Skatteudvalget 2020-21
SAU Alm.del Bilag 80
Offentligt
2302417_0001.png
ANALYSE
December 2020
Selskabernes
skattebetaling
Kontrol og vejledning over for store
selskaber
SAU, Alm.del - 2020-21 - Bilag 80: Publikation fra Skattestyrelsen - Selskabernes skattebetaling
Selskabernes skattebetaling
Side 1
Indholdsfortegnelse
Indledning ................................................................................................................................ 2
1.
Nøgletal om selskabernes skattebetaling ................................................................. 4
Skatteprovenu fra selskaber runder 338 mia. kr. ...................................................................... 5
Store aktieselskaber står for den største del af skatteprovenuet ............................................. 8
Selvindberetning øger risiko for fejl i selskabernes skattebetaling ......................................... 10
Halvdelen af selskaberne begår fejl i skattebetalingen ........................................................... 10
Hvert tiende selskab har bevidst forsøgt at omgå momsreglerne .......................................... 12
2.
Kontrol og vejledning over for store selskaber ...................................................... 13
Flere selskaber har komplekse skatteforhold ......................................................................... 14
Store selskaber mødes af særlig indsats ................................................................................. 16
Fokus på transfer pricing og dobbeltbeskatning ..................................................................... 17
Store beløb på spil i transfer pricing afgørelser ...................................................................... 19
Fokus på hurtigere behandling af sager om potentiel dobbeltbeskatning ............................ 20
Globalt samarbejde styrker arbejdet med skattekontrol af store selskaber .......................... 22
Svære sager kræver samarbejde og dialog med selskaberne ................................................. 23
SAU, Alm.del - 2020-21 - Bilag 80: Publikation fra Skattestyrelsen - Selskabernes skattebetaling
Selskabernes skattebetaling
Side 2
Indledning
Selskaber i Danmark indbetalte i 2018 tilsammen ca. 338 mia. kr. i skatter og afgifter. Prove-
nuet udgør dermed ca. en tredjedel af det samlede skatte- og afgiftsprovenu på mere end
1.000 mia. kr., som bidrager til finansieringen af det danske velfærdssamfund.
Det er Skattestyrelsen, der har ansvaret for at sikre, at selskaberne betaler de korrekte skat-
ter og afgifter til tiden. Det sker blandt andet gennem målrettet vejledning og kontrol af både
små og store selskaber.
Selskabernes skattebetaling
er en årlig publikation, der sætter fokus på opkrævningen af
skatter og afgifter hos selskaberne og et udvalgt tema i relation til selskabernes skattebeta-
ling. Selskaber dækker i denne publikation over den type virksomhed, som ikke er personligt
ejet, men drives i en selskabsform, hvor ejerne fx ejer anparter eller aktier i selskabet. Selska-
ber dækker også over fonde og foreninger mv.
I
Selskabernes skattebetaling
præsenteres en række nøgletal om selskabernes skattebetaling
for indkomståret 2018, herunder provenu fra forskellige skattearter samt selskabernes efter-
levelse af skatte- og momsreglerne.
Temaet for denne første udgave af
Selskabernes skattebetaling
er kontrol og vejledning over
for store selskaber, som opererer på tværs af landegrænser. Publikationen beskriver, hvor-
dan flere selskaber gennem de seneste år er blevet omfattet af de komplekse skatteregler,
som gælder, når selskaber opererer på tværs af landegrænser.
I temaet præsenteres det, hvordan Skattestyrelsen arbejder med at sikre korrekt skattebeta-
ling fra de største selskaber med komplekse skatteforhold, særligt i forhold til selskabernes
grænseoverskridende koncerninterne transaktioner (transfer pricing). Det øgede antal virk-
somheder, som operer på tværs af landegrænser med koncerninterne transaktioner, stiller
nye krav til den danske skatteforvaltning.
SAU, Alm.del - 2020-21 - Bilag 80: Publikation fra Skattestyrelsen - Selskabernes skattebetaling
2302417_0004.png
Selskabernes skattebetaling
Side 3
.
SAU, Alm.del - 2020-21 - Bilag 80: Publikation fra Skattestyrelsen - Selskabernes skattebetaling
2302417_0005.png
Selskabernes skattebetaling
Side 4
Nøgletal om
selskabernes
skattebetaling
1
SAU, Alm.del - 2020-21 - Bilag 80: Publikation fra Skattestyrelsen - Selskabernes skattebetaling
2302417_0006.png
Selskabernes skattebetaling
Side 5
Skatteprovenu fra selskaber runder 338 mia. kr.
Selskaber i Danmark indbetaler hvert år en række skatter og afgifter som blandt andet
moms, lønsumsafgift og selskabsskat. Tilsammen udgør de en væsentlig indtægtskilde for
den danske stat.
I 2018 udgjorde det samlede skatte- og afgiftsprovenu opkrævet hos selskaberne ca. 338
mia. kr.,
jf. figur 1.
Det svarer til godt en tredjedel af det samlede skatte- og afgiftsprovenu i
Danmark på ca. 1.000 mia. kr. Det er dog værd at bemærke, at langt størstedelen af moms og
afgifter betales af forbrugerne i tilknytning til køb af varer og ydelser, men indbetales til Skat-
testyrelsen af selskaberne.
I tillæg hertil står selskaberne for indberetning af en meget stor del af privatpersoners løn-
ninger til skattevæsenet, samt opkrævning af de afgifter, som er pålagt produkter. Dermed
er selskaberne med til at sikre grundlaget for en væsentlig del af personskatteprovenuet.
Størrelsen på den skat, selskaberne indbetaler, bliver blandt andet påvirket af den økonomi-
ske udvikling i samfundet. Når selskaberne producerer og sælger mere, vil de have øgede
moms- og afgiftsbetalinger. Når overskuddet stiger, vil selskaberne betale mere i selskabs-
skat.
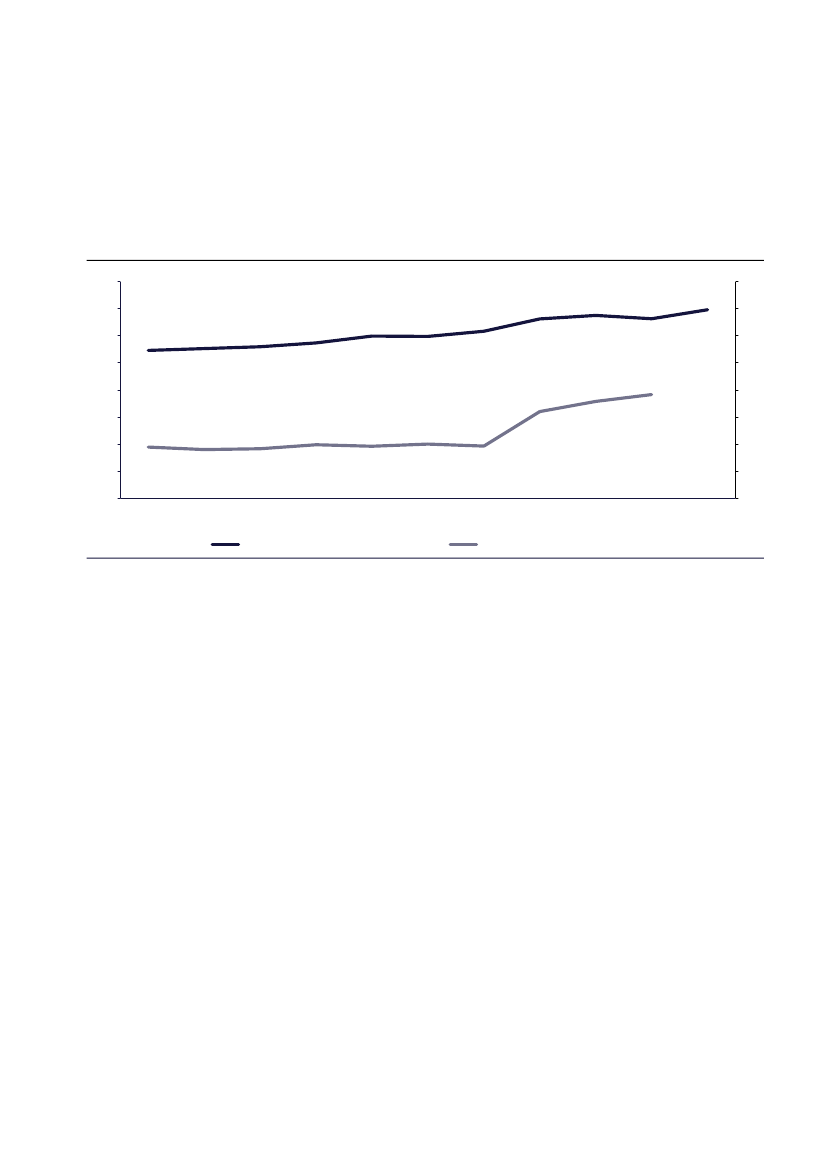
Siden 2014 er skatte- og afgiftsprovenuet fra selskabernes indbetalinger steget fra knap 298
mia. kr. til ca. 338 mia. kr. i 2018,
jf. figur 1.
