Sundhedsudvalget 2020-21
SUU Alm.del Bilag 423
Offentligt
2393482_0001.png
Mental health Services
Copenhagen Research Center for Mental Health
CORE
Registerbaseret
overvågning af effekter,
bivirkninger og misbrug
[email protected]
(+45) 2613 6290
[email protected]
(+45) 2249 4022
Carsten Hjorthøj: Seniorforsker, lektor, Psykiatrisk
Center København og Københavns Universitet
Carsten Hjorthøj - [email protected]
1
SUU, Alm.del - 2020-21 - Bilag 423: Præsentationer fra udvalgets lukkede ekspertmøde den 12. maj 2021 om evaluering af forsøgsordningen med medicinsk cannabis
2393482_0002.png
Mental health Services
Rapporten
Hverken jeg eller øvrige
forfattere på rapporten eller
artikler har nogen økonomiske
interessekonflikter
Kort link:
https://tinyurl.com/MedCanPDF
Carsten Hjorthøj - [email protected]
2
SUU, Alm.del - 2020-21 - Bilag 423: Præsentationer fra udvalgets lukkede ekspertmøde den 12. maj 2021 om evaluering af forsøgsordningen med medicinsk cannabis
2393482_0003.png
Baggrund / formål
I mangel af lodtrækningsforsøg
Så godt som muligt at afdække:
Effekter, både specifikke og non-specifikke
Bivirkninger
Relatere til en passende kontrolgruppe
Triangulering af metoder
Kvalitative interviews
Kvantitative / kliniske interviews og assessments
Register-studie (primært fokus for i dag)
Carsten Hjorthøj - [email protected]
SUU, Alm.del - 2020-21 - Bilag 423: Præsentationer fra udvalgets lukkede ekspertmøde den 12. maj 2021 om evaluering af forsøgsordningen med medicinsk cannabis
2393482_0004.png
Register-studie
Cases: Mindst en recept på medicinsk cannabis
Kontroller: Propensity score matchet
Effektmål baseret på LMDB, LPR, LPR-psyk, SSR:
Smerter, spasmer, kvalme, infektioner
Generelt medicin-forbrug
Generelt forbrug af primær og sekundær sektor
Selvmordsforsøg
Erhvervsevne (fra DREAM)
Carsten Hjorthøj - [email protected]
SUU, Alm.del - 2020-21 - Bilag 423: Præsentationer fra udvalgets lukkede ekspertmøde den 12. maj 2021 om evaluering af forsøgsordningen med medicinsk cannabis
2393482_0005.png
Registerstudie (fortsat)
Bivirkninger, samme registre
Hashpsykose, misbrug af cannabis
Symptomer på affektiv lidelse og angst
Symptomer på psykose
Selvmordsforsøg
Nedsat studie- og erhvervsevne (DREAM)
Carsten Hjorthøj - [email protected]
SUU, Alm.del - 2020-21 - Bilag 423: Præsentationer fra udvalgets lukkede ekspertmøde den 12. maj 2021 om evaluering af forsøgsordningen med medicinsk cannabis
2393482_0006.png
Registerstudie
karakteristika
Med. cannabis
Neuropatiske smerter
Andre / uspecificerede smerter
Multipel sklerose
Spasticitet m.v.
Cancer
Cancer+smerter
1817
924
650
434
297
481
Kontroller
1817
924
650
434
297
481
Derudover få pt. med angst, epilepsi, Parkinsons og
andre indikationer
Uanset diagnose: Gennemsnitsalder ca. 59 år, og ca.
