Miljø- og Fødevareudvalget 2020-21
MOF Alm.del Bilag 86
Offentligt
2273658_0001.png
BASELINE 2027
FOR UDVALGTE ELEMENTER
Teknisk rapport fra DCE – Nationalt Center for Miljø og Energi
nr. 184
2020
AU
AARHUS
UNIVERSITET
DCE – NATIONALT CENTER FOR MILJØ OG ENERGI
MOF, Alm.del - 2020-21 - Bilag 86: Aarhus Universitets rapport af 3/11-2020 om Baseline 2027 for udvalgte elementer, fra miljøministeren
[Tom side]
MOF, Alm.del - 2020-21 - Bilag 86: Aarhus Universitets rapport af 3/11-2020 om Baseline 2027 for udvalgte elementer, fra miljøministeren
2273658_0003.png
BASELINE 2027
FOR UDVALGTE ELEMENTER
Teknisk rapport fra DCE – Nationalt Center for Miljø og Energi
nr. 184
2020
Gitte Blicher-Mathiesen
1
(redaktør)
Peter Sørensen
2
(redaktør)
Aarhus Universitet, Institut for Bioscience
2
Aarhus Universitet, Institut for Agroøkologi
1
AU
AARHUS
UNIVERSITET
DCE – NATIONALT CENTER FOR MILJØ OG ENERGI
MOF, Alm.del - 2020-21 - Bilag 86: Aarhus Universitets rapport af 3/11-2020 om Baseline 2027 for udvalgte elementer, fra miljøministeren
2273658_0004.png
Datablad
Serietitel og nummer:
Kategori:
Titel:
Redaktører:
Forfattere:
Teknisk rapport fra DCE – Nationalt Center for Miljø og Energi nr. 184
Rådgivningsrapporter
Baseline 2027 for udvalgte elementer
Gitte Blicher-Mathiesen
1
& Peter Sørensen
2
Gitte Blicher-Mathiesen
1
, Peter Sørensen
2
, Troels Kristensen
2
, Hans Estrup Andersen
1
,
Ramus Jes Petersen
1
, Joachim Audet
1
, Henrik Tornbjerg
1
, Jesper H. Christensen
3
,
Thomas Ellerman
3
, Ole-Kenneth Nielsen3, Johannes L. Jensen
2
, Ingrid K. Thomsen
2
,
Jørgen E. Olesen
2
, Birger Faurholt Pedersen
2
, Goswin Heckrath
2
, Per Gundersen
4
Aarhus Universitet,
1
Institut for Bioscience,
2
Institut for Agroøkologi,
3
Institut for
Miljøvidenskab &
4
Institut for Geovidenskab og Naturforvaltning, KU
Aarhus Universitet, DCE – Nationalt Center for Miljø og Energi ©
http://dce.au.dk
2020
2020
se under hvert kapitel
Signe Jung-Madsen
Anne Mette Poulsen
Miljø- og Fødevareministeriet. Kommentarerne findes her:
http://dce2.au.dk/pub/komm/TR184_komm.pdf
Miljøstyrelsen
Blicher-Mathiesen, G. & Sørensen, P. (red). 2020. Baseline 2027 for udvalgte
elementer. Aarhus Universitet, DCE – Nationalt Center for Miljø og Energi, 120 s. -
Teknisk rapport nr. 184
http://dce2.au.dk/pub/TR184.pdf
Gengivelse tilladt med tydelig kildeangivelse
Sammenfatning:
Denne rapport udgør en vurdering af ændring i nitratudvaskning fra rodzonen og i
fosforudledning til ferskvand i 2027 for udvalgte baselineelementer. Vurderingen
viser et forventet fald i nitratudvaskningen for baseline elementerne atmosfærisk
deposition, nedgang i det dyrkede areal, skovrejsning og øgede udbytter og ændring
i den økonomisk optimale norm frem mod 2027. I forhold til fosforudledningen
forventes der et fald i udledningen for de to baselineelementer nedgang i det
dyrkede areal og forventet øget skovrejsning. Rapporten giver desuden en vurdering
af potentialet for kvælstof og fosforfjernelse ved at vådlægge dyrkede
lavbundsarealer på jord med højt indhold af organisk stof samt mulig kvælstofeffekt
af skovrejsning med et klimaformål
Baseline, kvælstof, kvælstofudvaskning, udvikling i landbrug, virkemidler,
tidsforsinkelse
Grafisk Værksted, AU Silkeborg
Kathe Møgelvang
978-87-7156-529-4
2244-999X
120
Rapporten er tilgængelig i elektronisk format (pdf) som
http://dce2.au.dk/pub/TR184.pdf
Institutioner:
Udgiver:
URL:
Udgivelsesår:
Redaktion afsluttet:
Faglig kommentering:
Kvalitetssikring, DCE:
Sproglig kvalitetssikring:
Ekstern kommentering:
Finansiel støtte:
Bedes citeret:
Emneord:
Layout:
Foto forside:
ISBN:
ISSN (elektronisk):
Sideantal:
Internetversion:
MOF, Alm.del - 2020-21 - Bilag 86: Aarhus Universitets rapport af 3/11-2020 om Baseline 2027 for udvalgte elementer, fra miljøministeren
Indhold
Forord
Sammenfatning
Summary
1
2
Indledning
Udvikling og fremskrivning af landbrugs udvikling, metoder,
forudsætninger og usikkerhed for analysen
2.1
2.2
2.3
2.4
3
Udviklingen i landbrugets gødningsforbrug og norm for
kvælstofgødning 2011-2018
Fremskrivning af udvikling i husdyrhold og
afgrødefordeling 2019-2027
Tidshorisont og tidsforsinkelse for hvornår ændringer kan
måles i vandløb
Metode, forbehold, usikkerheder og virkemidlers
skyggeeffekt
5
8
11
15
17
17
20
25
29
32
32
38
41
44
49
51
53
62
63
64
66
70
71
74
77
80
Virkemidler, prognose for udvikling og effekt 2027
Effekt af nedgangen i det dyrkede areal
Skovrejsning
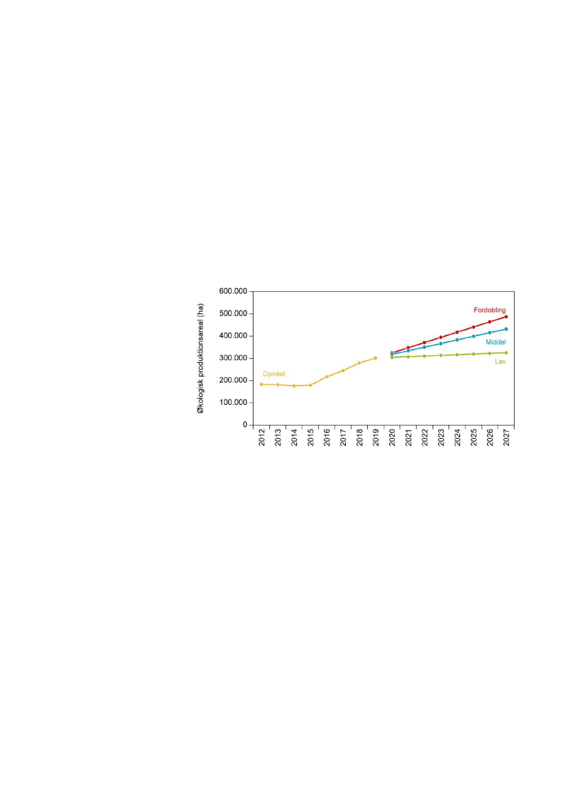
Økologisk jordbrug
Effekter af bioforgasning og genanvendt organisk affald
Fosforlofter
Husdyrefterafgrøder fra husdyrregulering
Fremskrivning af atmosfærisk deposition af kvælstof til
2027
Estimering af betydningen af reduceret deposition af
kvælstof for nitratudvaskningen
3.8 Efterafgrøder
3.9 Slæt i stedet for afgræsning på konventionelle
kvægbrug
3.10 Udvikling i udbytter og i den økonomisk optimale
kvælstofnorm
Samlet effekt på kvælstofnorm
Kvælstofudbytter, kvælstofbalance og nitratudvaskning
3.11 Reference for nitratudvaskning i 2017
3.12 Samlet effekt af opdatering af baseline i 2027 fordelt på
hovedvandområder
3.1
3.2
3.3
3.4
3.5
3.6
3.7
4
Klima
4.1
4.2
4.3
Udtagning af lavbundsarealer fra landbrugsproduktion
Klimaets påvirkning af kvælstofudledning
Skovrejsning med et klimaformål
80
94
99
101
104
5
6
Konklusion
Referencer
MOF, Alm.del - 2020-21 - Bilag 86: Aarhus Universitets rapport af 3/11-2020 om Baseline 2027 for udvalgte elementer, fra miljøministeren
Bilag 1a: Opgavebeskrivelse fra Miljøstyrelsen
Bilag 1b: Tillæg til opgavebeskrivelsen fra Miljøstyrelsen
113
118
MOF, Alm.del - 2020-21 - Bilag 86: Aarhus Universitets rapport af 3/11-2020 om Baseline 2027 for udvalgte elementer, fra miljøministeren
2273658_0007.png
Forord
Miljøstyrelsen (MST) har primo 2019 bestilt en baselinefremskrivning til 2027,
hvor effekter af udvalgte elementer på udvikling i nitratudvaskning fra rodzo-
nen og udledning af fosfor til ferskvand opgøres. Med baseline menes i denne
sammenhæng effekten af allerede vedtagne initiativer (virkemidler m.m.) samt
øvrig udvikling i erhvervet og i klimaet, som kan få indflydelse på næringsstof-
tab fra de dyrkede arealer i 2027. Bestillingen fremgår af bilag 1 og 2.
Effekten af de udvalgte baselineelementer, som Aarhus Universitet vurderer,
skal sammen med effekten af øvrige virkemidler, som Miljø- og Fødevaremi-
nisteriet vurdere, danne et samlet grundlag for, hvor meget nitratudvaskning
og fosforudledningen forventes at ændre sig frem til 2027. Disse tal er vigtige,
når der skal fastlægges et indsatsbehov og program, der skal sikre den reduk-
tion i udledning af næringsstoffer, som er nødvendig for at opfylde vandram-
medirektivets målsætning om god økologisk tilstand.
I baseline udarbejdes en fremskrivning for ændring i næringsstofudlednin-
gerne i 2027, og dermed er baseline 2027 et vigtig afsæt i forhold til Miljø- og
Fødevareministeriets vurdering af om der skal implementeres flere virkemid-
ler i specifikke vandoplande, der afvander til sårbare kystvande, eller om mål-
sætning for næringsstofudledningen forventes opfyld med allerede vedtagne
initiativer. Viser den samlede baselinefremskrivningen, at målet for reduktion
i næringsstofudledningen forventes at blive nået i 2027, skal der ikke imple-
menteres yderligere virkemidler. Og omvendt, hvis udledningen af nærings-
stoffer er for høj, skal der implementeres yderligere virkemidler for at redu-
cere udledning af nitrat og fosfor. Derfor er det også vigtigt at se på den geo-
grafiske fordeling af virkemidlernes effekt. Virkemidlernes effekt på nitratud-
vaskning og fosforudledning er derfor beregnet for 23 hovedvandoplande.
I forbindelse med udarbejdelse af de nye vandområdeplaner er der justeret i
afgrænsningen af de 23 hovedvandoplande for de seks oplande: 1.10 Vadeha-
vet, 2.3 Øresund, 2.5 Smålandsfarvet, 2.6 Østersøen og 4.1 Vidå-Kruså (se fi-
gur F.1). I nærværende baselinerapport er effekterne generelt fordelt ud fra
samme oplandsafgrænsning som i vandområdeplaner 2015-2021, men for at
illustrere betydningen af den justerede afgrænsning for de seks oplande til
næste vandområdeplan er der suppleret med beregning af referenceudvask-
ning og effekt af nedgang i det dyrkede areal med de justerede oplandsaf-
grænsninger (se desuden afsnit 3.1 og 3.11).
I februar 2020 udgav Aarhus Universitet en opdatering af baseline 2021
https://dce2.au.dk/pub/TR162.pdf.
Heri blev den generelle udvikling i
landbrugsproduktionen og udvalgte virkemidlers effekt på nitratudvaskning
vurderet for perioden 2012-2021.
I nærværende baseline 2027 indgår en fremskrivning af landbrugsproduktionen
og afledt effekt på husdyrhold og afgrødefordeling i perioden fra 2018 til 2027.
Som en central del af baseline indgår fremskrivningen på nitratudvaskning for
følgende virkemidler: nedgang i det dyrkede areal, skovrejsning, økologisk jord-
brug, bioforgasning og genanvendt organisk affald, deposition af kvælstof, ud-
vikling i udbytter og afgrøders kvælstofnorm for gødningstildeling. For alle de
nævnte elementer og virkemidler er der udarbejdet en fremskrivning for effekt
5
MOF, Alm.del - 2020-21 - Bilag 86: Aarhus Universitets rapport af 3/11-2020 om Baseline 2027 for udvalgte elementer, fra miljøministeren
2273658_0008.png
på nitratudvaskning i 2027, beregnet som den ændring i nitratudvaskning fra
rodzonen, der forventes at ske inden for en 5-10 års tidshorisont.
Figur F.1.
Geografisk
afgrænsning af de 23 hovedvand-
oplande. De farvede oplande viser
den geografiske afgrænsning i
vandområdeplaner 2015-2021.
Den grå linje i oplandene 1.10, 2.5
og 2.4 viser ændringen i den geo-
grafiske afgrænsning i vandområ-
deplaner 2021-2027.
Det betyder, at AU ikke har inkluderet følgende specifikke virkemidler: MFO,
udtagning af lavbund, vådområder, P-vådområder og minivådområder, som
blev vedtaget med vandområdeplaner 2015-2021. Vurdering af målrettede ef-
terafgrøder og en mulig fortsættelse af disse indgår heller ikke i nærværende
baseline 2027. Det betyder, at nærværende rapport ikke giver en samlet frem-
skrivning for alle relevante virkemidler, men alene for de førnævnte udvalgte
elementer.
For nedgang i dyrket areal, skovrejsning og fosforlofter er der udarbejdet en
fremskrivning for effekt på fosforudledning. Det vurderes, at de øvrige base-
lineelementer kun i begrænset omfang vil påvirke fosforudledning, fordi fosfor
generelt bindes i jorden, og der derfor ikke, som for kvælstof og nitrat, er en
entydig robust sammenhæng mellem tilført næringsstof og udvasket fosfor.
Desuden indgår en beskrivelse af klimaets udvikling og mulige afledte effekter
på nitratudledning, og der er hertil desuden udarbejdet en beskrivelse af poten-
tialet for kvælstoffjernelse ved udtagning af kulstofrige lavbundsjorde gennem
hævet vandstand m.v. på disse arealer.
6
MOF, Alm.del - 2020-21 - Bilag 86: Aarhus Universitets rapport af 3/11-2020 om Baseline 2027 for udvalgte elementer, fra miljøministeren
Fremskrivningen af effekt af virkemidler kan være behæftet med betydelig
usikkerhed, særligt hvor effekten afhænger af internationale økonomiske
konjunkturer, og om andre lande opfylder vedtagne konventioner. Derfor an-
befaler Aarhus Universitet, at der gennemføres en midtvejsevaluering, i takt
med at der sker ændringer i landbrugets udvikling og regulering, som kan
påvirke de beregnede estimater for nitratudvaskning og fosforudledning. Der
kan desuden forekomme en skyggeeffekt af ét virkemiddel på effekten af et
andet virkemiddel. Denne skyggeeffekt er kun overordnet beskrevet i denne
rapport i afsnit 2.4.
Den fulde effekt af virkemidlerne på rodzoneudvaskning vil ske med en vis
tidsforsinkelse. Derfor vil effekten af baseline ikke have den fulde estimerede
effekt inden for baselineperioden frem til 2027 og ej heller med ligelig fordeling
over årene. Den fulde effekt af virkemidlerne på udledning af næringsstofferne
vil først opnås efter nogle år på den anden side af 2027.
I løbet af projektperioden har der været afholdt statusmøder med deltagelse af
Miljøstyrelsen og Landbrugsstyrelsen, hvor data og forudsætninger anvendt i
nærværende rapport om baseline 2027 blev drøftet. Desuden har der i forbin-
delse med projektet været afholdt møder i en nedsat følgegruppe for interes-
senter med deltagelse fra SEGES, Danmarks Naturfredningsforening, Land-
brug og Fødevare, Bæredygtigt Landbrug, Orbicon, Danske Vandløb og Lim-
fjordsrådet, hvor datagrundlag og foreløbige resultater er blevet præsenteret.
Miljø- og Fødevareministeriet har haft mulighed for at kommentere på udkast
til rapporten.
7
MOF, Alm.del - 2020-21 - Bilag 86: Aarhus Universitets rapport af 3/11-2020 om Baseline 2027 for udvalgte elementer, fra miljøministeren
Sammenfatning
Miljøstyrelsen (MST) har primo 2019 bestilt en baselinefremskrivning til 2027,
hvor effekter af udvalgte elementer på udvikling i nitratudvaskning fra rod-
zonen og udledning af fosfor til ferskvand opgøres. Med baseline menes i
denne sammenhæng effekten af allerede vedtagne initiativer samt øvrig ud-
vikling i erhvervet og i klimaet, som kan få indflydelse på næringsstoftab fra
de dyrkede arealer i 2027. Bestillingen fremgår af bilag 1a og 1b.
Effekten af de udvalgte baselineelementer, som Aarhus Universitet her vur-
derer, skal sammen med målbelastning og effekten af øvrige virkemidler, som
Miljø og Fødevareministeriet vil vurdere, danne et samlet grundlag for, hvor
meget nitratudvaskning og fosforudledningen forventes at ændre sig frem til
2027. Disse tal er vigtige, når der skal fastlægges et indsatsbehov og program,
der skal sikre reduktion i udledning af næringsstoffer, som er nødvendig for
at opfylde vandrammedirektivets målsætning om god økologisk tilstand.
Miljøstyrelsen har desuden bedt om en vurdering af kvælstofeffekter ved an-
vendelse af virkemidlerne skovrejsning og udtagning af lavbundsarealer med
klimaformål.
I nærværende baselinerapport er effekterne generelt fordelt ud fra samme op-
landsafgrænsning som i vandområdeplaner 2015-2021, som også blev an-
vendt i Baseline 2021. I forbindelse med udarbejdelse af de nye vandområde-
planer er der justeret i afgrænsningen af de 23 hovedvandoplande for føl-
gende seks oplande: 1.10 Vadehavet, 2.3 Øresund, 2.5 Smålandsfarvet, 2.6
Østersøen og 4.1 Vidå-Kruså (se figur F.1). For at illustrere betydningen af de
justerede afgrænsninger for de seks oplande er der suppleret med beregning
af referenceudvaskning og effekt af nedgang i det dyrkede areal med de ju-
sterede oplandsafgrænsninger (se desuden afsnit 3.1 og 3.11).
I nærværende rapport er effekterne beregnet for tre scenarier for fremskriv-
ning af husdyrholdet og afledte effekter på afgrødefordeling og produktion
af husdyrgødning. Ved den gennemsnitlige udvikling i den animalske pro-
duktionen øges kvælstof i husdyrgødning med 8 mio. kg N, mens det for de
to øvrige scenarier vil være henholdsvis et fald på 20 mio. kg N og en stigning
på 35 mio. kg N til i alt 258 mio. kg N. Mængder i disse beregninger er N ab
dyr, hvorfor der skal fratrækkes tab i stald og lagre for at få ændringen i N
tildelt markerne. Generelt angives et tab fra kvæg og svin på 21,7 mio. kg N,
svarende til 10 % af N ab dyr. Det forudsættes, at antallet af husdyrefterafgrø-
der også fremover fastsættes, så disse kompenserer en øget udvaskning ved
anvendelse af mere ikke udnyttet husdyrgødning og at der derfor ikke vil
komme øget nitratudvaskning grundet et forbrug af husdyrgødning.
Der er gennemført en vurdering af baselineelementerne: Nedgang i det dyr-
kede areal, skovrejsning, øget økologiske produktion, anvendelse af biofor-
gasning og af genanvendt affald, nedgang i atmosfærisk deposition, slæt frem
for afgræsning, udvikling i udbytter og i de økonomisk optimale kvælstofnor-
mer. Scenarier for den animalske produktion er indarbejdet i fremskrivning
af slæt frem for afgræsning og i udvikling i udbytter og den økonomiske op-
timale gødningsnorm. Der er vurderet to scenarier for skovrejsning henholds-
vis en stigning på 17.100 ha, hvor skovrejsningen har samme stigning som
hidtil samt en stigning på 28.800 ha, som er et scenarie for en politisk målsæt-
ning om, at skovrejsningen fordobles frem til 2070-2090. De to scenarier for
8
MOF, Alm.del - 2020-21 - Bilag 86: Aarhus Universitets rapport af 3/11-2020 om Baseline 2027 for udvalgte elementer, fra miljøministeren
2273658_0011.png
skovrejsning har betydning for beregningen af nedgang i det dyrkede areal,
hvorfor der også er beregnet to scenarier for dette virkemiddel.
Vurdering af effekt på nitratudvaskning for de enkelte baselineelementer er
sammenfattet i tabel 1. Forventede ændringer i nitratudvaskningen er, hvor det
er muligt, angivet som et usikkerhedsinterval, hvor minimum indikerer ”den
mindst mulige reduktion af udvaskningen”, og maksimum indikerer ”den hø-
jest mulige reduktion af udvaskningen”. Udvikling i udbytter er opgjort sam-
men med udviklingen i de økonomisk optimale kvælstofnormer, idet der er en
kobling mellem øgede udbytter og øgede normer. Det vurderes endvidere som
i seneste baseline for 2021, at udvaskningen bedst estimeres på grundlag af for-
skellen mellem udviklingen i kvælstofnormer og kvælstofudbytter. Fremskriv-
ning af effekten af øget bioforgasning, øget anvendelse af organisk affald og af
mere slæt frem for afgræsning ligger under bagatelgrænsen på 100 ton N og er
derfor ikke medtage i oversigten for effekt på nitratudvaskning i tabel 1. For
disse elementer er ændring i nitratudvaskning fra rodzonen ej heller fordelt på
de 23 hovedvandoplande.
Nærværende vurdering af baselineelementer (tabel 1) viser et forventet fald i
nitratudvaskningen frem mod 2027 som følge af nedgang i den atmosfæriske
deposition af kvælstof, som afhænger af, hvorvidt prognoserne for udviklin-
gen i emissionerne af kvælstof holder stik, og af at EU-landene overholder de
med NEC-direktivet vedtagne emissionslofter for 2027/2030. Derudover for-
ventes det især, at udvikling i det økologiske areal og nedgangen i det dyr-
kede areal og skovrejsning bidrager til en mindre udvaskning frem mod 2027.
Der er betydelig usikkerhed omkring effekter af udvikling i kvælstofnormer
og kvælstofudbytter på nitratudvaskningen, især i forhold til udvikling i af-
grødesammensætningen. Derimod forventes en øget nitratudvaskning grun-
det øget afstrømning betinget af klimaændringer.
Tabel 1.
Fremskrivning af effekten på landsplan af udvalgte baselineelementer på nitratudvaskningen i 2027. Positive værdier
angiver et fald i nitratudvaskningen og negative værdier en stigning i nitratudvaskningen. For elementerne ”skovrejsning” og
”økologi” er der angivet flere scenarier, hvor valg af scenarier afhænger af den politiske beslutning, der træffes om f.eks. mere
økologi eller tilskud til skovrejsning. Hvad ”kvælstofdeposition” angår, repræsenterer scenarierne en usikkerhed i forhold til, om
de enkelte lande kan overholde de fastsatte lofter for udledning.
Kvælstof
Arealændring
2017/18-2027
( ha)
Virkemiddel mm.
Nedgang i dyrket areal (skovrejsning Scenarie 1)
Nedgang i dyrket areal (skovrejsning Scenarie 2)
Skovrejsning Scenarie 1
Skovrejsning Scenarie 2
Økologi høj vækst (politisk målsætning)
Økologi middel vækst
Økologi lav vækst
Kvælstofdeposition Scenarie 1
Kvælstofdeposition Scenarie 2
Udvikling i udbytter og økonomisk optimal norm (standard)
Udvikling i udbytter og økonomisk optimal norm (lav)
Udvikling i udbytter og økonomisk optimal norm (høj)
91.900
80.200
17.100
28.800
208.000
153.000
46.000
hele arealet
hele arealet
landbrugsarealet
landbrugsarealet
landbrugsarealet
min.
4.460
3.900
887
1.495
2.080
1.523
458
1.718
2.728
-121
1.155
-1.941
Prognose for udvaskningseffekt
i rodzonen i 2027
(ton N)
maks.
4.680
4.090
887
1.495
3.536
2.590
779
2.050
3.256
1.378
3.178
-304
9
MOF, Alm.del - 2020-21 - Bilag 86: Aarhus Universitets rapport af 3/11-2020 om Baseline 2027 for udvalgte elementer, fra miljøministeren
2273658_0012.png
I forhold til fosforudledningen forventes der et fald i udledningen for begge
baselineelementer nedgang i det dyrkede areal og forventet øget skovrejsning
(tabel 2.). Også her afhænger størrelsen af den politiske målsætning, der læg-
ges til grund for beregningen.
Tabel 2.
Fremskrivning af effekten på landsplan af baselineelementerne ”nedgang i dyrket
areal” og ”skovrejsning” på fosforudledningen i 2027. For baselineelementet ”nedgang i
dyrket areal” er der angivet to scenarier, idet effekten afhænger af, hvor stort arealet med
skovrejsning forventes at blive i 2027. Positive værdier angiver et fald i fosforudledningen.
Fosfor
Arealændring
2018 -2027
(ha)
Baselineelement
Nedgang i dyrket areal (skovrejsning Scenarie 1)
Nedgang i dyrket areal (skovrejsning Scenarie 2)
Skovrejsning Scenarie 1
Skovrejsning Scenarie 2
91.900
80.200
17.100
28.800
24.900
21.700
800
1.300
24.900
21.700
800
1.300
Prognose for udled-
ning til ferskvand i
2027
(kg P)
En væsentlig del af den forventede baselineeffekt vil ikke have fuld virkning
i 2027, idet den forventede effekt på nitratudvaskningen er vurderet som ef-
fekten, der fremkommer inden for en tidshorisont på 5-10 år. Hertil skal yder-
ligere lægges, at der optræder en vis tidsforsinkelse fra, at virkemidler imple-
menteres, til de reelt har en effekt på udvaskning fra rodzone og udledning
til kystvande, samt at den aktuelle udledning desuden er påvirket af år-til-år-
variation i vejrforhold.
Baselineeffekten er udarbejdet som en fremskrivning for udviklingen, og der
er derfor knyttet en vis usikkerhed til, om den aktuelle udvikling afviger fra
denne forudsatte udvikling. Derfor anbefaler AU, at der løbende følges op på,
om udviklingen sker som forventet. I nærværende vurdering indgår ikke ef-
fekt af at udnyttelseskravene for husdyrgødning er blevet skærpet fra plan-
perioden 2020/2021, idét vedtagelse af dette element indtraf efter afgræns-
ning af nærværende bestilling.
Det er vigtig at se på, om der kommer nye tiltag, der vil reducere nitratud-
vaskning og fosforudledning, bl.a. nye tiltag til at opfylde Danmarks målsæt-
ning om mindre CO
2
-udledning. I denne baseline 2027 indgår en overordnet
beskrivelse af potentialet for kvælstoffjernelse ved at vådlægge og udtage kul-
stofrige lavbundsjord fra landbrugsproduktion, som forventes at udgøre væ-
sentlige tiltag i forhold til at opfylde målsætningen om reduktion af landbru-
gets klimabelastning. Desuden beskrives, at der i dag er begrænset viden om
udvaskning ved klimatilpasset skovrejsning på landbrugsjord, og effekt af
dette baselineelement kan ikke opgøres mere specifikt end den vurderede ud-
vaskningseffekt fra almindelig skovrejsning på landbrugsjord.
I denne baseline er det desuden vist, at øget afstrømning samt store år-til-år
variationer i bl.a. nedbør og temperatur kan modvirke og skygge for effekten
af virkemidler og baselineelementer, og at forsinkelser i kvælstofomsætning
og i vandets transportveje fra mark til kystvande kan have en betydning. Re-
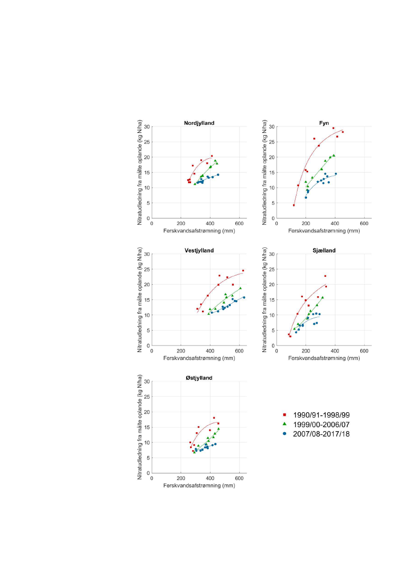
gionale opgørelser af den afstrømningsvægtede total N- og nitratkoncentra-
tion i det afstrømmende vand til kystvande for målte oplande viser, at netop
år-til-år variationen er stor i de to regioner Fyn og Sjælland, og at ændringer i
disse koncentrationer derfor bør ses over en årrække for til at kunne evaluere
virkemidlers effekt på kvælstofudledning til kystvande.
10
MOF, Alm.del - 2020-21 - Bilag 86: Aarhus Universitets rapport af 3/11-2020 om Baseline 2027 for udvalgte elementer, fra miljøministeren
Summary
In the beginning of 2019, the Danish Environmental Protection Agency (EPA)
requested a baseline projection for 2027, predicting the effects of selected ele-
ments on the development of nitrate leaching from the root zone and the load
of phosphorus to streams and lakes in Denmark. In this context, the term “base-
line” covers the effect of measures already adopted (instruments etc.) and other
developments in agriculture that may affect the loss of nitrogen (N) and phos-
phorous (P) from cultivated areas. (See appendices 1a and 1b for details).
The effect of the selected baseline elements as assessed by Aarhus University
will together with the effect of other measures assessed by the Danish Minis-
try of Environment and Food form an overall basis for the expected change in
nitrate leaching and phosphorus load from agriculture up to 2027. These esti-
mates are important when assessing the need for action and a programme to
ensure a reduction in nutrient loads, which is necessary in order to comply
with the EU Water Framework Directive’s objective of good ecological status.
The Danish Environmental Protection Agency has also requested an assess-
ment of the effects on nitrogen loss using the measures “afforestation” and
”stop of cultivation of agricultural areas located on soil having high organic
matter“ for a climate mitigation purpose.
In this baseline report, the effects are generally allocated based on the same
catchment delineation as in vandområdeplaner 2015-2021, which was also
used in baseline 2021. In connection with the preparation of the new water
area plans, the delineation of the 23 main water catchments was adjusted for
the following six catchment areas: 1.10 The Vadehavet, 2.3 Øresund, 2.5
Smålandshavet, 2.6 Baltic Sea and 4.1 Vidå-Kruså (see figure F.1). In order to
illustrate the importance of the adjusted delineation for the six catchment ar-
eas, estimations of the reference leaching and the effect of the reduction of the
cultivated area were made relative to the adjusted catchment delineation (see
also sections 3.1 and 3.11).
In this report, a prognosis for three alternative scenarios for the projection of
agricultural production and the derived effect on crop distribution and the
production of animal manure has been used as basis. With the scenario “av-
erage development of animal production”, nitrogen in animal manure will
increase by 8 million kg N, while for the two other scenarios there will be a
decrease of 20 million kg N and an increase of 35 million kg N to a total of 258
million kg N in excreted manure. These numbers describe excretion of N from
animals, and therefore loss in stables and storage must be deducted in order
to obtain the change for fields. Albrektsen et al. (2017) estimates a loss in sta-
bles and storage from cattle and pigs corresponding to 10% of N excreted from
livestock. In the calculation it is assumed that the number of catch crops, pres-
ently used for counteracting increased nitrate leaching losses by use of animal
manure, are adjusted to the future change in production of animal manure N.
The following baseline elements have been assessed: decrease in the culti-
vated area, afforestation, increased organic production, use of anaerobic di-
gestion (biogas) and recycled wastes, decline in atmospheric deposition, har-
vesting of grass silage rather than grazing, development in crop yields and
economically optimal nitrogen norms. The different scenarios for forecasted
animal production have been incorporated into the projection of cutting of
11
MOF, Alm.del - 2020-21 - Bilag 86: Aarhus Universitets rapport af 3/11-2020 om Baseline 2027 for udvalgte elementer, fra miljøministeren
2273658_0014.png
grass silage rather than grazing and in the development of yields and the eco-
nomically optimal fertiliser norm. Two scenarios are assessed for afforesta-
tion, one with an expected increase in afforestation of 17,100 ha, which is
equivalent to the growth rate in afforestation since 2000 until 2017 and a sec-
ond scenario with an increase of 28.800 ha, which is the political target for
increase in forests.
The two scenarios for afforestation affects the element decrease in cultivated
area, thus this element is also calculated with two scenarios.
The assessment of the effect on nitrate leaching for the individual baseline ele-
ments is summarised in table 1. Expected changes in nitrate leaching are, where
possible, indicated as an interval on the basis of an uncertainty assessment,
where minimum indicates “the least possible reduction of leaching” and maxi-
mum indicates “the highest possible reduction of leaching”.
Table 1.
Projection of the national impact of selected baseline elements on nitrate leaching in 2027. Positive values indicate a
decrease in nitrate leaching and negative values an increase in nitrate leaching. For the elements “afforestation" and "organic
farming", several scenarios are shown, where the selection of scenarios depends on the political decisions made about, for ex-
ample, more financial support to organic farming or afforestation. As far as "nitrogen deposition" is concerned, the scenarios
represent uncertainty as to whether the individual neighbour countries can comply with the established discharge limits.
Nitrogen
Area change
2017/18-2027
(ha)
Measure etc.
Decrease in cultivated area (afforestation Scenario 1)
Decrease in cultivated area (afforestation Scenario 2)
Afforestation Scenario 1
Afforestation Scenario 2
Organic farming high growth (political objective)
Organic farming mean growth
Organic farming - low growth
Nitrogen deposition Scenario 1
Nitrogen deposition Scenario 2
Development in crop yields and economic optimal norm (standard)
Development in crop yields and economically optimal norm (low)
Development in crop yields and economically optimal norm (high)
91,900
80,200
17,100
28,800
208,000
153,000
46,000
Whole area
Whole area
Cultivated area
Cultivated area
Cultivated area
min.
4,460
3,900
887
1,495
2,080
1,523
458
1,718
2,728
-121
1,155
-1,941
Prognosis of the effect of leaching
in the root zone in 2027
(ton N)
max.
4,680
4,090
887
1,495
3,536
2,590
779
2,050
3,256
1,378
3,178
-304
The development of crop yields is calculated together with the development
of the economically optimal nitrogen norms as there is a link between in-
creased yields and increased norms. It is also assumed that the leaching is best
estimated on the basis of the difference between the development of nitrogen
norms and nitrogen yields (change in surface field nitrogen balance).
This assessment of baseline elements (table 1) shows an expected decrease in
nitrate leaching up to 2027 as a result of a reduction in the atmospheric depo-
sition of nitrogen, which depends on the prognosis for the development of
nitrogen emissions and on the EU countries’ complying with the emission
ceilings adopted by the NEC directive for 2027/2030. In addition, it is ex-
pected, in particular, that development in the organic farming area and the
12
MOF, Alm.del - 2020-21 - Bilag 86: Aarhus Universitets rapport af 3/11-2020 om Baseline 2027 for udvalgte elementer, fra miljøministeren
2273658_0015.png
decline in the cultivated area and afforestation will contribute to lower nitrate
leaching towards 2027. There is considerable uncertainty about the effects of
the development of nitrogen norms and nitrogen yields on nitrate leaching,
especially in relation to the development of the crop composition. However,
increased nitrate leaching is expected due to increased climate-related nitro-
gen load. Expected decrease in nitrate leaching for further use of biogassing
and of waste product as well as increase in cut of silage instead of grazing was
evaluated to be below 100 t N and is therefore below an unsecure minimum
target. The numbers for those baseline elements are not include in table 1 and
the effect is neither distributed to the 23 main catchments.
A significant part of the expected baseline effect will not have full impact in
2027 as the expected impact on nitrate leaching is assessed as the effect ap-
pearing within a time frame of 5-10 years. It should also be added that there
will be a certain time delay from the implementation of the measure until an
actual effect can be observed on the leaching from the root zone and the load
to coastal waters, and the actual leaching is also affected by year-to-year var-
iations in weather conditions, cf. section 2.6 on time frame and time delay.
Table 2.
Projection of the effect of the baseline elements "decrease in cultivated area" and
"afforestation" on the phosphorus load in 2027. For the baseline element "decrease in cul-
tivated area", two scenarios are given as the effect depends on how large the area of af-
forestation is expected to be in 2027. Positive values indicate a reduction of the phospho-
rus load.
Phosphorus
Area change
2018-2027
(ha)
Measure
Decrease in cultivated area (afforestation Sce-
nario 1)
Decrease in cultivated area (afforestation Sce-
nario 2)
Afforestation Scenario 1
Afforestation Scenario 2
80,200
17,100
28,800
21,700
800
1,300
21,700
800
1,300
91,900
24,900
24,900
Projection for load
into freshwater 2027
(kg P)
In relation to phosphorus, a decline of the load is expected for both of the
baseline elements “cultivated area” and “afforestation” (table 2). Also here,
the extent of the decrease depends on the political objective forming the basis
for the calculation.
The baseline effect has been assessed as a future projection, and there is there-
fore a certain degree of uncertainty as to whether the actual development will
deviate from the projected development. Therefore, AU recommends follow-
up assessments to be made of whether the development follows the expecta-
tions. It is also important to look at whether new measures will be introduced
to reduce the nitrate leaching and phosphorus load, including new measures
to meet Denmark’s objective of lover CO
2
emissions. In this baseline 2027, an
overall description is included of the potential for nitrogen and phosphorous
removal by wetting and removing carbon-rich lowland areas from agricul-
tural production, two expectedly significant measures for achieving the objec-
tive of reducing the agricultural climate impact.
13
MOF, Alm.del - 2020-21 - Bilag 86: Aarhus Universitets rapport af 3/11-2020 om Baseline 2027 for udvalgte elementer, fra miljøministeren
In this baseline, it has also been shown that increased runoff and large year-
to-year variations in e.g. precipitation and temperature can counteract and
overshadow the effect of measures and baseline elements and that delays in
nitrogen turnover and in the water's transport routes from field to coastal wa-
ters may have an impact as well. Regional calculations of flow-weighted total
N and nitrate concentrations in the discharged water to coastal waters for
catchments with gauging stations show that the year-to-year variation is large
in the two regions of Funen and Zealand and that changes in the flow-
weighted concentrations therefore should be seen over a number of years to
evaluate the effect of measures on the nitrogen load into coastal waters.
14
MOF, Alm.del - 2020-21 - Bilag 86: Aarhus Universitets rapport af 3/11-2020 om Baseline 2027 for udvalgte elementer, fra miljøministeren
1
Indledning
Denne baseline 2027-rapport udgør AU’s vurdering af udvalgte virkemidlers
effekt på nitratudvaskning fra rodzonen og på fosforudledning til ferskvand
til og med 2027 i forhold til deres effekt i 2018. Med baseline menes i denne
sammenhæng effekten af allerede vedtagne initiativer (virkemidler m.m.)
samt øvrig udvikling i erhvervet og i klimaet, som kan få indflydelse på æn-
dringer i næringsstoftab fra de dyrkede arealer i perioden 2018 til 2027. Bestil-
lingen frem går af Bilag 1.
I denne baseline fremskrives udviklingen frem til 2027 for landbrugsproduk-
tionen og baselineelementerne; nedgang i dyrket areal, skovrejsning, udvik-
ling i økologisk dyrkning, udvikling i deposition af kvælstof samt udvikling i
udbytter og kvælstofnormer. Det betyder, at året 2018 udgør et referenceår
både for landbrugsproduktionen, det dyrkede areal og forbruget af gødning,
mens den gennemsnitlige nitratudvaskning foreløbigt er opgjort for 2017.
Den gennemsnitlige nitratudvaskning anvendes som reference til at beregne
effekt af elementernes nedgang i det dyrkede areal og skovrejsning, idet bag-
grundudvaskning for skov rejst på landbrugsjord og andre naturarealer træk-
kes fra den gennemsnitlige udvaskning knyttet til det dyrkede areal. Det be-
tyder, at baseline udgør ændringer i de udvalgte baselineelementer i de ni år
fra 2019 til 2027. AU’s vurdering af baselineelementers effekt på nitratudvask-
ning udgør den effekt, som forventes inden for 5-10 år, efter at virkemidlet er
implementeret på dyrkningsfladen. Det betyder, at en væsentlig del af den af
AU vurderede effekt først vil kunne måles på kvælstofudledning til havet se-
nere end slutåret for baseline i 2027.
Det vil altid være vanskeligt at forudse, hvordan landbrugsproduktionen ud-
vikler sig. Den danske landbrugsproduktion vil påvirkes af udsving i ver-
densmarkedets priser på korn og animalske produkter, der bl.a. er betinget af
husdyrsygdomme og dårlige vækstbetingelser for væsentlige salgs- eller fo-
derafgrøder. Netop disse udsving kan være vanskelige at forudse. I nærvæ-
rende baseline er der udarbejdet tre scenarier for, hvordan landbrugsproduk-
tionen i forhold til antal husdyr og den afsmittende påvirkning på afgrøde-
fordelingen ser ud i 2027. Udgangspunktet er, at størrelsen for det dyrkede
landbrugsareal fastholdes for 2018, og den procentvise ændring i afgrødefor-
delingen er herefter vurderet. Denne fremgangsmetode er anvendt for ikke at
beregne effekt af nedgang i det dyrkede areal flere gange.
Scenarier for udvikling i husdyr og afgrødefordeling er indarbejdet i udvik-
ling af det økologiske areal og også indarbejdet i, hvordan slæt frem for af-
græsning ser ud i 2027 og i udvikling af udbytter og kvælstofnormer for gød-
ningstildeling. Det vil dog alligevel være vanskeligt fuldstændigt at adskille
kombinationer af udvikling i afgrøder, økologi, udbytter og kvælstofnormer.
Ud over en vurdering af udvalgte virkemidler har Miljøstyrelsen også ønsket
en vurdering af effekt på kvælstofudledning af ændringer i klima og i forhold
til en øget udtagning af kulstofrige lavbundsarealer knyttet til en eventuel kli-
maindsats. I nærværende rapport er potentialet for kvælstoffjernelse og den
muligt afledte effekt på fosfor og drivhusgasemission for dette virkemiddel
vurderet i forhold til, at lavbundsarealer vådlægges.
