Skatteudvalget 2020-21
SAU Alm.del Bilag 263
Offentligt
2415032_0001.png
DETTE ER EN VISNING
UKS Side 3645
Sagsfremstilling
1. Sagsforløb og dokumentation:
Den 2. februar 2011 modtog SKAT fra Statsadvokaturen for Særlig Økonomisk Kriminalitet (SØK)
Nordea i perioden 14. november 2008
oplysning om, at der på Sven Nielsens kont
til 31. december 2010 gentagne gange var indsat større beløb fra en Torben
Kopi af SØKs brev er vedlagt som Bilag 1.
Den 3. februar 201 I kl. 16:22 indberettede Sven Nielsen via internettet befordringsfradrag vedrø­
rende indkomståret 2010. Det fremgår af vedlagte Bilag 2.
Oplysningen fra SØK gav anledning til, at SKAT ved brev af den 15. februar 2011 anmodede Sven
Nielsen om at fremsende en nærmere redegørelse for indsættelserne på kontoen for årene 2008,
2009 og 2010.
Kopi af SKA Ts brev er vedlagt som Bilag 3.
Årsopgørelse for indkomståret 2010 blev dannet en 4. marts 2011, den
5.
marts 2011 blev email
om orientering om årsopgørelsen lagt i Sven Nielsens skattemappe og samme dag fravalgte Sven
Nielsen papirårsopgørelsen. Det fremgår a Yedlagte Bilag 4.
Den 11. marts 2011 modtog SKAT en dateret skrjvelse fra Sven Nielsen, stilet til sagsbehandler
Torben Rasmussen. I henvendelsen står alene: "Du be es venligst sende en opgørelse over de over­
førsler som du ønsker oplysning om."
Kopi af Sven Nielsens brev er vedlagt som Bilag 5.
Den 14. marts 2011 sendte SKAT Sven Nielsen kopi af de kontoudtog, som var vedlagt SØKs brev
(vedlagte Bilag 1).
Kopi af SKATs brev er vedlagt som Bilag 6.
Den 22. marts 201 I modtog SKAT en redegørelse fra Sven Nielsen, dateret den 18. marts 2011.
Sven Nielsen oplyser, at af de overførsler, som fremgår af de kontoudtog, SKAT har sendt til ham,
er alle overførslerne i 2008 og 2009 samt to overførsler på hver 75.000 kr. i 2010 private lån, som
Sven Nielsen har fået overført fra Torben
mens de resterende overførsler i 20 IO er
honorar for konsulentarbejde, som Sven Nielsen i 20 IO har udført for Torben
U
KS
1
SAU, Alm.del - 2020-21 - Bilag 263: Pressemeddelelse: Undersøgelseskommissionen om SKAT afgiver delberetning om udbyttesagen, fra justitsministeren
2415032_0002.png
DETTE ER EN VISNING
UKS Side 3646
Sven Nielsen oplyser, at de private lån er optaget i forbindelse med skilsmisse og for at Sven Niel-
sen kunne få sin nye familie til Danmark og de hermed forbundne udgifter til etablering af nyt fæl-
les hjem, mens konsulenthonorarerne vil blive indberettet til årsopgørelsen for 20 I 0.
Kopi af Sven Nielsens redegørelse er vedlagt som
Bilag
7.
Redegørelsen får SKAT til den 28. marts 2011 at tilskrive Sven Nielsen med anmodning om at
fremsende original låneaftale med oplysning om forrentning af og afdrag på lån samt kopi af reg-
ninger/redegørelse for udført konsulentarbejde.
Kopi af SKATs brev er vedlagt som
Bilag 8.
Den 15. april 2011 modtog SKAT brev fra Sven Nielsen dateret den 12. april 2011.
I
brevet oplyser
Sven, at han vil indberette et beløb på kr. 145.000 der vedrører konsulentarbejde.
Kopi af Sven Nielsens brev er vedlagt som
Bilag
9.
Gældsbrevet er underskrevet af Torben
juni 2010 og vedrører et lån på 75.0QO kr. so
den 28. november 2008.
Ifølge gældsbrevet er gælden rentefri og afdrages med et årligt engangsbeløb på 25.000 kr. som
betales hver den 11. december, første gang de 11. december 2011.
Til gældsbrevet er udarbejdet et udateret og ikke-underskrevet "Tillæg til låneaftale", som viser en
række overførsler fra Torben
til Sven Nielsen på i alt 400.000 kr. Sammen med
gældsbrevet har Sven Nielsen således redegjort for 475.000 kr. som lån fra Torben
Brevet/emailen fra Torben
er dateret den 22. april 2010. Det fremgår heraf, at:
• Torben
har fået en opgave fra en gruppe investorer,
• denne opgave kræver en række ikke nærmere specificerede oplysninger om ikke nærmere
angivne firmaer og personerne bag dem,
• Torben
håber, at Sven Nielsen kan være ham behjælpelig med at fremskaffe
oplysningerne,
• Torben
har forhandlet en god, men på ingen måde nærmere specificeret, pris,
• Sven Nielsen løbende vil blive honoreret gennem Torben
• Sven Nielsen selv må sørge for indrapportering til myndighederne - hvilke myndigheder
fremgår ikke - da Torben
endnu ikke er registreret som selvstændig,
2
U
KS
Den 22. april 2011 modtog SKAT fra Sven Niel- en dels
en kopi
af et gældsbrev, dels en kopi af et
s
brev eller udskrift af en email fra Torben
til Sven Nielsen vedrørende konsulentarbej-
de.
den 31. maj 20 IO og af Sven Nielsen den 1.
er udbetalt fra Torben
til
Nielsen
SAU, Alm.del - 2020-21 - Bilag 263: Pressemeddelelse: Undersøgelseskommissionen om SKAT afgiver delberetning om udbyttesagen, fra justitsministeren
2415032_0003.png
DETTE ER EN
VISNING
UKS Side 3647
Torben
så snart han har dem sender data samt beskrivelser - hvilke data og be-
skrivelser fremgår ikke - til Sven Nielsen, og
beder Sven Nielsen om at sende alt retur når opgaverne er afsluttet.
Torben
fremsendt en o-
Det drejer sig
Sven Nielsen har sammen med kopien af brevet/emailen fra Torben
versigt over de honorarer, som Sven Nielsen har modtaget fra Torben
om i alt 145.000 kr.
Med gældsbrevet, tillægget til samme samt oplysningerne om konsulenthonorarer har Sven Nielsen
således redegjort for overførsler fra Torben
på i alt 620.000 kr.
Kopi af gældsbrev, tillæg til låneaftale, brev/mail fra Torben
tagne honorarer er vedlagt som
Bilag 10.
samt oversigt over mod-
Ved brev af den 10. maj 2011 indkaldte SKAT Sven Nielsen til et møde om sagen den 23. maj
2011. Kopi af mødeindkaldelsesbrevet er vedlagt som
Bilag
11.
Den 16. maj 2011 meldte Sven Nielsen afbud til mødet grundet sygdom.
Ved brev af den 19. maj 2011 indlc ldte SKAT S\len Nielsen til møde den 17. juni 2011. Kopi af
mødeindkaldelsesbrevet er vedlagt<-som
Bilag
12.
Den 9.juni 2011 modtog SKAT fra Nord a kontoudtøg på Torben
. En gennemgang
af disse viste umiddelbart, at Sven Nielsen
1
perioden marts 2006 til marts 2011 fra Torben
har fået overført godt to illioner kroner. I forhold til hvad Sven Nielsen på dette tidspunkt
havde redegjort for, syntes der således at mangle forklaring for overførsler på 1,4 millioner kr.
Den 17. juni 2011 blev der i SC Holbæk afholdt et møde med Sven Nielsen. Sven Nielsen blev her
præsenteret for, hvad SKAT mente at kunne udlede af gennemgangen af Torben
kontoudtog for så vidt angår overførsler til Sven Nielsen.
Sven Nielsen fik 15 minutter til i enrum at gennemgå SKATs opgørelser over overførsler fra Tor-
ben
Sven Nielsen erklærede herefter, at han ikke kunne nikke genkendende til talle-
ne, og at han først måtte konferere dem af med hans egne kontooplysninger, før han kunne udtale
sig videre.
Da Sven Nielsen oplyste, at han ikke lå inde med kontoudtogene, blev det aftalt at SKAT skulle
anmode Nordea om kontoudtog for Sven Nielsens konti i banken, at SKAT ville sende kopi af kon-
U
KS
3
Den 10. maj 2011 blev årsopgørelse nr. 2 for 2010 dannet, og den 11. maj 2011 blev email herom
lagt i Sven Nielsens skattemappe. Dette fremgår a vedlagte
Bilag
4.
SAU, Alm.del - 2020-21 - Bilag 263: Pressemeddelelse: Undersøgelseskommissionen om SKAT afgiver delberetning om udbyttesagen, fra justitsministeren
2415032_0004.png
DETTE ER EN
VISNING
UKS Side 3648
toudtogene til Sven Nielsen så snart SKAT fik dem, og at Sven Nielsen ville blive indkaldt til et
møde umiddelbart efter.
Den 17. juni 2011 blev Nordea af SKAT tilskrevet med anmodning om kontoudtogene. Kopi af
brevet er vedlagt som
Bilag 13.
Ved brev af den 27. juni 2011 indkaldte SKAT Sven Nielsen til møde den 1. juli 2011. Kopi af bre-
vet er vedlagt som
Bilag 14.
Den 30. juni 2011 meldte Sven Nielsen afbud til mødet. Afbuddet blev begrundet med, at Sven Ni-
elsen søgte juridisk bistand til sagen.
Mødedatoen blev ændret til den 13. juli 2011.
Den 7.juli 2011 modtog SKAT de indkaldte kontoudtog
kontoudtogene sendt til Sven Nielsen.
og samme dag blev kopi af
U
KS
4
Kopi af kontoudtogene er vedlagt som
Bilag 15
om et møde med advo-
g1k på ferie.
stiansen underskreve
Kopi af brevet fra advokatfirmaet er vedlagt som
Bilag 16.
Den 2. august 2011 sendte SKAT aktindsigt til advokatfirmaet, og samme dag blev det aftalt med
advokatfuldmægtig Kasper Bech Pilgaard, at der skulle holdes et møde om sagen i uge 33 (15. -19.
august 2011 ).
Advokatfuldmægtig Kasper Bech Pilgaard ringede i uge 33 - den eksakte dato fremgår ikke af sa-
gen - og foreslog, at han, inden der afholdtes møde i sagen, sendte en skriftlig redegørelse, hvilket
blev accepteret af SKAT.
Den 26. august 2011 modtog SKAT email fra advokatfuldmægtig Kasper Bech Pilgaard, hvori han
dels foreslog et møde den 30. august 2011, dels lovede at fremsende sin redegørelse for sagen.
SAU, Alm.del - 2020-21 - Bilag 263: Pressemeddelelse: Undersøgelseskommissionen om SKAT afgiver delberetning om udbyttesagen, fra justitsministeren
2415032_0005.png
DETTE ER EN VISNING
UKS Side 3649
SKAT modtog den 29. august 2011 redegørelsen og møde blev aftalt til den 7. september 2011.
Kopi af redegørelsen er vedlagt som
Bilag 17.
Peter Larsen fra Økokrim 7, SKAT, har udarbejdet sagsnotat med essens af redegørelsen med tilhø-
rende kommentarer. Sagsnotatet har følgende indhold
(i
kursiv):
BEMÆRKNINGER TIL ADVOKATFIRMAET TOMMY V. CHRISTIANSENS BREV AF
DEN 29. AUGUST 2011:
Pengeover/ørsler fra udlandet:
Advokaten anfører:
SKAT har
i
løbet af 2011 rettet flere henvendelser til Sven.Niels . med henblik på en redegø-
relse for en række pengeoverførsler, som Sven Nielse
mo'dlaget fra udlandet.
SKAT bemærker:
U
KS
I
,
,
I
I
,
,
I
.
I
,
I
I
,
,
I
~
,
I
I
,
,
.
I I
I
I,
.
,
I
,
\
.
I
,
,
.
,
I
,
:. 0
,1
,
I
,
:.
,
I
,
,
,
I I
I'
I
I I
,
'
,
:.
,
I
,
-
5
SAU, Alm.del - 2020-21 - Bilag 263: Pressemeddelelse: Undersøgelseskommissionen om SKAT afgiver delberetning om udbyttesagen, fra justitsministeren
2415032_0006.png
DETTE ER EN VISNING
UKS Side 3650
2. Jura:
Det er SKATs opfattelse, at der skattemæssigt er fire kvalifikationsmuligheder af overførslerne fra
Torben
til Sven Nielsen.
Mulighederne er:
1. Sven Nielsens påstand om lån og for indkomståret 2010 tillige med enkeltstående skattepligti-
ge honorarer tages til følge.
2. Der er tale om løbende gaveydelser fra Torben
til Sven Nielsen.
3. Der er tale om modydelse - vederlag- for personligt arbejde, som Sven Nielsen har udført for
Torben
og / eller andre. Der er tale om selvstændig virksomhed udført i Danmark.
4. Der er tale om modydelse - vederlag - for personligt arbejde, som Sven Nielsen har udført for
Torben
og / eller andre. Der er tale om et lønmo tagerli_gnende forhold.
Ad
1.
U
KS
19
ør:
f statsskattelovens §
ens§ 3.
Ad 2.
es
om gaver,
r
er tale om skattepligtige gaver. Statsskattelovens § 5,
litra b's henvisning til boafgifts ovens-at1 n·t I har ingen relevans i nærværende sag, idet der ingen
familiære relationer er mellem Sve · Nie sen og Torben
Statsskattelovens § 4, litra c. finder derfor anvendelse, og der er tale om personlig indkomst jævnfør
personskattelovens § 3.
Der er ikke arbejdsmarkedsbidragspligt af gaver.
Ad 3.
Er der tale om selvstændig virksomhed, vil overskud heraf være skattepligtigt i medfør af statsskat-
telovens § 4, litra a. Overskuddet må fastsættes skønsmæssigt. Indtægtssiden vil være samtlige
til Sven Nielsen, mens udgiftssiden må bero på et skøn.
overførsler fra Torben
SAU, Alm.del - 2020-21 - Bilag 263: Pressemeddelelse: Undersøgelseskommissionen om SKAT afgiver delberetning om udbyttesagen, fra justitsministeren
2415032_0007.png
DETTE ER EN VISNING
UKS Side 3651
Det må antages, at arbejdet er udført i Danmark.
Selvstændig virksomhed udført i Danmark er i udgangspunktet momspligtig i medfør af momslo-
vens§
1.
Sven Nielsen vil være en afgiftspligtig person i medfør af momslovens§ 3.
Da det har formodningen imod sig at det arbejde, Sven Nielsen har udført for Torben
kan
komme ind under momsfritagelsesbestemmelserne i momslovens § 13, er der tale om momspligtige
leverancer af ydelser, som er afgiftspligtige i medfør af momslovens§ 4.
Efter praksis vil det beregnede overskud af virksomheden være inklusive moms, hvorfor overskud-
dene skattemæssigt skal reduceres med 20%, som til gengæld vil være momstilsvaret.
Ad 4.
Der vil ikke kunne blive tale om frad
den personlige indkomst - statsskattelo
ligningslovens § 9.
Overordnet lægges det til g
n
D
konto og dermed ikke
Overførslerne fra Torben
U
KS
20
·et
en ikke på noget tidspunkt har haft prokura til Torben
, vende den som en åben kassekredit.
foranledning.
til Sven Nielsen er derfor sket på Torben
Ud fra de oplysninger, som Sven Nielsen har givet, dels skriftligt (vedlagte
Bilag
7 og
Bilag 9),
dels mundtligt på mødet den 7. oktober 2011 jævnfør foranstående og advokatfuldmægtig Kasper
Bech Pilgaards skriftlige redegørelse (vedlagte
Bilag 16)
kan følgende konkluderes:
-
Der er ingen skriftlige låneaftaler. Låneaftalen med tilhørende tillæg (vedlagte
Bilag 9)
har
Sven erkendt er fabrikeret til lejligheden og fremstår derfor som ren efterrationalisering, der ik-
ke kan tillægges nogen som helst betydning.
Der mangler således aftaler om:
- Forrentning
- Afdrag
-
SAU, Alm.del - 2020-21 - Bilag 263: Pressemeddelelse: Undersøgelseskommissionen om SKAT afgiver delberetning om udbyttesagen, fra justitsministeren
2415032_0008.png
DETTE
ER EN VISNING
UKS Side 3652
-
-
-
-
-
- Løbetid
Der er ikke stillet nogen som helst form for sikkerhed for lånene.
Ingen af parterne har noget overblik over størrelsen af de samlede overførsler.
Overførslerne har karakter af løbende ydelser.
En gennemgang af Sven Nielsens konti har ikke vist større overførsler fra Torben
til
Sven Nielsen i forbindelse med at sidstnævnte har foretaget større investeringer.
Sven Nielsen har - i forhold til sin officielle indtægt - haft et massivt privatforbrug som ikke
på nogen måde har kunnet dækkes af lønnen fra SKAT og som løbende er blevet finansieret
ved overførslerne fra Torben
Omkring ovennævnte låneaftale oplyste Sven Nielsen på mødet den 7. oktober 2011, at dokumentet
er udarbejdet af Torben
og at det skete i forbindelse med SKATs henvendelser i 2011. Der
er med andre ord tale om et til lejligheden udarbejdet dokument.
At det af dokumentet fremgår, at såvel Sven Nielsen som Torben
mentet i 2010, kunne Sven Nielsen ikke give nogen forklar"ng
udarbejdet i 2011.
har underskrevet doku-
n fastholdt, at dokumentet er
er først her,
efter
at Sven
kumentet er udfærdiget.
Sven Nielsen har påstået, at låneoptage serne startede i forbindelse med at han mødte sin nuværende
hustru og - ikke mindst - skulle etablere et nyt fælles hjem med hende.
Det kan objektivt konstateres, at:
- Overførslerne startede i marts 2006,
Sven blev gift med
21. september 2007,
-
flyttede til Danmark 8. maj 2008,
Sven i perioden marts 2006 til 30. april 2008 har fået overført 793.000 kr.,
- Bodelingen med Sven Nielsens tidligere ægtefælle ikke har kunnet være økonomisk ek-
stremt byrdefuld, da ingen af ægtefællerne havde nogen væsentlig formue.
Sven Nielsen har påstået, at det hele tiden har været meningen at han skulle flytte til USA og arbej-
de gælden af.
U
KS
21
Teksten
i
lånedokumentet har Torben
!ing.
selv forfa
SAU, Alm.del - 2020-21 - Bilag 263: Pressemeddelelse: Undersøgelseskommissionen om SKAT afgiver delberetning om udbyttesagen, fra justitsministeren
2415032_0009.png
DETTE
ER EN VISNING
UKS Side 3653
Det kan konstateres, at:
- Overførslerne starter i marts 2006,
således allerede i marts 2006 vidste, at han ville flytte til USA,
- Torben
flyttede til USA i 2010,
- Torben
- Sven Nielsen på mødet den 7. september 2011 ikke kunne ikke oplyse, hvilket arbejde han
skulle udføre for Torben
Sven Nielsen på samme møde heller ikke kunne oplyse hvilken virksomhed, han skulle ar-
bejde i, idet Torben
endnu ikke havde fået noget projekt op at køre.
Sven Nielsen har anført, at den absolut primære årsag til at han begyndte at låne penge af Torben
var en anstrengt økonomi, ikke mindst i forbindelse med skilsmissen og den efterfølgende
etablering af nyt fælles hjem med Sven Nielsens nye hustru.
Det kan konstateres, at:
Sven Nielsen har arbejdet i SKAT i 40 år,
- Sven Nielsen i årene 2006 - 2010 har fået overs
- 2006: 9.903 kr.
- 2007: 7.388 kr.
2008: 12.465 kr.
- 2009: 41.464 kr.
- 2010: 17.592 kr.
længe i
SKAT,
ikke får rettet sin fors
bedres med mere en . 0 kr.
Sven Nielsen oplyste på m
e
145.000 kr., han i løbet af 20
Sven Nielsen oplyste, at grunden til, at han ikke sammen med befordringsfradraget for 2010 (ved-
lagte
Bilag 2)
indberettede de 145.000 kr. var, at han på det tidspunkt-den 3. februar 2011 - ikke
havde det fulde overblik over, hvor stort det samlede honorar var.
Foreholdt det umiddelbart bemærkelsesværdige faktum at han først anmodede SKAT om at forhøje
hans skattepligtige indkomst for indkomståret 2010 med de 145.000 kr., han angiveligt har fået i
honorar for arbejde for Torben
efter at SKAT havde udbedt sig en forklaring på overførsler-
ne fra Torben
bemærkede Sven Nielsen, at det beroede på en ren tilfældighed.
