Skatteudvalget 2020-21
SAU Alm.del Bilag 243
Offentligt
2394453_0001.png
Maj 2021
Skattestyrelsen godkender
rentefrie skattelån for
5,1 mia. kr.
A-skattelåneordning III blev åbnet for ansøgninger
den 9. april 2021. Skattestyrelsen har indtil videre
godkendt mere end 8.600 ansøgninger om rente-
frie lån til en værdi af 5,1 mia. kr.
Corona-pandemien presser fortsat en lang række danske virksomheder. For at
styrke likviditeten har virksomheder derfor ad flere omgange haft mulighed for at
ansøge om et rentefrit A-skattelån. Det har været muligt for virksomhederne at
ansøge om lån gennem den såkaldte A-skattelåneordning III i perioden fra 9.
april 2021 til 7. maj 2021.
Med låneordningen har små og mellemstore virksomheder kunnet ansøge om at
låne den A-skat og det AM-bidrag, de rettidigt har angivet for februar måned i år
og for september 2020. Samtidig har store virksomheder, der årligt indberetter
A-skat for over 1 mio. kr. eller AM-bidrag for over 250.000 kr., kunnet låne den A-
skat og det AM-bidrag, de rettidigt angav for marts i år og for september 2020.
Skattestyrelsen skønner, at mere end 168.000 virksomheder har kunnet ansøge
om et lån. For at gøre virksomhederne opmærksomme på låneordningen, har
Skattestyrelsen sendt information om ordningen, og hvordan man søger, direkte
til alle virksomhederne.
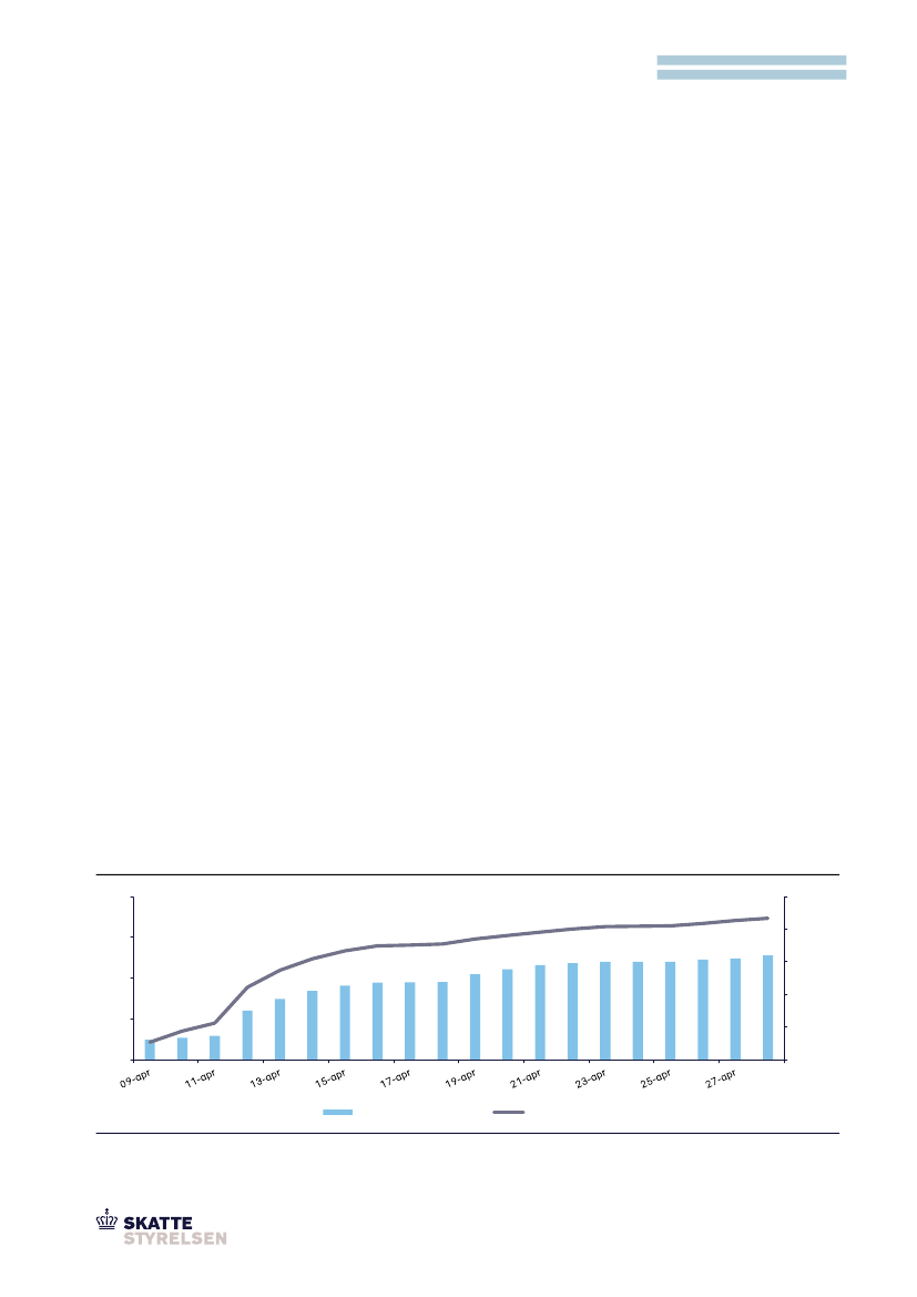
Skattestyrelsen har pr. 28. april 2021 modtaget mere end 9.000 ansøgninger.