15
MOF, Alm.del - 2020-21 - Bilag 86: Aarhus Universitets rapport af 3/11-2020 om Baseline 2027 for udvalgte elementer, fra miljøministeren
I nærværende baseline 2027 gives indledende en oversigt over udviklingen i
landbrugets forbrug af gødning og udviklingen i det dyrkede areal og afgrø-
defordelingen for perioden 2011-2018. Herefter diskuteres tidshorisont ift. til
den forsinkelse, der må forventes at være fra et virkemiddel implementeres,
til effekten kan måles i hhv. rodzone og vandløb, hvorefter forbehold og usik-
kerheder ved baselineberegningen gennemgås.
Efter disse indledende afsnit følger beskrivelsen af de enkelte virkemidler,
hvor effekten i 2027 fordeles på 23 hovedvandoplande. Sidst i dette afsnit fin-
des en samlet tabel over baselineeffekten fordelt på hovedvandoplande (afsnit
3.12), et kapitel om betydning af vejr og klima og påvirkning af kvælstofud-
ledning i målte oplande (kap. 4.) samt en samlet konklusion (kap. 5). Rappor-
ten indeholder desuden opgavebeskrivelsen fra Miljøstyrelsen (bilag 1).
Der sker løbende en udvikling i nye initiativer, f.eks. mindre kvælstofnormer
til humusjorde, øget krav til udnyttelse af husdyrgødning, en række mulige
præciseringer i forhold til husdyrgødning og mindre ammoniakfordamp-
ning. Derfor anbefaler AU, at der følges op på, om udviklingen sker som for-
ventet. Det er desuden vigtigt at se på, om der kommer nye tiltag til at opfylde
Danmarks målsætning om mindre CO
2
–udledning.
16
MOF, Alm.del - 2020-21 - Bilag 86: Aarhus Universitets rapport af 3/11-2020 om Baseline 2027 for udvalgte elementer, fra miljøministeren
2273658_0019.png
2
Udvikling og fremskrivning af landbrugs
udvikling, metoder, forudsætninger og
usikkerhed for analysen
2.1 Udviklingen i landbrugets gødningsforbrug og norm for
kvælstofgødning 2011-2018
Gitte Blicher-Mathiesen
Fagfællebedømt af Peter Sørensen
Det dyrkede areal
Det dyrkede areal er opgjort med udgangspunkt i landbrugets indberetning
til Landbrugsstyrelsen i forbindelse med ansøgning om EU-landbrugsstøtte
(enkelt- eller grundbetalingsordningen). Afgrøderne er i videst muligt om-
fang grupperet efter samme liste, som Danmarks Statistik anvender. For at
kunne vurdere på udviklingen i det dyrkede areal er data vist for hvert af
årene 2011-2018 i tabel 2.1.1 Året 2011 er medtaget, da afgrødefordelingen for
dette år indgik i afsnit om teknisk justering og udvikling i gødningsforbrug i
”Opdatering af baseline 2021” (Blicher-Mathiesen et al., 2020).
Det indberettede areal i landbrugsmæssig drift er faldet fra 2.693.000 ha i 2011
til 2.602.000 ha i 2018 (tabel 2.1.1), en nedgang på ca. 91.000 ha. Nedgangen
indeholder udtagning til byer, veje, natur, skovrejsning m.m. Faldet varierer
over årene, hvilket kan skyldes, at der er en reel forskel i udtagning til motor-
veje fra år til år. En udvikling i udtagning af landbrugsjord bør derfor ses som
en trend over en længere årrække, som det er gjort i afsnit om ”Effekt af ned-
gang i dyrket areal ” (kap. 3.1). Her udgør den gennemsnitlige nedgang i det
dyrkede areal 12.200 ha pr. år for perioden 2008-2018.
Tabel 2.1.1.
Det dyrkede areal fordelt på afgrødegrupper for perioden 2011-2018 samt forskel mellem de to år (1.000 ha). Data
er fra landmændenes indberetning til hektarstøtte/grundbetaling.
(1.000 ha)
Vårkorn
Vinterkorn
Korn i alt
Bælgsæd til modenhed
Frø til udsæd
Industrifrø i alt
Rodfrugter i alt
Majs
Helsæd og foderroer
Lucerne
Græs og kløvergræs i omdrift
Varig græs
Brak
Øvrige afgrøder
I alt
2011
554
941
1.495
8
66
151
82
176
61
7
333
207
0
107
2.693
2012
723
771
1.495
7
75
130
81
186
59
6
330
212
0
98
2.679
2013
682
746
1.428
7
84
177
77
183
65
5
320
198
0
159
2.702
2014
552
884
1.436
8
81
166
78
190
67
4
312
195
0
154
2.691
2015
576
868
1.444
12
72
193
68
181
61
3
253
248
23
106
2.663
2016
680
783
1.463
16
72
164
79
176
65
2
274
212
28
84
2.634
2017
625
816
1.441
21
84
179
84
167
52
2
276
204
29
72
2.610
2018
841
575
1416
32
102
144
86
180
59
2
264
214
32
72
2.602
Forskel
2011-2018
287
-366
79
24
36
-7
5
4
-3
-5
-69
7
32
-35
-91
17
MOF, Alm.del - 2020-21 - Bilag 86: Aarhus Universitets rapport af 3/11-2020 om Baseline 2027 for udvalgte elementer, fra miljøministeren
Salgsafgrøder
Arealet med korn har været nogenlunde konstant i perioden 2011-2018, dog
med en lille nedgang på 79.000 ha (figur 2.1.1 og tabel 2.1.1). Derimod har der
været en betydelig variation mellem vårkorn og vinterkorn. Yderpunkterne er
et ekstremt lille areal med vinterkorn på 575.000 ha i 2018 og det største areal
på 941.000 ha i 2011, en forskel på 366.000 ha. Netop arealforholdet mellem vår-
korn og vinterkorn har stor betydning for gødningsforbruget, idet den økono-
misk optimale norm er ca. 37 kg N/ha større for vinterkorn end for vårkorn.
Hvor stort arealet med vintersæd udgør de enkelte år, påvirkes af de dyrknings-
tekniske forhold som f.eks. sen høst, og om det er for vådt at køre på markerne
til, at landmændene kan så vinterkorn om efteråret. I år med dyrkningstekniske
vanskeligheder vil et større areal tilsås med vårsæd.
Arealet med kartofler har været nogenlunde konstant over årene 2011-2018,
mens arealet med frøgræs og bælgsæd er øget med henholdsvis 36.000 og
24.000 ha. Arealet med vinterraps var størst i 2015 med 193.000 ha, men ud-
gjorde i 2018 næsten det samme areal som i 2011.
Græs og grøntfoder
Arealet med grovfoder er blevet noget mindre i perioden. Arealet med majs
og helsæd har været nogenlunde konstant, mens arealet med græs i omdrift
er blevet 69.000 ha mindre. Det er sandsynligt, at en del af brakarealet, der
kom til i 2015, tidligere har været græs i omdrift.
Forbrug af kvælstofgødning og kvælstofnorm
Den samlede mængde kvælstof i handelsgødning, husdyrgødning og anden
organisk gødning udgjorde i 2011 433.000 ton N, mens det i 2018 udgjorde
454.000 ton N (tabel 2.1.2). Det samlede forbrug af kvælstof i gødning er såle-
des øget med 21.000 ton N i denne syv-års periode.
Kvælstofmængden i husdyrgødningen var omtrent den samme i 2011 og 2018,
men var knap 12.000 tons N mindre i 2014 end i disse to år. Det ses af tabel 2.1.2,
at forbruget af kvælstof med handelsgødninger steg efter 2015 som følge af Fø-
devare- og landbrugspakken (FLP)’s aftale om at udfase de underoptimale gød-
ningsnormer. Herved øgedes forbruget af kvælstof i handelsgødning fra
210.000 tons N i 2015 til 242.000, 237.000 og 224.000 ton N i henholdsvis 2016,
2017 og 2018. I 2016 blev det tilladt at anvende 2/3 af forskellen mellem den
reducerede og den økonomisk optimale gødningsnorm. Og fra og med 2017
blev det tilladt at anvende den fulde økonomisk optimale gødningsnorm.
Landets samlede kvælstofnorm afhænger af de enkelte afgrøders normer
samt af afgrødernes fordeling på jordtyper, og om afgrøderne er vandet. Selve
fastsættelse af afgrødernes gødningsnormer følger en fastlagt procedure, der
er beskrevet i ” Procedure for indstilling af kvælstof- og udbyttenorm” (Dre-
jebog, 2018).
18
MOF, Alm.del - 2020-21 - Bilag 86: Aarhus Universitets rapport af 3/11-2020 om Baseline 2027 for udvalgte elementer, fra miljøministeren
2273658_0021.png
Figur 2.1.1.
Udvikling i det dyrkede areal (øverst) og opdelt på salgsafgrøder, grovfoder og udyrkede arealer for perioden 2011-
2018. Data er fra indberetning til hektarstøtte/grundbetaling.
19
MOF, Alm.del - 2020-21 - Bilag 86: Aarhus Universitets rapport af 3/11-2020 om Baseline 2027 for udvalgte elementer, fra miljøministeren
2273658_0022.png
Tabel 2.1.2.
Forbrug af kvælstofgødning og kvælstof i gødningsnorm for det dyrkede areal i perioden 2011-2018 (1.000 ton N).
Forbrug af gødning er fra landmændenes indberetning af gødningsregnskaber. Kvælstofnormen er beregnet ud fra de enkelte
års gødningsvejledning og afgrøder indberettet til hektarstøtte/grundbetaling.
(1.000 ton N)
Forbrug af kvælstofgødning
Handelsgødning GR
Husdyrgødning GR
Anden organisk gødning GR
Total forbrug af kvælstofgødning
Udnyttet husdyr og anden org. gødning GR
Ikke udnyttet husdyr- og org. gødning
Teoretisk beregnet kvælstofnorm uden udlæg og
forfrugt
1
Aktuel grundnorm, reduceret i 2012-2016
Økonomisk optimal norm
Reduktionspct.
2
Kvælstofprognosen
390,5
464,0
15,9
7
379,6
446,0
14,9
9
374,1
433,5
13,7
4
374,6 369,2
444,8 450,2
15,8
0
18,0
10
425,9
456,7
6,8
11
447,2
447,2
0
-7
433,5
433,5
0
9
2011
203,9
223,3
6,0
433,2
152,3
75,8
2012
198,2
220,4
6,8
425,4
150,4
75,7
2013
199,1
215,4
7,0
421,5
147,1
74,1
2014
2015
2016
241,9
219,3
7,8
469
150,1
77,3
2017
237,1
217,7
8,0
462,8
148,9
76,8
2018
223,5
223,5
7,1
454,1
152,5
78,3
--------------------------------------(1.000 ton N)------------------------------------------
203,4 210,0
211,9 216,4
6,8
7,2
422,1 433,6
146,0 148,9
73,0
74,8
1 Kvælstofnormen udgør den aktuelle norm for hver afgrøde, også for det økologiske areal, og er ganget på afgrødefordeling, jordtyper og arealer med og
uden vanding. Der er ikke korrigeret for N-prognose og eftervirkning af efterafgrøder. Beregningen er gennemført af AU BioScience.
2. Reduktionsprocenten er forskellen mellem den økonomisk optimale norm og den reducerede grundnorm til hver afgrøde.
2.2
Fremskrivning af udvikling i husdyrhold og afgrødeforde-
ling 2019-2027
Troels Kristensen
Fagfællebedømt af Ib Sillebak Kristensen
Udviklingen i husdyrholdet påvirker bl.a. produktionen af husdyrgødning og
arealet med foderafgrøder. Den antalsmæssige udvikling i husdyrholdet fra
2018 til 2027 er baseret på markedsanalyser af Jensen (2019). Udviklingen i
produktivitet er baseret på oplysninger i de danske gødningsnormer omkring
produktivitet, foderforbrug og den beregnede udskillelse af N ab dyr (Ano-
nym, 2020). Udviklingen i perioden 2012 til 2018 er brugt som grundlag for en
vurdering af niveauet i 2027. Der er en mindre afvigelse mellem effektivitets-
tal i 2018 fra de danske normer og de tal, som fremgår af Jensen (2019). Det er
valgt at bruge de danske normer, dels fordi de danner grundlag for regulerin-
gen af gødningsanvendelse i praksis, dels fordi tallene for 2012 til 2018 der-
med er sammenligelige som grundlag for fremskrivningen til 2027.
Nøgletal for effektivitet, foderforbrug og gødningsudskillelse for svineproduk-
tionen er vist i tabel 2.2.1 og for kvægproduktionen i tabel 2.2.2 i henholdsvis
2012, 2018 og 2027. Foderforbruget i FE til søerne er faldet markant fra 2012 til
2018 trods det stigende antal fravænnede grise. Vægten på de fravænnede grise
er dog også faldet i perioden fra 7,3 til 6,7 kg (Anonym, 2020), hvorfor der kun
er en stigning på 10 kg i fravænnet kg i alt. Det er antaget, at fravænningsvæg-
ten fastholdes, hvorfor det årlige fald i foderforbruget er antaget halveret frem
til 2027. For de øvrige grise er det antaget, at der vil være en fortsat reduktion i
foderforbruget pr. kg tilvækst, mens der er regnet med samme koncentration af
protein og fosfor i foderrationen i 2027 som 2018 til alle grise.
20
MOF, Alm.del - 2020-21 - Bilag 86: Aarhus Universitets rapport af 3/11-2020 om Baseline 2027 for udvalgte elementer, fra miljøministeren
2273658_0023.png
Tabel 2.2.1.
Produktivitet – svineholdet
2012
Sohold, pr. årsso
Smågrise, stk.
FE
Foderprotein, Kg
Gødning, kg N ab dyr
Gødning, kg P ab dyr
Smågrise, pr. produceret
FE pr. kg tilv.
FE
Foderprotein, Kg
Gødning, kg N ab dyr
Gødning, kg P ab dyr
Slagtesvin, pr. produceret
Afgangsvægt, kg
FE pr. kg tilv.
FE
Foderprotein, Kg
Gødning, kg N ab dyr
Gødning, kg P ab dyr
107
2,87
215
32
2,83
0,59
113
2,82
231
34
3,05
0,66
113
2,75
226
33
2,91
0,64
1,98
49
8
0,51
0,14
1,89
46
8
0,47
0,12
1,84
45
7
0,44
0,12
28,1
1540
205
26,0
5,4
32,2
1484
197
24,0
5,0
38,4
1442
192
22,1
4,8
2018
2027
Tabel 2.2.2.
Produktivitet – kvægholdet
2012
Malkekøer, pr årsko
Ydelse, kg mælk
FE
Foderprotein, kg
Gødning, kg N ab dyr
Gødning, kg P ab dyr
Opdræt, pr. årsdyr
FE
Foderprotein, kg
Gødning, kg N ab dyr
Gødning, kg P ab dyr
Slagtekalve, pr. produceret
FE
Foderprotein, kg
Gødning, kg N ab dyr
Gødning, kg P ab dyr
Ammekøer, pr. årsko
FE
Foderprotein, kg N
Gødning, kg N ab dyr
Gødning, kg P ab dyr
2207
456
64
6
2207
456
64
6
2207
456
64
6
1899
289
36
5
1909
291
36
5
1909
291
36
5
1852
322
45
6
1852
322
45
6
1852
322
45
6
8916
6824
1179
138
20
10100
7403
1309
153
22
11875
8271
1462
168
25
2018
2027
21
MOF, Alm.del - 2020-21 - Bilag 86: Aarhus Universitets rapport af 3/11-2020 om Baseline 2027 for udvalgte elementer, fra miljøministeren
2273658_0024.png
Foderforbruget i FE til malkekøerne er reguleret svarende til energibehovet
til den øgede produktion af mælk ved en effektivitet på 85 %. Det øgede optag
af foderprotein følger udviklingen i energi, da der er regnet med samme pro-
tein- og fosforkoncentration i foderet. For de øvrige kategorier af kvæg er der
antaget et uændret behov i 2027 i forhold til 2018, hvilket er baseret på, at der
har været samme behov i 2012 som i 2018, undtagen for slagtekalve.
Der er regnet på tre scenarier i forhold til antallet af dyr, se tabel 2.2.3. Stan-
dard 2027 er husdyrhold i antal malkekøer og søer i Jensen (2019), mens lav
og høj er det beregnede antal ved et 90 % konfidensinterval. Der er således en
sandsynlighed på mindre end 10 % for, at den faktiske værdi vil ligge lavere
end det antal, der er anvendt i scenariet ”lav”, eller højere end det antal, der
er anvendt i scenariet ”høj” (Jensen, 2019).
Tabel 2.2.3.
Produktionsomfang i svine- og kvægholdet og samlet i 2018 og tre scenarier for omfanget i 2027
Scenarie
År
Årssøer, 1000 stk.
FE, mio.
Foderprotein, mio. kg
Prod. smågrise, 1000 stk.
Eksport, stk.
Prod. sl svin, 1000 stk.
Gødning, mio. kg N ab dyr
Gødning, mio. kg P ab dyr
Malkekøer, 1000 stk.
Ammekøer, 1000 stk.
Mælk, mio. kg
Tilvækst, mio. kg
FE, mio.
Foderprotein, mio. kg
Gødning, mio. kg N ab dyr
Gødning, mio. kg P ab dyr
DK – kvæg og svin
FE, mio.
Foderprotein, mio. kg
Gødning, mio. kg N ab dyr
Gødning, mio. kg P ab dyr
13.104
2.109
223
39
13.627
2.213
231
40
12.137
1.961
202
36
15.038
2.451
259
45
2018
1.026
7.022
1.042
32.319
14.544
17.365
93
20
578
87
5.604
284
6.082
1.067
130
18
standard
2027
889
6.698
997
32.982
14972
17477
85
19
611
87
6.965
296
6.929
1.216
146
21
lav
2027
842
6.343
944
31.238
14.180
16.553
81
18
510
70
5.814
251
5.794
1.017
122
17
høj
2027
934
7.037
1.048
34.651
15.730
18.361
89
20
706
104
8.048
338
8.002
1.404
170
24
Den samlede produktion af N i husdyrgødning fra kvæg- og svineholdet er
beregnet til 223 mio. kg N i 2018, hvilket er lidt højere end i den sidste opda-
tering af baseline (Blicher-Mathiesen et al., 2020), hvilket skyldes, at der er lidt
forskel i antal køer og søer i den opgørelse sammenlignet med Jensen (2019).
Ud over N fra svin og kvæg er der et bidrag fra de øvrige husdyr (fjerkræ,
mink, heste mv.), som i Albrektsen et al. (2017) angives til 36 mio. kg N ab dyr
i 2015. Antages denne mængde uændret i perioden frem til 2027, vil forskellen
mellem 2018 og de tre scenarier udtrykke den variation, der under tre anta-
gelser omkring udviklingen i husdyrholdet vil være i mængden af N ab dyr.
Ved det gennemsnitlige scenarie øges N i husdyrgødning med 8 mio. kg N,
mens det for de to øvrige scenarier vil være henholdsvis et fald på 20 mio. kg
N og en stigning på 35 mio. kg N til i alt 258 mio. kg N. Mængder i disse
22
MOF, Alm.del - 2020-21 - Bilag 86: Aarhus Universitets rapport af 3/11-2020 om Baseline 2027 for udvalgte elementer, fra miljøministeren
2273658_0025.png
beregninger er N ab dyr, hvorfor der skal fratrækkes et tab i stald og lagre for
at få ændringen tildelt markerne. Albrektsen et al. (2017) angiver et tab fra
kvæg og svin på 21,7 mio. kg N, svarende til 10 % af N ab dyr. Det forudsættes,
at antallet af husdyrefterafgrøder fastsættes, så disse kompenserer en øget ud-
vaskning ved anvendelse af mere ikke udnyttet husdyrgødning og at der der-
for ikke vil komme øget nitratudvaskning selvom mængden af husdyrgød-
ning stiger.
Udviklingen i P-indholdet i husdyrgødningen følger samme trend som for N,
med en lille stigning ved standard 2027 i forhold til 2018, mens der er en reduk-
tion på 3 mio. kg P ved lavt antal husdyr og en stigning til 45 mio. kg P eller 6
mio. kg P mere i 2027 ved højt antal husdyr i forhold til 2018 (tabel 2.2.3).
Sædskiftemæssige ændringer
I standardscenariet sker der en øgning i foderbehovet (FE) på 523 mio. FE,
fordelt på en reduktion i behovet i svineholdet på 324 mio. FE til en øgning
med 847 mio. FE i kvægholdet, svarende til 15 % mere end i 2018.
Det øgede behov til kvæget vil i betydeligt omfang skulle dækkes af grovfo-
der, som i en typisk foderration udgør 60 % af FE (Kristensen et al., 2015),
svarende til et merbehov på 508 mio. FE grovfoder. Ved uændret udbytte pr.
ha og sammensætning af foderrationen vil der derfor ske en udvidelse af
grovfoderarealet med 15 % i 2028, hvilket er væsentligt højere end de 4 % be-
regnet af Jensen (2019).
Den resterende del af det øgede foderbehov til kvægholdet vil være fordelt
primært på importeret protein-foder og dansk korn. Ved en fordeling 50/50
betyder det et merbehov på 169 mio. FE korn til kvægholdet. Modsat vil der
være et lavere behov i svineholdet. Antages 60 % af foderbehovet at være dan-
ske afgrøder, primært korn, vil der være et lavere behov på 194 mio. FE, såle-
des at det samlede forbrug af korn til foder kun reduceres marginalt.
Ud fra de samme antagelser vil der ved scenariet med lavt antal husdyr være
et fald i grovfoderbehovet på 173 mio. FE og i behovet for korn på 465 mio.
FE. Ved scenariet med højt antal husdyr vil der være et samlet merbehov på
1934 mio. FE, fordelt med 1151 mio. FE grovfoder og 393 mio. FE korn, samt
en øget import på 390 mio. FE.
Græs og majs inkl. helsæd udgør iflg. Jensen (2019) henholdsvis 273.000 ha og
236.000 ha af sædskiftearealet i 2018 (Jensen, 2019). Hertil kommer et areal
med vedvarende græs på 232.000 ha, der har en mindre reduktion frem til
2027, og som i indeværende beregninger antages af have den samlede foder-
produktion uændret.
Tabel 2.2.4.
Ændringer i areal til foder i 2027 i forhold til 2018 ved tre scenarier for udvik-
ling i husdyrholdet, 1000 ha.
Afgrøde
standard
2027
Græs
Majs
Vårbyg
Vinter hvede
I alt
+28
+28
-2
-2
52
lav
2027
Ændringer – foderbehov (1.000 ha)
-38
-38
-10
-10
-96
+33
+33
+64
+64
+194
høj
2027
23
MOF, Alm.del - 2020-21 - Bilag 86: Aarhus Universitets rapport af 3/11-2020 om Baseline 2027 for udvalgte elementer, fra miljøministeren
2273658_0026.png
Ved et udbytte på 9.000 FE pr. ha i grovfoder fordelt 50/50 på græs og majs og
6.000 FE pr ha korn fordelt med 50/50 på vårbyg og vinterhvede er de areal-
mæssige ændringer som følge af ændret foderbehov estimeret i tabel 2.2.4.
Andre proteinkilder
Gylling & Hermansen (2018) har opgjort forbruget af foderprotein til hen-
holdsvis kvæg, svin og fjerkræ til 2176 mio. kg i 2015, heraf 963 mio. kg fra
importeret foder fordelt med 30 % til kvæg og 70 % til svin og fjerkræ (tabel
2.2.5). En fremskrivning til 2030 viste, i overensstemmelse med ovenstående
beregninger, et højere forbrug af forderprotein og en lidt højere andel til
kvæg. Ændringer i forbruget af importeret foderprotein må desuden antages
at blive påvirket af omfanget af økologisk produktion samt af udviklingen i
markedsføring af produkter baseret på non-GMO foder. I begge situationer
må det forventes, at andelen af importeret foder falder, og at dyrkningen af
danske proteinafgrøder øges.
Tabel 2.2.5
Beregning af forbruget af foderprotein, opdelt i danskproduceret korn, grovfoder og andet, samt importeret foderpro-
tein i den danske animalske produktion fordelt på husdyrarter i henholdsvis 2015 og fremskrevet til 2030, mio. kg protein. Kilde
Gylling og Hermansen (2018).
DK korn
2015
Kvæg
Svin
Fjerkræ
DK
125
388
31
544
2030
138
356
30
524
DK grovfoder
2015
556
0
0
556
2030
631
0
0
631
DK andre afgrøder
2015
63
44
6
113
2030
69
38
6
113
Importeret foder
2015
288
618
57
963
2030
325
569
52
946
I alt foderprotein
2015
1.032
1.050
94
2.176
2030
1.163
963
88
2.214
Hestebønner og græsprotein er alternativer til importeret protein. Gylling og
Hermansen (2018) angiver et potentiale på henholdsvis 230 og 630 mio. kg
“sojaprotein” ved dyrkning af henholdsvis hestebønner og græs til
bioraffinering i Danmark, men at der er betydelige udfordringer omkring den
teknologiske udvikling, forædling og økonomisk konkurrenceevne.
Jørgensen et al. (2020) har beregnet, at der med det nuværende udbytte i græs-
dyrkning kræves knapt 1 mio. ha græs for at producere proteinkoncentrat til
erstatning af hele importen af foderprotein. Hvis udbyttet øges, og effektivi-
teten af proteinekstraktion i bioraffineringsanlægget øges, kan arealkravet re-
duceres til lige godt 500.000 ha. Det skal også bemærkes, at arealerne til pro-
duktion af proteinkoncentrat også vil kunne levere græsfiberensilage i et om-
fang, der vil kunne erstatte den nuværende grovfoderproduktion af græs og
muligvis også en del af majsensilagen. Med den nuværende udvikling af tek-
nologien vurderes omfanget af græsprotein i 2027 til at være beskedent.
Hestebønne har et udbytte på ca. 5 t pr. ha, med et protein indhold på 25-28
%, svarende til et udbytte af foderprotein på 1.150 kg pr. ha. I 2018 blev der
dyrket 26.577 ha med hestebønner. Hestebønner er således en velkendt
afgrøde, hvorfor arealet relativt hurtig kan øges. såfremt det fodringsmæssigt
er fordelagtigt. Antages det, at 10 % af den nuværende import af foderprotein
kan erstattes af hestebønner, vil det kræve et yderligere areal på 87.000 ha,
som typisk vil fortrænge dyrkningen af korn. Hestebønner skal dyrkes i et
sædskifte med mindst fire frie år, hvorfor udbredelse kan afhænge af
indpasningen i et sædskifte.
24
MOF, Alm.del - 2020-21 - Bilag 86: Aarhus Universitets rapport af 3/11-2020 om Baseline 2027 for udvalgte elementer, fra miljøministeren
2.3
Tidshorisont og tidsforsinkelse for hvornår ændringer kan
måles i vandløb
Gitte Blicher-Mathiesen og Peter Sørensen
Fagfællebedømt af Jørgen E. Olesen
Indledning
Baselineopgørelsen giver en prognose for effekten af allerede vedtagne virke-
midler på ændring i nitratudvaskning fra rodzonen og for nogle virkemidler
på fosforudledning til vandløb.
De fleste virkemidler virker ikke 100 %, dagen efter at de er implementeret. Æn-
dringer i landbrugspraksis og gødningsforbrug påvirker afgrødevæksten, og
efter høst vil den optagne kvælstof i den underjordiske biomasse, bl.a. efter om-
pløjning, blive omsat over tid og vil i de efterfølgende år give anledning til
kvælstofudvaskning i perioder med afstrømning. Udvaskning af dette kvælstof
vil især ske, hvis der ikke vokser efterafgrøder, fodergræs, vinterraps eller vin-
terkorn, som vil kunne optage noget af den omsatte kvælstof i det tidlige efterår.
I dette afsnit beskrives den forventede tidshorisont for effekten af virkemid-
ler:
i. Fra virkemidler vedtages til det er implementeret
ii. Den forventede tidshorisont, fra der sker en ændring i nitratudvaskningen
på dyrkningsfladen, og den forventede tid inden den angivne effekt slår
igennem på kvælstofudvaskning fra rodzonen.
iii. Den naturgivne tidforsinkelse i transporten af kvælstof fra bunden af rod-
zonen til vandløbet.
Alle tidsaspekter giver en naturlig forklaring på, at den samlede effekt i base-
line ikke kan forventes at ske i slutåret 2027, hverken hvad angår udvaskning
fra rodzonen eller udledning af kvælstof til kystvande. I baseline beskrives de
virkemidler, der forventes at blive implementeret i baselineårene 2019-2027,
men selve effekten på kvælstofudvaskning og udledning til kystvande vil
have en tidshorisont, der rækker længere end slutåret 2027. Tidseffekten vil
endvidere variere mellem vandoplande som følge af variationer i den natur-
givne tidsforsinkelse (ovenstående punkt iii).
Tidshorisont fra virkemidler politisk er besluttet til de er implementeret
Virkemidler ligger ikke på dyrkningsfladen eller i et vandløbsopland dagen
efter, de er politisk vedtaget. Ofte går der to til tre år, fra der politisk er ved-
taget ændringer i jordbrugets gødningsanvendelse, til at landmændene reelt
har fulgt bekendtgørelsen til årets aktuelle gødningsforsyning til afgrøderne.
Responsen på udvaskning vil da ofte være i afstrømningsåret efter at afgrø-
derne er høstet i sensommeren eller efteråret.
Effekten af andre virkemidler, som f.eks. reetablering af vådområder, kan tage
endnu længere tid, idet dette virkemiddel ofte er afhængig af enighed blandt
flere lodsejere om, at deres jord kan overgå til et vådområder eller lignende.
Tidshorisont for angivet effekt af virkemidler på dyrkningsfladen
Omsætning af organisk stof i jorden er en proces, der tager tid. Organisk bundet
kvælstof, der tilføres jorden, f.eks. med husdyrgødning, frigives gradvist over en
25
MOF, Alm.del - 2020-21 - Bilag 86: Aarhus Universitets rapport af 3/11-2020 om Baseline 2027 for udvalgte elementer, fra miljøministeren
2273658_0028.png
længere årrække. Det har naturligvis betydning for, hvornår der kan ske nitrat-
udvaskning fra den tilførte organiske gødning. Sørensen et al. (2017) har udvik-
let en simpel empirisk baseret model, der beskriver nettomineraliseringen fra
organisk bundet N i svine- og kvæggylle i de første år efter tilførslen (tabel 2.3.1).
Efter de første fem år er mineraliseringen langsom og på niveau med øvrigt
organisk bundet N i jorden. I tabel 2.3.1 er antaget en årlig mineraliseringsrate
fra det resterende N i jorden på 2 % pr. år i år 5 til 10. Det betyder, at der efter
10 år samlet er frigivet ca. 56 % N fra kvæggylle og ca. 75 % fra svinegylle.
En række andre virkemidler har også betydning for omfanget af inputtet af
organisk stof til jorden og dermed for ændringer i puljen af organisk kvælstof
i jorden. Det gælder bl.a. dyrkning af græs, efterafgrøder og energiafgrøder.
Tidshorisonten for effekten heraf varierer med kvaliteten af det organiske
stof, der indgår, og dermed hvor hurtigt mineraliseringen foregår. F.eks. kan
der for nogle typer af efterafgrøder være en mineralisering på omkring 50 %
inden for det første år, mens mineraliseringen er langsommere for andre typer
af efterafgrøder (Thomsen et al., 2016). Andre organiske input har en N-mi-
neralisering, der mere ligner den for organisk N i husdyrgødning.
Tabel 2.3.1.
Kumuleret netto-mineralisering af organisk bundet kvælstof i svine- og kvæggylle i de første fem år efter tilførslen
ifølge model beskrevet af Sørensen et al. (2017) – samt forventet mineralisering efter 10 år.
År
Mineralisering af organisk N i kvæggylle %
Mineralisering af organisk N i svinegylle %
1
17
26
2
34
53
3
42
63
4
47
68
5
51
72
10
56
75
Kulstof og organisk bundet kvælstof fra husdyrgødning og ændringer i orga-
nisk input, der stabiliseres i jorden, bidrager til jordens samlede pulje af orga-
nisk stof, der er vigtig for at opretholde en frugtbar jord med gode dyrknings-
egenskaber. Det er ikke muligt at kvantificere denne effekt, men det må for-
ventes, at en frugtbar jord bidrager til dybere rodvækst, der også kan bidrage
til en reduktion af kvælstofudvaskningen. Der tages ikke hensyn til denne ef-
fekt ved beregning af kvælstofudvaskningen, da der ikke findes noget godt
grundlag for at estimere denne.
Tidsforsinkelse i kvælstoftransport fra bunden af rodzone til vandløb
Data fra landovervågningen viser, at drænede oplande naturligt har en hurtig
transportvej fra mark til vandløb (Blicher-Mathiesen et al., 2019). Her bidra-
ger den overfladenære transportvej bl.a. via dræn forholdsvis meget til vand-
løbstransporten af kvælstof (figur 2.3.1). Modsat tager transporten til ikke-
drænede oplande, som ofte også er domineret af sandjord, længere tid, idet
den overfladenære transportvej er forholdsvis mindre.
I lerjordsdominerede oplande afstrømmer en betydelig andel af det nedsivende
vand til vandløb via overfladenær afstrømning. Afstrømningen via dræn sker
hurtigt, og i løbet af et par år vil en betydelig del af det vand, der forlader rod-
zonen, være nået ud til vandløbet. En effekt af reduceret kvælstofudvaskning
fra rodzonen vil derfor inden for få år kunne måles i lerjordsområder.
I sandjordsdominerede oplande sker afstrømningen til vandløb for en stor dels
vedkommende gennem grundvand. Der vil typisk gå 12-15 år, inden ca. halv-
delen af det vand, der forlader rodzonen, når ud til vandløbet, men da en stor
del af det ældste grundvand allerede er reduceret for kvælstof, vil det kvælstof,
der strømmer til vandløb, have en kortere transporttid end den transporttid,
der kan opgøres for alt grundvand.
26
MOF, Alm.del - 2020-21 - Bilag 86: Aarhus Universitets rapport af 3/11-2020 om Baseline 2027 for udvalgte elementer, fra miljøministeren
2273658_0029.png
Figur 2.3.1
Skematisering af kvælstofkredsløbet i henholdsvis dyrkede lerjords- og sandjordsoplande samt for naturoplande for
årene 2013/14-2017/18. Kvælstofbalancen er fra interviewundersøgelsen 2013-2017, mens udvaskningen er NLES4-modelbe-
regnet for alle marker i oplandene, hvor der i beregningen er kompenseret for, at klimaet varierer fra år til år. Vandløbstransport
for oplandene er korrigeret for spildevandsudledning, dvs. transporten repræsenterer den diffuse udledning fra dyrkede arealer
inkl. spredt bebyggelse og baggrundsbidrag (Blicher-Mathiesen et al., 2019).
For nogle oplande tager det meget længere tid for vand og kvælstof at
strømme fra rodzonen til vandløb. Eksempler herpå er oplandet til Mariager
Fjord, hvor vandet i vandløbet formentlig i gennemsnit er 20-30 år gammelt
(Wiggers et al., 2002).
Den nationale kvælstofmodel er blevet anvendt til at beregne alder for det iltede
vand i vandløb og dermed for det vand, der bærer kvælstof frem til overflade-
vandet og senere til kystvande (Højbjerg et al., 2015). I nogle oplande tager det
mere end otte år for vandet nå fra rodzonen til vandløbsoplande, men denne
relative lange transportvej findes især i Himmerland og på Djursland (figur
2.3.2). Oplande med en hurtig transport fra mark til vandløb på et til to år udgør
bl.a. kystnære oplande med afstrømning til østvendte fjorde i Jylland og områ-
det nord for Limfjorden i det vestlige hjørne omkring Thisted.
Den lange transportvej fra rodzone til kystvande betyder, at den fulde respons
i kvælstofudledning til kystvande ikke vil kunne registreres i det samme af-
strømningsår, hvori der kan registreres en ændring i nitratudvaskningen fra
rodzonen. Her er simpelthen nogle naturgivne forhold, der betyder, at der sker
en vis forsinkelse. Dog kommer 75 pct. af det iltede grundvand inden for 1-4 år,
mens transportvejen for de næste 20 pct. tager længere tid. Det skal dog tages
det forbehold, at beregningerne er modelberegnet og netop de lange tidsforsin-
kelser har været svære at kalibrere i modellen (Pers. medd. A.L. Højberg).
27
MOF, Alm.del - 2020-21 - Bilag 86: Aarhus Universitets rapport af 3/11-2020 om Baseline 2027 for udvalgte elementer, fra miljøministeren
2273658_0030.png
Figur 2.3.2.
Alder af det iltede grundvand, når 75 % (kort t.v.) og 95 % (kort t.h.) af det iltede grundvand er strømmet til vandløb
for de 15 oplande (topografiske oplande (polygoner) med en størrelse på ca. 1500 ha) (baseret på data fra kvælstofmodellen i
Højberg et al. 2015 og Blicher-Mathiesen et al. 2020).
Regionale forskelle i tidsserier for udledning af total kvælstof og nitrat er vist
for fem regioner i Danmark i figur 2.3.3. Af figuren fremgår det, at der er stor
forskel i år-til-år variationen i de viste afstrømningsvægtede koncentrationer
opgjort for 77 havbelastningsstationer mellem de fem regioner. De største år-
til-år variationer forekommer i de to regioner Fyn og Sjælland, hvor drænaf-
strømningen vil påvirke de målte koncentrationer. For Nordjylland, som har
den største tidsforsinkelse i kvælstoftransporten mellem rodzone og vandløb
(se figur 2.3.2), ses et kontinuerligt fald i nitratkoncentrationen i hele perioden
1990/91-2017/18, mens faldet for de øvrige regioner aftager efter 2005/06. For
de sidste 10 år ses der desuden et større fald i den afstrømningsvægtede kon-
centration af nitrat end i total kvælstof, hvilket formentlig skyldes, at total
kvælstof ikke er målt med den samme metode i hele perioden, primært i pe-
rioden 2009-2014 (Thodsen et al., 2019).
Regionale opgørelser af den afstrømningsvægtede total kvælstof- og nitrat-
koncentration i det afstrømmende vand til kystvande for målte oplande viser,
at netop år-til-år variationen er stor i de to regioner Fyn og Sjælland, og at
ændringer i disse koncentrationer derfor bør ses over en årrække, når man
skal evaluere virkemidlers effekt på kvælstofudledningen til kystvande. Dette
gælder særligt, når også klimaparametre, som nedbør og temperatur, kan give
anledning til store år-til-år variationer.
28
MOF, Alm.del - 2020-21 - Bilag 86: Aarhus Universitets rapport af 3/11-2020 om Baseline 2027 for udvalgte elementer, fra miljøministeren
2273658_0031.png
Figur 2.3.3.
Afstrømningsvægtet koncentration af total kvælstof og nitrat opgjort for 77 målte havstationer med en fuldstændig
tidsserie for begge koncentrationer vist for fem regioner i Danmark (t.v. og øverst). Data er opgjort for det hydrologiske år 1. juni til
31. maj for perioden 1990/91-2017/18. Oplande med data for de opgjorte målestationer er vist med mørke farver på kortet.
2.4
Metode, forbehold, usikkerheder og virkemidlers skygge-
effekt
Baseline udgør en fremskrivning af udviklingen i landbrugets produktionsfor-
hold, virkemidler og mulige effekter af internationalt vedtagne konventioner,
altså en fremskrivning eller prognose for de udvalgte virkemidler, der tænkes
implementeret frem til og med 2027. Den fulde effekt af virkemidlerne på rod-
zoneudvaskningen vil ske med en vis tidsforsinkelse, og det giver sig selv, at
effekten af baseline ikke vil have den estimerede effekt på kvælstofudledningen
til kystvandet inden for baselineperioden og heller ikke vil have en ligelig for-
deling over årene. Prognosen for virkemidler kan være behæftet med betydelig
usikkerhed, særligt hvor effekten er afhængig af internationale økonomiske
konjunkturer og andre landes opfyldelse af konventioner.
29
MOF, Alm.del - 2020-21 - Bilag 86: Aarhus Universitets rapport af 3/11-2020 om Baseline 2027 for udvalgte elementer, fra miljøministeren
Metode
For hvert virkemiddel består effektvurderingen dels af en vurdering af virke-
midlets udbredelse og dels af selve vurderingen af ændringen i udvasknin-
gen. Udbredelsen af virkemidlet kan være baseret på arealer, f.eks. nedgang i
det dyrkede areal, andelen økologi, areal med konventionelt græs eller areal
med energiafgrøder. For perioden 2013-2018 er disse baseret på landmænde-
nes indberetninger til enkelt- eller grundbetalingen, og hvor disse arealer dan-
ner grundlaget for den af AU-udarbejdede prognose for perioden 2019-2021.
For biogas og husdyrgodkendelse er grundlaget forbruget af husdyrgødning
og andelen af denne, der bioforgasses. Trend i udbytter og i gødningsnormen
er baseret på en analyse af eksisterende data fra 1990 og frem eller alene for
baselineperioden.
Effektvurderingen af ændring i udvaskningen er baseret på det eksisterende
videngrundlag. Dette omfatter gennemførte målinger fra forsøg, der primært
er foretaget under danske forhold. De anvendte forsøgsdata vil ofte være ret
begrænsede i antal og i regional eller tidsmæssig dækning. De vil derfor ikke
i alle henseender være fuldstændig repræsentativt dækkende i forhold til en
opskalering til hele landet eller en nedskalering til de 23 hovedvandoplande.
De anvendte forsøgsdata vil dog være det bedst mulige eksisterende faglige
grundlag for den fremkomne effektvurdering.
For enkelte af virkemidlerne anvendes modelberegninger. Det gælder for æn-
dringer i deposition, for effekten af bioforgasning og organisk affald og effek-
ten af øget forbrug af handelsgødning ved udfasning af de underoptimale
gødningsnormer. Det har ikke været muligt at anvende den opdaterede em-
piriske udvaskningsmodel NLES5, og der er derfor anvendt samme NLES4-
model som i opdatering af baseline 2021. Den nye NLES5-model er usikker-
hedsvurderet og valideret på uafhængige måledata, og marginaludvasknin-
gen er specielt kalibreret på forsøgsdata fra forsøg med tilførsel af stigende N-
mængde (Børgesen et al., 2020). Den gennemsnitlige marginaludvaskning på
landsplan ved N-tilførsel omkring normen i NLES4-modellen er estimeret til
18 % med en femårig tidshorisont, mens NLES5 estimerer en gennemsnitlig
marginaludvaskning på 17 % med en treårig tidshorisont. Usikkerheden på
marginaludvaskningen i NLES5, angivet som standardafvigelsen, er estime-
ret til 2,6 % point (Børgesen et al., 2020). Det betyder, at forskellen i estimater
på marginaludvaskningen med de to modeller ligger inden for usikkerheden
på modellen. I forhold til den treårige marginaludvaskning, der beregnes med
NLES5, har Sørensen et al. (2019) vurderet, at der sker en yderligere margi-
naludvaskning på i alt 1-2 % point i år 4-10 efter en tilførsel af mineralsk N.