Udviklingen svarer til en stigning på næsten 15
pct. og skal ses i lyset af den generelle udvikling i samfundsøkonomien i samme periode. På
grund af den nuværende økonomiske situation må det forventes, at der ikke vil ske samme
stigning i 2020.
Figur 1. Udvikling i skatte- og afgiftsprovenu indbetalt af selskaber, 2014-2018
Mia. kr.
450
400
350
298
300
250
200
150
100
50
0
2014
2015
2016
2017
2018
300
250
200
150
100
50
0
338
Mia. kr.
450
400
350
33%
Skatte- og afgiftsprovenu
Skatte- og afgiftsprovenuet opkrævet fra sel-
skaber udgør ca. 33 pct. af det samlede skatte-
provenu i Danmark.
Kilde: Skattestyrelsen.
Af det samlede skatte- og afgiftsprovenu udgør moms- og lønsumsafgift langt de største ind-
betalinger med ca. 204 mia. kr.,
jf. tabel 1.
Momspligtige selskaber skal opkræve moms af de-
res momspligtige salg. Selskaber, som sælger ydelser, der er fritaget fra moms, fx hele den
finansielle sektor, dagblade, taxakørsel og sundhedsydelser, betaler i stedet lønsumsafgift.
Selskaberne har i 2018 indbetalt afgifter for knap 70 mia. kr.,
jf. Tabel 1.
Det omfatter særligt
punktafgifter. Punktafgifter er afgifter på fx emballage, spiritus, tobak og spil samt alle typer
af miljø- og energiafgifter. Se
boks 1
for en gennemgang af skatte- og afgiftssatserne.
SAU, Alm.del - 2020-21 - Bilag 80: Publikation fra Skattestyrelsen - Selskabernes skattebetaling
2302417_0007.png
Selskabernes skattebetaling
Side 6
Selskabsskat betales af selskabernes skattepligtige overskud. Tilsammen indbetalte selska-
berne ca. 65 mia. kr. i selskabsskat i 2018,
jf. tabel 1,
hvilket svarer til ca. 19 pct. af det sam-
lede skatte- og afgiftsprovenu fra selskaberne. I løbet af perioden udmærker 2017 sig med et
historisk højt selskabsskatteprovenu. Det ekstraordinært høje provenu dækker både over en
stigning i antallet af selskaber, der betaler selskabsskat, samt større gennemsnitlige skattebe-
talinger.
Med den økonomiske udvikling som følge af COVID-19, kan det forventes, at selskaberne vil
indbetale mindre selskabsskat for indkomståret 2020. Lavere produktion og salg vil ligeledes
medføre et mindre provenu fra moms og afgifter.
Tabel 1. Samlet skatte- og afgiftsprovenu indbetalt af selskaber, 2014-2018
65mia.
Selskabsskat
Selskaberne indbetalte tilsammen ca. 65 mia.
kr. i selskabsskat i 2018.
2014
Samlet provenu
mia. kr. (løbende priser)
Moms og lønsumsafgift
Afgifter
Selskabsskat
297,7
171,0
67,4
59,3
2015
303,4
176,6
68,3
58,5
2016
314,1
185,0
67,8
61,4
2017
337,0
193,3
68,8
74,9
2018
338,2
203,8
69,6
64,8
Kilde: Skattestyrelsen.
Anm.: 1) Tabellen inkluderer det samlede skatteprovenu indbetalt af aktie- og anpartsselskaber, fonde og foreninger samt
øvrige selskaber. Selskabsskatter omfatter selskabsskat og kulbrinteskat. Refusion af energiafgifter er fratrukket i det
samlede afgiftsprovenu. Selskabsskattesatsen udgjorde 24,5 pct. for 2014, 23,5 pct. for 2015 og 22 pct. for de øvrige år.
Tallene er opgjort august 2020. Der kan forekomme afrundingsdifferencer.
2) Provenutal for selskabsskat for 2018 opgøres i det efterfølgende efterår, da selskaberne har oplysningsfrist d. 1. juli. På
baggrund af de forlængede opgørelsesfrister i forbindelse med COVID-19 vil data for 2019 og 2020 blive forsinkede.
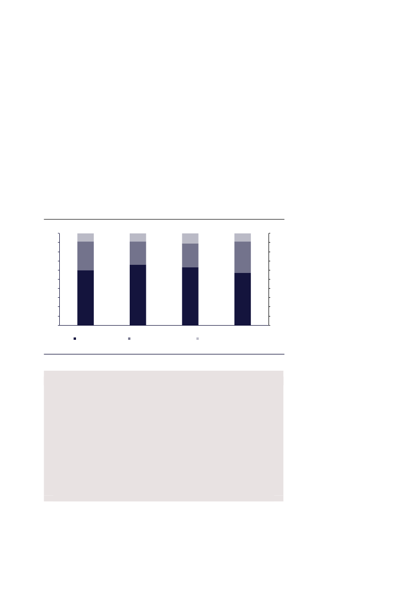
Størstedelen af det indbetalte skatte- og afgiftsprovenu blev indbetalt af handels- og trans-
portbranchen,
jf. figur 2.
I 2018 udgjorde provenuet fra de to brancher i alt ca. 138 mia. kr.
ud af det samlede provenu på ca. 338 mia. kr. Når en stor del af provenuet stammer fra
netop handel og transport, skyldes det, at en stor del af momsprovenuet kommer fra detail-
handlen.
Også industrien bidrager væsentligt til det samlede indbetalte skatte- og afgiftsprovenu fra
selskaberne med ca. 47 mia. kr. Når der i stedet måles på provenuet opgjort pr. selskab, ind-
betaler selskaberne i industrien mest i skatter og afgifter. Det skyldes, at handels- og trans-
portbranchen består af langt flere selskaber end industrien.
SAU, Alm.del - 2020-21 - Bilag 80: Publikation fra Skattestyrelsen - Selskabernes skattebetaling
2302417_0008.png
Selskabernes skattebetaling
Side 7
Figur 2. Skatte- og afgiftsprovenu i mia. kr. fordelt på brancher, 2018
Handel og transport mv.
Industri, råstofindvinding og forsyningsvirksomhed
Erhvervsservice
Øvrige finansiering og forsikring
Bygge og anlæg
Information og kommunikation
Holdingselskaber
Ejendomshandel og udlejning
Offentlig administration, undervisning og sundhed
Kultur, fritid og anden service
Uoplyst aktivitet
Landbrug, skovbrug og fiskeri
1
3
6
8
8
15
18
21
32
41
47
138
Kilde: Skattestyrelsen.
Anm.: Holdingselskaber er vist i en separat kategori, idet der kan være tale om datterselskaber i forskellige brancher. Offentlige selskaber og private aktører på
velfærdsområderne falder under branchekategorien for offentlig administration, undervisning og sundhed.
Boks 1: Satser for skatter og afgifter
Selskabsskat
- satsen var i 2018 på 22 pct. af overskuddet i selskabet.
Moms
satsen udgør 25 pct. af solgte varer (salgsmoms), hvor virksomheden kan fratrække den moms,
virksomheden selv har betalt ved køb af varer (købsmoms).