U
KS
22
er 2011, at han aldrig havde været i tvivl om, at de
betalt fra Torben
som honorarer for arbejde
SAU, Alm.del - 2020-21 - Bilag 263: Pressemeddelelse: Undersøgelseskommissionen om SKAT afgiver delberetning om udbyttesagen, fra justitsministeren
2415032_0010.png
DETTE ER EN VISNING
UKS Side 3654
Sven Nielsen og advokatfuldmægtig Kasper Bech Pilgaard har oplyst, at Sven Nielsen i en årrække
påtog sig ekstraarbejde på Bladkompagniet, og at det var i forbindelse med dette arbejde, at Sven
Nielsen igen mødte Torben
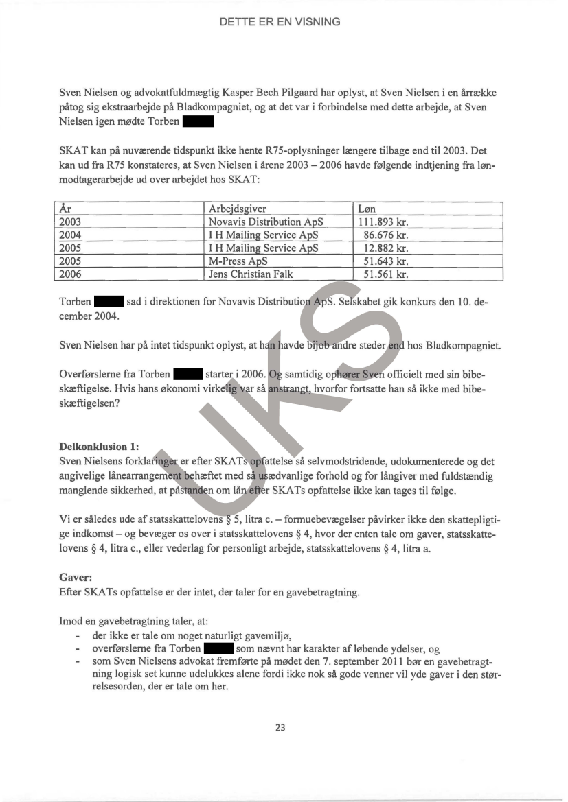
SKAT kan på nuværende tidspunkt ikke hente R75-oplysninger længere tilbage end til 2003. Det
kan ud fra R75 konstateres, at Sven Nielsen i årene 2003 - 2006 havde følgende indtjening fra løn-
modtagerarbejde ud over arbejdet hos SKAT:
År
2003
2004
2005
2005
2006
Arbe·ds iver
Løn
111.893 kr.
86.676 kr.
12.882 kr.
51.643 kr.
51.561 kr.
s
Jens Christian Falk
Torben
sad i direktionen for Novavis Distributio
cember 2004.
Sven Nielsen har på intet tidspunkt oplyst, at h
Overførslerne fra Torben
starter i 2006.
0
samtidig op'h
er
S
en officielt med sin bibe-
skæftigelse. Hvis hans økonomi virk
r så anstr-angt, hvorfor fortsatte han så ikke med bibe-
skæftigelsen?
Delkonklusion 1:
Sven Nielsens forkla ·
Vi er således ude af statsskattelovens § 5, litra c. - formuebevægelser påvirker ikke den skattepligti-
ge indkomst - og bevæger os over i statsskattelovens
§
4, hvor der enten tale om gaver, statsskatte-
lovens
§
4, litra c., eller vederlag for personligt arbejde, statsskattelovens
§
4, litra a.
Gaver:
Efter SKATs opfattelse er der intet, der taler for en gavebetragtning.
Imod en gavebetragtning taler, at:
- der ikke er tale om noget naturligt gavemiljø,
- overførslerne fra Torben
som nævnt har karakter af løbende ydelser, og
- som Sven Nielsens advokat fremførte på mødet den 7. september 2011 bør en gavebetragt-
ning logisk set kunne udelukkes alene fordi ikke nok så gode venner vil yde gaver i den stør-
relsesorden, der er tale om her.
U
KS
23
SAU, Alm.del - 2020-21 - Bilag 263: Pressemeddelelse: Undersøgelseskommissionen om SKAT afgiver delberetning om udbyttesagen, fra justitsministeren
2415032_0011.png
DETTE ER EN VISNING
UKS Side 3655
Delkonklusion 2:
Gaver er udelukket, hvorfor vederlag for personligt arbejde er den eneste resterende mulighed.
Personligt arbejde
-
selvstændig virksomhed eller lønmodtager:
Spørgsmålet er så, om der er tale om selvstændig virksomhed- og hermed momspligtig aktivitet-
eller om der er tale om lønmodtagerlignende forhold.
Da overførslerne strækker sig over en periode på fem år og da Sven Nielsens eneste "kunde" har
været Torben
har det formodningen for sig, at det er Torben
som har haft alle ledel-
sesbeføjelser i relation til Sven Nielsens arbejde.
Der er derfor tale om vederlag for personligt arbejde i et lønmodtagerlignende forhold.
U
KS
24
på i alt 226.431
kr.
samme måde som ov
Endelig bør Sven Nielsen
gistreret i Sven Nielsens navn
en
7/1 9 9. Det er SKATs opfattelse at denne indgår som en del
af en betaling for udført arbejde.
'æl'.die
ansættes skønsmæssigt til
kr.
50.000.
Hjemlen til objektiv skattepligt findes i statsskattelovens § 4, litra a.
Der er tale om personlig indkomst, personskattelovens§ 3.
Der er tale om arbejdsmarkedsbidragspligtig indtægt, arbejdsmarkedsbidragslovens § 2 / den dagæl-
dende arbejdsmarkedsbidragslovens § 7.
SAU, Alm.del - 2020-21 - Bilag 263: Pressemeddelelse: Undersøgelseskommissionen om SKAT afgiver delberetning om udbyttesagen, fra justitsministeren
2415032_0012.png
DETTE ER EN VISNING
UKS Side 3656
4. Rettidig varsling af ændringer:
Det fremgår af skatteforvaltningslovens
§
26, stk. 1, at: "Told- og skatteforvaltningen kan ikke af-
sende varsel som nævnt i
§
20, stk. 1, om foretagelse eller ændring af en ansættelse af indkomst-
eller ejendomsværdiskat senere end den 1. maj i det fjerde år efter indkomstårets udløb."
Fristen for at varsle ændringer for indkomstårene 2006 og 2007 er derfor som udgangspunkt over-
skredet.
Det fremgår imidlertid af skatteforvaltningslovens
§
27, stk. 1, nr. 5), at: "Uanset fristerne i § 26
kan en ansættelse af indkomst- eller ejendomsværdiskat foretages eller ændres efter anmodning fra
den skattepligtige eller efter told- og skatteforvaltningens bestemmelse, hvis den skattepligtige eller
nogen på dennes vegne forsætligt eller groft uagtsomt har bevirket, at skattemyndighederne har fo-
retaget en ansættelse på et urigtigt eller ufuldstændigt grund a .
Det er SKATs opfattelse, at det som minimum må vær groft uagtso
ansat ved skattevæsenet i 40 år, undlader at selva give s
den aktuelle sag.
den skattepligtige er ko
26."
SKAT modtog den 7. juli 2011 konteud og for Sven Nielsens konti i Nordea. Først fra denne dato
kunne der med sikkerhed foretages afstemninger mellem Sven Nielsen og Torben
konti og
først fra denne dato kunne størrelsen af de omtvistede beløb endeligt opgøres og periodiseres kor-
rekt.
Der blev afholdt møde i sagen den 7. september 2011, hvor Sven Nielsen redegjorde for sagen, og
referat fra mødet blev sendt til Sven Nielsen og Advokatfirmaet Tommy V. Christiansen den 13.
september 2011.
Der gives normalt et par uger til at en part i en sag kan gennemlæse et mødereferat og fremkomme
med bemærkninger til dette. Først herefter er der klarhed over, om parterne har samme opfattelse af,
hvad der er blevet oplyst til sagen.
U
KS
25
SAU, Alm.del - 2020-21 - Bilag 263: Pressemeddelelse: Undersøgelseskommissionen om SKAT afgiver delberetning om udbyttesagen, fra justitsministeren
2415032_0013.png
DETTE ER EN VISNING
UKS Side 3657
Det er derfor SKATs opfattelse, at den objektive 6-månedersfrist i skatteforvaltningslovens§ 27,
stk. 2, tidligst løber fra den 27. september 2011, og det er følgelig SKA Ts opfattelse at ændringerne
af Sven Nielsens skatteansættelser er varslet rettidigt.
U
KS
26
SAU, Alm.del - 2020-21 - Bilag 263: Pressemeddelelse: Undersøgelseskommissionen om SKAT afgiver delberetning om udbyttesagen, fra justitsministeren
2415032_0014.png
UKS Side 3658
Skabelon til orientering om VIP-sager
VIP-sager
Afsender ( dit navn)
Modtager ( din chef)
Journal nummer
Emne
Beskriv problemet
Forhøjelser af den skattepligtige indkomst for 2006-2010 vedrørende
overførsler blandt andet fra en
SKAT modtager fra SØK oplysning om, at der på Sven Nielsens konto i
perioden 14/ 11-2008 til 31/12-2010 gentagne gange er indsat større beløb
fra en Torben
22. marts modtager SKAT en redegørelse fra Sven Nielsen om at de
overførsler som fremgå af de kontoudtog SKAT har sendt til ham for 2008
og 2009, samt to beløb på hver 75.000 kr. i 2010 er lån fra Torben
mens resterende over ørsel i 010 er honorar for konsulentarbejde. De
private lån er optaget i forbindelse med skilsmisse øg for at Sven Nielsen
kunne få sin nye familie til Danmark.
Anette Pedersen
Hanne Østergaard
U
KS
15. april 2011 modtager SKAT brev fra Sven Nielsen, hvor han
oplyser, at han vil indberette et beløb på 145.000 kr. der vedrører
konsulent arbejde.
22. april 2011 modtager SK.AT en kopi af et gældsbrev og en kopi af
etbrev eller en udskrift af en mail fra Torben
til Sven Nielsen
vedrørende konsulentarbejde. Gældsbrevet er underskrevet af Torben
d. 31. maj 2010 og af Sven Nielsen d. 1. juni 2010 og
vedrører etlån Rå 75.000 kr. Til gældsbrevet er udarbejdet et udateret og
ikke underskrevet "tillæg til låneaftale" som viser en række
overførsler P,å i alt400.000 kr. Han har således redegjort for at
475.000 kr. som lån fra Torben
Det fremgår afkontoudtogene at han i alt har faet ca. 2 mio. overført og
han mangler således at redegøre for ca. 1,4 mio.
Det fremgår senere af et brev fra advokaten at hverken Sven Nielsen eller
Torben
har haft et overblik over det fulde lånte beløb og det er
årsagen til, at gældsbrevet alene omfatter en del af det lånte beløb.
Det fremgår af Torben Rasmussens sagsnotat at han den 12.08.2011 var
til møde hos Sven Nielsens afdelingsleder Lisbeth
SAU, Alm.del - 2020-21 - Bilag 263: Pressemeddelelse: Undersøgelseskommissionen om SKAT afgiver delberetning om udbyttesagen, fra justitsministeren
2415032_0015.png
UKS Side 3659
Rømer. De har en snak om, om Sven Nielsen evt. kan "fikse" med tallene i
forbindelse med refusion af udbytte, men de kan ikke umiddelbart se noget
i dette. (Refusion af udbytte er en af Sven Nielsens arbejdsopgaver i SKAT)
Følgende citat står herefter anført i sagsnotatet: "Sven Nielsen bruger nok
systemet til at hente oplysninger som Torben
kan bruge"
En anden af sagsbehandlerens betragtninger er:" Mit gæt er, at Sven
Nielsen i starten af 2006 fra IT'orben
har fået et ualmindeligt
attraktivt tilbud om at blive en eller anden form for mellemleder i en
aldeles sort del af (avis- og reklame) distributionsbrancen. Et tilbud, som
Sven Nielsen ikke har kunnet takke nej til.
Der er ikke umiddelbart ved gennemlæsning at sagen noget bevis for, at
nogle af ovenstående betragtninger gør sig gældende.
Klagefristen på afgørelsen løber til 15. marts 2012 og advokaten har i brev
af 15. december 2011 anført at de ønsker en afgørelse, således
at de harmulighed for at indbringe sagen for skatteankenævnet.
Hvorfor VIP-sag?
U
KS
Sven Nielsen er ansat i SKAT og har været det siden 1970. Han
arbej er pt. i regnskab.
SAU, Alm.del - 2020-21 - Bilag 263: Pressemeddelelse: Undersøgelseskommissionen om SKAT afgiver delberetning om udbyttesagen, fra justitsministeren
2415032_0016.png
Side 1 af2
UKS Side 3660
Fra:
Sendt:
Til:
Emne:
Vedhæftede filer:
Opfølgningsflag:
Flagstatus:
Hej Lotte
Anders R. Andersen
18. januar 2012 12:02
Charlotte Pilehave;
VS: medarbejdersag
Document.pdf
Opfølgning
Afmærket
Hermed Jens' mail til Captia.
Vh Anders
Fra:
Jens Sørensen
Sendt:
11. januar 2012 09:08
Til:
Anders R. Andersen
Emne:
Fwd: medarbejdersag
Midtjylland
Direktør
Merkurvej 601, 7400 Herning
E-mail: [email protected]
Telefon: (+45) 30 57 38 31
Start på videresendt besked:
Fra:
"Per Jacobsen" <[email protected]>
Til:
"Jens Sørensen" <[email protected]>
Emne: medarbejdersag
Kære Jens
Godt nytår
Til orientering vedrørende medarbejdersagen på Sven Nielsen.
Vi har nu sendt endelig afgørelse til Sven Nielsen (kopi vedlagt) Sagsfremstilling kan
fremsendes, hvis du ønsker det.
Sven Nielsens advokat har meddelt, at de ikke er enige i afgørelsen, men ønsker at
påklage den til skatteankenævnet, hvorfor SKAT anmodes om at sende den endelige
afgørelse.
http://esdh.ccta.dk/app/captia/getdocument.asp?errTemplate=errorDescription.txt&sy... 22-08-2017
U
KS
Med venlig hilsen
Jens Sørensen
SAU, Alm.del - 2020-21 - Bilag 263: Pressemeddelelse: Undersøgelseskommissionen om SKAT afgiver delberetning om udbyttesagen, fra justitsministeren
2415032_0017.png
Side 2 af2
UKS Side 3661
Sagen er sendt til ansvarsvurdering att. Hanne Østergaard - afdelingsleder sagscenter
person Korsør. De gennemgår sagen for afgørelse af ansvar m.v.
Vi har talt med kontorchef Anders Andersen kontorchef i løn og personalejura. Der skal
nu foretages en vurdering af, om SKAT mener det er så belastende, at der skal ske noget
ansættelsesretsligt ud fra det foreliggende. Det er aftalt, at kopi af afgørelsen sendes til
dig, som herefter ud fra sagens omfang foretager en vurdering.
Anders Andersen forventer herefter, at der sker en drøftelse med løn- og personalejura
om sagen og det videre forløb. Ansvarsafdelingen bør også kontaktes.
Hvis du har ønske/behov om uddybning af sagen skal du være velkommen til at rette
henvendelse til medarbejderligningsenheden v. afd.leder Allan Martens eller
undertegnede.
Med venlig hilsen
Per Jacobsen
Indsats M-SS
Skattedirektør
Ny Østergade 9, 1. sal, 4000 Roskilde
E-mail: Per.Jacobsen@,Skat.dk
Telefon: (+45) 22 60 11 40
http://esdh.ccta.dk/app/captia/getdocument.asp?errTemplate=errorDescription.txt&sy... 22-08-2017
U
KS
SAU, Alm.del - 2020-21 - Bilag 263: Pressemeddelelse: Undersøgelseskommissionen om SKAT afgiver delberetning om udbyttesagen, fra justitsministeren
2415032_0018.png
UKS Side 3662
SKATl"EMINISTERIET
Notat
Intern Revision
8. februar 2012
Væsentligheds- og risikoanalyse af personskatteom-
rådet – Udbytte og royalty
Udbytte bogføres på følgende forretningsområder:
Royaltyskat bogføres på følgende forretningsområder:
FO 1160 Royaltyskat
FO 1161 Royaltyskat, store virksomheder
I finansloven for 2012 er der budgetteret med indtægter vedrørende udbytte på
6,5 mia. kr. (ved ikke om royalty skat er indregnet her – formentlig).
For 2011 udgjorde indtægter fra udbytteskat ca. 7.898 mio. kr. og royaltyskat
10.5 mio.
Selskaber der udlodder udbytte, skal indeholde udbytteskat iht. KSL §§65, 65A
og 65B.
Efter KSL §65C skal der ved udbetaling eller godskrivning af royalty indeholdes
royaltyskat med 25%.
SIR (RC Kbh) har i 2009/2010 gennemført en undersøgelse af refusionsordning
vedrørende udbytteskat for udlændinge. SIR fastslog i rapport af 10. maj 2010 at
der var en del uhensigtsmæssige forhold på området. Bl.a. konkluderede SIR i
rapporten, at der på området manglede afstemningsmulighed mellem oplysninger
om indeholdt udbytteskat og udbyttemodtagere.
På baggrund af SIR rapport blev nedsat en arbejdsgruppe der skulle komme med
forbedringsforslag på en række forhold indenfor udbytteadministrationen.
U
KS
FO 1156 Udbytteskat
FO 1157 Udbytteskat, store virksomheder
FO 1158 Udbytte modr. selskabsskat
SAU, Alm.del - 2020-21 - Bilag 263: Pressemeddelelse: Undersøgelseskommissionen om SKAT afgiver delberetning om udbyttesagen, fra justitsministeren
UKS Side 3663
Arbejdsgruppen forelagde i juni 2011 nogle forslag for produktionsforum, der
godkendte at der arbejdes videre med disse forslag.
Der er på nuværende tidspunkt gennemført nogle ændringer på området.
Bl.a. for udlodninger der foretages i 2012 skal indberetning af udbytteangivelse
og udbyttemodtagere foretages samtidig. (For tidligere år var dette forskudt, idet
udbytteangivelse skulle indberettes senest i måneden efter beslutning om udlod-
ning, mens udbyttemodtagere først skulle indberettes i januar året efter udlod-
ning).
Tilsyneladende er det fortsat frivilligt om man vil anvende Tast-selv eller angive
på blanketter. Arbejdsgruppen ville gerne have indberetning via Tast-selv gjort
obligatorisk.
VG Person har ikke tilstrækkelig kendskab til processer og it-systemer på områ-
det, ligesom vi heller ikke er bekendt med den nøjagtige status på arbejdsgrup-
pens arbejde, således at vi kan foretage en nøjagtig risikoanalyse på området.
U
KS
SAU, Alm.del - 2020-21 - Bilag 263: Pressemeddelelse: Undersøgelseskommissionen om SKAT afgiver delberetning om udbyttesagen, fra justitsministeren
2415032_0020.png
UKS Side 3664
P
i
n
d
Emne /
Fejlbeskrivelse
1
+
2
+
4
Udbytteskat
Væsentlighed
Beskrivelse af den
sammenhæng,
hvori fejlen indgår
og dermed gør den
væsentlig
Ja, kan indeholde
væsentlige fejl.
Indtægten er skøn-
net til 6,5 mia. i
2012
R
is
ik
o
Risiko
Sandsynlighed/konsekvens
Intern kontrol
Kvaliteten af
IK
Fejlen
vedr.
revi-
si-
ons-
mål
henvisning
/ Placering Integreres i en
i proces- løbende revision
oversigt
Revisionshandlinger
Integreres i Som særskilt opgave
en status
revision
Forslås gennemført en opgave i 2012.
U
KS
1
+
2
+
4
Royalty skat
Nej, royaltyskatten
vurderes ikke at
kunne indeholde
væsentlige fejl.
Mellem til høj. Har ikke tilstrække-
ligt kendskab til at vurdere risiko
præcis. Der har tidligere (2010) væ-
ret påvist behov for forbedringer på
området. En nedsat arbejdsgruppe er
i gang med at iværksætte udvik-
ling/forbedringer. Nøjagtig status på
området kendes ikke.
Mellem til høj. Har ikke tilstrække-
ligt kendskab til at vurdere risiko
præcis.
SAU, Alm.del - 2020-21 - Bilag 263: Pressemeddelelse: Undersøgelseskommissionen om SKAT afgiver delberetning om udbyttesagen, fra justitsministeren
2415032_0021.png
UKS Side 3665
Konklusion:
Da væsentlige fejl kan forekomme (indtægt for 2012 skønnet til 6,5 mia.) og da
risikoen for fejl ikke nøjagtigt kan fastslås, foreslås det, at SIR i 2012 gennemfø-
rer en opgave der afdækker området.
Opgaven skal primært have til formål at vurdere om regnskabsforvaltningen,
forretningsgange og interne kontroller er tilrettelagt således at regnskabet for
udbytteskatter bliver rigtigt (pind 1) og at forvaltningen er i overensstemmelse
med love og regler (pind 2). Sekundært bør der i opgaven være fokus på, om
administrationen på området er økonomisk hensigtsmæssigt (pind 4).
