Transportudvalget 2020-21
TRU Alm.del Bilag 298
Offentligt
2379100_0001.png
PostNord
Danmark’s
udbytte til
staten og tilskud fra staten 1996
- 2019
Marts 2020
TRU, Alm.del - 2020-21 - Bilag 298: Kopi til orientering af transportministerens svar på Finansudvalgets alm. del - spm. 238-240 om Post Danmarks regnskabspraksis
2379100_0002.png
Post Danmark A/S har modtaget nedenstående støtte:
Statsstøtte i 2018 på i alt
1,124 mia. kr.
(1,533 mia. SEK)
til delvis dækning af udgifterne ved afskedigelse af et
større antal ansatte på ’særlige vilkår’ (tidligere
tjenestemænd) i Post Danmark A/S.
Statsstøtte i 2020 på
112 mio. kr.
som midlertidig
kompensation til Post Danmark A/S for varetagelsen af
befordringspligten uden ændringer i serviceniveauet frem
til 30. juni 2020.
Udligningsordning på postområdet:
2,6 mio. kr.
i 2017,
4,4 mio. kr.
i 2018 samt
5,7 mio. kr.
i 2019.
Modtaget støtte i alt:
1,249 mia. kr.
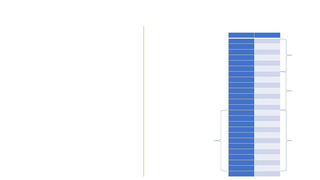
Oversigt over indtægter til staten fra Post Danmark /
PostNord i perioden 1996-2019:
(mio. kr.)
Indtægter
2,6 mia. kr. i goodwill er
fremkommet ved etableringen
af Post Danmark SOV i 1995.
1996
1997
1998
1999
2000
2001
2002
2003
2004
2005
2006
2007
2008
2009
2010
2011
2012
2013
2014
2015
2016
2017
2018
2019
I alt
200,1
188,4
193,2
197,6
170,2
170,4
0
91
148,8
750
412,8
502,9
405,6
0
434,3
327,2
121,2
35,4
41,5
0
0
0
0
0
4390,6
Post Danmark SOV
Post Danmark A/S
959,9 mio. kr. siden
fusionen i 2009
PostNord AB
TRU, Alm.del - 2020-21 - Bilag 298: Kopi til orientering af transportministerens svar på Finansudvalgets alm. del - spm. 238-240 om Post Danmarks regnskabspraksis
2379100_0003.png
BAGGRUND OG INTRODUKTION
Kapitalbevægelserne mellem PNDK og PostNord Group AB har
udlignet hinanden i perioden 2009-2019
Kapitalbevægelser mellem PNDK og PostNord Group
AB, 2009-2019, mia. kr.
3,3
3,3
I perioden siden fusionen
(2009 til 2019) har
kapitalbevægelserne
mellem PNDK og PostNord
Group AB udlignet
hinanden
PNDK ikke modtaget
nettofinansiering fra
koncernen
Udbytte til
PostNord Group AB
KILDE: PNDK
Kapitaltilskud fra
PostNord Group AB
3