Skatteudvalget 2020-21
SAU Alm.del Bilag 225
Offentligt
2382610_0001.png
April 2021
Toldstyrelsen kontrollerede
3.200 ton værnemidler i 2020
Toldstyrelsen har i 2020 kontrolleret ca. 3.200 ton
værnemidler og sikret en smidig vej for mundbind,
masker og håndsprit til borgere, virksomheder og
sundhedsvæsen under corona-pandemien.
Da corona-pandemien ramte i marts 2020, styrkede Toldstyrelsen sit fokus på at
understøtte, at værnemidler havde en smidig vej ind i Danmark, mens de mund-
bind, masker, håndsprit mv., der ikke levede op til reglerne, blev sendt retur eller
destrueret af de relevante myndigheder.
Toldstyrelsen har ansvaret for at sikre en effektiv kontrolindsats ved Danmarks
grænser og i samarbejde med andre myndigheder at forhindre illegal import og
beskytte borgere og virksomheder mod farlige eller sundhedsskadelige varer.
Skærpet kontrol af værnemidler
I perioden fra 1. januar 2020 til 31. december 2020 har Toldstyrelsen kontrolle-
ret ca. 3.200 ton værnemidler. Heraf ca. 1.600 ton ansigtsmasker og mundbind
og ca. 1.000 ton håndsprit/gel. De resterende ca. 600 ton værnemidler dækker
over handsker og vådservietter mm.
Værnemidlerne er blevet udtaget til kontrol på baggrund af risikoprofiler i Told-
styrelsens it-systemer. Kontrollen af værnemidlerne er sket i et tæt samarbejde
med Sikkerhedsstyrelsen, Miljøstyrelsen og Lægemiddelstyrelsen, der har myn-
dighedsansvaret for, at værnemidlerne lever op til de sikkerhedsmæssige krav.
Samtidig har der været et tæt samarbejde med EU-Kommissionen og toldmyn-
dighederne i de øvrige EU-lande.
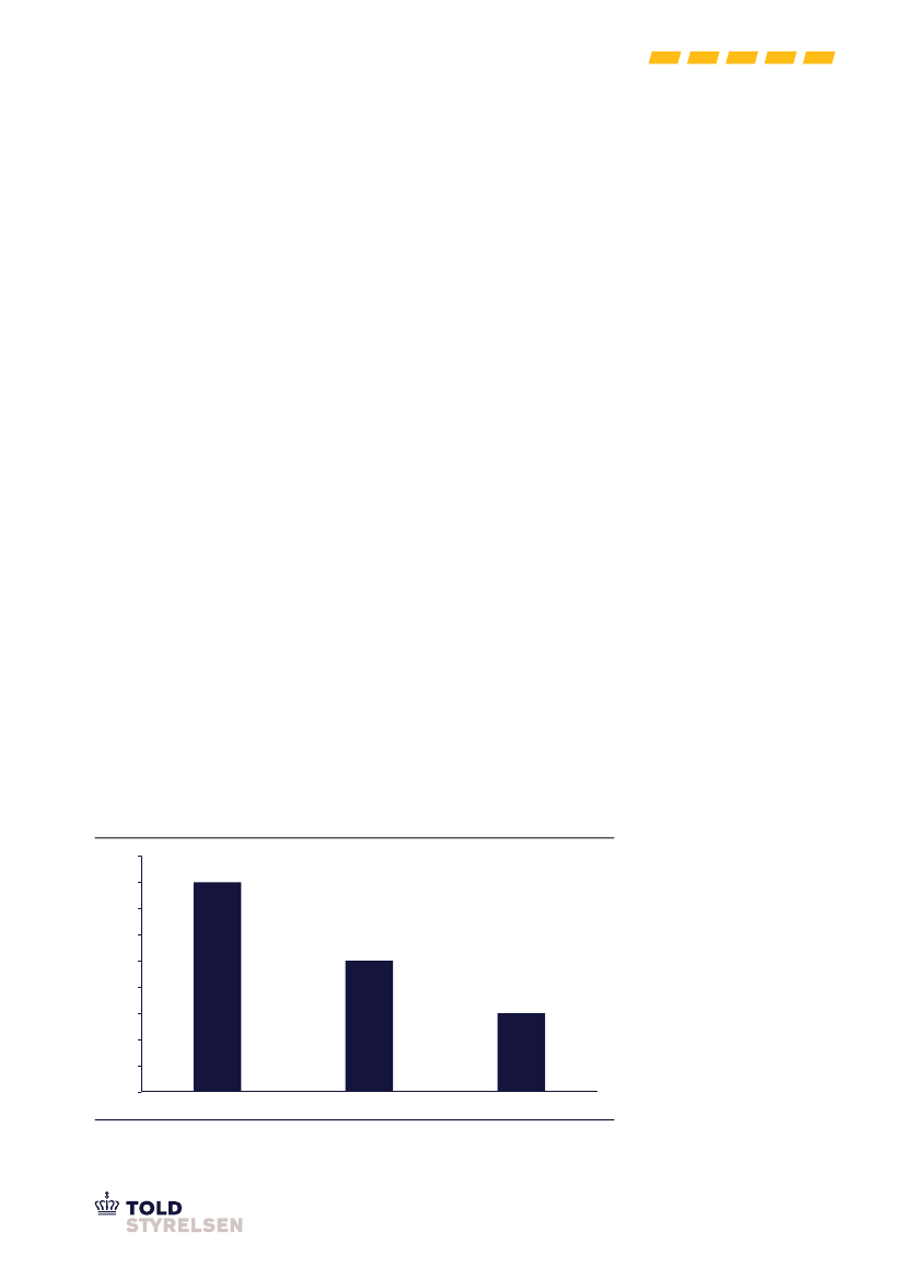
Figur 1. Toldstyrelsens kontrol af værnemidler i tusinde kilo, 2020
1.800
1.600
1.600
1.400
1.200
1.000
1.000
800
600
600
400
200
0
Ansigtsmasker og mundbind
Håndsprit/gel
Handsker, vådservietter mm.