VG Person
U
KS
SAU, Alm.del - 2020-21 - Bilag 263: Pressemeddelelse: Undersøgelseskommissionen om SKAT afgiver delberetning om udbyttesagen, fra justitsministeren
2415032_0022.png
UKS Side 3666
U
KS
SAU, Alm.del - 2020-21 - Bilag 263: Pressemeddelelse: Undersøgelseskommissionen om SKAT afgiver delberetning om udbyttesagen, fra justitsministeren
2415032_0023.png
UKS Side 3667
U
KS
SAU, Alm.del - 2020-21 - Bilag 263: Pressemeddelelse: Undersøgelseskommissionen om SKAT afgiver delberetning om udbyttesagen, fra justitsministeren
2415032_0024.png
UKS Side 3668
U
KS
SAU, Alm.del - 2020-21 - Bilag 263: Pressemeddelelse: Undersøgelseskommissionen om SKAT afgiver delberetning om udbyttesagen, fra justitsministeren
2415032_0025.png
UKS Side 3669
"
U
KS
SAU, Alm.del - 2020-21 - Bilag 263: Pressemeddelelse: Undersøgelseskommissionen om SKAT afgiver delberetning om udbyttesagen, fra justitsministeren
2415032_0026.png
UKS Side 3670
U
KS
SAU, Alm.del - 2020-21 - Bilag 263: Pressemeddelelse: Undersøgelseskommissionen om SKAT afgiver delberetning om udbyttesagen, fra justitsministeren
2415032_0027.png
UKS Side 3671
~
-
~
/4
~
~:.,,.,l
-
~
h~
U
KS
SAU, Alm.del - 2020-21 - Bilag 263: Pressemeddelelse: Undersøgelseskommissionen om SKAT afgiver delberetning om udbyttesagen, fra justitsministeren
UKS Side 3672
Nedenfor har jeg renskrevet notatet om mine personlige optegnelser og overvejelser i forbindelse
med medarbejderligningssagen omkring Sven Nielsen. Afskriften er ordret, og da de enkelte
notater er skrevet i al hast, halter grammatikken flere steder. Notatet dækker perioden 10. feb.
2011 til 10. feb. 2012. Jeg har af forståelsesmæssige grunde indsat navne og forklarende
bemærkninger med rød skrift.
10/2 – 11
Per Jakobsen
(skattedirektør med ansvar for medarbejderligningen i Holbæk)
orienterede mig om
SN
(Sven Nielsen)
sagen. Der var tale om en overførsel til SN på i alt ca. 500.000. Personen i USA
som sendte pengene var dansker, som var udvandret til USA. I DK havde pågældende været
bistandsklient. Ville vende tilbage når de vidste mere om sagen.
FHJ
(Frank Høj Jensen viceskattedirektør i Regnskab)
og JS
(Jens Sørensen regionsdirektør i
Midtjylland)
orienteret i uge 7.
26/5 – 11
16/6 – 11
PJ oplyste, at der var fundet yderligere 1,5 mio. i overførsler. SN skulle til møde d. 17.6. med
enheden i Holbæk. Havde forud for dette indsendt forskellige dokumenter, som så lidt
konstruerede ud – lånedokumenter m.v. Økokrim med på sidelinjen.
JS og Frank orienteret.
22/6 – 11
Sagen igen drøftet med PJ. Oplyste at SN var blevet noget overrasket over de nye oplysninger og
havde bemærket, at alt ikke var skattepligtigt. Havde i øvrigt selvangivet et beløb for 2010. Havde
nævnt, at han behøvede juridisk hjælp. Mødet sluttet. Det blev aftalt at MLE
(medarbejderligningsenheden i Holbæk)
indkaldte bankoplysninger fra Nordea, og at nyt møde
skulle holdes indenfor 10 dage. Jura og Personale
(centralt kontor i SKAT)
var orienteret om sagen
med henblik på suspension. Lok
(log)
indkaldt fra IT
(log som skulle vise SN brug af systemerne).
JS og FHJ orienteret.
Talt med PJ d. 5/7 – 11
SN havde meldt afbud til mødet i uge 26, da han endnu ikke havde talt med sin advokat. Møde
berammet til d. 13.7. Personalejura mente ikke der var nok til at suspendere SN.
U
KS
Jeg spurgte PJ
(Per Jakobsen)
til sagen. SN var indkaldt til møde. Økokrim
(Skats afdeling for
økonomisk kriminalitet)
var med på sidelinjen.
FHJ og JS orienteret.
SAU, Alm.del - 2020-21 - Bilag 263: Pressemeddelelse: Undersøgelseskommissionen om SKAT afgiver delberetning om udbyttesagen, fra justitsministeren
UKS Side 3673
8/7 – 11
Talt med PJ. Gert Ensted
(GE var kontorchef i MLE)
overtager sagen i PJ’s ferie – møde i næste uge.
12/7 – 11
Talt med GE. SN havde meldt afbud da han først kunne få et møde med sin advokat Torben Bagge
d. 13/7 – 11. Skulle derefter på ferie til d. 8/8. Oplyste indholdet af mails fra SØK/Økokrim fra den
amerikanske forbindelse til SN. Tilsyneladende noget om at skaffe oplysninger fra danske
virksomheder til et amerikansk konsortium. Fra hvilke systemer vidste man ikke.
Mulige strafbare forhold efter straffeloven
(mine overvejelser):
1) Overtrædelse af tavshedspligt.
2) Bedrageri ved ulovlig overførsel p.g.a. forfalskede refusionsansøgninger.
3) Overtrædelse af § 289.
Personalejura var kontaktet – ikke grundlag for at suspendere.
JS orienteret (+ Frank).
15/7 – 11
GE kontaktet – intet nyt. Loggen fra IT var tilsyneladende ikke kommet. Følte ikke
(GE)
at der var
fornyet grundlag for at kontakte Personalejura. JS og GE orienteret om de personlige forhold jeg er
bekendt med om SN i forbindelse med LUS
(lederudviklingssamtale)
med LR
(Lisbet Rømer var
afdelingsleder for Sven Nielsen)
d. 29/6 – 11 – ægteskabelige forhold.
8/8 (- 11)
Jeg blev kontaktet pr. telefon af PJ medens jeg kørte i Nordmandiet. PJ ville inddrage LR
(Lisbeth
Rømer)
i udsøgningerne fra IT. Jeg henviste til FHJ.
23/8 – 11
Sagen drøftet med FHJ. Medarbejdere fra MLE havde været på besøg i HT
(Regnskab 2 i Høje
Taastrup).
Udsøgningerne fra IT havde ikke afsløret misbrug af systemerne/udbetalinger.
20/9 – 11
Skattedirektørmøde på Sluseholmen. PJ oplyste at der havde været møde i sagen, og at Torben
Bagge + SN gjorde gældende, at der var fortrinsvis tale om lån. Havde tilsyneladende også drevet
uregistreret virksomhed (selvangivet et beløb for 2010). PJ var knap så sikker på, at der var en
”sag”. Ville vende tilbage i løbet af ca. 14 dage. JS orienteret (Frank deltog i samtalen med PJ).
U
KS
SAU, Alm.del - 2020-21 - Bilag 263: Pressemeddelelse: Undersøgelseskommissionen om SKAT afgiver delberetning om udbyttesagen, fra justitsministeren
UKS Side 3674
18/10 – 11
Sagen drøftet på møde med JS i Horsens. Jens ønsker en fornyet henvendelse til PJ. PJ kontaktet
tlf. d. 25/10 – 11. Vendt tilbage ved mail d.26/10 – 11. JS og FHJ orienteret om PJ mail
(MLE holder
møde d.d. hvorefter agter vil blive fremsendt. Kopi til mig).
3/11 – 11
Der er endnu ikke kommet noget fra PJ. Jens S orienteret om sagen på Bygholm
(direktionsseminar). Jens ønskede at PJ sendte agterskrivelsen til ham, således at proceduren i
notat af 23. dec. 2010 fra medarbejderligningsenheden blev fulgt.
4/11 - 11
Per Jacobsen kontaktet telefonisk. Agterskrivelse endnu ikke afsendt til SN. Ville blive sendt om
kort tid. PJ ville sende kopi til JS.
10/11 – 11
Spurgte JS til sagen i forbindelse med RSU-møde
(regionalt samarbejdsudvalgsmøde).
Intet nyt. JS
ville rykke PJ i løbet af et par dage.
24/11 – 11
Talt med JS på skattedirektørmødet. JS viste mig en mail fra PJ han havde modtaget den 14. nov.
med agteren som bilag. Jeg så kun mailen, hvoraf den videre proces fremgik. Det næste skridt var
afsigelse af kendelse. Derefter oversendes den til ansvarsbehandling, før personalejura ville
forholde sig til sagen.
10/2 12
Lisbeth Rømer orienterede mig om, at Jens Erik Jørgensen – sagscenter person
- (skattedirektør
for sagscentret)
havde kontaktet Lisbeth for at høre til processen omkring sagen. Sagen var netop
sendt til ansvarsvurdering. Lisbeth oplyste, at vi ikke havde haft noget med sagen at gøre, bortset
fra at vi havde haft et møde med medarbejdere fra Holbæk omkring nogle EDB-udsøgninger. Jens
Erik havde givet udtryk for, at han ikke var tilfreds med forløbet fra Holbæks side. Jens Sørensen
samme dag orienteret om henvendelsen fra Jens Erik.
Efter denne dato orienteres jeg ikke længere om sagen.
6. februar 2019
Lars Nørding
U
KS
SAU, Alm.del - 2020-21 - Bilag 263: Pressemeddelelse: Undersøgelseskommissionen om SKAT afgiver delberetning om udbyttesagen, fra justitsministeren
2415032_0031.png
UKS Side 3675
S KATrE MIN ISTER I ET
Notat
6. december 2012
J.nr. 12-0173153
Forelæggelse for implementeringsstyregruppen
Titel:
Procedure for behandling af rapporter fra Intern Revision og beretningssager
mv. fra Rigsrevisionen
Karsten Juncher
I
Direktions-
medlem:
Sagen kort:
Pr. l. januar 2013 bliver Intern Revision en del af departe-
mentet. Samtidigt bliver §9-aftalen med Rigsrevisor revide-
ret, således at Rigsrevisionen reviderer departementet og In-
tern Revision reviderer den øvrige del af ministeriet.
Forslaget indebærer, at behandlingen af Intern Revisions
rapporter forankres hos afdelingschefen for Koncernstyring
og Udvikling i kontoret Økonomi og Styring.
I SKAT vil Økonomikontoret, indtil den endelige struktur i
SKAT fastlægges, være indgang for de af Intern Revisions
rapporter, som vedrører SKAT. Økonomikontoret vil sikre
fordelingen af rapporter til de ansvarlige direktører, sikre
opfølgning og sikre afrapportering til departementet.
En tilsvarende arbejdsdeling etableres i forhold til beret-
ningssager mv. fra Rigsrevisionen
Den foreslåede procedure godkendes.
Efter godkendelsen i implementeringsstyregruppen tilrettes
procedurebeskrivelserne i overensstemmelse hermed.
De tilrettede procedurebeskrivelser kommunikeres til rele-
vante parter.
Indstilling:
Procedure:
Kommunikati-
on:
U
KS
Side 1 af2
SAU, Alm.del - 2020-21 - Bilag 263: Pressemeddelelse: Undersøgelseskommissionen om SKAT afgiver delberetning om udbyttesagen, fra justitsministeren
2415032_0032.png
UKS Side 3676
Økonomi:
Jens Madsen, 7. december 2012
U
Side 2 af 2
KS
SAU, Alm.del - 2020-21 - Bilag 263: Pressemeddelelse: Undersøgelseskommissionen om SKAT afgiver delberetning om udbyttesagen, fra justitsministeren
2415032_0033.png
UKS Side 3677
SKATl'"EMINISTERIET
Notat
6. december 2012
J.nr. 12-0173153
Procedure for behandling af Intern Revisions rapporter
Notatet beskriver de overordnede procedurer for behandling af rapporter fra In-
tern Revision og beretningssager mv. fra lRigsrevisionen
Rapporter fra Intern revision
Der er derfor behov for en ændret procedure for behandling af Intern Revisions
rapporter.
Der foreslås følgende procedure.
Departementet
Økonomi og Styring fordeler rapporterne til de reviderede institutioner.
Institutionerne foretager opfølgning og afrapporterer til Økonomi og Styring, jf.
nedenfor.
Økonomi og Styring forestår rapportingen til departementschefen.
SKAT
De af Intern Revisions rapporter, som vedrører SKAT sendes til direktøren for
SKAT.
Behandlingen af rapporterne forankres hos Økonomidirektøren i Økonomikon-
toret.
Økonomikontoret fordeler rapporterne til den ansvarlige direktør.
Direktøren foretager opfølgning og afrapporterer til Økonomikontoret.
Økonomikontoret forestår rapportingen til direktøren for SKAT og til departe-
mentet. Kritiske rapporter drøftes i SKA Ts direktion.
Kritiske rapporter forelægges direktøren for SKAT i en hurtig proces, mens de
tilfredsstillende rapporter forelægges samlet i et regelmæssigt interval.
U
Behandlingen af Intern Revisions rapporter forankres hos afdelingschefen for
Koncernstyring og Udvikling i kontoret Økonomi og Styring.
KS
Pr. 1. januar 2013 bliver Intern Revision en del af departementet. Samtidigt bli-
ver §9-aftalen med Rigsrevisor revideret, således at Rigsrevisionen reviderer
departementet og Intern Revision reviderer den øvrige del af ministeriet.
Side 1 af 2
SAU, Alm.del - 2020-21 - Bilag 263: Pressemeddelelse: Undersøgelseskommissionen om SKAT afgiver delberetning om udbyttesagen, fra justitsministeren
2415032_0034.png
UKS Side 3678
Der sikres med forslaget en samlet viden i SKAT om Intern Revisions rapporter
og en ensartethed samt kvalitetssikring i forhold til afrapporteringen til depar-
tementet.
Øvrige institutioner
De rapporter, som vedrører Landsskatteretten og Spillemyndigheden sendes fra
departementet til direktøren for institutionen. Den enkelte institution foretager
rapportering til departementet.
Beretningssager m.v. fra Rigsrevisionen
Indgangen for beretningssager og andre sager fra itigsrevisionen placeres hos
afdelingschefen for Koncernstyring og Udvikling i kontoret Økonomi og Sty-
ring. Der vil således være en indgang for Rigsrevisionen i Skatteministeriet.
I SKAT vil Økonomikontoret være indgang for sager vedrørende SKAT. Det
sker for at sikre en ensartethed af behandlingen af Rigsrevisions sager samt en
samlet viden om revisionen.
I beretningssager vil SKA Ts direktion udpege en ansvarlig direktør, som fore-
står gennemførelsen af sagen. Økonomikontoret bidrager med sparring. Depar-
tementets rolle i de konkrete beretningssager aftales i forhold til den konkrete
beretningssag. Beretningssager forelægges minister og departementschef i hen-
hold til den beskrevne procedure for beretningssager fra Rigsrevisionen.
U
Side2 af2
KS
SAU, Alm.del - 2020-21 - Bilag 263: Pressemeddelelse: Undersøgelseskommissionen om SKAT afgiver delberetning om udbyttesagen, fra justitsministeren
2415032_0035.png
UKS Side 3679
Fra:
Til:
Emne:
Dato:
Vedhæftede filer:
Per Jacobsen
Jens Sørensen
VS: Sven
4. april 2013 21:21:15
image002.jpg
Hej Jens
Jeg vil lige give dig en status på medarbejdersagen vedr. Sven Nielsen, Regnskab HT
Sagen behandles på et møde i skatteankenævnet i Helsingør den 21. maj 2013 – og vil uden tvivl
blive påklaget til LSR efterfølgende, hvis han ikke for medhold i klagen.
Så vi må vente med nogen tålmodighed inden det materielle i sagen er afklaret
Med venlig hilsen
Per Jacobsen
U
KS
Indsats
Mindre Virksomheder
Underdirektør
Gymnasievej 21, 4600 Køge
E-mail:
[email protected]
Telefon: (+45) 22 60 11 40
SAU, Alm.del - 2020-21 - Bilag 263: Pressemeddelelse: Undersøgelseskommissionen om SKAT afgiver delberetning om udbyttesagen, fra justitsministeren
2415032_0036.png
UKS Side 3680
Fra:
Til:
Emne:
Dato:
Vedhæftede filer:
Lisbeth Rømer
René Frahm Jørgensen
SV: Udbytetskattererester
4. juni 2013 11:22:35
Brev.docx
image001.png
Kære René,
Tak for din positive indstilling. Det ville være så godt, at udbytteskat ikke var en øde ø, men var i
et fagligt miljø, hvilket kunne være frugtbart både for udbytteskat men så sandelig også for
selskabsskatten.
Jeg har begået et lille papir – bygget op over dine 4 emner og tilføjet refusionerne. Det er svært
at sige nøjagtigt hvor meget arbejde der ligger i de forskellige emner, da ingen har gjort noget
systematisk ved det indtil nu.
Med venlig hilsen
Lisbeth Rømer
Regnskab
Regnskab 2
Helgeshøj Allé 49-55, 2630 Taastrup
E-mail: [email protected]
Telefon: (+45) 72 37 48 54
Fra:
René Frahm Jørgensen
Sendt:
3. juni 2013 15:03
Til:
Lisbeth Rømer
Emne:
SV: Udbytetskattererester
Hej Lisbeth
Det lyder umiddelbart som en god plan.
Du nævner det omkring ”resterne” af opgaverne. Kan du/I specificere det lidt? Jeg har fået
vedlagte notat fra Bente for ca. 2 mdr. siden – og har desværre ikke haft mulighed for at
undersøge det nærmere. Som jeg ser notatet, så er det primært de 4 nævnte situationer der skal
tages hånd om:
Overordnet løsning for kontrol af:
1) Afstemning af betalt udbytteskat over for de modtagere der indberettes direkte til e-
Kapital.
2) Selskaber, der ikke er selskabsskattepligtige, men stadig udbytteskattepligtige.
3) Kontrol overfor selskaber, der ikke har angivet hele det udloddede udbytte.
4) Håndtering af de kontoførende bankers indberetninger om størrelsen af udbytteskat mv.
U
KS
SAU, Alm.del - 2020-21 - Bilag 263: Pressemeddelelse: Undersøgelseskommissionen om SKAT afgiver delberetning om udbyttesagen, fra justitsministeren
2415032_0037.png
UKS Side 3681
Er det korrekt opfattet? – og hvor stor en opgave er dette i dag?
Med venlig hilsen
René Frahm Jørgensen
Betaling og Regnskab
Underdirektør
Damstrædet 2, 6950 Ringkøbing
E-mail:
[email protected]
Telefon: (+45) 72 38 92 97
Med venlig hilsen
Lisbeth Rømer
Regnskab
Regnskab 2
Helgeshøj Allé 49-55, 2630 Taastrup
E-mail:
[email protected]
Telefon: (+45) 72 37 48 54
U
Kære René,
Under et møde i HC fredag den 24. maj fortalte Bente Klein Fridberg at hun søgte over i
Kundeservice på en af de stillinger, der er slået op.
Da hun er ankermand i den fremtidige TastSelv og den, som har viden til at bære udbytteskatten
videre, når vi får tvungen TastSelv, vil jeg håbe, at du kan ringe til mig. Vi har tidligere udtrykt
ønske om, at ”resterne” kommer til at ligge kundeservice.
Og det som Bente i virkeligheden ønsker er sikkerhed for, at ”resterne ” bliver overflyttet til
Kundeservice på et tidspunkt senere i år.
KS
Fra:
Lisbeth Rømer
Sendt:
3. juni 2013 08:34
Til:
René Frahm Jørgensen
Emne:
Udbytetskattererester
SAU, Alm.del - 2020-21 - Bilag 263: Pressemeddelelse: Undersøgelseskommissionen om SKAT afgiver delberetning om udbyttesagen, fra justitsministeren
2415032_0038.png
DETTE ER EN VISNING
UKS Side 3682
SKATrEMINISTERIET
Forelæggelse for departementschefen
SIRs 2012 Revisionsberetning af SKAT og Landskatteretten
Journal nr.
Frist dep, chef
Frist ekstern
skriv dato
13-0211923
Sagens karakter
~
03-07-2013
Presse
Ja,
Ja,
Lagt
i
kopi til
Afdelingsch
Orientering
Drøftels
Godkenls
kritisk sag
offensiv sag
cleart
Kontorchef
~Nej
med presse
Andet
SIR har aflagt sin årlige revisionsberetning for SKAT og Landskatteretten.
Gennemgående vurderer SIR, at SKAT og Landskatteretten har opfyldt kravene
til
god offentlig-
økonomistyring og forvaltning. Derfor vurderer SIR, at forretningsgange og interne kontroller
generelt har fungeret tilfredsstillende. Derudover er regnskabet udarbejdet i overensstemmelse
med de regnskabsregler, der er udstedt i medfør af lov om statens regnskabsvæsen mv., og
regnskabet er uden væsentlige fejl og mangler.
Vedlagt er et kort notat der orienterer nærmere om indholdet i revisionsberetningeme.
Derudover er vedlagt SIRs revisionsberetning af 31. maj 2013 for SKAT 2012 og SIRs
revisionsberetning af 17. maj 2013 for Landskatteretten 2012.
Indstilling
Det indstilles, at SIRs revisionsberetning for 2012 om SKAT og Landsskatteretten tages
til
efterretning.
