgsmål 342, vil redegøre for, om hemmeligstemplingen af Ernst & Youngs rapport om finansiering og organisering af Lynetteholm er i strid med miljøoplysningsloven, til transportministeren
2394232_0110.png
Transport- og Boligministeriet
Appendiks 2
analyse af organisationsmodeller
1
1.1
Introduktion
Formål
Nærværende notat beskriver analysen af mulige organisationsmodeller i forbindelse med hovedelement
B omhandlende organisering som led i
Undersøgelse af finansiering og organisering af Lynetteholmen.
Notatet er opdelt i to arbejdsspor, jf. Figur 1:
Figur 1: Illustration af arbejdsspor i analysen af organisationsmodeller, som gennemgås i
nærværende notat
Således er notatet udarbejdet med henblik på at foretage følgende analyser:
B1: Kortlægning af LIS’ rammebetingelser
B2: Optimering af LIS’ organisering, hvilket inkluderer:
en opstilling af en bruttoliste over mulige organisationsmodeller
en udvælgelse og efterfølgende gennemførelse af dybdegående analyse af udvalgte organisati-
onsmodeller.
Ernst & Young P/S - Dirch Passers Allé 36 - Postboks 250 - 2000 Frederiksberg - CVR-nr. 30 70 02 28
2
TRU, Alm.del - 2020-21 - Endeligt svar på spørgsmål 454: Spm. om ministeren, på baggrund af besvarelsen af TRU alm. del – spørgsmål 342, vil redegøre for, om hemmeligstemplingen af Ernst & Youngs rapport om finansiering og organisering af Lynetteholm er i strid med miljøoplysningsloven, til transportministeren
2394232_0111.png
Transport- og Boligministeriet
Appendiks 2
analyse af organisationsmodeller
1.2
Versioner af nærværende notat om mulige organisationsmodeller
Version
001
002
003
004
005
006
007
nærværende
version
Dato
Den 4. oktober 2019
Den 28. oktober 2019
Den 10. januar 2020
Den 26. februar 2020
Den 30. marts 2020
Den 16. april 2020
Den 4. maj. 2020
Beskrivelse/ændringer
Første version fremlagt på statusmøde den 4. oktober 2019.
Anden version. Opdateret PowerPoint-præsentation gennemgået
på styregruppemøde den 28. oktober 2019.
Tredje version. Første version af notat som fremsendes til TRM.
Fjerde version. Fremsendt ifm. første rapportudkast dateret den
21. februar 2020.
Femte version. Mindre korrekturrettelser er foretaget. Frem-
sendt ifm. andet rapportudkast dateret den 20. marts 2020.
Sjette version. Mindre korrekturrettelser. Fremsendt ifm. rapport
dateret den 16. april 2020.
Udkast stempel fjernet og fremsendt ifm. rapport dateret den 4.
maj 2020.
Ernst & Young P/S - Dirch Passers Allé 36 - Postboks 250 - 2000 Frederiksberg - CVR-nr. 30 70 02 28
3
TRU, Alm.del - 2020-21 - Endeligt svar på spørgsmål 454: Spm. om ministeren, på baggrund af besvarelsen af TRU alm. del – spørgsmål 342, vil redegøre for, om hemmeligstemplingen af Ernst & Youngs rapport om finansiering og organisering af Lynetteholm er i strid med miljøoplysningsloven, til transportministeren
2394232_0112.png
Transport- og Boligministeriet
Appendiks 2
analyse af organisationsmodeller
2
Metode og proces
Formålet med nærværende notat er at opstille og udvælge fordelagtige organisationsmodeller for LIS,
der kan indgå i scenarierne for realisering af det størst mulige realistiske finansieringsbidrag til infra-
struktur.
Vi har i den forbindelse gennemført følgende fem trin:
1.
2.
3.
4.
5.
Kortlægning af rammebetingelser
Etablering af framework for organisationsmodeller
Opstilling af bruttoliste
Udvælgelse af organisationsmodeller til videre analyse
Beskrivelse og analyse af de udvalgte organisationsmodeller.
2.1
Kortlægning af rammebetingelser
De organisatoriske rammebetingelser danner grundlag for opstillingen af en bruttoliste over organisati-
onsmodeller, der skal sikre finansieringsbidraget. Disse organisatoriske rammebetingelser omfatter en
kortlægning af interessenter ud fra deres potentielle indflydelse på, betydning for og interesse i LIS
samt fastlæggelse af et passende afkastkrav. Sidstnævnte foretages i regi af de finansielle analyser og
vil derfor ikke være en del af nærværende notat.
Efter at have kortlagt interessenterne vurderes disses betydning for LIS. Denne vurdering er baseret på
de samlede værdier og mulige bidrag, som interessenterne kan skabe ift. LIS (økonomisk position), og på
de muligheder, som interessenterne har for at påvirke LIS (politisk position). Vægtningen af disse positi-
oner gør det muligt at vurdere, hvordan vi bedst håndterer interessenter, herunder interessenternes
relevans for LIS og deres potentiale som mulige samarbejdspartnere.
2.2
Etablering af framework for organisationsmodeller
Vi har etableret et framework for organisationsmodeller, som tager udgangspunkt i, hvordan LIS kan
organiseres under hensyn til bidragstypernes forskellighed, længden af deres involvering og samar-
bejdsformen med øvrige aktører.
Udfaldsrummet for mulige organisationsmodeller kan derfor overordnet set anskues ud fra nedenstå-
ende to dimensioner:
Involveringsdimensionen: LIS kan operere ud fra kun at sælge byggeretter til at udvikle, udleje og
efterfølgende sælge ejendomme:
LIS kan vælge en kort involvering, hvor byggeretter sælges hurtigt med relativ lav risiko.
Alternativt kan LIS vælge en lang involvering, hvor byggeretter udvikles til ejendomme, som
enten frasælges eller eventuelt udlejes for at blive solgt senere.
Valg af organisering vurderes at ville have markant indflydelse på LIS’ finansieringspotentiale
og risici.
Samarbejdsdimensionen: LIS kan operere fra at agere alene til at samarbejde og have fælles ejer-
skab med andre aktører:
LIS kan vælge ikke at samarbejde med andre aktører og alene forestå udviklingen af de nye til-
gængelige områder, evt. i konkurrence med REDA og andre aktører.
Alternativt kan samarbejdsmodeller inddrage øvrige interessenter, eksempelvis kan der opret-
tes et fælles udviklingsselskab med deltagelse af REDA.
Samarbejdsgraden kan bidrage til at reducere risici og hjælpe til fordelagtige incitamentsstruk-
turer. Det samlede potentiale må dog forventes reduceret, når fx risici deles.
Ernst & Young P/S - Dirch Passers Allé 36 - Postboks 250 - 2000 Frederiksberg - CVR-nr. 30 70 02 28
4
TRU, Alm.del - 2020-21 - Endeligt svar på spørgsmål 454: Spm. om ministeren, på baggrund af besvarelsen af TRU alm. del – spørgsmål 342, vil redegøre for, om hemmeligstemplingen af Ernst & Youngs rapport om finansiering og organisering af Lynetteholm er i strid med miljøoplysningsloven, til transportministeren
2394232_0113.png
Transport- og Boligministeriet
Appendiks 2
analyse af organisationsmodeller
På baggrund af ovenstående er der således etableret et framework for organisationsmodeller, som vist i
Figur 2 nedenfor, herunder forskellige modeller for samarbejde med private parter og LIS’ tidsmæssige
involvering:
Figur 2: Framework for organisationsmodeller
2.3
Opstilling af bruttoliste
Med baggrund i ovenstående framework har vi udledt de mulige organisationsmodeller for udbygningen
af Lynetteholmen og sammenfattet disse i en bruttoliste.
Bruttolisten danner grundlag for udvælgelsen af organisationsmodeller, som indgår i kvantificering af
finansieringsbidraget.
2.4
Udvælgelse af organisationsmodeller til videre analyse
Ud fra bruttolisten og baseret på input modtaget på statusmødet den 4. oktober 2019 har EY specifice-
ret tre organisationsmodeller (1-3) for LIS’ organisation og to ydermodeller (1-2), som vil være ud-
gangspunkt for scenarier og kvantificeringen af finansieringsbidraget. De to ydermodeller repræsente-
rer principielle organisationsmodeller og må antages som teoretiske yderpunkter.
På styregruppemødet den 28. oktober 2019 blev disse tre organisationsmodeller og to ydermodeller
valideret og blev via e-mail fra TRM endeligt bekræftet den 8. november 2019.
2.5
Beskrivelse og analyse af de tre udvalgte organisatoriske modeller
De tre udvalgte organisationsmodeller behandles detaljeret og beskrives i forhold til ejerskab og kontrol.
Desuden beskrives incitamentsstrukturen og risikoprofilen for hver af de tre organisationsmodeller for
at sikre, at disse forhold er tilstrækkeligt belyste for at kunne fungere som beslutningsgrundlag.
Ernst & Young P/S - Dirch Passers Allé 36 - Postboks 250 - 2000 Frederiksberg - CVR-nr. 30 70 02 28
5
TRU, Alm.del - 2020-21 - Endeligt svar på spørgsmål 454: Spm. om ministeren, på baggrund af besvarelsen af TRU alm. del – spørgsmål 342, vil redegøre for, om hemmeligstemplingen af Ernst & Youngs rapport om finansiering og organisering af Lynetteholm er i strid med miljøoplysningsloven, til transportministeren
2394232_0114.png
Transport- og Boligministeriet
Appendiks 2
analyse af organisationsmodeller
3
3.1
3.1.1
Ernst & Young P/S - Dirch Passers Allé 36 - Postboks 250 - 2000 Frederiksberg - CVR-nr. 30 70 02 28
6
TRU, Alm.del - 2020-21 - Endeligt svar på spørgsmål 454: Spm. om ministeren, på baggrund af besvarelsen af TRU alm. del – spørgsmål 342, vil redegøre for, om hemmeligstemplingen af Ernst & Youngs rapport om finansiering og organisering af Lynetteholm er i strid med miljøoplysningsloven, til transportministeren
2394232_0115.png
Transport- og Boligministeriet
Appendiks 2
analyse af organisationsmodeller
3.2
3.2.1
Ernst & Young P/S - Dirch Passers Allé 36 - Postboks 250 - 2000 Frederiksberg - CVR-nr. 30 70 02 28
7
TRU, Alm.del - 2020-21 - Endeligt svar på spørgsmål 454: Spm. om ministeren, på baggrund af besvarelsen af TRU alm. del – spørgsmål 342, vil redegøre for, om hemmeligstemplingen af Ernst & Youngs rapport om finansiering og organisering af Lynetteholm er i strid med miljøoplysningsloven, til transportministeren
2394232_0116.png
Transport- og Boligministeriet
Appendiks 2
analyse af organisationsmodeller
4
Bruttoliste
I nærværende afsnit er opstillet bruttolisten for organisationsmodeller, som er baseret på frameworket i
Figur 1.
Frameworkets dimensioner antager følgende operationelle spænd ift., hvordan LIS kan forventes at
kunne operere:
Involveringsdimensionen: LIS kan operere ud fra kun at sælge byggeretter til at udvikle, udleje og
efterfølgende sælge ejendomme.
Samarbejdsdimensionen: LIS kan operere fra at agere alene til at samarbejde og have fælles ejer-
skab med andre aktører.
Vi har på denne baggrund udledt 12 forskellige principielle organisationsmodeller. Disse er præsenteret
i en grafisk præsentation, jf. Figur 4, og i en bruttoliste, jf. Tabel 1 nedenfor.
For hver organisationsmodel i Tabel 1 kan man se, på hvilken måde og med hvilke aktiver LIS vil gå i
markedet, det økonomiske potentiale i den forbindelse samt tidshorisonten og risikoniveauet forbundet
hermed.
Figur 5: Bruttoliste over mulige organisationsmodeller
Ernst & Young P/S - Dirch Passers Allé 36 - Postboks 250 - 2000 Frederiksberg - CVR-nr. 30 70 02 28
8
TRU, Alm.del - 2020-21 - Endeligt svar på spørgsmål 454: Spm. om ministeren, på baggrund af besvarelsen af TRU alm. del – spørgsmål 342, vil redegøre for, om hemmeligstemplingen af Ernst & Youngs rapport om finansiering og organisering af Lynetteholm er i strid med miljøoplysningsloven, til transportministeren
2394232_0117.png
Transport- og Boligministeriet
Appendiks 2
analyse af organisationsmodeller
#
1.1
Organisationsmodel
LIS forestår salg uden om evt.
øvrige parter
LIS køber REDAs arealer på
Refshaleøen
Frivilligt samarbejde/hybrid
Fælles salg med REDA/andre
aktører. Disse har andel i LIS
LIS forestår salg uden om
eventuelle øvrige parter
LIS køber REDAs arealer på
Refshaleøen
LIS’ ejerskab
LIS ejer Lynetteholmen og evt.
offentlige arealer. Ingen ejer-
skab af øvrige områder
LIS ejer Lynetteholmen, of-
fentlige arealer og Refshale-
øen
LIS ejer Lynetteholmen og evt.
offentlige arealer. Frivillige af-
taler om øvrige områder
LIS ejer Lynetteholmen, men
deler ejerskab af Refshaleøen
LIS ejer Lynetteholmen og evt.
offentlige arealer. Ingen ejer-
skab af øvrige områder
LIS ejer Lynetteholmen, of-
fentlige arealer og Refshale-
øen
LIS ejer Lynetteholmen og evt.
offentlige arealer. Frivillige af-
taler om øvrige områder
LIS ejer Lynetteholmen, men
deler ejerskab af Refshaleøen
LIS ejer Lynetteholmen og evt.
offentlige arealer. Ingen ejer-
skab af øvrige områder
LIS ejer Lynetteholmen, of-
fentlige arealer og Refshale-
øen
LIS ejer Lynetteholmen og evt.
offentlige arealer. Frivillige af-
taler om øvrige områder
LIS ejer Lynetteholmen, men
deler ejerskab af Refshaleøen
Aktivtype
Byggeretter
Potentiale
Kun salg af byggeret-
ter
Kun salg af byggeret-
ter
Kun salg af byggeret-
ter
Kun salg af byggeret-
ter
Potentiale fra bygge-
retter og udvikling af
boliger/erhverv
Potentiale fra bygge-
retter og udvikling af
boliger/erhverv
Potentiale fra bygge-
retter og udvikling af
boliger/erhverv
Potentiale fra bygge-
retter og udvikling af
boliger/erhverv
Stort potentiale i ud-
vikling af boliger/er-
hverv
Stort potentiale i ud-
vikling af boliger/er-
hverv
Stort potentiale i ud-
vikling af boliger/er-
hverv
Stort potentiale i ud-
vikling af boliger/er-
hverv
Tidshorisont
Kort
Risiko
Risiko begrænset til salg af
byggeretter
Risiko ved salg af byggeret-
ter, nu for alle arealer
Risiko begrænset til salg af
byggeretter
Risiko begrænset til bygge-
retter og delt med REDA
Risiko begrænset for byg-
geretter, men væsentlig for
udvikling
Risiko begrænset for byg-
geretter, men væsentlig for
udvikling. LIS bærer risiko
for alle arealer
Risiko begrænset for byg-
geretter, men væsentlig for
udvikling
Risiko begrænset til bygge-
retter, men væsentlig for
byggeri. Risiko delt med
REDA
Væsentlig risiko i udvikling
af boliger/erhverv
Væsentlig risiko i udvikling
af boliger/erhverv og for
alle arealer
Væsentlig risiko i udvikling
af boliger/erhverv
Væsentlig risiko i udvikling
af boliger/erhverv, men delt
med REDA
1.2.1
Byggeretter
Kort
1.2.2
Byggeretter
Kort
1.2.3
Byggeretter
Salg af byggeret-
ter og udvikling af
boliger/erhverv
Salg af byggeret-
ter og udvikling af
boliger/erhverv
Salg af byggeret-
ter og udvikling af
boliger/erhverv
Salg af byggeret-
ter og udvikling af
boliger/erhverv
Boliger og erhverv
Kort
2.1
Mellemlang
2.2.1
Mellemlang
2.2.2
Frivilligt samarbejde/hybrid
Fælles ejerskab og salg med
REDA/andre aktører, som har
andel i LIS
LIS forestår salg/leje uden om
øvrige parter
LIS køber REDAs arealer på
Refshaleøen
Frivilligt samarbejde/hybrid
Fælles ejerskab og salg med
REDA/andre aktører, som har
andel i LIS
Mellemlang
2.2.3
Mellemlang
3.1
Lang
3.2.1
Boliger og erhverv
Lang
3.2.2
Boliger og erhverv
Lang
3.2.3
Boliger og erhverv
Lang
Tabel 1: Bruttoliste over mulige organisationsmodeller
Ernst & Young P/S - Dirch Passers Allé 36 - Postboks 250 - 2000 Frederiksberg - CVR-nr. 30 70 02 28
9
TRU, Alm.del - 2020-21 - Endeligt svar på spørgsmål 454: Spm. om ministeren, på baggrund af besvarelsen af TRU alm. del – spørgsmål 342, vil redegøre for, om hemmeligstemplingen af Ernst & Youngs rapport om finansiering og organisering af Lynetteholm er i strid med miljøoplysningsloven, til transportministeren
2394232_0118.png
5
Udvælgelse af organisationsmodeller og ydermodeller
Der er sammen med styregruppen udvalgt tre organisationsmodeller og to ydermodeller, som danner
grundlag for kvantificering af finansieringsbidraget. Modellerne er udvalgt ud fra en betragtning om, at
kun de mest sandsynlige og realiserbare modeller skal analyseres i dybden og kvantificeres.
Udvælgelsen baserer sig på en konsensusbetragtning, at modeller med kortere involvering af LIS ift. de
tre udvalgte modeller alt andet lige ville betyde, at en uhensigtsmæssig lille del af LIS’ økonomiske po-
tentiale blev realiseret.
Ud fra samme betragtning var der også konsensus, at modeller med længere involvering ville gå læn-
gere end LIS’ forventede risikotolerance, samtidig med at en sådan involvering formentlig ville blive
mødt af konkurrencemæssige udfordringer. Øvrige modeller er derfor blevet fravalgt, qua at de faldt
uden for konsensus ift. forventningerne til LIS’ realistiske tidshorisont og/eller risikotolerance.
Ydermodellernes form og udvælgelse baserer sig på det teoretisk mulige spænd ift. LIS’ risikotolerance
og muligheder for enten at minimere sine risici (ydermodel 1) eller at maksimere sit økonomiske potenti-
ale (ydermodel 2). Organisatorisk repræsenterer ydermodellerne også to forskellige tilgange. I ydermo-
del 1 forestår LIS selv alle aktiviteter qua det begrænsede niveau af aktiviteter ifm. kun salg af bygger-
etter. I ydermodel 2 inddrager LIS developere og entreprenører via partnerselskaber til udvikling, byg-
geri, udlejning og efterfølgende salg af ejendomme. Ydermodel 2 hviler derfor på nogle af de samme or-
ganisatoriske principper som de udvalgte organisationsmodeller, men adskiller sig ved LIS’ tilgang til
sine aktiviteter og risikotolerance ift. at operere med størst mulig risikotolerance og tidshorisont med
ambitionen om at realisere finansieringsbidraget.
Baseret på styregruppemødet den 28. oktober 2019 er nedenstående afdækning således vurderet at
være repræsentativ for de mest sandsynlige organisationsmodeller for LIS, jf. Figur 5.
De tre organisationsmodeller vil dog som led i senere analyser blive stress- og følsomhedstestet, så det
fulde udfaldsrum for finansieringsbidraget afdækkes.
Figur 6: De tre udvalgte organisationsmodeller og to ydermodeller, der afdækker det mest
sandsynlige udfaldsrum
Ernst & Young P/S - Dirch Passers Allé 36 - Postboks 250 - 2000 Frederiksberg - CVR-nr. 30 70 02 28
10
TRU, Alm.del - 2020-21 - Endeligt svar på spørgsmål 454: Spm. om ministeren, på baggrund af besvarelsen af TRU alm. del – spørgsmål 342, vil redegøre for, om hemmeligstemplingen af Ernst & Youngs rapport om finansiering og organisering af Lynetteholm er i strid med miljøoplysningsloven, til transportministeren
2394232_0119.png
6
6.1
Ernst & Young P/S - Dirch Passers Allé 36 - Postboks 250 - 2000 Frederiksberg - CVR-nr. 30 70 02 28
11
TRU, Alm.del - 2020-21 - Endeligt svar på spørgsmål 454: Spm. om ministeren, på baggrund af besvarelsen af TRU alm. del – spørgsmål 342, vil redegøre for, om hemmeligstemplingen af Ernst & Youngs rapport om finansiering og organisering af Lynetteholm er i strid med miljøoplysningsloven, til transportministeren
2394232_0120.png
6.1.1
6.1.2
6.1.3
Ernst & Young P/S - Dirch Passers Allé 36 - Postboks 250 - 2000 Frederiksberg - CVR-nr. 30 70 02 28
12
TRU, Alm.del - 2020-21 - Endeligt svar på spørgsmål 454: Spm. om ministeren, på baggrund af besvarelsen af TRU alm. del – spørgsmål 342, vil redegøre for, om hemmeligstemplingen af Ernst & Youngs rapport om finansiering og organisering af Lynetteholm er i strid med miljøoplysningsloven, til transportministeren
2394232_0121.png
6.1.4
6.2
Ernst & Young P/S - Dirch Passers Allé 36 - Postboks 250 - 2000 Frederiksberg - CVR-nr. 30 70 02 28
13
TRU, Alm.del - 2020-21 - Endeligt svar på spørgsmål 454: Spm. om ministeren, på baggrund af besvarelsen af TRU alm. del – spørgsmål 342, vil redegøre for, om hemmeligstemplingen af Ernst & Youngs rapport om finansiering og organisering af Lynetteholm er i strid med miljøoplysningsloven, til transportministeren
2394232_0122.png
6.2.1
6.2.2
6.2.3
Ernst & Young P/S - Dirch Passers Allé 36 - Postboks 250 - 2000 Frederiksberg - CVR-nr. 30 70 02 28
14
TRU, Alm.del - 2020-21 - Endeligt svar på spørgsmål 454: Spm. om ministeren, på baggrund af besvarelsen af TRU alm. del – spørgsmål 342, vil redegøre for, om hemmeligstemplingen af Ernst & Youngs rapport om finansiering og organisering af Lynetteholm er i strid med miljøoplysningsloven, til transportministeren
2394232_0123.png
6.2.4
6.3
6.3.1
Ernst & Young P/S - Dirch Passers Allé 36 - Postboks 250 - 2000 Frederiksberg - CVR-nr. 30 70 02 28
15
TRU, Alm.del - 2020-21 - Endeligt svar på spørgsmål 454: Spm. om ministeren, på baggrund af besvarelsen af TRU alm. del – spørgsmål 342, vil redegøre for, om hemmeligstemplingen af Ernst & Youngs rapport om finansiering og organisering af Lynetteholm er i strid med miljøoplysningsloven, til transportministeren
2394232_0124.png
6.3.2
6.3.3
Ernst & Young P/S - Dirch Passers Allé 36 - Postboks 250 - 2000 Frederiksberg - CVR-nr. 30 70 02 28
16
TRU, Alm.del - 2020-21 - Endeligt svar på spørgsmål 454: Spm. om ministeren, på baggrund af besvarelsen af TRU alm. del – spørgsmål 342, vil redegøre for, om hemmeligstemplingen af Ernst & Youngs rapport om finansiering og organisering af Lynetteholm er i strid med miljøoplysningsloven, til transportministeren
2394232_0125.png
6.3.4
6.4
6.4.1
Ernst & Young P/S - Dirch Passers Allé 36 - Postboks 250 - 2000 Frederiksberg - CVR-nr. 30 70 02 28
17
TRU, Alm.del - 2020-21 - Endeligt svar på spørgsmål 454: Spm. om ministeren, på baggrund af besvarelsen af TRU alm. del – spørgsmål 342, vil redegøre for, om hemmeligstemplingen af Ernst & Youngs rapport om finansiering og organisering af Lynetteholm er i strid med miljøoplysningsloven, til transportministeren
2394232_0126.png
6.4.2
Ernst & Young P/S - Dirch Passers Allé 36 - Postboks 250 - 2000 Frederiksberg - CVR-nr. 30 70 02 28
18
TRU, Alm.del - 2020-21 - Endeligt svar på spørgsmål 454: Spm. om ministeren, på baggrund af besvarelsen af TRU alm. del – spørgsmål 342, vil redegøre for, om hemmeligstemplingen af Ernst & Youngs rapport om finansiering og organisering af Lynetteholm er i strid med miljøoplysningsloven, til transportministeren
2394232_0127.png
7
Betragtninger angående statsstøtte
Nærværende afsnit beskriver de overordnede betragtninger ang. statsstøtte, som LIS vil skulle være op-
mærksom på i forbindelse med organiseringen af Lynetteholmen.
En vigtig faktor for samtlige organisationsmodeller er, hvorledes de harmonerer med statsstøttereg-
lerne. For at operationalisere de fremlagte modeller i nærværende notat vil det derfor være nødvendigt
at klarlægge de aktiviteter, LIS selv vil udføre, og hvordan private aktører vil blive inddraget til at udføre
andre aktiviteter helt eller delvist.
7.1
Grundlæggende statsstøtteprincipper
I statsstøtteanalysen af organiseringen og finansieringen af Lynetteholmen er der to gennemgående te-
maer:
Hvilke aktiviteter er økonomiske og risikerer at påvirke konkurrencen (og hvilke er omvendt ikke-
økonomiske/henhører under myndighedsudøvelse og/eller vil ikke påvirke konkurrencen)? Disse
aktiviteter kan inkludere, men er ikke begrænsede til salg, udlejning, drift m.v. vs. planlægning, for-
valtning m.v.
Indgår det offentlige alle transaktioner med de økonomiske/konkurrenceudsatte aktiviteter på mar-
kedsvilkår (eller opnår disse aktiviteter eller involverede private virksomheder omvendt en fordel,
som markedet ikke ville give dem)? Problematikker associeret hermed inkluderer valg af privat del-
tager ved udbud og værdiansættelse af aktiver m.v.
Hvis der ydes en fordel til økonomiske/konkurrenceudsatte aktiviteter, skal det overvejes, om denne for-
del kan ydes som lovlig og forenelig statsstøtte
formentlig efter forudgående notifikation.
Hvert
”aktivitetsniveau”
i organiseringsmodellerne skal således analyseres selvstændigt og konkret uan-
set juridisk form (LIS, P/S-selskab, REDA, entreprenører, brugere m.v.).
7.2
Den overordnede karakter af Lynetteholmens potentielle aktiviteter
Nedenfor har vi beskrevet de økonomiske aktiviteter, som kan blive relevante for LIS, og vurderet disse
efter deres økonomiske niveau, jf. Tabel 2:
Aktivitet
Statsstøtteovervejelser
Ansvaret for at planlægge og finansiere jorddeponi og spuns må antages at være
en ikkeøkonomisk myndighedsopgave begrundet i offentlige behov, navnlig med
henblik på kystsikring. Jorddeponisalget skal foregå på markedsvilkår, så virk-
somheder, der leverer jord, ikke får en fordel. Selve udførelsen af spunsarbejdet
er en økonomisk aktivitet, men da der vil være en udbudspligt for LIS i den for-
bindelse, sikrer konkurrenceudsættelsen, at leverandøren ikke får en fordel.
En offentlig myndigheds rene salg af almene byggeretter afledt af ovennævnte
myndighedsaktivitet er som udgangspunkt ikke en selvstændig økonomisk aktivi-
tet, der kan adskilles fra myndighedsopgaverne. For at undgå, at købere (almene
boligselskaber m.fl.) får en fordel, skal salg ske til markedsprisen, hvilket kan sik-
res ved konkurrenceudsættelse eller ved værdiansættelse.
En offentlig myndigheds rene salg af kommercielle byggeretter afledt af oven-
nævnte myndigheds aktivitet er som udgangspunkt ikke en økonomisk aktivitet,
der kan adskilles fra myndighedsopgaverne. For at undgå, at købere får en for-
del, skal salg skal ske til markedsprisen, hvilket kan sikres ved konkurrenceud-
sættelse eller ved værdiansættelse.
Udvikling af natur- og rekreative områder samt byggemodning i form af kloake-
ring og anlæg af anden grundlæggende infrastruktur er formentlig ikke en økono-
misk aktivitet. Risikoen for, at aktiviteten med udvikling af arealer er økonomisk
og dermed omfattet af statsstøttereglerne stiger, jo tættere udviklingen sker
med henblik på kommercialisering, fx i form af deltagelse i opførelse af bygnin-
ger m.v. med henblik på salg/udleje, da dette er en markedsaktivitet. Hvis der
konkret er tale om en økonomisk aktivitet, skal den foregå på markedsvilkår. Dvs.
Økonomisk
niveau
Jorddeponi
og spuns
Lav
Salg af al-
mene bygge-
retter
Lav
Salg af kom-
mercielle byg-
geretter
Lav
Udvikling af
arealer (i P/S,
eller af LIS)
Mellem
Ernst & Young P/S - Dirch Passers Allé 36 - Postboks 250 - 2000 Frederiksberg - CVR-nr. 30 70 02 28
19
TRU, Alm.del - 2020-21 - Endeligt svar på spørgsmål 454: Spm. om ministeren, på baggrund af besvarelsen af TRU alm. del – spørgsmål 342, vil redegøre for, om hemmeligstemplingen af Ernst & Youngs rapport om finansiering og organisering af Lynetteholm er i strid med miljøoplysningsloven, til transportministeren
2394232_0128.png
på grundlag af en detaljeret forretningsplan, der viser, at en privat markedsaktør
i samme situation som LIS også ville investere i projektet. Endvidere skal senere
salg/udleje også ske på markedsvilkår.
Der er formentlig tale om økonomiske aktiviteter. Ejerskab og anlæg af parke-
ringsfaciliteter kan også foretages af private økonomiske aktører. Under alle om-
stændigheder vil driften af parkeringsfaciliteterne være en økonomisk aktivitet,
da der herved udbydes en tjenesteydelse på markedet, som der antageligvis op-
kræves betaling for, og som ikke er organiseret og reguleret på en måde, som til-
siger, at der ikke er tale om en økonomisk aktivitet. Således skal aktiviteterne ud-
føres på markedsvilkår, hvilket indebærer, at der udarbejdes en detaljeret forret-
ningsplan, der viser, at en privat markedsaktør i samme situation som LIS også
ville investere i projektet. Endvidere skal senere udleje af faciliteterne også ske
på markedsvilkår.
Eje, anlægge
og drive
parkerings-
faciliteter
Høj
Tabel 2: Aktivitetsoversigt
7.3
Overblik over de forventede aktiviteter for organisationsmodeller og ydermodeller
Jorddeponi og
spuns
Organisations-
model 1
Organisations-
model 2
Organisations-
model 3
Ydermodel 1
Ydermodel 2
X
X
X
X
X
Salg af almene
byggeretter
X
X
X
X
X
Salg af
kommercielle
byggeretter
X
X
X
X
X
X
Udvikling af
arealer (i P/S,
eller af LIS)
X
X
X
Eje, anlægge og
drive parkerings-
faciliteter
X
X
X
Tabel 3: Forventede aktiviteter for hver model
Ovenstående Tabel 3 viser, at organisationsmodel 1, 2 og 3 vil være økonomisk aktive i det fulde spek-
trum af økonomiske aktiviteter, hvorfor man ved hver model, jf. Tabel 2, vil skulle være særligt opmærk-
som på det højere økonomiske aktivitetsniveau associeret med udvikling af områder (mellemniveau)
samt ved eje, anlæg og drift af parkeringsfaciliteter (højniveau).
Ernst & Young P/S - Dirch Passers Allé 36 - Postboks 250 - 2000 Frederiksberg - CVR-nr. 30 70 02 28
20
TRU, Alm.del - 2020-21 - Endeligt svar på spørgsmål 454: Spm. om ministeren, på baggrund af besvarelsen af TRU alm. del – spørgsmål 342, vil redegøre for, om hemmeligstemplingen af Ernst & Youngs rapport om finansiering og organisering af Lynetteholm er i strid med miljøoplysningsloven, til transportministeren
EY
| Assurance | Tax | Transactions | Advisory
Om EY
EY er en af verdens førende organisationer inden for revision,
skat, transaktioner og rådgivning. Den indsigt og de ydelser, vi
leverer, hjælper med at opbygge tillid til kapitalmarkederne og
den globale økonomi. Vi udvikler dygtige ledere og medarbej-
dere, som sammen leverer det, vi lover vores interessenter og
bidrager til, at arbejdsverdenen og arbejdslivet fungerer bedre -
for vores medarbejdere, vores kunder og det omgivende sam-
fund.
EY henviser til den globale organisation og kan referere til et el-
ler flere medlemsfirmaer inden for Ernst & Young Global Limi-
ted, som hver især udgør en selvstændig juridisk enhed. Ernst &
Young Global Limited, som er et engelsk
‘company
limited by
guarantee’, yder ikke kunderådgivning. Flere oplysninger om
vores organisation kan findes på ey.com.
© 2020 Ernst & Young P/S. CVR-nr. 30700228
All Rights Reserved.
Dette materiale er udarbejdet alene til orientering, og oplysnin-
gerne i det tilsigter ikke at være fyldestgørende, og de træder
ikke i stedet for udførlige analyser eller udøvelsen af professio-
nelle skøn. I konkrete sager opfordres brugere til at henvende
sig til EY’s rådgivere.
ey.com/dk
Ernst & Young P/S - Dirch Passers Allé 36 - Postboks 250 - 2000 Frederiksberg - CVR-nr. 30 70 02 28
21
TRU, Alm.del - 2020-21 - Endeligt svar på spørgsmål 454: Spm. om ministeren, på baggrund af besvarelsen af TRU alm. del – spørgsmål 342, vil redegøre for, om hemmeligstemplingen af Ernst & Youngs rapport om finansiering og organisering af Lynetteholm er i strid med miljøoplysningsloven, til transportministeren
2394232_0130.png
-- AKT 730242 -- BILAG 6 -- [ 04-05-2020 - Appendiks 3 v5.00 ] --
Transport- og
Boligministeriet
Undersøgelse af finansiering og
organisering af Lynetteholmen
Appendiks 3
version 5
Forudsætninger for arealanvendelse
4. maj 2020
FORTROLIGT
TRU, Alm.del - 2020-21 - Endeligt svar på spørgsmål 454: Spm. om ministeren, på baggrund af besvarelsen af TRU alm. del – spørgsmål 342, vil redegøre for, om hemmeligstemplingen af Ernst & Youngs rapport om finansiering og organisering af Lynetteholm er i strid med miljøoplysningsloven, til transportministeren
2394232_0131.png
Transport- og Boligministeriet
Appendiks 3
forudsætninger for arealanvendelse
Indhold
1
2
Introduktion
1.1 Formål
Overblik over arealer og generelle forudsætninger
2.1 Arealoverblik
2.2 Arealanvendelse
2.3 Følsomhedsanalyser
2.4 Bindinger
Område A
Lynetteholmen
3.1 Beskrivelse af område A
3.2 Specifikke arealforudsætninger
3.3 Arealanvendelse
3.4 Arealspecifikke følsomhedsanalyser
Område B
Refshaleøen
4.1 Beskrivelse af område B
4.2 Specifikke arealforudsætninger
4.3 Arealanvendelse
4.4 Arealspecifikke følsomhedsanalyser
Område C
Quintus
5.1 Beskrivelse af område C
5.2 Specifikke arealforudsætninger
5.3 Arealanvendelse
Område D
Kløverparken
6.1 Beskrivelse af område D
6.2 Specifikke arealforudsætninger
6.3 Arealanvendelse
6.4 Arealspecifikke følsomhedsanalyser
2
2
3
3
4
4
4
5
5
5
6
6
7
7
7
8
8
9
9
9
10
11
11
11
12
12
3
4
5
6
Ernst & Young P/S - Dirch Passers Allé 36 - Postboks 250 - 2000 Frederiksberg - CVR-nr. 30 70 02 28
1
TRU, Alm.del - 2020-21 - Endeligt svar på spørgsmål 454: Spm. om ministeren, på baggrund af besvarelsen af TRU alm. del – spørgsmål 342, vil redegøre for, om hemmeligstemplingen af Ernst & Youngs rapport om finansiering og organisering af Lynetteholm er i strid med miljøoplysningsloven, til transportministeren
2394232_0132.png
Transport- og Boligministeriet
Appendiks 3
forudsætninger for arealanvendelse
1
1.1
Introduktion
Formål
Nærværende notat beskriver de anvendte forudsætninger for arealanvendelse som led i
Undersøgelse af
finansiering og organisering af Lynetteholmen.
Versioner af nærværende forudsætningsnotat for arealanvendelse
Version
001
Dato
Den 16. oktober 2019
Beskrivelse/ændringer
Første version forud for styregrup-
pemøde den 28. oktober 2019.
Anden version. Forudsætninger an-
vendt i første rapportudkast dateret
den 21. februar 2020.
Tredje version. Mindre rettelser.