I effektvurderingen af de enkelte virkemidler er der taget hensyn til, at effek-
ten vurderes at være indtruffet inden for en afgrænset tidshorisont på 5-10 år.
Det betyder, at en del af effekten for de implementerede virkemidler eller æn-
dringer i dyrkningsforhold må forventes først at påvirke udvaskningen og
dermed kvælstofudledningen til kystvande efter 2027.
Det har ikke været muligt at gennemføre aktuelle usikkerhedsberegninger for
effektvurderingen af de enkelte virkemidler, da datagrundlaget hertil har væ-
ret begrænset af antallet af forsøg, der kunne indgå i den type af beregninger.
Der er derimod angivet et interval for udvaskningseffekten, hvor dette har
været muligt.
30
MOF, Alm.del - 2020-21 - Bilag 86: Aarhus Universitets rapport af 3/11-2020 om Baseline 2027 for udvalgte elementer, fra miljøministeren
Den regionale fordeling af virkemidlernes effekt på de 23 hovedvandoplande
er baseret på vandoplandenes aktuelle arealer, en fordeling af arealer eller det
opgjorte forbrug af gødning baseret på landmændenes indberetning til enten
enkelt- eller grundbetalingen eller fra gødningsregnskaberne. For perioden
2019-2027 har AU opgjort en prognose for disse arealer.
2.4.2 Vurdering af virkemidlers skyggeeffekt
Som nævnt i indledningen er det vanskeligt at adskille effekterne af virkemid-
ler fra effekter af den generelle udvikling i landbruget, f.eks. kan effekten af
mere husdyrgødning ved øget husdyrhold påvirke andelen af økologi og bi-
oforgasning. Andelen af økologi kan påvirke fordelingen af græsarealer mel-
lem afgræsning og slæt. Her kan endvidere henvises til en beskrivelse af skyg-
geeffekter i N-virkemiddelkataloget (Eriksen et al. 2020).
31
MOF, Alm.del - 2020-21 - Bilag 86: Aarhus Universitets rapport af 3/11-2020 om Baseline 2027 for udvalgte elementer, fra miljøministeren
3
Virkemidler, prognose for udvikling og ef-
fekt 2027
3.1
Effekt af nedgangen i det dyrkede areal
Gitte Blicher-Mathiesen & Hans Estrup Andersen
Fagfællebedømt af Gitte Rubæk
Størrelsen af det dyrkede areal er ikke konstant, men bliver gradvist mindre.
Det skyldes, at landbrugsarealer inddrages til skovrejsning, byudvikling og
infrastruktur som f.eks. motorveje. Landbrugsareal er her defineret som det
areal, der får landbrugsstøtte, men hvor arealer, hvorpå der dyrkes juletræer,
også indgår.
Prognosen for nedgang i det dyrkede areal er estimeret af IFRO til i alt 109.000
ha for perioden 2019-2027 (Jensen, 2019). For denne ni-års periode bliver den
gennemsnitlige årlige nedgang 12.111 ha, hvilket er næsten det samme niveau
som den årlige nedgang på 12.221 ha for perioden 2008-2018, som blev an-
vendt i opdatering af baseline 2021 (Blicher-Mathiesen et al., 2020). Det dyr-
kede areal var i 2018 i alt 2.619.000 ha. Prognosen for nedgangen i dyrket areal
fordeles på de 23 hovedvandoplande i forhold til det dyrkede areal i oplan-
dene i 2018. En del af nedgangen i dyrket areal forventes at skyldes skovrejs-
ning. Effekten af skovrejsning er estimeret selvstændigt. Arealet, der fragår til
skovrejsning, fratrækkes derfor i den samlede nedgang i det dyrkede areal.
Der regnes på to scenarier for udvikling i arealet med skovrejsning 2019-2027.
Det første scenarie antager en fortsættelse af den hidtidige stigning i areal
med skovrejsning opgjort til 1.900 ha årligt (Johannsen et al., 2019), det andet
scenarie antager en årlig stigning i skovarealet på 3.200 ha, som er den ved-
tagne politiske målsætning om, at skovarealet skal udgøre 20-25 % af Dan-
marks areal i 2070-2090. Arealet med skovrejsning fordeles på de 23 hoved-
vandoplande i forhold til skovarealet i 2018.
Effekt på nitratudvaskning
Reduktionen i nitratudvaskningen ved udtagning af landbrugsarealer, som er
korrigeret for det areal, der overgår til skovrejsning, opgøres som den gen-
nemsnitlige nitratudvaskning fra landbrugsarealer fratrukket baggrundsud-
vaskningen på 12 kg N/ha jf. kvælstofvirkemiddelkataloget (Eriksen et al.,
2020). Nitratudvaskningen for hele landets landbrugsareal udgør knap 61 kg
N/ha og for omdriftsarealet 66 kg N/ha. Disse udvaskningstal er også an-
vendt i kvælstofvirkemiddelkataloget (Eriksen et al., 2020).
I nærværende rapport gennemføres de samme to beregninger for baggrunds-
udvaskning ved udtagning som i opdatering af baseline 2021 (Blicher-Mathi-
esen et al., 2020). Beregning A, hvor baggrundudvaskningen udgør 12 kg
N/ha, uanset hvor i landet landbrugsarealet ligger, og beregning B, hvor bag-
grundsudvaskningen varierer, og hvor datagrundlaget udgøres af den målte
nitratudvaskning fra arealer, der tidligere har været landbrug.
Generelt er der meget få målinger af udvaskningen efter permanent udtagning.
Alligevel viser målingerne, at det er ret afgørende for udvaskningens størrelse,
om arealet tidligere er dyrket intensivt med tilførsel af husdyrgødning, eller om
32
MOF, Alm.del - 2020-21 - Bilag 86: Aarhus Universitets rapport af 3/11-2020 om Baseline 2027 for udvalgte elementer, fra miljøministeren
2273658_0035.png
der kun er anvendt handelsgødning, og om arealet ligger i et område med høj
eller lav nedbørsmængde (Eriksen et al., 2020). Der er derfor i nærværende be-
regning foretaget en skalering af baggrundsudvaskningen i forhold til udvask-
ningens størrelse i forhold til landbrugsarealet. Det er antaget, at for hoved-
vandoplande med den gennemsnitligt laveste årlige udvaskning fra landbruget
vil baggrundudvaskningen ved permanent udtagning være lavest, og tilsva-
rende vil baggrundudvaskningen for hovedvandoplande med den højeste år-
lige udvaskning være på det høje niveau. Herved fås to punkter med lav og høj
baggrundudvaskning, hhv. 1,5 og 18 kg N/ha/år, hvor baggrundsudvasknin-
gen er opgjort som middel af udvaskningen ved permanent udtagning med en
4-14 års tidhorisont (jf. de røde tal i tabel 3.1.1). Relationen mellem de to punkter
anvendes til at beregne baggrundudvaskningen for de øvrige hovedvandop-
lande. Beregningen er forholdsvis simpel, men giver formentlig et mere korrekt
regionalt niveau for baggrundsudvaskningen og dermed en bedre forventet ef-
fekt af permanent udtagning af landbrugsarealer. Men det er meget usikkert,
hvor præcise disse antagelser og beregninger reelt er.
Det anbefales derfor, at der fremadrettet gennemføres mere systematiske må-
linger af baggrundsudvaskningens størrelse fra arealer, der udtages af land-
brugsproduktion – dvs. målinger, som kan bidrage til at kvalificere oven-
nævnte antagelser og beregninger.
For hele landet forventes der som før nævnt et knapt 92.000 ha mindre land-
brugsareal i perioden 2019-2027 – eksklusiv arealet, der fragår til skovrejsning i
scenarie 1 med en skovrejsning på 1.900 ha årligt. Nedgangen vil give en min-
dre udvaskning på mellem 4.460 og 4.680 ton N. Ved en større skovrejsning på
3.300 ha årligt forventes landbrugsarealet at blive 80.200 ha mindre. Nedgangen
vil give en mindre udvaskning på mellem 3.900 og 4.090 ton N. Den mindre
udvaskning for hele landet ved begge scenarier for nedgang i landbrugsarealet
er uafhængig af, om de 23 hovedvandoplande er afgrænset i forhold til Vand-
områdeplaner 2015-2021 eller vandområdeplaner 2021-2027 (tabel 3.1.1).
Beregninger for nedgang i det dyrkede areal og effekten på udvaskning for 23
hovedvandoplande fremgår af tabel 3.1.2, hvor afgrænsning af de 23 oplande
er for vandområdeplaner 2015-2021, og i tabel 3.1.3 vises tilsvarende effekter,
hvor de 23 hovedvandoplande er afgrænset i forhold til vandområdeplaner
2021-2027. Der er ændringer i arealer og effekter i forhold til afgrænsningerne
i vandområdeplaner 2015-2021 og vandområdeplaner 2021-2027 for de seks
oplande: 1.10 Vadehavet, 2.3 Øresund, 2.4 Køge Bugt, 2.5 Smålandsfarvet, 2.6
Østersøen og 4.1 Vidå-Kruså.
Tabel 3.1.1.
Prognose for nedgang i dyrket areal uden skovrejsning og effekt på nitratudvaskning for baselineperioden 2019-
2027 beregnet ved to forskellige scenarier for skovrejsning og udvaskning fra udtaget areal.
Nedgang i dyrket areal
Sce.1 skov
17.100 ha
Vandområdeplaner
2015-2021-oplande
Vandområdeplaner
2021-2027-oplande
91.900
91.900
Sce.2 skov
28.800 ha
80.200
80.200
Sce.1 A
Ens værdi
12 kg N/ha
4.460
4.460
Udvaskning for udtaget landbrugsareal
Sce.1 B
Variabel
2,7-19,7 kg N/ha
4.680
4.680
Sce.2 A
Ens værdi
12 kg N/ha
3.900
3.900
Sce.2 B
Variabel
2,7-19,7 kg N/ha
4.090
4.090
33
MOF, Alm.del - 2020-21 - Bilag 86: Aarhus Universitets rapport af 3/11-2020 om Baseline 2027 for udvalgte elementer, fra miljøministeren
2273658_0036.png
Tabel 3.1.2.
Nedgang i det dyrkede areal og effekt på udvaskning for 2019-2027 og fordelt på 23 hovedvandoplande med geografisk afgrænsning til vandområdeplaner 2015-2021. Reduk-
tion i udvaskning beregnet på basis af henholdsvis fast baggrundsudvaskning (A) og variabel baggrundsudvaskning for hvert opland (B) ved to scenarier for skovrejsning; scenarie 1: årlig
skovrejsning 1.900 ha (i alt 17.100 ha), scenarie 2: årlig skovrejsning 3.200 ha (i alt 28.800 ha). Positiv tal for udvaskning angiver en mindre udvaskning fra rodzonen.
Fremskrivning 2019-2027
Dyrket
2018
(1.000 ha)
1.1
1.10
1.11
1.12
1.13
1.14
1.15
1.2
1.3
1.4
1.5
1.6
1.7
1.8
1.9
2.1
2.2
2.3
2.4
2.5
2.6
3.1
4.1
Nordlige Kattegat, Skager-
rak
Vadehavet
Lillebælt/Jylland
Lillebælt/Fyn
Odense Fjord
Storebælt
Det Sydfynske Øhav
Limfjorden
Mariager Fjord
Nissum Fjord
Randers Fjord
Djursland
Aarhus Bugt
Ringkøbing Fjord
Horsens Fjord
Kalundborg
Isefjord og Roskilde Fjord
Øresund
Køge Bugt
Smålandsfarvandet
Østersøen
Bornholm
Vidå-Kruså
Total DK
135
285
143
64
71
35
51
493
35
97
184
54
41
207
52
56
104
20
46
229
77
34
81
2592
Nedgang i dyrket areal og ift.
skov
Skov
Skov
Dyrket
(Sce. 1)
(Sce. 2)
(ha)
5.684
11.979
6.030
2.683
2.973
1.478
2.129
20.712
1.486
4.071
7.731
2.249
1.729
8.701
2.185
2.344
4.377
836
1.940
9.612
3.255
1.421
3.392
109.000
(ha)
973
1.579
964
325
415
183
269
2.458
344
711
1.773
696
241
1.653
253
360
704
492
378
1.257
403
362
305
17.100
(ha)
1.638
2.660
1.624
547
699
309
453
4.140
580
1.198
2.986
1.172
407
2.784
427
607
1.186
828
637
2.118
678
609
514
28.800
Landbrug
Udvaskning
Bag. ud-
vask.
A
(kg N/ha/år)
65
78
62
55
50
45
45
66
65
83
58
51
49
84
56
37
42
38
34
36
33
39
73
12
12
12
12
12
12
12
12
12
12
12
12
12
12
12
12
12
12
12
12
12
12
12
B
Effekt
af udtag-
ning
A
B
Sce.1
Udtaget
Areal
(ha)
57
60
49
47
45
42
40
55
58
64
50
47
44
75
54
34
40
35
30
34
27
21
55
4.711
10.400
5.066
2.358
2.558
1.295
1.860
18.254
1.142
3.360
5.958
1.553
1.488
7.048
1.932
1.984
3.673
344
1.562
8.355
2.852
1.059
3.087
91.900
Sce.1
Udvaskning
A
(tons N)
249
688
255
103
98
43
62
993
61
237
277
60
55
510
85
50
111
9
34
202
60
28
190
4.460
267
622
246
112
115
54
75
1.012
66
215
300
73
65
532
105
67
147
12
47
283
76
23
169
4.680
B
Sce.2
Udtaget
Areal
(ha)
4.046
9.319
4.406
2.136
2.274
1.169
1.676
16.572
906
2.873
4.745
1.077
1.322
5.917
1.758
1.737
3.191
8
1.303
7.494
2.577
812
2.878
80.200
Sce.2
Udvaskning
A
(ton N)
214
616
222
93
87
38
56
901
48
203
221
42
48
428
78
44
96
0
28
181
54
22
177
3.900
229
557
214
101
102
49
68
919
53
184
239
51
58
447
96
58
128
0
39
253
68
17
157
4.090
B
(kg N/ha/år)
8
18
14
8
6
3
5
11
7
18
8
4
5
9
2
4
2
3
4
2
6
17
19
53
66
50
43
38
33
33
54
53
71
46
39
37
72
44
25
30
26
22
24
21
27
61
34
MOF, Alm.del - 2020-21 - Bilag 86: Aarhus Universitets rapport af 3/11-2020 om Baseline 2027 for udvalgte elementer, fra miljøministeren
2273658_0037.png
Tabel 3.1.3.
Nedgang i det dyrkede areal og effekt på udvaskning for 2019-2027 og fordelt på 23 hovedvandoplande med geografisk afgrænsning til vandområdeplaner 2021-2027. De seks
oplande med ændret geografisk afgrænsning, 1.10 Vadehavet, 4.1 Vidå-Kruså, 2.3 Øresund, 2.4 Køge Bugt, 2.5 Smålandsfarvandet og 2.6 Østersøen er vist med fed skrift. Reduktion i
udvaskning er beregnet på basis af henholdsvis fast baggrundsudvaskning (A) og variabel baggrundsudvaskning for hvert opland (B) ved to scenarier for skovrejsning; scenarie 1: årlig
skovrejsning 1900 ha (i alt 17.100 ha), scenarie 2: årlig skovrejsning 3.200 ha (i alt 28.800 ha). Positiv tal for udvaskning angiver en mindre udvaskning fra rodzonen.
Fremskrivning 2019-2027
Dyrket
2018
(1.000 ha)
1.1
1.10
1.11
1.12
1.13
1.14
1.15
1.2
1.3
1.4
1.5
1.6
1.7
1.8
1.9
2.1
2.2
2.3
2.4
2.5
2.6
3.1
4.1
Nordlige Katt. Skagerrak
Vadehavet
Lillebælt/Jylland
Lillebælt/Fyn
Odense Fjord
Storebælt
Det Sydfynske Øhav
Limfjorden
Mariager Fjord
Nissum Fjord
Randers Fjord
Djursland
Aarhus Bugt
Ringkøbing Fjord
Horsens Fjord
Kalundborg
Isefjord og Roskilde Fjord
Øresund
Køge Bugt
Smålandsfarvandet
Østersøen
Bornholm
Vidå-Kruså
Total DK
135
247
143
64
71
35
51
493
35
97
184
54
41
207
52
56
104
21
46
217
91
34
118
2594
Nedgang i dyrket og ift. skov
Dyrket
(ha)
5.681
10.382
6.030
2.683
2.973
1.476
2.128
20.711
1.484
4.071
7.729
2.250
1.728
8.701
2.183
2.342
4.378
877
1.939
9.097
3.827
1.423
4.954
109.046
Skov
(Sce. 1)
(ha)
973
1.579
964
325
415
183
269
2.458
344
711
1.773
696
241
1.653
253
360
704
492
378
1.257
403
362
305
17.100
Skov
(Sce. 2)
(ha)
1.638
2.660
1.624
547
699
309
453
4.140
580
1.198
2.986
1.172
407
2.784
427
607
1.186
828
637
2.118
678
609
514
28.800
Landbrug
Udvaskning
Bag. ud-
vask.
A
(kg N/ha/år)
65
78
62
55
50
45
46
66
65
83
58
51
49
84
56
37
42
37
34
36
33
39
75
12
12
12
12
12
12
12
12
12
12
12
12
12
12
12
12
12
12
12
12
12
12
12
B
Effekt af
udtagning
A
B
Sce.1
Udtaget
Areal
(ha)
57
60
49
46
45
42
41
55
58
65
50
47
44
75
54
34
40
34
30
34
27
21
57
4.708
8.803
5.066
2.358
2.558
1.293
1.859
18.253
1.140
3.360
5.956
1.554
1.487
7.048
1.930
1.982
3.674
385
1.561
7.840
3.424
1.061
4.649
91.900
Sce.1
Udvaskning
A
(ton N)
249
581
256
101
98
42
64
992
60
239
277
60
55
510
85
50
111
10
34
189
74
28
294
4.460
267
525
247
110
115
54
77
1.012
66
217
300
73
65
532
105
66
147
13
47
265
93
23
263
4.680
B
Sce.2
Udtaget
Areal
(ha)
4.043
7.722
4.406
2.136
2.274
1.167
1.675
16.571
904
2.873
4.743
1.078
1.321
5.917
1.756
1.735
3.192
49
1.302
6.979
3.149
814
4.440
80.200
Sce.2
Udvaskning
A
(ton N)
214
510
222
91
87
38
57
901
48
204
220
42
49
428
77
44
96
1
29
168
68
22
281
3.900
229
461
215
99
102
49
69
919
53
185
239
51
58
447
95
58
128
2
39
236
85
17
251
4.090
B
(kg N/ha/år)
8
18
14
8
6
3
5
11
7
18
8
4
5
9
2
4
2
3
4
2
6
17
19
53
66
50
43
38
33
34
54
53
71
46
39
37
72
44
25
30
25
22
24
21
27
63
35
MOF, Alm.del - 2020-21 - Bilag 86: Aarhus Universitets rapport af 3/11-2020 om Baseline 2027 for udvalgte elementer, fra miljøministeren
Effekt på fosforudledning
Det samlede fosfortab fra et opland kan opdeles i forskellige bidrag. Land-
brugsbidraget er det fosfortab, som antages direkte at skyldes dyrkning og
dyrkningsrelaterede aktiviteter i landskabet. Landbrugsbidraget antages at
blive reduceret i samme omfang, som det dyrkede areal reduceres. Land-
brugsbidraget er sammensat af en række enkeltbidrag: tab ved erosion, tab
ved udvaskning gennem jordmatricen, tab via makroporer til dræn og tab fra
dyrket, organisk lavbund. Disse bidrag er kortlagt af Andersen & Heckrath
(2020). Hertil kommer en række mindre bidrag, som kun er skønnet på lands-
niveau: tab via vinderosion, overfladisk afstrømning og grundvand fra dyr-
kede arealer. De rumligt distribuerede bidrag er summeret pr. hovedvandop-
land og opjusteret relativt med de bidrag, som det kun har været muligt at
skønne på landsniveau. Det samlede bidrag er derefter omregnet til et areal-
vægtet landbrugsbidrag ved at dividere med størrelsen af det dyrkede areal
pr. hovedvandopland. Effekten er slutteligt fundet ved at gange nedgang i
dyrket areal efter fradrag af areal til skovrejsning med det arealvægtede land-
brugsbidrag. Opgørelsen af landbrugsbidraget er behæftet med en betydelig
usikkerhed. Således beregner Andersen & Heckrath (2020) det samlede, dan-
ske landbrugsbidrag til 683 tons P/år med et 95 %-konfidensinterval på 293-
888 tons P/år. Ved regionale opgørelser må der forventes større usikkerhed.
Fordeling af effekt på 23 hovedvandoplande
Fordelingen af effekt på fosforudledning af reduktion i det dyrkede areal på
de 23 hovedvandoplande fremgår af tabel 3.1.3 med de to skovrejsningssce-
narier indregnet.
36
MOF, Alm.del - 2020-21 - Bilag 86: Aarhus Universitets rapport af 3/11-2020 om Baseline 2027 for udvalgte elementer, fra miljøministeren
2273658_0039.png
Tabel 3.1.3.
Prognose for kumuleret effekt på fosforudledning af nedgang i det dyrkede areal frem til 2027 i forhold til 2018
under inddragelse af to scenarier for skovrejsning, scenarie 1: årlig skovrejsning 1900 ha (i alt 17.100 ha), scenarie 2: årlig
skovrejsning 3200 ha (i alt 28.800 ha). Positiv tal for effekt angiver en mindre udledning til ferskvand.
Effekt efter
Effekt efter
fradrag af
fradrag af
Dyrket areal
Landbrugs-
Nedgang dyrket
skov, sce.2
skov, sce.1
Hovedvandopland
2018
bidrag
areal
1000 ha
Nordlige Kattegat, Ska-
1.1 gerrak
1.10 Vadehavet
1.11 Lillebælt/Jylland
1.12 Lillebælt/Fyn
1.13 Odense Fjord
1.14 Storebælt
1.15 Det Sydfynske Øhav
1.2 Limfjorden
1.3 Mariager Fjord
1.4 Nissum Fjord
1.5 Randers Fjord
1.6 Djursland
1.7 Aarhus Bugt
1.8 Ringkøbing Fjord
1.9 Horsens Fjord
2.1 Kalundborg
2.2 Isefjord og Roskilde Fjord
2.3 Øresund
2.4 Køge Bugt
2.5 Smålandsfarvandet
2.6 Østersøen
3.1 Bornholm
4.1 Vidå-Kruså
Total DK
135,1
284,8
143,4
63,8
70,7
35,1
50,6
492,5
35,3
96,8
183,8
53,5
41,1
206,9
51,9
55,7
104,1
19,9
46,1
228,5
77,4
33,8
80,6
2591,6
kg P/ha/år
0.37
0.25
0.32
0.23
0.24
0.24
0.26
0.29
0.16
0.22
0.34
0.32
0.22
0.24
0.28
0.36
0.25
0.27
0.21
0.23
0.21
0.06
0.32
ha
5.684
11.979
6.030
2.683
2.973
1.478
2.129
20.712
1.486
4.071
7.731
2.249
1.729
8.701
2.185
2.344
4.377
836
1.940
9.612
3.255
1.421
3.392
109.000
Kg P
1.733
2.626
1.639
546
620
313
490
5.342
180
744
1.997
496
334
1.668
547
710
924
91
325
1.905
604
60
996
24.900
Kg P
1.488
2.353
1.426
494
551
283
442
4.850
143
636
1.591
344
297
1.401
498
622
803
2
272
1.709
546
46
929
21.700
37
MOF, Alm.del - 2020-21 - Bilag 86: Aarhus Universitets rapport af 3/11-2020 om Baseline 2027 for udvalgte elementer, fra miljøministeren
3.2
Skovrejsning
Gitte Blicher-Mathiesen, Hans Estrup Andersen & Goswin Heckrath
Fagfællebedømt af Gitte Rubæk
Der regnes på to scenarier for udvikling i arealet med skovrejsning 2019-2027.
Det første scenarie antager en fortsættelse af den hidtidige stigning i arealet
med skovrejsning opgjort til 1.900 ha årligt (Johansen et al., 2019), det andet
scenarie beregnes med en årlig stigning i skovarealet på 3.200 ha, som er den
vedtagne målsætning om, at skovarealet skal udgøre 20-25 % af Danmarks
areal i 2070-2090. Arealet med skovrejsning fordeles på de 23 hovedvandop-
lande i forhold til skovarealet i 2018.
Fordelingen af effekten på de 23 hovedvandoplande er foretaget svarende til an-
delen af skov i de enkelte vandoplande i 2018. Arealet af skov er opgjort på basis
af skovlaget i det fælles offentlige datagrundlag GeoDanmark, version 2018.
Effekt på kvælstofudvaskning
Kvælstofudvaskningen fra gammel skov er generelt væsentligt mindre end fra
landbrugsjord. Landbrugsjord indeholder typisk meget organisk bundet kvæl-
stof, der efter skovtilplantning kan omsættes og udvaskes. Derfor udvaskes der
mere kvælstof fra skov rejst på landbrugsjord end fra gammel skov. Udvask-
ning fra skov rejst på landbrugsjord vurderes med det nuværende datagrund-
lag at ligge på 8 kg N/ha som gennemsnit for en omdrift og inden for et interval
på 5-15 kg N/ha (Eriksen et al., 2020; Gundersen et al., 2020). Baggrunden for
det viste interval er, at udvaskningen bl.a. afhænger af jordtype, herunder jor-
dens organiske kvælstofindhold og C/N-forhold, hvilke træarter skoven er
plantet med samt jordens dræningsforhold. På baggrund af datagrundlaget kan
årsagerne til det viste interval ikke udredes specifikt.
Pløjning før tilplantning og renholdelse de første to-tre sæsoner frigiver mi-
neralsk kvælstof, og derfor kan kvælstofudvaskningen de første år være på
niveau med den fra landbrugsmæssig drift. Så snart træer og især græs og
urter kommer i god vækst, falder kvælstofudvaskningen imidlertid. Vegeta-
tionens kvælstofbehov er afgørende i denne fase. Træerne vokser især i de
kvælstofrige dele som bark, grene og kviste, indtil kronetaget bliver lukket
(efter 20-25 år). Herefter falder kvælstofbehovet, når træerne mest vokser i
vedmassen, som indeholder meget lidt kvælstof. På grund af kvælstoftilførs-
len fra luftforurening forventes der at forekomme et kvælstofoverskud, der
udvaskes. Den vurderede baggrundudvaskning er derfor en gennemsnitlig
udvaskning for en hel omdriftsperiode for skov rejst på landbrugsjord med
forholdsvis høj udvaskning. Denne udvaskning ligger på niveau med den
gennemsnitlige udvaskning for landbrugsjord i de første fem år. En noget
mindre udvaskning på 2 kg N/ha forventes, når grene og løvmassen vokser i
årerne 5-19, og herefter stiger udvaskningen lidt til 8 kg N/ha.
Hvis arealet for skovrejsning stiger med 17.100 ha og 28.800 ha for hele landet
i perioden 2019-2027, er prognosen for reduktionen i nitratudvaskningen hen-
holdsvis 890 og 1.500 ton N (tabel 3.2.1).
38
MOF, Alm.del - 2020-21 - Bilag 86: Aarhus Universitets rapport af 3/11-2020 om Baseline 2027 for udvalgte elementer, fra miljøministeren
2273658_0041.png
Tabel 3.2.1.
Prognose for effekt på nitratudvaskning af skovrejsning for perioden 2019-2027 ved fremskrivning af scenarie 1:
årlig skovrejsning 1.900 ha (i alt 17.100 ha), scenarie.2: årlig skovrejsning 3.200 ha (i alt 28.800 ha). Positive tal for effekt af
skovrejsning angiver en mindre udvaskning fra rodzonen.
Skovrejsning
(Sce. 1)
(ha)
1.1
1.10
1.11
1.12
1.13
1.14
1.15
1.2
1.3
1.4
1.5
1.6
1.7
1.8
1.9
2.1
2.2
2.3
2.4
2.5
2.6
3.1
4.1
Nordlige Kat. Skagerrak
Vadehavet
Lillebælt/Jylland
Lillebælt/Fyn
Odense Fjord
Storebælt
Det Sydfynske Øhav
Limfjorden
Mariager Fjord
Nissum Fjord
Randers Fjord
Djursland
Aarhus Bugt
Ringkøbing Fjord
Horsens Fjord
Kalundborg
Isefjord og Roskilde Fjord
Øresund
Køge Bugt
Smålandsfarvandet
Østersøen
Bornholm
Vidå-Kruså
Total DK
973
1.579
964
325
415
183
269
2.458
344
711
1.773
696
241
1.653
253
360
704
492
378
1.257
403
362
305
17.100
(Sce. 2)
(ha)
1.638
2.660
1.624
547
699
309
453
4.140
580
1.198
2.986
1.172
407
2.784
427
607
1.186
828
637
2.118
678
609
514
28.800
Landbrug
Udvaskning
(kg N/ha/år)
65
78
62
55
50
45
45
66
65
83
58
51
49
84
56
37
42
38
34
36
33
39
73
Skov
Udvaskning
(kg N/ha/år)
8
8
8
8
8
8
8
8
8
8
8
8
8
8
8
8
8
8
8
8
8
8
8
Effekt af skovrejsning
Sce1.
17.100 ha
( ton N)
55
111
52
15
18
7
10
143
20
53
90
30
10
126
12
11
24
15
10
35
10
11
20
887
Sce2.
28.800 ha
( ton N)
93
187
88
26
30
11
17
242
33
89
151
50
17
213
21
18
41
25
16
60
17
19
34
1.495
I vandområdeplaner 20215-2021 indgår skovrejsning med en forventet effekt på
150 t N og et areal på 5.000 ha. Denne forventede effekt i vandområdeplaner
20215-2021 kan ikke udskilles af den vurderede ovenfor fremskrevne effekt for
perioden 2019-2027.
Effekt på fosforudledning
Skovrejsning kan modvirke fosfortab ved erosion og kan også reducere risi-
koen for tab af fosfor via makroporer og eksisterende dræn, idet mobiliteten
af opløst og partikelbundet fosfor i jorden reduceres, når jorden ikke længere
dyrkes og gødes. Med andre ord kan virkemidlet have effekt i risikoområder
for erosion og i risikoområder for makroporestrømning til dræn. Hvis skov-
rejsning foretages på erosionstruede arealer, kan man forvente, at fosfortabet
ved erosion reduceres 100 %. Effekten på tab via makroporer er skønnet til en
reduktion i størrelsesordenen 25–50 %, hvis skovrejsning sker på et areal med
risiko for fosfortab ad denne tabsvej (Rubæk et al., 2020).
39
MOF, Alm.del - 2020-21 - Bilag 86: Aarhus Universitets rapport af 3/11-2020 om Baseline 2027 for udvalgte elementer, fra miljøministeren
Da den præcise placering af skovrejsningen ikke er kendt, kan det ikke afgø-
res, i hvilket omfang skovrejsningen foretages på risikoområder for fosfortab.
Det vil sige, at den reelle effekt kan variere fra ingen effekt (skovrejsning fo-
regår uden for risikoområder) til en høj effekt (skovrejsning foretages på risi-
koområder). I nærværende arbejde har vi derfor anvendt en teoretisk, gen-
nemsnitlig effekt, som er beregnet på baggrund af de estimater for tab via
erosion og makroporer til dræn, som indgår i den nationale kortlægning af
fosfortab (Andersen & Heckrath, 2020). Ved beregningen fordeles de tab, der
i kortlægningen observeres i risikoområder, jævnt ud over hele arealet.
Dette gøres ved for hvert hovedopland at summere tabene for oplandet og re-
latere disse til oplandets samlede, dyrkede areal. Herved fås et gennemsnitligt
tab for hver tabsvej og for hvert hovedopland (kg P/ha/år). Effekten af den
opnåede erosionsbeskyttelse ved skovrejsning fås herefter ved at multiplicere
med den relative effekt (100 %), som er angivet i Rubæk et al. (2020), med det
gennemsnitlige fosfortab ved erosion for oplandet og med det areal, hvor der
forventes plantet skov. Tilsvarende fås effekten af den opnåede beskyttelse mod
fosfortab via makroporer og dræn ved at multiplicere den relative effekt på 25-
50 % (Rubæk et al., 2020) med det estimerede, gennemsnitlige fosfortab for
denne tabsvej og det areal, hvor der forventes rejst skov. Slutteligt adderes tabs-
reduktionerne (kg P) for de to tabsveje. Eksempelvis er det samlede, årlige fos-
fortab for hovedvandopland 1.1 Nordlige Kattegat for hhv. erosion og via ma-
kroporer opgjort til 7163 kg P og 4910 kg P baseret på kortlægningerne i Ander-
sen & Heckrath (2020). Det dyrkede areal i oplandet er 135.100 ha, hvorfor de
gennemsnitlige fosfortab fra det dyrkede areal ved erosion og via makroporer
er 0,053 kg P/ha/år og 0,036 kg P/ha/år. Reduktionen i fosfortab ved erosion
som følge af 973 ha ny skov (108 ha pr. år, sce. 1) frem til 2027 er: 100 % x 9 år x
108 ha x 0,053 kg P/ha/år = 52 kg P. Tilsvarende er reduktionen i fosfortab via
makroporer som følge af 973 ha ny skov: 25-50 % x 9 år x 108 ha x 0,036 kg
P/ha/år = 13 kg P. Dette giver i alt en reduktion i fosfortab for hovedvandop-
land 1.1 som følge af skovrejsning (sce. 1) på 65 kg P.
Kortlægningen af fosfortab ved erosion er baseret på en modelberegning af se-
dimentransport til overfladevand (Andersen & Heckrath, 2020). Sedimenttrans-
porten anses for at være relativt godt bestemt, men derimod er der stor usikker-
hed knyttet til fosforindholdet i det eroderede sediment. Fosfortab via makro-
porer er baseret på kortlægninger af hhv. potentielt aktive makroporer og af-
strømning via dræn opdelt på makropore- og matricestrømning (Andersen &
Heckrath, 2020). Fosforkoncentrationen i makroporestrømningen er estimeret
som mediankoncentrationen målt i en række dræn. Estimater over fosfortab via
makroporestrømning er dermed også behæftet med stor usikkerhed.
Prognosen baseret på den hidtidige stigning i arealet med skovrejsning er et
samlet areal med skovrejsning på 17.100 ha for perioden 2019-2017. Effekten
heraf vil være en reduktion i fosforudledningen på 783 t P (tabel 3.2.2).
40
MOF, Alm.del - 2020-21 - Bilag 86: Aarhus Universitets rapport af 3/11-2020 om Baseline 2027 for udvalgte elementer, fra miljøministeren
2273658_0043.png
Tabel 3.2.2.
Kumuleret effekt på fosforudledning af skovrejsning frem til 2027 i forhold til 2018 ved fremskrivning af to scenarier,
scenarie 1: årlig skovrejsning 1.900 ha (i alt 17.100 ha), scenarie 2: årlig skovrejsning 3.200 ha (i alt 28.800 ha). Positiv tal for
effekt angiver en mindre udledning til ferskvand.
Skovareal,
Hovedvandopland
Nordlige Kattegat,
1.1
Skagerrak
37.107
60.237
36.782
12.394
15.838
6.988
10.249
93.768
13.124
27.136
67.620
26.542
9.210
63.057
9.664
13.740
26.852
18.755
14.417
47.960
15.361
13.791
11.644
652.236
5,7
9,2
5,6
1,9
2,4
1,1
1,6
14,4
2,0
4,2
10,4
4,1
1,4
9,7
1,5
2,1
4,1
2,9
2,2
7,4
2,4
2,1
1,8
100
973
1.579
964
325
415
183
269
.2458
344
711
1.773
696
241
1653
253
360
704
492
378
1.257
403
362
305
17.100
1.638
2.660
1.624
547
699
309
453
4.140
580
1198
2.986
1172
407
2.784
427
607
1.186
828
637
2.118
678
609
514
28.800
65
42
96
18
22
10
17
83
8
20
116
21
16
33
19
15
33
30
19
60
19
13
7
Ca. 800
109
71
161
31
37
17
29
139
13
34
196
35
27
56
33
26
55
50
32
101
32
21
13
Ca. 1.300
1.10 Vadehavet
1.11 Lillebælt/Jylland
1.12 Lillebælt/Fyn
1.13 Odense Fjord
1.14 Storebælt
1.15 Det Sydfynske Øhav
1.2
1.3
1.4
1.5
1.6
1.7
1.8
1.9
2.1
2.2
2.3
2.4
2.5
2.6
3.1
4.1
Limfjorden
Mariager Fjord
Nissum Fjord
Randers Fjord
Djursland
Aarhus Bugt
Ringkøbing Fjord
Horsens Fjord
Kalundborg
Isefjord og Roskilde Fjord
Øresund
Køge Bugt
Smålandsfarvandet
Østersøen
Bornholm
Vidå-Kruså
Total DK
2018
ha
Andel af skov- Skovrejsning Skovrejsning
areal
%
sce. 1
ha
sce. 2
ha
Effekt sce. 1
kg P
Effekt sce. 2
kg P
3.3
Økologisk jordbrug
Troels Kristensen
Fagfællebedømt af Ib Sillebak Kristensen
Den seneste opgørelse fra Landbrugsstyrelsen (2020) viser, at der i 2018 var
279.000 ha økologisk produktionsareal i Danmark og med en forsat stigning
til 301.000 ha i 2019. Der har, som det fremgår af figur 1, været en markant
stigning i det økologiske areal i perioden 2015 til 2019, svarende til en årlig
øgning på godt 30.000 ha. Det årlige økologiske produktionsareal er baseret
på indberetninger til Fællesskemaet. Det økologiske produktionsareal udgø-
res af omlagte arealer, arealer under omlægning og arealer tilknyttet en be-
drift med økologisk autorisation, som ikke er omlagt. Den sidste kategori ud-
gjorde i 2018 8.642 ha eller 0,3 % af det samlede produktionsareal.
41
MOF, Alm.del - 2020-21 - Bilag 86: Aarhus Universitets rapport af 3/11-2020 om Baseline 2027 for udvalgte elementer, fra miljøministeren
2273658_0044.png
Udvikling i økologisk areal – scenarier.
Der er opstillet tre scenarier – med basis i 2018.
Høj: Et scenarie med høj vækst, baseret på de politiske udmeldinger om en
fordobling af det økologiske areal i 2030 med udgangspunkt i 2018. Det bety-
der en årlig stigning på 23.250 ha fra 2020 til 2030, når der tages højde for, at
arealet i 2019 var steget til 301.000 ha. I dette scenarie bliver det økologiske
areal i 2027 på 487.000 ha, svarende til 19 % af det samlede landbrugsareal.
Middel: Et scenarie med middel vækst, hvor væksten er baseret på udviklin-
gen i økologisk areal i perioden fra 2012 til 2018. I denne periode var der en
årlig vækst på 16.900 ha, hvilket giver et areal i 2027 på 432.000 ha, svarende
til 17 % af landbrugsarealet.
Lav: Et scenarie med lav vækst på 4.900 ha årligt, svarende til væksten i peri-
oden fra 2005 til 2015, hvilket giver 325.000 ha i 2027, svarende til 12 % af
landbrugsarealet.
Figur 3.3.1.
Udviklingen i det
økologiske produktionsareal i
Danmark fra 2012 til 2019 (Land-
brugsstyrelsen, 2020) samt tre
scenarier for fremskrivning af are-
alet til 2027.
Med udgangspunkt i det økologiske areal i 2018 på 279.000 ha giver det en
ændring på henholdsvis 46.000, 153.000 og 208.000 ha i scenarierne lav, mid-
del og høj i perioden frem til 2027.
Effekt på udvaskning
Som i den oprindelige baseline og den foregående revurdering anvendes en ef-
fekt af økologiske produktion i forhold til konventionel på 10 til 17 kg N/ha i
reduceret udvaskning (Børgesen et al., 2013). Olesen et al. (2020) fandt en re-
duktion i udvaskningen på 16 kg N / ha ved sammenligning mellem typiske
konventionelle og økologiske sædskifter baseret på beregninger med NLES5 og
arealet med de typiske sædskifter i Danmark i 2017. Korrigeret for forskelle i
omfanget af afgræsning i de to produktionsformer blev den modelestimerede
effekt af økologi reduceret til 11 – 12 kg N / ha i reduceret udvaskning.
Den opdaterede effekt er således inden for den variation, som tidligere er fun-
det (Børgesen et al., 2013), hvorfor effekten af økologi i tidligere baseline er
fast holdt i indeværende baseline. Ved en effekt på 10 til 17 kg N / ha vil en
omlægning til økologi betyde en reduktion i 2027 i forhold til 2018 på mellem
460 og 3.536 ton N på landsplan ved henholdsvis den mindste areal ændring
i kombination med den laveste reduktion i udvaskningen og den største are-
alændring i kombination med den højeste reduktion i udvaskningen.
42
MOF, Alm.del - 2020-21 - Bilag 86: Aarhus Universitets rapport af 3/11-2020 om Baseline 2027 for udvalgte elementer, fra miljøministeren
2273658_0045.png
Tabel 3.3.1.
Effekt af arealændring ved tre scenarier for udvikling fra 2018 til 2027 i det økologisk produktionsareal på udvaskning
fra rodzonen fordelt på vandoplande ud fra økologisk produktionsareal i 2012 og to estimater for effekt i kg N pr ha og estimeret
samlet effekt i ton N. Positive tal for effekt af økologi angiver en mindre udvaskning fra rodzonen.