Sagsbehandler: Christian Hjenild Ovesen
Godkendt: Kristian Hertz
1/1
U
2..:K/c,
,.
l
>
Den lidt sene forelæggelse af sagen skyldes, at SIR i en mail havde oplyst Økonomi og Styring
om, atberetningen var sendt
til
departementschefen. Det har efterfølgende vist sig, at SIR ikke
har forelagt beretningen for departementschefen.
vl~Z--
KS
SAU, Alm.del - 2020-21 - Bilag 263: Pressemeddelelse: Undersøgelseskommissionen om SKAT afgiver delberetning om udbyttesagen, fra justitsministeren
2415032_0039.png
DETTE ER EN VISNING
UKS Side 3683
SKATrEM 11\/ ISTERI ET
Notat
J.nr. 13-0211923
Den 28. juni 2013
Økonomi og Styring
SIRs 2012 Revisionsberetning af
SKAT og Landskatteretten
SIR har afgivet deres årlige revisionsberetning for SKAT og Landskatteretten.
Revisionen af SKAT er opdelt i følgende temaer: Finansiel revision af §38 og
§9, juridisk-kritiske revisione1·, målopfyldelse, fotvaltningsrevision og it-
revision. Der er udarbejdet en selvstændig tapport for Landskatteretten.
Finansiel revision
CHO
Juridisk-kritisk revision
SIR har udarbejdet 6 juridisk-kritiske revisioner. Disse har varieret mellem, at
være ikke tilfredsstillende til at være tilfredsstillende. De ikke tilfredsstillende
og ikke helt tilfredsstillende revisioner har vedrørt revision af foreløbige
fastsættelser af momsområdet, joumalsystemets anvendelse på de udvalgte
områder og anvendelse af Rl<I. Kritikken i disse revisioner omhandler særligt
manglende retssikkerhed. SKAT har igangsat en række initiativer, der skal rette
op på flere af forholdene.
Målopfyldelse
SIR vurderer, at målopstillingen og måltapporteringen i årsrapporten for
2012
samlet set var tilfredsstillende.
Forvaltningsrevision
Grundet reorganiseringen af hele Skatteministeriet vurderede SIR, at det ikke
var frugtbart at foretage forvaltningsrevision for
2012
1/2
U
SIR vurderer, at forretningsgange og interne kontroller på den løbende
revision af §9 generelt fungerede tilfredsstillende. Derudover er det aflagte
regnskab for §9 uden væsentlige fejl og mangler.
KS
SIR vurderer samlet set, at forretningsgange og interne kontroller på §38
området generelt har fungeret tilfredsstillende. Det
vil
sige, at regnskabet
samlet set opfylder de krav, der stilles til en god og pålidelig
regnskabsforvaltning, og således understøtter, at regnskabet bliver rigtigt, dvs.
uden væsentlige fejl og mangler. Derudover vurderes det, at det aflagte §38
regnskab for
2012
er rigtigt. Dermed er regnskabet udarbejdet i
overensstemmelse med de regnskabsregler, der er udstedt i medfør af lov om
statens regnskabsvæsen mv., og regnskabet er uden væsentlige fejl og mangler.
SAU, Alm.del - 2020-21 - Bilag 263: Pressemeddelelse: Undersøgelseskommissionen om SKAT afgiver delberetning om udbyttesagen, fra justitsministeren
2415032_0040.png
DETTE ER EN VISNING
UKS Side 3684
S KATl'"E MI
!'\I
ISTER I ET
Skatteministeriets
Interne Revision
Til departementschef Jens Brøchner
31. maj 2013
J.nr. 13-0162299
Erklæring om revision af Skatteministeriets § 9 regn-
skab for regnskabsåret 2012
Formål med erklæringen
Ledelsens ansvar
Årsrapporten påtegnes af Skatteministeriets ledelse, jf. bekendtgørelse nr. 70 af
27. januar 2011 om statens regnskabsvæsen mv. Med påtegningen tilkendegives:
at årsrapporten er rigtig, dvs. at årsrapporten ikke indeholder væsentlige
fejlinformationer eller udeladelser, herunder at målopstillingen og mål-
rapporteringen i årsrapporten er fyldestgørende
at de dispositioner, som er omfattet af regnskabsaflæggelsen, er i over-
ensstemmelse med meddelte bevillinger, love og andre forskrifter samt
med indgåede aftaler og sædvanlig praksis
at der er etableret forretningsgange, der sikrer en økonomisk hensigts-
mæssig forvaltning af de midler og ved driften af de institutioner, der er
omfattet af årsrapporten.
Grundlaget for revisionen
Skatteministeriets Interne Revision har for regnskabsåret 2012 revideret Skatte-
ministeriet. Revisionen er udført i overensstemmelse med god offentlig revisi-
onsskik. Dette indebærer, jf. lov om revisionen af statens regnskaber, at det ved
revisionen er efterprøvet, om regnskabet er rigtigt, og om der er etableret forret-
ningsgange og interne kontroller, der understøtter, at de dispositioner, der er om-
fattet af regnskabsaflæggelsen, er i overensstemmelse med meddelte bevillinger,
love og andre forskrifter samt med indgåede aftaler og sædvanlig praksis.
Skatteministeriets Interne Revision betragter med denne erklæring revisionen af
§ 9 regnskabet for 2012 som afsluttet. Skatteministeriets Interne Revision kan
U
KS
Fo1målet med erklæringen er at give Skatteministeriet en samlet vurdering af
virksomhedens regnskabsaflæggelse og økonomiske forvaltning af§ 9 regnska-
bet baseret på den udførte revision i regnskabsåret 2012.
Side 1 / 2
SAU, Alm.del - 2020-21 - Bilag 263: Pressemeddelelse: Undersøgelseskommissionen om SKAT afgiver delberetning om udbyttesagen, fra justitsministeren
2415032_0041.png
DETTE ER EN VISNING
UKS Side 3685
dog
tage spørgsmål vedrørende dette
og
tidligere
regnskabsår op til
yderligere
undersøgelser. I den forbindelse kan der
fremkomme
nye oplysninger, som kan
give
anledning
1il, m
konkrete
forhold,
der er
behandlet
i
denne erklæring
og
revisionsberetningen, bliver vurderet
på ny.
Den udførte revision
Revisionen er tilrettelagt og udført på grundlag af en vurdering væst:nLlighed
og risiko og er baseret på stikprøverogen gennemgang af forretningsgange og
ar
interne kontroller.
Revisionen af Skatteministeriet omfattede for regnskabsåret 2012 løbende årsre-
vision samt afsluttende årsrevision. Resultaterne af den løbende og afsluttende
årsrevision er afrapporteret til Skatteministeriet.
Konklusion
baggrund
af
den
udførte revision
er
Skatteministeriets Interne
Revision nået
frem
til
følgende konklusion:
Regnskabet er rigtigt, dvs. uden væsentlige fejl
og mangler.
Der er
etableret forretningsgange og
interne
kon!roller,
der undersløller,
at de dispositioner, der er omfattet
af
regnskabsaflæggelsen, er
i
overens-
stemmelse med
bevillinger, love
og
andre
forskrifter samt med indgåede
aftaler og sædvanlig praksis.
Revisionen
har
således ikke givet
anledning
til
forbehold .
Der
henvises
i
,wrigt til revisionsberetningen.
,,, · 'Kjeld
Rasmussen
~ d '/ ' ' ·
Revisionschef
U
Side
2 1
2
31.
maj
2013
KS
SAU, Alm.del - 2020-21 - Bilag 263: Pressemeddelelse: Undersøgelseskommissionen om SKAT afgiver delberetning om udbyttesagen, fra justitsministeren
2415032_0042.png
DETTE ER EN VISNING
UKS Side 3686
SKATl'"EMINISTERIET
Skatteministeriets
Interne Revision
31. maj 2013
J.nr. 13-0162299
Til departementschef Jens Brøchner
Erklæring om revision af Skatteministeriets § 38 regn-
skab for regnskabsåret 2012
Formål med erklæringen
Grundlaget for revisionen
Skatteministeriets Interne Revision betragter med denne erklæring revisionen af
§ 38 regnskabet for 2012 som afsluttet. Skatteministeriets Interne Revision kan
dog tage spørgsmål vedrørende dette og tidligere regnskabsår op til yderligere
undersøgelser. I den forbindelse kan der fremkomme nye oplysninger, som kan
give anledning til, at konkrete forhold, der er behandlet i denne erklæring og
revisionsberetningen, bliver vurderet på ny.
Den udførte revision
Revisionen er tilrettelagt og udført på grundlag af en vurdering af væsentlighed
og risiko og er baseret på stikprøver og en gennemgang af forretningsgange og
interne kontroller.
Revisionen af Skatteministeriet omfattede for regnskabsåret 2012 løbende årsre-
vision samt afsluttende årsrevision. Resultaterne af den løbende og afsluttende
årsrevision er afrapporteret til Skatteministeriet.
U
Skatteministeriets Interne Revision har for regnskabsåret 2012 revideret Skatte-
ministeriet. Revisionen er udført i overensstemmelse med god offentlig revisi-
onsskik. Dette indebærer, jf. lov om revisionen af statens regnskaber, at det ved
revisionen er efterprøvet, om regnskabet er rigtigt, og om der er etableret forret-
ningsgange og interne kontroller, der understøtter, at de dispositioner, der er om-
fattet afregnskabsaflæggelsen, er i overensstemmelse med meddelte bevillinger,
love og andre forsk.rifter samt med indgåede aftaler og sædvanlig praksis.
KS
Formålet med erklæringen er at give Skatteministeriet en samlet vurdering af
virksomhedens regnskabsaflæggelse og økonomiske forvaltning af§ 38 regnska-
bet baseret på den udførte revision i regnskabsåret 2012.
Side 1 / 2
SAU, Alm.del - 2020-21 - Bilag 263: Pressemeddelelse: Undersøgelseskommissionen om SKAT afgiver delberetning om udbyttesagen, fra justitsministeren
2415032_0043.png
DETTE ER EN VISNING
UKS Side 3687
Konklusion
På baggrund af den udførte revision er Skatteministeriets Interne Revision nået
frem
til
følgende
konklusion:
Regnskabet er rigtigt, dvs. uden
væsentlige
fejl og mangler.
Dt:r t:r etabkn:l forrc.:tningsgange og interne kontroller, der understøtter,
at
de dispositioner, der er omfattet
af
regnskabsatlæggelsen, er
i
overens-
stemmelse
med
bevillinger, love og andre forskrifter samt
med
indgåede
aftaler og, sædvanlig praksis.
Revisionen
har
således
ikke givet
anledning
til
forbehold.
Der henvises
i
øvrigt til revisionsberetningen.
31.
maj
2013
.
/
Je d Rnsmussen
Revisionschef
~.......,__..._---------
U
S,da
2
i
2
KS
SAU, Alm.del - 2020-21 - Bilag 263: Pressemeddelelse: Undersøgelseskommissionen om SKAT afgiver delberetning om udbyttesagen, fra justitsministeren
2415032_0044.png
DETTE ER EN VISNING
UKS Side 3688
SKATrEMll\illSTERIET
•·
Skatteministeriets
Interne Revision
31 . maj 2013
J .nr.13-0162299
Revisions-
beretning
KS
'
··,1
2. 0 :2·.
'.
'
,,.,
'
'
U
Revisionsberetningen omfatter den af Skatteministeriets Interne Revision udførte
revision af Skatteministeriets regnskaber vedrørende finanslovens § 38 og§ 9 for
finansåret 2012
SAU, Alm.del - 2020-21 - Bilag 263: Pressemeddelelse: Undersøgelseskommissionen om SKAT afgiver delberetning om udbyttesagen, fra justitsministeren
2415032_0045.png
DETTE ER EN VISNING
UKS Side 3689
Indhold
Indledning .............................................................................................................. 3
Elementer i SIRs årsrevision .................................................................................. 3
Revisionste1na
1 .....................................................................................................
4
Løbende revision af§ 38 regnskabet ..................................................................... 4
Regnskabsmæssige rammer ........................................................................... 5
Betalingsforretninger ..................................................................................... 6
Forvaltning af aktiver og passiver .................................................................. 7
Regnskabsaflæggelse og godkendelse ........................................................... 7
Bemærkninger vedrørende delområder .............................................................. 7
Regnskabsforvaltningen vedrørende personskatter ....................................... 7
Ansættelsesændringer på personskatteområdet
.............................................
8
Motorområdet - OMR .................................................................................. 10
Pensionsafkastbeskatning (PAL) og Pensionsbeskatning (PBL) .................
11
EUs egne indtægter (told) ............................................................................ 13
Øvrige, herunder it-revisioner ......................................................................
14
Afsluttende revision af§ 38 regnskabet.. .............................................................
14
Forretningsgange og interne kontroller ........................................................ 15
Regelsættet for udgiftsbaseret regnskabsaflæggelse ....................................
16
Driftsregnskabet ...........................................................................................
16
Aktiver .........................................................................................................
16
Passiver ........................................................................................................
17
SKA Ts bemærkninger ..................................................................................
17
Løbende revision af § 9 regnskabet ..................................................................... 18
Afsluttende revision af§ 9 regnskabet.. ............................................................... 20
Revisionstema
2 ...................................................................................................21
Generelt ........................................................................................................
21
Revision af anvendelsen af RKI. .................................................................. 22
Opfølgning på revisionen af journalsystemers anvendelse i udvalgte
enheder i SK.A T ........................................................................................... 23
Revision af SKA Ts foreløbige fastsættelser på momsområdet ................... 23
Revision af inddrivelse af inddrivelige SAP-krav ....................................... 24
It-anvendelsen .............................................................................................. 15
Udbytte- og royaltyskat ................................................................................ 8
U
KS
Side 1 / 35
SAU, Alm.del - 2020-21 - Bilag 263: Pressemeddelelse: Undersøgelseskommissionen om SKAT afgiver delberetning om udbyttesagen, fra justitsministeren
2415032_0046.png
DETTE ER EN VISNING
UKS Side 3690
Revisionen af inddrivelse af ejendomsskatter .............................................. 24
Revision af forvaltning af antidumping- og udligningstald ......................... 25
Revisionstema 3 ...................................................................................................
26
Revisionstema
4 ................................................................................................... 27
It-revision ............................................................................................................. 28
SAP38 og SAP9 ........................................................................................... 28
Debitor/Restance (D/R) systemet. ................................................................ 28
e-Eksportsystemet ........................................................................................ 29
Importsystemet ............................................................................................. 3 0
Logisk sikkerhed
i
netværk m.m .................................................................. 31
Fysisk sikkerhed ........................................................................................... 32
Særlige revisionserklæringer mv ......................................................................... 32
Erklæring vedrørende revision af EUs egne indtægter Told ........................ 32
Gennemgang af Skatteministeriets momsredegørelse for 2011 - EU s egne
indtægter, moms ........................................................................................... 33
Revision af opgørelsen af Danmarks bidrag til EUs egne indtægter på
grundlag af moms og BNI for finansåret 2012 ............................................ 34
Revision af SKATs opgørelse af Danmarks momsindbetalinger for
finansåret 2011 som indgår i grundlaget for opgørelse af Danmarks bidrag
til EUs egne indtægter .................................................................................. 34
Revision af fysisk kontrol ved eksport af landbrugsvarer EGFL-
følgekontrol .................................................................................................. 34
Revision af NETS ........................................................................................ 34
U
Side 2 / 35
KS
SAU, Alm.del - 2020-21 - Bilag 263: Pressemeddelelse: Undersøgelseskommissionen om SKAT afgiver delberetning om udbyttesagen, fra justitsministeren
2415032_0047.png
DETTE ER EN VISNING
UKS Side 3691
Indledning
Revisionsberetningen vedrører den af Skatteministeriets Interne Revision (SIR)
udførte revision af Skatteministeriets
§
3 8 og
§
9 regnskaber for 2012. Beretnin-
gen omfatter alene revisionen af de i Statens Koncernsystem (SKS) regnskabsfø-
rende institutioner, hvor ansvaret for korrekt regnskabsføring påhviler Skattemi-
nisteriet.
Revisionsberetningen fremhæver de væsentligste revisionsresultater for finans-
året 2012.
Skatteministeriet er omfattet af en § 9-aftale om intern revision mellem skatte-
ministeren og rigsrevisor, og revisionen er udført i henhold til opgavefordelingen
i aftalen. Beretningen omfatter ikke revisionsopgaver vedrørende Skatteministe-
riet, som Rigsrevisionen selv har gennemført.
Der er supplerende indgået en aftale mellem Rigsrevisionen og SIR om at afgive
særskilte revisionserklæringer på EU-området vedrørende henholdsvis opgørel-
sen af momsbidraget og BNI-bidraget og egne indtægter (told), og afregningen
heraf til Europa-Kommissionen.
Der er også indgået revisionsaftale mellem Europa-Kommissionen og SIR om
revisionssamarbejde vedrørende revision af egne indtægter (told) samt revisions-
aftale mellem SIR og NaturErhvervstyrelsen, om at SIR reviderer de områder,
der kontrolleres af SKAT.
Elementer
i
SIRs årsrevision
SIRs revision omfatter 4 revisionstemaer, men SIR erklærer sig kun om følgende
2 erklæringstemaer:
1. Regnskabet er rigtigt, dvs. uden væsentlige fejl og mangler.
2. Der er etableret forretningsgange og interne kontroller, der understøtter,
at de dispositioner, der er omfattet af regnskabsaflæggelsen, er i overens-
stemmelse med bevillinger, love og andre forskrifter samt med indgåede
aftaler og sædvanlig praksis.
De øvrige 2 revisionstemaer omtales kun i SIRs erklæringer, hvis revisionen af
temaerne giver anledning til forbehold eller supplerende oplysning. Temaerne
omtales derimod i SIRs revisionsberetning. De 2 revisionstemaer omfatter:
3. Om årsrapportens oplysninger om mål og resultater er dokumenterede og
dækkende.
4. Om forvaltningen på de undersøgte områder er varetaget på en økono-
misk hensigtsmæssig måde.
U
KS
Side 3 /35
SAU, Alm.del - 2020-21 - Bilag 263: Pressemeddelelse: Undersøgelseskommissionen om SKAT afgiver delberetning om udbyttesagen, fra justitsministeren
2415032_0048.png
DETTE ER EN VISNING
UKS Side 3692
Revisionstema 1
Løbende revision af§ 38 regnskabet
Formålet med den løbende revision af§ 38 regnskabet for finansåret 2012 har
været at vurdere, om regnskabsforvaltningen, herunder forretningsgange og in-
terne kontroller, har sikret, at regnskabet for§ 38 bliver rigtigt.
Revisionsindsatsen i løbet af året har været koncentreret om de systemer og pro-
cesser, hvorigennem skatte- og afgiftsindtægterne registreres samt de implemen-
terede kontrolforanstaltninger, som er væsentlige for overbevisningen om, at
systemerne og processerne har fungeret, herunder også de kontrolsystemer og
forretningsgange, der er relevante for aflæggelsen af skatte- og afgiftsregnskabet.
SIR tog i 2011 forbehold for væsentlige fejl i regnskabsposterne "Debitorer",
"Øvrige tilgodehavender"," Likvide beholdninger" og "Anden kortfristet gæld"
på i alt 26 mia. kr. Ingen af de nævnte fejl havde medført fejl på indtægter og
udgifter i statsregnskabets § 38.
Revisionen af§ 3 8 regnskabet for 2012 viste, at Skatteministeriet har korrigeret
for statusfejlene, samt foretaget gennemgang af balancekonti i Statsregnskabets§
38, således at de samme fejl ikke opstod i regnskabsåret 2012. Skatteministeriet
har ikke ændret bogføringen af "Penge undervejs" i banksystemet, som nævnt i
forbehold 5 i SIRs erklæring på§ 38 regnskabet for 2011. SIR er, på baggrund af
de nu foreliggende oplysninger, enig med Skatteministeriet i, at der ikke skal ske
en ændring i bogføringen.
Den løbende revision af§ 3 8 regnskabet for finansåret 2012 er afrapporteret i
nedenstående revisionsrapporter:
o
Samlet løbende revision af§ 38 regnskabet
Revision af regnskabsforvaltningen vedrørende personskatter
Revision af forretningsgange ved ansættelsesændringer på personskatte-
området
Revision af udbytte-og royaltyskat.
Revision af pensionsafkastbeskatning (PAL) og pensionsbeskatning
(PAF)
Revision af kommuneafregningsprocessen
Revision af motorområdet
Revision af tinglysningsafgift
SK.ATs forvaltning af antidumping- og udligningstold
Revision af EU's egne indtægter (told)
Kasseeftersyn
U
KS
Side 4 / 35
SAU, Alm.del - 2020-21 - Bilag 263: Pressemeddelelse: Undersøgelseskommissionen om SKAT afgiver delberetning om udbyttesagen, fra justitsministeren
2415032_0049.png
DETTE ER EN VISNING
UKS Side 3693
Revision af D/R-systemet
Revision af eEksportsystemet
Revision af importsystemet
Revision af SAP 38 og SAP 9
Revision af fysisk sikkerhed
SIR har samlet vurdereret, at forretningsgange og interne kontroller på§ 38 om-
rådet generelt har fungeret
tilfredsstillende,
og overordnet set opfylder de krav,
der stilles til en god og pålidelig regnskabsforvaltning, og således understøtter, at
regnskabet bliver rigtigt, dvs. uden væsentlige fejl og mangler.
