Sundhedsudvalget 2020-21
SUU Alm.del Bilag 223
Offentligt
2322586_0001.png
2020
Evaluering af
ordningen med
lægeordineret heroin til
opioidafhængige
patienter
Opgørelse over årene 2013-2020
SUU, Alm.del - 2020-21 - Bilag 223: Orientering om evaluering af ordningen med lægeordineret heroin, fra sundhedsministeren
2322586_0002.png
Evaluering af ordningen med lægeordineret heroin til opioidafhængige patienter
Side 2/120
Evaluering af ordningen med lægeordineret heroin til opioidafhængige
patienter
Opgørelse over årene 2013-2020
© Sundhedsstyrelsen, 2020.
Publikationen kan frit refereres
med tydelig kildeangivelse.
Sundhedsstyrelsen
Islands Brygge 67
2300 København S
www.sst.dk
Elektronisk ISBN
978-87-7014-279-3
Sprog:
Dansk
Version:
1.0
Versionsdato:
20.01.21
Format:
pdf
Foto:
mpba SST
Udgivet af Sundhedsstyrelsen,
Januar 2021
SUU, Alm.del - 2020-21 - Bilag 223: Orientering om evaluering af ordningen med lægeordineret heroin, fra sundhedsministeren
Evaluering af ordningen med lægeordineret heroin til opioidafhængige patienter
Side 3/120
Indholdsfortegnelse
1. Resume ............................................................................................................................ 5
2. Introduktion ................................................................................................................... 10
3. Baggrund ....................................................................................................................... 11
3.1. Lovgrundlag for behandlingen med lægeordineret heroin i Danmark ....................... 11
3.2. Krav til behandlingen med diacetylmorphin og kompetencer hos den
ordinerende læge ................................................................................................................ 12
3.3. Patienter til behandlingstilbuddet og visitation til tilbuddet ......................................... 13
4. Metode og datakvalitet ................................................................................................. 14
4.1. Datagrundlag................................................................................................................ 14
4.2. Datakvalitet og opfølgning i IHM-databasen ............................................................... 14
4.3. SF-36 spørgeskemaet - patienterns selvvurderede helbred ...................................... 15
4.4. Andre datakilder ........................................................................................................... 15
4.4.1. Møder og mailkorrepsondancer med behandlingsstederne ................................... 15
4.4.2. Spørgeskemaundersøgelse udsendt til landets 5 heroinklinikker........................... 16
5. Data til evalueringen fra IHM-databasen.................................................................... 16
5.1. Antallet indskrevne pr. år af ordningens forløb siden seneste evaluering i 2012 ...... 16
5.2. Antal af patienter indskrevet i behandling fordelt på køn ........................................... 18
5.3. Antal af patienter indskrevet i behandling fordelt på alder ......................................... 20
5.4. Antal udskrivninger og årsager til udskrivninger ......................................................... 22
5.5. Patientprofil ved indskrivning og opfølgning ............................................................... 27
5.5.1 Civilstatus ................................................................................................................... 28
5.5.1. Boligforhold ............................................................................................................... 30
5.5.2. Indtægtsforhold og beskæftigelse ............................................................................ 33
5.6. Rusmiddelanamnese ved indskrivning og opfølgning ................................................ 35
5.6.1. Alkoholanamnese ved indskrivning og opfølgning .................................................. 39
5.6.2. Injektion af illegale stoffer ......................................................................................... 41
5.6.3. Delt injektionsudstyr .................................................................................................. 43
5.6.4. Penge brugt på rusmidler ......................................................................................... 45
5.6.5. Illegale aktivitet.......................................................................................................... 47
5.7. Fysiske og psykiske sygdomme ved indskrivning og opfølgning ............................... 48
5.7.1. Direkte injektionsrelaterede sygdomme ................................................................... 49
5.7.2. Fordelingen af de virale infektioner ved indskrivning og opfølgning ....................... 51
5.7.3. Ikke-injektionsrelaterede somatiske sygdomme ...................................................... 52
5.7.4. Indskrevne i behandlingen med lægeordineret heroin og psykiske lidelser ........... 55
5.7.5. De hyppigste psykiske lidelser hos patienter er diagnosticeret med en
psykisk lidelse ..................................................................................................................... 57
5.8. Selvvurderet helbred .................................................................................................... 59
SUU, Alm.del - 2020-21 - Bilag 223: Orientering om evaluering af ordningen med lægeordineret heroin, fra sundhedsministeren
Evaluering af ordningen med lægeordineret heroin til opioidafhængige patienter
Side 4/120
6. Erfaringer fra de 5 klinikker ......................................................................................... 63
6.1. Patienter til behandlingen med diacetylmorphin ......................................................... 63
6.1.1.
Definitionen ”hard to treat”
........................................................................................ 65
6.2. Behandlingen med diacetylmorphin ............................................................................ 69
6.2.1. Behandlingsregimer i behandlingen med diacetylmorphin ..................................... 70
6.2.2. Patientfremmøde til behandlingen, behandlingstilknytning ..................................... 71
6.2.3. Dosis anvendt i behandlingen i Danmark ................................................................ 78
6.2.4. Sundhedsfagligt personale ansat i de 5 klinikker .................................................... 90
6.2.5. Tilbud i den samlede behandling med diacetylmorphin på de 5 klinikker .............. 95
7. Administrationsformer og fremtidige udleveringsmuligheder............................... 96
7.1. Diacetylmorphin, farmakodynemik og farmakokinetik ................................................ 96
7.2. Erfaringen med tabletbehandlingen i de 5 heroinklinikker ......................................... 98
7.3. Vurdering af muligheden for en ”tag-med-hjem-ordning”
......................................... 100
7.4. Fremtidige vurderinger i forhold til ordningen med lægeordineret heroin ................ 103
8. Bilag .............................................................................................................................. 105
9. Referencer.................................................................................................................... 118
SUU, Alm.del - 2020-21 - Bilag 223: Orientering om evaluering af ordningen med lægeordineret heroin, fra sundhedsministeren
Evaluering af ordningen med lægeordineret heroin til opioidafhængige patienter
Side 5/120
1. Resume
Behandling med lægeordineret heroin (diacetylmorphin) har været mulig som tilbud i sub-
stitutionsbehandlingen i 10 år. Sundhedsstyrelsen udarbejdede i 2013 en evaluering over
behandlingsformen, som belyste ordningens første 3 år.
Patienter i behandlingen har siden 2010 kunnet injicere heroin under supervision af sund-
hedsfagligt personale. Siden 2013 har indtag af diacetylmorphin som tablet været mulig
som alternativ til at injicere heroinen. Tabletten blev godkendt til anvendelse for at imøde-
komme patienter, der af forskellige årsager ikke kan eller ønsker at injicere, herunder pa-
tienter der ryger eller sniffer heroin.
Denne evaluering er baseret på den sundhedsfaglige indberetning til Sundhedsdatasty-
relsens database for Injicerbar Heroin og Metadon (IHM-databasen), og sammenholder
udviklingen hos patientpopulationen med den seneste evaluering af ordningen med læ-
geordineret heroin. Undersøgelsens fund er baseret på disse data og må tages med for-
behold. Dels er der tale om en mindre patientgruppe, og dels er kvaliteten af de indhen-
tede data i nogle kategorier ikke tilstrækkelig. Blandt andet viser opgørelsen, at indberet-
ningerne til databasen ikke sker til de tidpunkter de skal. Derfor kan ændringer over tid
ikke belyses og sammenlignes fyldestgørende på alle dele. Dog kan dele af ordningens
effekt på de indskrevne patienters helbred og sociale forhold belyses.
Derudover er denne evaluering baseret på de erfaringer, man har med at tilbyde behand-
lingen lokalt i de 5 heroinklinikker i Danmark. Klinikkernes ledere, læger og socialfaglige
medarbejdere deltog i et møde i slutningen af 2019, hvorefter et spørgeskema blev udfor-
met. Spørgeskemabesvarelserne danner grundlag for dele af indholdet i evalueringen.
Formålet med at udsende spørgeskemaet til de 5 klinikker var at belyse nogle af de dele
af ordningen med lægeordineret heroin, der ikke vurderedes at kunne belyses i tilstræk-
keligt omfang ud fra data i IHM-databasen.
Data indsamlet fra møder, e-mails og udfra samtaler med personale i klinikkerne danner
også en del af det samlede grundlag for aktuelle evaluering.
Fra 2010 til 2018 blev 573 personer indskrevet i behandlingen fordelt med ca. en tredje-
del i Odense (206), en fjerdedel i København (137), en femtedel heroinklinikken i Hvid-
ovre der drives af rusmiddelcentret KABS (115) og en tiendedel hos hver af klinikkerne i
Esbjerg (62) og Århus (53).
Siden 2013 er indskrevet i alt 312 patienter i behandlingen. Af de 312 patienter der blev
indskrevet i årene 2013-2018,
indgår de 66 i det der i evalueringen defineres som ”læn-
gerevarende behandling”.
SUU, Alm.del - 2020-21 - Bilag 223: Orientering om evaluering af ordningen med lægeordineret heroin, fra sundhedsministeren
Evaluering af ordningen med lægeordineret heroin til opioidafhængige patienter
Side 6/120
I alt er 257 patienter blevet udskrevet af ordningen igen. Den største enkeltårsag til ud-
skrivelse er både i aktuelle og tidligere evaluering, at patienterne overgår til konventionel
substitutionsbehandling igen, har ønsker om stoffrihed eller overgår til døgnbehandling.
24 patienter afsluttede behandling på grund af afsoning.
Sammensætningen af patienter i forhold til køn og alder afviger ikke fra vores øvrige vi-
den om målgruppen til behandlingen. Langt størstedelen af de, der lader sig indskrive i
behandlingen, er fortsat mænd i alderen 35 til 44 år. 76 pct. af alle indskrevne er enlige
på tidspunktet for indskrivningen. For patienter i længerevarende behandling sker et fald i
antallet af de der er enlige fra 58 til 54 personer. I samme patientgruppe bor 43 patienter i
selvstændig bolig ved indskrivningen og 51 patienter i selvstændig bolig ved opfølgnin-
gen.
Den samlede patientgruppe afviger fortsat betydeligt i forhold til den samlede befolkning i
Danmark, hvad angår boligforhold, idet 31 pct. kan kategoriseres som hjemløse mod
0,11 pct. af baggrundsbefolkning. Færre end 5 af de patienter, der lader sig indskrive i
behandlingen er i beskæftigelse. Af de patienter der er i længerevarende behandling er
30 pct. ved indskrivningen varigt uden beskæftigelse på tidspunktet for indskrivningen,
imens 38 pct. er varigt uden beskæftigelse ved opfølgningen.
Hvad angår forbruget af rusmidler ses, som i den tidligere evaluering, at der fortsat findes
et forbrug af lægeordineret metadon ved indskrivningen og opfølgningen. Dette stemmer
overens med behandlingsformen forud for indskrivningen og under behandlingsforløbet i
herointilbuddet. Blandt mange ses fortsat også et større forbrug af benzodiazepiner og
hash.
I forhold til den tidligere evaluering er forbruget af kokain steget hos de, der indskrives i
behandlingen. Forbruget af kokain er steget fra et gennemsnit på 2,7 dage til 5 dage på
tidspunktet for indskrivningen. Af de patienter der indgår i længerevarende behandling,
indtager 39 pct. kokain på tidspunktet for indskrivningen, imens 30 pct. indtager kokain
ved opfølgningen. Patienternes udgifter til forbrug af stoffer falder fra indskrivning til op-
følgningstidspunktet.
Denne evaluering viser, at patienterne der indgår i behandlingen med heroin oftere drik-
ker alkohol nu, (i gennemsnit 10 dage om måneden) end de gjorde ved den tidligere eva-
luering ( i gennemsnit 7 dage om måneden). Patienternes udgifter til alkohol stiger fra
indskrivning til opfølgningstidspunktet.
Det gennemsnitlige antal dage patienterne er med illegale aktiviteter er ligeledes steget
fra sidste evaluering (5 dage) til aktuelle evaluering (16 dage). Dog falder antallet af dage
med illegale aktiviteter som funktion af tiden i behandlingen, ligesom det var tilfældet i
den sidste evaluering.
SUU, Alm.del - 2020-21 - Bilag 223: Orientering om evaluering af ordningen med lægeordineret heroin, fra sundhedsministeren
Evaluering af ordningen med lægeordineret heroin til opioidafhængige patienter
Side 7/120
For patienterne indskrevet i behandlingen med diacetylmorphin ses et betydeligt fald i an-
tallet af de der angiver at injicere illegale stoffer. Af patienter i længerevarende behand-
ling angiver 79 pct. at de injicerer illegale stoffer ved indskrivningen og 32 pct. ved opfølg-
ningen. Færre end 5 patienter angiver at have delt injektionsudstyr på tidspunktet for ind-
skrivningen.
50 pct. af samtlige indskrevne patienter lider af virale sygdomme, der direkte kan relate-
res injektionsforbruget af stoffer. I gruppen af patienter indskrevet i længerevarende be-
handling tegner sygdomsbilledet sig anderledes, idet 44 pct. har virale infektioner relate-
ret til injektionsforbruget, færre har karskader, lokale infektioner og systemiske bakterielle
infektioner end i den samlede patientgruppe. Langt de fleste af de patienter der lider af
viral sygdom relateret til injektionsforbruget er diagnosticeret med kronisk hepatitis c.
Gruppen af sygdomme betegnet
Andre ernæringsbetingede mangeltilstande
er, med
sygdomsgruppen
Andre ikke-injektionsrelaterede somatiske sygdomme,
de hyppigste år-
sager til sygdom hos den samlede gruppe af patienter indskrevet i tilbuddet. 13 pct. af de
indskrevne lider af kroniske sygdomme i nedre luftveje, 9 pct. af rygsygdomme, 8 pct. af
atropatier (sygdomme i led), og 4 pct. lider af hjertesygdomme.
For gruppen af patienter der indgår i længerevarende behandling fordeler sygdommene
sig anderledes, idet 19 pct. lider af kronisk sygdom i nedre luftveje hvor alene 8 pct. fin-
des med samme sygdomstilstand ved opfølgningen. 12 pct. af patienterne der indgår i
længerevarende behandling lider af rygsygdomme, hvorimod 17 pct.er diagnosticeret
inde for samme sygdomsgruppe ved opfølgning.
I den nye evaluering er der generelt færre patienter, der er diagnosticeret inde for syg-
domsgrupperne
lunge-, mangel- og hjertesygdomme,
end det var tilfældet i den tidligere
evaluering. Omvendt er der flere patienter med lidelser inden for gruppen af
gigt- og ryg-
sygdomme
end ved sidste evaluering.
Antallet af personer der indgår i behandlingen med lægeordineret heroin og samtidig er
registreret med en eller flere psykiatriske diagnoser er 218. Hermed er knap 70 pct. af
alle der lader sig indskrive i behandlingstilbuddet fra 2013 til 2018 registreret med en eller
flere psykiske lidelser. Dette er en afvigelse fra seneste evaluering, hvor 41 pct. af de
indskrevne led af en eller flere psykiske lidelser på tidspunktet for indskrivningen. De hyp-
pigste årsager til psykisk lidelse er de, der relaterer sig forbruget af rusmidler.
Patienternes selvvurderede helbred er ikke overraskende betydeligt lavere end det er
hos baggrunds-befolkningen. I alt har 142 af de i alt 312 patienter (47 pct.) angivet, at de
betragter helbredet som
fremragende, vældig godt eller godt, modsat
83 pct. af den ge-
nerelle befolkning. For personer indskrevet i behandlingen i længere tid findes en yderli-
gere forringelse i selvvurderet helbred, hvor 47 pct. svarer, at de vurderer helbredet i alt
som
fremragende, vældig godt eller godt,
svarer kun 39 pct. af patienterne der indgår i
SUU, Alm.del - 2020-21 - Bilag 223: Orientering om evaluering af ordningen med lægeordineret heroin, fra sundhedsministeren
Evaluering af ordningen med lægeordineret heroin til opioidafhængige patienter
Side 8/120
længerevarende behandlingsforløb, at vurdere eget helbred i alt som
fremragende, væl-
dig godt eller godt.
Ved opfølgningen ses dette yderligere faldet til 30 pct.
De 5 heroinklinikkers erfaring med behandlingen er meget forskellig, både hvad angår
patientantal og sammensætning i tilbuddet.
Rammerne for inklusion til behandling med lægeordineret heroin fremgår af vejledningen
til behandlingen. Dog viser Sundhedsstyrelsens undersøgelse, at der er visse lokale for-
skelle i, hvordan der inkluderes til tilbuddet. Risiko for overdosis, søgen efter rus, rammer
der bedre rummer patienterne er emner, der blandt andet indgår i overvejelserne i forhold
til inklusionen til behandlingen i nogle klinikker.
Hensigten med behandlingen med diacetylmorphin er, at patienterne i langt de fleste til-
fælde benytter sig af at få udleveret medicinen to gange dagligt alle ugens dage. Der er
dog stor variation fra klinik til klinik i, hvor mange gange der fremmødes til medicinudleve-
ring. I langt de fleste klinikker udleveres diacetylmorphinen ikke 14 gange pr. uge. Klinik-
kerne i Århus og Odense er de klinikker, hvor patienterne oftest får udleveret medicin 2
gange dagligt.
Doser over 450 mg diacetylmorphin kan føre til respirationspåvirkning og kramper, hvor-
for den højst anbefalede dosis er 450 mg intravenøs diacetylmorphin. Opgørelsen over
dosisforholdene viser, at andelen af de patienter der får udleveret en enkeltdosis, som
overstiger de 450 mg er langt lavere i Odense og hos KABS end i Århus, Esbjerg og Kø-
benhavn.
De 5 heroinklinikker har ligeledes stor diversitet hvad angår årsværk ansat i klinikkerne,
ligesom evalueringen viser, at tilbuddene i behandlingen også er forskellige. Nogle klinik-
ker indberetter at have meget sundhedsfagligt personale tilknyttet og ser samtidig ud til at
vægte den socialfaglige del af behandlingen mindre, mens andre klinikker ser ud til om-
vendt at have færre sundhedsfagligt og i særdeleshed lægefagligt personale ansat, for i
stedet at vægte den socialfaglige indsats højt. Dette lader sig også afspejle i forhold til
hvilke tilbud de enkelte klinikker tilbyder. Nogle klinikker tilbyder cafe-miljøterapeutisk
træning, psykoedukation og gruppeforløb med varierende temaer, mens andre klinikker
alene tilbyder sundhedsfaglige og socialfaglige indsatser. KABS er den klinik hvor flest
forskellige fagligheder er repræsenteret.
Der er ligeledes forskel på klinikernes erfaring med tabletbehandlingen med dia-
cetylmorphin. 3 klinikker har færre end 5 patienter i tabletbehandling, mens der i 2 klinik-
ker er 12-16 pct. af de indskrevne i behandling med tabletten.
Tidligere i ordningens første år udtrykte nogle patienter ønske om at få mulighed for at
tage heroin med hjem. Dels for at nedsætte antallet af fremmøder i klinikken, dels fordi
flere har udtrykt ønske om fuldstændig overgang til diacetylmorphin for dermed at kunne
undgå metadon som del af den samlede medicinske behandling.
SUU, Alm.del - 2020-21 - Bilag 223: Orientering om evaluering af ordningen med lægeordineret heroin, fra sundhedsministeren
Evaluering af ordningen med lægeordineret heroin til opioidafhængige patienter
Side 9/120
Det er ikke tidligere blevet fundet forsvarligt at tilbyde patienter at tage injicerbar dia-
cetylmorphin med hjem fra klinikkerne. I forhold til diacetylmorphin som tabletform, var
der behov for yderligere erfaring med tabletformen som del af behandlingen førend der
blev taget stilling til muligheden for at tage den med hjem.
Ud fra evaluering af ordningen med lægeordineret heroin vurderer Sundhedsstyrelsen
ikke, at det på nuværende tidspunkt kan anbefales sundhedsfagligt at udvide ordningen
med lægeordineret heroin hvad angår andre administrationsformer som rygeheroin, næ-
sespray eller pulver til snifning. Sundhedsstyrelsen vurderer heller ikke, at der for nuvæ-
rende bør eksploreres yderligere i muligheden for, at få udleveret diacetylmorphin til ad-
ministration uden for klinikken. Denne vurdering begrundes i, at der endnu er et for spin-
kelt erfaringsgrundlag og sammenligningsgrundlag i forhold til den samlede behandling i
Danmark.
Der er stor forskel på den heroin, der kan købes illegalt på gaden, og den helt rene he-
roin der ordineres til indskrevne patienter i de 5 heroinklinikker. Hvis den 100 pct. rene
heroin ikke håndteres korrekt eller håndteres af andre end de patienter den er ordineret
til, kan dette have fatale følger for tredjemand og samfund. Samme overvejelser bør ta-
ges i betragtning i forhold til, hvorvidt lægeordineret heroin skal kunne bringes med hjem
fra klinikken. Der findes fortsat metadon, der er et lægeordineret substitutionsbehand-
lingspræparat, på den illegale stofscene
hvorfor det ikke er utænkeligt, at det samme vil
gøre sig gældende for den rene heroin.
Virkningen af diacetylmorphin er anderledes når den anvendes som tablet, end når den
inhaleres, sniffes og injiceres. Med tabletten opnås ikke den rus, der almindeligvis søges
igennem de andre administrationsformer. Dette rejser spørgsmål i forhold til, hvorvidt
tabletbehandlingen med diacetylmorphin er den mest hensigtsmæssige at anvende som
substitution til patienter der indtager heroin og søger en rus.
Undersøgelserne fra den aktuelle evaluering afdækker derfor snarere et behov for, at der
eksploreres yderligere i ligheder og forskelle imellem diacetylmorphin som tablet og de-
potmorfin som tilbud i substitutionsbehandlingen for opioidafhængighed, end et behov for
en tag-med-hjem ordning af diacetylmorphin.
Tiltag, der vil kunne føre til et større patientgrundlag, bedre inklusion til behandlingen og
en bedre behandlingstilknytning indenfor substitutionsbehandlingen, bør også undersø-
ges yderligere. Herunder muligheden for, at patienterne kan modtage flere forskellige til-
bud lokalt, samt muligheden for at udvide åbningstiderne i tilbud, hvor hyppig lægemid-
deladministration er væsentlig som det er i behandlingen med diacetylmorphin.
Sundhedsstyrelsen opfordrer til, at der i højere grad samarbejdes om at ensarte de 5 til-
bud, således at der ikke er en stor forskel på at være patient i en del af landet frem for en
anden. Sundhedsstyrelsen vil til dette formål i 2021 etablere en følgegruppe, hvorigen-
nem et forum for sparring og erfaringsudveksling vil kunne initieres.
SUU, Alm.del - 2020-21 - Bilag 223: Orientering om evaluering af ordningen med lægeordineret heroin, fra sundhedsministeren
Evaluering af ordningen med lægeordineret heroin til opioidafhængige patienter
Side 10/120
Fremtidige vurderinger i forhold til blandt andet inkluderende tiltag og tilbud til behandlin-
gen, kan med fordel gøres i samråd med og under inddragelse af de patienter, der har
været indskrevet eller fortsat er indskrevet i behandlingen med diacetylmorphin.
2. Introduktion
Behandling med diacetylmorphin (heroin) har siden marts måned 2009 været muligt som
del af behandlingen med substitutionsmedicin for en særlig gruppe af de patienter, der
lider af opioidafhængighed. I april måned 2010 åbnede de første af de klinikker, som nu
tilbyder behandlingsindsatsen.
Behandlingen kan indledes og udføres efter fastsatte regler om ordination og behandling
med heroin, som de fremgår af Sundhedsstyrelsens vejledning nr. 9507 af 17 september
2013, om ordination af injicerbar diacetylmorphin (heroin) ved opioidafhængighed.
Sundhedsstyrelsen vurderede i forbindelse med opstarten af behandlingsformen, at 10
pct. af de patienter, der er indskrevet i længerevarende substitutionsbehandling med me-
tadon ville kunne opfylde kriterierne for behandlingen med lægeordineret heroin. Et esti-
mat gjort udfra udenlandske forsøg på området i Schweiz, Holland, Tyskland og England.
På denne baggrund skønnede Sundhedsstyrelsen ligeledes, at ca. 300 personer ville op-
fylde kriterierne for at kunne indgå i behandlingen med lægeordineret heroin i Danmark.
Sundhedsstyrelsens vurdering forud for opstarten af behandlingsformen var, at der med
udgangen af 2011 forventedes ca. 280 patienter i behandling med diacetylmorphin, heraf
120 patienter i Københavns Kommune og 40 i hver af de andre klinikker. Skønnet over
antallet af patienter indskrevet i behandling rummede også et estimat over den forven-
tede stigning i antallet af indskrevne. Således forventede Sundhedsstyrelsen, at der 2-3
år efter indledt opstart, ville være et samlet patientgrundlag på imellem 300 og 400 pati-
enter.
Den første evaluering af ordingen med lægeordineret diacetylmorphin blev offentliggjort i
2013, og gjorde status over ordningens første 2 år, dvs. 2010-2012. Evalueringen er til-
gængelig på Sundhedsstyrelsens hjemmeside
(1)
.
Nærværende rapport er en evaluering over heroinbehandlingen, som den har udviklet sig
i periode 2013 til 2018 og igennem ordningens samlede 10 årige forløb fra 2010 til 2020.
Dele af evalueringen omhandler samtlige af ordningens 10 år, fra klinikernes åbning og
den allerførste indskrivning af patienter frem til i dag. Andre dele omhandler den udvikling
SUU, Alm.del - 2020-21 - Bilag 223: Orientering om evaluering af ordningen med lægeordineret heroin, fra sundhedsministeren
Evaluering af ordningen med lægeordineret heroin til opioidafhængige patienter
Side 11/120
der er sket siden seneste evaluering af ordningen blev foretaget i 2013.
Klinkkerne har til den aktuelle evaluering bidraget ved at udfylde et spørgeskema. Formå-
let med dette er, at belyse de lokale forhold på de 5 klinikker.
3. Baggrund
3.1. Lovgrundlag for behandlingen med lægeordineret heroin i Dan-
mark
Sundhedsloven, autorisationsloven, serviceloven, lægemiddelloven og lov om euforise-
rende stoffer udstikker de samlede rammer for behandlingen med substitutionsmedicin
og herunder også for behandlingen med diacetylmorphin i Danmark.
Efter sundhedslovens § 142 skal kommunen tilbyde personer, som har et stofmisbrug,
vederlagsfri lægelig behandling med afhængighedsskabende lægemidler (substitutions-
behandling). Efter autorisationslovens § 41 kan ordination af afhængighedsskabende læ-
gemidler som led i behandling af personer for stofmisbrug alene foretages af læger ansat
i lægestillinger ved de kommunale, regionale eller private institutioner, der er nævnt i
sundhedslovens § 142, og af læger ansat i sygehusvæsenet under en persons sygehus-
indlæggelse
(2) (3)
.
Behandlingen med diacetylmorphin skal ske med farmaceutisk heroin (lægemiddel). I lov
om euforiserende stoffer er der skabt hjemmel til, at stoffet diacetylmorfphin blandt andet
kan indføres og anvendes i medicinsk øjemed som led i den lægelige behandling af stof-
brugere, der er afhængige af opioder
(4), (5)
.
Lægemidlet skal være godkendt til behandling af opioidafhængighed, ligesom alle gene-
relle regler om markedsføring, anvendelse og opbevaring følger lægemiddelloven
(6)
.
Lægemiddelstyrelsen godkender klinikkerne til at modtage og besidde diaceltylmorphin. I
denne godkendelse skelnes ikke mellem lægemiddelformen, og dermed skelnes ikke
mellem hvorvidt det er tablet og injektionsvæske, som bestilles til klinikken. Dog skal der
ved anvendelse af lægemidler der ikke er godkendt og markedsført i Danmark udstedes
en særlig udleveringstilladelse.
Diaphinpulver der benyttes til injektionsvæske er godkendt og markedsført i Danmark og
kræver derfor ikke en særlig udleveringstilladelse i klinikkerne. Diaphin tabletten er ikke
markedsført i Danmark hvorfor anvendelsen af denne lægemiddelform i behandlingen
med diacetylmorphin kræver en særlig udleveringstilladelse fra Lægemiddelstyrelsen.
Den særlige udleveringstilladelse fra Lægemiddelstyrelsen skal fornys hvert år.
SUU, Alm.del - 2020-21 - Bilag 223: Orientering om evaluering af ordningen med lægeordineret heroin, fra sundhedsministeren
Evaluering af ordningen med lægeordineret heroin til opioidafhængige patienter
Side 12/120
Lægemiddelstyrelsen giver behandlingssteder og distributører tilladelse til at håndtere
diacetylmorfin. Denne opgave varetages hos Lægemiddelstyrelsen, da diacetylmorfin til-
hører gruppen af euforiserende stoffer og bliver reguleret jf. bekendtgørelse om euforise-
rende stoffer
(4)
, som ligger inden for Lægemiddelstyrelsens resortområde.
Behandlingsstederne og distributører har som del af tilladelsen til at modtage og besidde
diacetylmorphin en udpeget ansvarlig person, hvis rolle det er at sikre, at behandlingsste-
det eller distributøren lever op til gældende regler på området. Hvis et behandlingssted
eller en distributør eksempelvis skifter adresse, ansvarlig leder eller lignende skal der an-
søges om at få ændret tilladelsen.
Fysiske inspektioner af både behandlingssteder og af distributører udføres ligeledes af
Lægemiddelstyrelsen, og sker alene på risikobaseret basis.
Tilsyn kan også forekomme hvis klinikkerne undergår større ændringer som nævnte
adresseflytning, eller ved andre større forandringer, som måtte give anledning til inspek-
tion af klinikken.
Dertil kommer, at behandlingssteder og distributører er underlagt at skulle indberette
kvartalsstatistik, hvor det blandt andet skal angives hvor meget diacetylmorphin behand-
lingsstederne har modtaget, forbrugt, destrueret samt hvor stort et svind der har været på
klinikken.
3.2. Krav til behandlingen med diacetylmorphin og kompetencer hos
den ordinerende læge
Behandlingen med injicerbar diacetylmorphin er en sundhedsfaglig specialopgave, der
stiller særlige krav til behandling og patientsikkerhed, og ligeledes stiller specifikke krav til
faglige kompetencer og personalenormering i behandlingen. Der kræves blandt andet
derfor et minimumsgrundlag på 20 patienter, for at kunne sikre et ensartet og acceptabel
kvalitet i driften af en klinik til behandling med diacetylmorphin
(7)
. Det antages, at omkring
10 pct. af det samlede antal personer der indgår i længerevarende behandling med kon-
ventionel peroral substitutionsmedicin opfylder vil opfylde kriterierne for at kunne indgå i
behandlingen med diacetylmorphin
(7)
.
Injektionsbehandlingen med diacetylmorphin er mere kompleks og mere risikofyldt end
den konventionelle behandling med substitutionsmedicinen metadon. Derfor stilles en
række særskilte og specifikke krav til de faglige kompetencer hos den ordinerende læge.
