Finansudvalget 2020-21
FIU Alm.del
Offentligt
2299904_0001.png
Folketingets Finansudvalg
Christiansborg
8. december 2020
Svar på Finansudvalgets spørgsmål nr. 70 (Alm. del) af 26.
november 2020 stillet efter ønske fra René Christensen (DF)
Spørgsmål
Vil ministeren redegøre for, hvordan de offentlige finanser ville se ud, såfremt
danske 16-64-årige mænd og kvinder havde en beskæftigelsesfrekvens svarede til
herboende mænd og kvinder i alderen 16-64 år fra ikke-vestlige lande?
Svar
På baggrund af den seneste mellemfristede fremskrivning, som bl.a. tager afsæt i
Danmarks Statistiks opgørelse af befolkningens tilknytning til arbejdsmarkedet
(RAS), er det vurderet, at ca. 76 pct. af 16-64-årige personer med dansk herkomst
vil være i beskæftigelse i 2025. Til sammenligning er det vurderet, at blandt 16-64-
årige indvandrere og efterkommere fra ikke-vestlige lande vil ca. 56 pct. være i be-
skæftigelse,
jf. figur 1.
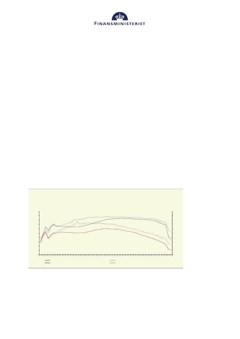
Figur 1
Køns- og aldersfordelt beskæftigelsesfrekvens i 2025 for udvalgte herkomstgrupper
Pct.
100
90
80
70
Pct.
100
90
80
70
60
50
40
30
20
10
0
15
20
25
30
35
Personer med dansk herkomst, kvinder
Ikke-vestlige indvandrere og efterkommere, kvinder
40
45
50
55
60
Personer med dansk herkomst, mænd
Ikke-vestlige indvandrere og efterkommere, mænd
65
60
50
40
30
20
10
0
Anm.: I figuren er frekvesen for den samlede beskæftigelse angivet, dvs. inkl. støttet beskæftigelse.
I den socioøkonomiske fremskrivning, som indgår som input i Finansministeriets mellemfristede
fremskrivning, skelnes der i de demografiske frekvensprofiler mellem fem herkomstgrupperinger: Personer
med dansk herkomst, ikke-vestlige indvandrerew, ikke-vestlige efterkommere, vestlige indvandrere og
vestlige efterkommere. I figuren illustreres den samlede frekvensprofil for både indvandrere og
efterkommere fra ikke-vestlige lande.
Kilde:
DK2025
en grøn, retfærdig og asnvarlig genropretning af dansk økonomi,
august 2020
Finansministeriet · Christiansborg Slotsplads 1 · 1218 København K · T 33 92 33 33 · E [email protected] · www.fm.dk
FIU, Alm.del - 2020-21 - Endeligt svar på spørgsmål 70: Spm. om, hvordan de offentlige finanser ville se ud, såfremt danske 16-64-årige mænd og kvinder havde en beskæftigelsesfrekvens svarede til herboende mænd og kvinder i alderen 16-64 år fra ikke-vestlige lande, til finansministeren
Side 2 af 3
Nedenfor er der med afsæt i spørgers forudsætninger rent illustrativt vist en be-
regning af, hvad virkningen på beskæftigelsen og de offentlige finanser ville være,
hvis personer med dansk herkomst mellem 16-64 år tilknyttes samme køns- og al-
dersbetingede beskæftigelsesfrekvenser som ikke-vestlige indvandrere og efter-
kommere i den seneste mellemfristede fremskrivning.
Det bemærkes indledningsvist, at der er tale om en hypotetisk beregning, som
bygger på meget store ændringer i personer med dansk herkomsts tilknytning til
arbejdsmarkedet, som ligger udover hvad der kan betragtes som egentlige margi-
nalvirkninger. Beregningen
også for så vidt angår konsekvensen for de offentlige
finanser
er således alene indikativ og beregningsteknisk, herunder fordi den ikke
har ophæng i konkrete tiltag fx økonomiske reformer, ændringer i institutionelle
rammer mv., der måtte indebære en sådan ændring i beskæftigelsesadfærden.
I en beregning, hvor at de 16-64-årige mænd og kvinder med dansk herkomst til-
knyttes tilsvarende køns- og aldersbetingede beskæftigelsesfrekvenser som ikke-
vestlige indvandrere og efterkommere, er det fundet, at beskæftigelsen vil være la-
vere i 2025 i en størrelsesorden på ca. 633.000 fuldtidsbeskæftigede. Den gennem-
snitlige beskæftigelsesfrekvens blandt alle 16-64-årige personer med dansk her-
komst er ca. 53 pct. i den alternative beregning. Årsagen til, at denne er lavere end
de 56 pct. blandt samtlige ikke-vestlige indvandrere og efterkommere, er forskelle
i alderssammensætningen samt særligt kønsfordelingen.
Den beregnede nedjustering i antallet af beskæftigede i 2025 ville indebære en sal-
doforværring på godt 200 mia. kr. (2020-priser) - svarende til i størrelsesordenen 8
pct. af BNP. Der er taget udgangspunkt i en grov stilleskrueberegning, hvor de of-
fentlige finanser svækkes med størrelsesordenen 325.000 kr. i 2020-niveau, hvis en
gennemsnitlig fuldtidsbeskæftiget overgår til ledighed. Her medtages både effek-
terne af lavere offentlige indtægter i form af skatter og afgifter
som følge af den
lavere beskæftigelse
og af højere offentlige udgifter til indkomstoverførsler.
Forskellene i beskæftigelsesfrekvensen illustrerer omvendt også, at der fortsat er
en udfordring
og et potentiale
i forhold til ikke-vestlige indvandrere og efter-
kommeres beskæftigelsesomfang. Hvis ikke-vestlige indvandrere og efterkommere
i ovenstående beregningen havde samme beskæftigelsesfrekvens som personer
med dansk herkomst ville beskæftigelsen omvendt styrkes med i størrelsesordenen
ca. 78.000 fuldtidsbeskæftigede i 2025.
Nye tiltag mv. der kan bidrage til at løfte ikke-vestlige indvandrere og efterkom-
meres beskæftigelsesfrekvens vil således kunne løfte den samlede beskæftigelse.
Udfordringen med ikke-vestlige indvandreres lavere beskæftigelsesomfang er en
kompleks udfordring, hvor der ikke findes enkle løsninger, men der er et potenti-
FIU, Alm.del - 2020-21 - Endeligt svar på spørgsmål 70: Spm. om, hvordan de offentlige finanser ville se ud, såfremt danske 16-64-årige mænd og kvinder havde en beskæftigelsesfrekvens svarede til herboende mænd og kvinder i alderen 16-64 år fra ikke-vestlige lande, til finansministeren
Side 3 af 3
ale, hvilket også er baggrunden for, at det er et af fokusområderne for den kom-
mission, som regeringen har nedsat om 2. generationsreformer,
jf. kommissoriet for
kommissionen for 2. generationsreformer, de nye reform veje,
oktober 2020.
Med venlig hilsen
Nicolai Wammen
Finansminister