Forudsætninger anvendt i andet
rapportudkast dateret den 20.
marts 2020.
Fjerde version. Mindre rettelser.
Fremsendt ifm. rapport dateret den
16. april 2020.
Udkast stempel fjernet. Fremsendt
ifm. rapport dateret den 4. maj
2020.
002
Den 26. februar 2020
003
Den 30. marts 2020
004
Den 16. april 2020
005
Den 4. maj 2020
Ernst & Young P/S - Dirch Passers Allé 36 - Postboks 250 - 2000 Frederiksberg - CVR-nr. 30 70 02 28
2
TRU, Alm.del - 2020-21 - Endeligt svar på spørgsmål 454: Spm. om ministeren, på baggrund af besvarelsen af TRU alm. del – spørgsmål 342, vil redegøre for, om hemmeligstemplingen af Ernst & Youngs rapport om finansiering og organisering af Lynetteholm er i strid med miljøoplysningsloven, til transportministeren
2394232_0133.png
Transport- og Boligministeriet
Appendiks 3
forudsætninger for arealanvendelse
2
Overblik over arealer og generelle forudsætninger
Nærværende afsnit sammenfatter de fire områder, A-D, der indgår i analysen, herunder de generelle
forudsætninger for arealanvendelse på tværs af disse fire områder.
2.1
Arealoverblik
Analysen omfatter fire områder A-D, jf. nedenstående Tabel 1:
Beskrivelse
Område A: Lynetteholmen
Område B: Refshaleøen
Område C: Quintus
Område D: Kløverparken
Totalt areal i analysen
Areal (m
2
)
2.820.000
1.070.000
80.000
390.000
4.360.000
Tabel 1: Oversigt over analysens områder
De fire områder dækker et samlet areal på ca. 4,4 mio. m² og har i modellen med basis prisudvikling (bo-
ligprismodel 2, jf. appendiks 4) en samlet volumen på ca. 5,1 mio. m
2
ved en generel bebyggelsespro-
cent på 150, som dog er lavere for Quintus (110).
1
Udbygningsperiode baseret på input fra KK, jf. appendiks 4. Kan ændres ifm. udvikling af boligprismodel og ændring
af rummelighed.
2
Kløverparken Vest antages igangsat i 2028, og Kløverparken Øst antages igangsat i 2039.
Ernst & Young P/S - Dirch Passers Allé 36 - Postboks 250 - 2000 Frederiksberg - CVR-nr. 30 70 02 28
3
TRU, Alm.del - 2020-21 - Endeligt svar på spørgsmål 454: Spm. om ministeren, på baggrund af besvarelsen af TRU alm. del – spørgsmål 342, vil redegøre for, om hemmeligstemplingen af Ernst & Youngs rapport om finansiering og organisering af Lynetteholm er i strid med miljøoplysningsloven, til transportministeren
2394232_0134.png
Transport- og Boligministeriet
Appendiks 3
forudsætninger for arealanvendelse
2.2
Arealanvendelse
En række forudsætninger vedrørende arealanvendelse vil være ens på tværs af de fire områder. En
oversigt over forudsætningerne fremgår af Tabel 2 herunder:
Beskrivelse
Fordeling mellem boliger,
erhverv og parkering
3
Baggrund
Fordeling baseret på KK’s notat,
Beregningstekniske for-
udsætninger for udbygningen af Lynetteholmsprojektet.
Almennyttig andel
Almennyttig andel på 25% af boligmassen på tværs af alle
områder, jf. Kommuneplan 2015 og Kommuneplan 2019.
Parkeringsforudsætninger baseret på
Analyse af bil- og
cykelparkeringsnormerne i København, Københavns Kom-
munes
Kommuneplan 2019.
Det antages, at en p-plads optager 30 m
2
.
Central forudsætning
60% bolig
25% erhverv
15% parkering
25% af total bolig-
masse
175 m
²
bolig pr.
p-plads
150 m
²
erhverv pr. p-
plads
4
300 m
²
institution pr.
p-plads
5
33% af erhvervsareal
ekskl. parkering
Parkeringsdækning
Institutioner
For alle blandede områder antages det, at 33% af er-
hvervsmassen reserveres til institutioner.
Tabel 2: Tværgående forudsætninger vedrørende arealanvendelse
2.3
Følsomhedsanalyser
Vi har foretaget et par følsomhedsanalyser for at vise, i hvilket omfang resultaterne er afhængige af de
tværgående forudsætninger, jf. Tabel 1 og Tabel 2:
Bebyggelsesprocenter: Vi har gennemført en følsomhedsanalyse, hvor vi varierer bebyggelsespro-
centerne for områderne, men anvender samme udbygningsperiode, dvs. en langsommere/hurtigere
udbygningshastighed (-10%/+10% bebyggelse).
Almennyttig andel: Vi har gennemført en følsomhedsanalyse, hvor vi varierer andelen af almennyt-
tige boliger i forhold til den samlede boligmasse (almennyttige boliger 15%/35%).
Parkeringsnorm: Vi har gennemført en følsomhedsanalyse, hvor vi varierer andelen af arealet, som
anvendes til parkering (10% parkering).
2.4
Bindinger
Vi forudsætter følgende generelle bindinger:
Østlig Ringvej og metroforbindelse til Østhavnen forventes at være færdigbygget i 2035.
6
Udbygningsrækkefølgen for alle fire områder er baseret på forudsætninger fra KK for at sikre konsi-
stens til den generelle udbygning i København.
Udbygningsperioderne for områder A-D tager således udgangspunkt i værdier fra KK.
Forudsætninger gældende for område A, B og D. For område C (Quintus) antages 100% forurenende erhverv.
Erhverv uden butiksformål. Butiksformål indgår ikke eksplicit i arealanvendelsesanalysen for at forsimple forudsæt-
ninger.
5
Overordnet vurdering baseret på en blanding af grun dskole (1:425 m
2
), daginstitution (1:200 m
2
) og plejecentre
(1:500 m
2
). For øvrige offentlige og almene formål fastsættes parkeringsnorm baseret på den konkrete funktion.
6
I basisscenariet for nærværende analyse antages det, at både Østlig Ringvej og metroforbindelsen er etableret i
2035.
4
3
Ernst & Young P/S - Dirch Passers Allé 36 - Postboks 250 - 2000 Frederiksberg - CVR-nr. 30 70 02 28
4
TRU, Alm.del - 2020-21 - Endeligt svar på spørgsmål 454: Spm. om ministeren, på baggrund af besvarelsen af TRU alm. del – spørgsmål 342, vil redegøre for, om hemmeligstemplingen af Ernst & Youngs rapport om finansiering og organisering af Lynetteholm er i strid med miljøoplysningsloven, til transportministeren
2394232_0135.png
Transport- og Boligministeriet
Appendiks 3
forudsætninger for arealanvendelse
3
Område A
Lynetteholmen
Samlet areal:
Etagemeter i basisscenariet:
Udbygningsperiode i basisscenariet:
2.820.000 m
2
2.850.000 m
2
År 2035-2063
7
3.1
Beskrivelse af område A
Lynetteholmen er et stort byudviklingsområde, som etableres ved at anlægge en ny ø øst for Køben-
havn. Område A vil bestå af byudvikling med et miks af boliger, erhverv og nødvendige bymæssige funk-
tioner i form af parkering og institutioner. Området består i dag af vand og har således ingen bymæssig
anvendelse.
En oversigt over område A - Lynetteholmen og den foreslåede inddeling i zoner fremgår af Figur 1:
Lynetteholmen
zone 1
Lynetteholmen
zone 2
Figur 1: Oversigtskort over område A - Lynetteholmen
3.2
Specifikke arealforudsætninger
De specifikke arealforudsætninger fremgår af Tabel 3 herunder:
Zone
Lynetteholmen zone 1
Lynetteholmen zone 2
Totalt areal i analysen
Matrikler
N/A
N/A
Areal (m
2
)
1.900.000
920.000
2.820.000
Bebyggelses-
procent
150
0
101
Etagemeter (m
2
)
2.850.000
0
2.850.000
Tabel 3: Specifikke arealforudsætninger for område A - Lynetteholmen
7
Årstal for fuldt udbyggede zoner vil blive dikteret af udbygningshastigheden for udviklingsområderne og kan såle-
des forskydes i tid.
Ernst & Young P/S - Dirch Passers Allé 36 - Postboks 250 - 2000 Frederiksberg - CVR-nr. 30 70 02 28
5
TRU, Alm.del - 2020-21 - Endeligt svar på spørgsmål 454: Spm. om ministeren, på baggrund af besvarelsen af TRU alm. del – spørgsmål 342, vil redegøre for, om hemmeligstemplingen af Ernst & Youngs rapport om finansiering og organisering af Lynetteholm er i strid med miljøoplysningsloven, til transportministeren
2394232_0136.png
Transport- og Boligministeriet
Appendiks 3
forudsætninger for arealanvendelse
Til Tabel 3 bemærkes følgende:
De anvendte bebyggelsesprocenter medfører et etagemeterareal inden for intervallet 2.500.000 til
3.000.000 m² givet i Principaftalen for Lynetteholmen mellem den daværende regering og KK.
De anvendte bebyggelsesprocenter giver en rummelighed, der er lidt højere end forudsætninger i
KK’s notat,
Beregningstekniske forudsætninger for udbygningen af Lynetteholmsprojektet.
Dette
vurderes dog ikke at være problematisk.
3.3
Arealanvendelse
Områdets rummelighed og forudsætninger vedr. fordeling mellem boliger, erhverv og parkering fremgår
af Tabel 4 herunder:
Zone
Lynetteholmen zone 1
Lynetteholmen zone 2
Totalt areal i analysen
Boliger (m
2
)
1.710.000
-
1.710.000
Erhverv (m
2
)
712.500
-
712.500
Parkering (m
2
)
427.500
-
427.500
Total (m
2
)
2.850.000
-
2.850.000
Tabel 4: Rummelighed for område A
Lynetteholmen
Til Tabel 4 følgende:
Fordeling af boliger, erhverv og parkering er baseret på fordelingen i KK’s notat,
Beregningstekni-
ske forudsætninger for udbygningen af Lynetteholmsprojektet.
3.4
Arealspecifikke følsomhedsanalyser
Vi har gennemført følgende følsomhedsanalyser vedrørende arealer på Lynetteholmen:
Lynetteholmen zone 2: Vi har gennemført en følsomhedsanalyse, hvor der benyttes en bebyggel-
sesprocent på 75 for Lynetteholmen zone 2.
Ernst & Young P/S - Dirch Passers Allé 36 - Postboks 250 - 2000 Frederiksberg - CVR-nr. 30 70 02 28
6
TRU, Alm.del - 2020-21 - Endeligt svar på spørgsmål 454: Spm. om ministeren, på baggrund af besvarelsen af TRU alm. del – spørgsmål 342, vil redegøre for, om hemmeligstemplingen af Ernst & Youngs rapport om finansiering og organisering af Lynetteholm er i strid med miljøoplysningsloven, til transportministeren
2394232_0137.png
Transport- og Boligministeriet
Appendiks 3
forudsætninger for arealanvendelse
4
Område B
Refshaleøen
Samlet areal:
1.142.000 m
2
4.1
Beskrivelse af område B
Området anvendes i dag til blandede formål, herunder udlejning af de eksisterende bygninger til diverse
mindre virksomheder, sportsfaciliteter og arrangementer. En stor del af område t anvendes desuden til
Renseanlæg Lynetten.
En oversigt over område B - Refshaleøen og den foreslåede inddeling i zoner fremgår af Figur 2:
Figur 2: Oversigtskort over område B
Refshaleøen
4.2
Specifikke arealforudsætninger
De specifikke arealforudsætninger fremgår af Tabel 5 herunder:
Zone
REDA
By & Havn
8
BIOFOS
9
Matrikler
654, 661, 416, 660
432, 550, (X)
577 (Renseanlæg
Lynetten)
Areal (m
2
)
522.000
202.000
347.000
1.071.000
693
695, (Y)
3.000
68.000
1.142.000
Totalt areal i analysen
Forsvaret
B&H, lystbådehavn og fortids-
mindebeskyttet område
Totalt areal i området
Tabel 5: Specifikke arealforudsætninger for areal B
Refshaleøen
Ernst & Young P/S - Dirch Passers Allé 36 - Postboks 250 - 2000 Frederiksberg - CVR-nr. 30 70 02 28
7
TRU, Alm.del - 2020-21 - Endeligt svar på spørgsmål 454: Spm. om ministeren, på baggrund af besvarelsen af TRU alm. del – spørgsmål 342, vil redegøre for, om hemmeligstemplingen af Ernst & Youngs rapport om finansiering og organisering af Lynetteholm er i strid med miljøoplysningsloven, til transportministeren
2394232_0138.png
Transport- og Boligministeriet
Appendiks 3
forudsætninger for arealanvendelse
4.3
4.4
Ernst & Young P/S - Dirch Passers Allé 36 - Postboks 250 - 2000 Frederiksberg - CVR-nr. 30 70 02 28
8
TRU, Alm.del - 2020-21 - Endeligt svar på spørgsmål 454: Spm. om ministeren, på baggrund af besvarelsen af TRU alm. del – spørgsmål 342, vil redegøre for, om hemmeligstemplingen af Ernst & Youngs rapport om finansiering og organisering af Lynetteholm er i strid med miljøoplysningsloven, til transportministeren
2394232_0139.png
Transport- og Boligministeriet
Appendiks 3
forudsætninger for arealanvendelse
5
Område C
Quintus
Samlet areal:
80.000 m
2
5.1
Beskrivelse af område C
Området anvendes i dag til forurenende erhverv i miljøklasse 6-7, og på området er der en række infra-
strukturvirksomheder, herunder Amagerværket, ARC og Renholdningsselskabet af 1898. I nærværende
analyse er Quintus-området defineret ved matriklerne 536 og 696 på samlet ca. 300.000 m
2
. Arealerne
er generelt ikke udbyggede grundet den dårlige tilgængelighed og placeringen på Kraftværkshalvøen. En
50 meter bred korridor på området er udlagt til transportkorridor imellem Magretheholmen og ARC
.
Figur 3: Oversigtskort over område C
Quintus
5.2
Specifikke arealforudsætninger
De specifikke arealforudsætninger fremgår af Tabel 7 herunder:
Zone
Københavns Kommune
By & Havn
Totalt areal i analysen
Matrikler
536
696
Areal (m
2
)
50.000
30.000
80.000
Tabel 7: Specifikke arealforudsætninger for område C - Quintus
Ernst & Young P/S - Dirch Passers Allé 36 - Postboks 250 - 2000 Frederiksberg - CVR-nr. 30 70 02 28
9
TRU, Alm.del - 2020-21 - Endeligt svar på spørgsmål 454: Spm. om ministeren, på baggrund af besvarelsen af TRU alm. del – spørgsmål 342, vil redegøre for, om hemmeligstemplingen af Ernst & Youngs rapport om finansiering og organisering af Lynetteholm er i strid med miljøoplysningsloven, til transportministeren
2394232_0140.png
Transport- og Boligministeriet
Appendiks 3
forudsætninger for arealanvendelse
5.3
Ernst & Young P/S - Dirch Passers Allé 36 - Postboks 250 - 2000 Frederiksberg - CVR-nr. 30 70 02 28
10
TRU, Alm.del - 2020-21 - Endeligt svar på spørgsmål 454: Spm. om ministeren, på baggrund af besvarelsen af TRU alm. del – spørgsmål 342, vil redegøre for, om hemmeligstemplingen af Ernst & Youngs rapport om finansiering og organisering af Lynetteholm er i strid med miljøoplysningsloven, til transportministeren
2394232_0141.png
Transport- og Boligministeriet
Appendiks 3
forudsætninger for arealanvendelse
6
Område D
Kløverparken
Samlet areal:
389.000 m
2
6.1
Beskrivelse af område D
Området Kløverparken dækker et område på ca. 390.000 m², som i dag kun er delvist bebygget. Såle-
des findes der eksisterende bygninger, som udlejes til blandede formål, herunder sport og outlet. Samlet
er der bebygget ca. 28.000 m² på to matrikler ejet af Kløvermarken A/S og Raffinaderivej 10 A/S. En
del af området er desuden udlagt til blandt andre Københavns Gokartbane af 1964.
Figur 4: Oversigtskort over område D
Kløverparken
6.2
Specifikke arealforudsætninger
De specifikke arealforudsætninger fremgår af Tabel 9:
Zone
Skanska
Københavns Kommune
By & Havn
Kløvermarken A/S
Totalt areal i analysen
Raffinaderivej 10 A/S
HOFOR
Totalt areal i området
469
401, 547a, 547b
Matrikler
467, 466, 473, 468,
471, 470, 468, 400
543, 542, 548
499, 500, 501, 502
491
Areal (m
2
)
228.000
90.000
15.000
56.000
389.000
59.000
7.000
455.000
Ernst & Young P/S - Dirch Passers Allé 36 - Postboks 250 - 2000 Frederiksberg - CVR-nr. 30 70 02 28
11
TRU, Alm.del - 2020-21 - Endeligt svar på spørgsmål 454: Spm. om ministeren, på baggrund af besvarelsen af TRU alm. del – spørgsmål 342, vil redegøre for, om hemmeligstemplingen af Ernst & Youngs rapport om finansiering og organisering af Lynetteholm er i strid med miljøoplysningsloven, til transportministeren
2394232_0142.png
Transport- og Boligministeriet
Appendiks 3
forudsætninger for arealanvendelse
6.3
6.4
Ernst & Young P/S - Dirch Passers Allé 36 - Postboks 250 - 2000 Frederiksberg - CVR-nr. 30 70 02 28
12
TRU, Alm.del - 2020-21 - Endeligt svar på spørgsmål 454: Spm. om ministeren, på baggrund af besvarelsen af TRU alm. del – spørgsmål 342, vil redegøre for, om hemmeligstemplingen af Ernst & Youngs rapport om finansiering og organisering af Lynetteholm er i strid med miljøoplysningsloven, til transportministeren
2394232_0143.png
Transport- og Boligministeriet
Appendiks 3
forudsætninger for arealanvendelse
EY | Assurance | Tax | Transactions | Advisory
Om EY
EY er en af verdens førende organisationer inden for revision, skat,
transaktioner og rådgivning. Den indsigt og de ydelser, vi leverer, hjæl-
per med at opbygge tillid til kapitalmarkederne og den globale økonomi.
Vi udvikler dygtige ledere og medarbejdere, som sammen leverer det, vi
lover vores interessenter og bidrager til, at arbejdsverdenen og arbejds-
livet fungerer bedre - for vores medarbejdere, vores kunder og det om-
givende samfund.
EY henviser til den globale organisation og kan referere til et eller flere
medlemsfirmaer inden for Ernst & Young Global Limited, som hver især
udgør en selvstændig juridisk enhed. Ernst & Young Global Limited, som
er et engelsk
‘company
limited by guarantee’, yder ikke kunderådgiv-
ning. Flere oplysninger om vores organisation kan findes på ey.com.
© 2020 Ernst & Young P/S. CVR-nr. 30700228
All Rights Reserved.
Dette materiale er udarbejdet alene til orientering, og oplysningerne i det tilsigter ikke at være
fyldestgørende, og de træder ikke i stedet for udførlige analyser eller udøvelsen af professio-
nelle skøn. I konkrete sager opfordres brugere til at henvende sig til EY’s rådgivere.
ey.com/dk
Ernst & Young P/S - Dirch Passers Allé 36 - Postboks 250 - 2000 Frederiksberg - CVR-nr. 30 70 02 28
13
TRU, Alm.del - 2020-21 - Endeligt svar på spørgsmål 454: Spm. om ministeren, på baggrund af besvarelsen af TRU alm. del – spørgsmål 342, vil redegøre for, om hemmeligstemplingen af Ernst & Youngs rapport om finansiering og organisering af Lynetteholm er i strid med miljøoplysningsloven, til transportministeren
2394232_0144.png
-- AKT 730242 -- BILAG 7 -- [ 04-05-2020 - Appendiks 4 v6.00 ] --
Transport- og
Boligministeriet
Undersøgelse af finansiering og
organisering af Lynetteholmen
Appendiks 4
version 6
Forudsætninger for udbygningstakter
4. maj 2020
FORTROLIGT
TRU, Alm.del - 2020-21 - Endeligt svar på spørgsmål 454: Spm. om ministeren, på baggrund af besvarelsen af TRU alm. del – spørgsmål 342, vil redegøre for, om hemmeligstemplingen af Ernst & Youngs rapport om finansiering og organisering af Lynetteholm er i strid med miljøoplysningsloven, til transportministeren
2394232_0145.png
Transport- og Boligministeriet
Appendiks 4
forudsætninger for udbygningstakter
Indhold
1
Introduktion
1.1 Formål
1.2 Versioner af nærværende forudsætningsnotat for udbygningstakter
1.3 Baggrund
Model A og B - basis boligprisudvikling (moderat udbygning)
Følsomhed 1
lav boligprisudvikling (aggressiv udbygning)
Følsomhed 2 - høj boligprisudvikling (konservativ udbygning)
Sammenligning med udbygningstakt angivet af KK
2
2
2
3
5
6
7
8
2
3
4
5
Ernst & Young P/S - Dirch Passers Allé 36 - Postboks 250 - 2000 Frederiksberg - CVR-nr. 30 70 02 28
1
TRU, Alm.del - 2020-21 - Endeligt svar på spørgsmål 454: Spm. om ministeren, på baggrund af besvarelsen af TRU alm. del – spørgsmål 342, vil redegøre for, om hemmeligstemplingen af Ernst & Youngs rapport om finansiering og organisering af Lynetteholm er i strid med miljøoplysningsloven, til transportministeren
2394232_0146.png
Transport- og Boligministeriet
Appendiks 4
forudsætninger for udbygningstakter
1
1.1
Introduktion
Formål
Nærværende notat beskriver de anvendte forudsætninger for udbygningstakter som led i
Undersøgelse
af finansiering og organisering af Lynetteholmen.
1.2
Versioner af nærværende forudsætningsnotat for udbygningstakter
Version
001
Dato
Den 16. oktober 2019
Beskrivelse/ændringer
Første version fremsendt forud for
styregruppemøde den 28. oktober
2019.
Anden version. Forudsætninger an-
vendt i første rapportudkast dateret
den 21. februar 2020.
Tredje version. Forudsætninger an-
vendt i andet rapportudkast dateret
den 20. marts 2019.
Fjerde version. Mindre rettelser.
Fremsendt ifm. rapport dateret den
16. april 2020.
Femte version. Bemærkning vedr.
sammenligning mellem dette mate-
riale og KK’s materiale er indarbej-
det
Udkaststempel fjernet. Fremsendt
ifm. rapport dateret den 4. maj
2020.
002
Den 26. februar 2020
003
Den 30. marts 2020
004
Den 16. april 2020
005
Den 23. april 2020
006
nærværende version
Den 4. maj 2020
Ernst & Young P/S - Dirch Passers Allé 36 - Postboks 250 - 2000 Frederiksberg - CVR-nr. 30 70 02 28
2
TRU, Alm.del - 2020-21 - Endeligt svar på spørgsmål 454: Spm. om ministeren, på baggrund af besvarelsen af TRU alm. del – spørgsmål 342, vil redegøre for, om hemmeligstemplingen af Ernst & Youngs rapport om finansiering og organisering af Lynetteholm er i strid med miljøoplysningsloven, til transportministeren
2394232_0147.png
Transport- og Boligministeriet
Appendiks 4
forudsætninger for udbygningstakter
1.3
Baggrund
I vores analyse anvender vi to modeller for boligprisudviklingen, og disse er sammenfattet i nedenstå-
ende Tabel 1:
Model for boligprisudvikling
Model A: Basis boligprisudvikling
med rentenormalisering
Kort beskrivelse
Udbygningen af boligmassen i København sker i takt med KK’s planer/forvent-
ninger. Renten forudsættes at stige gradvist i henhold til Finansministeriets
prognose, så realrenten på et 30-årigt realkreditlån i 2040 er 3,6%.
Udbygningen af boligmassen i København sker i takt med KK’s planer/forvent-
ninger. Renten forudsættes ikke at ændre sig fra der nuværende niveau.
Model B: Basis boligprisudvikling
med uændrede renter
Tabel 1: To modeller for den fremtidige prisudvikling på det københavnske boligmarked
Foruden ovennævnte to modeller har vi foretaget to følsomhedsanalyser af boligprisudviklingen, hhv. en
lav boligprisudvikling og en høj boligprisudvikling, jf. Tabel 2 nedenfor:
Følsomheder for boligprisudvik-
ling
Følsomhed 1: Lav boligprisudvik-
ling
Følsomhed 2: Høj boligprisudvik-
ling
Kort beskrivelse
Priserne følger byggeomkostningerne. I denne følsomhed estimerer vi, hvor
meget der skal bygges for at opnå en prisudvikling, hvor priserne følger bygge-
omkostningerne.
Priserne følger den historiske stigningstakt korrigeret for særlige begivenheder. I
denne følsomhed estimerer vi, hvor meget der skal bygges for at opnå en pris-
udvikling, hvor priserne stiger i takt med de historiske stigningstakter.
Tabel 2: To følsomheder for den fremtidige boligprisudvikling på det københavnske bolig-
marked
Boligprismodellen er opbygget, så boligprisudviklingen afhænger af boligudbuddet. For at sikre en konsi-
stent analyse er det således centralt, at der er sammenhæng mellem boligudbuddet og de konkrete ud-
bygningstakter for analysens delområder.
KK har i notatet
Beregningstekniske forudsætninger for udbygningen af Lynetteholmsprojektet
af den 9.
september 2019 skitseret en række yderligere rammebetingelser for udbygningshastigheden:
Baseret på ovenstående begrænsninger har vi tilpasset udbygningstakter, så hhv. sammenhæng mellem
udbygningshastighed og boligefterspørgsel fastholdes, jf. boligprismodellen, og rækkefølgeplanen fra
KK følges, jf. ovenstående rammebetingelser. På denne baggrund fastlægges følgende tidslinje for ana-
lysens delområder i basisscenarierne (basis boligprisudvikling):
Lynetteholmen har indflytning i perioden 2035-2063.
.
Østlig Ringvej og metrobetjening af området forventes at åbne i 2035. Indflytning på Lynettehol-
men kan ikke påbegyndes, før denne transportinfrastruktur er klar.
Ernst & Young P/S - Dirch Passers Allé 36 - Postboks 250 - 2000 Frederiksberg - CVR-nr. 30 70 02 28
3
TRU, Alm.del - 2020-21 - Endeligt svar på spørgsmål 454: Spm. om ministeren, på baggrund af besvarelsen af TRU alm. del – spørgsmål 342, vil redegøre for, om hemmeligstemplingen af Ernst & Youngs rapport om finansiering og organisering af Lynetteholm er i strid med miljøoplysningsloven, til transportministeren
2394232_0148.png
Transport- og Boligministeriet
Appendiks 4
forudsætninger for udbygningstakter
Overordnet kan udbygningshastighederne i basisscenarierne og i de to følsomheder sammenfattes som
vist i Figur 1:
5.000.000
4.500.000
4.000.000
3.500.000
2035: Forventet færdiggørelse af infrastruktur
etagemeter
3.000.000
2.500.000
2.000.000
1.500.000
1.000.000
500.000
-
2019
2021
2023
2025
2027
2029
2031
2033
2035
2037
2039
2041
2043
2045
2047
2049
2051
2053
2055
2057
2059
2061
2063
2065
2067
2069
2071
2073
2075
2077
2079
2081
Følsomhed 1: Lav boligprisudvikling
Følsomhed 2: Høj boligprisudvikling
Model A og B: Basis boligprisudvikling
Arealbegrænsning
Figur 1: Overblik over udbygningstakt i scenarier
Ernst & Young P/S - Dirch Passers Allé 36 - Postboks 250 - 2000 Frederiksberg - CVR-nr. 30 70 02 28
4
2083
TRU, Alm.del - 2020-21 - Endeligt svar på spørgsmål 454: Spm. om ministeren, på baggrund af besvarelsen af TRU alm. del – spørgsmål 342, vil redegøre for, om hemmeligstemplingen af Ernst & Youngs rapport om finansiering og organisering af Lynetteholm er i strid med miljøoplysningsloven, til transportministeren
2394232_0149.png
Transport- og Boligministeriet
Appendiks 4
forudsætninger for udbygningstakter
2
Model A og B - basis boligprisudvikling (moderat udbygning)
Ved basis boligprisudvikling vil det være nødvendigt at udbygge København med ca. 160.000-360.000
m
2
bolig pr. år. Denne boligmængde kan umiddelbart absorberes af allerede planlagte områder og af de
områder, der indgår i analysen, jf. nedenstående Figur 2:
700.000
600.000
Årlig udvikling m
2
500.000
400.000
300.000
200.000
100.000
0
Lynetteholmen og omkringliggende områder
Uden for byudviklingsområderne
Andre byudviklingsområder
Ikke definerede arealer
Figur 2: Årlig boligudbygning for arealer i København
Som det fremgår af ovenstående figur, vil allerede planlagte områder, planlagt fortætning samt analy-
sens områder absorbere boligefterspørgslen frem til 2063. I 2063 færdiggøres udbygning af Lynette-
holmen, og der vil således naturligvis ikke være tilstrækkelige arealer inden for analysens områder.
Den konkrete årlige udbygning af boliger inden for analysens områder fremgår af nedenstående Figur 3:
250.000
200.000
Årlig udbygning, m
2
150.000
100.000
50.000
-
Refshaleøen
Refshaleøen, depot
Kløverparken
Quintus
Lynetten
Lynetteholmen
Figur 3: Årlig boligudbygning for analysens arealer
I model A og B med basis boligprisudvikling (moderat udbygning) ses følgende tidslinje for udbygningen:
Udbygning af arealerne tager udgangspunkt i KK’s notat
Beregningstekniske forudsætninger for ud-
bygningen af Lynetteholmsprojektet.
Således er udbygning af Lynetteholmen styret af tidsperioden
for udbygning af øvrige områder.
Lynette-
Ernst & Young P/S - Dirch Passers Allé 36 - Postboks 250 - 2000 Frederiksberg - CVR-nr. 30 70 02 28
5
TRU, Alm.del - 2020-21 - Endeligt svar på spørgsmål 454: Spm. om ministeren, på baggrund af besvarelsen af TRU alm. del – spørgsmål 342, vil redegøre for, om hemmeligstemplingen af Ernst & Youngs rapport om finansiering og organisering af Lynetteholm er i strid med miljøoplysningsloven, til transportministeren
2394232_0150.png
Transport- og Boligministeriet
Appendiks 4
forudsætninger for udbygningstakter
3
Følsomhed 1
lav boligprisudvikling (aggressiv udbygning)
I følsomhed 1 vil det være nødvendigt at udbygge København med ca. 500.000-600.000 m
2
bolig pr. år
for at holde prisudviklingen på boliger nede. Dette er væsentligt mere, end der kan optages i analysens
områder, hvorfor der vil være behov for at udvikle andre områder i København.
En oversigt over, hvordan udbygningen fordeler sig på hhv. allerede identificerede arealer, analysens
arealer og nye ikke-planlagte områder, fremgår af nedenstående Figur 4:
700.000
600.000
Årlig udvikling m
2
500.000
400.000
300.000
200.000
100.000
0
Lynetteholmen og omkringliggende områder
Uden for byudviklingsområderne
Andre byudviklingsområder
Ikke definerede arealer
Figur 4: Årlig boligudbygning for arealer i København (følsomhed 1)
Som det fremgår af ovenstående figur, vil der i hele udbygningsperioden for analysens delområder være
behov for en væsentlig udbygning i nye, endnu ikke definerede områder, jf. de lysegrå søjler. Hvorvidt,
dette er en realistisk antagelse, er ikke nærmere undersøgt i nærværende analyse. Den konkrete årlige
udbygning for arealerne inden for analysens område fremgår af nedenstående Figur 5:
250.000
200.000
150.000
100.000
50.000
-
Årlig udbygning, m
2
2019
2021
2023
2025
2027
2029
2031
2033
2035
2037
2039
2041
2043
2045
2047
2049
2051
2053
2055
2057
2059
2061
2063
2065
2067
2069
2071
2073
2075
2077
2079
2081
Refshaleøen
Refshaleøen, depot
Kløverparken
Quintus
Lynetten
Lynetteholmen
Figur 5: Årlig boligudbygning for analysens arealer (følsomhed 1)
I følsomhed 1 med lav boligprisudvikling (aggressiv udbygning) ses følgende tidslinje for udbygningen:
I 2044 er arealbegrænsninger på Lynetteholmen et problem, hvorved den årlige udbygningshastighed i
Østhavnen reduceres markant.
Ernst & Young P/S - Dirch Passers Allé 36 - Postboks 250 - 2000 Frederiksberg - CVR-nr. 30 70 02 28
6
2083
TRU, Alm.del - 2020-21 - Endeligt svar på spørgsmål 454: Spm. om ministeren, på baggrund af besvarelsen af TRU alm. del – spørgsmål 342, vil redegøre for, om hemmeligstemplingen af Ernst & Youngs rapport om finansiering og organisering af Lynetteholm er i strid med miljøoplysningsloven, til transportministeren
2394232_0151.png
Transport- og Boligministeriet
Appendiks 4
forudsætninger for udbygningstakter
4
Følsomhed 2 - høj boligprisudvikling (konservativ udbygning)
I følsomhed 2 vil det være nødvendigt at udbygge København med ca. 400.000 m
2
bolig pr. år faldende
til ca. 150.000-200.000 m
2
bolig pr. år. Denne boligmængde kan umiddelbart absorberes af allerede
planlagte områder og af de områder, der indgår i analysen, jf. nedenstående Figur 6:
700.000
600.000
Årlig udvikling m
2
500.000
400.000
300.000
200.000
100.000
0
Lynetteholmen og omkringliggende områder
Uden for byudviklingsområderne
Andre byudviklingsområder
Ikke definerede arealer
Figur 6: Årlig boligudbygning for arealer i København (følsomhed 2)
I lighed med model A og B vil det være muligt at absorbere boligbehovet i denne boligprismodel. Da ud-
bygningen er mere konservativ end i model A og B, vil denne model dog kræve, at visse delområder
først udbygges senere ift. KK’s notat.
Den konkrete årlige udbygning af boliger inden for analysens område fremgår af nedenstående Figur 7:
250.000
200.000
Årlig udbygning, m
2
150.000
100.000
50.000
-
Refshaleøen
Refshaleøen, depot
Kløverparken
Quintus
Lynetten
Lynetteholmen
Figur 7: Årlig boligudbygning for analysens arealer (følsomhed 2)
I følsomhed 2 med høj prisudvikling (konservativ udbygning) ses følgende tidslinje for udbygningen:
Indflytningen på Kløverparken og Refshaleøen påbegyndes i hhv. 2031 og 2035, da der ikke vil
være behov for byggeretter før 2031. Dette skyldes, at allerede planlagte områder kan absorbere
behovet ved denne boligprisudvikling.
Lynetteholmen igangsættes fortsat i 2035, men med en langsommere udbygning, der går frem til
2069.
Der ses et spring i efterspørgslen på byggeretter i 2066-2068, som alene er drevet af øget efter-
spørgsel efter 2066.
I denne model vil der ikke være arealbegrænsninger ift. jordopfyld af Lynetteholmen.
Ernst & Young P/S - Dirch Passers Allé 36 - Postboks 250 - 2000 Frederiksberg - CVR-nr. 30 70 02 28
7
TRU, Alm.del - 2020-21 - Endeligt svar på spørgsmål 454: Spm. om ministeren, på baggrund af besvarelsen af TRU alm. del – spørgsmål 342, vil redegøre for, om hemmeligstemplingen af Ernst & Youngs rapport om finansiering og organisering af Lynetteholm er i strid med miljøoplysningsloven, til transportministeren
2394232_0152.png
Transport- og Boligministeriet
Appendiks 4
forudsætninger for udbygningstakter
5
Sammenligning med udbygningstakt angivet af KK
Det er alene basis boligprisudviklingen (moderat udbygning), der kan sammenlignes med KK’s boligud-
viklingsforudsætninger, da de øvrige prismodeller følger et andet boligudbud, som skal sikre sammen-
hæng mellem boligudbud og prisudvikling.
For at sikre sammenhæng mellem prisudvikling og boligudbud er det samlede boligudbud inden for ana-
lysens delområder styrende for udbygningshastighed og rækkefølge.
I analysen igangsættes udviklingen af områderne i samme rækkefølge som forudsat af KK, jf. KK’s notat
Beregningstekniske forudsætninger for udbygningen Lynetteholmsprojektet
(dateret 9. september
2019). Grundet mindre forskelle i arealernes rummelighed og i det forventede etagemeterbehov er der
imidlertid en mindre forskel i udbygningshastigheden i vores analyse sammenlignet med udbygningsha-
stigheden i KK’s notat.
Herunder har vi sammenholdt den anvendte udbygningstakt med udbygningstakten jf. KK’s ovennævnte
notat.
