Skatteudvalget 2020-21
SAU Alm.del Bilag 180
Offentligt
2358631_0001.png
Marts 2021
Kontrol med chokolade og
sukkervarer medfører skatte-
opkrævninger for 320 mio. kr.
Skattestyrelsen har siden 2015 foretaget lidt over 3.800
kontroller af chokolade og sukkervarer og fundet en række
overtrædelser med illegal handel. Det har resulteret i skat-
teopkrævninger for godt 320 mio. kr.
Skattestyrelsen arbejder målrettet for at begrænse illegal indførsel og handel med punktaf-
giftspligtige varer, såsom chokolade, slik, kiks og kager. Formålet med kontrolindsatsen er at
afsløre sort økonomi og opkræve manglende skattebetaling. Formålet med indsatsen er sam-
tidig at øge opdagelsesrisikoen og mindske incitamentet til at have illegale varer i
varesortimentet.
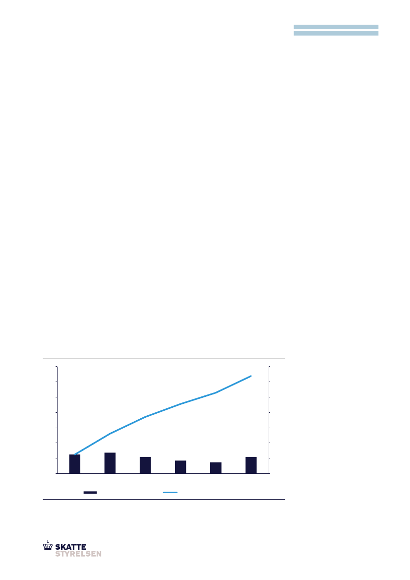
Skattestyrelsens kontrolindsats mod illegalt indførte punktafgiftspligtige chokolade og suk-
kervarer har i perioden fra 2015 til 2020 ført til skatteopkrævninger for samlet ca. 320 mio.
kr.,
jf. figur 1.
Det svarer til, at der i gennemsnit er opkrævet ca. 53 mio. kr. om året i mang-
lende betaling.
Kontrolindsatsens årlige skatteopkrævninger varierer hen over perioden. Det skyldes, at en
enkelt kontrol, der afslører et stort omfang af illegale varer, vil medføre en stor opkrævning,
hvilket giver udslag i de samlede opkrævninger.
Figur 1. Skatteopkrævninger ved kontrol med chokolade og sukkervarer, mio. kr., 2015-2020
350
319
300
250
228
200
185
150
131
100
50
0
2015
2016
Skatteopkrævninger
2017
2018
2019
2020
62
62
100
50
55
43
55
37
0
150
200
265
300
250
350
53 mio.
Gennemsnitlige opkrævninger
Skattestyrelsen har udsendt skatteopkræv-
ninger for manglende afgifter på ca. 320
mio. på seks år, hvilket i gennemsnit svarer
til ca. 53 mio. pr. år.
68
Skatteopkrævninger (akkumuleret)
Kilde: Skattesttyrelsen.
Kontrollen med chokolade og sukkervarer er blevet mere effektiv
SAU, Alm.del - 2020-21 - Bilag 180: Publikation fra Skattestyrelsen: Kontrol med chokolade og sukkervarer udløser skatteopkrævninger
2358631_0002.png
Side 2
Skattestyrelsen har i perioden fra 2015 til 2020 foretaget lidt over 3.800 kontroller af choko-
lade og sukkervarer, hvoraf der er fundet overtrædelser i næsten 2.400 af kontrollerne. Det
giver en gennemsnitlig træfprocent på 63 pct.,
jf. figur 2.
Resultaterne af kontrollerne viser en stigende træfprocent fra 40 pct. i 2015 til 79 pct. i 2019
og 69 pct. i 2020,
jf. figur 2.
Det svarer til en forbedring over hele perioden på 72 pct., og det
viser, at Skattestyrelsens kontroller er blevet mere målrettede.
Antallet af kontroller varierer årligt og er blandt andet afhængig af Skattestyrelsens opgaver i
øvrigt. Fra 2015 til 2020 er der årligt foretaget mellem ca. 550 og lidt over 700 kontroller,
jf.
figur 2.
Der er udført færrest kontroller i 2020, hvilket skyldes, at Skattestyrelsen ikke har
kunnet gennemføre så mange kontroller som planlagt grundet COVID-19-restriktioner. Dog
vidner træfprocenten på 69 pct. om en fortsat målrettet indsats.
Figur 2. Antal kontroller og træf på chokolade og sukkerafgiftspligtige varer, 2015-2020
1.500
79%
1.200
60%
900
40%
624
600
427
300
252
406
393
713
60%
60%
673
574
537
380
20%
684
553
40%
68%
69%
80%
100%
0
2015
2016
Antal Træf
2017
Antal kontroller
2018
2019
Træfprocent
2020
0%
Kilde: Skattestyrelsen.
Afgiftspligtige chokolade og sukkervarer
Ifølge chokoladeafgiftsloven har virksomheder, der fremstiller eller indfører chokolade og
sukkervarer pligt til at betale afgift. Varer, der er afgiftspligtige, er fx chokolade, lakrids, mar-
cipan, tyggegummi samt kiks og kager med sukker- eller chokoladeovertræk. Afgiften afhæn-
ger af, hvor meget sukker varen indeholder.
Boks 1. Hvad er punktafgifter?
Punktafgifter er en mængdeafgift på varer eller ydelser som fx øl, spiritus, emballage og chokolade. Punktaf-
gifter stammer fra 1887, hvor de første love om afgift på spiritus blev vedtaget. Som udgangspunkt skal virk-
somheder registreres for punktafgifter, hvis de fremstiller varer i Danmark eller køber punktafgiftspligtige va-
rer i udlandet. Afgiften beregnes af den fulde vægt af de varer, som er afgiftspligtige.
Eksempel: Indeholder en plade chokolade mere end 0,5 gram sukker pr. 100 gram, skal man betale en afgift
på 25,97 kr. pr. kilo. Det vil sige, at en almindelig chokoladebar, som vejer ca. 50 gram, koster ca. 1,30 kr. i af-
gift.
Læs mere om afgifter og satser her
www.sktst.dk
Skattestyrelsen er en
del af Skatteforvaltningen