Blandt andet skal den behandlingsansvarlige læge i et substitutionsbehandlingstilbud der
benytter diacetylmorphin til den lægefaglige behandling, have indgående erfaring med
rusmiddelbehandling. Lægen skal være uddannet speciallæge i et relevant speciale, som
eksempelvis almen medicin, psykiatri, samfundsmedicin eller intern medicin. Klinisk erfa-
ring fra rusmiddelbehandlingen skal både omfatte kendskabet til den konventionelle sub-
SUU, Alm.del - 2020-21 - Bilag 223: Orientering om evaluering af ordningen med lægeordineret heroin, fra sundhedsministeren
Evaluering af ordningen med lægeordineret heroin til opioidafhængige patienter
Side 13/120
stitutionsbehandling af patienter der lider af opioidafhængighed samt somatisk som psy-
kisk komorbiditet til rusmiddelforbruget. Dertil skal lægen have erfaring med helhedsori-
enteret rusmiddelbehandling og med de snitflader der er til den sociale indsats i behand-
lingstilbuddet
(7)
.
Det er Styrelsen for Patientsikkerhed der godkender de læger, der kan varetage en ordi-
nation af diacetylmorphin og således efter denne godkendelse vil være den rekvirerende
og ordinerende læge på behandlingsstedet
1
.
Den lægelige ordination af diacetylmorphin kan ikke stå alene og skal til alle tider være
sammenhængende med den sociale indsats, der ydes efter Serviceloven. Det er kom-
munalbestyrelsens ansvar at sikre, at der i behandlingen findes den fornødne sammen-
hæng imellem den lægelige indsats i henhold til Sundhedslovens § 142 og den sociale
indsats i henhold til Servicelovens § 101.
Behandlingen med diacetylmorphin kan alene ske på de dertil indrettede klinikker.
Det er ikke muligt at få eller yde behandling med diacetylmorphin under indlæggelser i
den øvrige del af sundhedssystemet eller i regi af kriminalforsorgen.
I tilfælde af indlæggelse, ferie eller afsoning i kriminalforsorgen, må patienter der er ind-
skrevet i en af de 5 af landets heroinklinikker lade sig omstille til anden substitutionsbe-
handling.
3.3. Patienter til behandlingstilbuddet og visitation til tilbuddet
Behandlingen med diacetylmorphin som substitutionsmedicinsk tilbud er tilsigtet en sær-
lig gruppe af de patienter, der lider af opioidafhængighed.
Behandlingen med lægeordineret heroin kan være indikeret hos patienter der har et fort-
sat brug af lægeligt ordinerede eller illegalt erhvervede opioider, trods samtidig aktiv be-
handling med konventionel peroral- eller injiceret substitutionsmedicin. Formålet med be-
handlingen er, at forebygge en forværring af patientens helbredstilstand, samt på læn-
gere sigt at forbedre patientens livskvalitet både helbredsmæssigt og socialt
(7)
. Patient-
gruppe og inklusion til behandlingstilbuddet uddybes i afsnit 6.1 og 6.1.1.
Fastsatte regler om ordination og behandling med heroin fremgår af Sundhedsstyrelsens
vejledning nr. 9507 af 17 september 2013 om ordination af injicerbar diacetylmorphin (he-
roin) ved opioidafhængighed
(7)
.
1
I henhold til bekendtgørelse 125 18.februar 2009 skal Sundhedsstyrelsen godkende behandlingsansvarlige læger til dia-
cetylmorphinbehandlingen, dette ligger nu i Styrelsen for Patientsikkerheds ressortområde, idet bekendtgørelsen vedrører Auto-
risationsloven.
SUU, Alm.del - 2020-21 - Bilag 223: Orientering om evaluering af ordningen med lægeordineret heroin, fra sundhedsministeren
Evaluering af ordningen med lægeordineret heroin til opioidafhængige patienter
Side 14/120
En kommune kan ikke uden en lægefaglig vurdering foretage visitation af den enkelte pa-
tient, der formodes at have behov for abstinens- eller substitutionsbehandling. Der skal
derfor også i hvert enkelt tilfælde vurderes ved en læge, om en patient opfylder kriteri-
erne for at kunne blive tilbudt behandling med diacetylmorphin
(7)
.
4. Metode og datakvalitet
4.1. Datagrundlag
Denne evaluering af ordningen med lægeordineret heroin er som i den tidligere evalue-
ring primært baseret på indberetning af data på området for behandling fra Sundhedsda-
tastyrelsens database for injicerbar heroin og metadon (IHM-databasen). Databasen har i
tidligere organiseringer på Sundheds- og Ældreministeriets område ligget hos Statens
Serum Institut og hos Sundhedsstyrelsen.
Indberetningerne finder sted ved indskrivningen og herefter skal der løbende indberettes
til databasen hvert halve år. Spørgsmål omhandlende stofmisbrug, risikoadfærd, fore-
komst af misbrugsrelaterede somatiske og psykiske lidelser, et SF-36 spørgeskema om-
handlende patientens selvvurderede helbred samt spørgsmål til patientens sociale for-
hold og kriminalitet skal alle udfyldes af sundhedspersonale sammen med patienten
hvert halve år i den tid patienten er indskrevet i behandlingen.
Beskrivelse af og vejledning til, hvorledes skemaerne skal udfyldes fremgår
af ”Fælles-
indhold for indberetning til Sundhedsdatastyrelsens database for injicerbar heroin og me-
tadon” og kan fremsøges på Sundhedsdatastyrelsens hjemmeside
(8)
.
Data til evalueringen af ordningen med lægeordineret heroin omfatter alle indberettede
data fra registerstart 1.april 2010 til aktuelle udtræk til evalueringen af ordningen med læ-
geordineret heroin i 2020, som dækker perioden 2013 til 2018.
4.2. Datakvalitet og opfølgning i IHM-databasen
Personerne der er indskrevet i behandling med lægeordineret heroin bør modtage op-
følgning på den iværksatte behandling løbende, således at effekten kan følges. Opfølg-
ningen sker som indberetning til IHM-databasen og skal gøres hvert halve år.
Dataindberetningen der følger opfølgningen har vist sig ikke at ske, som den skal. For at
flest mulige patienter og flest mulige forløb bliver inkluderet i evalueringen har det derfor
været nødvendigt, at definere opfølgningerne bredere.
SUU, Alm.del - 2020-21 - Bilag 223: Orientering om evaluering af ordningen med lægeordineret heroin, fra sundhedsministeren
2322586_0015.png
Evaluering af ordningen med lægeordineret heroin til opioidafhængige patienter
Side 15/120
En opfølgning defineres i denne evaluering som den
første opfølgning,
hvis den er foreta-
get indenfor det første år af et behandlingsforløb, og at
anden opfølgning
er defineret
som en opfølgning der sker indenfor 2 år efter indskrivningen til behandlingstilbuddet, be-
tinget af at personen allerede har modtaget første opfølgning.
Personer i længerevarende behandling er defineret som personer, der minimum har gen-
nemført første og anden opfølgning.
4.3. SF-36 spørgeskemaet - patienternes selvvurderede helbred
I opfølgningen til IHM databasen besvarer personer indskrevet i behandling med lægeor-
dinere heroin et spørgeskema, der måler helbredsrelateret livskvalitet og funktionsevne
(Short Form 36, SF-36).
Besvarelserne fra patienterne sammenlignes i evalueringen med besvarelser fra befolk-
ningsundersøgelser i Danmark. Den seneste befolkningsundersøgelse, hvor SF-36 an-
vendes, er fra 2005. I denne evaluering sammenlignes derfor med opgørelsen fra 2005,
ligesom der kan sammenlignes de to evalueringer imellem.
Andre befolkningsundersøgelser anvender SF-12, og for at gennemføre en bredere sam-
menligning er to centrale mål om selvvurderet helbred udvalgt fra IHM-databasen. Disse
mål kan sammenholdes med befolkningsundersøgelsen Den Nationale Sundhedsprofil
fra 2017
2
.
4.4. Andre datakilder
For at belyse ordningen med lægeordineret heroin fra flere sider end de der repræsente-
res ved udtræk af data fra IHM-databasen, har Sundhedsstyrelsen til aktuelle evaluering
valgt at inddrage yderligere viden fra de fem heroinklinikker, ligesom klinikkerne har bi-
draget med forslag til indhold i evalueringen.
Møder og mailkorrespondancer med behandlingsstederne
Sundhedsstyrelsen har løbende været i kontakt og dialog med læger og ledelse fra de
fem heroinklinikker. Mailkorrespondancer og mødereferater indgår som en del af dataind-
samlingen til aktuelle evaluering af ordningen med diacetylmorphin som substitutionsbe-
handling.
2
Sundhedsprofilen gennemføres hver fjerde år af Sundhedsstyrelsen, Statens Institut for Folkesundhed (SIF) og de fem regioner
SUU, Alm.del - 2020-21 - Bilag 223: Orientering om evaluering af ordningen med lægeordineret heroin, fra sundhedsministeren
2322586_0016.png
Evaluering af ordningen med lægeordineret heroin til opioidafhængige patienter
Side 16/120
Klinikkerne har bl.a. bidraget med viden om sædvanlig praksis i patientbehandlingen,
herunder fremgangsmåder med justeringer i medicin og mødet med patienten.
Spørgeskemaundersøgelse udsendt til landets 5 heroinklinikker
Klinikkerne bidrog også med viden gennem besvarelser af et spørgeskema udarbejdet af
Sundhedsstyrelsen. Data indsamlet i spørgeskemaundersøgelsen til heroinklinikkerne er
alle indsamlet i pseudonymiseret form og tjener det formål, at anskue lokale variationer i
patientgrundlag og tilbud i behandlingen.
5. Data til evalueringen fra IHM-da-
tabasen
5.1. Antallet indskrevne pr. år af ordningens forløb siden seneste eva-
luering i 2012
Sundhedsstyrelsens vurdering forud for opstarten af behandlingsformen var, at der med
udgangen af 2011 forventedes ca. 280 patienter i behandling med diacetylmorphin, heraf
120 patienter forventedes indskrevet i Københavns Kommune og 40 patienter forvente-
des indskrevet i hver af de andre kommuner.
Skønnet over antallet af patienter indskrevet i behandling rummede også et skøn af en let
stigning i antallet af indskrevne de første år af behandlingens eksisteren.
Således forventede Sundhedsstyrelsen, at der efter 2-3 år af behandlingens, ville findes
et patientgrundlag på imellem 300 og 400 patienter.
SUU, Alm.del - 2020-21 - Bilag 223: Orientering om evaluering af ordningen med lægeordineret heroin, fra sundhedsministeren
2322586_0017.png
Evaluering af ordningen med lægeordineret heroin til opioidafhængige patienter
Side 17/120
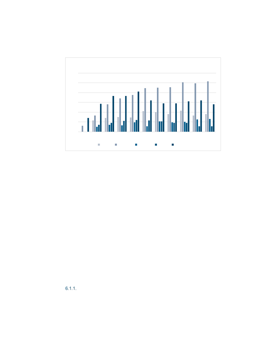
100
Antal
80
60
40
20
0
Antal indskrevne pr. år på hver af de 5
klinikker samt i hele landet
København
KABS
Odense
2013
2014
2015
Esbjerg
Aarhus
2016
2017
2018
Hele landet
Figur 4.1. Kilde: Register for Injicerbar Heroin og Metadon (IHM), Sundhedsdatastyrelsen. Note: Figuren illustrerer antallet af indskrevne patienter i
tilbuddene til ordningen med lægeordineret diacetylmorphin (heroin) i årene 2013-2018. Opgørelsen beskriver alene antallet af patienter der indskrives
det pågældende år, og ikke det fulde antal indskrevne der allerede måtte indgå i behandlingen. Hvor data er under 5 unikker personer (<5) er tallet
angivet som 4 i figuren.
Køben-
havn
2013
2014
2015
2016
2017
2018
17
9
7
5
6
5
KABS
8
14
22
11
6
14
Odense
22
31
43
22
18
<5
Esbjerg
<5
9
6
9
<5
0
Aarhus
7
7
<5
<5
<5
<5
Hele lan-
det
58
70
81
48
33
22
Tabel 4.1 Kilde: Register for Injicerbar Heroin og Metadon (IHM), Sundhedsdatastyrelsen. . Note: Antallet af nye indskrevne personer i tilbuddene til
ordningen med lægeordineret diacetylmorphinbehandling. Opgørelsen beskriver alene antallet af patienter der indskrives det pågældende år, og ikke
det fulde antal indskrevne der allerede måtte indgå i behandlingen.
Data fra sundhedsdatastyrelsen viser, at der i 2013 til 2018 er blevet indskrevet 312 pati-
enter i tilbuddet med diacetylmorphin (heroin).
Da der er tale om indskrivninger af unikke personer, vil det af opgørelsen ikke fremgå,
om samme person skulle have ladet sig udskrive og indskrive flere gange i perioden
2013 til 2018.
I perioden for opgørelse findes flest indskrivninger til ordningen i Odense (138), efterfulgt
SUU, Alm.del - 2020-21 - Bilag 223: Orientering om evaluering af ordningen med lægeordineret heroin, fra sundhedsministeren
2322586_0018.png
Evaluering af ordningen med lægeordineret heroin til opioidafhængige patienter
Side 18/120
af KABS (75), København (49) Esbjerg (29) og Århus (21).
I de første år af ordningen fordelte de 261 indskrivninger sig med flest i København (Val-
muen) med 88 indskrivninger og i Odense med 68 indskrivninger. I KABS blev der ind-
skrevet 40 patienter, hvilket er ca. halvdelen af antallet af indskrivninger i den efterføl-
gende periode. Omvendt var antallet af indskrivninger højere i Århus (32) og Esbjerg (33)
end det har været på ordningens senere år.
Samlet set er der i alle af ordningens 10 år i alt blevet indskrevet 573 personer i behand-
lingen fordelt med en tredjedel i Odense (206), en fjerdedel i København (137), en femte-
del hos KABS (115) og en tiendedel hos hver af klinikkerne i Esbjerg (62) og Århus (53).
5.2. Antal af patienter indskrevet i behandling fordelt på køn
Fordelingen af indskrivninger (312) for perioden 2013-2018 på de indskrevnes køn, stem-
mer overens med den viden vi har på andre områder omkring rusmiddelforbrug: største-
delen af stofbrugere er mænd, og langt færre er kvinder.
I den konventionelle rusmiddelbehandling udgjorde kvinder i 2015 alene 25 pct. hvor
mænd udgjorde de resterende 75 pct.
(9)
.
Andel i konventionel rusmiddelbehandling,
opdelt på køn, 2017
25 pct.
75 pct.
Mænd
Kvinder
Figur 5.2.1 Kilde: Narkotikasituationen i Danmark 2018, Sundhedsstyrelsen. Note: Fordelingen i pct.andele indskrevne i konventionel rusmiddelbe-
handling i 2017.
Figur 5.2.1 viser fordelen i pct. af alle nye indskrivninger i rusmiddelbehandling i 2017.
Ses på samme procentielle forhold omkring indskrivningerne til ordningen med lægeordi-
neret heroin fremgår det, at der er færrest kvinder, der indskrives i behandling, men at
andelen af kvinder er stigende i perioden fra 21 pct. i 2013 til 33 pct. i 2016.
SUU, Alm.del - 2020-21 - Bilag 223: Orientering om evaluering af ordningen med lægeordineret heroin, fra sundhedsministeren
2322586_0019.png
Evaluering af ordningen med lægeordineret heroin til opioidafhængige patienter
Side 19/120
Antal
250
200
150
100
50
12
46
Antal indskrivninger, opdelt på køn
233
79
51
19
21
60
32
16
6
27
5
17
0
2013
2014
2015
2016
Mænd
2017
2018
Hele
perioden
Kvinder
Figur 5.2.2 Kilde: Register for Injicerbar Heroin og Metadon (IHM), Sundhedsdatastyrelsen. Note: Figuren illustrerer antallet mænd og kvinder indskre-
vet til behandling i ordningen med lægeordineret diacetylmorphin (heroin) i årene 2013-2018. Opgørelsen beskriver alene antallet af patienter der ind-
skrives det pågældende år, og ikke det fulde antal indskrevne der allerede måtte indgå i behandlingen, eller lade sig indskrive 2 eller flere gange.
For hele perioden for den aktuelle evaluering (2013-2018) findes, at 25 procent af de nye
indskrivninger udgøres af kvinder og de resterende 75 procent udgøres af mænd.
Fordeling på køn, ordningen med
lægeordineret heroin, tidligere evaluering
(2010-2012)
27
73
Mænd
Kvinder
Figur 5.2.3 Kilde: Register for Injicerbar Heroin og Metadon (IHM), Sundhedsdatastyrelsen. Note: Fordelingen i procentandele for alle indskrivninger til
ordningen med lægeordineret heroin årene 2010-2012.
SUU, Alm.del - 2020-21 - Bilag 223: Orientering om evaluering af ordningen med lægeordineret heroin, fra sundhedsministeren
2322586_0020.png
Evaluering af ordningen med lægeordineret heroin til opioidafhængige patienter
Side 20/120
Andel indskrevet i behandling med
lægeordineret heroin, aktuelle evaluering
(2013-2018), opdelt på køn
25 pct.
75 pct.
Kvinder
Mænd
Figur 5.2.4 Kilde: Register for Injicerbar Heroin og Metadon (IHM), Sundhedsdatastyrelsen. Note: Fordelingen i procentandele for alle indskrivninger til
ordningen med lægeordineret heroin årene 2013-2018
Sammenlignet med ordningens første år (2010-2012), er der altså sket en mindre æn-
dring i negativ retning i antallet af kvinder, der lader sig indskrive i behandlingen, idet 27
pct. af de indskrevne i årene 2010-2012 var kvinder (figur 5.2.3.). Kvinderne der indskri-
ves i behandlingen fra 2013 til 2018 udgør en relativt retvisende repræsentering i forhol-
det til, hvor mange der ville forventes ud fra den samlede population af patienter i substi-
tutionsbehandling.
5.3. Antal af patienter indskrevet i behandling fordelt på alder
Andelen af indskrivninger 2013-2018 fordelt på alder viser, at der fortsat indskrives langt
flest i aldersgruppen 35-44 år til behandlingen med diacetylmorphin. Det samme gjorde
sig gældende i den tidligere evaluering, som fremlagde resultaterne af ordningens første
år (2010-2012).
SUU, Alm.del - 2020-21 - Bilag 223: Orientering om evaluering af ordningen med lægeordineret heroin, fra sundhedsministeren
2322586_0021.png
Evaluering af ordningen med lægeordineret heroin til opioidafhængige patienter
Side 21/120
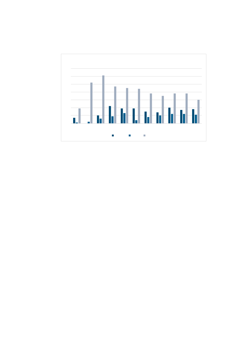
Antal personer indskrevet i diacetylmorphin-
behandlingen aktuelle evaluering og tidligere
evaluering, fordelt på alder
Antal
160
140
120
100
80
60
40
20
0
134
95
67
77
65
67
22
11
4
21
16-24
25-34
Antal personer nu
35-44
45-54
55-64
Antal personer tidligere
Figur 5.3.1 Kilde: Register for Injicerbar Heroin og Metadon (IHM), Sundhedsdatastyrelsen. Note: Fordelingen af antallet af personer indskrevet i be-
handlingen med diacetylmorphin.
Vi ved fra tidligere afrapporteringer fra rusmiddelområdet, at gennemsnitsalderen for de
der er indskrevet i den konventionelle substitutionsbehandling er højere for de der er ind-
skrevet og får metadonbehandling end for de der er indskrevet og modtager behandling
med buprenorphin.
Fælles for de 2 konventionelle substitutionsbehandlingsmetoder er dog at de, som det
gør sig gældende for patienterne indskrevet i diacetylomrphinbehandlingen, er at finde i
samme aldersgruppe med en gennemsnitsalder på 42 år for mænd, og 40 år for kvinder
(metadon) og 36,5 år for mænd og 37,1 år for kvinder (buprenorphin)
(10)
.
Dette viser, at de patienter der indgår i behandlingen med diacetylmorphin findes i
samme aldersgruppe, som de der lader sig indskrive i den konventionelle substitutions-
medicinske behandling (35-44 år).
SUU, Alm.del - 2020-21 - Bilag 223: Orientering om evaluering af ordningen med lægeordineret heroin, fra sundhedsministeren
2322586_0022.png
Evaluering af ordningen med lægeordineret heroin til opioidafhængige patienter
Side 22/120
Alderfordeling 2013-2018
diacetylmorphinbehandlingen angivet i
procent
7 4
21
25
43
16-24
25-34
35-44
45-54
55-64
Figur 5.3.2 Kilde: Register for Injicerbar Heroin og Metadon (IHM), Sundhedsdatastyrelsen. Note: Alderen er opgjort ved indskrivning i behandling.
Aldersfordeling 2010-2012
diacetylmorphinbehandlingen angivet i
procent
2
8
26
27
38
18-24
25-34
35-44
45-54
55-64
Figur 5.3.3 Kilde: Register for Injicerbar Heroin og Metadon (IHM), Sundhedsdatastyrelsen. Note: Alderen er opgjort ved indskrivning i behandling.
5.4. Antal udskrivninger og årsager til udskrivninger
I alt er 257 patienter blevet udskrevet af ordningen med lægeordineret siden ordningens
begyndelse i 2010. Sammenholdt med det viden fra afsnit 5.1 om indskrivningerne, er
257 af de der siden 2010 er indgået i behandlingen (573) altså udskrevet igen.
SUU, Alm.del - 2020-21 - Bilag 223: Orientering om evaluering af ordningen med lægeordineret heroin, fra sundhedsministeren
2322586_0023.png
Evaluering af ordningen med lægeordineret heroin til opioidafhængige patienter
Side 23/120
Fordelt over de to evalueringer, blev de 70 udskrevet imellem 2010 og 2012 og de sidste
187 er blevet udskrevet fra 2013 og frem til 2018.
Antallet af indskrivninger og antallet af
udskrivninger i hele perioden fordelt på
klinikker 2013-2018
160
140
120
100
80
60
40
20
0
138
75
49
31
44
78
29 25
21
9
Valmuen
KABS,Hvidovre
Odense
Esbjerg
Aarhus
Indskrivninger
Udskrivninger
Figur 5.4.1 Kilde: Register for Injicerbar Heroin og Metadon (IHM), Sundhedsdatastyrelsen. Note: Figuren angiver antallet af indskrivninger og udskriv-
ninger på de fem forskellige behandlingssteder, samt fordelingen i hele landet.
Sammenlignes antallet af udskrivninger med antallet af indskrivninger landet over, ses en
sammenhæng imellem, at de klinikker der er med flest indskrivninger også findes med
flest udskrivninger.
Frafaldsprocenten angivet med udgangspunkt i geografi viser, at der er flest udskrivnin-
ger fra tilbuddet i Odense (41,7 pct. af udskrivningerne), efterfulgt af KABS (23,5 pct. af
udskrivningerne) og Valmuen (19.8 pct. af udskrivningerne) i årene 2013-2018.
SUU, Alm.del - 2020-21 - Bilag 223: Orientering om evaluering af ordningen med lægeordineret heroin, fra sundhedsministeren
2322586_0024.png
Evaluering af ordningen med lægeordineret heroin til opioidafhængige patienter
Side 24/120
Andel udskrivninger fra behandlingen, 2013-
2018
5
13
20
24
42
Valmuen, København
KABS, Hvidovre
Odense
Esbjerg
Århus
Figur 5.4.2 Kilde: Register for Injicerbar Heroin og Metadon (IHM), Sundhedsdatastyrelsen i 2013-2018. Note: Figuren angiver antallet af indskrivninger
på de fem forskellige behandlingssteder, samt fordelingen i hele landet.
Der ses dermed ikke et stort frafald til behandlingen, hvor er ikke er en tilsvarende stor
søgning til behandlingen.
Antal indskrivninger til behandlingen, 2013-
2018
7
9
16
24
44
Valmuen, København
KABS, Hvidovre
Odense
Esbjerg
Århus
Figur 5.4.3 Kilde: Register for Injicerbar Heroin og Metadon (IHM), Sundhedsdatastyrelsen 2013-2018. Note: Figuren angiver antallet af udskrivninger
på de fem forskellige behandlingssteder, samt fordelingen i hele landet.
SUU, Alm.del - 2020-21 - Bilag 223: Orientering om evaluering af ordningen med lægeordineret heroin, fra sundhedsministeren
Evaluering af ordningen med lægeordineret heroin til opioidafhængige patienter
Side 25/120
Årsagerne til udskrivningerne er opgjort med data fra årene 2013 til 2018, og er sammen-
lignet med den seneste evaluering over årene 2010-2012.
Det er fortsat langt den største del af de der frafalder behandlingen, der frafalder grundet
skift til konventionel substitutionsbehandling.
Således var der fra 2010 til 2012 på landsplan 14 patienter der ophørte i substitutionsbe-
handlingen med diacetylmorphin for at skifte tilbage til en konventionel substitutionsbe-
handlingsform.
For årene 2013 til 2018 er antallet af patienter der udgår af behandlingen for at returnere
til den konventionelle substitutionsbehandling angivet at være 59 patienter, altså 45 pati-
enter flere, end siden sidste opgørelse.
Årsager til udskrivningen fra behandlingen med lægeordineret heroin
Ophørt grundet skift til konventionel substitutionsbehandling, 59 patienter
Ophørt grundet ønske om stoffrihed og overgik til døgnbehandling, 23 patienter
Overgik til anden døgnbehandling, færre end 5 patienter
Kunne ikke rummes i behandlingstilbuddet grundet voldelig adfærd, færre end 5 pati-
enter
Havde svært ved at følge behandlingen, f.eks. grundet de hyppige fremmøder, 9 pati-
enter
Ophørte i behandlingen grundet afsoning, 24 patienter
Ophørte i behandlingen grundet et for stort sideforbrug af rusmidler, færre end 5 pati-
enter
Havde somatisk sygdom, der gjorde at de ikke kunne fortsætte i behandlingen, færre
end 5 patienter
Døde i løbet af behandlingen af årsager, der ikke var knyttet til stofbruget, færre end
5 patienter
Ophørte i behandlingen grundet indlæggelse, 7 patienter
Ophørte i behandlingen grundet personlige årsager, 9 patienter
Ophørte i behandlingen i forbindelse med flytning, 20 patienter
Udeblevet fra behandlingen, færre end 5 patienter
Ophørt af uoplyst årsag, 6 patienter
SUU, Alm.del - 2020-21 - Bilag 223: Orientering om evaluering af ordningen med lægeordineret heroin, fra sundhedsministeren
2322586_0026.png
Evaluering af ordningen med lægeordineret heroin til opioidafhængige patienter
Side 26/120
Sammenlignes årsagerne til ophør i behandlingen 2013 til 2018 med årsagerne til ophør i
behandling fra den første evaluering af behandlingen med lægeordineret heroin fremgår
det, at den langt den hyppigste årsag til ophør i behandlingen fortsat findes at være skift
til konventionel substitutionsbehandling eller ønske om stoffrihed og overgang til døgnbe-
handling.
I indskrivningsårene 2010 til 2012 var der 6 patienter der måtte stoppe i behandlingen
grundet afsoning i regi af kriminalforsorgen, hvorimod der i de seneste år (2013-2018)
ses en stigning til 24 patienter, der måtte ophøre i behandlingen til samme årsag.
Det procentmæssige frafald til behandlingen grundet afsoning i kriminalforsorgen er 12,8
pct. i aktuelle evaluering sammenlignet med 8,6 pct. i den tidligere evaluering (2010-
2012).
Figur 5.4.4 viser de 5 hyppigste årsager til ophør i behandlingen på landsplan, opgjort for
samtlige 8 første år af ordningens forløb.
De hyppigste årsager til ophør i behandlingen
2010-2018, angivet i procent
17
20
27
115
30
Overgang til anden eller konventionel behandling:
Afsoning
Kunne ej rummes, vold
flyttet
Havde svært ved at følge behandlingen
Figur 5.4.4 Kilde: Register for Injicerbar Heroin og Metadon (IHM), Sundhedsdatastyrelsen. Note: Figuren indeholder antallet af udskrivninger angivet
for hele perioden
fremstillet som de 5 hyppigste årsager til udskrivninger af tilbuddet med lægeordineret heroin.
Af de i alt 257 patienter, der er udskrevet af behandlingen med lægeordineret heroin, si-
den ordningens begyndelse i 2010 og frem til seneste opgørelse over data fra 2018, be-
ror langt de fleste udskrivninger på overgangen til et andet tilbud (115) enten i form af
SUU, Alm.del - 2020-21 - Bilag 223: Orientering om evaluering af ordningen med lægeordineret heroin, fra sundhedsministeren
Evaluering af ordningen med lægeordineret heroin til opioidafhængige patienter
Side 27/120
døgnbehandling eller til konventionel substitutionsbehandling. Denne andel udgør samlet
set 45,5 pct. af de der udskrives af behandlingen.
Årsagerne til disse skift til konventionel substitutionsbehandling kan være mange. At
indgå i diacetylmorfinbehandlingen kræver store ressourcer hos de indskrevne i forhold til
behandlingsadhærence og fremmøde til behandlingen 2 gange dagligt, hvor den konven-
tionelle substitutionsbehandling ofte ikke i alle perioder af forløbet kræver samme niveau
af fremmøde, supervision og tilstedevær i klinikken.
5.5. Patientprofil ved indskrivning og opfølgning
Som det fremgår af afsnit 4.2, bør personerne der er indskrevet i ordningen med lægeor-
dineret heroin alle modtage opfølgninger i forhold til behandling og indberetning til IHM-
databasen hvert halve år. Dette har vist sig ikke at være tilfældet. Langt de fleste patien-
ter får foretaget en opfølgning efter indskrivelsen senere end 6 måneder efter datoen for
indskrivningen.
Definitionerne
første opfølgning
og
anden opfølgning
er ændret i aktuelle evaluering, så-
ledes at evalueringen inkluderer alle de patienter, der får foretaget en opfølgning, og der-
med er indskrevet i behandlingen i en længerevarende periode (afsnit 4.2).
Definitionen af ’personer
i længerevarende behandling’
rummer de personer, der som mi-
nimum har gennemført første og anden opfølgning.
Imidlertid er der kun bidraget med
anden opfølning
i dataleverancen fra Sundhedsdata-
styrelsen, da det viste sig ikke at bidrage med yderligere informationer om behandlingen
eller patienterne, at inkludere første opfølgning. Af samme årsag vil tabeller og figurer i
det kommende afsnit referere til personer i længerevarende behandling og ikke de 2 op-
følgninger.
Antallet af indskrivninger i perioden 2013 til 2018 er i alt 312. Af disse indskrivninger ind-
går
de 66 i andelen patienter, der udgør gruppen ’personer
i længerevarende behand-
ling’,
hvilket vil sige, at de har gennemgået begge opfølgninger der efter definitionsæn-
dringen i aktuelle evaluering er gjort henholdsvis indenfor et år efter indskrivning og to år
efter dato for indskrivning.
