Skatteudvalget 2020-21
SAU Alm.del Bilag 79
Offentligt
2302404_0001.png
December 2020
Skattestyrelsen godkender
rentefrie lån for 250 mio. kr.
Skattestyrelsen har i løbet af de første ti dage efter
genåbning af låneordningen om rentefrie lån mod-
taget og behandlet knap 1.700 ansøgninger. Heraf
har styrelsen godkendt lån for ca. 250 mio. kr. til
knap 1.400 virksomheder.
Mange små og mellemstore virksomheder er fortsat presset på likviditeten på
grund af coronakrisen. Derfor har det siden den 17. november 2020 igen været
muligt for disse virksomheder at ansøge om rentefrie lån gennem Skattestyrel-
sen.
Med låneordningen kan små og mellemstore virksomheder ansøge om et rente-
frit lån svarende til den moms, virksomhederne indberettede i marts 2020. Låne-
muligheden gælder også for virksomheder, der afregner lønsumsafgift efter den
såkaldte metode 4. Det gælder fx tandlæger og vognmænd, der kan søge om et
rentefrit lån svarende til den lønsumsafgift, de indberettede i april 2020. Derud-
over kan virksomheder optage lønsumsafgiftslån, der svarer til 25 pct. af års-
afregningen for 2019. Virksomheder, der tidligere i år har fået godkendt et lån,
kan ikke ansøge igen.
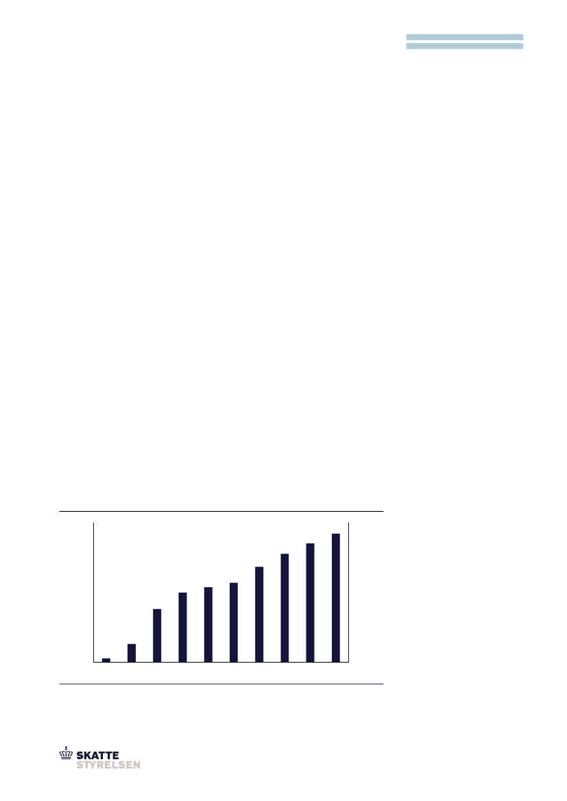
I perioden fra den 17. november 2020 til den 26. november 2020 har Skattesty-
relsen i gennemsnit modtaget ca. 170 ansøgninger dagligt. I alt har knap 1.700
virksomheder vist interesse for lånemuligheden i de første ti dage,
jf. figur 1.
Figur 1. Akkumuleret antal ansøgninger modtaget og behandlet i perioden 17.-26. nov. 2020
1.800
1.600
1.400
1.200
1.000
800
600
400
200
0
17-nov 18-nov 19-nov 20-nov 21-nov 22-nov 23-nov 24-nov 25-nov 26-nov
Kilde: Skattestyrelsen.
1.800
1.600
1.400
1.200
1.000
800
600
400
200
0
SAU, Alm.del - 2020-21 - Bilag 79: Publikation fra Skattestyrelsen - Resultatark: genåbning af låneordning
2302404_0002.png
Side 2
Blandt de knap 1.700 virksomheder, der har ansøgt om et lån i løbet af de ti før-
ste dage, har knap 1.400 virksomheder fået godkendt deres ansøgning om lån.
Samlet er der godkendt lån for ca. 250 mio. kr.,
jf. figur 2.
Figur 2. Status 10 dage efter genåbning af låneordning
1.700
Virksomheder har
ansøgt
om lån, sva-
rende til ca. 170 an-
søgere dagligt
1.400
Virksomheder er
godkendt
til opta-
gelse af lån
250 mio. kr.
Er
godkendt
som
rentefrit lån til
virksomhederne
Kilde: Skattestyrelsen.
I alt har knap 300 virksomheder fået afslag på deres ansøgning. Det svarer til ca.
16 pct. af ansøgerne. Afslagene skyldes typisk, at virksomheder ikke har indbe-
rettet enten moms eller lønsum i henholdsvis marts eller april til tiden. Derudover
har en række virksomheder fået afslag, fordi de tidligere har søgt og allerede
fået et lån igennem ordningen.
Skattestyrelsen har også denne gang kontaktet de virksomheder, som efter sty-
relsens vurdering kan drage nytte af et rentefrit moms- eller lønsumsafgiftslån. I
alt har styrelsen rettet henvendelse til ca. 270.000 virksomheder for at gøre op-
mærksom på lånemuligheden. Samlet vurderes virksomhederne at kunne få lån
for omkring 28 mia. kr.
Hurtig udbetaling af lån
Fra Skattestyrelsen modtager en ansøgning, går der i udgangspunktet op til fem
hverdage, før lånet udbetales til virksomheden. Inden lånet udbetales foretages
blandt andet en kontrol af, om den pågældende virksomhed skylder penge til
skattemyndighederne eller har øvrig gæld til det offentlige. Denne gæld vil blive
dækket, før lånet udbetales til virksomheden. I perioden fra 17. til 26. november
2020 er der tilbageholdt ca. 200 mio. kr., mens Skattestyrelsen tjekker, om virk-
somheden har gæld til det offentlige.
Skattestyrelsen har godkendt lån for over 7 mia. kr.
Under første ansøgningsrunde modtog Skattestyrelsen i gennemsnit ca. 635 an-
søgninger om dagen i perioden 5. maj 2020 til 16. juni 2020, hvilket samlet re-
sulterede i modtagelsen af knap 26.100 ansøgninger. Heraf blev knap 23.600
ansøgninger godkendt, og Skattestyrelsen udbetalte lån for i alt godt 6,8 mia. kr.
Således har næsten 25.000 virksomheder fået godkendt deres ansøgning om
lån, hvilket har medført udbetaling af i alt ca. 7,1 mia. kr. siden foråret 2020.
Ansøgningsfristen for moms- og lønsumsafgiftslån udløber den 18. december
2020.
www.sktst.dk
Skattestyrelsen er en
del af Skatteforvaltningen