Effekt i rodzonen, tons N
Vandopland
1,1
1,2
1,3
1,4
1,5
1,6
1,7
1,8
1,9
1,10
1,11
1,12
1,13
1,14
1,15
2,1
2,2
2,3
2,4
2,5
2,6
3,1
4,1
Nordlige Kattegat, Skagerrak
Limfjorden
Mariager Fjord
Nissum Fjord
Randers Fjord
Djursland
Århus Bugt
Ringkøbing Fjord
Horsens Fjord
Vadehavet
Lillebælt/Jylland
Lillebælt/Fyn
Odense Fjord
Storebælt
Det Sydfynske Øhav
Kalundborg
Isefjord og Roskilde Fjord
Øresund
Køge Bugt
Smålandsfarvandet
Østersøen
Bornholm
Vidå-Kruså
Hele landet
Andel
øko-areal
0,03
0,18
0,02
0,06
0,06
0,02
0,02
0,14
0,01
0,16
0,05
0,01
0,01
0,00
0,01
0,02
0,05
0,01
0,01
0,02
0,02
0,01
0,08
1,00
Scenarie Høj
10-17 kg pr. ha
73 - 123
379 - 645
46 - 78
131 - 223
122 - 207
36 - 61
31 - 53
292 - 497
21 - 37
339 - 576
94 - 159
23 - 40
28 - 48
10 - 17
16 - 28
42 - 71
95 - 162
24 - 41
15 - 26
48 - 81
31 - 53
14 - 24
160 - 271
2.080 - 3.536
Scenarie Middel
10-17 kg pr. ha
53 - 91
279 - 474
34 - 58
96 - 164
90 - 152
26 - 45
23 - 39
215 - 366
16 - 27
249 - 423
69 - 117
17 - 29
21 - 35
7 - 12
12 - 20
31 - 52
70 - 119
18 - 30
11 - 19
35 - 59
23 - 39
10 - 18
117 - 199
1.523 - 2.590
Scenarie Lav
10-17 kg pr. ha
16 - 27
84 - 143
10 - 17
29 - 49
27 - 46
8 - 14
7 - 12
65 - 110
5 - 8
75 - 127
21 - 35
5 - 9
6 - 11
2 - 4
4 - 6
9 - 16
21 - 36
5 - 9
3 - 6
11 - 18
7 - 12
3 - 5
35 - 60
458 - 779
Reduktionen i udvaskning fra rodzonen for de fire kombinationer fordelt på
hovedvandoplande ud fra det økologisk produktionsareal i 2012 fremgår af
tabel 3.3.1 Estimaterne for ændringer i udledningen pr ha ved overgang fra
konventionel drift til økologisk er baseret på fordelingen af økologisk drift på
driftsgrene som var gældende i perioden op til 2013. Både i 2012 og i 2018
(Landbrugsstyrelsen, 2020) udgjorde mælkeproduktion, defineret som bedrif-
ter med over 40 malkekøer, den største andel af det samlede økologiske pro-
duktionsareal svarende til 38 % i begge år. Trods samme fordeling af den øko-
logiske produktion på driftsgrene kan der dog være forskelle på effekten pga.
ændringer i såvel den konventionelle produktion der omlægges og den øko-
logiske produktion i 2012 sammenlignet med 2018 og 2027. Problemstillingen
er nærmere diskuteret i notat til Landbrugsstyrelsen af Olesen et al. (2019) og
analyseret af Olesen et al (2020). Her konkluderes det, at det areal vægtede
estimat for reduktionen i udvaskning ”i ringe grad er påvirket af, om der sam-
menlignes mellem typiske konventionelle og økologiske bedrifter, eller om
der tages udgangspunkt i faktisk omlagte bedrifter”. Som den eneste drifts-
form adskiller svineproduktion sig fra det generelle estimat ved, at økologi
ikke reducerer udvaskningen, men til gængæld er arealet med økologiske svi-
neproduktion beskedent.
43
MOF, Alm.del - 2020-21 - Bilag 86: Aarhus Universitets rapport af 3/11-2020 om Baseline 2027 for udvalgte elementer, fra miljøministeren
Konklusion
Der er udregnet scenarier baseret på en stigning i det økologiske areal fra
279.000 ha i 2018 til mellem 325.000 og 487.000 ha i 2027. Ved scenariet med
den højeste vækst i det økologiske areal er der en reduktion i udvaskningen
fra rodzonen i 2027 i forhold til 2018 på mellem 2.080 og 3.536 ton N på lands-
plan afhængigt af estimatet for reduktion pr. ha. Tilsvarende er der ved mid-
del vækst i det økologiske areal en reduktion på mellem 1.523 og 2.590 ton N
og på mellem 458 og 779 ton N ved lav vækst i det økologiske areal.
3.4
Effekter af bioforgasning og genanvendt organisk affald
Peter Sørensen og Birger Faurholt Pedersen
Fagfællebedømt af Jørgen Eriksen
Effekten af bioforgasning er, som tidligere i Blicher-Mathiesen et al. (2020),
estimeret på basis af effektberegninger fra Sørensen & Børgesen (2015). Ved
bioforgasning sker der en omsætning af organisk bundet N i gødningen til
mineralsk N, og da der generelt er en større udvaskning af kvælstof fra orga-
nisk bundet N, der løbende mineraliseres, end fra mineralsk N tilført om for-
året, kan der i de efterfølgende år forventes en lavere udvaskning fra den af-
gassede gødning i forhold til ubehandlet gødning (Jensen et al., 2016). Der er
indregnet en tiårig effekt heraf i det følgende.
Ved revurderingen af Baseline i 2015 (Jensen et al., 2016) blev der ikke taget
højde for, at mængden af N i input og output fra biogasanlæg, der angives i
gødningsregnskaber, er forskellig. Det skyldes, at anlæg kan anvende normtal
for kvælstofindhold i input, mens mængden af N i den afgassede gødning kan
estimeres ud fra aktuelle kemiske analyser (min. 12 stk. pr. år) og mængden
af afgasset gødning (tons), der afsættes. Normalt antages tab af N med gassen
at være uden betydning, men et lille tab af ammoniak fra den lagrede gødning
må forventes. Her er hentet de nyeste data fra Landbrugsstyrelsen med N-
input og N-output registreret på de enkelte biogasanlæg (tabel 3.4.1). I gød-
ningsåret 2017-2018 var der et samlet input på 38.762 tons N svarende til 17,3
% af den samlede mængde N i husdyrgødning. Ved samlet opgørelse af alle
anlæg var output 14 % lavere end input med meget stor variation mellem an-
læggene. I 2017-2018 skete der imidlertid en udvidelse af kapaciteten på nogle
anlæg, der kan betyde, at lagre har været under opbygning. Udtræk af data
udelukkende fra anlæg med næsten ens N-input i 2016-2017 og 2017-2018 vi-
ste en differens svarende til 9,9 % af tilført N. Denne differens er større end
differencen på 4,3 %, der blev antaget i Opdatering af Baseline 2021 (Blicher-
Mathiesen et al., 2020), hvor der kun var adgang til data frem til 2017. I det
følgende er antaget, at der i gennemsnit vil være 9,9 % mindre kvælstof, der
forlader anlæg, end der kommer ind. Årsagen til denne store forskel kan bl.a.
være, at normindholdet i gødning ikke er i overensstemmelse med det fakti-
ske indhold, men det kan heller ikke udelukkes, at nogle bedrifter afgiver en
mindre andel af produceret husdyrgødning til biogasanlægget end angivet i
gødningsregnskabet. Der kan endvidere være usikkerhed om indholdet af
kvælstof i øvrige input så som i organisk affald og i energiafgrøder. Afvigelser
fra det faktiske kvælstofindhold i tilført biomasse er uden betydning for bio-
gasanlægget.
44
MOF, Alm.del - 2020-21 - Bilag 86: Aarhus Universitets rapport af 3/11-2020 om Baseline 2027 for udvalgte elementer, fra miljøministeren
2273658_0047.png
Tabel 3.4.1.
Samlet mængde kvælstof registreret som tilført og fraført på biogasanlæg i gødningsåret 2017-18 og den registre-
rede udnyttelsesprocent (udtræk af data fra Landbrugsstyrelsen) samt beregnet effekt af den øgede tilførsel af handelsgødning
som følge af den regnskabsmæssige forskel mellem kvælstoftilførsel og -fraførsel (ved beregning af gødningsregnskab) ved en
gennemsnitlig marginaludvaskning på 18 % (gns. for sand- og lerjord).
Gødningsperiode 2017-18
Tilført N, tons N/år
Fraført N, tons N/år
Differens tilført - fraført, tons N/år
Differens tilført - fraført, % af tilført N
Vægtet udnyttelsesprocent
Marginaludvaskning (handelsgødning, %)
Øget N-udvaskning fra øget handelsgødning, tons N/år
Øget N-udvaskning kg N/kg N tilført
Andel af al organisk gødning til biogas, %
Alle biogasanlæg
38762
33349
5413
14,0
63
18
614
0,0158
17,3
Anlæg uden stor ændring i N-
input (2017-2018)
31046
27980
3065
9,9
63
18
348
0,0112
13,9
Det er mængden af afsat gødning fra biogasanlæg, der anvendes som grund-
lag ved tildeling af gødningskvoter til den enkelte bedrift. Det betyder, at der
gennemsnitligt kan anvendes mere handelsgødning, når gødningen har pas-
seret biogasanlægget, idet lovgivningens krav til udnyttelsesprocenten er den
samme før og efter afgasning (udnyttelsesprocenten beregnes ud fra et vægtet
gennemsnit af udnyttelsesprocenten i de gødninger og biomasser, som bio-
gasanlægget modtager). Den øgede kvote medfører øget udvaskning og er
beregnet med antagelse af en marginaludvaskning på 12 % på lerjord og 24 %
på sandjord, gennemsnitligt 18 % (Sørensen og Børgesen, 2015). h
Efter behandling i biogasanlæg har gødningen et højere potentiale for gød-
ningsvirkning. Ved revurderingen af baseline (Jensen et al. 2016) blev det anta-
get, at landmænd ville tage højde for den højere gødningsvirkning og tilføre
mindre handelsgødning, hvis der blev indført N-kvoter på det økonomisk op-
timale niveau, som det skete med implementeringen af landbrugspakken fra
2017. Denne antagelse blev lavet med forventning om, at landmænd vil gøde til
det økonomisk optimale niveau. Der blev imidlertid ikke taget højde for, at
gødskning under kvoten kan ombyttes til et mindre areal med efterafgrøder.
Dette fungerer i praksis ved, at jordbrugere automatisk får en kvotereduktion,
hvis de registrerer mindre efterafgrøder end krævet. Samkøring af data for kvo-
tereduktion på bedrifter med afgasset gødning og arealer, der modtager ube-
handlet husdyrgødning, har vist, at hyppigheden af kvotereduktion er ca. 10
gange større på bedrifter med afgasset gødning. Kvotereduktionen justeres au-
tomatisk ud fra det registrerede areal med efterafgrøder på den enkelte bedrift.
Det tyder på, at en del landmænd vælger at konvertere uudnyttede kvoter til
reduktion i efterafgrøder. Dermed neutraliseres effekten på N-udvaskning af
reduceret N-tilførsel ved afgasning, idet et mindre forbrug af N, og dermed re-
duceret udvaskning, modsvares af øget udvaskning på markniveau ved min-
dre brug af efterafgrøder på bedrifter med bioforgasning. Det er ikke muligt at
udtrække det samlede omfang heraf, idet vi kun kan isolere bedrifter, der ude-
lukkende modtager afgasset gødning. Omfanget af ombytning af kvotereduk-
tion til mindre efterafgrøder er derfor usikkert, men på basis af materialet skøn-
nes det at være udbredt. Derfor vurderes det her og i sidste baselinerapport
(Blicher-Mathiesen et al., 2020), men i modsætning til tidligere (Jensen et al.,
2016), at bioforgasning kun i ubetydeligt omfang medfører en uudnyttet N-
kvote (reduktion i gødning) uden samtidig reduktion i efterafgrøder, og der
indregnes derfor ikke en effekt af reduceret handelsgødning i det følgende.
45
MOF, Alm.del - 2020-21 - Bilag 86: Aarhus Universitets rapport af 3/11-2020 om Baseline 2027 for udvalgte elementer, fra miljøministeren
2273658_0048.png
Dette kan også forventes at være en driftsøkonomisk optimal strategi, idet der
dermed kan spares penge på etablering af efterafgrøder og evt. ændringer i
sædskifte i forbindelse med efterafgrøder. Effekten af ombytning af kvotere-
duktion til mindre efterafgrøder var ikke medregnet i Blicher-Mathiesen et al.
(2020). Det skal bemærkes, at den generelle skærpelse af udnyttelseskrav for
husdyrgødning implementeret 1. august 2020 generelt medfører mindre luft til
at konvertere uforbrugt kvote til reduktion af efterafgrøder.
Anvendelse af energiafgrøder på biogasanlæg, som f.eks. majsensilage, med-
fører samlet set et større input af kvælstof med gødning, idet der kun er et
udnyttelseskrav på 40 % tilknyttet kvælstof i energiafgrøden. Det betyder
også samlet set en lavere reduktion i nitratudvaskning ved bioforgasning (Sø-
rensen og Børgesen, 2015). På basis af udtræk fra gødningsregnskaber fra
2017-18 fra alle biogasanlæg er det beregnet, at det gennemsnitlige input af
kvælstof i energiafgrøder udgør 2,3% af det samlede N-input. På basis af mo-
delberegninger i Sørensen og Børgesen (2015) kan beregnes en ekstra udvask-
ning på 0,11 kg N/kg N-input i energiafgrøde som en ti-års effekt på lerjord
og tilsvarende en ekstra udvaskning på 0,22 kg N/kg N-input på sandjord.
Effekten heraf er indregnet i tabel 3.4.2. Effekten af øget tilførsel af organisk
affald, der ikke tidligere er tilført landbrugsjord, er analog hermed.
Som det fremgår af ovenstående, kan effekten af biogas på N-udvaskning op-
deles i fire separate effekter:
i)
Reduktion i organisk N, der medfører lavere udvaskning på længere
sigt.
Nedskrivning af mængden af N i afgasset gødning (administrativt), der
giver mulighed for at bruge mere handelsgødning og dermed øget N-
udvaskning.
Anvendelse af energiafgrøder, der medfører øget N-input og dermed
øget N-udvaskning.
Højere tilgængelighed af N i afgasset gødning end udnyttelseskra-
vene foreskriver, hvilket potentielt kan medføre mindre brug af han-
delsgødning og dermed mindre udvaskning. Med de nuværende reg-
ler forventes denne effekt imidlertid at blive neutraliseret af reduceret
etablering af efterafgrøder (øget udvaskning).
ii)
iii)
iv)
Tabel 3.4.2.
Effekter af bioforgasning på reduktion i N-udvaskning (ti-års perspektiv) beregnet af Sørensen og Børgesen (2015)
samt effekt af tilførsel af energiafgrøder og effekt af forskel i tilført og fraført kvælstof. Alle effekter er angivet som kg N/100 kg N
i husdyrgødning. Estimater er vist for sandjord med høj nedbør og lerjord med lav nedbør samt vægtet gennemsnit (20 % på
lerjord og 80 % på sandjord). Positive tal angiver en reduktion i N-udvaskning.
Komponent
Lerjord
Sandjord
Vægtet gns. ler-
og sandjord
2,0
-0,4
-1,3
0,2
Effekt af bioforgasning *
Effekt af energiafgrøder til biogas
Effekt af forskel i tilført og fraført N på anlæg
Samlet effekt
1,2
-0,26
-0,75
0,19
2,2
-0,49
-1,50
0,21
* 75 % kvæggylle og 25 % dybstrøelse (Sørensen & Børgesen, 2015).
46
MOF, Alm.del - 2020-21 - Bilag 86: Aarhus Universitets rapport af 3/11-2020 om Baseline 2027 for udvalgte elementer, fra miljøministeren
Der er som nævnt sket en kraftig udbygning af biogasanlæg i de senere år,
men det er politisk besluttet, at den økonomiske støtte til biogas reduceres for
anlæg, hvor byggeri ikke er opstartet ved udgangen af 2019. Det forventes i
praksis at betyde, at der ikke opstartes nye byggeprojekter med biogas efter
2019. På baggrund af de registrerede input af N til biogasanlæg i 2017-18 (ta-
bel 3.4.1) er det skønnet, at 17,5 % af den producerede husdyrgødning blev
afgasset ved starten af 2018.
I ”Klimaaftale for energi og industri mv. af 22. juni 2020”er det aftalt, at der
afsættes 200 mio. kr./år til biogas fra 2024 og i årene derefter (aftalen er ikke
gennemført endnu). På den baggrund er her opstillet to scenarier for den
fremtidige udvikling i biogas frem til 2027.
Scenarie 1) baseret på nuværende love: Det forventes, at andelen af organisk
gødning der behandles i biogasanlæg, stiger fra 17, 5% i 2018 til i 19 % 2021,
og derefter er konstant frem til 2027, svarende til en stigning i behandlet N-
input på i alt 3.300 tons N.
Scenarie 2): Som scenarie 1, men med en årlig stigning i biogasbehandling fra
2024 til 2027 med en stigningstakst på 4.800 tons N/år (svarende til den årlige
stigning i perioden 2014-18). I alt stiger mængden af behandlet - input med
22.500 tons N.
Ved beregning af udvaskning fra bioforgasset og ubehandlet husdyrgødning
er der anvendt en udvaskningsfaktor for mineraliseret kvælstof, der er sat i
forhold til udvaskningen fra kvælstof i handelsgødning tilført om foråret, der
beregnes med NLES4-modellen. Sørensen og Børgesen (2015) antog, at ud-
vaskningen fra mineraliseret N er dobbelt så høj (= faktor 2) i forhold til mi-
neralsk N tilført om foråret, idet frigivelsen af det organisk bundne N også
sker i perioder uden afgrøder på marken. Udvaskningsfaktoren på 2 er nær-
mere diskuteret i ”Opdatering af Baseline 2021” (Blicher-Mathiesen et al.,
2020). Udvaskningsfaktoren for mineraliseret N vil være afhængig af efterårs-
bevoksningen og kan dermed også ændre sig i fremtiden. Den gennemsnitlige
effekt af bioforgasning på reduktion i N-udvaskning over en 10-årig horisont
er estimeret til 0,2 kg N pr. 100 kg N i behandlet husdyrgødning (tabel 3.4.2).
Effekten skyldes det reducerede indhold af organisk N i gødningen, men
denne effekt modvirkes stort set af forskellen i N-tilførsel og N-fraførsel fra
biogasanlæg og effekten af energiafgrøder.
Den samlede reduktion i N-udvaskning er her beregnet til at ligge i intervallet
-54 (øget udvaskning) til +66 (mindre udvaskning) tons N fra rodzonen i sce-
narie 1 og fra -180 til +270 tons N i scenarie 2. Effekten af biogas ligger således
under bagatelgrænsen på 100 ton. Usikkerheden på estimatet er betydeligt
større end den estimerede middeleffekt. Det skyldes, at der både er faktorer
med usikkerhed, der trækker op, og andre, der trækker ned, og den samlede
effekt derfor fremkommer som en differens.
Effekt af organisk affald
Øget anvendelse af organisk affald i biogasanlæg, f.eks. i stedet for forbræn-
ding, medfører også en forventet øget N-udvaskning (Sørensen og Børgesen,
2015; Jensen et al., 2016). Den øgede udvaskning skyldes bl.a., at der samlet
set tilføres mere kvælstof til landbrugsarealet, idet udnyttelseskravet til N i
affaldet kun er 40 % i forhold til den handelsgødning, den erstatter. Denne
47
MOF, Alm.del - 2020-21 - Bilag 86: Aarhus Universitets rapport af 3/11-2020 om Baseline 2027 for udvalgte elementer, fra miljøministeren
2273658_0050.png
effekt må tilskrives ønsket om øget recirkulering og er ikke en effekt af biofo-
rgasning i sig selv (Jensen et al., 2016). I nogle tilfælde vil den øgede mængde
af recirkuleret affald blive komposteret og ikke anvendt til biogas. Effekten er
derfor ikke medregnet her i effekten for biogas.
Ved anvendelse af samme forudsætninger som Sørensen og Børgesen (2015)
kan øget anvendelse af affald forventes at medføre en stigning i N-udvask-
ning svarende til ca. 11 % af N i affaldet på lerjord og 22 % på sandjord (tabel
3.4.3.). Det vurderes, at tilførsel af ekstra affald til biogasanlæg vil have til-
nærmelsesvis den samme effekt som beregnet for ekstra tilførsel af majsensi-
lage, og at ca. 60 % af kvælstof i affald omdannes til ammonium i biogasanlæg
(Tampio et al., 2016).
Tabel 3.4.3.
Beregning af øget N-udvaskning (ti-års perspektiv) ved øget anvendelse af organisk affald i biogasanlæg ved et
udnyttelseskrav på 40 % for affald (Blicher-Mathiesen et al., 2020).
Lerjord
Tilført N med affald (kg N/ha)
Øget N udvaskning (kg N/ha)*
Udnyttelseskrav affald (%)
Netto øget N-udvaskning (kg N/kg N i affald)
* Effekter for majs til kvæggylle (Sørensen og Børgesen, 2015).
38,6
4,4
40
0,114
Sandjord
38,6
8,3
40
0,215
0,165
Gns. ler og sand
Det vides ikke, hvordan afgasset organisk affald fordeles, men her antages en
ligelig fordeling på sandjord og lerjord, idet størstedelen af affaldet produce-
res i de tættest befolkede områder i den østlige del af Danmark.
Miljøstyrelsens affaldsfremskrivningsmodel, FRIDA, opdeler affaldet i hus-
holdningsaffald, affald fra serviceerhverv og affald fra erhverv, der ikke er
serviceerhverv (tabel 3.4.4). Ifølge beregninger i denne model kombineret
med et skøn for kvælstofindhold i affaldet sker der en stigning i mængden på
145 tons N i genanvendeligt affald i perioden 2018 til 2027. Det antages her, at
den øgede mængde af genanvendeligt affald vil blive tilført til biogasanlæg.
Fremskrivningen i FRIDA bygger på historiske trends koblet sammen med
data fra den makroøkonomiske model ADAM, der anvendes af Finansmini-
steriet. Stigningen fra 2018 til 2027 på 145 tons N kan give en stigning i ud-
vaskningen på 24 tons N med en skønnet usikkerhed på +/- 12 tons N fra
rodzonen. Det er ikke muligt at opdele denne effekt på oplande, da det er
meget usikkert, hvor gødningen vil blive udbragt.
Tabel 3.4.4.
Fremskrevne mængder af genanvendeligt organisk affald ifølge Miljøstyrelsens affaldsmodel FRIDA (Marie Louise
Nygaard, Miljøstyrelsen, personlig meddelelse) og beregnet indhold af kvælstof i genanvendeligt affald.
Affald
Organisk affald (husholdninger)
Organisk affald (serviceerhverv)
Organisk affald (erhverv, bortset fra service)
I alt
*Tørstof i affald og % N i affald baseret på Oelofse et al. (2013) og Poulsen et al. (2019).
%TS*
40
40
40
% N i TS*
1.9
1.9
0.15
1.000 tons 1.000 tons
2018
2027
Tons N
2018
Tons N
2027
40
72
138
43
86
164
304
547
83
934
327
654
98
1079
48
MOF, Alm.del - 2020-21 - Bilag 86: Aarhus Universitets rapport af 3/11-2020 om Baseline 2027 for udvalgte elementer, fra miljøministeren
2273658_0051.png
Konklusion
Effekten af ændret bioforgasning i perioden 2018 til 2027 er estimeret til at
være ubetydelig. Den beregnede effekt af bioforgasning er betydeligt lavere
end i tidligere baselineberegninger. Det skyldes, at det med adgang til gød-
ningsregnskaber fra 2017-18 er blevet klart, at den registrerede fraførsel af
kvælstof fra biogasanlæg er ca. 10 % lavere end tilførslen. Dette giver mulig-
hed for en højere kvælstofkvote og tilsvarende større risiko for nitratudvask-
ning, således at den samlede effekt af biogas gennemsnitligt er tæt på 0.
Øget genanvendelse af 145 tons N i organisk affald fra 2018 til 2027 forventes
at øge N-udvaskningen med 24 tons N +/- 12 tons N over en 10-årig horisont.
3.5
Fosforlofter
Hans Estrup Andersen & Goswin Heckrath
Fagfællebedømt af Gitte Rubæk
Fra 1. august 2017 blev der i Danmark indført lofter for, hvor meget fosfor der
må tilføres på landbrugsbedrifter med mineralske og organiske gødninger
(tabel 3.5.1). Disse lofter blev indført i forbindelse med fjernelsen af de skær-
pede harmonikrav (1,4 DE/ha svarende til 140 kg N/ha), der før 1. august
2017 udgjorde en indirekte begrænsning af tildelingen med fosfor fra organisk
gødning. Fosforlofterne erstatter også de tidligere krav til fosforoverskuddet
i forbindelse med miljøgodkendelsen af husdyrbrug. Formålet med regulerin-
gen af fosfor er at sikre, at der ikke sker en uhensigtsmæssig ophobning af
fosfor i landbrugsjorden, der på længere sigt kan medføre øget risiko for tab
af fosfor til vandmiljøet.
Tabel 3.5.1.
Oversigt over maksimal fosfortildeling på harmoniarealet fordelt på gødningstyper (efter Landbrugsstyrelsen,
2019). For søoplande omfattet af vandområdeplanerne gælder et skærpet fosforloft. Søoplandene udgør cirka en fjerdedel af
det samlede landbrugsareal.
Gødningstype
Fosforloft 2019/2020
(kg P/ha)
Generelt
Fjerkræ og pelsdyr
Slagtesvin
Søer og smågrise
Kvæg
Kvæg omfattet af kvægundtagelsen (230 kg N/ha)
Anden organisk gødning
Vegetabilsk biomasse og bioaske
Kunstgødning
35
39
35
30
35
30
30
30
Skærpet
30
30
30
30
35
30
30
30
35
35
35
30
35
30
30
30
Fosforloft 2020/2021 og
2012/2022
(kg P/ha)
Generelt
Skærpet
30
30
30
30
35
30
30
30
Sørensen et al. (2019b) har opstillet fosforbalancer for en række bedriftstyper
ved maksimal tilførsel i forhold til et generelt og skærpet fosforloft. For kvæg-
brug er det kvælstofreguleringen, der sætter den øvre grænse for fosfortilførs-
len, mens det for de øvrige brugstyper er fosforlofterne (tabel 3.5.2 til 3.5.4).
Som eksemplerne viser, er der for alle bedriftstyper mulighed for relativt store
fosforoverskud inden for den grænse, fosforlofterne udstikker.
49
MOF, Alm.del - 2020-21 - Bilag 86: Aarhus Universitets rapport af 3/11-2020 om Baseline 2027 for udvalgte elementer, fra miljøministeren
2273658_0052.png
Tabel 3.5.2.
Årlig fosforbalance på kvægbrug ved maksimal tilførsel af kvælstof med husdyrgødning (Sørensen et al., 2019b).
170 kg N/ha
Tilførsel med husdyrgødning, kg P/ha
Fraførsel med afgrøder, kg P/ha
1
Balance, kg P/ha
1
230 kg N/ha
35,2
21,8-25,8
9,4-13,4
26,0
18,0-25,9
0,1-8,0
Intervallet mellem laveste og højeste fraførsel afhængig af jordtype og adgang til vanding.
Tabel 3.5.3.
Årlig fosforbalance på svinebedrift ved maksimal tilførsel af fosfor i forhold til generelt og skærpet fosforloft, slagte-
svin (Sørensen et al., 2019b).
Generelt
Tilførsel med husdyrgødning, kg P/ha
Fraførsel med afgrøder, kg P/ha
Balance, kg P/ha
1
1
Skærpet
30
14,7-26,9
3,1-15,4
35
14,7-26,9
8,1-20,3
Intervallet mellem laveste og højeste bortførsel afhængigt af jordtype og adgang til vanding.
Tabel 3.5.4.
Årlig fosforbalance på fjerkræbedrift ved maksimal tilførsel af fosfor i forhold til generelt og skærpet fosforloft (Sø-
rensen et al., 2019b).
Generelt
Tilførsel med husdyrgødning, kg P/ha
Fraførsel med afgrøder, kg P/ha
Balance, kg P/ha
1
Intervallet
1
Skærpet
30
14,7-26,9
3,1-15,4
35
14,7-26,9
8,1-20,3
mellem laveste og højeste fraførsel afhængig af jordtype og adgang til vanding.
Forud for indførelsen af fosforlofterne beregnede Andersen & Rolighed (2016)
landsdækkende fosforbalancer dels for situationen før fosforlofterne, dels for
situationen i 2020 med både generelle og skærpede fosforlofter. Beregnin-
gerne tog udgangspunkt i landsdækkende data fra 2013 fra registret for gød-
ningsregnskab og det generelle landbrugsregister. Konklusionen på arbejdet
var, at de allerstørste overskudstilførsler med fosfor elimineres med indfø-
relse af fosforlofterne. Der vil dog stadig efter indførelse af fosforlofterne
kunne være overskudstilførsel og dermed fosforakkumulering i jorden på ca.
60 % af harmoniarealet mod før ca. 64 %, ligesom arealet, der har en over-
skudstilførsel på mindst 10 kg P/ha, kun falder fra 22,5 % af harmoniarealet
til 19,8 %.
Ophobning af fosfor i jorden betyder, at jordens kapacitet for binding af fosfor
falder, og risikoen for udvaskning af fosfor til vandmiljøet stiger. En forhøjet
koncentration af fosfor i det øverste lag af landbrugsjorden øger også de fos-
fortab, der kan ske i forbindelse med vand- og vinderosion. Da der stadig efter
indførelse af fosforlofterne forekommer fosforakkumulering på størstedelen
af harmoniarealet, kan fosforlofterne ikke i sig selv forventes at føre til et re-
duceret fosfortab til vandmiljøet. Imidlertid vil stigningstakten i fosforakku-
mulering være væsentligt nedsat på en række arealer, der tidligere modtog
meget store fosfortildelinger. Dette betyder ikke, at fosfortabsrisikoen på
disse arealer nedsættes, blot at det tager længere tid at opbruge jordens bin-
dingskapacitet for fosfor.
50
MOF, Alm.del - 2020-21 - Bilag 86: Aarhus Universitets rapport af 3/11-2020 om Baseline 2027 for udvalgte elementer, fra miljøministeren
3.6
Husdyrefterafgrøder fra husdyrregulering
Gitte Blicher-Mathiesen
Fagfællebedømt af Hans Estrup Andersen
I august 2017 blev der indført en ny regulering af husdyr. Den nye regule-
ringsmodel beror på udlægningen af husdyrefterafgrøder, som udlægges som
kompensation for, at flere husdyr og dermed mere husdyrgødning giver øget
udvaskning i forhold til, hvis afgrøder kun blev tildelt handelsgødning.
Siden 2007 har der været stillet særlige krav om flere efterafgrøder eller andre
virkemidler på arealer, der grundet flere husdyr vil få tilført mere husdyrgød-
ning jf. bekendtgørelse nr. 648 af 18. juni 2007 om tilladelse og godkendelse
m.v. af husdyrbrug. I administrationen af øgede husdyr blev reguleringen af
miljøgodkendelser frem til 2017 vurderet i forhold til, om arealer lå i oplande
til Natura2000-områder og oplande til kvælstofsårbare kystvande, og derfor
afhang reguleringen af, hvilket kystvandopland husdyrbruget var placeret i.
I den nye husdyrregulering fra 2017 er Danmarks areal opdelt i 135 oplande, og
heraf klassificeres 85 oplande som nitratfølsomme habitatnaturtyper i Natura
2000-områder. Endvidere er der i Danmark 90 kystvandoplande, og ud af disse
har 74 et indsatsbehov i forhold til kvælstof udbragt via organisk gødning (Mil-
jøstyrelsen, 2017). I de oplande, hvor den uudnyttede andel af husdyrgødnin-
gen stiger, vil der være krav om, at der etableres husdyrefterafgrøder.
Der er altså forskel på, hvad kravet til husdyrefterafgrøderne er; det varierer
mellem de forskellige oplande, som de skal udlægges i, og afhænger af, om
den uudnyttede del af husdyrgødningen stiger, samt om bedriftens arealer
ligger i et kystvandopland, hvor der er et kvælstofindsatsbehov. Mængden af
det uudnyttede kvælstof i husdyrgødningen består både af det organisk
bundne kvælstof og af ammoniaktabet ved udbringning af husdyrgødningen.
Referenceåret for mængden af organisk gødning er for husdyrgødning 2007
og tager således udgangspunkt i data fra gødningsregnskaberne for planåret
2006/2007. For anden organisk gødning er referenceåret 2015, som tager ud-
gangspunkt i data fra gødningsregnskaberne for planåret 2014/2015. Anden
organisk gødning omfatter spildevandsslam, komposteret husholdningsaf-
fald m.v. jf. indberetningerne til gødningsregnskaberne.
Husdyrefterafgrøderne følger reglerne for lovpligtige efterafgrøder. De kan
inden for samme areal i dag overlappe med efterafgrøder til at opfylde krav
vedr. MiljøFokusOmråder, men de kan ikke overlappe med lovpligtige eller
målrettede efterafgrøder. Ligesom de lovpligtige efterafgrøder kan husdyref-
terafgrøderne erstattes af alternative virkemidler.
Husdyrefterafgrøderne blev trinvist indfaset fra planperioden 2017/2018 og
vil være fuldt indfaset fra planperioden 2021/2022. Den trinvise indfasning
fremgår af tabel 3.6.1. I planåret 2017/2018 blev der etableret godt 19.000 ha
husdyrefterafgrøder i oplande, der afvander til nitratfølsomme Natura 2000-
områder eller i kystvandsoplande med kvælstofindsatsbehov. Det er målet, at
der ved fuld indfasning af husdyrefterafgrøderne i planperioden 2021/2022
etableres ca. 34.000 ha med husdyrefterafgrøder i de pågældende oplande.
51
MOF, Alm.del - 2020-21 - Bilag 86: Aarhus Universitets rapport af 3/11-2020 om Baseline 2027 for udvalgte elementer, fra miljøministeren
2273658_0054.png
Tabel 3.6.1.
Oversigt over indfasning af husdyrefterafgrøder i planperioderne 2017/2018-2021/2022 (Madsen, I., Fuld-
mægtig, Miljø- og Fødevareministeriets Departement, pers. korrespondance, 2019).
Planperiode
Samlet niveau af efterafgrøder (ha)
2017/2018
19.250
2018/2019
24.250
2019/2020
27.500
2020/2021
30.750
2021/2022
34.000
Der er indført et maksimalt loft over husdyrefterafgrødekravet i det enkelte
opland på 34 %.
I den tekniske beregning af husdyrefterafgrøder findes først antal efterafgrøder,
der skal fordeles til oplande, der afvander til nitratfølsomme habitatnaturtyper
i Natura 2000-områder grundet øget forbrug af uudnyttet husdyrgødning og
anden organisk gødning. Når disse er beregnet, vil de resterende efterafgrøder
fordeles til kystvandoplande med et kvælstofindsatsbehov. For indfasning af
husdyrefterafgrøder i 2020/2021 fordeles 16.330 ha husdyrefterafgrøder i op-
lande til Natura 2000-habitater og 14.420 ha i kystvandoplande med kvælstof-
indsatsbehov beregnet af Landbrugsstyrelsen (I. Madsen, 2019 pers. kom.).
Mulig effekt af husdyrefterafgrøder i 2027
I forhold til en vurdering af husdyrefterafgrøders effekt på udvaskning i 2027
vil det indgå, at antallet af husdyrefterafgrøder stiger fra 19.250 ha i 2017/18 til
34.000 ha i 2021/22, en stigning på 14.750 ha. Med samme beregningsforudsæt-
ninger med en reduktion i udvaskning på gennemsnitlig 33 kg N/ha, som i den
tekniske beskrivelse af beregningsgrundlaget for husdyrefterafgrøder (Miljø-
styrelsen, 2017), vil det øgede antal husdyrefterafgrøder på 14.750 ha give en
mindre udvaskning på ca. 487 ton N.
Imidlertid er der forslag om at øge krav til udnyttelse af husdyrgødning jf. hø-
ring af bekendtgørelse om jordbrugets anvendelse af gødning i planperioden
2020/2021 (https://hoeringsportalen.dk/Hearing/Details/64051). Heri fore-
slås det, at krav til udnyttelsen af svinegylle øges fra 75 til 80 %, for kvæggylle
fra 70 til 75 %, for fjerkrægylle sættes krav til udnyttelse af husdyrgødning til
80 %, for dybstrøelse fra kvæg og svin øges kravet fra 45 til 50 %, og for dybstrø-
else fra fjerkræ og anden husdyrgødning fra fjerkræ sættes kravet til 60 %, mens
fiberfraktion efter forarbejdet gødning, dybstrøelse og husdyrgødning, der ikke
er omfattet af disse fornævnte kategorier, får et krav på 55 %.
Miljø- og Fødevareministeriet har estimeret, at de øgede krav til udnyttelse af
husdyrgødning vil medføre en reduktion i forbruget af handelsgødning på ca.
11.000 ton N (Pers. Komm. Miljø- og Fødevareministeriets departementet,
2020). En øget udnyttelse af husdyrgødning vil give en mindre mængde af uud-
nyttet husdyrgødning, og det vil igen medføre, at fordelingen af husdyrefteraf-
grøderne mellem oplande til Natura 2000-habitater og kystvandoplande med
kvælstofindsatsbehov bliver anderledes end hidtil. Reelt vil der blive færre hus-
dyrefterafgrøder, hvilket vil modvirke effekten af en øget mængde uudnyttet
husdyrgødning siden 2007, og derfor vil husdyrefterafgrøderne formentlig
overvejende blive lagt i kystvandoplande med behov for en kvælstofindsats.
I fremskrivning af husdyrholdet i afsnit 2.2 anslås det, at antallet af køer og svin,
og dermed husdyrgødning ab dyr for disse to dyregrupper, vil stige fra 223.000
ton N i 2018 til mellem 202.000-259.000 ton N, med et middel på 231.000 ton N
i 2027, en stigning på ca. 8.000 ton N. Korrigeret for ammoniaktab fra stald og
lager på ca. 10 % giver det en stigning på ca. 7.200 ton N som husdyrgødning
52
MOF, Alm.del - 2020-21 - Bilag 86: Aarhus Universitets rapport af 3/11-2020 om Baseline 2027 for udvalgte elementer, fra miljøministeren
ab lager. Husdyrefterafgrøder vil derfor skulle etableres for at modvirke en øget
udvaskning fra den uudnyttede husdyrgødning.
Det er ikke muligt inden for rammen af denne rapport at fremskrive en prog-
nose for fordeling og effekt af husdyrefterafgrøderne, som både indeholder ef-
fekten af, at husdyrefterafgrøderne formentlig omfordeles grundet de øgede
krav til udnyttelse af husdyrgødning, samt at mængden af uudnyttet husdyr-
gødning vil stige grundet flere svin og køer i 2027.
3.7
Fremskrivning af atmosfærisk deposition af kvælstof til
2027
Thomas Ellermann, Jesper H. Christensen & Ole-Kenneth Nielsen
Fagfællebedømt af Ole Hertel
I det følgende præsenteres resultaterne af en fremskrivning af den atmosfæ-
riske deposition af kvælstof til de 23 danske hovedvandoplande. Fremskriv-
ningerne er foretaget frem til henholdsvis 2021 og 2027. Beregningerne er en
opfølgning på de i 2019 gennemførte scenarieberegninger i forbindelse med
opdatering af baseline 2021 (Blicher-Matthiesen et al., 2020). Der er sket en
række ændringer i fremskrivningerne set i forhold til den seneste fremskriv-
ning med henblik på at basere disse på det bedst mulige grundlag og de bed-
ste og nyeste tilgængelige data. Disse ændringer og resultaterne af beregnin-
gerne fremgår af de følgende afsnit.
Metode og anvendte emissioner
Modelberegninger af deposition til hovedvandoplandene foretages med luft-
forureningsmodellen DEHM (Dansk Eulersk Hemisfærisk Model). I DEHM be-
regnes emission, luftbåren transport, kemisk omsætning og DEposition af luft-
forurening i et tredimensionelt net af gitterceller. Beregningerne i de præsente-
rede fremskrivninger er foretaget med den seneste version af DEHM, som er
opdateret på en lang række punkter set i forhold til den version, som blev an-
vendt i forbindelse med Delprogram for luft under NOVANA ved rapporterin-
gen for 2017 (Ellermann et al., 2019a). Der henvises til Ellermann et al. (2019b)
for en kortfattet og let tilgængelig beskrivelse af opdateringen af modellen.
Beregningerne af deposition foretages med en geografisk opløsning på 6 km
x 6 km i det horisontale plan, som dækker hele Danmark. Vertikalt dækker
modellen de nederste 15 km af atmosfæren i form af 29 lag gitterceller, hvor
det nederste lag er relativt tyndt (12 m), mens lagene herefter stiger i tykkelsen
op til de øverste lag, som er relativt tykke (2000 m). Denne fordeling skyldes
ønsket om en god beskrivelse af forhold tæt ved jordoverfladen.
Alle modelberegningerne er udført med meteorologiske data fra den meteo-
rologiske model WRF (Weather Research and Forecasting model). For samt-
lige beregningsår (2017/2018, 2021 og 2027) er der anvendt samme meteoro-
logiske data, således at den beregnede udviklingstendens alene afspejler ud-
viklingen i emissioner og ikke er en følge af naturlige variationer i meteoro-
logi fra år til år. Endvidere er der for hvert beregningsår gennemført model-
beregninger baseret på meteorologiske data for årene 2017, 2018 og 2019. Re-
sultaterne for de tre meteorologiske år er herefter midlet for derigennem at
reducere effekten af de naturlige variationer i de meteorologiske forhold.
53
MOF, Alm.del - 2020-21 - Bilag 86: Aarhus Universitets rapport af 3/11-2020 om Baseline 2027 for udvalgte elementer, fra miljøministeren
2273658_0056.png
Modelberegningerne er baseret på bedst tilgængelige danske og internatio-
nale emissionsopgørelser og omfatter alle væsentlige kemiske komponenter
af betydning for beregning af depositionen af kvælstof. For Danmark anven-
des detaljerede emissionsopgørelser med høj geografisk opløsning (1 km x 1
km) udarbejdet af DCE (Nielsen et al., 2020; Plejdrup et al., 2018). For de øv-
rige lande anvendes emissionsopgørelser, som er samlet og distribueret af det
europæiske samarbejdsprogram EMEP (EMEP, 2020). Modelberegninger for
referenceåret (2017/2018) er udført på basis af de enkelte landes nationale op-
gørelser over de faktiske emissioner i de pågældende år. For Danmark anven-
des emissioner for 2018 (Nielsen et al., 2020), mens emissionsopgørelserne for
de øvrige europæiske lande er fra 2017. Disse data repræsenterer de mest op-
daterede tilgængelige emissionsopgørelser. For yderligere information om
emissionsopgørelserne henvises til Ellermann et al. (2019b).
Der er lavet beregninger for to scenarier for udviklingen frem til 2021 og 2027
baseret på følgende:
1. Ændringer i emissionerne svarende til landenes prognoser for 2021 og
2027 (tabel 3.7.1).
2. Ændringer i emissionerne svarende til, at landene overholder emissionslof-
terne angivet i forbindelse med NEC-direktivet (EU, 2016) og Gøteborgpro-
tokollen (UNECE, 2013), som forpligter landene til at reducere emissionerne
i 2020 og 2030 (kun for NEC-direktivet) med en fastlagt procentsats set i for-
hold til emissionerne i 2005. For de lande, som forventes at opnå en ”over-
implementering” af kravene, anvendes dog landenes egne prognoser.
I det følgende angives udviklingen i kvælstofdepositionen på basis af spæn-
det mellem disse to scenarier. I forbindelse med den tidligere opdatering af
baseline 2021 var det kun scenarie 2, der blev anvendt (Blicher-Matthiesen et
al., 2020).
Fremskrivningen af emissionerne til 2021 og 2027 er beregnet ved interpolation
mellem fremskrivningerne af danske og europæiske emissioner til 2020 og 2030.
Dette er foretaget dels ud fra landenes prognoser, dels ud fra landenes fremti-
dige forpligtelser i relation til NEC-direktivet og Gøteborgprotokollen.
