Sundhedsudvalget 2020-21
SUU Alm.del Bilag 573
Offentligt
2445042_0001.png
Projekt 2 - Undersøgelse af vandprøver som indikator for
legionellatilfælde og typer
Indhold
INDLEDNING OG SAMMENFATNING ......................................................................... 3
BAGGRUND ................................................................................................................. 5
Legionella
forekomst og levevis ................................................................................. 5
Typning af
L. pneumophila
og
L. pneumophila
smitsomhed ...................................... 6
Sygdom ..................................................................................................................... 8
Legionærsygdom i Danmark...................................................................................... 9
Hvor bliver man smittet i Danmark? ......................................................................... 12
Hvad bliver man smittet med i Danmark? ................................................................ 13
Geografisk fordeling af legionærsygdom i Danmark ................................................ 16
PROJEKT 2
VANDPRØVER.................................................................................... 18
Formål ..................................................................................................................... 18
Materialer og Metoder ............................................................................................. 18
Resultater ................................................................................................................ 20
Overordnede resultater
dyrkning
....................................................................... 20
Sammenhæng mellem temperatur og cfu/L
......................................................... 20
Dyrkningsresultater for de 4 byer
......................................................................... 23
Resultater af serogruppebestemmelse af isolater fra de fire byer
......................... 25
Resultater af sekvenstypebestemmelse af isolater fra de fire byer
....................... 26
Karakteristik af ejendomme og varmtvandssystemer
........................................... 28
A Sammenhæng mellem ejendomsstørrelse og cfu/L .......................................... 28
B Sammenhæng mellem ejendomsalder og cfu/L ................................................ 29
C Varmtvandssystemerne .................................................................................... 29
Sammenhæng mellem temperatur og L. pneumophila qPCR (GU/L) for B prøver
29
Korrelation mellem dyrkning (cfu/L) og qPCR (GU/L) for L. penumophila
............. 31
Resultater for Legionella spp. qPCR
.................................................................... 34
Diskussion af resultater for hver af de fire byer ........................................................ 35
Randers
............................................................................................................... 36
Odense
................................................................................................................ 38
Aalborg
................................................................................................................ 42
Esbjerg
................................................................................................................ 44
Generel diskussion og delkonklusioner ................................................................... 46
Resultater for dyrkning af Legionella sammenholdt med influensparametre
......... 46
SUU, Alm.del - 2020-21 - Bilag 573: Orientering om afrapportering fra det tværministerielle arbejde om legionellasmitte fra indenrigs- og boligministeren
2445042_0002.png
Reaktionsgrænser................................................................................................
48
Sammenfatning for de fire byer
............................................................................ 50
Kvantitativ PCR (qPCR)
....................................................................................... 51
Sammenligning med udlandet
.............................................................................. 53
Konklusion............................................................................................................... 56
BOLIGFORENINGER ................................................................................................. 59
LITTERATURLISTE .................................................................................................... 60
APPENDIX I................................................................................................................ 65
Legionella under COVID-19 pandemien, Danmark, 2020. ....................................... 65
2
SUU, Alm.del - 2020-21 - Bilag 573: Orientering om afrapportering fra det tværministerielle arbejde om legionellasmitte fra indenrigs- og boligministeren
2445042_0003.png
INDLEDNING OG SAMMENFATNING
I marts 2018 blev der sat politisk fokus på
Legionella
i Danmark med et beslutningsforslag i
Folketinget om at nedbringelse af risikoen for at blive smittet med
Legionella
i Danmark. En
tværfaglig arbejdsgruppe blev nedsat til først at lave en statusredegørelse og efterfølgende
gennemføre en række undersøgelser for at afklare mulige årsager til det stigende antal af
registrerede danske tilfælde med legionærsygdom. Der blev afsat i alt 2 mio. kr. på finansloven
for 2019 til arbejdet. Denne undersøgelse gennemfører en del af det beslutningsgrundlag, der
blev lavet for at udmønte bevillingen.
I Danmark er antallet af registrerede tilfælde steget siden 2013 fra 113 tilfælde til 278 tilfælde i
2020. Danmark har desuden et af de højeste antal smittede i forhold til befolkningens størrelse
(siden 2017 ca. 4,5 tilfælde per år per 100.000 indbyggere) sammenlignet med andre
europæiske lande; også i forhold til lande med god diagnostik og god overvågning. Erfaringer
fra undersøgelse af rutine/kontrolprøver og fra tidligere mindre undersøgelser af
varmtvandsinstallationer indikerer endvidere, at Danmark kan have relativt flere installationer
med forekomst af
Legionella
end andre lande. Der er dog ikke tidligere gennemført en
systematisk undersøgelse af dette og om hvorvidt den høje forekomst af mere eller mindre
smitsomme legionellatyper kan være årsag til regionale forskelle og det høje smittetal.
Denne viden er vigtig for, at bl.a. bygningsejere såsom kommunerne bedre kan forebygge
legionellavækst og derigennem smitte. Derudover kan denne viden bidrage til et nationalt
risikobillede og til bedre at fastsætte hvilke grænseværdier for forekomst af
Legionella,
der bør
handles på (reaktionsgrænser)
Nærværende rapport beskriver en undersøgelse af, hvorvidt Danmark har en høj frekvens af
Legionella
i installationer i beboelsesejendomme, sammenlignet med andre lande. Herudover
undersøges om høje niveauer og tilstedeværelse af forskellige typer af
Legionella
hænger
sammen med antallet af tilfælde med legionærsygdom i de undersøgte områder. Der er
udvalgt fire byer for at belyse dette. Dels to byer med generelt højt antal, dels to byer med
generelt lavt antal af legionellatilfælde. Undersøgelsen skal ses i sammenhæng med et andet
projekt, som beskriver og belyser årsager til regionale forskelle i smitte, og gennemføres i den
tværministerielle arbejdsgruppe.
Overordnet viste undersøgelsen, at der var en høj rate af anlæg, der var koloniseret med
Legionella
og at ca. halvdelen havde forholdsvis høje koncentrationer af
Legionella,
der
overstiger de reaktionsgrænser der generelt anvises i nationale og internationale
vejledninger/retningslinjer. Anlæggene var koloniseret med legionellatyper der generelt
betragtes som mindre smitsomme (miljøtyper), hvilket hænger godt sammen med at disse
typer er årsag til de fleste tilfælde af legionærsygdom i Danmark, hvorimod de fleste tilfælde i
andre europæiske lande skyldes mere smitsomme typer (kliniske typer), der er sjældnere i
miljøet. Det høje niveau af tilfælde med mindre smitsomme typer i Danmark skal dog også ses i
lyset af, at man i Danmark primært diagnosticere legionærsygdom med polymerase kæde
reaktion (PCR), der kan påvise alle typer, mens man i andre lande primært diagnosticerer
legionærsygdom med
Legionella pneumophila
urin test (LUT), der stort set kun kan påvise
Legionella pneumophila
serogruppe 1 infektion.
3
SUU, Alm.del - 2020-21 - Bilag 573: Orientering om afrapportering fra det tværministerielle arbejde om legionellasmitte fra indenrigs- og boligministeren
2445042_0004.png
Resultaterne peger på at forskellene i antal registrerede tilfælde i de fire byer sandsynligvis kan
forklares ved en kombination af forekomst af forskellige
Legionella pneumophila
typer og
graden af kolonisering/niveauer af
Legionella pneumophila
i anlæg i de fire byer.
Undersøgelsen peger på en udbredt forekomst og høje niveauer af
Legionella
i
varmtvandsinstallationer i danske beboelsesejendomme. Vandprøverne er undersøgt med
kvantitativ dyrkning og med kvantitativ PCR (qPCR) og belyser niveauerne med begge metoder.
Begge metoder har fordele og ulemper men kan anvendes til en risikovurdering af
varmtvandssystemer. Resultaterne kan anvendes til at fastsætte nationale reaktionsværdier,
men kan i sig selv ikke fastslå disse niveauer, idet fastsættelse af niveauer skal ses i
sammenhæng med de følgevirkninger der kan være som forøget energiforbrug, omkostninger
ved renovering af anlæg med videre. Desuden vil krav til forøget undersøgelse af vandprøver
også have økonomiske konsekvenser alt efter hvilke ejendomme, anlæg, institutioner med
videre man ønsker at fastlægge grænseværdier for.
Undersøgelsen kan ikke give et svar på, hvorfor der sket en store stigning i registrerede
tilfælde af legionærsygdom i Danmark. Undersøgelsen peger dog på, at generelt for lave
temperaturer i varmtvandssystemerne bidrager til de relativt høje niveauer der er påvist. Der
har gennem en årrække været fokus på energibesparelse, hvilket kan være årsag til at en stor
del af anlæg i dag drives med for lave temperaturer. Med til billedet af den registrerede
stigning hører også en forbedret overvågning og en eventuel øget testaktivitet. Første punkt
omtales i denne rapport, andet punkt belyses i et andet projekt, som undersøger årsager til
regionale forskelle i smitte. Der mangler fortsat meget viden om
Legionella,
herunder hvilke
faktorer der er korrelerede med forekomst af smitsomme/mindre smitsomme typer, herunder
er det interessant at vi i Danmark kun ser meget få tilfælde med mere smitsomme typer, og
også har meget få udbrud (flere tilfælde smittet fra samme kilde). Udbrud kan dog forekomme,
og et større udbrud er påvist. Mere smitsomme typer kan brede sig geografisk og en forsat
overvågning på dette område er vigtigt.
Rapporten er bygget op på den måde, at inden undersøgelsens metode, data og resultater
præsenteres vil den tilgængelige viden om
Legionella
gennemgås, ligesom der vil gives lidt
baggrund for at forstå undersøgelsens metoder.
4
SUU, Alm.del - 2020-21 - Bilag 573: Orientering om afrapportering fra det tværministerielle arbejde om legionellasmitte fra indenrigs- og boligministeren
2445042_0005.png
BAGGRUND
Legionella
forekomst og levevis
Flere bakteriearter tilhørende familien Legionellaceae (ca. 60 kendte) kan være årsag
til legionærsygdom, der er en alvorlig behandlingskrævende lungebetændelse, eller
Pontiac feber, der er en influenza lignende selvlimiterende sygdom. Der er forholdsvis
stor konsensus om, at familien kun indeholder én slægt
Legionella
(Khodr, 2016).
Legionella
er små (ca. 2 µm) aerobe, stavformede Gram-negative bakterier, som
forekommer i og kan isoleres fra våde/fugtige ferskvandsmiljøer, herunder fra slam,
mudder og jord.
Legionella
arter kan vokse ved temperaturer fra 5 til 50 °C.
L.
pneumophila
formeres dog kun ved ret høje temperaturer over 20 °C, og generelt er
der bedst vækst ved 30 til 40°C, men nogle ”typer” har dog optimal vækst meget tæt på
50 °C (42 til 45 °C) (Sharaby, 2017). I miljøet lever de i komplekse samfund med andre
bakterier og andre mikroorganismer i en biofilm og er naturlige parasitter hos
fritlevende Protozoer, herunder Amøber og Ciliater. Herimod er ingen af arterne
naturlige patogener hos højerestående dyr (hvor de er opportunistiske patogener).
Nogle
Legionella
arter (herunder
L. pneumophila)
kan også vokse uden for deres
naturlige værtsceller, bl.a. på vækstmedier, hvis de rette forhold og næringsstoffer er
tilstede, men her vil de ikke udvikle sig til en infektiøs form. Kun ved vækst og modning
i deres værtsceller udvikles den infektiøse form/fase (Garduño 2002). Denne form
findes frit i miljøet, og i denne fase har de fleste arter en til to flageller. Nogle arter,
herunder
L. pneumophila
og
L. longbeachae,
har evnen til at inficere og formere sig i
humane alveolære (lunge-)makrofager, og på den måde give årsag til
lungebetændelse. Men de ”modnes” ikke på samme måde i makrofagerne som i
protozoerne, hvilket man mener er årsagen til, at der ikke (eller kun meget sjældent)
sker smitte fra person til person. Smitte sker derimod primært ved indånding af
forstøvet vand (aerosoler), der er forurenet med bakterierne, men smitte kan også ske
ved fejlsynkning (aspiration). Desuden kan smitte også foregå ved indånding af
forstøvet ”jord/kompost”. Dette er specielt kendt for
L. longbeachae,
som primært
smitter ved arbejde med jord/kompost, og er en hyppig årsag til legionærsygdom i
Australien og New Zealand (Kenagy, 2017), men er også påvist ret hyppigt i nogle
europæiske lande (Buté, 2017). Det er muligt at lignede, eller andre eksterne kilder
(eventuelt naturlige), også kan være en smittevej for nogle ”typer” af
L. pneumophila,
idet man for nogle af de mest smitsomme
L. pneumophila ”typer”,
som sjældent
kolonisere varmtvandssystemer, ikke kender alle smittevejene (Euser, 2013).
L. pneumophila
har optimale temperaturforhold i mange menneskeskabte miljøer,
herunder køletårne, spabade, renseanlæg, forstøvere og varmtvandssystemer.
L.
pneumophila
er årsag til langt de fleste tilfælde (>90%) af legionærsygdom i Europa,
Japan og USA. I Europa regner man med at mere en 95% af alle tilfælde skyldes
L.
pneumophila
(Buté, 2017), men der er antageligt et mørketal, idet det er vanskeligt at
diagnosticere tilfælde forårsaget af andre arter. Baseret på hvad der kan dyrkes, er det
således 2-4% af tilfældene der skyldes andre arter (Buté, 2017), men baseret på PCR
(påvisning af
Legionella
DNA i luftvejsprøver) er det omkring 5-7% der skyldes andre
arter (Svarrer, 2012). Ved dyrkning af vandprøver er det også primært
L. pneumophila
man kan påvise, mens qPCR (for alle arter) meget ofte påviser, at andre
Legionella
arter er tilstede, og ofte i et højere antal end
L. pneumophila
(se afsnitte
Legionella
spp. qPCR resultater).
5
SUU, Alm.del - 2020-21 - Bilag 573: Orientering om afrapportering fra det tværministerielle arbejde om legionellasmitte fra indenrigs- og boligministeren
2445042_0006.png
Udover at kunne vokse ved ret høje temperaturer, er
L. pneumophila
også ganske
varmetolerant, og kan ofte isoleres fra vand der har langt højere temperatur end 50 °C
(op til 70 °C) (Allegra, 2011), og kan i nogle tilfælde overleve i flere timer ved
temperatur op til 60 °C og fortsat være dyrkbare og infektiøse. Varmetolerancen kan
selekteres og opbygges hos bakterierne i et varmtvandssystem (Allegra, 2011; Harriet,
2017), og i nogle tilfælde kan
L. pneumophila
komme til at dominere frem for andre
bakterier, der ikke er så varmetolerante. Generelt er
L. pneumophila
mere resistent end
mange andre bakterier over for både varme- og biocid behandling. Bidragende til dette
er at
Legionella
kan overleve i beskyttende amøbecyster.
Legionella
kan, hvis miljøet
er ugunstigt (manglende næringsstoffer, manglende værtsorganismer, for lav
temperatur, for høj temperatur eller tilstedeværelse af biocid), også overgå i en inaktiv
og resistent hvilefase, hvor de heller ikke kan dyrkes på substrater (levende men ikke
dyrkbar fase (såkaldt VBNC)). Men de er fortsat infektiøse over for deres naturlige
værter, og ved at gennemgå deres livscyklus i en protozo kan de igen fremkomme i en
dyrkbar og infektiøs form.
Alle disse forhold gør, at det rent praktisk er umuligt udrydde
L. pneumophila
i et
menneskabt vandsystem, hvis de først har etableret sig. Det er til gengæld muligt at
kontrollere niveauet ved korrekt drift i form af korrekte temperaturer, korrekt
gennemstrømning af vand og afblænding af døde rørender mv. Biocidbehandling kan
være nødvendig, og kan være et supplement til ovenstående, specielt på hospitaler,
plejehjem, hoteller og offentlige bruseranlæg (badelande, sportsanlæg og pool
områder). For visse anlæg som køletårne og spa-bade er biocidbehandling en
forudsætning for at kontrollere niveauerne, idet de drives ved temperaturer hvor
Legionella
kan vokse.
Typning af
L. pneumophila
og
L. pneumophila
smitsomhed
L. pneumophila
kan opdeles i 16 serogrupper alt efter deres reaktion med polyklonale
eller monoklonale antistoffer.
L. pneumophila
serogruppe 1 er den serogruppe der er
associeret med flest sygdomstilfælde, i litteraturen angives det ofte, at ca. 80 - 90% af
alle tilfælde skyldes serogruppe 1 (European Centre for Disease Prevention and
Control, 2017). For danske tilfælde er det overordnet dog kun ca. 60% af de
dyrkningsverificerede tilfælde der skyldes serogruppe 1. I miljøet er serogruppe 1
generelt ikke så hyppige som andre serogrupper, og de antages derfor at være mere
smitsomme (virulente). Serogruppe 1 kan imidlertid opdeles i to hovedgrupper -
Pontiac og non-Pontiac grupperne - alt efter deres reaktion med et monoklonalt antistof
(MAb 3/1). Pontiac gruppe omfatter subgrupperne Philadelphia, Benidorm, Knoxville og
Allentown/France, mens non-Pontiac gruppe omfatter subgrupperne Bellingham,
OLDA/Oxford og Camperdown. Der er ingen tvivl om, at
L. pneumophila
stammer, der
tilhører Pontiac gruppen, er mere smitsomme end de andre typer, der tilhører non-
Pontiac gruppen, idet stort set alle globalt registrerede udbrud (mere end ét tilfælde
smittet fra samme kilde) uden for hospital er forårsaget af stammer tilhørende denne
gruppe. Desuden bliver denne gruppe sjældent påvist fra diverse vandsystemer, mens
stammer tilhørende non-Pontiac gruppen langt hyppigere bliver påvist. Herudover kan
ellers raske og yngre personer godt smittes med stammer tilhørende Pontiac gruppen,
mens stammer tilhørende non-Pontiac gruppen og andre serogrupper stort set kun
smitter i forvejen svækkede personer.
6
SUU, Alm.del - 2020-21 - Bilag 573: Orientering om afrapportering fra det tværministerielle arbejde om legionellasmitte fra indenrigs- og boligministeren
2445042_0007.png
Overordnet kan man sige, at det kun er stammer, der tilhører Pontiac gruppen, der har
udbruds potentiale (risiko for flere smittede fra samme kilde) blandt ellers raske
personer, mens alle andre grupper primært er årsag til sporadiske (enkeltstående)
tilfælde. Dog kan der, for så vidt angår de sidstnævnte, forekomme udbrud blandt
svække personer (hospitaler og plejehjem). Det er stadig tvivlsomt, om serogruppe 1
non-Pontiac stammer generelt er mere smitsomme end stammer tilhørende andre
serogrupper, men dette studie tyder på det godt kan være tilfældet i det mindste for
subgruppe OLDA/Oxford ST1 (se
Resultater
og
Diskussion)
Der er en genetisk baggrund for opdelingen i Pontiac og non-Pontiac, idet alle Pontiac
stammerne har og udtrykker genet
lag-1
(en O-acetyltransferase), der har indflydelse
på opbygningen af det lipopolysaccharid (LPS), der sidder på ydersiden af bakterierne.
Hvorfor og hvorledes denne specielle LPS konformation har indflydelse på
smitsomheden er uklart, men antageligt har det betydning for evnen til at spredes med
en aerosol eller/og evnen til at blive optaget af makrofager. En nyere undersøgelse
viser også at
lag-1
kan være associeret med forøget resistens mod komplement-
medieret drab (Wee, 2020). Når de er inde i humane makrofager, er de generelt ikke
bedre til at formere sig end andre serogruppe 1 subgrupper og visse andre
serogrupper, og sygdomsforløbet er heller ikke værre; tværtimod er dødeligheden
blandt smittede med Pontiac stammer lavere end dødeligheden for de andre grupper,
men det hænger sammen med, at det generelt er personer med bedre helbred, der
smittes med stammer tilhørende Pontiac gruppen (herunder de rejseassocierede
tilfælde), end personer der smittes med non-Pontiac og andre serogrupper. Men de
egenskaber, der knytter sig til Pontiac gruppen, har tilsyneladende ingen generel fordel
for dem, i det mindste er de, som nævnt, ikke er særligt udbredte i mange miljøer,
herunder varmtvandssystemer. Der findes mange andre virulensassocierede gener hos
Legionella
udover
lag-1
(Khodr, 2016). Disse findes i varierende grad hos forskellige
stammer indenfor alle arter og serogrupper, derfor er der heller ingen helt entydig
sammenhæng mellem sub-/serogruppe og virulensen, desuden og der er også forskel
på smitsomheden for forskellige stammer indenfor Pontiac gruppen (se herunder),
hvilket kan være associeret til forskellige varianter af
lag-1
(Kozak, 2009).
For nærmere at karakterisere
L. pneumophila
isolater og for at opnå en langt højere
diskriminatorisk resultat (f.eks. til brug for epidemiologisk smitteudredning) kan
isolaterne DNA typebestemmes. Der er i dag konsensus om DNA typningsmetoden
Sekvens Baseret Typning (SBT) (Gaia, 2005), som kort fortalt går ud på at DNA-
sekventere syv genetiske loci hos
L. pneumophila; flaA, pilE, asd, mip, mompS, proA,
og
neuA/neuAh.
Alt efter sekvenserne for allelerne for de syv loci får stammen tildelt en
sekvenstype (ST). I dag er der næsten 3000 kendte sekvenstyper; mange er sjældne
og for mange af dem er de kun fundet i et enkelt land, helt lokalt og i nogle tilfælde kun
fra én enkelt patient- eller miljøprøve. Nogle sekvenstyper er derimod globale,
herunder ST1 som er verdens mest udbredte ST og den type, der er mest almindelig
blandt patientisolater i Danmark (ca. 25%). Typen er overvejende knyttet til serogruppe
1 subgruppe OLDA/Oxford, der som tidligere omtalt tilhører non-Pontiac gruppen.
Nogle sekvenstyper i Pontiac gruppen er tilsyneladende mere smitsomme/virulente end
andre (antageligt associeret til
lag-1
varianten),
ST23, ST47 og ST62 er f.eks. ”meget”
smitsomme, og i nogle europæiske lande er det de ST, der er årsag til de fleste kliniske
tilfælde, men som alligevel sjældent forekommer i miljøprøver (mærmere beskrevet i
afsnit
Hvad bliver man smitte med i Danmark).
Subgruppe Philadelphia ST1 (ST1
7
SUU, Alm.del - 2020-21 - Bilag 573: Orientering om afrapportering fra det tværministerielle arbejde om legionellasmitte fra indenrigs- og boligministeren
2445042_0008.png
findes som omtalt også hos OLDA/Oxford) og Benidorm ST42 er de Pontiac typer, der
er hyppigste årsager til samfundssmitte i Danmark. Begge typer er påvist i vandprøver
fra varmtvandssystemer i forbindelse med smitteudredning, men findes ellers sjældent.
Det er vigtigt igen at bemærke, at tæt beslægtede stammer, her eksemplificeret med
ST1, kan tilhører hver sin serologiske undergruppe - Pontiac (Philadelphia) eller non-
Pontiac (OLDA/Oxford) - alt efter om de har eller ikke har
lag-1
genet. For andre ST,
f.eks. ST23, ST47 og ST62 (som er meget unge klonale linjer (se afsnitte
Hvad bliver
man smittet med i Danmark?)),
tilhører ”alle” isolater Pontiac gruppen. Pontiac/non-
Pontiac (og serogruppe i det hele taget) er ikke en egentlige fylogenetisk markør, idet
genet er spredt i næsten hele det fylogenetiske træ for
L. pneumophila
(Wee, 2020),
men dog altid knyttet til serogruppe 1. Genet
lag-1
”nedarves” naturligvis
og er dermed
også klonalt spredt, men det er også spredt horisontalt (spredt mellem bakterier i tæt
kontakt). Det gælder i øvrigt for mange gener (herunder virulens gener, se afsnittet
ovenover) hos
Legionella,
hvor der generelt sker en høj grad af genetisk udveksling
mellem stammer, med andre bakteriearter og endda også med deres eukaryote
værtsceller (Khodr, 2016).
Sygdom
Ovenstående har fokuseret på legionærsygdom, men som nævnt kan
Legionella
også
foårsage et andet klassisk klinisk billede, der kaldes Pontiac feber (må ikke forveksles
med Pontiac gruppen), efter det første kendte udbrud i byen Pontiac i 1968. Først ca.
10 år efter fandt man årsagen til dette udbrud, da man fik karakteriseret bakterien efter
det første kendte udbrud af legionærsygdom (Legionnaires´ disease) i Philadelphia i
1976. Legionærsygdom, Pontiac feber og andre mere sjældne
Legionella-infektioner
kaldes under ét legionellose. Symptomerne på Pontiac feber er som ved en forholdsvis
mild influenza, med høj feber, muskelsmerter, hovedpine og brystsmerter. Sygdommen
går over af sig selv i løbet af få dage til en uge, evt. med et lidt længere efterforløb med
træthed og brystsmerter. I modsætning til legionærsygdom (se afsnitte herunder) er
Pontiac feber meget ”smitsom” og giver symptomer, hos stort set alle der udsættes for
smitten, også børn. Smittevejen er udelukkende ved indånding af en aerosol forurenet
med bakterien. Smitte fra forstøvet pottemuld med
L. longbeachae
er også påvist i New
Zealand (Cramp, 2010). Man kender ikke årsagen til, at
Legionella
(flere arter og
serogrupper) kan give dette sygdomsbillede, men der er antageligt ikke tale om en
egentlig infektion af de alveolære makrofager som ved legionærsygdom, men nærmere
en immunologisk/febril reaktion på indånding af et højt antal bakterier. Sygdomsbillede
er det samme, hvad enten det er
L. pneumophila
serogruppe 1, andre serogrupper
eller andre arter, der er årsagen. Man kender ikke antallet af tilfælde, da sygdommen
sjældent diagnosticeres, og ikke skal indberettes. Man mener at antallet af Pontiac
feber tilfælde er 10 til 100 gange så højt som tilfælde af egentlig legionærsygdom. I få
tilfælde kan det samme udbrud både give årsag til Pontiac feber (mange tilfælde) og
legionærsygdom (få tilfælde). Diagnosen kan som regel kun stilles ved at påvise
antistoffer mod
Legionella
og sker kun ved egentlige udbrud med flere syge, der har
været i kontakt med den samme smittekilde (Gregersen, 1999). Legionærsygdom er
derimod en alvorlig lungebetændelse med dødelig udgang for ca. 10% af de ramte.
Sygdommen rammer især personer der er immunsvækkede eller har en underliggende
kronisk sygdom, specielt lungesygdom. Desuden stiger den relative risiko alderen og
ses meget sjældent hos personer under 30 år. Køn spiller også en rolle, idet op mod
8
SUU, Alm.del - 2020-21 - Bilag 573: Orientering om afrapportering fra det tværministerielle arbejde om legionellasmitte fra indenrigs- og boligministeren
2445042_0009.png
dobbelt så mange mænd som kvinder får sygdommen. Andre faktorer, der disponerer
er rygning, alkoholmisbrug, diabetes, samt udlandsrejse. Desuden ser det ud til at
legionærsygdom/legionellose i sig selv kan være disponerende for at få sygdommen
igen (Cassell, 2021).
I modsætning til Pontiac feber er ”smitsomheden”
(attach rate)
lille og kun ganske få personer (<5%), der udsættes for en af de mest smitsomme typer
under et udbrud, bliver syge. Inkubationsperioden (fra smittetidspunkt til de første
symptomer) er mellem 2 og 10 dage (i nogle få tilfælde længere), men de fleste får
symptomer efter 6-7 dage. Legionærsygdom er som nævnt en alvorlig
lungebetændelse. Af de diagnosticerede tilfælde kræves der hospitalsindlæggelse for
næsten 100% af tilfældene, ofte er indlæggelserne lange med lange
rekonvalescensperioder (i nogle tilfælde livsvarige følgevirkninger). Selvom
sygdommen er relativ sjælden repræsentere den et stor negativ impact for den enkelte
patient og er en økonomisk belastning for sundhedsvæsnet/samfundet.