SUU, Alm.del - 2020-21 - Bilag 223: Orientering om evaluering af ordningen med lægeordineret heroin, fra sundhedsministeren
2322586_0028.png
Evaluering af ordningen med lægeordineret heroin til opioidafhængige patienter
Side 28/120
5.5.1 Civilstatus
Størstedelen af de indskrevne er enlige på tidspunktet for indskrivning. Således findes
det, at 238 svarende til 76 pct. er enlige, mens 67 patienter (22 pct.) er samlevende.
Civilstatus ved indskrivning, alle
2
22
76
Enlig
Samlevende
Uoplyst
Figur 5.5.1.1 Kilde: Register for Injicerbar Heroin og Metadon (IHM), Sundhedsdatastyrelsen. Note: Civilstatus er selvrapporteret ved indskrivningen til
tilbuddet med lægeordineret heroin, og angiver status den seneste måned inden indskrivningen.
Af de 66 patienter, der er i længerevarende behandling, ses at 58 patienter er enlige ved
indskrivningen og 54 patienter er enlige ved opfølgningen. 8 patienter angiver at være
samlevende ved indskrivningen og 11 angiver at være samlevende ved opfølgningen.
SUU, Alm.del - 2020-21 - Bilag 223: Orientering om evaluering af ordningen med lægeordineret heroin, fra sundhedsministeren
2322586_0029.png
Evaluering af ordningen med lægeordineret heroin til opioidafhængige patienter
Side 29/120
Civilstatus ved indskrivningen, personer i
længerevarende behandling indskrivning,
personer i længerevarende behandling
12
88
Enlige
Samlevende
Figur 5.5.1.2 Kilde: Register for Injicerbar Heroin og Metadon (IHM), Sundhedsdatastyrelsen. . Note: Civilstatus er selvrapporteret ved indskrivningen
og opfølgning for de patienter, der er i længerevarende behandling med diacetylmorphin, og angiver civilstatus hhv. den seneste måned inden indskriv-
ning.
Civilstatus ved opfølgning, personer i
længerevarende behandling
17
82
Enlige
Samlevende
Figur 5.5.1.3 Kilde: Register for Injicerbar Heroin og Metadon (IHM), Sundhedsdatastyrelsen. Note: Civilstatus er selvrapporteret ved indskrivningen og
opfølgning for de patienter, der er i længerevarende behandling med diacetylmorphin, og angiver civilstatus hhv. den seneste måned ved opfølgning.
Der sker et mindre fald i andelen af de der er enlige, der går fra at være 88 pct. ved ind-
skrivningen til 82 pct. for de af patienterne, der er indskrevet i behandlingen i mere end 2
år.
SUU, Alm.del - 2020-21 - Bilag 223: Orientering om evaluering af ordningen med lægeordineret heroin, fra sundhedsministeren
2322586_0030.png
Evaluering af ordningen med lægeordineret heroin til opioidafhængige patienter
Side 30/120
Anderledes fandt man i den tidligere evaluering, at 190 af de i alt 252 indskrevne patien-
ter var enlige ved indskrivningen svarende til 75 pct., og at 58 patienter angav at være
samlevende svarende til 23 pct. Ved opfølgningen var der en lille stigning på 1 pct. i an-
tallet af enlige.
Boligforhold
Boligforhold er selvrapporteret af patienten, med en angivelse af hvor patienten primært
har opholdt sig indenfor den sidste måned (30 dage).
Boligforhold ved indskrivning, 2013-2018
4
3
9
3
10
5
69
Selvstændig bolig
Støttebolig/bofællesskab/halvvejshus
Anden institution
Andet/uoplyst
Hos familie/venner
Herberg/Pensionat
Gaden/ingen bolig
Figur 5.5.1.1 Kilde: Register for Injicerbar Heroin og Metadon (IHM), Sundhedsdatastyrelsen. Note: Boligforhold er selvrapporteret ved indskrivningen
for alle patienter og angiver boligforhold den seneste måned før indskrivningen.
Som det fremgår af figur 5.5.1.1 er langt de fleste med selvstændig bolig ved tidspunktet
for indskrivningen til substitutionsbehandlingstilbuddet med diacetylmorphin. Af alle de
patienter der lader sig indskrive imellem 2013 og 2018 (312) er 213 med selvstændig bo-
lig for tidspunktet for indskrivningen til tilbuddet, svarende til 68 pct. af de der lader sig
indskrive i behandlingen.
Når man ser på udviklingen hos gruppen i længerevarende behandling bliver flere med
selvstændig bolig, som funktion af tiden indskrevet i behandlingen.
SUU, Alm.del - 2020-21 - Bilag 223: Orientering om evaluering af ordningen med lægeordineret heroin, fra sundhedsministeren
2322586_0031.png
Evaluering af ordningen med lægeordineret heroin til opioidafhængige patienter
Side 31/120
Boligforhold ved indskrivning for personer i
længerevarende behandling, 2013-2018
20
14
66
Selvstændig bolig
Herberg/Pensionat
Øvrige
Figur 5.5.1.2 Kilde: Register for Injicerbar Heroin og Metadon (IHM), Sundhedsdatastyrelsen. Note: Boligforhold er selvrapporteret ved indskrivningen
for alle patienter og angiver boligforhold den seneste måned før indskrivningen.
I gruppen af personer der er i længerevarende behandling (66) er 66 pct. (43 patienter)
på tidspunktet for indskrivningen med selvstændig bolig, hvorimod der i gruppen ved an-
den opfølgning er 77 pct. (51) med selvstændig bolig.
Boligforhold, ved opfølgning for personer i
længerevarende behandling, 2013-2018
14
9
77
Selvstændig bolig
Herberg/Pensionat
Øvrige
Figur 5.5.1.3 Kilde: Register for Injicerbar Heroin og Metadon (IHM), Sundhedsdatastyrelsen. . Note: Boligforhold er selvrapporteret ved indskrivningen
for alle patienter og angiver boligforhold den seneste måned før indskrivningen.
Sammenlignet med den tidligere evaluering ses en mindre stigning i antallet af patienter,
der bliver med selvstændig bolig under indskrivningen i behandlingen. Hvor 68,2 pct. var
SUU, Alm.del - 2020-21 - Bilag 223: Orientering om evaluering af ordningen med lægeordineret heroin, fra sundhedsministeren
2322586_0032.png
Evaluering af ordningen med lægeordineret heroin til opioidafhængige patienter
Side 32/120
med selvstændig bolig på tidspunktet for indskrivningen i 2010 til 2012, bliver 76,6 pct.
med egen bolig ved første opfølgning og 74,8 pct. ved anden opfølgning
(1)
.
Selvom langt de fleste patienter er med selvstændig bolig på tidspunktet for indskrivnin-
gen, og enkelte bliver med selvstændig bolig under behandlingen, er der fortsat tale om
en stor afvigelse i forhold til baggrundsbefolkningen, hvor alene 0,11 pct. af den samlede
danske befolkning er kategoriseret som hjemløse
(11)
.
Ud af patientpopulationen der lader sig indskrive til behandling med diacetylmorphin er
der 5 pct. der sover på gaden.
Dertil kommer, at 26 pct. angiver at sove hos venner eller familie, på herberg eller pensi-
onat mv. (se figur 5.5.1.1.)
Hermed falder altså 31 pct. af de der lader sig indskrive i behandlingen med lægeordine-
ret heroin under kategorien hjemløs, med en samlet afvigelse på 30,9 pct. fra baggrunds-
befolkningen.
Pct.
35
30
25
20
15
10
5
Hjemløshed hos patienter i lægeordineret
heroinbehandling og i
baggrundsbefolkningen
31
0,11
0
Patienter i diacetylmorphin behandling
Baggrundsbefolkning
Figur 5.5.1.4 Kilde: Register for Injicerbar Heroin og Metadon (IHM), Sundhedsdatastyrelsen og VIVEs rapport over hjemløshed (11). Note: Figuren
angiver forskellen i hjemløshed angivet i procent, for patienter der indgår i behandlingen med diacetylmorphin dvs. lægeordineret heroinbehandling og
baggrundsbefolkningen.
SUU, Alm.del - 2020-21 - Bilag 223: Orientering om evaluering af ordningen med lægeordineret heroin, fra sundhedsministeren
2322586_0033.png
Evaluering af ordningen med lægeordineret heroin til opioidafhængige patienter
Side 33/120
Indtægtsforhold og beskæftigelse
Fra den sidste evaluering af ordingen med lægeordineret heroin fremgår, at langt de fle-
ste der lod sig indskrive i behandlingen i årene 2010 til 2012 var på overførelsesindkom-
ster
3
. Således var 55,6 pct. på kontanthjælp ved indskrivningen og 34,1 pct. på førtids-
pension.
For patienterne i længerevarende behandling var der ved indskrivningen i 2010 til 2012
en lidt større andel med lønindkomst (2,8 pct.) i forhold til den resterende gruppe af pati-
enter (1,6 pct.)
4
.
Beskæftigelse ved indskrivningen i 2013-
2018, alle indskrevne
4
37
59
Midlertidigt uden beskæftigelse
Varigt uden beskæftigelse
Andet
Figur 5.5.2.1 Kilde: Register for Injicerbar Heroin og Metadon (IHM), Sundhedsdatastyrelsen. Note: Hovedindtægt er selvrapporteret og angiver den
vigtigste indtægtskilde i måneden op til indskrivning i heroinbehandlingen. Disse er grupperet i hhv. beskæftigede (lønmodtagere, SU), midlertidigt uden
beskæftigelse (kontanthjælp, fleksjob, revalidering, sygedagpenge og arbejdsløshedsdagpenge), varigt uden beskæftigelse (førtidspension og pen-
sion), andet (illegale aktiviteter, prostitution og andet).
For patienterne indskrevet i behandlingen 2013-2018 findes, at færre end 5 (<5) er i be-
skæftigelse, herunder SU (Statens uddannelsesstøtte). Ses på det samlede antal patien-
ter (312) findes, at mindre end 1 pct. var i beskæftigelse på tidspunktet for indskrivnin-
gen.
For de patienter, der er i længerevarende behandling (66), findes ligeledes, at færre end
5 (<5) angiver at være i beskæftigelse på tidspunktet for indskrivningen.
Hvorvidt dette ændres igennem behandlingen kan ikke udledes af data, da der for opfølg-
ningen ligeledes er angivet diskretionering for patientantal, der er mindre end 5 (<5).
3
Arbejdsløshedsdagpenge, Aktiveringsydelse, løn med tilskud, sygedagpenge, kontanthjælpe, revalideringsydelse, førtidspen-
tion.
4
Med reformen på førtidspension- og fleksjob 1.januar 2013, ændredes en række forhold i forbindelse med forsørgelse. Begre-
bet fleksjob indgår derfor i denne nye evaluering af ordningen i kategorien
Midlertidig beskæftigelse,
der i den tidligere rapport er
benævnt
Overførselsindkomst.
I kategorien
Varigt uden beskæftigelse
indgår førtidspension og pension.
SUU, Alm.del - 2020-21 - Bilag 223: Orientering om evaluering af ordningen med lægeordineret heroin, fra sundhedsministeren
2322586_0034.png
Evaluering af ordningen med lægeordineret heroin til opioidafhængige patienter
Side 34/120
Dog fremgår det, at der sker en forandring hvad angår den midlertidige og varige be-
skæftigelse.
Beskæftigelsesstatus ved indskrivningen,
patienter i længerevarende behandling,
2013-2018
6
30
64
Midlertidigt uden beskæftigelse
Varigt uden beskæftigelse
Andet
Figur 5.5.2.2 Kilde: Register for Injicerbar Heroin og Metadon (IHM), Sundhedsdatastyrelsen. Note: Hovedindtægt er selvrapporteret og angiver den
vigtigste indtægtskilde i måneden op til indskrivning i heroinbehandlingen. Disse er grupperet i hhv. beskæftigede (lønmodtagere, SU), midlertidigt uden
beskæftigelse (kontanthjælp, fleksjob, revalidering, sygedagpenge og arbejdsløshedsdagpenge), varigt uden beskæftigelse (førtidspension og pen-
sion), andet (illegale aktiviteter, prostitution og andet).
Som det fremgår af figurerne 5.5.2.2 og 5.5.2.3, er flere af de patienter der er indskrevet i
længerevarende forløb, midlertidigt uden beskæftigelse ved tidspunktet for indskrivning
(64 pct.), end det er tilfældet for samme gruppe ved opfølgningen (58 pct.).
Derimod ser det ud til, at der er flere af de patienter der er i længerevarende behandling,
som overgår til at være varigt uden beskæftigelse (førtidspension eller pension).
Ved tidspunktet for indskrivningen er 30 pct. af denne gruppe af patienter varigt uden be-
skæftigelse, mens 38 pct. af gruppen er varigt uden beskæftigelse ved opfølgningen.
Dette tyder på, at flere af de der lader sig indskrive i behandlingen med diacetylmorphin
ansøger om og tildeles varig ydelse som eksempelvis førtidspension.
SUU, Alm.del - 2020-21 - Bilag 223: Orientering om evaluering af ordningen med lægeordineret heroin, fra sundhedsministeren
2322586_0035.png
Evaluering af ordningen med lægeordineret heroin til opioidafhængige patienter
Side 35/120
Beskæftigelsesstatus ved opfølgningen,
patienter i længerevarende behandling,
2013-2018
4
38
58
Midlertidigt uden beskæftigelse
Varigt uden beskæftigelse
Andet
Figur 5.5.2.3 Kilde: Register for Injicerbar Heroin og Metadon (IHM), Sundhedsdatastyrelsen. Note: Hovedindtægt er selvrapporteret og angiver den
vigtigste indtægtskilde ved opfølgning i heroinbehandlingen. Disse er grupperet i hhv. beskæftigede (lønmodtagere, SU), midlertidigt uden beskæfti-
gelse (kontanthjælp, fleksjob, revalidering, sygedagpenge og arbejdsløshedsdagpenge), varigt uden beskæftigelse (førtidspension og pension), andet
(illegale aktiviteter, prostitution og andet).
5.6. Rusmiddelanamnese ved indskrivning og opfølgning
Ved indskrivningen til tilbuddet, vil patienterne ofte have rusmiddelforbrug foruden den
medicinske og lægeordinerede behandling i den konventionelle substitutionsbehandling.
Dette har til dels sin begrundelse i at patienten, når behandling med diacetylmorphin på-
begyndes, skal lade sig omstille fra en behandling med metadon eller depotmorfin til en
kombineret behandling bestående af diacetylmorphin og peroral metadon eller depotmor-
fin. Af samme grund vil alle patienter, der indskrives i behandling med diacetylmorphin
forventes at have et forbrug af substitutionsmedicin ved tidspunktet for indskrivningen og
under indskrivningen.
Hyppigt ses et forbrug af hash og benzodiazepiner ved siden af den ordinerede substituti-
onsmedicin, hos gruppen af patienter der indgår i tilbuddet
(1)
.
SUU, Alm.del - 2020-21 - Bilag 223: Orientering om evaluering af ordningen med lægeordineret heroin, fra sundhedsministeren
2322586_0036.png
Evaluering af ordningen med lægeordineret heroin til opioidafhængige patienter
Side 36/120
Antal indskrevne, opdelt på forbrug af
afhængighedsskabende lægemidler og illegale
stoffer ved indskrivning, 2013-2018
Andet
Inhalater
Hash
Hallucionogener
Ecstasy
Kokain
Amfetamin (ikke-ordineret)
Benzodiazepiner (ikke-ordineret)
Buprenorphin (ikke-ordineret)
Andre opioder (ikke-ordineret)
Heroin (ikke-ordineret)
Metadon (ikke-ordineret)
Substitutionsmedicin (ordineret)
0
50
100
150
200
250
300
135
305
8
64
274
60
189
8
7
143
<5
215
14
350
Antal personer
Figur 5.6.1 Kilde: Register for Injicerbar Heroin og Metadon (IHM), Sundhedsdatastyrelsen. Note: Brug af stoffer er selvrapporteret og angiver hvilke
stoffer, der er indtaget, samt antallet af dage med stofindtag i måneden op til indskrivning i heroinbehandlingen. 1-4 observationer diskretioneres med
angivelse af '<5'.
Som det fremgår af figur 5.6.1. og 5.6.2, har langt hovedparten af de der indskrives i sub-
stitutionsbehandlingstilbuddet med diacetylmorphin et indtag af substitutionsmedicin
forud for indskrivning til tilbuddet.
Dette stemmer overens med, at der forud for at behandlingen med diacetylmorphin initie-
res, skal ske en omlægning fra den konventionelle substitutionsmedicin metadon eller
depotmorfin (omlægningsprocedurerne fremgår nærmere af kapitel 6 afsnit 6.2) til dia-
cetylmorphin, og at patienterne der skal indgå i behandlingen derfor vil have indtaget
denne konventionelle medicin forud for indskrivningen til tilbuddet med lægeordineret he-
roin.
Når forbruget af lægeordineret substitutionsmedicin ikke falder ved opfølgningen af de
patienter der indgår i længerevarende behandlingsforløb (se figur 5.6.2) vil dette meget
vel have sin begrundelse i, at patienterne som en del af den samlede behandling med
diacetylmorphin indtager metadon eller deportmorfin som en enkelt daglig dosis eftermid-
dag eller aften eller som fuld substitution for heroinbehandlingen, når omlagt til regime D-
regime (se afsnit 6.2.1).
SUU, Alm.del - 2020-21 - Bilag 223: Orientering om evaluering af ordningen med lægeordineret heroin, fra sundhedsministeren
2322586_0037.png
Evaluering af ordningen med lægeordineret heroin til opioidafhængige patienter
Side 37/120
Det gennemsnitlige antal dage patienterne indtager substitutionsmedicinen er 27 dage ud
af i alt 30 dage i 2013-2018. I 2010 til 2012 var antallet af dage patienterne indtog substi-
tutionsmedicin på tidspunktet for indskrivningen 28,1 dage ud af i alt 30 dage.
Gennemsnitlige antal dage med forbrug de
seneste 30 dage, ved indskrivning, alle 2013-2018
Andet
Inhalater
Hash
Hallucionogener
Ecstasy
Kokain
Amfetamin (ikke-ordineret)
Benzodiazepiner (ikke-ordineret)
Buprenorphin (ikke-ordineret)
Andre opioder (ikke-ordineret)
Heroin (ikke-ordineret)
Metadon (ikke-ordineret)
Substitutionsmedicin (ordineret)
0
0
1
14
0
0
5
1
9
0
2
17
6
27
antal dage gns.
5
10
15
20
25
30
Figur 5.6.2 Kilde: Register for Injicerbar Heroin og Metadon (IHM), Sundhedsdatastyrelsen. Note: Brug af stoffer er selvrapporteret og angiver hvilke
stoffer, der er indtaget, samt antallet af dage med stofindtag i måneden op til indskrivning i heroinbehandlingen.
Anderledes ser det ud til at forholde sig med forbruget af ikke lægeligt ordineret heroin,
hvor det gennemsnitlige antal dage med forbrug af heroin i 2010-2012 ved indskrivningen
var 9,2 dage ud af de seneste 30 dage, er det i opgørelsen over årene 2013 til 2018 ste-
get til 17 dage ud af 30.
I 2010 til 2012 ses et fald i antal dage med forbrug af heroin ved første og anden opfølg-
ning af patienterne, der indgår i behandling, således at der alene er sideforbrug til be-
handlingen med diacetylmorphin gennemsnit 1,1 dag ud af 30 ved første opfølgning og
2,1 dag ud af 30 ved anden opfølgning.
I 2013 til 2018 ses i stedet et fald fra 15 dage med indtag af illegalt erhvervet heroin ved
indskrivningen til 1 dag med indtag af illegalt erhvervet heroin ved opfølgningen. Samtidig
findes et fald i antallet af indskrevne patienter der angiver at tage heroin som sideforbrug
fra 51 patienter (77 pct.) ved indskrivning til 12 patienter (18 pct.) ved opfølgningen.
SUU, Alm.del - 2020-21 - Bilag 223: Orientering om evaluering af ordningen med lægeordineret heroin, fra sundhedsministeren
2322586_0038.png
Evaluering af ordningen med lægeordineret heroin til opioidafhængige patienter
Side 38/120
Af data leveret fra Sundhedsdatastyrelsen fremgår det dermed, at færre patienter indta-
ger heroin der ikke er lægeordineret, og at de der gør også indtager det langt mindre hyp-
pigt.
Derimod findes det ved gennemgangen af data indhentet over årene 2013 til 2018, at der
er sket en udvikling i forhold til forbruget af kokain. Hvor der ved seneste evaluering fand-
tes et forbrug på gennemsnitligt 2,7 dage ud af 30 ved indskrivningen er dette steget til 5
dage ud af 30 i datasættet over årene 2013 til 2018.
I alt bruger 46 pct. af alle indskrevne til tilbuddet i årene 2013-2018 kokain. Af de der ind-
går i længerevarende behandling (66), indtager 26 patienter kokain ved indskrivningen
(39 pct.) og 20 patienter indtager kokain ved opfølgningen (30 pct.). Antallet af dage med
indtag er ens for tidspunktet for indskrivningen og opfølgningen (3).
Andel af alle indskrevne med stofindtag, fordelt
på stof/lægemiddel
Andet
Inhalater
Hash
Hallucionogener
Ecstasy
Kokain
Amfetamin (ikke-ordineret)
Benzodiazepiner (ikke-ordineret)
Buprenorphin (ikke-ordineret)
Andre opioder (ikke-ordineret)
Heroin (ikke-ordineret)
Metadon (ikke-ordineret)
Substitutionsmedicin (ordineret)
0
20
40
60
80
43
98
100
120
3
21
88
19
61
3
2
46
69
4
Figur 5.6.3 Kilde: Register for Injicerbar Heroin og Metadon (IHM), Sundhedsdatastyrelsen. Note: Brug af stoffer er selvrapporteret og angiver hvilke
stoffer, der er indtaget, samt antallet af dage med stofindtag i måneden op til indskrivning i heroinbehandlingen.
Som det fremgår af figur 5.6.3 har størstedelen af alle de der indskrives i behandlingen
foruden et forbrug af lægeordinerede og illegalt erhvervede opioider også et forbrug af
hash og benzodiazepiner. Dette fund afviger ikke fra den tidligere evaluering af ordningen
over årene 2010 til 2012.
SUU, Alm.del - 2020-21 - Bilag 223: Orientering om evaluering af ordningen med lægeordineret heroin, fra sundhedsministeren
2322586_0039.png
Evaluering af ordningen med lægeordineret heroin til opioidafhængige patienter
Side 39/120
Hos patienter der er indskrevet i længerevarende behandling (66) var det gennemsnitlige
antal dage med forbrug af stoffer (herunder alle indtag, der ikke ordineret ved læge) ved
indskrivningen 298 opgjort for ikke unikke personer
5
og ved opfølgningen faldet til 127
personer.
Betragtes alene antallet af dage der samlet indtages stoffer de seneste 30 dage forud for
henholdsvis indskrivningen og opfølgningen findes et fald fra 49 dage til 24 dage, som
følge af indskrivningen til tilbuddet med lægeordineret heroin.
Alkoholanamnese ved indskrivning og opfølgning
Ved indskrivning til tilbuddet angiver 142 patienter at have indtaget alkohol i måneden
forud for indskrivningen. De resterende 170 patienter angiver, at de ikke har indtaget al-
kohol i måneden forud for indskrivningen.
Procentmæssige fordeling i alkoholindtag
den sidste måned inden indskrivningen,
2013-2018
46
54
Har drukket alkohol
Har ikke drukket alkohol
Figur 5..6.1.1 Kilde: Register for Injicerbar Heroin og Metadon (IHM), Sundhedsdatastyrelsen. Note: Alkoholindtag er selvrapporteret ved indskrivning
og angiver hvorvidt der er indtaget alkohol i måneden forud for tidspunktet for indskrivningen til tilbuddet med lægeordineret heroin.
Det gennemsnitlige antal dage, de 142 patienter der angiver at have indtaget alkohol 30
dage forud for indskrivning i tilbuddet er 13.
5
Ikke unikke patienter er ensbetydende med, at patienten kan registreres flere gange.
SUU, Alm.del - 2020-21 - Bilag 223: Orientering om evaluering af ordningen med lægeordineret heroin, fra sundhedsministeren
2322586_0040.png
Evaluering af ordningen med lægeordineret heroin til opioidafhængige patienter
Side 40/120
Personer, der har drukket
Gennemsnitligt antal dage
Gennemsnitlig antal genstande pr. dag
13
6
Tabel 5.6.1.1 Kilde: Register for Injicerbar Heroin og Metadon (IHM), Sundhedsdatastyrelsen. Note; Det gennemsnitlige antal dage med indtag af alko-
hol, alle patienter indskrevet i behandlingen med lægeordineret heroin er selvrapporteret og angives som antal dage med alkohol indtag måneden
inden indskrivning.
For de patienter der er i længerevarende behandling (66) er antallet af dage med indtag
af alkohol i 10 ud af 30. Det gennemsnitlige antal genstande der er indtaget pr. indtag er
6, både for den samlede gruppe af samtlige indskrevne patienter og for den mindre
gruppe bestående af de patienter der er i længerevarende behandling.
Antal dage og antal genstande pr. dag, for
patienter i længerevarende behandling,
2013-2018
12
10
10
8
6
9
6
6
4
2
0
Indskrivning
Gennemsnitlige antal dage
Opfølgning
Gennemsnitlige antal genstande pr.dag
Figur 5..6.1.2 Kilde: Register for Injicerbar Heroin og Metadon (IHM), Sundhedsdatastyrelsen. Note: Selvrapporteret antal dage patienter i længereva-
rende behandling, for borgere der har indtaget alkohol i måneden forud for indskrivningen itilbuddet med lægeordineret heroin, samt selvrapporteret
antal genstande indtaget pr. dag.
I opgørelsen for 2010 til 2012 var det gennemsnitlige antal dage med indtag af alkohol for
alle de indskrevne patienter, 7 og for de patienter der indgik i længerevarende behandling
var antallet af dage med alkohol indtag 7,3.
Det gennemsnitlige antal genstande der blev indtaget pr. gang var 3,5 for alle indskrevne
og 2,6 for de der indgik i længerevarende behandling.
SUU, Alm.del - 2020-21 - Bilag 223: Orientering om evaluering af ordningen med lægeordineret heroin, fra sundhedsministeren
2322586_0041.png
Evaluering af ordningen med lægeordineret heroin til opioidafhængige patienter
Side 41/120
Antal dage og antal genstande ved indtag,
for patienter i længerevarende behandling,
2010-2012
8
7
6
5
4
3
2
1
0
7
7
3
3
Indskrivning
Gennesnitlige antal dage
Opfølgning
Gennesnitlige antal genstande
Figur 5.6.1.3 Kilde: Register for Injicerbar Heroin og Metadon (IHM), Sundhedsdatastyrelsen. Note: Selvrapporteret antal dage patienter i længereva-
rende behandling, for borgere der har indtaget alkohol i måneden forud for indskrivningen i tilbuddet med lægeordineret heroin, samt selvrapporteret
antal genstande indtaget pr. dag.
Der er altså sket en udvikling i både antal dage med indtag af alkohol, og antallet af gen-
stande der indtages pr. gang patienterne indtager alkohol. Flere patienter indtager alko-
hol, og når de indtager, indtages der større mængder.
Injektion af illegale stoffer
Ved seneste opgørelse fandt man, at både antallet af injicerende patienter og hvor ofte
der blev delt injektionsudstyr faldt som funktion af varigheden af behandlingen med læge-
ordineret diacetylmorphin
(1)
.
Således fremgik det af evalueringen over årene 2010 til 2012, at 83,7 pct. angav at have
injiceret illegale stoffer inden for den seneste måned forud for indskrivningen til tilbuddet.
Lidt færre af de patienter der indgik i et længerevarende behandlingsforløb injicerede på
tidspunktet for indskrivningen (73,8 pct.). Ved anden opfølgning fandtes, at kun 47,7 pct.
og altså under halvdelen af de der indgår i længerevarende behandling, havde injiceret
illegale stoffer inden for de seneste 30 dage.
Tallene fra 2013 til 2018 viser, at 81 pct. af de i alt 312 indskrevne i tilbuddet angiver at
have injiceret inden for de seneste 30 dage på tidspunktet for indskrivningen (254 patien-
ter). Kun 55 patienter angiver ikke at have injiceret inden for de seneste 30 dage (18
pct.).
For patienterne der indgår i længerevarende behandling har 79 pct. af de i alt 66 patien-
ter injiceret inden for de seneste 30 dage ved tidspunktet for indskrivningen og 21 patien-
ter svarende til 32 pct. ved opfølgningen.
SUU, Alm.del - 2020-21 - Bilag 223: Orientering om evaluering af ordningen med lægeordineret heroin, fra sundhedsministeren
2322586_0042.png
Evaluering af ordningen med lægeordineret heroin til opioidafhængige patienter
Side 42/120
Fra at 21 pct. ved tidspunktet for indskrivningen svarer ikke at have injiceret illegale stof-
fer, svarer 67 pct. ved opfølgningen, at de ikke har injiceret illegale stoffer
(1)
.
Andel med injicering af illegale stoffer ved
indskrivning, patienter i længerevarende
behandling, 2013-2018
21
79
Har injiceret illegale stoffer
Har ikke injiceret illegale stoffer
Figur 5.6.2.1 Kilde: Register for Injicerbar Heroin og Metadon (IHM), Sundhedsdatastyrelsen. Note: Injicering af stoffer er selvrapporteret og angiver,
hvorvidt borgeren har injiceret illegale stoffer i måneden op til indskrivning i tilbuddet om lægeordineret heroin.
Andel med injicering af illegale stoffer ved
opfølgning, patienter i længerevarende
behandling, 2013-2018
32
67
Har injiceret illegale stoffer
Har ikke injiceret illegale stoffer
Figur 5.6.2.2 Kilde: Register for Injicerbar Heroin og Metadon (IHM), Sundhedsdatastyrelsen. Injicering af stoffer er selvrapporteret og angiver, hvorvidt
borgeren har injiceret illegale stoffer ved opfølgning i tilbuddet om lægeordineret heroin.
For gruppen af patienter der er indskrevet i behandlingen igennem længere tid (66), ses
altså er betydeligt fald i antallet af personer der injicerer illegale stoffer, både i forhold til
aktuelle evaluering over årene 2013 til 2018 og den tidligere evaluering over årene 2010
til 2012. Faldet i antal patienter der injicerer er dog betydeligt større i gruppen af patienter
SUU, Alm.del - 2020-21 - Bilag 223: Orientering om evaluering af ordningen med lægeordineret heroin, fra sundhedsministeren
2322586_0043.png
Evaluering af ordningen med lægeordineret heroin til opioidafhængige patienter
Side 43/120
der er indskrevet i længerevarende behandling i 2013 til 2018 end den er for samme
gruppe i evalueringen over årene 2010 til 2012.