Boligudbud (m
2
)
Antal boligetagemeter inden for analy-
seområdet
Samlet boligbehov i København (hhv.
inden for analyseområdet og uden for
analyseområdet (2019-2049*)
Samlet boligbehov i København (hhv.
inden for analyseområdet og uden for
analyseområdet (2050-2069*)
Københavns Kommune
2.845.000
EY/Incentive
3.024.000
Forskel
179.000
8.200.000
8.232.067
32.067
2.900.000
3.144.470
244.470
Tabel 3: Sammenligning af etagemeterbehov (*bemærk, at KK-notatet opgør etagemeterbehovet for pe-
rioderne 2019-2050 og for 2050-2070. For ikke at få samme år med to gange har vi valgt at sammen-
holde med EY-modellen for årene primo 2019 til ultimo 2049 og primo 2050 til ultimo 2069)
Af ovenstående tabel ses således en mindre afvigelse i antal etagemeter. Det er vores forståelse, at
denne mindre afvigelse skyldes tekniske tilpasninger for at sikre konsistens mellem de forskellige input
vi har modtaget vedrørende boligudbud og boligbehov.
For at tage højde for dette forhold var der i efteråret 2019 en dialog mellem EY/Incentive og KK om
hvilke forudsætninger der skulle danne grundlag for vurdering af antallet af etagemeter i Lynettehol-
menprojektet. Denne dialog har dannet grundlag for det estimat der er anvendt i nærværende analyse.
Ernst & Young P/S - Dirch Passers Allé 36 - Postboks 250 - 2000 Frederiksberg - CVR-nr. 30 70 02 28
8
TRU, Alm.del - 2020-21 - Endeligt svar på spørgsmål 454: Spm. om ministeren, på baggrund af besvarelsen af TRU alm. del – spørgsmål 342, vil redegøre for, om hemmeligstemplingen af Ernst & Youngs rapport om finansiering og organisering af Lynetteholm er i strid med miljøoplysningsloven, til transportministeren
2394232_0153.png
Transport- og Boligministeriet
Appendiks 4
forudsætninger for udbygningstakter
Ernst & Young P/S - Dirch Passers Allé 36 - Postboks 250 - 2000 Frederiksberg - CVR-nr. 30 70 02 28
9
TRU, Alm.del - 2020-21 - Endeligt svar på spørgsmål 454: Spm. om ministeren, på baggrund af besvarelsen af TRU alm. del – spørgsmål 342, vil redegøre for, om hemmeligstemplingen af Ernst & Youngs rapport om finansiering og organisering af Lynetteholm er i strid med miljøoplysningsloven, til transportministeren
2394232_0154.png
Transport- og Boligministeriet
Appendiks 4
forudsætninger for udbygningstakter
EY | Assurance | Tax | Transactions | Advisory
Om EY
EY er en af verdens førende organisationer inden for revision, skat,
transaktioner og rådgivning. Den indsigt og de ydelser, vi leverer, hjæl-
per med at opbygge tillid til kapitalmarkederne og den globale økonomi.
Vi udvikler dygtige ledere og medarbejdere, som sammen leverer det, vi
lover vores interessenter og bidrager til, at arbejdsverdenen og arbejds-
livet fungerer bedre - for vores medarbejdere, vores kunder og det om-
givende samfund.
EY henviser til den globale organisation og kan referere til et eller flere
medlemsfirmaer inden for Ernst & Young Global Limited, som hver især
udgør en selvstændig juridisk enhed. Ernst & Young Global Limited, som
er et engelsk
‘company
limited by guarantee’, yder ikke kunderådgiv-
ning. Flere oplysninger om vores organisation kan findes på ey.com.
© 2020 Ernst & Young P/S. CVR-nr. 30700228
All Rights Reserved.
Dette materiale er udarbejdet alene til orientering, og oplysningerne i det tilsigter ikke at være
fyldestgørende, og de træder ikke i stedet for udførlige analyser eller udøvelsen af professio-
nelle skøn. I konkrete sager opfordres brugere til at henvende sig til EY’s rådgivere.
ey.com/dk
Ernst & Young P/S - Dirch Passers Allé 36 - Postboks 250 - 2000 Frederiksberg - CVR-nr. 30 70 02 28
10
TRU, Alm.del - 2020-21 - Endeligt svar på spørgsmål 454: Spm. om ministeren, på baggrund af besvarelsen af TRU alm. del – spørgsmål 342, vil redegøre for, om hemmeligstemplingen af Ernst & Youngs rapport om finansiering og organisering af Lynetteholm er i strid med miljøoplysningsloven, til transportministeren
2394232_0155.png
-- AKT 730242 -- BILAG 8 -- [ 04-05-2020 - Appendiks 5 v.5.00 ] --
Transport- og
Boligministeriet
Undersøgelse af finansiering og
organisering af Lynetteholmen
Appendiks 5
version 5
Overordnet beregningsmetode og
fastlæggelse af diskonteringsrenter
4. maj 2020
FORTROLIGT
TRU, Alm.del - 2020-21 - Endeligt svar på spørgsmål 454: Spm. om ministeren, på baggrund af besvarelsen af TRU alm. del – spørgsmål 342, vil redegøre for, om hemmeligstemplingen af Ernst & Youngs rapport om finansiering og organisering af Lynetteholm er i strid med miljøoplysningsloven, til transportministeren
2394232_0156.png
Transport- og Boligministeriet
Appendiks 5 - overordnet beregningsmetode og fastlæggelse af diskonteringsrenter
Indhold
1
Introduktion
1.1 Formål
1.2 Versioner af nærværende notat
Gennemgang af overordnet beregningsmetode
2.1 Gennemgang af LIS’ samlede pengestrømme
2.2 Nutidsværdi af LIS
2.3 Finansieringsevne for LIS
2.4 Sammenligning af nutidsværdi og finansieringsevne
Fastlæggelse af de anvendte diskonteringsrenter i analysen
3.2 Risikoanalyse af LIS’ aktiviteter
3.3 Sammenligning af LIS’ risici med børsnoterede selskabers risici
3.4 Beregning af diskonteringsrenter
2
2
2
3
3
5
5
6
7
9
11
14
2
3
Ernst & Young P/S - Dirch Passers Allé 36 - Postboks 250 - 2000 Frederiksberg - CVR-nr. 30 70 02 28
1
TRU, Alm.del - 2020-21 - Endeligt svar på spørgsmål 454: Spm. om ministeren, på baggrund af besvarelsen af TRU alm. del – spørgsmål 342, vil redegøre for, om hemmeligstemplingen af Ernst & Youngs rapport om finansiering og organisering af Lynetteholm er i strid med miljøoplysningsloven, til transportministeren
2394232_0157.png
Transport- og Boligministeriet
Appendiks 5 - overordnet beregningsmetode og fastlæggelse af diskonteringsrenter
1
1.1
Introduktion
Formål
Nærværende notat beskriver den overordnede beregningsmetode, herunder metoden for udregningen
af henholdsvis nutidsværdien af LIS og den potentielle finansieringsevne for LIS som led i
Undersøgelse
af finansiering og organisering af Lynetteholmen.
Som en del af udregningen af nutidsværdien beskrives vores metode for fastlæggelse af de anvendte
diskonteringsrenter i analysen.
Formålet med nærværende notat er således todelt:
1.
At beskrive vores overordnede beregningsmetode, herunder:
-
-
-
-
2.
At gennemgå metoden for udregningen af LIS’ samlede pengestrømme
At gennemgå metoden for udregningen af nutidsværdien af LIS
At gennemgå metoden for udregningen af finansieringsevnen for LIS
At beskrive, hvorledes nutidsværdien af LIS og finansieringsevnen for LIS anvendes i ana-
lysen
At beskrive vores metode for fastlæggelsen af de i analysen anvendte diskonteringsrenter, her-
under:
-
At beregne de anvendte diskonteringsrenter.
1.2
Versioner af nærværende notat
Version
001
Dato
Den 13. november 2019
Beskrivelse/ændringer
Første version til beskrivelse af be-
regningsmetode. Gennemgået og
fremsendt til TRM.
Anden version til beskrivelse af
overordnet beregningsmetode og
fastlæggelse af diskonteringsren-
ter. Fremsendt ifm. første rapport-
udkast dateret den 21. februar
2020.
Tredje version. Opdatering af den
risikofrie rente. Fremsendt ifm. an-
det rapportudkast dateret den 20.
marts 2020.
Fjerde version. Mindre korrekturret-
telser. Fremsendt ifm. endelig rap-
port dateret den 16. april.
Udkaststempel fjernet. Fremsendt
ifm. endelig rapport dateret den 4.
maj.
002
Den 26. februar 2020
003
30. marts 2020
004
16. april 2020
005
nærværende version
4. maj 2020
Ernst & Young P/S - Dirch Passers Allé 36 - Postboks 250 - 2000 Frederiksberg - CVR-nr. 30 70 02 28
2
TRU, Alm.del - 2020-21 - Endeligt svar på spørgsmål 454: Spm. om ministeren, på baggrund af besvarelsen af TRU alm. del – spørgsmål 342, vil redegøre for, om hemmeligstemplingen af Ernst & Youngs rapport om finansiering og organisering af Lynetteholm er i strid med miljøoplysningsloven, til transportministeren
2394232_0158.png
Transport- og Boligministeriet
Appendiks 5 - overordnet beregningsmetode og fastlæggelse af diskonteringsrenter
2
Gennemgang af overordnet beregningsmetode
I nærværende afsnit beskriver vi den overordnede metode for beregningen af både nutidsværdien af LIS
og finansieringsevnen for LIS.
Vi vil gennemgå beregningsmetoden i følgende fire trin:
1.
2.
3.
4.
Gennemgang af LIS’ samlede pengestrømme
Nutidsværdien af LIS, som anvendes til at estimere det
størst mulige realistiske finansieringsbi-
drag
Finansieringsevnen for LIS, som anvendes til at estimere den
potentielle finansieringsevne for
en given organisationsmodel
Sammenligning af nutidsværdi og finansieringsevne.
2.1
Gennemgang af LIS’ samlede pengestrømme
LIS vil i fremtiden generere pengestrømme fra en række forskellige aktiviteter, som vil danne grundlag
for finansieringsbidraget til infrastruktur. Vi har identificeret nedenstående centrale aktiviteter, som ge-
nererer væsentlige pengestrømme til LIS:
Jorddeponi og spuns
Parkering
Tilbageførsel af ejendomsskatter
Salg af kommercielle byggeretter
Salg af almene byggeretter
Salg af byggeretter til institutioner
Udvikling og salg af nøglefærdige ejendomme
Udvikling, udlejning og efterfølgende salg af ejendomme.
Til kvantificering af pengestrømmene fra de ovenstående aktiviteter har vi opstillet en dynamisk finan-
siel model, som baseret på de valgte input og det valgte scenarie kan estimere LIS’ samlede penge-
strømme.
Ernst & Young P/S - Dirch Passers Allé 36 - Postboks 250 - 2000 Frederiksberg - CVR-nr. 30 70 02 28
3
TRU, Alm.del - 2020-21 - Endeligt svar på spørgsmål 454: Spm. om ministeren, på baggrund af besvarelsen af TRU alm. del – spørgsmål 342, vil redegøre for, om hemmeligstemplingen af Ernst & Youngs rapport om finansiering og organisering af Lynetteholm er i strid med miljøoplysningsloven, til transportministeren
2394232_0159.png
Transport- og Boligministeriet
Appendiks 5 - overordnet beregningsmetode og fastlæggelse af diskonteringsrenter
I Figur 1 nedenfor er LIS’ samlede pengestrømme illustreret:
Figur 1: LIS' samlede pengestrømme (illustrativ)
Ser man på LIS’ samlede pengestrømme, finder man, at aktiviteter vedrørende ejendomsudvikling udgør
langt størstedelen af LIS’ samlede pengestrømme i basisscenarierne (organisationsmodel 1-3), jf. Figur
2 nedenfor. Som det fremgår af Figur 2, udgør aktiviteterne salg af byggeretter, udvikling og salg af
nøglefærdige ejendomme samt udvikling, udlejning og efterfølgende salg af ejendomme, tilsammen 86%
af LIS’ samlede pengestrømme.
Figur 2: Aktiviteternes andel af LIS' samlede pengestrømme
Kilde: EY’s beregninger.
På baggrund af disse pengestrømme kan vi estimere det størst mulige realistiske finansieringsbidrag til
etablering af infrastruktur:
Dette størst mulige realistiske finansieringsbidrag beregnes som
nutidsværdien af LIS’ samlede
pengestrømme.
Ved at anvende nutidsværdien tager vi højde for hhv. LIS’ finansieringsomkostnin-
ger og LIS’ risiko forbundet ved forskellige aktiviteter og organisationsmodeller.
Finansieringsbidraget vil være det samme på tværs af organisationsmodeller, da nutidsværdien afspejler
risikoen i de forskellige organisationsmodeller, og da projektets samlede nutidsværdi herved er konstant
uagtet LIS’ risikovillighed. I det omfang LIS tager en højere risiko ved eksempelvis udvikling af nøglefær-
dige ejendomme, stiger den samlede potentielle finansieringsevne dog:
Ernst & Young P/S - Dirch Passers Allé 36 - Postboks 250 - 2000 Frederiksberg - CVR-nr. 30 70 02 28
4
TRU, Alm.del - 2020-21 - Endeligt svar på spørgsmål 454: Spm. om ministeren, på baggrund af besvarelsen af TRU alm. del – spørgsmål 342, vil redegøre for, om hemmeligstemplingen af Ernst & Youngs rapport om finansiering og organisering af Lynetteholm er i strid med miljøoplysningsloven, til transportministeren
2394232_0160.png
Transport- og Boligministeriet
Appendiks 5 - overordnet beregningsmetode og fastlæggelse af diskonteringsrenter
Den samlede potentielle finansieringsevne beregnes som
den maksimale gæld, som LIS kan ser-
vicere
ud fra antagelser om en realrentesats og gældens løbetid.
I analysen anvender vi således begge værdier, idet vi mener, dette giver det bedste beslutningsgrund-
lag. I de følgende afsnit vil vi gennemgå de to værdier og beskrive, hvorledes de er forskellige.
2.2
Nutidsværdi af LIS
Nutidsværdien af LIS anvendes til at bestemme finansieringsbidraget under hensyn til risici forbundet
med organisationsformerne.
Nutidsværdien af LIS udregnes på baggrund af en Discounted Cash Flow-model (DCF-modellen). DCF-
modellen er en finansiel model, som anvendes til værdiansættelse af aktiver eller selskaber ved at esti-
mere de fremtidige pengestrømme og tilbagediskontere disse med en diskonteringsrente, der tager
højde for pengestrømmenes risiko og investorernes alternativomkostninger for at nå frem til en nutids-
værdi.
DCF-modellen er en gængs metode til værdiansættelse af aktiver og selskaber. Den muliggør en værdi-
ansættelse med hensyntagen til de fremtidige pengestrømme, tidsværdien af penge, risici og investe-
ringshorisont. Med andre ord inkluderes risikoen i pengestrømmene løbende via diskonteringsrenten, i
stedet for at risici- og likviditetsreserver tillægges pengestrømmene.
I praksis tager denne tilgang udgangspunkt i sammenlignelige børsnoterede selskaber, hvis aktier jævn-
ligt handles på de finansielle markeder. Formålet er at estimere diskonteringsrenten på baggrund af den
risiko, som markedet priser ind i for disse selskaber. Det bemærkes dog, at fastlæggelsen af diskonte-
ringsrenten bygger på en række subjektive skøn, og derfor vil være behæftet med en vis usikkerhed. Vi
vurderer dog, at fastlæggelsen af denne kan ske på et forholdsvist robust datagrundlag og på benchmar-
kingmateriale ud fra observerbare markedsdata. Vi gennemgår metoden for fastlæggelsen af de i analy-
sen anvendte diskonteringsrenter i afsnit 3.
2.3
Finansieringsevne for LIS
Finansieringsevnen for LIS anvendes til at vurdere den samlede potentielle finansieringsevne i de for-
skellige organisationsmodeller uagtet risici. Til vurdering af finansieringsevnen for LIS udregnes således
den maksimale gæld, som LIS kan servicere ud fra antagelser om en realrentesats og gældens løbetid.
For at tage hensyn til risikoen i pengestrømmene kræver denne beregning en vurdering af relevante li-
kviditet- og risikoreserver, hvilket kan være udfordrende at estimere uden en mere dybdegående risiko-
analyse, særligt på dette tidlige stadie af projektet. Vi har således ikke gennemført en tilbundsgående
analyse og fastsættelse af nødvendige likviditets- og risikoreserver ved denne beregning. Man kan der-
for alene anvende denne beregning af den potentielle finansieringsevne til en vurdering op imod nutids-
værdien af LIS.
Det bemærkes, at denne metode har flere ligheder med metoder anvendt på andre store infrastruktur-
projekter, fx Femern Bælt-forbindelsen, Metroselskabet og Ørestadsselskabet, jf. infoboksen nedenfor.
Vi forstår, at der i disse projekter er anvendt en realrente i intervallet 3,0-4,0%, som ikke indeholder im-
plicitte risikotillæg. I alle disse projekter er risici håndteret separat igennem diverse budgetreserver, og
der er gennemført projektspecifikke risikoanalyser.
Til udregningen af den potentielle finansieringsevne for LIS anvender vi en realrente på 3,0% baseret på
udgangspunktet i andre beslutningsgrundlag for andre store indtægtsfinansierede anlægsprojekter.
Infrastrukturprojekter
Femern Bælt-forbindel-
sen
Beskrivelse
Tilbagebetalingstiden er beregnet baseret på forventninger om anlægsom-
kostninger, nettoindtægter og en realrente på 3,0%. Risici håndteret igen-
nem anlægsreserver og følsomheder.
1
1
Finansiel analyse af Femern Bælt-forbindelsen inkl. danske landanlæg,
2016.
Ernst & Young P/S - Dirch Passers Allé 36 - Postboks 250 - 2000 Frederiksberg - CVR-nr. 30 70 02 28
5
TRU, Alm.del - 2020-21 - Endeligt svar på spørgsmål 454: Spm. om ministeren, på baggrund af besvarelsen af TRU alm. del – spørgsmål 342, vil redegøre for, om hemmeligstemplingen af Ernst & Youngs rapport om finansiering og organisering af Lynetteholm er i strid med miljøoplysningsloven, til transportministeren
2394232_0161.png
Transport- og Boligministeriet
Appendiks 5 - overordnet beregningsmetode og fastlæggelse af diskonteringsrenter
Metroselskabet I/S
Metroselskabets langtidsbudget er udarbejdet således, at det sikres, at gæl-
den tilbagebetales i 2065. Realrenten er 3,5%. Risici håndteret gennem fi-
nansieringsreserver og driftsreserver.
Nutidsværdi af likviditetsbudget er beregnet baseret på visse anlægsom-
kostninger til metro, likviditetsreserve, arealsalg, nettodriftsoverskud fra
metroen samt tilbageførsel af grundskyld og byggemodning. Tidshorisont
2000-2040, og realrente på 4,0%. Risici håndteret via budgetreserver.
2
Ørestadsselskabet I/S
Tabel 1: boks om finansielle analyser i andre infrastrukturprojekter
2.4
Sammenligning af nutidsværdi og finansieringsevne
Udregningen af nutidsværdien og udregningen af den potentielle finansieringsevne er principielt to sider
af samme sag og vil give samme resultat, hvis diskonteringsrenten og rentesatsen på gælden er den
samme, og værdiansættelsestidspunktet og tidspunktet for optagelsen af gælden er den samme. Diskon-
teringsrenten og rentesatsen på gælden er imidlertid ikke den samme i nærværende analyse. I al væ-
sentlighed ligger forskellen mellem de to værdier i, hvordan der tages hensyn til risikoen i pengestrøm-
mene:
Ved udregning af nutidsværdien af LIS tages der højde for risikoen i pengestrømmene i diskonte-
ringsrenten.
Ved udregning af den potentielle finansieringsevne er der ikke direkte taget højde for risikoen i pen-
gestrømmene i rentesatsen.
3
Vi har anvendt en tilgang, hvor risiko reflekteres i diskonteringsrenten frem for ved risikotillæg i penge-
strømmene af flere grunde:
LIS består af en lang række projekter (ejendomsudvikling, jorddeponi, salg af boliger, byggeretter
m.fl.), og der er således ikke, som i traditionelle offentlige anlægsprojekter, en samlet stor anlægs-
omkostning, der kan undergå en detaljeret risikovurdering. I stedet påvirkes LIS af en række mar-
kedsrelaterede risici i hele projektforløbet. Disse risici inkluderer anlægsrisici, prisudvikling og ud-
vikling i anlægsomkostninger m.fl. Det er vores vurdering, at den bedste tilgang til at prissætte
disse risici er ved at sammenholde LIS’ risikoeksponering med sammenlignelige markedsaktører,
hvor markedet har prissat risikoen (børsnoterede selskaber).
Vi kan finde den markedsbaserede risikovægtning ved at se på sammenlignelige selskaber, som
handles offentligt. Denne tilgang vil danne grundlag for en vurdering af en diskonteringsrente, der
repræsenterer den gennemsnitlige risiko for aktiviteterne i LIS, hvilket giver et godt estimat for risi-
koen for de samlede aktiviteter.
LIS’ aktiviteter spænder meget bredt ift.
”normale”
selskaber, herunder har LIS en meget lang tids-
horisont. For at reflektere dette brede spænd i aktiviteter arbejder vi med forskellige diskonterings-
renter, som reflekterer risikoeksponeringen i de forskellige aktiviteter. Dette beskrives nærmere i
det kommende afsnit 3.
I afsnit 2 gennemgår vi, hvordan vi fastsætter diskonteringsrenten, og hvordan vi i denne fastlæggelse
tager højde for de implicitte risici i analysen.
2
3
Beretning til statsrevisorerne om Ørestad- og Metroprojektet,
2000.
Der kan indarbejdes likviditets- og risikoreserve i pengestrømmene for at tage højde for den implicitte risiko. Dette
kræver imidlertid, at både reservernes størrelse, og hvornår de indtræffer i pengestrømmene, kan estim eres korrekt.
Denne tilgang vurderes uhensigtsmæssig ved værdiansættelse af et selskab som eksempelvis LIS, der har en porte-
følje af mange forskellige og uafhængige projekter over en meget lang årrække.
Ernst & Young P/S - Dirch Passers Allé 36 - Postboks 250 - 2000 Frederiksberg - CVR-nr. 30 70 02 28
6
TRU, Alm.del - 2020-21 - Endeligt svar på spørgsmål 454: Spm. om ministeren, på baggrund af besvarelsen af TRU alm. del – spørgsmål 342, vil redegøre for, om hemmeligstemplingen af Ernst & Youngs rapport om finansiering og organisering af Lynetteholm er i strid med miljøoplysningsloven, til transportministeren
2394232_0162.png
Transport- og Boligministeriet
Appendiks 5 - overordnet beregningsmetode og fastlæggelse af diskonteringsrenter
3
Fastlæggelse af de anvendte diskonteringsrenter i analysen
Som nævnt i afsnit 2.2 afhænger diskonteringsrenten bl.a. af den implicitte risiko i en aktivitet. LIS er
involveret i en række forskellige aktiviteter, som har forskellige karakteristika, og som er behæftet med
forskellige risici. Som vi vil gennemgå i dette afsnit, vurderer vi, at LIS’ risici overordnet kan karakterise-
res ved to centrale aktiviteter:
Lavrisikoaktiviteter, som har en lav liggeomkostning og en fleksibel tidshorisont.
Højere risikoaktiviteter, som er forbundet med investeringer og/eller liggeomkostninger, og hvor
LIS er bundet af aktiviteten, når denne er igangsat.
Vi karakteriserer fx jorddeponi og spunsning samt salg af byggeretter som lavrisikoaktiviteter. Aktivite-
terne udvikling og salg af nøglefærdige ejendomme samt udvikling, udlejning og efterfølgende salg af
ejendomme karakteriserer vi derimod som højere risikoaktiviteter.
Overordnet har vi inddelt LIS’ aktiviteter i to grupper, hvor vi anvender forskellige diskonteringsrenter til
udregningen af nutidsværdien, jf. Figur 3 nedenfor:
Figur 3: Gruppering af LIS' aktiviteter
Som alternativ til to forskellige diskonteringsrenter kunne man anvende én vægtet diskonteringsrente til
diskontering af alle pengestrømme uagtet aktivitet. Dette fordrer imidlertid, at LIS ikke ændrer på forde-
lingen af aktiviteter eller tidshorisonten for aktiviteterne på tværs af organisationsmodellerne. Jf. ap-
pendiks 2 antages LIS imidlertid at have forskellige aktiviteter i ydermodel 1 og 2, hvilket besværliggør
anvendelsen af én vægtet diskonteringsrente.
3.1.1
Anvendelse af diskonteringsrente 1 og diskonteringsrente 2 i analysens tidshorisont
Konkret medfører den valgte tilgang, at pengestrømme, som genereres i lavrisikoaktiviteter, tilbagedis-
konteres med diskonteringsrente 1 i den periode, aktiviteten er i denne kategori. Så snart der tages be-
slutning om at udvikle et område i et partnerskab (eksempelvis i et P/S), anvendes derimod den højere
diskonteringsrente 2. Denne anvendes dog kun for selve udviklingsperioden, dvs. den periode, hvor LIS
er engageret i dette partnerskab, hvilket er illustreret i Figur 4 herunder.
Figur 4: Illustration af diskontering
Ernst & Young P/S - Dirch Passers Allé 36 - Postboks 250 - 2000 Frederiksberg - CVR-nr. 30 70 02 28
7
TRU, Alm.del - 2020-21 - Endeligt svar på spørgsmål 454: Spm. om ministeren, på baggrund af besvarelsen af TRU alm. del – spørgsmål 342, vil redegøre for, om hemmeligstemplingen af Ernst & Youngs rapport om finansiering og organisering af Lynetteholm er i strid med miljøoplysningsloven, til transportministeren
2394232_0163.png
Transport- og Boligministeriet
Appendiks 5 - overordnet beregningsmetode og fastlæggelse af diskonteringsrenter
Eksempel: Diskontering i forbindelse med aktiviteten udvikling og salg af nøglefærdige ejendomme
LIS modtager 1.000 byggeretter på Lynetteholmen i 2025. LIS kan enten sælge byggeretterne eller
udvikle byggeretterne fx ved at anlægge ejendomme og sælge nøglefærdige ejendomme. LIS vælger
at holde byggeretterne til 2032, hvorefter LIS udvikler og sælger nøglefærdige ejendomme (jf. del-
område B i Figur 4).
Til udviklingen af arealet oprettes et P/S-selskab, hvoraf LIS ejer 50%, og en privat investor ejer 50%.
Aktiviteten vurderes at have en tidshorisont på fire-seks år på baggrund af følgende antagelser: en
anlægsperiode på to-tre år og en salgsperiode på to-tre år.
Frem til 2032 har LIS en lavrisikoaktivitet i form af at eje byggeretter. I 2032 beslutter LIS at udvikle
byggeretterne de næste fire-seks år, hvormed de er involveret i højrisikoaktiviteter.
Frem til 2032 anvender vi en lavere diskonteringsrente (diskonteringsrente 1), som reflekterer den
lavere risiko. Efter 2032 anvender vi en højere diskonteringsrente (diskonteringsrente 2), som reflek-
terer, at LIS har aktiviteter, der er behæftet med større risici.
3.1.2
Diskonteringsrente 1
lav risiko og aktiviteter med lav liggeomkostning
Følgende af LIS’ aktiviteter vurderer vi er lavrisikoaktiviteter, hvorfor vi anvender diskonteringsrente 1
til at tilbagediskontere pengestrømmene fra disse aktiviteter:
Salg af byggeretter
Jorddeponi og spuns
Evt. tilbageførsel af ejendomsskatter.
LIS anlægger Lynetteholmen ved at modtage overskudsjord. Dette frigør en stor mængde byggeretter,
som LIS efterfølgende kan sælge eller udvikle. Som udgangspunkt ejer LIS byggeretterne og har frihed
til at sælge byggeretterne i det tempo, LIS finder fordelagtigt. Sker der et fald i efterspørgslen, kan LIS
således (uden direkte liggeomkostninger) afvente
”bedre
tider”. Denne frihed gælder også for de andre
arealer og byggeretter, som LIS erhverver/modtager på Refshaleøen, Quintus og Kløverparken, hvorfor
disse områder behandles på samme måde som Lynetteholmen.
LIS har derudover indtægter fra at modtage overskudsjord og kan ligeledes kontrollere tempoet af
denne aktivitet.
Fleksibilitet i ovenstående aktiviteter gør, at risici ved disse aktiviteter vurderes lav, og aktiviteternes
liggeomkostninger og pengebindinger er væsentlig forskellig fra fx udvikling og salg af nøglefærdige
ejendomme.
3.1.3
Diskonteringsrente 2
højere risiko og bundne investeringer og/eller liggeomkostninger
Følgende af LIS’ aktiviteter vurderer vi er højere risikoaktiviteter, hvorfor vi anvender diskonterings-
rente 2 til at tilbagediskontere pengestrømmene fra disse aktiviteter:
Udvikling og salg af nøglefærdige ejendomme
Udvikling, udlejning og efterfølgende salg af ejendomme
Parkering.
Frem for salg af byggeretter kan LIS også vælge mere risikable aktiviteter, herunder udvikling og salg af
nøglefærdige ejendomme samt udvikling, udlejning og efterfølgende salg af ejendomme i uafhængige
partnerskaber.
Hvor LIS ved salg af byggeretter har muligheden for at holde byggeretter i tilfælde, hvor det er ugun-
stigt at sælge disse, så vil LIS, så snart LIS tager beslutning om at udvikle, udleje og efterfølgende sælge
ejendomme, være bundet til at gennemføre projektet. Dette eksponerer LIS for en anden type risiko,
som skal reflekteres i diskonteringsrenten, der anvendes til at udregne nutidsværdien.
I forhold til parkering er aktiviteten på mange måder sammenlignelig med udvikling og salg af ejen-
domme. Når LIS beslutter sig for at udvikle deres byggeretter i et partnerskab, antages det, at der si-
multant tages beslutning om at opføre og drive parkeringsanlæg til at servicere de beboere og erhverv,
Ernst & Young P/S - Dirch Passers Allé 36 - Postboks 250 - 2000 Frederiksberg - CVR-nr. 30 70 02 28
8
TRU, Alm.del - 2020-21 - Endeligt svar på spørgsmål 454: Spm. om ministeren, på baggrund af besvarelsen af TRU alm. del – spørgsmål 342, vil redegøre for, om hemmeligstemplingen af Ernst & Youngs rapport om finansiering og organisering af Lynetteholm er i strid med miljøoplysningsloven, til transportministeren
2394232_0164.png
Transport- og Boligministeriet
Appendiks 5 - overordnet beregningsmetode og fastlæggelse af diskonteringsrenter
som flytter ind i de nyopførte ejendomme. Således er LIS også her bundet af at gennemføre projektet,
hvilket skal reflekteres i diskonteringsrenten.
For ovenstående aktiviteter anvendes således en højere diskonteringsrente 2, som reflekterer den hø-
jere risiko forbundet ved udvikling i partnerskaber, jf. peer-gruppe 2, som gennemgås i afsnit 3.3.
3.1.4
Øvrige diskonteringsrenter
I forbindelse med udviklingen af Lynetteholmen og de omkringliggende områder vil KK som udgangs-
punkt opnå en merindtægt fra ejendomsskatter før udligning. I forbindelse med udviklingen af Ørestad
indgik en kapitalisering af disse merindtægter fra ejendomsskatter som et finansieringsbidrag. Til kapita-
liseringen af merindtægterne fra ejendomsskatter anvendte man en real diskonteringsrente på 4,0%.
Samme metodik og diskonteringsrente finder anvendelse i nærværende analyse.
Der er imidlertid stor usikkerhed omkring, hvilken effekt det nye ejendomsskattesystem vil have på ud-
ligningsordningen og i sidste ende KK’s økonomi. Derfor er det i samarbejde med styregruppen beslut-
tet, at der i basisscenarierne antages en udligning på 100%. Dette betyder, at tilbageførslen af ejen-
domsskatter ikke medfører et finansieringsbidrag, jf. appendiks 1. Dog indgår tilbageførsel af ejendoms-
skatter i følsomhedsanalyserne med en udligningsprocent på henholdsvis 80 og 0.
3.2
Risikoanalyse af LIS’ aktiviteter
I det følgende foretager vi en risikoanalyse af aktiviteterne salg af byggeretter, udvikling og salg af nøg-
lefærdige ejendomme samt udvikling, udlejning og efterfølgende salg af ejendomme med henblik på at
danne et overblik over LIS’ væsentligste risici. Som det fremgår af Figur 2, udgør disse aktiviteter over
86% af LIS’ samlede pengestrømme.
Det bemærkes, at risiciene i Tabel 2 ikke er en udtømmende liste over de risici, som LIS er eksponeret
overfor. LIS er fx også eksponeret mod risici i forbindelse med jorddeponi og spuns samt driften af par-
keringsanlæg, men det vurderes, at de fremhævede risici udgør de væsentligste.
Resultatet af risikoanalysen anvender vi til efterfølgende at identificere børsnoterede selskaber med
sammenlignelige risici, som vi kan tage udgangspunkt i, når vi fastlægger diskonteringsrenterne, jf. af-
snit 3.4.
Ernst & Young P/S - Dirch Passers Allé 36 - Postboks 250 - 2000 Frederiksberg - CVR-nr. 30 70 02 28
9
TRU, Alm.del - 2020-21 - Endeligt svar på spørgsmål 454: Spm. om ministeren, på baggrund af besvarelsen af TRU alm. del – spørgsmål 342, vil redegøre for, om hemmeligstemplingen af Ernst & Youngs rapport om finansiering og organisering af Lynetteholm er i strid med miljøoplysningsloven, til transportministeren
2394232_0165.png
Transport- og Boligministeriet
Appendiks 5 - overordnet beregningsmetode og fastlæggelse af diskonteringsrenter
I Tabel 2 nedenfor fremgår en sammenfatning af de identificerede risici forbundet med hver aktivitet og
en vurdering af, hvor betydningsfuld den givne risiko er:
Udvikling og salg af
nøglefærdige
ejendomme
3
3
3
3
3
3
3*
Udvikling, udlejning
og efterfølgende
salg af ejendomme
3
3
3
3
3
3
3*
Identificerede risici
Salg af byggeretter
Markedsrisici
Prisudvikling (erhverv)
Prisudvikling (bolig)
Renterisiko
2
2
3
0
0
2
2*
Konstruktions-
risici
Forsinkelser ifm. anlæg
Budgetoverskridelser
Byggeindeks
Driftsrisici
Efterspørgsel
Investeringer efter idrift-
sættelse
0
0
3
Regulatoriske
risici
Skatter og afgifter
Planlov (sammensætning
og bebyggelsesprocenter)
Udbygningsrækkefølge
1
1
3
3
3
3
3
3
3
Note: 0 = ingen risiko, 1 = lav risiko, 2 = moderat risiko, 3 = væsentlig risiko og 4 = meget væsentlig risiko.
* Forbundet med prisudvikling.
Tabel 2: Identificerede risici for LIS' aktiviteter
3.2.1
Beskrivelse af risici
Vi har inddelt de identificerede risici i fire hovedkategorier, nemlig markedsrisici, konstruktionsrisici,
driftsrisici og regulatoriske risici.
Markedsrisici
omfatter risici, som i høj grad er bestemt af markedet og således ikke kan kontrolleres af
LIS. Dette er i al væsentlighed prisudviklingen for både bolig og erhverv samt udviklingen i renteni-
veauet.
Konstruktionsrisici
omfatter risici i forbindelse med konstruktionsfasen af et byggeprojekt. Dette er i al
væsentlighed forsinkelser i byggeriet, budgetoverskridelser samt udviklingen i byggeomkostningerne
(byggeindekset).
Driftsrisici
omfatter risici i forbindelse med driften af en fast ejendom, fx ved udlejning. En risiko i denne
forbindelse er efterspørgsel, som både dækker over efterspørgslen efter lejemål (tomgang) og efter-
spørgslen fra investorer (køb og salg af fast ejendom). Derudover udgør eventuelle moderniseringer og
renoveringer (investeringer efter idriftsættelse) ligeledes en risiko.
Den sidste risikohovedkategori er
regulatoriske risici,
som omfatter risici i forbindelse med ændring i re-
guleringer i staten eller kommunen. Dette er eksempelvis skatter og afgifter til staten og kommunen, fx
Ernst & Young P/S - Dirch Passers Allé 36 - Postboks 250 - 2000 Frederiksberg - CVR-nr. 30 70 02 28
10
TRU, Alm.del - 2020-21 - Endeligt svar på spørgsmål 454: Spm. om ministeren, på baggrund af besvarelsen af TRU alm. del – spørgsmål 342, vil redegøre for, om hemmeligstemplingen af Ernst & Youngs rapport om finansiering og organisering af Lynetteholm er i strid med miljøoplysningsloven, til transportministeren
2394232_0166.png
Transport- og Boligministeriet
Appendiks 5 - overordnet beregningsmetode og fastlæggelse af diskonteringsrenter
ejendomsskatter og momsregler. Derudover udgør KK’s planlov en risiko, idet ændringer i sammensæt-
ningen af ejendomstyper og bebyggelsesprocenter har indflydelse på værdien af grundene. Slutteligt
udgør udbygningsrækkefølgen af KK’s planområder og perspektivområder en risiko.
