Finansudvalget 2020-21
FIU Alm.del
Offentligt
2466923_0001.png
Folketingets Finansudvalg
Christiansborg
25. oktober 2021
Svar på Finansudvalgets spørgsmål nr. 458 (Alm. del) af 27.
september 2021 stillet efter ønske fra Lars Boje Mathiesen (NB)
Spørgsmål
Vil ministeren opdatere svaret på FIU alm. del - spørgsmål 600 (2016-17)
https://www.ft.dk/samling/20161/alm-
del/fiu/spm/600/svar/1433769/1802982.pdf om den skønnede selvfinansie-
ringsgrad af at øge beskæftigelsesfradraget for henholdsvis 3, 5 og 10 mia. kr. med
de senest tilgængelige tal?
Svar
På baggrund af det seneste tilgængelige datagrundlag er svaret på spørgsmål 600
(2016-17) opdateret og gengivet herunder.
Beskæftigelsesfradraget er et ligningsmæssigt fradrag, der i 2021 udgør 10,6 pct. af
arbejdsindkomsten
1
, dog maks. 40.600 kr. Ligningsmæssige fradrag fratrækkes i
opgørelsen af den skattepligtige indkomst, som er grundlaget for kirke- og kom-
muneskatten. Som led i skattereformen fra juni 2012 øges beskæftigelsesfradraget
frem mod 2022 til 10,65 pct. I det følgende tages der udgangspunkt i ændringer i
beskæftigelsesfradraget i forhold til de fuldt indfasede regler for beskæftigelsesfra-
draget.
Det forudsættes, at der med spørgsmålet ønskes selvfinansieringsgraderne for æn-
dringer i beskæftigelsesfradraget, som giver et umiddelbart mindre-provenu på
henholdsvis 3, 5 og 10 mia. kr. Disse mindre-provenuer opnås gennem tre for-
skellige ændringer i beskæftigelsesfradraget. Det
første,
hvor procenten for beskæf-
tigelsesfradraget øget, men det maksimale beskæftigelsesfradrag fastholdes. Det
indebærer, at det maksimale beskæftigelsesfradrag nås ved en lavere indkomst,
jf.
figur 1.
Det
andet,
hvor procenten øges og det maksimale beskæftigelsesfradrag
øges parallelt, så det maksimale fradrag opnås ved den samme indkomst. Det
tredje,
hvor den øvre grænse for fradrag fjernes.
Beskæftigelsesfradraget beregnes af arbejdsmarkedsbidragsgrundlaget plus eventuelle indskud til arbejdsgi-
veradministrerede pensionsordninger, herunder ATP-bidrag knyttet til arbejdsindkomst.
1
FIU, Alm.del - 2020-21 - Endeligt svar på spørgsmål 458: MFU spm. om den skønnede selvfinansieringsgrad af at øge beskæftigelsesfradraget for henholdsvis 3, 5 og 10 mia. kr. , til finansministeren
2466923_0002.png
Side 2 af 6
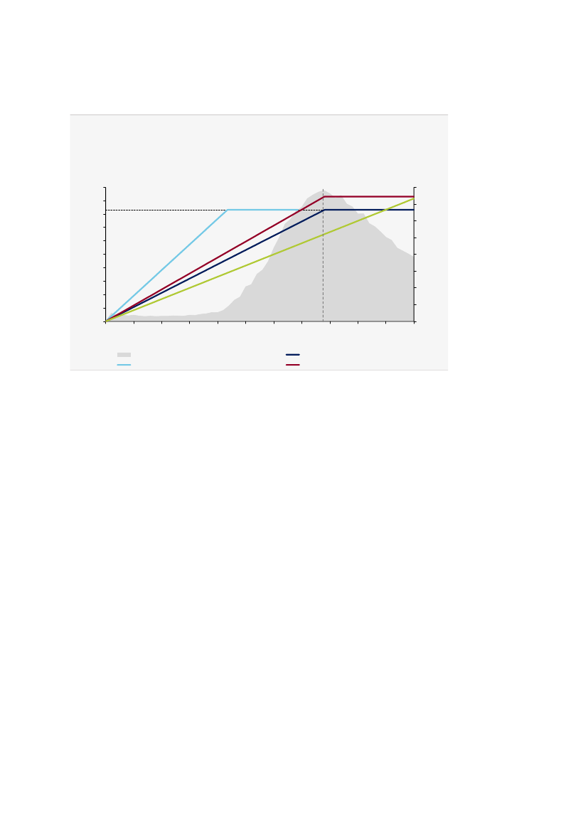
Figur 1
Illustration af forskellige tilgange til forhøjelser af beskæftigelsesfradraget, 2025-regler, 2022-niveau
Fradrag, 1.000 kr.