Delt injektionsudstyr
Andelen af patienter, der har delt injektionsudstyr med andre personer inden for de sene-
ste 30 dage, ved tidspunktet for indskrivningen ses faldende i opgørelsen over årene
2010 til 2012
(1)
, som funktion af tiden i behandling. Af de 107 patienter der i den tidligere
evaluering var i længerevarende behandling havde 6,3 pct. delt injektionsudstyr med an-
dre ved indskrivningen og alene 2 pct. ved opfølgningen.
Delt injektionsudstyr, alle indkrevne
5
18
77
Har delt
Har ikke delt
Ønsker ikke at oplyse
Figur 5.6.3.1 Kilde: Register for Injicerbar Heroin og Metadon (IHM), Sundhedsdatastyrelsen. Note: Deling af injektionsudstyr er selvrapporteret og
angiver, hvorvidt borgeren har delt injiceringsudstyr ved indskrivningen i tilbuddet om lægeordineret heroin.
I den tilsvarende gruppe af patienter der indgår i længerevarende behandling i løbet af
årene 2013 til 2018, er antallet af de der angiver at have delt injektionsudstyr 30 dage
forud for indskrivning og opfølgning diskretioneret da det er færre patienter end 5 (<5),
hvilket vil sige at imellem 1 og 4 patienter har angivet at have delt injektionsudstyr. Dette
gør sig gældende både ved tidspunktet for indskrivningen, og ved opfølgningen.
SUU, Alm.del - 2020-21 - Bilag 223: Orientering om evaluering af ordningen med lægeordineret heroin, fra sundhedsministeren
2322586_0044.png
Evaluering af ordningen med lægeordineret heroin til opioidafhængige patienter
Side 44/120
Delt injektionsudstyr, patienter i
længerevarende behandling, indskrivning
2013-2018
18
76
Har ikke delt
Ønsker ikke at oplyse
Figur 5.6.3.2 Kilde: Register for Injicerbar Heroin og Metadon (IHM), Sundhedsdatastyrelsen. Note: Deling af injektionsudstyr er selvrapporteret og
angiver, hvorvidt borgeren har delt injiceringsudstyr ved opfølgning i tilbuddet om lægeordineret heroin.
Dog fremgår det af data over årene 2013 til 2018, at 50 angiver ikke at have delt injekti-
onsudstyr, når adspurgt ved indskrivningen og 20 angiver ikke at have delt injektionsud-
styr ved opfølgningen.
Delt injektiionsudstyr, patienter i
længerevarende behandling, opfølgning
2013-2018
30
67
Har ikke delt
Ønsker ikke at oplyse
Figur 5.6.3.3 Kilde: Register for Injicerbar Heroin og Metadon (IHM), Sundhedsdatastyrelsen. Note: Deling af injektionsudstyr er selvrapporteret og
angiver, hvorvidt borgeren har delt injiceringsudstyr ved opfølgning i tilbuddet om lægeordineret heroin.
Som det fremgår af figur 5.6.3.1, oplyser flere patienter ved tidspunktet for indskrivningen
ligeledes, at de ikke ønsker at oplyse om de har delt injektionsudstyr med andre de sene-
ste 30 dage forud for henholdsvis indskrivning og opfølgning. Der ses et fald i antallet af
SUU, Alm.del - 2020-21 - Bilag 223: Orientering om evaluering af ordningen med lægeordineret heroin, fra sundhedsministeren
2322586_0045.png
Evaluering af ordningen med lægeordineret heroin til opioidafhængige patienter
Side 45/120
patienter der oplyser ikke at have delt udstyr og en stigning i antallet af patienter der angi-
ver ikke at ønske at oplyse om de har delt udstyr.
Der ses altså i opgørelsen over årene 2013 til 2018 ikke det samme fald i antallet af per-
soner der angiver at have delt injektionsudstyr, som fremgik mere tydeligt af den tidligere
evaluering.
Penge brugt på rusmidler
Af alle de patienter, der er indskrevet i behandlingen i årene 2013 til 2018 (312), har 305
brugt penge på illegale stoffer, og 109 har brugt penge på alkohol på tidspunktet for ind-
skrivningen.
Antallet af patienter, der bruger penge på stoffer og
alkohol ved indskrivningen, alle patienter 2013-2018
Antal
350
305
300
250
200
150
109
100
50
0
Stoffer
Alkohol
Figur 5.6.4.1 Kilde: Register for Injicerbar Heroin og Metadon (IHM), Sundhedsdatastyrelsen. Note: Patienten angiver selv om de har brugt penge på
rusmidler eller ej i måneden op til indskrivning i heroinbehandlingen. Der er opgjort for unikke personer, hvorfor en patient kan have gjort angivelse i
begge kategorier.
Det gennemsnitlige beløb forbrugt på rusmidler på en måned (30 dage) inden indskriv-
ningen til behandlingen, er 10.562 kr. forbrugt på illegale stoffer og 758 kr. på alkohol.
For patienter der indgår i længerevarende behandling er beløbene forbrugt på illegale
stoffer 8.991 kr. ved indskrivningen og 2.528 kr. ved opfølgningen. For alkohol er de gen-
nemsnitlige beløb for samme patientgruppe henholdsvis 578 kr. ved indskrivningen og
689 kr. ved opfølgningen.
SUU, Alm.del - 2020-21 - Bilag 223: Orientering om evaluering af ordningen med lægeordineret heroin, fra sundhedsministeren
2322586_0046.png
Evaluering af ordningen med lægeordineret heroin til opioidafhængige patienter
Side 46/120
Beløb brugt på stoffer og alkohol, patienter i
længerevarende behandling, 2013-2018
Kr.
10.000
9.000
8.000
7.000
6.000
5.000
4.000
3.000
2.000
1.000
0
8.991
2.528
578
689
Indskrivning
Stoffer
Alkohol
Opfølgning
Figur 5.6.4.2 Kilde: Register for Injicerbar Heroin og Metadon (IHM), Sundhedsdatastyrelsen. Note: Beløbet er selvrapporteret og angiver, hvor mange
penge patienten har brugt på hhv. illegale rusmidler og/eller ikke-ordinerede lægemidler og alkohol måneden inden indskrivning i heroinbehandlingen.
109 personer har brugt penge på alkohol og 305 har brugt penge på illegale rusmidler og/eller ikke-ordinerede lægemidler.
Sammenlignes ovenstående med evalueringen over ordningens første år fremgår det, at
forbruget af penge på illegale stoffer og alkohol for gruppen af patienter der indgik i læn-
gerevarende behandling var 7.501 på tidspunktet for indskrivningen, mens det ved op-
følgningen er 2.071 (figur 5.6.4.3).
Kr.
10.000
9.000
8.000
7.000
6.000
5.000
4.000
3.000
2.000
1.000
0
Beløb brugt på stoffer i aktuelle evaluering
sammenlignet med tidligere evaluering
8.991
7.501
2.528
2.071
Indskrivning
Aktuelle eval.
tidligere eval.
Opfølgning
Figur 5.6.4.3 Kilde: Register for Injicerbar Heroin og Metadon (IHM), Sundhedsdatastyrelsen. Note: Beløbet er selvrapporteret og angiver, hvor mange
penge patienten har brugt på hhv. illegale rusmidler og/eller ikke-ordinerede lægemidler og alkohol måneden inden indskrivning i heroinbehandlingen.
109 personer har brugt penge på alkohol og 305 har brugt penge på illegale rusmidler og/eller ikke-ordinerede lægemidler.
SUU, Alm.del - 2020-21 - Bilag 223: Orientering om evaluering af ordningen med lægeordineret heroin, fra sundhedsministeren
2322586_0047.png
Evaluering af ordningen med lægeordineret heroin til opioidafhængige patienter
Side 47/120
Dermed ses altså i ordningens første år en tilsvarende reduktion i forhold til hvor mange
penge der bruges på alkohol og stoffer ved opfølgningen efter længere tids behandling
med diacetylmorphin.
Som det fremgår af figur 5.6.4.3, ses den største forandring i forhold til nedsat forbrug i
de senere år, og data over årene 2013 til 2018.
Illegale aktivitet
Ved tidspunktet for indskrivningen angav 129 patienter at have været involveret i illegale
aktiviteter den seneste måned. 183 af patienterne angav ikke at have været involveret i
illegale aktiviteter.
Det gennemsnitlige antal af dage med illegale aktiviteter er ved indskrivningen angivet til
16, hvilket er ens for alle der angiver at have været involveret i illegale aktiviteter, både
de der indgår i den samlede gruppe af patienter og når der alene ses på gruppen af pati-
enter der er indskrevet i længerevarende behandling.
For gruppen af de 66 patienter der indgår i længerevarende behandling ses et fald i det
gennemsnitlige antal dage med illegale aktiviteter fra 16 ved indskrivningen til 14 ved op-
følgningen.
Det gennemsnitlige antal dage, patienterne i længerevarende behandling angiver at have
været involveret i illegale aktiviteter er steget siden sidste opgørelse over årene 2010 til
2012, hvor det gennemsnitlige antal dage 4,8 ved indskrivningen og 2,0 ved opfølgnin-
gen. For den samlede gruppe af patienter indskrevet i årene 2010 til 2012 var det gen-
nemsnitlige antal 6,8 dage med illegale aktiviteter (i den tidligere rapport betegnet
krimi-
nel adfærd).
SUU, Alm.del - 2020-21 - Bilag 223: Orientering om evaluering af ordningen med lægeordineret heroin, fra sundhedsministeren
2322586_0048.png
Evaluering af ordningen med lægeordineret heroin til opioidafhængige patienter
Side 48/120
Dage med illegale aktivieteter den seneste måned,
ved indskrivning og opfølgning for patienter i
længerevarende behandling, sammenligning af
aktuelle og tidligere evaluering
20
16
15
10
5
0
Indskrivning
Aktuelle eval.
5
14
2
Opfølgning
Tidligere eval.
Figur 5.6.5.1 Kilde: Register for Injicerbar Heroin og Metadon (IHM), Sundhedsdatastyrelsen. Note: Information om antal dage med illegal aktivitet er
selvrapporteret og angiver antal dage med involvering i illegale aktiviteter måneden inden indskrivning i tilbuddet om lægeordineret heroin.
Der findes en betydeligt stigning i antallet af dage, patienter der indskrives i behandlingen
med diacetylmorphin rapporterer sig med illegale aktiviteter, siden seneste opgørelse
over ordningens første år.
Dog ses fortsat et fald i antallet af dage med illegale aktiviteter som funktion af tid i be-
handling.
5.7. Fysiske og psykiske sygdomme ved indskrivning og opfølgning
Ved tidspunktet for indskrivningen til behandlingen med lægeordineret heroin, udfører
den behandlende læge en helbredsmæssig undersøgelse af patienterne der lader sig
indskrive i tilbuddet.
Undersøgelsen består blandt andet af en samtale med patienten, anamnesen, samt en
lægelig objektiv undersøgelse.
Forholdene omkring lægesamtale og undersøgelse i forbindelse med indskrivning til sub-
stitutionsbehandlingstilbuddet
fremgår af vejledningen til behandlingen samt af ”vejled-
ning til læger der behandler opioidafhængige patienter med substitutionsmedicin”
(12)
.
Gruppen af patienter der indgår i behandlingen med substitutionsmedicin lider ofte af an-
dre sygdomme end alene en rusmiddelafhængighed, som eksempelvis sygdomme i luft-
veje, nyrer, lever eller hjerte. Gruppen af patienter betragtes som særligt sårbar, og føl-
ges derfor også nøje i forbindelse med disse sygdomme samt den række af sygdomme
SUU, Alm.del - 2020-21 - Bilag 223: Orientering om evaluering af ordningen med lægeordineret heroin, fra sundhedsministeren
2322586_0049.png
Evaluering af ordningen med lægeordineret heroin til opioidafhængige patienter
Side 49/120
der måtte relatere sig det injektionsforbrug (se afsnit 5.7.1).
Direkte injektionsrelaterede sygdomme
I forbindelse med både indskrivning og opfølgninger, vil lægen der undersøger patienten
notere eventuelle positive fund i patientens elektroniske journal. Det vurderes ved denne
undersøgelse også af lægen, om de somatiske sygdomme patienten måtte lide af, di-
rekte relaterer sig til injektionsforbruget af stoffer. Det er i opgørelsen muligt for en pati-
ent, at have mere end en diagnose. I følgende afsnit er der derfor ikke tale om unikke
personer.
På tidspunktet for indskrivningen findes 50 pct. af alle de indskrevne med virale infekti-
onssygdomme, der kan direkte relateres til injektionsforbruget. I alt drejer dette sig om
155 patienter.
193 af patienterne (62 pct.) er diagnosticeret med karskade relateret til injektionsforbru-
get og 50 patienter (16 pct.) er med lokale infektioner, og 49 patienter (16 pct.) er med
systemisk bakteriel infektion, ved tidspunktet for indskrivningen.
Direkte injektionsrelaterede sygdomme, ved
indskrivning, alle patienter 2013-2018
9 16
16
50
62
2
Lokale infektioner
Karskade
Virale infektioner
Systemiske bakterielle infektioner
Nerveskade
Andet
Figur 5.7.1.1 Kilde: Register for Injicerbar Heroin og Metadon (IHM), Sundhedsdatastyrelsen. Note: Ved indskrivning i tilbuddet om lægeordineret hero-
inbehandling vurderer en læge om personen har fysiske sygdomme, der er direkte relateret til injektionsmisbruget. Det er muligt for borgere at have
mere end en diagnose.
For andelen af patienter, der indgår i længerevarende behandling, fordeler sygdommene
der relaterer sig til injektionsforbruget sig anderledes, idet ikke nær så mange frembyder
med sygdommene hos denne gruppe af patienter. Her frembyder 44 pct. med virale in-
fektioner relateret til injektionsforbruget, mens 11 pct. er med lokale infektioner og 8 pct.
med systemiske bakterieller infektioner. Færre end
5 patienter findes med ”nerveskade”
SUU, Alm.del - 2020-21 - Bilag 223: Orientering om evaluering af ordningen med lægeordineret heroin, fra sundhedsministeren
2322586_0050.png
Evaluering af ordningen med lægeordineret heroin til opioidafhængige patienter
Side 50/120
eller
i kategorien ”andet”. 26 pct. er på tidspunktet for indskrivningen med karskade rela-
teret til injektionsforbruget.
På tidspunktet for opfølgningen af behandlingen ses ingen ændring i disse forhold. Dette
kan have sin begrundelse i, at diagnosen ikke slettes men nok snarere følger patienten
igennem hele indskrivningen i behandlingstilbuddet. Andre diagnoser og sygdomme er
kroniske, og vil derfor ikke ændres som funktion af varighed af behandling med dia-
cetylmorphin.
Direkte injektionsrelaterede sygdomme ved
indskrivning, patienter i længerevarende
behandling 2013-2018
11
8
44
26
Lokale infektioner
Karskade
Systemiske bakterielle infektioner
Virale infektioner
Figur 5.7.1.2. Kilde: Register for Injicerbar Heroin og Metadon (IHM), Sundhedsdatastyrelsen. Note: Ved opfølgning i tilbuddet om lægeordineret hero-
inbehandling vurderer en læge om personen har fysiske sygdomme, der er direkte relateret til injektionsmisbruget. Det er muligt for borgere at have
mere end en diagnose.
Der ses en udvikling i forekomsten af injektionsrelaterede sygdomme fra den seneste
evaluering over årene 2010 til 2012 til de nyere data fra 2013 til 2018.
Andelen af patienter som frembød med virale infektioner relateret til injektionsforbruget
var således 64 pct. for alle patienterne ved indskrivningen og 70 pct. for de der indgik i
længerevarende behandling i 2010-2012. Ved opfølgningen fandtes for alle indskrevne
fortsat 70 pct. med virale infektioner relateret injektionsforbruget hvorimod der fandtes en
mindre stigning i antal hos den del af patienterne, der indgik i længerevarende behand-
ling (65 pct.).
Dette adskiller sig fra nu, hvor det fremgår, at 50 pct. af alle indskrevne mod 44 pct. i
gruppen af patienter der er indskrevet længerevarende i behandlingen, er diagnosticeret
med virale infektioner på tidspunktet for indskrivningen til behandlingen med dia-
cetylmorphin.
Der er altså sket et fald i antallet af patienter der indskrives og som lider af en viral infek-
tion, som direkte relaterer sig et injektionsforbrug af stoffer, siden den seneste opgørelse
SUU, Alm.del - 2020-21 - Bilag 223: Orientering om evaluering af ordningen med lægeordineret heroin, fra sundhedsministeren
2322586_0051.png
Evaluering af ordningen med lægeordineret heroin til opioidafhængige patienter
Side 51/120
over behandlingsformen, i 2013.
Andel af injektionsrelaterede virale
infektioner, sammenligning af tidligere og
aktuelle evaluering
80
70
60
50
40
30
20
10
0
70
64
50
44
Indskrivning
Aktuelle eval.
Opfølgning
Tidligere eval.
Figur 5.7.1.3 Kilde: Register for Injicerbar Heroin og Metadon (IHM), Sundhedsdatastyrelsen. Note: En læge vurderer ved indskrivning i heroinbehand-
lingen, om personen har fysiske sygdomme, der ikke er relateret til injektionsmisbruget. Det er muligt for borgere at have mere end en diagnose.
Fordelingen af de virale infektioner ved indskrivning og opfølgning
Fordelingen af virale infektioner ved indskrivning og opfølgning viser, at langt de fleste af
de der diagnosticeres med en viral infektion er inficeret med kronisk hepatitis c.
Af andelen af samtlige indskrevne patienter der på tidspunktet for indskrivningen fandtes
at lide af en viral infektion (n=155) var 95 pct. med kronisk hepatitis c, svarende til i alt
148 patienter. I hver af de andre kategorier (akut hepatitis c, hepatitis B HIV og andet)
fandtes færre end 5 patienter (<5, diskretionering) diagnosticeret.
For patienter i længerevarende behandling, og som samtidig var diagnosticeret med en
viral infektion (29) blev de 27 patienter fundet at lide af en kronisk hepatitis C, på tids-
punktet for indskrivning. Samme antal blev fundet ved opfølgning. Ingen fandtes med he-
patitis B og mindre end 5 (<5, diskretionering) blev fundet at lide af henholdsvis akut he-
patitis C og HIV.
SUU, Alm.del - 2020-21 - Bilag 223: Orientering om evaluering af ordningen med lægeordineret heroin, fra sundhedsministeren
2322586_0052.png
Evaluering af ordningen med lægeordineret heroin til opioidafhængige patienter
Side 52/120
Ikke-injektionsrelaterede somatiske sygdomme
Personer med en rusmiddelrelateret lidelse har ofte andre somatiske lidelser i lunger, ny-
rer, lever eller hjerte.
Gruppen af patienter er derfor præget af et komplekst sygdoms- og symptombillede. Of-
test lider patienterne af kroniske lungesygdomme som KOL og astma, og af mangelsyg-
domme som D-vitamin mangel og jernmangel.
Årsagen til at sygdomsbilledet ser ud som det gør, findes ofte i patienternes livsstil, vilkår
og levevej, der kan være meget kompliceret grundet ringe levevilkår og fejl- eller underer-
næring som komplikation til blandt andet socioøkonomiske forhold og rusmiddellidelsen (
se afsnit 5.5.1, boligforhold).
Patienterne kan i perioder leve under boligforhold af lav standard. Hvis patienten er helt
uden bolig, kan dette lede til ringe eller ingen adgang hygiejnefaciliteter. Dette gør grup-
pen af patienter mere sårbar overfor at kunne blive smittet med sygdomme som er forår-
saget af vira eller bakterier.
De hyppigste ikke-injektionsrelaterede somatiske
sygdommegrupper, alle indskrevne 2013-2018
Andre ikke-injektionsrelaterede somatiske
sygdomme
Andre former for hjertesygdom
Episodiske og anfaldsvise lidelser
Artropatier
Rygsygdomme
Kroniske sygdomme i nedre luftveje
Andre ernæringsbetingede mangeltilstande
-
20
40
14
136
17
24
27
40
47
60
80
100
120
140
160
Figur 5.7.3.1 Kilde: Register for Injicerbar Heroin og Metadon (IHM), Sundhedsdatastyrelsen. Note: En læge vurderer ved indskrivning i heroinbehand-
lingen, om personen har fysiske sygdomme, der ikke er relateret til injektionsmisbruget. Det er muligt for borgere at have mere end en diagnose.
Som det fremgår af figur 5.7.3.1, er den hyppigste ikke-injektionsrelaterede sygdoms-
gruppe for alle indskrevne patienter i årene 2013 til 2018
(fraset gruppen af ’andre
ikke-
SUU, Alm.del - 2020-21 - Bilag 223: Orientering om evaluering af ordningen med lægeordineret heroin, fra sundhedsministeren
Evaluering af ordningen med lægeordineret heroin til opioidafhængige patienter
Side 53/120
injektionsrelaterede somatiske sygdomme’) gruppen af sygdomme betegnet
’Andre
er-
næringsbetingede mangeltilstande’ (i alt 47 personer ud af 282, svarende til 15 pct.).
Dette fund stemmer overnes med den viden vi har om målgruppen til behandlingen, og
som også fremgår af seneste evaluering publiceret i 2013, netop at patienterne indskre-
vet i behandlingstilbuddet med lægeordineret heroin ofte er under- eller fejlernærede,
som funktion af rusmiddellidelsen og livsforhold.
40 patienter er beskrevet med kroniske sygdomme i nedre luftveje
6
svarende til at 13 pct.
af alle indskrevne patienter er diagnosticeret med en lungesygdom der falder indenfor
denne kategori. Rygsygdomme ses hos 27 patienter, svarende til 9 pct., og artropatier
hos 24 patienter, svarende til 8 pct. Hjertesygdom ses hos i alt 14 patienter (4 pct.).
Gruppen af ikke-injektionsrelaterede sygdomme benævnt
episodiske og anfaldsvise lidel-
ser,
dækker bredt over en gruppe af lidelser der strækker sig fra anfaldssygdomme som
epilepsi, hovedpinelidelser som migræne og Hortons hovedpine, vaskulære lidelser som
transitorisk cerebral iskæmi til søvnforstyrrelser. I alt er 17 patienter ud af det totale antal
patienter på 282, der er diagnosticeret med somatisk lidelse der ikke relaterer sig injekti-
onsforbrug, diagnosticeret i denne gruppe, svarende til 5 pct.
For andelen af patienter der indgår i længerevarende behandling, fordeler sygdommene
sig lidt anderledes. Her findes, af de i alt 26 patienter der indgår i længerevarende be-
handling og som ved indskrivning og opfølgning diagnosticeres med en somatisk lidelse
der ikke relaterer sig et injektionsforbrug af stoffer, at 19 pct. diagnosticeres inden for
gruppen af sygdomme
’kroniske
sygdomme nedre luftveje’. Ved opfølgningen er 8 pct.
med lidelse der hører under denne gruppe af sygdomme.
Andelen af patienter der indgår i et længerevarende behandlingsforløb og som ved ind-
skrivning og opfølgning findes med sygdom i gruppen
’Rygsygdomme’
findes større end i
den gruppen af alle indskrevne patienter. Således er 12 pct. ved indskrivningen i gruppen
af patienter i længerevarende behandling mod 13 pct. i gruppen af alle indskrevne patien-
ter, diagnosticeret indenfor denne sygdomsgruppe. Ved opfølgningen findes 17 pct. af
patienterne i længerevarende behandling med lidelse der hører under sygdomsgruppen
’Rygsygdomme’.
6
kroniske sygdomme i nedre luftveje
heriblandt indgår alle diagnoser der er kodet inden for koderne DJ40-DJ47, og dækker over
de ofte rusmiddelrelaterede sygdomskoder som KOL og astma
SUU, Alm.del - 2020-21 - Bilag 223: Orientering om evaluering af ordningen med lægeordineret heroin, fra sundhedsministeren
2322586_0054.png
Evaluering af ordningen med lægeordineret heroin til opioidafhængige patienter
Side 54/120
25
20
15
10
5
0
Andelen af patienter med ikke-
injektionsrelaterede somatiske sygdomme ved
indskrivningen, pct. af alle indskrevne
Tidligere opgørelse
Aktuelle opgørelse
Figur 5.7.3.2 Kilde: Register for Injicerbar Heroin og Metadon (IHM), Sundhedsdatastyrelsen. Note: En læge vurderer ved indskrivning i heroinbehand-
lingen, om personen har fysiske sygdomme, der ikke er relateret til injektionsmisbruget. Det er muligt for borgere at have mere end en diagnose.
Som det fremgår af figur 5.7.3.2., findes der generelt færre indskrevne patienter i aktuelle
opgørelse, der lider af lunge- , mangel- og hjertesygdomme, end det er tilfældet i tidligere
evaluering af ordningen med lægeordineret heroin. Omvendt findes der i aktuelle evalue-
ring flere patienter med lidelser inden for gruppen af gigt- og rygsygdomme.
Antal
20
18
16
14
12
10
8
6
4
2
0
Udviklingen i fordelingen på sygdomsgrupperne,
for patienter i længerevarende behandling
19
17
14
12
Indskrivning
Lungesygdomme
opfølgning
Mangelsygdomme
Figur 5.7.3.3 Kilde: Register for Injicerbar Heroin og Metadon (IHM), Sundhedsdatastyrelsen. Note: En læge vurderer ved indskrivning i heroinbehand-
lingen, om personen har fysiske sygdomme, der ikke er relateret til injektionsmisbruget. Det er muligt for borgere at have mere end en diagnose.
SUU, Alm.del - 2020-21 - Bilag 223: Orientering om evaluering af ordningen med lægeordineret heroin, fra sundhedsministeren
2322586_0055.png
Evaluering af ordningen med lægeordineret heroin til opioidafhængige patienter
Side 55/120
Data der synliggør udviklingen i det samlede sygdomsbillede for de patienter der indgår i
længerevarende behandlingsforløb er alene tydelige for 2 større sygdomsgrupper (se fi-
gur 5.7.3.3) og en samlet gruppe af ikke-injektionsrelaterede somatiske sygdomme. De
øvrige angivelser i sygdomsgrupperne er alle diskretionerede og angivet som færre end
5 (<5), hvorfor der ikke kan beskrives en udvikling for de resterende sygdomsgrupper.
Som det også illustreres i figur 5.7.3.3., findes flere patienter med lungesygdomme ved
indskrivningen, end det er tilfældet ved opfølgningen, hvor det modsatte gør sig gæl-
dende for mangelsygdommene.
Indskrevne i behandlingen med lægeordineret heroin og psykiske lidelser
Patienter der lider af en rusmiddelrelateret lidelse lider i langt højere grad end baggrunds-
befolkningen også af en samtidig psykisk lidelse. Således blev det opgjort i 2018 i rap-
porten ”Socialt udsatte borgeres brug af velfærdssystemet, 2018” publiceret af Det natio-
nale forsknings- og analysecenter for velfærd, VIVE, at 49 pct. at mænd med stofforbrug
samtidig lider af en psykisk lidelse af enten moderat (38 pct.) eller svær (22 pct.) karakter.
Der er tale om ikke-unikke personer, og patienterne kan derved registreres med flere di-
agnoser. For kvinder viser andelen af de der har et stofforbrug og en samtidig psykisk li-
delse sig at være noget højere end det er for mænd (64 pct.)
(13)
.
Antallet af personer der indgår i behandlingen med lægeordineret heroin og er registreret
med en eller flere psykiatriske diagnoser er 218. Hermed er altså 69,9 pct. af alle der la-
der sig indskrive i behandlingstilbuddet i årene 2013-2018 (312) registreret med en eller
flere psykiske lidelser.
SUU, Alm.del - 2020-21 - Bilag 223: Orientering om evaluering af ordningen med lægeordineret heroin, fra sundhedsministeren
2322586_0056.png
Evaluering af ordningen med lægeordineret heroin til opioidafhængige patienter
Side 56/120
Antal
100
80
60
40
20
0
Antallet af psykiske diagnoser, opdelt på de 218
indskrevne, der er registreret med en eller flere psykiske
lidelser, 2013-2018
83
48
28
32
17
10
1 diagnose 2 diagnoser 3 diagnoser 4 diagnoser 5 diagnoser 6 diagnoser
eller derover
1 diagnose
4 diagnoser
2 diagnoser
5 diagnoser
3 diagnoser
6 diagnoser eller derover
Figur 5.7.4.1 Kilde: Register for Injicerbar Heroin og Metadon (IHM), Sundhedsdatastyrelsen. Note: En læge vurderer ved indskrivning i heroinbehand-
lingen om personen udover opiodmisbrug også har en behandlingskrævende psykiatrisk tilstand. Fordelingen af antallet af behandlingskrævende psy-
kiske lidelser på de i alt 218patienter, der er registreret med en eller flere psykiske lidelser på tidspunktet for indskirvningen til tilbuddet med lægeordi-
neret heroin.
Som det fremgår af figur 5.7.4.1, er langt de fleste af de i alt 218 patienter der bliver ind-
skrevet i behandlingen med diacetylmorphin og samtidigt er registreret med en behand-
lingskrævende psykisk lidelse, alene registreret med én psykisk lidelse (83 patienter sva-
rende til 27 pct. af alle indskrevne patienter). Andelen af patienter der er registreret med 2
psykiske lidelser udgør 15 pct.(48), med 3 diagnoser 9 pct. (28), med 4 diagnoser 10 pct.
(32), med 5 diagnoser 5 pct. (17) og med 6 diagnoser eller mere er 3 pct. svarende til 10
patienter registreret.
For gruppen af patienter der indgår i længerevarende behandling (66) er de 31 svarende
til 47 pct. registreret med alene én psykisk lidelse. Dette lader ikke til at ændre sig som
funktion af behandlingsvarigheden, og forbliver dermed det samme fund ved opfølgnin-
gen. Se figur 5.7.4.2 nedenfor.
SUU, Alm.del - 2020-21 - Bilag 223: Orientering om evaluering af ordningen med lægeordineret heroin, fra sundhedsministeren
2322586_0057.png
Evaluering af ordningen med lægeordineret heroin til opioidafhængige patienter
Side 57/120
Antal
35
30
25
20
15
10
5
0
Antal psykiske diagnoser for patienter
indskrevet i længerevarende behandling,
2013-2018
31
31
Ved indskrivning
Ved opfølgning
Figur 5.7.4.2 Kilde: Register for Injicerbar Heroin og Metadon (IHM), Sundhedsdatastyrelsen. Note: En læge vurderer ved indskrivning i heroinbehand-
lingen om personen udover opiodmisbrug også har en behandlingskrævende psykiatrisk tilstand.
Ved opgørelsen af psykisk komorbiditet i den tidligere evaluering over årene 2010 til
2012 fandt man, at 40,5 pct. af samtlige indskrevne patienter (102 af de i alt 252 patien-
ter) led af en samtidig behandlingskrævende psykisk lidelse, på datoen for indskrivningen
til tilbuddet. Der var altså færre diagnosticeret med psykisk komorbiditet ved tidspunktet
for indskrivningen i 2010 til 2012.