Salg af byggeretter
Aktiviteten
salg af byggeretter
er den mindst risikofyldte aktivitet for LIS, idet LIS har en forholdsvist
kort tidshorisont og kun er involveret i starten af værdikæden. I forbindelse med aktiviteten salg af byg-
geretter fremhæver vi følgende:
-
-
-
Værdien af byggeretter er afhængig af prisudviklingen for erhverv og bolig (samt udviklingen i
byggeindekset), hvorfor vi vurderer, at det udgør en moderat risiko.
Ved salg af byggeretter eksisterer der ingen direkte konstruktionsrisici, idet LIS hverken fore-
tager byggemodning eller anlæg af ejendomme.
Der eksisterer ligeledes ingen direkte driftsrisici, idet LIS ikke ejer nogle ejendomme. Der er
imidlertid en efterspørgselsrisiko, idet efterspørgslen efter byggeretterne har en effekt på vær-
dien af byggeretterne.
LIS er eksponeret for regulatoriske risici, bl.a. i form af KK’s planlov, som fremsætter retnings-
linjer for sammensætningen af ejendomstyper, fx andelen af almennyttige boliger. Ydermere er
der en risiko i forbindelse med udbygningsrækkefølgen af kommunens planområder og per-
spektivområder, idet det har indflydelse på, hvornår områderne kan udvikles.
-
Udvikling og salg af nøglefærdige ejendomme
Aktiviteten
udvikling og salg af nøglefærdige ejendomme
er overordnet mere risikofyldt end
salg af byg-
geretter,
idet LIS har en længere tidshorisont og ligeledes er involveret i mere af værdikæden. Vi frem-
hæver følgende risici:
-
-
-
-
Salgspriserne for LIS’ nøglefærdige ejendomme er direkte afhængige af prisudviklingen, hvor-
for vi vurderer, at prisudviklingen udgør en væsentlig risiko.
Modsat ved aktiviteten
salg af byggeretter
er konstruktionsrisici en væsentlig risiko for LIS ved
udvikling og salg af nøglefærdige ejendomme.
Der eksisterer fortsat ingen direkte driftsrisici, men vi vurderer, at efterspørgselsrisikoen er
væsentlig.
LIS vurderes at være eksponeret over for samme regulatoriske risici som ved
salg af byggeret-
ter.
Udvikling, udlejning og efterfølgende salg af ejendomme
Aktiviteten udvikling,
udlejning og efterfølgende salg af ejendomme
repræsenterer den mest risikofyldte
aktivitet for LIS, idet LIS har en lang tidshorisont og ligeledes er involveret i hele værdikæden. Vi frem-
hæver følgende risici:
-
-
-
LIS har samme risikoeksponering i forhold til markedsrisiko og konstruktionsrisici som ved akti-
viteten
udvikling og salg af nøglefærdige ejendomme.
LIS har en væsentlig driftsrisiko, idet LIS udlejer og driver ejendomme i 10 år.
Derudover betaler LIS, som ejer af ejendommene og arealerne, ejendomsskatter, hvorfor skat-
ter og afgifter udgør en væsentlig risiko.
3.3
Sammenligning af LIS’ risici med børsnoterede selskabers risici
Som nævnt anvender vi resultaterne fra risikoanalyserne til at identificere børsnoterede selskaber med
risici, der er sammenlignelige med LIS’ aktiviteter, og som derfor kan anvendes som peer-grupper i for-
bindelse med estimeringen af diskonteringsrenterne.
4
4
En oversigt over peer-grupperne er vedlagt som appendiks 5a.
Ernst & Young P/S - Dirch Passers Allé 36 - Postboks 250 - 2000 Frederiksberg - CVR-nr. 30 70 02 28
11
TRU, Alm.del - 2020-21 - Endeligt svar på spørgsmål 454: Spm. om ministeren, på baggrund af besvarelsen af TRU alm. del – spørgsmål 342, vil redegøre for, om hemmeligstemplingen af Ernst & Youngs rapport om finansiering og organisering af Lynetteholm er i strid med miljøoplysningsloven, til transportministeren
2394232_0167.png
Transport- og Boligministeriet
Appendiks 5 - overordnet beregningsmetode og fastlæggelse af diskonteringsrenter
Vi har identificeret to forskellige peer-grupper, som efter vores vurdering i en vis udstrækning er ekspo-
neret mod risici, der kan sammenlignes med de risici, LIS’ aktiviteter er eksponeret imod. Det er hhv.
børsnoterede ejendomsselskaber (peer-gruppe 1) og børsnoterede entreprenørselskaber (peer-gruppe
2).
Både LIS og de to peer-grupper er i større eller mindre grad eksponeret mod prisudviklingen i bolig og
erhverv samt mod konstruktionsrisikoen og driftsrisikoen. I appendiks 5a fremgår et overblik over peer-
grupperne. Nedenfor i Tabel 3 har vi sammenlignet risikoeksponeringen for LIS’ aktiviteter med hhv.
ejendomsselskaber og entreprenørselskaber.
Udvikling,
udlejning og
efterføl-
gende salg
af ejen-
domme
3
3
3
3
3
3
3*
Peer-
gruppe 1:
Børsnote-
rede ejen-
domsselska-
ber
3
3
3
1
1
1
3
Peer-
gruppe 2:
Børsnote-
rede entre-
prenørsel-
skaber
3
3
3
4
4
3
1
Identificerede risici
Salg af
byggeretter
Udvikling og
salg af nøg-
lefærdige
ejendomme
Markeds-
risici
Prisudvikling (erhverv)
Prisudvikling (bolig)
Renterisiko
2
2
3
0
0
2
2*
3
3
3
3
3
3
3*
Konstruk-
tionsrisici
Forsinkelser ifm. anlæg
Budgetoverskridelser
Byggeindeks
Driftsrisici
Efterspørgsel
Investeringer efter
idriftsættelse
0
0
3
3
0
Regulato-
riske risici
Skatter og afgifter
Planlov (sammensæt-
ning og bebyggelses-
procenter)
Udbygningsrækkefølge
1
1
3
3
0
3
3
3
1
1
3
3
3
1
0
Note: 0 = ingen risiko, 1 = lav risiko, 2 = moderat risiko, 3 = væsentlig risiko og 4 = meget væsentlig risiko.
* Forbundet med prisudvikling.
Tabel 3: Identificerede risici sammenlignet med ejendomsselskaber og entreprenørselska-
ber
Børsnoterede ejendomsselskaber (peer-gruppe 1)
Som det fremgår af ovenstående Tabel 3, vurderer vi, at børsnoterede ejendomsselskaber har mange
sammenlignelige risici med især aktiviteterne
udvikling og salg af nøglefærdige ejendomme
samt
udvik-
ling, udlejning og efterfølgende salg af ejendomme.
Vi noterer os følgende:
Ernst & Young P/S - Dirch Passers Allé 36 - Postboks 250 - 2000 Frederiksberg - CVR-nr. 30 70 02 28
12
TRU, Alm.del - 2020-21 - Endeligt svar på spørgsmål 454: Spm. om ministeren, på baggrund af besvarelsen af TRU alm. del – spørgsmål 342, vil redegøre for, om hemmeligstemplingen af Ernst & Youngs rapport om finansiering og organisering af Lynetteholm er i strid med miljøoplysningsloven, til transportministeren
2394232_0168.png
Transport- og Boligministeriet
Appendiks 5 - overordnet beregningsmetode og fastlæggelse af diskonteringsrenter
-
Markedsrisici udgør en væsentlig risiko for børsnoterede ejendomsselskaber, ligesom det gør
for LIS, idet ejendomsselskaberne er meget afhængige af prisudviklingen for både bolig og er-
hverv.
Konstruktionsrisici udgør kun en lav risiko, da ejendomsselskaber i mange tilfælde har leveran-
dører (entreprenørselskaber) til at stå for anlægget af ejendommene, hvorfor en stor del af risi-
ciene i denne fase tilfalder leverandørerne.
Driftsrisici udgør til gengæld en væsentlig risiko for ejendomsselskaber, da de typisk har en
stor portefølje af ejendomme, som skal drives og vedligeholdes.
Slutteligt vurderer vi, at regulatoriske risici generelt er en lav risiko for ejendomsselskaber.
Ejendomsselskaberne er dog eksponeret mod en væsentlig risiko i skatter og afgifter, da de
som ejere af deres ejendomsporteføljer betaler diverse skatter og afgifter. Men vi vurderer ikke,
at KK’s planlov eller udbygningsrækkefølge af perspektivområder udgør en risiko for ejen-
domsselskaberne.
-
-
-
Børsnoterede entreprenørselskaber (peer-gruppe 2)
Den anden peer-gruppe, som efter vores vurdering har sammenlignelige risici, er entreprenørselskaber,
herunder både anlægs- og bygningsentreprenører. Vi bemærker følgende:
-
-
-
-
Markedsrisici vurderes at udgøre en væsentlig risiko, da den generelle aktivitet for anlæg af
ejendomme i høj grad følger markedspriserne på bolig og erhverv.
Konstruktionsrisici udgør derimod en meget væsentlig risiko, da entreprenørselskaber i mod-
sætning til ejendomsselskaber bærer langt størstedelen af risici i byggefasen.
Driftsrisici udgør ingen risici, idet entreprenørselskaberne sjældent ejer ejendommene, som de
anlægger.
Slutteligt vurderer vi, ligesom ved ejendomsselskaber, at regulatoriske risici generelt er en lav
risiko for entreprenørselskaber. Eftersom disse entreprenørselskaber ikke ejer ejendommene,
udgør skatter og afgifter ingen risiko, men planloven kan imidlertid udgøre en lav risiko.
Ernst & Young P/S - Dirch Passers Allé 36 - Postboks 250 - 2000 Frederiksberg - CVR-nr. 30 70 02 28
13
TRU, Alm.del - 2020-21 - Endeligt svar på spørgsmål 454: Spm. om ministeren, på baggrund af besvarelsen af TRU alm. del – spørgsmål 342, vil redegøre for, om hemmeligstemplingen af Ernst & Youngs rapport om finansiering og organisering af Lynetteholm er i strid med miljøoplysningsloven, til transportministeren
2394232_0169.png
Transport- og Boligministeriet
Appendiks 5 - overordnet beregningsmetode og fastlæggelse af diskonteringsrenter
3.3.1
Sammenfatning af peer-gruppernes risici
Sammenligner vi peer-gruppernes risici med risici forbundet med LIS’ forskellige aktiviteter, jf. Tabel 3,
fremgår det, at ejendomsselskaberne i en vis udstrækning har samme risici som LIS’ aktivitet
salg af
byggeretter,
og at entreprenørselskaber til en vis grad har samme risici som aktiviteterne
udvikling og
salg af nøglefærdige ejendomme
samt
udvikling, udlejning og efterfølgende salg af ejendomme.
Dette er
illustreret i Figur 5 nedenfor, hvor vi har indsat peer-grupperne og LIS’ aktiviteter i et koordinatsystem.
Vurderingen af konstruktionsrisici er vist ved y-aksen, og vurderingen af driftsrisici er vist ved x-aksen.
Figur 5: Sammenligning af risici for LIS' aktiviteter og peer-grupper
Resultatet af dette anvender vi i vores estimering af diskonteringsrenterne for LIS’ aktiviteter, idet disse
forskellige diskonteringsrenter estimeres på baggrund af markedsdata fra peer-grupperne. Dette gen-
nemgås i næste afsnit.
Det skal dog bemærkes, at selvom risiciene ved henholdsvis
udvikling og salg af nøglefærdige ejen-
domme
samt
udvikling, udlejning og efterfølgende salg af ejendomme
er sammenlignelige, er de ikke
identiske. Ifølge finansiel teori bør aktiviteterne således have forskellige diskonteringsrenter, men i nær-
værende analyse anvender vi samme diskonteringsrente 2 for begge aktiviteter, idet vi vurderer, at for-
skellen i aktiviteternes risici og tidshorisont er begrænsede.
3.4
Beregning af diskonteringsrenter
I de følgende afsnit vil vi gennemgå opbygningen af diskonteringsrenten og kort uddybe parametrene,
som indgår i diskonteringsrenten. På den baggrund vil vi beregne diskonteringsrente 1 og diskonterings-
rente 2, som anvendes i analysen.
Det bemærkes, at beregningen af diskonteringsrenterne tager udgangspunkt i nominelle markedsdata,
dvs. diskonteringsrenterne er som udgangspunkt inklusive inflation. I vores finansielle model har vi op-
stillet reale pengestrømme, hvorfor det er nødvendigt at korrigere diskonteringsrenterne for inflation
for at være konsistente. Dette foretages i afsnit 3.4.5.
3.4.1
Opbygning af diskonteringsrenten
Ifølge finansiel teori er diskonteringsrenten (også kaldet
Weighted Average Cost of Capital,
WACC) et
vægtet gennemsnit af selskabets kapitalomkostninger og består af omkostninger til finansiering med
egenkapital og fremmedkapital. I denne analyse værdiansætter vi LIS, som er et offentligt ejet selskab,
der ikke betaler selskabsskat. Opbygningen af diskonteringsrenten kan derfor forsimples til ikke at inklu-
dere skat, og opbygningen er illustreret i ligning 1 nedenfor.
Ernst & Young P/S - Dirch Passers Allé 36 - Postboks 250 - 2000 Frederiksberg - CVR-nr. 30 70 02 28
14
TRU, Alm.del - 2020-21 - Endeligt svar på spørgsmål 454: Spm. om ministeren, på baggrund af besvarelsen af TRU alm. del – spørgsmål 342, vil redegøre for, om hemmeligstemplingen af Ernst & Youngs rapport om finansiering og organisering af Lynetteholm er i strid med miljøoplysningsloven, til transportministeren
2394232_0170.png
Transport- og Boligministeriet
Appendiks 5 - overordnet beregningsmetode og fastlæggelse af diskonteringsrenter
Ligning 1: Diskonteringsrente før skat (WACC før skat)
Hvor:
�½
�½
�½ �½�½
����
�½�½ �½�½ �½�½
=
�½
�½
+
�½
�½
����
�½ �½ �½�½�½�½�½ �½
�����½
�½
�½
�½
�½
����
����
�½
:
����
�½
:
����
er et mål for andelen af fremmedkapital til entreprise value ved brug af markedsdata
er et mål for andelen af egenkapital til entreprise value ved brug af markedsdata
�½
�½
er fremmedkapitalsomkostningen
�½
:
�½
�½
er egenkapitalomkostningen
�½
:
Diskonteringsrenten opgøres ved at sammenveje omkostningen til henholdsvis egenkapital og fremmed-
kapital ud fra andelen af kapital, der er henholdsvis egenkapital- og fremmedkapitalfinansieret.
Til estimering af egenkapitalomkostningen (�½
�½
er den mest udbredte model
Capital Asset Pricing Model
�½
)
(CAPM), hvilken vi også anvender, jf. ligning 2. CAPM fremsætter, at det forventede afkast på et aktiv er
lig med den risikofrie rente tillagt en egenkapitalrisikopræmie og eventuelt tillagt en alfa-faktor, der kan
tage højde for yderligere risikofaktorer, som illikviditet, landespecifik risiko, koncentrationsrisiko osv.
Egenkapitalrisikopræmien opgøres som gearet beta, der udtrykker den systematiske risiko multipliceret
med markedsrisikopræmien (MRP). MRP er det merafkast en investor, der investerer i markedsporteføl-
jen, forventer at få i afkast ud over den risikofrie rente.
Ligning 2: Egenkapitalomkostning (CAPM)
�½
�½
=
�½
+
�½ �½�½
����
+
�½
�½
�½�½
�½
Hvor:
�½
: er den risikofrie rente
�½
�½
er gearet beta
�½
:
�½
�½
er alfa-faktor
:
�����½
: er den forventede markedsrisikopræmie
�½
Med udgangspunkt i ovenstående formel for diskonteringsrenten (ligning 1) vil vi i de følgende afsnit
fastlægge de enkelte parametre, som indgår i henholdsvis diskonteringsrente 1 og diskonteringsrente 2.
3.4.2
Kapitalstruktur
Kapitalstrukturen for LIS opgøres som andelen af kapital, som er henholdsvis egenkapital- og fremmed-
�½
kapitalfinansieret. Andelen af egenkapital udtrykkes ved
����
, og andelen af fremmedkapital udtrykkes ved
Til fastlæggelsen af kapitalstrukturen for LIS anvender vi markedsdata fra de identificerede peer-grup-
per af selskaber med sammenlignelige aktiviteter, jf. afsnit 3.3 og appendiks 5a.
Det bemærkes, at vi antager, at det er muligt for LIS at refinansiere til ny kapitalstruktur, hvis LIS tager
beslutning om at udvikle byggeretter frem for fx at sælge byggeretter.
Kapitalstruktur for diskonteringsrente 1
Til estimeringen af diskonteringsrente 1 tager vi udgangspunkt i markedsdata fra børsnoterede ejen-
domsselskaber (peer-gruppe 1). Som det fremgår af appendiks 5a, fastlægges kapitalstrukturen på den
baggrund til følgende:
����
�½
�½
�½
.
����
= 0,58
= 0,42
Ernst & Young P/S - Dirch Passers Allé 36 - Postboks 250 - 2000 Frederiksberg - CVR-nr. 30 70 02 28
15
TRU, Alm.del - 2020-21 - Endeligt svar på spørgsmål 454: Spm. om ministeren, på baggrund af besvarelsen af TRU alm. del – spørgsmål 342, vil redegøre for, om hemmeligstemplingen af Ernst & Youngs rapport om finansiering og organisering af Lynetteholm er i strid med miljøoplysningsloven, til transportministeren
2394232_0171.png
����
Transport- og Boligministeriet
Appendiks 5 - overordnet beregningsmetode og fastlæggelse af diskonteringsrenter
Ernst & Young P/S - Dirch Passers Allé 36 - Postboks 250 - 2000 Frederiksberg - CVR-nr. 30 70 02 28
16
TRU, Alm.del - 2020-21 - Endeligt svar på spørgsmål 454: Spm. om ministeren, på baggrund af besvarelsen af TRU alm. del – spørgsmål 342, vil redegøre for, om hemmeligstemplingen af Ernst & Youngs rapport om finansiering og organisering af Lynetteholm er i strid med miljøoplysningsloven, til transportministeren
2394232_0172.png
Transport- og Boligministeriet
Appendiks 5 - overordnet beregningsmetode og fastlæggelse af diskonteringsrenter
Kapitalstruktur for diskonteringsrente 2
Til estimering af diskonteringsrente 2 tager vi udgangspunkt i markedsdata fra børsnoterede entrepre-
nørselskaber og fastlægger følgende kapitalstruktur:
3.4.3
����
����
�½
�½
= 0,23
= 0,77
Egenkapitalomkostningen
Egenkapitalomkostningen estimeres, som anført i ligning 2, på baggrund af CAPM og består af den risi-
kofrie rente, gearet beta, den forventede MRP og eventuelt et alfa-faktor.
Den risikofrie rente
Den nominelle risikofrie rente baseres typisk på langsigtede danske statsobligationer. På baggrund af
den meget lange tidshorisont for udviklingen af Lynetteholmen anvender vi en 20-årig risikofri rente.
Der er imidlertid ikke tilgængeligt data på en 20-årig dansk statsobligation, hvorfor vi estimerer en syn-
tetisk 20-årig dansk statsobligation baseret på tyske statsobligationer. Vi anvender følgende renter
(yields) fra Capital IQ:
10-årig tysk statsobligation: -0,2%
20-årig tysk statsobligation: 0,1%
10-årig dansk statsobligation: -0,2%.
Ud fra ovenstående renter beregner vi et spread mellem den 10-årige og den 20-årige tyske statsobliga-
tion på 0,3%. Med udgangspunkt i dette spread og en rente på -0,2% på en 10-årig dansk statsobligation,
fastlægger vi renten på en syntetisk 20-årig dansk statsobligation til 0,2%. Denne anvender vi som den
risikofrie rente.
Ugearet beta for diskonteringsrente 1 og diskonteringsrente 2
Beta er et mål for den systematiske risiko. Det vil sige, at beta måler samvariationen mellem afkastene
for et givent aktiv og afkastet på markedsporteføljen. Beta er dermed et mål for den risiko , som ligger
ud over den risikofrie rente, og som investorerne kræver et merafkast for at tage.
For diskonteringsrente 1 anvender vi den gennemsnitlige (median) beta for børsnoterede ejendomssel-
skaber. Jf. appendiks 5a fastlægger vi ugearet beta til 0,3.
For diskonteringsrente 2 anvender vi beta for børsnoterede entreprenørselskaber. Jf. appendiks 5a
fastlægger vi ugearet beta til 0,9.
Den forventede markedsrisikopræmie (MRP)
MRP er det merafkast, en investor, der investerer i markedsporteføljen, forventer at få i afkast ud over
den risikofrie rente. Der anvendes typisk tre forskellige metoder til fastlæggelsen af den forventede
MRP, henholdsvis historisk MRP, survey-baserede opgørelser og implicit MRP.
Nedenfor er forskellige studier af MRP opstillet:
Fernandez et al.
5
: Fernandez og en række øvrige forskere udgiver hvert år resultatet af et survey,
som viser den anvendte MRP og den risikofrie rente globalt, herunder for Danmark. I 2019 indike-
rede undersøgelsen en MRP på 6,0% for Danmark.
WACC-ekspertgruppen
6
: WACC-ekspertgruppen blev nedsat af regeringen i 2015 for at komme med
en række anbefalinger i forhold til fastsættelse af den WACC, som skal anvendes til fastlæggelse af
Fernandez, Martinez og Acin (2019):
Market Risk Premium and Risk-Free Rate used for 69 countries in 2019: a sur-
vey.
6
WACC-ekspertgruppen (2016):
Forrentning af netvirksomheders fremadrettede investeringer (WACC).
5
Ernst & Young P/S - Dirch Passers Allé 36 - Postboks 250 - 2000 Frederiksberg - CVR-nr. 30 70 02 28
17
TRU, Alm.del - 2020-21 - Endeligt svar på spørgsmål 454: Spm. om ministeren, på baggrund af besvarelsen af TRU alm. del – spørgsmål 342, vil redegøre for, om hemmeligstemplingen af Ernst & Youngs rapport om finansiering og organisering af Lynetteholm er i strid med miljøoplysningsloven, til transportministeren
2394232_0173.png
Transport- og Boligministeriet
Appendiks 5 - overordnet beregningsmetode og fastlæggelse af diskonteringsrenter
den tilladte forrentning af aktiverne i de danske elnetselskaber. Ekspertgruppens anvendte estimat
for MRP var 5,5%.
På baggrund af ovenstående er der anvendt en MRP på 6,0%.
Damodaran udgiver hvert år et estimat på den nuværende implicitte merafkast på det amerikanske ak-
tiemarked.
7
Ifølge Damodaran kan merafkastet estimeres som det forventede markedsafkast fratrukket
den risikofrie rente. I den seneste analyse fra Damodaran for 2019 estimerer han et markedsafkast på
8,0%.
Derudover estimerer Fernandez et al., at medianen for det forventede markedsafkast er 7,9% for 2019.
Baseret på ovenstående empiriske analyse omkring det forventede afkast på aktier på 8,0% indikerer
dette, at investor kræver et yderligere tillæg, end studierne omkring MRP viser.
I denne forbindelse viser Damodarans studier også, at i perioder med finansiel ustabilitet synes investo-
rernes MRP at stige, imens den risikofrie rente synes at falde. Dette kan henføres til den ekstra bekym-
ring og usikkerhed, som tilføres de finansielle markeder. For at tage højde for dette yderligere tillæg har
vi i vores analyse inkluderet en alfa-faktor.
Alfa-faktor
Til fastlæggelsen af alfa-faktoren tager vi udgangspunkt i ovenstående, hvor MRP fastlægges til 6,0%,
og det forventede markedsafkast fastlægges til 8,0%. Dette indikerer en alfa-faktor på ca. 2,0%, hvilket
vi har anvendt til brug for vores fastlæggelse af diskonteringsrenten.
Alfa-faktoren er således et udtryk for det ekstra afkast, som man kan observere, at investorerne kræver
ved at investere i aktier, men som ikke direkte kan forklares via den risikofrie rente og MRP. Dette skyl-
des primært, at investorernes afkastkrav ikke er faldet 1:1 med den faldende rente de seneste år.
3.4.4
Fremmedkapitalomkostningen
Fremmedkapitalomkostningen er typisk fastsat på baggrund af den risikofrie rente og en såkaldt kredit-
risikopræmie. I vores analyse er fremmedkapitalomkostningen imidlertid fastlagt til 3,0% realt på bag-
grund af input fra FM.
Som nævnt er diskonteringsrenterne i udgangspunktet nominelle, hvorfor det er nødvendigt at justere
fremmedkapitalomkostningen med den forventede langsigtede inflationssats, således at denne også er
nominel, jf. ligning 3 nedenfor:
Ligning 3: Nominel fremmedkapitalomkostning
�½
�½ �½�½�½�½
= (1 +
�½
�½�½
)
(1 +
)
1
�½�½�½
�½�½
�½ �½
Hvor:
�½
�½ �½�½�½�½
er den nominelle fremmedkapitalomkostning
�½�½�½
:
�½
�½�½
: er den reale fremmedkapitalomkostning
�½�½
�½ �½
ℎ:
er den forventede langsigtede inflationssats
Den forventede langsigtede inflationssats kan imidlertid ikke umiddelbart observeres i markedet, hvor-
for man enten kan anvende en allerede tilgængelig prognose for den langsigtede inflationssats eller selv
estimere en proxy for den langsigtede inflationssats.
Den Internationale Valutafond (IMF) forventer en årlig inflation på 2,0% frem til 2025.
De Økonomiske Råd (DØRS) forventer en årlig inflation på 1,2% i Danmark fra 2021 til 2025.
8
OECD fastlægger den årlige inflation for EU-lande frem til 2060 til 2,0%.
Idet flere af de tilgængelige inflationsprognoser kun går frem til 2025, har vi som alternativ estimeret
en proxy for den langsigtede inflationssats ved at sammenligne to langsigtede tyske statsobligationer.
7
8
Damodaran (2019):
Equity Risk Premiums (ERP): Determinants, Estimation and Implications.
Baseret på seneste vismandsrapport fra efteråret 2019.
Ernst & Young P/S - Dirch Passers Allé 36 - Postboks 250 - 2000 Frederiksberg - CVR-nr. 30 70 02 28
18
TRU, Alm.del - 2020-21 - Endeligt svar på spørgsmål 454: Spm. om ministeren, på baggrund af besvarelsen af TRU alm. del – spørgsmål 342, vil redegøre for, om hemmeligstemplingen af Ernst & Youngs rapport om finansiering og organisering af Lynetteholm er i strid med miljøoplysningsloven, til transportministeren
2394232_0174.png
Transport- og Boligministeriet
Appendiks 5 - overordnet beregningsmetode og fastlæggelse af diskonteringsrenter
Den første obligation er nominel og sikrer således investor et nominelt afkast (inklusive inflation), mens
den anden obligation er inflationsreguleret og således sikrer investor et realt afkast uagtet inflation. Vi
vurderer, at forskellen mellem disse to statsobligationer udgør en god proxy for markedets forventede
inflation.
Baseret på data fra Capital IQ finder vi, at de to statsobligationer handles med nedenstående renter
(yield)
9
:
25-årig tysk statsobligation (nominel): 0,3%
25-årig tysk statsobligation inflationsjusteret (real): -1,1%.
Ud fra renterne på ovenstående tyske statsobligationer udregner vi et estimat for markedets forventede
inflation til 1,3%.
På baggrund af de tilgængelige inflationsprognoser og vores proxy estimeres den langsigtede inflations-
sats til at være i intervallet 1,2-2,0%. Vi fastlægger den langsigtede inflation til at være 1,5%.
9
Vi har estimeret en syntetisk 25-årig tysk statsobligation (nominel) baseret på en interpolering mellem en 20 -årig
og 30-årig tysk statsobligation. Renten på den 25-årige inflationsjusterede tyske statsobligation (real) er observeret i
markedet.
Ernst & Young P/S - Dirch Passers Allé 36 - Postboks 250 - 2000 Frederiksberg - CVR-nr. 30 70 02 28
19
TRU, Alm.del - 2020-21 - Endeligt svar på spørgsmål 454: Spm. om ministeren, på baggrund af besvarelsen af TRU alm. del – spørgsmål 342, vil redegøre for, om hemmeligstemplingen af Ernst & Youngs rapport om finansiering og organisering af Lynetteholm er i strid med miljøoplysningsloven, til transportministeren
2394232_0175.png
Transport- og Boligministeriet
Appendiks 5 - overordnet beregningsmetode og fastlæggelse af diskonteringsrenter
3.4.5
Resultater for diskonteringsrente 1 og diskonteringsrente 2
På baggrund af de gennemgåede parametre ovenfor har vi beregnet de nominelle værdier for henholds-
vis diskonteringsrente 1 og diskonteringsrente 2. På baggrund af ligning 4 nedenfor fastlægger vi de
reale diskonteringsrenter, som indgår i analysen og fremgår af Tabel 4.
Ligning 4: Real diskonteringsrente
�½ �½�½�½�½�½
�����½
�½
�½�½�½�½
= (
����
�½ �½ �½�½ �½ �½ �½�½
�½�½
�����½
�½
�½
1 +
�½
�����½
�½�½�½�½�½
����
�½�½
�½ �½ �½
����
�½ �½�½�½�½ �½ �½ �½�½
�½ �½�½�½ �½
�½
)
1
1+
Hvor:
ℎ:
er den forventede langsigtede inflationssats
�½ �½�½�½�½�½
�����½
�½
�½�½�½�½
: er den reale diskonteringsrente
����
�½ �½ �½�½ �½ �½ �½�½
�½�½
�����½
�½
�½
�½ �½�½�½�½�½
�����½
�½
�½�½ �½
: er den nominelle diskonteringsrente
����
�½ �½ �½�½ �½ �½ �½�½
�½ �½�½�½�½
�����½
�½
�½
Diskonteringsrente 1
Egenkapitalomkostning
Risikofri rente
MRP
Ugearet beta
Alfa-faktor
Koncentrationsrisiko
Ugearet egenkapitalomkostning
Gearet beta
Gearet egenkapitalomkostning
Fremmedkapitalomkostning
Fremmedkapitalomkostning
Kapitalstruktur
Gæld/EV
Gæld/egenkapital
0,2%
6,0%
0,3
2,0%
-
4,0%
0,7
6,4%
Diskonteringsrente 2
Egenkapitalomkostning
Risikofri rente
MRP
Ugearet beta
Alfa-faktor
Koncentrationsrisiko
Ugearet egenkapitalomkostning
Gearet beta
Gearet egenkapitalomkostning
Fremmedkapitalomkostning
Fremmedkapitalomkostning
Kapitalstruktur
Gæld/EV
Gæld/egenkapital
0,2%
6,0%
0,9
2,0%
-
7,6%
1,2
9,2%
4,5%
4,5%
0,58
1,38
0,23
0,31
Nominel diskonteringsrente
Inflation
Real diskonteringsrente
5,3%
1,5%
3,8%
Nominel diskonteringsrente
Inflation
Real diskonteringsrente
8,1%
1,5%
6,5%
Tabel 4: Beregning af diskonteringsrente 1 og diskonteringsrente 2
Vi anvender således følgende diskonteringsrenter i analysen:
Diskonteringsrente 1: 3,8%
Diskonteringsrente 2: 6,5%.
Ernst & Young P/S - Dirch Passers Allé 36 - Postboks 250 - 2000 Frederiksberg - CVR-nr. 30 70 02 28
20
TRU, Alm.del - 2020-21 - Endeligt svar på spørgsmål 454: Spm. om ministeren, på baggrund af besvarelsen af TRU alm. del – spørgsmål 342, vil redegøre for, om hemmeligstemplingen af Ernst & Youngs rapport om finansiering og organisering af Lynetteholm er i strid med miljøoplysningsloven, til transportministeren
2394232_0176.png
Transport- og Boligministeriet
Appendiks 5 - overordnet beregningsmetode og fastlæggelse af diskonteringsrenter
EY
| Assurance | Tax | Transactions | Advisory
Om EY
EY er en af verdens førende organisationer inden for revision,
skat, transaktioner og rådgivning. Den indsigt og de ydelser, vi
leverer, hjælper med at opbygge tillid til kapitalmarkederne og
den globale økonomi. Vi udvikler dygtige ledere og medarbej-
dere, som sammen leverer det, vi lover vores interessenter og
bidrager til, at arbejdsverdenen og arbejdslivet fungerer bedre -
for vores medarbejdere, vores kunder og det omgivende sam-
fund.
EY henviser til den globale organisation og kan referere til et el-
ler flere medlemsfirmaer inden for Ernst & Young Global Limi-
ted, som hver især udgør en selvstændig juridisk enhed. Ernst &
Young Global Limited, som er et engelsk
‘company
limited by
guarantee’, yder ikke kunderådgivning. Flere oplysninger om
vores organisation kan findes på ey.com.
© 2020 Ernst & Young P/S. CVR-nr. 30700228
All Rights Reserved.
Dette materiale er udarbejdet alene til orientering, og oplysnin-
gerne i det tilsigter ikke at være fyldestgørende, og de træder
ikke i stedet for udførlige analyser eller udøvelsen af professio-
nelle skøn. I konkrete sager opfordres brugere til at henvende
sig til EY’s rådgivere.
ey.com/dk
Ernst & Young P/S - Dirch Passers Allé 36 - Postboks 250 - 2000 Frederiksberg - CVR-nr. 30 70 02 28
21
TRU, Alm.del - 2020-21 - Endeligt svar på spørgsmål 454: Spm. om ministeren, på baggrund af besvarelsen af TRU alm. del – spørgsmål 342, vil redegøre for, om hemmeligstemplingen af Ernst & Youngs rapport om finansiering og organisering af Lynetteholm er i strid med miljøoplysningsloven, til transportministeren
2394232_0177.png
-- AKT 730242 -- BILAG 9 -- [ 04-05-2020 - Appendiks 5a v4.00 ] --
Transport- og
Boligministeriet
Undersøgelse af finansiering og
organisering af Lynetteholmen
Appendiks 5a
version 4
Gennemgang af peer-grupper
4. maj 2020
FORTROLIGT
TRU, Alm.del - 2020-21 - Endeligt svar på spørgsmål 454: Spm. om ministeren, på baggrund af besvarelsen af TRU alm. del – spørgsmål 342, vil redegøre for, om hemmeligstemplingen af Ernst & Youngs rapport om finansiering og organisering af Lynetteholm er i strid med miljøoplysningsloven, til transportministeren
2394232_0178.png
Transport- og Boligministeriet
Appendiks 5a
gennemgang af peer-grupper
Indhold
1
Introduktion
1.1 Formål
1.2 Versioner af nærværende appendiks
Peer-grupper
2.1 Børsnoterede ejendomsselskaber
2.2 Børsnoterede entreprenørselskaber
2
2
2
3
3
4
2
Ernst & Young P/S - Dirch Passers Allé 36 - Postboks 250 - 2000 Frederiksberg - CVR-nr. 30 70 02 28
1
TRU, Alm.del - 2020-21 - Endeligt svar på spørgsmål 454: Spm. om ministeren, på baggrund af besvarelsen af TRU alm. del – spørgsmål 342, vil redegøre for, om hemmeligstemplingen af Ernst & Youngs rapport om finansiering og organisering af Lynetteholm er i strid med miljøoplysningsloven, til transportministeren
2394232_0179.png
Transport- og Boligministeriet
Appendiks 5a
gennemgang af peer-grupper
1
1.1
Introduktion
Formål
I nærværende appendiks præsenteres kort de anvendte peer-grupper i forbindelse med fastlæggelsen af
diskonteringsrenterne, jf. appendiks 5.
Formålet er således:
At gennemgå peer-grupperne.
1.2
Versioner af nærværende appendiks
Version
001
002
Dato
Den 26. februar 2020
Den 30. marts 2020
Beskrivelse/ændringer
Første version. Tidligt udkast.
Anden version. Mindre opdaterin-
ger. Fremsendt ifm. andet rapport-
udkast dateret den 20. marts 2020.
Tredje version. Mindre korrekturret-
telser. Fremsendt ifm. rapport date-
ret den 16. april 2020.
Udkast fjernet. Fremsendt ifm. rap-
port dateret den 4. maj 2020.