Legionella
kan også forårsage en række andre non-pneumoniske infektioner, herunder
infektion i led, sår, hud (cellulitis), hjerteklapper, lymfeknuder mv. Det er dog sjældne
sygdomsbilleder, der kan opstå som følge af spredning af bakterien fra lungerne, men i
nogle tilfælde er der ikke en forudgående lungebetændelse.
Herudover påvises/diagnosticeres en del atypiske forløb, som hverken er egentlig
legionærsygdom elle Pontiac feber, men som alligevel er associeret med indlæggelse
på hospital. Det ses f.eks. associeret til en forværring af en patients KOL, men uden
pneumoni. Årsagen til at der påvises flere af disse tilfælde, er de meget følsomme
metoder (PCR) der anvendes i dag. I 2020 var der således registreret 316 patienter
med positive laboratorieresultater, mens ”kun” 278 betragtes og registreres som
legionærsygdom.
Legionærsygdom i Danmark
Danmark har, og har i mange år haft, Europas højeste eller en af de højest registrerede
incidenser af legionærsygdom; nemlig 20–25 tilfælde pr. million indbyggere pr. år fra
2007 til 2013, omkring 30 fra 2014 til 2016 og over 45 fra 2017 til og med 2020 (figur
1). Til sammenligning har den gennemsnitlige incidens i Europa været ca. 12 tilfælde
pr. million pr. år fra 2005 til 2013, og er herefter steget til ca. 23 tilfælde pr. million i
2018 og 2019. Kun Slovenien og Italien har et niveau som det Danmark har (Centers
for Disease Control and Prevention, 2020 I). De seneste år er der altså set en stigning i
antallet af registrerede tilfælde af legionærsygdom, både i Danmark, i mange andre
Europæiske lande og i USA (Centers for Disease Control and Prevention, 2018;
Cassell, 2018). Der er ikke fremkommet entydige forklaringer på de observerede
stigninger, men følgende faktorer er nævnt som medvirkende årsager; en stigende
ældre og modtagelige/sårbar befolkning, forbedrede overvågningssystemer, øget
opmærksomhed og testaktivitet, en øget anvendelse af anlæg med vand (befugtere,
køletårne mv), en aldrende boligmasse, vand- og energibesparelse, spredning af mere
smitsomme typer og klimaændringer. Med hensyn til det sidste er der flere arbejder der
peger på sammenhæng mellem temperaurer, regnmængde/luftfugtighed og
legionærsygdom (Halsby, 2014; Beauté, 2016; Slimmering, 2017; Cassell, 2018).
Sidstnævnte har sandsynligvis ikke så stor betydning i Danmark, hvor de fleste tilfælde
antages at være smittet fra interne smittekilder såsom varmtvandssystemer. Hvilket
også kan forklare hvorfor vi ikke i særlig høj grad ser den ellers typiske
sæsonvariationer med flest tilfælde i løbet sommeren/efteråret (European Centre for
9
SUU, Alm.del - 2020-21 - Bilag 573: Orientering om afrapportering fra det tværministerielle arbejde om legionellasmitte fra indenrigs- og boligministeren
2445042_0010.png
Disease Control and Prevention, 2020 II). Dog er det endnu ikke undersøgt om lokale
klimatiske forhold også i Danmark kan være årsag til ændringer i
sygdomshyppigheden. Lokale klimatiske forhold (høj temperatur, høj luftfugtighed og
vindretning) er fundet associeret til udbrud af legionærsygdom (George, 2016).
300
250
200
Tilfælde af LS
MiBa
Cases pr. million
60
50
40
42
150
30
21
25
279
266
269
278
30
20
170
100
159
129
135
188
50
0
102
89
94
104
115
126
126
120
125
113
10
0
Figur 1. Antal registrerede tilfælde med legionærsygdom (LS) pr. år (blå søjler),
antal patienter med positiv legionelladiagnostik registreret i MiBa, men som ikke
var anmeldt til STPS/SSI (røde søjler) og antal registrerede tilfælde pr. mio.
indbyggere pr. år (grøn kurve, høje akse).
Medvirkende til den registrerede stigningen i antal tilfælde, er at overvågningen af
legionærsygdom i Danmark blev intensiveret fra 2015. Legionærsygdom skal anmeldes
til Styrelsen for Patientsikkerhed (STPS) og Statens Serum Institut (SSI) af
behandlende læge/afdeling. Tidligere, hvor SSI udførte det meste af landets diagnostik
for legionærsygdom, kunne der udbedes anmeldelse ved en konstateret positiv
laboratorie-diagnose på SSI. Efter regionernes oprettelse i 2007 blev diagnostikken
gradvist overtaget af regionerne, og i dag udføres der stort set ingen primær diagnostik
for legionærsygdom på SSI, og der kan ikke udbedes anmeldelse på denne baggrund.
Det har i en årrække betydet at en del tilfælde ikke blev anmeldt.
I 2010 blev den Danske Mikrobiologiske Database (MiBa,
https://miba.ssi.dk/mikrobiologidatabase)
oprettet på SSI. Databasen samler alle
mikrobiologiske resultater fra landets Klinisk Mikrobiologiske Afdelinger (KMA) og SSI. I
2014 blev antallet af patienter med positiv
Legionella
diagnostik registreret i MiBa fra
2011 til 2014 sammenholdt med antallet af anmeldte tilfælde de samme år. Det blev
fundet at mellem 15 og 20% af diagnosticerede tilfælde ikke var anmeldt (figur 1). Det
er dog ikke helt det samme som, at alle MiBa tilfælde med positiv diagnostik havde
10
SUU, Alm.del - 2020-21 - Bilag 573: Orientering om afrapportering fra det tværministerielle arbejde om legionellasmitte fra indenrigs- og boligministeren
2445042_0011.png
legionærsygdom (jf. tidligere kommentar om atypiske forløb), men søgekriterierne var
valgt restriktivt og det antages at tæt på 100% af de manglende tilfælde havde haft
legionærsygdom. Således var der sandsynligvis reelt ca. 200 tilfælde af
legionærsygdom i 2014 mod 159 registrerede tilfælde (figur 1). Siden 2015 er der
indført en kontrol procedure hvor der udbedes anmeldelser for ikke anmeldte
diagnosticerede tilfælde registreret i MiBa. Denne nye procedure kan dog langt fra
alene forklare stigningen i antal registrerede tilfælde, specielt ikke stigningen der er
blev påvist fra 2015/16 til 2017, hvor overvågnings-proceduren var den samme (figur
1).
Normalt er er 22-25% af de anmeldte tilfælde erhvervet under udlandsrejse/turistrejse. I
2020 blev verden ramt af COVID -19 pandemien som medførte strenge
rejserestriktioner det meste af året. I 2020 var der således kun 15 registrerede
rejseassocierede tilfælde af i alt 278 tilfælde (5,4%). Da det samlede antal registrerede
tilfælde stort set var det samme som de sidste tre år uden rejserestriktioner (figur 1),
betyder det, at der var en betydelig stigning på ca. 25% i antal smittede i Danmark (i alt
263 tilfælde) i forhold til 2017, 18 og 19 (figur 2). Sammenlignet med 2015 og 2016
hvor der i gennemsnit var 139 tilfælde, og hvor overvågningssystemet var det samme
som de følgende år, er stigningen endnu mere markant og på ca. 90% (figur 2).
300
5
4.5
250
4
3.5
3
150
2.5
2
100
1.5
1
0.5
0
0
200
50
2015
2016
2017
2018
2019
2020
Figur 2. Antal registrerede tilfælde med legionærsygdom erhvervet i Danmark pr.
år (røde søjler) og antal registrerede tilfælde pr. 100.000 indbyggere pr. år (blå
kurve, højre akse).
2020 var dog på mange måder et usædvanligt år. Mange opholdt sig mere end
sædvanligt i hjemmet og mange vandanlæg på arbejdspladser, hoteller, svømmehaller,
fitnesscentre m.v. var lukket ned i længere perioder eller havde betydeligt lavere
vandforbrug end normalt. Disse forhold kan have medvirket til stigningen i antal tilfælde
smittet i Danmark. Data fra MiBa viser dog også en betydelig stigning i antal
undersøgte patienter i 2020 i forhold til 2019, hvilket kan hænge sammen med at
legionærsygdom er en differentialdiagnose til alvorlig COVID-19. Stigningen skyldes
eventuelt en kombination af disse forhold og er således ikke nødvendigvis en del af en
11
SUU, Alm.del - 2020-21 - Bilag 573: Orientering om afrapportering fra det tværministerielle arbejde om legionellasmitte fra indenrigs- og boligministeren
2445042_0012.png
trend, men eventuelt et udsving forårsaget af usædvanlige omstændigheder. I 2020 var
der specielt mange tilfælde fra juli til og med oktober (figur 3) i forhold til de tidligere tre
år (grøn kurve, gennemsnit), men også april, maj og november/december lå over
gennemsnittet. (se APPENDIX I for grafer og nærmere belysning af
Legionella
under
COVID-19 pandemien).
Generelt er tilfælde, hvor smitte er sket i Danmark, ret jævnt fordelt over året (grøn
kurve, figur 3), hvor der i Europa generelt ser noget større sæson udsving, således at
langt de fleste tilfælde ses fra juni til oktober/november, og færrest tilfælde fra
december til og med maj (European Centre for Disease Control and Prevention, 2020).
Dette er i nogen grad associeret med rejsesæsonen sommer/efterår, men menes også
at være associeret til, at
L. pneumophila
er en bakterie, der kræver ret høje
temperaturer, og derfor ofte vil have de bedste vækstmuligheder i løbet af sommeren i
mange miljøer hvor høj luftfugtighed også kan være med til at sprede bakterien. I
Danmark kan sænkninger af fjernvarmetemperaturer om sommeren evt. være
medvirkende årsag til den lille stigning man normalt ser i løbet af sommeren/efteråret.
40
35
30
25
20
15
10
5
0
Jan
Feb
Mar
Apr
May
Jun
Jul
Aug
2020
Sep
Okt
Nov
Dec
Gns. 17/18/19
Figur 3. Antal registrerede tilfælde af legionærsygdom erhvervet i Danmark pr.
måned i 2020 (lilla kurve) og gennemsnitligt antal registrerede tilfælde pr. måned
i 2017, 18 og 19 (grøn kurve).
Hvor bliver man smittet i Danmark?
Vi antager fortsat, at de fleste bliver smittet fra vandsystemer i eget hjem. Men smitte
er også dokumenteret fra arbejdspladser, svømmehaller, vandlande og hoteller.
Smittekilden kan i langt de fleste tilfælde spores til brusebadsanlæg. Herudover er der
nosokomielle (hospitalserhvervede) tilfælde og tilfælde erhvervet på andre institution
inden for sundhedsvæsnet (f.eks. plejecentre). Tilsammen har hospitaler og plejecentre
udgjort ca. 10% af alle tilfælde de senere år. Disse tilfælde skyldes sandsynligvis også i
de fleste tilfælde ”forurenet” vand i brusebade, men for nogle få tilfælde har
fejlsynkning (aspiration) også været en sandsynlig smittevej.
12
SUU, Alm.del - 2020-21 - Bilag 573: Orientering om afrapportering fra det tværministerielle arbejde om legionellasmitte fra indenrigs- og boligministeren
2445042_0013.png
Alle anmeldte tilfælde af legionærsygdom kontaktes af Styrelsen for Patientsikkerhed
(STPS), og på foranledning af STPS udføres der hvert år en del smitteudredninger
med vandprøvetagning. Dette sker dog langt fra for alle patienter, dels fordi kommunen
ikke giver påbud om det (kommunen er myndighed) og dels fordi mange tilfælde
anmeldes sent, hvorfor det ikke længere er aktuelt. Desuden bliver mange
enfamiliehuse ikke undersøgt, da det er op til ejeren selv at stå for det. Herudover er
det ikke alle smitteudredninger SSI får kendskab til (der er ikke indberetningspligt). På
baggrund af oplysning i de skriftlige anmeldelser og oplysninger opnået ved interview,
inddeles patienterne i tre hovedgrupper
samfundserhvervet, erhvervet i
sundhedsvæsnet og erhvervet under udlandsrejse. Herudover er der hvert år ca. 6%
med ukendt smittekategori som henregnes til smittet i Danmark.
I årene 2017 til 2019 blev i alt 500 tilfælde henregnet til gruppen samfundserhvervet
smitte. Af disse har SSI kendskab til smitteudredning for 109 tilfælde. Da patienterne i
overvejende grad har opholdt sig i hjemmet i inkubationsperioden, er det oftest kun
hjemmets vandforsyning, der undersøges. I 104 tilfælde blev der påvist
Legionella
(95,4%) i den mistænkte vandforsyning, men kun for de tilfælde hvor der foreligger et
patientisolat, kan der undersøges for, om der er match mellem patient- og miljøisolater
og dermed sandsynliggøre smittekilden (se afsnittet
Typning af
L. pneumophila
og
L.
pneumophila
smitsomhed).
Af de 109 tilfælde var der kun patientisolater for de 67. I
39 af disse tilfælde blev der fundet et match med miljøisolater, for 35 af de 39 var der
match mellem patint- og miljøisolater fra vandforsyningen i patientens hjem. Det
betyder, at selvom der påvises
Legionella
i den mistænkte smittekilde, er det kun i 58%
(39 af 67) af tilfældene at der blev påvist et egentligt match. For de resterende 42%
forbliver smittekilden uafklaret.
Dette kan betyde, at smittekilden i op mod halvdelen af
tilfældene ikke er hjemmets vandforsyning, og at alternative smitteveje/smittekilder bør
overvejes
(Euser, 2013). De undersøgte vandforsyninger er i overvejende grad større
systemer i boligblokke, men en del af patienterne med legionærsygdom bor i mindre
boliger (enfamiliehuse), der som nævnt sjældnere danner baggrund for undersøgelser
(se
endvidere særskilt BBR undersøgelse af fordelingen af boligformer for
legionellatilfælde).
Hvad bliver man smittet med i Danmark?
Det er ret forskellige typer af
L. pneumophila,
der dominerer indenfor de tre
hovedgrupper af smittekategori for legionærsygdom; samfunds-, sygehus/institutions-
og udlandserhvervet legionærsygdom. Den mest markant forskel ses for
udlandssmittede, hvor den mest smitsomme serogruppe 1 Pontiac udgør ca. 80%, af
tilfældene, mens den kun ses hos ca. 7% af de sygehus-/institutions smittede og ca.
30% af de samfundssmittede. I figur 4 er serogruppe-fordelingen vist for de
samfundssmittede (dyrkningsverificerede) tilfælde fra 2015 til 2019 (301 tilfælde). De
fleste tilfælde (ca. 70%), der smittes i Danmark udenfor sundhedsvæsnet, var således
smittet med mindre smitsomme typer end serogruppe 1 Pontiac. Den overordnede
serogruppe-/typefordelingen er ret stabil fra år til år (figur 5), og der er intet der tyder på
at stigningen i antal legionellatilfælde kan tilskrives introduktion af mere
smitsomme/virulente typer (se afsnittet
Typning af
L. pneumophila
og
L.
pneumophila
smitsomhed
og herunder).
13
SUU, Alm.del - 2020-21 - Bilag 573: Orientering om afrapportering fra det tværministerielle arbejde om legionellasmitte fra indenrigs- og boligministeren
2445042_0014.png
12%
8%
30%
SG 1 Pontiac
SG 1 non-Pontiac
SG 3
SG 6
27%
23%
Other SGs
Figur 4. Fordeling af
L. pneumophila
serogrupper for isolater fra patienter
med legionærsygdom hvor der har været samfundssmitte, fra 2015 til 2019
(301 isolater).
Heller ikke stigningen i 2020 ser ud til hænge sammen med mere smitsomme typer,
idet andelen af Pontiac i 2020 var 31,5%, mens gruppe non-Pontiac udgjorde 29,3%,
altså meget lig ovenstående fordeling (figur 4). Se i øvrigt Legionella årsopgørelser fra
SSI (Legionella årsopgørelse 2018, 2019 og 2020).
Fra udlandet rapporteres om en meget anderledes fordeling, idet langt de fleste tilfælde
(> 70%) skyldes de mest smitsomme typer tilhørende gruppen Pontiac. Der er flere
mulige forklaringer på dette, som vil blive omtalt i afsnittet
Generel Diskussion og
Konklusion.
ST1 isoleres er som nævnt hyppigst fra tilfælde smittet i Danmark (ca. 25%), og er ret
almindelig blandt hospitals- og institutionserhvervede tilfælde. Denne ST dominerer
kraftigt blandt non-Pontiac tilfældene (subgruppe OLDA/Oxford) men er også den
hyppigste ST blandt Pontiac gruppen (subgruppe Philadelphia). ST1 er som nævnt en
global type og i nogle lande/områder den dominerende type, f.eks. i USA hvor ST1
ligesom i Danmark er den hyppigst isolerede ST (23%) fra patienter (Kozak-Muiznieks,
2012). Typen udgør en speciel udfordring, da den genetiske variation er lille
(vanskeliggør smitteudredning ved molekylær typning), og findes på mange sygehuse
og i relativt mange vandsystemer. Den påvises relativ hyppigt ved patient
smitteudredninger, mens den generelle forekomst i miljøet (varmvandssystemer) i
Danmark er ukendt. Det antages at klonen er opstået i midten af 1800 tallet og hurtigt
har spredt sig globalt siden 1940erne (David 2016).
14
SUU, Alm.del - 2020-21 - Bilag 573: Orientering om afrapportering fra det tværministerielle arbejde om legionellasmitte fra indenrigs- og boligministeren
2445042_0015.png
70
60
50
40
30
20
10
0
2011-13
SG 1 %
2014-16
ST1 %
Non-SG %
2017-20
Figur 4. Procentvis fordeling af
L. pneumophila
serogruppe 1,
L. pneumophila
serogruppe 1 ST1 og
L. pneumophila
non-serogruppe 1 isolater fra patienter
med samfundssmitte, opgjort for tre perioder
med lav- (2011-2013),
intermediær- (2014-2016) og høj incidens. Det ses at fordelingen stort set er
uændret trods store variationer i incidensen i perioderne (figur 1).
Andre hyppige sygdomsassocierede kloner (sekvenstyper) med højere smitsomhed er
som nævnt ST47, ST23 og ST62 (alle tilhørende Pontiac). De er alle opstået for nyligt
(hhv. 1998/2002, 1972/82 og 1943/74) og har derefter spredt sig (David, 2016). De
udmærker sig ved lille genetisk variation, at være sjældne i miljøprøver (i modsætning
til ST1) (Harrison, 2009; Euser, 2013; Cassier, 2014,David, 2016), og ikke at være så
globalt udbredt som ST1, men i nogle lande er de hyppige eller de hyppigste årsager til
legionærsygdom. ST23, ST47 og ST62 er f.eks. henholdsvis de hyppigste årsager til
legionærsygdom i Frankrig (Cassier, 2014), UK/Holland (Harrison; 2009; Euser, 2013)
og Tjekkiet (Drasar V., personlig kommunikation 2020). I Danmark er ST23 aldrig
påvist blandt tilfælde smittet i Danmark; for de to øvrige ST er der påvist meget få
tilfælde; for ST62 er der ganske få tilfælde fra 2017, 18, 19 og 20, og tidligere kun ét
tilfælde fra 2014; og for ST47 er der kun påvist smitte i Danmark i 2017, 18 og 19.
Spredning og introduktion af disse kloner kan være medårsag til en stigende incidens
af legionærsygdom, og kan øge risikoen for udbrud med flere tilfælde, så det er vigtigt
at holde øje med dem. I Danmark har vi stort set ikke set udbrud, og næsten alle
tilfælde (>98%) har været sporadiske. De få samfundserhvervede udbrud (med få
tilfælde) vi har set, har være knyttet til boligblokke (Krøjgaard, 2011), vandlande,
svømmehaller eller hoteller (bruseranlæg). I alle tilfælde har der været tale om
stammer tilhørende Pontiac gruppen (Philadelphia ST1 eller Benidorm ST42). Desuden
sås et større samfunds-udbrud i Odense-området i slutningen af 2015 og begyndelsen
af 2016, hvor ni tilfælde blev diagnosticeret med
L. pneumophila
serogruppe 1
subgruppe Knoxville ST9 (Legionella-pneumoni 2015, 2016). Udbruddet omfattede
flere end de ni dyrkningspåviste tilfælde. Kilden til udbruddet blev ikke påvist, men var
sandsynligvis én eller flere eksterne kilder (sandsynligvis køletårn). I ingen af
vandprøverne fra patienternes hjem blev der påvist Knoxville ST9, og den er i det hele
taget aldrig påvist i vandprøver i Danmark.
15
SUU, Alm.del - 2020-21 - Bilag 573: Orientering om afrapportering fra det tværministerielle arbejde om legionellasmitte fra indenrigs- og boligministeren
2445042_0016.png
De hyppigst kliniske sekvenstype for dansksmittede efter ST1 er ST87 (ca. 13%) og
ST93 (ca. 5%), begge tilhører (i overvejende grad) serogruppe 3. En lang række ST er
sjældne og er kun fundet i få eller kun hos enkelte patienter. Nogle ST er relativt
almindelige i miljøet, men kun sjældent påvist hos patienter.
Geografisk fordeling af legionærsygdom i Danmark
Dette bliver nærmere behandlet i en særskilt rapport (Projekt 1 fra
beslutningsgrundlaget for tværfaglig arbejdsgruppe om
Legionella).
Der er betydelig
forskelle på hvor høj den registrerede incidens af legionærsygdom er mellem
kommuner, landsdele og regioner i Danmark. I figur 6 (udarbejdet af Kelsie Cassell,
2019) er alle tilfælde af legionærsygdom med samfundssmitte fra 2000 til 2019
geokodet på bopælskommune (godt 2000 tilfælde), incidensraten (IR) er beregnet ud
fra populationen i 2010 i de enkelte kommuner. Det vil f.eks. sige at en IR mellem 50
og 55 betyder at der er påvist mellem 50 og 55 tilfælde pr. 100.000 indbyggere i de 20
år (2,5-2,75 tilfælde pr. 100.000 pr. år). Der er 5-10 ganges forskel mellem de områder
med laveste og højeste registrerede incidenser. Kommuner i Nordjylland, og flere i
Vest- og Sønderjylland samt København, Frederiksberg, Tårnby og Dragør har haft
landets laveste incidenser, mens Fyns kommuner generelt samt Randers og Kolding i
det vestlige Jylland har haft landets højeste incidenser. De røde kryds er byer, der er
udvalgt til vandprøvning i Projekt 2 - vandprøver
16
SUU, Alm.del - 2020-21 - Bilag 573: Orientering om afrapportering fra det tværministerielle arbejde om legionellasmitte fra indenrigs- og boligministeren
2445042_0017.png
Figur 6. Alle registrerede tilfælde af samfundserhvervet legionærsygdom fra
2000 til 2019 er geokodet efter bopælskommune og incidencen beregnet i forhold
til indbyggertal i 2010 og angivet som IR antal tilfælde pr. 100.000 pr 20 år. Byer
med rødt kryds er udvalgt til vandprøvetagning, se Projekt 2
vandprøver (figur
udarbejdet af Kelsie Cassell, 2019).
17
SUU, Alm.del - 2020-21 - Bilag 573: Orientering om afrapportering fra det tværministerielle arbejde om legionellasmitte fra indenrigs- og boligministeren
2445042_0018.png
PROJEKT 2
VANDPRØVER
Formål
Med dette projekt ønsker vi at være med til at afklare følgende:
1. Skyldes den høje incidens af legionærsgydom vi påviser i Danmark,
sammenlignet med de fleste andre lande, at vi har en høj rate af koloniserede
varmtvandssystemer?
2. Skyldes de store forskelle i incidensen mellem kommuner og områder i
Danmark, at der er forskelle i kolonisationsraten, niveauer af
Legionella
(cfu/L)
eller/og forekomsten af smitsomme typer?
3. Hvad er niveauerne af
L. pneumophila
(cfu/L) når varmtvandssystemer
udvælges tilfældigt uden kendskab til om der har været tilfælde af
legionærsygdom knyttet til dem? Denne viden kan bidrage til en national
risikovurdering og til at fastlægge kommende reaktionsniveauer.
4. Hvilke typer af
Legionella
(serogrupper/subgrupper og sekvenstyper) findes der
i varmtvandssystemer, når de udvælges tilfældigt uden kendskab til om der har
været tilfælde af legionærsygdom knyttet til dem? Dette er viden der kan jf.
ovenstående bidrage til en national risikovurdering.
5. Selvom projektet ikke går i dybden med at afklare årsager til eventuel høj grad
af kolonisering eller høje niveauer af
L. pneumophila,
sammenholdes
resultaterne med varmtvandstemperatur, typen af varmtvandssystem
(fjernvarme, veksler eller beholder løsning) og ejendommenes alder og
størrelse.
6. Fra hver anden varmtvandssystem udføres der kvantitativ qPCR ved påvisning
af
L. pneumophila
serogruppe 1,
L. pneumophila,
og
Legionella
arter (spp.).
Disse resultater sammenholdes med dyrkningsresultater for at vurdere om, og i
hvilken grad, resultaterne korrelere, og om qPCR kan bruges som
alternativ/supplement til dyrkning. Fordelen ved denne metoden er, at den giver
langt hurtigere resultater end kvantitativ dyrkning.
7. Vi håber på, at resultaterne kan bidrage til at forklare Danmarks høje incidens,
forskelle i incidensen mellem kommuner og landsdele og hermed bidrage til at
kunne pege på mulige årsager til den stigende incidens.
Materialer og Metoder
I dette projekt blev der dels udvalgt byer med høj incidens - Odense og Randers - og
dels byer med lav incidens - Aalborg og Esbjerg (se figur 6
byer med rødt kryds).
Vandprøverne blev udtaget fra byområder, og vil ikke kunne sige noget om, hvordan
det ser ud udenfor disse områder, det er naturligvis en begrænsning, som er vigtig at
have in mente, når der overordnet skal konkluderes på resultaterne, idet incidensen af
legionærsygdom relativt til indbyggertallet kan være lige så høj på landet (eller højere)
som i byerne.
Fra byerne blev der i samarbejde med boligselskaberne udvalgt 24 - 30 ejendomme i
hver by. I alt blev der taget prøver fra 104 ejendomme. Ejendomme skulle være
nogenlunde sammenlignelige og har generelt mere end 10 lejligheder knyttet til hvert
18
SUU, Alm.del - 2020-21 - Bilag 573: Orientering om afrapportering fra det tværministerielle arbejde om legionellasmitte fra indenrigs- og boligministeren
2445042_0019.png
anlæg. Der blev valgt både nyere og ældre ejendomme og ejendomme spredt over
hele byen. Prøverne blev udtaget af samme prøvetager over en relativt kort periode,
således at variabler som følge af forskellig prøvetagning og sæson blev så små som
mulige. Prøverne blev så vidt muligt taget fra fjerneste tapsted (i forhold til veksler eller
varmtvandsbeholder (VVB)). Rent praktisk har det dog ikke været muligt i alle tilfælde.
Der blev taget A (straks prøver) og B prøver (flush-prøve) fra hvert tapsted, som i alle
tilfælde var en vandhane og så vidt muligt fra badeværelse eller alternativt fra køkken.