SIR vil dog i den forbindelse henlede Skatteministeriets opmærksomhed på, at
SIR ved afrapporteringerne af den løbende revision af§ 38 regnskabet påpegede
en række usikkerheder og uhensigtsmæssigheder vedrørende konteringsvejled-
ning til § 38, kontobro og opkrævningssystem vedr. personskatter, afstemnings-
procedurer, overførsler og afstemninger mellem systemer, funktionsadskillelse
(D/R-systemet samt PAL/PBL), rykkerprocedurer for motorafgifter, beregning af
morarenter for pensionsafkastskat mm, samt på toldområdet. SIR har fulgt op på
de konstaterede usikkerheder og svagheder i forbindelse med den afsluttende
revision.
Regnskabsmæssige rammer
SIR konstaterede imidlertid fortsat svagheder i konteringsvejledningen vedrø-
rende bl.a. Letløn og International bistand, ligesom der manglede forklaringer i
konteringsvejledningen for flere bankkonti. SIR finder derfor, at der fo1tsat er
behov for, at SKAT prioriterer opdatering af konteringsvej ledningen højt.
Kontobro mellem SAP og SKS
Ved gennemgang af kontobroen fra SAP 38 til SKS vurderede SIR overordnet, at
sammenhængen mellem SAP 38 og SKS var i overensstemmelse med beskrivel-
serne af statens kontoplan i Økonomisk Administrativ Vejledning.
SIR konstaterede dog, at kontobroen fra SAP 38 til SKS vedrørende afskrivnin-
ger og henstand på personskatter, der opkræves via Kobra, var uensartet og hav-
de bevirket, at afskrivninger af personskat var regnskabsaflagt under personskat
og ikke under afskrivninger. Endvidere var kontobroen vedrørende ikke effektue-
rede udbetalinger af overskydende skatter uensartet. Dette fandt SIR
ikke helt
tilfredsstillende.
U
Konteringsvejledning for SAP 38
Den tredimensionelle kontoplan med artskonto, forretningsområde og underkon-
toarter kompleks, hvorfor behovet for understøttende beskrivelser og vejlednin-
ger for anvendelsen er stort. SIR finder det positivt, at der er sket en omfattende
opdatering af konteringsvejledningen.
KS
Side 5 / 35
SAU, Alm.del - 2020-21 - Bilag 263: Pressemeddelelse: Undersøgelseskommissionen om SKAT afgiver delberetning om udbyttesagen, fra justitsministeren
2415032_0050.png
DETTE ER EN VISNING
UKS Side 3694
SIR anbefalede derfor, at Regnskab gennemgår kontobroen til SKS vedrørende
afskrivninger og henstand for personskatter samt skyldige udbetalinger vedrø-
rende overskydende skat, således at kontobroen fremadrettet er konsistent og i
overensstemmelse med vedtagne principper.
SKAT har taget SIRs anbefaling til efterretning.
Betalingsforretninger
SIR gennemgik SKATs betalingsproces i forhold til, hvorvidt betalingsformid-
lingen var tilrettelagt betryggende, så SKAT efterlevede kravene i regnskabsbe-
kendtgørelsen og havde sikkerhed for, at de bogførte bankbeholdninger var kor-
rekte. Desuden undersøgte SIR, om SKATs håndtering af bankkonti var i over-
ensstemmelse med de gældende regler og bidrog til at sikre et rigtigt regnskab.
SIR konstaterede, i forhold til betryggende betalingsformidling, at SKAT havde
sikret systemmæssig funktionsadskillelse vedrørende udbetalinger, som blev
foretaget via SAP, og at adskillelsen skete via tildeling af adgangsrettigheder.
SIR konstaterede dog, at der var medarbejdere i SKAT, som var tildelt roller
med adgang til henholdsvis at danne og frigive betalinger, selvom de ikke var
tilknyttet en afdeling i Regnskab eller Betalingscentret. SIR anbefalede, at SKAT
fulgte op på problemstillingen og sikrede, at det kun var de medarbejdere i
Regnskab og Betalingscentret, som arbejdede med udbetalinger, der var autorise-
ret til ovennævnte roller i SAP.
SIR foretog forretningsgangsundersøgelser med udgangspunkt i regnskabsin-
struksen og indhentede arbejds-/procesbeskrivelser i relation til SKA Ts kontrol
og styring af bankkonti. SIR konstaterede, at SKAT havde etableret og beskrevet
forretningsgange og interne kontroller på området for løbende kontrol og styring
af bankkonti. Dog bemærkede SIR, at der ikke fandtes en samlet fortegnelse over
samtlige bankkonti, som SKAT rådede over, indeholdende henholdsvis bankkon-
ti i og uden for SKB. Desuden fandtes mindre mangler i fortegnelsen over bank-
konti i SKB.
SKAT har taget SIRs bemærkninger til efterretning.
SIR foretog endvidere stikprøvevis gennemgang af, at der var foretaget afstem-
ninger mellem kontoudtog fra bank og registreringer i SAP38, og at der var fore-
taget afstemning af mellemregningskonti i forbindelse med udveksling mellem
systemerne. Gennemgangen gav ikke anledning til bemærkninger.
SIR foretog som led i den løbende revision fysisk optælling af 8 SAP- kasser ved
2 skattecentre. SIR vurderede samlet set kasseforvaltningen ved de 2 skattecentre
som henholdsvis
meget tilfredsstillende
og
tilfredsstillende.
U
KS
Side 6 / 35
SAU, Alm.del - 2020-21 - Bilag 263: Pressemeddelelse: Undersøgelseskommissionen om SKAT afgiver delberetning om udbyttesagen, fra justitsministeren
2415032_0051.png
DETTE ER EN VISNING
UKS Side 3695
Forvaltning af aktiver og passiver
SIR vurderede ved gennemgang af forvaltningen af aktiver og passiver, at SKAT
havde etableret procedurer til sikring af grundlaget for bogføring på aktiver og
passiver. SIR vurderede, at forretningsgangene i relation til at identificere krav,
som ikke længere var retskraft:ige med henblik på at foranledige sletning heraf,
ikke havde den nødvendige styrke til, at SIR kunne basere sin revision herpå.
Området blev derfor udtaget som et fokusområde i SIRs afsluttende revision. Der
henvises herom til afsnittet "Aktiver" på side 16-17.
Regnskabsaflæggelse og godkendelse
SKAT foretager forud for regnskabsaflæggelsen sandsynlighedskontrol, efter at
nøglekontrollerne i regnskabsaflæggelsen for lokale firmakoder er gennemført.
SIR foretog efterregning og afstemning af regnearket, som ligger til grund for
den sandsynlighedskontrol, der er gennemført pr. 30. juni 2012. Desuden blev
der foretaget gennemgang og vurdering af noter og forklaringer
i
dokumentatio-
nen for den udførte kontrol.
Der optrådte personhenførbare oplysninger i dokumentationen for den gennem-
førte kontrol i både sandsynlighedskontrollen og regnskabsaflæggelsen for lokale
finnakoder. Den foreskrevne procedure
til
opbevaring af dokumentationen på
SKATs fælles drev, kan være i konflikt med persondatalovens regler for opbeva-
ring af personhenførbare oplysninger.
SKAT oplyste, at de ville tage kontakt til Datatilsynet med henblik på at få afkla-
ret, hvorvidt reglerne i persondataloven var overholdt i forbindelse med opbeva-
ring af den nævnte dokumentation.
Bemærkninger vedrørende delområder
Regnskabsforvaltningen vedrørende personskatter
Revisionen omfattede en gennemgang af bogførings- og afstemningsrutiner samt
de månedlige regnskabsgodkendelser vedrørende:
-
-
-
-
A-skat og am-bidrag (DR-systemet)
Letløn
Personskattekrav fra Kobra (B-skat, ejendomsværdiskat, restskat mv.)
Frivillige indbetalinger (KR-L)
Overskydende skatter fra SLUT (CSR-L)
Den væsentligste del af den regnskabsmæssige registrering af personskatter fore-
går via autoposteringer. SIR vurderede overordnet, at SKAT havde tilrettelagt
procedurer for løbende overvågning af systemdriften samt etableret afstemnings-
U
KS
Side 7 / 35
SAU, Alm.del - 2020-21 - Bilag 263: Pressemeddelelse: Undersøgelseskommissionen om SKAT afgiver delberetning om udbyttesagen, fra justitsministeren
2415032_0052.png
DETTE ER EN VISNING
UKS Side 3696
procedurer, der medvirkede til at sikre, at regnskabet var rigtigt, dvs. uden væ-
sentlige fejl og mangler. Dette fandt SIR
tilfredsstillende.
SIR konstaterede imidlertid også en række forhold som var
ikke helt tilfredsstil-
lende:
SIR konstaterede således, at ikke alle relevante drifts- og balancekonti var omfat-
tet af afstemningsprocedurerne, hvilket kunne give risiko for fejl i regnskabet.
SIR konstaterede endvidere, at opkrævningssystemet vedrørende personskatter,
Kobra, ikke havde et tilgængeligt transaktionsspor, hvilket vanskeliggjorde kon-
trol med bl.a. debitorernes tilstedeværelse.
SIR vurderede, at konteringsvejledning og vejledning til månedlig regnskabsaf-
slutning havde mangler, ligesom vejledninger til afstemnings- og udligningspro-
cedurer burde udbygges, således at afhængigheden af nøglepersoner reduceres.
Ansættelsesændringer på personskatteområdet
I SIRs beretning for 2011 vurderede SIR, at der var risiko forbundet med forret-
ningsgange og interne kontroller i forbindelse med ansættelsesændringer på per-
sonskatteområdet, idet funktionsadskillelse ikke understøttedes af it-systemer.
Ved afslutningen af revisionen i 2012 vurderede SIR, at der fo1isat var forøget
risiko for, at regnskabsførelsen ikke var tilstrækkelig pålidelig, da det fortsat var
uklart, om funktionsadskillelsesreglerne efterleves
i
forhold til regnskabsbe-
kendtgørelsens krav. SIR vurderede derfor, at beskrivelserne og tilrettelæggelsen
af forretningsgange ved ansættelsesændringer på personskatteområdet var
ikke
helt tilfredsstillende.
SIR anbefalede, at problemstillingen afklares med Moderniseringsstyrelsen
i
forbindelse med den arbejdsgruppe, der er nedsat i SKAT, som pt. i samarbejde
med Moderniseringsstyrelsen arbejder med at komme med anbefalinger til regn-
skabspraksis og indregningskriterier for indtægter i SKAT.
Udbytte - og royaltyskat
SIR vurderede, at SKATs forretningsgange og interne kontroller sikrede, at regn-
skabet for udbytte- og royaltyskat var rigtigt, dvs. uden væsentlige fejl og mang-
ler. Derudover var det SIRs vurdering, at de åbentstående fordringer pr. 31. de-
cember 2012 var til stede samt var retskraftige.
Revisionen viste dog, at forvaltningen på udbytte og royaltyområdet samlet set
har fungeret
ikke helt tilfredsstillende.
U
KS
SIR konstaterede desuden mindre fejl i kontobroen mellem SAP38 og SKS. Dog
vedrørte fejlene ikke væsentlige regnskabsposter.
Side 8 / 35
SAU, Alm.del - 2020-21 - Bilag 263: Pressemeddelelse: Undersøgelseskommissionen om SKAT afgiver delberetning om udbyttesagen, fra justitsministeren
2415032_0053.png
DETTE ER EN VISNING
UKS Side 3697
Indregningskriterier
SIR fandt, at SKATs måde at indtægtsføre udbytteskat på (angivelser som bliver
tastet af Regnskab) ikke lå indenfor de retningslinjer/regler som Budgetvejled-
ningen og Moderniseringsstyrelsen har fastsat. SIR anmodede SKAT om at sikre
sig, at udbytteskat blev indregnet indenfor de retningslinjer/regler som Budget-
vejledningen og Moderniseringsstyrelsen har fastsat.
Afstemning til fødesystemer
Revisionen viste, at der i 2012 var sket fejl, hvor ikke alle data i 3S blev overført
korrekt til SAP38, ligesom ikke alle relevante data i eKapital blev overført kor-
rekt til årsopgørelser for personer. Fejlene var i begge tilfælde blevet opdaget ad
anden vej end egentlig afstemning mellem systemerne.
Refusion af udbytteskat
Det var SIRs vurdering, at SKATs tilrettelagte forretningsgange og interne kon-
troller sikrede en korrekt regnskabsmæssig registrering af refunderet udbytteskat
til udlændinge.
SIR vurderede, at SKAT burde sikre sig bedre imod, at der ikke sker uretmæssig
refusion af udbytteskat. Muligheden for at sikre sig herimod er blevet forbedret
fra den 1. januar 2013, hvor alle udloddende selskaber skal angive udlodningen
og indberette oplysning om udbyttemodtager samtidigt.
Regnskabsgodkendelser/debitorer
Revisionen viste, at der løbende blev fulgt op på relevante konti i forbindelse
med den månedlige regnskabsgodkendelse. Åbenstående poster blev løbende
undersøgt, således at de kunne blive opløst eller placeret de rigtige steder.
Det var dog SIRs opfattelse, at selve regnskabsgodkendelsen ikke gav tilstrække-
lige informationer og dermed ikke levede op til SKA Ts vejledning. Derudover
U
Det var SIRs opfattelse, at for refusionsanmodningerne udenfor regnearksord-
ningen blev grundlaget for udbetaling af refusion vurderet, mens grundlaget un-
der regnearksordningen kun sjældent blev vurderet. Det var SIRs vurdering, at
SKATs kontrol med refusionsanmodninger, der kommer via regnearksordningen,
ikke var tilstrækkelig. Det var også SIRs opfattelse, at Regnskab bør beskrive,
hvad der skal kontrolleres/påses inden anmodning imødekommes og i højere
grad påse grundlaget for refusion under regnearksordningen.
KS
Det var SIRs vurdering, at de konkrete tilfælde, hvor der var sket fejl i 2012,
viste, hvor vigtigt det er, at der foretages afstemning mellem systemerne, således
at regnskabsførelsen er tilstrækkelig pålidelig. SKAT bør sikre, at der etableres
afstemninger eller anden form for kontrol som sikrer, at alle data leveres fuld-
stændigt og nøjagtigt mellem systemerne.
Side 9 / 35
SAU, Alm.del - 2020-21 - Bilag 263: Pressemeddelelse: Undersøgelseskommissionen om SKAT afgiver delberetning om udbyttesagen, fra justitsministeren
2415032_0054.png
DETTE ER EN VISNING
UKS Side 3698
var det SIRs opfattelse, at regnskabsgodkendelsen burde nævne større sager,
hvor SKAT med stor sandsynlighed risikerer at skulle tilbageføre tidligere ind-
tægtsførte udbytteskatter.
Opfølgning på SIRs undersøgelse afprovenuet fra kildebeskatning af udlændinge
-
udbytteskat
SIR konstaterede, at SKAT ikke foretog afstemning mellem angivet udbytteskat
og indberettet udbytte. Det var SIRs opfattelse, at nye regler med samme tidsfrist
for at angive og indberette, har gjort det væsentligt nemmere at foretage en sådan
afstemning. SIR fandt det nødvendigt, at SKAT foretog afstemning mellem an-
givet udbytte og indberetning om udbyttemodtagere, fordi angivelse og indberet-
ning fortsat blev foretaget i 2 flows.
SIR konstaterede, at SKAT sammen med andre OECD-lande arbejder på en fæl-
les nettoafregning af udbytte til udenlandske aktionærer, og at der lå en brugbar
model klar. SKAT er imidlertid afhængig af, at udenlandske pengeinstitutter vil
deltage, samt at større lande tilslutter sig modellen. Det var SIRs opfattelse, at
SKAT har gjort en
tilfredsstillende
indsats i forhold til at indføre en fælles netto-
afregning af udbytte til udenlandske aktionærer.
Ved en revision i 2010 konstaterede SIR, at ansvaret for området ikke var enty-
digt placeret. Revisionen i 2012 viste, at ansvaret for SKATs proces til håndte-
ring af udbytteskat var delt på flere procesejere, med deraf følgende snitflader
mellem aktørerne. Der var ikke defineret et overordnet ansvar for hele processen.
Det var derfor SIRs vurdering, at SKAT burde etablere et overordnet ansvar (le-
delsesrnæssig fokus) for hele processen til håndtering af udbytteskat.
Motorområdet - OMR
Digitalt Motorregister DMR blev implementeret i juni 2012, og afløste det hidti-
dige Centralregister for Motorkøretøjer CRM3, som SKAT i sin tid overtog fra
politiet. DMRs hovedformål er at forvalte alle afgiftstyper på motorområdet, og
sikre maskinel bogføring og udsendelse af opkrævninger via SAP 38.
SIR har foretaget løbende revision af perioden før implementeringen, kontrol af
konverteringsprocessen og konverterede data samt løbende revision af perioden
efter implementeringen, herunder afsluttende revision.
Revisionen af perioden før implementeringen af DMR viste, at de etablerede
forretningsgange og interne kontroller generelt fungerede
tilfredsstillende
og
medvirkede til at regnskabsposterne var rigtige, dvs. uden væsentlige fejl og
mangler.
U
KS
Side 10 / 35
SAU, Alm.del - 2020-21 - Bilag 263: Pressemeddelelse: Undersøgelseskommissionen om SKAT afgiver delberetning om udbyttesagen, fra justitsministeren
2415032_0055.png
DETTE ER EN VISNING
UKS Side 3699
I implementeringsfasen blev der konverteret fordringer for i alt 1,9 mia.kr. fra
CRM3 til SAP38. SKAT havde udarbejdet henholdsvis en uddata- og en inddata-
fil, og en afstemning af de konverterede data. SIR har kontrolleret afstemningen,
som alene viste en uvæsentlig difference, der blev afskrevet i supplementsperio-
den.
Det er SIRs samlede vurdering, at OMR-systemet er et velfungerende system
med automatiske processer, der medvirker til en sikker forvaltning og registre-
ring af afgifter på motorområdet.
Efter implementeringen af OMR konstaterede SIR dog, at der ikke foretages
rykning for manglende indbetaling af vægtafgift/grøn ejerafgift. Endvidere kon-
staterede SIR svigt i proceduren for indtægtsregistrering af registreringsafgift.
SIR vurderede, at forretningsgangene og de interne kontroller på de pågældende
områder ikke opfylder de krav, der stilles til en god og pålidelig regnskabsfor-
valtning. Dette fandt SIR
ikke helt tilfredsstillende.
Revisionen viste en række mangler og svagheder, som SIR samlet set vurderede
som
ikke tilfredsstillende.
Afstemninger og overførsler mellem SAP38 og PAL/PAF
I SIRs beretning for finansåret 2011 konstaterede SIR, at der for PAL-systemet
ikke blev gennemført afstemning til SAP38. Den løbende revision i 2012 viste,
at der fortsat ikke blev foretaget periodisk afstemning mellem de underliggende
systemer (PAL og PAF) og SAP38. SIR vurderede, at der var tale om et så væ-
sentligt forhold, at SIR, før revisionen var afsluttet, valgte at sende en Early
Warning til direktionen vedrørende de manglende afstemninger.
SIR anbefalede, at der blev udfærdiget afstemninger mellem SAP38 og
PAL/PAF systemerne pr. 31. december 2012, til dokumentation for at alle regi-
streringer var kommet med i SAP 38 ved regnskabsafslutningen.
Indtægterne af PAL/PAF udgjorde i regnskabsåret 2012 50 mia. kr. Ultimo 2012
udgjorde debitorerne vedrørende PAL 125 mio. kr. i kredit og vedrørende PAF
117 mio. kr. i debet. SIR konstaterede ved den afsluttende revision, at der stadig
ikke var foretaget afstemning mellem registreringerne af indtægter og debitorer i
PAL/PAF og SAP 38.
Uanset SIR ved den afsluttende revision ikke konstaterede forhold, som indike-
rede, at regnskabsposterne pensionsafkast og pensionsafgift var behæftet med
væsentlige fejl vurderede SIR dog, at en afstemning mellem registreringerne i
PAL/PAF og SAP38 er en grundlæggende regnskabsmæssig foranstaltning, der
burde være foretaget pr. 31. december 2012.
U
KS
Pensionsafkastbeskatning (PAL) og Pensionsbeskatning (PBL)
Side 11 / 35
SAU, Alm.del - 2020-21 - Bilag 263: Pressemeddelelse: Undersøgelseskommissionen om SKAT afgiver delberetning om udbyttesagen, fra justitsministeren
2415032_0056.png
DETTE ER EN VISNING
UKS Side 3700
SKAT har taget SIRs bemærkninger til efterretning og arbejder på en løsnings-
model vedrørende overførsel af data og afstemning mellem registreringerne i
PAL/PAF-systemerne og SAP38. SKAT forventer, at en løsningsmodel er klar
inden udgangen af juli 2013, og at løsningerne er gennemført i proces-
ser/systemer inden udgangen af december 2013.
Funktionsadskillelse og autorisationer
Ansvaret for indberetning af blanketter indsendt af de PAL/PBL-pligtige var
placeret i Regnskab 3, som desuden var ansvarlig for bogføringen af de tilhøren-
de indbetalinger. SIR konstaterede, at der ikke var funktionsadskillelse mellem
de 2 funktioner. SIR konstaterede endvidere, at 23 personer uden for Regnskab 3
var autoriseret til at foretage indberetninger i PAF-systemet, uden at have et ar-
bejdsbetinget behov for disse autorisationer. En stikprøve viste, at kun 1 af de
autoriserede medarbejdere uden for Regnskab 3 havde foretaget indberetning til
systemet. Medarbejderen havde tidligere været ansat i Regnskab 3.