Lønsumsafgift -
Der findes i lønsumsafgiftsloven fire forskellige metoder hvor satser og afgiftsgrundlag vari-
erer. Satsen var i 2018 på mellem ca. 4 pct. og 14,5 pct. Afgiftsgrundlaget afhænger af metode og omfatter
lønsum, omsætning og/eller overskud.
Afgifter
- indbetales af virksomheder, der handler med eller forbruger en række produkter, som er afgifts-
belagte. Afgiftssatsen og -grundlaget varierer mellem forskellige typer af afgifter.
SAU, Alm.del - 2020-21 - Bilag 80: Publikation fra Skattestyrelsen - Selskabernes skattebetaling
2302417_0009.png
Selskabernes skattebetaling
Side 8
Store aktieselskaber står for den største del af
skatteprovenuet
I Danmark findes en række forskellige selskabsformer, som adskiller sig fra hinanden på fx
ejerskab, kapitalkrav og hæftelsesforhold. I
Selskabernes skattebetaling
sondres mellem fire
grupper selskaber, der tilsammen dækker over 47 forskellige selskabsformer, som ikke er
personligt ejede, men i stedet har ejerskab med begrænset hæftelse:
Aktieselskaber
er ofte større selskaber, da der er et kapitalkrav på 400.000 kr. Ak-
tieselskaber kan være ejet af én eller flere fysiske eller juridiske personer/andre
selskaber.
Anpartsselskaber
er ofte mindre selskaber, da der er et kapitalkrav på 40.000 kr.
Fonde og foreninger
omtales også som selskaber, men har ingen bagvedliggende
ejere, da det er fonden eller foreningen selv, som er ejer og hæfter med den for-
mue, som er i fonden eller foreningen.
Øvrige selskaber
dækker over blandt andet offentlige selskaber, der fx er ejet af
staten eller af flere kommuner i fællesskab. Dertil kommer fx alle kommunale og
statslige institutioner osv.
Antalsmæssigt er der langt flere anpartsselskaber end andre typer af selskaber. I 2018 var
der således omkring 305.000 anpartsselskaber ud af de ca. 519.000 selskaber i Danmark,
jf.
figur 3.
Det kan blandt andet skyldes, at kapitalkravet for denne driftsform er forholdsvist
lavt.
Det indbetalte provenu fra anpartsselskaberne udgør dog en relativt mindre del. Anpartssel-
skaberne stod for ca. 61 mia. kr. af det samlede indbetalte skatte- og afgiftsprovenu på ca.
338 mia. kr.,
jf. figur 3.
Figur 3. Antal selskaber og indbetalt skatte- og afgiftsprovenu fordelt på selskabsform, 2018
Aktieselskaber
Antal:
39.412
Anpartsselskaber
Antal:
304.912
Fonde og foreninger
Antal:
142.827
Øvrige selskaber
Antal:
32.057
Skatte- og afgiftsprovenu:
Skatte-og afgiftsprovenu:
Skatte-og afgiftsprovenu:
Skatte-og afgiftsprovenu:
224,3
mia.kr.
60,7
mia. kr.
17,5
mia. kr.
35,7
mia. kr.
Kilde: Skattestyrelsen.
Anm.
:
Antallet af selskaber er opgjort som antallet af registrerede SE-numre. Det betyder, at en koncern med flere selskaber har flere SE-numre.
SAU, Alm.del - 2020-21 - Bilag 80: Publikation fra Skattestyrelsen - Selskabernes skattebetaling
Selskabernes skattebetaling
Side 9
De knap 40.000 aktieselskaber har derimod indbetalt ca. 224 mia. kr. af det samlede provenu
i 2018,
jf. figur 3.
Når aktieselskaberne står for en forholdsvis stor andel af det samlede pro-
venu skyldes det, at der i denne gruppe befinder sig nogle af de største koncerner i Danmark.
Tal fra Skattestyrelsen viser således, at de ti største betalere bidrager med knap 21 mia. kr.,
hvilket svarer til godt 34 pct. af det samlede provenu fra selskabsskat.
Fonde og foreninger samt øvrige selskaber bidrager med i alt ca. 53 mia. kr. i skatter og afgif-
ter. Øvrige selskaber kan dække over statslige selskaber, som ikke nødvendigvis er omfattet
af reglerne for selskabsskat. Men selvejende institutioner, foreninger og andre typer af sel-
skaber kan være omfattet af fx moms og afgifter.
21mia.
Store selskaber
De ti største betalere i Danmark indbetalte 21
mia. kr. i selskabsskat i 2018.
SAU, Alm.del - 2020-21 - Bilag 80: Publikation fra Skattestyrelsen - Selskabernes skattebetaling
Selskabernes skattebetaling
Side 10
Selvindberetning øger risiko for fejl i selskabernes
skattebetaling
Regelefterlevelsen varierer på tværs af små, mellemstore og store selskaber i Danmark. Det
skyldes særligt, at i takt med at selskaberne bliver større og mere komplekse, kan de blive
underlagt flere skatteregler, fx regler for interne handler, der går på tværs af landegrænser.
Omvendt har større selskaber typisk også større kapacitet til at forstå og administrere reg-
lerne.
Selskaberne skal selv angive en række oplysninger om overskud, gæld, omkostninger, under-
skudsanvendelse mv. Dermed er der i modsætning til personskatteområdet en væsentlig
mindre grad af automatisering i angivelserne, hvilket giver større risiko for fejl.
De små og mellemstore selskaber er generelt kendetegnet ved at have få ansatte. Ofte har
de ikke særskilte medarbejdere til at håndtere regnskab og moms- og skatteangivelser. Det
kan også øge risikoen for fejl.
De store selskaber har derimod ofte egne skatteafdelinger, og mange selskaber bruger der-
udover eksterne rådgivere. Det giver dem større mulighed for at sætte sig ind i reglerne, hvil-
ket mindsker risikoen for fejl. Til gengæld kan større selskaber være omfattet af flere skatte-
regler, hvilket øger risikoen for fejl.
Halvdelen af selskaberne begår fejl i skattebetalin-
gen
Skattestyrelsen har gennem en længere årrække undersøgt små og mellemstore selskabers
efterlevelse af skatte- og momsreglerne,
jf. boks 2.
Da der er relativt få store selskaber, er det
ikke muligt at indsamle stikprøver af regelefterlevelsen for disse. Skattestyrelsen indsamler i
stedet viden fra kontrolaktiviteterne for store selskaber og international udveksling af oplys-
ninger.
Formålet med undersøgelsen af små og mellemstore selskabers regelefterlevelse er at danne
et billede af selskabernes vilje og evne til at efterleve reglerne. Samtidig opnår Skattestyrel-
sen viden om udfordringer, risici og tendenser, som kan danne grundlag for en målrettet vej-
lednings- og kontrolindsats over for selskaberne.
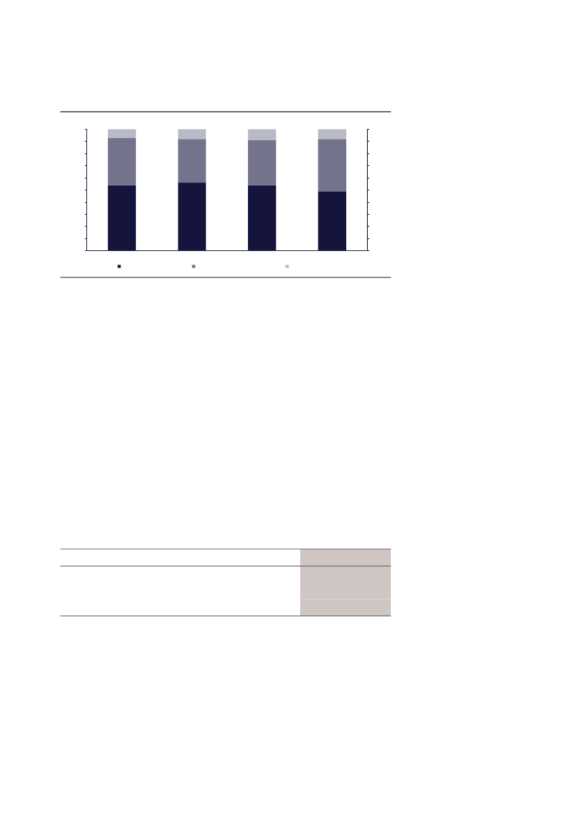
Undersøgelser fra perioden 2009 til 2015 viser, at omtrent halvdelen af små og mellemstore
selskaber ikke angiver deres skatteoplysninger korrekt,
jf. figur 4.