Hver prøve bestod af en liter vand. B prøven blev taget efter 1 minut hvor temperaturen
også blev målt. Ét minut er valgt for at have en standardiseret prøvetagning, og da
varmt vand
50 °C i henhold til vejledninger/standarder (European Standard EN 806-
2, 2005; Health and Safety Executive, 2014; Lee, 2017) bør kunne opnås på mindre
end ét minut. I det danske Bygningsreglement (BR 18), er der angivet retningslinjer for
rørlængde og rørdiameter, der skulle sikre varmt vand (mindst 50 °C) langt hurtigere
end efter ét minut.
Vandprøverne blev udtaget i løbet af sommeren/efteråret 2020, som følgende:
24 anlæg fra Randers fra d. 29.06.20 (uge 27)
25 anlæg fra Aalborg fra d. 13.07.20 (uge 29)
25 anlæg fra Esbjerg fra d. 17.08.20 (uge 34)
30 anlæg fra Odense fra d. 21.09.20 (uge 39)
I månederne juli til september var der på landsplan lige høj forekomst af
legionærsygdom i Danmark (figur 3), så ud fra den betragtning, antages det ikke at
have haft stor betydning at prøvetagningen var spredt over 3 måneder.
Prøverne blev sendt til SSI og sat i analyse indenfor 24 timer. Prøverne blev dyrket i
henhold til standardmetode ISO 11731:2017 og resultatet er angivet som koloni
dannende enheder pr. liter (cfu/L), metoden har en detektionsgrænse på 10 cfu/L (for
en liter prøvevolumen), men påvisning er ikke sikker ved tilstedeværelse af < 100 cfu/L
i prøven. qPCR blev udført med en in-house metode valideret efter standarden ISO/TS
12896:2012. Metoden er ikke akkrediteret. Resultaterne er angivet som genom
enheder pr. liter (GU/L), metoden har en detektionsgrænse på 500 GU/L.
Alle prøver blev dyrket, mens ca. halvdelen (A og B prøver fra hver anden ejendom)
også blev undersøgt ved qPCR. De prøver, der både skulle undersøges ved dyrkning
og qPCR, blev rystet og delt i to, således at der for disse prøver blev undersøgt �½ liter
ved begge metoder. For hver prøve med vækst blev mindst 3 af kolonierne undersøgt
for, om de tilhørte serogruppe 1, serogruppe 2-14 eller
Legionella
art (begrænset
serogruppebestemmelse ved OXOID Legionella Latex Test). For anlæg med vækst,
blev der undersøgt 0-3 kolonier (dog helt overvejende mindst én koloni) ved endelig
sero-/subgruppe bestemmelse (med Dresden panelet af monoklonale antistoffer). Ved
påvisning af serogruppe 1 med Oxoid Latex Test blev der i alle tilfælde udført
subgruppebestemmelse. Der blev udført helgenomsekventering (WGS) på i princippet
mindst et isolat fra hvert anlæg med vækst (et isolat med kendt sero-/subgruppe).
Sekvenstypen (ST) blev efterfølgende bestem ud fra helgenomsekvensen. Det var dog
sådan at hvis samme serogruppe blev fundet i flere ejendomme i samme by, blev der
ikke udført WGS/ST for alle dyrkningspositive ejendomme.
Udvælgelse af ejendomme (i samarbejde med boligselskaberne) samt prøveudtagning
blev foretaget af CheckPoint World v. Lars Grøn Schjoldager. For hvert sted blev
19
SUU, Alm.del - 2020-21 - Bilag 573: Orientering om afrapportering fra det tværministerielle arbejde om legionellasmitte fra indenrigs- og boligministeren
2445042_0020.png
temperaturen målt efter et minut (B prøve) og registreret, desuden blev antal
lejligheder, boligens alder og typen af varmtvandssystemet registret af Lars Grøn
Schjoldager.
Resultater for dyrkning blev rapporteret inden for normal procestid (7-10 dage) til Lars
Grøn Schjoldager, som videregav resultaterne til de involverede boligselskaber. Ved
fund af forhøjet niveau ≥ 10.000 cfu/L blev selskabet tilbudt rådgivning.
Resultater for udvidet serogruppebestemmelse, sekvens-type og qPCR resultater er
ikke rapporteret til boligselskaberne.
Resultater
Overordnede resultater
dyrkning
86 af de 104 anlæg var positive for dyrkbare
Legionella
(83%).
40% af A prøver og 24% af B prøver havde et højt niveau på ≥10.000 cfu/L.
Medianværdien for A prøver var 6.000 cfu/L og 1.200 cfu/L for B prøver for
alle anlæg.
Der blev ikke påvist anlæg der var positive for
L. pneumophila
serogruppe 1
tilhørende Pontiac gruppen.
I 10 af de 104 anlæg blev der påvist serogruppe 1 non-Pontiac (9,6%). Af
de dyrkningspositive anlæg 11,6% (10 af 86).
I 30 af de 104 anlæg blev der påvist serogruppe 3 (29%). Af de
dyrkningspositive anlæg er det 34,9 %. Serogruppe 3 var den hyppigst
påviste serogruppe. Antallet af anlæg med serogruppe 3 var givet noget
højere end påvist, idet der generelt kun blev valgt én koloni fra hvert
anlæggene til endelige serogruppebestemmelse, og der i hver
vandprøve/anlæg kan være flere stammer/serogrupper.
I alt blev der påvist 10 forskellige
L. pneumophila
sero-/subgrupper samt
fem kolonier af
L. pneumophila
der ikke kunne henføres til serogruppe.
Herudover blev der påvist tre andre arter;
L. londiniensis, L. bozemanii
og
L.
anisa.
I alt blev der påvist 27 forskellige sekvenstyper (ST).
Legionella
dyrkning og qPCR for
L. pneumophila
viste en rimelig god
overensstemmelse med er korrelationskoefficient R
2
=0,6.
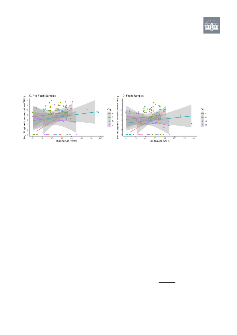
Sammenhæng mellem temperatur og cfu/L
I figur 7A og B vises sammenhængen mellem temperaturen målt efter et minut og
niveauet af
Legionella
(cfu/L), dels for A prøver og dels for B prøver. Cfu/L er angivet
på en logaritmisk akse (7A). For prøver uden vækst (0) er værdien angivet som 1 for A
prøver og 1,5 for B prøver. Dette er gjort for dels at kunne vises dem i et logaritmisk
diagram og dels for at kunne adskille A og B prøver uden vækst. Nogle punkter kan
overlappe. Som forventet ligger det generelle niveau for A prøver højere end for B
prøver. Både for A og B prøver er der en vis sammenhæng mellem temperatur og cfu/L
(faldende koncentration af dyrkbare
Legionella
ved stigende temperatur), ved lineær
20
SUU, Alm.del - 2020-21 - Bilag 573: Orientering om afrapportering fra det tværministerielle arbejde om legionellasmitte fra indenrigs- og boligministeren
2445042_0021.png
regressions analyse er sammenhængen påvist at være signifikant, og som forventet en
stærkere association for B prøver end for A prøver (A prøver p = 0,0447 og B prøver p
= 0,0217) (figur 7B). En del B prøver har dog >1.000 cfu/L og endda > 10.000 cfu/L,
selvom temperaturen efter 1. minut er > 50 °C. Ved temperatur over 55°C har alle B
prøver dog < 1.000 cfu/L (men der er tale om ret få målinger fra fem anlæg i alt). Selv
ved driftstemperaturer > 50°C kan A prøver have et meget højt niveau af
Legionella
>100.000 cfu/L, og generelt må det vurderes at alene måling af driftstemperaturen efter
et minut ikke er en god indikator for, om et anlæg er koloniseret med dyrkbare
Legionella.
Der var et interessant anlæg, hvor der blev målt en temperatur på 60,1°C, og hvor der
var 2.000 cfu/L i A prøven, mens B prøven var negativ (ingen vækst, orange punkt,
figur 7A). Ved qPCR var både A og B prøverne kraftigt positive på hhv. 152.200 og
91.600
L. pneumophila
GU/L (se figur 13 og 14). Dette tyder på en nuværende eller
tidligere kraftig kolonisering af anlægget, men at
Legionella
i prøverne hovedsageligt
ikke var dyrkbare (se afsnittet
Legionella
forekomst og levevis)
eller døde. Dette er
et eksempel på de meget divergerende resultater, man kan få for dyrkning og qPCR,
og at hver analyse hver især kan præsentere en del af ”sandheden” (se afsnittet
Sammenhæng mellem temperatur og GU/L for
L. penumophila
for B prøver
og
figur 13).
En negativ eller svagt positiv (≤1.000 cfu/L) A prøve er en god prædiktor for, at B
prøven også er negativ/svagt positiv, og at anlægget sandsynligvis ikke er eller kun er
let koloniseret. For 22 anlæg uden vækst og for 11 anlæg med mellem 10
og ≤
1.000
cfu/L for A prøver, var B prøver negative for 20 anlæg, og for 11 var der mellem 10 og
1.000 cfu/L. Kun for et af de 33 anlæg blev der påvist 3.000 cfu/L i B prøven. En del
anlæg var negative både for A og B prøver, til trods for at driftstemperaturen var <
50°C. Der er således ikke nødvendigvis et
Legionella
problem, selvom
driftstemperaturene er lave (figur 7).
Middel-, maximum- og minimumtemperaturerne for hver by var som følger (også
angivet i tabel 4):
Randers 50,8°C; 55,6°C; 44,5°C - 14
anlæg ≥ 50°C (58 % af anlæg)
Aalborg 48,1°C; 60,1°C; 37,9°C -
5 anlæg ≥ 50°C (20 % af anlæg)
Esbjerg 48,5°C; 54,4°C; 37,0°C -
6 anlæg ≥ 50°C (24 % af anlæg)
Odense 48,5°C; 58,4°C; 35,4°C -
12 anlæg ≥ 50°C (40 % af anlæg)
Overordnet var temperaturen < 50°C for 63,5% af anlæggene, dog havde 85,6% af
anlæggene en temperatur > 45°C, hvilket for langt de fleste
Legionella
typer er over
deres væksttemperatur, men dog en temperatur de let kan overlever. Der er ikke de
store forskelle mellem byerne. Randers var dog den by, hvor de anbefalede
temperaturer ≥ 50 °C i højeste grad blev overholdt, og Aalborg var den by hvor de blev
overholdt i ringeste grad. Det blev ikke målt, hvor længe vandet skulle løbe, før stabil
temperatur blev opnået, og for nogle anlæg kunne der ved forlænget flush eventuelt
opnås højere temperaturer end de målte.
21
SUU, Alm.del - 2020-21 - Bilag 573: Orientering om afrapportering fra det tværministerielle arbejde om legionellasmitte fra indenrigs- og boligministeren
2445042_0022.png
1000000
100000
10000
1000
100
10
1
30
35
40
45
50
55
60
65
A prøve
B Prøve
Figur 7A. Sammenhæng mellem målte temperaturer (°C) efter 1 min. og cfu/L for
de 104 anlæg fra Randers, Odense, Aalborg og Esbjerg. Ingen vækst for A prøver
er angivet som 1 og som 1,5 for B prøver.
Figur 7B. Lineær regressions analyse af sammenhæng mellem temperaturer (°C)
efter 1. min og cfu/L for de 104 anlæg fra Randers, Odense, Aalborg og Esbjerg.
Pre-Flush = A prøver, Flush = B prøver.
22
SUU, Alm.del - 2020-21 - Bilag 573: Orientering om afrapportering fra det tværministerielle arbejde om legionellasmitte fra indenrigs- og boligministeren
2445042_0023.png
Dyrkningsresultater for de 4 byer
I tabel 1 er følgende opgjort:
Andelen (%) af anlæg der var positive for
Legionella
ved dyrkning
Spændvidde (cfu/L) for A og B prøver
Medianværdien (cfu/L) for A og B prøver (se også figur 8)
Middelværdien (cfu/L) for A og B prøver (se også figur 9)
I de tilfælde, hvor der er et lige antal anlæg, er medianen taget som gennemsnittet af
de to midterste værdier. Medianværdien er den værdi, der giver mest information.
F.eks. skyldes den meget høje middelværdi for B prøver fra Randers (tabel 1 og figur
9) en enkelt meget positiv B prøve (845.400 cfu/L) (tabel 1), og da niveauerne ikke er
normalfordelte frembringer gennemsnittet ikke meget brugbar information.
Medianværdierne for Odense lå en del højere end for de andre byer (tabel 1 og figur
8). Det er Interessant at specielt medianen for A for prøver fra Odense er langt højere
end for de andre byer. Andelen af anlæg koloniseret med dyrkbare
Legionella
var
højest i Randers (87,5%) og Odense (83,3%) og lavest i Esbjerg (72%) (tabel 1).
Overordnet var 22 A prøver (21,2%) og 21 B prøver (20,2%) negative ved dyrkning (i
praksis <100 cfu/L).
Tabel 1. Andel af anlæg med vækst af
Legionella
samt spændvidder, medianer
og middelværdier for A og B prøver fra de fire undersøgte byer.
By
Positiv Spændvidde Spændvidde Median Median Middelværdi
andel
A prøver
B prøver
A
B
A prøver
%
Cfu/L
Cfu/L
prøver prøver Cfu/L
Cfu/L
Cfu/L
Randers
(21/24) 0 til
0 til
5.260
1.550
44.709
87,5% 617.000
843.400
Odense
(25/30) 0 til
0 til
14.500 2.150
55.425
83,3% 470.000
444.000
Aalborg
(19/25) 0 til
0 til
5.500
1.200
56.144
76%
1.000.000
82.000
Esbjerg
(18/25) 0 til
0 til
1.600
1.000
45.655
72%
600.000
140.000
Middelværdi
B prøver
Cfu/L
45.051
26.667
6.860
10.353
Tabel 2. Dyrkningsresultater for A og B prøver fra de fire byer opdelt efter
niveauer.
By
≤ 1.000
≤ 1.000
> 1.000
> 1.000
> 10.000
> 10.000
A
B
til ≤
til ≤
A
B
10.000 A 10.000 B
Randers
Odense
Aalborg
Esbjerg
7 (29%)
7 (23%)
8 (32%)
11 (44%)
11 (46%)
11 (37%)
11 (44%)
13 (52%)
8 (33%)
7 (23%)
7 (28%)
7 (28%)
7 (29%)
9 (30%)
10 (40%)
8 (32%)
9 (38%)
16 (53%)
10 (40%)
7 (28%)
6 (25%)
10 (33%)
4 (16%)
4 (16%)
23
SUU, Alm.del - 2020-21 - Bilag 573: Orientering om afrapportering fra det tværministerielle arbejde om legionellasmitte fra indenrigs- og boligministeren
2445042_0024.png
Resultater opdelt efter niveauer, som antal og andel af A og B prøver fra de fire byer
med henholdsvis ≤ 1.000 cfu/L, > 1.000 til ≤
10.000 cfu/L og > 10.000 cfu/L, kan belyse
interessante forhold. I tabel 2 kan det således ses at Odense havde relativt flest anlæg
med høje niveauer > 10.000 cfu/L, mens Esbjerg havde færrest, og også flest med lavt
niveau ≤ 1.000 cfu/L. Overordnet så opfylder under halvdelen af anlæggene
(på nær
for Esbjerg) de generelle anbefalinger om ≤ 1.000 cfu/L i B prøver.
Trods de observerede forskelle mellem byerne, er der i forbindelse med lineær
regressionsanalyse ikke påvist signifikant forskel på niveauerne hverken for A eller B
prøver mellem de fire byer.
16,000
15,000
14,000
13,000
12,000
11,000
10,000
9,000
8,000
7,000
6,000
5,000
4,000
3,000
2,000
1,000
0
A Cfu/L
B Cfu/L
A Cfu/L
B Cfu/L
A Cfu/L
B Cfu/L
A Cfu/L
B Cfu/L
Randers
Odense
Aalborg
Esbjerg
Figur 8. Medianværdier for dyrkning (cfu/L) for A og B prøver fra de fire byer.
60,000
50,000
40,000
30,000
20,000
10,000
0
A Cfu/L
B Cfu/L
A Cfu/L
B Cfu/L
A Cfu/L
B Cfu/L
A Cfu/L
B Cfu/L
Randers
Odense
Aalborg
Esbjerg
Figur 9. Middelværdier for dyrkning (cfu/L) for A og B prøver fra de fire byer.
24
SUU, Alm.del - 2020-21 - Bilag 573: Orientering om afrapportering fra det tværministerielle arbejde om legionellasmitte fra indenrigs- og boligministeren
2445042_0025.png
Resultater af serogruppebestemmelse af isolater fra de fire byer
Der er i alt bestemt serogruppe for 98
L. pneumophila
isolater fra de fire byer (26 fra
Randers; 27 fra Aalborg; 20 fra Esbjerg og 25 fra Odense). Desuden er fire kolonier af
Legionella
non-pneumophila bestemt til art (v. MALDI-TOF). I alt blev der påvist 10
forskellige sero-/subgrupper, fem kolonier kunne ikke bestemmes til serogruppe og
angives som ”Ikke T”. Der blev ud over
L. pneumophila
påvist tre andre
Legionella
arter
(figur 10). Fordelingen er vist som relativ fordeling i figur 10. Fordelingen er gjort op
således, at hvis der er påvist to kolonier tilhørende samme serogruppe i det samme
anlæg, tæller den kun med én gang og er der påvist to forskellige serogrupper i samme
anlæg tælles begge med. Det ses, at serogruppe-fordelingen er ret forskellig i de fire
byer. Serogruppe 3 er den hyppigst påviste serogruppe og findes i alle fire byer,
herudover er serogruppe 15 også påvist i alle fire byer. Det skal bemærkes at
serogruppe 1 kun findes i tre byer, Randers, Esbjerg og Odense. I Odense er det
serogruppe 1 subgruppe OLDA/Oxford ST1 (se figur 11 for ST). I de to andre byer hvor
der er påvist serogruppe 1, var det for begge subgruppe Bellingham hhv. ST59 og
ST26 (se figur 11 for ST). Både subgruppe OLDA/Oxford og Bellingham tilhører non-
Pontiac gruppen. De to byer med højeste incidens af legionærsygdom havde de
højeste andele af anlæg med serogruppe 1 og serogruppe 3. For tre anlæg i Randers
og et anlæg i Odense blev der ikke foretaget serogruppebestemmelse af isolater
tilhørende serogruppe 2-14, og er angivet som Non-Sg 1. Antal anlæg uden vækst er
angivet som Negative.
100%
90%
80%
70%
60%
50%
40%
30%
20%
10%
0%
Randers
Sg 1 Bellingham
Sg 5 Cambridge
Sg 10
L. londiniensis
Odense
Sg 1 OLDA/Oxford
Sg 6
Sg 15
L. bozemanii
Sg 3
Sg 7
Not T
L. anisa
Aalborg
Esbjerg
Sg 4 Portland
Sg 9
non- Sg 1
Negative
6
7
3
12
11
4
1
2
4
3
1
6
2
6
1
3
3
4
5
6
Figur 10. Den relative fordeling af
L. pneumophila
serogrupper, subgrupper og
andre
Legionella
arter for de fire byer. Antal anlæg uden vækst er angivet med
rødt. Antal anlæg uden serogruppebestemmelse er angivet som non-Sg 1. Antal
anlæg med de hyppigste sero-/subgrupper er angivet med tal.
25
SUU, Alm.del - 2020-21 - Bilag 573: Orientering om afrapportering fra det tværministerielle arbejde om legionellasmitte fra indenrigs- og boligministeren
2445042_0026.png
Resultater af sekvenstypebestemmelse af isolater fra de fire byer
Der blev udført WGS/ST for 76
L. pneumophila
isolater fra de fire byer (svarende til
bestemmelse af ST fra 20 anlæg i Randers; 18 fra Odense; 22 fra Aalborg og 16 fra
Esbjerg). Der blev i alt påvist 27 forskellige sekvenstyper (figur 11). I figuren er de
serogrupper der hører til en given ST angivet. I nogle tilfælde kan forskellige
serogruppe godt have samme ST og ligeledes kan samme serogruppe være opdelt på
flere sekvenstyper (serogruppen er ikke en fylogenetisk markør). Sekvenstyper, der i
nummer ligger tæt f.eks. ST1333 og ST1334, er ikke et udtryk for, at de er tæt
beslægtede (de er faktisk fjernt beslægtede selvom de begge er serogruppe 4
Portland). Sekvenstyperne får blot nummer, efterhånden som de opdages. Det vil sige,
at nummeret siger lidt om hvor sjældne de er på verdensplan, jo højere nummer des
færre isolater findes der som tommelfingerregel. Serogruppe 6 ST2936 fra Aalborg er
f.eks. for første gang påvist i dette projekt, og er sandsynligvis fortsat det eneste
globale isolat, der findes med denne ST. Enogtyve af de 27 sekvenstyper (78%) er kun
påvist i én by. Den eneste sekvenstype der findes i alle fire byer er ST87, som dog er
mest udbredt i Randers efterfulgt af Aalborg. ST87 er den sekvenstype, der næst
hyppigst påvises for tilfælde af legionærygdom i Danmark (se afsmittet
Hvad bliver
man smittet med i Danmark?).
ST1 (serogruppe 1 OLDA/Oxford), som er den
hyppigste årsag til samfundserhvervet legionærsygdom, er kun påvist i Odense. Som
nævnt blev der påvist serogruppe 1 i to andre byer, begge subgruppe Bellingham, men
ST59 i Randers og ST26 i Esbjerg. ST59 er en forholdsvis hyppig årsag til
legionærsygdom (se tabel 3). Alene i 2020 er der påvist fem tilfælde (fra Jylland), mens
ST26 ikke tidligere er påvist i Danmark.
I tabel 3 (data fra SSI) er antallet af patienter (hvis der er mere end 5) fra 2017 til 2020
opgjort for de sekvenstyper, der er påvist i de fire byer. For de øvrige ST er der ganske
få (<5) eller ingen registrerede patienter i de fire år. Et højt antal patienter for en ST er
ikke nødvendigvis et tegn på høj smitsomhed. Det kan også være fordi typen er meget
almindelig
dette gælder eventuelt for ST87. Sekvenstyperne opgjort i tabel 3 er
markeret med pile i figur 11.
26
SUU, Alm.del - 2020-21 - Bilag 573: Orientering om afrapportering fra det tværministerielle arbejde om legionellasmitte fra indenrigs- og boligministeren
2445042_0027.png
20
18
16
14
12
10
8
6
4
2
0
Randers
Odense
Aalborg
Esbjerg
Figur 11. Fordeling af
L. pneumophila
sekvenstyper på antal anlæg for de fire
byer. Pile er angivet for de typer der har været årsag til mindst 5 tilfælde i
Danmark fra 2017 til 2020 (tabel 3).
Tabel 3. Opgørelse af antal patienter (hvis der er > 5) der er smittet i Danmark fra
2017 til 2020 med de sekvenstyper der er påvist i de 4 byer. Tabellen er ordnet
efter stigende ST.
Sero-/subgruppe
Sekvenstype (ST)
Antal patienter 2017-2020
Serogruppe 1 OLDA/Oxford
Serogruppe 1 Bellingham
Serogruppe 5 Cambridge
Serogruppe 3 (og andre)
Serogruppe 3 og Ikke T
Serogruppe 6 og 15
Serogruppe 15 og 6
Serogruppe 3
ST1
ST59
ST80
ST87
ST337
ST421
ST728
ST938
71
11
9
39
11
6
13
12
27
SUU, Alm.del - 2020-21 - Bilag 573: Orientering om afrapportering fra det tværministerielle arbejde om legionellasmitte fra indenrigs- og boligministeren
2445042_0028.png
Karakteristik af ejendomme og varmtvandssystemer
I tabel 4 er karakteristika for ejendommene og varmtvandssystemer opgjort,
temperaturforholdene er omtalt i afsnittet
Sammenhæng mellem temperatur og
cfu/L.
For ejendommene i Aalborg og Esbjerg vides det, at der er gennemført mange
renoveringer, som eventuelt også har omfattet varmtvandssystemerne, men da det
ikke er oplysninger der systematisk er indsamlet er der ikke taget højde for dette i det
efterfølgende.
Tabel 4. Karakteristik af ejendomme og varmtvandssystemer for de fire byer.
By
Antal
systemer
undersøgt
(Antal
vandprøver)
24
(48)
30
(60)
25
(50)
25
(50)
Temperatur-
gennemsnit
(Spændvidde)
°C
50,8 (44,5
55,6)
48,2 (35.4
58.4)
48,1 (37,9
60,1)
48,5 (37,0
54,4)
Bygnings
alder
(Spændvidde)
År
57,2 (8 - 82)
46,2 (0 - 71)
51,6 (1 - 135)
48,7 (0 - 90)
Størrelse
gennemsnit
(Spændvidde)
Antal
lejligheder
49,1 (16 - 181)
51,9 (12 - 140)
41,2 (12 - 126)
33,2 (7 - 96)
Systemer
med
varmtvands-
beholder
(%)
0
(0)
27
(90)
3
(12)
3
(12)
Randers
Odense
Aalborg
Esbjerg
Den gennemsnitlige ejendomsstørrelse for Randers og Odens ligger ret tæt med hhv.
49 og 52 lejligheder pr. ejendom. Ejendommene i Esbjerg var i gennemsnit noget
mindre end i de andre byer med 33 lejligheder pr. ejendom. Gennemsnitsalderen for
ejendommene var højest i Randers med 57 år, og lavest i Odense med 46 år.
A Sammenhæng mellem ejendomsstørrelse og cfu/L
For at undersøge om der er sammenhæng mellem ejendomsstørrelse og antal påvist
Legionella
i B prøver ved dyrkning, er cfu/L opgjort for ejendomme med
40 lejligheder
(n = 67) og med >
40 lejligheder (n = 37). Bygninger med ≤ 40 lejligheder havde en
lavere median
Legionella-koncentration
(1.100 vs. 2.500; p = 0,1) og en lavere
koloniseringsrate på 75% vs. 87% end B prøver fra bygninger med > 40 lejligheder.
Bygninger med ≤ 40 lejligheder havde også en større andel (49% vs. 38%) af systemer
med ≤ 1.000 CFU/L sammenlignet med B prøver fra bygninger med > 40 lejligheder.
Ovenstående tyder på at der er en vis sammenhæng mellem ejendommens størrelse
og niveauet af dyrkbare
Legionella,
men forskellene var ikke signifikante.
28
SUU, Alm.del - 2020-21 - Bilag 573: Orientering om afrapportering fra det tværministerielle arbejde om legionellasmitte fra indenrigs- og boligministeren
2445042_0029.png
B Sammenhæng mellem ejendomsalder og cfu/L
Bygningsalderen var ikke konsekvent associeret med stigende
Legionella-
koncentration (log (CFU/L). Kun for Randers var der ved univariate regressions
analyse en signifikant sammenhæng mellem stigende bygningsalder og en stigende
Legionella-koncentration
for både A- (p <0,001) og B prøver (p = 0,001) (figur 12).
Bygningerne i Randers havde den højeste median alder (60 år) og gennemsnitsalderen
(57 år) af de fire byer. For Odense og Aalborg var der kun en svag association, for
Esbjerg en svag omvendt association.
Figur 12. Sammenhæng mellem ejendomsalder og
Legionella-koncentration
(log
cfu/L). Pre-flush = A prøver, Flush = B prøver, City A, B, C, D = Randers, Odense,
Aalborg og Esbjerg.
C Varmtvandssystemerne
Alle ejendomme var forsynet med fjernvarme. Ejendommene er opgjort efter om der
var en varmeveksler-løsning uden beholder (VVB) eller med VVB (tabel 4). Randers,
Aalborg og Esbjerg havde således udelukkende eller i helt overvejende grad
varmtvandssystem uden VVB, mens Odense i helt overvejende grad havde fjernvarme
med VVB løsning (90%), i nogle tilfælde med to beholdere i serie (antal ikke opgjort).
