Finansudvalget 2020-21
FIU Alm.del
Offentligt
2341503_0001.png
Finansudvalget 2019-20
FIU Alm.del - endeligt svar på spørgsmål 353
Offentligt
Folketingets Finansudvalg
Christiansborg
28. oktober 2020
Svar på Finansudvalgets spørgsmål nr. 353 (Alm. del) af 8.
september 2020 stillet efter ønske fra Rune Lund (EL)
Spørgsmål
Vil ministeren oversende en illustrativ følsomhedsberegning af den finanspolitiske
holdbarhed i lighed med de beregninger, der fremgår af kapitel 4.3 i ”DK2025 –
en grøn, retfærdig og ansvarlig genopretning
af dansk økonomi”, hvor udviklingen
i den 10-årige statsobligationsrente svarer til gennemsnittet for hhv. de seneste 10
år, 15 år og 20 år? Beregningen bedes illustreret i figurer og vedlægges i tabeller.
Svar
Det bemærkes indledningsvist, at det gennemsnitlige renteniveau over de sidste
10, 15 eller 20 år i høj grad er bestemt af tiden efter finanskrisen i 2008, hvor de
globale renter har været meget lave (navnlig i sikre lande), herunder i kraft af høj
global opsparing, lavt inflationspres, ekstraordinære pengepolitiske lempelser og
en søgning mod sikre havne mv. Det kan ikke tages for givet, at disse faktorer alle
vil vare ved, og det lægges heller ikke til grund i Finansministeriets langsigtede
fremskrivninger, ej heller i andre institutioners fremskrivninger.
Finansministeriet har i forbindelse med fremskrivningen, der ligger til grund for
DK2025
En grøn, retfærdig og ansvarlig genopretning af dansk økonomi
nedjusteret den
langsigtede forudsætning om den 10-årige statsrente fra 4,5 til 4 pct., og samtidig
forudsat en meget gradvis og langsom normalisering, hvor dette niveau først nås i
2050. Til sammenligning forudsætter DØR og DREAM i deres langsigtede frem-
skrivninger en 10-årig statsrente på 4,75 pct. Europakommissionen har, ligesom
Finansministeriet, nedsat den langsigtede renteforudsætning til 4 pct. fra 2050.
I
DK2025
En grøn, retfærdig og ansvarlig genopretning af dansk økonomi
er der med de
anvendte beregningstekniske forudsætninger, samt vedtaget politik i øvrigt, udsigt
til en holdbar finanspolitik med afsæt i genopretningen af den offentlige saldo ef-
ter midten af århundredet. Den finanspolitiske holdbarhedsindikator er således
positiv svarende til knap 1 pct. af BNP.
Finansministeriet · Christiansborg Slotsplads 1 · 1218 København K · T 33 92 33 33 · E [email protected] · www.fm.dk
FIU, Alm.del - 2020-21 - Endeligt svar på spørgsmål 131: Spm. om ministeren vil oversende en illustrativ følsomhedsberegning af den finanspolitiske holdbarhed, til finansministeren
2341503_0002.png
Side 2 af 5
Med afsæt i de af spørger angivne forudsætninger, som i alle tre scenarier indebæ-
rer en nedjustering af den langsigtede renteforudsætning,
jf. nærmere i afsnittet om be-
regningstekniske forudsætninger,
styrkes den finanspolitiske holdbarhedsindikator med
op til ca. 0,9 pct. af BNP sammenlignet med grundforløbet,
jf. tabel 1.
Det skal
imidlertid understreges, at der er udelukkende er tale om rent illustrative beregnin-
ger, der bør fortolkes med varsomhed.
Tabel 1
Holdbarhedsindikatoren i alternative scenarier
Pct.
Langsigtet 10-årig stats-
obligationsrente (fra
2050)
HBI
- Forskel fra grundforløb
10-årigt gennemsnit
0,7
1,9
0,9
15-årigt gennemsnit
1,7
1,3
0,4
20-årigt gennemsnit
2,4
1,2
0,3
Grundforløb
4,0
1,0
-
Anm.: På grund af afrundinger kan der være forskelle mellem delsummer og totalen.
Kilde: Egne beregninger.
Forbedringen af den finanspolitiske holdbarhed skal fortolkes med varsomhed, da
den alene skyldes en diskonteringseffekt, jf. nærmere nedenfor. I alle de
alternative scenarier er der udsigt til en permanent svækkelse af den offentlige
saldo i forhold til grundforløbet,
jf. figur 1 og 2.