I forbindelse med det europæiske samarbejde om emissionsopgørelser har DCE
indsamlet informationer om EU-medlemslandenes egne basisfremskrivninger
af emissionerne for årene 2020 og 2030. I det foreliggende projekts fremskriv-
ning til årene 2021 og 2027 anvendes de mest opdaterede tilgængelige progno-
ser, som blev indrapporteret til EU i 2019. I den tidligere fremskrivning til 2021
blev der anvendt prognoser, som var indrapporteret til EU i 2017.
Tabel 3.7.1.
Oversigt over de anvendte emissioner i Scenarie 1 for en række af de lande, som bidrager mest til depositionen af
kvælstof i Danmark, samt de samlede emissioner for de 28 EU-medlemslande. Emissionerne er angivet i 1.000 ton. NO
x
er an-
givet som kvælstofdioxid (NO
2
).
Danmark*
NH
3
2017/2018
2021
2027
*Tal for 2018.
Tyskland
NH
3
673
606
573
NO
x
1.174
979
805
Storbritannien
NH
3
283
291
288
NO
x
881
736
624
Holland
NH
3
132
117
108
NO
x
248
182
143
NH
3
3.887
3.692
3.705
EU-28
NO
x
10.527
6.668
5.692
NO
x
106
97
85
77
73
72
54
MOF, Alm.del - 2020-21 - Bilag 86: Aarhus Universitets rapport af 3/11-2020 om Baseline 2027 for udvalgte elementer, fra miljøministeren
2273658_0057.png
Emissionslofterne i NEC-direktivet er angivet i form af relative reduktioner i
emissionerne beregnet på baggrund af landenes officielt indmeldte emissio-
ner for 2005. De absolutte emissionslofter beregnes derfor ud fra de relative
reduktioner og emissionerne i 2005. De absolutte emissionslofter for 2020 og
2030 er samtidig blevet justeret i forbindelse med den nye fremskrivning. De
i tabel 3.7.3 angivne absolutte emissionslofter er baseret på de senest tilgæn-
gelige data for emissionerne i 2005 (EMEP, 2020). Bemærk, at emissioner fra
landbrug (3B og 3D) er undtaget fra NEC-direktivets (EU, 2016) regulering af
emissioner af kvælstofoxider (NO
x
). De i tabel 3.7.3 angive absolutte emissi-
onslofter er imidlertid korrigeret, således at landbrugsemissionerne (3B og
3D) er inkluderet, og det har den fordel, at værdierne dermed er sammenlig-
nelige med værdierne angivet for Scenarie 1 og 2.
Tabel 3.7.2.
Oversigt over de anvendte emissioner i Scenarie 2 for en række af de lande, som bidrager mest til depositionen af
kvælstof i Danmark, samt de samlede emissioner for de 28 EU-medlemslande. Emissionerne er angivet i 1.000 ton. NO
x
er an-
givet som kvælstofdioxid (NO
2
).
Danmark*
NH
3
2017/2018
2021
2027
*Tal for 2018.
Tyskland
NH
3
673
573
484
NO
x
1.174
616
486
Storbritannien
NH
3
283
256
242
NO
x
881
736
591
Holland
NH
3
132
117
108
NO
x
248
182
143
NH
3
3.887
3.518
3.337
EU-28
NO
x
10.527
6.270
5.172
NO
x
106
97
85
77
69
69
Tabel 3.7.3.
Oversigt over de absolutte emissionslofter for en række af de lande, som bidrager mest til depositionen af kvælstof
i Danmark, samt de samlede emissioner for de 28 EU-medlemslande. NEC-direktivet angiver relative krav til reduktionen af
emissionerne baseret på emissionen i 2005. De absolutte emissionslofter er baseret på de seneste tilgængelige data for emissi-
onerne i medlemslandene i 2005 (EMEP, 2020). Værdierne inkluderer emissionerne af NO
x
fra landbrug (3B og 3D). Emissio-
nerne er angivet i 1.000 ton. NO
x
er angivet som kvælstofdioxid (NO
2
).
Danmark
NH
3
NEC 2020
NEC 2030
69
69
NO
x
110
86
Tyskland
NH
3
588
439
NO
x
638
421
Storbritannien
NH
3
258
236
NO
x
823
504
Holland
NH
3
133
121
NO
x
240
167
NH
3
3.631
3.207
EU-28
NO
x
6.457
4.616
Tabel 3.7.1 viser en oversigt over de anvendte emissioner i Scenarie 1 fra de
lande, som er vigtigst for depositionen af kvælstof i Danmark. Tabellen viser
ligeledes de samlede emissioner for de 28 EU-medlemslande (Storbritannien
er her medregnet, selv om de netop er trådt ud af EU). Tabel 3.7.2 viser en
oversigt over de anvendte emissioner i Scenarie 2, og til sammenligning viser
tabel 3.7.3 de konkrete emissionslofter for 2020 og 2030.
I figur 3.7.1 illustreres udviklingen i emissionerne for de to scenarier for Dan-
mark, Storbritannien og de samlede EU-medlemslande. De to lande illustrerer
nogle vigtige forskelle mellem situationerne for de forskellige lande. For emis-
sionerne af NO
x
fra Danmark ses det, at Danmarks prognoser peger på en
forventet overholdelse af NEC-emissionslofterne, så derfor er der ikke forskel
på Scenarie 1 og 2. For emissionerne af ammoniak (NH
3
) forventes til gengæld
overskridelse af emissionslofterne, og dermed er der en forskel mellem de to
scenarier.
For emissionen af NO
x
fra Storbritannien ses det, at prognoserne peger på
overholdelse af emissionsloftet for 2021, men ikke af det tilsvarende emissi-
onsloft for 2027. Bemærk i øvrigt, at for NH
3
viser Storbritanniens fremskriv-
ninger en stigning frem mod 2021 og 2027.
55
MOF, Alm.del - 2020-21 - Bilag 86: Aarhus Universitets rapport af 3/11-2020 om Baseline 2027 for udvalgte elementer, fra miljøministeren
2273658_0058.png
For EU-medlemslandene ses det, at landene samlet set næsten kommer til at
overholde emissionslofterne for NOx, og at der forventes et stort fald i perio-
den frem mod 2021 og 2027. Til sammenligning ses kun et lille fald i emissio-
nerne af NH
3
, hvor prognoserne tilmed peger på en let stigning fra 2021 til
2027, og det fremgår, at medlemslandene på nuværende tidspunkt samlet set
ikke forventes at komme til at overholde NEC-emissionslofterne.
For de øvrige europæiske lande (ni lande, som ikke grænser op til Danmark)
er emissionerne taget fra ”Policy Scenarios for the Revision of the Thematic
Strategy on Air Pollution, TSAP Report # 10” (se
https://ec.europa.eu/en-
vironment/air/pdf/TSAP-Report-10.pdf
(tabellerne 4.6 og 4.7).
Figur 3.7.1.
Illustration af Scenarie 1 og 2 samt NEC-emissionslofter for emissionerne af NO
x
og NH
3
fra Danmark, Storbritan-
nien og de samlede EU-medlemslande. Bemærk, at for emissionerne af NOx fra Danmark er Scenarie 1 og 2 identiske, hvilket
er årsag til, at man ikke kan se den blå linje.
56
MOF, Alm.del - 2020-21 - Bilag 86: Aarhus Universitets rapport af 3/11-2020 om Baseline 2027 for udvalgte elementer, fra miljøministeren
2273658_0059.png
Skibsemissioner for de forskellige scenarier er for 2015 i alle de foretagne sce-
narieberegninger og er ligeledes identiske med de data, der blev anvendt i
forbindelse med NOVANA 2018.
Udviklingstendens fra 2017/2018 til 2021 og 2027
I forbindelse med scenarieberegningerne er der foretaget modelberegninger
for tre år af depositionen af kvælstof med emissioner for 2017/2018, 2021 og
2027 ved brug af metereorologiske data for 2017, 2018 og 2019. Resultaterne
for de tre meteorologiske år er herefter midlet for på den måde at udglatte
effekterne af de naturlige variationer fra år til år.
Den samlede deposition af kvælstof til danske landområder i referenceåret
(2017/2018) er på ca. 58.000 tons kvælstof (tabel 3.7.4). Dette er omkring 6 %
højere end beregnet i forbindelse med opdateringen af baseline 2021 (Blicher-
Matthiesen et al., 2020). Årsagen til denne forskel er følgende:
De meteorologiske beregningsår er opdateret fra 2016-2018 til 2017-
2019.
De danske emissioner er opdateret fra 2017 til 2018 og genberegnet i
overensstemmelse med internationale anbefalinger. Lignende juste-
ringer er foretaget for de øvrige landes emissioner.
Der er foretaget en nødvendig forbedring af de anvendte meteorolo-
giske data på baggrund af ændringer foretaget af dataleverandøren.
Der er blevet rettet en mindre fejl i forbindelse med beregning af luft-
båren havsalt.
Den samlede effekt er således en ændring i depositionen på omkring 6 %.
Denne ændring ligger imidlertid inden for usikkerheden på beregningerne.
Tabel 3.7.4 og figur 3.7.2 præsenterer resultaterne for beregningerne for Sce-
narie 1 og 2 og for henholdsvis 2021 og 2027. For Scenarie 1 ses et fald til 52.000
tons kvælstof frem til 2027, hvilket er et fald på 6.000 tons kvælstof (svarende
til ca. 10 %). For Scenarie 2 ses et fald på 9.000 tons kvælstof (svarende til ca.
15 %), hvilket harmonerer med, at de største emissionsreduktioner ses for
dette scenarie.
I tillæg til resultaterne for Scenarie 1 og 2 viser figur 3.7.2 ligeledes resulta-
terne for opdateringen af baseline 2021, som er baseret på Scenarie 2. Der ses
et parallelt forløb frem til 2021, hvor der i den nye og gamle fremskrivning er
et fald på omkring 6.000 tons kvælstof, hvor de nye beregninger dog ligger på
et niveau, der er omkring 6 % højere.
Tabel 3.7.4.
Den samlede deposition af kvælstof (1000 tons N) til danske landområder i
2017/2018 og for Scenarie 1 og 2 for henholdsvis 2021 og 2027. Endvidere angives den
procentvise ændring frem mod 2021 og 2027 set i forhold til 2017/2018. Tallene angiver
gennemsnit for de meteorologiske forhold for 2017, 2018 og 2019
2017/2018
2021
2027
Scenarie 1
1000 tons N/år
%
58
54
6
52
10
Scenarie 2
1000 tons N/år
%
58
52
11
49
15
57
MOF, Alm.del - 2020-21 - Bilag 86: Aarhus Universitets rapport af 3/11-2020 om Baseline 2027 for udvalgte elementer, fra miljøministeren
2273658_0060.png
Figur 3.7.3 viser den geografiske fordeling af depositionen af kvælstof til danske
landområder dels for 2017/2018, dels for Scenarie 2 for 2027. I store træk ses
samme fordeling af depositionen med den højeste deposition i den vestlige og
sydlige del af Jylland og den laveste deposition på Sjælland, hvor der navnlig
er lav deposition i Hovedstadsområdet. De to figurer viser den største forskel
mellem referenceåret og scenarieberegningerne. De øvrige scenarier (2021 Sce-
narie 1 og 2 samt 2027 Scenarie 1) ligger mellem disse to yderpunkter.
Figur 3.7.2.
Udviklingstendens for den samlede deposition af kvælstof til danske landom-
råder for Scenarie 1 og Scenarie 2. Referenceåret (2017/2018) er angivet ud for 2017, da
emissionerne hovedsageligt er for dette år. Endvidere angives de tilsvarende tal beregnet
i forbindelse med projektet med beregninger af baseline 2021, hvor et scenarie tilsvarende
Scenarie 2 blev anvendt (Blicher-Matthisen et al., 2020). Ved sammenligningen mellem de
nye og gamle beregninger skal det tages med i betragtning, at beregningerne er foretaget
med lidt forskelligt grundlag.
Figur 3.7.3.
Gennemsnitlig årlig deposition af kvælstof til danske landområder angivet som deposition af kvælstof pr. arealenhed
(kg N/ha) for 2017/2018 (venstre) og for 2027 Scenarie 2 (højre). Tallene angiver gennemsnit for beregninger med de meteorologi-
ske forhold for 2017, 2018 og 2019. Den geografiske opdeling over Danmark svarer til en gitterstørrelse på 6 km x 6 km.
58
MOF, Alm.del - 2020-21 - Bilag 86: Aarhus Universitets rapport af 3/11-2020 om Baseline 2027 for udvalgte elementer, fra miljøministeren
2273658_0061.png
Tabellerne 3.7.5 og 3.7.6 angiver depositionen fordelt efter den samme geo-
grafiske opdeling af hovedvandoplandene, som er anvendt i forbindelse med
opdateringen af baseline 2021 (Blicher-Matthiesen et al., 2020). Der er en min-
dre geografisk gradient i faldet i depositionerne for de forskellige scenarier.
De største ændringer beregnes for de sydlige hovedvandoplande i Jylland (op
til 18 % for Scenarie 2 i 2027), og de mindste ændringer ses i nord (ned til 14
%). Årsagen til denne ændring er formentlig, at de danske emissioner udgør
den største andel af depositionen i nord, samtidig med at faldet i de danske
emissioner forventes at være mindre end for landene syd for Danmark (figur
3.7.1). Forskellen er dog lille.
Tabel 3.7.5
Gennemsnitlig årlig deposition af kvælstof til hovedvandoplandene angivet som deposition af kvælstof pr. arealen-
hed (kg N/ha). Beregningerne for 2017/2018 er baseret på faktiske emissioner, mens 2021 og 2027 er fremskrivninger baseret
på Scenarie 1 og 2. Depositionerne er gennemsnit beregnet for de meteorologiske forhold i perioden fra 2017 til 2019.
2017/2018
Hovedvandopland
1,1
Nordlige Kattegat, Skagerak
1,2
Limfjorden
1,3
Mariager Fjord
1,4
Nissum Fjord
1,5
Randers Fjord
1,6
Djursland
1,7
Aarhus Bugt
1,8
Ringkøbing Fjord
1,9
Horsens Fjord
1,10
Vadehavet
1,11
Lillebælt/Jylland
1,12
Lillebælt/Fyn
1,13
Odense Fjord
1,14
Storebælt
1,15
Det Sydfynske Øhav
2,1
Kalundborg
2,2
Isefjord og Roskilde Fjord
2,3
Øresund
2,4
Køge Bugt
2,5
Smålandsfarvandet
2,6
Østersøen
3,1
Bornholm
4,1
Vidå-Kruså
Internationalt Vidå-Kruså
Samlet for Danmark
kg N/ha
12,2
13,6
13,7
14,7
13,3
11,5
11,4
14,7
13,5
15,8
14,8
13,9
13,4
12,2
12,7
10,7
10,5
10,3
11,0
11,5
10,9
12,0
17,5
17,3
13,4
2021
Scenarie 1
Scenarie 2
kg N/ha
kg N/ha
11,6
11,0
12,6
12,0
12,6
12,1
13,9
13,3
12,5
11,9
10,7
10,2
10,7
10,3
13,9
13,2
12,8
12,2
14,8
14,1
14,1
13,4
13,1
12,5
12,6
12,0
11,4
10,9
12,0
11,5
10,0
9,5
9,9
9,5
9,7
9,3
10,2
9,8
10,8
10,3
10,3
9,8
11,2
10,7
16,2
15,4
16,0
15,2
12,6
12,0
2027
Scenarie 1
Scenarie 2
kg N/ha
kg N/ha
11,2
10,5
12,2
11,5
12,2
11,5
13,4
12,7
12,0
11,3
10,3
9,7
10,3
9,7
13,4
12,6
12,4
11,6
14,3
13,4
13,5
12,6
12,6
11,8
12,1
11,3
11,0
10,2
11,5
10,7
9,6
8,9
9,5
8,9
9,2
8,6
9,7
9,1
10,3
9,6
9,8
9,1
10,8
10,1
15,6
14,3
15,1
13,5
12,1
11,3
59
MOF, Alm.del - 2020-21 - Bilag 86: Aarhus Universitets rapport af 3/11-2020 om Baseline 2027 for udvalgte elementer, fra miljøministeren
2273658_0062.png
Tabel 3.7.6.
Gennemsnitlig årlig deposition af kvælstof til hovedvandoplandene angivet som samlet deposition til hovedoplan-
det (1000 ton N). Beregningerne for 2017/2018 er baseret på faktiske emissioner, mens 2021 og 2027 er fremskrivninger base-
ret på Scenarie 1 og 2. Depositionerne er gennemsnit beregnet for de meteorologiske forhold i perioden fra 2017 til 2019.
2017/2018
Hovedvandopland
1,1
Nordlige Kattegat, Skagerak
1,2
Limfjorden
1,3
Mariager Fjord
1,4
Nissum Fjord
1,5
Randers Fjord
1,6
Djursland
1,7
Aarhus Bugt
1,8
Ringkøbing Fjord
1,9
Horsens Fjord
1,10
Vadehavet
1,11
Lillebælt/Jylland
1,12
Lillebælt/Fyn
1,13
Odense Fjord
1,14
Storebælt
1,15
Det Sydfynske Øhav
2,1
Kalundborg
2,2
Isefjord og Roskilde Fjord
2,3
Øresund
2,4
Køge Bugt
2,5
Smålandsfarvandet
2,6
Østersøen
3,1
Bornholm
4,1
Vidå-Kruså
Internationalt Vidå-Kruså
Samlet for Danmark
1000 ton N
3,3
10,3
0,8
2,4
4,3
1,2
0,9
5,2
1,1
7,0
3,5
1,4
1,6
0,7
1,0
1,0
2,0
0,8
1,1
3,9
1,2
0,7
1,9
0,4
57,7
2021
Scenarie 1
Scenarie 2
1000 ton N
1000 ton N
3,1
2,9
9,6
9,1
0,7
0,7
2,3
2,2
4,1
3,9
1,1
1,0
0,8
0,8
4,8
4,6
1,0
1,0
6,6
6,3
3,3
3,2
1,3
1,2
1,5
1,4
0,6
0,6
0,9
0,9
1,0
0,9
1,9
1,8
0,8
0,8
1,0
1,0
3,7
3,5
1,1
1,1
0,7
0,6
1,8
1,7
0,4
0,4
54,1
51,6
2027
Scenarie 1
Scenarie 2
1000 ton N
1000 ton N
3,0
2,8
9,3
8,7
0,7
0,7
2,2
2,1
3,9
3,7
1,0
1,0
0,8
0,8
4,7
4,4
1,0
0,9
6,3
5,9
3,2
3,0
1,3
1,2
1,4
1,4
0,6
0,5
0,9
0,8
0,9
0,9
1,8
1,7
0,7
0,7
1,0
0,9
3,5
3,3
1,1
1,0
0,6
0,6
1,7
1,6
0,4
0,3
52,1
48,8
Figur 3.7.4 viser den geografiske fordeling af depositionen af kvælstof til ho-
vedvandoplandene. Størst deposition ses i det sydlige Jylland med en afta-
gende gradient op mod det nordlige Jylland. Den mindste deposition pr. are-
alenhed ses på Sjælland, mens depositionen pr. arealenhed på Bornholm er
en anelse større.
Konklusion og diskussion af usikkerheder
Fremskrivningerne til 2027 viser, at den samlede deposition til danske land-
områder vil ligge på omkring 49.000-52.000 tons kvælstof, hvor det angivne
spænd er baseret på forskellen mellem Scenarie 1 og Scenarie 2. Det forven-
tede fald i depositionen beregnes til omkring 6.000-9.000 tons kvælstof, hvil-
ket svarer til et fald på 10-15% set i forhold til referenceåret 2017/2018. Det
største fald ses for hovedvandoplandene i det sydlige Jylland og det mindste
fald i nord. De geografiske forskelle i faldet er dog små.
Fremskrivninger af emissionerne til 2021 og 2027 for de to scenarier er den
faktor, som giver den største usikkerhed. Det er også derfor, at der er anvendt
to scenarier i de præsenterede fremskrivninger. De to scenarier kan anvendes
til at vurdere, hvor stor betydning det har, om EU’s medlemslande kommer
til at overholde de direktivbundne reduktionskrav.
60
MOF, Alm.del - 2020-21 - Bilag 86: Aarhus Universitets rapport af 3/11-2020 om Baseline 2027 for udvalgte elementer, fra miljøministeren
2273658_0063.png
Figur 3.7.4.
Den forventede geo-
grafiske fordeling af kvælstofde-
positionen til Vandområdeplaner
2015-2021 hovedvandoplande i
2027 for Scenarie 2. De sorte tal
viser hovedvandoplandenes
nummer og herunder navn, og de
sorte tal i kursiv angiver kvælstof-
deposition pr. arealenhed (kg
N/ha).
Usikkerheden på selve fremskrivningerne af emissionerne kan illustreres ved
at sammenligne medlemslandenes fremskrivninger fra EU-indrapporterin-
gen i 2017 med den tilsvarende indrapportering i 2019. Eksempelvis er de ty-
ske indberetninger af den forventede emission af NOx i 2021 øget med 15 %
mellem indberetningen i 2017 og indberetningen i 2019 (Nielsen, 2019). De
tyske fremskrivninger følger internationale standarder på området, så eksem-
plet skal alene tjene til at illustrere, hvor hurtigt viden på området samt ud-
vikling i samfundsmæssige forhold kan ændre sig.
Alt i alt vurderes det, at usikkerhederne på fremskrivningerne af emissioner
er store, hvilket igen betyder, at usikkerheden på beregningen af den forven-
tede deposition i 2027 er stor og formentligt større end det angive spænd i
depositioner. Hvor stor er vanskeligt at vurdere, men umiddelbart vurderes
det, at usikkerheden på fremskrivningen vil være mindst lige så stor eller
større end den ændring, som forventes fra 2017/2018 til 2027. Endvidere skal
det bemærkes, at det er en meget stor opgave at vurdere usikkerhederne på
fremskrivningerne, og at det ikke ligger inden for dette projekts rammer at
foretage en sådan vurdering.
61
MOF, Alm.del - 2020-21 - Bilag 86: Aarhus Universitets rapport af 3/11-2020 om Baseline 2027 for udvalgte elementer, fra miljøministeren
2273658_0064.png
Estimering af betydningen af reduceret deposition af kvælstof
for nitratudvaskningen
Jørgen E. Olesen
Fagfællebedømt af Ingrid K. Thomsen
Kvælstof afsættes på hele landarealet, og effekten af den afsatte kvælstof-
mængde må forventes at afhænge af både arealtype og tidspunkt på året for
afsætningen. Blicher-Mathiesen et al. (2020) vægtede udvaskningen i forhold
til fordelingen af arealanvendelsen i 2016. Dette er i tabel 3.7.7 opdateret til
arealanvendelsen i høståret 2018. Denne opdeling af arealanvendelsen reflek-
terer forskelle i udvaskning af kvælstofdepositionen. På grund af et meget
vådt efterår i 2017 var andelen af vintersåede afgrøder meget lav i 2018. Are-
alet med vinter- og vårsæd er derfor fastholdt med samme relative andel på
landbrugsarealet som i 2016.
Her skelnes mellem udvaskningen i vækstperioden (marts til juli) og den re-
sterende periode (august til februar). Opgørelse af depositionens gennemsnit-
lige fordeling over året med udgangspunkt i de modellerede data af N-depo-
sitionen (Blicher-Mathiasen et al., 2020) viser, at 54,8 % af kvælstofdepositio-
nen afsættes i perioden marts til juli, mens de resterende 45,2 % afsættes i pe-
rioden august til februar.
For hver type arealanvendelse er der i tabel 3.7.7 angivet en udvaskningsfak-
tor for deponeret kvælstof for henholdsvis perioden marts til juli (vækstsæso-
nen) og august til februar. Udvaskningsfaktorer angiver, hvor stor en del af
kvælstoffet, der udvaskes fra rodzonen. Der er fastholdt de samme udvask-
ningsfaktorer for de enkelte arealanvendelsestyper, som beskrevet i Blicher-
Mathiesen et al. (2020). Samlet fås en areal- og tidsvægtet udvaskningsfaktor
på 34 %. Der er dog knyttet en usikkerhed til dette estimat, og der benyttes i
det følgende et usikkerhedsinterval for udvaskningsfaktoren på 31-37 %.
Tabel 3.7.7
Fordeling af arealanvendelse i 2018, dog med fordeling mellem vintersåede
afgrøder og areal med barjord/spildkorn som for 2016, og tilhørende udvaskningsfaktorer
for de to perioder marts-juli og august-februar.
Areal andel
Arealanvendelse
Byer og kunstige overflader
Veje og jernbaner
Skov og natur
Søer og vandløb
Landbrug, bar jord/spildkorn
Landbrug, efterafgrøder
Landbrug, græs
Landbrug, vinterraps
Landbrug, vintersæd
(%)
8,2
5,7
22,3
2,7
13,2
11,5
14,9
3,8
17,6
Udvaskningsfaktor (%)
Marts-juli
30
50
15
100
20
20
20
20
20
August-februar
50
90
30
100
60
40
30
30
50
Reduktionen i depositionen er beregnet under to scenarier: 1) Landenes egne
fremskrivninger for ammoniakemissioner, 2) Overholdelse af NEC-direkti-
vet, men med anvendelse af landenes egne fremskrivninger for ammoniak-
emissioner, hvis disse ligger under NEC-direktivet. Den samlede reduktion i
depositionen er beregnet til 5.597 og 8.898 ton N/år over perioden 2018 til
2027 for henholdsvis scenarie 1 og 2 (tabel 3.7.6). For scenarie 1 giver dette en
62
MOF, Alm.del - 2020-21 - Bilag 86: Aarhus Universitets rapport af 3/11-2020 om Baseline 2027 for udvalgte elementer, fra miljøministeren
2273658_0065.png
reduktion i udvaskningen på mellem 1.718 og 2.050 ton N/år og for scenarie
2 en reduktion på mellem 2.728 og 3.256 ton N/år (tabel 3.7.8). Usikkerheden
for hvert scenarie afspejler usikkerheden i udvaskningsfaktoren. Denne usik-
kerhed medtager dog ikke usikkerheder i vejrforhold, der også påvirker de-
positionen.
Tabel 3.7.8.
Fordeling af effekt på reduceret nitratudvaskning fra reduceret deposition på
oplandene i 2027 i forhold til 2018. Positive tal for effekt af mindre deposition angiver en
mindre udvaskning fra rodzonen.
Reduceret udvaskning (ton N/år)
Scenarie 1
Opland
1.1 Nordlige Kattegat
1.2 Limfjorden
1.3 Mariager Fjord
1.4 Nissum Fjord
1.5 Randers Fjord
1.6 Djursland
1.7 Århus Bugt
1.8 Ringkøbing Fjord
1.9 Horsens Fjord
1.10 Vadehavet
1.11 Lillebælt – Jylland
1.12 Lillebælt – Fyn
1.13 Odense Fjord
1.14 Storebælt
1.15 Sydfynske Øhav
2.1 Kalundborg Fjord
2.2 Isefjord og Roskilde Fjord
2.3 Øresund
2.4 Køge Bugt
2.5 Smålandsfarvand
2.6 Østersøen
3.1 Bornholm
4.1 Kruså og Vidå
Hele landet
Min.
87
321
26
65
126
39
26
146
26
214
93
39
46
20
28
33
62
29
39
125
38
23
67
1.718
Scenarie 2
Min.
104
383
31
78
150
47
31
174
31
255
111
47
55
24
34
40
74
34
47
149
46
27
80
2.050
140
487
38
104
198
58
41
232
45
339
162
66
76
33
49
52
98
43
58
202
62
35
110
2.728
Maks.
Maks.
168
581
46
125
237
69
49
277
54
404
193
78
91
39
58
62
117
51
69
241
75
42
132
3.256
Konklusion
Den reviderede nationale udvaskningsfaktor for ændring i nitratudvaskning
i forhold til ændring i deposition ligger på niveau med udvaskningsfaktoren
i Blicher-Mathiesen et al. (2020). Der er opstillet to scenarier for reduktion i
depositionen, og der er desuden anslået usikkerhed på udvaskningsfaktoren.
Samlet giver dette et usikkerhedsinterval på mellem 1.718 og 3.256 ton N/år
i reduktion i nitratudvaskning fra rodzonen i 2027.
3.8
Efterafgrøder
Effekten af de målrettede efterafgrøder skal ikke inddrages i denne opdate-
ring af baseline 2027 jf. projektbeskrivelsen i bilag 1.
63
MOF, Alm.del - 2020-21 - Bilag 86: Aarhus Universitets rapport af 3/11-2020 om Baseline 2027 for udvalgte elementer, fra miljøministeren
3.9
Slæt i stedet for afgræsning på konventionelle kvægbrug
Troels Kristensen
Fagfællebedømt af Ib Sillebak Kristensen
I konventionel kvægproduktion har der været en udvikling mod, at en stigende
andel af græsarealet udnyttes til slæt i stedet for afgræsning. Denne udvikling
vil reducere udvaskningen fra rodzonen, primært fordi afsætningen af urin og
gødning under afgræsning giver en stor markvariation i N-koncentrationen,
som trods en kun lidt højere N-balance på markniveau sammenlignet med slæt,
bidrager til en højere udvaskning (Kristensen et al., 2011).
Ændringer i andelen af græs, som afgræsses, er udelukkende beregnet for de
konventionelle malkekvægsbedrifter, idet ændringer af udnyttelsen i græs-
marken ved overgang til økologiske drift er indregnet i estimatet for ændrin-
ger i udvaskningen ved omlægning til økologi.
Ændringer i omfang af afgræsning
Der er lavet beregninger for fire scenarier i 2027 med varierende antal malke-
køer baseret på de tre scenarier for udvikling i husdyrholdet i afsnit 2.2 i denne
rapport og to niveauer for øget areal med økologi svarende til henholdsvis den
lave og middel stigningstakt frem til 2027 (se afsnit 3.3 i denne rapport). I dette
afsnit er andel økologi på 12 % af landbrugsarealet ved lav vækst og 17 % ved
middel vækst (se afsnit 3.3) anvendt i forhold til den samlede mælkeproduktion
i Danmark. Scenariet med høj vækst i økologiarealet, der ikke er medtaget her,
ville kun øge det økologiske areal med yderlig 2 %-point.
De produktionsmæssige forudsætninger er fastholdt i perioden fra 2018 til og
med 2027 og er baseret på udredningen i den sidste baselinerapport (Blicher-
Mathiesen et al., 2020). De væsentligste af disse forudsætninger er, at der an-
tages en årlig optagelse af græs på 750 FE for konventionelle køer på græs og
på 650 FE for konventionelt opdræt på græs samt et årligt udbytte på 6000 FE
pr. ha fra græsmarken. Herudover er det antaget, at andelen af køer og op-
dræt, der kommer på græs i 2027, er den samme som i 2018. Der kunne argu-
menteres for, at en fortsat struktur- og produktivitetsudvikling i kvægsekto-
ren ville føre til en reduktion i andelen af dyr på græs, men der er også tiltag
fra branchen, som indirekte og direkte tilskynder at have dyrene på græs så-
som udelukkende brug af non-GMO foder og introduktion af hjerteordnin-
gen, som er et dyrevelfærdsmærke, der tilskynder til afgræsning
(https://www.arla.dk/artikler/dyrevelfardsmarket-pa-malk). Derfor er det
valgt udelukkende at se på effekten af den udvikling, der er beskrevet i for-
hold til antallet af husdyr og andelen af økologi (se afsnit 2.2 og 3.3).
I tabel 3.9.1 er effekten af variation i andelen af økologi og det forventede antal
køer i 2027 beregnet. Ved standard antal køer, svarende til antal som gennem-
snit af fremskrivningerne, viser beregningerne, at ved en lille stigning i ande-
len af økologi, svarende til at økologi udgør 12 % af den samlede produktion
i 2027, så vil stigningen i det totale antal malkeøer bevirke, at der kommer
flere konventionelle køer og opdræt på græs. Det medfører, at det konventio-
nelle afgræsningsareal stiger med 1.779 ha, mens det falder med 326 ha, så-
fremt der regnes med en middel vækst af det økologiske areal, svarende til at
økologi udgør 17 % af den samlede produktion i 2027.
64
MOF, Alm.del - 2020-21 - Bilag 86: Aarhus Universitets rapport af 3/11-2020 om Baseline 2027 for udvalgte elementer, fra miljøministeren
2273658_0067.png
Udfaldsrummet kan dog blive større, såfremt man også inddrager de to scena-
rier for en udvikling i antal husdyr, henholdsvis lavt antal, som svarer til 516.000
malkekøer, eller højt antal, som svarer til 706.000. Kombineret med en middel
andel af økologi vil det afgræssede areal med konventionelle dyr blive henholds-
vis reduceret med 5.753 ha eller øget med 5.145 ha i 2027 i forhold til 2018.
Tabel 3.9.1.
Beregninger af areal, der afgræsses af konventionelle dyr i 2027 i forhold til 2018 afhængigt af udviklingen i antal
malkekøer og den økologiske andel heraf.
År
Scenarie, husdyr, antal
Økologi, vækst
Antal malkekøer, 1000 stk.
Andel økologi, % af mælk
Andel konventionelle køer på græs, %
Optag af græs konv. køer ude, FE pr. årsko
Andel konventionelle ungdyr på græs, %
Optag af græs konv. opdræt ude, FE pr. årsdyr
Afgræsning, konventionel, ha
Effekt i forhold til 2018, ha
578
11
14
750
50
650
35.277
2018
Standard
lav
611
12
14
750
50
650
37.056
1.779
Standard
Middel
611
17
14
750
50
650
34.951
-326
2027
Lav
middel
516
17
14
750
50
650
29.524
-5.753
Høj
middel
706
17
14
750
50
650
40.422
5.145
Baseret på disse forudsætninger er det samlede areal med afgræsset græs på
de konventionelle malkekvægsbrug beregnet til 35.277 ha i 2018 og mellem
29.524 og 40.422 i 2027 alt afhængigt af udviklingen i antal køer og andelen af
økologi. Ved samme antal malkekøer vil en stigning i økologi fra 12 til 17 %
af den samlede mælkeproduktion reducere afgræsningen på konventionelle
brug med 326 ha pga. af færre konventionelle dyr. Ved samme andel økologi,
17 %, så er der en forskel på 10.898 ha i omfanget af afgræsning med konven-
tionelle dyr mellem scenariet med mange dyr (høj) og få dyr (lav).
Tabel 3.9.2.
Effekt af ændringer i areal med afgræsning på konventionelle kvægbrug ved henholdsvis en lav og høj udvikling i
antal husdyr i 2027 i forhold til 2018, kombineret med middel vækst i økologi og variation i kvælstofeffekt pr. ha, på de estime-
rede ændringer i udvaskning i 2027 i forhold til 2018 fordelt på sandjord, lerjord og i alt. Positive tal indikerer en reduktion af
kvælstofudvaskningen og negative tal en merudvaskning.
lav husdyr – middel økologi
Sandjord
Ændringer i areal med afgræsning (ha)
Reduktion i udvaskning fra rodzonen ved
slæt i forhold til afgræsning (kg N/ha)
Ændring i udvaskning
fra rodzonen (tons N)
49 - 293
0 - 22
49 - 315
-44 - -262
0 - -19
-44 - -281
4.890
10 - 60
Lerjord
863
0 - 25
I alt
5.753
høj husdyr – middel økologi
Sandjord
4.373
10 - 60
Lerjord
772
0 - 25
I alt
5.145
Effekten på udvaskning
Ved beregning af kvælstofeffekt på konventionelle kvægbrug er der anvendt
samme effekt som i tidligere baselineberegninger baseret på Jensen et al.
(2016) og samme fordeling mellem jordtyper, svarende til 85 % af græsarealet
på sandjord (JB1‐4) og 15 % på lerjord (>JB4). Effekten på udvaskning fra rod-
zonen er i Kristensen et al. (2011) beregnet til mellem 10-60 kg N/ha i sandjord
og 0-25 kg N/ha i lerjord.
I tabel 3.9.2 vises effekten ved de to scenarier med henholdsvis lavt og højt
antal køer, kombineret med en middel andel økologi, som illustration af det
65
MOF, Alm.del - 2020-21 - Bilag 86: Aarhus Universitets rapport af 3/11-2020 om Baseline 2027 for udvalgte elementer, fra miljøministeren
udfaldsrum, der er blandt de fire scenarier. Ved lavt antal husdyr er der, af-
hængigt af estimatet for udvaskningsreduktion pr. ha, en estimeret reduktion
i udvaskning på mellem 49 og 315 ton N, mens der ved et højt antal køer er
en øget udvaskning på mellem 44 og 281 ton N i 2027 sammenlignet med 2018.
Konklusion
Arealet, der afgræsses med konventionelle malkekøer og opdræt, vil ud fra
fire scenarier for udvikling i antal malkekøer og andelen af økologi og en va-
riation i reduktionen i udvaskningen pr. ha have en effekt på udvaskningen
fra rodzonen, der viser et spænd fra en merudvaskning på 281 ton N til en
reduktion på 315 ton N. Denne variation, med et gennemsnit omkring uæn-
dret udvaskning fra konventionelle afgræsningsarealer, i udvaskning i 2027 i
forhold til 2018 bevirker, at virkemidlet ”slæt i stedet for afgræsning” ikke er
indregnet i baseline 2027.
3.10 Udvikling i udbytter og i den økonomisk optimale kvæl-
stofnorm
Kvælstofnorm
Johannes L. Jensen & Ingrid K. Thomsen
Fagfællebedømt af Jørgen Eriksen
Analysen af udviklingen i den økonomisk optimale kvælstofmængde med
indregning af værdien af protein (ØKOP) tager afsæt i det eksisterende norm-
system, som er beskrevet i detaljer i Drejebogen (Anonym, 2018). Tabel 3.10.1
viser de data, der ligger til grund for udregningen af ØKOP for hvert af høst-
årene fra 2018til 2029.
I normsystemet anvendes som udgangspunkt forsøgsdata fra de seneste 10
år, dvs. at ØKOP fastsættes som et glidende gennemsnit af de seneste 10 års
forsøg. I efteråret 2019 blev det besluttet, at kvælstofnormerne fremover skal
være treårige i stedet for etårige. Derfor vides det på nuværende tidspunkt, at
forsøg fra årene 2016-2025 vil indgå i udregningen af ØKOP for planperioden
2026/27-2028/29 (tabel 3.10.1). Således er forsøgsresultaterne fra fire af årene
(2016-2019) kendte, mens de resterende seks år (2020-2025) ikke kendes.
ØKOP for de resterende seks år er estimeret ved at udregne minimum, 1.
kvartil, median, 3. kvartil eller maksimumværdien for perioden 2010-2019 (se
figur 3.10.1 for eksempel med vårbyg og vinterhvede).
Anvendelsen af medianværdien for de resterende seks år vurderes at give det
bedste bud på, hvad ØKOP bliver i 2027, mens brugen af minimum- og maksi-
mumværdierne angiver det udfaldsrum, som ØKOP kan forventes at falde in-
denfor. Til udregning af ØKOP for vinterhvede, vårbyg, vinterbyg, majs, vin-
terraps, vinterrug og kartofler er der benyttet priser anvendt ved Normudval-
gets indstilling af kvælstofnormer for 2020/21-2022/23. Værdien af protein pr.
pct. enhed pr. hkg er fastsat til 3,15 kr., som ved nærværende indstilling. Til
udregning af ØKOP for 2007-2016 er benyttet de prisrelationer, som blev an-
vendt til indstillingen 2017/18. Resultatet af analysen på de afgrøder, hvor der
er gennemført forsøg med stigende N under Landforsøgene, ses i tabel 3.10.2.
66
MOF, Alm.del - 2020-21 - Bilag 86: Aarhus Universitets rapport af 3/11-2020 om Baseline 2027 for udvalgte elementer, fra miljøministeren
2273658_0069.png
Tabel 3.10.1.
Sammenhæng mellem høstår, planperiode for normindstilling, forsøgsgrundlag til udregning af den økonomisk
optimale kvælstofmængde (ØKOP) samt udbytter fra Danmarks Statistik, som anvendes til udbyttekorrektion.
Høstår
2018
2019
2020
2021
2022
2023
2024
2025
2026
2027
2028
2029
2026/27-2028/29
2016-2025
(gns. 2020-2024)-(gns. 2019-2023)
2023/24-2025/26
2013-2022
(gns. 2017-2021)-(gns. 2016-2020)
2020/21-2022/23
2010-2019
(gns. 2014-2018)-(gns. 2013-2017)
Planperiode
2017/18
2018/19
2019/20
Forsøgsgrundlag fra Landsforsøgene Danmarks Statistiks udbytter
2007-2016
2008-2017
2009-2018
(gns. 2011-2015)-(gns. 2010-2014)
(gns. 2012-2016)-(gns. 2011-2015)
(gns. 2013-2017)-(gns. 2012-2016)
Figur 3.10.1.
Til venstre ses den økonomisk optimale kvælstofmængde for vårbyg (grå symboler) og vinterhvede (sorte symbo-
ler) i perioden 2010-2019. SEM er angivet. Til højre vises boxplot for de økonomisk optimale kvælstofmængder angivet for vår-
byg og vinterhvede.
Der er ikke forsøgsgrundlag til at angive værdier for kløvergræs og rent græs.
Basisnormerne for disse afgrøder har været uændret siden 2015, hvorfor der
forventes uændret ØKOP også indtil 2027 (Anonym, 2018). Tilsvarende har
basisnormen været uændret siden 2014 i frøgræs og siden 2009 i sukkerroer,
hvorfor det også forventes, at ØKOP for disse afgrøder vil være uændret. For
vårhvede og triticale er ØKOP baseret på ældre forsøg – kun hvis der igang-
sættes nye forsøg, forventes ØKOP at ændre sig.
Ved at sammenligne ØKOP for hhv. 2007-2016 (gældende for høstår 2018) og
2010-2019 (gældende for høstår 2021) kan det udledes af tabel 3.10.2, at en stor
del af ændringen i ØKOP fra 2018 til 2027 kan tilskrives perioden fra 2018 til
2021. Således blev ØKOP for vinterhvede eksempelvis reduceret med 8 kg N
pr. ha fra 2018 til 2021, mens den stiger med 1 kg N pr. ha fra 2021 til 2027 ved
anvendelse af medianværdien (tabel 3.10.2). Faldet i ØKOP fra 2018 til 2021
skyldes dels et fald i proteinværdien, dels at ØKOP udregnet for forsøgene i
2007, 2008 og 2009 generelt var højere end i 2017, 2018 og 2019.
67
MOF, Alm.del - 2020-21 - Bilag 86: Aarhus Universitets rapport af 3/11-2020 om Baseline 2027 for udvalgte elementer, fra miljøministeren
2273658_0070.png
Tabel 3.10.2.
Estimerede økonomisk optimale kvælstofmængder (ØKOP, kg N pr. ha) for afgrøder i 2027 baseret på enten mi-
nimum, 1. kvartil, median, 3. kvartil eller maksimumværdien for perioden 2010-2019. Den viste gennemsnitlige ØKOP for perio-
derne 2007-2016 og 2010-2019 ligger til grund for Normudvalgets indstilling for planperioderne 2017/18 og 2020/21-2022/23.