For de tre anlæg med VVB løsning i Esbjerg, havde et anlæg lavt niveau med 1.300
hhv. 300 cfu/L i A og B prøver, og to havde ingen påviste dyrkbare
Legionella.
For de
tre anlæg med VVB i Aalborg, havde det to høje niveauer (82.000 og 15.000 cfu/L i B
prøve), og det tredje var uden påvist
L. pneumophila,
men der var dog
L. anisa
(300
cfu/L) i A prøven. Den ene lejligheden i Aalborg med højt niveau (15.000 cfu/L) var
ubeboet, og derfor har haft lavt vandforbrug i ukendt periode. Anlæg med VVB løsning i
Odense havde generelt et højt niveau af
Legionella
(tabel 1, 2 og figur 8). Af tre anlæg
uden VVB løsning i Odense havde ét ingen påviste
Legionella
ved dyrkning, ét havde
hhv. 4.200 og 80 cfu/L af
L. anisa
i A og B prøverne, og det tredje havde et niveauer på
hhv. 19.000 og 1.100 cfu/L af
L. pneumophila
i A og B prøver.
Sammenhæng mellem temperatur og L. pneumophila qPCR (GU/L) for B prøver
Vandprøver fra 53 ejendomme fra de fire byer blev undersøgt ved
Legionella
qPCR. I
denne opgørelse sammenholdes qPCR for
L. pneumophila
(GU/L) for B prøver med de
målte temperaturer (efter 1. minut) (figur 13). Elleve B prøver var negativ (20,8%),
hvilket i praksis betyder < 500 GU/L. Dette er samme negative niveau som påvist ved
dyrkning for B prøver (se afsnittet
Dyrkningsresultater for de fire byer).
Niveauerne
er nogenlunde som for dyrkning (figur 7), men værdierne er generelt noget højere med
29
SUU, Alm.del - 2020-21 - Bilag 573: Orientering om afrapportering fra det tværministerielle arbejde om legionellasmitte fra indenrigs- og boligministeren
2445042_0030.png
en medianværdien for qPCR på 2.380 GU/L, mens den for dyrkning var 1.200 cfu/L (se
også afsnittet
Korrelation mellem dyrkning (cfu/L) og qPCR (GU/L) for
L.
pneumophila).
Den negative sammenhæng (fald i cfu/L med stigende temperatur) der
blev set for temperaturer og cfu/L (figur 7), ses ikke for qPCR resultaterne (lineær
trendlinje indsat). Forklaringen på dette er sandsynligvis, at qPCR også påviser ikke
dyrkbare og døde bakterier. Ved temperaturer > 50 °C begynder
L. pneumophila
alt
andet lige at dø. Ved temperaturer > 55 °C går det normalt ret hurtigt, så bakterierne
kan være (delvis) døde/ikke dyrkbare i prøver der udtages ved høje temperaturer.
Resultaterne tyder på, at selvom et system drives ved temperaturer > 50 °C, kan det
alligevel være koloniseret (evt. i døde rørender), og qPCR resultaterne kan være høje
trods negative eller lave værdier ved dyrkning. Den høje temperatur betyder dog, at det
primært er døde bakterier (som ikke er smitsomme) der frigives ved tapstedet. Høje
qPCR værdier, trods negative/lave dyrkningsresultater, bør eventuelt medføre en
gennemgang af systemet, for at identificere områder hvor der kan være vækst. I
afsnittet
Sammenhæng mellem temperatur og cfu/L
blev anlægget hvor der blev
målt en temperatur på 60,1°C omtalt (figur 7 og figur 13). B prøven fra dette anlæg
viste ingen vækst, men ved qPCR blev der påvist 91.600 GU/L (figur 13, orange
punkt). A prøven fra anlægget viste moderat niveau af dyrkbare
Legionella
med 2.000
cfu/L men ved qPCR blev der målt 152.200 GU/L. Dette anlæg er derfor ikke fri for
L.
pneumophila
og qPCR resultatet tyder på en ret kraftig kolonisering. Årsagen til det
høje niveau målt med qPCR både for A og B prøver, kan dog også være at
temperaturen først for nylig er hævet og at det høje niveau ved qPCR kan skyldes
tilstedeværelse af en primær død biofilm. Efter en varme- eller biocid behandling kan
der frigives høje niveauer af død biofilm i en lang periode, hvis anlægget ikke skylles
godt igennem. En anden prøve, fra et anlæg med en målt temperatur på 55,6°C, viser
den samme tendens (blåt punkt), her var qPCR resultatet godt en faktor 10 højere end
dyrkningsresultatet hhv. 400 cfu/L og 5.860 GU/L. Overordnet viser resultaterne at
temperaturen målt ved tapstedet, er en dårlig indikator for tilstedeværelse af
L.
pneumophila
i varmtvandssystemet (døde eller levende).
1000000
100000
10000
1000
100
10
1
30
35
40
45
50
55
60
65
y = 638.08x
R² = 0.0027
Figur 13. Sammenhæng mellem målte temperaturer (°C) efter 1
min. og
L. pneumophila
GU/L for B prøver (logaritmisk skala) fra
53 anlæg i Randers, Odense, Aalborg og Esbjerg. Ikke påvist er
angivet som 1. Blåt og orange punkt er forklaret i teksten.
30
SUU, Alm.del - 2020-21 - Bilag 573: Orientering om afrapportering fra det tværministerielle arbejde om legionellasmitte fra indenrigs- og boligministeren
2445042_0031.png
Korrelation mellem dyrkning (cfu/L) og qPCR (GU/L) for L. penumophila
I figur 14 vises korrelationen (qPCR som funktion af dyrkning) mellem resultater opnået
for dyrkning (cfu/L) og qPCR (GU/L) for
L. pneumophila.
Opgørelse er både for A og B
prøver. Der blev udført qPCR for 106 prøver fra 53 anlæg. Resultater fra ét anlæg
udgår, da qPCR reaktionen viste hæmning (hvilket er en lille andel af så mange
prøver). Desuden udgår resultater fra en serie af prøver fra otte anlæg (16 prøver) fra
Odense i denne korrelations undersøgelse. Selve qPCRen opfyldte alle kvalitetskrav,
men
prøverne udviste systematisk afvigelser fra det ”forventede”, idet qPCR
resultaterne lå alt for lavt relativt til dyrkningsresultaterne. Fejlen kan skyldes en
systematisk fejl ved DNA oprensningsproceduren for denne serie. Det drejer sig om 16
konsekutive prøver, der er derfor ikke selekteret blandt prøverne. Herudover er alle
prøver inkluderet, så der indgår i alt 88 prøver for qPCR og
Legionella
dyrkning. For to
anlæg var der kun vækst af
L. anisa,
så disse tællers som negative for
L. pneumophila
ved dyrkning. I få prøver kan der være en blanding af
L. pneumophila
og en anden art,
i alle tilfælde tælles det totale antal
Legionella
kolonier på vækstmedierne, da de
generelt ikke visuelt kan skelnes og opgøres hver for sig. Resultater for dyrkning
opgives således som totalt antal
Legionella
kolonier, hvor ikke alle nødvendigvis er
L.
pneumophila
(det drejer sig om ganske få prøver).
I figuren 14 er resultater opgivet på en dobbelt-logaritmisk skala. Værdier for ikke
påvist er opgivet som 1 for begge analyser. Punkter kan overlappe, f.eks. er der 13
målinger i punktet (1,1). Når grafen aflæses skal man være opmærksom på at det er
en dobbelt-logaritmisk skala, afvigelser fra regressionslinjen er på den måde tydeligst
for lave værdier, desuden er den relative usikkerhed for begge analyser størst for lave
værdier. I grafen er en lineær regressionslinje, ligningen og korrelationskoefficienten R
2
indsat. Korrelationskoefficienten er 0,61 og kan tolkes som moderat lineær
sammenhæng, for at der skal være en stærk lineær sammenhæng, skal koefficienten
være 0,9 eller derover. Ligningen (y=1,597x) viser at qPCR resultaterne i gennemsnit
er 1,6 gange højere end dyrkningsresultaterne. Hvis man kun bruger resultater for A
prøver er ligningen y=1,4818x og R
2
=0,6054 (ikke vist), og for B prøver er y=2,7249x
og R
2
=0,7554 (ikke vist). Korrelationen mellem de to dataset (dyrkning/qPCR) er
=0,7735 (simpel korrelationsanalyse i Excel).
31
SUU, Alm.del - 2020-21 - Bilag 573: Orientering om afrapportering fra det tværministerielle arbejde om legionellasmitte fra indenrigs- og boligministeren
2445042_0032.png
GU/L
10000000
y = 1.597x
R² = 0.6053
1000000
100000
10000
1000
100
10
1
1
10
100
1000
10000
100000
1000000
Figur 14. Korrelation mellem dyrkning (cfu/L
X akse) og qPCR (GU/L
Y akse)
for A og B prøver fra 44 anlæg. Orange, gule, grønne og blå punkter er forklaret i
teksten. Ikke påvist både for dyrkning og qPCR er angivet som 1.
qPCR har således nogenlunde samme korrelationskoefficient for de to prøvekategorier,
men for B prøver ligger qPCR resultaterne dog en del over dyrkningsresultaterne (2,7
gange i gennemsnit). Det passer imidlertid godt med resultater vist i afsnittet
Sammenhæng mellem temperatur og GU/L for
L. pneumophila
i B prøver,
som
tyder på at en del
Legionella
kan være døde/ikke dyrkbare i B prøver, specielt når
temperaturene er høje. Dette er også en faktor der kan bidrager til at det målte
Legionella
kimtal (levende og dyrkbare) generelt er højere i A prøver end i B prøver,
men ved qPCR for
L. pneumophila
har A prøver dog i lighed med resultater for
dyrkning også en højere medianværdi (4.520 GU/L) end for B prøver (2.810 GU/L).
En del punkter i figur 13 liggere på Y aksen (positiv qPCR/negativ dyrkning). Det skal
dog bemærkes at det for fem dyrknings negative prøver drejer sig om lave qPCR
værdier < 1.000 GU/L. En del af de afvigende resultater, hvor der er påvist højre
resultater for qPCR end for dyrkning, kan forklares ved at der har været kraftig
baggrunds-/overvækstvækst af prøven (gule punkter). Andre bakterier vokser ofte
hurtigere end
Legionella
og kan overvokse substratet og dække eller hæmme væksten
af
Legionella.
Problemet kan til dels overkommes ved at syre og varmebehandle
prøven (Legionella klarer bedre end de fleste andre bakterier høje temperature og lav
pH), men behandlingen kan også være hård ved
Legionella,
og nogle vil dø, hvorfor
Legionella
kimtallet kan undervurderes. En enkelt qPCR værdi er meget høj (91.600
GU/L), mens dyrkning er negativ (orange punkt på Y aksen). Det er B prøven fra
anlægget med en temperatur på 60,1°C, som også er omtalt i tidligere afsnit
32
SUU, Alm.del - 2020-21 - Bilag 573: Orientering om afrapportering fra det tværministerielle arbejde om legionellasmitte fra indenrigs- og boligministeren
2445042_0033.png
Sammenhæng mellem temperatur og cfu/L
og
Sammenhæng mellem temperatur
og GU/L for
L. pneumophila
i B prøver.
Det andet punkt, der er markeret med
orange, er qPCR resultatet for A prøven fra det samme anlæg. Antageligt har langt de
fleste
L. pneumophila
været døde ved prøvetagningen. Et anden måling (markeret med
blå) viser lidt det samme som ovenstående. Det er det andet anlæg (hvor der både er
udført dyrkning og qPCR) med en målt temperatur over 55°C (55,6°C), her var der for
B prøven godt en faktor 10 forskel på qPCR resultatet og dyrkningsresultatet. Et par
punkter viser vækst af
Legionella
men negativt eller lavt niveau for qPCR (grønne
punkter), det er dog niveauer der ligger tæt på metodens (qPCR) detektionsgrænse og
under metodens grænse for kvantificering (limit of quantification).
Frem for at se på værdierne en til en, for to metoder som i princippet ikke måler
nøjagtigt det samme, kan det være interessant at se på hvor god qPCR er til at
forudsige hvilket niveau en dyrkning for
L. pneumophila
vil give (tabel 5). Resultaterne i
tabellen skal læses på denne måde -
f.eks. for niveauet ”1.000 GU/L”:
Hvis man får et
resultat ved
L. pneumophila
qPCR der er ≤
1.000 GU/L, så er sandsynligheden ca.
0,96 for at dyrkning for
Legionella
vil give et resultat ≤
1.000 cfu/L. Derimod vil værdier
> 1.000 GU/L i ca. 25% af tilfældene overestimere niveauet af dyrkbare
L.
penumophila,
som vil give et resultat < 1.000 cfu/L ved dyrkning. Får man et qPCR
resultat mellem >1.000
og ≤ 10.000 GU/L så er der en sandsynlighed på ca. 0,62 for at
dyrkningsresultatet vil være på samme niveau, og der en sandsynlighed på ca. er 0,98
for at dyrkningsresultatet vil være ≤10.000
cfu/L.
Tabel 5. Andelen af prøver (A og B) hvor der er overensstemmelse mellem qPCR
og dyrkning på de niveauer der er angivet i tabellen.
≤500
≤1.000
≤10.000
≤100.000
Niveau for qPCR
GU/L
GU/L
GU/L
GU/L
Overensstemmelse med
21/22
27/28
56/57
80/80
dyrkning (cfu/L)
(95,5%)
(96,4%)
(98,2%)
(100%)
for A og B prøver
>500
>1.000
>10.000
>100.000
Niveau for qPCR
GU/L
GU/L
GU/L
GU/L
Overensstemmelse med
55/66
46/60
21/31
5/8
dyrkning (cfu/L)
(83,3%)
(76,7%)
(67,7%)
(62,5%)
for A og B prøver
0 til
>1.000 til
>10.000 til
>100.000
Niveau for qPCR
≤1.000
≤10.000
≤100.000
GU/L
GU/L
GU/L
GU/L
Overensstemmelse med
27/28
18/29
14/23
5/8
dyrkning (cfu/L)
(96,4%)
(62,1%)
(60,9%)
(62,5%)
for A og B prøver
Hvis man vælger at lægger en reaktionsgrænse for niveauet for B prøver (varmt vand)
på 1.000 cfu/L, hvilket er et niveau der generelt anbefales internationalt (WHO, 2017;
Lee, 2017), hvor god er qPCR så til at forudse at denne grænse er overholdt, hvis
grænseværdien for qPCR også sættes til 1.000 GU/L? Af 22 anlæg med ≤
1.000 cfu/L
for B prøver, var der ingen tilfælde hvor qPCR underestimerer niveauet for dyrkning.
Det skal forstået på den måde, at der ikke er prøver hvor dyrkningsresultatet ligger >
33
SUU, Alm.del - 2020-21 - Bilag 573: Orientering om afrapportering fra det tværministerielle arbejde om legionellasmitte fra indenrigs- og boligministeren
2445042_0034.png
1.000 cfu/L, hvis qPCR ≤
1.000 GU/L. Derimod overestimerede qPCR
dyrkningsresultatet i 7 af de 22 prøver (32%). Som vist for korrelationsligningen for B
prøver y=2,7249x, så ligger qPCR resultaterne i gennemsnit en faktor 2,7 over
niveauet for dyrkningsresultaterne for B prøver. Hvis denne faktor anvendes
konservativt for de 44 inkluderede anlæg, og man bruger en faktor 2; dvs. sætter
reaktionsgrænsen for qPCR til ≤ 2.000 GU/L (og stadig skal overholder 1.000 cfu/L for
dyrkning), så vil qPCR i to tilfælde af 19 ”underestimere” niveauet for dyrkning (10,5%),
men det er to prøver hvor grænseværdien på 1.000 cfu/L kun akkurat er overskredet
med hhv. 1.100 og 1.200 cfu/L (afvigelsen i forhold til 1.000 cfu/L ligger langt under
metodens (dyrkning) usikkerhed på dette niveau). I afsnittet
Generel
diskussion/Kvantitativ PCR (qPCR)
laves en beregning for en reaktionsgrænse på
3.000 GU/L som foreslået af Lee et al. 2011.
Resultater for qPCR for
L. pneumophila
serogruppe 1 omtales i diskussionsafsnittet for
de fire byer.
Resultater for Legionella spp. qPCR
Alle prøver der blev undersøgt ved qPCR blev også undersøgt for totalt antal
Legionella
(alle arter; der anvendes en specifik
Legionella
spp. PCR baseret på
amplifikation af en region af
Legionella
16S DNA). På nær to af de ekskluderede
prøver fra Odense (se ovenstående afsnit
Korrelation mellem dyrkning (cfu/L) og
qPCR (GU/L) for
L. pneumophila),
var alle prøver fra de 53 undersøgte anlæg
positive for
Legionella
spp. Niveauet var meget højt for de fleste prøver fra alle fire
byer, medianen for A prøver var 33.250 og for B prøver 39.940 GU/L (spændvidde fra
280 til 1.546.200). Medianværdierne for A og B prøver ligger meget tæt på hinanden og
viser at bakterierne kun i ringe grad bliver skyllet ud efter et minut, og må være udbredt
i hele systemet (eventuelt også i det kolde fødevand). Generelt var det således at
L.
neumophila
qPCR resultaterne var højeste i A prøver og var faldende til B prøven (se
afsnitte
Korrelation mellem dyrkning (cfu/L) og qPCR (GU/L) for
L. pneumophila),
hvorimod
Legionella
spp. qPCR stort set forblev på samme niveau i begge prøver-
typer.
Da der samtidigt påvises
L. pneumophila
ved qPCR, kan man ved omtrent lige høje
værdier for de to PCRer, vurdere om anlægget kun eller i overvejende grad er
koloniseret med
L. pneumophila.
Det var tilfældet for i alt ni anlæg, og karakteristisk for
disse anlæg (på nær ét) var høje værdier for både
L. pneumophila
qPCR og dyrkning.
For de højeste værdier der blev påvist i de otte anlæg (det ene fraregnet), i enten A
eller B prøver, var gennemsnittet:
Dyrkning -
x
=226.525 cfu/L (spredning fra 33.000 til 617.000 cfu/L)
̅
qPCR
L. pneumophila
-
x
=397.073 GU/L (spredning fra 64.220 til 1.619.200
̅
GU/L)
qPCR
Legionella
spp. -
x
= 322.728 GU/L (spredning fra 54.480 til 1.085.800
̅
GU/L)
For alle andre anlæg var værdierne for
Legionella
spp. qPCR højere end for
L.
pneumophila
qPCR. De høje niveauer i disse anlæg (som er langt højere end de
generelle niveauer), kan betyde at anlæg der er koloniseret med
Legionella
non-
34
SUU, Alm.del - 2020-21 - Bilag 573: Orientering om afrapportering fra det tværministerielle arbejde om legionellasmitte fra indenrigs- og boligministeren
2445042_0035.png
pneumophila
arter, til dels kan beskyttet mod høj kolonisering af
L. pneumophila
eller
vice versa (hypotese dannet alene på baggrund af disse resultater).
For to anlæg blev der ved dyrkning kun påvist
L. anisa.
Disse anlæg var også kun
positive for
Legionella
spp. ved qPCR, men ikke på et niveau der adskiller dem for alle
andre prøver hvor der ikke blev påvist
L. pneumophila
ved qPCR . Så resultater for
Legionella
spp. kan ikke bruges til at forudse væksten af
Legionella
non-pneumophila. I
den sammenhæng er det vigtigt at huske på, at de fleste andre arter (måske med
undtagelse af
L. anisa
og få andre arter) gror dårligt eller slet ikke på de anvendte
vækstsubstraterne. Det vurderes at
Legionella
spp. qPCR ikke kan anvendes (som
enkeltstående test) som et led i en risikovurdering, da selv høje værdier ikke er en
prædiktor for vækst af patogene
Legionella,
hverken for
L. pneumophila
eller andre
arter. Resultaterne viser at
Legionella
er en naturlig del af mikrofloraen i stort set alle
vandsystemer, men at
Legionella
non-pneumophila generelt ikke udgør en
sundhedsrisiko. Der kan dog være specielle tilfælde hvor smitte med andre arter
mistænkes (se afsnittet
Legionella
forekomst og levevis),
hvor qPCR for
Legionella
spp. kan være et brugbart led i smitteudredningen.
Diskussion af resultater for hver af de fire byer
I det følgende diskuteres resultaterne for hver by. I diskussionen inddrages SSIs
overvågnings data for tilfælde af legionærsygdom herunder dyrkningsverificerede
tilfælde (frasorteret tilfælde smittet ved rejse) fra hver byerne. Tilfældene og
populationsstørrelserne er opgjort for de postnumre hvorfra der er taget vandprøver,
populationsstørrelserne (opgjort for 2017) passer derfor ikke nødvendigvis med
populationsstørrelserne der officielt angives for byerne. For hver by angives de
beregnede incidenser (alle anmeldte tilfælde) og raten af dyrkningspåviste tilfælde. For
de to byer med høj incidens (Randers og Odense) inddrages overvågnings data for 7
år (2014 til 2020), mens der for de to byer med lav incidens (Aalborg og Esbjerg)
inddrages overvågningsdata for 11 år (2010 til 2020) for at øge antallet af kliniske
isolater for disse byer (tabel 6). I diskussionen inddrages resultater fra projektet som
ikke er præsenteret i afsnittet
Resultater,
herunder resultater af qPCR for
L.
pneumophila
serogruppe 1. Middelværdierne for vandprøvedyrkning vægtes ikke højt,
og benyttes generelt ikke når byerne skal sammenlignes, da enkelte outliers med
meget højt niveauer, giver meget høje gennemsnit, som det f.eks. tydeligt ses for
middelværdien for B prøverne fra Randers (tabel 1 og figur 9).
35
SUU, Alm.del - 2020-21 - Bilag 573: Orientering om afrapportering fra det tværministerielle arbejde om legionellasmitte fra indenrigs- og boligministeren
2445042_0036.png
Tabel 6. Karakteristik af registrerede (anmeldte) og dyrkningspåviste tilfælde af
legionærsygdom fra de fire byer, 2010-2020.
By
Totalt antal Populations
Antal år
Incidens
% Mænd
Median
tilfælde
størrelse
inkluderet
rate*
(Dyrknings-
alder År
(Dyrknings-
(2017)
(Dyrknings-
påviste)
(Dyrknings-
påviste)
x1,000
påviste)
påviste)
Randers
45
64
7
10.0
46%
65
(22)
(4.9)
(50%)
(61)
Odense
100
143
7
10.0
56%
74
(52)
(5.2)
(56%)
(74)
Aalborg
25
116
11
2.0
60%
66
(11)
(0.9)
(60%)
(65)
Esbjerg
20
80
11
2.3
60%
73
(6)
(0.7)
(50%)
(75)
* Incidens rate (tilfælde pr. 100.000 indbyggere pr. år)
Randers
Randers havde den højeste rate af koloniserede (dyrknings positive) anlæg på 87,5%,
men medianværdierne for A og B prøver ligger tæt på det der blev fundet for Aalborg
(tabel 1 og figur 8). Randers havde dog lidt højere niveau i B prøver end Aalborg (tabel
1 og 2). Vandprøver fra Randers ligger på et højere niveau end for Esbjerg og lavere
end for Odense for alle parametre (tabel 1 og 2). Randers havde næsthøjeste
gennemsnitlige ejendomsstørrelse (49 lejligheder; tabel 4) som kan være en
risikofaktorer for at varmtvandsanlægget er koloniseret med
Legionella.
Randers havde
den ældste boligmasse (gennemsnit 57 år) af de fire byer (tabel 4), og for Randers blev
der fundet en signifikant sammenhæng mellem ejendomsalder og
Legionella-
koncentration (se afsnittene
Sammenhæng mellem ejendomsstørrelse og cfu/ml
og
Sammenhæng mellem ejendomsalder og cfu/L).
For Randers er der ikke registret
ejendomsrenoveringer, men da det ikke er systematisk er registreret, vides det ikke om
det er medvirkende til denne association mellem alder og
Legionella-koncentration
for
Randers (figur 12).
I vandprøver fra Randers blev der fundet et højt niveau af dyrkbare
L. pneumophila
serogruppe 3 (12 af 16 anlæg hvor der er foretaget serogruppebestemmelse; 75%) og
relativt lavt niveau af
L. pneumophila
serogruppe 1 (3 af 24 anlæg; 12,5%) (figur 10).
Den dominerende sekvenstype var ST87 (11 af 20 isolater med kendt sekvenstype
(55%) og i 10 af i alt 24 anlæg (41,7%)). For serogruppe 1 blev der kun påvist ST59
(figur 11). Begge sekvenstyper har været associeret med legionærsygdom (tabel 3),
hvor ST87 er den næst hyppigste årsag efter ST1 til legionærsygdom i Danmark.
For nærmere at beskrive hvilke typer der er de hyppigste årsager til legionærsygdom i
Randers, er der trukket data fra SSIs overvågningsregister for alle dyrkningsverificeret
tilfælde af legionærsygdom (fraregnet tilfælde med rejsetilknytning) med bopæl i
Randers (postnumre svarende til hvorfra der er taget vandprøver) fra 2014 til 2020
(tabel 7). Tilfælde associeret med plejehjem (ét ST334 tilfælde) og nosokomielle
tilfælde som har været indlagt på Regionssygehuset Randers (ét ST87 tilfælde) er
inkluderet. I alt var der 22 tilfælde på 7 år, hvilket giver en incidens på 4,9 tilfælde pr.
100.000 indbyggere pr. år af dyrkningspåvist legionærsygdom.
36
SUU, Alm.del - 2020-21 - Bilag 573: Orientering om afrapportering fra det tværministerielle arbejde om legionellasmitte fra indenrigs- og boligministeren
2445042_0037.png
Af de hyppigste typer påvist hos patienter fra Randers (Philadelphia ST1, serogruppe 3
ST87 og Benidorm ST42), er det kun ST87 der er påvist i dette projekt (tabel 7). I
Randers er den hyppigste årsager til legionærsygdom således serogruppe 1 tilhørende
gruppe Pontiac (11 tilfælde af 22 (50%)). Derimod spiller OLDA/Oxford ST1 med ét
tilfælde kun en meget lille rolle i Randers. Som omtalt i afsnittene
Typning af
L.
pneumophila
og
L. pneumophila
smitsomhed
og
Hvad bliver man smittet med i
Danmark?
påvises stammer tilhørende Pontiac gruppen relativt sjældent fra
miljøprøver. Som vist i tabel 7 er isolater tilhørende Pontiac gruppen dog påvist nogle
gange i forbindelse med smitteudredninger i Randers, det gælder både for Philadelphia
ST1 og Benidorm ST42 (for alle de opgjorte tilfælde er de påvist fra vandsystemer i
patienters eget hjem). Men vi har ikke vidst i hvilken grad disse typer var udbredt i
området. Da typerne ofte påvises ved smitteudredninger, kunne man formode at
typerne var almindelige. Som vist i denne undersøgelse af de 24 anlæg fra Randers,
tyder det ikke på at disse Pontiac typer er almindeligt udbredt i Randers. Ud over de
angivne tilfælde udføres der også i Randers en del smitteudredninger for ikke-
dyrkningsverificerede tilfælde (påvist med
L. pneumophila
urin test (LUT) eller/og med
PCR). Her er de angivne Pontiac typer også påvist i nogle tilfælde.
Tabel 7. Antal dyrkningsverificerede tilfælde af legionærsygdom for patienter
med bopæl i Randers, 2014 til 2020. Tilfældene er sorteret efter antal patienter
med de angivne typer, subsidiært om de er påvist ved smitteudredning (kolonne
til højre).