Andelen af personer indskrevet i behandling, med samtidig psykisk lidelse var i 2010 til
2012 også noget lavere for de patienter der indgik i et længerevarende behandlingsfor-
løb, således var 32,7 pct. i denne gruppe ved tidspunktet for indskrivningen diagnostice-
ret med en eller flere behandlingskrævende psykiske lidelser. Samtidig fandtes, at pro-
centandelen steg, som funktion af tiden for behandlingsforløbet til 35,5 pct. ved første op-
følgning og 42,1 pct. ved anden opfølgning.
De hyppigste psykiske lidelser hos patienter er diagnosticeret med en psy-
kisk lidelse
Af de 218 personer der ved indskrivningen er diagnosticeret med en eller flere behand-
lingskrævende psykiske lidelser, lider en stor del af patienterne af adfærdsmæssige for-
styrrelser forårsaget af forbruget af opioider ( 33 pct.) cannabis (23 pct.), sedativa eller
hypnotika (22 pct.), kokain (13 pct.) eller alkohol (11 pct.) (se figur 5.7.5.1 nedenfor).
SUU, Alm.del - 2020-21 - Bilag 223: Orientering om evaluering af ordningen med lægeordineret heroin, fra sundhedsministeren
2322586_0058.png
Evaluering af ordningen med lægeordineret heroin til opioidafhængige patienter
Side 58/120
De hyppigste psykiske diagnoser ved
indskrivningen, alle patienter 2013-2018
Antal personer med psykiatrisk diagnose
218
Andre psykiatriske sygdomme
Adfærds- og følelsesmæssige forstyrrelser
sædvanligvis opstået i barndom eller
adolescens
Psykiske lidelser og adfærdsmæssige
forstyrrelser forårsaget af brug af alkohol
Psykiske lidelser og adfærdsmæssige
forstyrrelser forårsaget af brug af kokain
Forstyrrelser i personlighedsstruktur og
adfærd i voksenalderen
Nervøse og stress-relaterede tilstande
samt tilstande med psykisk betingede
legemlige symptomer
Psykiske lidelser og adfærdsmæssige
forstyrrelser forårsaget af brug af sedativa
eller hypnotika
Psykiske lidelser og adfærdsmæssige
forstyrrelser forårsaget af brug af cannabis
Psykiske lidelser og adfærdsmæssige
forstyrrelser forårsaget af brug af opioider
-
50
89
29
33
39
46
54
70
73
103
100
150
200
250
Figur 5.7.4.3 Kilde: Register for Injicerbar Heroin og Metadon (IHM), Sundhedsdatastyrelsen. Note: En læge vurderer ved indskrivning i heroinbehand-
lingen om personen udover opiodmisbrug også har en behandlingskrævende psykiatrisk tilstand.
Af de sygdomme der er hyppigst forekomne i den samlede patientgruppe, men som ikke
direkte relaterer sig rusmiddelforbruget, findes 17 pct. (54) diagnosticeret med nervøse
og stress-relaterede tilstande med psykisk betingede legemlige symptomer, 15 pct. (46)
med forstyrrelser i personlighedsstruktur og adfærd i voksenalderen og 9 pct. (29) med
adfærds- og følelsesmæssige forstyrrelser sædvanligvis opstået i barndommen eller ado-
lescens.
SUU, Alm.del - 2020-21 - Bilag 223: Orientering om evaluering af ordningen med lægeordineret heroin, fra sundhedsministeren
2322586_0059.png
Evaluering af ordningen med lægeordineret heroin til opioidafhængige patienter
Side 59/120
5.8. Selvvurderet helbred
Som en del af indberetningen til IHM-databasen, registreres patientens egen vurdering af
fysisk og psykisk helbred
(8)
. For hver helbredsfunktion beregnes en score, når indtast-
ning af besvarelserne til samtlige spørgsmål er gjort. Scoren angives på en skala fra 0 til
1, hvor 0 er dårligst og 1 er bedst.
Ændringer i forhold til selvvurderet helbred imellem første evaluering (2010-2012) og ak-
tuelle evaluering (2013-2018) skal tages med flere forbehold: dels er der ved den første
evaluering ikke nærmere defineret hvornår en første og en anden opfølgning sker, lige-
som det vides, at der i flere tilfælde sker opfølgning med længere interval end de forven-
tede 6 måneder imellem. Dels vil ændringer på 0,1 imellem første og anden opfølgning
kun være signifikante for nogle værdier. Der skal et vist patientgrundlag til for at styrken
af scoren er statistisk signifikant.
Til sammenligning i tabellerne både i den tidligere evaluering af ordningen med lægeordi-
neret heroin og aktuelle evaluering, er benyttet kendte værdier fra den danske befolkning
på samme udvalgte områder. Disse værdier er dog ældre, idet undersøgelsen på samme
område seneste er foretaget i 2005. Derfor finder vi det i aktuelle evaluering bedst, alene
at sammenholde data for henholdsvis den tidligere evaluering og den aktuelle.
SF-36 score for personer indskrevet i heroinbehandling ved
indskrivning, 2013-2018
Alle indskrevne
Fysisk funktion
Fysisk betingede begrænsninger
Fysisk smerte
Alment helbred
Energi
Social funktion
Psykisk betingede begrænsninger
Psykisk velbefindende
0,81
0,62
0,61
0,53
0,36
0,54
0,52
0,51
Tabel 5.8.1 Kilde: Register for Injicerbar Heroin og Metadon (IHM), Sundhedsdatastyrelsen. Note: Helbredstilstand er selvvurderet og angiver fysiske
og psykiske helbredstilstand målt ved SF36-spørgeskema ved indskrivning i heroinbehandlingen. SF-36 spørgeskemaet giver en måling af personens
generelle helbredsstatus ved dels at spørge ind til personens selvvurderede helbred og dels at spørge ind til faktorer, der kan måle både fysisk, social
og psykisk funktionsevne. For hver helbredsfunktion beregner IT-systemet automatisk en score, efter indtastning af samtlige spørgsmål. Scoren angi-
ves på en 0-1 skala, hvor 0 er dårligst og 1 er bedst.
De personer der lader sig indskrive i behandling med lægeordineret heroin i årene 2013-
2018 registreres med ringere selvvurderet helbred end angivet for tidligere opgørelse
over årene 2010-2012. Dette gør sig gældende på alle de i tabellen givne parametre, fra-
set
’fysisk
betingede begrænsninger’, der er uændret på 0,62.
Det samme gør sig gældende for de patienter, der indgår i længerevarende behandling
SUU, Alm.del - 2020-21 - Bilag 223: Orientering om evaluering af ordningen med lægeordineret heroin, fra sundhedsministeren
2322586_0060.png
Evaluering af ordningen med lægeordineret heroin til opioidafhængige patienter
Side 60/120
(66) på samtlige af alle målepunkter fraset
’fysisk
funktion’ og
’alment
helbred’.
For de patienter der indgår i længerevarende behandling findes, at der sker en signifikant
forbedring af det selvvurderede helbred på 6 ud af 8 parametre, som funktion af tiden fra
indskrivning til opfølgning (tabel 5.8.2).
SF-36 score for personer i længerevarende heroinbehandling hhv. ved ind-
skrivning og opfølgning, 2013-2018
Ved indskrivning
Fysisk funktion
Fysisk betingede begrænsninger
Fysisk smerte
Alment helbred
Energi
Social funktion
Psykisk betingede begrænsninger
Psykisk velbefindende
0,84
0,54
0,62
0,55
0,38
0,55
0,41
0,51
Ved opfølgning
0,81
0,73
0,66
0,53
0,42
0,62
0,55
0,57
Kilde: Register for Injicer bar Heroin og Metadon (IHM), Sundhedsdatastyrelsen. Note: Helbredstilstand er selvvurderet og angiver fysiske og psykiske
helbredstilstand målt ved SF36-spørgeskema ved indskrivning og opfølgning i heroinbehandlingen. SF-36 spørgeskemaet giver en måling af perso-
nens generelle helbredsstatus ved dels at spørge ind til personens selvvurderede helbred og dels at spørge ind til faktorer, der kan måle både fysisk,
social og psykisk funktionsevne. For hver helbredsfunktion beregner IT-systemet automatisk en score, efter indtastning af samtlige spørgsmål. Scoren
angives på en 0-1 skala, hvor 0 er dårligst og 1 er bedst.
Sammenlignes data for gruppen af patienter indskrevet i heroinbehandlingen med data
fra den generelle befolkning (2005) som det blev gjort i seneste evaluering over ordnin-
gen med lægeordineret heroin findes, at patienterne både ved indskrivning og opfølgning
er med ringere selvvurderet helbred.
SUU, Alm.del - 2020-21 - Bilag 223: Orientering om evaluering af ordningen med lægeordineret heroin, fra sundhedsministeren
2322586_0061.png
Evaluering af ordningen med lægeordineret heroin til opioidafhængige patienter
Side 61/120
Selvvurderet helbred baggrundsbefolkning 2005 sammenholdt
med patienter i heroinbehandling 2013-2018
Psysisk velbefindende
Psykisk betingede begrænsninger
Social funktion
Energi
Alment helbred
Fysisk smerte
Fysisk betingede begrænsninger
Fysisk funktion
-
Baggrund
Ved opfølgning
0,20
0,40
0,60
0,80
Ved indskrivning alle
1,00
Ved indskrivning, længerevarende
Figur 5.8.1 Kilde: Register for Injicer bar Heroin og Metadon (IHM), Sundhedsdatastyrelsen. Note: Helbredstilstand er selvvurderet og angiver fysiske
og psykiske helbredstilstand målt ved SF36-spørgeskema ved indskrivning og opfølgning i heroinbehandlingen. SF-36 spørgeskemaet giver en måling
af personens generelle helbredsstatus ved dels at spørge ind til personens selvvurderede helbred og dels at spørge ind til faktorer, der kan måle både
fysisk, social og psykisk funktionsevne. For hver helbredsfunktion beregner IT-systemet automatisk en score, efter indtastning af samtlige spørgsmål.
Scoren angives på en 0-1 skala, hvor 0 er dårligst og 1 er bedst.
Da der ikke er gjort en opfølgning siden 2005 i forhold til baggrundsbefolkningens selv-
vurderede helbred på sammenlignelige målepunkter, vil sammenligning imellem de 2 må-
linger skulle gøres med forbehold for, at baggrundsbefolkningens selvvurderede helbred
måtte have ændret sig i tilsvarende negativ retning, som det ses imellem de to målinger
at være sket for patienterne der lader sig indskrive i behandling med lægeordineret he-
roin i henholdsvis 2010-2012 og 2013-2018.
I den tidligere undersøgelse blev resultaterne af SF-36 opgjort på de otte forskellige må-
lepunkter, der er angivet i tabeller og figurer ovenfor. Da den seneste befolkningsunder-
søgelse, der eksisterer med alle otte områder er fra 2005, har vi i denne evaluering valgt
at udvælge det mest centrale mål, selvvurderet
helbred ”hvordan
synes du dit helbred er i
alt”
. Dette mål kan holdes op mod befolkningsundersøgelsen Den Nationale Sundheds-
profil, som foretages hvert fjerde år af Statens Institut for Folkesundhed (SIF), hvor den
seneste er fra 2017.
SUU, Alm.del - 2020-21 - Bilag 223: Orientering om evaluering af ordningen med lægeordineret heroin, fra sundhedsministeren
2322586_0062.png
Evaluering af ordningen med lægeordineret heroin til opioidafhængige patienter
Side 62/120
Selvvurderet helbred for personer indskrevet i heroinbehandling
ved indskrivning, 2013-2018
”Hvordan synes du dit helbred er i alt”?
Alle indskrevne
Antal
Fremragende, vældig godt eller
godt helbred
142
Generelle be-
folkning
Pct.
47
Pct.
83
Tabel 5.8.3 Kilde: Register for Injicerbar Heroin og Metadon (IHM), Sundhedsdatastyrelsen. Note: Helbredstilstand er selvvurderet og angiver fysiske
og psykiske helbredstilstand målt ved SF36-spørgeskema ved indskrivning i heroinbehandlingen. SF-36 spørgeskemaet giver en måling af personens
generelle helbredsstatus ved dels at spørge ind til personens selvvurderede helbred og dels at spørge ind til faktorer, der kan måle både fysisk, social
og psykisk funktionsevne. I denne opgørelse anvendes spørgsmålet ”Hvordan synes du dit helbred er i alt?” Svarkategorierne er ”Fremragende (5)”,
”Vældig godt (4)”, ”Godt (3)”, ”Mindre godt (2)”, og ”Dårligt (1)”. I opgørelsen ses på andelen, der har svaret 3-5
samlet. Opgørelsen for den generelle
befolkning er baseret på undersøgelsen Danskernes Sundhed - Den Nationale Sundhedsprofil 2017, der er gennemført af Statens Institut for Folke-
sundhed for en stikprøve bestående af 183.372 borgere i Danmark.
I alt findes det, at 142 ud af de i alt 312 patienter angiver at betragte helbredet som
frem-
ragende, vældig godt eller godt.
Dette svarer til 47 pct., hvor 83 pct.af den generelle be-
folkning svarer i samme kategori. Der findes altså en betydelig forskel på, hvorledes de
der lader sig indskrive til behandling med lægeordineret heroin betragter eget helbred,
når sammenlignet med den generelle befolkning.
For personer indskrevet i behandlingen i længere tid (66 patienter) findes en yderligere
forringelse i selvvurderet helbred. Hvor 47 pct. af alle indskrevne patienter svarede at
vurdere helbredet i alt som
fremragende, vældig godt eller godt,
svarer kun 39 pct. af pa-
tienterne der indgår i længerevarende behandlingsforløb, at vurdere eget helbred i alt
som
fremragende, vældig godt eller godt.
Ved opfølgningen ses dette faldet til 30 pct.
Selvvurderet helbred for personer i længerevarende heroinbehandling hhv. ved indskrivning
og opfølgning
Ved indskrivning
Antal
Fremragende, vældig godt eller
godt helbred
26
Ved opfølgning
Antal
20
Generelle
befolkning
Pct.
83
Pct.
39
Pct.
30
Tabel 5.8.4 Kilde: Register for Injicerbar Heroin og Metadon (IHM), Sundhedsdatastyrelsen. Note: Helbredstilstand er selvvurderet og angiver fysiske
og psykiske helbredstilstand målt ved SF36-spørgeskema ved indskrivning i heroinbehandlingen. SF-36 spørgeskemaet giver en måling af personens
generelle helbredsstatus ved dels at spørge ind til personens selvvurderede helbred og dels at spørge ind til faktorer, der kan måle både fysisk, social
og psykisk funktionsevne. I denne opgørelse anvendes spørgsmålet ”Hvordan synes du dit helbred er i alt?” Svarkategorierne er ”Fremragende (5)”,
”Vældig godt (4)”, ”Godt (3)”, ”Mindre godt (2)”, og ”Dårligt (1)”. I opgørelsen ses på andelen, der har svaret 3-5
samlet. Opgørelsen for den generelle
befolkning er baseret på undersøgelsen Danskernes Sundhed - Den Nationale Sundhedsprofil 2017, der er gennemført af Statens Institut for Folke-
sundhed for en stikprøve bestående af 183.372 borgere i Danmark.
Patienter der indgår i behandlingen med lægeordineret heroin har, ikke overraskende, et
betydeligt dårligere selvvurderet helbred end den generelle befolkning. Dette både hvad
angår den samlede gruppe af patienter og når der alene ses på gruppen af patienter, der
indgår i længerevarende behandling.
SUU, Alm.del - 2020-21 - Bilag 223: Orientering om evaluering af ordningen med lægeordineret heroin, fra sundhedsministeren
Evaluering af ordningen med lægeordineret heroin til opioidafhængige patienter
Side 63/120
6. Erfaringer fra de 5 klinikker
Sundhedsstyrelsen inviterede den 19.november 2019 de socialfaglige ledere, behand-
lingsansvarlige overlæger og sundhedsfaglige fra de 5 af landets heroinklinkker til et
møde, omhandlende det forestående arbejde med evalueringen af ordningen med læge-
ordineret heroin 2020.
Formålet med mødet var at undersøge, hvilke erfaringer de 5 klinikker har gjort sig med
behandlingsformen, patientgrundlag og metoder i behandlingen, samt at undersøge
hvilke emner man i klinikkerne og fra de behandlende fagprofessionelle vurderede væ-
sentlige at undersøge i en ny evaluering.
Flere af de emner, klinikkerne ønskede belyst, kunne belyses igennem data fra IHM-da-
tabasen, og er beskrevet i kapitel 5. Sundhedsstyrelsen har derudover forsøgt at imøde-
komme flere af de emner man på de 5 klinikker vurderede kunne være interessante at
beskrive i evalueringen af ordningen med lægeordineret heroin, hvorfor der med bag-
grund i de drøftede emner og udtrykte ønsker blev udformet et spørgeskema
7
med en
række opgaver til besvarelse lokalt i hver af de 5 klinikker. Besvarelserne på spørgeske-
maerne danner grundlag for de følgende afsnit (6.1 til 6.4).
6.1. Patienter til behandlingen med diacetylmorphin
Det kræver et patientgrundlag på mindst 20 patienter i behandlingen med dia-
cetylmorphin at sikre en ensartet og acceptabel kvalitet i driften af behandlingstilbuddet
(7)
.
Behandlingen med diacetylmorphin er en sundhedsfaglig specialopgave, der stiller sær-
lige krav til behandling og patientsikkerhed, hvorfor patientgrundlaget af en vis størrelse
skal sikre dette.
Data fra Sundhedsdatastyrelsen viser antallet af indskrivninger og udskrivninger i klink-
kerne for hvert år.
En samlet opgørelse over det fulde antal af indskrevne patienter i tilbuddet til behandlin-
gen på en given dato findes alene hos klinikkerne, og indgår som en del af den samlede
opgavebesvarelse i det spørgeskema, som Sundhedsstyrelsen udformede i forlængelse
af mødet med fagprofessionelle i de 5 herointilbud.
7
Se bilag 1
SUU, Alm.del - 2020-21 - Bilag 223: Orientering om evaluering af ordningen med lægeordineret heroin, fra sundhedsministeren
2322586_0064.png
Evaluering af ordningen med lægeordineret heroin til opioidafhængige patienter
Side 64/120
Det samlede antal indskrevne patienter, hvert af år
siden 2011, opgjort for en vilkårlig dato
300
244
229
206
200
137
189
229
230
222
250
232
232
150
100
50
0
2011
2012
2013
2014
2015
2016
2017
2018
2019
2020
Figur 6.1.1 Data leveret af de 5 heroinklinikker. Note: Det samlede antal personer i behandling 2011-2020 angivet for en vilkårlig dato for hvert år.
Som det fremgår af figur 6.1.1, er der ingen af ordningens år indskrevet det antal patien-
ter i behandlingen, man ved ordningens begyndelse antog ville udgøre et fremtidigt pati-
entgrundlag til behandlingen med lægeordineret heroin.
Med udgangen af 2011 forventedes ved ordningens begyndelse, at ca. 280 patienter ville
være indskrevet i behandling med diacetylmorphin et patientantal der tilmed vurderedes
at stige over årene så der i løbet af ordningens første 2 til 3 år, ville findes et samlet pati-
ent grundlag på imellem 300 og 400 patienter.
Indrapporteringen fra de 5 klinikker på en vilkårlig dato viser, at der i 2011 var færrest pa-
tienter indskrevet i behandlingen (137) og i 2018 flest patienter indskrevet og i aktivt for-
løb i behandlingen (244).
Figuren på næste side (figur 6.2.1) afbilleder udviklingen i det totale antal indskrevne
patienter i ordningen med lægeordineret heroin, siden ordningens begyndelse i april må-
ned 2010.
Som det fremgår af figuren har først Valmuen og siden klinikken i Odense det højeste an-
tal af indskrevne patienter til tilbuddet, hvorimod klinikker i Århus og Esbjerg viser sig
med langt lavere patientantal
SUU, Alm.del - 2020-21 - Bilag 223: Orientering om evaluering af ordningen med lægeordineret heroin, fra sundhedsministeren
2322586_0065.png
Evaluering af ordningen med lægeordineret heroin til opioidafhængige patienter
Side 65/120
Antal personer i behandling 2010-2020
120
100
80
60
40
20
0
2010
2011
2012
2013
2014
2015
2016
Århus
2017
2018
2019
2020
KABS
Odense
Esbjerg
Valmuen
Figur 6.1.2 Data leveret af de 5 heroinklinikker. Note: Antal personer i behandling 2010-2020 angivet for en given dato for hvert af de 10 år.
I de sidste 4 år af ordningens forløb, har klinikken i Århus haft færre patienter indskrevet,
end vurderet i overensstemmelse med sundhedsfaglig ekspertise og patientsikkerhed jf.
vejledning om ordination af injicerbar diacetylmorphin (heroin) ved opioidafhængighed,
Sundhedsstyrelsen 2013
(7)
.
Årsagerne til, at indskrivningsantallet er faldende i visse dele af landet kan være mange.
Fra et møde med de behandlingsansvarlige overlæger i september 2020 fremgår det, at
klinikken i Århus ikke aktuelt er godkendt til at ordinere og dermed anvende tablet Dia-
phin i behandlingen.
Med viden om den lokale stofscene i Århus, hvor der i langt højere grad indtages heroin
ved inhalation end ved injektion, kan det ligeledes forventes, at færre patienter lader sig
indskrive i et tilbud hvor den eneste administrationsform er injektion af diacetylmorphin.
Således kan lokale variationer i forhold til stofscene og behandlingstilbud synes at være
afgørende for, om der er mindre eller større søgning til behandlingsformen.
Klinikken melder til mødet i september måned, at der aktuelt er indskrevet 20 patienter til
behandlingen.
Definitionen
”hard to treat”
De nærmere inklusionskriterier er beskrevet i ”Vejledning om ordination af dia-
cetylmorphin (heroin) ved opioidafhængighed” der
sammen med autorisationsloven, lov
SUU, Alm.del - 2020-21 - Bilag 223: Orientering om evaluering af ordningen med lægeordineret heroin, fra sundhedsministeren
Evaluering af ordningen med lægeordineret heroin til opioidafhængige patienter
Side 66/120
om euforiserende stoffer, Sundhedsloven og Serviceloven, danner rammen for hvorledes
behandlingen med diacetylmorphin skal forløbe i Danmark.
Indikation for behandling med diacetylmorphin er et fortsat misbrug af ordinerede eller il-
legale opioider, hvor der efter en konkret vurdering ikke er fundet tilstrækkelig effekt af
peroral substitutionsbehandling med buprenorphin/metadon eller injicerbar metadon.
Disse kriterier ligger ligeledes
til grund for den tidligere anvendte definition af ”hard to
treat” patienterne, som også fremgår af ”vejledning til læger der behandler opioidaf-
hængige patienter
med substitutionsmedicin”
(12)
.
Formålet med behandlingen er i første omgang at forebygge en forværring af patienter-
nes helbredstilstand og på længere sigt at opnå en forbedring af patienternes livskvalitet
såvel helbredsmæssigt som socialt.
Derudover skal følgende inklusionskriterier være opfyldt, såfremt en patient skal kunne
tilbydes behandling med diacetylmorphin:
Alder over 18 år.
Regelmæssigt intravenøst misbrug af ordinerede eller illegale opioider trods
buprenorphin eller methadonbehandling inden for de forudgående 12 måneder.
Ingen aktiv eller ubehandlet sværere psykiatrisk lidelse, der gør at patienten ikke
kan medvirke til injektionsbehandligen.
Ingen sværere somatisk lidelse, som kontraindicerer behandling med injicerbar
diacetylmorphin.
Intet betydende alkoholmisbrug; dvs. at patienten skal være i stand til fremmøde
to gange dagligt uden sværere alkoholpåvirkning eller alkohol-abstinenssympto-
mer.
Intet betydende misbrug af benzodiazepiner. Patienter i stabil behandling med
benzodiazepiner er ikke ekskluderet fra injektionsbehandling.
Ingen graviditet, amning eller aktuelle planer om graviditet.
Accept af krav om fremmøde og superviseret selvadministration af injektionsbe-
handlingen.
Indikation for behandling med diacetylmorphin som led i substitutionsbehandling for opio-
idafhængighed skal som minimum vurderes hvert halve år.
Diacetylmorphin findes som lægemiddel i to administrationsformer, henholdsvis den inji-
cerbare form (intravenøs administration) og den perorale form (tabletter).
Behandling med injicerbar diacetylmorphin er forbeholdt personer med injektionsforbrug
af opioider.
Behandling med peroral diacetylmorphin kan overvejes, hvis patienten ikke har egnet
SUU, Alm.del - 2020-21 - Bilag 223: Orientering om evaluering af ordningen med lægeordineret heroin, fra sundhedsministeren
2322586_0067.png
Evaluering af ordningen med lægeordineret heroin til opioidafhængige patienter
Side 67/120
venøs adgang, har et ønske om at ophøre med injektionsformen, har et vedvarende for-
brug af diacetylmorphin indtaget ved rygning/ snifning eller, hvis det i øvrigt ud fra en kon-
kret lægelig vurdering skønnes indiceret.
Til mødet hos Sundhedsstyrelsen november 2019 om indholdet til den nye evaluering af
ordningen med lægeordineret heroin, blev det klart, at Sundhedsstyrelsen såvel som kli-
nikledere og behandlingsansvarlige læger fandt det interessant at belyse hvilke patienter
behandlingen bliver tilbudt.
Siden opstarten af ordningen med lægeordineret heroin, er gruppen af patienter der in-
kluderes til tilbuddet og behandlingsformen populært blevet defineret og omtalt som ”hard
to treat” opioidafhængige patienter.
En definition der velsagtens rummer, at den behand-
ling patienterne derfor tilbydes i diacetylmorphin-klinikkerne skal være specialiseret og
højintensiveret i forhold til at kunne rumme netop denne patientgruppe og de livsomstæn-
digheder der gør sig gældende for de der indgår i patientgrundlaget for behandlingsfor-
men.
Figuren nedenfor afbilleder udskrivelses/afslutningsårsagerne for ordningens tidligere år
(2010-2012). Med afsæt i netop den tidligere evaluering af ordningen med lægeordineret
heroin, og med viden om, at en stor del af de indskrevne patienter i ordningens første år
udgik fra behandlingstilbud med
årsagen ’kunne
ikke rummes i behandlingen grundet vol-
delig adfærd’
(14 pct.) af de der blev udskrevet fra tilbuddene
’ophørte
grundet for stort
sidemisbrug’
(8,6 pct.) syntes det nærliggende at undersøge hvilke patienter tilbuddene
landet over definerer som værende i målgruppe for behandlingen. Hvem kan rummes i
behandlingen og hvorledes defineres disse patienter.
Årsager til udskrivninger 2010-2012
11
5
6
6
8
10
9
3
14
3
konventionel behandling
ej rummes
sideforbrug
indlæggelse
ønske om stoffrihed
ej følge behandlingen
somatisk sygdom
overfølsomhed
døgnbehandling
afsoning
døde
personlige
Figur 6.1.1.1 Data fra Evaluering af behandlingen med lægeordineret heroin til stofmisbrugere 2010-2012, 2013. Note: Årsager til udskrivninger 2010-
2012. For yderligere information om udskrivningsårsager i 2010-2012
henvises til ”Evaluering af ordningen med lægeordineret
heroin til stofmisbrugere,
2013”
SUU, Alm.del - 2020-21 - Bilag 223: Orientering om evaluering af ordningen med lægeordineret heroin, fra sundhedsministeren
Evaluering af ordningen med lægeordineret heroin til opioidafhængige patienter
Side 68/120
De 5 klinikker blev i spørgeskemaet, udarbejdet af Sundhedsstyrelsen, bedt om nærmere
at beskrive grundlaget for, at patienterne bliver inkluderet til behandlingstilbuddet.
Ud fra klinikkernes egne erfaringer med patientgruppen og en mangeårig erfaring med
patientinklusion til behandlingsformen, blev klinikkerne bedt om at gennemgå 5 patientsa-
ger fordelt over ordningens 10 år. Klinikkerne blev instrueret i alene at tilbagerapportere
kriterierne for de 5 indskrivninger til tilbuddet med diacetylmorphin med det formål at for-
søge at identificerer andre årsager til inklusionen, end alene de der er beskrevet i vejled-
ningen til behandlingen.
Af besvarelserne fremgår det, at 4 af de 5 klinikker (Århus, KABS, Odense, Valmuen) in-
kluderer til behandlingen med begrundelse i blandt andet et fortsat stort sideforbrug af in-
jiceret illegalt erhvervet heroin. De samme 4 klinikker beskriver gentagne indskrivninger i
konventionel substitutionsbehandling som årsag til tilbud om behandling med lægeordi-
neret heroin.
4 andre klinikker (Århus, KABS, Valmuen og Esbjerg) beskriver injektionstrang som en
del af årsagen til inklusion til tilbuddet.
Begge ovenstående kriterier for inklusion, indgår i de af sundhedsmyndighederne define-
rede inklusionskriterier, og er beskrevet nøje i vejledningen til behandlingsformen.
Andre inklusionskriterier angivet i besvarelserne ligger anderledes udenfor de ramme-
satte inklusionskriterier, heriblandt risiko for overdosis (KABS) og søgen efter rus (KABS,
Valmuen), der er angivet som årsag til inklusion, i opremsning med flere af de i ramme-
sættende inklusionskriterier fra vejledningen.
En enkelt klinik angiver desuden, at tilbuddet kan give den struktur og de rammer, der
fagprofessionelt i andet sundhedsfagligt regi er vurderet væsentligt for patientens sam-
lede helbred (Odense).
Der findes ved aktuelle forespørgelsesmetode ikke oplagte og generelle geografiske vari-
ationer i forhold til, hvorledes at inkludere til tilbuddet ud fra den rammesættende vejled-
ning.
Dog viser undersøgelsen, at der i København (Valmuen) og KABS beskrives at der tages
hensyn til patientens ønske om fortsat ruspåvirkning, ligesom der i Odense for et behand-
lingsforløb besvares, at der er taget hensyn til at patienten vil kunne nyde gavn af ram-
mer og struktur, der er unikt for netop tilbuddet med lægeordineret heroin.
En enkelt klinik angiver i fritekst, at klinikken ønsker at der benyttes en anderledes be-
tegnelse for den patientgruppe der tilbydes behandling med diacetylmorphin. Dels be-
grundes ønsket med at der til betegnelsen hører en unødig stigmatisering. Dels begrun-
des ønsket med, at patientgruppen defineret”hard
to treat” snarere menes at befinde sig
i den konventionelle substitutionsbehandlingen, og dermed betegner patienter, der ikke
SUU, Alm.del - 2020-21 - Bilag 223: Orientering om evaluering af ordningen med lægeordineret heroin, fra sundhedsministeren
Evaluering af ordningen med lægeordineret heroin til opioidafhængige patienter
Side 69/120
ville kunne tilbydes behandling med lægeordineret heroin, idet det fortsatte sideforbrug af
alkohol eller illegale stoffer ekskluderer patienterne fra tilbuddet med lægeordineret he-
roin.