Figur 1
Udvikling i den primære offentlige saldo
Pct. af BNP
4
3
Figur 2
Udvikling i den offentlige saldo
Pct. af BNP
4
3
2
1
Pct. af BNP
4
3
2
1
Pct. af BNP
4
3
2
1
0
-1
-2
-3
-4
25 30 35 40 45 50 55 60 65 70 75 80 85 90 95 00
Grundforløb
10-årigt gennemsnit
15-årigt gennemsnit
20-årigt gennemsnit
2
1
0
-1
-2
-3
-4
0
-1
-2
-3
-4
25 30 35 40 45 50 55 60 65 70 75 80 85 90 95 00
Grundforløb
10-årigt gennemsnit
15-årigt gennemsnit
20-årigt gennemsnit
0
-1
-2
-3
-4
Kilde: Egne beregninger.
Svækkelsen af den primære offentlige saldo kan primært henføres til lavere
fremtidigt pensionsafkastskatteprovenu, som følge af lavere afkast på
pensionsformuen. Det er lagt til grund for beregningen, at afkastet på
pensionsformuen, på linje med forudsætningerne i
DK2025
En grøn, retfærdig og
asnvarlig genopretning af dansk økonomi,
antages at følge afkastet på aktier og
obligationer, med 1/3 vægt på aktier og 2/3 vægt på obligationer, samt fratrukket
administrationsomkostninger. Desuden medfører det lavere afkast på
FIU, Alm.del - 2020-21 - Endeligt svar på spørgsmål 131: Spm. om ministeren vil oversende en illustrativ følsomhedsberegning af den finanspolitiske holdbarhed, til finansministeren
2341503_0003.png
Side 3 af 5
pensionsformuen lavere skatteindtægter som følge af mindre udbetalinger fra
arbejdsmarkedspensionerne mv. Endelig vil de lavere private
pensionsudbetalinger medføre mindre modregning af pensionstillæget til
folkepensionen og boligydelse, hvilket svækker de offentlige finanser.
Omvendt skønnes højere disponibel indkomst i den private sektor som følge af
lavere nettorenteudgifter at give anledning til øget moms- og afgiftsprovenu gen-
nem en forøgelse af det private forbrug.
1
I modsat retning trækker imidlertid ef-
fekten af de lavere nettopensionsudbetalinger, som alt andet lige sænker den di-
sponible indkomst. Endelig vil lavere nettorenteudgifter i husholdningerne mind-
ske statens udgifter til rentefradrag, hvilket isoleret set styrker de offentlige finan-
ser.
Den positive effekt på holdbarhedsindikatoren kan primært henføres til
diskonteringseffekten, hvorved fremtidige overskud på den primære offentlige
saldo efter midten af århundredet
som er baseret på, at levetidsindekseringen af
pensionsaldrene fastholdes
tillægges højere vægt end i grundforløbet.
Holdbarhedskonceptet indebærer et krav om, at staten og kommunerne samlet set
er solvent på lang sigt. Det svarer til en betingelse om, at stat og kommuners
intertemporale budgetrestriktion er overholdt
dvs. at stat og kommuners
nettogæld i udgangsåret ikke må overstige nutidsværdien af alle fremtidige
primære budgetsaldi. Størrelsen af holdbarhedsindikatoren afspejler den
permanente justering af den primære saldo opgjort i pct. af BNP, der netop sikrer,
at budgetrestriktionen er overholdt,
jf også Mod Nye Mål, DK2015
Teknisk
baggrundsrapport
for en teknisk gennemgang af holdbarhedsindikatoren. En lavere
langsigtet renteforudsætning afspejles i en lavere vækstkorrigeret
diskonteringsrente, hvilket øger nutidsværdien af fremtidige primære budgetsaldi.
Holdbarhedsindikatoren bør i indeværende beregninger tolkes med ekstra
varsomhed, idet den markante nedjustering af de langsigtede renteforudsætninger
medfører en permanent negativ merrealrente
2
og dermed en vækstkorrigeret
diskonteringsfaktor, der er stigende ud i tid
3
. Det betyder i praksis, at fremtidige
budgetsaldi vægtes højere, jo længere ud i tid de forekommer. At der trods
saldosvækkelsen i alle tre scenarier er udsigt til en beregnet forbedring af den
finanspolitiske holsbarhedsindikator er således udtryk for, at de fremtidige
Det bemærkes, at forbrugskvoten beregningsteknisk er holdt omtrent uændret frem til 2030 sammenlignet
med grundforløbet, hvilket afspejles i moms- og afgiftsprovenuet.