Tabel 7 - Patienter Randers 2014 til 2020 (indbyggertal 64.000)
Serogruppe Subgruppe
Pontiac
ST
Antal ptt.
Påvist i
vandprøver
1
Philadelphia
Ja
1
6
4x
3
NA
87*
5
4x
1
Benidorm
Ja
42
4
2x
1
Bellingham
Nej
59*
1
1x
3
NA
93
1
1x
1
Bellingham
Nej
334
1
1x
1
Allentown/France
Ja
62
1
0
1
OLDA/Oxford
Nej
1
1
0
3
NA
2207
1
0
3
NA
2937
1
0
* Påvist i vandprøver fra Randers i dette projekt (Projekt 2
Vandprøver) (figur 11).
Serogruppebestemmelsen og sekvenstypebestemmelse er i denne undersøgelse kun
udført som stikprøver, men for alle prøver hvor tilstedeværelse af serogruppe 1 blev
påvist med Oxoid Latex Test (se
Materialer og Metoder),
blev der udført
subgruppebestemmelse med monoklonale antistoffer. For alle tre anlæg med påvist
serogruppe 1 blev der påvist subgruppe Bellingham, to af disse isolater blev bestemt til
ST59. I to af disse anlæg blev der også påvist serogruppe 3 ST87 og i et anlæg blev
der ud over subgruppe Bellingham også påvist serogruppe 4 subgruppe Portland
ST1333 og
L. londiniensis.
Ved qPCR for serogruppe 1, blev der kun påvist serogruppe 1 i to anlæg (2/12 anlæg;
16%) som også var positive for serogruppe 1 ved dyrkning. For det ene anlæg med en
37
SUU, Alm.del - 2020-21 - Bilag 573: Orientering om afrapportering fra det tværministerielle arbejde om legionellasmitte fra indenrigs- og boligministeren
2445042_0038.png
værdi på grænsen af metodes (qPCR) detektionsgrænse (500 GU/L) og med ca. 10x
så mange total
L. pneumophila.
For det andet positive anlæg var niveauet af
L.
pneumophila
målet ved qPCR også langt højere end niveauet for serogruppe 1 (ca.
100x). Kun B prøven viste et højt niveau af serogruppe 1 på 7.620 GU/L, men niveauet
af
L. pneumophila
var på 849.600 GU/L. Af yderligere ni anlæg undersøgt ved qPCR,
blev der ikke påvist serogruppe 1. For et anlæg blev der ved dyrkning påvist
serogruppe 1 Bellingham (én koloni), men hvor qPCR var negative for serogruppe 1.
Anlægget var kraftigt koloniseret med non-serogruppe 1 (serogruppe 3 ST87 blev
påvist), da der både ved dyrkning og qPCR blev påvist mellem 26.000 og 40.000 cfu/L
og GU/L i A og B prøverne, så serogruppe 1 koncentrationen var lavt (og
”tilfældigt”
påvist ved dyrkning) og antageligt under sensitiviteten på 500 GU/L for qPCR.
Serogruppe 1 forekommer således i relativt få af de undersøgte anlæg (ved dyrkning i
tre af 24 (12,5%), og ved qPCR i to af 12 undersøgte (16,7%)), og ved påvist forekomst
kun i generelt lave koncentrationer, hvor begge metoder (som ovenævnte viser) kan
overse tilstedeværelsen. Ingen af anlæggene var således kun positive for serogruppe
1. Denne undersøgelse viser desuden at serogruppe 1 Pontiac sandsynligvis ikke er
særligt udbredt i Randers, men ved forekomst, som er påvist ved smitteudredninger (se
tabel 7), udgør de sandsynligvis en forhøjet risiko for smitte. Serogruppe 3 ST87 ser
derimod ud til at have stor udbredelse i byen, og findes generelt i højt antal i de
undersøgte anlæg. Bedømt på den udbredte forekomst, har typen en relativ lav
smitsomhed, men forårsager alligevel en del samfundserhvervede tilfælde (tabel 7).
Som konklusion:
Den høje incidens af legionærsygdom i Randers kan sandsynligvis
forklares ved to forhold; 1: Forekomst, men antagelig relativ sjælden, af smitsomme
typer (Philadelphia ST1 og Benidorm ST42) og 2: En ret udbredt forekomst (ofte på
højt niveau) af den mindre smitsom type serogruppe 3 ST87.
Bellingham ST59 (non-
Pontiac) har tilsyneladende en vis udbredelse (i de påviste anlæg dog på lavt niveau),
men spiller tilsyneladende ikke den store rolle med kun ét påvist tilfælde på syv år
(tabel 7).
Odense
Af de fire byer havde Odense den næst højeste rate af positive anlæg på 83,3% efter
Randers. Desuden havde Odense de højeste medianværdier for A og B prøver (tabel 1
og figur 7) og den højeste andel af anlæg med højt indhold >10.000 cfu/L for A og B
prøver på hhv. 53 og 33% (tabel 2). Ejendommene for Odense havde en gennemsnitlig
alder på 46 år (laveste bland de fire byer) og den højeste gennemsnitlige
ejendomsstørrelse af de fire byer på 52 lejligheder. Men disse faktorer adskiller ikke
Odense afgørende i forhold til Esbjerg med en gennemsnits alder på 49 år og Randers
med en gennemsnitlig ejendomsstørrelse på 49 lejligheder. Det der afgørende adskiller
anlæggene i Odense fra de andre byer, er at langt de fleste anlæg i Odense var
forsynet med varmtvandsbeholdere (90%) og i nogle tilfælde i serie (se afsnittet
Karakterisering af ejendomme varmtvandssystemer).
I vandprøver fra Odense blev der påvist
L. pneumophila
serogruppe 1 ved dyrkning fra
seks anlæg af 30 anlæg (20%) og i alle tilfælde subgruppe 1 OLDA/Oxford. Fire
isolater blev ved sekvenstypebestemmelse alle bestemt til ST1 (figur 10 og 11), som er
den hyppigste årsag til legionærsygdom i Danmark (se afsnittet
Hvad bliver man
smitte med i Danmark?
og tabel 3). I 11 ud af 22 anlæg med
38
SUU, Alm.del - 2020-21 - Bilag 573: Orientering om afrapportering fra det tværministerielle arbejde om legionellasmitte fra indenrigs- og boligministeren
2445042_0039.png
serogruppebestemmelse blev der påvist
L. pneumophila
serogruppe 3 (50%). De var
fordelt på fire forskellige sekvenstyper ST87, ST337, ST993 og ST2187. Heraf var
ST337 den hyppigst påviste (fire anlæg) de tre andre kun i ét anlæg hver. De tre
sekvenstyper ST337, ST993 og ST2187 er varianter af hinanden med indbyrdes
forskelle i kun ét locus. ST87 (der normalt er knyttet til serogruppe 3) var i Odense i ét
tilfælde knyttet til serogruppe 15. ST87 er ikke tæt relateret til de tre andre nævnte
sekvenstyper. Serogruppe 5 subgruppe Cambridge ST80, som var hyppig i Aalborg,
blev påvist i et anlæg i Odense.
For nærmere at beskrive hvilke typer der er de hyppigste årsager til legionærsygdom i
Odense, er der trukket data fra SSIs overvågningsregister for alle dyrkningsverificeret
tilfælde (fraregnet tilfælde associeret til rejse) af legionærsygdom med bopæl i Odense
(postnumre hvorfra der er taget vandprøver) fra 2014 til 2020 (tabel 8). Tilfælde af
plejecenterssmitte (ét OLDA/Oxford ST1 og ét ST80) og nosokomiel infektion (ét
OLDA/Oxford ST1, ét ST80, ét ST337, ét 728 og ét ST1323) er inkluderet. I alt var der
52 tilfælde på 7 år i Odense, hvilket giver en incidens af dyrkningsverificeret
legionærsygdom på 5,2 tilfælde pr. 100.000 indbyggere pr. år.
L. penumophila
serogruppe 1 subgruppe OLDA/Oxford ST1 var den hyppigste årsag til
legionærsygdom i Odense med 13 af 52 (25%) (tabel 8), hvilket svarer til
landsgennemsnittet (se afsnittet
Hvad bliver man smittet med i Danmark?).
Af tabel
8 fremgår det at Knoxville ST9 (tilhørende Pontiac) er den næst hyppigste årsag til
smitte i Odense, men syv af de otte høre til et sandsynligt udbrud af legionærsygdom
(det største påviste i Danmark). Udbruddet var langvarigt fra oktober 2015 til januar
2016, i alt var der ni dyrkningsverificerede tilfælde med Knoxville ST9 (to boede uden
for Odense by, hvorfor de ikke er med i opgørelsen i tabel 8). Der var antageligt op til
dobbelt så mange tilfælde i udbruddet, men de var ikke dyrkningspåviste. En del af
patienternes vandforsyning blev undersøgt, men Knoxville ST9 blev ikke påvist. Kilden
antages at være en ekstern kilde. Det kunne f.eks. være et køletårn. Typen er
antageligt ikke eller sjældent knyttet til varmtvandsforsyninger (aldrig påvist i Danmark).
I Odense har der efterfølgende kun påvist ét tilfælde med Knoxville ST9, som hændte
ca. et år efter det sidste udbrudstilfælde.
L. pneumophila
serogruppe 5 subgruppe Cambridge ST80 udgør en relativ stor andel
af smittede i Odense (6/52; 11,5%), typen blev imidlertid kun påvist i ét anlæg. I
Aalborg hvor typen blev påvist hyppigere (i seks anlæg), var der ingen kendt smittede
uden for sundhedssektoren (hospital), mens fire af de seks tilfælde fra Odense var
smittet uden for sundhedssektoren hvor der vat ét plejecenter- og ét
hospitalsassocieret tilfælde. Det kan dog bemærkes at tre af de fem smittede uden for
sygehus bor inden for et relativt lille område i Odense med én til to km mellem
adresserne. Typen kan eventuelt have er begrænset udbredelse i byen og derfor kun
påvist i ét anlæg (i samme område som ovenstående) i denne undersøgelse.
Sammenlignet med Randers som havde omtrent samme incidens af dyrkningspåvist
legionærsygdom som Odense, udgør serogruppe 1 Pontiac en meget mindre andel i
Odense. Hvis de syv udbrudstilfældene (ST9) fraregnes (idet der antageligt er tale om
én fælles ekstern smittekilde), er incidensen for Pontiac smitte hhv. ca. 2,5 (Randers)
og ca. 0,5 (Odense) tilfælde pr. 100.000 indbyggere pr. år.
39
SUU, Alm.del - 2020-21 - Bilag 573: Orientering om afrapportering fra det tværministerielle arbejde om legionellasmitte fra indenrigs- og boligministeren
2445042_0040.png
Tabel 8. Antal dyrkningsverificerede tilfælde af legionærsygdom for patienter
med bopæl i Odense, 2014 til 2020. Tilfældene er sorteret efter antal patienter
med de angivne typer, subsidiært om de er påvist ved smitteudredning (kolonne
til højre).
Tabel 8 - Patienter Odense 2010 til 2020 (indbyggertal 143.000)
Serogruppe Subgruppe
Pontiac
ST
Antal ptt.
Påvist i
vandprøver
1
OLDA/Oxford
Nej
1*
13
3x
1
Knoxville
Ja
9
8
0
5
Cambridge
NA
80*
6
1x
3/13
NA
337*
3
0
6
NA
728
2
0
10/4
Portland
NA
1323
1
1x
6
NA
1609
2
1x
1
Knoxville
Ja
1256
2
0
3/Ikke T
NA
87*
3
0
1
Philadelphia
Ja
1
1
1x
1
Allentown/France
Ja
62
1
0
1
Allentown/France
Ja
109
1
0
1
OLDA/Oxford
Nej
154
1
0
1
OLDA/Oxford
Nej
1071
1
0
3
NA
845
1
0
4
Portland
NA
1535
1
0
10
NA
1323
1
0
10
NA
1745
1
0
Ikke T
NA
1326
1
0
Ikke T
NA
2227
1
0
Ikke T
NA
Ukendt
1
0
Tilfældene fra Odense er knyttet til i alt 20 forskellige sekvenstyper (tabel 8) hvor der i
Randers var ni (tabel 7), i Aalborg syv (tabel 8) og i Esbjerg fem forskellige
sekvenstyper (tabel 11). Det høje antal påvist sekvenstyper i Odense hænger
naturligvis sammen med det langt højere antal dyrkningspositive tilfælde fra Odense
end fra de andre byer. Relativt er diversiteten i f.eks. Esbjerg højere (5 typer/6
patienter; 0,83) end i Odense (20 typer/52 patienter; 0,38). Imidlertid er det en stor
diversitet af typer der har været årsag til legionærsygdom i Odense, og de fleste kan
betragtes som lavvirulente typer knyttet til
L. pneumophila
non-serogruppe 1 (13
sekvenstyper).
Kun fire sygdomsrelaterede typer blev påvist i vandprøver fra byen (tabel 8, mærket
med *), mens de resterende seks typer der blev påvist (figur 11), ikke har været
associeret med sygdom fra 2014 til 2020 (tabel 8).
Af 25 anlæg med vækst af
L. pneumophila
(et anlæg havde kun vækst af
L. anisa)
blev
der påvist serogruppe 1 i seks anlæg (24%) og af alle undersøgte anlæg i 20% (6/30). I
to anlæg blev der alene påvist serogruppe 1 i ret høje niveauer fra 9.000 til 408.000
cfu/L i A prøver og fra 4.200 til 7.000 cfu/L i B prøver. I alle tilfælde blev de bestemt til
40
SUU, Alm.del - 2020-21 - Bilag 573: Orientering om afrapportering fra det tværministerielle arbejde om legionellasmitte fra indenrigs- og boligministeren
2445042_0041.png
subgruppe OLDA/Oxford (figur 10). Typen er således ret udbredt i Odense, men dog
ikke påvist i 24 af de 30 anlæg (80%).
Hvis smitsomheden (ud fra de foreliggende data) for
L. pneumophila
serogruppe 1
subgruppe OLDA/Oxford skal bedømmes i forhold til smitsomheden for non-
serogruppe 1, så kan et forsøg på det være følgende beregning: Der var 23 anlæg med
vækst af non-serogruppe 1 (23/30; 77%) og seks anlæg med vækst af serogruppe 1
OLDA/Oxford (6/30; 20%). Hvis tallene fra tabel 8 anvendes til at beregne andelen af
tilfælde med non-serogruppe 1 hhv. OLDA/Oxford, så er der i alt 26 tilfælde af non-
serogruppe 1 (tabel 8) og 15 tilfælde af serogruppe 1 OLDA/Oxford (ST1, ST154 og
ST1017, varianter af hinanden) (tabel 8). Af de i alt 41 tilfælde var hhv. (26/41) 63%
forårsaget af non-serogruppe 1 og 37% af OLDA/Oxford. Det vil sige at non-
serogruppe 1 har en relativ smitsomhed på ca. 63/77=0,8 og serogruppe 1
OLDA/Oxford har en relativ smitsomhed på 37/20=1,9. Altså er OLDA/Oxford efter
denne beregning ca. dobbelt så smitsomme som en gennemsnitlig non-serogruppe 1.
Beregningen her skal naturligvis tages med stort forbehold, men stemmer godt med
den almindelige antagelse at serogruppe 1 non-Pontiac generelt har en intermediær
smitsomhed mellem serogruppe 1 Pontiac og non-serogruppe 1. Som nævnt i afsnittet
Typning af
L. pneumophila
og
L. pneumophila
smitsomhed
er det dog mere
komplekst, idet der findes varierende smitsomhed for alle af de nævnte grupper. Det er
f.eks. meget sandsynligt at serogruppe 3 ST87 har højere smitsomhed end f.eks.
serogruppe 5 subgruppe Cambridge ST80, og at mange typer har meget lavere
smitsomhed end både ST87 og ST80. Desuden må man ikke glemme at et højt niveau
af en mindre virulent/smitsom type, kan udgøre samme risiko som lavt niveau af en
mere smitsomme type.
Ved qPCR af vandprøver fra 15 ejendomme blev der påvist
L. pneumophila
serogruppe 1 i prøver fra fire ejendomme (26,6%); altså det samme niveau som ved
dyrkning. I ét var der lavt niveau på 900 og 620 GU/L i henholdsvis A og B prøve, mens
der var ca. 100 gange så mange
L. pneumophila
(alle typer) i begge prøver. Der blev
ikke påvist serogruppe 1 ved dyrkning fra dette anlæg. Tre anlæg havde et højere
niveau - to med 2.000 til 5.000 GU/L i A og B prøver. Fra det ene af disse anlæg blev
serogruppe 1 også påvist ved dyrkning (trods 10 til 20 gange så mange
L. pneumophila
(alle typer)), mens der fra det andet ikke blev påvist serogruppe 1 ved dyrkning. I
prøven var der imidlertid ca. 10 gange så mange
L. pneumophila,
så ved undersøgelse
af 2 x 3 kolonier ved Oxoid Latex Test kan de godt overses. I det tredje anlæg var der
16.000 og 7.000 GU/L for serogruppe 1 i hhv. A og B prøver. Herfra blev der ved
dyrkning kun påvist serogruppe 1 (OLDA/Oxford; 9.000 og 7.000 cfu/L for hhv. A og B
prøve), og qPCR for
L. pneumophila
(hhv. 16.000 og 5.000 GU/L) viste også at der
ikke var andre serogrupper i anlægget end serogruppe 1. For fire af de seks anlæg, der
var dyrkningspositive for serogruppe 1, var der ikke udført qPCR, idet dette kun blev
udført for hver anden ejendom.
I tabel 9 er incidencerne af dyrkningspåvist legionærsygdom forårsaget af
L.
pneumophila
non-serogruppe 1 beregnet for de fire byer. Beregningen er baseret på
data der er trukket fra SSIs overvågningsdatabase (tabel 7-10). For Aalborg og Esbjerg
var incidencerne lige under 0,6 tilfælde pr. 100.000 indbyggere pr. år, mens den var
godt fire gange højere i Odense (2,4 tilfælde pr. 100,000 pr. år). I Randers var
incidensen af non-serogruppe 1 på lidt lavere end for Odenses (tabel 9). I Randers var
41
SUU, Alm.del - 2020-21 - Bilag 573: Orientering om afrapportering fra det tværministerielle arbejde om legionellasmitte fra indenrigs- og boligministeren
2445042_0042.png
det hovedsageligt ST87, mens der for Odense sås en lang række sekvenstyper
associeret med sygdom. Den relativt høje forekomst af non-serogruppe 1 tilfælde i
Odense (tabel 9), kan hænge sammen med at der generelt er et højere niveauer af
L.
pneumophila
i varmtvandssystemerne (specielt for A prøver), end der er i de andre tre
byer (tabel 1, 2 og figur 8). Det skal dog bemærkes at dyrkningsraten i Aalborg og
specielt Esbjerg er lavere (hhv. 44 og 30%) end for Randers og Odense (hhv. 49 og
52%), kompenseres der for dette, vil det svare til en incidens på ca. 0,6 og 1,0 for hhv.
Aalborg og Esbjerg for non-serogruppe 1.
Tabel 9. Beregning af incidens af dyrkningspåvist
L. pneumophila
non-
serogruppe 1 i de fire byer. Beregningen er baseret på data fra SSI (tabel 7 til 10).
Incidensen er angivet som antal tilfælde pr. 100.000 indbyggere pr. år.
Sted
Antal år
Population
Antal tilfælde Tilfælde pr. år
Incidens
Randers
Odense
Aalborg
Esbjerg
7
7
11
11
64.000
143.000
116.000
80.000
8
24
7
5
1,14
3,42
0,64
0,45
1,8
2,4
0,55 (0,6*)
0,57 (1,0*)
* Værdier når der er korrigeret for lavere dyrkningsrat i Aalborg (44%) og Esbjerg
(30%) sammenlignet med Randers og Odense.
Som konklusion:
Den høje incidens i Odense forklares ved at der i Odense blev påvist
en relativ høj kolonisationsrate (83,3%) og de højeste niveauer af L. pneumophila i
varmtvandssystemerne blande de fire byer (tabel 1 og figur 8). Herudover var en relativ
stor andel af systemerne koloniseret med L. pneumophila serogruppe 1 (udelukkende
påvist subgruppe OLDA/Oxford). Ved dyrkning var 20% af anlæg positive for
serogruppe 1 og ved qPCR var 27% positive.
Den påviste type (OLDA/Oxford ST1) er
den hyppigste årsag til legionærsygdom i Danmark (se afsnittet
Hvad bliver man
smittet med i Danmark?),
men har tilsyneladende ikke en landsdækkende udbredelse
(se afsnittene herover for Randers, Aalborg og Esbjerg). Typen har tilsyneladende en
højere smitsomhed end andre
L. pneumophila
typer der hyppigt findes i
varmtvandssystemer (non-serogruppe 1). Den relativt høje forekomst af non-
serogruppe 1 tilfælde i Odense (tabel 9) og den store diversitet af sekvenstyper der er
årsag til tilfælde (tabel 8), kan hænge sammen med at der generelt er et højere
niveauer af
L. pneumophila
i varmtvandssystemerne, end der er i de andre tre byer
(tabel 1, 2 og figur 8). Odense adskilte sig fra de andre tre byer,
ved at langt de fleste
varmtvandssystemer var forsynet med varmtvandsbeholdere (se afsnittet
Karakterisering af varmtvandssystemerne).
Dette kan være eventuelt medvirkende
til det højere niveau af L. pneumophila der er påvist i anlæg fra Odense.
Aalborg
De overordne dyrkningsresultater for Aalborg ligner meget dem fra Randers, der var
dog en lavere rate af koloniserede anlæg på 76%, og et lidt lavere niveau af dyrkbare
Legionella
i B prøver (tabel 1 og figur 7). Andelen af positive anlæg lå lidt over det der
blev påvist i Esbjerg (72%) og medianværdien for B prøver var også kun lidt over det
der blev påvist i Esbjerg (tabel 1 og figur 8). Den gennemsnitlige ejendomsalder var 55
år og den gennemsnitlige ejendomsstørrelse var 41 lejligheder. Begge er lidt lavere
42
SUU, Alm.del - 2020-21 - Bilag 573: Orientering om afrapportering fra det tværministerielle arbejde om legionellasmitte fra indenrigs- og boligministeren
2445042_0043.png
end i Randers. I Aalborg var der gennemført renoveringer af mange af boligerne, med
det vides ikke om der også samtidigt er gennemført renovering af
varmtvandssystemerne.
I vandprøver fra Aalborg blev der ikke påvist
L. pneumophila
serogruppe 1, men i
lighed med Randers blev der påvist en del anlæg med serogruppe 3 (i 7 af 25 anlæg
(28%)) (figur 10), men i Randers var andelen dog næsten dobbelt så høj (54%). Otte
serogruppe 3 isolater blev bestemt til sekvenstype, heraf var seks ST87 (75%), ét
ST371 og ét ST938 (figur 11). Det var karakteristisk for vandprøver fra Aalborg at
serogruppe 5 subgruppe Cambridge var næst hyppigst påviste serogruppe (6 af 25
anlæg; 24%) (figur 10). Seks serogruppe Cambridge isolater blev alle bestemt til ST80
(ud over fra Aalborg blev samme type påvist for ét isolat fra Odense) (figur 11).
For nærmere at beskrive hvilke typer der er de hyppigste årsager til legionærsygdom i
Aalborg, er der trukket data fra SSIs overvågningsregister for alle dyrkningsverificeret
tilfælde af legionærsygdom (fraset rejseassocierede tilfælde) med bopæl i Aalborg
(svarende til postnumre hvorfra der er udtaget vandprøver) fra 2010 til 2020 (tabel 10).
I alt var der 11 tilfælde på 11 år (tabel 10) hvilket giver en Incidens af
dyrkningsverificeret legionærsygdom på ca. 0,9 tilfælde pr. 100.000 indbyggere pr. år
(tabel 6).
Serogruppe 3 ST87 var således hyppigste årsag til dyrkningspåvist legionærsygdom
for Indbyggere i Aalborg (tabel 8), men dog med en langt mindre hyppighed end i
Randers; hhv. 0,24 og 1,12 pr. 100.000 indbyggere pr. år. Projektet her kan ikke
kvantitativt (på grund af relativt få stikprøver) bedømme om der er betydelig forskel på
forekomsten af ST87 i de to byer. I Randers var raten af anlæg med ST87 dog på
41,7%, mens raterne i Aalborg var på 20% (5 af 25 anlæg), desuden var
koncentrationen af ST87 generelt højere i anlæggene i Randes end i Aalborg.
Tabel 10. Antal dyrkningsverificerede tilfælde af legionærsygdom for patienter
med bopæl i Aalbog, 2010 til 2020. Tilfældene er sorteret efter antal patienter
med de angivne typer, subsidiært om de er påvist ved smitteudredning (kolonne
til højre).
Tabel 10 - Patienter Aalborg 2010 til 2020 (indbyggertal 116.000)
Serogruppe Subgruppe
Pontiac
ST
Antal ptt.
Påvist i
vandprøver
3
NA
87*
3
1x
1
Philadelphia
Ja
1
2
0
1
Allentown/France
Ja
82
2
0
5
Cambridge
NA
80*
1
1x
3
NA
93
1
0
3
NA
371*
1
0
3
NA
996
1
0
* Påvist i vandprøver fra Aalborg i dette projekt (Projekt 2
Vandprøver (figur 10)
Der var i alt fire tilfælde af serogruppe 1 Pontiac i Aalborg by (tabel 10), som igen er et
meget lavere niveau end i Randers; hhv. 0,31 og 2,5 pr. 100.000 indbyggere pr. år.
Serogruppe 1 Pontiac er ikke påvist i miljøprøver i Aalborg by ved smitteudredning,
43
SUU, Alm.del - 2020-21 - Bilag 573: Orientering om afrapportering fra det tværministerielle arbejde om legionellasmitte fra indenrigs- og boligministeren
2445042_0044.png
men de to tilfælde med Philadelphia ST1 kunne tyde på en meget lav forekomst af
denne type i vandsystemerne. Der er påvist to tilfælde af Allentown/France ST82 (tabel
8), en type vi aldrig har påvist i miljøprøver i Danmark. De to tilfælde boede tæt på
hinanden og havde sygdomsdebut inden for en måned. Det er et usædvanligt
sammentraf set over en 11 årig periode og kunne tyde på et lille ophobning med fælles
smittekilde (antageligt en ekstern) for de to tilfælde. Det er ingen påviste tilfælde af
serogruppe 1 non-Pontiac, herunder OLDA/Oxford ST1 fra Aalborg.
Serogruppe 5 Cambridge ST80 havde høj forekomst i vandprøver fra Aalborg (24%). I
tabel 10 er kun angivet ét klinisk tilfælde fra Aalborg (hospitalserhvervet). Forekomsten
var således på niveau med ST87 i vandprøverne men er tilsyneladende ikke årsag til
samfundserhvervet smitte i denne by.
Ved qPCR for serogruppe 1 blev der ikke påvist (< 500 GU/L) anlæg med serogruppe
1 i Aalborg.
Som konklusion:
Den lave incidens af legionærsygdom i Aalborg kan ikke umiddelbart
forklares ved lav kolonisationsrate eller lave niveauer af L. pneumophila i
varmtvandssystemerne når der sammenlignes med Randers. Det kan derimod
forklares ved at smitsomme typer (såsom Philadelphia ST1 og Allentown/France ST82
der er påvist fra fire patienter) sandsynligvis kun forekommer meget sjældent, samt at
serogruppe 1 generelt ikke forekommer i varmtvandssystemerne. Systemerne er
tilsyneladende koloniseret med typer med lav smitsomhed.