SKAT har taget SIRs anbefalinger til efterretning.
Indregningskriterier
SIR konstaterede, at beløb fra angivelser til PAL, der var indberettet via TastSelv
(on-line) blev indregnet med indberetningsdatoen, mens beløb fra manuelle an-
givelser og indbetalinger via giro blev indregnet med indbetalingsdatoen.
SIR konstaterede, at der på forretningsområderne for PAL/PAF var krediteret
væsentlige beløb på debetsiden (minusbeløb). Debitorer med kreditsaldo for bå-
de PAL og PAF udgjorde pr. 5. december 2012 287 mio. kr. At saldoen på debi-
torer står i kredit er regnskabsmæssigt et udtryk for, at der er tale om gæld. De
pågældende debitorer i kredit er imidlertid udtryk for indbetalinger, der burde
være indtægtsført, idet indbetalinger kun i begrænset omfang blev udlignet mod
tilhørende registreringer fra PAL/PAF-systemerne. Den manglende udligning
medførte, at Regnskabsinstruksens indregningskriterier for det udgiftsbaserede
regnskab ikke blev fulgt.
SKAT vil lade problemstillingerne vedrørende indregningstidspunk:tet indgå i
drøftelserne i den føromtalte arbejdsgruppe, der har repræsentanter fra SKAT og
Moderniseringsstyrelsen.
Morarenter
U
KS
SIR anbefalede, at SKAT sikrer, at funktionsadskillelsesreglerne og reglerne for
autorisationer overholdes på området.
Side 12 / 35
SAU, Alm.del - 2020-21 - Bilag 263: Pressemeddelelse: Undersøgelseskommissionen om SKAT afgiver delberetning om udbyttesagen, fra justitsministeren
2415032_0057.png
DETTE ER EN VISNING
UKS Side 3701
Under den løbende revision for finansåret 2011 konstaterede SIR, at der ved for
sen indbetaling af pensionsafkastskat blev anvendt forkert rentesats ved bereg-
ning af morarenter, ligesom morarenter ikke i alle tilfælde blev opkrævet.
Ved revisionen for finansåret 2012 konstaterede SIR, at der var etableret en pro-
cedure, hvorefter morarenter af pensionsafkastskat blev opkrævet med korrekt
rentesats, men at der blev medtaget en dag for meget i beregningen af moraren-
terne.
SIR konstaterede endvidere, at der ikke blev beregnet og opkrævet morarenter
ved for sen indbetaling af afgift i henhold til pensionsbeskatningsloven.
SKAT har oplyst, at problemerne vedrørende beregning og opkrævning af mora-
renter i henhold til PAL/PAF forventes løst i forbindelse med den planlagte æn-
dring af systemerne vedrørende overførsel af data og afstemning mellem regi-
streringerne i PAL/PAF-systemerne og SAP38. Systemændringen forventes gen-
nemført inden udgangen af 2013.
EUs egne indtægter (told)
Området var udtaget til revision efter aftale mellem EU-kommissionen (DG
Budget) og SIR. Revisionen havde til formål at sikre, at SKA Ts afregning af
Danmarks bidrag til EUs egne indtægter - told, samt det underliggende grundlag
for SKATs opgørelse og afregning af EUs egne indtægter var sket korrekt.
Revisionen viste nogle mangler og svagheder, som SIR samlet set vurderede som
ikke helt tilfredsstillende.
Debitorbeholdningen i B-regnskabet
Debitorbeholdningen i B-regnskabet er angivet med et for stort beløb på i alt:
Debitorsaldo pr. 31. december 2012 (hovedstol inkl. renter)
Heraf udgør hovedstolen:
Antidumpingtold:
Almindelig tarifmæssig told:
I
alt:
U
Debitorkravet er ikke retskraftigt længere, idet EU-Kommissionen efterfølgende
har gennemført en nærmere undersøgelse af bl.a. prisfastsættelsen af minikom-
pressorer (i eksportlandet) og Rådet har på den baggrund udstedt forordning nr.
1306/2011 af 12. december 2011 - med 2 års tilbagevirkende kraft.
Forpligtigelse til at placere beløbene
i
den rette kolonne i A-regnskabet
KS
187.458.278 kr.
146.695.865 kr.
4.499 kr.
146.700.364 kr.
Side 13/ 35
SAU, Alm.del - 2020-21 - Bilag 263: Pressemeddelelse: Undersøgelseskommissionen om SKAT afgiver delberetning om udbyttesagen, fra justitsministeren
2415032_0058.png
DETTE ER EN VISNING
UKS Side 3702
SKAT har endnu ikke fundet en metode til at opfylde den lovregulerede forplig-
tigelse til at placere beløbene i den rette kolonne i A-regnskabet, jf. Kommissio-
nens beslutning 97/245ÆF. SIR finder, at dette
ikke er tilfredsstillende.
Periodiseringsproblemer
Regnskab har i forbindelse med ovenstående konstateret, at de beskrevne perio-
diseringsregler af imp01ttransaktioner i DR-systemet ikke svarer til de maskinelt
opsatte indlæsningsregler i SAP.
Øvrige, herunder it-revisioner
SIR havde i forbindelse med den løbende revision ikke væsentlige bemærkninger
til områderne vedrørende kommuneafregning, tinglysningsafgift, antidumping-
og udligningstold (se dog bemærkningerne herom under revisionstema 2).
I det omfang it-revisionerne ikke er omtalt under den løbende og/eller afsluttende
revision, henvises til beretningens særlige afsnit vedrørende it-revisioner.
Afsluttende revision af§ 38 regnskabet
Afsluttende revision af§ 38 regnskabet har omfattet Skatteministeriets regn-
skabstal, som er afleveret fra Skatteministeriets regnskabssystemer til Statsregn-
skabet via. SKS. Revisionen omfattede således også regnskabstallene aflagt til
Statsregnskabet på vegne af andre myndigheder.
SIR foretager ikke revision af indtægter fra Domstolsstyrelsen som regnskabsaf-
lægges under finanslovens § 38.
Afsluttende årsrevision har omfattet substansrevision af regnskabets statusposter
samt regnskabsanalyse med hovedvægten på regnskabets indtægter og udgifter
og en undersøgelse af, hvorvidt Skatteministeriets ledelse har sikret gennemfø-
relsen af grundlæggende regnskabsmæssige afstemninger og kontroller.
SIR vurderede samlet set, at det af Skatteministeriet aflagte § 38 regnskab for
2012 er rigtigt. Det vil sige, at regnskabet er udarbejdet i overensstemmelse med
U
Formålet med den afsluttende revision var at
en begrundet overbevisning om,
hvorvidt Skatteministeriets § 38 regnskab var rigtigt. Det vil sige, at regnskabet
skal være udarbejdet i overensstemmelse med de regnskabsregler, der er udstedt
i medfør aflov om statens regnskabsvæsen mv., og at regnskabet skal være uden
væsentlige fejl og mangler. Det betyder, at regnskabet skal give brugerne og of-
fentligheden et dækkende og pålideligt billede af størrelsen af indtægterne fra
told, skatter og afgifter og udgøre et tilfredsstillende regnskabsmæssigt grundlag
for parlamentarisk kontrol.
KS
Side 14 / 35
SAU, Alm.del - 2020-21 - Bilag 263: Pressemeddelelse: Undersøgelseskommissionen om SKAT afgiver delberetning om udbyttesagen, fra justitsministeren
2415032_0059.png
DETTE ER EN VISNING
UKS Side 3703
de regnskabsregler, der er udstedt i medfør af lov om statens regnskabsvæsen
mv., og at regnskabet er uden væsentlige fejl og mangler.
Uden at det har påvirket SIRs samlede konklusion, har SIR dog i forbindelse
med den afsluttende revision konstateret flere usikkerheder og uhensigtsmæssig-
heder.
SIR konstaterede således, at der fortsat manglede nogle grundlæggende afstem-
ninger og kontroller ved regnskabsafslutningen, hvilket skaber risiko for fejl ved
aflæggelsen af§ 38 regnskabet. Dette vurderede SIR som
ikke helt tilfredsstil-
lende.
SIR vurderede, at der i aktiverne indgår krav på i alt 1,3 mia. kr., som ikke er
retskraftige. Det er på den baggrund SIRs opfattelse, at regnskabsposten debito-
rer burde være nedbragt med dette beløb, og tilsvarende burde indtægterne være
nedbragt med det samme beløb gennem forøgede afskrivninger. Dette fandt SIR
ikke tilfredsstillende.
SIR henviser endvidere til de nedenstående konklusioner på revisionens delom-
råder.
Forretningsgange og interne kontroller
SK.ATs fon·etningsgange vedrørende regnskabsaflæggelsen pr. 31. december
2012 er gennemgået. Ved denne gennemgang vurderede SIR, om SKAT i til-
strækkelig grad sikrer korrekt regnskabsaflæggelse ved hjælp af procedurer, an-
svarsfordeling og ledelsestilsyn.
SIR vurderede, at forretningsgange og interne kontroller er etableret ud fra en
bogholderimæssig betragtning, og at de i den sammenhæng generelt fungerede
tilfredsstillende.
Set ud fra en regnskabsmæssig synsvinkel, hvor der på bag-
grund af bogføringen gøres status pr. 31. december, og denne status regnskabsaf-
lægges til statsregnskabet efter særlige retningslinjer, fungerede forretningsgange
og interne kontroller heri
ikke helt tilfredsstillende.
Den bogholderimæssige tilgang er medvirkende til at sikre, at førstegangskonter-
ingen af et bilag sker korrekt og hensigtsmæssigt. Det er SIRs opfattelse, at der
er behov for at styrke ledelsestilsynet i forbindelse med regnskabsaflæggelsen til
statsregnskabet. Ledelsestilsynet skal blandt andet sikre, at der i de interne kon-
troller indgår overvejelser om, hvorvidt konteringerne også er korrekte og hen-
sigtsmæssige set i forhold til statsregnskabet.
It-anvendelsen
Revisionen af it-anvendelsen viste, at SIR kunne basere sin revision på funge-
rende generelle it-kontroller i og omkring de enkelte systemer, og at SKATs
it-
U
KS
Side 15 / 35
SAU, Alm.del - 2020-21 - Bilag 263: Pressemeddelelse: Undersøgelseskommissionen om SKAT afgiver delberetning om udbyttesagen, fra justitsministeren
2415032_0060.png
DETTE ER EN VISNING
UKS Side 3704
anvendelse ikke indebar revisionsmæssige risici, som ikke i forvejen var dækket
af SIRs revision.
Uden at det har påvirket SIRs konklusion på
§
38 regnskabet, har it-revisionen
givet anledning til en række anbefalinger. Anbefalingerne er givet i forbindelse
med afrapporteringerne i årets løb, jf. beretningens afsnit om it-revision.
Regelsættet for udgiftsbaseret regnskabsaflæggelse
Regelsættet for en udgiftsbaseret regnskabsaflæggelse giver vide rammer for
tolkning af, hvornår en indtægt skal indregnes og medtages i regnskabet. Hertil
kommer, at der ikke er en beskrevet regnskabspraksis, som kan understøtte regel-
tolkningen.
Problemstillingen kommer navnlig til udtryk i § 38 regnskabet, hvor der ikke
anvendes samme kriterium for, hvornår en indtægt indregnes. Selvom indreg-
ningskriterierne er indenfor regelsættet, er der risiko for, at§ 38 regnskabet ikke
giver offentligheden et dækkende og pålideligt billede af indtægterne fra told,
skatter og afgifter m.m.
SKAT og Moderniseringsstyrelsen har i 2012, som tidligere nævnt, etableret en
fælles arbejdsgruppe, der behandler en række problemstillinger i relation til reg-
lerne for udgiftsbaseret regnskabsaflæggelse og SKATs anvendte regnskabsprak-
sis.
SIR finder, at initiativet til en afklaring af regnskabspraksis, vil medvirke til at
begrænse risikoen for fejlrapportering i de kommende år.
Driftsregnskabet
SIR har ved revisionen af driftsregnskabet ikke konstateret væsentlige fejl og
mangler.
Aktiver
SIR har ved den afsluttende årsrevision haft særlig fokus på regnskabsposten
debitorer, da der fra den løbende revision var indikationer på, at regnskabsposten
kunne være væsentlig fejlbehæftet.
I forbindelse med SIRs statusrevision, forud for fristen for efterpostering i SAP
38, konstaterede SIR, at debitorbeholdningen fortsat indeholdt krav mod selska-
ber, som ikke længere var registreret i Erhvervsstyrelsen. Dette meddelte SIR
SKAT (Sagscenter Erhverv), der igangsatte en ekstra gennemgang i form af ud-
søgninger af de største krav, hvor den nævnte problemstilling kunne være gæl-
dende. Gennemgangen førte til, at der blev foretaget efterpostering af afskrivnin-
ger på godt I mia. kr.
U
KS
Side 16/ 35
SAU, Alm.del - 2020-21 - Bilag 263: Pressemeddelelse: Undersøgelseskommissionen om SKAT afgiver delberetning om udbyttesagen, fra justitsministeren
2415032_0061.png
DETTE ER EN VISNING
UKS Side 3705
SIR har i den afsluttende revision foretaget en omfattende stikprøvevis kontrol
af, om kravene er retskraftige. På baggrund af kontrollen estimerer SIR, at der ud
over 1 mia. kr., der er efterposteret, indgår krav på i alt 1,3 mia. kr., som ikke er
retskraftige. Det er på den baggrund SIRs opfattelse, at regnskabsposten debito-
rer burde være nedbragt med dette beløb, og tilsvarende burde indtægterne være
nedbragt med det samme beløb gennem forøgede afskrivninger.
Tilstedeværelsen af ikke-retskraftige krav i et omfang som beskrevet ovenfor
fandt SIR
ikke tilfredsstillende.
SIR har ved revisionen endvidere konstateret, at der indgik posteringer på i alt
1,8 mia. kr. under "anden gæld", der burde klassificeres som debitorer. Den sam-
lede debitorsaldo udviser derved 1,8 mia. kr. for lidt.
Passiver
SKATs bemærkninger
SKAT har taget SIRs bemærkninger ved den afsluttende revision til efterretning.
SIR anbefalede, at SKATs regnskabsmæssige fokus styrkes ved at der:
1. Etableres et yderligere ledelsestilsyn i regnskabsaflæggelsesprocessen i
forhold til Statsregnskabet.
2. Etableres yderligere procedurer i regnskabsaflæggelsen i form af afstem-
ninger.
3. Sker en præcisering af ansvarsfordelingen i forhold til regnskabsaflæg-
gelsen.
Til SIRs anbefalinger har SKAT bemærket:
1. SKAT vil søge at oprette en funktion i Betalings- og Regnskabskontoret,
der med statsregnskabsmæssig fokus foretager en løbende vurdering af
det aflagte regnskab, herunder klassifikation af de enkelte regnskabskon-
ti/poster.
2. SKAT har fokus på etablering af afstemninger mellem fødesystemer og
SAP38 blandt andet i forbindelse med de nye opkrævnings- og inddrivel-
sessystemer.
U
KS
SIR har ved revision af passiver konstateret, at der under "anden gæld" henstod
posteringer på i alt 1,8 mia. kr., der burde være klassificeret som debitorer.
Regnskabsposten "anden gæld" udviser derved en saldo, som er 1,8 mia. kr. for
lidt.
Side 17 / 35
SAU, Alm.del - 2020-21 - Bilag 263: Pressemeddelelse: Undersøgelseskommissionen om SKAT afgiver delberetning om udbyttesagen, fra justitsministeren
2415032_0062.png
DETTE ER EN VISNING
UKS Side 3706
3. SKAT vil fremadrettet sikre en kortere sagsbehandlingstid for så vidt an-
går afskrivning/sletning af ikke retskraftige krav, både af hensyn til at vi-
se et mere retvisende regnskab og til at kunne redgøre for den reelle be-
holdning af retskraftige restancer på restancestatistikken. SKAT arbejder
på en proces, der fremadrettet sikrer afskrivning af fordringer i umiddel-
bar forlængelse af insolvensbehandlingens afslutning.
Løbende revision af§ 9 regnskabet
Formålet med den løbende revision af§ 9 regnskabet for finansåret 2012 var at
vurdere, om der var etableret forretningsgange og interne kontroller, der sikrede,
at § 9 regnskabet var rigtigt, det vil sige uden væsentlige fejl og mangler.
Den løbende revision af§ 9 regnskabet er afrapporteret i nedenstående rapporter:
Løbende revision af finanslovens § 9 - SKAT
Revision af afgifter på motorkøretøjer § 38.23
Beholdningseftersyn
Den løbende revision har ikke omfattet revision af immaterielle anlægsaktiver og
it-driftsudgifter, idet Rigsrevisionen foretager revision af disse områder.
Det var SIRs samlede vurdering, at forretningsgange og interne kontroller på de
reviderede områder generelt fungerede
tilfredsstillende,
og at de væsentligste
standarder på områderne var fulgt.
at der var etableret forretningsgange, der sikrede funktionsadskillelse
mellem medarbejdere, der udarbejdede betalingsforslag, og medarbejdere
der kunne frigive til betaling
at der var etableret rutiner ved de regnskabsførende enheder vedrørende
regnskabsgodkendelser, der generelt medvirkede til at sikre et korrekt
regnskab
at den interne kvalitetsstyring på de reviderede områder fungerede
til-
fredsstillende
at SIR vurderede at de kontroller og afstemninger som SKAT havde fore-
taget, i væsentlig grad havde bidraget til at sikre, at indtægter blev opta-
get og bogført korrekt i regnskabet
at forretningsgange og interne kontroller ved overførsel af regnskabstal
fra SKATs underliggende systemer til SAP 38 fungerede
at der var etableret procedurer, der sikrede korrekt overførsel af data mel-
lem Skatteministeriets 2 økonomisystemer (SAP 38 og SAP 9).
U
Ved vurderingen har SIR lagt vægt på,
KS
Side 18 / 35
SAU, Alm.del - 2020-21 - Bilag 263: Pressemeddelelse: Undersøgelseskommissionen om SKAT afgiver delberetning om udbyttesagen, fra justitsministeren
2415032_0063.png
DETTE ER EN VISNING
UKS Side 3707
Skatteministeriets regnskab for § 9 består af to dele, et omkostningsbaseret og et
udgiftsbaseret regnskab. Den overordnede fordeling mellem de omkostningsba-
serede og udgiftsbaserede dele af regnskabet for § 9 foretages i de
2
regnskabs-
systemer SAP Intern (SAP 9) og SAP38.
Som led i revisionen af§ 9 regnskabet har SIR foretaget it-revision af SAP9 og
SAP38 systemerne. Formålet med it-revisionen var at opnå en begrundet overbe-
visning om, at systemerne SAP38 og SAP9 på udvalgte områder understøttede
en korrekt og sikker behandling og opbevaring af SKA Ts regnskabsinformatio-
ner og en korrekt overførsel af oplysninger til statsregnskabet. Den samlede kon-
klusion på revisionen af it-systemerne SAP9 og SAP38, blev af SIR vurderet til
at være
tilfredsstillende.
I forbindelse med den løbende og afsluttende revision af§ 9 regnskabet for fi-
nansåret 2011 bemærkede SIR, at regnskabsinstruksen ikke var løbende ajour-
ført.
Revisionen i 2012 viste, at der var foretaget flere ændringer i forretningsgange
og processer, hvor regnskabsinstruksen ikke var konsekvensrettet.
SKAT er i færd med en ajourføring af regnskabsinstruksen og har taget bemærk-
ningen om manglende løbende ajourføring til efterretning.
I forbindelse med den løbende og afsluttende revision af§ 9 regnskabet for fi-
nansåret 2011 anbefalede SIR, at der udarbejdes en overordnet beskrivelse af
forretningsgange og interne kontroller ved aflæggelse af det samlede regnskab
for§ 9. Endvidere at der udarbejdes en beskrivelse af procedurer vedrørende
afskrivninger og rykkerprocedurer.
Revisionen i 2012 viste, at der ikke var sket endelig opfølgning på de afgivne
anbefalinger.
SKAT har oplyst, at der er igangsat et arbejde med udarbejdelse af en beskrivelse
af proceduren vedrørende afskrivninger og rykkere. Arbejdet vil være færdigt
senest den
I.
juni 2013.
Den løbende revision af momskontiene viste, at separat konto for anlægsmoms
ikke blev anvendt i forbindelse med bogføring af moms ved køb af anlægsakti-
ver, jf. Moderniseringsstyrelsens kontoplan. Revisionen viste endvidere, at Øko-
nomi og Regnskab ikke foretog afstemning af momskontiene.
SKAT har taget SIRs bemærkninger vedrørende momskonti til efterretning. Iføl-
ge SKAT vil kontering på separat konto for anlægsmoms være en tung og res-
U
KS
Side 19 / 35
SAU, Alm.del - 2020-21 - Bilag 263: Pressemeddelelse: Undersøgelseskommissionen om SKAT afgiver delberetning om udbyttesagen, fra justitsministeren
2415032_0064.png
DETTE ER EN VISNING
UKS Side 3708
sourcekrævende proces.SKAT vil derfor gå i dialog med Moderniseringsstyrel-
sen for at finde den bedste metode til kontering. Ligeledes vil SKAT, i dialog
med Moderniseringsstyrelsen, finde en løsning på, hvordan afstemning af
momskontiene skal håndteres.