Desuden er forskellen mellem ØKOP for afgrøder i 2027 baseret på medianværdien og ØKOP for perioden 2007-2016 angivet i
sidste kolonne. Afgrøderne er listet efter udbredelse (gennemsnit 2010-2019, Danmarks Statistik).
Afgrøde
Min.
Vinterhvede
Vårbyg
Kløvergræs, omdrift
Majshelsæd
Vinterraps
Vinterbyg
Vinterrug*
Frøgræs
Rent græs, omdrift
Havre**
Kartofler
Sukkerroer
Vårhvede
Triticale
181
126
-
104
151
134
134
-
-
97
179
-
-
-
Estimeret ØKOP 2027
1. kvartil Median 3. kvartil
185
132
-
118
160
152
150
-
-
99
191
-
-
-
191
137
-
128
197
171
156
-
-
102
204
-
-
-
199
148
-
134
205
174
160
-
-
110
214
-
-
-
Maks.
204
159
-
160
244
181
166
-
-
113
216
-
-
-
Gns.
2007-2016
198
146
327
110
203
181
166
183
407
104
197
120
170
165
Gns.
2010-2019
190
146
327
121
194
169
155
183
407
107
201
120
167
156
Udvikling fra
2018 til 2027
-6,1
-9,9
0
17,3
-5,9
-10,3
-10,6
0
0
-2,8
6,9
0
-3,0
-8,3
* Kun udført forsøg fra 2013-2019.
** Forsøg fra 2000 og frem indgår, da forsøgsgrundlaget ellers er sparsomt.
Ud over udviklingen i værdien for ØKOP bestemt i Landsforsøgene påvirkes
ØKOP i normsystemet også af, hvordan Danmarks Statistiks høstudbytter ud-
vikler sig (Anonym, 2018). Det er primært ændringen i det glidende gennem-
snit af høstudbytterne i en fem-års periode, der benyttes til at korrigere
ØKOP. På grund af de treårige normer vil forskellen mellem høstudbytter fra
årene 2017-2021 og 2016-2020 være bestemmende for, hvad korrektionen skal
være for planperioden 2023/24-2025/26 (tabel 3.10.1). Ligeledes vil forskellen
mellem høstudbytter for årene 2020-2024 og 2019-2023 være bestemmende
for, hvad korrektionen skal være for planperioden 2026/27-2028/29 (tabel
3.10.1), dvs. hvor høståret 2027 indgår. Således er høstudbytterne fra fire af
årene (2016-2019) kendte, mens de resterende fem år (2020-2024) ikke kendes.
Udbytter fra Danmarks Statistik korrigeret for den tidligere normreduktion
ud fra Drejebogen (Anonym, 2018) for de resterende fem år er estimeret ved
enten at udregne minimum-, 1. kvartil-, median-, 3. kvartil- eller maksimum-
værdien for perioden 2010-2019 (se figur 3.10.2 for eksempel med vårbyg og
vinterhvede).
68
MOF, Alm.del - 2020-21 - Bilag 86: Aarhus Universitets rapport af 3/11-2020 om Baseline 2027 for udvalgte elementer, fra miljøministeren
2273658_0071.png
Figur 3.10.2.
Til venstre ses det korrigerede udbytte uden kvælstofrestriktion (Anonym, 2018) for vårbyg (grå symboler) og vin-
terhvede (sorte symboler) i perioden 2010-2019. Til højre vises box-plot for det korrigerede udbytte uden kvælstofrestriktion
angivet for vårbyg og vinterhvede.
Ændringen i det forventede udbyttepotentiale er udregnet for de ovennævnte
perioder som beskrevet i Drejebogen (Anonym, 2018). Den samlede effekt af
ændringer i det forventede udbyttepotentiale for planperioderne 2017/18,
2018/19, 2019/20 og 2020/21-2022/23 samt for de to kommende normindstil-
linger, og dermed til 2027, er angivet i tabel 3.10.3.
Tabel 3.10.3.
Den samlede korrektion (kg N pr. ha) grundet udbytteudvikling for afgrøderne fra 2018 til 2027 baseret på enten
minimum-, 1. kvartil-, median-, 3. kvartil- eller maksimumværdien for perioden 2010-2019.
Afgrøde
Vinterhvede
Vårbyg
Kløvergræs, omdrift*
Majshelsæd*
Vinterraps
Vinterbyg
Vinterrug
Frøgræs**
Rent græs, omdrift*
Havre
Kartofler*
Sukkerroer*
Vårhvede***
Triticale
** Justering foretages ikke for frøgræs.
*** Beregnes ud fra den procentvise ændring af vårbyg.
Min.
3,2
-0,6
0,8
1,8
0,9
1,1
2,1
-
1,9
0,2
1,2
0,6
-0,5
1,9
1. kvartil
5,3
1,4
2,5
5,1
1,3
2,7
3,8
-
5,6
1,9
3,5
1,8
1,2
3,8
Median
kg N pr. ha
8,8
2,7
3,9
8,1
3,5
5,0
6,0
-
8,9
2,2
5,6
2,8
2,2
5,0
11,5
3,4
4,9
10,0
4,9
6,8
7,0
-
11,0
3,5
6,9
3,5
2,8
6,0
12,9
5,4
5,9
12,1
5,4
8,0
8,3
-
13,3
4,2
8,3
4,2
4,2
6,7
3. kvartil
Maks.
* Beregnes ud fra den procentvise ændring af vårbyg og vinterhvede.
Det skal understreges, at der er store usikkerheder knyttet til fremskrivningen
af udbytteudviklingen, da udbytterne i de seneste år har været påvirket af
flere typer vejrekstremer.
I tabel 3.10.4 ses den samlede effekt af udviklingen i værdien for ØKOP be-
stemt i Landsforsøgene (tabel 3.10.2) og udbytteudviklingen (tabel 3.10.3) i
kvælstoftilførslen for afgrøderne fra 2018 til 2027 baseret på medianværdien
69
MOF, Alm.del - 2020-21 - Bilag 86: Aarhus Universitets rapport af 3/11-2020 om Baseline 2027 for udvalgte elementer, fra miljøministeren
2273658_0072.png
for perioden 2010-2019. Der skal dog bemærkes, at udfaldsrummet for udvik-
lingen i kvælstoftilførslen er stort, hvilket er angivet i tabel 3.10.2 og 3.10.3.
Der er dermed knyttet betydelig usikkerhed til disse værdier.
Tabel 3.10.4.
Den samlede korrektion (kg N pr. ha) grundet dels udvikling i de estimerede
økonomisk optimale kvælstofmængder (ØKOP), dels udbytteudvikling for afgrøderne fra
2018 til 2027 baseret på medianværdien for perioden 2010-2019.
Afgrøde
Vinterhvede
Vårbyg
Kløvergræs, omdrift*
Majshelsæd*
Vinterraps
Vinterbyg
Vinterrug
Frøgræs**
Rent græs, omdrift*
Havre
Kartofler*
Sukkerroer*
Vårhvede***
Triticale
ØKOP
-6,1
-9,9
0
17,3
-5,9
-10,3
-10,6
0
0
-2,8
6,9
0
-3,0
-8,3
Udbytteudvikling Samlet korrektion
8,8
2,7
3,9
8,1
3,5
5,0
6,0
0
8,9
2,2
5,6
2,8
2,2
5,0
2,7
-7,2
3,9
25,4
-2,4
-5,3
-4,6
0
8,9
-0,6
12,5
2,8
-0,8
-3,3
Samlet effekt på kvælstofnorm
Troels Kristensen
Fagfællebedømt af Peter Sørensen
Den kombinerede effekt af ændringer i normen til de enkelte afgrøder og æn-
dringer i behovet for foderafgrøder (afsnit 2.2) er beregnet for tre scenarier for
udviklingen i husdyrholdet; et standardscenarie for udvikling i husdyrholdet,
og et lavt og højt estimat for husdyrhold.
Tabel 3.10.5 viser afgrødefordelingen i 2018 opgjort som den gennemsnitlige
afgrødesammensætning for perioden fra 2012 til 2018 (Danmarks Statistik)
opdelt i de samme kategorier af afgrøder som i tabel 3.10.2, suppleret med
brak og vedvarende græs og afstemt til det samlede areal fra Baseline 2019-
rapporten på 2.602.000 ha (Blicher-Mathiesen et al., 2020) med et areal af ”An-
dre afgrøder”. Herefter er afgrødefordelingen i 2027 beregnet for de tre sce-
narier med udgangspunkt i de marginale ændringer, der er estimeret i afsnit
2.2 for grovfoder, græs og majs. Kategorien græs er antaget at være med 25 %
rent græs og 75 % kløvergræs. Ud fra Jensen (2019) er der regnet med et fald
i arealet med vedvarende græs, mens arealet for de andre afgrøder, undtagen
korn, er antaget uændret i 2027 i forhold til 2018. For at afstemme til samme
total areal som i 2018 er arealet med korn justeret med samme faktor på tværs
af arter, således at forholdet i arealet med de enkelte kornarter er det samme
i 2018 og i 2027 for de tre scenarier. Ændringer i kornarealet forårsaget af for-
skelle i husdyrholdet er således ikke direkte medtaget, idet det i alle tre sce-
narier forventes, at Danmark vil være selvforsynende med korn.
70
MOF, Alm.del - 2020-21 - Bilag 86: Aarhus Universitets rapport af 3/11-2020 om Baseline 2027 for udvalgte elementer, fra miljøministeren
2273658_0073.png
Kvælstofnormen til de enkelte afgrøder i 2018 stammer fra tabel 3.10.2 (gns.
2007-2016), mens kvælstofnormen for 2027 er beregnet ved at lægge den sam-
lede korrektion fra tabel 3.10.4 til normerne fra 2018. Herefter er kvælstofnor-
merne fra 2018 og 2027 koblet med afgrødefordelingen til beregning af den sam-
lede norm for Danmark i henholdsvis 2018 og ved de tre scenarier for udvikling
i antal husdyr i 2027. Som det ses, er der ved standard en beregnet stigning i
normen på 9.746 ton N, mens der ved lavt husdyrhold er en stigning på 4.119
ton N og en stigning på 15.434 ton N ved højt husdyrhold. Ved uændret afgrø-
defordeling (som i 2018) fås en stigning i kvælstofnormen på 2.316 ton N.
Tabel 3.10.5.
Afgrødefordeling i 2018 (gennemsnit af perioden 2012 til 2018) og ved tre scenarier for udvikling i husdyrholdet i
2027 og tilhørende kvælstof (N)-norm. De tre scenarier refererer til standard, lav og høj udvikling i husdyrbestand.
Afgrøde
Scenarie
År
Vinterhvede
Vårbyg
Kløvergræs
Majshelsæd
Vinterraps
Vinterbyg
Vinterrug
Frøgræs
Rent græs
Havre
Kartofler
Sukkerroer
Vårhvede
Triticale
Andet
Brak
Vedv. græs
Forskel til 2018
2018
198
146
327
110
203
181
166
183
407
104
197
120
170
165
2027
201
139
331
135
201
176
161
183
416
103
210
123
169
162
2018
536
574
208
177
175
110
100
78
69
60
44
34
20
15
113
42
247
2602
N-norm,
(kg N pr. ha)
Areal
(1.000 ha)
stand
2027
523
560
229
205
175
107
98
78
75
59
44
34
20
15
113
42
227
2602
lav
2027
551
590
200
167
175
113
103
78
67
62
44
34
21
15
113
42
227
2602
høj
2027
495
530
258
241
175
102
92
78
83
55
44
34
18
14
113
42
227
2602
2018
106.128
83.804
68.016
19.470
35.525
19.910
16.600
14.274
28.083
6.240
8.668
4.080
3.400
2.475
0
0
0
416.673
stand
2027
104.914
77.701
75.776
27.757
35.105
18.849
15.741
14.274
31.193
6.051
9.218
4.175
3.300
2.366
0
0
0
426.419
9.746
N-norm i alt
(ton N)
lav
2027
110616
81923
66180
22612
35105
19873
16596
14274
27865
6379
9218
4175
3480
2494
0
0
0
420.792
4.119
høj
2027
99.365
73.590
85.372
32.631
35.105
17.852
14.908
14.274
34.520
5.730
9.218
4.175
3.126
2.240
0
0
0
432.107
15.434
Kvælstofudbytter, kvælstofbalance og nitratudvaskning
Jørgen E. Olesen
Fagfællebedømt af Peter Sørensen
Udviklingen i forskellen mellem tilførte kvælstofmængder i gødning og fra-
ført kvælstof i høstede udbytter giver anledning til ændringer i den samlede
kvælstofbalance, som også vil påvirke nitratudvaskningen. Her opgøres
denne effekt ved separat at se på 1) udviklingen i kvælstofnormen skaleret op
med den forventede udvikling i afgrødefordelingen, og 2) udviklingen i kvæl-
stof i udbytter fraført marken. Dette giver en forventet ændring i kvælstofba-
lancen (eller kvælstofoverskuddet), der er udgangspunkt for estimering af ef-
fekt på nitratudvaskning.
Blicher-Mathiesen et al. (2020) benyttede data for udbytter fra Danmarks Sta-
tistik til at belyse udviklingen i udbytter i praksis. Det er nødvendigt med
71
MOF, Alm.del - 2020-21 - Bilag 86: Aarhus Universitets rapport af 3/11-2020 om Baseline 2027 for udvalgte elementer, fra miljøministeren
2273658_0074.png
sådanne data for en længere årrække for at estimere udviklingen, og der blev
i den pågældende rapport benyttet data for perioden 1990 til 2017. Denne ana-
lyse er bibeholdt her, da de efterfølgende år er påvirket af både ændringer i
gødningsnormer og den ekstreme tørke i 2018. Med udgangspunkt i Blicher-
Mathiesen et al. (2020) benyttes derfor en stigning i høstede kvælstofudbytter
på mellem 0,4 til 0,6 kg N/ha/år. Denne udvikling var baseret på udbytter fra
Danmark Statistik kombineret med udvikling i afgrødernes proteinindhold.
Fremskrivning af denne udvikling giver over perioden fra 2018 til 2027 en
stigning i det samlede årlige kvælstofudbytte på 9.367 til 14.051 ton N. Dette
er i princippet under forudsætning af uændret afgrødefordeling. Her er denne
udvikling dog benyttet for alle scenarier i tabel 3.10.5.
Med udgangspunkt i scenarierne for udvikling i normer for kvælstoftilførsel
og scenarierne udvikling i kvælstofudbytter fås en variation i ændring i N-
overskud (input minus output) for perioden 2018 til 2027 på -9.932 til 6.067
ton N/år (tabel 3.10.6). Dette varierer dog mellem de forskellige scenarier for
husdyrholdet i 2027 (se afsnit 2.2).
Tabel 3.10.6.
Ændring i kvælstofoverskud (ton N/år) for de tre forskellige scenarier for
husdyrhold i 2027 ved en lav og høj trend i kvælstofudbytter.
Ændret balance i 2027 (ton N)
Scenarie for
husdyrhold
Standard
Lav
Høj
Lav
(Øget høst 0,4 kg N/ha/år)
379
-5.248
6.067
Høj
(Øget høst 0,6 kg N/ha/år)
-4.305
-9.932
1.383
Marginaludvaskningen fra ændring i kvælstofoverskuddet som følge af æn-
drede udbytter og ændringer i N-gødskning vil i stort omfang være knyttet til
omsætningen af organisk bundet kvælstof, og denne ændring vil være knyttet
til ændringer i jordens organiske kvælstofpulje. Blicher-Mathiesen et al. (2020)
vurderede effekten på nitratudvaskning af ændringer i overskuddet til at være
på 22 til 32 %. Eriksen et al. (2020) vurderede tilsvarende effekten af mineralise-
ret organisk N til at give en udvaskningseffekt på 18 % over en 10-årig periode.
De Notaris et al. (2018) fandt på grundlag af langvarige forsøg med dyrknings-
systemer en udvaskningseffekt på 19 til 25 %, med den største effekt i dyrk-
ningssystemer uden anvendelse af efterafgrøder. Dette vurderes at være i over-
ensstemmelse med estimaterne fra Blicher-Mathiasen et al. (2020), og udvask-
ningseffekten af ændret kvælstofoverskud er således her vurderet til 22 til 32 %.
Variationen i udvaskningseffekt er vist i tabel 3.10.7. En reduktion i kvælstof-
balancen medfører også en reduktion i nitratudvaskningen.
Tabel 3.10.7.
Ændring i nitratudvaskning (ton N/år) for de tre forskellige scenarier for
husdyrhold i 2027 ved en lav og høj trend i kvælstofudbytter og 22-32 % udvasknings-
effekt af overskud. Positive tal angiver en mindre og negative tal en øget udvaskning
fra rodzonen.
Ændret udvaskning i 2027 (ton N)
Scenarie for
husdyrhold
Standard
Lav
Høj
Lav
(Øget høst 0,4 kg N/ha/år)
83 - 121
-1.679 - -1155
1.335 - 1941
Høj
(Øget høst 0,6 kg N/ha/år)
-1.378 - -947
-3.178 - -2.185
304 - 443
72
MOF, Alm.del - 2020-21 - Bilag 86: Aarhus Universitets rapport af 3/11-2020 om Baseline 2027 for udvalgte elementer, fra miljøministeren
2273658_0075.png
For hvert scenarie for husdyrhold er der med udgangspunkt i variationsbred-
den i kvælstofoverskuddet fra tabel 3.10.6 og variationen i udvaskningseffek-
ten på 22 til 32 % beregnet maksimal variation i nitratudvaskningen for peri-
oden 2018 til 2027 (tabel 3.10.8). På tværs af scenarier giver dette en maksimal
variation i reduktionen i nitratudvaskningen på -1.941 (øget udvaskning) til
3.178 (reduktion i udvaskning) ton N/år over perioden. Dette usikkerhedsin-
terval afspejler således usikkerheder i udvikling i afgrødefordeling, udbytte-
udvikling og udvaskningseffekten. For standardscenariet med hensyn til hus-
dyr ligger reduktionen i nitratudvaskningen på -121 til 1.378 ton N/år over
perioden. Der har ikke været inddraget samspil mellem disse faktorer.
Konklusion
Jørgen E. Olesen
Fagfællebedømt af Peter Sørensen
Kvælstofudvaskningen vil være afhængig af udviklingen i optimal gødnings-
mængde og kvælstofudbytter. Disse effekter er her estimeret med udgangs-
punkt i udviklingen over de seneste år samt den forventede udvikling i hus-
dyrbestanden frem til 2027. Der beregnes en ændring i N-overskuddet i peri-
oden fra 2018 til 2027 på -9.932 til 6.067 ton N/år. Med usikkerheder på ud-
vaskningsfaktoren for N-overskuddet fås en variation i reduktionen i nitrat-
udvaskningen på -1.941 til 3.178 ton N/år over perioden fra 2018 til 2027.
Tabel 3.10.8.
Estimeret rodzoneeffekt (reduktion i N-udvaskning, ton N/år) af ændringer i kvælstofbalancen ved tre scenarier for ud-
vikling i husdyrholdet i 2027 og tilhørende N-norm (standard, lav og høj udvikling i husdyrbestand) samt variation i udvikling af kvæl-
stofudbytter og udvaskningsfaktor (min. og maks). Positive tal er ensbetydende med en reduktion i nitratudvaskning fra rodzonen.
Scenarie for husdyrhold
Standard
Opland
1.1 Nordlige Kattegat
1.2 Limfjorden
1.3 Mariager Fjord
1.4 Nissum Fjord
1.5 Randers Fjord
1.6 Djursland
1.7 Århus Bugt
1.8 Ringkøbing Fjord
1.9 Horsens Fjord
1.10 Vadehavet
1.11 Lillebælt – Jylland
1.12 Lillebælt – Fyn
1.13 Odense Fjord
1.14 Storebælt
1.15 Sydfynske Øhav
2.1 Kalundborg Fjord
2.2 Isefjord og Roskilde Fjord
2.3 Øresund
2.4 Køge Bugt
2.5 Smålandsfarvand
2.6 Østersøen
3.1 Bornholm
4.1 Kruså og Vidå
Hele landet
Arealandel
0,05
0,11
0,06
0,02
0,03
0,01
0,02
0,19
0,01
0,04
0,07
0,02
0,02
0,08
0,02
0,02
0,04
0,01
0,02
0,09
0,03
0,01
0,03
1,00
Min.
-6
-13
-7
-2
-4
-1
-2
-23
-1
-5
-8
-2
-2
-10
-2
-2
-5
-1
-2
-11
-4
-1
-4
-121
Maks.
69
152
83
28
41
14
28
262
14
55
96
28
28
110
28
28
55
14
28
124
41
14
41
1.378
Min.
58
127
69
23
35
12
23
219
12
46
81
23
23
92
23
23
46
12
23
104
35
12
35
1.155
Lav
Maks.
159
350
191
64
95
32
64
604
32
127
222
64
64
254
64
64
127
32
64
286
95
32
95
3.178
Min.
-97
-214
-116
-39
-58
-19
-39
-369
-19
-78
-136
-39
-39
-155
-39
-39
-78
-19
-39
-175
-58
-19
-58
-1.941
Høj
Maks.
-15
-33
-18
-6
-9
-3
-6
-58
-3
-12
-21
-6
-6
-24
-6
-6
-12
-3
-6
-27
-9
-3
-9
-304
73
MOF, Alm.del - 2020-21 - Bilag 86: Aarhus Universitets rapport af 3/11-2020 om Baseline 2027 for udvalgte elementer, fra miljøministeren
3.11 Reference for nitratudvaskning i 2017
Gitte Blicher-Mathiesen
Fagfællebedømt af Hans Estrup Andersen
For at beregne, hvor meget nitratudvaskningen falder ved at tage landbrugs-
jord ud af produktion og ved skovrejsning, er det nødvendigt at kende den
gennemsnitlige udvaskning fra landbrugsjorden.
I nærværende rapport for baseline 2027 anvendes referenceudvaskning for
landbrugsjord for året 2017.
Nitratudvaskningen er beregnet med modellen NLES4, der er en statistisk
model for N-udvaskningen fra rodzonen (Kristensen et al., 2008). Modellen er
baseret på målte data for nitratudvaskning fra marker, hvor målingerne over-
vejende omfatter jordvandets nitratkoncentration målt i sugeceller, der er pla-
ceret i den nedre grænse af rodzonen på typisk omkring 1 m’s dybde). De
målte nitratkoncentrationer ganges med perkolationen, altså vandafstrøm-
ning fra rodzonen, for at opgøre den samlede årlige nitratudvaskning.
NLES4-modellen beregner en årlig nitratudvaskning ud fra en række input-
variable, der omfatter tilførsel af handelsgødning og husdyrgødning, N-fik-
sering, perkolation, jordtype og jordens indhold af organisk stof og ler. Desu-
den indgår en beskrivelse af sædskiftet i forhold til forfrugt og afgrødedække
om sommeren, efteråret og vinteren. Afstrømningen er modelberegnet med
Daisy-modellen, som beskrevet i Børgesen et al. (2013).
Modelberegninger af nitratudvaskningen fra rodzonen er gennemført for
landbrugsdata for 2017. Hertil anvendes data fra de landsdækkende land-
brugsregistre, herunder det Generelle LandbrugsRegister (GLR), som omfat-
ter landmændenes indberetninger af bl.a. afgrøder i forbindelse med ansøg-
ning om hektarstøtte, samt indberetning af gødningsregnskaber til Land-
brugsstyrelsen (LBST).
Indberetning af gødningsforbrug i gødningsregnskaberne omfatter det sam-
lede forbrug på bedriftsniveau. For at fordele gødningen til hver bedrifts mar-
ker anvendes en fordelingsalgoritme for de enkelte afgrødegrupper, som er
beskrevet i Børgesen et al. (2009).
Der er her beregnet nitratudvaskning for alle landets marker med data for
afgrøder og forbrug af gødning i 2017 kombineret med en tidsserie over kli-
madata for perioden 1990-2010. Herefter er der beregnet en gennemsnitlig ni-
tratudvaskning, som således repræsenterer udvaskningen for dyrkningsdata
for 2017 ved et gennemsnitsklima, hvorved effekten af vejret det enkelte år er
udjævnet. Nitratudvaskningen for hele landets landbrugsareal udgør knap 61
kg N/ha og for omdriftsarealet 66 kg N/ha. Disse udvaskningstal er også an-
vendt i kvælstofvirkemiddelkataloget (Eriksen et al., 2020).
Den geografiske afgrænsning af de 23 hovedvandoplande er vist i figur 3.11.1.
De farvede oplande viser den geografiske afgrænsning af de 23 hovedvand-
oplande i Vandområdeplaner 2015-2021. Denne geografiske afgrænsning er
ændret Vandområdeplaner 2021-2027 og vises med grå linje for opland 1.10,
74
MOF, Alm.del - 2020-21 - Bilag 86: Aarhus Universitets rapport af 3/11-2020 om Baseline 2027 for udvalgte elementer, fra miljøministeren
2273658_0077.png
2.5 og 2.4 i figur 3.11.1. Der er ændringer i afgrænsningen af oplandenes are-
aler mellem Vandområdeplaner 2015-2021 og Vandområdeplaner 2021-2027
for de følgende seks oplande: 1.10 Vadehavet, 2.3 Øresund, 2.4 Køge Bugt, 2.5
Smålandsfarvet, 2.6 Østersøen og 4.1 Vidå-Kruså.
Nitratudvaskningen er efterfølgende opgjort både for de 23 hovedvandop-
lande afgrænset til Vandområdeplaner 2015-2021, som vist i tabel 3.11.1, samt
for de 23 hovedvandoplande afgrænset til Vandområdeplaner 2021-2027, som
vist i tabel 3.11.2. Med hensyn til den gennemsnitlig udvaskning er denne ens
for de fire oplande 1.10 (Vadehavet), 2.4 (Køge Bugt), 2.5 (Smålandsfarvet) og
2.6 (Østersøen), mens den er 1 kg N/ha lavere i oplandet til 2.3 (Øresund) og
2 kg N/ha højere i oplandet til 4.1 (Vidå-Kruså) i afgrænsningen til Vandom-
rådeplaner 2021-2027 end til Vandområdeplaner 2015-2021 (tabel 3.11.1 og
3.11.2).
Figur 3.11.1.
Geografisk
afgrænsning af de 23 hovedvand-
oplande. De farvede oplande viser
den geografiske afgrænsning i
Vandområdeplaner 2015-2021.
Den grå linje i oplandene 1.10, 2.5
og 2.4 viser ændringen i den geo-
grafiske afgrænsning mellem
Vandplan 2 og 3.
75
MOF, Alm.del - 2020-21 - Bilag 86: Aarhus Universitets rapport af 3/11-2020 om Baseline 2027 for udvalgte elementer, fra miljøministeren
2273658_0078.png
Tabel 3.11.1.
Dyrket areal, tildelt handelsgødning, udbragt husdyrgødning, udbinding, fiksering og klimanormaliseret nitratud-
vaskning beregnet med NLES4 for 2017 og fordelt på 23 hovedvandoplande afgrænset til Vandområdeplaner 2015-2021.
Dyrket areal
(1.000 ha)
1.1
Nordlige Kattegat, Skagerrak
133
282
144
63
70
35
52
488
36
97
182
53
42
208
53
54
104
20
46
227
80
34
81
74
146
105
47
54
29
43
279
21
52
123
38
34
117
43
42
89
14
43
217
78
23
45
88
108
77
76
66
57
57
93
72
100
73
61
42
101
72
39
26
20
17
29
27
87
100
1.10 Vadehavet
1.11 Lillebælt/Jylland
1.12 Lillebælt/Fyn
1.13 Odense Fjord
1.14 Storebælt
1.15 Det Sydfynske Øhav
1.2
1.3
1.4
1.5
1.6
1.7
1.8
1.9
2.1
2.2
2.3
2.4
2.5
2.6
3.1
4.1
Limfjorden
Mariager Fjord
Nissum Fjord
Randers Fjord
Djursland
Aarhus Bugt
Ringkøbing Fjord
Horsens Fjord
Kalundborg
Isefjord og Roskilde Fjord
Øresund
Køge Bugt
Smålandsfarvandet
Østersøen
Bornholm
Vidå-Kruså
Handelsg.
Husdyrg.
Udb.
10
15
6
3
3
2
3
12
14
13
7
6
5
12
4
4
5
7
3
2
2
4
16
Fiks.
17
22
11
9
9
11
10
19
22
20
14
13
12
19
9
10
9
11
11
8
9
17
21
Udvask.
65
78
62
55
50
45
45
66
65
83
58
51
49
84
56
37
42
38
34
36
33
39
73
(kg N/ha/år)
Tabel 3.11.2.
Dyrket areal, tildelt handelsgødning, udbragt husdyrgødning, udbinding, fiksering og klimanormaliseret nitratud-
vaskning beregnet med NLES4 for 2017 og fordelt på 23 hovedvandoplande afgrænset til Vandområdeplaner 2021-2027.
Dyrket areal
(1.000 ha)
1.1
1.10
1.11
1.12
1.13
1.14
1.15
1.2
1.3
1.4
1.5
1.6
1.7
1.8
1.9
2.1
2.2
2.3
2.4
2.5
2.6
3.1
4.1
Nordlige Kattegat, Skagerrak
Vadehavet
Lillebælt/Jylland
Lillebælt/Fyn
Odense Fjord
Storebælt
Det Sydfynske Øhav
Limfjorden
Mariager Fjord
Nissum Fjord
Randers Fjord
Djursland
Aarhus Bugt
Ringkøbing Fjord
Horsens Fjord
Kalundborg
Isefjord og Roskilde Fjord
Øresund
Køge Bugt
Smålandsfarvandet
Østersøen
Bornholm
Vidå-Kruså
133
246
149
65
70
35
49
488
36
97
181
53
42
205
52
54
104
21
45
215
91
34
117
20
34
30
13
15
8
11
76
6
14
33
10
9
31
11
11
24
4
12
56
24
6
18
88
108
77
75
66
57
59
93
72
100
73
61
42
100
72
39
26
20
17
29
28
87
102
Handelsg.
Husdyrg.
Udb.
10
15
6
3
3
2
3
12
14
13
7
6
5
12
4
4
5
8
2
2
2
4
16
Fiks.
17
21
11
9
9
11
10
19
22
20
14
13
12
19
9
10
9
11
11
8
8
17
21
Udvask.
65
78
62
55
50
45
46
66
65
82
58
51
49
84
56
37
42
37
34
36
33
39
75
(kg N/ha/år)
76
MOF, Alm.del - 2020-21 - Bilag 86: Aarhus Universitets rapport af 3/11-2020 om Baseline 2027 for udvalgte elementer, fra miljøministeren
3.12 Samlet effekt af opdatering af baseline i 2027 fordelt på
hovedvandområder
En samlet oversigt over baselineeffekter beskrevet i de foregående kapitler og
neddelt på de 23 vandoplande er vist for effekten på nitratudvaskning fra rod-
zonen i tabel 3.12.1. Eftersom effekten på nitratudvaskning af baselineelemen-
terne af ”bioforgasning og organisk affald” samt ”slæt frem for afgræsning”
begge er under 100 ton N og dermed under en fastsat bagatelgrænse, indgår
disse ikke i fremskrivningen af baselineelementer til 2027. Da fordelingen af
husdyrefterafgrøder er påvirket af øgede krav til udnyttelse af husdyrgød-
ning, er disse ej heller fremskrevet til 2027. Effekt af ændret klima indgår hel-
ler ikke i tabel 3.12.1.
Tabel 3.12.2 viser en oversigt over baselineelementerne ”nedgang i dyrket
areal” og ”skovrejsning” på fosforudledningen fordelt på 23 hovedvandop-
lande. En samlet oversigt over baselineeffekten på landsplan kan ses i kapitel
5, tabel 5.1 og tabel 5.2.
77
MOF, Alm.del - 2020-21 - Bilag 86: Aarhus Universitets rapport af 3/11-2020 om Baseline 2027 for udvalgte elementer, fra miljøministeren
2273658_0080.png
Tabel 3.12.1.
Fremskrivning af effekten af udvalgte baselineelementer på nitratudvaskningen i 2027 fordelt på 23 Vandområdeplaner 2015-2021 hovedvandoplande. For effekten af baselineelementerne ”biogas” og ”organisk
affald” samt ”slæt frem for afgræsning” er effekten under 100 ton N, og den er derfor ikke delt op på hovedvandoplande. Positive værdier angiver et fald i nitratudvaskningen og negative værdier en stigning i nitratudvaskningen.
For elementerne ”nedgang i dyrket areal”, ”skovrejsning” og ”økologi” er der angivet flere scenarier, hvor valget af scenarie afhænger af den politiske beslutning, der træffes om f.eks. mere økologi og tilskud til skovrejsning. Hvad
elementet ”kvælstofdeposition” angår, repræsenterer scenarierne en usikkerhed ift., om de enkelte EU-lande kan overholde de fastsatte lofter for udledning.
Nedgang i dyrket areal
nr
Opland
skovrejsning 1
min.
1,1
Nordlige Kattegat,
Skagerrak
249
688
255
103
98
43
62
993
61
237
277
60
55
510
85
50
111
9
34
202
60
28
190
4.460
267
622
246
112
115
54
75
1.012
66
215
300
73
65
532
105
67
147
12
47
283
76
23
169
4.680
214
616
222
93
87
38
56
901
48
203
221
42
48
428
78
44
96
0
28
181
54
22
177
3.900
229
557
214
101
102
49
68
919
53
184
239
51
58
447
96
58
128
0
39
253
68
17
157
4.090
55
111
52
15
18
7
10
143
20
53
90
30
10
126
12
11
24
15
10
35
10
11
20
887
93
187
88
26
30
11
17
242
33
89
151
50
17
213
21
18
41
25
16
60
17
19
34
73
379
46
131
122
36
31
292
21
339
94
23
28
10
16
42
95
24
15
48
31
14
160
123
645
78
223
207
61
53
497
37
576
159
40
48
17
28
71
162
41
26
81
53
24
271
3.536
53
279
34
96
90
26
23
215
16
249
69
17
21
7
12
31
70
18
11
35
23
10
117
91
474
58
164
152
45
39
366
27
423
117
29
35
12
20
52
119
30
19
59
39
18
199
84
10
29
27
8
7
65
5
75
21
5
6
2
4
9
21
5
3
11
7
3
35
458
16
27
143
17
49
46
14
12
110
8
127
35
9
11
4
6
16
36
9
6
18
12
5
60
779
87
321
26
65
126
39
26
146
26
214
93
39
46
20
28
33
62
29
39
125
38
23
67
1.718
104
383
31
78
150
47
31
174
31
255
111
47
55
24
34
40
74
34
47
149
46
27
80
140
487
38
104
198
58
41
232
45
339
162
66
76
33
49
52
98
43
58
202
62
35
110
168
581
46
125
237
69
49
277
54
404
193
78
91
39
58
62
117
51
69
241
75
42
132
3.256
-6
-13
-7
-2
-4
-1
-2
-23
-1
-5
-8
-2
-2
-10
-2
-2
-5
-1
-2
-11
-4
-1
-4
-121
69
152
83
28
41
14
28
262
14
55
96
28
28
110
28
28
55
14
28
124
41
14
41
1.378
58
127
69
23
35
12
23
219
12
46
81
23
23
92
23
23
46
12
23
104
35
12
35
1.155
159
350
191
64
95
32
64
604
32
127
222
64
64
254
64
64
127
32
64
286
95
32
95
3.178
-97
-214
-116
-39
-58
-19
-39
-369
-19
-78
-136
-39
-39
-155
-39
-39
-78
-19
-39
-175
-58
-19
-58
-1.941
-15
-33
-18
-6
-9
-3
-6
-58
-3
-12
-21
-6
-6
-24
-6
-6
-12
-3
-6
-27
-9
-3
-9
-304
maks.
skovrejsning 2
min.
maks.
Skovrejsning
1
2
min.
høj
maks.
Økologi
middel
min.
maks.
lav
min.
maks.
Kvælstofdeposition
Scenarie 1
min.
maks.
Scenarie 2
min.
maks.
Trend i udbytter og kvælstofnorm
standard
min.
maks.
middel
min.
maks.
høj
min.
maks.
1,2 Limfjorden
1,3 Mariager Fjord
1,4 Nissum Fjord
1,5 Randers Fjord
1,6 Djursland
1,7 Århus Bugt
1,8 Ringkøbing Fjord
1,9 Horsens Fjord
1,10 Vadehavet
1,1 Lillebælt/Jylland
1,1 Lillebælt/Fyn
1,1 Odense Fjord
1,1 Storebælt
1,2 Det Sydfynske Øhav
2,1 Kalundborg
2,2
Isefjord og Roskilde
Fjord
2,3 Øresund
2,4 Køge Bugt
2,5 Smålandsfarvandet
2,6 Østersøen
3,1 Bornholm
4,1 Vidå-Kruså
Hele landet
1.495 2.080
1.523 2.590
2.050 2.728
78
MOF, Alm.del - 2020-21 - Bilag 86: Aarhus Universitets rapport af 3/11-2020 om Baseline 2027 for udvalgte elementer, fra miljøministeren
2273658_0081.png
Tabel 3.12.2.
Fremskrivning af effekterne af baselineelementerne ”nedgang i dyrket areal” og ”skovrejsning” på udledningen af
fosfor i 2027. For baselineelementet ”nedgang i dyrket areal” er der angivet to scenarier, idet effekten afhænger af, hvor stort
arealet med skovrejsning vil være i 2027. Positive værdier angiver en mindre fosforudledning.
Nedgang i dyrket areal
Nr
Opland
Scenarie 1
Kg P
1,1
1,2
1,3
1,4
1,5
1,6
1,7
1,8
1,9
1,10
1,11
1,12
1,13
1,14
1,15
2,1
2,2
2,3
2,4
2,5
2,6
3,1
4,1
Nordlige Kattegat, Skagerrak
Limfjorden
Mariager Fjord
Nissum Fjord
Randers Fjord
Djursland
Århus Bugt
Ringkøbing Fjord
Horsens Fjord
Vadehavet
Lillebælt/Jylland
Lillebælt/Fyn
Odense Fjord
Storebælt
Det Sydfynske Øhav
Kalundborg
Isefjord og Roskilde Fjord
Øresund
Køge Bugt
Smålandsfarvandet
Østersøen
Bornholm
Vidå-Kruså
Hele landet
1.733
2.626
1.639
546
620
313
490
5.342
180
744
1.997
496
334
1.668
547
710
924
91
325
1.905
604
60
996
24.894
Scenarie 2
Kg P
1488
2353
1426
494
551
283
442
4850
143
636
1591
344
297
1401
498
622
803
2
272
1709
546
46
929
21.725
Skovrejsning
Scenarie 1
kg P
65
42
96
18
22
10
17
83
8
20
116
21
16
33
19
15
33
30
19
60
19
13
7
783
Scenarie 2
Kg P
109
71
161
31
37
17
29
139
13
34
196
35
27
56
33
26
55
50
32
101
32
21
13
1.319
79
MOF, Alm.del - 2020-21 - Bilag 86: Aarhus Universitets rapport af 3/11-2020 om Baseline 2027 for udvalgte elementer, fra miljøministeren
4
Klima
4.1
Udtagning af lavbundsarealer fra landbrugsproduktion
Rasmus Jes Petersen, Joachim Audet, Ane Kjeldgaard, Hans Estrup Andersen & Gitte
Blicher-Mathiesen
Fagfællebedømt af Carl Christian Hoffmann & Poul Erik Lærke
Indledning
Udtagning af kulstofrige jorde fra landbrugsproduktion har stor opmærk-
somhed, fordi dette virkemiddel vil kunne reducere emissionen af CO
2
og
samtidig fjerne kvælstof fra dræn eller grundvand inden udledning til fersk-
vand. Derfor har MFVM i denne baseline 2027 bedt AU om en vurdering af
dette virkemiddel i forhold til effekten på kvælstof- og fosforudledningen. Il-
ten i grundvand, som transporteres igennem kulstofrig jord, forbruges hur-
tigt, og samtidig er diffusionen af ilt ned i den vandmættede jord meget lang-
som. De iltfrie områder og det organiske stof som energikilde faciliterer de-
nitrifikation, en bakteriel omsætning af nitrat til fri kvælstofgas.
N
ationale
emissionsopgørelser viser, at dyrkede organiske lavbundsjorde (jorde med
mere end 6 % organisk kulstof) i Danmark udleder 5,6 mio. ton CO
2
-ækviva-
lenter om året, svarende til 11 % af Danmarks samlede emission af drivhus-
gasser (Gyldenkærne & Greve, 2020). Emissionen af CO
2
fra drænede organi-
ske jorde skyldes, at det organiske kulstof (i form af tørv) iltes og mineralise-
res, hvorved tørvetykkelsen og kulstofindholdet bliver mindre. Udtagning af
lavbundsarealer fra landbrugsdriften med henblik på at reducere klimabelast-
ningen forudsætter vådlægning af arealerne.
I dette afsnit præsenteres vandets forskellige strømningsveje gennem lav-
bundsarealer og perspektivet ved at udtage lavbundsjord som virkemiddel til
fjernelse af kvælstof og fosfor, inden vandet strømmer til vandløb.
Langsom vandtransport kan i områder med stor omsætning af organisk stof
også medføre uønsket emission af metan, som er en stærk drivhusgas. Der
kan tilstræbes en god balance mellem CO
2
- og metanemission bl.a. ved at re-
gulere, hvordan lavbundsarealer vådlægges.
Lavbundsområder: definition, kulstofindhold, typer og datatilgængelig-
hed
Lavbundsjorde har typisk et højt kulstofindhold. Det totale landbrugsareal på
kulstofrige (>6 % organisk kulstof) lavbundsområder i Danmark udgør ca.
171.700 ha (tabel 4.1.1, figur 4.1.1). Det antages, at alle dyrkede lavbundsare-
aler er drænede og/eller pumpede, mens dette ikke nødvendigvis gælder for
arealer, som kun anvendes til afgræsning. Det nuværende omfang af pum-
pede arealer er usikkert. Det totale pumpede areal, på både mineraljorde og
organiske jorde, blev i en rapport fra 1987 (Madsen & Horst, 1987) estimeret
til at udgøre 103.167 ha.
80
MOF, Alm.del - 2020-21 - Bilag 86: Aarhus Universitets rapport af 3/11-2020 om Baseline 2027 for udvalgte elementer, fra miljøministeren
2273658_0083.png
Det største areal af dyrkede kulstofrige jorde findes i hovedvandoplandet
Limfjorden med ca. 47.500 ha (ca. 28 % af det totale dyrkede lavbundsareal i
Danmark) (tabel 4.1.2).
Landbrugsjorde med højt kulstofindhold er fordelt på landskabstyperne
pumpede arealer, hævet havbund og drænede ådale. Et ophør med dræning,
gensnoning af åerne og tilbagevenden til en mere naturlig hydrologi vil til en
vis grad kunne tilbageføre arealerne til deres oprindelige økosystemer, her-
under moser, lavvandede søer og naturlige ådale.