Andelen af selskaber med
enten bevidste eller ubevidste fejl er således steget fra i gennemsnit at udgøre ca. 45 pct. i
perioden fra 2009 til 2013 til 51 pct. i 2015.
Når der konstateres fejl, kan langt de fleste henføres til manglende viden, uhensigtsmæssige
interne processer og misforståelser. I 2015 begik 43 pct. af selskaberne således ubevidste
fejl, mens 8 pct. af selskaberne bevidst omgik reglerne,
jf. figur 4.
Se
boks 2
for, hvordan
Skattestyrelsen måler selskabernes regelefterlevelse.
51%
Regelefterlevelse
51 pct. af små og mellemstore selska-
ber begår enten bevidste eller ubevid-
ste fejl i 2015.
SAU, Alm.del - 2020-21 - Bilag 80: Publikation fra Skattestyrelsen - Selskabernes skattebetaling
2302417_0012.png
Selskabernes skattebetaling
Side 11
Figur 4. Små og mellemstore selskabers efterlevelse af skatteregler, 2009-2015
Pct.
100
90
80
70
60
50
40
30
20
10
0
2009
Selskaber uden fejl
2011
Selskaber med ubevidste fejl
2013
2015
Selskaber med bevidste fejl
54
56
54
49
39
36
37
43
Pct.
100
90
80
70
60
50
40
30
20
10
0
7
8
9
8
Kilde: Skattestyrelsen.
Skattestyrelsen bruger undersøgelserne til at målrette kontrol og vejledning til de områder,
hvor der bliver begået flest fejl i skattebetalingen. Det kan fx være opgørelsen af gæld, fra-
dragsprocenten i moms, afskrivninger, fradragsret for omkostninger og udfordringer med op-
gørelsen af underskudsanvendelse.
Resultater fra undersøgelserne for perioden fra 2009 til 2015 viser særligt tre hyppige fejlty-
per, som udfordrer de små og mellemstore selskaber,
jf. tabel 2.
En hyppig fejltype, selskaberne begår, relaterer sig til beskatningen af udbytte for hovedakti-
onærer. Godt hvert tiende selskab begår sådanne fejl, som omfatter såkaldt maskeret udlod-
ning til hovedaktionær. Der er tale om maskeret udlodning, hvis indkomst, som skulle være
endt i selskabet, tilfalder en aktionær. Der er ligeledes tale om maskeret udlodning, hvis et
selskab afholder udgifter på vegne af en aktionær eller hvis en aktionær handler med selska-
bet på vilkår, som ikke kunne være opnået med en uafhængig part.
En anden hyppig fejl vedrører private udgifter, hvor godt 9 pct. af selskaberne begår fejl,
jf.
tabel 2.
Fejltypen omfatter udgifter, der fejlagtigt er fratrukket i selskabet som erhvervsmæs-
sige udgifter, men som er private udgifter. Det kan fx være køb af privat indbo og hushold-
ningsartikler mv.
Tabel 2. Hyppige fejltyper begået af små og mellemstore selskaber, gennemsnit 2009-2015
Fejltyper - selskaber
Yderligere udbytte
hovedaktionærbeskatning
Yderligere udbytte - private udgifter
Ikke fradragsberettigede udgifter
Andel selskaber med fejl
10,6 pct.
9,5 pct.
7,4 pct.
9,5%
Private udgifter
Skattestyrelsen anslår på baggrund af
undersøgelser fra 2009 til 2015, at 9,5 pct.
af selskaberne fejlagtigt fratrækker pri-
vate udgifter som erhvervsmæssige ud-
gifter.
Kilde: Skattestyrelsen.
Anm.: Tabellen indeholder både bevidste og ubevidste fejl.
Ikke fradragsberettigede udgifter udgør en tredje type fejl og omfatter forskellige former for
udgifter, der ikke kan fradrages. Det vil fx sige udgifter, der ikke kan dokumenteres tilstræk-
keligt, eller som ikke er afholdt for at erhverve, sikre eller vedligeholde indkomsten i selska-
bet. Over 7 pct. af selskaberne begår denne type fejl,
jf. tabel 2.
SAU, Alm.del - 2020-21 - Bilag 80: Publikation fra Skattestyrelsen - Selskabernes skattebetaling
2302417_0013.png
Selskabernes skattebetaling
Side 12
Hvert tiende selskab har bevidst forsøgt at
omgå momsreglerne
Skattestyrelsen har også undersøgt de små og mellemstore selskabers efterlevelse af moms-
reglerne i perioden fra 2009 til 2015. Undersøgelserne viser, at 57 pct. af selskaberne angav
deres moms korrekt i 2015. Andelen af selskaber, der angiver korrekt, er dog faldet fra i gen-
nemsnit at udgøre knap 63 pct. i perioden fra 2009 til 2013,
jf. figur 5.
Undersøgelsen fra 2015 viser samtidig, at 34 pct. af de små og mellemstore selskaber begår
ubevidste fejl i momsangivelsen,
jf. figur 5.
Ligesom for efterlevelsen af skattereglerne skyl-
des fejlene oftest manglede viden om eller misforståelser af reglerne.
Derudover viser undersøgelserne, at omtrent hvert tiende af de små og mellemstore moms-
pligtige selskab bevidst har forsøgt at omgå reglerne i perioden fra 2009 til 2015,
jf. figur 5.
Figur 5. Små og mellemstore selskabers efterlevelse af momsregler, 2009-2015
Pct.l
100
90
80
70
60
50
40
30
20
10
0
0
2009
Selskaber uden fejl
2011
Selskaber med ubevidste fejl
2013
Selskaber med bevidste fejl
2015
60
66
63
57
31
25
Pct.
9
9
11
9
100
90
80
34
70
60
50
40
30
20
10
0
26
Kilde: Skattestyrelsen.
Boks 2. Sådan måler Skattestyrelsen små og mellemstore selskabers regelefterlevelse
Små og mellemstore selskabers regelefterlevelse måles ved at kontrollere en tilfældigt udvalgt stikprøve af
selskaber. Stikprøven udvælges, så den udgør et repræsentativt udsnit af alle de små og mellemstore selska-
ber med under 250 ansatte. Undersøgelsen afdækker ikke told og afgifter.
Ved hver kontrol foretages en grundig gennemgang af alle selskabernes skattemæssige forhold. Blandt alle
kontrollerede selskaber, som er momsregistrerede, er der tillige foretaget en kontrol af selskabets momsfor-
hold. Som hovedregel har Skattestyrelsen ved kontrollen aflagt virksomheden et på forhånd aftalt besøg. I
hvert tilfælde, hvor der ikke er selvangivet korrekt, registreres de forskellige typer af fejl, og den samlede æn-
dring af beskatningsgrundlaget opgøres. For hvert selskab vurderes viljen og evnen til at angive korrekt base-
ret på antallet og karakteren af fejl.
Informationer om regelefterlevelsen giver Skattestyrelsen indblik i, hvilke fejltyper der er hyppigst og hvilke
forhold, der karakteriserer selskaber, der begår henholdsvis bevidste og ubevidste fejl. Målingerne af regelef-
terlevelsen er en vigtig del af grundlaget for, at Skattestyrelsen kan tilrettelægge sit arbejde efter risiko og væ-
sentlighed.