63% kvinder
Carsten Hjorthøj - [email protected]
SUU, Alm.del - 2020-21 - Bilag 423: Præsentationer fra udvalgets lukkede ekspertmøde den 12. maj 2021 om evaluering af forsøgsordningen med medicinsk cannabis
2393482_0007.png
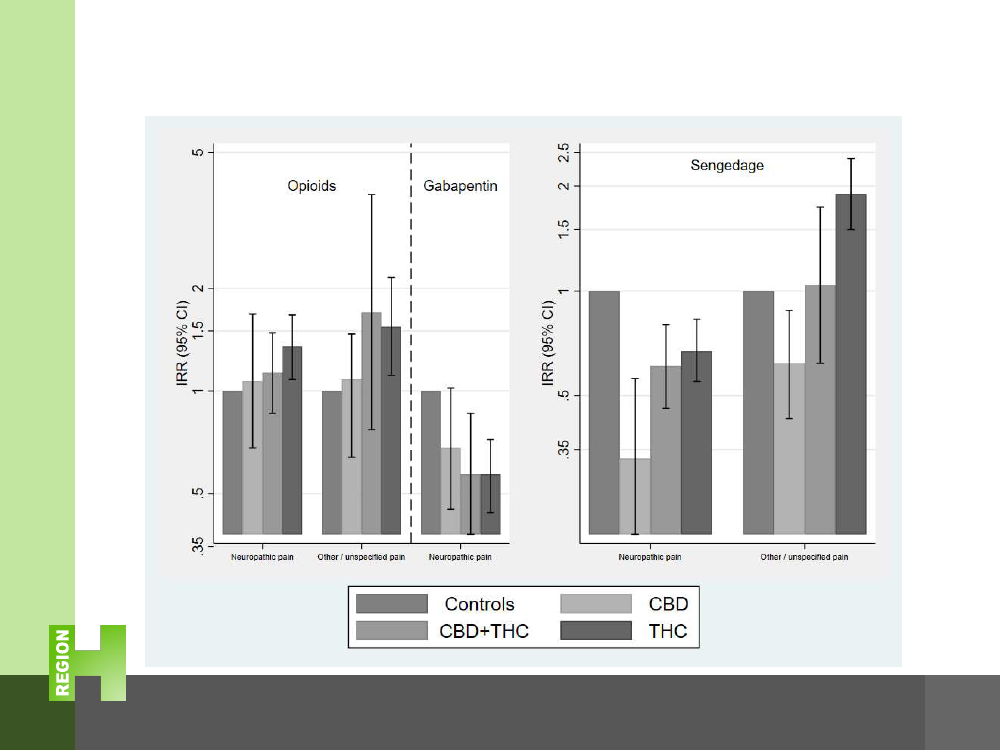
Patienter med smerter
Carsten Hjorthøj - [email protected]
SUU, Alm.del - 2020-21 - Bilag 423: Præsentationer fra udvalgets lukkede ekspertmøde den 12. maj 2021 om evaluering af forsøgsordningen med medicinsk cannabis
2393482_0008.png
Patienter med smerter
Ingen effekt på opioider, men nedsat gabapentin og
færre indlæggelser
Muligvis lavere depressions-niveau
Kvalitativt studie: Medicinsk cannabis fjerner ikke
nødvendigvis smerter, men gør dem nemmere at leve
med
Og er ofte sekundært til fx forbedret søvn
Stor variation i effekt mellem patienter
Eneste delstudie med fibromyalgi
Egne spørgeskemaer: Minus reduktion af smerter, men
højere tilfredshed med behandling
Carsten Hjorthøj - [email protected]
SUU, Alm.del - 2020-21 - Bilag 423: Præsentationer fra udvalgets lukkede ekspertmøde den 12. maj 2021 om evaluering af forsøgsordningen med medicinsk cannabis
2393482_0009.png
Patienter med multipel sklerose
Carsten Hjorthøj - [email protected]
SUU, Alm.del - 2020-21 - Bilag 423: Præsentationer fra udvalgets lukkede ekspertmøde den 12. maj 2021 om evaluering af forsøgsordningen med medicinsk cannabis
2393482_0010.png
Patienter med multipel sklerose
Kun CBD med lidt / ingen THC reducerer forbrug af
antispasmodika (alm. medicin for multipel sklerose)
Alle tre typer medicinsk cannabis reducerer forbrug af
ambulante ydelser i hospitalsvæsenet
Måske tegn på bedre erhvervsevne også blandt
brugere af ren / næsten ren CBD
Dog få deltagere med multipel sklerose
Usikre konklusioner
Men grund til optimisme med forlænget og forbedret
forsøgsordning
Carsten Hjorthøj - [email protected]
SUU, Alm.del - 2020-21 - Bilag 423: Præsentationer fra udvalgets lukkede ekspertmøde den 12. maj 2021 om evaluering af forsøgsordningen med medicinsk cannabis
2393482_0011.png
Patienter med cancer
For patienter med cancer med / uden smerte-
indikationer:
Ingen positive effekter på kvalmemedicin eller andre
væsentlige parametre
Netop denne undersøgelse har dog nok været metodisk
svagere
Skyldes måske at kun de dårligste patienter har fået
medicinsk cannabis
Terminal cancer: måske fint at fortsætte som nu
Behov for forbedret forsøgsordning med RCT
Carsten Hjorthøj - [email protected]
SUU, Alm.del - 2020-21 - Bilag 423: Præsentationer fra udvalgets lukkede ekspertmøde den 12. maj 2021 om evaluering af forsøgsordningen med medicinsk cannabis
2393482_0012.png
Andre patientkategorier (alle små)
Angst
CBD reducerer forbrug af egen læge
THC / CBD+THC reducerer medicinforbrug
THC reducerer sovemedicin
CBD+THC forbedrer arbejdsevne
Meget få patienter = usikre konklusioner
Også usikkerhed om forskellene mellem typer af
medicinsk cannabis