Kilde: Toldstyrelsen.
SAU, Alm.del - 2020-21 - Bilag 225: Publikation fra Toldstyrelsen: Håndtering af værnemidler i Toldstyrelsen
2382610_0002.png
Side 2
Store dele af værnemidlerne passerer grænsen med det samme
Af alle de værnemidler Toldstyrelsen kontrollerede i 2020 kunne ca. 67 pct. pas-
sere grænsen med det samme. Det svarer til ca. 2.200 ton værnemidler. De reste-
rende ca. 1.000 ton værnemidler er straks blevet overdraget til Sikkerhedsstyrel-
sen, Lægemiddelstyrelsen eller Miljøstyrelsen for nærmere vurdering,
jf. figur 2.
Figur 2. Resultat af Toldstyrelsens kontrol af værnemidler i 2020
3 pct.
13 pct.
34 pct.
Ansigtsmasker og mundbind, der
passerede grænsen umiddelbart
efter kontrol
Håndsprit, der passerede
grænsen umiddelbart efter kontrol
Handsker, vådservietter mm., der
passerede grænsen umiddelbart
efter kontrol
Ansigtsmasker og mundbind
overdraget til relevant myndighed
mhp. nærmere vurdering
Håndsprit overdraget til relevant
myndighed mhp. nærmere
vurdering
19 pct.
Handsker, vådservietter mm.
overdraget til relevant myndighed
mhp. nærmere vurdering
67 %
af de kontrollerede værnemidler har
passeret grænsen med det samme
Toldstyrelsen har i samarbejde med
de relevante myndigheder kontrolle-
ret ca. 3.200 ton værnemidler i 2020.
Ca. 2.200 ton har kunnet passere
grænsen med det samme.
17 pct.
14 pct.
Kilde: Toldstyrelsen.
Ca. 51 ton af de tilbageholdte værnemidler viste sig ikke at leve op til de sikker-
hedsmæssige krav. For eksempel manglede medicinske mundbind, som skal
godkendes af Lægemiddelstyrelsen, CE-mærkning, og virksomheden manglede
tilladelser til at importere. De tilbageholdte værnemidler omfatter ca. 2,8 millio-
ner ansigtsmasker og mundbind samt 34 ton håndsprit/gel, der enten er blevet
returneret til afsenderen eller destrueret.
Sikker forsyningskæde til sundhedsvæsenet
Toldstyrelsen var i midten af marts 2020 med til at implementere en transportaf-
tale, der smidiggjorde leveringen af værnemidler (ansigtsmasker, mundbind,
håndsprit, handsker mm.) til brug på landets hospitaler og i den primære sund-
hedssektor, hvor der var akut mangel.
Aftalen omfatter
et ”fast track”,
hvor speditører, der transporterer værnemidler
på vegne af regionernes leverandører, kan blive forhåndsgodkendte af læge-
middelstyrelsen og sikkerhedsstyrelsen. Forsendelser af værnemidler fra de for-
håndsgodkendte speditører vil hurtigt kunne frigives fra toldkontrollen, så de kan
komme ud og gøre gavn i sundhedsvæsenet.
I hele 2020 har medarbejdere fra Sikkerhedsstyrelsen været til stede ved toldlo-
kationen i Kastrup Lufthavn for at bistå med faglig ekspertise i toldkontrollen.
Toldstyrelsen, Sikkerhedsstyrelsen og Lægemiddelstyrelsen har desuden lø-
bende samarbejdet om at sikre en ensartet og koordineret kontrol af medicinske
mundbind. Det tætte myndighedssamarbejde har betydet en fortsat effektiv told-
kontrol samtidig med en hurtig forsyningskæde af værnemidler ind i Danmark.
www.toldst.dk
Toldstyrelsen er en
del af Skatteforvaltningen