6.2. Behandlingen med diacetylmorphin
Diacetylmorphin adskiller sig farmakodynamisk fra metadon. Behandlingen med peroralt
indtaget metadon søger at lindre stoftrang og gøre patienten abstinensfri. Patienten der
lider af opioidafhængighed og behandles med metadon vil ikke være påvirket af metado-
nen.
I behandlingen med injicerbar diacetylmorphin, vil patienten ved hver injektion opleve en
akut stofpåvirkning
(7)
, et
”sus”.
Erfaringen fra klinikkerne er, at der ikke på samme måde
opleves ruspåvirkning for patienterne, der er i behandling med tabletformen og tabletten
Diaphin
8
(se afsnit 7).
Når en behandling påbegyndes med diacetylmorphin, omstilles patienten fra metadon el-
ler depotmorfin til en kombineret behandling med diacetylmorphin og peroral meta-
don/diacetylmorphin, som det beskrives kort i afnit 5.6 .
Det er vigtigt, at patienten er i en stabil behandling med metadon eller depotmorfin for, at
en effektfuld omlægning fra det ene lægemiddel til det andet kan ske. Derfor er det nød-
vendigt, at patienten har opnået et steady state og har været stabiliseret på metadon eller
depotmorfin i mindst 7 dage før en omlægning til diacetylmorphin finder sted.
Patientens døgndosis i dette steady state lægger grundlaget for beregningen af den kom-
mende dosis diacetylmorphin og metadon eller depotmorfin
(7)
(se afsnit 7 for yderligere
farmakodynamik).
Det er således den dosis metadon eller depotmorfin som patienten er velbehandlet med
forud for omlægningen til diacetylmorphin, der benyttes til beregningen af det behov pati-
enten da måtte have for diacetylmorphin.
Lægeordineret heroin til injektion kan udelukkende indtages ved selvadministration og
under supervision af sundhedspersonalet ansat på klinikkerne. De nuværende åbningsti-
der i landets 5 heroinklinikker gør det muligt at indtage diacetylmorphin 2 gange i døgnet.
Grundet diacetylmorphins halveringstid, er det derfor nødvendigt, at patienten sikres
døgndækning med andet opioid i det tidsrum klinikkerne har lukket. Derfor bibeholdes
som udganspunkt 30 pct. af den totale opioiddosis som metadon eller (langt mere sjæl-
dent) depotmorphin, mens de resterende 70 pct. omstilles til diacetylmorphin. På den
måde sikres det at patienten er abstinensfri hele døgnet.
8
Møde med de læger i Danrmark, der er godkendt til at ordninere diacetylmorphin.
SUU, Alm.del - 2020-21 - Bilag 223: Orientering om evaluering af ordningen med lægeordineret heroin, fra sundhedsministeren
2322586_0070.png
Evaluering af ordningen med lægeordineret heroin til opioidafhængige patienter
Side 70/120
Superviseret medicinering er en krævende behandlingsform som stiller store krav til de
patienter der indgår i tilbuddet, både i forhold til motivationen i forhold til fremmøde men
også i forhold til samarbejde omkring behandlingsformen og supervisionen.
Derfor har hver patient fået udregnet 3 forskellige behandlingsregimer således at det fra
dag til dag kan besluttes hvorledes medicinen til den næstkommende dag skal udleveres.
Ordningen sikrer, at de der ønsker at fremmøde to gange til udlevering og indtag af dia-
cetylmorphin kan gøre dette. Samtidig er ordningen fleksibel således, at patienterne fra
dag til dag kan få omlagt den samlede døgndosis og udeblive fra en eller begge udleve-
ringer, hvis patienten har behov for det.
Behandlingsregimer i behandlingen med diacetylmorphin
A regimet er det regime hvor patienten fremmøder til udlevering af diacetylmorphin to
gange på en dag og 30 pct. oprindelig metadondosis eller depotmorfindosis indtages ved
sidste udlevering eller udleveres til selvadministration.
B regimet er det regime hvor patienten får udleveret diacetylmorphin en enkelt gang, og
metadon eller deportmorfin som øvrige del af behandlingen.
D regimet er behandling hvor den opioide døgndosis udgøres af metadon eller depotmor-
fin alene
9
.
Ved iværksættelse af behandlingen med diacetylmorphin bør startdosis ikke overstige
300 mg injicerbar diacetylmorphin som enkeltdosis. Dette for at undgå overdosering. Ved
behov for supplering gøres dette som refrakte doser i henhold til vejledningen herfor
(7)
og
under observation af den kliniske effekt.
Efter initieret behandling er vedligeholdelsesdosis individuel. Dog vil de fleste patienter
findes velbehandlede i intervallet 200-600 mg intravenøst diacetylmorphin fordelt på 2
doser.
Ligesom ved al anden medicinering med opioder vil der ske en gradvis udvikling af tole-
rans overfor lægemidlet og dermed udvikles et behov for øgede doser. Ved enkeltdoser
over 450 mg intravenøst diacetylmorphin er der dog en risiko for respirationssvækkelse
og kramper, hvorfor den højst anbefalede dosis er 450 mg indtravenøs diacetylmorphin.
9
Der har tidligere eksisteret et C regime, der er udgået. Eksisterende regimer og vejledning til behandlingen fremgår af Vejled-
ning om ordination af injicerbar diacetylmorphin (heroin) ved opioidafhængighed, VEJ nr. 9507 17.september 2013
SUU, Alm.del - 2020-21 - Bilag 223: Orientering om evaluering af ordningen med lægeordineret heroin, fra sundhedsministeren
2322586_0071.png
Evaluering af ordningen med lægeordineret heroin til opioidafhængige patienter
Side 71/120
Patientfremmøde til behandlingen, behandlingstilknytning
Det er hensigten med behandlingen med diacetylmorphin, at patienterne der tilbydes be-
handlingen i langt de fleste tilfælde benytter sig af udleveringer af diacetylmorphin 2
gange dagligt alle ugens dage.
Typisk vil patienterne fremmøde morgen og eftermiddag til udlevering og indtag af medi-
cinen. Til natten vil patienterne få udleveret peroral metadon, eller have indtaget den re-
sterende døgndosis opioid (metadon/ depotmorphin) ved den sidste af dagens udleverin-
ger.
Patienterne der møder 2 gange pr. dag, registreres med fremmøde og udlevering af me-
dicin 2 gange pr. dag, 7 dage om ugen og registreres dermed i alt 14 udleveringer på en
uge. Er patienterne omvendt overgået til et anderledes regime (B eller D), vil det forven-
tes at patienten da vil fremmøde en enkelt gang pr. dag, der vil svare til 7 gange pr. uge.
Da regimerne kan skiftes fra dag til dag, vil alle øvrige udleveringer den pågældende uge
registreres i denne opgørelse som ”øvrige” (figurer
6.2.2.1 og frem). Med i denne kategori
vil også være de patienter, der fremmøder langt færre gange den pågældende uge, eller
slet ikke fremmøder.
For at afdække, om patienterne benytter tilbuddet som forventet ved ordningens begyn-
delse, er klinikkerne blevet bedt om at indberette hvor mange gange der er udleveret me-
dicin til de indskrevne patienter på en given uge for hvert af de 10 år ordningen har eksi-
steret som substitutionsbehandlingstilbud i Danmark.
Figurerne i dette afsnit afbilleder, det daglige fremmøde for en vilkårlig uge for hver af de
5 klinikker i Danmark.
Antallet af udleveringer er opgjort i forhold til de regimer der anvendes i behandlingen.
Der må tages forbehold for, at regimerne kan skifte fra dag til dag, hvorfor denne opgø-
relse alene kan tjene det formål, at give et mindre indblik i hvorledes de faktuelle fremmø-
der og udleveringer af medicin forekommer i de 5 klinikker.
SUU, Alm.del - 2020-21 - Bilag 223: Orientering om evaluering af ordningen med lægeordineret heroin, fra sundhedsministeren
2322586_0072.png
Evaluering af ordningen med lægeordineret heroin til opioidafhængige patienter
Side 72/120
Antal udleveringer/uge, Valmuen
70
60
50
40
30
20
10
0
2010
2011
2012
2013
2014
2015
7/uge
2016
2017
2018
2019
2020
14/uge
Øvrige
Figur 6.2.2.1 Data leveret fra landets 5 heroinklinikker. Note: Antal udleveringer i vilkårlig uge, af ordningens 10 første år.
Under behandlingen af data fra klinikkerne fandt Sundhedsstyrelsen, at der hos Valmuen
på den vilkårlig udvalgt uge, udleveredes
diacetylmorphin langt oftere i kategorien ”øv-
rige” end i de kategorier der svarer til henholdsvis A og B regimerne, hvor medicinen ud-
leveres 2 gange dagligt (14 udleveringer på en uge) eller en gang dagligt (7 udleveringer
på en uge).
Sundhedsstyrelsen har derfor efterfølgende for enkelte klinikker (Valmuen i København
og klinikken i Århus) opgjort, hvor mange af de indskrevne patienter, der i begyndelsen
af disse uger var i henholdsvis A , B og D regime.
Formålet med denne uddybende opgørelse er at vurdere, hvor mange patienter der for-
mår at møde op til det ønskede regime. Dels for at få et indblik i hvorledes ordningen
med lægeordineret heroin fungerer i forhold til udlevering af medicin, dels for at afdække
hvor mange patienter der ønsker et givent regime i begyndelsen af en uge men fremmø-
der anderledes.
SUU, Alm.del - 2020-21 - Bilag 223: Orientering om evaluering af ordningen med lægeordineret heroin, fra sundhedsministeren
2322586_0073.png
Evaluering af ordningen med lægeordineret heroin til opioidafhængige patienter
Side 73/120
Regimer angivet mandag i
indberetningsugen, Valmuen
50
40
30
20
10
0
2010 2011 2012 2013 2014 2015 2016 2017 2018 2019 2020
A-regime
B-regime
D-regime
Figur 6.2.2.2 Data leveret fra Valmuen, København. Note: Forventede udleveringer og forventede behandlingsregimer i en vilkårlig uge, af ordningens
10 første år.
Som det fremgår af figur 6.2.2.2, ønsker langt de fleste patienter, der er indskrevet på
Valmuen fortsat at få udleveret diacetylmorphinen 2 gange dagligt, såfremt det antages
at denne vilkårlige indberetningsdag kan benyttes som udtryk for patienternes generelle
behov.
Ses alene på antallet af udleveringer svarende til A-regimet (14 udleveringer pr. uge), fin-
des en betydelig afvigelse i forhold til det faktuelle antal udleveringer i forhold til registre-
rede regime (figur 6.2.2.3).
A-regime og antal udleveringer svarende til
regimet, Valmuen
50
45
40
35
30
25
20
15
10
5
0
2010
2011
2012
2013
2014
2015
2016
14/uge
2017
2018
2019
2020
A-regime
Figur 6.2.2.3 Data leveret fra Valmuen, København. Note: Behandlingsregime A og udleveringer svarende til regimet i en vilkårlig uge i 10 år.
SUU, Alm.del - 2020-21 - Bilag 223: Orientering om evaluering af ordningen med lægeordineret heroin, fra sundhedsministeren
2322586_0074.png
Evaluering af ordningen med lægeordineret heroin til opioidafhængige patienter
Side 74/120
Antallet af udleveringer til B-regimet (7 udleveringer pr. uge) ses med samme afvigelse i
forhold til den ordination af B-regime der er gjort, og det faktuelle antal udleveringer der
er foretaget den pågældende uge (figur 6.2.2.4).
B-regime og antal udleveringer svarende til
B-regime, Valmuen
40
35
30
25
20
15
10
5
0
2010
2011
2012
2013
2014
2015
2016
7/uge
2017
2018
2019
2020
B-regime
Figur 6.2.2.4 Data leveret fra Valmuen, København. Note: Behandlingsregime B og udleveringer i en vilkårlig uge i 10 år.
Mange patienter er ordineret et B-regime, men de første 7 år af ordningens forløb er det
under halvdelen af de patienter der er ordineret regimet, der møder frem til at få det udle-
veret. Årene 2018, 2019 og 2020 ses et større fremmøde til regimet.
I Århus findes samme ønske hos patienterne om, at indgå i behandling efter A-regime,
med 2 daglige udleveringer diacetylmorphin (figur 6.2.2.5). Kun i enkelte tilfælde ses øn-
ske om B eller D regime på dagen og ugen for indberetningen.
I Århus ses i højere grad end på Valmuen, at de der mandag i ugen registreres med A-
regime har et fremmøde der afspejler A-regime (figur 6.2.2.6 og 6.2.2.7).
SUU, Alm.del - 2020-21 - Bilag 223: Orientering om evaluering af ordningen med lægeordineret heroin, fra sundhedsministeren
2322586_0075.png
Evaluering af ordningen med lægeordineret heroin til opioidafhængige patienter
Side 75/120
Regimer angivet mandag i
indberetningsugen, Århus
25
20
15
10
5
0
2010
2011
2012
2013
2014
2015
2016
2017
2018
2019
2020
A-regime
B-regime
D-regime
Figur 6.2.2.5 Data leveret fra heroinklinikken i Århus. Note: Forventede udleveringer og forventede behandlingsregimer i en vilkårlig uge, af ordningens
10 første år.
Antal udleveringer/uge, Århus
20
18
16
14
12
10
8
6
4
2
0
2011
2012
2013
2014
2015
2016
2017
2018
2019
2020
14/uge
7/uge
øvrige
Figur 6.2.2.6 Data leveret fra heroinklinikken i Århus. Note: Udleveringer i ugen for registrering ordningens 10 første år.
SUU, Alm.del - 2020-21 - Bilag 223: Orientering om evaluering af ordningen med lægeordineret heroin, fra sundhedsministeren
2322586_0076.png
Evaluering af ordningen med lægeordineret heroin til opioidafhængige patienter
Side 76/120
A- regime og antal udleveringer svarende til
A-regime, Århus
25
20
15
10
5
0
2010
2011
2012
2013
2014
2015
2016
2017
2018
2019
2020
udleveringer
A-regime
Figur 6.2.2.7 Data leveret fra heroinklinikken i Århus. Note: Behandlingsregime A og udleveringer svarende til regimet i en vilkårlig uge i 10 år.
I Esbjerg, i ugen for opgørelsen, sker langt de fleste udleveringer svarende til A regime
med 2 daglige fremmøder til udlevering af diacetylmorphin, fraset i opgørelsesugerne i
2013 og 2016. I ugen for opgørelse over antal udleveringer i 2020, registreres lige mange
udleveringer
(9) i henhold til A og B regime, hvorimod 7 registreres under ”øvrige”.
Antal udleveringer pr. uge i Esbjerg
18
16
14
12
10
8
6
4
2
0
2012
2013
2014
2015
14/uge
2016
7/uge
2017
Øvrige
2018
2019
2020
Figur 6.2.2.8 Data leveret fra heroinklinikken i Esbjerg. Note: Udleveringer i ugen for registrering ordningens 10 første år.
I Odense sker de fleste udleveringer tilsvarende i henhold til A regime. Der registreres
ikke udleveringer i henhold til B regime, men derimod sker flere udleveringer i kategorien
”øvrige”.
SUU, Alm.del - 2020-21 - Bilag 223: Orientering om evaluering af ordningen med lægeordineret heroin, fra sundhedsministeren
2322586_0077.png
Evaluering af ordningen med lægeordineret heroin til opioidafhængige patienter
Side 77/120
Antal udleveringer/uge, Odense
25
20
15
10
5
0
2010
2011
2012
2013
2014
2015
7/uge
2016
2017
2018
2019
2020
14/uge
øvrige
Figur 6.2.2.9 Data leveret fra heroinklinikken i Odense. Note: Udleveringer i ugen for registrering ordningens 10 første år.
Som den eneste heroinklinik registrerer KABS i Hvidovre i ugen for opgørelsen for hvert
af de 10 af ordningens år, at udlevere medicin i henhold til A-regime mindre hyppigt end i
kategorien ”øvrige”.
I ugen for registreringen i årene 2011, 2014, 2015, 2016 og 2020 registreres flere udleve-
ringer svarende til A-regime end til B-regime, men fortsat sker langt de fleste udleveringer
i antal der ikke er forenelige med regimerne A eller B.
SUU, Alm.del - 2020-21 - Bilag 223: Orientering om evaluering af ordningen med lægeordineret heroin, fra sundhedsministeren
2322586_0078.png
Evaluering af ordningen med lægeordineret heroin til opioidafhængige patienter
Side 78/120
Udleveringer pr uge, KABS
30
25
20
15
10
5
0
2011
2012
2013
2014
2015
2016
2017
2018
2019
2020
14/uge
7/uge
øvrige
Figur 6.2.2.10 Data leveret fra heroinklinikken i KABS Hvidovre. Note: Udleveringer i ugen for registrering ordningens 10 første år.
Langt de fleste patienter synes altså at ville indgå i behandlingen, som den ved ordnin-
gens begyndelse var tilsigtet, og møder derfor op 2 gange om dagen for at få udleveret
diacetylmorphin.
Dog viser denne del af undersøgelsen også, at nogle klinkker er med større fremmøde til
udlevering af medicin 2 gange dagligt end andre er.
Dosis anvendt i behandlingen i Danmark
Der er ikke gjort opgørelser over de anvendte doser der ordineres til behandlingen med
diacetylmorphin i Danmark. Der findes således ingen registeropgørelser, hvor dosisstør-
relser registreres.
For at få et indblik i, hvilke doser der ordineres i den danske ordning med lægeordineret
heroin, samt hvor stort et forbrug af diacetylmorphin der er i de 5 klinikker i Danmark, har
Sundhedsstyrelsen bedt klinikkerne bidrage med indberetning af dosis udleveret igen-
nem de 10 år ordningen har eksisteret.
Klinikkerne er blevet bedt om at indrapportere dosisudleveringerne på en ( af Sundheds-
styrelsen) tilfældigt udvalgt dato for hvert af de 10 år.
SUU, Alm.del - 2020-21 - Bilag 223: Orientering om evaluering af ordningen med lægeordineret heroin, fra sundhedsministeren
2322586_0079.png
Evaluering af ordningen med lægeordineret heroin til opioidafhængige patienter
Side 79/120
Dosis middelværdi, mindst udleverede og
højest udleverede dosis, Valmuen 2010-2020
900
800
700
600
500
400
300
200
100
0
middelværdi
mindst udleverede dosis
højest udleverede dosis
Figur 6.2.3.1 Data leveret fra heroinklinikken Valmuen. Note: Dosis udleveret på given dato, for hvert af de 10 år ordningen med lægeordineret
heroin har eksisteret.
Som det fremgår af figur 6.2.3.1, har der på klinikken Valmuen i Københavns Nordvest-
kvarter siden opstarten af behandlingsformen været en stor spredning i forhold til størrel-
sen af de doser der er angivet som de højest ordinerede doser og de doser der er angi-
vet som de mindst ordinerede doser. Størst ordinerede dosis på de samlede 10 år, på
datoerne for indberetningen, er 800 mg og mindst ordinerede dosis er 70 mg.
Den andel af patienter der får ordineret doser der ligger over 450 mg diacetylmorphin, og
dermed får udleveret så høj en engangsdosis, at der kan være risiko for respirationspå-
virkning og kramper findes ved opgørelsen, at være en mindre procentandel de fleste år
(figur 6.2.3.2).
SUU, Alm.del - 2020-21 - Bilag 223: Orientering om evaluering af ordningen med lægeordineret heroin, fra sundhedsministeren
2322586_0080.png
Evaluering af ordningen med lægeordineret heroin til opioidafhængige patienter
Side 80/120
Enkeltdoser over 450 mg, Valmuen
80
70
60
50
40
30
20
10
0
2010
2011
2012
2013
2014
2015
2016
2017
Øvrige
2018
2019
2020
enkeltdoser over 450 mg/ml
Figur 6.2.3.2 Data leveret fra heroinklinikken Valmuen. Note: Enkeltdoser over de maximalt anbefalede 450 mg pr. dosis, på given dato, for hvert
af de 10 år ordningen med lægeordineret heroin har eksisteret.
Således er det alene i 2017 en andel på 23 pct. der får ordineret og udleveret en do-
sis, der er højere end 450 mg diacetylmorphin. Hvorimod der i de øvrige år er tale om
imellem 8 og 17 pct. af patienterne. 2010 der er året for ordningens begyndelse, får alene
3,9 pct.af patienterne ordineret en dosis der ligger over de 450 mg.
Andel af indskrevne på Valmuen,
København, der får udlevert mere end 450
mg diacetylmorfin som enkeltdosis, pct.
25
20
15
10
5
0
2010
2011
2012
2013
2014
2015
2016
2017
2018
2019
2020
Figur 6.2.3.3 Data leveret fra heroinklinikken Valmuen. Note: Procentandel patienter, der får udleveret dosis højere ned 450 mg.
SUU, Alm.del - 2020-21 - Bilag 223: Orientering om evaluering af ordningen med lægeordineret heroin, fra sundhedsministeren
2322586_0081.png
Evaluering af ordningen med lægeordineret heroin til opioidafhængige patienter
Side 81/120
I Århus ses tilsvarende spredning i forhold til de størst ordinerede doser og de mindst or-
dinerede doser. På de 10 udvalgte datoer for ordningens 10 år findes den størst ordine-
rede og udleverede dosis at være 870 mg og den mindst udleverede dosis at være 10
mg.
Dosis middelværdi, mindst udleverede og
højest udleverede dosis, Århus 2011-2020
1000
800
600
400
200
0
middelværdi
mindst udleverede dosis
højest udleverede dosis
Figur 6.2.3.4 Data leveret fra heroinklinikken i Århus. Note: Dosis udleveret på given dato, for hvert af de 10 år ordningen med lægeordineret
heroin har eksisteret.
Ses omvendt på, hvor stor en andel af patienterne der er indskrevet i Århus, og som får
ordineret en dosis, der overstiger de 450 mg, der er defineret til at være en dosis der kan
medføre en risiko for vejrtrækningsproblemer og kramper, findes det, at en langt større
procentandel af de indskrevne får ordineret disse højere doser diacetylmorphin end det
er tilfældet i København (Valmuen). (Figur 6.2.3.1 og figur 6.2.3.4)
SUU, Alm.del - 2020-21 - Bilag 223: Orientering om evaluering af ordningen med lægeordineret heroin, fra sundhedsministeren
2322586_0082.png
Evaluering af ordningen med lægeordineret heroin til opioidafhængige patienter
Side 82/120
Enkeltdoser over 450 mg, Århus
16
14
12
10
8
6
4
2
0
2011
2012
2013
2014
2015
2016
2017
2018
2019
2020
Enkeltdoser over 450 mg/ml
Øvrige
Figur 6.2.3.5 Data leveret fra heroinklinikken i Århus. Note: Enkeltdoser over de maximalt anbefalede 450 mg pr. dosis, på given dato, for hvert af de 10
år ordningen med lægeordineret heroin har eksisteret.
Således angiver klinikken at der ordineres større doser end 450 mg diacetylmorphin for
16,7–47,4 pct.af de indskrevne patienter, når opgjort for en bestemt dato for hvert af de
år klinikken har eksisteret.
I gennemsnit får 28,2 pct. patienterne indskrevet i tilbuddet i Århusklinikken, på den dato
der indrapporteres for, en dosis udleveret, der er større dosis end de 450
mg, der anbefales som den maximale dosis diacetylmorphin.
Andel af indskrevne i Århus, der får udleveret
mere end 450 mg diacetylmorfin, pct.
50
45
40
35
30
25
20
15
10
5
0
2011
2012
2013
2014
2015
2016
2017
2018
2019
2020
Figur 6.2.3.6 Data leveret fra heroinklinikken i Århus. Note: Procentandel patienter, der får udleveret dosis højere ned 450 mg.
SUU, Alm.del - 2020-21 - Bilag 223: Orientering om evaluering af ordningen med lægeordineret heroin, fra sundhedsministeren
2322586_0083.png
Evaluering af ordningen med lægeordineret heroin til opioidafhængige patienter
Side 83/120
Det samme gør sig gældende i Esbjerg, dog mere udtalt. Her findes, at der initialt er en
mindre spredning hvad angår den mindst udleverede dosis og den højest udleverede do-
sis på de datoer der indrapporteres til Sundhedsstyrelsen fra klinikken. Spredningen sti-
ger over årene, som funktion af, at mindst udleverede dosis ses faldende, og den højest
udleverede dosis stiger.
På de udvalgte datoer de 10 år af ordningens forløb findes den størst ordinerede og udle-
verede dosis at være 1000 mg som udleveret enkelt dosis og den mindst udleverede do-
sis at være 50 mg som udleveret enkeltdosis.
Dosis middelværdi, mindst udleverede og
højst udleverede dosis, Esbjerg 2011-
2020
1200
1000
800
600
400
200
0
højest udleverede
dosis
mindst udleverede
dosis
middelværdi, dosis
Figur 6.2.3.7 Data leveret fra heroinklinikken i Esbjerg. Note: Dosis udleveret på given dato, for hvert af de 10 år ordningen med lægeordineret heroin
har eksisteret.
SUU, Alm.del - 2020-21 - Bilag 223: Orientering om evaluering af ordningen med lægeordineret heroin, fra sundhedsministeren
2322586_0084.png
Evaluering af ordningen med lægeordineret heroin til opioidafhængige patienter
Side 84/120
Enkeltdoser over 450 mg, Esbjerg
18
16
14
12
10
8
6
4
2
0
2011
2012
2013
2014
2015
2016
2017
Øvrige
2018
2019
2020
Enkeltdoser over 450 mg
Figur 6.2.3.8 Data leveret fra heroinklinikken i Århus. Note: Enkeltdoser over de maximalt anbefalede 450 mg pr. dosis, på given dato, for hvert af de 10
år ordningen med lægeordineret heroin har eksisteret.
Hvad angår andelen af de patienter, der får ordineret og udleveret en enkeltdosis der er
større end 450 mg findes det, at et flertal af de patienter der er indskrevet i behandlingen
de første år af ordningens forløb får udleveret en dosis der er større end 450 mg i 2010
og 2011.
Selvom dette ændrer sig med årene, ses der fortsat at være en betydelig større andel af
de patienter der er indskrevet til behandlingsformen i Esbjerg, som får udleveret en dosis
større end 450 mg i forhold til de øvrige klinikker i landet. Gennemsnitligt får 41,4 pct. af
de der er indskrevet i behandlingen på de dage der er rapporteret dosisudleveringer for,
en dosis diacetylmorphin udleveret, der er større end de 450 mg.
SUU, Alm.del - 2020-21 - Bilag 223: Orientering om evaluering af ordningen med lægeordineret heroin, fra sundhedsministeren
2322586_0085.png
Evaluering af ordningen med lægeordineret heroin til opioidafhængige patienter
Side 85/120
Andel af indskrevne i Esbjerg, der får
udleveret mere end 450 mg diacetylmorphin
som enkeltdosis, pct.
70
60
50
40
30
20
10
0
2011
2012
2013
2014
2015
2016
2017
2018
2019
2020
Figur 6.2.3.9 Data leveret fra heroinklinikken i Esbjerg. Note: Procentandel patienter, der får udleveret dosis højere ned 450 mg
I Odense findes spredningen i dosisordinationer at være mindre end i København, Århus
og Esbjerg. Den mindst udleverede dosis på de udvalgte datoer igennem de 10 år er 60
mg diacetylmorphin, mens den højest udleverede dosis er 575 mg diacetylmorphin.
Dosis middelværdig, mindst udleverede og
højest udeverede dosis, Odense 2010-2020
700
600
500
400
300
200
100
0
2010
2011
2012
2013
2014
2015
2016
2017
2018
2019
Mindst udleverede
Middelværdi
højest udeverede
Figur 6.2.3.10 Data leveret fra heroinklinikken i Odense. Note: Dosis udleveret på given dato, for hvert af de 10 år ordningen med lægeordineret heroin
har eksisteret.
Samtidig er der i Odense også færre tilfælde, hvor der ordineres enkeltdoser der oversti-
ger de 450 mg/ml.
SUU, Alm.del - 2020-21 - Bilag 223: Orientering om evaluering af ordningen med lægeordineret heroin, fra sundhedsministeren
2322586_0086.png
Evaluering af ordningen med lægeordineret heroin til opioidafhængige patienter
Side 86/120
Enkeltdoser over 450 mg, Odense
30
25
20
15
10
5
0
2010
2011
2012
2013
2014
2015
2016
2017
Øvrige
2018
2019
2020
Enkeltdoser over 450 mg/ml
Figur 6.2.3.11 Data leveret fra heroinklinikken i Odense. Note: Enkeltdoser over de maximalt anbefalede 450 mg pr. dosis, på given dato, for hvert af
de 10 år ordningen med lægeordineret heroin har eksisteret.
Andelen af de patienter der får udleveret en enkeltdosis, som overstiger de 450 mg er så-
ledes langt lavere i Odense end i Århus, Esbjerg og København (figur 6.2.3.11).
Ifølge indberetningerne, får alene imellem 0 pct. og 16,6 pct. af de patienter der er ind-
skrevet i behandling i Odense udleveret en dosis der er højere end 450 mg/ml. I gennem-
snit på de 10 år ordningen har eksisteret, findes således 6,8 procent af de indskrevne pa-
tienter, at få ordineret og udleveret en dosis der er større end 450 mg, på den udvalgte
dato der indberettes dosisstørrelser for til Sundhedsstyrelsen.
SUU, Alm.del - 2020-21 - Bilag 223: Orientering om evaluering af ordningen med lægeordineret heroin, fra sundhedsministeren
2322586_0087.png
Evaluering af ordningen med lægeordineret heroin til opioidafhængige patienter
Side 87/120
Andel af indskrevne i Odense, der får
udleveret mere end 450 mg diacetylmorfin
som enkeltdosis, pct.
18
16
14
12
10
8
6
4
2
0
2010
2011
2012
2013
2014
2015
2016
2017
2018
2019
2020
Figur 6.2.3.12 Data leveret fra heroinklinikken i Odense. Note: Procentandel patienter, der får udleveret dosis højere ned 450 mg.
På klinikken i Hvidovre (KABS) findes, som det også var tilfældet i Esbjerg, en mindre
spredning i forholdet imellem den højst indrapporterede udleverede dosis diacetyl-
morphin og den mindst udleverede dosis diacetylmorphin. Her sker stigningen i spred-
ning som funktion af en øget max-dosis.
På de 10 år der er afrapporteret i forhold til, findes den mindst udleverede dosis at være
30 mg (2020) og den højest udleverede dosis at være 1000 mg som udleveret enkeltdo-
sis i både 2015 og 2016.
