Skatteudvalget 2020-21
SAU Alm.del Bilag 186
Offentligt
2361457_0001.png
Marts 2021
Den typiske online-spiller
er en ung mand
Tal fra Spillemyndigheden viser, at langt størstedelen af alle spil-
lerkonti til onlinekasino og -væddemål i Danmark er oprettet af
mænd. Samtidig tilhører kontiene i høj grad mænd under 36 år.
Onlinespil udgør en stadig større del af det danske spilmarked. I 2019 udgjorde forbruget på
onlinekasino og onlinevæddemål omtrent 4 mia. kr., hvilket svarer til 41 pct. af det samlede
danske spilmarked.
For at spille på onlinekasino og -væddemål hos danske udbydere, skal spilleren være fyldt
18 år og bruge NemID for at kunne oprette en konto hos en spiludbyder. Spillemyndigheden
har derfor et større datagrundlag om danske spillere inden for disse to typer af spil end for
andre typer spil, fx de væddemål der spilles på i kiosker. Det giver mulighed for at dykke ned
i data og bliver klogere på, hvad der kendetegner de spillere, der spiller online.
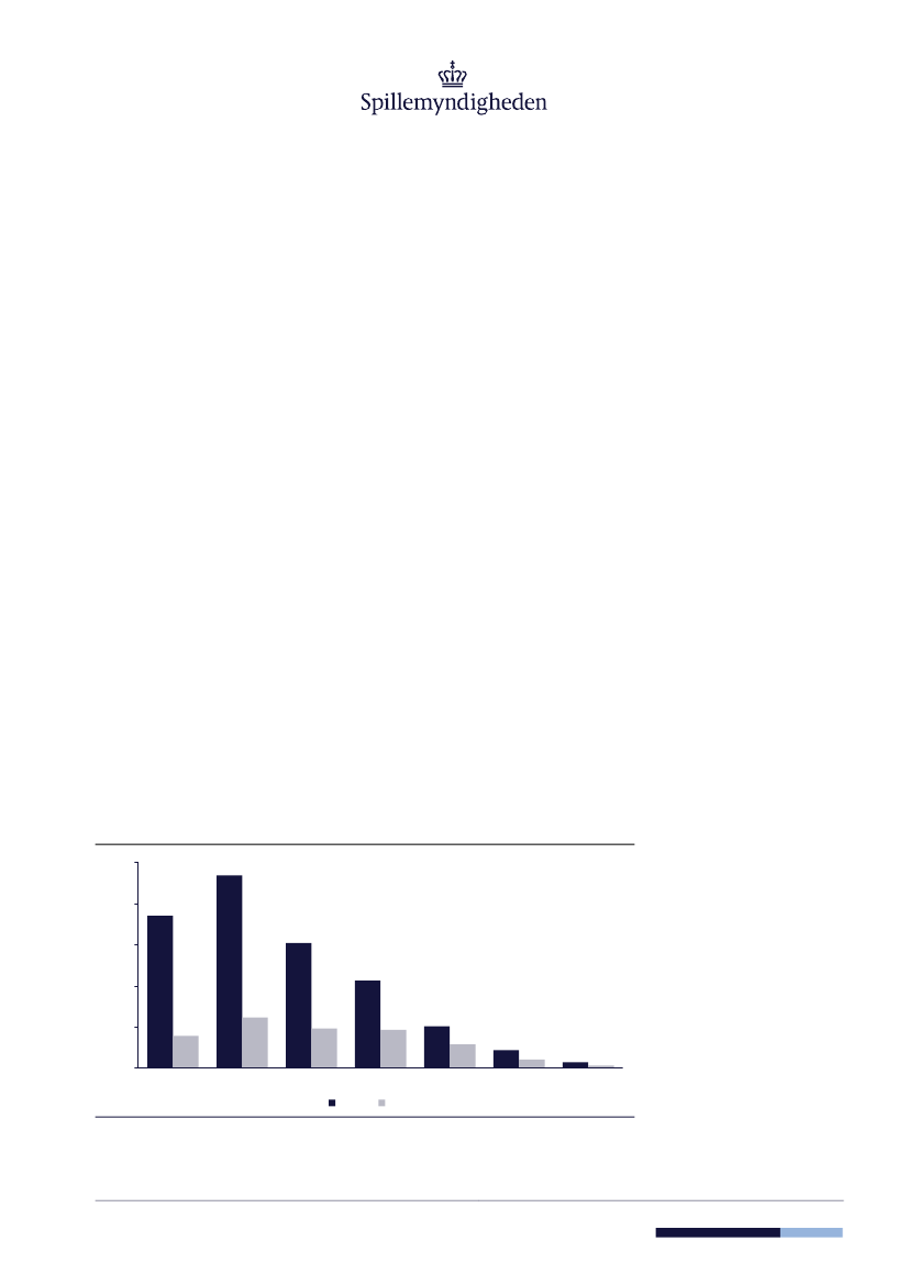
Mænd opretter langt de fleste konti til onlinekasino
76 pct. af alle registrerede konti til onlinekasino er oprettet af mænd. Det svarer til, at tre ud
af fire onlinekasinokonti tilhører mænd. Kontiene tilhører samtidig i høj grad mænd under 36
år, hvor 23 pct. af kontiene tilhører mænd i alderen 26-35 år, og 19 pct. tilhører mænd i alde-
ren 18-25 år,
jf. figur 1.