2
Merrealrenten (den vækst- og inflationskorrigerede rente) med konstant rente og vækst defineres som: q =
+
−����
−1=
≈ ���� − ���� ≈ ���� − ���� − ����
, hvor
���� = 1 + ���� 1 + ����
er den nominelle BNP-vækst, i er den no-
1
minelle statsobligationsrente, a er produktivitetsvæksten og π er inflationen.
Antages en nominel statsobligati-
onsrente på 4 pct., en produktivitetsvækst på 1 pct. og en inflationsrate på 1,8 pct., fås en merrealrente på q
4,0
2,8 = 1,2 pct., Nedjusteres obligationsrenten illustrativt til 2,4 pct. fås imidlertid en negativ merrealrente
på q
2,4
2,8 = -0,4 pct.
3
Diskonteringsfaktoren anvendes til at beregne nutidsværdien af fremtidige beløb (tilbagediskontering). Nu-
tidsværdien af et beløb, der falder i periode t+j, fås ved at gange beløbet med diskonteringsfaktoren fra peri-
ode t til t+j. Den vækstkorrigerede diskonteringsfaktor fra periode t til t+j defineres som:
����
����,
= [∏
=
1 + ����
����+
]
+����
+����
, hvor
����
����+
er merrealrenten i periode t+i.
FIU, Alm.del - 2020-21 - Endeligt svar på spørgsmål 131: Spm. om ministeren vil oversende en illustrativ følsomhedsberegning af den finanspolitiske holdbarhed, til finansministeren
2341503_0004.png
Side 4 af 5
budgetoverskud efter midten af århundredet tillægges højere vægt end de
førstkommende års budgetunderskud. Der kan således stilles spørgsmålstegn ved,
i hvor høj grad holdbarhedsindikatoren er meningsfuld, når en beregnet
budgetsaldo i fx 2099 får større vægt i opgørelsen end saldoen i 2021 (hvilket er
tilfældet, når den langsigtede renteforudsætning er lavere end den nominelle BNP-
vækst).
Beregningstekniske forudsætninger
I
DK2025
En grøn, retfærdig og ansvarlig genopretning af dansk økonomi,
forudsættes
den 10-årige statsobligationsrente gradvist at normaliseres til 4 pct. i 2050.
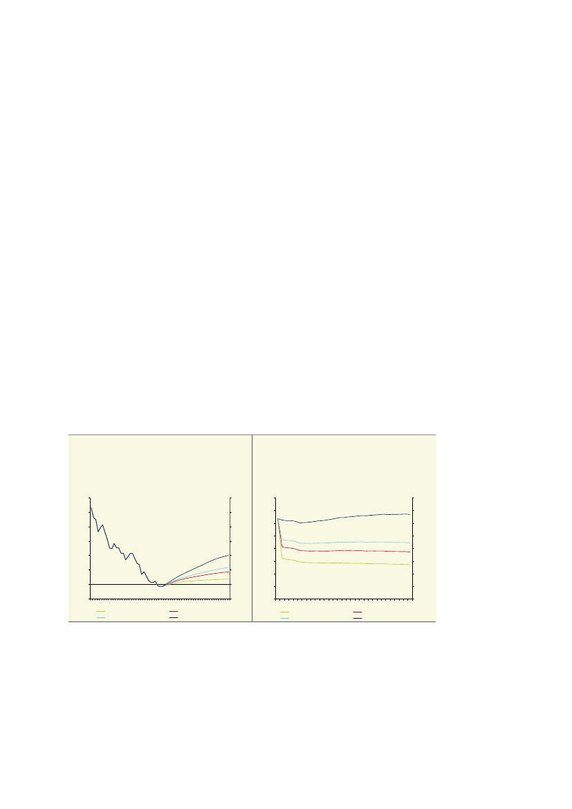
De af spørger angivne forudsætninger ville imidlertid indebære en langsigtet rente-
forudsætning på hhv. 0,7 pct., 1,7 pct. og 2,4 pct. for den 10-årige statsobligations-
rente,
jf. figur 3.