SAU, Alm.del - 2020-21 - Bilag 80: Publikation fra Skattestyrelsen - Selskabernes skattebetaling
2302417_0014.png
Selskabernes skattebetaling
Side 13
Kontrol og vejled-
ning over for store
selskaber
2
SAU, Alm.del - 2020-21 - Bilag 80: Publikation fra Skattestyrelsen - Selskabernes skattebetaling
2302417_0015.png
Selskabernes skattebetaling
Side 14
Flere selskaber har komplekse skatteforhold
Danmark er som en lille åben økonomi afhængig af handel med udlandet. Gennem de sene-
ste mange år har danske selskaber etableret sig i udlandet, og samtidig har udenlandske sel-
skaber etableret sig i Danmark. Det kan både være udenlandske koncerner, som etablerer sig
i Danmark, eller udenlandske investeringer i danske selskaber.
Når flere selskaber opererer på tværs af landegrænser, bliver skattekontrollen mere kom-
pleks. Det gælder uanset, om det er datterselskaber til udenlandske koncerner, som potenti-
elt skal beskattes i Danmark, eller danske koncerner, som opererer i udlandet, hvor den dan-
ske del af koncernen potentielt skal beskattes af indkomst fra udlandet.
Opbygningen af et selskab har betydning for selskabets skatteforhold i Danmark. Når selska-
ber indgår i en koncern med andre selskaber, øges kompleksiteten af selskabets skattefor-
hold,
jf. figur 6.
Figur 6. Oversigt over typer af selskaber med stigende kompleksitet i skatteforhold.
Almindeligt selskab
Selskaber med koncerninterne
transaktioner i Danmark
Selskaber med koncerninterne transaktioner på tværs af landegrænser
Kilde: Skattestyrelsen.
Der er tale om en koncern, når det ene selskab (moderselskabet) ejer andele i et andet sel-
skab (datterselskabet), og moderselskabet samtidig kan udøve bestemmende indflydelse
over datterselskabets økonomiske og driftsmæssige beslutninger. Hvis koncernen ydermere
opererer på tværs af landegrænser, øges kompleksiteten af skatteforholdene.
SAU, Alm.del - 2020-21 - Bilag 80: Publikation fra Skattestyrelsen - Selskabernes skattebetaling
2302417_0016.png
Selskabernes skattebetaling
Side 15
Antallet af danske datterselskaber af udenlandske koncerner er mere end fordoblet i perio-
den fra 2008 til 2017,
jf. figur 7.
Samtidig er danske koncerner blevet mere internationale. I
2018 havde danske koncerner således knap 14.000 datterselskaber i udlandet, hvilket er en
stigning siden 2008 på ca. 27 pct.
Figur 7. Udenlandske koncerners datterselskaber i Danmark og danske datterselskaber i udlandet, 2008-2018
16.000
13.944
14.000
12.000
10.000
7.665
8.000
6.000
3.778
4.000
2.000
0
2008
2009
2010
2011
2012
2013
2014
2015
2016
2017
2018
4.000
2.000
0
8.000
6.000
10.939
14.000
12.000
10.000
16.000
Danske datterselskaber i udlandet
Udenlandske koncerners datterselskaber i Danmark
Kilde: Danmarks Statistik.
Anm.: I 2015 har Danmarks Statistik medtaget flere mindre udenlandske koncerners datterselskaber i Danmark, hvilket påvirker opgørelsen.
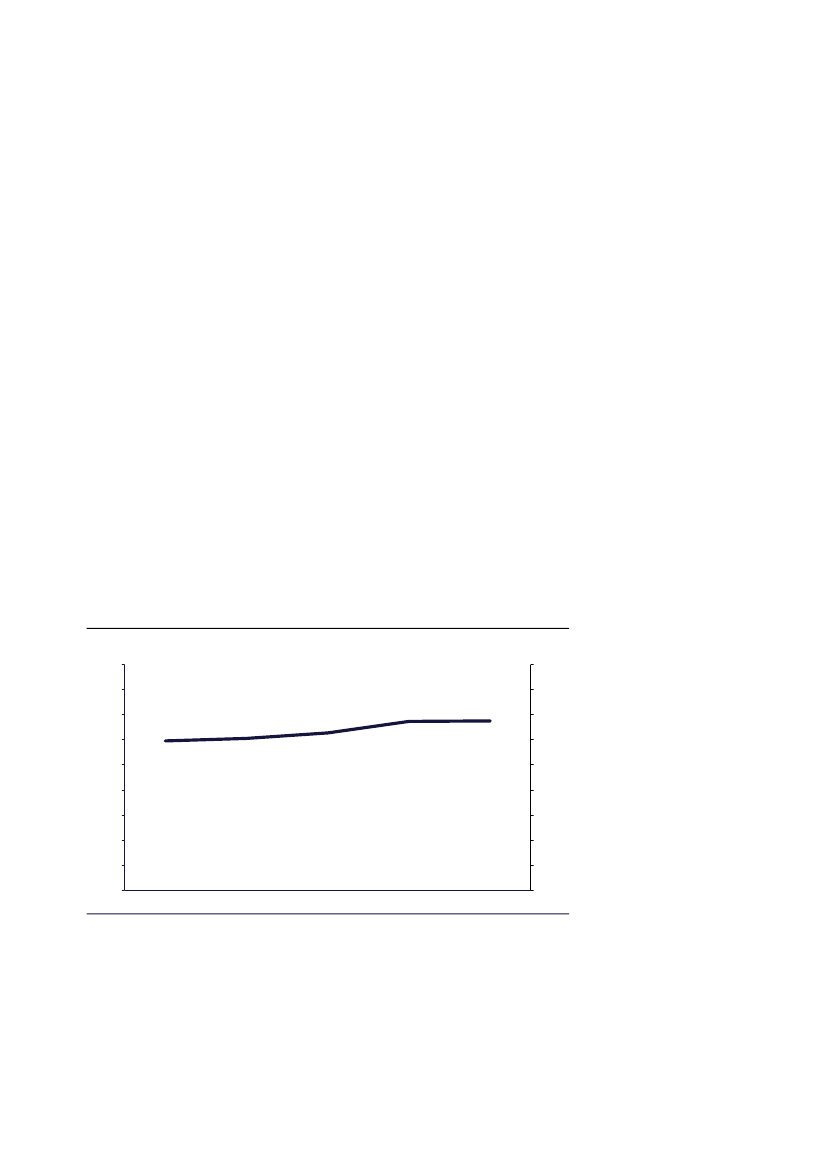
Det stigende antal selskaber, som opererer på tværs af landegrænser, har stor betydning for
Skattestyrelsens arbejde. Fx bliver flere selskaber omfattet af regler for transfer pricing, dvs.
prissætning af interne transaktioner, når selskaber inden for en koncern handler med hinan-
den.
Koncerner, som opererer på tværs af landegrænser, er typisk også omfattet af speciallovgiv-
ning og regler om fx underskudsanvendelse og grundlag for lønsumsafgift, moms og skat i
udlandet. Dertil kommer en række EU-direktiver, som er implementeret i dansk ret.
Kompleksiteten medfører en øget risiko for fejl og forskellig tolkning af reglerne. Skattesty-
relsen arbejder derfor løbende på at sikre den nødvendige kontrol og vejledning på området.
Det er et højt prioriteret område. I de efterfølgende afsnit sættes fokus på styrelsens indsats.
Store selskaber mødes af særlig indsats
Skattestyrelsen udfører hvert år en række kontrol- og vejledningsaktiviteter, som særligt har
fokus på store selskaber. Det er med til at sikre korrekt afregning af skatter og afgifter. Ved
store selskaber forstås i denne sammenhæng selskaber med en årlig omsætning på mere end
500 mio. kr.
67%
Andel af skatte- og afgiftsprovenu
De 10.000 største selskaber indbetaler 67
pct. af det samlede skatte- og afgiftspro-
venu fra virksomhedsformen selskaber.
SAU, Alm.del - 2020-21 - Bilag 80: Publikation fra Skattestyrelsen - Selskabernes skattebetaling
2302417_0017.png
Selskabernes skattebetaling
Side 16
Tilsammen udgør de store selskaber ca. 10.000 af de i alt 519.000 selskaber, som opererer i
Danmark. Da de store selskaber betaler ca. to tredjedele af det samlede skatte- og afgiftspro-
venu fra selskaberne,
jf. figur 8,
har Skattestyrelsen et særligt fokus på disse selskaber.