50
45
40
35
30
25
20
15
10
5
0
0
50
100
150
200
390.600 kr.
Pct.
4,0
3,5
3,0
2,5
2,0
1,5
1,0
0,5
250
300
350
400
450
Arbejdsindkomst før AM, 1.000 kr.
500
550
0,0
Beskæftigede (h. akse)
Højere procent, uændret loft
Nuværende regler
Procent og loft øges parallelt
Anm.: Indkomsterne er opgjort som grundlaget for beskæftigelsesfradraget.
Kilde: Egne beregninger på lovmodellens datagrundlag på baggrund af en 3,3 pct. stikprøve af befolkningen.
Tilpasningerne i beskæftigelsesfradraget, der giver mindre-provenu på hhv. 3, 5 og
10 mia. kr. for de tre modeller, er oplistet i tabel 1.
FIU, Alm.del - 2020-21 - Endeligt svar på spørgsmål 458: MFU spm. om den skønnede selvfinansieringsgrad af at øge beskæftigelsesfradraget for henholdsvis 3, 5 og 10 mia. kr. , til finansministeren
2466923_0003.png
Side 3 af 6
Tabel 1
Virkninger af ændringer i beskæftigelsesfradraget, 2025-regler i 2022-niveau.
Beskæftigelses-
fradragssats
(pct.)
Nuværende regler
10,65
Maksimalt be-
skæftigelses-
fradrag (kr.)
41.600
Umiddelbar
provenuvirk-
ning
(mia. kr.)
Saldovirk-
ning efter
tilbageløb
(mia. kr.)
Saldovirkning
efter tilbage-
løb og adfærd
(mia. kr.)
Selvfinan-
sierings-
grad
(pct.)
1. Højere procent og uændret loft
3 mia.
5 mia.
Maks.
2. Procent og loft øges parallelt
3 mia.
5 mia.
10 mia.
3. Intet loft
3 mia.
5 mia.
10 mia.
8,32
8,90
10,37
Ubegrænset
Ubegrænset
Ubegrænset
-3,0
-5,0
-10,0
-2,3
-3,9
-7,7
-0,9
-2,2
-5,6
62
42
27
11,92
12,75
14,86
46.600
49.800
58.000
-3,0
-5,0
-10,0
-2,3
-3,9
-7,7
-2,2
-3,6
-7,2
7
7
6
19,15
36,15
100
41.600
41.600
41.600
-3,0
-5,0
-6,6
-2,3
-3,8
-5,1
-2,6
-4,3
-5,5
-13
-12
-7
Anm.: Selvfinansieringsgraden er opgjort i procent af saldovirkningen efter tilbageløb.
Kilde: Egne beregninger på lovmodellens datagrundlag på baggrund af en 3,3 pct. stikprøve af befolkningen.
1. Øget procent, men fastholdt øvre grænse for beskæftigelsesfradraget
Hvis procenten for beskæftigelsesfradraget forhøjes, mens den øvre grænse holdes
fast, betyder det, at det maksimale fradrag opnås ved en lavere indkomst. Samtidig
vil alle som i udgangspunktet ikke fik det maksimale fradrag, få et højere fradrag.
Det vil alt andet lige øge det såkaldte forskelsbeløb og dermed øge incitamentet til
beskæftigelse relativt til at være på overførselsindkomst. En sådan ændring i be-
skæftigelsesfradraget vil således øge arbejdsudbuddet igennem deltagelseseffekten.
En højere procent for beskæftigelsesfradraget indebærer lavere marginalskat for
personer med indkomster op til den nye indkomstgrænse for det maksimale be-
skæftigelsesfradrag og en øget marginalskat for personer med indkomster mellem
den nye og den gamle indkomstgrænse. For personer med indkomster over græn-
sen, hvor det maksimale beskæftigelsesfradrag nås efter gældende regler, dvs. over
41.600 / 0,1065 = 390.600 kr., er marginalskatten uændret. Da der er flere perso-
ner i indkomstintervallet, hvor marginalskatten øges end hvor den sænkes er virk-
ningen på timearbejdsudbuddet negativ.