003
Den 16. april 2020
004
nærværende version
Den 4. maj 2020
Ernst & Young P/S - Dirch Passers Allé 36 - Postboks 250 - 2000 Frederiksberg - CVR-nr. 30 70 02 28
2
TRU, Alm.del - 2020-21 - Endeligt svar på spørgsmål 454: Spm. om ministeren, på baggrund af besvarelsen af TRU alm. del – spørgsmål 342, vil redegøre for, om hemmeligstemplingen af Ernst & Youngs rapport om finansiering og organisering af Lynetteholm er i strid med miljøoplysningsloven, til transportministeren
2394232_0180.png
Transport- og Boligministeriet
Appendiks 5a
gennemgang af peer-grupper
2
2.1
Peer-grupper
Børsnoterede ejendomsselskaber
Til grund for beregningen af diskonteringsrente 1 anvendes en peer-gruppe af børsnoterede ejendoms-
selskaber. Nedenfor er en bruttoliste af peer-gruppen vist:
Beta test - Ejendomsselskaber
Egenkap.
beta
Selskab
Acrinova AB (publ)
0,6
Agat Ejendomme A/S
1,0
Amasten Fastighets AB (publ)
0,7
Amhult 2 AB (publ)
0,5
Atrium Ljungberg AB (publ)
0,7
Brinova Fastigheter AB (publ)
0,5
Diös Fastigheter AB (publ)
0,7
EYEMAXX Real Estate AG
1,0
Fabege AB (publ)
0,6
Fastighets AB Balder (publ)
0,8
Fastighets AB Trianon (publ)
0,6
GAG Immobilien AG
0,4
Hemfosa Fastigheter AB (publ)
0,8
Hufvudstaden AB (publ)
0,8
Jeudan A/S
0,6
Magnolia Bostad AB (publ)
0,8
MaxFastigheter i Sverige AB (p
0,6
Nischer Properties AB (publ)
-1,2
Slottsviken Fastighetsaktiebolag
0,3
Solon Eiendom ASA
0,5
Wallenstam AB (publ)
0,7
Wihlborgs Fastigheter AB (publ
0,8
Consus Real Estate AG
0,4
Primag AG
0,5
Selvaag Bolig ASA
0,7
Gennemsnit
0,6
Median
0,6
Kilde: Capital IQ
Gæld/
egenkap.
0,88
2,17
2,33
0,51
0,92
1,64
1,32
2,11
0,66
1,50
1,38
1,73
1,53
0,20
1,47
1,29
1,98
0,22
1,54
0,71
0,73
1,26
1,71
2,71
0,52
1,32
1,38
Ugearet
beta
0,3
0,3
0,2
0,3
0,3
0,2
0,3
0,3
0,4
0,3
0,2
0,1
0,3
0,7
0,3
0,3
0,2
-1,0
0,1
0,3
0,4
0,3
0,2
0,1
0,4
0,2
0,3
Ugearet
beta jus. for
R^2
lav R^2
0,01
0,15
0,3
0,10
0,05
0,11
0,3
0,03
0,12
0,3
0,18
0,3
0,05
0,14
0,3
0,04
0,01
0,12
0,3
0,24
0,7
0,09
0,04
0,05
0,02
0,00
0,01
0,11
0,4
0,17
0,3
0,00
0,01
0,07
0,08
0,4
0,05
0,3
Beta test
From
To
31-12-17
31-12-19
To adjust for R^2
0,1
Figur 1: Overblik over ejendomsselskaber i peer-gruppe 1
Som det fremgår af, Figur 1, fastlægges kapitalstrukturen (gæld/egenkapital) til 1,38 på baggrund af
medianen for peer-gruppe 1. Dette svarer til en gæld/EV på 0,58.
Ugearet beta fastsættes til 0,3, når vi justerer for forklaringsgraden (R
2
).
Ernst & Young P/S - Dirch Passers Allé 36 - Postboks 250 - 2000 Frederiksberg - CVR-nr. 30 70 02 28
3
TRU, Alm.del - 2020-21 - Endeligt svar på spørgsmål 454: Spm. om ministeren, på baggrund af besvarelsen af TRU alm. del – spørgsmål 342, vil redegøre for, om hemmeligstemplingen af Ernst & Youngs rapport om finansiering og organisering af Lynetteholm er i strid med miljøoplysningsloven, til transportministeren
2394232_0181.png
Transport- og Boligministeriet
Appendiks 5a
gennemgang af peer-grupper
2.2
Børsnoterede entreprenørselskaber
Til grund for beregningen af diskonteringsrente 2 anvendes en peer-gruppe af børsnoterede entrepre-
nørselskaber. Nedenfor er en bruttoliste af peer-gruppen vist:
Beta test - Entreprenører
Selskab
AF Gruppen ASA
ByggPartner i Dalarna Holding
Lehto Group Oyj
Peab AB (publ)
Per Aarsleff Holding A/S
Serneke Group AB (publ)
Veidekke ASA
YIT Oyj
HOCHTIEF Aktiengesellschaft
MT Højgaard Holding A/S
ALM Equity AB (publ)
GIEAG Immobilien AG
HELMA Eigenheimbau Aktieng
JM AB (publ)
NCC AB (publ)
Oscar Properties Holding AB (p
Skanska AB (publ)
Primag AG
Gennemsnit
Median
Kilde: Capital IQ
Egenkap.
beta
0,6
0,7
1,4
1,1
0,7
0,6
0,4
1,0
1,0
0,7
0,6
0,7
0,5
1,1
0,9
0,7
0,9
0,5
0,8
0,7
Gæld/
egenkap.
0,01
-0,22
0,49
0,26
-0,03
0,65
0,22
0,72
0,09
0,36
1,08
2,56
1,04
0,14
0,13
4,97
0,03
2,71
0,85
0,31
Ugearet
beta
0,57
0,95
0,97
0,89
0,68
0,38
0,36
0,61
0,92
0,50
0,31
0,21
0,23
0,92
0,8
0,1
0,9
0,1
0,6
0,6
Ugearet
beta jus. for
R^2
lav R^2
0,06
0,14
0,17
0,30
0,06
0,03
0,01
0,20
0,33
0,02
0,06
0,03
0,02
0,21
0,21
0,01
0,26
0,01
0,12
0,06
0,9
0,9
0,9
0,9
0,8
0,6
0,9
1,0
1,0
0,9
Beta test
From
To
31-12-17
31-12-19
To adjust for R^2
0,1
Figur 2: Overblik over entreprenørselskaber i peer-gruppe 2
Som det fremgår af Figur 2, fastlægges kapitalstrukturen (gæld/egenkapital) til 0,31 på baggrund af
medianen for peer-gruppe 2. Dette svarer til en gæld/EV på 0,23.
Ugearet beta fastsættes til 0,9, når vi justerer for forklaringsgraden (R
2
).
Ernst & Young P/S - Dirch Passers Allé 36 - Postboks 250 - 2000 Frederiksberg - CVR-nr. 30 70 02 28
4
TRU, Alm.del - 2020-21 - Endeligt svar på spørgsmål 454: Spm. om ministeren, på baggrund af besvarelsen af TRU alm. del – spørgsmål 342, vil redegøre for, om hemmeligstemplingen af Ernst & Youngs rapport om finansiering og organisering af Lynetteholm er i strid med miljøoplysningsloven, til transportministeren
2394232_0182.png
Transport- og Boligministeriet
Appendiks 5a
gennemgang af peer-grupper
EY | Assurance | Tax | Transactions | Advisory
Om EY
EY er en af verdens førende organisationer inden for revision, skat,
transaktioner og rådgivning. Den indsigt og de ydelser, vi leverer, hjæl-
per med at opbygge tillid til kapitalmarkederne og den globale økonomi.
Vi udvikler dygtige ledere og medarbejdere, som sammen leverer det, vi
lover vores interessenter og bidrager til, at arbejdsverdenen og arbejds-
livet fungerer bedre - for vores medarbejdere, vores kunder og det om-
givende samfund.
EY henviser til den globale organisation og kan referere til et eller flere
medlemsfirmaer inden for Ernst & Young Global Limited, som hver især
udgør en selvstændig juridisk enhed. Ernst & Young Global Limited, som
er et engelsk
‘company
limited by guarantee’, yder ikke kunderådgiv-
ning. Flere oplysninger om vores organisation kan findes på ey.com.
© 2020 Ernst & Young P/S. CVR-nr. 30700228
All Rights Reserved.
Dette materiale er udarbejdet alene til orientering, og oplysningerne i det tilsigter ikke at være
fyldestgørende, og de træder ikke i stedet for udførlige analyser eller udøvelsen af professio-
nelle skøn. I konkrete sager opfordres brugere til at henvende sig til EY’s rådgivere.
ey.com/dk
Ernst & Young P/S - Dirch Passers Allé 36 - Postboks 250 - 2000 Frederiksberg - CVR-nr. 30 70 02 28
5
TRU, Alm.del - 2020-21 - Endeligt svar på spørgsmål 454: Spm. om ministeren, på baggrund af besvarelsen af TRU alm. del – spørgsmål 342, vil redegøre for, om hemmeligstemplingen af Ernst & Youngs rapport om finansiering og organisering af Lynetteholm er i strid med miljøoplysningsloven, til transportministeren
2394232_0183.png
-- AKT 730242 -- BILAG 10 -- [ 04-05-2020 - Appendiks 6 v5.00 ] --
Transport- og
Boligministeriet
Undersøgelse af finansiering og
organisering af Lynetteholmen
Appendiks 6
version 5
Relevante momsmæssige forhold for
Lynetteholmen I/S
4. maj 2020
FORTROLIGT
TRU, Alm.del - 2020-21 - Endeligt svar på spørgsmål 454: Spm. om ministeren, på baggrund af besvarelsen af TRU alm. del – spørgsmål 342, vil redegøre for, om hemmeligstemplingen af Ernst & Youngs rapport om finansiering og organisering af Lynetteholm er i strid med miljøoplysningsloven, til transportministeren
2394232_0184.png
Transport- og Boligministeriet
Appendiks 6 - relevante momsmæssige forhold for Lynetteholmen I/S
Indhold
1
Introduktion
1.1 Formål
1.2 Afgrænsning
1.3 Versioner af nærværende notat
Overordnede momsovervejelser
2.1 Salg af fast ejendom (indtægtssiden)
2.2 Udlejning af fast ejendom (indtægtssiden)
2.3 Momsfradragsret (omkostningssiden)
2.4 Momsreguleringsforpligtelse (omkostningssiden)
2.5 Overdragelse af infrastruktur til grundejerforening
2.6 Udtagningsmoms
2.7 Strukturering
2
2
2
2
3
3
5
6
6
7
7
8
2
3
Momsforudsætninger anvendt i analysen
8
3.1 Salg af byggeretter
9
3.2 Udvikling og salg af nøglefærdige ejendomme
aktivsalg uden virksomhedsoverdragelse
til køber
9
3.3 Udvikling, udlejning og efterfølgende salg af ejendomme
10
Ernst & Young P/S - Dirch Passers Allé 36 - Postboks 250 - 2000 Frederiksberg - CVR-nr. 30 70 02 28
1
TRU, Alm.del - 2020-21 - Endeligt svar på spørgsmål 454: Spm. om ministeren, på baggrund af besvarelsen af TRU alm. del – spørgsmål 342, vil redegøre for, om hemmeligstemplingen af Ernst & Youngs rapport om finansiering og organisering af Lynetteholm er i strid med miljøoplysningsloven, til transportministeren
2394232_0185.png
Transport- og Boligministeriet
Appendiks 6 - relevante momsmæssige forhold for Lynetteholmen I/S
1
Introduktion
Som led i
Undersøgelse af finansiering og organisering af Lynetteholmen
og i forbindelse med estimerin-
gen af det størst mulige realistiske finansieringsbidrag fra arealudviklingen på Lynetteholmen og de om-
kringliggende områder skal vi undersøge, om dele af projektet kan friholdes fra moms.
1.1
Formål
Nærværende notat beskriver de momsmæssige forhold, der er relevante at have med i overvejelserne i
forbindelse med udviklingen af Lynetteholmen og de omkringliggende områder.
Notatet er udarbejdet med henblik på at:
Beskrive de overordnede momsovervejelser
Beskrive de anvendte momsforudsætninger i forbindelse med estimeringen af finansieringsbidra-
get.
1.2
Afgrænsning
Notatet er udformet med udgangspunkt i de gældende momsregler pr. februar 2020. Det bemærkes, at
momsreglerne historisk har været genstand for mange ændringer, og det kan ikke afvises, at de ligele-
des vil blive ændret i fremtiden. Dette vil påvirke konklusionerne i nærværende notat.
1.3
Versioner af nærværende notat
Version
001
Dato
Den 7. februar 2020
Beskrivelse/ændringer
Første version. Fremsendt før møde
vedr. momsforhold.
Mindre korrekturrettelser. Frem-
sendt ifm. første rapportudkast da-
teret den 21. februar 2020.
Korrekturrettelser. Fremsendt ifm.
andet rapportudkast dateret den
20. marts 2020.
Fremsendt ifm. rapport dateret den
16. april 2020.
Udkast stempel fjernet. Fremsendt
ifm. rapport dateret den 4. maj
2020.
002
Den 26. februar 2020
003
Den 30. marts 2020
004
Den 16. april 2020
005
nærværende version
Den 4. maj 2020
Ernst & Young P/S - Dirch Passers Allé 36 - Postboks 250 - 2000 Frederiksberg - CVR-nr. 30 70 02 28
2
TRU, Alm.del - 2020-21 - Endeligt svar på spørgsmål 454: Spm. om ministeren, på baggrund af besvarelsen af TRU alm. del – spørgsmål 342, vil redegøre for, om hemmeligstemplingen af Ernst & Youngs rapport om finansiering og organisering af Lynetteholm er i strid med miljøoplysningsloven, til transportministeren
2394232_0186.png
Transport- og Boligministeriet
Appendiks 6 - relevante momsmæssige forhold for Lynetteholmen I/S
2
Overordnede momsovervejelser
Indledningsvis skal den momsmæssige behandling af udgående transaktioner, der enten vil bestå i leve-
ring af fast ejendom eller udlejning af fast ejendom, fastslås.
Den momsmæssige behandling af de udgående transaktioner har betydning for retten til momsfradrag
for omkostninger i det selskab, der foretager leveringen eller udlejningen af den faste ejendom.
Grundlæggende vil moms på omkostninger, der kan henføres til momspligtig levering eller momspligtig
udlejning af fast ejendom, kunne fradrages og dermed ikke være nogen omkostning. Modsætningsvis
kan moms på omkostninger, der kan henføres til momsfri levering eller momsfri udlejning af fast ejen-
dom, ikke fradrages, og momsen vil dermed være en omkostning. I visse situationer vil det være nødven-
digt at korrigere for en allerede fratrukket moms eller mangel på samme.
Hvor leveringen eller udlejningen af fast ejendom er momspligtig, men hvor aftageren ikke kan fradrage
momsen eller kun delvist fradrage momsen af købet eller lejen, kan momsen påvirke prisfastsættelsen af
leveringen eller udlejningen.
Det er muligt inden for regelsættet vedrørende moms på fast ejendom at foretage visse strukturelle til-
pasninger, der eliminerer uhensigtsmæssige momsomkostninger hos sælger og/eller køber (udlejer og
lejer).
2.1
2.1.1
Salg af fast ejendom (indtægtssiden)
Aktivhandel med nye bygninger og byggegrunde
Udgangspunktet er, at salg af fast ejendom, der omfatter nye bygninger og byggegrunde, er momsplig-
tigt, mens andet salg af fast ejendom er fritaget for moms.
Definition af en byggegrund:
Et ubebygget areal, som efter planloven eller forskrifter udstedt i medfør heraf er udlagt til formål,
som muliggør opførelse af bygninger. Udgangspunktet er, at dette først er på det tidspunkt, hvor
der foreligger et lokalplangrundlag.
Definition af en ny bygning:
Bygningen leveres inden første indflytning, dvs. før bygningen tages i brug. En bygning, der ikke
tages i brug, vedbliver at være ny i momsmæssig forstand.
Bygningen er taget i brug på dagen for første salg af bygningen, og den første levering sker mindre
end fem år efter bygningens færdiggørelse (femårsreglen).
Bygningen har gennemgået til-/ombygningsarbejde i væsentligt omfang inden første indflytning.
Med til-/ombygningsarbejde i væsentligt omfang menes:
-
Bygning med tilhørende jord: Når værdien (ekskl. moms) af til-/ombygningsarbejdet overstiger
25% af den offentlige ejendomsværdi tillagt ombygningsomkostningerne eller salgsværdien før
til-/ombygningen.
Bygning uden tilhørende jord: Når værdien (ekskl. moms) af til-/ombygningsarbejdet overstiger
50% af den offentlige ejendomsværdi tillagt ombygningsomkostningerne eller salgsværdien før
til-/ombygningen.
-
Kvalificeres leveringen som en ny bygning eller byggegrund, skal der opkræves 25% i moms af salgssum-
men.
Aftagerens anvendelse af den faste ejendom i momsmæssig henseende, fx momsfri boligudlejning eller
momspligtig erhvervsudlejning, har ingen betydning i denne henseende.
Betydning for aftageren
Hvis aftageren skal anvende den faste ejendom til sine momspligtige aktiviteter, vil aftageren være be-
rettiget til at fradrage momsen på leveringen eller udlejningen af den faste ejendom. Momsen vil således
ikke være nogen omkostning for aftageren.
Ernst & Young P/S - Dirch Passers Allé 36 - Postboks 250 - 2000 Frederiksberg - CVR-nr. 30 70 02 28
3
TRU, Alm.del - 2020-21 - Endeligt svar på spørgsmål 454: Spm. om ministeren, på baggrund af besvarelsen af TRU alm. del – spørgsmål 342, vil redegøre for, om hemmeligstemplingen af Ernst & Youngs rapport om finansiering og organisering af Lynetteholm er i strid med miljøoplysningsloven, til transportministeren
2394232_0187.png
Transport- og Boligministeriet
Appendiks 6 - relevante momsmæssige forhold for Lynetteholmen I/S
Hvis aftageren derimod helt eller delvist skal anvende den faste ejendom til momsfrie formål, vil aftage-
ren ikke være berettiget til (fuldt) momsfradrag for betalingen for leveringen eller udlejningen af den
faste ejendom. Momsen vil således helt eller delvist blive en omkostning for aftageren. Dette forhold kan
have en betydning ved prisfastsættelse af leveringen eller udlejningen af den faste ejendom.
2.1.2
Aktivhandel med fast ejendom m.v. inden for en fællesregistrering for moms
Flere uafhængige, momspligtige personer, der udelukkende driver momspligtig virksomhed, og som er
etableret her i landet, kan blive registreret under ét (fællesregistreret), hvis de anmoder om det. Tilsva-
rende gælder for to eller flere momspligtige selskaber m.v., der både driver registreringspligtig og ikke-
registreringspligtig virksomhed her i landet, hvis der er tale om selskaber m.v., hvis aktier m.v. direkte
eller indirekte er 100% ejet af det samme selskab (moderselskabet m.v.).
Når flere afgiftspligtige personer er fællesregistreret som én afgiftspligtig person, så hæfter de enkelte
afgiftspligtige personer solidarisk for betaling af den moms, der påhviler fællesregistreringen.
Fællesregistrering indebærer, at der ikke skal betales moms af intern omsætning mellem de fællesregi-
strerede virksomheder.
Handel med fast ejendom m.v. er således fritaget for moms, hvis handlen sker mellem virksomheder in-
den for samme fællesregistrering. Det gælder, selvom handel med samme faste ejendom vil være moms-
pligtig ved handel med personer eller virksomheder uden for fællesregistreringen.
Det er Skatterådets opfattelse, at Skattestyrelsen vil kunne ophæve en fællesregistrering med virkning
for allerede foretagne dispositioner, såfremt der er tale om misbrug af momslovens regler.
2.1.3
Virksomhedsoverdragelse
Uanset om en fast ejendom i sagens natur er momspligtig ved levering, fx en nyopført bygning, kan leve-
ringen af den faste ejendom ske uden moms, hvis leveringen kvalificerer som en virksomhedsoverdra-
gelse.
De overordnede betingelser for en momsfri virksomhedsoverdragelse ved overdragelse af en fast ejen-
dom er:
Der skal være tale om overdragelse af en igangværende salgsaktivitet eller udlejningsaktivitet.
Dette er fx tilfældet, hvis overdragelsen inkluderer en aftale indgået med mægler om salg, eller der
er indgået (eller forsøgt indgået) udlejningsaftaler.
Sælger skal ophøre salgs-/udlejningsaktiviteten.
Køber skal fortsætte salgs-/udlejningsaktiviteten.
Hvorvidt der er tale om overdragelse af en
igangværende
udlejningsaktivitet, kan i praksis give anled-
ning til tvivl, særligt hvis der er tale om overdragelse af en nyopført ejendom, hvor salgsbestræbelserne
eller udlejningen endnu ikke er påbegyndt.
Der findes i retspraksis flere sager, der vedrører spørgsmålet om, hvornår overdragelse af en fast ejen-
dom kan anses som en virksomhedsoverdragelse. Vi har gengivet de væsentligste nedenfor:
(SKM2019.212.SR): En nyopført udlejningsejendom med igangværende udlejning kan anses som en
momsfri virksomhedsoverdragelse. I den konkrete sag var der tale om en boligejendom med igang-
værende udlejning til nogle købere, som i sameje drev aktiviteten med udlejning videre. Sælger
havde selv opført ejendommen, der omfattede 24 selvstændige lejligheder. Sælger havde stillet en
lejegaranti over for køberen på førstegangsudlejningen af lejemålet i 12 måneder fra overtagelses-
datoen. Ejendommen blev overdraget/afleveret til køberen på et tidspunkt, hvor 16 af de 24 lejlig-
heder var udlejet.
(SKM2019.211.SR): Levering af nyopførte bygninger med ejerlejligheder kan ikke anses som en
momsvirksomhedsoverdragelse. Overdragelsesaftalen var indgået, før byggeriet var påbegyndt, og
køberen var selv forpligtet til at stå for udlejningen efter overtagelsen.
(SKM2018.619.SR): Levering af en byggegrund (inkl. byggeretter) og visse aktiviteter udarbejdet i
forbindelse med at udvikle grunden kan ikke anses for en momsfri virksomhedsoverdragelse. Et ele-
ment, der blev tillagt vægt, var blandt andet, at sælger ikke havde kendskab, til hvilken indtægt der
ville kunne registreres, eller hvornår en eventuel indtægt ville kunne registreres.
Ernst & Young P/S - Dirch Passers Allé 36 - Postboks 250 - 2000 Frederiksberg - CVR-nr. 30 70 02 28
4
TRU, Alm.del - 2020-21 - Endeligt svar på spørgsmål 454: Spm. om ministeren, på baggrund af besvarelsen af TRU alm. del – spørgsmål 342, vil redegøre for, om hemmeligstemplingen af Ernst & Youngs rapport om finansiering og organisering af Lynetteholm er i strid med miljøoplysningsloven, til transportministeren
2394232_0188.png
Transport- og Boligministeriet
Appendiks 6 - relevante momsmæssige forhold for Lynetteholmen I/S
(SKM2017.600.SR): Overdragelsen af et ejendomsprojekt, der bestod i opførelse af et antal ejerlej-
ligheder med henblik på salg, kan anses som en momsfri virksomhedsoverdragelse, når overdragel-
sen inkluderer en aftale med en underleverandør med hensyn til udførelse af entreprenørarbe jdet i
projektet og en aftale med en ejendomsmægler, der skulle stå for at formidle salget af de enkelte
ejerlejligheder.
Betydning for aftageren
Anvendelse af reglerne om virksomhedsoverdragelse er en fordel i den situation, hvor aftageren ikke
har ret til momsfradrag for købet eller kun delvist momsfradrag. Selvom der eventuelt vil være en ibo-
ende ikke-fradragsberettiget moms for opførelsesomkostningerne, vil aftageren undgå moms på sælge-
rens avance ved salget.
2.1.4
Aktiehandel
Salg af kapitalandele, herunder aktier og anparter, er fritaget for moms. Hvis en ejendom således sæl-
ges som led i en aktiehandel (ejendommen er indkapslet i et selskab), vil salget være fritaget for moms.
Betydning for aftageren
I den situation, hvor aftageren under en aktivhandel ikke ville have haft ret til momsfradrag for købet
eller kun delvist momsfradrag, kan det være en fordel at foretage handlen som en aktiehandel, særligt
hvis projektet indskydes i et selvstændigt selskab så tidligt som muligt i processen, hvorved der undgås
moms på avancen.
2.2
2.2.1
Udlejning af fast ejendom (indtægtssiden)
Udlejning til boligformål
Udlejning af fast ejendom til boligformål er fritaget for moms. Hvis udlejer af den faste ejendom samtidig
leverer parkering til lejeren som en del af boligudlejningen samt leverer vand, el og varme til lejeren, vil
disse leveringer ligeledes være momsfritaget.
Det er ikke muligt at opnå en frivillig momsregistrering for boligudlejning.
Momsfritagelsen gælder i alle led. Det vil sige, at både udlejer og en eventuel fremudlejer af samme fa-
ste ejendom vil være omfattet af momsfritagelsen. Det er således den endelige anvendelse af den faste
ejendom, der er afgørende for den momsmæssige behandling.
2.2.2
Udlejning til erhvervsformål
Udlejning af fast ejendom til erhvervsformål er fritaget for moms. Hvis udlejer af den faste ejendom
samtidig leverer parkering til lejeren som en del af erhvervsudlejningen samt leverer vand, el og varme
til lejeren, vil disse leveringer ligeledes være momsfritaget.
Det er imidlertid muligt at opnå en frivillig registrering for udlejning af fast ejendom, når ejendommen
skal anvendes til erhvervsmæssig udlejning. En frivillig registrering indebærer, at der skal opkræves
moms af lejen, og at momsen af omkostninger knyttet til den pågældende ejendom er fradragsberetti-
get.
Hvis en ejendom både indeholder boliglejemål og erhvervslejemål, er det muligt at frivillig registrere den
del af ejendommen, der omfatter erhvervslejemålene.
Det vil typisk være en fordel at frivillig registrere en ejendom, når denne udlejes til erhvervslejere, der
kan fradrage moms. Momsen på lejen vil således ikke blive en omkostning for lejerne, og samtidig vil ud-
lejer være berettiget til momsfradrag for omkostninger knyttet til den frivilligt registrerede ejendom.
En frivillig registrering er bindende minimum to år. Efter to år er det muligt at ophæve den frivillige regi-
strering, hvorefter lejeindtægten vil være momsfri. Dette har dog konsekvenser for momsfradragsret-
ten, jf. afsnit 2.3.
Ernst & Young P/S - Dirch Passers Allé 36 - Postboks 250 - 2000 Frederiksberg - CVR-nr. 30 70 02 28
5
TRU, Alm.del - 2020-21 - Endeligt svar på spørgsmål 454: Spm. om ministeren, på baggrund af besvarelsen af TRU alm. del – spørgsmål 342, vil redegøre for, om hemmeligstemplingen af Ernst & Youngs rapport om finansiering og organisering af Lynetteholm er i strid med miljøoplysningsloven, til transportministeren
2394232_0189.png
Transport- og Boligministeriet
Appendiks 6 - relevante momsmæssige forhold for Lynetteholmen I/S
2.2.3
Parkeringsudlejning
Udlejning af parkeringspladser er momspligtigt, medmindre parkeringen leveres som led i en momsfri
boligudlejning. Sidstnævnte vil kun være tilfældet, hvor udlejer af boligen og udlejer af parkeringsplad-
sen er samme afgiftspligtige person.
2.3
Momsfradragsret (omkostningssiden)
Momsfradragsretten for omkostninger knyttet til udvikling af fast ejendom afhænger af, hvad ejendom-
men skal anvendes til:
Anvendes ejendommen udelukkende til momspligtige formål, fx nysalg eller momspligtig erhvervs-
udlejning, er der fuldt momsfradrag for omkostninger knyttet til ejendommen.
Anvendes ejendommen udelukkende til momsfrie formål, fx momsfri boligudlejning, er der intet
momsfradrag for omkostninger knyttet til ejendommen.
Anvendes ejendommen til både momspligtige og momsfrie formål, fx en udlejningsejendom med bo -
lig og erhverv eller en boligejendom, hvor en del sælges som nye ejerlejligheder, mens andre udle -
jes, er der delvist momsfradrag for omkostningerne knyttet til ejendommen.
Den delvise momsfradragsret for omkostninger til opførelse af bygninger, der anvendes til blandede for-
mål, fastsættes på grundlag af et skøn. Dette skøn kan tage udgangspunkt i en kvadratmeterfordeling,
hvis omkostningerne til alle lejemålene tilnærmelsesvis skønnes at udgøre samme værdi pr. kvadratme-
ter. Ved anvendelse af kvadratmeterfordelingen sættes de momspligtige kvadratmeter i forhold til de
momsfrie kvadratmeter. Skønnet kan også tage udgangspunkt i forholdet mellem værdien af de direkte
henførbare omkostninger til de momspligtige lejemål henholdsvis de momsfrie lejemål.
Momsfradragsretten for omkostninger til ombygning, reparation og vedligehold af fællesarealer opgøres
på grundlag af en kvadratmeterfordeling.
Momsfradragsretten for øvrige fællesomkostninger opgøres på grundlag af en omsætningsfordeling,
hvor den momspligtige omsætning sættes i forhold til den samlede omsætning.
2.4
Momsreguleringsforpligtelse (omkostningssiden)
Levering af fast ejendom, herunder virksomhedsoverdragelse, samt ændret momsmæssig anvendelse af
en given fast ejendoms brug vil eventuelt udløse pligt til at opgøre reguleringsforpligtelser for tidligere
afholdte omkostninger knyttet til ejendommen. Dette kan både resultere i en efterbetaling af moms eller
en udbetaling af moms, alt efter om den momsmæssige anvendelse af ejendommen er reduceret hen-
holdsvis øget.
Reglerne omkring reguleringsforpligtelser skal sikre, at momsfradragsretten for køb af større investerin-
ger, herunder fast ejendom, afspejler den faktiske anvendelse. Det indebærer, at momsfradraget ta ges
på købstidspunktet for aktivet i henhold til de almindelige fradragsretsregler. Herefter er der en for plig-
telse til at korrigere momsfradraget inden for reguleringsperioden, hvis der sker ændret anvendelse af
aktivet (overgår fra momspligtig anvendelse til momsfri anvendelse og vice versa).
Hvis en fast ejendom således sælges, og der påhviler momsreguleringsforpligtelser på denne, skal sæl-
geren som udgangspunkt indbetale disse til Skattestyrelsen. Er der imidlertid tale om overdragelse af en
ejendom, der helt eller delvist har været anvendt til momspligtige formål, kan køber overtage de regule-
ringsforpligtelser, der måtte påhvile ejendommen. Det betyder, at sælgeren ikke skal betale momsregu-
leringsforpligtelserne til Skattestyrelsen. Dette forudsætter dog, at køber fortsætter med samme anven-
delse af ejendommen.
Følgende omkostninger er omfattet af reglerne for reguleringsforpligtelser:
Fast ejendom, herunder til- og ombygning. Reguleringsperioden er 10 år.
Reparation og vedligeholdelse af fast ejendom til et samlet beløb på over DKK 100.000 uden moms
pr. et år. Reguleringsperioden er fem år.
Ernst & Young P/S - Dirch Passers Allé 36 - Postboks 250 - 2000 Frederiksberg - CVR-nr. 30 70 02 28
6
TRU, Alm.del - 2020-21 - Endeligt svar på spørgsmål 454: Spm. om ministeren, på baggrund af besvarelsen af TRU alm. del – spørgsmål 342, vil redegøre for, om hemmeligstemplingen af Ernst & Youngs rapport om finansiering og organisering af Lynetteholm er i strid med miljøoplysningsloven, til transportministeren
2394232_0190.png
Transport- og Boligministeriet
Appendiks 6 - relevante momsmæssige forhold for Lynetteholmen I/S
Den momsmæssige nedskrivningsperiode er lineær. Det vil sige, at momsen nedskrives med en tiende-
del/en femtedel pr. år. For opførelsesomkostninger vedrørende fast ejendom vil der efter 10 år således
ikke længere eksistere nogen momsreguleringsforpligtelse.
Det skal bemærkes, at for nyopførte udlejningsejendomme påbegyndes reguleringsperioden først på
ibrugtagningstidspunktet.
Hvis der skal foretages en regulering af momsen, foretages reguleringen ved regnskabsårets udgang i
henhold til årets andel.
For salg af ny fast ejendom gælder en særlig kompenserende reguleringsforpligtelse. Det vil sige, at hvis
et byggeri er opført med henblik på fx momsfri udlejning, og der således ikke er fratrukket købsmoms på
opførelsesomkostningerne, er det muligt at få denne købsmoms kompenseret, hvis bygningen, i stedet
for at blive udlejet, bliver solgt som en ny bygning/selvstændige ejerlejligheder med moms. Dette sikrer,
at momsen bliver neutral.
På tilsvarende vis vil der opstå en forpligtelse til at tilbagebetale moms for opførelsesomkostninger, hvis
en fast ejendom opføres med henblik på salg, men hensigten senere hen i forløbet ændres, hvorefter
ejendommen skal anvendes til momsfri udlejning. Tilbagebetalingen skal ske med en femtedel/en tiende-
del pr. år.
2.5
Overdragelse af infrastruktur til grundejerforening
Selskabet(erne), der skal afholde omkostninger til infrastruktur, antager vi, er selskaber, der i forvejen
skal byggemodne og udvikle ejendommene i og omkring infrastrukturen. Når disse selskaber efterføl-
gende skal overdrage infrastrukturen til en grundejerforening, skal der ikke opkræves moms heraf, hvis
infrastrukturen overdrages uden vederlag (infrastrukturen er blevet finansieret via indtægterne for salg
af ejendommene).
Hvis selskaberne imidlertid opkræver vederlag for infrastrukturen ved overdragelse til en grundejerfor-
ening, skal der opkræves moms af vederlaget. Grundejerforeningen vil som udgangspunkt ikke have
momsfradrag for denne moms.
2.6
Udtagningsmoms
Skatteministeriet har med lovforslag L27a foreslået en ændring i momsloven, hvorefter fast ejendom
bliver omfattet af de såkaldte udtagningsregler. Lovforslaget blev vedtaget i november 2019, men er
(pr. den 28. januar 2020) for så vidt angår reglerne om udtagningsmoms på fast ejendom endnu ikke
trådt i kraft. Skatteministeriet skal fastsætte ikrafttrædelsestidspunktet. Reglerne forventes at træde i
kraft i løbet af sommeren 2020.
Udtagningsreglerne har - på samme måde som reglerne for momsreguleringsforpligtelser - til hensigt at
sikre, at der ikke opnås en momsmæssig fordel ved at indkøbe et aktiv i den momspligtige virksomhed
med deraf følgende fradragsret for efterfølgende at benytte aktivet til formål, der ikke giver ret til fra-
drag.
Som reglerne er i dag, har udtagningsreglerne ikke været gældende for fast ejendom, der var omfattet
af reglerne om momsreguleringsforpligtelser.
I henhold til det vedtagne lovforslag skal der imidlertid afregnes udtagningsmoms på det tidspunkt, hvor
en fast ejendom overgår fra momspligtig anvendelse til momsfritagen anvendelse. Dette er fx tilfældet
ved fast ejendom, der er opført med henblik på salg, og hvor det på trods af salgsbestræbelser ikke kan
lade sig gøre at sælge ejendommen eller enkelte lejligheder heri, og hvor ejendommen eller lejligheden i
stedet for udlejes uden opkrævning af moms. Ejendommen overgår dermed fra at være anvendt til
momspligtige formål til momsfrie formål. Som følge heraf skal der betales udtagningsmoms.
Det følger af loven, at udtagningsmomsen skal opgøres på baggrund af købsprisen forstået som rest-
værdien af den faste ejendom på tidspunktet for udtagelsen af den faste ejendom. Hvis restværdien ikke
findes, skal momsen opgøres på baggrund af købsprisen for en tilsvarende ejendom på tidspunktet for
udtagning, dvs. markedsprisen. Kun hvis der ikke findes en markedspris, kan udtagningsmomsen opgø-
res på baggrund af kostprisen.
Ernst & Young P/S - Dirch Passers Allé 36 - Postboks 250 - 2000 Frederiksberg - CVR-nr. 30 70 02 28
7
TRU, Alm.del - 2020-21 - Endeligt svar på spørgsmål 454: Spm. om ministeren, på baggrund af besvarelsen af TRU alm. del – spørgsmål 342, vil redegøre for, om hemmeligstemplingen af Ernst & Youngs rapport om finansiering og organisering af Lynetteholm er i strid med miljøoplysningsloven, til transportministeren
2394232_0191.png
Transport- og Boligministeriet
Appendiks 6 - relevante momsmæssige forhold for Lynetteholmen I/S
Dette medfører, at der skal afregnes moms af markedsprisen på det tidspunkt, hvor den faste ejendom
eller lejlighed, der var opført med henblik på salg eller momspligtig anvendelse, i stedet udlejes uden
moms. Denne moms skal indbetales til Skattestyrelsen.
Hvis det efterfølgende viser sig, at ejendommen eller lejligheden kan sælges, er det efterfølgende salg
dog momsfrit. Dette uanset om ejendommen eller lejligheden i momsmæssig henseende anses for at
være ny eller gammel.
Forskellen på reglerne om udtagning og momsreguleringsforpligtelser er således, at der ved udtagning
som udgangspunkt skal betales moms af markedsprisen, og betalingen skal ske på én gang ved udtag-
ningen, mens der ved momsreguleringsforpligtelser kun skal ske tilbagebetaling af moms af kostprisen
og over en længere periode. De nye regler vil dermed ikke være nogen fordel.