Grund til at inddrage i fornyet forsøgsordning
Carsten Hjorthøj - [email protected]
SUU, Alm.del - 2020-21 - Bilag 423: Præsentationer fra udvalgets lukkede ekspertmøde den 12. maj 2021 om evaluering af forsøgsordningen med medicinsk cannabis
2393482_0013.png
Andre patientkategorier (alle små)
Epilepsi
Som for angst
blandet hvilke typer medicinsk cannabis
ser ud til at virke
Mulige effekter på ambulante kontakter, samlet
medicinforbrug, og infektioner
Værd at overveje at inkludere populationen i ny
forsøgsordning for at få flere + bedre data
Carsten Hjorthøj - [email protected]
SUU, Alm.del - 2020-21 - Bilag 423: Præsentationer fra udvalgets lukkede ekspertmøde den 12. maj 2021 om evaluering af forsøgsordningen med medicinsk cannabis
2393482_0014.png
Andre patientkategorier (alle små)
Parkinsons
Mulig reduktion i ambulante kontakter og besøg hos egen
læge blandt brugere af THC
Overvej at inkludere i ny forsøgsordning
Carsten Hjorthøj - [email protected]
SUU, Alm.del - 2020-21 - Bilag 423: Præsentationer fra udvalgets lukkede ekspertmøde den 12. maj 2021 om evaluering af forsøgsordningen med medicinsk cannabis
2393482_0015.png
Alvorlige bivirkninger i registerstudiet
12 selvmordsforsøg
5 for medicinsk cannabis, 7 for kontroller
7 tilfælde af diagnosticeret hash-misbrug
1 for medicinsk cannabis, 6 for kontroller
Ingen tilfælde af diagnosticeret hashpsykose
Psykotiske oplevelser er dog rapporteret som bivirkninger
i vores øvrige studier
Mulig nedsat risiko for både psykose og depression!
Spørgsmål om hvorvidt ruspåvirkning er en bivirkning
eller en del af den positive effekt
Carsten Hjorthøj - [email protected]
SUU, Alm.del - 2020-21 - Bilag 423: Præsentationer fra udvalgets lukkede ekspertmøde den 12. maj 2021 om evaluering af forsøgsordningen med medicinsk cannabis
2393482_0016.png
Mangelfuld viden om effekt og bivirkninger
Meget få indrapporterede bivirkninger
Patienter fortæller, at visse læger formodentlig ikke
indrapporterer bivirkninger
Behov for SYSTEMATISK indsamling
Effekter
Mulige bivirkninger
Carsten Hjorthøj - [email protected]
SUU, Alm.del - 2020-21 - Bilag 423: Præsentationer fra udvalgets lukkede ekspertmøde den 12. maj 2021 om evaluering af forsøgsordningen med medicinsk cannabis
2393482_0017.png
Opsummering og anbefaling
Fortsæt forsøgsordning for nuværende indikationer
Især for cancer dog behov for RCT-design
Overvej at udvide til
Angst
Parkinson’s
Epilepsi
Fibromyalgi
Systematisk dataindsamling, effekt og bivirkning
Fokus på bedre effektmål
Carsten Hjorthøj - [email protected]
SUU, Alm.del - 2020-21 - Bilag 423: Præsentationer fra udvalgets lukkede ekspertmøde den 12. maj 2021 om evaluering af forsøgsordningen med medicinsk cannabis
2393482_0018.png
Tak for opmærksomheden
Spørgsmål?
Spørg nu
Skriv til os:
[email protected]
[email protected]
Ring til os:
Carsten: (+45) 2613 6290
Christine: (+45) 2249 4022
Carsten Hjorthøj - [email protected]