Det fremgår af de konkrete beregninger, at den negative arbejdsudbudsvirkning
fra timeeffekten er større end den positive virkning fra deltagelseseffekten. Ar-
bejdsudbudsvirkningen bidrager i dette tilfælde til at øge det umiddelbare prove-
FIU, Alm.del - 2020-21 - Endeligt svar på spørgsmål 458: MFU spm. om den skønnede selvfinansieringsgrad af at øge beskæftigelsesfradraget for henholdsvis 3, 5 og 10 mia. kr. , til finansministeren
Side 4 af 6
nutab ved ændringen i beskæftigelsesfradraget. I det tilfælde, hvor ændring i be-
skæftigelsesfradraget er indrettet efter et umiddelbart provenutab på 3 mia. kr.,
kan der således opgøres en negativ selvfinansieringsgrad på -13 pct.
Hvis procenten for beskæftigelsesfradraget øges yderligere, så eksperimentet giver
et umiddelbart mindre-provenu på 5 mia. kr., reduceres selvfinansieringsgraden
nominelt i forhold til eksperimentet, der giver et mindre-provenu på 3 mia. kr.
Det skyldes at langt de fleste beskæftigede allerede opnår det fulde beskæftigelses-
fradrag i det første eksperiment og de derfor ikke får glæde af den yderligere for-
højelse. Til gengæld er der en gruppe af overførselsmodtagere, der har en beske-
den supplerende arbejdsindkomst, fra blandt andet honorarer og anden B-ind-
komst, og denne gruppe vil på den måde få glæde af forhøjelsen af beskæftigelses-
fradraget i bunden.
Det er ikke muligt at øge procenten for beskæftigelsesfradraget svarende til et
umiddelbart mindre-provenu på 10 mia. kr., uden også at hæve loftet. Hvis fra-
dragssatsen sættes til 100 pct. vil det give et umiddelbart mindre-provenu på 6,6
mia. kr., hvilket således er det højst mulige umiddelbare mindreprovenu inden for
rammerne af denne type ændringer af beskæftigelsesfradraget.
2. Procent og loft øges parallelt
Beskæftigelsesfradraget har været øget flere gange siden indførelsen i 2004, og til-
gangen har hver gang været, at loftet for beskæftigelsesfradraget øges parallelt med
procenten, så det maksimale fradrag når ved samme indkomstniveau før og efter
ændringen.
Når loftet øges parallelt er der ingen, der får øget marginalskat. Personer med ind-
komster under grænsen for, hvornår det maksimale fradrag nås, får alle en lavere
marginalskat, mens alle personer over denne grænse får et fast kronebeløb i skat-
telempelse. Det indebærer et øget arbejdsudbud blandt personer under det maksi-
male fradrag og et lavere arbejdsudbud blandt personer over det maksimale fra-
drag. Sidstnævnte på grund af indkomsteffekten. Indkomsteffekten er et resultat
af, at en skattelempelse indebærer, at den samme disponible indkomst kan opnås
ved en lavere arbejdsindsats.
Stigningen i arbejdsudbuddet fra den lavere marginalskat dominerer faldet i ar-
bejdsudbuddet fra indkomsteffekten, og ændringen i beskæftigelsesfradraget vil i
dette tilfælde bidrage til øget arbejdsudbud. De afledte virkninger på den offent-
lige saldo af det øgede timearbejdsudbud er imidlertid negativ, hvilket skal ses i
sammenhæng med, at det er personer med høje indkomster, som nedsætter ar-
bejdsudbuddet, og personer med relativt lave indkomster, der øget arbejdsudbud-
det.
Forhøjelsen af beskæftigelsesfradraget giver en skattelempelse for alle med ar-
bejdsindkomst og dermed øges det økonomiske incitament til at være beskæftiget
frem for at være på overførselsindkomst, når beskæftigelsesfradraget øges. Udover
FIU, Alm.del - 2020-21 - Endeligt svar på spørgsmål 458: MFU spm. om den skønnede selvfinansieringsgrad af at øge beskæftigelsesfradraget for henholdsvis 3, 5 og 10 mia. kr. , til finansministeren
Side 5 af 6
virkningen på arbejdsudbuddet fra den lavere marginalskat, er der således også en
positiv arbejdsudbudsvirkning fra øget incitament til deltagelse. Inklusive deltagel-
seseffekten er saldovirkningen fra det øgede arbejdsudbud positiv.