2.7
Strukturering
Fra et momsmæssigt perspektiv er strukturen ikke afgørende, når både leverandør og aftager udøver
fuld momspligtig virksomhed. I den situation er momsen neutral for både leverandør og aftager.
Derimod er strukturen fra et momsmæssigt perspektiv relevant, hvor den faste ejendom helt eller del-
vist skal anvendes til momsfrie formål.
I den situation vil den mest hensigtsmæssige struktur fra et momsmæssigt perspektiv som udgangs-
punkt være at indskyde de faste ejendomme i selvstændige selskaber med henblik på salg af kapitalan-
delene i selskaberne efterfølgende. Det skal i den forbindelse bemærkes, at det ikke har nogen moms-
mæssig betydning, om selskabet etableres som et A/S, ApS, P/S, K/S m.fl.
De faste ejendomme bør indskydes i selvstændige selskaber så tidligt som muligt i forløbet, fx allerede i
stadiet, hvor den faste ejendom består i en byggegrund. Herved undgås moms på avancer i øvrige sta-
dier i byggeriet.
Alternativt kan de faste ejendomme indskydes på et tidspunkt, hvor de kvalificerer som virksomheds-
overdragelser, jf. afsnit 2.1.3.
3
Momsforudsætninger anvendt i analysen
Jf. nærværende notat er det muligt at foretage visse strukturelle tilpasninger, der eliminerer uhensigts-
mæssige momsomkostninger hos sælger og/eller køber.
Vi har antaget, at LIS foretager de nødvendige strukturelle tilpasninger, men det understreges, at de
faktiske momsforhold er afhængige af den struktur, som LIS etableres efter.
LIS vil være involveret i flere forskellige udviklingsaktiviteter. Vi har inddelt aktiviteterne i følgende
overordnede aktiviteter:
Salg af byggeretter (inklusive den ejendom, som byggeretterne knytter sig til)
Udvikling og salg af nøglefærdige ejendomme
Udvikling, udlejning og efterfølgende salg af ejendomme.
Der gælder forskellige momsmæssige forhold for LIS afhængig af, hvilken aktivitet LIS vælger. I Tabel 1-
3 nedenfor har vi listet de anvendte forudsætninger i analysen.
Ernst & Young P/S - Dirch Passers Allé 36 - Postboks 250 - 2000 Frederiksberg - CVR-nr. 30 70 02 28
8
TRU, Alm.del - 2020-21 - Endeligt svar på spørgsmål 454: Spm. om ministeren, på baggrund af besvarelsen af TRU alm. del – spørgsmål 342, vil redegøre for, om hemmeligstemplingen af Ernst & Youngs rapport om finansiering og organisering af Lynetteholm er i strid med miljøoplysningsloven, til transportministeren
2394232_0192.png
Transport- og Boligministeriet
Appendiks 6 - relevante momsmæssige forhold for Lynetteholmen I/S
3.1
Salg af byggeretter
LIS sælger både kommercielle byggeretter (privat bolig og erhverv), almene byggeretter og byggeretter
til offentlige institutioner:
Aktivitet
Salg af bygge-
retter til tredje-
part
Momsmæssige forhold
Generel momsregel ved aktivhandel
med nye bygninger og byggegrunde:
Udgangspunktet er, at salg af fast
ejendom, der omfatter nye bygninger
og byggegrunde, er momspligtigt,
mens andet salg af fast ejendom er fri-
taget for moms.
Fællesregistrering: Fællesregistrering
indebærer, at der ikke skal betales
moms af intern om- sætning mellem
fællesregistrerede virksomheder.
Handel med fast ejen- dom m.v. er
således fritaget for moms, hvis
handlen sker mellem virksomhe- der
inden for samme fællesregistre- ring.
Anvendt forudsætning
Det antages, at der er salgsmoms på
salg af alle byggeretter direkte til tredje
part.
Salg af bygge-
retter til et part-
nerskab (fx et
P/S-selskab)
LIS opretter et eller flere P/S-selskaber
til udviklingen af Lynetteholmen og de
omkringliggende områder, hvor LIS selv
har en ejerandel. Det antages, at LIS
fællesregistrerer alle P/S’er under ét.
LIS’ salg af bygge-retter til P/S-selska-
berne er således fritaget for moms, når
LIS også indgår i fællesregistreringen.
Tabel 1: Momsmæssige forhold for aktiviteten salg af byggeretter
3.2
Udvikling og salg af nøglefærdige ejendomme
aktivsalg uden virksomhedsoverdragelse til
køber
I oprettede P/S-selskaber udvikler LIS i samarbejde med P/S-partnere kommercielle byggeretter, herun-
der både ejendomme til boligformål og erhvervsformål. Det enkelte P/S vil være involveret i køb af byg-
geretter samt i anlæg og salg af ejendomme_
Aktivitet
Køb af kommer-
cielle byggeret-
ter
Momsmæssige forhold
Generel momsfradragsregel ved aktiv-
handel med nye bygninger og bygge-
grunde:
Hvis aftageren skal anvende den faste
ejendom til sine momspligtige aktivite-
ter, vil aftageren være berettiget til at
fradrage momsen på leveringen eller
udlejningen af den faste ejendom.
Hvis aftageren derimod helt eller del-
vist skal anvende den faste ejendom til
momsfrie formål, vil aftageren ikke
være berettiget til (fuldt) momsfradrag
for betalingen for leveringen eller udlej-
ningen af den faste ejendom.
(Se
Generel momsfradragsregel ved ak-
tivhandel med nye bygninger og bygge-
grunde
ovenfor)
Anvendt forudsætning
Det antages, at P/S-selskaberne udvik-
ler og sælger nøglefærdige ejen-
domme. Dette er en momspligtig aktivi-
tet, hvorfor der som udgangspunkt er
momsfradrag på køb af kommercielle
byggeretter.
Det antages dog, at LIS fællesregistre-
rer alle P/S-selskaber under ét. LIS’
salg af byggeretter til P/S-selskaberne
er således fritaget for moms, når LIS
også indgår i fællesregistreringen.
(Se
Fællesregistrering
i Tabel 1)
Jf. momsregler for aktivhandel med
nye bygninger og byggegrunde antages
det, at der opnås momsfradrag på an-
lægsomkostninger til bolig- og er-
hvervsejendomme.
Jf. momsregler for aktivhandel med
nye bygninger og byggegrunde forud-
sættes det, at alt salg af nøglefærdige
ejendomme er momspligtigt.
Anlæg af ejen-
domme
Salg af ejen-
domme
(Se
Generel momsregel ved aktivhandel
med nye bygninger og byggegrunde
i
Tabel 1)
Tabel 2: Momsmæssige forhold for aktiviteten udvikling og salg af nøglefærdige ejen-
domme
Ernst & Young P/S - Dirch Passers Allé 36 - Postboks 250 - 2000 Frederiksberg - CVR-nr. 30 70 02 28
9
TRU, Alm.del - 2020-21 - Endeligt svar på spørgsmål 454: Spm. om ministeren, på baggrund af besvarelsen af TRU alm. del – spørgsmål 342, vil redegøre for, om hemmeligstemplingen af Ernst & Youngs rapport om finansiering og organisering af Lynetteholm er i strid med miljøoplysningsloven, til transportministeren
2394232_0193.png
Transport- og Boligministeriet
Appendiks 6 - relevante momsmæssige forhold for Lynetteholmen I/S
3.3
Udvikling, udlejning og efterfølgende salg af ejendomme
I oprettede P/S-selskaber udvikler LIS i samarbejde med P/S-partnere kommercielle byggeretter, herun-
der både ejendomme til boligformål og erhvervsformål. P/S-selskaberne vil være involveret i køb af byg-
geretter, anlæg af ejendomme, udlejningsvirksomhed (i fem år) og salg af ejendomme:
Aktivitet
Køb af kommer-
cielle byggeret-
ter
Momsmæssige forhold
(Se
Generel momsfradragsregel ved ak-
tivhandel med nye bygninger og bygge-
grunde
i
Tabel 2
)
(Se
Fællesregistrering
i Tabel 1)
Anvendt forudsætning
Det antages, at P/S-selskaberne både
driver udlejningsvirksomhed med pri-
vate lejemål og erhvervslejemål. Dette
er momsfrie aktiviteter, hvorfor vi som
udgangspunkt antager, at der ikke er
momsfradrag på køb af kommercielle
byggeretter.
Dog antages det som nævnt, at P/S-
selskaberne er fællesregistrerede,
hvorfor køb af kommercielle byggeret-
ter er fritaget for moms.
Jf. ovenfor antager vi som udgangs-
punkt, at der ikke er momsfradrag på
anlægsomkostningerne.
Grundet frivillig momsregistrering an-
tages der dog momsfradrag på anlægs-
omkostninger i forbindelse med opfø-
relse af erhvervsejendomme.
Jf. ovenfor antager vi som udgangs-
punkt, at der ikke er momsfradrag på
driftsomkostningerne.
Grundet frivillig momsregistrering an-
tages der dog momsfradrag på drifts-
omkostningerne i forbindelse med drift
af erhvervsejendomme.
Udlejning til boligformål er en momsfri
aktivitet. Der antages således ikke
salgsmoms på indtægter fra udlejning
til boligformål.
Det antages som nævnt, at P/S-selska-
berne lader sig frivilligt momsregi-
strere i forhold til udlejning til er-
hvervslejemål. Således antages det, at
der er salgsmoms på indtægterne fra
udlejning til erhvervslejemål.
Det antages, at P/S-selskaberne driver
udlejningsvirksomhed i fem år, hvoref-
ter ejendommene sælges. Efter fem års
ibrugtagning anses en ejendom ikke
længere for ny, hvorfor det antages, at
salget af ejendommene er momsfrit.
Anlæg af ejen-
domme
(Se
Generel momsfradragsregel ved ak-
tivhandel med nye bygninger og bygge-
grunde
i Tabel 2)
Frivillig momsregistrering:
Det er muligt at opnå frivillig momsre-
gistrering for erhvervsejendomme,
men det er ikke muligt at opnå frivillig
momsregistrering for boligejendomme.
(Se
Generel momsfradragsregel ved ak-
tivhandel med nye bygninger og bygge-
grunde
i Tabel 2)
(Se
Frivillig momsregistrering
ovenfor)
Driftsomkostnin-
ger
Udlejningsind-
tægter
Udlejning af fast ejendom til både bolig-
formål og erhvervsformål er fritaget
for moms.
(Se
Frivillig momsregistrering
oven-
for
Tabel 2
)
Salg af ejen-
domme
Udgangspunktet er, at salg af fast ejen-
dom, der omfatter nye bygninger og
byggegrunde, er momspligtigt, mens
andet salg af fast ejendom er fritaget
for moms.
En ny bygning defineres bl.a. ved, at
bygningen er taget i brug på dagen for
første salg af bygningen, og den første
levering sker mindre end fem år efter
bygningens færdiggørelse (femårsreg-
len).
Tabel 3: Momsmæssige forhold for aktiviteten udvikling, udlejning og efterfølgende salg af
ejendomme
Ernst & Young P/S - Dirch Passers Allé 36 - Postboks 250 - 2000 Frederiksberg - CVR-nr. 30 70 02 28
10
TRU, Alm.del - 2020-21 - Endeligt svar på spørgsmål 454: Spm. om ministeren, på baggrund af besvarelsen af TRU alm. del – spørgsmål 342, vil redegøre for, om hemmeligstemplingen af Ernst & Youngs rapport om finansiering og organisering af Lynetteholm er i strid med miljøoplysningsloven, til transportministeren
2394232_0194.png
Transport- og Boligministeriet
Appendiks 6 - relevante momsmæssige forhold for Lynetteholmen I/S
EY
| Assurance | Tax | Transactions | Advisory
Om EY
EY er en af verdens førende organisationer inden for revision,
skat, transaktioner og rådgivning. Den indsigt og de ydelser, vi
leverer, hjælper med at opbygge tillid til kapitalmarkederne og
den globale økonomi. Vi udvikler dygtige ledere og medarbej-
dere, som sammen leverer det, vi lover vores interessenter og
bidrager til, at arbejdsverdenen og arbejdslivet fungerer bedre -
for vores medarbejdere, vores kunder og det omgivende sam-
fund.
EY henviser til den globale organisation og kan referere til et el-
ler flere medlemsfirmaer inden for Ernst & Young Global Limi-
ted, som hver især udgør en selvstændig juridisk enhed. Ernst &
Young Global Limited, som er et engelsk
‘company
limited by
guarantee’, yder ikke kunderådgivning. Flere oplysninger om
vores organisation kan findes på ey.com.
© 2020 Ernst & Young P/S. CVR-nr. 30700228
All Rights Reserved.
Dette materiale er udarbejdet alene til orientering, og oplysnin-
gerne i det tilsigter ikke at være fyldestgørende, og de træder
ikke i stedet for udførlige analyser eller udøvelsen af professio-
nelle skøn. I konkrete sager opfordres brugere til at henvende
sig til EY’s rådgivere.
ey.com/dk
Ernst & Young P/S - Dirch Passers Allé 36 - Postboks 250 - 2000 Frederiksberg - CVR-nr. 30 70 02 28
11
TRU, Alm.del - 2020-21 - Endeligt svar på spørgsmål 454: Spm. om ministeren, på baggrund af besvarelsen af TRU alm. del – spørgsmål 342, vil redegøre for, om hemmeligstemplingen af Ernst & Youngs rapport om finansiering og organisering af Lynetteholm er i strid med miljøoplysningsloven, til transportministeren
2394232_0195.png
-- AKT 730242 -- BILAG 11 -- [ 16-04-2020 - Appendiks 7 v1.00 ] --
Transport- og
Boligministeriet
Undersøgelse af finansiering og
organisering af Lynetteholmen
Appendiks 7
version 1
Boligudbud, -efterspørgsel og -priser
16. april 2020
FORTROLIGT
TRU, Alm.del - 2020-21 - Endeligt svar på spørgsmål 454: Spm. om ministeren, på baggrund af besvarelsen af TRU alm. del – spørgsmål 342, vil redegøre for, om hemmeligstemplingen af Ernst & Youngs rapport om finansiering og organisering af Lynetteholm er i strid med miljøoplysningsloven, til transportministeren
2394232_0196.png
Boligudbud, -efterspørgsel
og -priser
Beregningsforudsætninger for udbygning af Lynetteholmen og Refshaleøen
Baggrundsrapport
Transport- og Boligministeriet
INCENTIVE
VI FJERNER G,<8VA:RK FRA BESLUTNINGER
TRU, Alm.del - 2020-21 - Endeligt svar på spørgsmål 454: Spm. om ministeren, på baggrund af besvarelsen af TRU alm. del – spørgsmål 342, vil redegøre for, om hemmeligstemplingen af Ernst & Youngs rapport om finansiering og organisering af Lynetteholm er i strid med miljøoplysningsloven, til transportministeren
Kolofon
Udarbejdet af: Thomas Odgaard, Ulrik Beck, Line Børger og Kasper Petri
Dato: 17. april 2020
Kontakt
Incentive, Holte Stationsvej 14, 1., 2840 Holte
T. 61 333 500, M. [email protected]
incentive.dk
Incentive | 2
TRU, Alm.del - 2020-21 - Endeligt svar på spørgsmål 454: Spm. om ministeren, på baggrund af besvarelsen af TRU alm. del – spørgsmål 342, vil redegøre for, om hemmeligstemplingen af Ernst & Youngs rapport om finansiering og organisering af Lynetteholm er i strid med miljøoplysningsloven, til transportministeren
Indholdsfortegnelse
1
2
INDLEDNING
TILGANG OG SCENARIER
2.1
Tre scenarier for fremtidig udvikling
4
6
7
3
KOMPONENTER I BOLIGMODELLEN
3.1
3.2
3.3
3.4
3.5
Boligudbud
Boligefterspørgsel
Boligpriser
Korrektion for strukturelt niveau
Effekt af rentenormalisering
11
11
13
18
22
22
4
RESULTATER FOR UDVIKLING I BOLIGPRISER OG UDBYGNINGSTAKT
4.1
4.2
4.3
4.4
4.5
Prognoser for boligpriser
Prognoser for udbygningstakt
Sammenligning med andre studier for København
Sammenligning med andre lande
Andelen af indkomsten husholdningerne bruger på bolig
24
24
25
27
28
32
5
SALGSPRISER FOR LIGNENDE BOLIGER I DAG
5.1
5.2
5.3
De seks referenceområder
Salgspriser i de seks referenceområder
Estimerede salgspriser for udviklingsområder, hvis de skulle sælges i dag
34
34
35
36
6
7
8
SAMLET INPUT TIL BEREGNINGER FOR LYNETTEHOLMEN
REFERENCER
BILAG A. SAMMENLIGNING AF MODELEGENSKABER
38
40
41
Incentive | 3
TRU, Alm.del - 2020-21 - Endeligt svar på spørgsmål 454: Spm. om ministeren, på baggrund af besvarelsen af TRU alm. del – spørgsmål 342, vil redegøre for, om hemmeligstemplingen af Ernst & Youngs rapport om finansiering og organisering af Lynetteholm er i strid med miljøoplysningsloven, til transportministeren
1 Indledning
Transport- og Boligministeriet har bedt Incentive, EY, Kammeradvokaten og MOE om at estimere
det størst mulige realistiske finansieringsbidrag fra arealudvikling på Lynetteholmen til etablering
af den nødvendige infrastruktur.
For at beregne finansieringsbidraget har Incentive udarbejdet en prognose for de fremtidige
salgspriser på ejerboliger. Derudover har vi etableret en prognose for udbygningen af
boligmassen i København, som bestemmer, i hvilken takt boligerne i udviklingsområderne
afsættes. Den konkrete udviklingstakt for hvert af udviklingsområderne fastlægges i den
finansielle model og behandles derfor ikke nærmere her.
Fremskrivninger over mange år er naturligvis behæftet med væsentlig usikkerhed. Udviklingen
afhænger bl.a. af:
·
·
·
·
·
·
·
·
fremtidige indkomststigninger for de nuværende københavnere og tilflyttere.
ændringer i den finansielle regulering af boligkøb.
ændringer i reguleringen af boligmarkedet.
ændrede skatteregler.
ændringer i flyttemønstre mellem land og by.
konjunkturer.
renteniveauet.
udbygningen af boligområder i Københavns omegnskommuner.
For at håndtere og illustrere den store usikkerhed på fremskrivningerne opererer vi med to
hovedscenarier og to følsomhedsscenarier for udviklingen i de fremtidige ejerboligpriser og
udviklingstakt for boliger i København.
Vi har opdelt prognosearbejdet i to dele. I første del estimerer vi scenarier for stigningstakten i
de fremtidige boligpriser og udbygningstakten i København. I anden del estimerer vi, hvad
lejligheder, der svarer til dem, der opføres på bl.a. Lynetteholmen og Refshaleøen, i dag koster i
København.
Ved at kombinere disse to dele kan vi estimere prisen pr. m
2
ejerbolig i de relevante
udviklingsområder, når boligerne er klar til salg, og afsætningstakten for boligerne i København.
Struktur i baggrundsrapport
Strukturen i denne baggrundsrapport er som følger:
I afsnit 2 beskriver vi vores overordnede tilgang til at etablere de relevante scenarier.
I afsnit 3-4 beskriver vi første del af analysen, der er den mest omfattende. Denne del af
analysen er udført med en langsigtet model for udbud og efterspørgsel på det københavnske
Incentive | 4
TRU, Alm.del - 2020-21 - Endeligt svar på spørgsmål 454: Spm. om ministeren, på baggrund af besvarelsen af TRU alm. del – spørgsmål 342, vil redegøre for, om hemmeligstemplingen af Ernst & Youngs rapport om finansiering og organisering af Lynetteholm er i strid med miljøoplysningsloven, til transportministeren
boligmarked, som vi har udviklet til formålet. Vi starter med kort at beskrive modellens
komponenter i afsnit 3, hvorefter vi beskriver resultaterne i afsnit 4.
I afsnit 5 beskriver vi anden del af opgaven, hvor vi estimerer, hvad tilsvarende ejerboliger i dag
koster i København.
I afsnit 6 kombinerer vi de to analyser til en samlet prisprognose for Lynetteholmen og
Refshaleøens ejerboliger og udbygningstakten for boligmassen i København. Dette udgør input til
beregningerne i den finansielle model, som er udviklet parallelt i forløbet.
I bilag A (afsnit 7) sammenligner vi egenskaberne ved vores boligmodel med andre tilsvarende
langsigtede boligmodeller.
Følgegruppe
I processen med at udarbejde rapporten har vi konsulteret Ismir Mulalic, Senior Fellow hos Kraks
Fond Byforskning, samt Curt Liliegreen, direktør hos Boligøkonomisk Videncenter. Begge har
bidraget med kommentarer og input. Analysen og resultaterne er dog alene forfatternes ansvar.
Incentive | 5
TRU, Alm.del - 2020-21 - Endeligt svar på spørgsmål 454: Spm. om ministeren, på baggrund af besvarelsen af TRU alm. del – spørgsmål 342, vil redegøre for, om hemmeligstemplingen af Ernst & Youngs rapport om finansiering og organisering af Lynetteholm er i strid med miljøoplysningsloven, til transportministeren
2394232_0201.png
2 Tilgang og scenarier
Analysen består som nævnt af to dele, jf. figur 1.
Figur 1
Overordnet tilgang med to delanalyser
I første del estimerer vi scenarier for stigningstakten i de fremtidige boligpriser og
udbygningstakten i København.
Denne del af analysen er udført med en langsigtet model for udbud og efterspørgsel på det
københavnske boligmarked, som vi har udviklet til formålet. I modellen fokuserer vi på de
langsigtede drivere for udviklingen i boligpriserne, dvs. den langsigtede boligefterspørgsel og det
langsigtede boligudbud. Vi ser således bort fra konjunkturmæssige forhold og andre effekter, som
påvirker boligpriserne inden for de næste par år, men som ikke har betydning for den
underliggende, strukturelle udvikling i boligpriserne.
Modellen sikrer, at vi i scenarierne opererer med en konsistent sammenhæng mellem boligudbud,
boligefterspørgsel og boligpriser.
Boligudbuddet
bestemmes af boligudbuddet i dag og omfanget af nyt boligbyggeri.
Boligefterspørgslen
bestemmes af det stigende indbyggertal i København på grund af tilflytning
og den demografiske udvikling, samt at indbyggerne øger efterspørgslen efter bolig, i takt med at
de bliver rigere.
Incentive | 6
TRU, Alm.del - 2020-21 - Endeligt svar på spørgsmål 454: Spm. om ministeren, på baggrund af besvarelsen af TRU alm. del – spørgsmål 342, vil redegøre for, om hemmeligstemplingen af Ernst & Youngs rapport om finansiering og organisering af Lynetteholm er i strid med miljøoplysningsloven, til transportministeren
Boligprisen
sikrer, at boligefterspørgslen og boligudbuddet er i ligevægt.
Modellen er lavet, så man enten kan angive boligudbuddet og boligefterspørgslen og bruge
modellen til at estimere boligprisudviklingen. Eller man kan angive boligefterspørgslen og
boligprisudviklingen og estimere, hvilken udbygningstakt der skal til for at realisere den
forudsatte udvikling i boligpriserne.
I anden del estimerer vi, hvad tilsvarende ejerboliger i dag koster i København på basis af
handelspriserne i seks udvalgte referenceområder.
Ved at kombinere disse to dele kan vi estimere prisen pr. m
2
ejerbolig på Lynetteholmen og
Refshaleøen, når boligerne er klar til salg, og afsætningstakten for boliger i København.
2.1 Tre scenarier for fremtidig udvikling
For at håndtere og illustrere den store usikkerhed på fremskrivningerne opererer vi med tre
scenarier for den fremtidige udvikling:
·
·
Følsomhedsscenarie 1. Lav boligprisudvikling
(priserne følger byggeomkostningerne).
Basis boligprisudvikling med fastlagt udbygningstakt
(i henhold til Københavns
Kommunes notat om beregningstekniske forudsætninger):
·
·
·
a. Med rentenormalisering (i henhold til Finansministeriets prognose)
b. Med uændrede renter.
Følsomhedsscenarie 2. Høj boligprisudvikling
(priserne følger den historiske
stigningstakt)
I figur 2 har vi illustreret, hvordan scenarierne er defineret.
I følsomhedsscenarie 1 og 2 har vi for en given boligefterspørgsel beregnet, hvilket boligudbud og
dermed udbygningstakt der skal til for at realisere en fastlagt udvikling i boligpriserne.
I scenariet
”Basis
boligprisudvikling”, som er vores hovedscenarie, beregner vi, hvilken udvikling i
boligpriserne man kan forvente, når man bygger boliger i en fastlagt takt ud fra en given
efterspørgsel.
Som det også fremgår af pilene i figuren, har boligmodellen en feedbackmekanisme fra
boligpriser til boligefterspørgsel, der sikrer, at boligudbuddet og -efterspørgslen er i ligevægt.
Det sikres ved, at boligefterspørgslen reduceres, når priserne stiger.
I alle tre scenarier er boligefterspørgslen ved uændrede boligpriser den samme.
Ud over de dynamikker vi opererer med i den langsigtede boligmodel, laver vi tre typer af
korrektioner. I alle tre scenarier korrigerer vi for, at boligpriserne i København sandsynligvis er
påvirket af faktorer, der betyder, at priserne i dag ligger over det langsigtede strukturelle
Incentive | 7
TRU, Alm.del - 2020-21 - Endeligt svar på spørgsmål 454: Spm. om ministeren, på baggrund af besvarelsen af TRU alm. del – spørgsmål 342, vil redegøre for, om hemmeligstemplingen af Ernst & Youngs rapport om finansiering og organisering af Lynetteholm er i strid med miljøoplysningsloven, til transportministeren
2394232_0203.png
niveau. Derudover korrigerer vi i vores hovedscenarie, hvor boligprisudviklingen bestemmes af
modellen, for, at lånebegrænsninger sætter en grænse for, hvor meget boligpriserne kan stige
mere end indtægterne. Endelige korrigerer vi i den ene variant af scenariet med
”Basis
boligprisudvikling”
for,
at renten frem mod 2040 normaliseres i henhold til Finansministeriets
prognose (variant
”b”).
Figur 2
Tilgang til at etablere tre scenarier for den fremtidige udvikling
Langsigtet boligmodel
Korrektioner
Følsomhedsscenarie 1 og 2
Hvilken udbygning af boligmassen giver fastlagt prisudvikling?
Boligudbud
(u d b yg n ing stakt)
Bolig-
efterspørgsel
+
Boligpris
Output
I nput
Korrektion for
strukturelt
prisniveau i
dag
Hvad bliver boligprisudviklingen, når udbygningen følger Københavns Kommunes tekniske fremskrivning?
Basis boligprisudvikling
Boligudbud
(u d b yg n ing stakt)
Bolig-
efterspørgsel
+
Korrektion for
strukturelt
prisniveau i
dag
+
Korrektion for
lånebegræns-
ninger
+
Effekt af rente-
normalisering
(for
”b”)
Boligpris
Output
I nput
Note: Henvisningen
”Københavns
Kommunes tekniske fremskrivning” henviser til Københavns Kommunes notat om
beregningstekniske forudsætninger.
Nedenfor findes en uddybende beskrivelse af de tre scenarier.
Følsomhedsscenarie 1. Lav boligprisudvikling
I følsomhedsscenarie 1 forudsætter vi, at boligpriserne i København i fremtiden stiger i takt med
stigningen i byggeomkostningerne.
Scenariet afspejler således den forventede prisudvikling i et scenarie, hvor der ikke er
begrænsninger på byggegrunde.
Incentive | 8
TRU, Alm.del - 2020-21 - Endeligt svar på spørgsmål 454: Spm. om ministeren, på baggrund af besvarelsen af TRU alm. del – spørgsmål 342, vil redegøre for, om hemmeligstemplingen af Ernst & Youngs rapport om finansiering og organisering af Lynetteholm er i strid med miljøoplysningsloven, til transportministeren
Hvis der ikke er begrænsninger på byggegrunde, forventer man ifølge gængs teori om
boligmarkedet (Tobins q), at boligprisen følger byggeomkostningerne, da man uden restriktioner
kan øge boligudbuddet ved at bygge nyt, så snart prisen overstiger byggeomkostningerne.
Følsomhedsscenarie 1 giver således et lavt skøn for den udvikling i priserne, som man kan
forvente frem til 2075.
Vi tager udgangspunkt i en realvækst i byggeomkostningerne på 0,5% årligt, der svarer til den
historiske vækst i de reale byggeomkostninger de seneste 20 år.
1
Basis boligprisudvikling med fastlagt udbygningstakt (hovedscenarie)
I vores
hovedscenarie(r) tager vi udgangspunkt i Københavns Kommunes notat om beregningstekniske
forudsætninger vedrørende udbygning og fortætning af den eksisterende by
frem til 2075. Dette scenarie giver et højere skøn for udviklingen i priserne end
følsomhedsscenarie 1.
I afsnit 3.1 beskriver vi Københavns Kommunes notat om beregningstekniske forudsætninger
vedrørende udbygning og fortætning.
Som det fremgår, opererer vi med to varianter: Én med rentenormalisering og én med uændrede
renter.
Følsomhedsscenarie 2. Høj boligprisudvikling
I følsomhedsscenarie 2 tager vi udgangspunkt i, at boligpriserne i fremtiden udvikler sig, som de
har gjort i gennemsnit over de seneste 25 år. Dog nedjusterer vi prisudviklingen for at tage højde
for særlige
engangseffekter,
der har påvirket udviklingen i boligpriserne de seneste 25 år. Det
gælder bl.a. forhold omkring finansiel deregulering, som vi vurderer, har medvirket til at øge
priserne ekstraordinært de seneste 25 år, og som vi ikke forventer gentaget frem mod 2075.
I afsnit 3.3 beskriver vi den historiske prisudvikling og de korrektioner for engangseffekter, som vi
har indarbejdet i analysen.
Opsummering af scenarier
I tabel 1 har vi opsummeret beskrivelserne af de tre scenarier. I afsnit 3 beskriver vi de tre
elementer i modellen, som definerer scenarierne.
Som det fremgår, er boligefterspørgslen ved uændrede boligpriser den samme i alle tre
scenarier.
1
Egne beregninger baseret på Danmarks Statistik Statistikbanken BYG4 og BYG42, samt Statistikbanken PRIS115.
Incentive | 9
TRU, Alm.del - 2020-21 - Endeligt svar på spørgsmål 454: Spm. om ministeren, på baggrund af besvarelsen af TRU alm. del – spørgsmål 342, vil redegøre for, om hemmeligstemplingen af Ernst & Youngs rapport om finansiering og organisering af Lynetteholm er i strid med miljøoplysningsloven, til transportministeren
2394232_0205.png
Tabel 1
De tre scenarier
Boligudbud
(udbygningstakt)
Bestemmes af
modellen.
Scenarie
Følsomheds-
scenarie 1. Lav
boligprisudvikling
Beskrivelse
Priser følger historisk
udvikling i
byggeomkostninger.
Afspejler scenarie uden
udbudsrestriktioner.
Boligefterspørgsel
Boligpriser
Stiger med historisk
takt for
byggeomkostninger.
Befolkningsvækst og
indkomstfremgang
driver
basisefterspørgsel
(ved uændrede
priser).
Efterspørgsel
tilpasses
prisudviklingen.
Basis
boligprisudvikling
Københavns Kommunes
beregningstekniske
forudsætninger vedr.
udbygning.
Følger fremskrevet
fastlagt udbygning.
Bestemmes af
modellen.
Følsomheds-
scenarie 2. Høj
boligprisudvikling
Historisk gennemsnit af
prisstigninger de seneste
25 år korrigeret for
engangseffekter.
Bestemmes af
modellen.
Historisk
prisstigningstakt
fratrukket
engangseffekter.
Incentive | 10
TRU, Alm.del - 2020-21 - Endeligt svar på spørgsmål 454: Spm. om ministeren, på baggrund af besvarelsen af TRU alm. del – spørgsmål 342, vil redegøre for, om hemmeligstemplingen af Ernst & Youngs rapport om finansiering og organisering af Lynetteholm er i strid med miljøoplysningsloven, til transportministeren
3 Komponenter i boligmodellen
I dette afsnit beskriver vi de enkelte komponenter i boligmodellen.
Det skal bemærkes, at det er forskelligt, hvad der er input og output i scenarierne. Da
boligudbuddet er et output fra modellen i følsomhedsscenarie 1 og 2, beskriver vi alene
forudsætningerne for scenariet
”Basis
boligprisudvikling” under beskrivelsen af forudsætninger
for boligudbuddet. Da boligefterspørgslen er input i alle tre scenarier, gælder beskrivelsen alle
tre scenarier. Boligprisen er input i følsomhedsscenarie 1 og 2. Derfor omhandler beskrivelsen af
boligpriserne (primært) følsomhedsscenarie 1 og 2.
3.1 Boligudbud
I vores hovedscenarie, Basis boligprisudvikling, er udbygningen af boligudbuddet i København
bestemt ud fra Københavns Kommunes beregningstekniske forudsætninger vedr.
udbygningstakten for boliger. I følsomhedsscenarie 1 og 2 har vi for en given boligefterspørgsel
beregnet, hvilket boligudbud og dermed udbygningstakt der skal til for at realisere en fastlagt
udvikling i boligpriserne.
I dette afsnit beskriver vi derfor de forudsætninger for vores hovedscenarie, som vi har benyttet
for at beregne den fastlagte udbygningstakt i perioden 2019-2075.
I Københavns Kommunes tekniske fremskrivninger øges boligudbuddet på to måder:
·
·
Der udvikles nye områder, som fx Refshaleøen, Lynetteholmen, Ørestad, Nordhavn,
Godsbaneterrænnet etc.
Der opføres nye boliger i den eksisterede by, både som omdannelse af mindre arealer og
ved konvertering af eksisterende ejendommen fra erhverv til bolig.
Den tekniske fremskrivning fremgår af figur 3. Da Københavns Kommunes fremskrivninger for
udbygning
”kun”
går til 2065, har vi forudsat, at udviklingstakten for 2065-2075 er på niveau med
den gennemsnitlige udbygningstakt for 2040-2065. Derudover har vi lavet en supplerende
antagelse i forhold til Københavns Kommunes prognose, da Københavns Kommune i enkelte år
ikke har specificeret, præcis hvordan arealudviklingen finder sted.
København Kommunes fremskrivning af fortætningen af den eksisterende boligmasse er baseret
på etablering af nye boliger i den eksisterende by (uden for byudviklingsområderne)
imødekommer ca. 25% af arealbehovet frem til 2030 og efterfølgende ca. 20% af arealbehovet
frem til 2070.
Incentive | 11
TRU, Alm.del - 2020-21 - Endeligt svar på spørgsmål 454: Spm. om ministeren, på baggrund af besvarelsen af TRU alm. del – spørgsmål 342, vil redegøre for, om hemmeligstemplingen af Ernst & Youngs rapport om finansiering og organisering af Lynetteholm er i strid med miljøoplysningsloven, til transportministeren
2394232_0207.png
Figur 3
Boligudbygning i Københavns Kommune 2019-2075, m
2
pr. år
500.000
Årlig udvikling, m2
400.000
300.000
200.000
100.000
0
Arealer inden for analysens område
Andre projekter i planperioden
Kilde: Incentive på baggrund af input fra Københavns Kommune. Prognosen blevet forlænget til 2075 ud fra en forudsætning
om, at udbygningstakten i 2066-2075 er på niveau med den gennemsnitlige udviklingstakt for 2040-2065.
I tabel 2 har vi sammenlignet udbygningstakten i Københavns Kommunes fremskrivninger med den
historiske udbygningstakt. På grund af databrud er den historiske udbygningstakt opgjort for
perioderne 1987-2006 og 2012-2019.
Københavns Kommunes fremskrivninger for 2020-2030 svarer omtrent til den udbygningstakt, man
har realiseret fra 2012 til 2019. På længere sigt svarer prognosen for udbygningen til et niveau,
der ligger over det niveau, man oplevede fra 1987 til 2006, men væsentligt lavere niveau end fra
2012 til 2019.
2020
2022
2024
2026
2028
2030
2032
2034
2036
2038
2040
2042
2044
2046
2048
2050
2052
2054
2056
2058
2060
2062
2064
2066
2068
2070
2072
2074
Arealer der fortættes
Arealer der ikke er defineret
Incentive | 12
TRU, Alm.del - 2020-21 - Endeligt svar på spørgsmål 454: Spm. om ministeren, på baggrund af besvarelsen af TRU alm. del – spørgsmål 342, vil redegøre for, om hemmeligstemplingen af Ernst & Youngs rapport om finansiering og organisering af Lynetteholm er i strid med miljøoplysningsloven, til transportministeren
2394232_0208.png
Tabel 2
Sammenligning af fremskrivninger og historisk udbygningstakt (gennemsnitligt antal m
2
pr. år)
Periode
Københavns Kommunes
fremskrivning
2020-2030
2031-2050
2051-2065
2066-2075
Historisk udbygningstakt
1987-2006
2012-2019
Udbygningstakt (m
2
)
350.000
205.000
150.000
173.000
a
82.000
b
383.000
c
Kilder/noter: Afrundet.
a
Egen beregningsforudsætning, da Københavns Kommunes fremskrivninger
”kun”
dækker til 2065.