Tendensen til at spillere under 36 år er overrepræsenterede, er mere udtalt blandt mænd
end blandt kvinder, hvor antallet af konti fordeler sig mere jævnt over aldersgrupperne,
jf.
figur 1.
Figur 1. Andel af onlinekasinokonti fordelt på køn og alder i 2019
25%
19%
15%
15%
11%
10%
6%
5%
4%
5%
5%
5%
3%
2%
1%
0%
18-25 år
26-35 år
36-45 år
46-55 år
Mænd
Kvinder
56-65 år
66-75 år
76+ år
1% 0%
23%
76 %
af alle onlinekasinokonti tilhører mænd
Tal fra Spillemyndigheden viser, at tre ud af
fire onlinekasinokonti tilhører mænd.
20%
Kilde: Årsredegørelser fra tilladelsesindehavere, der udbyder onlinekasino og -væddemål.
SAU, Alm.del - 2020-21 - Bilag 186: Publikation fra Spillemyndigheden - Den typiske online-spiller er en ung mand
2361457_0002.png
Side 2
4 ud af 5 konti til onlinevæddemål er oprettet af mænd
For onlinevæddemål er det overordnede billede det samme som ved onlinekasino. Mænd
under 36 år fylder væsentligt mere end nogen anden gruppe, og 25 pct. af kontiene, altså
hver fjerde, tilhører mænd mellem 26 og 35 år,
jf. figur 2.
Til sammenligning er det kun 5 pct.
af alle kontiene, der tilhører kvinder mellem 26 og 35 år, svarende til 1 ud af 20.
Forskellen mellem kønnene er større for onlinevæddemål end for onlinekasino. For online-
væddemål er hele 81 pct. af kontiene oprettet af mænd. Samtidig tilhører hele 55 pct. af kon-
tiene til onlinevæddemål spillere under 36 år, hvor det tilsvarende tal for onlinekasino er 52
pct.
Figur 2. Andel af væddemålkonti fordelt på køn og alder i 2019
30%
25%
25%
21%
20%
16%
15%
11%
10%
5%
0%
18-25 år
26-35 år
36-45 år
46-55 år
Mænd
56-65 år
66-75 år
76+ år
4%
5%
3%
4%
2%
2%
1%
1% 0%
5%
55 %
af væddemålskonti tilhører personer
under 36 år
Tal fra Spillemyndigheden viser, at mere
end halvdelen af alle væddemålskonti til-
hører spillere under 36 år.
Kvinder
Kilde: Årsredegørelser fra tilladelsesindehavere, der udbyder onlinekasino og -væddemål.
En ung spildebut hænger ofte sammen med spilproblemer
Spillemyndigheden arbejder for at sikre et ordentligt og velreguleret spilmarked i Danmark,
så spil om penge kan foregå forsvarligt. Det indebærer blandt andet at følge og analysere
udviklingen på markedet løbende. Myndigheden er særligt opmærksom på unges spilmøn-
stre, idet erfaring viser, at jo tidligere spildebuten er, desto større er risikoen for at udvikle en
spilafhængighed senere i livet.
Spillemyndigheden administrerer desuden Register Over Frivilligt Udelukkede Spillere (RO-
FUS), hvor danskere kan udelukke sig fra alt onlinespil i kortere eller længere perioder samt
endeligt. Der er ca. 25.000 spillere registreret i ROFUS pr. 1. november 2020.
Spillemyndigheden er også ansvarlig for StopSpillet
en uvildig hjælpelinje om spilaf-
hængighed. Siden åbningen i januar 2019 har over 1.000 personer ringet ind for at få råd og
vejledning om spilafhængighed. Blandt de spillere, der ringer til hjælpelinjen, er der også en
stærk overrepræsentation af unge mænd.
spillemyndigheden.dk