Beregninger af forhøjelser af beskæftigelsesfradraget svarende et umiddelbart pro-
venu på hhv. 3, 5 og 10 mia. kr. indikerer en selvfinansieringsgrad på cirka 7 pct.
3. Fjernelse af øvre grænse for beskæftigelsesfradraget
En fjernelse af den øvre grænse over beskæftigelsesfradraget vurderes at være for-
bundet med et umiddelbart mindre-provenu på 11,0 mia. kr. Hvis eksperimentet
blot skal give et mindre provenu skal procenten for beskæftigelsesfradraget såle-
des samtidig reduceres.
Når loftet over beskæftigelsesfradraget fjernes, betyder det i første omgang, at alle
som i udgangspunktet opnåede det fulde fradrag, både vil få reduceret deres mar-
ginalskat samtidig med, at deres samlede skattebetaling også reduceres. Dette giver
anledning til en positiv substitutionseffekt og en negativ indkomsteffekt på time-
arbejdsudbuddet, for denne gruppe.
For dem, der i udgangspunktet ikke opnår det fulde beskæftigelsesfradrag, bliver
marginalskatten og den samlede skattebetaling øget fordi procenten for beskæfti-
gelsesfradraget er reduceret i forhold til gældende regler.
Deltagelseseffekten opgøres for personer med en lønindkomst (for ledige en esti-
meret lønindkomst) op til et vist niveau. For personer med høje lønindkomst vur-
deres ændringer i forskelsbeløbet ikke at have nævneværdig betydning for deres
beslutning om at deltage på arbejdsmarkedet. Når loftet over det maksimale be-
skæftigelsesfradrag hæves, er det hovedsagelig personer med indkomster over ni-
veauet for beregning af en deltagelseseffekt, der får en lempelse, og derfor er del-
tagelseseffekten ved en isoleret fjernelse af loftet meget beskeden.
I eksperimentet med et mindre-provenu på 3 og 5 mia. kr. reduceres gevinsten
ved beskæftigelse for de laveste indkomster, hvilket bidrager til en reduktion i for-
skelsbeløbet og dermed et fald i arbejdsudbuddet fra deltagelseseffekten. Om-
vendt giver eksperimentet med et umiddelbart mindre-provenu på 10 mia. kr. an-
ledning til en positiv arbejdsudbudsvirkning som følge af øget deltagelse. Virknin-
gen på arbejdsudbuddet er dog i begge tilfælde relativt beskeden i forhold til virk-
ningen på arbejdsudbuddet fra lavere marginalskat.
De konkrete beregninger for de tre modeller med et umiddelbart mindre-provenu
på 3, 5 og 10 mia. kr., viser at der kan være forholdsvis store selvfinansieringsgra-
der ved at fjerne loftet for beskæftigelsesfradraget. Selvfinansieringsgraden er
størst ved eksperimentet med et umiddelbart mindre-provenu på 3 mia. kr., her er
selvfinansieringsgraden 62 pct. Den høje selvfinansieringsgrad skal ses i sammen-
FIU, Alm.del - 2020-21 - Endeligt svar på spørgsmål 458: MFU spm. om den skønnede selvfinansieringsgrad af at øge beskæftigelsesfradraget for henholdsvis 3, 5 og 10 mia. kr. , til finansministeren
Side 6 af 6
hæng med, at en fjernelse af loftet (og sænkelse af procenten) indebærer en skatte-
stigning for en relativt stor gruppe personer, som samtidig får en marginalskatte-
lempelse.
Uden et loft over beskæftigelsesfradraget er det forholdsvis dyrt at øge procenten.
Det skyldes, at en forøgelse af procenten lemper skatten på hele arbejdsindkom-
sten. For personer med høj arbejdsindkomst giver det en stor lempelse i kroner i
forhold til lempelsen på marginalen. Således er den ekstra marginalskattelempelsen
og dermed arbejdsudbudsvirkning, der kan opnås ved at bruge 2 eller 7 mia. kr.
mere end i modellen til 3 mia. kr. relativt beskeden.
Med venlig hilsen
Nicolai Wammen
Finansminister