Forudsat lig gennemsnit for 2040-2065.
b
Baseret på Danmarks Statistik BYGB3.
c
Baseret på Danmarks Statistik BYGB34.
3.2 Boligefterspørgsel
I alle tre scenarier opererer vi med samme udvikling i boligefterspørgslen over tid, når man
vurderer det ud fra et uændret prisniveau.
Udviklingen i boligefterspørgslen drives af to parametre. For det første medfører et
stigende
indbyggertal
over tid som følge af tilflytning og den demografiske udvikling, at behovet for
boliger stiger over tid. For det andet medfører
stigende indkomster
for nuværende og
kommende københavnere, at efterspørgslen efter boligkvadratmeter stiger over tid.
Derudover indeholder modellen en
feedbackmekanisme fra boligpriser til boligefterspørgsel,
der sikrer, at boligudbuddet og -efterspørgslen er i ligevægt, ved at boligefterspørgslen
reduceres, når priserne stiger.
Nedenfor beskriver vi de tre komponenter, der bestemmer efterspørgslen i modellen.
Stigende indbyggertal
Boligefterspørgslen i København stiger over tid som følge af vækst i befolkningstallet og
ændringer i familiesammensætningen i Københavns Kommune. Det samlede antal efterspurgte
boliger
og dermed det samlede antal efterspurgte boligkvadratmeter
stiger primært som
følge af fødselsoverskud og nettoindvandring, men bliver også påvirket af en række andre
faktorer.
Københavns Kommune har lavet en fremskrivning for etagemeterbehovet, som følger
befolkningstallet (Københavns Kommune 2019a). Prognosen er lavet på baggrund af de
forventede demografiske ændringer i Danmark og historiske flyttemønstre til og fra Københavns
Kommune. I vores vurdering af befolkningseffekten tager vi udgangspunkt i denne prognose.
Incentive | 13
TRU, Alm.del - 2020-21 - Endeligt svar på spørgsmål 454: Spm. om ministeren, på baggrund af besvarelsen af TRU alm. del – spørgsmål 342, vil redegøre for, om hemmeligstemplingen af Ernst & Youngs rapport om finansiering og organisering af Lynetteholm er i strid med miljøoplysningsloven, til transportministeren
2394232_0209.png
Stigende indkomster
Boligefterspørgslen i København stiger også, som følge af at kommunens indbyggere bliver rigere.
Historisk set er den danske befolkning blevet rigere år for år. Modellen er baseret på en
forudsætning om, at denne udvikling fortsætter i fremtiden.
Når befolkningen bliver rigere, vil efterspørgslen efter de fleste produkter stige. Vi forventer
også, at efterspørgslen efter boligareal vil stige fremadrettet.
2
Konkret forudsætter vi, at københavnerne i gennemsnit bliver 0,9% rigere pr. indbygger år for år.
Det svarer til Finansministeriets skøn for den fremtidige vækst i realt BNP pr. indbygger
(Finansministeriet 2019a). Historisk er realt BNP pr. indbygger og den reale disponible indkomst
pr. indbygger steget med samme takt, når man ser på udviklingen over en længere periode. Vi
indregner ikke effekten af kapitalgevinster på boliger i indkomsten.
I modellen forudsætter vi desuden en indkomstelasticitet på 1. Det vil sige, at når befolkningens
indkomst stiger med 0,9%, så stiger befolkningens efterspørgsel efter bolig også med 0,9%.
Denne antagelse bliver også brugt i Danmarks Statistiks og Nationalbankens makroøkonomiske
modeller, ADAM og MONA, jf. tabel 3.
Tabel 3
Sammenligning af modelparametre
Model/studie
Incentives model
ADAM (Danmarks Statistik)
MONA (Nationalbanken)
Kilder: (Danmarks Statistik, 2012 s. 61. Simon Juul Hviid et al., 2016 s. 56).
Indkomstelasticitet
1,0
1,0
1,0
I analysen tager vi udgangspunkt i den eksisterende boligmasse i København. Ud fra data fra
Danmarks Statistik har vi beregnet det samlede boligareal i Københavns Kommune til 26,6 mio.
m
2
i 2019. Det er dette areal, som indgår i modellen.
For uændrede priser medfører indkomstfremgangen i 2019 således, at boligefterspørgslen stiger
med 26,6 mio. m
2
* 0,9%*1 = 239.400 m
2
. På grund af renters-rente-effekten stiger
merefterspørgslen fra stigende indkomster år for år. Når københavnerne om 20 år er blevet ca.
20% rigere, øges boligefterspørgslen ved uændrede priser og uændret befolkningstal med ca.
286.400 m
2
ved en indkomstfremgang på 0,9%.
2
Historisk set har øget rigdom ikke ført til, at københavnerne har fået tilsvarende flere kvadratmeter til rådighed. Til
gengæld har der været store prisstigninger på ejerboliger i København. Vi tolker dette som et udtryk for, at
efterspørgslen efter større, og flere boliger har været til stede, men at udbuddet ikke har kunnet følge med.
Stigningen i efterspørgslen har derfor i stedet givet sig udslag i prisstigninger.
Incentive | 14
TRU, Alm.del - 2020-21 - Endeligt svar på spørgsmål 454: Spm. om ministeren, på baggrund af besvarelsen af TRU alm. del – spørgsmål 342, vil redegøre for, om hemmeligstemplingen af Ernst & Youngs rapport om finansiering og organisering af Lynetteholm er i strid med miljøoplysningsloven, til transportministeren
For at give en idé om betydningen af fremskrivningen af efterspørgslen for de eksisterende
københavnere har vi opgjort, at det nuværende boligforbrug på 40,3 m
2
pr. indbygger
3
ville stige
til 48,6 m
2
pr. indbygger i 2040, hvis indkomsterne stiger med 0,9% om året, og priserne er
konstante.
Ud over at vi indregner, at københavnerne vil øge deres boligefterspørgsel, i takt med at de
bliver rigere, indregner vi også, at tilflyttere ved uændrede boligpriser vil øge
boligefterspørgslen, i takt med at de bliver rigere. Vi gør dette ved at opjustere Københavns
Kommunes prognose for flyttemønstre, der er bestemt ud fra de seneste fire års til- og
fraflytninger til/fra Københavns Kommune og tager udgangspunkt i en uændret størrelse
lejligheder. Korrektionen følger de principper, vi har beskrevet ovenfor.
I de sidste fire år har der været relativt kraftige prisstigninger på det københavnske boligmarked.
Det betyder, at befolkningseffekten ville have været større, hvis der ikke havde været nogen
prisstigninger. Vi indregner imidlertid ikke nogen ekstra effekt fra de prisstigninger, som er
indlejret i Københavns Kommunes befolkningsprognose. Det skyldes dels, at det ikke er muligt at
beregne denne effektstørrelse ud fra de data, vi har til rådighed, dels at vi vurderer, at effekten
fra de indlejrede prisstigninger er relativt begrænset i fremskrivningen.
4
Feedbackmekanisme fra boligpriser til boligefterspørgsel
En afgørende parameter i efterspørgslen er den såkaldte boligpriselasticitet.
Boligpriselasticiteten udtrykker, hvor meget efterspørgslen ændrer sig, når priserne stiger.
Vi anvender en boligpriselasticitet på -0,3. Det betyder, at efterspørgslen efter boligareal falder
med 0,3%, hver gang boligpriserne stiger med 1%.
I tabel 4 har vi sammenlignet den anvendte boligpriselasticitet i vores model med de tilsvarende
forudsætninger i Danmarks Statistiks model ADAM, Nationalbankens model MONA og resultaterne
af et studie, der er foretaget af Nationalbanken (Simon Juul Hviid et al., 2016).
3
4
Kilde: Danmarks Statistik BOL106.
Københavns Kommunes prognose giver den årlige
ændring
i antallet af efterspurgte kvadratmetre som følge af
befolkningseffekten. Under prognosen ligger bl.a. estimater af til- og fraflytningssandsynligheder samt en prognose
over den demografiske udvikling. En prisstigning vil påvirke
niveauet
af efterspurgte kvadratmetre. Hvis man
”fjerner”
den indlejrede prisstigning fra Københavns Kommunes prognose, vil det give en niveauændring af de årlige
befolkningseffekter. Men vi vurderer ikke, at denne effekt ville blive større og større over tid på samme måde som
indkomsteffekten. Det skyldes, at flyttesandsynligheden hvert år tager udgangspunkt i sidste års prisniveau. Hvis
flyttesandsynlighederne steg mere og mere år efter år, kunne de på et tidspunkt blive over 100%.
Incentive | 15
TRU, Alm.del - 2020-21 - Endeligt svar på spørgsmål 454: Spm. om ministeren, på baggrund af besvarelsen af TRU alm. del – spørgsmål 342, vil redegøre for, om hemmeligstemplingen af Ernst & Youngs rapport om finansiering og organisering af Lynetteholm er i strid med miljøoplysningsloven, til transportministeren
2394232_0211.png
Tabel 4
Sammenligning af modelparametre
Model/studie
Incentives model
ADAM (Danmarks Statistik)
MONA (Nationalbanken)
Simon Juul Hviid et al., 2016
Boligpriselasticitet
-0,3
-0,3
-0,2
-0,03
Note: Det fremgår ikke klart i alle kilder, om der forudsættes linær efterspørgselskurve eller konstante elasticiteter. Her
forudsættes lineær efterspørgselskurve.
Incentives model bruger samme boligpriselasticitet som ADAM og arver derfor de samme
egenskaber på efterspørgselssiden. MONA har en lavere boligpriselasticitet (0,2).
En udfordring er, at ADAM og MONA’s boligprisrelationer dækker hele Danmark. De er derfor ikke
nødvendigvis repræsentative for prisdannelsen på det københavnske boligmarked. Mønstret for
til- og fraflytning mellem København og andre kommuner kan påvirke elasticiteten. København
har desuden en relativt lav andel af ejerboliger, som må tage en større del af pristilpasningen,
når udbud og efterspørgsel ændrer sig (Kraka og Finanskrisekommissionen 2014). Det kunne tale
for at anvende en højere boligpriselasticitet, end der benyttes i ADAM og MONA. Derfor har vi
valgt det højeste af parameterværdierne fra ADAM og MONA.
Nationalbanken har foretaget en analyse af det københavnske boligmarked og finder en markant
lavere priselasticitet på 0,03 (Simon Juul Hviid, Tina Saaby Hvolbøl, og Erik Haller Pedersen
2016).
5
Forfatterne argumenterer imidlertid for, at analysen giver et underkantsskøn for
elasticiteten, bl.a. fordi modellen er estimeret på data fra en periode, hvor husholdningerne har
allokeret en stadig større del af deres indkomst til forbrug. Studier fra andre lande har fundet
priselasticiteter mellem 0,1 og 2,0 (Nathalie Girouard m.fl. 2006).
Vi tager som nævnt udgangspunkt i den eksisterende boligmasse i København, som vi har opgjort
til 26,6 mio. m
2
i 2019. Hvis prisen i starten af 2019 havde været 1% højere, ville
boligefterspørgslen således have været ca. 26,6*1%*0,3=79.800 m
2
lavere.
I vores hovedscenarie afgør priselasticiteten, hvor store årlige prisstigninger der skal til for at få
udbud og efterspørgsel til at mødes (se dog nedenfor om begrænsninger på stigningen i
boligpriserne).
I følsomhedsscenarie 1 og 2 afgør priselasticiteten, hvor meget efterspørgslen ændrer sig ved de
forudsatte prisstigningstakter. Det afgør derefter, hvor meget udbuddet skal ændre sig for at få
udbud og efterspørgsel til at mødes.
5
Forfatterne angiver, at prisen ændrer sig med 27,4%, når udbuddet af boliger ændrer sig med 1%. Det svarer til, at
efterspørgslen efter boliger ændrer sig med 1/27,4*1%=0,03%, når priserne ændrer sig 1%.
Incentive | 16
TRU, Alm.del - 2020-21 - Endeligt svar på spørgsmål 454: Spm. om ministeren, på baggrund af besvarelsen af TRU alm. del – spørgsmål 342, vil redegøre for, om hemmeligstemplingen af Ernst & Youngs rapport om finansiering og organisering af Lynetteholm er i strid med miljøoplysningsloven, til transportministeren
2394232_0212.png
Hvis man havde forudsat en lavere priselasticitet, ville man have fået større prisstigninger i vores
hovedscenarie, da der skal større prisændringer til for at ændre boligefterspørgslen. Af samme
årsag ville man have fået større stigninger i boligudbuddet i følsomhedsscenarie 1 og 2.
Fakta
Boligpriser og lånebegrænsninger
Kombinationen af en boligpriselasticitet på -0,3, en indkomstfremgang på 0,9% og en
indkomstelasticitet på 1 betyder alt andet lige, at modellen forudser, at priserne i Københavns
Kommune vil stige med 3% hvert år, hvis både befolkningstallet og udbuddet af boliger er uændret.
Det skyldes, at en stigning i boligpriserne på 3% netop reducerer efterspørgslen med 3%*0,3=0,9%,
hvilket opvejer effekten af indkomststigningen.
Nogle husholdninger er underlagt budgetbegrænsninger, dvs. at der er grænser for, hvor stor en del af
deres indkomst de kan bruge på bolig. Danmarks Nationalbank
(2020)
dokumenterer, at lånereglerne
allerede i dag påvirker boligpriserne. I modellen har vi pragmatisk antaget, at halvdelen af
husholdningerne er underlagt lånebegrænsninger (se uddybning i afsnit 3.3).
Opsummering: Udvikling i boligefterspørgslen, 2019-2075
Den årlige stigning i efterspørgslen efter boligkvadratmeter ved uændrede boligpriser er
illustreret i figur 4. I modellen bliver den faktiske efterspørgsel påvirket af stigninger i
boligpriserne over tid og vil derfor være mindre end den underliggende efterspørgsel, som er
illustreret i figuren.
Incentive | 17
TRU, Alm.del - 2020-21 - Endeligt svar på spørgsmål 454: Spm. om ministeren, på baggrund af besvarelsen af TRU alm. del – spørgsmål 342, vil redegøre for, om hemmeligstemplingen af Ernst & Youngs rapport om finansiering og organisering af Lynetteholm er i strid med miljøoplysningsloven, til transportministeren
2394232_0213.png
Figur 4
Årlig tilvækst i efterspørgslen efter boligkvadratmeter ved uændrede boligpriser, m
2
pr. år
800.000
700.000
600.000
500.000
m
2
400.000
300.000
200.000
100.000
0
Stigende indbyggertal
Stigende indkomster, nye indbyggere
Stigende indkomster, nuværende indbyggere
Kilde: Incentive på baggrund af Københavns Kommune (2019a) samt egne beregninger.
3.3 Boligpriser
I dette afsnit beskriver vi den historiske udvikling i boligpriserne i København.
Opgørelsen bruges direkte i følsomhedsscenarie 2, hvor vi vurderer et scenarie, hvor
boligpriserne udvikler sig i samme takt, som man har set historisk, korrigeret for
engangseffekter.
Derudover tjener afsnittet som sammenligningsgrundlag for de fremtidsscenarier, som vi her
etablerer.
Endelig beskriver vi, hvordan og hvorfor vi opererer med et loft for, hvor meget boligpriserne kan
stige vores hovedscenarie, hvor boligprisudviklingen fastsættes af modellen.
Historisk udvikling
Som det fremgår af figur 5, der viser udviklingen i boligpriserne i København baseret på tre
forskellige indeks
6
, er boligpriserne steget markant de seneste år med en markant nedtur efter
Boligøkonomisk Videncenters indeks bruger en metode, der tager udgangspunkt i gentagne salg af de samme
boliger. Denne metode tager højde for forskelle i kvaliteten af de boliger, der bliver solgt på forskellige tidspunkter.
Indekset er desuden lavet for ejerlejligheder i Københavns og Frederiksberg Kommune. Danmarks Statistik bruger den
såkaldte SPAR-metode. Metoden tager udgangspunkt i differencen mellem boligers salgspriser og boligens offentlige
ejendomsvurdering. Indekset er desuden for Landsdelen Byen København, hvilket inkluderer kommunerne
København, Frederiksberg, Dragør og Tårnby. Finans Danmarks indeks er lavet ud fra kvadratmeterprisen, der er den
6
Incentive | 18
TRU, Alm.del - 2020-21 - Endeligt svar på spørgsmål 454: Spm. om ministeren, på baggrund af besvarelsen af TRU alm. del – spørgsmål 342, vil redegøre for, om hemmeligstemplingen af Ernst & Youngs rapport om finansiering og organisering af Lynetteholm er i strid med miljøoplysningsloven, til transportministeren
2394232_0214.png
finanskrisen. Når man ser bort fra den store stigning i boligpriserne i årene op til finanskrisen og
det store efterfølgende fald, er der en forholdsvis jævn stigning i priserne år for år.
Figur 5
Indeks i real prisudvikling for ejerlejligheder, 2006=100
Kilde: Egne beregninger på BVC boligprisindeks, DST prisindeks for ejendomssalg og FD Boligmarkedsstatistikken.
Note: DST er Danmarks Statistik. BVC er Boligøkonomisk Videncenter. FD er Finans Danmark. Vi har deflateret de nominelle
indeks med Danmarks Statistiks forbrugerprisindeks (PRIS111).
Som det fremgår, er udviklingen i boligpriserne ret ensartet for de tre indeks. I det følgende
tager vi udgangspunkt i Finans Danmarks indeks, da det er det eneste indeks, som opgør
udviklingen i boligpriserne for Københavns Kommune for sig.
Tabel 5 viser den historiske realvækst for boligpriserne i København. Alt efter tidshorisonten har
væksten ligget mellem 3,6% og 9,9% pr. år. Da vi her fokuserer på udviklingen over mange år og
ønsker at eliminere effekterne af kortsigtede udsving, anvender vi i følsomhedsscenarie 2 den
historiske prisstigningstakt for de seneste 25 år på 6,5% (før korrektion af engangseffekter).
Det skal bemærkes, at startåret for perioden var præget af lavkonjunktur. Vi vurderer dog ikke,
at det har stor betydning for analysens resultater, da den historiske stigningstakt har været den
samme for perioden 1998-2018.
gennemsnitlige salgspris pr. boligkvadratmeter, og der ses på Landsdelen Byen København. For en nærmere
gennemgang af boligprisindeks, se Holmgaard (2016).
Incentive | 19
TRU, Alm.del - 2020-21 - Endeligt svar på spørgsmål 454: Spm. om ministeren, på baggrund af besvarelsen af TRU alm. del – spørgsmål 342, vil redegøre for, om hemmeligstemplingen af Ernst & Youngs rapport om finansiering og organisering af Lynetteholm er i strid med miljøoplysningsloven, til transportministeren
2394232_0215.png
Tabel 5
Historisk prisudvikling for ejerlejligheder i københavnsområdet, realvækst i % pr. år
Tidshorisont
Seneste 5 år (2013-2018)
Seneste 10 år (2008-2018)
Seneste 15 år (2003-2018)
Seneste 20 år (1998-2018)
Seneste 25 år (1993-2018)
Kilde: Egne beregninger på Finans Danmarks Boligmarkedsstatistikken og Statistikbanken, PRIS111.
Ejerlejligheder
9,9 %
3,6 %
4,1 %
6,5 %
6,5 %
Korrektioner for engangseffekter og input til følsomhedsscenarie 2
Boligpriserne har fra 1994 til 2019 været påvirket af en række engangseffekter, som man ikke
kan forvente bliver gentaget i fremtiden.
I følsomhedsscenarie 2, der afspejler en fortsættelse af de historiske boligpriser, korrigerer vi
derfor for sådanne enkeltbegivenheder. Vurderingerne af effekterne af enkeltbegivenhederne er
selvsagt behæftet med stor usikkerhed.
I tabel 6 har vi opsummeret de korrektioner for engangseffekter, som vi har foretaget.
Som det fremgår, betyder korrektionerne, at vi i følsomhedsscenarie 2 regner med en real
stigning i boligpriserne på 3,6% pr. år.
Tabel 6
Korrektion for engangseffekter
Enkeltbegivenhed
Effekt af ophævelse
af mixlån i 1993
Nye låneformer og
fastfrossen
ejendomsværdiskat
Bemærkning
Økonomi- og Erhvervsministeriet (2008) estimerer, at
ophævelsen af mixlånet i 1993 øgede boligpriserne med
14% på lang sigt.
Nationalbanken estimerer i Erhvervs- og Vækstministeriet
(2013), at boligpriserne uden introduktionen af nye
låneformer og afdragsfrihed i 2000-2012 ville have været
25% lavere, se figur 6.
Vi vurderer, at den omfattende byfornyelse af gamle
boliger i København har bidraget til stigende boligpriser.
Vi har ikke identificeret studier med valide estimater på
effekterne. Af forsigtighedshensyn har vi indregnet en
effekt på 1%-point pr. år.
Effekt i beregninger
14% for hele perioden
25% for hele perioden
Byfornyelse
1%-point pr. år
Historiske boligprisstigninger de seneste 25 år (uden korrektioner)
Historiske boligprisstigninger de seneste 25 år (med korrektioner)
6,5%
3,6%
Kilde: Økonomi- og Erhvervsministeriet (2008): Afdragsfrie lån og prisstigninger på boligmarkedet,
Erhvervs- og Vækstministeriet (2013, side 131): Den finansielle krise i Danmark
Årsager, konsekvenser og læring
(Rangvid-udvalget).
Incentive | 20
TRU, Alm.del - 2020-21 - Endeligt svar på spørgsmål 454: Spm. om ministeren, på baggrund af besvarelsen af TRU alm. del – spørgsmål 342, vil redegøre for, om hemmeligstemplingen af Ernst & Youngs rapport om finansiering og organisering af Lynetteholm er i strid med miljøoplysningsloven, til transportministeren
2394232_0216.png
Figur 6
Effekt af nye låneformer og fastfrossen ejendomsværdiskat
Kilde: Erhvervs- og Vækstministeriet (2013, side 131): Den finansielle krise i Danmark
Årsager, konsekvenser og læring
(Rangvidudvalget).
Loft på boligprisstigninger i vores hovedscenarie
I vores hovedscenarie
”Basis
boligprisudvikling” bestemmes prisudviklingen i modellen ud fra
efterspørgslen og stigningen i udbuddet fra Københavns Kommunes tekniske fremskrivninger af
for udbygning af boligmassen i København.
Som det fremgik af afsnit 3.3, forudsiger modellen, at boligpriserne stiger med mere end
indkomsten, hvis både befolkningstallet og boligudbuddet er uændret. Det betyder, at
husholdningerne løbende øger den andel af indkomsten, der bruges på bolig.
De husholdninger, der er underlagt lånebegrænsninger, kan ikke øge deres betaling for boliger
med mere end stigningstakten for indkomsten (medmindre befolkningen udskiftes til personer
med højere indkomster, som man har set historisk). I modellen forudsætter vi pragmatisk, at
halvdelen af befolkningen er underlagt lånebegrænsninger.
Incentive | 21
TRU, Alm.del - 2020-21 - Endeligt svar på spørgsmål 454: Spm. om ministeren, på baggrund af besvarelsen af TRU alm. del – spørgsmål 342, vil redegøre for, om hemmeligstemplingen af Ernst & Youngs rapport om finansiering og organisering af Lynetteholm er i strid med miljøoplysningsloven, til transportministeren
3.4 Korrektion for strukturelt niveau
De næstsidste element i modellen er, at vi korrigerer for, at boligpriserne i København
sandsynligvis er påvirket af faktorer, der betyder, at priserne i dag ligger over det langsigtede
strukturelle niveau. Det skyldes effekten af indfasningen af boligskatteaftalen fra 2017, og at vi i
dag er i en højkonjunktur.
I analysen korrigerer vi for disse to faktorer.
Regeringen vurderede i 2016, at deres udspil til en boligskatteaftale ville medføre en reduktion i
priserne på ejerlejligheder i hovedstaden med 5-10%.
7
Den vedtagne skatteaftale minder meget
om regeringens udspil. Nationalbanken (2019) vurderer, at skatteaftalen vil reducere priserne
med 5,6% på landsplan, men mere i de store byer. I vores analyse forudsætter vi, at
skatteaftalen reducerer priserne på københavnske ejerlejligheder med 7%.
Dertil kommer, at Finansministeriet (2019b) vurderer, at boligpriserne i dag ligger 2% over det
konjunkturneutrale niveau.
Det giver en samlet effekt på boligpriserne på -9%. Vi indfaser dette over 10 år fra 2019 til 2029 i
modellen.
Konkret gør vi dette ved at nedjustere efterspørgslen med en mængde, der alt andet lige vil give
et fald i priserne på 9% over perioden. Vi mener, at dette er den rigtige måde at indlægge
tilpasningen på, da det netop er gennem efterspørgselsreduktioner, at boligskatteaftalen og en
tilpasning til en neutral konjunktursituation vil reducere boligpriserne. I følsomhedsscenarie 1 og
2, hvor vi har antaget konstante prisstigningstakter frem mod 2075, indlægger vi også en
reduktion i prisstigningstakten direkte. Det øger den realiserede efterspørgsel. Det betyder, at
den samlede efterspørgsel (og dermed det nødvendige udbud) ikke ændrer sig i
følsomhedsscenarie 1 og 2 som følge af tilpasningen til det strukturelle prisniveau.
3.5 Effekt af rentenormalisering
I variant a af vores hovedscenarie
”Basis
boligprisudvikling” forudsætter vi, at renter
normaliseres i henhold til Finansministeriets gældende prognose, der tilsiger, at realrenten på et
30-årigt realkreditlån stiger til 3,6% i 2040, jf. figur 7.
7
Se fx https://www.dr.dk/nyheder/penge/skatteministeren-forventer-bolig-prisfald-i-koebenhavn-paa-op-til-10-
procent
Incentive | 22
TRU, Alm.del - 2020-21 - Endeligt svar på spørgsmål 454: Spm. om ministeren, på baggrund af besvarelsen af TRU alm. del – spørgsmål 342, vil redegøre for, om hemmeligstemplingen af Ernst & Youngs rapport om finansiering og organisering af Lynetteholm er i strid med miljøoplysningsloven, til transportministeren
2394232_0218.png
Figur 7
Rentenormalisering i henhold til Finansministeriets gældende prognose (realrente på 30-årigt
realkreditlån)
4,0%
3,5%
3,0%
2,5%
2,0%
1,5%
1,0%
0,5%
0,0%
2019
2021
2023
2025
2027
2029
2031
2033
2035
2037
2039
2041
2043
2045
2047
2049
2051
2053
2055
2057
2059
2061
2063
2065
2067
Kilde: Egne beregninger på basis af oplysninger fra Finansministeriet vedr. gældende forventninger i marts 2020 til inflation og
nominel rente på 30-årigt realkreditlån.
I prognosen er effekten på boligpriserne indregnet ud fra en opgørelse af, hvad en stigning i
renten på 1% betyder for ydelsen på et 30-årigt realkreditlån. De viser, at en stigning i renten på
1% øger ydelsen med omtrent 7%. For samme
”boligbudget”
kan husholdningerne således betale
omtrent 7% mindre for samme bolig pr. %-point, som renten stiger.
Incentive | 23
2069
TRU, Alm.del - 2020-21 - Endeligt svar på spørgsmål 454: Spm. om ministeren, på baggrund af besvarelsen af TRU alm. del – spørgsmål 342, vil redegøre for, om hemmeligstemplingen af Ernst & Youngs rapport om finansiering og organisering af Lynetteholm er i strid med miljøoplysningsloven, til transportministeren
4 Resultater for udvikling i boligpriser og
udbygningstakt
I dette afsnit beskriver vi prognoserne for boligpriserne og udbygningstakten for alle scenarierne.
Dernæst sammenligner vi resultaterne med andre studier for København og boligmarkedet i andre
lande.
4.1 Prognoser for boligpriser
Vi har opsummeret prognoserne for udviklingen i boligpriserne i de tre scenarier i tabel 7.
I følsomhedsscenarie 1, hvor boligpriserne følger udviklingen i byggeomkostningerne, stiger
priserne blot med 0,3% om året i gennemsnit frem til 2075. Årsagen til, at priserne i dette
scenarie ikke stiger med 0,5%, som er den historiske stigningstakt i byggeomkostningerne, er, at
vi korrigerer for en gradvis tilpasning af det nuværende prisniveau til det strukturelle niveau i
perioden 2019-2031.
I vores hovedscenarie (Basis boligprisudvikling), hvor udbygningen af boligmassen sker i takt med
Københavns Kommunes beregningstekniske fremskrivninger, afhænger udviklingen af
renteudviklingen. Med rentenormalisering stiger boligpriserne med 1,0%-1,3% om året til 2040.
Uden rentenormalisering stiger priserne med 1,7%-2,2% om året. Fra 2040 er prisstigningerne ens
i de to scenarier, da renten fra 2040 også er konstant i rentenormaliseringsscenariet, jf. figur 7.
I følsomhedsscenarie 2, hvor priserne følger de historiske stigningstakter korrigeret for
engangseffekter, stiger priserne i gennemsnit med 3,4% om året.
Det skal bemærkes, at prognosen for alle scenarierne for 2019-2031 er påvirket af den gradvise
tilpasning til det strukturelle niveau, og at prognosen for vores hovedscenarie er påvirket af
antagelsen om budget- og lånebegrænsninger.
Incentive | 24
TRU, Alm.del - 2020-21 - Endeligt svar på spørgsmål 454: Spm. om ministeren, på baggrund af besvarelsen af TRU alm. del – spørgsmål 342, vil redegøre for, om hemmeligstemplingen af Ernst & Youngs rapport om finansiering og organisering af Lynetteholm er i strid med miljøoplysningsloven, til transportministeren
2394232_0220.png
Tabel 7
Opsummering af udvikling i boligpriser for de tre scenarier for 2019-2075
Gennemsnitlig årlig vækst
2020-2030
Følsomhedsscenarie 1. Lav
boligprisudvikling
Basis boligprisudvikling med
rentenormalisering (a)
Basis boligprisudvikling med
uændrede renter (b)
Følsomhedsscenarie 2. Høj
boligprisudvikling
-
1,0%
1,7%
-
2031-2040
-
1,3%
2,2%
-
2041-2075
-
2,6%
2,6%
-
Hele perioden
0,3%
2,1%
2,4%
3,4%
4.2 Prognoser for udbygningstakt
I tabel 8 og figur 8 har vi opsummeret prognoserne for udbygningstakten.
I følsomhedsscenarie 1 udbygges boligmassen markant for at sikre, at priserne kun stiger med
byggeomkostningerne. Den beregnede udbygningstakt ligger markant over det historiske niveau,
og det kan diskuteres, om dette scenarie i praksis kan realiseres. I scenariet beregner vi, at
boligmassen ifølge modellen skal udbygges med 571.000 m
2
om året i gennemsnit. Til
sammenligning er boligmassen i 2012-2019 i gennemsnit udvidet med 382.000 m
2
om året.
I det videre arbejde oversætter vi modelresultaterne for udbygningstakten til et lavere niveau.
Det præcise niveau fastsætter vi, når vi har viden om, i hvilket omfang jordopfyld m.m. er
begrænsende faktorer for udbygningshastigheden for Lynetteholmen. Derfor er disse resultater
angivet med
””.
Resultatet flugter i øvrigt meget godt med de ekspertvurderinger, vi har fået i
forbindelse med udarbejdelsen af scenarierne. De går på, at det bliver meget vanskeligt/umuligt
at holde prisstigningstakten på 0,3% i området.
I vores hovedscenarie
”Basis
boligprisudvikling” udbygges boligmassen med 218.000 m
2
om året i
gennemsnit, hvilket er lavere end det historiske gennemsnit på 382.000 m
2
om året for 2012-
2019, men højere end gennemsnittet for 1987-2006 på 82.000 m
2
om året. Samlet udbygges
boligmassen i København med 47% frem til 2075.
I følsomhedsscenarie 2 udbygges boligmassen lidt langsommere end i vores hovedscenarie nemlig
med 188.000 m
2
om året i gennemsnit. Samlet udbygges boligmassen i København således med
40% frem til 2075.
Incentive | 25
TRU, Alm.del - 2020-21 - Endeligt svar på spørgsmål 454: Spm. om ministeren, på baggrund af besvarelsen af TRU alm. del – spørgsmål 342, vil redegøre for, om hemmeligstemplingen af Ernst & Youngs rapport om finansiering og organisering af Lynetteholm er i strid med miljøoplysningsloven, til transportministeren
2394232_0221.png
Tabel 8
Opsummering af udbygningstakt for de tre scenarier for 2019-2075
Gennemsnitlig årlig udbygning (m
2
pr. år)
2019-2031
Følsomhedsscenarie 1.
Lav boligprisudvikling
Basis
boligprisudvikling med
rentenormalisering (a
og b)
Følsomhedsscenarie 2.
Høj boligprisudvikling
”591.000”
2032-2050
”538.000”
2051-2075
”586.000”
Hele
perioden
”571.000”
Samlet vækst
Hele
perioden
(mio. m
2
)
32,6
I%
122%
352.000
203.000
159.000
218.000
12,4
47%
306.000
183.000
130.000
188.000
10,7
40%
Note: Fra primo 2019 til ultimo 2075. Afrundet til nærmeste tusinde.
Incentive | 26
TRU, Alm.del - 2020-21 - Endeligt svar på spørgsmål 454: Spm. om ministeren, på baggrund af besvarelsen af TRU alm. del – spørgsmål 342, vil redegøre for, om hemmeligstemplingen af Ernst & Youngs rapport om finansiering og organisering af Lynetteholm er i strid med miljøoplysningsloven, til transportministeren
2394232_0222.png
Figur 8
Årlig udbygning af boligmassen, m
2
pr. år (gennemsnit for udvalgte perioder)
700.000
600.000
Følsomhedsscenarie 1.
Lav boligprisudvikling
500.000
400.000
300.000
Basis boligprisudvikling
med rentenormalisering
(a og b)
Følsomhedsscenarie 2.
Høj boligprisudvikling
200.000
100.000
0
Historisk gennemsnit
(2012-2019)
Historisk gennemsnit
(1986-2006)
Kilde: Incentive.
Note: Historisk gennemsnit er baseret på data fra Danmarks Statistisk, gennemsnit for 2012-2019 er baseret på BYGB34
(boligareal), gennemsnit for 1986-2006 er baseret på BYGB1 (parcel- og stuehuse, række-, kæde- og dobbelthuse, etageboliger
og anden helårsbeboelse (areal angiver bygningens samlede areal, dvs bygningens etageareal, tag-etageareal og kælderareal).
4.3 Sammenligning med andre studier for København
I tabel 9 har vi sammenlignet vores prognoser for priserne med andre vurderinger af fremtidige
prisstigninger i København.
Vi sammenligner med resultater fra Copenhagen Economics’ boligmarkedsanalyse for Transport-
Bygnings- og Boligministeriet (2018a) samt Incentives og EY’s forundersøgelse af Østlig Ringvej
(2018). Overordnet er vores skøn af samme størrelsesorden som prisprognoserne i de to
prisprognoser, som vi sammenligner med.
2019
2022
2025
2028
2031
2034
2037
2040
2043
2046
2049
2052
2055
2058
2061
2064
2067
2070
2073
Incentive | 27
TRU, Alm.del - 2020-21 - Endeligt svar på spørgsmål 454: Spm. om ministeren, på baggrund af besvarelsen af TRU alm. del – spørgsmål 342, vil redegøre for, om hemmeligstemplingen af Ernst & Youngs rapport om finansiering og organisering af Lynetteholm er i strid med miljøoplysningsloven, til transportministeren
2394232_0223.png
Tabel 9
Anbefalet realvækst i boligpriserne, samt realvækst fra referenceprojekter (realvækst i % pr. år)
8
Kilde
Denne analyse
a
Scenarie
Følsomhedsscenarie 1
Basis boligprisudvikling (a)
Basis boligprisudvikling (b)
Følsomhedsscenarie 2
Copenhagen Economics
b
Østlig Ringvej
c
Højt skøn
Lavt skøn
Lavt skøn
Middel skøn
Højt skøn
Kilde: Egne beregninger samt Copenhagen Economics (2018a) og EY & Incentive (2018).
Note:
a
Gennemsnitlige vækstrater i perioden fra starten af 2019 til slutningen af 2075.
b
Estimater for prisudviklingen i
København 2019-2044. Tallene er aflæst fra figur på s. 8.
c
Forudsat vækstrate til og med 2075.
Realvækst, % pr. år
0,3
2,1
2,4
3,4
5,3
2,8
0,5
2,0
4,0
Vores laveste skøn (følsomhedsscenarie 1) ligger en smule lavere end det lave skøn fra
forundersøgelsen af Østlig Ringvej. Det skyldes udelukkende, at vi tager højde for effekten af
boligskatteaftalen og den nuværende konjunktursituation. Vores højeste skøn
(følsomhedsscenarie 2) er lavere end det høje skøn fra Copenhagen Economics. Copenhagen
Economics’ skøn går dog kun frem til 2044.