SUU, Alm.del - 2020-21 - Bilag 223: Orientering om evaluering af ordningen med lægeordineret heroin, fra sundhedsministeren
2322586_0088.png
Evaluering af ordningen med lægeordineret heroin til opioidafhængige patienter
Side 88/120
Dosis middelværdi, mindst udleverede og
højest udleverede dosis KABS 2011-2020
1200
1000
800
600
400
200
0
højest udleverede
dosis
mindst udleverede
dosis
middelværdi
Figur 6.2.3.13 Data leveret fra heroinklinikken KABS, Hvidovre. Note: Dosis udleveret på given dato, for hvert af de 10 år ordningen med lægeordineret
heroin har eksisteret.
Antallet af patienter der får ordineret og udleveret en enkeltdosis der overstiger 450 mg
er dog helt anderledes lav hos klinikken i Hvidovre (KABS), som det er tilfældet i Odense.
Den gennemsnitlige procentandel for de afrapporterede datoer de 10 år af ordningens
eksistens findes at være 14,91 hos klinikken i KABS.
Enkeltdoser over 450 mg, KABS
35
30
25
20
15
10
5
0
2011
2012
2013
2014
2015
2016
2017
Øvrige
2018
2019
2020
Enkeltdoser over 450 mg
Figur 6.2.3.14 Data leveret fra heroinklinikken KABS, Hvidovre. Note: Enkeltdoser over de maximalt anbefalede 450 mg pr. dosis, på given dato, for
hvert af de 10 år ordningen med lægeordineret heroin har eksisteret.
SUU, Alm.del - 2020-21 - Bilag 223: Orientering om evaluering af ordningen med lægeordineret heroin, fra sundhedsministeren
2322586_0089.png
Evaluering af ordningen med lægeordineret heroin til opioidafhængige patienter
Side 89/120
Andel af indskrevne i KABS, der får udleveret
mere end 450 mg diacetylmorphin som
enkeltdosis, pct.
25
20
15
10
5
0
2011
2012
2013
2014
2015
2016
2017
2018
2019
2020
Figur 6.2.3.15 Data leveret fra heroinklinikken KABS, Hvidovre. Note: Procentandel patienter, der får udleveret dosis højere ned 450 mg.
Klinikkerne har indrapporteret dosisstørrelserne til Sundhedsstyrelsen i forbindelse med
denne opgørelse. Der har i denne proces været enkelte tvivlstilfælde i forhold til, hvorvidt
en indrapporteret diacetylmorphindosis er angivet som injektionsdosis eller tabletdosis.
Tabletdosis diacetylmorphin er højere end den omregnede dosis vil være for injicerbar
diacetylmorphin.
Dette er løbende forsøgt korrigeret for, men det kan ikke udelukkes at enkelte doser fort-
sat kan være indrapporteret som injicerbardiacetylmorphin, men i virkeligheden er tablet-
dosis eller omvendt.
Opgørelsen over størst udleverede dosis og mindst udleverede dosis hos KABS (figur
6.2.13) viser en markant stigning i dosisstørrelserne fra 2013, hvor diaphin tabletten blev
mulig at anvende i behandlingen for de patienter der ikke kan eller ønsker at injicere dia-
cetylmorphin. Denne stigning i dosisstørrelser kan være et udtryk for, at der er sket en
overgang til benyttelsen af Diaphin tabletten, men at dosis er registreret eller indrapporte-
ret som injicerbar diacetylmorphin, eller et udtryk for at de indskrevne patienter siden
2013 i højere grad har haft behov for større doser injicerbar diacetylmorphin.
Det fremgår af afsnit 7, at langt de fleste patienter der er indskrevet i behandlingen, er
indskrevet til behandling med injicerbar diacetylmorphin og ikke tablet diacetylmorphin
(afsnit 7.2 figur 7.2.1). Af samme årsag vil der til trods for eventuelle enkelte fejlregistre-
ringer i forbindelse med dosisopgørelserne fortsat kunne udledes, at der i flere klinikker
ordineres og udleveres injicerbar diacetylmorphin i doser der er større end 450 mg, som
er den dosis der anbefales som den højst ordinerede enkeltdosis af sikkerhedsmæssige
grunde.
SUU, Alm.del - 2020-21 - Bilag 223: Orientering om evaluering af ordningen med lægeordineret heroin, fra sundhedsministeren
2322586_0090.png
Evaluering af ordningen med lægeordineret heroin til opioidafhængige patienter
Side 90/120
Dosisindberetninger til et centralt register samt en ordning som samråd eller sparrring
(audits) i de tilfælde, hvor lægerne må afvige fra retningslinjerne i forhold til dosisstørrel-
ser, vil med fordel kunne undersøges som en mulighed, såfremt det i fremtiden skal vur-
deres om vejledningen, i forhold dosis og dosisstørrelser, bør ændres.
Sundhedsfagligt personale ansat i de 5 klinikker
Behandlingen med diacetylmorphin er en sundhedsfaglig specialopgave, der stiller sær-
lige krav til behandling og patientsikkerhed. Injektionsbehandling med diacetylmorphin er
mere kompleks og risikofyldt end konventionel, peroral substitutionsbehandling, hvorfor
der stilles specifikke krav til faglige kompetencer og personalenormering.
I vejledningen til behandlingen med lægeordineret heroin beskrives relevante speciallæ-
gelige uddannelser i forbindelse med varetagelse af funktionen som ordinerende læge til
behandlingen med og ordinationen af diacetylmorphin. Almen medicin, samfundsmedi-
cin, psykiatri og intern medicin er i vejledningen angivet som relevante specialer i forhold
til at Styrelsen for Patientsikkerhed kan godkende en læge til at gøre ordinationer af dia-
cetylmorphin.
Dertil kræver en godkendelse til ordinationen, at lægen har en indgående erfaring med
rusmiddelbehandling, at kan dokumentere solid klinisk erfaring fra rusmiddelbehandlin-
gen
(7)
.
Den lægelige behandling forudsættes at være en integreret del af den enkelte kommunes
samlede behandlings og omsorgstilbud til stofbrugere. Der skal således være sammen-
hæng mellem den lægelige behandling og den indsats, der retter sig mod den enkelte
stofbrugers sociale problemer. Behandlingen med lægeordineret heroin vil derfor skulle
ledsages af en indsats, der ydes efter serviceloven, det vil sige såvel den sociale be-
handling efter servicelovens
§
101 som øvrig social støtte eksempelvis til løsning af
de forsørgelses- og boligmæssige problemer, som stofbrugeren har.
Det er kommunalbestyrelsens ansvar at sikre den fornødne sammenhæng mellem den
lægelige behandling og den hermed forbundne sociale indsats (7). Derfor vil der i be-
handlingstilbuddene foruden den sundhedsfaglige del af behandlingen være knyttet soci-
alfaglige og pædagogiske tilbud til behandlingen, der i samarbejde med den sundheds-
faglige del af tilbuddet udgør den samlede og helhedsorienterede indsats i forhold til
både Servicelov og Sundhedslov.
Der er forskel på, hvor mange patienter, der er indskrevet til behandlingsformen i de 5 af
landets heroinklinikker. Dette forventes afspejlet i en tilsvarende forskel i personalesam-
mensætning samt i antallet af ansatte i klinikkerne.
SUU, Alm.del - 2020-21 - Bilag 223: Orientering om evaluering af ordningen med lægeordineret heroin, fra sundhedsministeren
2322586_0091.png
Evaluering af ordningen med lægeordineret heroin til opioidafhængige patienter
Side 91/120
Som det fremgår af afsnit
6.1 ”Patienter til behandlingen med diacetylmorphin”, var
Val-
muen i København ved ordningens begyndelse i 2010 den klinik der havde flest ind-
skrevne patienter. Siden har klinikken i Odense haft et betydeligt optag i antallet af pati-
enter, og registrerer på dagen for indberetningen i år 2020 at have 103 indskrevne til be-
handlingen.
Indskrevne patienter på de 5 klinikker
02.02.2020
120
100
80
60
40
20
0
KABS
Odense
Esbjerg
Århus
Valmuen
Figur 6.2.4.1 Data leveret fra de 5 heroinklinikker i landet. Note: Antallet af indskrevne patienter til behandlingen med diacetylmorphin på datoen for
indberetning i året 2020.
Opgørelsen viser derudover, at KABS i Hvidovre har 36 patienter indskrevet i behandlin-
gen, Esbjerg har 21 patienter indskrevet i behandlingen, Århus har 11 patienter og Val-
muen i Københavns Nordvest kvarter har 56 patienter indskrevet i behandlingen.
Odense heroinklinik har flest indskrevne patienter til behandlingen i år 2020. Det vil derfor
forventes, at personalenormeringen afspejler størrelsen på patientgruppen, både hvad
angår den sundhedsfaglige del af indsatsen og hvad angår den socialfaglige del af ind-
satsen.
I Odense er der ansat 2 speciallæger i almen medicin. Den ene læge er ansat 37 timer
om ugen, den anden på 30-32 timer om ugen. Derudover er ansat 3 læger der er uddan-
net i andet speciale end de der i vejledningen til behandlingsformen med diacetylmorphin
er angivet som relevante specialer, og en enkelt reservelæge alle 4 læger er ansat i 37
timer pr uge i klinikken. Derudover indberetter Odense heroinklinik, at der er ansat yderli-
gere en reservelæge i mindre end 15 timer per uge.
SUU, Alm.del - 2020-21 - Bilag 223: Orientering om evaluering af ordningen med lægeordineret heroin, fra sundhedsministeren
2322586_0092.png
Evaluering af ordningen med lægeordineret heroin til opioidafhængige patienter
Side 92/120
Årsværk i de 5 heroinklinikker 2020
14
12
10
8
6
4
2
0
KABS
Odense
Esbjerg
Århus
Valmuen
Figur 6.2.4.2 Data leveret fra de 5 heroinklinikker. Note: Årsværk og sammensætning op klinkkerne. I figuren er årsværk sammenlagt efter de angivne
timeantal for hver funktion. Der er således ikke tale om eksakte tal. Se bilag 1 side opgave 5 i spørgeskemaet tilsendt klinikkerne.
I alt har klinikken i Odense ansat 11 sygeplejersker. De 7 i 37 timer om ugen, 2 sygeple-
jersker 30-32 timer om ugen og 2 sygeplejersker 25-29 timer om ugen. 7 Social- og
sundhedsassistenter er ansat 37 timer om ugen, og 2 er ansat imellem 30 og 32 timer
om ugen. Dertil angiver klinikken, at have 5 timelønnede sygeplejerstuderende og social-
og sundhedsassistentelever tilknyttet i få timer om ugen.
Der er ikke angivet at være socialfaglige tilknyttet heroinklinikken, men derimod at der er
3 pædagoger ansat 37 timer pr uge.
Valmuen har med sine 56 indskrevne patienter den næststørste patientgrundlag. Her vi-
ser opgørelsen tilsendt fra klinikken, at der er en læge ansat. Lægen er uddannet i et
speciale der ifølge vejledningen til behandlingsformen er at betragte som relevant i for-
hold til at kunne ordinere diacetylmorphin. Foruden den ansatte læge, der er i klinikken
37 timer hver uge, er ansat 13 sygeplejersker, de 10 på fuld tid (37 timer hver uge) de 3
er ansat imellem 30 og 32 timer pr uge. På klinikken er derudover ansat 1 socialfaglig og
4 pædagoger.
SUU, Alm.del - 2020-21 - Bilag 223: Orientering om evaluering af ordningen med lægeordineret heroin, fra sundhedsministeren
2322586_0093.png
Evaluering af ordningen med lægeordineret heroin til opioidafhængige patienter
Side 93/120
På klinikken hos KABS i Hvidovre er personalet i heroinklinikken en integreret del af den
øvrige rusmiddel- og substitutionsbehandling i rusmiddelcentret. Den almene konventio-
nelle substitutionsbehandling er med fysisk beliggenhed i på samme matrikel som heroin-
klinikken.
Årsværkene ansat i heroinklinikken KABS er derfor anderledes opgjort end for de reste-
rende klinikker og udgør 14 pct. af det samlede personale på hele substitutionsbehand-
lingsområdet. Opgjort alene som samlede antal årsværk ansat i heroinklinikken udgøres
dette af 11 sygeplejersker og 1 speciallæge i almen medicin. 7 Socialrådgivere, 3 social-
pædagoger, 2 psykologer ansat imellem 20 og 30 timer pr uge, 3 sygeplejersker ansat
henholdsvis 27, 6 og 6 timer pr uge samt 2 læger ansat 33 og 31 timer og en speciallæge
i psykiatri ansat 8 timer hver uge udgør de øvrige ansættelser i substitutionsbehandlingen
hos KABS i Hvidovre.
KABS, fordelingen af de samlede årsværk i
substitutionsbehandlingen til heroinklinikken
0,03
0,2
0,2
0,1
0,1
0,4
1
Socialfaglige
Fysioterapeut
Speciallæge i psykiatri
Socialpædagoger
Sygeplejersker
Psykolog
Læge, skiftende
Figur 6.2.4.3 Data leveret fra KABS i Hvidovre. Note: Fordelingen af årsværk i den samlede substitutionsbehandling KABS Hvidovre til heroinklinikkens
daglige drift.
I Esbjerg er ansat 1 læge, der er uddannet i et andet speciale end de der er anført som
relevante i forhold til vejledningen til behandlingen med diacetylmorphin. 1 sygeplejerske
er ansat i klinikken i 37 timer hver uge, og 2,5 er ansat imellem 30 og 32 timer pr uge.
Dertil indberetter klinikken at have 3 social- og sundhedsassistenter ansat, en i 37 timer
pr uge og 2 i 30-32 timer pr uge. I klinikken i Esbjerg er ikke indberettet at der er social-
faglige eller pædagoger ansat i heroinbehandlingen.
Klinikken i Århus er den klinik der de seneste 4 år fra 2016 til 2020 har haft færrest ind-
skrevne patienter til behandlingen. I de 4 seneste år har klinikkens patientgrundlag ligget
under det antal der ifølge sundhedsmyndigheder, lovgivning og vejledningen til behand-
lingen er vurderet foreneligt med en ensartet og acceptabel kvalitet i driften af en klinik til
behandling med injicerbar diacetylmorphin.
SUU, Alm.del - 2020-21 - Bilag 223: Orientering om evaluering af ordningen med lægeordineret heroin, fra sundhedsministeren
2322586_0094.png
Evaluering af ordningen med lægeordineret heroin til opioidafhængige patienter
Side 94/120
På baggrund af udenlandske erfaringer er et patientgrundlag på minimum 20 personer
per klinik forsvarligt for at sikre en ensartet behandling af høj kvalitet.
Antallet af indskrevne patienter i Århus 2010-
2020
30
25
20
15
10
5
0
2010
2011
2012
2013
2014
2015
2016
2017
2018
2019
2020
Figur 6.2.4.4 Data leveret fra klinikken i Århus. Note: Antallet af indskrevne patienter i klinikken 2012-2020
I klinikken er ansat 2 læger. Den ene læge er uddannet speciallæge i et relevant speci-
ale, og er i klinikken 37 timer per uge. Den anden læge er reservelæge og ikke specialist-
uddannet, denne læge er ansat i klinikken imellem 30 og 32 timer hver uge.
Klinikken har i alt 7,5 sygeplejersker ansat. 4 på fuld tid (37 timer per uge), 2 er ansat
imellem 30 og 32 timer hver uge og 1,5 sygeplejerskestillinger er indberettet som 15-19
timer per uge. 0,33 social- og sundhedsassistent er ansat mindre end 15 timer per uge,
og 6 socialfaglige er ansat mindre end 15 timer per uge.
Figur 6.2.4.2 viser sammensætning af personale og diversiteten i sammensætningen.
Der findes, at der både er stor forskel på patientantal og personalesammensætning i de 5
klinikker. Nogle klinikker indberetter at have meget sundhedsfagligt personale tilknyttet
og ser samtidig ud til at vægte den socialfaglige del af behandlingen mindre, hvor andre
klinikker ser ud til omvendt at have mindre sundhedsfagligt eller i særdeleshed lægefag-
ligt personale ansat og vægter den socialfaglige indsats højt.
Ikke overraskende har klinikken med størst tilgang og patientantal også mange årsværk
ansat i klinikken.
Den klinik med størst diversitet i personalesammensætningen er KABS i Hvidovre, der ud
over læger, sygeplejersker og social- og sundhedsassistenter indberetter at have tilknyt-
tet både psykolog og speciallæge i psykiatri som en del af behandlingstilbuddet.
SUU, Alm.del - 2020-21 - Bilag 223: Orientering om evaluering af ordningen med lægeordineret heroin, fra sundhedsministeren
2322586_0095.png
Evaluering af ordningen med lægeordineret heroin til opioidafhængige patienter
Side 95/120
I en anden del af spørgeskemabesvarelsen (afsnit 6.2.5) besvarer Valmuen dog også at
tilbyde udredning ved psykiater, uden anførsel af timetal.
KABS Hvidovre svarer som eneste behandlingssted, at have tilknyttet en fysioterapeut til
behandlingsindsatsen.
Tilbud i den samlede behandling med diacetylmorphin på de 5 klinikker
De 5 klinikker er blevet bedt om, at beskrive indholdet at behandlingen med udgangs-
punkt i de forskellige faggrupper, der er beskrevet i afsnittet ovenfor.
Klinikkerne er således blevet bedt om, at angive hvilke tilbud, der ydes i behandlingen
henholdsvis lægefagligt, sygeplejerfaglig, socialfagligt og som ”indsatser ved andre fag-
grupper”.
For såvidt angår de lægefaglige opgaver, er disse nærmere bestemt ud fra både lovgiv-
ning og vejledning til opgaven i forbindelse med behandlingen med substitutionsmedicin
og diacetylmorphin. En enkelt klinik anfører derudover ”psykoedukation” under de læge-
faglige tilbud (KABS
Hvidovre) og en anden klinik anfører ”miljøterapi” og ”rusmiddel-edu-
kation” under den lægefaglige indsats (Valmuen, København). Hos Valmuen tilbydes pa-
tienterne foruden den rusmiddelmedicinske lægefaglige behandling også udredning og
afklaring ved psykiater, ligesom der også er tilknyttet psykiatrisk behandling på tilbuddet
hos KABS.
De sygeplejerfaglige tilbud viser sig med større diversitet de forskellige klinikker imellem.
En enkelt klinik anfører at tilbyde gruppeforløb med forskellige emner som motion, tilba-
gefaldsforebyggelse og rygestop (Odense). En klinik (Valmuen) tilbyder miljøterapeutisk
indsats som en del af den samlede sygeplejerfaglige indsats. Sundhedsfremmende sam-
taler om kost, hygiejne, injektionsteknik med videre er en del af det sygeplejerfaglige til-
bud hos 2 klinkker (Odense og Valmuen), imens disse emner ikke nævnes i de øvrige kli-
nikkers besvarelse, som en del af det sundhedsfaglige tilbud.
I blandt de socialfaglige tilbud angiver 2 klinikker at tilbyde patienterne Cafe-miljøterapeu-
tisk træning (Odense og KABS) og en enkelt at der som en del af det socialfaglige tilbud
ydes ADL træning
10
og gruppeforløb med vekslende temaer som motion, tilbagefaldsfo-
rebyggelse og rygestop (Odense).
Samtlige klinikker besvarer, at det socialfaglige tilbud består af individuelle samtaler,
støtte og vejledning, hjælp i forbindelse med jobcentersager og andre aftaler og fremmø-
der, ligesom behandlingsplaner og opfølgende samtaler indgår som en del af det sam-
lede socialfaglige tilbud.
10
Activity of daily living
SUU, Alm.del - 2020-21 - Bilag 223: Orientering om evaluering af ordningen med lægeordineret heroin, fra sundhedsministeren
Evaluering af ordningen med lægeordineret heroin til opioidafhængige patienter
Side 96/120
Som det er tilfældet med personalesammensætningen på de 5 klinikker (6.2.4) findes det
ligeledes, at der er stor forskel på, hvilke indsatser de forskellige klinikker tilbyder i forbin-
delse med den helhedsorienterede substitutionsbehandling med diacetylmorphin.
7. Administrationsformer og frem-
tidige udleveringsmuligheder
Nationalt findes store geografiske variationer i forhold til hvorledes de illegale stoffer, som
patienterne benytter forud for indskrivningen til substitutionsbehandlingen, indtages. I
nogle områder af landet ryges heroinen eksempelvis i mere udtalt grad end den injiceres.
I Danmark er nu godkendt to administrationsformer for heroin, den injicerbare dia-
cetylmorphin og tabletten Diaphin. Begge administrationsformer er alene godkendt til ind-
tag under observation og er således ikke mulig at få udleveret til indtag udenfor de speci-
aliserede behandlingssteder. Diaphin tabletten blev godkendt og skulle indgå som del af
behandlingen, for at imødekomme de patienter, der ikke injicerede heroin ved inklusio-
nen til behandlingen, benyttede administrationsformer som inhalation (rygning) eller na-
saladministration (snifning) samt de patienter, der af andre årsager ikke længere kunne
injicere eller udtrykte ønske om at ophøre eller nedtrappe i heroinforbrug.
Når en patient er fraværende fra behandlingen grundet ferie, er indlagt på hospital, afso-
ner i regi af kriminalforsorgen eller af anden årsag er uden mulighed for fysisk fremmøde
til klinikken hvor diacetylmorphinen udleveres og reaktionen på indtaget kan observeres,
kan patienten ikke modtage behandlingen med dette substitutionspræparat. Behandlin-
gen omstilles derfor i disse situationer, som det fremgår af kapitel 6 afsnit 6.2 og 6.2.1 til
konventionel substitutionsbehandling med metadon eller (dog mindre ofte) til depotmor-
fin, såfremt patienten ikke tåler metadon.
7.1.
Diacetylmorphin, farmakodynamik og farmakokinetik
Heroin er et potent stof, der er mere vandopløseligt og langt mere potent end morfin.
Stoffet omdannes efter indtag til to metabolitter (delstoffer) hvoraf slutproduktet er mor-
fin
(14)
.
De metabole processer, hvormed heroin omdannes igennem forskellige trin, er alle af for-
skellig varighed. Den gennemsnitlige halveringstid når administreret intravenøst er 3 mi-
nutter
(14)
for den første metabolit 6-acetyl morfin, og 22 minutter for den anden metabolit
morfin.
SUU, Alm.del - 2020-21 - Bilag 223: Orientering om evaluering af ordningen med lægeordineret heroin, fra sundhedsministeren
2322586_0097.png
Evaluering af ordningen med lægeordineret heroin til opioidafhængige patienter
Side 97/120
Figur 7.1.1 Illustration af Heroins metabolisering til 6-acetylmorfin og slutproduktet morfin.
Efter den første metabolisering til morfin, omdannes morfinet videre til metabolitterne
morfin-6-glukoronid (M6G) og slutproduktet morfin-3-glukoronid (M3G) (15). Dette uanset
om morfin er kommet fra heroin eller er indtaget rent som morfin.
Heroinens virkning afhænger naturligvis både af den individuelle tilvænning til stoffet,
mængden af stof indtaget i forhold til tilvænning og derudover også af indtagsformen.
Den kemiske sammensætning af heroin gør, at stoffet er mere fedtopløseligt end morfin,
hvorfor heroin menes at passere blod-hjernebarrieren lettere end morfin gør. Denne let-
tere passage gør også, at heroins farmakodynamik er langt mere intens, end den er for
morfin. Af netop samme årsag indtræder også virkningen af heroin hurtigere og mere
potent, end en tilsvarende dosis morfin ville gøre det
(16)
.
Når heroin indtages direkte til blodet som injektion, falder niveauet af heroin (prodrug)
meget hurtigt og er udetekterbart allerede efter 10-40 minutter. Meget hurtigt efter eller
allerede i forbindelse med indtag af heroin til blodet, oplever patienten/stofbrugeren et så-
kaldt
”sus” der menes at ske som funktion af en kombination af den maximale koncentra-
tion (C
max
) af både heroin og snart efter af metabolitten 6-acetylmorfin.
Efter den initiale potente og intense påvirkning af heroinindtaget tilkommer eufori og en
sederende virkning. Oplevelsen af
”sus” sker på baggrund af et peak i koncentrationen i
blodet af heroin og 6-acetylmorfin og er størst ved administration direkte til vener eller
muskler som injektion, eller via lungerne som inhalation. Virkningen af den sidste meta-
bolit, morfin, er betydelig anderledes, og ikke nær så intens.
Samme hurtige stigning i plasmakoncentration og samme hurtige absorbtionshastighed
efter indtag er fundet efter intranasal administration, snifning. Dette, da heroin hurtigt op-
tages over slimhinder
(16)
. Derudover er næseslimhinden og lungevævet velperfunde-
rede med rigelig blodtilførsel, hvorfor distributionen til blodbanen sker meget hurtigt.
Biotilgængeligheden synes at være større, jo mere direkte heroinen tilføres blodbanen,
og findes således 2-4 gange lavere når heroinen ryges på folie (kaldet
Chasing the dra-
gon)
end den er, når den injiceres direkte til venen og dermed blodbanen.
Ved den intramuskulære injektion findes en langsommere stigning og et mindre peak i
SUU, Alm.del - 2020-21 - Bilag 223: Orientering om evaluering af ordningen med lægeordineret heroin, fra sundhedsministeren
Evaluering af ordningen med lægeordineret heroin til opioidafhængige patienter
Side 98/120
plasmakoncentration af heroin, end det findes ved intravenøs injektion. Heroinen cirkule-
rer rundt i blodet i længere tid, som funktion af en forlænget frigivelse fra injektionsstedet
(musklen) end den der forekommer, når der injiceres direkte til blodbanen i en vene.
Når heroin administreres oralt (som det sker, når eksempelvis indtaget som tablet), eller
rektalt kan metabolitten 6-acetylmorfin ikke genfindes i plasma. Patienterne oplever ikke
et
”sus” ved disse administrationsformer. De mere basiske forhold i mavetarmkanalen og
metaboliseringen i leveren fra heroin til morfin er beskrevet som mulig årsag til dette
(16)
.
Dog kan mild eufori fortsat opleves i forbindelse med indtaget.
Den ruspåvirkning der opnås ved den hurtige stigning i plasmakoncentrationen af heroin
og 6-acetylmorfin sker ikke når diacetylmorphinen indtages som tablet.
Grundet diacetylmorphins halveringstid, skal heroin indtages flere gange i døgnet, for at
patienten er abstinensfri. Da klinikkerne har åbent i dagtid, bibeholdes derfor som ud-
gangspunkt 30 pct. af den totale opioiddosis som metadon eller (langt mere sjældent) de-
potmorphin, mens de resterende 70 pct. omstilles til diacetylmorphin. På den måde sikres
det at patienten er abstinensfri hele døgnet (afsnit 6.2).
7.2.
Erfaringen med tabletbehandlingen i de 5 heroinklinikker
Diaphin tabletten er ikke markedsført i Danmark og derfor kræver bruget i behandlingen
en særlig udleveringstilladelse fra Lægemiddelstyrelsen. Diaphinpulver der benyttes til
injektionsvæske er godkendt og kræver derfor ikke denne udleveringstilladelse. Tilladel-
sen fra Lægemiddelstyrelsen skal fornys hvert år.
Diaphintabletten blev godkendt til at indgå som del af behandlingen i 2013. Dette blandt
andet for, at imødekomme de patienter, der ikke injicerede heroin, men som var af-
hængige af heroin under andre administrationsformer samt de patienter, der af andre år-
sager ikke længere kunne injicere eller udtrykte ønske om at ophøre eller nedtrappe i he-
roinforbrug.
Manglen på ruspåvirkning ved brug af tablet diacetylmorphin kompenseres i de 5 klinik-
ker på forskellig vis. Langt de fleste patienter indskrevet i behandlingen med dia-
cetylmorphin får denne udleveret til injektion. En enkelt klinik rapporterer ikke at have no-
get egentligt erfaringsgrundlag for tabletbehandlingen, og har ved bestilling af dia-
cetylmorphin fra Lægemiddelstyrelsen måtte destruere tabletterne igen.
Odense er den klinik, hvor flest patienter ud af den samlede patientpopulation (16,5 pct.)
er i behandling med tabletten alene. For at opnå rusen er færre end 5 patienter på en
kombinationsbehandling der består af både injicerbar diacetylmorphin og tabletbehand-
ling med Diaphin. Nogle af de patienter der indgår i behandlingen med tablet er overgået
SUU, Alm.del - 2020-21 - Bilag 223: Orientering om evaluering af ordningen med lægeordineret heroin, fra sundhedsministeren
2322586_0099.png
Evaluering af ordningen med lægeordineret heroin til opioidafhængige patienter
Side 99/120
til behandlingsformen med baggrund i dårlig venestatus, andre igen er overgået til tablet-
behandlingen grundet voldelig adfærd, der fordrer til forsigtighed i forhold til at håndtere
skarpe og spidse genstande.
I Odense kan der ikke ske ændringer i ordination fra injicerbar heroin til tablet diaphin (el-
ler omvendt) på samme dag. Ruspåvirkning kan i Odense i enkelte tilfælde være en del
af behandlingsplanen, men der skal forud for en ordination samtales med patienten om-
kring årsagen til ønsket. Det er erfaringen i klinikken, at de patienter der anmoder om en
rus gør dette af andre årsager end at søge selve rusen. Derfor er hyppigere patientsam-
taler en del af den samlede behandlingsindsats.
Pct. af de indskrevne, som er i
tabletbehandling
18
16
14
12
10
8
6
4
2
0
Odense
KABS
Esbjerg
Århus
Valmuen
Figur 7.2.1 Data leveret fra de 5 heroinklinikker. Note: Pct. af de indskrevne patienter, som er i behandling med tablet med diacetylmorphin. KABS og
Esbjerg er diskretionerede da under 5 patienter er i behandling med tabletten, derfor i figuren sat som 1 pct.
Hos Valmuen i København er 12 pct.af patienterne i behandling med tablet Diaphin
alene. Færre end 5 patienter modtager kombinationsbehandling med henholdsvis tablet
og injicerbar heroin. En endnu mindre patientandel veksler imellem injektion og tablet til
udleveringerne. Erfaringen er, at rus ikke kan opnås på en forsvarlig vis med tabletbe-
handling. Rusen kan imødekommes ved at overgå fra tablet til injektion ved behov. Det
er på Valmuen ikke muligt at veksle imellem injektion og tablet samme dag patienten ud-
trykker ønsket herom. Dette har sin begrundelse i sikkerhedsmæssige foranstaltninger i
den måde hvorpå der omregnes fra den ene administrationsform til den anden.
I Esbjerg og hos KABS i Hvidovre er færre end 5 patienter af de samlede patientgrupper
indskrevet til tabletbehandlingen som eneste administrationsform. Langt størstedelen af
patienterne i begge klinikker injicerer diacetylmorphinen.