Seks af de 11 påviste
sekvenstyper i Aalborg har ikke, eller kun i meget få tilfælde, været årsag til
legionærsygdom (tabel 3 og figur 11). Serogruppe 5 Cambridge ST80, har en ret høj
forekomst i de undersøgte anlæg, men er tilsyneladende sjældent årsag til
samfundssmitte, og har antagelig lav smitsomhed, resultater fra Odense giver dog
noget modstridende resultater (se afsnittet om
Odense).
Serogruppe 3 ST87 har en
forholdsvis stor udbredelse, men relativt til Randers kun årsag til få tilfælde (godt 4
gange lavere incidens), men dog påvist i ca. dobbelt så mange anlæg i Randers som i
Aalborg.
Esbjerg
Af de fire byer havde Esbjerg den laveste rate af positive anlæg på 72% samt de
laveste medianværdier (tabel 1 og figur 7). Herudover har Esbjerg den højeste andel af
anlæg med lavt indhold ≤ 1.000 cfu/L for A og B prøver på hhv. 44 og 52% (tabel 2).
Gennemsnitsalderen for ejendomme i Esbjerg var 49 år, midt imellem gennemsnittet
for Aalborg og Odense. Esbjerg havde den laveste gennemsnitlige ejendomsstørrelse
på 33 lejligheder (tabel 4). Denne faktorer kan være associeret med mindre risiko for
kolonisering og høj forekomst af
Legionella
(se afsnittene
Sammenhæng mellem
ejendomsalder og cfu/L
og
Sammenhæng mellem ejendomsstørrelse og cfu/ml).
I vandprøver fra Esbjerg blev der kun påvist
L. pneumophila
serogruppe 1 ved dyrkning
fra ét anlæg, isolatet blev bestemt til subgruppe Bellingham ST26 (figur 10 og figur 11),
som dermed er påvist for første gang i Danmark. Den hyppigst påviste serogruppe var
L. pneumophila
serogruppe 4 subgruppe Portland, som blev påvist i seks anlæg (6/25;
24%) (figur 10). De tilhørte to forskellige sekvenstyper hhv. ST1333 (3 anlæg) og
ST2005 (2 anlæg), der ikke er tæt beslægtede. ST1333 blev også påvist for to
44
SUU, Alm.del - 2020-21 - Bilag 573: Orientering om afrapportering fra det tværministerielle arbejde om legionellasmitte fra indenrigs- og boligministeren
2445042_0045.png
serogruppe 10 isolater i to forskellige anlæg, så der var fem anlæg med ST1333 (Sg
4/Sg 10 ST1333; figur 11). Der er i alt kun påvist fire kliniske tilfælde i Danmark med
denne ST siden 2010. Der blev kun påvist tre anlæg med serogruppe 3 (figur 10). Af
tre serogruppe 3 isolater, bestemt til sekvenstype, var det ene ST87 og de to andre
ST338 (figur 11). I det ene anlæg med påvist ST87 blev ST338 også påvist (ved
nærmere DNA analyse tilhører ST87 og ST338 dog samme fylogenetiske klon (forstået
på den måde at den genetiske variation for ST87 inludere ST338). Udover ST87, er der
to andre sekvenstyper fra Esbjerg (én serogruppe 6; ST412 og tre serogruppe 15;
ST728) som er associeret med mere end fem danske tilfælde fra 2017 til 2020 (tabel
3). Begge kan være knyttet til serogruppe 6 eller 15, en del af disse tilfælde har været
forbundet med hospitals/institutions smittet. Det er interessante at de fleste
sekvenstyper fra Esbjerg er tæt fylogenetisk relaterede. Det gælder ST87, ST338,
ST421, ST728 og ST1333 (kun ST26 og ST2005 er ikke tæt beslægtede med denne
gruppe, hvor ST26 er fjernest). De er fordelt på fem forskellige serogrupper (3, 4
Portland, 6, 10 og 15), men er indbyrdes kun adskilt af forskelle i et genetisk locus af
de syv der bliver undersøgt, og de danner dermed en fylogenetisk enhed/cluster.
L.
pneumophila
diversiteten i Esbjerg er således lille, specielt sammenlignet Odense, som
har den største diversitet af de fire byer med syv forskellige fylogenetiske linjer (for
isolater der er påvist i denne undersøgelse).
For nærmere at beskrive hvilke typer der er de hyppigste årsager til legionærsygdom i
Esbjerg, er der trukket data fra SSIs overvågningsregister for alle dyrkningsverificeret
tilfælde af legionærsygdom med bopæl i Esbjerg (for postnumre hvorfra der er taget
vandprøver) fra 2010 til 2020 (tabel 11). Ligesom for de andre byer er tilfælde af
rejseassocieret legionærsygdom fraregnet, der var ingen tilfælde associeret med
plejecentre, og kun ét nosokomielle tilfælde (ST93).
I alt var der seks dyrkningspåviste tilfælde på 11 år i Esbjerg, hvilket giver en
incidensen af dyrkningsverificeret legionærsygdom på 0,7 pr. 100.000 indbyggere pr.
år. Dyrkningsraten på 30% er den laveste blandt de fire byer, hvilket gør det vanskeligt
helt at vurdere årsager til legionærsygdom for denne by.
I Esbjerg spiller serogruppe 1 tilsyneladende kun en lille rolle hvis overhovedet. ST87
(og hele den fylogenetiske linje tæt beslægtet med denne ST) spiller heller ikke den
store rolle, selvom de forekommer hyppigt, med kun to dyrkningspåviste tilfælde i alt (ét
ST338 og ét ST1333). Der er påvist ét tilfælde af serogruppe 3 ST1609 (tabel 11) som
tilhører den samme fylogenetiske linje, som er påvist i vandprøverne fra Esbjerg. ST93
er påvist hos to patienter, heraf var det ene et nosokomielt tilfælde. ST93 er den tredje
hyppigste sekvenstype påvist hos patienter i Danmark (men dog kun årsag til ca. 5% af
alle tilfælde der er smittet i Danmark), og er også generelt et relativt hyppigt fund i
vandprøver, men ikke påvist i denne undersøgelse. Sekvenstypen er ikke relateret til
den omtalte fylogenetiske
”ST87” linje.
45
SUU, Alm.del - 2020-21 - Bilag 573: Orientering om afrapportering fra det tværministerielle arbejde om legionellasmitte fra indenrigs- og boligministeren
2445042_0046.png
Tabel 11. Antal dyrkningsverificerede tilfælde af legionærsygdom for patienter
med bopæl i Esbjerg, 2010 til 2020. Tilfældene er sorteret efter antal patienter
med de angivne typer, subsidiært om de er påvist ved smitteudredning (kolonne
til højre).
Tabel 11 - Patienter Esbjerg 2010 til 2020 (indbyggertal 80.000)
Serogruppe Subgruppe
Pontiac
ST
Antal ptt.
3
NA
93
2
16
NA
1333*
1
1
Benidorm
Ja
1806
1
3
NA
338*
1
3
NA
1609
1
* Påvist i vandprøver fra Esbjerg i dette projekt (Projekt 2
Vandprøver (figur 11)
Påvist i
vandprøver
1x
1x
0
0
0
Ved qPCR er der af 13 undersøgte anlæg ikke påvist serogruppe 1 (<500 GU/L).
Prøven der var dyrkningspositiv for serogruppe 1 Bellingham ST26 blev ikke undersøgt
med qPCR. I prøven blev der kun påvist serogruppe 1 i forholdsvist lavt antal og kun i
B prøven (1.000 cfu/L).
Som konklusion:
Den lave incidens i Esbjerg forklares ved at der i Esbjerg blev påvist
en relativ lav kolonisationsrate og relativt lave niveauer of L. pneumophila i
varmtvandssystemerne. Men det vigtigste forhold er sandsynligvis at systemerne i
Esbjerg generelt er koloniseret med stammer med lav virulens/smitsomhed.
Der blev
påvist en evolutionære linje der inkludere ST87 og fire andre ST (plus ST1609 der er
påvist hos én patienter (tabel 11). Linjen blev påvist i 11 af 25 anlæg (44%) og
udgjorde 12 af 16 (75%) isolater med kendt ST, men selve ST87 blev kun påvist i et
anlæg. Bedømt på antallet af patienter med dyrkningsverificeret legionærsygdom med
disse sekvenstyper, må de generelt betragtes som lavvirulente.
Generel diskussion og delkonklusioner
Resultater for dyrkning af Legionella sammenholdt med influensparametre
Legionella
forekommer i alle fire byers varmtvandssystemer med stort set samme
hyppighed - fra 72% i Esbjerg til 87,5% i Randers. Niveauerne (udtrykt som
medianværdier) var på samme niveau i Randers og Aalborg, mens de var lavest i
Esbjerg og højest i Odense.
Overordnet forklarer de målte koloniseringsraten og
niveauer af Legionella ikke alene de registrerede forskelle i incidensen af
legionærsygdom i de fire byer.
Temperaturforholdene i systemerne i de fire byer var ikke betydeligt forskellige
fra et
gennemsnit på 48,1°C i Aalborg til 50,8°C i Randers.
De målte temperaturene lå
generelt lavt i forhold til de anbefale varmtvandstemperaturer på minimum 50°C, da
63,4% af anlæggene havde temperaturer < 50°C.
Temperaturene blev i alle tilfælde
målt efter 1 minuts gennemskylning/flush (hvor B prøve også blev udtaget), hvilket
burde være længe nok til at konstant temperatur er opnået ifølge
Bygningsregelementets vejledning om vand (BR 18, 2021). For at kontrollere væksten
46
SUU, Alm.del - 2020-21 - Bilag 573: Orientering om afrapportering fra det tværministerielle arbejde om legionellasmitte fra indenrigs- og boligministeren
2445042_0047.png
af
Legionella
og andre bakterier, er det vigtigt at ≥ 50°C
opnås hurtigt og på under ét
min. (Healt and Safety Executive, 2014; Lee, 2017).
Det blev undersøgt om der var sammenhæng mellem målt temperatur og niveauet af
dyrkbare
Legionella
i prøverne. Der blev påvist en signifikant effekt af temperaturen,
højere for B prøver end for A prøver, hvilket også var det forventede. For nogle B
prøver blev der alligevel målt omkring 25.000 cfu/L i temperaturintervallet 52 til 55°C og
for fire A prøver blev der målt > 100.000 cfu/L.
Ved temperaturer over 55°C blev der
kun påvist få eller ingen Legionella ved dyrkning af B prøver.
Men der er kun få
målinger i dette område, men observationen passer overens med resultater fra en
undersøgelse af 97 plejecenter i Danmark (Nielsen, 2021).
Selvom der er påvist en
effekt af temperaturen, er en temperaturmåling i sig selv ikke retningsgivende for om et
anlæg er koloniseret, eller hvilket niveau af L. pneumophila der er i systemet.
En
temperatur ≥ 55 °C ser dog ud til at være en rimelig god prædiktor for et lavt niveau af
dyrkbare
Legionella
i B prøver. Tapsteder (vandhaner og brusere) kan fortsat være
koloniseret med
Legionella
(ses ved A prøver), men det vil så være muligt
regelmæssigt at gennemskylle med temperaturer der rimeligt hurtigt dræber
bakterierne.
qPCR resultater for
L. pneumophila
viste ikke den samme temperatur sammenhæng,
hvilket tyder på at et anlæg kan være koloniseret og frigive døde/ikke dyrkbare
bakterier ved høje temperaturer, hvilket er et forhold der ikke kan afklares ved
dyrkning.
Det er interessant og overraskende, at anlæg med temperaturer < 50°C relativt oftere
var negative ved dyrkning (15/66; 23%) end anlæg med temperaturer > 50° (4/38;
10,5%). Årsagen til dette kendes ikke, men det kunne være interessant nærmere at
undersøge, om der er specielle forhold for disse systemer, hvor temperaturen ikke ser
ud til at være den kontrollerende faktor.
Alder og størrelse af ejendommene i de fire byer adskilte sig ikke så meget fra
hinanden, dog havde Esbjerg i gennemsnit de mindste ejendomme med 33 lejligheder
pr. ejendom mens Odense havde de største ejendomme med 52 lejligheder pr.
ejendom i gennemsnit.
I en beregning af om størrelsen af ejendommene var korreleret
med Legionella kimtallet, blev det fundet at større ejendomme med > 40 lejligheder
både havde en højere median for B prøver på 2.500 cfu/L og mindre andel af negative
anlæg på 13% end mindre ejendomme med ≤ 40 lejligheder, hvor de tilsvarende
værdier hhv. var 1.100 cfu/L og.25%.
men forskellene var ikke signifikante. Det blev
ligeledes undersøgt om der var sammenhæng mellem alderen på ejendommene og
Legionella
kimtallet. Kun for ejendomme i Randers blev der påvist en signikant
sammenhæng, således at der var tendens til stigende koncentration med stigende
ejendomsalder.
Varmtvandssystemerne var alle forsynet med fjernvarme. I Randers, Aalborg og
Esbjerg var ingen eller få af anlæggene forsynet med varmtvandsbeholder (VVB). Her
adskiller Odense sig klart fra de andre byer, ved at langt de fleste (90%) af anlæggene
var forsynet med VVB og nogle af dem med beholdere i serie. Det er ikke blevet
opgjort hvor store beholderne var, eller hvor mange der var serieforbundet.
Antageligt
er en del af forklaringen på de ret høje niveauer af Legionella i Odense, at de fleste
anlæg var forsynet med VVB.
Problemer med VVB ses specielt hvis de er
47
SUU, Alm.del - 2020-21 - Bilag 573: Orientering om afrapportering fra det tværministerielle arbejde om legionellasmitte fra indenrigs- og boligministeren
2445042_0048.png
overdimensionerede i forhold til forbruget af varmt vand (Lee, 2017), hvilket ofte ses i
ældre ejendomme. Desuden er det velkendt at varmtvandsbeholdere i serie kan
udgøre en speciel risiko, hvis vandet i den ene beholder ikke er tilstrækkeligt varmt.
Reaktionsgrænser
Ifølge internationale retningslinjer så er grænseværdien for indhold af dyrkbare
Legionella
ofte
sat til <1.000 cfu/L eller ≤1.000 cfu/L. og i nogle lande under dette
niveau. Generelt skelnes ikke mellem A og B prøver, men i Tyskland gælder 1.000
cfu/L for det vi kalder B prøver (prøver ved konstant temperautur) (DVGW, 2002). Hvis
man anvender denne grænseværdi vil mellem 48% (Esbjerg) og 63% (Odense) af
anlæggene ikke overholde værdierne. Hvis denne grænseværdi skal overholde i
fremtiden vil det betyde renovering og optimering af en stor del af de danske
varmtvandssystemer og antageligt et højere energiforbrug til varmt vand. Selv ved en
grænseværdi på 10.000 cfu/L vil 16% (Esbjerg og Aalborg) til 33% (Odense) af anlæg
ikke ligge over denne værdi. Det er en overordentlig vanskelig opgave at vurdere hvilke
Legionella-koncentrationer
der udgør en sundhedsrisiko, og ud fra det fastlægge
generelle grænseværdier, idet smitsomheden for de typer der kan findes i varmtvands-
systemerne kan varierer meget fra sted til sted. Desuden afhænger risikoen for smitte
af hvor mange der eksponeres (f.eks. offentligt tilgængelige bruseanlæg vs. private
bruseanlæg) samt af hvem der eksponeres (f.eks. plejecenterbeboere vs. skolebørn).
Niveauerne af
Legionella
i varmtvandssystemerne var meget ens for Randers og
Aalborg, men incidensen er ca. 5 gange højere i Randers end i Aalborg. Selv hvis man
frasortere tilfælde med legionærsygdom forårsaget af
L. pneumophila
serogruppe 1,
har Randers fortsat en incidensrate der ca. er 3 gange højere end i Aalborg (for non-
serogruppe 1) (tabel 9). Så med omtrent samme niveauer i anlæggene kan
smittetrykket tilsyneladende være ret forskelligt. Sammenlagt kan en lidt højre
kolonisationsrate (87,5% vs. 76%) et lidt højere medianværdi for B prøver (1.550 vs.
1.200 cfu/L), en lidt højere andel af anlæg med >10.000 cfu/L (25% vs. 16%) og en lidt
højere forekomst af ST87 (op til 2 gange) tilsammen eventuelt forklare den højere
incidens af
L. pneumophila
non-serogruppe 1 i Randers end i Aalborg. Disse
betragtninger er på baggrund af denne begrænsede undersøgelse, som eventuelt ikke
giver et helt retvisende billede af forekomsten af
Legionella
i de undersøgte byer, og
skal tages med dette forbehold. Undersøgelse peger også på at forekomst af
L.
pneumophila
serogruppe 1 Pontiac (ikke påvist i nogle af de 104 anlæg, men årsag til
32% (28/87) af tilfældene i de fire byer) udgør en forhøjet risiko, og kan være
medvirkende til at der lokalt, som i Randers, er en høj incidensrate. Det skal dog
bemærkes, at en del af disse Pontiac tilfælde sandsynligvis ikke smittes fra
varmtvandssystemer i boligejendomme men fra andre kilder. Man kan eventuelt
forestille sig endnu mere restriktive grænseværdier ved påvisning af virulente typer,
specielt hvor beboerne er sårbare (f.eks. plejecentre) eller hvor mange benytter
anlæggene (hoteller, svømmehaller, vandlande, arbejdspladser mv.). Det er midlertidig
svært håndterbart, da denne analyse (subgruppebestemmelse) kun kan udføres på
SSI. Alle laboratorier kan imidlertid påvise
L. pneumophila
serogruppe 1, som kunne
have en lavere reaktionsgrænse end påvisning af non-serogruppe 1, som er langt de
hyppigste fund.
48
SUU, Alm.del - 2020-21 - Bilag 573: Orientering om afrapportering fra det tværministerielle arbejde om legionellasmitte fra indenrigs- og boligministeren
2445042_0049.png
Eksempler på grænseværdier for ”potable water in piped water systems”–
oversat til
dansk ”drikkevand” som
i Danmark er koldt vand, men i andre lande omfattes også
varmt vand (brugs vand).
Frankrig: < 1.000 cfu/L - Ministère de la Sante et des Solidarités (2005)
o
Sygehuse < 100 cfu/L - generelt
o
Sygehus hvor der er patienter som er specielt i risiko < 50 cfu/L
Tyskland: 1.000 cfu/L - varmt vand - DVGW (2004)
Holland: 100 cfu/L - ved > 1.000 cfu/L umiddelbar handling eller nedlukning -
VROM (2002)
UK: < 100 cfu/L - ved > 1.000 cfu/L gennemgang af kontrolforanstaltninger,
muligvis desinficering - HSE (2004)
Bestemmelse af
Legionella
kimtallet i B prøver er muligvis ikke den bedste indikator for
smitterisiko, mens A prøver i højere grad kan være et udtryk for det. Det er
bemærkelsesværdigt at medianværdierne for A prøverne for Odense lå en del over
medianværdierne for de tre andre byer med ca. 2,7 gange over niveauet i Randers og
Aalborg og ni gange over niveauet i Esbjerg. I dette projekt er der ikke taget prøver fra
brusesystemer (som sandsynligvis er den hyppigste smittekilde i Danmark), som ofte
har langt højere
Legionella-koncentrationer
end prøver fra vandhaner. Dette hænger
sammen med tre ting: 1) bruseslanger der ofte er af bløde plasttyper hvor en biofilm
har let ved at etablere sig, 2) termostatventiler der ofte er koloniseret med
Legionella
(og andre bakterier) og 3) at termostatventil, bruseslange og bruserhoved kun sjældent
eller aldrig skylles igennem med varmt vand (> 50 °C).
Legionella-koncentrationen
i
disse prøver er dog til dels uafhængige af de generelle driftsforhold, men meget
afhængige af hvor ofte brusesystemet bruges, og om man sørger for regelmæssigt at
skylle igennem med varmt vand. Der er derfor et stort forebyggelses potentiale i at
oplyse brugere af eller ansvarlige for badefaciliteter (plejecentre, hoteller,
arbejdspladser mv.) om disse forhold.
A prøver tages sjældent som led i en risikovurdering af et varmtvandssystem (som
regel kun ved smitteudredninger). Det giver god mening i mange tilfælde, men steder
hvor der er modtagelige personer (plejecentre og hospitaler) samt steder hvor mange
bader (hoteller, sportsfaciliteter, svømmehaller) bør A prøver, herunder fra brusere,
være en del af prøverepertoiret. Der er dårlig korrelation mellem resultater for A og B
prøver (korrelationskoefficient R
2
på 0,2; ikke vist). Det er dog interessant, at hvis der
blev påvist
lave niveauer ≤1.000 cfu/L i A prøver (33 anlæg), så var der også ≤1.000
cfu/L i 32 af B prøverne (kun i én B prøve blev der målt 3.000 cfu/L). Det samme
forhold gælder i øvrigt
også for de højere niveauer ≤10.000, ≤100.000 og ≤1.000.000
cfu/L. Derfor er A prøver antageligt gode prøve at tage for en overordnet
risikovurdering. Hvis der kun tages B prøver kan den reelle smitterisiko overses. Der er
dog den ulempe ved A prøver, der undersøges ved dyrkning, at de kan indeholde høje
niveauer af andre bakterier, som kan overvokse vækstsubstratet og/elle være
hæmmende for væksten af
Legionella.
Resultat for A prøver er dog et udtryk for
niveauet i tapstedet/bruseslange/koblingsledningen og ikke nødvendigvis for
cirkulationen, derfor er et højt niveau målt for A prøver ikke nødvendigvis et udtryk for
højt niveaue i varmtvandscirkulationen, mens et lavt niveau i A prøven ser ud til at
være en god prædiktor for lavt niveau i B prøven (cirkulationen).
49
SUU, Alm.del - 2020-21 - Bilag 573: Orientering om afrapportering fra det tværministerielle arbejde om legionellasmitte fra indenrigs- og boligministeren
2445042_0050.png
Sammenfatning for de fire byer
Resultater fra undersøgelsen af
Legionella
niveauer og påviste typer, sammenholdt
med data fra SSIs overvågningsregister for dyrkningspåvist legionærsygdom, kan være
med til at give forklaringer på de forskellige incidenser der er registreret for de fire byer:
Den høje incidens i Randers kan til dels forklares ved at virulente typer af L.
penumophila (sekvenstype 1 og 42 tilhørende Pontiac gruppen) har en vis udbredelse.
De er ikke påvist i vandprøver i denne undersøgelse, men er påvist i forbindelse med
smitteudredninger i byen. Det er velkendt at disse typer generelt er sjældne i
varmtvandssystemer, men vi havde ingen viden om den generelle udbredelse i
Randers. Med dette projekt har vi sandsynliggjort at udbredelsen ikke er generel, men
ved forekomst udgør disse typer tilsyneladende en forhøjet risiko for smitte.
Desuden
kan den høje incidens forklares ved udbredt tilstedeværelse af L. penumophila
serogruppe 3 ST87,
som blev påvist i 10 af 24 undersøgte anlæg i denne
undersøgelse (41,7%), og i mange tilfælde i høje koncentrationer. Antageligt er
forekomsten ST87 højere end påvist, idet serogruppebestemmelse og
sekvenstypebestemmelse kun blev udført på relativt får isolater (som stikprøver). Type
antages at være relativ lidt smitsom, men dog den næst-hyppigste ST der påvises hos
patienter i Danmark. Resultaterne fra dette projekt stemmer overens med at denne
type er en hyppigste årsag til legionærsygdom i Randers.
Den høje incidens i Odense kan til dels forklares ved relativ høj hyppighed af L.
pneumophila serogruppe 1 (non-Pontiac) i vandprøverne. Der blev kun påvist
subgruppe OLDA/Oxford, som også var hyppigst årsag til legionærsygdom i byen.
Ved
dyrkning og qPCR for
L. pneumophila
serogruppe 1 blev serogruppe 1 påvist i hhv. 20
og 27% af undersøgte anlæg, som var et langt højere rate end i de andre byer.
Desuden blev der påvist høj koloniseringsrate og høje koncentrationer af L.
pneumophila i varmtvandssystemerne (specielt i A prøver).
Ud over serogruppe 1
OLDA/Oxford er tilfælde fra Odense karakteriseret ved at have været smittet med en
lang række mindre smitsomme typer. Dette kan hænge sammen med ovenstående.
Kun fire, af de typer der er påvist hos patienterne i Odense de sidste syv år (20
sekvens typer), blev påvist i denne undersøgelse. Hvis sekvenstyper påvist i denne
undersøgelse (10 ST) lægges sammen med sekvenstyper påvist hos patienter de
sidste 7 år, kommer man op på 26 forskellige sekvenstyper, hvilket tyder på en høj
diversitet af
L. pneumophila
i Odense.
L. pneumophila
ST87 blev kun påvist i to anlæg
og hos to patienter, og spiller altså ikke den store rolle i Odense.
L. pneumophila
serogruppe 1 tilhørende gruppen Pontiac, er fraset et udbrud i 2015/16 ikke årsag til
mange tilfælde (6 dyrkningspåviste tilfælde på 7 år). OLDA/Oxford er den serogruppe 1
subgruppe vi generelt oftest påvises i vandprøve, men som vist i dette projekt, findes
den ikke med høj hyppighed i alle områder i Danmark. Hvor den er udbredt, udgør
typen antageligt en højere risiko for smitte, end det generelt gælder for andre
miljøassocierede
L. pneumophila
typer (non-serogruppe 1). Odense havde en høj
andel af anlæg med varmtvandsbeholdere og mange store ejendomme, begge faktorer
der sandsynligvis kan bidrage til de relativt høje
Legionella-koncentrationer
der blev
påvist. Der kan ikke umiddelbart gives en forklaring på hvorfor forskellen til de andre
byer var mest markant for A prøver.
Den lave incidens i Aalborg kan forklares ved at L. pneumophila tilhørende de mest
smitsomme typer (serogruppe 1 Pontiac og non-Pontiac) kun er årsag til meget få
50
SUU, Alm.del - 2020-21 - Bilag 573: Orientering om afrapportering fra det tværministerielle arbejde om legionellasmitte fra indenrigs- og boligministeren
2445042_0051.png
tilfælde af legionærsygdom i byen, og har derfor antageligt har meget lille (om nogen)
forekomst i byen. L. pneumohila
serogruppe 1 blev hverken påvist ved dyrkning eller
ved qPCR i denne undersøgelse, og er heller aldrig blevet påvist ved
smitteudredninger i Aalborg. Der blev påvist en relativ stor udbredelse af andre mindre
smitsomme serogruppe/sekvenstyper, herunder flest serogruppe 5 Cambridge ST80 (6
af 25 anlæg; 24%) og serogruppe 3 ST87 (5 af 25 anlæg; 20%). Disse typer har dog
ikke været årsag til særligt mange tilfælde i byen (fire tilfælde på 11 år) relativt til
antallet af ST80 tilfælde i Odense (seks tilfælde på 7 år) og ST87 tilfælde i Randers
(fem tilfælde på 7 år).
Den lave incidens i Esbjerg kan stort set forklares med samme forhold som for Aalborg.
Desuden var der, i forhold til de andre byer, et relativt lavere indhold af L. pneumophila
og en relativ lavere rate af anlæg koloniseret med L. pneumophila.
Serogruppe 3 ST87
var mindre hyppig i vandprøver fra Esbjerg end både fra Randers og Aalborg, da det
kun blev påvist i et anlæg, og heller ikke er blevet påvist hos patienter fra Esbjerg.
Sekvenstyper der fylogenetiske er tæt beslægtede med ST87 (fire ud over ST87) var
imidlertid ret udbredte og påvist i 11 af 25 anlæg (44%), hvilket indikere en lille
L.
pneumophila
diversitet i Esbjerg (specielt i forhold til Odense). De beslægtede stammer
var fordelt på fem forskellige serogrupper (3, 4 Portland, 6, 10 og 15), hvilket viser at
serogrupperbestemmelse ikke kan bruges som en fylogenetisk markør. Det vides ikke
om de tæt beslægtede sekvenstyper har samme smitsomhed som ST87.