Overordnet vurderer vi, at vores prognose for boligpriserne stemmer fint overens med andre
vurderinger af den fremtidige udvikling på lang sigt, og at spændet på estimaterne i vores
scenarier afspejler den store usikkerhed, der er på så lange fremskrivninger.
4.4 Sammenligning med andre lande
I dette afsnit ser vi nærmere på boligmarkederne i andre lande for at sætte de ovenstående
prognoser i perspektiv.
Udvikling over tid
Som det fremgår af figur 9, er markante prisstigninger i storbyer ikke et dansk fænomen. Figuren
viser udviklingen i boligpriserne i Paris, London, Oslo og Stockholm.
Priserne i London er steget med 9,3% om året fra 1995 til 2019, mens priserne i Oslo er steget
med 8,8% om året fra 1992 til 2019. I Stockholm er priserne steget med 6,9% om året fra 1986 til
2019, mens priserne er steget med 4,3% om året i Paris.
8
Copenhagen Economics opstiller to scenarier for prisudviklingen i København. I det ene scenarie forudsætter de, at
boligmassen i København har samme vækst som i de seneste 10 år, hvilket giver deres høje estimat. I scenariet med
lav vækst antages det, at boligmassen vil vokse i København og omegn med samme høje takt som siden 2014.
Incentive | 28
TRU, Alm.del - 2020-21 - Endeligt svar på spørgsmål 454: Spm. om ministeren, på baggrund af besvarelsen af TRU alm. del – spørgsmål 342, vil redegøre for, om hemmeligstemplingen af Ernst & Youngs rapport om finansiering og organisering af Lynetteholm er i strid med miljøoplysningsloven, til transportministeren
2394232_0224.png
Figuren underbygger således prognosernes præmis om, at boligpriserne kan stige væsentligt over
mange år.
Dette understøttes i øvrigt også af, at Boligøkonomisk Videncenter i publikationen
”Danske
Boligindeks 1938-2017”
fra
januar 2019 har opgjort, at priserne set i et meget langt perspektiv
fra 1950 til 2017 er steget med 3,1-3,4% pr. år i Københavns og Frederiksberg Kommuner i reale
termer.
Figur 9
Boligprisudviklingen i fem europæiske hovedstæder, reale priser, 2007=100
Kilder: Egne beregninger på baggrund af boligprisdata fra scb.se (Stockholm), ssb.no (Oslo), data.london.gov.uk (London) og
compassft.com (Paris) samt forbrugerprisindeks fra stats.oecd.org.
Boligprisniveau og indkomster
I figur 10 har vi sammenlignet prisniveauet for ejerboliger i udvalgte byer med indkomstniveauet.
Det skal understreges, at det er vanskeligt at sammenligne prisniveauet på tværs af byer, da
opgørelserne er følsomme over for den geografiske afgrænsning af analysen. Man skal derfor
passe på med at drage alt for håndfaste konklusioner fra opgørelsen.
Incentive | 29
TRU, Alm.del - 2020-21 - Endeligt svar på spørgsmål 454: Spm. om ministeren, på baggrund af besvarelsen af TRU alm. del – spørgsmål 342, vil redegøre for, om hemmeligstemplingen af Ernst & Youngs rapport om finansiering og organisering af Lynetteholm er i strid med miljøoplysningsloven, til transportministeren
2394232_0225.png
Figuren indikerer dog, at:
·
·
prisniveauet i København ligger under prisniveauet i andre europæiske storbyer, når man
alene vurderer det ud fra indkomstniveauet (København ligger under trendlinjen).
prisniveauet i København ligger under niveauet i storbyer som London, Paris og München,
men over niveauet i flere andre europæiske byer.
Figur 10
Prisniveau og indkomster (2017-data)
Kilde: Deloitte - Property Index 2018: Overview of European Residential Markets, samt egne beregninger på tal fra Eurostat om
BNP i nuværende markedspriser (nama_10r_2gdp) og befolkning (tgs00096).
Note: Tallene fra Eurostat er opgjort på regioner. Dermed er BNP pr. person behæftet med usikkerhed for visse byer, idet
beboere uden for de faktiske byer kan være inkluderet i beregningen. Fx er BNP pr. person for København opgjort for hele
Region Hovedstaden. Befolkningen i regionerne er opgjort ultimo 2017. Tal for BNP er i visse regioner foreløbige, og derfor kan
tallene blive revideret i fremtiden.
Deloitte opgør huspriserne som de gennemsnitlige transaktionspriser for nye boliger i EUR/m
2
i 2017, hvor de benytter
vekselrater ultimo 2017. *Boligpriser for Amsterdam indeholder ældre boliger.
Byggeretspriser
Prognoserne for udviklingen i boligpriserne omregnes i den finansielle model til byggeretspriser
baseret på input om udviklingen i de fremtidige byggeomkostninger m.m. Da boligpriserne stiger
mere end byggeomkostningerne, forudses en væsentlig stigning i prisen på byggeretter.
Det er vanskeligt at lave en præcis sammenligning af byggeretspriser på tværs af lande, da en
række lokale forhold har betydning for prisniveauerne.
Incentive | 30
TRU, Alm.del - 2020-21 - Endeligt svar på spørgsmål 454: Spm. om ministeren, på baggrund af besvarelsen af TRU alm. del – spørgsmål 342, vil redegøre for, om hemmeligstemplingen af Ernst & Youngs rapport om finansiering og organisering af Lynetteholm er i strid med miljøoplysningsloven, til transportministeren
2394232_0226.png
Med det forbehold in mente sammenligner vi dog i tabel 10 ejendomspriser og
byggepriser/arealpriser i udvalgte dele af London og på Lynetteholmen i København.
Det er værd at bemærke, at vi for Lynetteholmen har opgjort prisen pr. m
2
byggeret, mens
priserne i London er opgjort pr. arealenhed. Tallene kan derfor ikke sammenlignes direkte, men
da den gennemsnitlige bebyggelsesprocent er 100 for Lynetteholmen som helhed, mener vi, at
det giver mening at sammenstille tallene. For at lette sammenligningen har vi også tilføjet data
for befolkningstætheden i tabel 10.
Som det fremgår, er der store forskelle på arealpriser og boligpriser i de forskellige dele af
London. I det centrale London ses boligpriser på 150-175.000 kr. pr. m
2
og arealpriser på over
80.000 kr. pr. m
2
, mens priserne i fx Hammersmith & Fulham er omtrent 95.000 kr. pr. m
2
bolig
og ca. 50.000 kr. pr. m
2
areal.
Som det også fremgår, er der en tæt sammenhæng mellem boligpriser og arealpriser i London.
Til sammenligning vurderes salgspriserne på Lynetteholmen i 2050 at ligge på 86.900 kr. pr. m
2
og
byggeretsprisen at ligge på omkring 37.600 kr. pr. m
2
.
På trods af problemerne med at sammenligne priserne på tværs af lande vurderer vi, at
ovenstående indikerer, at den estimerede sammenhæng mellem boligpriser og byggeretspriser er
realistisk.
Tabel 10
Sammenligning af arealpriser og ejendomspriser i udvalgte områder af London og København
Ejerboligpris
(kr. pr. m
2
)
173.007
a
144.589
a
95.390
a
56.533
a
48.363
a
46.000
54.300
67.800
86.900
Arealpris/byggeretspris
(kr. pr. m
2
)
81.079
b
83.037
b
50.552
b
20.292
b
21.716
b
8.300
12.900
24.300
37.600
Befolkningstæthed
(personer pr. km
2
)
12.960
c
11.524
c
10.977
c
4.727
c
5.910
c
12.500
12.500
12.500
12.500
Område
Kensington & Chelsea
Westminster
Hammersmith & Fulham
Kingston upon Thames
Greenwich
Lynetteholmen i 2020
d
Lynetteholmen i 2030
d
Lynetteholmen i 2040
d
Lynetteholmen i 2050
d
Kilde:
a
UK House Price Index (2016),
b
UK House Price Index (2016),
c
Land Area and Population Density, Ward and Borough
(2016),
d
Estimeret i finansiel model for scenariet basis boligprisudvikling med uændrede renter.
Note: Udarbejdet af EY.
Incentive | 31
TRU, Alm.del - 2020-21 - Endeligt svar på spørgsmål 454: Spm. om ministeren, på baggrund af besvarelsen af TRU alm. del – spørgsmål 342, vil redegøre for, om hemmeligstemplingen af Ernst & Youngs rapport om finansiering og organisering af Lynetteholm er i strid med miljøoplysningsloven, til transportministeren
2394232_0227.png
4.5 Andelen af indkomsten husholdningerne bruger på
bolig
I vores hovedscenarie stiger boligpriserne hurtigere end indkomsten. Det betyder, at
husholdningerne alt andet lige vil bruge en stigende del af deres indkomst på bolig i fremtiden.
For at illustrere effekten har vi i figur 11 illustreret udviklingen for husholdninger, der i dag
bruger 20% af deres indkomst på bolig.
Fremskrivningen gælder for begge hovedscenarier (med og uden rentenormalisering), da andelen
husholdningerne bruger på bolig er den samme i de to scenarier, jf. afsnit 3.5.
Som det fremgår, stiger andelen af husstandens indkomst, der bruges på bolig, i dette eksempel
til lige under 35% i 2060.
Rent teknisk har vi også beregnet effekten til og med 2075. Det er dog værd at bemærke at
prognosen for boligpriserne kun betyder noget for den finansielle analyse til og med 2063, hvor
den sidste bolig på Lynetteholmen forudsættes afsat.
Figur 11
Eksempel: Andel af indkomsten, som husholdningerne bruger på bolig
Note: Eksempelberegninger for husholdninger, der i dag bruger 20% af indkomsten på bolig. Fremskrivningen er den samme for
de to hovedscenarier, da effekten af højere renter på boligpriserne er beregnet ud fra, hvor stor en effekt stigende renter har
på ydelsen. I de to scenarier er andelen husholdningerne bruger på indkomst således den samme.
Udgangspunktet på de 20% er tænkt som et illustrativt eksempel. Der vil være husholdninger, der
bruger en større andel på bolig, og husholdninger, der bruger en mindre andel på bolig.
Det er i øvrigt værd at bemærke, at husholdningerne i eksemplet stadig vil få flere penge til
overs til andet forbrug i fremtiden, i takt med at indkomsterne stiger, til trods for at de
anvender en stigende
andel
af deres indkomst til bolig
Incentive | 32
TRU, Alm.del - 2020-21 - Endeligt svar på spørgsmål 454: Spm. om ministeren, på baggrund af besvarelsen af TRU alm. del – spørgsmål 342, vil redegøre for, om hemmeligstemplingen af Ernst & Youngs rapport om finansiering og organisering af Lynetteholm er i strid med miljøoplysningsloven, til transportministeren
Endelig er det værd at bemærke, at indkomsterne kan stige med mere end de forudsatte 0,9%
om året, hvis husholdningerne, der flytter til København, har en højere gennemsnitsindkomst end
de husholdninger, der flytter fra København. Det vil reducere andelen af indkomsterne, som
bruges på bolig, med de forudsatte boligprisstigninger.
I og med at etablering af Lynetteholmen reducerer boligprisstigningerne, vil projektet alt andet
lige bidrage til at reducere andelen af indkomsten, som bruges på bolig i København.
Incentive | 33
TRU, Alm.del - 2020-21 - Endeligt svar på spørgsmål 454: Spm. om ministeren, på baggrund af besvarelsen af TRU alm. del – spørgsmål 342, vil redegøre for, om hemmeligstemplingen af Ernst & Youngs rapport om finansiering og organisering af Lynetteholm er i strid med miljøoplysningsloven, til transportministeren
5 Salgspriser for lignende boliger i dag
I anden delanalyse estimerer vi, hvad lejligheder, der svarer til dem, der opføres på
Lynetteholmen, Refshaleøen m.m., i dag ville koste, hvis de var opført og klar til salg.
Vi vurderer dette ud fra en opgørelse af de gennemsnitlige realiserede salgspriser i seks udvalgte
referenceområder.
5.1 De seks referenceområder
Lynetteholmen og Refshaleøen kommer til at dække et stort areal med ret forskelligartede
karakteristika, som vil påvirke salgsprisen for de boliger, der opføres.
Vi har derfor udvalgt seks referenceområder, der hver især afspejler nogle af disse
karakteristika.
De seks referenceområder, der fremgår af figur 12, er:
1.
2.
Nordhavn:
Et nærområde til Lynetteholmen. Området ligger ud til vandet og er et
område under udvikling.
Langelinie, Midtermolen og Frederiksstaden:
Området bliver nærområde til
Lynetteholmen og ligger ligesom Lynetteholmen ud til vandet. Området er et etableret
byområde. Området ligger tættere på centrum end Lynetteholmen og Refshaleøen.
3.
4.
5.
6.
Nærområde til Refshaleøen:
Nærområde til Refshaleøen og Lynetteholmen.
Kløvermarken:
Området ligger tæt på Refshaleøen, men vurderes at være mindre
attraktivt.
Teglholmen:
Udviklingsområde, der er mindre attraktivt end Refshaleøen og
Lynetteholmen.
Ørestad:
Stort udviklingsområde uden direkte adgang til vandet, men med nem adgang
til natur.
Incentive | 34
TRU, Alm.del - 2020-21 - Endeligt svar på spørgsmål 454: Spm. om ministeren, på baggrund af besvarelsen af TRU alm. del – spørgsmål 342, vil redegøre for, om hemmeligstemplingen af Ernst & Youngs rapport om finansiering og organisering af Lynetteholm er i strid med miljøoplysningsloven, til transportministeren
2394232_0230.png
Figur 12
Overblik over de seks referenceområder
Kilde: Incentive.
5.2 Salgspriser i de seks referenceområder
Vi har beregnet de gennemsnitlige salgspriser og medianen for salgspriserne i de seks
referenceområder ved at indhente data fra boligsiden.dk om realiserede salgspriser i perioden
januar 2017 til september 2019. Vi har efterfølgende renset datasættet for familiesalg m.m. og
fjernet
’outliers’.
Resultaterne er vist i tabel 11.
De gennemsnitlige salgspriser varierer mellem 35.200 og 56.700 kr. pr. m
2
i de seks
referenceområder. Gennemsnittene dækker desuden over en betydelig variation i priserne inden
for de enkelte områder. Medianen ligger på niveau eller lidt lavere end gennemsnittet.
Incentive | 35
TRU, Alm.del - 2020-21 - Endeligt svar på spørgsmål 454: Spm. om ministeren, på baggrund af besvarelsen af TRU alm. del – spørgsmål 342, vil redegøre for, om hemmeligstemplingen af Ernst & Youngs rapport om finansiering og organisering af Lynetteholm er i strid med miljøoplysningsloven, til transportministeren
2394232_0231.png
Tabel 11
Salgspriser for referenceområder, kr. pr. m² (min. og maks. er angivet i parentes ved henholdsvis 2,5%-
fraktilen og 97,5%-fraktilen)
Område
Område 1: Nordhavn
Område 2: Langelinie, Midtermolen,
Frederiksstaden, etc.
Område 3: Nærområde til Refshaleøen
Område 4: Kløvermarken
Område 5: Teglholmen
Område 6: Ørestad
Gennemsnit
52.800 (37.100-77.400)
49.900 (32.100-76.400)
56.700 (41.200-89.700)
37.200 (25.400-47.100)
40.600 (25.700-54.700)
35.200 (26.400-44.600)
Median
50.900
49.100
53.600
37.300
40.100
35.400
Note: Priserne er opgjort på baggrund af de faktiske salgspriser for ejerlejligheder solgt i perioden 2017-2019, som registreret
på boligsiden.dk. Boliger, der er solgt som familiekøb, indgår ikke i opgørelsen. For boliger, der er solgt flere gange, anve ndes
nyeste salgspris. De 2,5% laveste og højeste observationer er frasorteret for at undgå effekt fra outliers. Vi har ikke korri geret
salgspriserne for de enkelte boligsalg for prisstigninger i perioden 2017-2019. De gennemsnitlige salgspriser er derfor en smule
lavere end salgspriserne for de seneste handler. De laveste og højeste kvadratmeterpriser i de enkelte områder er angivet i
parentes.
Kilde: Incentive på baggrund af data fra boligsiden.dk.
5.3 Estimerede salgspriser for udviklingsområder, hvis de
skulle sælges i dag
I tabel 12 har vi opsummeret vores vurdering af, hvad boligerne i udviklingsområderne kunne
sælges til, hvis de skulle sælges i dag. Til sammenligning har vi vist de tilsvarende
forudsætninger for analysen af Østlig Ringvej.
Vores vurdering er baseret på ovenstående salgspriser fra de seks referenceområder samt input
for eksperter fra ejendomsbranchen.
Tabel 12
Estimerede salgspriser for interesseområder, DKK pr. m²
Interesseområde
Område A: Lynetteholmen, zone 1
Område B: Lynetteholmen, zone 2
Område C: Refshaleøen
Område D: Quintus
Område E: Kløverparken
Tilsvarende salgspris i dag
46.000
46.000
46.000
Ej relevant, alene erhverv
42.000
40.000
Forudsætning i analyse
af Østlig Ringvej
-
-
45.000
-
Nedenfor gennemgår vi kort, hvad vurderingerne for hvert område er baseret på i forhold til data
fra referenceområderne.
Incentive | 36
TRU, Alm.del - 2020-21 - Endeligt svar på spørgsmål 454: Spm. om ministeren, på baggrund af besvarelsen af TRU alm. del – spørgsmål 342, vil redegøre for, om hemmeligstemplingen af Ernst & Youngs rapport om finansiering og organisering af Lynetteholm er i strid med miljøoplysningsloven, til transportministeren
Lynetteholmen, zone 1 og zone 2
Zone 1 kommer til at ligge ind mod Trekroner og Københavns Havn. Vi vurderer derfor, at det
bliver et af de mere attraktive områder i København, da der vil være god adgang til vand, udsigt
til havnen og god tilgængelighed via metro og Østlig Ringvej. Dermed minder området om
referenceområde 1, 2 og 3, dog med lidt ringere tilgængelighed.
Zone 2 bliver ligeledes attraktivt. Området har direkte adgang til
”frit
vand”, men har formentlig
en ringere tilgængelighed end zone 1. Minder på visse karakteristika om (ydre del) af Nordhavn.
Refshaleøen
Minder på flere parametre om Lynetteholmen, zone 1.
Kløverparken
Området minder på flere parametre om referenceområde 3, 4 og 5.
Incentive | 37
TRU, Alm.del - 2020-21 - Endeligt svar på spørgsmål 454: Spm. om ministeren, på baggrund af besvarelsen af TRU alm. del – spørgsmål 342, vil redegøre for, om hemmeligstemplingen af Ernst & Youngs rapport om finansiering og organisering af Lynetteholm er i strid med miljøoplysningsloven, til transportministeren
2394232_0233.png
6 Samlet input til beregninger for
Lynetteholmen
I dette afsnit har vi kort opsummeret de estimater, der anvendes fra denne analyse.
Modellen giver estimater på de årlige effekter, men for overskuelighedens skyld angiver vi her
alene centrale nøgletal i udvalgte år for de tre scenarier.
Boligpriser
Den estimerede prisudvikling for boligerne i de største relevante udviklingsområder fremgår af
tabel 13. Udviklingen er tilsvarende for Kløverparken blot fra lavere udgangspunkt.
Tabel 13
Prognose for boligpriser på Lynetteholmen zone 1 og 2, Refshaleøen og Quintus til samlet analyse af
finansieringspotentiale, kr. pr. m
2
2020
Basis boligprisudvikling
(med rentenormalisering)
Basis boligprisudvikling
(uændrede renter)
46.000
46.000
2030
50.200
54.300
2040
57.300
67.800
2050
73.400
86.900
Udbygningstakt
Den estimerede udbygningstakt for de tre scenarier fremgår af tabel 14.
I følsomhedsscenarie 1 udbygges boligmassen markant for at sikre, at priserne kun stiger med
byggeomkostningerne. Den beregnede udbygningstakt ligger markant over det historiske niveau,
og det kan diskuteres, om dette scenarie i praksis kan realiseres. I scenariet beregner vi, at
boligmassen ifølge modellen skal udbygges med 571.000 m
2
om året i gennemsnit. Til
sammenligning er boligmassen i 2012-2019 i gennemsnit udvidet med 382.000 m
2
om året. I det
videre arbejde oversætter vi modelresultaterne for udbygningstakten til et lavere niveau. Det
præcise niveau fastsætter vi, når vi har viden om, i hvilket omfang jordopfyld m.m. er
begrænsende faktorer for udbygningshastigheden for Lynetteholmen. Derfor er disse resultater
angivet med
””.
I vores hovedscenarie udbygges boligmassen med 218.000 m
2
om året i gennemsnit, mens
boligmassen i følsomhedsscenarie 2 udbygges lidt langsommere med 188.000 m
2
om året i
gennemsnit.
Incentive | 38
TRU, Alm.del - 2020-21 - Endeligt svar på spørgsmål 454: Spm. om ministeren, på baggrund af besvarelsen af TRU alm. del – spørgsmål 342, vil redegøre for, om hemmeligstemplingen af Ernst & Youngs rapport om finansiering og organisering af Lynetteholm er i strid med miljøoplysningsloven, til transportministeren
2394232_0234.png
Tabel 14
Opsummering af udbygningstakt for de tre scenarier for 2019-2075
Gennemsnitlig årlig udbygning (m
2
pr. år)
2019-2031
Følsomhedsscenarie 1. Lav
boligprisudvikling
Basis boligprisudvikling med
rentenormalisering (a og b)
Følsomhedsscenarie 2. Høj
boligprisudvikling
”591.000”
a
352.000
306.000
2032-2050
”538.000”
a
203.000
183.000
2051-2075
”586.000”
a
159.000
130.000
Hele perioden
”571.000”
a
218.000
188.000
Note: Fra primo 2019 til ultimo 2075. Afrundet til nærmeste tusinde.
a
Man kan diskutere, om dette scenarie i praksis kan
realiseres. I scenariet udbygges boligmassen ifølge modellen med 571.000 m
2
om året i gennemsnit. Til sammenligning er
boligmassen i 2012-2019 i gennemsnit udvidet med 382.000 m
2
om året. I det videre arbejde oversætter vi modelresultaterne
for udbygningstakten til et lavere niveau. Det præcise niveau fastsætter vi, når vi har viden om, i hvilket omfang jordopfyld
m.m. er begrænsende faktorer for udbygningshastigheden for Lynetteholmen.
Incentive | 39
TRU, Alm.del - 2020-21 - Endeligt svar på spørgsmål 454: Spm. om ministeren, på baggrund af besvarelsen af TRU alm. del – spørgsmål 342, vil redegøre for, om hemmeligstemplingen af Ernst & Youngs rapport om finansiering og organisering af Lynetteholm er i strid med miljøoplysningsloven, til transportministeren
7 Referencer
Copenhagen Economics. 2018a.
“Boligmarkedsanalyse
for Hovedstaden. Boligbehov,
udviklingspotentialer og -strategier”.
———.
2018b.
“Demografi,
boligbehov og boligprisudvikling i Københavns Kommune. Analyse med
fokus på den nuværende og fremtidige udvikling.”
Danmarks Nationalbanken. 2020.
“Strammere
låneregler har gjort boligejerne mere robuste”.
Danmarks Statistik. 2012.
ADAM - en model af dansk økonomi.
EY og Incentive. 2018.
“Forundersøgelse
Østlig Ringvej Kortlægning m.v. af finansieringskilder”.
Finansministeriet. 2019a.
“Finansministeriets
nøgletalskatalog”.
———.
2019b.
“Økonomisk
Redegørelse August
2019”.
Jakob Holmgaard. 2016.
“Sammenligning
af boligprisstatistikker i Danmark”.
Kraka og Finanskrisekommissionen. 2014.
“Den
danske finanskrise - kan det ske igen?”
Københavns Kommune. 2019a.
“Beregningstekniske
forudsætninger for udbygningen
Lynetteholmsprojektet”.
Marianne Frank Hansen, og Tobias Markeprand. 2015.
“Fremskrivning
af familiekarakteristika og
boligefterspørgslen i danske kommuner”.
Nathalie Girouard, Mike Kennedy, Paul van den Noord, og Christophe André. 2006.
“Recent
House
Price Developments: The Role of Fundamentals. OECD Economics Department Working
Papers No.
475”.
Nationalbanken. 2019.
“Boligskatteaftalens
effekt på boligpriserne”.
Simon Juul Hviid, Tina Saaby Hvolbøl, og Erik Haller Pedersen. 2016.
“Regionale
aspekter på
boligmarkedet”. I
Kvartalsoversigt 4. kvartal 2016,
Nationalbanken.
Incentive | 40
TRU, Alm.del - 2020-21 - Endeligt svar på spørgsmål 454: Spm. om ministeren, på baggrund af besvarelsen af TRU alm. del – spørgsmål 342, vil redegøre for, om hemmeligstemplingen af Ernst & Youngs rapport om finansiering og organisering af Lynetteholm er i strid med miljøoplysningsloven, til transportministeren
8 Bilag A. Sammenligning af
modelegenskaber
I afsnit 3 har vi beskrevet, hvordan de elasticiteter, vi benytter i vores model, stemmer overens
med bl.a. Danmarks Statistiks model ADAM og MONA, som Nationalbanken udvikler.
En anden måde at kvalificere vores valg af efterspørgselselasticitet er at sammenligne
prisdannelsen i vores model med andre modeller for det københavnske boligmarked.
Vi sammenligner derfor vores fremskrivning af boligefterspørgslen med to tilsvarende
fremskrivninger:
·
·
Copenhagen Economics (2018a, 2018b) har lavet en model for boligmarkedet i København
frem til 2045.
DREAM har ligeledes lavet en fremskrivning for efterspørgslen efter boliger frem til 2040
(Marianne Frank Hansen og Tobias Markeprand 2015).
I figur 13 har vi forsøgt at lave en sammenligning af udviklingen i efterspørgslen i vores model
med resultaterne fra de to andre modeller.
9
For at gøre tallene så sammenlignelige som muligt viser vi her fremskrivninger for vores model
med årlige prisstigninger på 2,8%, som matcher et af scenarierne i Copenhagen Economics
(2018a), og som samtidig ligger mellem Copenhagen Economics (2018b)’s prisstigninger for hhv.
store boliger (0,4%) og små boliger (3,1%).
10
Overordnet set giver vores model resultater af
samme størrelsesorden som Copenhagen Economics’ model.
DREAM’s fremskrivning ligger tæt på, men en anelse under vores efterspørgsel i 2040. Denne
fremskrivning har imidlertid indlejret en effekt fra historiske prisstigninger, som har været en del
højere end de 2,8%, som vi her illustrerer vores models efterspørgsel med. Det er derfor rimeligt,
at DREAM’s efterspørgsel er lavere end den efterspørgsel, som vi får i vores model med en årlig
prisstigning på 2,8%.
11
På trods af vanskeligheder i at sammenligne de forskellige analyser direkte, bestyrker
sammenligningen rimeligheden i vores valg af efterspørgselselasticitet.
9
For at sammenligne tallene fra vores model med Copenhagen Economics’ model og DREAM’s fremskrivning har vi
været nødt til at omregne tallene fra hhv. Copenhagen Economics og DREAM fra et efterspurgt antal boliger til et
efterspurgt antal m
2
. Vi har taget udgangspunkt i de gennemsnitlige størrelser af boliger i København i dag for at
foretage denne omregning.
10
Det er ikke tydeligt fra Copenhagen Economics (2018a), hvilken prisstigning der er konsistent med boligbehovet.
Copenhagen Economics (2018b) angiver i stedet forskellige scenarier for den krævede udbygning i boligmassen i
kvadratmeter i kombination med de resulterende prisstigninger. Prisstigningerne er imidlertid opdelt på forskellige
boligtyper, hvilket gør en 1:1-sammenligning vanskelig. Copenhagen Economics angiver i øvrigt, at der ikke er en
modelmæssig sammenhæng mellem prisstigningen på 2,8% og det angivne boligbehov.
DREAM angiver den samlede merefterspørgsel i perioden 2013-2040. Vi har omregnet dette til en merefterspørgsel
for perioden 2019-2040 ved at antage en konstant udbygningstakt i perioden.
11
Incentive | 41
TRU, Alm.del - 2020-21 - Endeligt svar på spørgsmål 454: Spm. om ministeren, på baggrund af besvarelsen af TRU alm. del – spørgsmål 342, vil redegøre for, om hemmeligstemplingen af Ernst & Youngs rapport om finansiering og organisering af Lynetteholm er i strid med miljøoplysningsloven, til transportministeren
2394232_0237.png
Figur 13
Ændring i boligefterspørgsel, akkumuleret mio. m
2
Kilde: Egne beregninger vha. Copenhagen Economics (2018a, 2018b) og Hansen og Markeprand (2015).
Incentive | 42
TRU, Alm.del - 2020-21 - Endeligt svar på spørgsmål 454: Spm. om ministeren, på baggrund af besvarelsen af TRU alm. del – spørgsmål 342, vil redegøre for, om hemmeligstemplingen af Ernst & Youngs rapport om finansiering og organisering af Lynetteholm er i strid med miljøoplysningsloven, til transportministeren
2394232_0238.png
Transport- og Boligministeriet
EY | Assurance | Tax | Transactions | Advisory
Om EY
EY er en af verdens førende organisationer inden for revision, skat,
transaktioner og rådgivning. Den indsigt og de ydelser, vi leverer, hjæl-
per med at opbygge tillid til kapitalmarkederne og den globale økonomi.
Vi udvikler dygtige ledere og medarbejdere, som sammen leverer det, vi
lover vores interessenter og bidrager til, at arbejdsverdenen og arbejds-
livet fungerer bedre - for vores medarbejdere, vores kunder og det om-
givende samfund.
EY henviser til den globale organisation og kan referere til et eller flere
medlemsfirmaer inden for Ernst & Young Global Limited, som hver især
udgør en selvstændig juridisk enhed. Ernst & Young Global Limited, som
er et engelsk
‘company
limited by guarantee’, yder ikke kunderådgiv-
ning. Flere oplysninger om vores organisation kan findes på ey.com.
© 2020 Ernst & Young P/S. CVR-nr. 30700228
All Rights Reserved.
Dette materiale er udarbejdet alene til orientering, og oplysningerne i det tilsigter ikke at være
fyldestgørende, og de træder ikke i stedet for udførlige analyser eller udøvelsen af professio-
nelle skøn. I konkrete sager opfordres brugere til at henvende sig til EY’s rådgivere.
ey.com/dk
Ernst & Young P/S - Osvald Helmuths Vej 4 - Postboks 250 - 2000 Frederiksberg - CVR-nr. 30 70 02 28
3
TRU, Alm.del - 2020-21 - Endeligt svar på spørgsmål 454: Spm. om ministeren, på baggrund af besvarelsen af TRU alm. del – spørgsmål 342, vil redegøre for, om hemmeligstemplingen af Ernst & Youngs rapport om finansiering og organisering af Lynetteholm er i strid med miljøoplysningsloven, til transportministeren
2394232_0239.png
-- AKT 730242 -- BILAG 12 -- [ 04-05-2020 - Appendiks 8 v2.00 ] --
Transport- og
Boligministeriet
Undersøgelse af finansiering og
organisering af Lynetteholmen
Appendiks 8
version 2
Oversigt over pengestrømme
4. maj 2020
FORTROLIGT
TRU, Alm.del - 2020-21 - Endeligt svar på spørgsmål 454: Spm. om ministeren, på baggrund af besvarelsen af TRU alm. del – spørgsmål 342, vil redegøre for, om hemmeligstemplingen af Ernst & Youngs rapport om finansiering og organisering af Lynetteholm er i strid med miljøoplysningsloven, til transportministeren
2394232_0240.png
Transport- og Boligministeriet
Appendiks 8
oversigt over pengestrømme
Indhold
1
Introduktion
1.1 Formål
1.2 Versioner af nærverende appendiks
Scenarie 1a
Scenarie 2a
Scenarie 3a
2
2
2
3
4
5
2
3
4
Ernst & Young P/S - Dirch Passers Allé 36 - Postboks 250 - 2000 Frederiksberg - CVR-nr. 30 70 02 28
1
TRU, Alm.del - 2020-21 - Endeligt svar på spørgsmål 454: Spm. om ministeren, på baggrund af besvarelsen af TRU alm. del – spørgsmål 342, vil redegøre for, om hemmeligstemplingen af Ernst & Youngs rapport om finansiering og organisering af Lynetteholm er i strid med miljøoplysningsloven, til transportministeren
2394232_0241.png
Transport- og Boligministeriet
Appendiks 8
oversigt over pengestrømme
1
1.1
Introduktion
Formål
Nærværende notat indeholder en oversigt over LIS pengestrømme i scenarierne 1-3.
Vi har sammenfattet LIS’ samlede pengestrømme for scenarier med rentenormalisering. Der vil ses til-
svarende pengestrømme for scenarier med uændrede renter, dog på et højere overordnet niveau.
1.2
Versioner af nærværende appendiks
Version
001
Dato
Den 16. april 2020
Ændringer
Første version. Fremsendt ifm. Rap-
port dateret d. 16. april 2020
Fremsendt ifm. Rapport dateret d.
4. maj 2020
002
Den 4. maj 2020
Ernst & Young P/S - Dirch Passers Allé 36 - Postboks 250 - 2000 Frederiksberg - CVR-nr. 30 70 02 28
2
TRU, Alm.del - 2020-21 - Endeligt svar på spørgsmål 454: Spm. om ministeren, på baggrund af besvarelsen af TRU alm. del – spørgsmål 342, vil redegøre for, om hemmeligstemplingen af Ernst & Youngs rapport om finansiering og organisering af Lynetteholm er i strid med miljøoplysningsloven, til transportministeren
2394232_0242.png
Transport- og Boligministeriet
Appendiks 8
oversigt over pengestrømme
2
Ernst & Young P/S - Dirch Passers Allé 36 - Postboks 250 - 2000 Frederiksberg - CVR-nr. 30 70 02 28
3
TRU, Alm.del - 2020-21 - Endeligt svar på spørgsmål 454: Spm. om ministeren, på baggrund af besvarelsen af TRU alm. del – spørgsmål 342, vil redegøre for, om hemmeligstemplingen af Ernst & Youngs rapport om finansiering og organisering af Lynetteholm er i strid med miljøoplysningsloven, til transportministeren
2394232_0243.png
Transport- og Boligministeriet
Appendiks 8
oversigt over pengestrømme
3
Ernst & Young P/S - Dirch Passers Allé 36 - Postboks 250 - 2000 Frederiksberg - CVR-nr. 30 70 02 28
4
TRU, Alm.del - 2020-21 - Endeligt svar på spørgsmål 454: Spm. om ministeren, på baggrund af besvarelsen af TRU alm. del – spørgsmål 342, vil redegøre for, om hemmeligstemplingen af Ernst & Youngs rapport om finansiering og organisering af Lynetteholm er i strid med miljøoplysningsloven, til transportministeren
2394232_0244.png
Transport- og Boligministeriet
Appendiks 8
oversigt over pengestrømme
4
Ernst & Young P/S - Dirch Passers Allé 36 - Postboks 250 - 2000 Frederiksberg - CVR-nr. 30 70 02 28
5
TRU, Alm.del - 2020-21 - Endeligt svar på spørgsmål 454: Spm. om ministeren, på baggrund af besvarelsen af TRU alm. del – spørgsmål 342, vil redegøre for, om hemmeligstemplingen af Ernst & Youngs rapport om finansiering og organisering af Lynetteholm er i strid med miljøoplysningsloven, til transportministeren
2394232_0245.png
Transport- og Boligministeriet
Appendiks 8
oversigt over pengestrømme
EY | Assurance | Tax | Transactions | Advisory
Om EY
EY er en af verdens førende organisationer inden for revision, skat,
transaktioner og rådgivning. Den indsigt og de ydelser, vi leverer, hjæl-
per med at opbygge tillid til kapitalmarkederne og den globale økonomi.
Vi udvikler dygtige ledere og medarbejdere, som sammen leverer det, vi
lover vores interessenter og bidrager til, at arbejdsverdenen og arbejds-
livet fungerer bedre - for vores medarbejdere, vores kunder og det om-
givende samfund.
EY henviser til den globale organisation og kan referere til et eller flere
medlemsfirmaer inden for Ernst & Young Globa l Limited, som hver især
udgør en selvstændig juridisk enhed. Ernst & Young Global Limited, som
er et engelsk
‘company
limited by guarantee’, yder ikke kunderådgiv-
ning. Flere oplysninger om vores organisation kan findes på ey.com.
© 2020 Ernst & Young P/S. CVR-nr. 30700228
All Rights Reserved.
Dette materiale er udarbejdet alene til orientering, og oplysningerne i det tilsigter ikke at være
fyldestgørende, og de træder ikke i stedet for udførlige analyser eller udøvelsen af professio-
nelle skøn. I konkrete sager opfordres brugere til at henvende sig til EY’s rådgivere.
ey.com/dk
Ernst & Young P/S - Dirch Passers Allé 36 - Postboks 250 - 2000 Frederiksberg - CVR-nr. 30 70 02 28
6