Motor
-
Gebyrer
SIR har foretaget analyse afregnskabsposterne for gebyrer på motorområdet for
at vurdere regnskabsposternes rigtighed. Analysen viste en stigning i indtægterne
på motorgebyrområdet fra 768 mio. kr. i 2011 til 785 mio. kr. i 2012, hvilket kan
tilskrives et øget bilsalg i 2012.
Beholdningseftersyn
SIR har foretaget beholdningseftersyn ved SKAT København. Beholdningsefter-
synet viste, at SIRs bemærkninger fra revisionsbesøget i januar 2012 i relation til
opbevaring af beslaglagt medicin, varemærkeforfalskede varer, procedurer om-
kring destruktion samt beslaglagte biler stort set var imødekommet.
Afsluttende revision af§ 9 regnskabet
Revisionen har ikke omfattet revision af immaterielle anlægsaktiver samt sub-
stansrevision af IT-driftsudgifter på hovedkonto 2265, idet det er Rigsrevisionen,
der foretager revision af disse områder.
SIR vurderede ved den afsluttende revision, at ledelsen i Skatteministeriet på en
tilfredsstillende
måde havde sikret, at der var foretaget de nødvendige regn-
skabsmæssige afstemninger og kontroller ved godkendelsen af regnskabet. SIR
vurderede, at det aflagte regnskab var rigtigt, dvs. uden væsentlige fejl og mang-
ler.
SIR har ved vurderingen bl.a. lagt vægt på følgende forhold:
• At revisionen viste, at aktiver og passiver i det væsentligste var bogført
med de rigtige beløb, i de rigtige perioder og på de rigtige konti.
U
Formålet med den afsluttende årsrevision af§ 9 regnskabet for finansåret 2012
var at undersøge, om anvendt regnskabspraksis tog udgangspunkt i de regnskabs-
regler og principper som fremgår af Regnskabsbekendtgørelsen og retningslin-
jerne i Moderniseringsstyrelsens Administrative Vejledning samt at
en be-
grundet overbevisning om, at regnskabet var rigtigt, dvs. uden væsentlige fejl og
mangler.
KS
SIR vurderede opgaveløsningen vedrørende forvaltning af beholdninger ved
SKAT København som værende
tilfredsstillende.
Side 20 / 35
SAU, Alm.del - 2020-21 - Bilag 263: Pressemeddelelse: Undersøgelseskommissionen om SKAT afgiver delberetning om udbyttesagen, fra justitsministeren
2415032_0065.png
DETTE ER EN VISNING
UKS Side 3709
At poster på resultatopgørelsen var registreret med de rigtige beløb, og
var bogført på de rigtige underkonti.
Vedrørende indtægtskonti under udgiftsregnskabet var det SIRs samlede
vurdering, at de kontroller og afstemninger, som Skatteministeriet fore-
tog, i væsentlig grad bidrog til at sikre, at indtægter blev optaget og bog-
føres korrekt i regnskabet.
At debitorbeholdning på studielånsområdet var til stede og værdiansat
korrekt.
Uden at det har påvirket SIRs konklusion, har SIR i forbindelse med revisionen
dog konstateret:
Balancesummen er 24 mio. kr. for lav, idet periodeafgrænsningsposter
(aktiver og passiver) er undervurderet med 24. mio. kr. hver.
Sikkerhedsstillelser er overvurderet med 2,4 mio. kr. Dette påvirker re-
sultatet negativt med 2,4. mio. kr.
Feriepengeforpligtelse er overvurderet med 2,4 mio. kr. som følge af fejl
i beregningsgrundlaget. Dette påvirker resultatet positivt med 2,4 mio. kr.
Fejl i noteoplysning i Årsrapport 2012 om de immaterielle anlægsaktiver
- årets tilgang skulle være angivet 95 mio. kr. højere.
Note vedrørende eventualforpligtelser er overvurderet som følge af over-
vurderingen af sikkerhedsstillelser med 2,4 mio. kr.
Revisionstema 2
Generelt
SIR har i forbindelse med revisionsplan 2012 gennemført i alt 6 juridisk-kritiske
revisioner. Flere af revisionerne har været relateret til inddrivelsesopgaven.
Revisionerne har navnlig fokuseret på retssikkerhed, retskraftighed, lovmedhol-
delighed og juridisk korrekt sagsbehandlingspraksis, herunder i forhold til for-
valtningslovens bestemmelser.
Revisionerne har altovervejende været eksternt rettet mod de retslige aspekter af
forvaltning og afgørelser i relation til borgere og virksomheder (kunder). En re-
vision på toldområdet har fokuseret på EU-reglers overholdelse. Et par revisioner
har desuden i mindre omfang supplerende omfattet problemstillinger i relation til
finansiel revision og en enkelt revision har været gennemført som en opfølgende
revision med fokus på tidligere afgivne anbefalinger.
Revisionerne har generelt været gennemført som en kombination af systembase-
ret revision og substansrevision.
U
KS
Side 21 / 35
SAU, Alm.del - 2020-21 - Bilag 263: Pressemeddelelse: Undersøgelseskommissionen om SKAT afgiver delberetning om udbyttesagen, fra justitsministeren
2415032_0066.png
DETTE ER EN VISNING
UKS Side 3710
Resultaterne af revisionerne er blevet samlet vurderet som
tilfredsstillende
i 3
tilfælde,
ikke helt tilfredsstillende
i 2 tilfælde,
ikke tilfredsstilende
i et enkelt til-
fælde og ingen som meget tilfredsstillende, som det fremgår af nedenstående
oversigt:
REVISION
Inddrivelse af inddrive-
lige SAP-krav
Inddrivelse af ejen-
domsskatter
SAMLET
VURDERING
Tilfredsstillende
Tilfredsstillende
PROBLEMSTILLINGER
Retskraftighed
Korrekt sagsbehandling (kor-
rekt værneting, fortrinsret,
fogedbog, notatpligt mm.)
KoITekt opkrævning iht. EU-
regler mv.
Lovgrundlag, forvaltningslov
og forvaltningsretlige grund-
sætninger
Lovmedholdelighed
Ombudsmandskrav
Retssikkerhed
Retssikkerhed
Persondataloven
Tilfredsstillende
Forvaltning af an-
tidumping- og udlig-
ningstold
Foreløbige fastsættelser
Ikke helt tilfredsstil-
på momsområdet
!ende
Journalsystemers an-
vendelse på udvalgte
områder
Anvendelse af RKI
Ikke helt tilfredsstil-
!ende
Ikke tilfredsstillende
Hvad angår revisioner, som har omfattet finansiel revision, har SIR i forbindelse
med revisionen af SAP-krav konstateret aktivers tilstedeværelse og i forbindelse
med revisionen vedrørende antidumping - og ud ligningstold, har SIR vurderet
om den omhandlede opkrævning blev bogført og afregnet korrekt til EU, således
at regnskabet er rigtigt. Bortset fra at efteropkrævningerne vedrørende registre-
ringsforordningerne indebar manglende eller forsinkede opkrævninger, havde
SIR ingen bemærkninger i relation til regnskabets rigtighed.
Revision af anvendelsen af RKI
Revisionen tog udgangspunkt
i
reglerne om varsler, indberetninger og sletninger.
SIR vurderede anvendelsen af
RKI
som værende
ikke tilfredsstillende.
Som føl-
ge af manglende overholdelse af flere af persondatalovens bestemmelser konsta-
terede SIR, at et stort antal skyldnere, som var indberettet til RKI ikke var sikret
den retssikkerhedsmæssige beskyttelse, som loven foreskriver. SIR konstaterede
endvidere, at virksornhedsrestancer indberettes til RKI uden fokus på funda-
mentsdatoen
1,
hvilket kunne medføre, at skyldnere stod registreret længere tid
i
RKI end loven tilsigter. SIR konstaterede endelig, at lovgivningen ikke blev
1
Den dato, hvor betingelserne for RKl-indberetning første gang er opfyldt.
U
KS
Side 22 / 35
SAU, Alm.del - 2020-21 - Bilag 263: Pressemeddelelse: Undersøgelseskommissionen om SKAT afgiver delberetning om udbyttesagen, fra justitsministeren
2415032_0067.png
DETTE ER EN VISNING
UKS Side 3711
overholdt i relation til bestemmelsen om, at der altid skal være udsendt to rykke-
re, hvor disse anvendes som grundlag for videregivelse af skyldneroplysninger til
RIG.
SKAT har taget rapporten og dens anbefalinger til efterretning og efterfølgende
iværksat korrigerende tiltag.
Opfølgning på revisionen af journalsystemers anvendelse i udvalgte enheder i
SKAT
Revision af SKATs foreløbige fastsættelser på momsområdet
Området blev vurderet som
ikke helt tilfredsstillende.
SIR fandt med hensyn til
skønsudøvelsen, at der i væsentlig grad var tale om standardisering, men at ud-
stedelsen af foreløbige fastsættelser ikke var så standardiseret, at der var admini-
streret i strid med den ved Iovgrundlaget foreskrevne pligt til at fastsætte tilsvaret
skønsmæssigt. SIR fandt dog, at oplysninger om brancheforhold efter omstæn-
dighederne burde medinddrages i grundlaget for skønnet.
For så vidt angår de processuelle regler fandt SIR imidlertid, at der med hensyn
til meddelelsen af de foreløbige fastsættelser på væsentlige punkter var tale om
manglende overensstemmelse med forvaltningsloven.
SKAT har bemærket, at man på baggrund af SIRs rapport vil nedsætte en ar-
bejdsgruppe, der skal analysere muligheden for en optimeret metode at opgøre
skønnet på. SKAT har endvidere bemærket, at standardbrevet skal tilrettes, såle-
des at de tilfredsstiller både de juridiske, processuelle og forvaltningsretlige krav.
U
SKAT har taget SIRs konklusioner til efterretning.
KS
Revisionen var afgrænset til en landsdækkende enhed. SIR vurderede fortsat
området som
ikke helt tilfredsstillende,
idet SIR måtte konstatere, at journalise-
ringen fortsat ikke var lovmedholdelig. Vurderingsmeddelelsen fra KMD VUR
blev ikke journaliseret i overensstemmelse med lovgivningens krav hertil, og det
var ikke muligt at genbestille autentiske brevkopier i systemet. En funktionalitet
var dog i udvikling, efter hvilken der kunne tilbydes automatisk overførsel til
Captia. Journaliseringen af sagsakter fulgte heller ikke formålet med korrekt
journalisering, idet der ikke altid blev foretaget journalisering af alle udsendte
sagsakter, og det var ikke muligt at genbestille autentiske kopier i KMD VUR,
hvorved det heller ikke var muligt at besvare henvendelser om aktindsigt korrekt.
Ledelsen havde ikke afsendt styresignaler med henblik på sikring af overholdelse
af lovgivningen. Endvidere konstaterede SIR, at anmodninger om aktindsigt ikke
havde været besvaret korrekt tilbage fra primo 2010. SIR kunne imidlertid sam-
tidig konstatere, at processer der skulle sikre at lovgivningen blev fulgt, var un-
der udarbejdelse. SIR konstaterede endvidere, at kun for en tredjedel af en stik-
prøve af klager over 2010-vurderingen, blev de systemgenererede dokumenter
journaliseret i Captia.
Side 23 / 35
SAU, Alm.del - 2020-21 - Bilag 263: Pressemeddelelse: Undersøgelseskommissionen om SKAT afgiver delberetning om udbyttesagen, fra justitsministeren
2415032_0068.png
DETTE ER EN VISNING
UKS Side 3712
Revision af inddrivelse af inddrivelige SAP-krav
Det gælder særligt, at sådanne krav skal håndteres manuelt, hvorfor der kan være
risiko for, at de ikke inddrives eller forældelsesafbrydes som forudsat, eller at
reglerne for dækningsrækkefølge ved betaling og modregning ikke følges. For-
målet med revisionen var at undersøge, hvorvidt debitorkravene i SAP-
bogholderiet var retskraftige, og hvorvidt de blev inddrevet på lige fod med an-
dre debitorkrav. SIR konkluderede, at debitorkravene i langt overvejende grad
var retskraftige og blev inddrevet, modregnet og afskrevet, jf. dækningsrække-
følgen, efter gældende regler.
Det samlede resultatet af revisionen blev vurderet som
tilfredsstillende.
SIR konstaterede dog også, at der var iværksat en oprydning i SAP forud for
idriftsættelsen af EFI, som havde medført, at mange krav var blevet afskrevet
som følge af forældelse. SIR anså det for
ikke tilfredsstillende,
at SK.AT derved
utilsigtet mistede tilgodehavender uanset omfanget heraf. SIR fandt det derfor
særdeles vigtigt, at der fastsættes procedurer, som forebygger dette, når SAP-
kravene overgår til EFI.
Med hensyn til Erhvervsinddrivelsen konstaterede SIR, at der kunne gå lang tid,
før en virksomhed med en samlet restance under 100.000 kr. blev erindret om en
restance i SAP. Dette skyldtes den prioriteringsgrænse, der blev anvendt i Er-
hvervsinddrivelsen. Endvidere konstaterede SIR, at den første rykker udsendtes
systemmæssigt fra Regnskab. Herefter blev der generelt ikke rykket for disse
krav, idet de efterfølgende rykkere skulle dannes manuelt i Inddrivelsen. SIR
konstaterede ligeledes, at SAP-krav ikke indgår i RKI-projektet. Da de fleste
tabte SAP-krav vedrørte erhvervsvirksomheder med restancer under 100 t.kr.
anbefalede SIR, at erhvervsrestancer ikke kun behandles i tilfælde af forældel-
se/afbrydelse, men også rykkes mv.
Endelig konstaterede SIR, at der ikke var fastsat procedurer i forhold til hen-
stand/ophævet henstand. Dermed var der risiko for, at der forekom krav i SAP,
hvor inddrivelse burde være genoptaget eller krav afskrevet. SIR anbefalede der-
for, at Inddrivelse straks modtager besked ved bevilling og ophør af henstand.
SKAT har taget rapporten til efterretning.
Revisionen af inddrivelse af ejendomsskatter
Revisionen havde til formål at undersøge, hvorvidt den særlige retsstilling på
området blev fulgt, og at der inddrives rettidigt, således at fortrinsretten ikke mi-
stes. SIR konkluderede, at inddrivelsen overordnet blev foretaget i henhold til
lovgivningen, hvilket SIR anså for
tilfredsstillende.
SIR fandt det dog
ikke helt tilfredsstillende,
at nogle af fogedbøgerne ikke var
udfyldt korrekt, og at ikke alle udlæg og efterfølgende underretninger blev fore-
taget på grundlag af korrekte restancer.
U
KS
Side 24 / 35
SAU, Alm.del - 2020-21 - Bilag 263: Pressemeddelelse: Undersøgelseskommissionen om SKAT afgiver delberetning om udbyttesagen, fra justitsministeren
2415032_0069.png
DETTE ER EN VISNING
UKS Side 3713
SKAT har taget SIRs konklusioner og anbefalinger til efterretning. Anbefalin-
gerne vil blive indarbejdet i de fremtidige processer.
Revision af forvaltning af antidumping- og udligningstold
Revisionen blev samlet vurderet som
tilfredsstillende,
hvilket dækkede bredt
over både
meget
-
og
ikke tilfredsstillende
delkonklusioner. Overordnet konklu-
derede SIR, at SKAT opfyldte de væsentligste standarder, men også at der var
behov for forbedringer. Revisionen havde fokus på, at SKAT havde etableret
forretningsgange, interne kontroller, kontrolstrategier og risikoanalyser, der var
med til at sikre, at der foretages korrekt opkrævning af antidumping- og udlig-
ningstold, samt at dette finder sted i overensstemmelse med EU-lovgivningen
mv.
SIR fandt det
meget tilfredsstillende,
at SKAT via to indsatsprojekter på området
havde bidraget til, at SKAT havde etableret kontroller, der var baseret på en kva-
litetsmæssig risikoanalyse mv., hvilket mindskede risikoen for omgåel-
se/unddragelse af antidumping- og udligningstold.
Der kunne i den forbindelse være toldbeløb, som ikke var fastsat før indsatspro-
jekterne blev nedsat, og toldbeløb, som blev opkrævet af indsatsprojekterne, var
fastlagt med forsinkelse. Forholdet kunne risikere pådragelse af et finansielt an-
svar fra EU-Kommissionen. Da opgaven er lovreguleret burde den efter SIRs
opfattelse indgå som en obligatorisk driftsopgave i SKAT.
Vedrørende afregning til EU skulle toldsatser og øvrige kriterier løbende være
opdateret i Importsystemet, således at det sikres, at alle importer kan behandles
efter EU-lovgivningen. I tilfælde hvor midlertidige toldordninger blev afløst af
definitive, skulle toldsatser reguleres med tilbagevirkende kraft. Dette blev fore-
taget på grundlag af en manuel procedure baseret på en liste fra Importsystemet.
Der er udarbejdet en lokal vejledning for behandling af denne liste, idet der ikke
2
SKAT har i sit høringssvar bl.a. anført, at den manglende funktionalitet efter SKATs opfattelse
ikke medfører, at SKAT ikke overholder de lovregulerede registreringskrav, idet udsøgninger i
Importsystemet kan identificere de angivelser, der er omfattet af en registreringsforordning.
EU-Kommissionen har
i
kontrolrapport Nr. 12-1-1 meddelt de danske myndigheder, at "Kontrol-
inspektørerne (EU-K) er af den opfattelse, at SKAT hidtil har handlet i strid med EU-loven.
U
KS
Det blev videre konstateret, at indsatsprojekterne havde rapporteret, at Importsy-
stemet ikke indeholdt en funktionalitet, der opfyldte de registreringskrav, der er
forordningsbestemt i forhold til EU-medlemslandende. Det drejede sig om de
tilfælde, hvor erhvervsgrenene og EU-Kommissionen havde mistanke om svig-
agtig omgåelse af antidumping - og udligningstoldforanstaltninger ved import til
EU. Der havde således ikke været fastsat en procedure for efterfølgende opkræv-
ning af antidumping- og udligningstold i disse tilfælde, og SKAT havde dermed
ikke fulgt EU-lovgivningen på området, hvilket SIR anså for
ikke tilfredsstillen-
de.
2
Side 25 / 35
SAU, Alm.del - 2020-21 - Bilag 263: Pressemeddelelse: Undersøgelseskommissionen om SKAT afgiver delberetning om udbyttesagen, fra justitsministeren
2415032_0070.png
DETTE ER EN VISNING
UKS Side 3714
fra proces - og systemejer er udarbejdet en sådan. SIR konstaterede i denne for-
bindelse, at procesbeskrivelserne ikke i alle tilfælde har været baseret på opdate-
ret grundlag, og ligeledes konstaterede SIR manglende overensstemmelse mel-
lem procesbeskrivelser og den lokalt udarbejdede vejledning.
Revisionstema 3
SIR skal gennemføre en revisionafmålopstilling- og rappmtering i Skattemini-
steriets årsrapport 2012.
Formålet med revisionen var at vurdere, om oplysningerne om mål og resultater i
Skatteministeriets årsrapport 2012 var dokumenterede og dækkende i forhold til
målene i virksomhedsplan 2012.
Revisionen omfattede følgende delområder:
Målopstilling
Rapportering om mål og resultater
Sammenhængen mellem årsrapporten og mål - og resultatstyring
Målinger og registreringer
Dokumentation
SIR har i det væsentlige taget udgangspunkt i kapitel 2
i
Skatteministeriets års-
rapport, som omhandler målrapportering, og sammenholdt dette kapitel med
Moderniseringsstyrelsens vejledning vedrørende udarbejdelse af å~srapport, ka-
pitel 3, som omhandler målopstilling- og målrapportering.
SIR har vurderet, at målopstillingen og målrapporteringen i årsrappmten for
2012 samlet set var
tilfredsstillende.
SIR har konstateret, at Skatteministeriet efterlever de formelle krav for målrap-
portering, som er fastsat i Moderniseringsstyrelsens vejledning om udarbejdelse
af årsrapport. Årsrapport 2012 fremstår endvidere efter SIRs opfattelse som mere
læsevenlig end årsrapport 2011.
SIR anså afrapporteringen af SKATs faglige resultater for fyldestgørende og
fandt det i den forbindelse positivt, at der ved angivelse afmålopfyldelse var
anlagt en forsigtig vurdering.
For så vidt angår dokumentation for målopfyldelse har SIR konstateret, at Sty-
ring ikke på tidspunktet for offentliggørelse af årsrapporten besad dokumentation
U
SIR har gennemgået og vurderet samtlige eksterne/eksternt rettede mål i årsrap-
porten, dvs. de 4 finanslovsmål og de 9 eksternt rettede mål med dertilhørende
succeskriterier i Virksomhedsplan 2012, inkl. bilag C.
KS
Side 26 / 35
SAU, Alm.del - 2020-21 - Bilag 263: Pressemeddelelse: Undersøgelseskommissionen om SKAT afgiver delberetning om udbyttesagen, fra justitsministeren
2415032_0071.png
DETTE ER EN VISNING
UKS Side 3715
for alle målsætninger og succeskriterier, idet der efterfølgende skulle rekvireres
materiale herom i andre enheder. SIR har derfor bl.a. anbefalet, at Styring senest
på offentliggørelsestidspunktet modtager og kvalitetssikrer årsrapportens oplys-
ninger om målopfyldelse, samt at de allerede eksisterende vejledninger til brug
for arbejdet med årsrapporten revitaliseres.