Analyserne, som danner grundlag for tabel 4.1.1 og figur 4.1.1, er baseret på
følgende data:
GIS kort Kulstof_3_6_12 (Greve et al., 2019). Jordens kulstofindhold er opgjort
i fire klasser: 0-3 %, 3-6 %, 6-12 % og 12-60%. I denne analyse defineres orga-
nogen jord som jord med kulstofindhold >=6 %.
Kort over pumpede arealer er fra Madsen & Horst (1987) og kan ses som bilag
5 i
https://naturstyrelsen.dk/publikationer/2014/jan/marginaljorder-og-
miljoeinteresser/
Arealet af de pumpede områder er i Madsen og Horst (1987) desuden opgjort
pr. amt.
Information om landbrug er fra IMK-markkort2018 Version_20200608 fra
https://kortdata.fvm.dk/download/
Afgrødeinformationen fra dette kortlag er i nærværende rapport grupperet i
to overordnede klasser, hhv. intensiv og ekstensiv drift.
81
MOF, Alm.del - 2020-21 - Bilag 86: Aarhus Universitets rapport af 3/11-2020 om Baseline 2027 for udvalgte elementer, fra miljøministeren
2273658_0084.png
Figur 4.1.1.
Kulstofindhold i lavbundsjorde i Danmark.
82
MOF, Alm.del - 2020-21 - Bilag 86: Aarhus Universitets rapport af 3/11-2020 om Baseline 2027 for udvalgte elementer, fra miljøministeren
2273658_0085.png
Tabel 4.1.1.
Oversigt over dyrket areal opdelt på intensivt i omdrift og ekstensivt uden for omdrift for afgrødedata indberettet til
hektarstøttet i 2018 og opgjort for jorde med mere 6 % organisk kulstof. Data er desuden opgjort for 23 hovedvandoplande.
Opland
Dyrket areal for jorde med mere end 6 % organisk kulstof
(ha)
Dyrket areal
1.1
1.10
1.11
1.12
1.13
1.14
1.15
1.2
1.3
1.4
1.5
1.6
1.7
1.8
1.9
2.1
2.2
2.3
2.4
2.5
2.6
3.1
4.1
Nordlige Kattegat, Skagerrak
Vadehavet
Lillebælt/Jylland
Lillebælt/Fyn
Odense Fjord
Storebælt
Det Sydfynske Øhav
Limfjorden
Mariager Fjord
Nissum Fjord
Randers Fjord
Djursland
Aarhus Bugt
Ringkøbing Fjord
Horsens Fjord
Kalundborg
Isefjord og Roskilde Fjord
Øresund
Køge Bugt
Smålandsfarvandet
Østersøen
Bornholm
Vidaa-Krusaa
Sum
15.286
21.347
4.463
1.628
2.138
1.057
1.354
47.491
1.823
6.751
12.924
5.918
788
16.035
1.305
5.630
5.301
1.159
1.037
6.662
2.155
248
9.176
171.676
Intensivt
9.672
13.866
1.650
551
780
424
646
25.038
623
3.713
5.632
3.079
254
10.730
411
2.752
2.321
437
360
3.285
954
176
6.231
93.583
Ekstensivt
5.614
7.481
2.813
1.077
1.358
633
708
22.453
1.200
3.038
7.293
2.840
534
5.305
893
2.878
2.980
722
678
3.378
1.201
72
2.945
78.093
Der findes kun få målinger af kvælstof- (N) og fosfor- (P) udledning fra land-
brugsarealer på lavbundsjorde (tabel 4.1.2). De få eksisterende målinger viser
en stor variation i både N- og P-udledning, som afhænger af både dræningens
type, alder, dybde og tæthed samt af gødningsmængder, sædskifte og tørve-
jordenes nedbrydningsgrad. Et antal af de undersøgte lokaliteter var for-
holdsvis nydrænede, da moniteringen begyndte, hvilket kan have resulteret i
særligt høje udledningskoncentrationer. Det bemærkes, at P-udledningen
ikke blot varierer stærkt fra lokalitet til lokalitet, men at den for flere lokalite-
ter er særdeles høj. Denne før-udledning bør derfor indgå i risikoberegningen
for øget P-udledning som følge af hævet vandstand ved genopretning.
83
MOF, Alm.del - 2020-21 - Bilag 86: Aarhus Universitets rapport af 3/11-2020 om Baseline 2027 for udvalgte elementer, fra miljøministeren
2273658_0086.png
Tabel 4.1.2.
Målt N-udvaskning fra humusholdige lavbundsjorde med og uden dræning. Areal angivet i ha i tabellen referer til selve lavbundsarealet og ikke til oplandsarealet. Nedsivningen er
estimeret eller beregnet vha. EVACROP. Opdatering af tabel 2 fra Blicher-Mathiesen (2012).
Lokalitet
Areal Landskabstype
Jordtype
År siden Antal
måleår
dræ-
ning
Ned-
bør
mm/år
Pumpet inddæmmet
ådal/brakvandsområde
Pumpet inddæmmet ådal
Pumpet inddæmmet ådal
Pumpet inddæmmet ådal
Drænet marsk
Drænet ådal
Dræn-
afstrøm-
ning
N-
N-
tilførsel nedsivning
fra rodzone
kg N/ha/år
P-
N-
udledning, udledning via
dræn
dræn
kg P/ha/år
ha
Gødet og drænet i omdrift
Aborg Minde
1
(Puge Mølle Å)
Skovsbjerggård
2
Å)
(Lindenborg
116
9
6
2.7
-
-
Blandet organisk og mineraljord
78-89 % humus
85-91 % humus
0-29 % humus
Saltvandsklæg, 0.6-2 % humus
0,45-57 % humus
>100
2
3
3
>100
2
1
2
2
1
14
13
703*
626
626
-
-
-
940
327
853
915
240
324
-
100
110-285
100
50-225
30-120
-
76
47
289
¤
Lav
Lav
579
24
78
230
>28
¤
>126
¤
8,9
1,1
5,7
1,2
-
-
Volsted
2
(Lindenborg Å)
Gøderup
2
(Langvad Å)
Højer
3
Hedebybro
3
(Skjern Å)
Gødet og drænet, vedvarende græs
Gjern
4,5
Gjern
4,5
-
-
Tørv
Tørv
?
?
1-3
1-3
459
459
-
-
10,6
1,3
0,61
0,39
Ikke-drænet, vedvarende græs eller mose
Kærhuset
2
(Lindenborg Å)
Gøderup Mose
2
Deloplande
Fussingø, vest
5,6
Fussingø, øst
5,6
109
287
Skov 50 ha, eng 59 ha
Lavbund 122 ha, skov 95 ha, landbrug 70 ha
-
-
3
3
6
15
0,67
1,3-3
#
2
3.9
Ådal
Ådal
70-86 % humus
44 % humus
-
-
2
1
626
-
-
75
28
8
-
-
1,9
-
*30 års normværdi
¤
#
1
Sum af NO
3-
-N og NH
4+
-N (organisk N ikke inkluderet).
Udledningen er opgjort til 0.92 kg P/ha/år for hele oplandet, mens den for lavbundsarealerne alene er vurderet til 1.3-3 kg P/ha/år.
Hoffmann & Zak (2019),
2
Hansen et al. (1990),
3
Pedersen (1985),
4
Hoffmann & Grant (2004),
5
Kronvang et al. (2005),
6
Hoffmann & Ovesen (2003).
84
MOF, Alm.del - 2020-21 - Bilag 86: Aarhus Universitets rapport af 3/11-2020 om Baseline 2027 for udvalgte elementer, fra miljøministeren
Udtagning af lavbundsareal: vådlægning og restaurering
Den samlede effekt på næringsstofbalancen ved udtagning af lavbundsjord
og genopretning af en mere naturlig hydrologi vil være en kombination af
fem delelementer:
1) Den direkte effekt af ophør med gødskning og evt. ophør af høst (fjernelse
af næringsstoffer bundet i biomasse).
2) Mindsket næringsstoftransport fra dræn og grøfter som følge af sløjfning
af disse.
3) Ændring af stofomsætningsprocesser i lavbundsområderne som følge af
ændrede iltmætningsforhold (hævet vandstand, jf. pkt. 4.1.2).
4) Fjernelse eller tilbageholdelse af næringsstoffer fra det bagvedliggende
(direkte) opland, som under et mere naturligt hydrologisk regime vil gen-
nemstrømme lavbundsarealerne.
5) Fjernelse eller tilbageholdelse af næringsstoffer fra vandløbsoplandet (in-
direkte opland) under periodevise oversvømmelser, hvormed suspende-
ret stof i vandløbsvandet kan sedimentere, og opløst stof kan omsættes i
lavbundsarealerne.
Betydningen af de enkelte delelementer vil være forskellig fra areal til areal
afhængigt af den hidtidige arealanvendelse, jordtype, strømningsveje, vand-
stand, vandstandsdynamik, topografi og karakteristika af de arealer, som af-
vander til lavbundsarealerne.
Genopretning af naturlig hydrologi
Formålene med udtagning af lavbundsarealer fra landbrugsproduktion er at
reducere næringsstofudledningen til vandmiljøet, at reducere emissionen af
klimagasser og at genoprette naturområder. Dette kræver en genopretning af
den naturlige hydrologi i arealerne, hvilket inkluderer ophør af pumpning,
fjernelse af diger, tilkastning af grøfter og sløjfning af dræn i selve lavbunds-
arealet samt en tilbageføring af vandløbet til de naturlige dimensioner. En
genopretning kræver ydermere, at det bagvedliggende opland genforbindes
hydraulisk med lavbundsarealerne. Det bagvedliggende opland vil i mange
tilfælde afvande direkte til et vandløb, ved at vandet ledes forbi lavbundsare-
alerne via grøfter eller dræn. Disse grøfter og dræn skal ved en genopretning
afbrydes ved skellet mellem mark og lavbundsareal, hvorved vandet kan
trænge igennem lavbundsarealet – enten direkte på overfladen eller via for-
delingskanaler, fordelingsdræn eller nedsivningsdamme afhængigt af jord-
type og hydraulisk belastning. Dræning af kulstofholdige jorde vil i mange
tilfælde have medført en sammensynkning af jorden, en øget volumenvægt
og en mindsket hydraulisk ledningsevne (Liu & Lennartz, 2019). Disse æn-
dringer er ikke reversible, og der vil derfor ikke kunne opnås en fuld genop-
retning af den naturlige hydrologi og en naturlig vandledningsevne i de or-
ganiske sedimenter.
Naturlige lavbundsjorde i ådalene har en kompleks hydrologi, som kan klas-
sificeres ud fra de dominerende strømningsveje (figur 4.1.1): diffus gennem-
strømning (Q1), overfladeafstrømning (Q2), direkte grundvandsafstrømning
gennem vandløbsbunden (Q3) og oversvømmelse af lavbundsarealet ved høj
85
MOF, Alm.del - 2020-21 - Bilag 86: Aarhus Universitets rapport af 3/11-2020 om Baseline 2027 for udvalgte elementer, fra miljøministeren
2273658_0088.png
vandløbsstand (Q4). Fordelingen mellem disse strømningsveje har stor betyd-
ning for lavbundsarealernes påvirkning af vandkvaliteten og vil variere fra
område til område og være dynamisk i forhold til nedbørsmængder og –in-
tensiteter.
Q1: Den diffuse gennemstrømning er afhængig af størrelsen af det direkte op-
land samt lavbundssedimenternes tykkelse og hydrauliske ledningsevne.
Denne strømningsvej vil således være forholdsvis stor i lavbundsområder
med tykke, sandede sedimentlag med et stort direkte opland, mens den vil
være lille i lerede oplandsarealer. Lavbundsarealerne vil i mange områder
være domineret af tørv, som kan udvise en meget stor variation i hydraulisk
ledningsevne. Tørven kan visse steder være underlejret af gytje, som ofte har
en meget lav hydraulisk ledningsevne. Størrelsen af diffus gennemstrømning,
Q1, vil i disse områder i høj grad afhænge af tørvens type (højmose/lavmose)
og nedbrydningsgrad (Liu & Lennartz, 2019). Denne diffuse afstrømning sik-
rer den størst mulige kontakt mellem lavbundssedimenterne og de nærings-
stoffer, som der evt. måtte være i det gennemstrømmende vand.
Figur 4.1.2.
Overordnede strømningsveje i en ådal med genoprettet hydrologi. Nedbør samt tilstrømmende grundvand og
drænvand kan infiltrere lavbundssedimenterne og gennemstrømme disse som diffus grundvandsstrømning (Q1) eller løbe til
vandløbet som overfladeafstrømning (Q2) gennem lavbundsarealet. Konstruktion af fordelingskanaler eller -søer kan sikre, at
indkommende drænvand kan strømme via Q1 i stedet for Q2. Hvis der er kontakt imellem et dybere grundvandsmagasin og
vandløbet, kan grundvand strømme direkte til vandløbet (Q3) uden kontakt med lavbundssedimentet. Ved høj vandstand kan
vandløbet oversvømme lavbundsarealet (Q4). Modificeret efter Dahl et al. (2007).
Q2: Overfladeafstrøming kan genereres, hvis tilstrømningen af grundvand fra
det direkte opland overstiger afvandingskapaciteten af lavbundssedimen-
terne. Overskydende grundvand vil dermed strømme til overfladen via dif-
fuse siveflader eller veldefinerede kildevæld. Q2 kan ligeledes opstå som
følge af afskæring af dræn fra omkringliggende marker i skræntfoden til lav-
bundsarealet. Hvis dette vand ikke er i stand til at infiltrere ned i lavbundsse-
dimenterne, vil det løbe til vandløbet direkte på overfladen. Afstrømnings-
86
MOF, Alm.del - 2020-21 - Bilag 86: Aarhus Universitets rapport af 3/11-2020 om Baseline 2027 for udvalgte elementer, fra miljøministeren
densiteten (dvs. størrelsen af afstrømningen divideret med arealet af eksem-
pelvis sivefladen for grundvandsopsivning) vil være meget varierende af-
hængigt af, om kilden til Q2 eksempelvis er diffus grundvandsopsivning, som
dækker et stort areal, eller om Q2 stammer fra et veldefineret kildevæld eller
fra drænvand, hvor store vandmængder udledes i et enkelt punkt. Alt af-
hængigt af denne afstrømningsdensitet samt lavbundsarealernes topografi
kan overfladeafstrømningen foregå som en diffus overfladeafstrømning
(Q2
diffus
), hvor vandet strømmer i et tyndt lag over et stort areal i lavbunden
eller via mere eller mindre veldefinerede afstrømningskanaler (Q2
direkte
). Kon-
taktarealet med lavbundssedimentet samt transporttiden vil typisk være me-
get lavere for Q2
direkte
end for Q2
diffus
.
Q3: Direkte tilstrømning af grundvand til vandløbet gennem vandløbsbun-
den kan forekomme, hvor et grundvandsmagasin er i direkte kontakt med
vandløbet (f.eks. i kildeområder – vandløbenes udspring). Omsætning af næ-
ringsstoffer vil langs denne strømningsvej være begrænset til processer, som
foregår i selve grundvandsmagasinet samt processer i vandløbsbunden.
Q4: Oversvømmelse af lavbundsarealer ved høj vandløbsstand er generelt af
mindre betydning i små opstrøms vandløb med stor hældning, mens den vil
være mere udbredt langs større vandløb med lav hældning nedstrøms (Brin-
son, 1993).
Eksemplet i figur 4.1.2 viser strømningsveje i ådale med en genoprettet hy-
drologi. De aktuelle strømningsveje vil variere fra område til område, hvor
f.eks. genoprettede lavvandede søer oftest vil modtage vand fra opstrøms
vandløb (Q4) eller fra omkringliggende dræn (Q2). Højmoser bør i princippet
kun modtage nedbør, og Q4 vil selvsagt heller ikke være relevant i lavmoser
uden for ådalene.
Ændring i udledning af kvælstof, fosfor og kulstof som følge af vådlæg-
ning
Mindre mineralisering
Nedbrydning af organisk materiale kan foregå ca. 50 gange hurtigere under ae-
robe forhold end under anaerobe forhold (Clymo, 1983). Et sænket vandspejl
som følge af dræning øger ilttilgangen til jorden, hvorved mineralisering af or-
ganisk materiale øges. Denne mineralisering frigiver både kulstof (C), kvælstof
(N) og fosfor (P), som er bundet i det organiske materiale (Holden et al., 2004).
Dræning favoriserer mineralisering af C over N, hvorved jordens C:N-forhold
falder med øget mineralisering (Wells & Williams, 1996). Forøgelsen af N-mi-
neralisering efter dræning i forhold til før dræning er i udenlandske studier op-
gjort til en faktor 0.5-10 (Grootjans et al., 1985; Humphrey & Pluth, 1996). Ved
en genopretning af lavbundsarealernes naturlige hydrologi vil vandstanden
hæves og give en mindre hastighed af mineralisering. På sigt vil en netto-mine-
ralisering kunne vendes til en netto-ophobning af organisk materiale i vand-
mættede lavbundsområder. Tidshorisonten for dette omslag er dog forbundet
med stor usikkerhed og kan endnu ikke kvantificeres.
87
MOF, Alm.del - 2020-21 - Bilag 86: Aarhus Universitets rapport af 3/11-2020 om Baseline 2027 for udvalgte elementer, fra miljøministeren
Tilbageholdelse og frigivelse af redoxfølsomt fosfor
Tilbageholdelse og frigivelse af fosfor i vådlagte lavbundsjorde er i høj grad
koblet til områdets tidligere dyrkningshistorik og den pågældende jords bio-
geokemiske karakteristika. Hvis en lavbundsjord har været dyrket og har
modtaget et overskud af fosfor fra gødning, vil vådlægning af lavbundsjorder
ofte føre til frigivelse af opløst fosfat. Det skyldes, at jordens evne til at fast-
holde opløst fosfat – dvs. jordens adsorptionskapacitet – forringes. Vådlæg-
ningen medfører iltfrie forhold i jorden, som fører til reduktion af jernholdige
forbindelser (jern med iltningstrinnet 3, ferri-forbindelser). Når ferri-jern re-
duceres til ferro-jern, bliver det lettere opløseligt, og fosfat frigives til jordvæ-
sken og kan ende med at blive udvasket. Fosfat kan også bindes til alumi-
nium, som ikke ændrer iltningstrin under reducerede forhold, og aluminium-
forbindelser forbliver stabile under iltfrie forhold. Ligeledes udfældes fosfat
med calcium ved pH>7. Det er uklart, hvor længe fosfatfrigivelse ved våd-
lægning kan vare, men genetablerede søer og vådområder har frigivet fosfat
flere år efter vådlægning (Audet et al., 2020). Der er dog mulighed for at mind-
ske fosfatfrigivelsen (se afsnit Minimering af uønskede sideeffekter).
Potentiale for næringsstoffjernelse
Genskabelse af den naturlige hydrologi har en stor effekt på kvælstofbalancen
og fremmer N-fjernelse primært via denitrifikation, som er en mikrobiel pro-
ces, der omdanner nitrat (NO
3-
) opløst i vand til dinitrogen (N
2
). Processen
kræver tilgængeligt organisk C og iltfrie betingelser. I pyritholdige jorde kan
denitrifikationen desuden foregå med oxidation af pyrit (FeS
2
) i stedet for or-
ganisk C. Andre processer som dissimilatorisk nitrat-reduktion til ammo-
nium (DNRA) samt anaerob oxidation af ammonium (anammox) kan også
bidrage til N-omsætningen i lavbundsjordene, men vil sandsynligvis være af
mindre kvantitativ betydning (Petersen et al., submitted). Ydermere kan de-
nitrifikation være koblet til oxidation af ferro-jern (Fe
2+
), potentielt med en
stor risiko for øget lattergasproduktion (Petersen et al., submitted).
En oversigt over målte N- og P-fjernelsesrater i genoprettede lavbundsområ-
der ses i tabel 4.1.3, 4.1.4 og 4.1.5.
Forudsat tilstedeværelsen af pyrit, ferro-jern eller biologisk tilgængeligt C vil
næringsstoffjernelsen i lavbundsområder i høj grad være styret af vandets
strømningsveje, mængder og opholdstider. Generelt vil en større N-belast-
ning medføre en større absolut N-fjernelse og en mindre relativ N-fjernelse.
Næringsstoffer, som transporteres som diffus grundvandsstrømning (Q1, fi-
gur 4.1.2), vil have en stor berøringsflade med lavbundssedimenterne og en
lang opholdstid, hvormed der langs denne strømningsvej er optimale betin-
gelser for N-omsætning. For at denne N-fjernelse kan have en kvantitativ be-
tydning forudsættes det, at N-transporten finder sted langs denne strøm-
ningsvej.
Vand, som strømmer overfladisk gennem lavbundsarealet (Q2+Q4, figur
4.1.2), vil ofte have en kortere opholdstid og en mindre kontaktflade med lav-
bundssedimenterne end vand, som strømmer langs Q1. Både opholdstiden og
kontaktfladen vil dog i høj grad være styret af, om overfladeafstrømningen er
fordelt over et stort areal, eller om den foregår i mere eller mindre kanalise-
rede forløb. Da overfladeafstrømningen ikke nødvendigvis fysisk gennem-
strømmer lavbundssedimenterne (infiltration efterfulgt af eksfiltration), vil
især N-omsætningen langs denne transportvej være styret af diffusiv udveks-
ling mellem overfladevandet og lavbundssedimeterne. Vand, som stammer
88
MOF, Alm.del - 2020-21 - Bilag 86: Aarhus Universitets rapport af 3/11-2020 om Baseline 2027 for udvalgte elementer, fra miljøministeren
fra dræn og grøfter (Q2, figur 4.1.2), vil kunne udgøre en stor hydraulisk be-
lastning på lavbundsområdet. Det er derfor vigtigt at fordele denne belast-
ning med fordelerkanaler eller sjapvandssøer/damme (figur 4.1.2) for at op-
timere den diffusive udveksling og mindske risikoen for erosion. Ved en gen-
opretning, hvor drænvand strømmer igennem vandløbsnære arealer, regnes
der med, at der kan tilbageholdes 0.062 kg P/ha/år (Hoffmann et al., 2018).
Omsætning af næringsstoffer, som strømmer direkte igennem vandløbsbun-
den fra et underliggende grundvandsmagasin (Q3, figur 4.1.2), vil være be-
grænset til processer, som foregår i selve grundvandsmagasinet, samt proces-
ser i grænsefladen mellem grundvandsmagasinet og vandløbsbunden.
Det ses af tabel 4.1.1, at de relative N-fjernelser er størst, hvor grundvands-
gennemstrømning (Q1) er dominerende, mens den relative N-fjernelse er
mindst i områder domineret af oversvømmelse fra vandløbet. Da N-belast-
ningen til gengæld ofte er lavest i områder, hvor Q1 dominerer, og størst, hvor
Q4 dominerer, forholder det sig omvendt med den absolutte N-fjernelse.
Kvantitativt fjernes der altså mest N i områder domineret af Q4 efterfulgt af
Q2 og Q1.
Der ses generelt en frigivelse af P i områder, hvor Q2 og Q1 dominerer (tabel
4.1.4). Netto-retentionen af P er derimod tæt på 0 i genoprettede mosearealer
gennemstrømmet af åvand og overvejende positiv for områder domineret af
oversvømmelse fra vandløbet. Denne positive retention kan i høj grad tilskri-
ves sedimentation af partikulært P på de oversvømmede arealer (tabel 4.1.5).
89
MOF, Alm.del - 2020-21 - Bilag 86: Aarhus Universitets rapport af 3/11-2020 om Baseline 2027 for udvalgte elementer, fra miljøministeren
2273658_0092.png
Tabel 4.1.3.
Kvælstoffjernelse i lavbundsområder udtaget af produktion og med genoprettet hydrologi. Tabel modificeret efter
Hoffmann et al. (2020a).
Lokalitet
N-
fjernelse
(kg N/ha/år)
Overrisling med dræn og/eller grøftevand
Egeskov
1
(Fyn, 2 års målinger)
Stor Å
1
(Fyn, 2 års målinger)
Ulleruplund
2
(Sydjylland)
Lindkær
2
(Fyn)
Geddebækken
2
(Fyn)
Syv Bæk
3
(Sjælland)
Fensholt
¤4
(Østjylland)
Middel ± standardafvigelse
Genoprettet moseareal
Snaremose
2,5
(Langeland)
Grøngrøft (Sydjylland)
Sandskær (Sydjylland)
Middel ± standardafvigelse
Ådale med oversvømmelse
Odderbæk
6
(Midtjylland, 2 års målinger)
Hjarup Bæk
7
(Østjylland)
Nagbøl Å
7
(Østjylland)
Karlsmosen
2
(Fyn)
Lyngbygårds Å
8,5
(Østjylland)
Gammelby bæk
2
(Sydjylland)
Egebjerg Enge
2
(Østjylland)
Middel ± standardafvigelse
Gennemstrømning af grundvand
Brede Å
8
(Sønderjylland) )
Gudenåens kilder (Midtjylland)
Middel ± standardafvigelse
Genetablerede søer
Årslev Engsø
5
(Østjylland)
Vilsted Sø
2,5
(Nordjylland)
Hals sø
2
(Østjylland)
Nakkebølle
2
(Fyn)
Skibet
2
(Østjylland)
Slivsø
2
(Sydjylland)
Wedellsborg
2
(Fyn)
Ødis Sø
2
(Sydjylland)
Gødstrup Enghave
2
(Sjælland)
Middel ± standardafvigelse
1
9
5
5
Ændret
arealanvendelse
(kg N/ha/år)
50
50
37
35
35
-
-
N-fjernelse
+ ændret
arealanvendelse
(kg N/ha/år)
125
243
170
226
125
300
12-289
Retention af
belastning
(%)
43-75
26-32
67
64
39
72
1-56
46 ± 22
Aktive
strømnings-
veje
28-121
157-229
133
191
24-90
300
12-289
137 ± 99
Q2
Q2
Q2
Q2
Q2
Q1+Q2
Q2+Q1
191-256
98
176
180 ± 65
50
50
50
241-306
148
226
31-39
40
42
38 ± 5
Q4
Q4
Q4
59-82
170
163
337
195-308
83
56
161 ± 104
30
30
24
35
25
22
-
89-112
200
187
372
220
105
56
53-56
10
9
50
8-12
23
71
32 ± 25
Q1+(Q2)
Q4+Q2
Q4+Q2
Q4+Q2
Q4+Q2+Q1
Q2
Q4+Q2
92 - 108
8
69 ± 54
25
5
117 - 133
13
71 - 96
57
75 ± 20
Q1
Q1
252-261
69
40
125
125
244
117
184
100
152 ± 79
50
50
25
50
50
40
50
50
50
302-311
119
65
175
175
284
176
234
150
15-20
23
54
43
49
36
78
62
53
43 ± 20
Q4
Q4
Q1
?
Q4
Q4
?
Q4+Q2
Q4
Hoffmann et al. (2012),
2
Hoffmann et al. (2006),
3
Ambus & Hoffmann (1990),
4
Petersen et al. (2020),
5
Audet et al. (2020),
6
Hoff-
Lavbundsarealet i Fensholt er ikke restaureret, men dræn fra oplandet er afskåret og overrisler lavbundsarealet.
mann et al. (2020a),
7
Jeppesen et al. (2011),
8
Hoffmann et al. (2011),
9
Hoffmann et al. (2014).
¤
90
MOF, Alm.del - 2020-21 - Bilag 86: Aarhus Universitets rapport af 3/11-2020 om Baseline 2027 for udvalgte elementer, fra miljøministeren
2273658_0093.png
Tabel 4.1.4.
Fosforretention i lavbundsområder udtaget af landbrugsproduktion og med
genoprettet hydrologi. Negative tal er udtryk for en nettofrigivelse af fosfor. Tabellen er
modificeret efter Hoffmann et al. (2020a).
Lokalitet
P-retention
(kg P/ha/år)
Retention
(%)
Aktive
strømningsveje
Overrisling med dræn og/eller grøftevand
Egeskov
1
(Fyn, 2 års målinger)
Stor Å
1
(Fyn, 2 års målinger)
Ulleruplund
2
(Sydjylland)
Lindkær
2
(Fyn)
Geddebækken
2
(Fyn)
Syv Bæk
3
(Sjælland)
Fensholt
¤4
(Østjylland)
Middel ± standardafvigelse
Genoprettet moseareal
Snaremose
2,5
(Langeland)
Grøngrøft
5
(Sydjylland)
Sandskær
5
(Sydjylland)
Middel ± standardafvigelse
Ådale med oversvømmelse
Hjarup Bæk
6
(Jylland)
Nagbøl Å
6
(Jylland)
Karlsmosen
2
(Fyn)
Lyngbygårds Å
7,5
(Østjylland)
Gammelby bæk
2
(Sydjylland)
Egebjerg Enge
2
(Østjylland)
Middel ± standardafvigelse
Genetablerede søer
Årslev Engsø
5
(Østjylland)
Vilsted Sø
2,5
(Nordjylland)
Hals sø
2
(Østjylland)
Nakkebølle
2
(Fyn)
Skibet
2
(Østjylland)
Slivsø
2
(Sydjylland)
Wedellsborg
2
(Fyn)
Ødis Sø
2
(Sydjylland)
Gødstrup Enghave
2
(Sjælland)
Middel ± standardafvigelse
1
−0,15 - 0,08
−0,90 - −0,33
−0,43
−0,5
−0,5 - 0,5
0,07
−3,7
-0,6 ± 1,2
−25 - 6
−127 - −22
−88
−11
−8 - 21
1
−193
-45 ± 69
Q2
Q2
Q2
Q2
Q2
Q1+Q2
Q2+Q1
−0,6 - 2,6
0
−0,6
0,4 ± 1,5
−10 - 18
0
−5
0,8 ± 12
Q4
Q4
Q4
12
0,9
8,1 - 9
−1,6 - 6,4
−0,4 - 20
0,13
6,1 ± 7,1
42
11
53 - 60
−4 - 13
−7 - 75
6
28 ± 32
Q4+Q2
Q4+Q2
Q4+Q2
Q4+Q2+Q1
Q2
Q4+Q2
−1,43-10,3
−5-−1,4
−0,2
2,7
3
2,9
16,1
−2,3
0,9
2,3 ± 6,1
−5-18
−265-−29
−0,2
35
43
23
91,4
−66
26
−12 ± 93
Q4
Q4
Q1
Q4?
Q4
Q4
Q4?
Q4+Q2
Q4
Hoffmann et al. (2012),
2
Hoffmann et al. (2006),
3
Ambus & Hoffmann (1990),
4
Petersen
Lavbundsarealet i Fensholt er ikke restaureret, men dræn fra oplandet er afskåret og
et al. (2018),
5
Audet et al. (2020),
6
Jeppesen et al. (2011),
7
Hoffmann et al. (2011).
¤
overrisler lavbundsarealet.
91
MOF, Alm.del - 2020-21 - Bilag 86: Aarhus Universitets rapport af 3/11-2020 om Baseline 2027 for udvalgte elementer, fra miljøministeren
2273658_0094.png
Tabel 4.1.5.
Igennem en årrække er der blevet målt sedimentation af partikulært fosfor
ved Brynemade langs den gensnoede del af Odense å (Hoffmann et al., 2020b).
Periode
2003-2004
2004-2005
2005-2006
2006-2007
2007-2008
2009-2010
2011-2012
2012-2013
2013-2014
2015-2016
Total fosfor
(kg P ha
-1
)
78,3
75,3
20,1
101,6
36,6
55,5
123,8
61,8
64,8
214,3
Klimaeffekt
Klimagasser
Drænede organiske jorde er hotspots for drivhusgasemission (Maljanen et al.,
2010; Tiemeyer et al., 2016 og 2020). Den samlede danske udledning fra dræ-
nede organiske jorde svarer til 11 % af Danmarks samlede drivhusgasudled-
ning (Gyldenkærne og Greve, 2020). Vådlægning er en effektiv og velkendt
metode til at mindske CO
2
-emissioner fra drænet lavbundsjorde (Wilson et
al., 2016). Et vandspejl tæt på jordoverfladen kan sænke emissionen af CO
2
og
potentielt også emissionen af lattergas (N
2
O). Dog kan et vandspejl tæt på
jordoverfladen eller ved oversvømmelse samtidig fremme emissionen af me-
tan (CH
4
), særligt på næringsrige jorde med letomsætteligt organisk stof (Zak
et al., 2015). Et vandspejl tæt på jordoverfladen vil fremme både tørvedan-
nelse og CO
2
-binding, såfremt en ny tørvedannende vegetation er etableret
efter vådlægning. Et fluktuerende vandspejl, som er typisk for vådlagte om-
råder, er ydermere associeret med øget N
2
O-udledning (Kandel et al., 2019,
Tiemeyer et al., 2016). Mens vådlægning af lavbundsjorde vil begrænse CO
2
-
emissionen, kan der være en risiko for øget metanemission. Der er kun få dan-
ske undersøgelser af metanemission efter genetablering af den naturlige hy-
drologi i en ådal (Audet et al., 2013; Herbst et al., 2013; Kandel et al., 2019).
Kun den ene af disse dokumenterer udledningen både før og efter vådlæg-
ning (Audet et al., 2013). Dette studie fandt, at emissionen af metan var mar-
kant højere efter vådlægning, men at denne stigning blev kompenseret af la-
vere CO
2
- og N
2
O-emissioner. Dog sluttede undersøgelsen året efter vådlæg-
ningen, hvor den videre udvikling af metanemission er ukendt. Kandel et al.
(2019) viste betydelige metanemissioner 12 år efter vådlægning af det under-
søgte område. Ved genetablering af søer kan en kombination af eutrofiering
og et varmere klima desuden forårsage store metanemissioner (Davidson et
al., 2018). En metode til at bestemme drivhusgasemissioner fra danske lav-
bundsjorde er blevet udviklet for nylig (Gyldenkærne og Greve, 2020) og er
baseret på mere end 250 årlige drivhusgasbalancer målt i Tyskland (Tiemeyer
et al., 2020) og standardemissionsfaktorer fra IPCC (IPCC, 2014).
Klimatilpasning
Det forventes, at vådlægning af store arealer med lavbundsjord yderligere vil
få betydning for hydrologien på oplandsskala. En succesfuld restaurering af
den naturlige hydrologi vil bidrage til at afbøde effekten af ekstreme hydro-
logiske hændelser i vandløb ved at forsinke vandafstrømning under kraftig
92
MOF, Alm.del - 2020-21 - Bilag 86: Aarhus Universitets rapport af 3/11-2020 om Baseline 2027 for udvalgte elementer, fra miljøministeren
nedbør, og en restaurering vil desuden øge tilbageholdelsen af vand i land-
skabet under tørke (Bullock & Acreman, 2003; Holden et al., 2004).
Minimering af uønskede sideeffekter (fosfortab og emission af klima-
gasser)
Generelt peger forskningen på, at en minimering af fosforfrigivelse og metan-
emission forudsætter, at indholdet af næringsstoffer i jorden mindskes før
vådlægning eller i de første år efter vådlægning. Til mindskning af nærings-
stofpuljen i jorden findes flere muligheder:
Afhøstning af vegetation: Vegetation, der vokser på vådlagte lavbundsjorde,
kan bidrage til at udtømme fosforpuljen i jorden, idet fosfor inkorporeres i
plantevæv. Afhøstning af vegetation én til to gange om året forhindrer ned-
brydning af plantemateriale og den medfølgende tilbageførsel af fosfor til mil-
jøet (f.eks. Zak et al. 2014, Andersen et al., 2020).
Fjernelse af topjord: Målet med dette tiltag er at bortgrave den næringsrige,
degraderede topjord, som potentielt vil kunne frigive store mængder fosfor
efter vådlægning. Dette vil samtidig reducere CH
4
-dannelsen markant (f.eks.
Zak et al., 2018; Huth et al., 2020; Andersen et al., 2020).
Langsom vådlægning: Langsom, progressiv vådlægning over flere år kan mu-
ligvis mindske det store fosfortab, som ofte forekommer efter vådlægning.
Forbedret økologisk tilstand i søer: Davidson et al. (2018) viser, at eutrofierede
søer med algevækst har meget højere metanemission end søer med akvatiske
planter og klart vand. Dette studie påpeger derfor, at en god økologisk til-
stand (klart vand med akvatiske planter) kan minimere metanemissioner (Da-
vidson et al., 2018).
Fosforfiltre: Afstrømning fra veldefinerede udløb på de vådlagte arealer kan
ledes igennem et fosforfilter for at mindske fosfortabet. Dette kræver udtag-
ning af et mindre areal til konstruktion af et sedimentationsbassin efterfulgt
af et reaktivt fosforfilter (Penn et al., 2017; Pugliese et al., 2020).
Konklusion
Effekten af udtagning af lavbundsarealer fra landbrugsproduktion på kvæl-
stofudvaskning, fosforudledning og potentiel emission af klimagasser er svær
at kvantificere, men eksisterende studier viser, at vådlægning af lavbundsare-
aler har potentiale til at reducere kvælstofudvaskningen. Der er dog stor va-
riabilitet i både de undersøgte systemer og af undersøgelsesresultaterne. Sam-
tidig kræver en kvantificering af potentialet for kvælstoffjernelse en kortlæg-
ning af de direkte og indirekte oplande til de enkelte lavbundsarealer, da op-
landsarealerne bestemmer N-belastningen af lavbundsområderne og dermed
også den potentielle N-fjernelse.
Effekten på fosfortab er særdeles svær at estimere, da forskningen viser meget
variable resultater: Nogle projekter viser frigivelse af fosfor, mens andre viser
tilbageholdelse af fosfor. Der mangler undersøgelser af fosforudledning før
genetablering for at kunne evaluere den fulde effekt af vådlægning på næ-
ringsstofudvaskning. Effekten på klimagasemission er ikke velundersøgt i
Danmark, og selvom vådlægning er en effektiv metode til at reducere CO
2
-
emission, kommer denne reduktion med en risiko for højere CH
4
-emissioner.
93
MOF, Alm.del - 2020-21 - Bilag 86: Aarhus Universitets rapport af 3/11-2020 om Baseline 2027 for udvalgte elementer, fra miljøministeren
Der er mulighed for at reducere dette med passende virkemidler, men forsk-
ningen heri er mangelfuld, især i en dansk kontekst.
4.2
Klimaets påvirkning af kvælstofudledning
Jørgen E. Olesen & Gitte Blicher-Mathiesen
Fagfællebedømt af Mathias Neumann Andersen
De klimatiske forhold påvirker kvælstofudvaskningen fra landbrugs- og na-
turarealer både direkte og indirekte. Udvaskningen kan opgøres som produk-
tet af den gennemsnitlige kvælstofkoncentration og mængden af afstrøm-
mende vand. Begge dele påvirkes af klima og dermed af klimaændringer.
Resultater fra både modelbaserede analyser (Doltra et al., 2014) og analyser af
langvarige forsøg med kvælstofudvaskning (Jabloun et al., 2015) viser øget
kvælstofudvaskning under de forventede klimaændringer. En del af dette
skyldes, at øget temperatur i efterårs- og vinterperioden øger omsætningen
og nedbrydningen af organisk stof i jorden. Dermed bliver mere kvælstof mi-
neraliseret og tilgængelig for udvaskning. Dette kan kun modvirkes gennem
dyrkning af afgrøder og efterafgrøder i efterårs- og vinterperioden. Der bliver
derfor med klimaændringer behov for stigende fokus på sammensætning af
sædskiftet med henblik på at minimere næringsstoftabet. En anden årsag til
øget kvælstofudvaskning er stigende nedbørmængder, som øger afstrømnin-
gen og dermed kvælstofudvaskningen.
Udvikling i temperatur og nedbør
Over de seneste 50 år er den globale middeltemperatur steget med 0,8
°C,
og
temperaturstigningerne i Danmark har på det seneste endda været endnu
større, svarende til ca. 1,5
°C
(figur 4.2.1). I Danmark har det forlænget vækst-
sæsonen med mere end en måned. Samtidigt har nedbørsmønstrene ændret
sig. For Danmarks vedkommende er nedbørsmængden steget med ca. 100
mm over de seneste 50 år. Ændringen er næsten udelukkende sket i vinter-
halvåret (figur 4.2.2). Begge disse effekter må alt andet lige forventes at have
øget kvælstofudvaskningen, og det må også forventes at øge kvælstofudvask-
ningen fremover.
Klimaet påvirker også kvælstofudvaskningen indirekte gennem effekter på
afgrødernes vækst og kvælstofoptag samt gennem effekter på effektiviteten
af virkemidler. Flere typer klimaekstremer (f.eks. tørke og ekstrem nedbør)
vil gennem påvirkning på afgrøders vækst og virkemidlers effektivitet kunne
øge kvælstofudvaskningen. Effekten af udviklingen af afgrødernes kvælstof-
udbytte er behandlet i afsnit 3.10. Kvælstofoptaget bliver især negativt påvir-
ket gennem tørke, som f.eks. i 2018, og dette vil kunne øge den kvælstof-
mængde, der er til rådighed for udvaskning, hvis det ikke modvirkes af effek-
tive efterafgrøder. God etablering og vækst af efterafgrøder er afgørende for
deres evne til at reducere kvælstofudledningen (De Notaris et al., 2018), og
dette kræver, at afgrøden høstes så tidligt, at efterafgrøden kan få en tilstræk-
kelig lang vækstperiode inden vinteren. Høsttidspunktet for kornafgrøder vi-
ser en betydelig geografisk variation i høsttid (12-18 dage) på tværs af landet
(Pullens et al., 2019). Den tidligste høsttid forekommer i den sydøstlige del af
landet (Øerne) og den seneste høsttid i den nordvestlige del (Nordjylland og
94
MOF, Alm.del - 2020-21 - Bilag 86: Aarhus Universitets rapport af 3/11-2020 om Baseline 2027 for udvalgte elementer, fra miljøministeren
2273658_0097.png
Thy). Kølige vækstsæsoner og våde høstforhold giver sen høst, og det medfø-
rer særligt vanskelige forhold for etablering af efterafgrøder i de dele af lan-
det, hvor klimaforholdene i forvejen giver sen høst.
De igangværende klimaændringer må således forventes at føre til øget kvæl-
stofudvaskning, både gennem direkte effekter på kvælstofudvaskningen fra
landbrugsafgrøder og gennem indirekte effekter af klimaekstremer på afgrø-
ders vækst og effekt af virkemidler. Der er dog knyttet betydelige usikkerheder
til disse effekter, og disse må forventes også at variere mellem dyrkningssyste-
mer afhængigt af afgrøder og virkemidler til reduktion af udvaskningen. Ole-
sen et al. (2020) benyttede en modelbaseret tilgang til at beregne effekten af kli-
maændringer for nitratudvaskningen for Norsminde-oplandet i Østjylland og
fandt en øget nitratudvaskning med klimaændringer frem til 2050, men med en
betydelig usikkerhed afhængigt af, hvilken klimamodel der blev brugt. Stignin-
gen i nitratudvaskningen blev beregnet til at være 20 til 60 %, og der er således
store usikkerheder på estimaterne, men mange forskellige studier indikerer en-
tydigt, at de forventede klimaændringer vil øge risikoen for øget nitratudled-
ning (Doltra et al., 2014; Bartosova et al., 2019). En del af den stigende udledning
vil kunne kompenseres ved en bedre effekt af virkemidler, som f.eks. efteraf-
grøder, men modelbaserede analyser har vist, at disse ikke fuldt ud kompense-
rer for den øgede nitratudvaskning (Doltra et al., 2014).