L.
pneumophila
serogruppe 1 (non-Pontiac) blev kun påvist i ét anlæg, og var en type
(Bellingham ST26), der ikke tidligere er påvist i Danmark.
Kvantitativ PCR (qPCR)
qPCR resultaterne for
L. pneumophila
viste en relativ god korrelation (R
2
=0,6) med
dyrkningsresultater med følgende lineære regressionsligning y=1,597x. Ud fra de
foreliggende resultater kan qPCR bruges til at ”forudsige” om et anlæg er har lavt
niveau af dyrkbare
L. pneumophila.
Hvis qPCR giver værdier på ≤ 1.000 GU/L vil
dyrkning
i 94% af tilfældene også have værdier ≤1.000 cfu/L og ved værdier mellem
1.000 og 10.000 GU/L vil 98% af prøver give ≤10.000 cfu/L ved dyrkning. qPCR
resultaterne ligger dog generelt over dyrkningsresultaterne som det fremgår af
ligningen. Det gælder specielt for B prøver (i gennemsnit en faktor 2,7 større). Det
hænger antageligt sammen med at der i højere grad er døde/ikke dyrkbare bakterier i
B prøverne (fra cirkulationen). Dette kan specielt ses for prøver fra systemer hvor der
er en høj driftstemperatur. I omkring 60% af analyser vil resultaterne for qPCR og
dyrkning ligge inden for samme niveauer (se tabel 6), og for de resterende er der op til
ti-gange lavere niveau ved dyrkning.
Som konklusion er qPCR en valid metode til at
bedømme om et anlæg har et lavt niveau af L. pneumophila.
I en del tilfælde kan man
få qPCR resultater der viser et højt niveau, men hvor samtidig eller efterfølgende
dyrkning viser et langt lavere niveau af dyrkbare
L. pneumophia.
qPCR resultatet kan
imidlertid give indikation på at systemet er koloniseret med
L. pneumophila,
men at
bakterierne der er opsamlet i prøven er døde eller ikke dyrkbare. Årsagen til dette kan
være, at temperaturen for det vand der tappes er så højt at
L. pneumophila
er ved at
dø (B prøver). Imidlertid kan de være levende et andet sted i systemet, hvor
temperaturforholdene er mere gunstige. Ved påvisning af høje værdier ved qPCR kan
en efterfølgende dyrkning således anbefales, for at vurdere niveauet af dyrkbare
Legionella.
Resultater for qPCR og dyrkning skal sammenholdes med viden om
51
SUU, Alm.del - 2020-21 - Bilag 573: Orientering om afrapportering fra det tværministerielle arbejde om legionellasmitte fra indenrigs- og boligministeren
2445042_0052.png
systemet, temperature på fremført vand, temperaturer på returstrenge, eventuelt biocid
indhold, nylig varme-/biociddesinfektion, kendskab til døde ender, områder med lavt
forbrug, koblingsledninger m.v. Et højt niveau (evt. >10.000 GU/L) af
L. pneumophila,
trods et eventuelt lavt niveau af dyrkbare
L. pneumophila,
bør eventuelt medføre en
handling (gennemgang af systemet). Man skal være opmærksom på at der efter en
varme- eller biocidbehandling kan frigives et højt niveau (eventuelt højere end før
behandlingen) af døde/ikke dyrkbare bakterier og biofilm, det er således vigtigt at
systemet skylles godt igennem efter en behandling.
For
Legionella
species (spp.) qPCR kunne man have samme betragtning, men alle
systemer med vand er sandsynligvis positive for
Legionella
spp. (herunder også koldt
vand). Langt de fleste arter kan ikke smitte mennesker eller har meget lav smitsomhed.
I de fleste tilfælde kan de ikke dyrkes med standardmetode, så der ofte ingen
korrelation mellem resultater for
Legionella
spp. qPCR og dyrkning.
Legionella
spp.
qPCR vurderes ud fra det foreliggende ikke at kunne bidrage til en egentlig
risikovurdering for vækst af potentielt patogene
Legionella,
og slet ikke hvis der ikke
samtidigt undersøges for
L. pneumophila
ved qPCR.
Legionella
spp. qPCR kan dog
være anvendelig i visse situationer som f.eks. ved smitteopsporing for tilfælde af
Legionella
non-pneumophila infektion. I Danmark skyldes ca. 5% af alle tilfælde med
legionærsygdom andre
Legionella
arter end
L. pneumophila
(herunder forårsaget de
tre arter der er påvist ved dyrkning i denne undersøgelse).
qPCR for påvisning af
L. pneumophila
serogruppe 1 kan være et vigtigt bidrag til en
risikovurdering af varmtvandssystemet. Ved metoden kan niveauet vurderes og
sammenhold med niveauet for total
L. pneumophila,
herunder kan det vurderes om
anlægget overvejende/kun er koloniseret med serogruppe 1. Dette er ikke på samme
måde muligt med dyrkning, hvor kun få af isolaterne undersøges for serogruppe, og
serogruppe 1 på den måde ikke kvantificeres med sikkerhed eller kan overses. qPCR
metoden kan ikke vurdere om det er en smitsom eller mindre smitsom serogruppe 1
subgrupper, det kræver dyrkning og typebestemmelse. Da kun ca. 10% (i denne
undersøgelse og afhængig af geografisk lokation) af varmtvandsinstallationer er
koloniseret med serogruppe 1 og alligevel er årsag til ca. 60% af danske
legionellatilfælde, må tilstedeværelse af serogruppe 1 betragtes som en forhøjet risiko.
En efterfølgende dyrkning og typebestemmelse af isolater kan afklare hvilken subtypen
det drejer sig om. Det vil specielt være relevant for systemer hvor der er forhøjet risiko
for smitte (plejecentre og badeanlæg på hoteller, svømmehaller og sportsfaciliteter).
Overordnet er de opnåede resultater i overensstemmelse med en international
undersøgelse af qPCR til påvisning af
Legionella
i vandprøver (Lee, 2011). I lighed
med denne undersøgelse findes der afvigelser mellem qPCR og dyrkning fra prøver fra
varmt vand. Desuden blev der fundet afvigelser for prøver fra køletårne og for andre
systemerne der er biocidbehandlet. For disse systemer vil qPCR ofte give langt høje
værdier i forhold til dyrkning. Ligeledes blev der påvist dårlig korrelation mellem
påvisning af
Legionella
spp. ved qPCR og dyrkning. Herudover skal det understreges
at den herværende undersøgelse kun er vurderet for vand der ikke er behandlet med
biocid og kun for vand fra varmtvandssystemer. Andre matricer kan udvise andre
forhold mellem dyrkning og qPCR. Desuden er det SSIs in-house metode, der er
anvendt i denne undersøgelse. Der er flere kommercielle qPCR kits til påvisning af
Legionella
på markedet, og det vides ikke om de vil give helt tilsvarende resultater,
52
SUU, Alm.del - 2020-21 - Bilag 573: Orientering om afrapportering fra det tværministerielle arbejde om legionellasmitte fra indenrigs- og boligministeren
2445042_0053.png
men det er dog meget sandsynligt. I arbejdet af Lee et al. fra 2011 foreslås en
reaktionsgrænse for
L. pneumophila
qPCR på 3x1.000 (3.000) GU/L som svarende til
en reaktionsgrænse på 1.000 cfu/L for dyrkbare
L. pneumophila.
Denne værdi ligger
tæt på 2,7x (ud fra den lineære regressionsligning y=2,7x), som er fundet for B prøver i
denne undersøgelse. Hvis der avendes en reaktionsgrænse på 3.000 CFU/L for de 44
inkluderede anlæg, vil 50% (22 anlæg) havde værdier for B prøver under denne værdi.
Atten (81%) af anlæggene havde < 1.000 cfu/L og fire anlæg havde ved dyrkning >
1.000 cfu/L (hhv. 1.100, 1.200, 1.600 og 9.000 cfu/L). For de 22 anlæg med > 3.000
GU/L, havde fire ved dyrkning < 1.000 cfu/L, de øvrige 18 havde > 1.000 cfu/L. Hvad
enten der bruges en reaktionsgrænse på 2.000 (se afsnittet
Korrelation mellem
dyrkning (cfu/L) og qPCR for
L. pneumophila
GU/L)
eller 3.000 GU/L, vil det i langt
de fleste tilfælde være retningsgivende for lavt indhold af dyrkbare
L. pneumophila.
Sammenligning med udlandet
Der er påvist en høj rate af anlæg koloniseret med dyrkbare
Legionella
i denne
undersøgelse - fra 72 til 87,5% (83% i gennemsnit). En undersøgelse af
varmtvandssystemer i 97 plejecentre i Aalborg og København, som begge områder
med lav incidens, påvist en kolonisationsrate på samme niveau (75 til 92%) (Nielsen,
2021). Det er ikke let direkte at sammenligne disse fund med fund fra udlandet, da
undersøgelse kan indeholde forskellige bygninger (hospitaler, institutioner, boliger,
hoteller) udvalgt efter forskellige kriterier og forskellige vandprøver kan være inkluderet
(f.eks. varmt-/koldt vand, vand fra kølesystemer, spa-bade mv.). Prøverne kan være
udtaget forskelligt (f.eks. A el. B prøver eller begge typer eventuelt efter forskellig
flush/skylle tid). Godt nok følges samme internationale standarder for dyrkning af
Legionella
(ISO 11731/ISO 11731-2) i de fleste undersøgelser, men der kan alligevel
være forskel på metodernes sensitivitet
i nogle undersøgelser undersøges f.eks. kun
100 ml i andre 1000 ml (100 ml vand kan være mere sensitiv og give højere
koncentrationer for A prøver end 1.000 ml, da bakteriekoncentrationen ofte vil højest i
de første ml vand (Hirsh, 2020). Desuden er der i mange undersøgelser undersøgt
mere end to prøver pr. anlæg, som vi gjorde i denne undersøgelse. Følgende
referencer er dog fundet relevante og kan i nogen grad sammenlignes med den
herværende undersøgelse (tabel 12A). Overordnet er kolonisationsraterne langt lavere
(generelt 20
40%) end hvad der er fundet i denne undersøgelse og undersøgelse af
plejecentre i Danmark (Nielsen, 2021). Ud fra de angivne referencer tyder det på at
hoteller og hospitaler har en langt højre rate af koloniserede anlæg end anlæg i
beboelsesejendomme (table 12A). Trods lavere rater af koloniserede systemer i andre
lande, så er andelen af
L. pneumophila
serogruppe 1 påvist ved dyrkning, i mange
andre lande langt højere end påvist i den herværende undersøgelse (tabel 12B). Der
kan dog være en betydelig bias da prøver kan være udtaget i forbindelse med
smitteudredning eller fra specielle vandsystemer og udvælgelse af isolater kan være
skrævreddet. Undersøgelse fra det nordøstlige Italien, viste til gengælde at det
overvejende var serogruppe 2-15 (62,9%) frem for serogruppe 1 (35,9%) der blev
påvist, men det var primært for prøver fra hospitaler, plejecentre og hoteller der var
undersøgt (Antonella, 2019). Fælles for langt de fleste undersøgelser er at
L.
pneumophila
serogruppe 1 sekvenstype 1 (ST1) er den dominerende serogruppe 1
type der påvises vandprøverne (tabel 12C).
53
SUU, Alm.del - 2020-21 - Bilag 573: Orientering om afrapportering fra det tværministerielle arbejde om legionellasmitte fra indenrigs- og boligministeren
2445042_0054.png
Ved opgørelse af miljøisolater undersøgt på SSI
var 38% af 419 undersøgte miljøisolater
(ink. isolater fra dette projekt) serogruppe 1 og af serogruppe 1 var 60% ST1 og 48%
var OLDA/Oxford ST1. Så af serogruppe 1 ST1 isolater var 79% OLDA/Oxford ST1
(Uldum; 2021, SSI database udtræk). Den danske opgørelse ligner således meget
opgørelserne fra andre lande med hensyn til andelen af ST1 og OLDA/Oxford ST1 i
miljøprøver. Andelen af serogruppe 1 er dog noget lavere end de udenlandske
opgørelser viser (på nær den sidst nævnte Italienske opgørelse). Den danske
opgørelse er dog betydeligt skævvredet, da langt de fleste isolater er typebestemt i
forbindelse med smitteudredning. Derfor giver det et stort overestimat både for
serogruppe 1 og ST1 i forhold til hvad der findes i miljøet. En interessant forskel
mellem Danmark/USA på den ene side og Holland/UK på den anden side er, at i
Danmark og USA er ST1 den hyppigste type isoleret fra patienter (ca. 25%) (Kozak-
Muiznieks, 2012; Legionella årsopgørelse 2018/2019) mens der kun ses få kliniske
tilfælde med denne type (ST1) i Holland og UK på hhv. 4% og ca. 5% (Euser, 2013;
Harrison, 2009). Catalonien ligger et sted imellem med ca. 15% af ST1 (Quero, 2018).
Forskelle kan ikke umiddelbart ud fra ovenstående tilskrives forskelle i den relative
forekomst af denne type i miljøprøver (overvejende varmtvandsystemer), men
(miljøprøverne) er ifølge opgørelser fra Holland, England også langt sjældnere
koloniseret med
Legionella
end i Danmark, så forskellen er et antageligt et udtryk for at
der i Holland og England relativt langt oftere påvises tilfælde med mere smitsomme
Pontiac typer en i Danmark (begge lande har lavere incidens af legionærsygdom end
Danmark). Man kan bruge data fra undersøgelsen fra UK (Harrison, 2009) til at
estimere den relative smitsomhed for OLDA/Oxford i forhold til andre miljøtyper (non-
serogruppe 1). I følge opgørelsen var der 4 kliniske tilfælde og 122 miljøisolater af non-
serogruppe 1 (4/122=3,2%) i forhold til 6 kliniske tilfælde og 89 miljøisolater af
OLDA/Oxford (6/86=7%), hvilket giver en relativ smitsomhed på 7/3,2=2,4, hvilket er
ganske lig med den relative smitsomhed på 1,9 der blev estimeret på for OLDA/Oxford
med vandprøver fra Odense (se afsnittet
Diskussion af resultater for hver af de fire
byer, Odense).
Der er naturligvis stor usikkerhed på disse beregninger da de er
baseret på få isolater.
Tabel 12. Udenlandske undersøgelser. A. Raten af varmtvandssystemer der er
positive for
Legionella
ved dyrkning. B. Raten af dyrknings-positive prøver der er
positive for
L. pneumophila
serogruppe 1. C. Raten af prøver hvor der er påvist
ST1 af prøver der er dyrknings-positive for
L. pneumophila
serogruppe 1.
12 A. Positiv rate for anlæg koloniseret med
Legionella
Land/område
Holland
Italien
Italien
Italien
Pos. rate
Legionella
24%
22,6%
26%
40%
Reference
Euser et al. 2013
Borella et al. 2004
Totaro et al. 2017
Leoni et al. 2005
Kommentar
Varmtvandssystemer
Varmtvandssystemer
Varmtvandssystemer
Varmtvandssystemer
beboelse. For
hospitaler 93,7%
54
SUU, Alm.del - 2020-21 - Bilag 573: Orientering om afrapportering fra det tværministerielle arbejde om legionellasmitte fra indenrigs- og boligministeren
2445042_0055.png
Nordøstlige Italien
38,3%
Antonella et al.
2019
3.585 rutineprøver, fra
471 bygninger (primært
hospitaler, plejecentre
og hoteller). Kun 19,8%
af prøver var positiver.
Varmtvandssystemer
Varmtvandssystemer.
Offentlige bygninger og
sygehuse
Enfamiliehuse med
varmtvandsbeholdere
Prøver fra 13.397
Varmtvandssystemer
Varmtvandssystemer
Varmtvandssystemer
Hoteller. Kun 25% af
prøver var positive
Hoteller
Brusere i
beboelsesejendomme
Polen
Polen
28,9%
74,8%
Stojek et al. 2012
Sikora et al. 2015
Tyskland
Tyskland
USA
Iran
Grækenland
Tyrkiet
UK
12%
20,7%
19,3%
27,3%
75%
69,6%
8,1%
Mathys et al. 2016
Dilger et al. 2017
Moor et al. 2006
Khaledi et al. 2018
Kyritsi et al. 2018
Erdogan et al. 2007
Collins et al. 2016
12 B. Positiv rate for
L. pneumophila
serogruppe 1 bandt dyrkningspositive prøver
Land/område
England og Wales
Italien
Holland
Catalonien,
Spanien
Nordøstlige Italien
Pos. rate
serogruppe 1
55%
60 %
82%
83%
36%
Reference
Harrison et al. 2009
Scaturro et al. 2020
Euser et al. 2013
Quero et al. 2018
Antonella et al.
2019
Kommentar
Varmtvandssystemer
Varmtvandssystemer
Varmtvandssystemer
Varmtvandssystemer
3.585 rutineprøver, fra
471 bygninger (primært
hospitaler, plejecentre
og hoteller). Kun 19,8%
af prøver var positiver.
12 C. Positiv rate af
L. pneumophila
serogruppe 1 ST1 bandt prøver positive for
serogruppe 1
Land/område
Holland
Pos. rate ST1
42-68%
Reference
Euser et al. 2013
Kommentar
Subgruppe ikke
undersøgt
55
SUU, Alm.del - 2020-21 - Bilag 573: Orientering om afrapportering fra det tværministerielle arbejde om legionellasmitte fra indenrigs- og boligministeren
2445042_0056.png
England og Wales
Catalonien,
Spanien
USA
59%
40%
49%
Harrison et al. 2009
Quero et al. 2018
Kozak-Muiznieks et
al. 2012
OLDA/Oxford
OLDA
Subgruppe ikke
undersøgt
Overordnet er den epidemiologiske situation i Danmark meget anderledes end hvad
udenlandske rapporter angiver, idet
L. pneumophila
non-serogruppe 1 i Danmark, og til
dels også serogruppe 1 ST1, udgør et langt højre smitteandel her end i andre lande.
Fra Catalonien rapporteres 100% serogruppe 1 for samfundssmitte og af disse tilhører
79% Pontiac gruppen (Quero, 2018). Fra UK rapporteres at 97,6% af alle tilfælde er
forårsaget af serogruppe 1 og 91,6% tilhører Pontiac gruppen (Harrison, 2009). I Italien
er non-serogruppe 1 ikke opgjort, men af serogruppe 1 tilfælde tilhører 75% Pontiac
gruppen (Fontana, 2014). I Holland har man også kun undersøgt serogruppe 1. Her
udføres ikke subgruppebestemmelse men kun sekvenstype-bestemmelse, og bedømt
på dette skyldes mindst 77% af alle serogruppe 1 tilfælde Pontiac gruppen (Euser,
2013). I en opgørelse fra Tyskland er 74% af samfundssmittede tilfælde forårsaget af
Pontiac gruppen. Her rapporteres dog om en andel på 20% af tilfælde forårsaget of
non-serogruppe 1, dog kun 11% for samfundserhvervede tilfælde mens 31% er
nosokomielle tilfælde (Borchardt, 2007). Fra Japan rapporteres om 80% serogruppe 1
for alle tilfælde, heraf tilhørte 80% Pontiac gruppen. Af serogruppe 1 var 10% ST1
OLDA/Oxford, og hermed den hyppigste enkelt type (Amemura-Maekawa, 2010).
Alt i
alt viser det et billede af at serogruppe 1 globalt set udgør >70% af alle tilfælde og
heraf tilhøre langt de fleste isolater Pontiac gruppen >75%.
For nosokomielle tilfælde
rapporteres der fra flere lande, hvor det er opgjort, om en langt højre andel af non-
serogruppe 1 og non-Pontaic (Cassier, 2015; Davis 2016). En ældre pan-europæisk
undersøgelse viste at > 50% af nosokomielle tilfælde tilhørte denne gruppe (Helbig,
2002). Som omtalt i afsnittet
Hvad bliver man smittet med i Danmark?
og vist i figur
4 så skyldes kun 55-60% af tilfælde med samfundssmittet i Danmark serogruppe 1 og
heraf op mod halvdelen non-Pontiac (så i alt ca. 30% Pontiac mod mindst 70% i andre
lande). Således er andelen af non-serogruppe 1 tilfælde i Danmark på 40-50%
(Legionella årsopgørelse 2018, 2019, Legionella årsopgørelse 2019, 2020) hvor
opgørelser fra andre lande højst ligger på 20% (Amemura-Maekawa, 2010, Borchardt,
2007, Helbig, 2002). Incidensen af registreret legionærsygdom i Danmark er på mellem
4 og 5 tilfælde pr. 100.000 indbyggere pr. år de sidste fire år, hvilket er blandt de tre
højeste incidenser påvist i EU/EEA, hvor incidensen i gennemsnit for Europa er på lige
godt 2 tilfælde pr. 100.000 indbyggere pr. år (ECDC, 2020).
Konklusion
Den høje incidens og høje forekomst af tilfælde forårsaget af mindre smitsomme typer i
Danmark, kan sandsynligvis til dels tilskrives den høje rate af anlæg der er koloniseret
med
Legionella.
Den påviste rate af koloniserede anlæg i denne undersøgelse på ca.
80% er sandsynligvis retningsgivende for det generelle niveau i Danmark, hvor
udenlandske undersøgelser overvejende angiver rater på omkring 20 til højst 40% for
beboelsesejendomme. Herudover ligger niveauerne i over 50% af anlæggene over
reaktionsniveauet på 1.000 cfu/L, der ofte angives som det maksimale niveau i
56
SUU, Alm.del - 2020-21 - Bilag 573: Orientering om afrapportering fra det tværministerielle arbejde om legionellasmitte fra indenrigs- og boligministeren
2445042_0057.png
brugsvand-installationer (potable water), hvis der ikke skal være risiko for smitte (WHO,
2017). Som nævnt er kolonisationsrater og målte niveauer dog ikke direkte korreleret
med de påviste incidenser. Denne undersøgelse, sammenholdt med data fra SSIs
overvågningsregister, har vist at den måske vigtig faktor er hvilke typer af
L.
pneumophila
der er fremherskende i de forskellige geografiske områder. I denne
undersøgelse er det vist at hver by har sin egen fordeling af sero-/subgrupper og
sekvenstyper (figur 10 og 11). En forekomst af virulente typer (serogruppe 1 Pontiac),
som det ses i Randers, kan spiller en stor rolle for smittetrykket og dermed incidensen.
Dette er også tilfældet selvom udbredelsen, i henhold til resultater fra denne
undersøgelse, må betragtes som sjælden. Herudover kan er en udbredt forekomst af
L.
pneumophila
serogruppe 1 OLDA/Oxford ST1 have indflydelse på incidensen, idet den
tilsyneladende har en noget større smitsomhed end andre typer der typisk påvises i
varmtvandssystemer. I denne rapport er der gjort forsøg på at estimere den relative
smitsomhed for
L. pneumophila
serogruppe 1 OLDA/Oxford ST1 i forhold til
gennemsnittet for andre miljøtyper (non-serogruppe 1). Beregning baseret på resultater
fra Odense og tyske data giver næsten samme resultat, og viser en ca. to gange
højere smitsomhed for denne type end for andre typer der hyppigt påvises i
miljøprøver. Herudover kan nogle non-serogruppe 1 typer have en lidt højere
smitsomhed and andre. Det kunne gælde serogruppe 3 ST87, som er det næst
hyppigste fund (13%) hos patienter smittet i Danmark. Hvorvidt årsagen til de mange
tilfælde er den hyppige forekomst (påvist i alle fire byer), eller om det skyldes en
forhøjet smitsomhed, kan ikke afgøres ud fra det foreliggende. Den relative
smitsomhed for Pontiac gruppen kan ikke beregnes, og varierer også inden for
gruppen. I denne forbindelse kan det nævnes at udbruddet i Odense, hvor Knoxville
ST9 var årsagen, med stor sikkerhed ikke var forårsaget af kontaminerede
varmtvandssystemer. I nogle lande (herunder Holland, UK og Frankrig) er disse
virulente typer (Pontiac) som nævnt langt de hyppigste årsager til legionærsygdom, og
i disse lande er varmtvandssystemer heller ikke betragtet som særligt hyppige
smittekilder (de har også relativt lave kolonisationsrater). Derimod er der mere fokus på
alternative smittekilder som køletårne, spa-bade, renseanlæg, fontæner, forstøvere og
naturlig kilder som jord, regnvand mv. Et andet forhold, der er typisk for Danmark, er at
sæsonvariationen er meget lille (figur 3) sammenlignet med andre lande (ECDC,
2020), hvilket kan være forårsaget af at de overordnede smittekilder i Danmark
adskiller sig fra de generelle smittekilder i udlandet. Af ukendte årsager er disse
virulente typer fortsat sjældne i Danmark, men ST9 udbruddet i Odense, viser at en
virulent type pludseligt kan blive introduceret/vokse op i et lokalt dansk område,
eventuelt i en enkelt kilde som f.eks. i et køletårn, og være årsag til en del tilfælde.
Medvirkende til at vi i Danmark påviser relativt mange tilfælde forårsaget af typer med
lavere smitsomhed (non-serogruppe 1), er sandsynligvis en meget udbredt brug af
PCR. I 2019 blev 90% af alle tilfælde påvist ved PCR, og har i de sidste mange år
været den mest anvendte metode til primær diagnostik af legionærsygdom i Danmark
(Legionella-pneumoni 2019, 2020). PCR påviser alle serogrupper (og arter) lige godt,
mens den mest anvendte metode til diagnostik i Europa fortsat er påvisning af
L.
penumophila
antigen udskilt i urin (LUT). Der findes flere kits på markedet til påvisning
af
L. pneumophila
antigen, men fælles for alle er at de udelukkende eller primært
påviser
L. pneumophila
serogruppe 1. Den seneste opgørelse over anvendte metoder i
Europa er nogle år gammel (Beauté, 2015), men viser at 78,2% af alle europæiske
57
SUU, Alm.del - 2020-21 - Bilag 573: Orientering om afrapportering fra det tværministerielle arbejde om legionellasmitte fra indenrigs- og boligministeren
2445042_0058.png
tilfælde fra 2011 til 2015 blev diagnosticeret ved LUT alene, mens der i 2015 blev
anvendt PCR for kun 10,5% af tilfældene. Samme år (2015) blev knapt 80%
diagnosticeret med PCR i Danmark og godt 50% med LUT (patienter kan være positive
med begge metoder) (Legionella-pneumoni 2019, 2020). Man kan mene at brugen af
LUT som primær diagnostisk metode, ikke kan have den store betydning for den
overordnede fordeling af hvad der bliver påvist ved dyrkning, men dyrkning er kun
rutinetest få steder, og der vil i mange tilfælde kun blive rekvireret prøve til dyrkning,
hvis patienten har en positiv LUT. Ved PCR som primær diagnostisk metode får man
antageligt et mere retvisende billede af de typer der er årsag til legionærsygdom, idet
man ved positiv PCR allerede har prøvematerialet (luftvejssekret) der kan dyrkes fra.
Dyrkningsraten er desuden generelt meget lav i Europa og var fra 2011 til 2015 kun på
12%, mens den i Danmark var på ca. 45% i samme periode. Siden 2015 har PCR
fundet indpas i flere europæiske lande herunder i Frankrig, England, Holland, Belgien,
Tyskland og Sverige, men niveauet kendes ikke, og det vides heller ikke om det har
haft indflydelse på de observerede serogruppe-fordelinger i de pågældende lande.