Heraf er mere end 8.600 ansøgninger om et rentefrit lån blevet godkendt til en
værdi af 5,1 mia. kr.,
jf. figur 1.
Figur 1. Antal godkendte lån og værdien heraf, mia. kr.
8,0
10.000
8.000
5,1
6.000
4,0
4.000
2,0
2.000
-
8.682
6,0
-
Værdi af godkendte lån
Antal godkendte lån
Kilde: Skattestyrelsen.
SAU, Alm.del - 2020-21 - Bilag 243: Publikation fra Skattestyrelsen: Status på A-skattelån III
2394453_0002.png
Side 2
Ansøgningsfristen for låneordningen var 7. maj 2021, og data er endnu ikke op-
gjort for hele perioden. Tallene er derfor en foreløbig status. Det samlede poten-
tiale for låneordningen er over 50 mia. kr., hvilket betyder, at værdien af de god-
kendte lån foreløbigt udgør ca. 10 pct. af potentialet.
Region Hovedstaden står for størstedelen af lånene
På landsplan er der godkendt flest ansøgninger fra virksomheder i Region Ho-
vedstaden. Skattestyrelsen har godkendt knap 3.300 ansøgninger til en værdi af
over 2 mia. kr.,
jf. figur 2.
Det svarer til, at et rentefrit lån i gennemsnit udgør ca.
620.000 kr.
Til sammenligning er der godkendt færrest ansøgninger fra virksomheder i Re-
gion Nordjylland. I alt har knap 900 virksomheder fået godkendt lån for over 500
mio. kr.,
jf. figur 2.
Et rentefrit lån udgør herved i gennemsnit ca. 570.000 kr.
Størrelsen på et rentefrit lån afspejler den ansøgende virksomheds A-skat og
AM-bidrag. Forskelle i de regionale gennemsnit er således et udtryk for, at nogle
regioner rummer større virksomheder end andre.
Figur 2. Regional fordeling over antal godkendte ansøgninger og lånebeløb, mio. kr.
Region Nordjylland
Ansøgninger: 892
Lånebeløb: 509 mio. kr.
Region Midtjylland
Ansøgninger: 1.988
Lånebeløb: 1.316 mio. kr.
Region Hovedstaden
Region Syddanmark
Ansøgninger: 1.723
Lånebeløb: 996 mio. kr.
Region Sjælland
Ansøgninger: 904
Lånebeløb: 290 mio. kr.
Ansøgninger: 3.256
Lånebeløb: 2.010 mio. kr.
Kilde: Skattestyrelsen.
Anm.: Tallene er opgjort for ansøgninger pr. 28. april 2021, og inden låneordningen er udløbet. Opgørelsen
af tallene forventes derfor at ændre sig.
Kontrol af lånebetingelser og hurtig behandling
Skattestyrelsen kontrollerer alle ansøgninger om lån inden et lån udbetales. I for-
bindelse med kontrollen sikrer Skattestyrelsen, at virksomhederne opfylder be-
tingelserne for at få et lån. Afslag på lån skyldes primært, at virksomheden alle-
rede har fået godkendt lån, da det kun er muligt at søge én gang pr. låneordning.
Derudover kan afslaget også skyldes, at virksomheden ikke har angivet A-skat.
Ansøgningerne om udbetaling af lånet er foregået gennem virk.dk, men er be-
handlet af Skattestyrelsen. Skattestyrelsen har behandlet alle ansøgninger om
lån inden for 12 arbejdsdage. Lånet skal tilbagebetales 1. juni 2022.
www.sktst.dk
Skattestyrelsen er en
del af Skatteforvaltningen