Figur 8. Store selskabers andel af det samlede skatte- og afgiftsprovenu fra selskaberne
33%
Store selskaber
Andre selskaber
67%
Kilde: Skattestyrelsen.
Anm. Tallene er opgjort på baggrund driftsformen selskab.
Skattestyrelsen arbejder løbende på at styrke vejledningen og kontrollen af selskaber, som
opererer på tværs af landegrænser. Med aftalen
En styrket skattekontrol
fra april 2020 har
regeringen og Folketinget besluttet at styrke indsatsen mod skattely og international skatte-
unddragelse. Det har medvirket til yderligere fokus på kontrol- og analyseaktiviteter på sel-
skabsområdet, der blandt andet skal bidrage til at styrke kontrollen af transfer pricing, inter-
national selskabsskat og moms.
Kontrol af store selskaber starter med udsøgning til visitering og kontrol. Når Skattestyrelsen
skal udvælge sager til kontrol og gennemgang, er der fokus på kriterierne
væsentlighed
og
risiko.
I kontrollen af store selskaber bruges informationer fra både selskaberne selv og eksterne in-
ternationale datakilder. Derudover kan kontrollen indebære, at der indhentes oplysninger fra
flere selskaber i en koncern.
Fokus på transfer pricing og dobbeltbeskatning
Skattestyrelsen har til opgave at sikre, at reglerne for prissætning af varer, tjenesteydelser,
finansielle transaktioner og aktiver, som handles internt i koncerner, overholdes.
Formålet med Skattestyrelsens transfer pricing-kontrol er blandt andet at sikre, at koncern-
forbundne selskaber ikke uretmæssigt flytter skattepligtig indkomst ud af landet via koncern-
interne handler. Indsatsen skal desuden bidrage til at afhjælpe dobbeltbeskatningsproblema-
tikken for selskaber.
30%
Vækst i antallet af selskaber med koncern-
interne transaktioner
SAU, Alm.del - 2020-21 - Bilag 80: Publikation fra Skattestyrelsen - Selskabernes skattebetaling
2302417_0018.png
Selskabernes skattebetaling
Side 17
Skattestyrelsens transfer pricing-kontrol skal sikre, at koncerninterne handler er fastsat med
priser og vilkår, som svarer til, hvordan uafhængige parter ville handle med hinanden. Her-
ved undgås det, at koncerner spekulerer i at tage kunstigt høje eller lave priser for at flytte
overskud eller værdier til lande med lavere skattesatser, uden at der sker en beskatning her i
landet.
Skattestyrelsens tal viser, at omkring halvdelen af alle selskaber, der har angivet oplysninger
om deres koncerninterne transaktioner for indkomståret 2018, handlede internt i koncernen
på tværs af landegrænser,
jf. Tabel 2.
Tabel 2. Udvikling i antal selskaber med koncerninterne transaktioner, 2014-2018
2014
2015
2016
2017
2018
Total for selskaber med koncerninterne transaktioner
Alene transaktioner med andre danske selskaber
Selskaber med grænseoverskridende kontrollerede transaktioner
9.973
4.201
5.772
10.748
4.646
6.102
11.459
5.091
6.368
12.344
5.833
6.511
13.061
6.398
6.663
Kilde: Skattestyrelsen.
Anm.: Frem til 2018 fremgik det af selskabernes selvangivelse, at de blev spurgt om koncerninterne transaktioner over 5 mio. kr. Derfor dækker ovenstående kun over
selskaber, som har konceninterne transaktioner over 5 mio. kr.
Når et selskab udsøges til kontrol, sker der først en nærmere kortlægning af koncernen i rela-
tion til blandt andet ejerskab, omsætning og overskud. Ud fra en risiko- og væsentlighedsvur-
dering kan selskabet blive bedt om at indsende dokumentation for koncerninterne transakti-
oner,
jf. figur 9.
De største koncerner er omfattet af en særlig dokumentationsforpligtelse og skal løbende
lave en transfer pricing-dokumentation, som skal leveres til Skattestyrelsen på forespørgsel.
For indkomståret 2018 var der ca. 7.200 dokumentationspligtige selskaber, herunder 4.700
selskaber med grænseoverskridende koncerninterne transaktioner.
For afsluttede sager de seneste tre år er den gennemsnitlige sagsbehandlingstid, fra Skatte-
styrelsen indkalder en transfer pricing-dokumentation til sagen afsluttes med en afgørelse,
ca. 20 måneder. Skattestyrelsen arbejder løbende med at nedbringe sagsbehandlingstiderne,
hvilket blandt andet sker gennem øget ledelsesmæssigt fokus.
SAU, Alm.del - 2020-21 - Bilag 80: Publikation fra Skattestyrelsen - Selskabernes skattebetaling
2302417_0019.png
Selskabernes skattebetaling
Side 18
Figur 9. Typisk sagsforløb i forbindelse med transfer pricing-sager
Kilde: Skattestyrelsen.
Koncerner, som opererer på tværs af landegrænser, skal ikke betale skat af den samme ind-
komst i flere lande. Når Skattestyrelsen afgør, at den skattepligtige indkomst for et selskab i
en koncern skal forhøjes i Danmark, opstår der derfor en dobbeltbeskatning, da den samme
indkomst allerede indgår i beskatningsgrundlaget i et andet land.
Det håndteres ved, at Danmark har indgået dobbeltbeskatningsaftaler /overenskomster med
langt de fleste lande, hvor danske selskaber har samhandel. Disse aftaler har til formål at
sikre, at den økonomiske dobbeltbeskatning afhjælpes.
SAU, Alm.del - 2020-21 - Bilag 80: Publikation fra Skattestyrelsen - Selskabernes skattebetaling
2302417_0020.png
Selskabernes skattebetaling
Side 19
Store beløb på spil i transfer pricing afgørelser
Aktieselskaber, der typisk er store selskaber, indbetalte ca. 224 mia. kr. i skatter og afgifter i
2018,
jf. kapitel 1.
Eventuelle skattesager i disse selskaber vedrører derfor typisk også store
beløb. Det er Skattestyrelsens opgave at sikre, at der betales den korrekte skat. Styrelsen fø-
rer derfor kontrol med selskaberne.
Skattestyrelsen kontrollerer blandt andet, om selskaber har en aggressiv skatteplanlægning,
hvor eksempelvis kapitalfonde flytter overskud til andre lande for at undgå skattebetaling i
Danmark. Det kan fx ske gennem kunstigt høje renter, udbytter eller royaltybetalinger til ka-
pitalfondene.
Ved kontrol gennemgår Skattestyrelsen selskabets fastsættelse af priser og vilkår for de kon-
cerninterne transaktioner og andre skatteforhold, som har betydning for opgørelsen af sel-
skabets samlede skattepligtige indkomst i Danmark.
Skattestyrelsen kan både afgøre, at den skattepligtige indkomst forhøjes eller nedsættes,
men de danske skattemyndigheder kan kun foretage nedsættelser af den danske indkomst
vedrørende transfer pricing, hvis der foretages en tilsvarende forhøjelse i udlandet.
Både nedsættelser og forhøjelser kan have betydning for selskabernes skattebetaling, da der
betales 22 pct. i selskabsskat af deres overskud (den skattepligtige indkomst).