Nærværende undersøgelsen kan ikke give et svar på, hvorfor vi har set en stigning i
antal registrerede tilfælde i Danmark. Vi har ikke tilsvarende undersøgelser tilbage i
tiden, som kan vurdere om der er sket en stigning i antal positive anlæg og om der er
sket en stigning i koncentrationen af
Legionella
i anlæggene. Stigningen kan eventuelt
til dels tilskrives at disse forhold har ændret sig, men øget testaktivitet og forbedret
overvågning har også betydet at flere tilfælde registreres. Hvis øget kolonisering er en
væsentlig årsag til stigningen, kan det eventuelt skyldes energibesparende tiltag over
de seneste år. Selvom dette eventuelt har været en gradvis proces, kan det godt have
medført spring i incidencen af legionærsygdom (som det er set fra 2013 til 2014, og
igen fra 2016 til 2017), idet kun ganske få grades ændring i temperaturene i
varmtvandssystemerne kan have stor betydning for væksten af
Legionella,.
Større
udbredelse af almindelige miljøtyper med forhøjet smitsomhed (som OLDA/Oxford ST1
og evt. ST87) kan også være en del af forklaringen, og kan hænge sammen med
ovenstående hypotese. En nærmere analyse af historiske isolater sammenholdt med
geografisk registrering kunne eventuelt afsløre, om der er boligområder der over tiden
er blevet koloniseret med disse typer.
58
SUU, Alm.del - 2020-21 - Bilag 573: Orientering om afrapportering fra det tværministerielle arbejde om legionellasmitte fra indenrigs- og boligministeren
2445042_0059.png
BOLIGFORENINGER
Tak til følgende boligforeninger for at deltage i dette projekt og være med at udvælge
ejendomme og stille varmtvandssystemer til rådighed for prøvetagning.
Randers:
A/B Andelsbo og A/B Kronjylland
v/RandersBolig
Marsvej 1
DK - 8960 Randers SØ
Inspektør Gert Bach Hølund
Randers Boligforening af 1940
v/RandersBolig
Marsvej 1
DK - 8960 Randers SØ
Inspektør Flemming Lienhøft
Boligorganisationen Møllevænget & Storgaarden
v/RandersBolig
Marsvej 1
DK - 8960 Randers SØ
Inspektør Peter Pedersen
Aalborg:
Himmerland Boligforening
Rendsburggade 22
DK - 9000 Aalborg C
Energi- og Klimaspecialist Anders Kjeldsen
Esbjerg:
DAB - Dansk Almennyttigt Boligselskab, Lokalcenter Esbjerg
Storegade 33, 1.
DK - 6700 Esbjerg C
Driftchef Administrationsafd. 5 Claus T. Sørensen
Odense:
CIVICA
Carl Nielsens Kvarter 14
DK - 5000 Odense C
Driftschef Claus Jacobsen
59
SUU, Alm.del - 2020-21 - Bilag 573: Orientering om afrapportering fra det tværministerielle arbejde om legionellasmitte fra indenrigs- og boligministeren
2445042_0060.png
LITTERATURLISTE
Allegra
S, Grattard F, Girardot F, Riffard S, Pozzetto B, Berthelot P. (2011). Longitudinal evaluation of the
efficiency of heat treatment procedure against Legionella spp. In hospital water systems by using a
flow cytometric assay. App Environ Microbiol. 77(4):1268-1275. doi: 10.1128/AEM.02225-10
Amemura-Maekawa
J, Kura F, Helbig JH, Chang B, Kaneko A et al. (2010). Characterization of Legionella
pneumophila isolates from patients in Japan according to serogroup, monoclonal antibody subgroup
and sequence types. J Med Microbiol. 59(6):653-659. doi: 10.1099/jmm.0.017509-0
Antonella
F, Franchi M, De Martin S, Vitacolonna N, Iacumin L, Civilini M. (2019). Environmental
surveillance and spatiotemporal analysis of Legionella spp. In a region of northeastern Italy (2002-2017).
PLoS ONE. 14(7):e0218687. doi: 10.1371/journal.pone.0218687
Beauté J,
Sardin S, Uldum SA, Rota MC, Brandsema P, Giesecke J, Sparén P. (2016). Short-term effect of
atmospheric pressure, temperature, and rainfall on notification rate of community-acquired
legionnaires´ disease in four European countries. Epidemiology and Infection. 144(16):3483-3493.
doi:10.1017/S0950268816001874.
Beauté
J, on behalf of the European Legionnaires´ Disease Surveillance Network (2017). Legionnaires´
disease in Europe, 2011 to 2015. Euro Surveill. 22(27):pii=30566. DOI: http://dx.doi.org/10.2807/1560-
7917.ES.2017.22.27.30566
Borchardt
J, Helbig JH, Lück PC. (2007). Occurrence and distribution of sequence types among Legionella
pneumophila strains isolated from patients in Germany: common features and differences to other
regions of the world. Eur J Clin Microbiol Infect Dis. 27(1):29-36. https://doi.org/10.1007/s10096-007-
0392-3
BR18 Vand
(2021) Bygningsregelementets vejledning om vand. Bolig- og Planstyrelsen.
https://bygningsreglementet.dk/Tekniske-bestemmelser/21/Vejledninger/Vejledning_vand
Borella
P, Montagne MT, Romano-Spica V, Stampi S, Stancanelli G et al. (2004). Legionella Infection risk
from domestic hot water. Emerg Infect Dis 10(3): 457-464. https://dx.doi.org/10.3201/eid1003.020707
Cassier
P, Campese C, Le Strat Y, Che D, Ginevra C et al. (2015). Epidemiological characteristics
associated with ST23 clones compared to ST1 and ST47 clones of legionnaires´ disease cases in France.
New Microbe and New Infect. 3(C):29-33. DOI: 10.1016/j.nmni.2014.10.006
Centers for Disease Control and Prevention
(2
8 Legionella Legionnaires’ disease
and Pontiac fever).
History, Burden, and Trends.
https://www.cdc.gov/legionella/about/history.html
Collins
S, Stevenson D, Bennett A, Walker. (2016). Occurrence of Legionella in UK household showers.
Intl. J Hygiene Environ Health. 220(2):401-406. https://doi.org/10.1016/j.ijheh.2016.12.001
Cassell
K, Gacek P, Warren JL, Raymond PA, Cartter M, Weinberger DM. (2018). Association between
sporadic legionellosis and river systems in Connecticut. J Infect Dis. 217(2):179-187.
doi:
10.1093/infdis/jix531
Cassell
K, Kjelsø C, Weinberger DM, Uldum SA. (2021). Evidence for multiple cases of recurrent
Legionella
infection: a Danish national surveillance study. Thorax. Epub ahead of print, January 2021.
http://dx.doi.org/10.1136/thoraxjnl-2020-216344
60
SUU, Alm.del - 2020-21 - Bilag 573: Orientering om afrapportering fra det tværministerielle arbejde om legionellasmitte fra indenrigs- og boligministeren
2445042_0061.png
Cramp
GJ, Harte D, Douglas NM, Graham F, Schousboe M, Sykes. (2010). An outbreak of Pontiac fever
due to Legionella longbeachae serogroup 2 found in potting mix in a horticultural nursery in New
Zealand. Epidemiol Infect. 138(1):15-20. DOI: 10.1017/S0950268809990835
David
S, Rusniok C, Mentasti M, Gomez-Valero L, Harris SR et al. (2016). Multiple major disease-
associated clones of Legionella pneumophila have emerged recently and independently. Genome Res.
26(11):155-1564. doi: 10.1101/gr.209536.116
Dilger
T, Melzl H, Gessner A. (2018). Legionella contamination in warm water systems: A species-level
survey. Int Hyg Environ Health. 221(2):199-210. doi: 10.1016/j.ijheh.2017.10.011.
Erdogan
H, Arslan H (2007). Colonization of Legionella species in hotel water systems in Turkey. J Travel
Med. 14(6):369-373.
https://doi.org/10.1111/j.1708-8305.2007.00146.x
European Centre for Disease Prevention and Control.
(2017).
Legionnaires’ disease in Europe,
Stockholm: ECDC. doi 10.2900/692621
5.
European Centre for Disease Prevention and Control.
(2020 I)
Legionnaires’ disease. In: ECDC. Annual
epidemiological report for 2018. Stockholm: ECDC.
https://www.ecdc.europa.eu/sites/default/files/documents/AER_for_2018_Legionnaires.
pdf
European Centre for Disease Prevention and Control.
(2020 II). Surveillance Atlas of Infectious Diseases,
Legionnaires´ disease. https://atlas.ecdc.europa.eu/public/index.aspx
European Standard EN 806-2.
(2005), Specification for installations inside buildings conveying water for
human consumption
Part 2: Design. https://standards.iteh.ai/catalog/standards/cen/1c8a7fd3-ad0c-
4b10-877a-04416895b4dd/en-806-2-2005
Euser
SM, Bruin JP, Brandsema P, Reijen L, Boers SA, Den Boer JW (2013). Legionella prevention in the
Netherlands: an evaluation using genotype distribution. Eur J Clin Microbiol Infect Dis. 32:1017-1022.
DOI 10.1007/s10096-013-1841-9
Fontana
S, Scaturro M, Rota MC, Caporali MG, Ricci ML. (2014). Molecular typing of Legionella
pneumophila serogroup 1 clinical strains isolated in Italy. Int J Med Microbiol. 304(5-6):597-602.
https://doi.org/10.1016/j.ijmm.2014.04.004
Gaia
V, Fry NK, Afshar B, Lück PC, Meugnier H et al. (2005). Consensus sequence-based scheme for
epidemiological typing of clinical and environmental isolates of Legionella pneumophila. J Clin Microbiol.
43(5):2047-2052. doi: 10.1128/JCM.43.5.2047-2052.2005
Garduño
RA, Garduño E, Hiltz M, Hoffman PS. (2002). Intracellular growth of L. pneumophila gives rise
to a differentiated form dissimilar to stationary-phase forms. Infect Immun. 70(11):6273-6283.
doi: 10.1128/IAI.70.11.6273-6283.2002
George
F, Shivaji T, Pinto CS, Serra LAO, Valente J, Albuquerque J, Olivenca PC, et al. (2016). A large
outbreak of legionnaires´ disease in an industrial town in Portugal. Revista Portuguesa de Saúde Pública.
34(3):199-208. https://doi.org/10.1016/j.rpsp.2016.10.001
Gregersen
P, Grunnet K. Uldum SA, Andersen BH. (1999). Pontiac fever at a sewage treatment plant in
the food industry. Scan J Work Environ Health. 25(3):291-295. doi: 10.5271/sjweh.437
61
SUU, Alm.del - 2020-21 - Bilag 573: Orientering om afrapportering fra det tværministerielle arbejde om legionellasmitte fra indenrigs- og boligministeren
2445042_0062.png
Halsby
KD, Joseph CA, Lee JV, Wilkinson P. (2014). The relationship between meteorological variables
and sporadic cases of legionnaires´ disease in residents of England and Wales. Epidemiol Infect.
142(11):2352-2359. DOI: 10.1017/S0950268813003294
Harriet
H, Bentham R, Brown MH. (2017). Legionella persistence in manufactured water systems:
Pasteurization potentially selecting for thermal tolerance. Front Microbiol. 8:1330.
doi: 10.3389/fmicb.2017.01330
Harrison
TG, Afshar B, Doshi N, Fry NK, Lee JV. (2009). Distribution of Legionella pneumophila
serogroups, monoclonal antibody subgroups and DNA sequence types in recent clinical and
environmental isolates from England and Wales (2000-2008). Eur J Clin Microbiol Infect. Dis. 28(7):781-
791. https://doi.org/10.1007/s10096-009-0705-9
Health and Safety Executive.
(2014) Legionnaires´ disease. Part 2: The control of legionella bacteria in
hot and cold water systems (HSG274 Part 2). https://www.hse.gov.uk/pUbns/priced/hsg274part2.pdf
Helbig
J, Bernander S, Castellani Pastoris M, Etienne J, Gaia, V et. al. (2002) Pan-european study on
culture-proven Legionnaires´ disease: Distribution of Legionella pneumophila serogroups and
monoclonal subgroups. Eur J Clin Microbiol Infect Dis. 21:710-716. https://doi.org/10.1007/s10096-002-
0820-3
Hirsh
MB, Baron JL, Mietzner SM, Rihs JD, Yassin MH, Stout JE. (2020). Evaluation of recommended
water sample collection methods and impact of holding time on Legionella recovery and variability from
healthcare building water systems. Microorganisms. 8(11):1770. doi:10.3390/microorganisms8111770
Kenagy
E, Priest PC, Cameron CM, Smith D, Scott P et al. (2017). Risk factors for Legionella longbeachae
legionnaires´ disease, New Zealand. Emerg Infect Dis. 23(7):1148-1154. doi: 10.3201/eid2307.161429
Khaledi
A, Bahrami A, Nabizadeh E. (2018). Prevalence of Legionella species in water resources of Iran: A
systematic review and meta-analysis. Iran J Med Sci. 43(6):571-580. PMID: 30510333
Khodr
A, Kay E, Gomez-Valero L, Ginevra C, Doublet P et al. (2016). Molecular epidemiology, phylogeny
and evolution of Legionella. Infection, Genetics and Evolution. 43(2016):108-122. doi:
10.1016/j.meegid.2016.04.033.
Kozak
NA, Benson RF, Brown E, Alexander NT, Taylor Jr TH, Shelton BG, Fields BS. (2009). Distribution of
lag-1 alleles and sequence-based types amomg Legionella pneumophila serogroup 1 clinical and
environmental isolates in the United States. J Clin Microbiol. 47(8):2525-2535. doi: 10.1128/JCM.02410-
0
Kozak-Muiznieks
NA, Lucas CE, Brown E, Pondo T, Taylor Jr. JH et al. (2014). Prevalence of sequence
types among clinical and environmental isolates of Legionella pneumophila serogroup 1 in the United
States from 1982 to 2012. J Clin Microbiol. 52(1):201-211. doi: 10.1128/JCM.01973-13
Krøjgaard
LH, Krogfelt KA, Albrechtsen HJ, Uldum SA (2011) Cluster of legionnaires´ disease in a newly
built block of flats, Denmark, December 2008
January 2009. Euro Surveill. 16(1):19759.
PMID: 21223834
Kyritsi
MA, Mouchtouri VA, Katsioulis A, Kostara E, Nakoulas V et al. (2018). Legionella colonization of
hotel water systems in tourist places of Greece: Association with system characteristics and
physicochemical parameters. Int J Environ Res Public Health. 15(12):2707.
https://doi.org/10.3390/ijerph15122707
62
SUU, Alm.del - 2020-21 - Bilag 573: Orientering om afrapportering fra det tværministerielle arbejde om legionellasmitte fra indenrigs- og boligministeren
2445042_0063.png
Lee
JV, Lai S, Exner M, Lenz J, Gaia V, Casati S et al. (2011). An international trail of quantitative PCR for
monitoring Legionella in artificial water systems. J Appl Microbiol. 110(4):1032-1044.
doi: 10.1111/j.1365-2672.2011.04957.x
Lee
S, Crespi S, et al. (2017). European Technical guidelines for the prevention, control and investigation
of infections caused by Legionella species. Available from: https://ecdc.europa.eu/en/publications-
data/european-technical-guidelines-prevention-control-and-investigation-infections
Legionella-pneumoni
2015. SSI, EPI NYT uge 42/43 (2016). https://www.ssi.dk/aktuelt/nyhedsbreve/epi-
nyt/2016/uge-42-43---2016
Legionella-pneumoni
2019. SSI, EPI NYT uge 20 (2020). https://www.ssi.dk/aktuelt/nyhedsbreve/epi-
nyt/2020/uge-20---2020
Legionella
årsopgørelse 2018 (2019): Legionella årsopgørelse 2018: Legionella-pneumoni
opgørelse
over sygdomsforekomst 2018. SSI, 08 maj 2019. https://www.ssi.dk/sygdomme-beredskab-og-
forskning/sygdomsovervaagning/l/legionella-pneumoni-2018
Legionella
årsopgørelse 2019 (2020): Legionella-pneumoni
opgørelse over sygdomsforekomst 2019.
SSI, 13 maj 2020. https://www.ssi.dk/sygdomme-beredskab-og-
forskning/sygdomsovervaagning/l/legionella-pneumoni-2019
Legionella
årsopgørelse 2020 (2021): Legionella-pneumoni
opgørelse over sygdomsforekomst 2020.
SSI, 05 maj 2021. https://www.ssi.dk/sygdomme-beredskab-og-
forskning/sygdomsovervaagning/l/legionella-pneumoni-2020
Leoni
E, De Luca G, Legnani PP, Sacchetti R, et al. (2005). Legionella waterline colonization: detection of
Legionella species in domestic, hotel and hospital hot water systems. J Appl Microbiol [Internet]
98(2):373-379. https://doi.org/10.1111/j.1365-2672.2004.02458.x
Mathys
W, Stanke J, Harmuth M, Junge-Mathys E. (2008). Occurrence of Legionella in hot water systems
of single-family residences in suburbs of two German cities with special reference to solar and district
heating. Intl J Hygiene Environ Health. 211(1-2):179-185. https://doi.org/10.1016/j.ijheh.2007.02.004
Moor
MR, Pryor M, Fields B, et al. (2006). Introduction of monochloramine into a Municipal water
system: Impact on colonization of buildings by Legionella spp. Appl Environ Microbiol. 72(1):378-382.
doi: 10.1128/AEM.72.1.378-383.2006
Nielsen
NS, Uldum SA (2021). High Legionella colonisation rate of hot water systems in care homes from
two Danish municipalities. Re-submitted 03.02.21, Int J Environ Sci Technol.
Quero
S, Párraga-Niño N, Barrabeig I, Sala MR, Pedro-Botet ML, Monsó E et al (2018). Population
structure of environmental and clinical Legionella pneumophila isolates in Catalonia. Sci Rep. 8(1):6241.
doi: 10.1038/s41598-018-24708-1.
Scaturro
M, Poznanski E, Mupo M, Blasior P, Seeber M et al. (2020). Evaluation of GVPC and BCYE media
for Legionella detection and ennumeration in water samples by ISO 11731: Does plating on BCYE
medium really improve yield? Pathogens. 9(9):757. doi: 10.3390/pathogens9090757
Sharaby
Y, Rodríguez-Martínez S, Oks O, Pecellin M, Mizrahi H et al. (2017). Temperature-dependent
growth modelling of environmental and clinical Legionella pneumophila multilocus variable-number
tandem-repeat analysis (MLVA) genotyping. App Environ Microbiol. 83(8):e03295-16. doi:
10.1128/AEM.03295-16
63
SUU, Alm.del - 2020-21 - Bilag 573: Orientering om afrapportering fra det tværministerielle arbejde om legionellasmitte fra indenrigs- og boligministeren
2445042_0064.png
Sikora
A, Wojtowicz-Bobin M, Koziol-Montewka M, et al. (2015). Prevalence of Legionella pneumophila
in water distribution systems in hospitals and public buildings of the Lublin region of eastern Poland.
Ann Agric Environ Med. 22(2):195-201. https://doi.org/10.5604/12321966.1152064
Slimmering
JE, Polgreen LA, Hornick DB, Sewell DK, Polgreen PM. (2017). Weather-dependent risk for
legionnaires´ disease, United States. Emerg Infect Dis. 23(11):1843-1851.
doi:
10.3201/eid2311.170137
Stojek
NM, Wojcik-Fatla A, Dutkiewicz J (2012). Efficacy of detection of Legionella in hot and cold water
samples by culture and PCR. II. Examination of native samples from various sources. Ann Agric Environ
Med. 19(2):295-298. PMID: 22742805
Svarrer
CW, Uldum SA. (2012). The occurrence of Legionella species other than Legionella pneumophila
in clinical and environmental samples in Denmark identified by mip gene sequencing and matrix-assisted
laser desorption ionization time-of-flight mass spectrometry. Clin Microbiol Infect. 18(10):1004-1009.
doi: 10.1111/j.1469-0691.2011.03698.x
Totaro
M, Valentine P, Coste AL, et al. (2017). Presence of Legionella spp. in hot water networks of
different Italian residential buildings: a three-year survey. Int J Environ Res Public Health. 14(11):1296.
https://doi.org/10.3390/ijerph14111296
Wee
BA, Alves J, Lindsay DSJ, Cameron RL, Pickering A et al. (2020). Population analysis of Legionella
pneumophila reveals the basis of resistance to complement-mediated killing. bioRxiv.
doi: https://doi.org/10.1101/2020.08.14.250670
World Health Organization
(2007). Legionella and prevention of legionellosis.
https://apps.who.int/iris/handle/10665/43233
64
SUU, Alm.del - 2020-21 - Bilag 573: Orientering om afrapportering fra det tværministerielle arbejde om legionellasmitte fra indenrigs- og boligministeren
2445042_0065.png
APPENDIX I
Legionella under COVID-19 pandemien, Danmark, 2020.
300
5
4.5
250
4
3.5
3
150
2.5
2
100
1.5
1
0.5
0
0
200
50
2015
2016
2017
2018
2019
2020
Figur 1X. Antal registrerede tilfælde med legionærsygdom erhvervet i Danmark
pr. år (røde søjler) og antal registrerede tilfælde pr. 100.000 indbyggere pr. år (blå
40
35
30
25
20
15
10
5
0
Jan
Feb
Mar
Apr
May
Jun
Jul
Aug
2020
Sep
Okt
Nov
Dec
Gns. 17/18/19
kurve, højre akse).
65
SUU, Alm.del - 2020-21 - Bilag 573: Orientering om afrapportering fra det tværministerielle arbejde om legionellasmitte fra indenrigs- og boligministeren
2445042_0066.png
Figur 2X. Antal registrerede tilfælde af legionærsygdom erhvervet i Danmark pr.
måned i 2020 (lilla kurve) og gennemsnitligt antal registrerede tilfælde pr. måned
i 2017, 18 og 19 (grøn kurve).
30000
25000
20000
15000
10000
5000
0
L. pneum. PCR
L. spp. PCR
2019
2020
LUT
Figur 3X. Antal patienter undersøgt for
Legionella-infektion
med
L. pneumophila
PCR,
Legionella
species PCR og
Legionella
urin test (LUT) i 2019 og 2020.
Data fra MiBa*.
1.6
1.4
1.2
1
0.8
0.6
0.4
0.2
0
Pos ratio L. pn
Pos ratio L. spp
2019
2020
Pos ratio LUT
Figur 4X. Positive rater (%) for
L. pneumophila
PCR,
Legionella
species PCR og
Legionella
Urin Test (LUT) i 2019 og 2020. Data fra MiBa*.
*Legionella MiBa dataudtræk er en udført med en algoritme der primært er udviklet
med henblik på at påvise positive tilfælde og ikke antal undersøgte patienter, der tages
derfor forbehold for at antallene af patienter i hver kategori ikke er helt korrekte. Der er
66
SUU, Alm.del - 2020-21 - Bilag 573: Orientering om afrapportering fra det tværministerielle arbejde om legionellasmitte fra indenrigs- og boligministeren
2445042_0067.png
dog anvendt samme algoritme for begge år, så eventuelle systematiske fejl vil indgå i
begge udtræk, så data for de to år er direkte sammenlignelige.
3000
2500
2000
1500
1000
500
0
Jan
Feb
Mar
Apr
Maj
Juni
2019
Juli
2020
Aug
Sep
Okt
Nov
Dec
Figur 5X. Antal patienter undersøgt med
L. pneumophila
PCR pr. måned i 2019
og 2020. Data fra MiBa*.
1000
900
800
700
600
500
400
300
200
100
0
Indlagte på sygehusene ifm. COVID-19
Indlagte på Intensiv afdeling ifm. COVID-19
Indlagte i respirator ifm. COVID-19
Figur 6X. Antal patienter indlagt med COVID-19 (pr. dag), 2020. Data fra
Danmarks Statistik.
https://www.dst.dk/da/Statistik/covid-19-hurtige-indikatorer
67
SUU, Alm.del - 2020-21 - Bilag 573: Orientering om afrapportering fra det tværministerielle arbejde om legionellasmitte fra indenrigs- og boligministeren
2445042_0068.png
I 2020 er der i forhold til de tre foregående år set en stigning i på ca. 25% i antal
registrere tilfælde af legionærsygdom hvor smitte antageligt er sket i Danmark (figur
1X). I månederne april, maj og juli til december (specielt i november) blev der påvist
flere tilfælde end gennemsnitligt i årene 2017-2019 (figur 2X). Figur 3X viser antal
patienter undersøgt for
Legionella-infektion
(hver patient kan være undersøgt i mere
end én test). Antallet af patienter undersøgt med
L. pneumophila
PCR er steget ca.
37% fra 2019 til 2020, mens antal patienter undersøgt med
Legionella
Urin Test (LUT)
er faldet ca. 49%. Faldet for LUT er dog fra et langt lavere niveau og med en mindre
sensitiv test (i forhold til PCR), og kun for 277 patienter blev der ikke samtidig udført
L.
pneumophila
PCR test. Når test intensiteten stiger henholdsvis falder vil man forvente
at den positive rate falder henholdsvis stiger (hvis incidensen af sygdomme er på
samme niveau), hvilket figur 4x også viser for hhv.
L. pneumophila
PCR og
Legionella
Urin Test. MiBa udtrækkene er således i fuld overensstemmelse med det forventede,
idet det kun er forholdet mellem tilfælde smittet i udlandet og Danmark der har ændret
sig fra 2019 til 2020, men ikke det totale antal af legionærsygdom i Danmark.
Under første COVID-19
”bølge”
fra marts til maj 2020 blev relativt få personer
undersøgt for SARS-CoV-2, mens der under anden bølge fra september 2020 til
februar 2021 var en meget højere testaktivitet. Man kan derfor ikke direkte bruge antal
personer med positiv test til at sammenligne bølge et med bølge to. Antallet af indlagte
tilfælde med COVID-19 giver derimod et mere retvisende billede af epidemiens
udvikling (figur 6X).
Legionærsygdom er en differentialdiagnose i forhold til svære (hospitalskrævende)
tilfælde af COVID-19, og det er samtidigt i høj grad samme aldersgruppe der rammes
af legionærsygdom og svær COVID-19. Man vil derfor forvente, at hospitaliserede
tilfælde med luftvejsinfektioner, som led i sygdomsudredningen, også vil blive
undersøgt for
Legionella.
Figur 5X viser antallet af patienter undersøgt for
L.
pneumophila
ved PCR pr. måned for 2019 og 2020. I januar og februar 2020 blev
undersøgt samme antal som i 2019, mens der ses en stigning fra marts til april i 2020,
hvor også de fleste COVID-19 tilfælde var indlagt under første bølge (figur 6X).
Stigningen i antal patienter undersøgt for
L. pneumophila
fra marts til maj 2020 viser et
næsten samtidigt udslag i antal registrerede tilfælde (figur 2x), dog med nogen
forsinkelse, idet forårstoppe for positive
Legionella-tests
faldt i maj, hvor testaktiviteten
allerede var på vej ned (figur 5X). Fordelingen af antal legionellatilfælde fra juli til
december korrelere ikke direkte til stigningen i antal undersøgte patienter (figur 5x),
idet flest patienter blev undersøgt i november og december, hvor anden bølge af
COVID-19 satte ind, mens det største antal patienter med legionærsygdom blev påvist
i allerede i oktober. Der var således ikke en direkte sammenhæng mellem testaktivitet
og antal påviste tilfælde af legionærsygdom. Det skal dog bemærkes at der i hele 2020
(på nær januar og februar) var en høj testaktivitet for
Legionella,
og den har antageligt
haft indflydelse på det overordnede høje antal registrerede dansk-smittede tilfælde af
legionærsygdom.
Overordnet har der fra april til december 2020 været seks tilfælde flere pr. måned end
for gennemsnittet for 2017 til 2019. I hele denne periode, har der været en forøget
testaktivitet for
Legionella,
dette er sandsynligvis en medvirkende årsag til at der blev
påviste flere dansk-smittede tilfælde af legionærsygdom i 2020 end i de tidligere år.
68