De justerede renteforudsætninger afspejles desuden i antagelserne
vedrørende det strukturelle afkast på pensionsformuen, som er sammensat af ak-
tier, obligationer, ejendomme og visse andre aktiver. Det strukturelle pensionsaf-
kast ville under de alternative forudsætninger udgøre hhv. 2,3 pct., 3,0 pct. og 3,4
pct. sammenlignet med 4�½ pct. i grundforløbet (efter fradrag af administrations-
omkostninger),
jf. figur 4.
Set i lyset af de markante forskelle i de beregningstekniske antagelser, kan de illu-
strative beregninger ikke betragtes som egentlige marginalberegninger og bør der-
for tolkes med ekstra varsomhed.
Figur 3
Alternative forudsætnigner for den 10-årige
statsobligationsrente
Pct.
12
10
Pct.
12
10
Figur 4
Strukturel pensionsafkastskatteprovenu ved
alternative afkastforudsætninger
Pct. af BNP
1,6
1,4
1,2
1,0
Pct. af BNP
1,6
1,4
1,2
1,0
8
6
4
2
0
-2
90 94 98 02 06 10 14 18 22 26 30 34 38 42 46 50
10-årigt gennemsnit
15-årigt gennemsnit
20-årigt gennemsnit
Grundforløb
8
6
0,8
4
0,8
0,6
0,4
0,2
0,0
20 22 24 26 28 30 32 34 36 38 40 42 44 46 48 50
10-årigt gennemsnit
15-årigt gennemsnit
20-årigt gennemsnit
Grundforløb
0,6
2
0
-2
0,4
0,2
0,0
Kilde: Egne beregninger.
Markedsrenterne for de 10-årige statsobligationer i lande som Danmark og Tysk-
land har generelt haft en faldende tendens over en lang periode. Navnlig siden den
globale finanskrise i 2008 er statsrenterne i de lande, der betragtes som en sikker
havn, faldet til rekordlave og grundlæggende uforudsete niveauer. Markederne
forventer, i det omfang det kan bedømmes ud fra beregnede forward-renter, at
FIU, Alm.del - 2020-21 - Endeligt svar på spørgsmål 131: Spm. om ministeren vil oversende en illustrativ følsomhedsberegning af den finanspolitiske holdbarhed, til finansministeren
Side 5 af 5
renterne vil være lave lang tid endnu. Usikkerheden efter coronakrisen har ikke
gjort forventningerne til fortsat lave renter mindre.
I lyset heraf har Finansministeriet henover årene nedjusteret de langsigtede rente-
forudsætninger over nogle omgange. Senest med den opdaterede 2025-fremskriv-
ning i
DK2025
En grøn, retfærdig og ansvarlig genopretning af dansk økonomi
har Fi-
nansministeriet som nævnt sænket den langsigtede renteforudsætning fra den 10-
årige statsobligationsrente fra 4�½ til 4 pct., og renterne antages først at nå dette
niveau i 2050 frem for i 2040, som tidligere forudsat.
Tendensen til faldende renter, herunder på danske statsobligationer, drives af en
række forskellige faktorer,
jf. også appendiks 4A i DK2025
En grøn, retfærdig og an-
svarlig genopretning af dansk økonomi,
herunder en række fundamentale forhold i glo-
bal økonomi, der påvirker balancen mellem opsparinger og investeringer. Mens
det i sagens natur er vanskeligt at spå om den fremtidige renteudvikling, kan det
med rimelighed forventes, at nogle af de underliggende faktorer, der i de senere år
har bidraget til det lave renteniveau, ikke i samme omfang vil gøre det fremadret-
tet.
Eksempelvis må den globale opsparingstilbøjelighed forventes at dale i takt med,
at de store årgange, der har sparet op til alderdommen, herunder i forventningen
om at leve længere, begynder at tære på deres pensionsformue (dvs. nedspare).
Endvidere er der en sandsynlighed for, at den øgede usikkerhed i kølvandet på fi-
nans- og coronakrisen aftager igen og dermed mindsker efterspørgslen efter sikre
aktiver, samt at pengepolitikken på et tidspunkt gradvist normaliseres. Begge dele
vil trække i retning af en gradvis normalisering af renteforholdene. Det er imidler-
tid sandsynligt, at en sådan normalisering vil strække sig over en lang periode.
Blandt andet på den baggrund, forudsættes der i Finansministeriets fremskrivnin-
ger en gradvis rentenormalisering frem til 2050.
Med venlig hilsen
Nicolai Wammen
Finansminister