Skatteministeriet har taget SIRs anbefalinger til efterretning.
Revisionstema 4
Skatteministeriet iværksatte i 2012 en række budgetanalyser i samarbejde med
Finansministeriet og en ekstern konsulentvirksomhed. Budgetanalyserne skulle
identificere de løsninger, der skal sikre udmøntningen af de effektiviseringskrav,
som SKAT står overfor i de kommende år.
Skatteministeriet gennemførte i løbet af året tillige en omstruktureringsproces,
og den nye overordnede struktur er trådt i kraft den I.januar 2013.
SIR besluttede på baggrund af disse forhold en afventende revisionsstrategi i
relation til forvaltningsrevision, idet SIR ikke umiddelbart fandt det hensigts-
mæssigt at iværksætte sådanne, før SIR havde nærmere kendskab til resultaterne
og konsekvenserne af ovenstående forhold: Nærmere betegnet dels den nye le-
delses reaktion og videre tiltag på baggrund af budgetanalysernes resultater og
anvisninger, dels den endelige organisatoriske - og styringsmæssige struktur i
kølvandet på omstruktureringsprocessen.
Imidlertid havde SIR iværksat en undersøgelse af SKATs målsættende ledelse.
Detailplanlægningen heraf fandt sted, før budgetanalyserne var nærmere konkre-
tiseret, og før beslutningen om omstrukturering var blevet meddelt. Uanset re-
sultaterne af budgetanalyserne fandt SIR, at konceptet vedrørende målsættende
ledelse måtte anses for alment gældende for en virksomhed som SKAT og derfor
under alle omstændighederne også måtte forventes efterlevet. Undersøgelsen var
planlagt at tage udgangspunkt i afdelingslederniveauet og skulle bl.a. omfatte
udøvelsen af kvalitetssikring.
Efter at undersøgelsen blev formelt indledt, modtog SIR oplysninger fra direkti-
onen om, at det med baggrund i budgetanalysernes resultater ville blive besluttet
at indføre såkaldt performance management (PM). Dette ville i højere grad inde-
bære præcise og forpligtende produktions - og kvalitetsmål samt hyppigere le-
delsesmæssig opfølgning. PM fremstod derfor som en opstramning af det aktu-
elle koncept med målsættende ledelse og med større ledelsesmæssige forpligtel-
ser. SIR tog dette til efterretning og vurderede på linje med direktionen, at en
undersøgelse af målsættende ledelse ikke ville kunne yde nævneværdige nyttige
U
KS
Side 27 / 35
SAU, Alm.del - 2020-21 - Bilag 263: Pressemeddelelse: Undersøgelseskommissionen om SKAT afgiver delberetning om udbyttesagen, fra justitsministeren
2415032_0072.png
DETTE ER EN VISNING
UKS Side 3716
bidrag til direktionen. Som følge heraf blev det besluttet ikke at gennemføre un-
dersøgelsen.
It-revision
SIR har foretaget it-revision af udvalgte væsentlige applikationer og tilhørende
generelle it-kontroller, for at undersøge om de etablerede programmerede og
manuelle kontroller vedrørende system- og datasikkerheden er tilstrækkelige til,
at den finansielle revision helt eller delvist kan basere sig på kontrollerne i sy-
stemerne.
Revisionerne af SAP38 og SAP9 samt D/R- systemet er på grund af deres væ-
sentlighed udvalgt til at skulle gennemføres årligt. Vedrørende Toldsystemerne
e-Eksportsystemet og Importsystemet skal SIR levere rapporter til Rigsrevisio-
nen, så de kan erklære sig overfor EU. Herudover er de generelle it-kontroller
vedrørende logisk sikkerhed i netværk m.m. samt fysisk sikkerhed revideret.
It-revisionen har tillige omfattet revisionen af Pensionsafkastbeskatning (PAL)
og Pensionsbeskatning (PBL), samt enkelte yderligere revisioner.
SAP38 og SAP9
Revisionen viste, at de undersøgte kontroller i relation til SAP38 og SAP9 samlet
set var
tilfredsstillende
med undtagelse af adgangsstyringen som var
ikke helt
tilfredsstillende.
SIR har afgivet
12
anbefalinger til styrkelse af området. Gen-
nemgangen har ikke identificeret forhold som kan skabe tvivl om regnskabets
rigtighed og det er SIRs vurdering, at den finansielle revision kan basere sig på
kontrollerne i systemerne.
Debitor/Restance (D/R) systemet
D/R systemet forestår opkrævning af A-skat/bidrag, lønsumsafgift samt impmt-
told- og moms. Systemet foretager endvidere kontrol med rettidig modtagelse af
angivelser og danner importspecifikation på basis af tømninger fra Toldsystemet
samt styrer kontrollen og udbetalingen ifølge negative angivelser og foretager
udbetaling af overskydende beløb.
U
SIR har foretaget revision af økonomisystemerne SAP38 og SAP9. Ved revisio-
nen blev designet og kontrollerne i forbindelse med ændringsstyring, adgangs-
styring, stamoplysninger og renteberegning gennemgået og testet. Der blev end-
videre foretaget en gennemgang af kontobroen mellem DMR og SAP38, indlæs-
ning af eFaktura i SAP9, modtaget revisorerklæring og ove1førsler mellem SAP9
og SAP38 og videre til SKS systemet.
KS
Side 28/ 35
SAU, Alm.del - 2020-21 - Bilag 263: Pressemeddelelse: Undersøgelseskommissionen om SKAT afgiver delberetning om udbyttesagen, fra justitsministeren
2415032_0073.png
DETTE ER EN VISNING
UKS Side 3717
SIR har foretaget en revision af D/R-systemet, hvor designet og kontrollerne i
forbindelse med funktionsadskillelse, udveksling af data og anvendte registre er
undersøgt.
Revisionen viste, at der med udgangspunkt i "Vejledning til justering af sikker-
hedsgrupperne af 15. august 1997" ikke var etableret en fornøden funktionsad-
skillelse for oprettede brugere, ligesom der blev konstateret oprettede brugere til
D/R-systemet uden arbejdsbetinget behov.
På baggrund af den udførte revision var det SIRs vurdering, at it-kontrollerne i
og omkring D/R-systemet samlet set var
ikke tilfredsstillende.
SIR har udarbejdet 10 anbefalinger til styrkelse af området, herunder blev der
den 6. marts 2013 sendt en Early Warning via mail til direktionen vedrørende
den konstaterede manglende funktionsadskillelse.
På baggrund af fremsendt Early Warning samt rev is ionsrapporten har SKAT
iværksat en handleplan. I handleplanen er der taget initiativ til at rette op på de
væsentlige og kritiske observationer, som fremgår af Early Warning, og som
fremgår af observationerne i revisionsrapporten.
Betalings- og regnskabskontoret har med assistance fra SIR foretaget en opføl-
gende gennemgang af, om nogle af de identificerede brugere har anvendt den
manglende funktionsadskillelse til at udføre transaktioner for egen vindings
skyld eller til transaktioner som kunne skabe tvivl om, hvorvidt regnskabet for
SKAT 2012 udviser et retvisende billede.
Ved den stikprøvevise gennemgang af de transaktioner som brugerne med mang-
lende funktionsadskillelse har udført, blev der ikke identificeret fejl eller uover-
ensstemmelser i DR angivelserne, hvo1for det var SIRs vurdering, at den mang-
lende funktionsadskillelse i DR-systemet ikke påvirker det retvisende billede af
regnskabet for 2012.
e-Eksportsystemet
Al eksport ud af EU skal angives. Dette foretages af de enkelte eksportører i e-
Eksportsystemet via eget system til adgangsstyring.
U
KS
Side 29 / 35
SAU, Alm.del - 2020-21 - Bilag 263: Pressemeddelelse: Undersøgelseskommissionen om SKAT afgiver delberetning om udbyttesagen, fra justitsministeren
2415032_0074.png
DETTE ER EN VISNING
UKS Side 3718
For nogle eksportangivelser kan der tillige søges udbetaling af et restitutionsbe-
løb. Selve restitutions beløbet udbetales ikke af SKAT, men udbetales af
NaturErhvervstyrelsen på baggrund af de data, der videresendes fra e-Eksport-
systemet.
e-Eksportsystemet har således ingen regnskabsmæssig påvirkning i forhold til
SKAT.
Formålet med revisionen af e-Eksportsystemet var at undersøge, hvorvidt:
driftsafviklingen af systemet og sikkerhedsmæssige forhold blev håndte-
ret på en sådan måde, at systemet understøttede, at:
o data var tilgængelige - når der var behov for dem,
o data var pålidelige,
o der var etableret tilstrækkelig fortrolighed om adgang til data,
den tilhørende stikprøveudvælgelse i Business Object skete på korrekt
datagrundlag, med korrekte udvælgelseskriterier og efter korrekt metode,
SKAT havde sikret, at data fra e-Eksportsystemet blev overført fuldstæn-
dige, korrekte og rettidige til NaturErhvervstyrelsen.
Disse undersøgte forhold i relation til e-eksportsystemet blev vurderet som
ikke
helt tilfredsstillende.
Begrundelsen for vurderingen har primært været, at:
Importsystemet
Importsystemet behandler import af alle varer til Danmark. Såfremt dette ikke
sker, og/eller importangivelserne ikke bliver behandlet korrekt og rettidigt, er der
risiko for, at afregningen til EU er behæftet med fejl.
U
kontrol med tildelte rettigheder i systemet ikke blev gennemført systema-
tisk, idet der fandtes en række fratrådte medarbejdere med adgang til sy-
stemet,
SKAT ikke i tilstrækkelig omfang gennemførte det obligatoriske interne
kontrolpunkt: Tildeling af systemer og grupper,
der tilsyneladende skete en akkumulering af eksportanmeldelser i syste-
met,
det ikke fonnelt var beskrevet og synliggjort, hvilke rettigheder der ikke
må tildeles den samme bruger samtidig,
SKAT ikke kunne dokumentere, hvem og hvornår rettigheder til den en-
kelte bruger var rekvireret,
der ikke anvendtes beskyttede kommunikationskanaler, såsom krypterede
protokoller.
KS
Side 30 / 35
SAU, Alm.del - 2020-21 - Bilag 263: Pressemeddelelse: Undersøgelseskommissionen om SKAT afgiver delberetning om udbyttesagen, fra justitsministeren
2415032_0075.png
DETTE ER EN VISNING
UKS Side 3719
Det overordnede fonnål med revisionen har været at undersøge, om SKAT har
sikret, at håndteringen af Importområdet er af en sådan beskaffenhed, at det
medvirker til at sikre, at regnskabet er rigtigt, dvs. uden væsentlige fejl og mang-
ler.
SIR har således undersøgt, om SKAT har sikret, at Importsystemet driftes og
sikkerhedsmæssigt håndteres på en sådan måde, at:
der var etableret tilstrækkelig fortrolighed omkring systemet for at for-
hindre udspredelse af data til uautoriserede personer og systemer,
systemet havde en tilstrækkelig pålidelighed, herunder at data var nøjag-
tige og ikke kunne ændres uautoriseret og uopdaget,
systemet havde en tilstrækkelig tilgængelighed, herunder en høj oppetid,
og kunne tilgås, når det var nødvendigt.
Disse undersøgte forhold i relation til Importsystemet blev vurderet som
ikke helt
tilfredsstillende.
Begrundelsen for dette har primært været, at:
SIR udførte kompenserende gennemgange omkring adgangsstyring og vurdere-
de, at risikoen for uautoriseret adgang og deraf uautoriserede ændringer i finan-
sielle transaktioner var minimeret for finansåret 2012.
SIR vurderede herefter samlet, at Importsystemet medvirker til sikre, at regnska-
bet er rigtigt, dvs. uden væsentlige fejl og mangler.
Logisk sikkerhed i netværk m.m.
SIR har foretaget en gennemgang af de generelle it-kontroller relateret til logisk
sikkerhed i netværk m.m. Fonnålet med revisionen var at sikre, at SKATs pass-
wordpolitik var implementeret og blev efterlevet på områder, som ikke direkte er
relateret til slutbrugeren.
SIR vurderede, at logisk sikkerhed i netværk m.v. var
ikke tilfredsstillende.
U
der var manglende nedlæggelse af brugeradgange tilhørende fratrådte
medarbejdere,
afhængigheden af nøglepersoner var stor på både system- og procesejer-
siden.
KS
Herudover var det et fonnål at opnå en begrundet overbevisning om, at systemet
sikrede en korrekt overførsel af data til D/R-systemet.
Side 31 / 35
SAU, Alm.del - 2020-21 - Bilag 263: Pressemeddelelse: Undersøgelseskommissionen om SKAT afgiver delberetning om udbyttesagen, fra justitsministeren
2415032_0076.png
DETTE ER EN VISNING
UKS Side 3720
SIR har
gj01t
40 observationer med tilhørende anbefalinger. Der er ved observa-
tionerne ikke identificeret forhold, som kan skabe tvivl om regnskabets rigtig-
hed.
SKAT har efterfølgende fulgt samtlige anbefalinger og har overfor SIR tilkende-
givet, at observationerne vil blive udbedret.
Fysisk sikkerhed
Revisionen har specifikt omhandlet SKA Ts sikring af lokaler og it-udstyr, in-
formationer og systemer mod uautoriseret fysisk adgang, skader og kompromit-
tering.
SIR vurderede samlet set, at den fysiske sikkerhed var
tilfredsstillende.
Dog viste en del observationer med tilhørende anbefalinger forhold der var ikke
tilfredsstillende eller ikke helt tilfredsstillende. Observationerne vedrørte såvel
forhold, der havde væsentlig betydning for den samlede sikkerhed hos SKAT
som forhold der havde væsentlig betydning for et mindre afgrænset område. Der
var endvidere observationer, der alene havde mindre betydning for hele eller dele
af SKAT.
SKAT har efterfølgende fulgt samtlige anbefalinger og har overfor SIR tilkende-
givet, at observationerne vil blive udbedret.
Erklæring vedrørende revision af EUs egne indtægter Told
Erklæringen er udarbejdet efter aftale med Rigsrevisionen og beregnet til Rigs-
revisionens brug for afgivelse af deres erklæring om revisionen af Danmarks
bidrag til EU af told- og sukkerafgifter mv. for 2012.
SKATs ledelse har ansvaret for de månedlige opgørelser og afregninger til EU,
herunder for det underliggende grundlag for disse opgørelser.
Det er SIRs opfattelse, at opgørelse og afregning af EUs egne indtægter - told
mv. er udarbejdet og afregnet efter de statslige regnskabsregler og Rådets for-
ordninger 1150/2000, Kommissions beslutning 97/245/EF, 105/2009, samt Rå-
dets afgørelse 436/2007.
Konklusion
På baggrund af den udførte revision er SIR nået frem til følgende konklusion:
U
Særlige revisionserklæringer mv.
KS
Side 32 / 35
SAU, Alm.del - 2020-21 - Bilag 263: Pressemeddelelse: Undersøgelseskommissionen om SKAT afgiver delberetning om udbyttesagen, fra justitsministeren
2415032_0077.png
DETTE ER EN VISNING
UKS Side 3721
SKAT har etableret forretningsgange og interne kontroller, som sikrer, at
SKA Ts opgørelser og afregning af EUs egne indtægter - told mv. er op-
gj01t i overensstemmelse med EUs formelle og materielle regler.
Bidraget er dokumenteret og optaget korrekt i SKA Ts regnskab.
Supplerende oplysning
Uden det har påvirket SIRs konklusion, skal SIR supplerende oplyse følgende:
SIR har for finansåret 20 IO i en revisionsrapport om toldgodtgørelse på-
peget, at SKAT ikke kunne levere disse specifikationer bl.a. på grund af
de respektive produktions- og regnskabssystemer, når det drejer sig om
de negative/positive reguleringer af tidligere fastlagte beløb.
Tilsvarende bemærkning er medtaget i SIRs erklæring om SKATs opgø-
relse og afregning for finansåret 2011.
Det er tidligere blevet oplyst til EU-kommissionen, at SKAT ville kunne
opgøre disse beløb i forbindelse med afregningen til EU, gældende fra
august måned 2012.
SIR konstaterede i forbindelse med revisionen af SKA Ts opgørelse og af-
regning for finansåret 2012, at det stadig ikke er lykkedes SKAT at levere
disse specifikationer.
SKAT har senest i maj 2013 meddelt EU-kommissionen om den fortsatte
mangel på et væsentligt forvaltningsområde i forhold til præsentationen
af opgørelsen af EU-egne indtægter Told jf. EU-kommissionens beslut-
ning 97/245/EF. SKAT forventer at implementere en løsning med udgan-
gen af juli måned 2013, hvor der tilsvarende vil blive foretaget en løsning
omkring periodisering.
Gennemgang af Skatteministeriets momsredegørelse for 2011 - EUs egne indtæg-
ter, moms
Efter aftale med Rigsrevisionen gennemgik SIR momsredegørelsen for 2011, der
er udarbejdet af Skatteministeriet.
SIR blev ved gennemgangen af Skatteministeriets momsredegørelse for 2011
ikke bekendt med væsentlige forhold, der gav anledning til at konkludere, at
momsgrundlaget for 2011 ikke var opgjort korrekt i henhold til Rådets forord-
ning 1553/1989.
Notatet om gennemgangen har
i
udkast været sendt til udtalelse hos Skattemini-
steriet, Departementet, som ingen bemærkninger havde til notatet.
U
KS
Side 33 / 35
SAU, Alm.del - 2020-21 - Bilag 263: Pressemeddelelse: Undersøgelseskommissionen om SKAT afgiver delberetning om udbyttesagen, fra justitsministeren
2415032_0078.png
DETTE ER EN VISNING
UKS Side 3722
Revision af opgørelsen af Danmarks bidrag til EUs egne indtægter på grundlag af
moms og BNI for finansåret 2012
Det var SIRs samlede konklusion, at Danmarks bidrag til EUs egne indtægter på
grundlag af moms og BNI for finansåret 2012 var opgjort i overensstemmelse
med EUs materielle og formelle regler. Konklusionen baserede sig på, at revisio-
nen viste, at SKAT havde etableret forretningsgange og interne kontroller, som i
videst muligt omfang sikrede, at bidragene var opgjort i overensstemmelse med
EUs materielle og formelle regler.
Revision af SKATs opgørelse af Danmarks momsindbetalinger for finansåret 2011
som indgår i grundlaget for opgørelse af Danmarks bidrag til EUs egne indtægter
SIR har i henhold til aftale med Rigsrevisionen afgivet en særlig erklæring om
SKA Ts opgørelse af bidraget til beregningsgrundlaget for EUs egne indtægter
hidrørende fra moms for finansåret 2011. SKATs bidrag til beregningsgrundlaget
udarbejdes i henhold til Rådets (tidligere Rådet for de Europæiske Fællesskaber)
forordning 1553/89.
Det er SIRs opfattelse, at SKATs opgørelse af momsindbetalingerne for 2011 er
opgjort rigtigt, det vil sige ikke indeholder væsentlige fejl og mangler. Konklusi-
onen er baseret på, at revisionen har vist, at forretningsgange og interne kontrol-
ler generelt fungerede tilfredsstillende.
Revision af fysisk kontrol ved eksport af landbrugsvarer EGFL - følgekontrol
Revisionen er en obligatorisk årlig revisionsopgave i henhold til aftale mellem
NaturErhvervstyrelsen (NE) og SIR.
Revisionen havde til formål at undersøge, om SKAT gennemførte de fysiske
kontroller i overensstemmelse med retningslinjerne, herunder om de levede op til
EUs forordninger og aftaler mellem NE og SKAT.
SKA Ts forvaltning af reglerne om fysisk kontrol ved eksport af landbrugsvarer
mod udbetaling af restitution, vurderede SIR som
tilfredsstillende.
Revision af NETS
SKAT har indgået en aftale med NETS A/S (DanID A/S) om at fungere som
Registration Authority (RA) for NemID. RA-aftalen er en gensidig forpligtende
aftale om legitimering og registrering af borgere til straksudstedelse afNemID.
RA-aftalen indebærer, at SIR skal afgive en revisionserklæring ifølge RA-
aftalens bilag 2 - punkt 8.2.1 for perioden 1. november 2011 til 31. oktober
2012.
Revisionen viste, at de etablerede kontroller i relation til RA-aftalen samlet set
var
tilfredsstillende.
U
KS
Side 34 / 35
SAU, Alm.del - 2020-21 - Bilag 263: Pressemeddelelse: Undersøgelseskommissionen om SKAT afgiver delberetning om udbyttesagen, fra justitsministeren
2415032_0079.png
DETTE ER EN VISNING
UKS Side 3723
SIR har dog taget et forbehold i erklæringen vedrørende vedligeholdelse af auto-
risationer, idet kravet i RA-aftalen (kontrol RA 7 i bilag 8, revisionsinstruksen)
ikke var efterlevet i erklæringsperioden.
SIR har endvidere afgivet en supplerende bemærkning i erklæringen, idet det var
oplyst, at RA-medarbejderne havde gennemført obligatorisk uddannelse. SIR har
dog ikke kunnet efterprøve denne påstand, da der ikke forelå dokumentation for
gennemført uddannelse.
U
Side 35 / 35
KS