I Esbjerg ordineres tabletbehandlingen til patienter der ikke har injiceret illegalt erhvervet
heroin, men som inhalerer (ryger heroinen) og til patienter der ikke længere har vener der
SUU, Alm.del - 2020-21 - Bilag 223: Orientering om evaluering af ordningen med lægeordineret heroin, fra sundhedsministeren
Evaluering af ordningen med lægeordineret heroin til opioidafhængige patienter
Side 100/120
er gode nok til injektion. I Esbjerg er der erfaring for, at patienter der er ordineret tabletbe-
handlingen har forsøgt at tage tabletten med hjem til trods for, at denne skal indtages
overvåget på klinikken. Årsagerne til disse forsøg på at tage medicinen med ud af klinik-
ken har været mange. Nogle ønsker at indtage på egne præmisser (eksempelvis at inji-
cere i kar der ikke er lægeligt fundet egnede til injektion på klinikken), andre har forsøgt
alene for at se om det kunne lade sig gøre at få tabletten med ud af klinikken. En enkelt
patient var bekymret for om han/hun kunne tåle den dosis der var udleveret, og forsøgte
derfor at tage medicinen med hjem.
Hos KABS i Hvidovre veksler ganske få (<5) imellem injektion og tablet. Klinikken har tid-
ligere haft langt flere patienter der har været ordineret tablet Diaphin, end det er tilfældet
nu. Disse patienter er enten overgået til anden substitutionsmedicin, er trappet ud af he-
roinbehandlingen eller afsoner i regi af kriminalforsorgen.
I klinikken i Hvidovre ordineres rusdoser under anerkendelsen af, at der kan være visse
ulemper ved at ordinere diacetylmorphin til rus. Dog vurderes det omvendt, at de eventu-
elle negative effekter der kan være ved at ordinere til rus kan opvejes af de positive, som
eksempelvis at nedsætte sideforbrug og risikoadfærd ved at søge stoffer illegalt i den
åbne stofscene. I hvert enkelt tilfælde tages stilling til, hvad formålet med behandlings-
ændringen til rus eller væk fra rusen er.
I Århus er der fra Lægemiddelstyrelsen udleveret tablet Diaphin, men klinikken har igen-
nem længere tid ikke haft mulighed for at udlevere tabletten til patienterne grundet god-
kendelsesforholdene hos den ansatte og ordinerende læge.
Klinikkens behandlingsansvarlige læge har ikke nogle erfaringer med brug af tabletfor-
men af diacetylmorphin.
Den lokale stofscene i Århus rummer en overrepræsentation af brugere der ryger heroin,
og ikke så mange der injicerer. Erfaringen fra de øvrige klinikker i forhold til blandt andet
patientgrundlag og anvendelse af Diaphin tabletten, sammenholdt med viden om tablet-
tens manglede ”sus” egenskab og ruspåvirkning
kan så tvivl om, hvorvidt behandling
med tablet diacetylmorphin vil være egnet som substitutonsbehandlingspræparat til mål-
gruppen af stofbrugere i den lokale stofscene i Århus som inhalerer heroin.
7.3.
Vurdering af muligheden for en udvidelse af ordningen samt
”tag-med-hjem”-
ordning
Tidligere har nogle patienter udtrykt ønske om at få mulighed for at tage heroin med
hjem. Dels for at slippe for de hyppige fremmøder til administration i klinikken, dels fordi
flere har udtrykt ønske om fuldstændig overgang til diacetylmorphin og dermed at kunne
undgå metadon som ellers oftest anvendes som den resterende døgndækning af opioid i
klinikkernes lukkede timer.
SUU, Alm.del - 2020-21 - Bilag 223: Orientering om evaluering af ordningen med lægeordineret heroin, fra sundhedsministeren
Evaluering af ordningen med lægeordineret heroin til opioidafhængige patienter
Side 101/120
For at kunne sammenligne de danske forhold med internationale erfaringer med substitu-
tionsbehandling ( som eksempelvis Schweiz, Holland og England), er det væsentligt, at
inklusion til tilbuddet og dermed patientpopulationen der tilbydes behandlingen er sam-
menlignelig, ligesom det er væsentligt at sundhedssystem og de medicinske tilbud i be-
handlingen er det.
I Schweiz er sammensætningen i anvendelsen af lægemidler benyttet i substitutionstil-
buddene anderledes end de er i Danmark
(17)
, til trods for at flere af de lægemidler der be-
nyttes er de samme. Her findes, som det er tilfældet i Danmark, at langt de fleste der be-
handles med opioid agonister for opioidafhængighed behandles med metadon (66 pct.).
Siden heroin blev mulig at benytte i behandlingen (1994), har tilgangen til behandlingsfor-
men været stabil med omkring 12,6 pct. af den samlede patientpopulation. Behandlingen
med buprenorphin ,der blev godkendt i 2002, og Slow-released Oral Morphine (SROM,
på dansk betegnet depotmorfin, godkendt i 2013), har mindre tilgang med hver 10,2 pct.
og 10,3 pct. af den samlede patientpopulation, men forudsiges at imødekomme flere pati-
enter med tiden
(17)
. Diversitet i behandlingstilbuddene som det findes i Schweiz søger at
kunne rumme forskellige patientpopulationer. De yngre og mindre injektionserfarne bru-
gere lader sig indskrive i behandlingen med buprenorphin eller SROM/depotmorfin, de
ældre og mere socialt uintegrerede søger henholdsvis metadon eller heroinbehandlin-
gen.
I Danmark er metadon det præparat som flest opioidafhængige patienter fortsat behand-
les med, selvom vejledningen til behandlingen peger på burprenorphin-præparater som
førstevalg ved opioidafhængighed til nye patienter, der indskrives i behandlingen og som
ikke tidligere har været indskrevet i metadonbehandling.
Buprenorphin er mindre kardiotoksisk end metadon, der som bekendt kan forårsage
overledningsforstyrrelser i hjertet (QTc forlængelser). Dermed har præparatet bupre-
norphin en langt større sikkerhedsprofil i anvendelse end metadon. Det samme gør sig
gældende for depotmorfin, der dog ikke er godkendt til substitutionsbehandlingen i Dan-
mark, men alene anvendes til de patienter som ikke tåler metadon.
I Danmark er diversiteten i lægemiddelvalg mindre end i Schweiz.
En ordning i hvilken det er muligt for patienterne at få medicinen med hjem, en såkaldt
”tag-med-hjem” ordning er ikke blevet anbefalet tidligere fra sundhedsmyndighederne.
Blandt andet er det vurderet risikabelt at tillade at injicerbar heroin indtages uden opsyn.
(1)
. Overvejelserne omkring en ”tag-med-hjem-ordning” af injicerbar heroin er de samme
som tidligere, og vurderes fortsat at være for risikabelt for patienter og samfund.
De sundhedsfaglige vurderinger om udvidelse i forhold til heroinpræparater og en ”tag-
med-hjem”
ordningen er gjort udfra, at der ved disse former for administration og håndte-
ring af diacetylmorphinen vil være en risiko for alvorlige til fatale bivirkninger for patienter
og tredjemand, såfremt den helt rene heroin håndteres uforsigtigt, uden opsyn samt af
anden end ordineret til. Undersøgelser gjort i forbindelse med aktuelle evaluering viser
samtidig, at der ikke i særlig
vid udstrækning efterspørges en ”tag-med-hjem” ordning
SUU, Alm.del - 2020-21 - Bilag 223: Orientering om evaluering af ordningen med lægeordineret heroin, fra sundhedsministeren
Evaluering af ordningen med lægeordineret heroin til opioidafhængige patienter
Side 102/120
iblandt de patienter der er indskrevet i tilbuddet
11
.
Behandling med diacetylmorphin har ikke ligeså stor tilslutning i Danmark, som den har i
Schweiz. I Danmark finder vi i denne opgørelse, at der i 2020 samlet er indskrevet 232
patienter i aktiv behandling. Ud af den samlede population af patienter, der modtager
substitutionsbehandling svarer dette til omkring 3,5 procent
18
.
Behandlingsformen med tablet Diaphin har lille tilslutning, og erfaringen med behandlin-
gen er derfor heller ikke stor.
Det vurderes blandt andet derfor, at der endnu er et for spinkelt erfaringsgrundlag og
sammenligningsgrundlag med indtagelsesformen i Danmark til, at der kan drages konklu-
sioner, om hvorvidt behandlingsformen med diacetylmorphin kan udvides. Det vurderes
derfor ikke, ud fra de undersøgelser der er foretaget i forbindelse med denne evaluering
af ordningen med lægeordineret heroin, at der på nuværende tidspunkt sundhedsfagligt
kan anbefales en udvidelse af ordningen med lægeordineret heroin i forhold til andre ind-
tagelsesformer som rygeheroin, næsespray eller pulver til snifning. Ej heller at der kan
udvides i ordningen således, at diacetylmorphintabletten kan tages med hjem.
Der er stor forskel på den heroin der kan købes illegalt på gaden, og den helt rene he-
roin, der ordineres til indskrevne patienter i de 5 heroinklinikker. Håndteres den 100 pct.
rene heroin ikke som den skal eller af andre end de patienter den er ordineret til, kan
dette have fatale følger for tredjemand og samfund, som ligeledes bør tages i betragt-
ning, i forhold til hvorvidt lægeordineret heroin skal kunne bringes med hjem fra klinikken.
Der findes fortsat metadon, der er et lægeordineret substitutionsbehandlingspræparat, på
den illegale stofscene
hvorfor det ikke er utænkeligt, at samme vil gøre sig gældende
for den rene heroin.
Undersøgelserne gjort i forbindelse med nærværende evaluering afdækker snarere et
behov for, at der eksploreres yderligere i ligheder og forskelle imellem Diaphin som tablet
og depotmorfin som tilbud i substitutionsbehandlingen. Både i forhold til at kunne fast-
holde patienter i en god substitutionsbehandling, hvor kombinationen af diacetylmorphin
og et muligt andet lægemiddel fremtidigt eventuelt kan sikre bedre abstinensfrihed samti-
dig med, at patienterne oplever færrest mulige bivirkninger til behandlingen. Men også i
forhold til en patientsikkerhedsmæssig betragtning af, at er morfin muligvis kan være en
ligeså god løsning og endda bedre i kombination med heroin end metadon og tablet Dia-
phin er det. Ønsket
om en ”tag-med-hjem” ordning
udsprang desuden oprindeligt blandt
andet fra, at patienterne ønskede at undgå den resterende døgndosis opioid som meta-
don.
Det bør vurderes, om Diaphin som tablet ikke alene skal anskues som et dyrt prodrug,
der uden stor virkningsafvigelse ville kunne erstattes af depotmorfin og som vil kunne
11
Møde med lægerne i heroinklinikkerne omhandlene ”tag-med-hjem-ordningen” og erfaringerne med diacetylmorphintabletten
24.09.20 samt 01.10.20.
SUU, Alm.del - 2020-21 - Bilag 223: Orientering om evaluering af ordningen med lægeordineret heroin, fra sundhedsministeren
Evaluering af ordningen med lægeordineret heroin til opioidafhængige patienter
Side 103/120
give samme patienttilfredsstillelse og virkning, nu det farmakodynamisk findes, at 6-ace-
tylmorfin-metabolitten (afsnit 7.1) helt bypasses grundet indtagelsesformen (oralt) til ma-
vetarmkanalen, og at behandlingsformen derfor ikke synes at være anvendelig til substi-
tution for hverken de patienter der sniffer, ryger eller injicerer heroin og søger et
”sus”
som en del af behandlingsmomentet.
Det vil snarere end at eksplorere yderligere
i en ”tag-med-hjem” ordning
af tablet Diaphin
synes nærliggende, i første omgang, at undersøge depotmorfin som mulig at kunne ind-
drage som del af substitutionsbehandlingen for opioidafhængighed og i kombination til
behandlingen med lægeordineret heroin.
7.4.
Supplerende tiltag
Evalueringen viser, at der er stor diversitet i behandlingsformen i de 5 tilbud. Hvad der er
almindeligt at tilbyde som en del af behandlingen på en klinik findes ikke i andre. Patient-
grundlaget til behandlingen er mindre end det forventedes ved ordningens begyndelse og
erfaringerne med behandlingen er forskellig i de 5 klinikker. Evalueringen afdækker et be-
hov for, at der samarbejdes bredere på tværs af de 5 klinikker, således at der i fremtiden i
mere udtalt grad sparres og videndeles på tværs af de 5 behandlingstilbud, både i forhold
til tendenser og forandringer i de lokale stofscener, der kan påvirke patientpræferencer
og patienttilgang, men også i forhold til at kunne dele erfaringer med behandlingsindsat-
ser samt eventuelle nye tiltag i klinikkerne.
Det er vurderes væsentligt, at der opfordres til, at både de etablerede klinikker og de be-
handlende læger i langt højere grad samarbejder om at ensarte de 5 tilbud, således at
der ikke er en stor forskel på at være patient i en del af landet frem for en anden. Sund-
hedsstyrelsen vil til dette formål i 2021 etablere en følgegruppe, hvorigennem et forum for
sparring og erfaringsudveksling vil kunne initieres.
Tabletten med diacetylmorphin blev godkendt til behandlingen for blandt andet at imøde-
komme de patienter der indtager heroin igennem snifning og inhalation (rygning), og som
søger en rus. Ruspåvirkningen opnås imidlertid ikke ved indtag af diacetylmorphintablet-
ten, hvilket kan være en mulig årsag til, at anvendelsen af tabletformen som substitution i
herointilbuddet er med lille tilslutning. Om der kan godkendes andre eller flere præpara-
ter til en bredere samlet substitutionsbehandlingen, herunder også de i kombination til
heroinbehandlingen, kan i fremtiden med fordel undersøges. Flest mulige patienter bør
fremtidigt kunne inkluderes i en substitutionsbehandling, der dækker hver enkelt patients
behov.
SUU, Alm.del - 2020-21 - Bilag 223: Orientering om evaluering af ordningen med lægeordineret heroin, fra sundhedsministeren
Evaluering af ordningen med lægeordineret heroin til opioidafhængige patienter
Side 104/120
Tiltag, der vil kunne føre til et større patientgrundlag, bedre inklusion til behandlingen og
en bedre behandlingstilknytning indenfor substitutionsbehandlingen bør undersøges.
Herunder muligheden for, at patienterne kan modtage flere forskellige tilbud lokalt samt
muligheden for at udvide åbningstiderne i tilbud, hvor hyppig lægemiddeladministration er
væsentlig, som det er i behandlingen med diacetylmorphin.
Evalueringen af ordningen med lægeordineret heroin 2020 er gjort ud fra data indhentet
fra Sundhedsdatastyrelsens database for injicerbar metadon og heroin, samt møder og
en spørgeskemaundersøgelse rettet de klinikker der tilbyder behandlingsformen. Fremti-
dige vurderinger i forhold til blandt andet inkluderende tiltag og tilbud til behandlingen,
kan med fordel gøres i samråd med og under inddragelse af de patienter der har været
indskrevet eller fortsat er indskrevet i behandlingen med diacetylmorphin.
SUU, Alm.del - 2020-21 - Bilag 223: Orientering om evaluering af ordningen med lægeordineret heroin, fra sundhedsministeren
2322586_0105.png
Evaluering af ordningen med lægeordineret heroin til opioidafhængige patienter
Side 105/120
8. Bilag
Bilag 1
Spørgeskema til landets heroinklinikker til brug for
evalueringen af ordningen med lægeordineret he-
roin 2020
Spørgeskemaet bedes printet ud, udfyldt og returneret til Sundheds-
styrelsen senest den 30.03.2020
Indhold:
1.
2.
3.
4.
5.
6.
7.
Antal patienter i behandling vilkårlig dato hvert år
Dosis på vilkårlig dato
Antal udleveringer vilkårlig uge
Definition af patientgruppen, hard to treat
Årsværk i klinikken
Tilbud i behandlingen, foruden substitutionsmedicin
Lægedækningen i klinikken, inkl. tilstedevær af læge med ordinationsret
Bilag 1-3
SUU, Alm.del - 2020-21 - Bilag 223: Orientering om evaluering af ordningen med lægeordineret heroin, fra sundhedsministeren
2322586_0106.png
Evaluering af ordningen med lægeordineret heroin til opioidafhængige patienter
Side 106/120
1.
Antal patienter i behandling vilkårlig dato hvert år
Hvor mange patienter er indskrevet i behandling på klinikken
Antal:
20.10.2010
20.10.2011
20.10.2012
20.10.2013
20.10.2014
20.10.2015
20.10.2016
20.10.2017
20.10.2018
SUU, Alm.del - 2020-21 - Bilag 223: Orientering om evaluering af ordningen med lægeordineret heroin, fra sundhedsministeren
2322586_0107.png
Evaluering af ordningen med lægeordineret heroin til opioidafhængige patienter
Side 107/120
20.10.2019
02.02.2020
2.
Dosis på vilkårlig dato:
Dosis dia-
cetylmor-
fin pr. pa-
tient ind-
skrevet i
behand-
ling på
dato*
Dato:
20.10.
10
Dato:
20.10.
11
Dato:
20.10.
12
Dato:
20.10.
13
Dato:
20.12.
14
Dato:
20.10.
15
Dato:
20.10.
16
Dato:
20.10.
17
Dato:
20.10.
18
Dato:
20.10.
19
Dato:
02.02.
20
1
2
3
4
5
6
7
8
9
10
11
12
SUU, Alm.del - 2020-21 - Bilag 223: Orientering om evaluering af ordningen med lægeordineret heroin, fra sundhedsministeren
2322586_0108.png
Evaluering af ordningen med lægeordineret heroin til opioidafhængige patienter
Side 108/120
13
14
15
16
17
18
19
20
21
22
23
24
*). Er der flere patienter end 24 indskrevet i behandlingen, bedes dette udfyldt skema 1.b bilag 1.
Samme dato i 9 år, ikke det 10. år.
3.
Antal udleveringer vilkårlig uge:
Hvor
mange
gange
har pa-
tienten
fået ud-
leveret
begge
doser
dia-
cetylmo
rfin i
denne
uge
*
201
0
uge
25
201
1
Uge
25
201
2
Uge
25
201
3
Uge
25
201
4
Uge
25
201
5
Uge
25
201
6
Uge
25
201
7
Uge
25
201
8
Uge
25
201
9
25
Uge
202
0
Uge
8
1
SUU, Alm.del - 2020-21 - Bilag 223: Orientering om evaluering af ordningen med lægeordineret heroin, fra sundhedsministeren
2322586_0109.png
Evaluering af ordningen med lægeordineret heroin til opioidafhængige patienter
Side 109/120
2
3
4
5
6
7
8
9
10
11
12
13
14
15
16
17
18
19
20
21
22
SUU, Alm.del - 2020-21 - Bilag 223: Orientering om evaluering af ordningen med lægeordineret heroin, fra sundhedsministeren
2322586_0110.png
Evaluering af ordningen med lægeordineret heroin til opioidafhængige patienter
Side 110/120
23
24
*) Her antages det, at hver indskreven patient følger en behandlingsplan bestående af udleveringsregimer, der
kræver diacetylmorfinudlevering 2 gange/dag, 7 dage/uge. Eller 1 udlevering diacetylmorfin/dag og 2 udleverin-
ger metadon/dag. I alt minimun 2 udleveringer/dag, hvoraf sidste udlevering inkluderer den udleverede af-
ten/natdosis af metadon. Særaftaler bedes noteret bilag 2. Merpatientantal ligeså.
4.
Definition af patientgruppen, hard to treat:
Hvilke patienter er målgruppen for tilbuddet hos jer?
Som det fremgår af figuren i bilag 3, udgår patienterne fra behandlingen af mange for-
skellige årsager - 14 % kan ikke rummes i behandlingen.
Sundhedsstyrelsen vil bede landets 5 heroinklinikker beskrive inklusionskriterierne (fra
journaloptag/behandlingsplaner) for i alt 5 forløb, fordelt på den 10 års periode, i hvilken
ordningen med lægeordineret heroin har forløbet.
Beskrivelserne skal tjene det formål, at definere jeres udvælgelses-/indskrivningskriterier
lokalt for behandlingen med diacetylmorfin.
Beskrivelserne skal forklare og beskrive de tilgrundliggende årsager til, at tilbuddet med
lægeordineret diacetylmorfin er blevet tilbudt patienten.
Beskrivelserne skal overleveres Sundhedsstyrelsen i henhold til gældende regler om da-
tabeskyttelse, der må derfor alene være tale om kriterierne for patientens inklusion, lige-
som en patient ikke må kunne identificeres udfra beskrivelserne, der dermed heller ikke
skal rumme årstal for indskrivning, køn, tidligere behandlingstilbud mv.
5.
Årsværk i klinikken
37 ti-
Faggruppe
mer/uge
(anføres i
antal)
30-32 ti-
mer/uge
(anføres
i antal)
25-29 ti-
mer/uge
(anføres
i antal)
20-25 ti-
mer/uge
(anføres
i antal)
15-19 ti-
mer/uge
(anføres
i antal)
Mindre
end 15 ti-
mer/uge
Speciallæger i psyki-
atri
Speciallæger i almen
medicin
SUU, Alm.del - 2020-21 - Bilag 223: Orientering om evaluering af ordningen med lægeordineret heroin, fra sundhedsministeren
2322586_0111.png
Evaluering af ordningen med lægeordineret heroin til opioidafhængige patienter
Side 111/120
Speciallæger i sam-
fundsmedicin
Speciallæger i andet
speciale*
Reservelæger (ikke
specialist)
Sygeplejersker
Social- og sundheds-
assistenter
Social- og sundheds-
hjælpere
Socialfaglige
Pædagoger
Antropologer
Sociologier
Psykologer
*) Anfør hvilke evt. andre specialer der er repræsenteret i klinikken
6.
Tilbud i behandlingen, foruden substitutionsmedicin
Hver klinik bedes beskrive hvad behandlingen for en patient typisk rummer. Herunder be-
des anført alt der måtte inkluderes som del af det samlede behandlingstilbud, fritekst:
Lægefaglige tilbud
1. indsats
2. indsats
3. indsats
SUU, Alm.del - 2020-21 - Bilag 223: Orientering om evaluering af ordningen med lægeordineret heroin, fra sundhedsministeren
2322586_0112.png
Evaluering af ordningen med lægeordineret heroin til opioidafhængige patienter
Side 112/120
4. indsats
Socialfaglige tilbud
1. indsats
2. indsats
3. indsats
4. indsats
Sygeplejefaglige tilbud
1. indsats
2. indsats
3. indsats
4. indsats
Indsatser ved andre faggrup-
per, hvilke
1. indsats
2. indsats
3. indsats
4. indsats
5. indsats
6. indsats
Skemaet kan fortsættes i fritekst, der blot vedlægges besvarelsen og mærkes med afsnittets nummer (6).
SUU, Alm.del - 2020-21 - Bilag 223: Orientering om evaluering af ordningen med lægeordineret heroin, fra sundhedsministeren
2322586_0113.png
Evaluering af ordningen med lægeordineret heroin til opioidafhængige patienter
Side 113/120
7.
Lægedækningen i klinikken
læge med ordinationsret, tilstedeværelse.
Behandlingen med diacetylmorfin er en sundhedsfaglig specialopgave. Dette stiller sær-
lige krav til behandlingen og patientsikkerheden. Derfor kræves helt særskilte krav til de
faglige kompetencer, som en læge med denne ordinationsret bestrider *
1. Hvor mange læger, godkendt igennem STPS til or-
dination af diacetylmorfin, er ansat i klinikken
2. Hvor ofte er der en læge med ordinationsret igen-
nem STPS tilstede i klinikken (angiv antal ti-
mer/uge med 1 eller flere læger tilstede
ikke
overlappende**)
3. Benytter klinikken sig af muligheden for at over-
lade ordinationsretten til andre læger, der ikke er
godkendt til ordination af diacetylmorfin ved
STPS (i forbindelse med sygdom/ferie/andet).
Bedes anført ja/nej
Hvis ja i spg. 3: hvor ofte (dage pr. år)
Hvis ja i spg.3: med hvilken begrundelse (angiv, ferie,
sygdom, langtidssygemelding, andet)
Hvis ja i spg.3; hvorledes forholder klinikken sig til denne
overdragelse af midlertidig ordinationsret? Herunder: ti-
mer/dage/uger/måneder pr. år? I hvor lang tid har klinik-
ken maximalt haft overdraget ordinationsret til anden
læge?
Antal timer, dage,
uger, måneder med
overdragelse (maxi-
mal overdragelsestid,
bedes anført:)
SUU, Alm.del - 2020-21 - Bilag 223: Orientering om evaluering af ordningen med lægeordineret heroin, fra sundhedsministeren
2322586_0114.png
Evaluering af ordningen med lægeordineret heroin til opioidafhængige patienter
Side 114/120
*) Se ”vejledning *) om ordination af diecetylmorfin
(heroin) ved opioidafhængighed, 2.3
**) Her menes de antal timer/uge der er en eller flere læger med ordinationsret tilstede. Ikke summeret! Såfremt
der er 2 eller flere læger tilstede i klinikken på samme tid, angives kun den ene læges time-tilstedevær. Timetal-
let angives/uge og alene for den uge spørgeskemaet udfyldes i.
Bilag 1.
Skema 1.b: Hvis flere patienter ned 24 fortsættes skema 1.
Hvor Dato:
hvil-
ken 20.10
do-
.2010
sis
dia-
cetyl
mor-
fin
fik
pati-
en-
tern
e er
ind-
skre-
vet i
be-
hand
ling
kli-
nik-
ken.
24
25
26
27
Dato Dato Dato Dato Dato Dato Dato Dato Dato Dato
:
:
:
:
:
:
:
:
:
:
20.1 20.1 20.1 20.1 20.1 20.1 20.1 20.1 20.1 02.0
0.11 0.12 0.13 2.14 0.15 0.16 0.17 0.18 0.19 2.20
SUU, Alm.del - 2020-21 - Bilag 223: Orientering om evaluering af ordningen med lægeordineret heroin, fra sundhedsministeren
2322586_0115.png
Evaluering af ordningen med lægeordineret heroin til opioidafhængige patienter
Side 115/120
28
29
30
31
32
33
34
35
Bilag 2.
beskrivelse af særlige indhold vedr.behandlingsplaner, samt anførsel af patientnummer
svarende til skemaet udfyldt side 3.
Patientnummer, liste
Aftale/behandlingsplanen
SUU, Alm.del - 2020-21 - Bilag 223: Orientering om evaluering af ordningen med lægeordineret heroin, fra sundhedsministeren
2322586_0116.png
Evaluering af ordningen med lægeordineret heroin til opioidafhængige patienter
Side 116/120
SUU, Alm.del - 2020-21 - Bilag 223: Orientering om evaluering af ordningen med lægeordineret heroin, fra sundhedsministeren
2322586_0117.png
Evaluering af ordningen med lægeordineret heroin til opioidafhængige patienter
Side 117/120
Bilag 3
Figur over årsager til at patienternes forløb afsluttes
personlige
overfølsomhed
indlæggelse6%
1%
døde1%
4%
somatisk sygdom
7%
skift til konventionel beh
skift til konventionel
behandling
20%
stoffrihed
anden døgnbehandling
kunne ikke rummes
afsoning
sideforbrug
Kunne ikke følge behand
sideforbrug
9%
somatisk sygdom
stoffrihed
13%
døde
indlæggelse
overfølsomhed
anden døgnbehand
ing
l
personlige
4%
afsoning
9%
Kunne ikke følge
behandlingen
12%
kunne ikke rummes
14%
SUU, Alm.del - 2020-21 - Bilag 223: Orientering om evaluering af ordningen med lægeordineret heroin, fra sundhedsministeren
Evaluering af ordningen med lægeordineret heroin til opioidafhængige patienter
Side 118/120
9. Referencer
1. Sundhedsstyrelsen.
Evaluering af
ordning med lægeordineret heroin til
stofmisbrugere 2010-2012.
København:
Sundhedsstyrelsen, 2013.
2. Sundheds- og Ældreministeriet.
Sundhedsloven.
LBK nr 903, København:
s.n., 26. august 2019.
3. Sundheds- og Ældreministeriet.
Autorisationsloven.
LBK nr. 731,
København: 08. juli 2019.
4. Sundheds- og Ældreministeriet.
Bekendtgørelse om euforiserende stoffer.
LBK nr. 1334, København: 09. december
2019.
5. Sundheds- og Ældreministeriet.
Vejledning om behandlingssteder for
stofmisbrugeres bestilling m.v. af
diacetylmorphin, samt om virksomheders
indførsel og udlevering heraf.
VEJ nr.
9279, København: 11. juli 2011.
6. Sundheds- og Ældreministeriet.
Lægemiddelloven.
LBK nr. 99,
København: 16. januar 2018.
7. Sundheds- og Ældreministeriet.
Vejledning om ordination af injicerbar
diacetylmorphin (heroin) ved
opioidafhængighed.
VEJ 9083,
København: 17. september 2013.
8. Sundhedsdatastyrelsen. Indberetning af
injicerbar herion og metadon. [Online] 05.
august 2020.
https://sundhedsdatastyrelsen.dk/da/ramm
er-og-retningslinjer/om-
indberetning/indberetning-specifikke-
omraader/herion-metadon.
9. Sundhedsstyrelsen.
Narkotikasituationen i Danmark 2017.
København: Sundhedsstyrelsen, 2017.
10. Sundhedsstyrelsen.
Stofmisbrugsbehandling - efterspørgsel og
tilgængelighed. Narkotikasituationen i
Danmark - delrapport 3.
København:
Sundhedsstyrelsen, 2019.
11. Det nationale forsknings- og
analysecenter for velfærd, VIVE.
Hjemløshed i Danmark 2019 - National
kortlægning.
København: VIVE, 2019.
12. Sundhedsstyrelsen.
Vejledning til
læger, der behandler opioidafhængige
patienter med substitutionsmedicin.
København: Sundhedsstyrelsen, 2017.
13. Det nationale forsknings- og
analysecenter for velfærd, VIVE .
Socialt
udsatte borgeres brug af velfærdssystemet
- Samfundsøkonomiske aspekter.
København: VIVE, 2018.
14. Miller, Shannon, Ries, Richard og
Fiellin, David.
ASAM Principles of
Addiction Medicine.
Philadelphia : Wolters
Kluwer Health, 2015.
15. Duflou, Johan og Darke, Shane. The
toxicology of heroin-related death:
estimating survival times: Heroin overdose.
Addiction.
2016.
16. Rook, Elisabeth, et al.
Phramacokinetics and Pharmacokinetiv
variability of Heroin and its Matabolits:
Review of the Literature.
Current Clinical
Pharmacology.
2006.
SUU, Alm.del - 2020-21 - Bilag 223: Orientering om evaluering af ordningen med lægeordineret heroin, fra sundhedsministeren
Evaluering af ordningen med lægeordineret heroin til opioidafhængige patienter
Side 119/120
17. Nordt, Carlos, et al. One size does not
fit all—evolution of opioid agonist
treatments in a naturalistic setting over 23
years.
Addiction.
2018.
18. Sundhedsstyrelsen.
Narkotikasituationen i Danmark, 2019 -
delrapport 3
København: Sundhedsstyrelsen 2019
SUU, Alm.del - 2020-21 - Bilag 223: Orientering om evaluering af ordningen med lægeordineret heroin, fra sundhedsministeren
2322586_0120.png
Evaluering af ordningen med lægeordineret heroin til opioidafhængige patienter
Side 120/120
Sundhedsstyrelsen
Islands Brygge 67
2300 København S
www.sst.dk