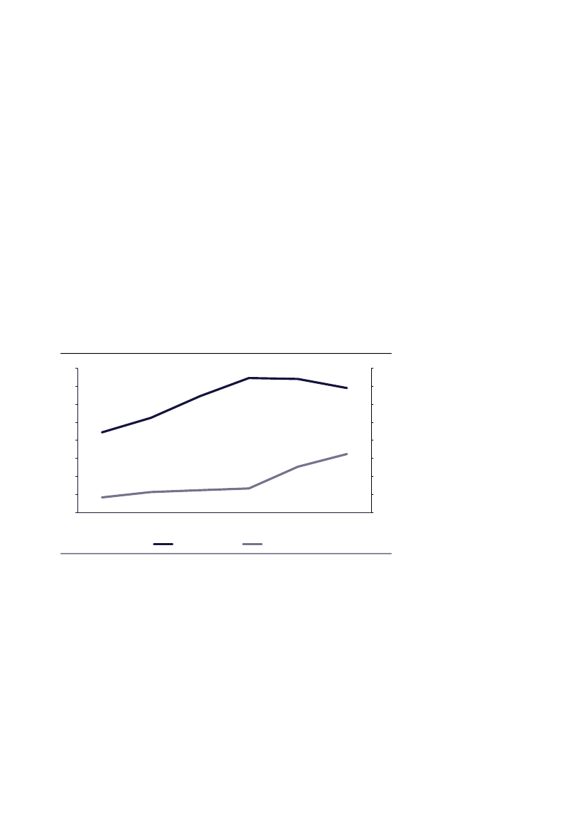
Siden 2010 har Skattestyrelsens kontrol på transfer pricing-området ført til nettoforhøjelser
af selskabers skattepligtige indkomst for ca. 80 mia. kr.,
jf.
figur 10.
Det svarer gennemsnitligt
til ca. 8 mia. kr. årligt i perioden. I 2016 og 2019 var nedsættelserne større end forhøjelserne.
Det kan skyldes, at andre lande i højere grad forsøger at beskatte den samme indkomst, som
Skattestyrelsen vurderer, er skattepligtig i Danmark.
Figur 10. Nettoforhøjelser af selskabers skattepligtige indkomst, 2010-2019
Mia. kr.
90
80
70
70
60
49
50
40
30
20
10
0
2010
2011
2012
2013
Forhøjelser
2014
Nedsættelser
2015
2016
2017
2018
2019
6
32
50
40
30
20
10
0
64
65
68
70
60
83
81
80mia.
Skattestyrelsen har siden 2010 foreta-
get nettoforhøjelser af selskabers
skattepligtige indkomst for ca. 80 mia.
kr.
Mia. kr.
90
80
11
Nettoforhøjelser akkumuleret
Kilde: Skattestyrelsen.
Anm.: Det er ikke muligt at fastsætte skatteværdien af transfer pricing-reguleringerne. Det skyldes, at skatteværdien afhænger af mange forhold i de involverede selskaber, fx
selskabernes anvendelse af fremførselsberettigede underskud, sambeskatningsforhold, efterfølgende korrektioner mv.
Forhøjelserne er resultatet af Skattestyrelsens kontrol og indsats på området. Nogle af forhø-
jelserne er udtryk for en uenighed mellem Skattestyrelsen og det enkelte selskab om regel-
fortolkningen på området. Derfor verserer der løbende en række civile sager ved domsto-
lene. Nedsættelserne kan ske som følge af en forhøjelse lavet i udlandet eller som følge af, at
SAU, Alm.del - 2020-21 - Bilag 80: Publikation fra Skattestyrelsen - Selskabernes skattebetaling
2302417_0021.png
Selskabernes skattebetaling
Side 20
en forhøjelse i Danmark reduceres gennem en gensidig aftaleprocedure mellem landene, kal-
det Mutual Agreement Procedure (MAP).
Af de transfer pricing-forhøjelser som Skattestyrelsen har foretaget i perioden 2010 til 2019,
er der efterfølgende foretaget nedsættelser på i alt 0,9 mia. kr. som følge af endeligt afgjorte
sager i domstolene og Landsskatteretten (klageinstans). Der er tale om endelige afgørelser
ved domstolene og Landsskatteretten, når fristen for indbringelse af klageinstansens afgø-
relse for domstolene er udløbet, eller hvor ankefrist til en højere retsinstans er udløbet, samt
hvor Højesteret endeligt har afgjort sagen ved dom.
Hvis de danske skattemyndigheder som følge af en transfer pricing-kontrol fx forhøjer ind-
komsten i et dansk selskab, der har kontrollerede transaktioner med et svensk selskab, skal
de svenske skattemyndigheder tage stilling til, om de kan godkende og nedsætte indkomsten
tilsvarende i det svenske selskab.
Det betyder samtidig, at Skattestyrelsen også kan være forpligtet til at foretage nedsættelser
af selskabers skattepligtige indkomst, blandt andet som følge af udenlandske skattemyndig-
heders forhøjelser.
Når et selskabs indkomst forhøjes i ét land, og den tilsvarende indkomst sættes ned i et sel-
skab i koncernen i et andet land, er der tale om en udligning af en dobbeltbeskatning, hvor
beskatningsretten stiger i det ene land, mens den falder tilsvarende i det andet land.
For koncernen betyder ændringer i priserne i de kontrollerede transaktioner ikke nødvendig-
vis ændring i den samlede skattebetaling, da det afhænger af skattereglerne i de to lande.
Fokus på hurtigere behandling af sager om
potentiel dobbeltbeskatning
Transfer pricing-sager
vurderes ed udga gspu kt i OECD’s ret i gsli jer for prisfastsæt-
telse af koncerninterne transaktioner (OECD Transfer Pricing Guidelines). Uagtet aftalte ret-
ningslinjer kan der opstå uenigheder og forskellige tolkninger af reglerne i dobbeltbeskat-
ningsoverenskomster mv. Der er derfor på forhånd aftalt procedurer for, hvordan uenighe-
der løses.
Selskabet skal for det første godtgøre, at skattemyndighederne i det ene eller begge lande
har truffet foranstaltninger, som vil resultere i en beskatning, der ikke er i overensstemmelse
med dobbeltbeskatningsaftalens bestemmelser.
Herefter kan selskabet anmode de involverede skattemyndigheder om at starte en såkaldt
Mutual Agreement Procedure (MAP) for at få løst dobbeltbeskatningsproblematikken for tid-
ligere indkomstår,
jf. boks 3.
Boks 3. Mutual Agreement Procedure (MAP) og Advance Pricing Arrangement (APA)
Mutual Agreement Procedure (MAP) er en gensidig aftaleprocedure, der på anmodning fra skatteyder kan
iværksættes mellem skattemyndigheder i forskellige lande. Aftaleproceduren har til hensigt, at der ikke sker
dobbeltbeskatning, dvs. beskatning af den samme indkomst i flere lande, der har indgået en såkaldt dobbelt-
beskatningsoverenskomst. MAP mellem landene anvendes blandt andet til at søge økonomisk dobbeltbeskat-
ning afledt af en transfer pricing-forhøjelse. Danmark har indgået overenskomster med de fleste lande, som
danske selskaber har samhandel med.
En APA (Advance Pricing Arrangement) er en aftale mellem to eller flere landes myndigheder og selskaber om
principper og forudsætninger for prissætningen af to eller flere koncernforbundne selskabers koncerninterne
transaktioner for en nærmere defineret fremtidig periode på typisk 5 år.
SAU, Alm.del - 2020-21 - Bilag 80: Publikation fra Skattestyrelsen - Selskabernes skattebetaling
2302417_0022.png
Selskabernes skattebetaling
Side 21
Som alternativ til at ende i langstrakte MAP-sagsforløb, kan to landes skattemyndigheder
også udarbejde en forhåndsaftale/overenskomst vedrørende de fremtidige priser og vilkår
for specifikke koncernforbundne selskaber med hjemsted i de to berørte lande. Det kan fx
være en stor dansk koncern, som ønsker at have forhåndsgodkendt skattevilkår i de store
markeder, de opererer i, for fremtidige indkomstår. Dette gælder typisk i en femårig periode.
En sådan aftale kaldes en APA (Advance Pricing Arrangement),
jf. boks 3.
En APA har den fordel for skattemyndighederne, at de ikke skal indlede internationale for-
handlinger på baggrund af transfer pricing-reguleringer for tidligere indkomstår. En APA har
samtidig den fordel for selskabet, at selskabet kender de priser og vilkår, koncernen skal an-
vende for de år aftalen dækker.
Behovet for sådanne fremadrettede prisaftaler er blandt andet en følge af de ofte lang-
strakte kontrol-, klage- og MAP-forløb i transfer pricing-sager, hvilket får flere selskaber til at
anmode om en APA. At få forhandlet en APA på plads er dog også en langstrakt proces.
Gennem de senere år har Skattestyrelsen haft et øget fokus på at håndtere det stigende an-
tal sager, hvilket har betydet, at antallet af afgjorte sager om dobbeltbeskatning er steget si-
den 2013,
jf. figur 11.
Figur 11. Antal verserende og afsluttede MAP-sager, 2013-2018
160
138
140
120
100
80
60
40
17
20
0
2013
2014
2015
2016
2017
2018
20
0
89
65
140
120
100
80
60
40
160
MAP Verserende sager
MAP Afsluttede sager
Kilde: Skattestyrelsen.
SAU, Alm.del - 2020-21 - Bilag 80: Publikation fra Skattestyrelsen - Selskabernes skattebetaling
2302417_0023.png
Selskabernes skattebetaling
Side 22
For selskaberne kan uklarhed om koncernens samlede skattebetaling og potentielle dobbelt-
beskatning skabe usikkerhed om koncernens overskud efter skat.
Det er vigtigt, at disse uklarheder minimeres ved at afgøre sager om potentiel dobbeltbeskat-
ning hurtigst muligt. På trods af et stigende antal MAP-sager er det lykkedes Skattestyrelsen
at nedbringe sagsbehandlingstiden.
Det har resulteret i, at de danske skattemyndigheder i 2018 havde den næsthurtigste sagsbe-
handlingstid for MAP-sager på tværs af OECD-lande,
jf. figur 12.
Det hjælper til at minimere
den potentielle usikkerhed hos selskaberne og myndighederne.
Arbejdet er fortsat i COVID-19-perioden, men ikke på fuld styrke, da det ikke har været mu-
ligt for de kompetente myndigheder at mødes fysisk. Selv om der har været holdt møder vir-
tuelt, har de ikke haft den samme positive virkning på forhandlingsklima og -resultatet, som
de fysiske møder har.
Figur 12. Sagsbehandlingstid for transfer pricing-sager på tværs af udvalgte OECD-lande
Mdr.
60
54
51
50
40
40
30
30
40
40
50
Mdr.
60
28mdr.
Danmark har næst hurtigste sagsbehand-
lingstid blandt OECD-lande.
Med en sagsbehandlingstid på 28 måneder
i MAP-sager har Danmark den næstlaveste
sagsbehandlingstid af alle OECD-lande.
30
24
20
28
20
10
10
0
Canada
Danmark
Norge
Tyskland
Finland
Sverige
Irland
0
Kilde: OECD.
Antallet af transfer pricing-sager er stigende i mange lande. Det skyldes, at flere lande igang-
sætter sager om transfer pricing, hvilket også øger antallet af tvister om dobbeltbeskatning.
Skattestyrelsen har derfor løbende fokus på at styrke indsatsen på området.
Globalt samarbejde styrker arbejdet med
skattekontrol af store selskaber
Allerede i dag har Skattestyrelsen fokus på selskabers økonomiske aktiviteter på tværs af lan-
degrænser, blandt andet gennem samarbejde i forskellige internationale fora såsom OECD,
EU og de nordiske lande,
jf. tabel 4.
Fokus i det internationale samarbejde har i de seneste år
særligt været på at skabe større gennemsigtighed om koncernerne og deres ageren.
Siden 2013 har OECD i samarbejde med G20-landene arbejdet med "Base Erosion and Profit
Shifting" (BEPS). 135 lande deltager nu i implementeringen af BEPS-standarderne gennem 15
”a tio s” for ekæ pelse af skatteu dgåelse, øget ge e sigtighed og ere sa
e hæ -
gende internationale regler herfor. Formålet er at bekæmpe skatteundgåelse og aggressiv
skatteplanlægning, der udhuler skattegrundlaget gennem flytning af overskud til lande med
lav eller ingen beskatning.
SAU, Alm.del - 2020-21 - Bilag 80: Publikation fra Skattestyrelsen - Selskabernes skattebetaling
2302417_0024.png
Selskabernes skattebetaling
Side 23
Samtidig er der i OECD udviklet et samarbejde om den internationale automatiske udveksling
af skatteoplysninger. Over 100 lande deltager globalt i samarbejdet, der i EU er implemente-
ret ved direktivet for det administrative samarbejde, eller DAC (Directive on Administrative
Cooperation). Den internationale udveksling af skatteoplysninger har til formål at sikre, at
personer og virksomheder betaler korrekte skatter. Det er endnu et led i det internationale
samarbejde om øget gennemsigtighed og styrket samarbejde mellem landes skatteadmini-
strationer.
Tabel 4. Udvalgte internationale samarbejder
OECD BEPS-Action 5: Udveksling af oplysninger om skadelige praksis.
Siden april 2016 er der løbende blevet udvekslet oplysninger mellem skattemyndighederne
i OECD-landene om virksomheder med skadelig praksis.
OECD BEPS-Action 13: Country-by-country afrapportering.
Koncerner med en omsætning på over ca. 5,6 mia. kr. har pligt til at oplyse om blandt andet
omsætning og skattebetaling i hvert af de lande, hvor de er til stede. Herefter deler myndig-
heder oplysningerne.
OECD BEPS Action 14: Forbedring af MAP-processerne.
Indførsel af minimumsstandarder, herunder at en sag i gennemsnit højst må tage to lande
24 måneder at løse.
EU-DAC: Udveksling af oplysninger.
Den internationale udveksling af skatteoplysninger har til formål at sikre, at
personer og virksomheder betaler korrekte skatter. Samtidig udgør det endnu et led i det
internationale samarbejde om øget gennemsigtighed og styrket samarbejde mellem landes
skatteadministrationer.
EU-DAC 6: Krav om gennemskuelighed.
Med DAC 6 er det besluttet, at skatteydere, rådgivere og mellemmænd skal
indberette grænseoverskridende arrangementer (indretning af selskabskonstruktioner
osv.), hvor der kan være tale om potentiel aggressiv skatteplanlægning. Der etableres et
særligt IT-system til opsamling af indberetningerne.
Kilde: Skattestyrelsen.
Skattestyrelsen bruger de ovenstående fora og samarbejder til at sikre, at der i behandling af
selskabernes skatteforhold er så mange oplysninger som muligt til stede, som kan bruges i
kontrollen af selskaberne og dermed til at sikre korrekt afregning af skatten.
Svære sager kræver samarbejde og dialog med
selskaberne
For Skattestyrelsen er det vigtigt at være i løbende dialog med de største selskaber. Herved
sikres lettere klarhed over fakta og over, hvordan selskaberne og deres rådgivere fortolker
reglerne. Et af redskaberne er det såkaldte Tax Governance-samarbejde, hvor Skattestyrelsen
og selskaberne gennem dialog og vejledning søger at løse spørgsmålene, før der angives fra
selskabernes side.
Desuden samarbejder Skattestyrelsen med danske brancheorganisationer som Dansk Indu-
stri, Dansk Erhverv, FSR
danske revisorer, Olie Gas Danmark, Danske Rederier og Finans
Danmark samt Forsikring og Pension.
Som en vigtig del af Skattestyrelsens indsats udføres hvert år en række kontroller i de største
selskaber. Der er normalt et godt samarbejde om at få gennemført og afsluttet kontrollerne
med fokus på at nå et rigtigt resultat samtidigt med, at det sker til mindst mulig gene for sel-
skaberne.
SAU, Alm.del - 2020-21 - Bilag 80: Publikation fra Skattestyrelsen - Selskabernes skattebetaling
Selskabernes skattebetaling
Side 24
Nogle kontroller fører ikke til ændringer i selskabernes skatte- og afgiftsforhold, nogle ender
med ændringer, hvor der er enighed om ændringer, mens andre kontroller slutter med, at
selskabet klager over den afgørelse, der er truffet. Der er således en række sager, som er på
vej igennem domstolssystemet.
SAU, Alm.del - 2020-21 - Bilag 80: Publikation fra Skattestyrelsen - Selskabernes skattebetaling
2302417_0026.png
Selskabernes skattebetaling
Side 25
www.sktst.dk
Skattestyrelsen er en
del af Skatteforvaltningen