Figur 4.2.1.
Årlig middeltempera-
tur i Danmark i perioden 1874-
2018. Den optrukne linje viser 5-
års glidende gennemsnit. Den
grønne linje viser gennemsnit for
normalperioden 1961-1990, og
den røde linje viser stigningen si-
den 1981 (0,3
°C
pr. årti).
Figur 4.2.2.
Årlig nedbør i Dan-
mark i perioden 1874-2018. Den
optrukne linje viser 5-års glidende
gennemsnit. Den grønne linje vi-
ser gennemsnit for normalperio-
den 1961-1990, og den røde linje
viser stigningen siden 1981 (25
mm pr. årti). Der tages forbehold
for at DMI’s opgjorte nedbør kan
være inhomogen i perioden før
og efter 2011.
95
MOF, Alm.del - 2020-21 - Bilag 86: Aarhus Universitets rapport af 3/11-2020 om Baseline 2027 for udvalgte elementer, fra miljøministeren
2273658_0098.png
Udvikling i afstrømning og nitratudledning i målte oplande
På 77 målestationer er der målt vandafstrømning og udledning af nitrat i pe-
rioden 1990-2018 og lavet opgørelser for det hydrologiske år 1. juni til 31. maj.
Udviklingen i afstrømning er opgjort både ved lineær regression og med
Mann-Kendall test (Hirsh & Slack, 1984) og er vist for fem regioner (figur
4.2.3). Størst stigning i den årlige afstrømning ses for de målte oplande i
Vestjylland og Nordjylland med en årlig stigning på henholdsvis 4,1-4,6 og
3,2-3,5 mm. Udvikling i afstrømning for perioden 1990/91-2017/18 er signifi-
kant på 0,05 pct. niveau (tabel 4.2.1). I de målte oplande i Østjylland og Fyn
stiger den årlige målte afstrømning mindre med henholdsvis 1,7-1,9 og 1,4
mm, mens der kun findes en meget lille årlig stigning på 0,12-0,02 mm for
oplandene på Sjælland. Udvikling i afstrømning for de sidst tre nævnte regi-
oner er ikke signifikant.
Figur 4.2.3.
Udvikling i afstrømning opgjort for 77 målte havstationer med en fuldstændig tidsserie for perioden 1990-2018.
Data er opgjort for dette hydrologiske år, 1. juni til 31. maj, for perioden 1990/91-2017/18. Oplande med data for de opgjorte
målestationer er vist med mørke farver på kortet. I de fem regionale figurer viser den blå linje trenden i udviklingen i afstrømnin-
gen opgjort ved lineær regression, og den orange linje viser middelafstrømningen for perioden.
96
MOF, Alm.del - 2020-21 - Bilag 86: Aarhus Universitets rapport af 3/11-2020 om Baseline 2027 for udvalgte elementer, fra miljøministeren
2273658_0099.png
Udledning af kvælstof er især påvirket af afstrømning samt af de mange virke-
midler, der er implementeret for at reducere kvælstoftabet fra landbrugsjorden.
Det betyder, at det ofte kan være vanskeligt at adskille effekten af virkemidler
ift. de store årlige klimatiske ændringer i afgrøders vækst og høst samt nedbør.
Opgøres relationen mellem afstrømning og nitratudledning i kg N/ha, ses det,
at denne relation gradvist ændrer sig i takt med implementeringen af virkemid-
ler i de forskellige vandplanperioder (figur 4.2.4 og tabel 4.2.1).
Figur 4.2.4.
Relation mellem af-
strømning og nitratudledning til
havet (kg N/ha) for 77 målte hav-
stationer for det hydrologiske år,
1.juni til 31. maj, for perioden
1990/91-2017/18 og opdelt i tre
perioder 1990/91-1998/99,
1999/00-2006/07 samt 2007/08-
2017/18. Oplande med data for
de opgjorte målestationer er vist
med mørke farver på kortet i figur
4.2.3.
97
MOF, Alm.del - 2020-21 - Bilag 86: Aarhus Universitets rapport af 3/11-2020 om Baseline 2027 for udvalgte elementer, fra miljøministeren
2273658_0100.png
Tabel 4.2.1
Statistisk beregning af udvikling i afstrømning for målte vandløbsoplande i fem regioner. Afstrømningen er målt og
opgjort for det hydrologiske år, 1. juni-31.maj, for perioden 1990/91-2017/18. Placering og antal oplande fremgår af kortet vist i
figur 4.2.3. Beregningen er gennemført med to statistiske test, lineær regression og Mann-Kendall test.
Region
middel
Nordjylland
Vestjylland
Østjylland
Fyn
Sjælland
3,17
4,08
1,71
1,36
0,123
Lineær regression
Årlig stigning i afstrømning (mm pr. år)
95 % konfidensgrænse
0,574
0,207
-1,07
-2,86
-3,36
5,77
7,95
4,49
5,58
3,6
0,018
0,040
0,22
0,51
0,94
p-værdi
middel
3,51
4,62
1,86
1,36
0,022
Mann-Kendall test
Årlig stigning i afstrømning (mm pr. år)
95 % konfidencsrænse
0,233
-0,0452
-1,41
-3,26
-4,01
6,00
8,63
4,9
6,44
4,21
0,038
0,050
0,28
0,51
1
p-værdi
Tabel 4.2.2
Logaritmisk sammenhæng mellem q=årlig afstrømning (mm) og nitratudledning (kg N/ha) for målte vandløbsop-
lande opgjort for tre perioder – 1990/91-1998/99, 1999/00-2006/07 samt 2007/08-2017/18 – og fem regioner. Oplande med data
for de opgjorte målestationer er vist med mørke farver på kortet i figur 4.2.3.
Region
Fyn
Fyn
Fyn
Limfjord
Limfjord
Limfjord
Sjælland
Sjælland
Sjælland
Vestjylland
Vestjylland
Vestjylland
Østjylland
Østjylland
Østjylland
periode
1990/91-1998/99
1999/00-2006/07
2007/08-2017/18
1990/91-1998/99
1999/00-2006/07
2007/08-2017/18
1990/91-1998/99
1999/00-2006/07
2007/08-2017/18
1990/91-1998/99
1999/00-2006/07
2007/08-2017/18
1990/91-1998/99
1999/00-2006/07
2007/08-2017/18
ligning
-89.046 + 20.194*ln(q)
-84.000 + 18.021*ln(q)
-50.456 + 11.267*ln(q)
-93.262 + 19.553*ln(q)
-114.010 + 22.384*ln(q)
-64.350 + 13.523*ln(q)
-58.221 + 14.105*ln(q)
-54.036 + 12.427*ln(q)
-34.284 + 8.232*ln(q)
-117.166 + 22.807*ln(q)
-116.968 + 21.750*ln(q)
-84.250 + 16.035*ln(q)
-94.066 + 18.884*ln(q)
-104.340 + 19.864*ln(q)
-43.273 + 9.110*ln(q)
r
2
0,942
0,948
0,860
0,887
0,981
0,898
0,913
0,947
0,808
0,879
0,944
0,841
0,828
0,932
0,735
Relationen mellem ferskvandsafstrømning og nitratudledning for perioden
2007/08-2017/18 må forventes at være gældende under baselinebetingelser
frem til 2027. Disse relationer er benyttet til at beregne stigningen i nitratud-
ledningen til havet under forudsætning af, at afstrømningen udvikler sig over
de kommende år som i de foregående 30 år (tabel 4.2.3). For Nordjylland og
Vestjylland giver dette en stigning i nitratudledningen på over 7 %, hvor stig-
ningen ligger på ca. 4 % i Østjylland og Fyn, mens der ikke er nogen mærkbar
ændring på Sjælland.
98
MOF, Alm.del - 2020-21 - Bilag 86: Aarhus Universitets rapport af 3/11-2020 om Baseline 2027 for udvalgte elementer, fra miljøministeren
2273658_0101.png
Tabel 4.2.3.
Årlig nitratudledning til havet (kg N/ha) ved middelafstrømning og øget nitratudledning efter 9 år estimeret med en
beregnet stigning i afstrømning, forskel i nitratudledning ved middelafstrømning og efter 9 år med øget afstrømning samt den
procentvise stigning efter 9 år opgjort for målte oplande i fem regioner.
Afstrømning (mm pr.
hydrologisk år)
Region
Nordjylland
Vestjylland
Østjylland
Fyn
Sjælland
Middel
348
486
361
287
211
Årlig
ændring
3,17
4,08
1,71
1,36
1,12
9 års
ændring
28,6
36,7
15,4
12,3
1,1
14,8
15,0
10,4
13,3
9,8
Ved middelafstr.
Middelafstr.
plus 9 år
15,8
16,1
10,7
13,8
9,8
Forskel Middelafstr.
og efter 9 år
1,07
1,17
0,38
0,47
0,04
7,2
7,8
3,7
3,5
0,4
(%)
Nitratudledning (kg N/ha)
Ændring
Konklusion
Klimaændringer forventes at medføre højere temperaturer og øget vinterned-
bør. Over de seneste 30 år er afstrømningen steget betydeligt i Jylland og på
Fyn, mens der ikke har været mærkbare ændringer på Sjælland. Den stigende
afstrømning vil føre til øget udledning af nitrat til havet, og ved anvendelse
af relationerne mellem afstrømning og nitratudledning for de seneste 10 år fås
en stigning i nitratudledning på op til knap 8 % afhængigt af region. Da disse
estimater er baseret alene på data fra de målte oplande, er det ikke muligt
direkte at opskalere til et nationalt estimat for effekten på kvælstofudlednin-
gen. Disse estimater indeholder desuden kun den forventede effekt på større
vandafstrømning, mens eventuelle effekter på mineralisering som følge af hø-
jere temperatur eller indirekte effekter på afgrødevalg og dyrkningspraksis
ikke kan adskilles i den viste effekt.
4.3
Skovrejsning med et klimaformål
Per Gundersen
Fagfællebedømt af Lars Vesterdal, IGN, KU
Den almindelige skovrejsning på tidligere landbrugsjord har ofte rekreative
eller grundvandsbeskyttende formål. Derfor planter man fortrinsvis løvtræ-
arter og efterlader nogle åbne områder uden beplantning. Driften er ofte ikke
intensiv.
Skovrejsning på landbrugsjord med et klimaformål (klimaskove) må derimod
antages hovedsageligt at blive tilplantet med hurtigt voksende nåletræarter
(eller alternativt med hybrid poppel), der skal drives mere intensivt for at
opnå så stor CO2-binding som muligt.
Data for nitratudvaskning efter skovrejsning på tidligere landbrugsjord i
Gundersen et al. (2020a) er hovedsageligt fra løvskove, men der indgår også
enkelte nåleskove med forskellig jordbund og forstlig drift. Ud fra dette nu-
værende datagrundlag blev der foreslået et normtal på 8 kg N/ha/år (5-15 kg
N/ha/år) som et langsigtet gennemsnit for N-udvaskning fra nye skove på
tidligere landbrugsjord (Gundersen et al. 2020b).
99
MOF, Alm.del - 2020-21 - Bilag 86: Aarhus Universitets rapport af 3/11-2020 om Baseline 2027 for udvalgte elementer, fra miljøministeren
Hurtigt voksende træarter og intensiv forstlig drift med udtag af flere træpro-
dukter (bioenergi og tømmer) vil betyde en større eksport af kvælstof fra are-
alerne i disse produkter, end vi ser ved almindelig skovrejsning. Dette bør alt
andet lige medføre mindre N-udvaskning fra ’klimaskove’. Men nåletræer fil-
trerer luften mere effektivt for kvælstofgasser og –partikler (højere tørdeposi-
tion) end løvtræer (Gundersen, 2008). Dette kan, afhængigt af omfanget af lo-
kale og regionale N-emissioner, opveje eller overstige det øgede N-udtag. Ba-
lancen mellem øget N-tilførsel via tørdeposition og øget N-udtag med hugst
vil være afgørende for niveauet af N-udvaskning fra ’klimaskove’. Der eksi-
sterer ikke tilstrækkelige data til at kunne forudsige denne balance. Derud-
over vil jordtype, dræningstilstand, lokale kvælstofkilder og den konkret ud-
formning af skoven (træart, tæthed, drift mv.) have betydning.
I Danmark er der ikke målinger af nitratudvaskning på skov rejst med et kli-
maformål eller tilstrækkelig viden om nitratudvaskning fra andre nåleskove
på gammel landbrugsjord. Derfor kan der ikke for nuværende gives et andet
normtal for udvaskningseffekt af skov rejst med et klimaformål end for al-
mindelig skovrejsning på landbrugsjord.
100
MOF, Alm.del - 2020-21 - Bilag 86: Aarhus Universitets rapport af 3/11-2020 om Baseline 2027 for udvalgte elementer, fra miljøministeren
5
Konklusion
I dette kapitel sammenfattes resultaterne af de vurderede baselineelementer.
Vurdering af effekt på nitratudvaskning for de enkelte virkemidler er sammen-
fattet i tabel 5.1. Forventede ændringer i nitratudvaskningen er, hvor det er mu-
ligt, angivet som et interval på basis af en usikkerhedsvurdering, hvor mini-
mum indikerer ”den mindst mulige reduktion af udvaskningen”, og maksi-
mum indikerer ”den højest mulige reduktion af udvaskningen”.
I nærværende rapport er effekterne beregnet for tre scenarier med fremskriv-
ning af husdyrholdet og afledte effekter på afgrødefordeling og produktion
af husdyrgødning. Ved den gennemsnitlige udvikling i den animalske pro-
duktionen øges kvælstof i husdyrgødning med 8 mio. kg N, mens det for de
to øvrige scenarier vil være henholdsvis et fald på 20 mio. kg N og en stigning
på 35 mio. kg N til i alt 258 mio. kg N. Mængder i disse beregninger er N ab
dyr, hvorfor der skal fratrækkes tab i stald og lagre for at få ændringen i N
tildelt markerne. Albrektsen et al. (2017) angiver et tab fra kvæg og svin på
21,7 mio. kg N, svarende til 10 % af N ab dyr. Det forudsættes, at antallet af
husdyrefterafgrøder fastsættes, så disse kompenserer en øget udvaskning ved
anvendelse af mere ikke udnyttet husdyrgødning og at der derfor ikke vil
komme øget udvaskning selvom mængden af husdyrgødning stiger.
Udvikling i udbytter er opgjort sammen med udviklingen i de økonomisk op-
timale kvælstofnormer, idet der er en kobling mellem øgede udbytter og øgede
normer. Det vurderes endvidere, at udvaskningen bedst estimeres på grundlag
af forskellen mellem udviklingen i kvælstofnormer og kvælstofudbytter.
Der er gennemført en vurdering af baselineelementerne: Nedgang i det dyr-
kede areal, skovrejsning, øget økologiske produktion, anvendelse af bioforgas-
ning og af genanvendt affald, nedgang i atmosfærisk deposition, slæt frem for
afgræsning, udvikling i udbytter og i de økonomisk optimale kvælstofnormer.
De viste vurderinger af baselineelementer viser et forventet fald i nitratud-
vaskningen frem mod 2027 for elementerne nedgang i den atmosfæriske de-
position af kvælstof, som afhænger af, hvorvidt prognoserne for udviklingen
i emissionerne af kvælstof holder stik, og af at EU-landene overholder de med
NEC-direktivet vedtagne emissionslofter for 2027/2030. Derudover forventes
det især, at udvikling i det økologiske areal og nedgangen i det dyrkede areal
og skovrejsning bidrager til en mindre udvaskning frem mod 2027.
Scenarier for den animalske produktion er indarbejdet i fremskrivning af slæt
frem for afgræsning og i udvikling i udbytter og den økonomiske optimale
gødningsnorm. Der er vurderet to scenarier for skovrejsning henholdsvis
hvor skovrejsningen har samme stigning som hidtil samt et scenarie, hvor
skovrejsningen fordobles i 2030. De to scenarier for skovrejsning har betyd-
ning for beregningen nedgang i det dyrkede areal, hvorfor der også er bereg-
net to scenarier for dette virkemiddel.
Der er betydelig usikkerhed omkring effekter af udvikling i kvælstofnormer
og kvælstofudbytter på nitratudvaskningen, især i forhold til udvikling i af-
grødesammensætningen. Derimod forventes en øget nitratudvaskning grun-
det øget klimabetinget afstrømning (tabel 5.1).
101
MOF, Alm.del - 2020-21 - Bilag 86: Aarhus Universitets rapport af 3/11-2020 om Baseline 2027 for udvalgte elementer, fra miljøministeren
2273658_0104.png
I forhold til fosforudledningen forventes der et fald i udledningen for begge
baselineelementerne nedgang i det dyrkede areal og øget skovrejsning (tabel
5.2.). Også her afhænger størrelsen af den politiske målsætning, der lægges til
grund for beregningen.
En væsentlig del af den forventede baselineeffekt vil ikke have fuld virkning
i 2027, idet den forventede effekt på nitratudvaskningen er vurderet som ef-
fekten, der fremkommer inden for en tidshorisont på 5-10 år. Hertil skal yder-
ligere lægges, at der optræder en vis tidsforsinkelse fra, at virkemidler imple-
menteres, til de reelt har en effekt på udvaskning fra rodzone og udledning
til kystvande, samt at den aktuelle udledning desuden er påvirket af år-til-år-
variation i vejrforhold, jf. afsnit 2.6 om tidshorisont og tidsforsinkelser.
Baselineeffekten er udarbejdet som en fremskrivning for udviklingen, og der
er derfor knyttet en vis usikkerhed til, om den aktuelle udvikling afviger fra
denne forudsatte udvikling. Derfor anbefaler AU, at der løbende følges op på,
om udviklingen sker som forventet. Det er desuden vigtig at se på, om der
kommer nye tiltag, der vil reducere nitratudvaskning og fosforudledning,
bl.a. nye tiltag til at opfylde Danmarks målsætning om mindre CO
2
-udled-
ning. I denne baseline 2027 indgår en overordnet beskrivelse af potentialet for
kvælstoffjernelse ved at vådlægge og udtage kulstofrige lavbundsjord fra
landbrugsproduktion, som forventes at udgøre væsentlige tiltag i forhold til
at opfylde målsætningen om reduktion af landbrugets klimabelastning.
Desuden findes, at der i dag er begrænset viden om udvaskning ved klimatil-
passet skovrejsning på landbrugsjord, og effekt af dette baselineelement kan
ikke opgøres mere specifikt end den vurderede udvaskningseffekt af almin-
delig skovrejsning på landbrugsjord.
Tabel 5.1.
Fremskrivning af effekten på landsplan af udvalgte baselineelementer på nitratudvaskningen i 2027. Positive værdier
angiver et fald i nitratudvaskningen og negative værdier en stigning i nitratudvaskningen. For elementerne ”skovrejsning” og
”økologi” er der angivet flere scenarier, hvor valg af scenarier afhænger af den politiske beslutning, der træffes om f.eks. mere
økologi eller tilskud til skovrejsning. Hvad ”kvælstofdeposition” angår, repræsenterer scenarierne en usikkerhed i forhold til, om
de enkelte lande kan overholde de fastsatte lofter for udledning.
Kvælstof
Arealændring
2017/18-2027
( ha)
Virkemiddel mm.
Nedgang i dyrket areal (skovrejsning Scenarie 1)
Nedgang i dyrket areal (skovrejsning Scenarie 2)
Skovrejsning Scenarie 1
Skovrejsning Scenarie 2
Økologi høj vækst (politisk målsætning)
Økologi middel vækst
Økologi lav vækst
Kvælstofdeposition Scenarie 1
Kvælstofdeposition Scenarie 2
Udvikling i udbytter og økonomisk optimal norm (standard husdyr)
Udvikling i udbytter og økonomisk optimal norm (lav husdyr)
Udvikling i udbytter og økonomisk optimal norm (høj husdyr)
91.900
80.200
17.100
28.800
208.000
153.000
46.000
hele arealet
hele arealet
landbrugsarealet
landbrugsarealet
landbrugsarealet
min.
4.460
3.900
887
1.495
2.080
1.523
458
1.718
2.728
-121
1.155
-1.941
Udvaskningseffekt i rodzonen
i 2027
(ton N)
maks.
4.680
4.090
887
1.495
3.536
2.590
779
2.050
3.256
1.378
3.178
-304
102
MOF, Alm.del - 2020-21 - Bilag 86: Aarhus Universitets rapport af 3/11-2020 om Baseline 2027 for udvalgte elementer, fra miljøministeren
2273658_0105.png
I denne baseline er det vist, at øget afstrømning samt store år- til- år variatio-
ner i bl.a. nedbør og temperatur kan modvirke og skygge for effekten af vir-
kemidler og baselineelementer, og at forsinkelser i kvælstofomsætning og i
vandets transportveje fra mark til kystvande kan have en betydning. Regio-
nale opgørelser af den afstrømningsvægtede total N- og nitrat-koncentration
i det afstrømmende vand til kystvande for målte oplande viser, at netop år-
til-år variationen er stor i de to regioner Fyn og Sjælland, og at ændringer i
disse koncentrationer derfor bør ses over en årrække i forhold til at kunne
evaluere virkemidlers effekt på kvælstofudledning til kystvande.
Tabel 5.2.
Fremskrivning af effekten på landsplan af baselineelementerne ”nedgang i dyr-
ket areal” og ”skovrejsning” på fosforudledningen i 2027. For baselineelementet ”nedgang
i dyrket areal” er der angivet to scenarier, idet effekten afhænger af, hvor stort arealet med
skovrejsning forventes at blive i 2027. Positive værdier angiver et fald i fosforudledningen.
Fosfor
Arealændring
2018 -2027
(ha)
Baselineelement
Nedgang i dyrket areal (skovrejsning Scenarie 1)
Nedgang i dyrket areal (skovrejsning Scenarie 2)
Skovrejsning Scenarie 1
Skovrejsning Scenarie 2
91.900
80.200
17.100
28.800
24.900
21.700
800
1.300
24.900
21.700
800
1.300
Udledning til
ferskvand i 2027
(kg P)
103
MOF, Alm.del - 2020-21 - Bilag 86: Aarhus Universitets rapport af 3/11-2020 om Baseline 2027 for udvalgte elementer, fra miljøministeren
2273658_0106.png
6
Referencer
Albrektsen, R., Mikkelsen, M.H. & Gyldenkærne, S. (2017). Danish emission
inventories for agriculture. Inventories 1985-2015. Aarhus University, DCE –
Danish Centre for Environment and Energy, 190 pp. Scientific Report from
DCE – Danish Centre for Environment and Energy No. 250.
http://dce2.au.dk/pub/SR250.pdf
Ambus, P. & Hoffmann, C.C. (1990). Kvælstofomsætning og stofbalance i
ånære områder. NPo-forskning fra Miljøstyrelsen nr. C13. Miljøministeriet.
Andersen, H. E. & Heckrath, G. (red.). (2020.) Fosforkortlægning af dyrk-
ningsjord og vandområder i Danmark. Aarhus Universitet, DCE – Nationalt
Center for Miljø og Energi, 338 s. - Videnskabelig rapport nr. 397
http://dce2.au.dk/pub/SR397.pdf
Andersen, H.E. & Rolighed, J. (2016). Ændret husdyrregulering: Effekter af
loft for tilførsel af fosfor med husdyrgødning. Notat fra DCE – Nationalt Cen-
ter for Miljø og Energi, 46 s., 5. september 2016.
Andersen, H.E., Rubæk, G.H., Hasler, B. & Jacobsen, B.H. (red.) (2020). Virke-
midler til reduktion af fosforbelastningen af vandmiljøet. Aarhus Universitet,
DCE – Nationalt Center for Miljø og Energi, 284 s. - Videnskabelig rapport nr.
379. http://dce2.au.dk/pub/SR379.pdf
Anonym (2018). Procedurer for indstilling af kvælstof- og udbyttenormer
(”Drejebogen”). Rapport fra Normudvalget. Aarhus Universitet, SEGES og
København Universitet.
https://dca.au.dk/fileadmin/user_upload/NH/Myndighed/Dreje-
bog_Gaeldende_fra_november_2018.pdf
Anonym (2020). Normtal for husdyrgødning
https://anis.au.dk/forsk-
ning/sektioner/husdyrernaering-og-fysiologi/normtal/
Audet, J., Elsgaard, L., Kjaergaard, C., Larsen, S. E. & Hoffmann, C.C. (2013).
Greenhouse gas emissions from a Danish riparian wetland before & after res-
toration. Ecological Engineering, 57, 170-182.
Audet, J., Zak, D., Bidstrup, J. & Hoffmann, C.C. (2020). Nitrogen & phospho-
rus retention in Danish restored wetlands. Ambio, 49, 324-336.
doi:10.1007/s13280-019-01181-2
Bartosova, A., Capell, R., Olesen, J.E., Jabloun, M., Refsgaard, J.C., Donnelly,
C., Hyytiäinen, K., Pihlainen, S., Zandersen, M. & Arheimer, B. (2019). Future
socioeconomic conditions may have larger impact on nutrient loads to the
Baltic Sea than climate change. Ambio 48, 1325-1336.
Blicher-Mathiesen, G. (2012). Notat om status for N-udledning fra lavbunds-
arealer, 16 p., Feb. 22, 2012. Notat fra DCE - Nationalt center for Miljø- og
Energi.
Blicher-Mathiesen, G., Windolf, J., Larsen, S.E., Rolighed, J., Carstensen, M.V.,
Højbjerg, A.L., Tornbjerg, H. & Kronvang, B. (2020). The effect of nitrogen
104
MOF, Alm.del - 2020-21 - Bilag 86: Aarhus Universitets rapport af 3/11-2020 om Baseline 2027 for udvalgte elementer, fra miljøministeren
2273658_0107.png
mitigation measures evaluated by monitoring of nitrogen concentrations and
loadings in Danish mini-catchments – 1990-2015. Water Science and Techno-
logy. Water Supply, 20, 2, 586-593.
Blicher-Mathiesen, G., Holm, H., Houlborg, T., Rolighed, J., Andersen, H.E.,
Carstensen, M.V., Jensen, P.G., Wienke, J., Hansen, B. & Thorling, L. (2019).
Landovervågningsoplande 2017. NOVANA. Aarhus Universitet, DCE – Na-
tionalt Center for Miljø og Energi, 222 s. - Videnskabelig rapport nr. 305
http://dce2.au.dk/pub/SR305.pdf
Blicher-Mathiesen, G., Olesen, J.E. & Jung-Madsen, S. (red.) (2020). Opdate-
ring af baseline 2021. Aarhus Universitet, DCE – Nationalt Center for Miljø og
Energi, 140 s. - Teknisk rapport nr. 162 http://dce2.au.dk/pub/TR162.pdf
Brinson, M.M. (1993). Changes in the functioning of wetlands along environ-
mental gradients. Wetlands, 13, 65-74. doi:10.1007/bf03160866
Bullock, A. & Acreman, M. (2003). The role of wetlands in the hydrological
cycle. Hydrol. Earth Syst. Sci. 7, 358-389.
Børgesen, C.D., Kristensen, I.T., Grant, R. (2009). Landbrugsregisterdata an-
vendt i regionale og landsdækkende beregninger af N og P tab. I: Midtvejs-
evaluering af Vandmiljøplan III – hoved og baggrundsnotater. (eds. Børge-
sen, C.D., Waagepetersen, J., Iversen, T.M., Grant, R., Jacobsen, B. & Elmholt,
S.) Det Jordbrugs-videnskabelige Fakultet og Danmarks Miljøundersøgelser.
DJF rapport Markbrug 142. 233 s.
Børgesen, C.D., Sørensen P., Blicher-Mathiesen G., Kristensen M.K., Pullens,
J.W.M., Zhao J., Olesen J.E. 2020. NLES5 - An empirical model for predicting
nitrate leaching from the root zone of agricultural land in Denmark. Aarhus
University, DCA - Danish Centre for Food and Agriculture. 116 p. - DCA re-
port No. 163.
http://web.agrsci.dk/djfpublikation/djfpdf/DCArap-
port163.pdf
Børgesen, C.D., Jensen, P.N., Blicher-Mathiesen, G. og Schelde, K. (editors)
(2013). Udviklingen i kvælstofudvaskning og næringsstofoverskud fra dansk
landbrug for perioden 2007-2011. Evaluering af implementerede virkemidler
til reduktion af kvælstofudvaskning samt en fremskrivning af planlagte vir-
kemidlers effekt frem til 2015. DCA rapport nr. 31, 153 s. Aarhus Universitet.
Clymo, R.S. (1983). Peat. I: Gore, A.J.P. (red.) Ecosystems of the world 4A.
Mires: swamps, bog, fen and moor. Amsterdam: Elsevier, 159–224.
Dahl, M., Nilsson, B., Langhoff, J.H. & Refsgaard, J.C. (2007). Review of clas-
sification systems & new multi-scale typology of groundwater–surface water
interaction. Journal of Hydrology, 344, 1-16. doi:10.1016/j.jhydrol.2007.06.027
Davidson, T.A., Audet, J., Jeppesen, E., Landkildehus, F., Lauridsen, T.L., Søn-
dergaard, M. & Syväranta, J. (2018). Synergy between nutrients & warming
enhances methane ebullition from experimental lakes. Nature Climate
Change, 8(2), 156-160.
De Notaris, C., Rasmussen, J., Sørensen, P., Olesen, J.E. (2018). Nitrogen leach-
ing: a crop rotation perspective on the effect of N surplus, field management
and use of catch crops. Agriculture, Ecosystems and Environment, 255, 1-11.
105
MOF, Alm.del - 2020-21 - Bilag 86: Aarhus Universitets rapport af 3/11-2020 om Baseline 2027 for udvalgte elementer, fra miljøministeren
2273658_0108.png
Doltra, J., Lægdsmand, M. & Olesen, J.E. (2014). Impacts of projected climate
change on productivity and nitrogen leaching of crop rotations in arable and
pig farming systems in Denmark. Journal of Agricultural Science, 152, 75-92.
Drejebog (2018). Procedurer for indstilling af kvælstof og udbyttenormer.
DCA – Nationalt center for fødevarer og jordbrug, Aarhus Universitet.
http://dca.au.dk/fileadmin/user_upload/NH/Myndighed/Dreje-
bog_Gaeldende_fra_november_2018.pdf
Ellermann, T., Bossi, R., Nygaard, J., Christensen, J., Løfstrøm, P., Monies, C.,
Grundahl, L., Geels, C., Nilesen, I. E. & Poulsen, M. B., (2019a). Atmosfærisk
deposition 2017. NOVANA. Aarhus Universitet, DCE – Nationalt Center for
Miljø og Energi. 84s. – Videnskabelig rapport fra DCE – Nationalt Center for
Miljø og Energi nr. xxx.
http://dce2.au.dk/pub/SRxxx.pdf
Ellermann, T., Brandt, J., Frohn Rasmussen, L.M., Geels, C., Christensen, J.H.,
Ketzel, M., Jensen, S.S., Nordstrøm, C., Nøjgaard, J.K., Nygaard, J., Monies, C.
& Nielsen, I. E. (2019b). Luftkvalitet og helbredseffekter i Danmark, status
2018. Notat fra Aarhus Universitet, DCE – Nationalt Center for Miljø og
Energi. august 2019: 28 s.
EMEP (2019). EMEP emissionsdatabase.
Eriksen, J., Thomsen, I. K., Hoffmann, C. C., Hasler, B., Jacobsen, B. H. (2020).
Virkemidler til reduktion af kvælstofbelastningen af vandmiljøet. Aarhus
Universitet. DCA – Nationalt Center for Fødevarer og Jordbrug. 452 s. – DCA
rapport nr. 174
https://dcapub.au.dk/djfpdf/DCArapport174.pdf
EU (2016). Europaparlamentets og Rådets direktiv (EU) 2016/2284 af 14. de-
cember 2016 om nedbringelse af nationale emissioner af visse luftforurenende
stoffer, om ændring af direktiv 2003/35/EF og om ophævelse af direktiv
2001/81/EF. Den Europæiske Unions Tidende 17.12.2016 L 344/1
Greve, M. H., Greve, Balslev, M. Pedersen, B.F. (2019). Kortlægning af jordens
kulstofindhold i Danmark. Redegørelse for metode og usikkerheder. Notat
fra DCA oktober 2019.
Grootjans, A.P., Schipper, P.C. & Van der Windt, H.J. (1985). Influence of
drainage on N-mineralization and vegetation response in wet meadows. Acta
Ecologica/Ecologica Plantarum, 6, 403-417.
Gundersen, P., de la Riva Valdés, P. & Christiansen, J.R. (2020a). N-udvask-
ning efter skovrejsning på to lokaliteter på Sjælland. Københavns Universitet.
IGN Rapport. (in press).
Gundersen, P., Blicher-Mathiesen, G., Strandberg, B., Bruus, M., Rubæk, G.
H., Hutchings, N. J. & Jacobsen, B. H. (2020b). Skovrejsning. I: Eriksen, J.,
Thomsen, I. K., Hoffmann, C. C., Hasler, B. & Jacobsen, B. H. (red.), Virkemid-
ler til reduktion af kvælstofbelastningen af vandmiljøet. DCA - Nationalt Cen-
ter for Fødevarer og Jordbrug (DCA rapport; Nr. 174) s. 152-164.
Gundersen, P. (2008). Nitratudvaskning fra skovarealer – model til risikovur-
dering. Skov & Landskab, Arbejdsrapporter nr. 46, Skov & Landskab, 43 pp.
106
MOF, Alm.del - 2020-21 - Bilag 86: Aarhus Universitets rapport af 3/11-2020 om Baseline 2027 for udvalgte elementer, fra miljøministeren
2273658_0109.png
Gundersen, P. (2018). Nitratudvaskning i nye skove på gammel landbrugs
jord. Københavns Universitet. IGN Rapport. 33 s.
Gyldenkærne, S. & Greve, M.H. 2020. Bestemmelse af drivhusgasemissionen
fra lavbundsjorde. Version 3.0. Aarhus Universitet, DCE – Nationalt Center
for Miljø og Energi, 46 s. - Videnskabelig rapport nr. 384.
http://dce2.au.dk/pub/SR384.pdf
Gylling, M & Hermansen, J. E (red). (2018). Kvantificering af forventede frem-
tidige proteinmarkeder og kortlægning af potentialer i forskellige nye prote-
inkilder. IFRO Udredning 2018/08.
Hansen, B., Hansen, A.C., Hoffmann, C.C. & Nielsen, H. (1990). Vand- og stof-
balance på lavbundsjord. NPo-forskning fra Miljøstyrelsen no. C14. 74 s.
Herbst, M., Friborg, T., Schelde, K., Jensen, R., Ringgaard, R., Vasquez, V.,
Thomsen, A. G., and Soegaard, H. (2013), Climate and site management as
driving factors for the atmospheric greenhouse gas exchange of a restored
wetland. Biogeosciences, 10, 39-52.
http://www.doi.org/10.5194/bg-10-39-
2013Hirsch,
R.M.S. & Slack, J.R (1984). A non-parametric trend test for sea-
sonal data with serial dependance. Water Resources Research, 20, 727-732.
Hoffmann, C.C., Audet, J., Baatrup-Pedersen, A., Strandberg, B., Bruus, M.,
& Kusk, P. (2020a) Vådområder. I: Eriksen, J., Thomsen, I. K., Hoffmann, C.
C., Hasler, B., Jacobsen, B. H. (red.) (2020). Virkemidler til reduktion af kvæl-
stofbelastningen af vandmiljøet. Aarhus Universitet. DCA – Nationalt Cen-
ter for Fødevarer og Jordbrug. 452 s. – DCA rapport nr. 174
https://dcapub.au.dk/djfpdf/DCArapport174.pdf
Hoffmann, C.C. & Baattrup-Pedersen, A. (2007). Re-establishing freshwater
wetlands in Denmark. Ecological Engineering, 30, 157-166.
Hoffmann, C.C., Andersen, H.E., Kronvang, B. & Kjaergaard, C. (2018). Kvan-
tificering af fosfortab fra N og P vådområder. Notat fra DCE 15. oktober 2018.
Hoffmann, C.C., Baattrup-Pedersen, A., Amsinck, S.L. & Clausen, P. (2006).
Overvågning af Vandmiljøplan II - Vådområder 2005. Miljøministeriet.
Hoffmann, C.C., Baattrup-Pedersen, A., Rasmussen, J., Hasler, B., Martinsen,
L. & Møller, F. (2014). Vådområder. 196-209. J. Eriksen, P. N. Jensen & B. H.
Jacobsen, red. Virkemidler til realisering af 2. Generations vandplaner og mål-
rettet arealregulering. DCA rapport nr. 052. Aarhus Universitet, DCA - Nati-
onalt Center for Fødevarer og Jordbrug.
Hoffmann, C.C. & Grant, R. (2004). Ophør af omdrift på lavbundsarealer. I: U.
Jørgensen (red.) Muligheder for forbedret kvælstofudnyttelse i marken og for
reduktion af kvælstoftab. Faglig udredning i forbindelse med forberedelsen
af Vandmiljøplan III. DJF rapport Markbrug no. 103, Danmarks Jordbrugs-
forskning, Tjele. S. 180-187.
Hoffmann, C.C., Heiberg, L., Audet, J., Schønfeldt, B., Fuglsang, A., Kron-
vang, B., Ovesen, N. B., Kjaergaard, C., Hansen, H. C. B. & Jensen, H. S. (2012).
Low phosphorus release but high nitrogen removal in two restored riparian
wetlands inundated with agricultural drainage water. Ecological Engineer-
ing, 46, 75-87. doi:10.1016/j.ecoleng.2012.04.039
107
MOF, Alm.del - 2020-21 - Bilag 86: Aarhus Universitets rapport af 3/11-2020 om Baseline 2027 for udvalgte elementer, fra miljøministeren
2273658_0110.png
Hoffmann, C.C., Kronvang, B. & Audet, J. (2011). Evaluation of nutrient re-
tention in four restored Danish riparian wetlands. Hydrobiologia, 674, 5-24.
doi:10.1007/s10750-011-0734-0.
Hoffmann, C.C. & Zak, D. 2019. Undersøgelser ved Aborg Minde Nor i As-
sens Kommune på Vestfyn. Aarhus Universitet, DCE – Nationalt Center for
Miljø og Energi, 18 s. - Videnskabelig rapport nr. 326
http://dce2.au.dk/pub/SR326.pdf
Hoffmann, C.C., Kronvang, B., Strandberg, B., Bruus, M., Hutchings, N., Mar-
tinsen, L., Hasler, B (2020b). Fosfor-vådområder (P-ådale). I: Andersen, H.E.,
Rubæk, G.H., Hasler, B. & Jacobsen, B.H. (red.). Virkemidler til reduktion af
fosforbelastningen af vandmiljøet. Aarhus Universitet, DCE – Nationalt Cen-
ter for Miljø og Energi, 284 s. - Videnskabelig rapport nr. 379.
http://dce2.au.dk/pub/SR379.pdf
Holden, J., Chapman, P.J. & Labadz, J.C. (2004). Artificial drainage of peat-
lands: hydrological and hydrochemical process and wetland restoration. Pro-
gress in Physical Geography: Earth and Environment, 28, 95-123.
doi:10.1191/0309133304pp403ra
Humphrey, W.D. & Pluth, D.J. (1996). Net Nitrogen Mineralization in Natural
and Drained Fen Peatlands in Alberta, Canada. Soil Science Society of Amer-
ica Journal, 60, 932-940. doi:10.2136/sssaj1996.03615995006000030036x
Huth, V., Günther, A., Bartel, A., Hofer, B., Jacobs, O., Jantz, N., Meister, M.,
Rosinski, E., Urich, T., Weil, M., Zak, D. & Jurasinski, G. (2020). Topsoil re-
moval reduced in-situ methane emissions in a temperate rewetted bog grass-
land by a hundredfold. Science of the Total Environment, 721, 137763.
Højberg, A.L., Windolf, J., Børgesen, C.D., Troldborg, L., Tornbjerg, H., Bli-
cher-Mathiesen, G., Kronvang, B., Thodsen, H. & Ernstsen, V. (2015). National
Kvælstofmodel. Oplandsmodel til belastning og virkemidler. Metode rap-
port. Revideret udgang 2015. GEUS. 111 s.
https://www.geus.dk/me-
dia/13243/national-kvaelstofmodel-oplandsmodel-til-belastning-og-
virkemidler-sep2015.pdf.
IPCC 2014, s88
Jabloun, M., Schelde, K., Tao, F. & Olesen, J.E. (2015). Effect of changes in tem-
perature and precipitation in Denmark on nitrate leaching in cereal cropping
systems. European Journal of Agronomy, 62, 55-64.
Jensen, J.D., (2019). Fremskrivning af dansk landbrug frem mod 2030 – de-
cember 2018, 14 s., IFRO Udredning, Nr. 2019/02
Jensen, P.N. (red.), Blicher-Mathiesen, G., Rolighed, J., Børgesen, C.D., Olesen,
J.E., Thomsen, I.K., Kristensen, T., Sørensen, P. & Vinther, F.V. (2016). Revur-
dering af baseline. Teknisk rapport fra DCE – Nationalt Center for Miljø og
Energi nr. 67. 59 s.
Jeppesen, E., Kronvang, B., Olesen, J. E., Audet, J., Søndergaard, M., Hoff-
mann, C.C., Andersen, H. E., Lauridsen, T. L., Liboriussen, L., Larsen, S. E.,
Beklioglu, M., Meerhoff, M., Özen, A. & Özkan, K. (2011). Climate change ef-
fects on nitrogen loading from cultivated catchments in Europe: implications
108
MOF, Alm.del - 2020-21 - Bilag 86: Aarhus Universitets rapport af 3/11-2020 om Baseline 2027 for udvalgte elementer, fra miljøministeren
2273658_0111.png
for nitrogen retention, ecological state of lakes and adaptation. Hydrobiolo-
gia, 663, 1-21. doi:10.1007/s10750-010-0547-6
Johannsen, V.K., Nord-Larsen, T., Bentsen, N.S. & Vesterdal, L. (2019). Danish
National Forest Accounting Plan 2021-2030 – resubmission 2019. IGN report,
December 2019. Department of Geosciences and Resource Management, Uni-
versity of Copenhagen, Frederiksberg. 112 p. ill.
Jørgensen, U., Kristensen, T., Jensen, S.K. & Ambye-Jensen, M. (2020). Bidrag
til MOF spg. 8 i forbindelse med beslutningsforslag 15. 4 s. Nr. 2020-0094295,
maj 20, 2020.
Kandel T.P., Laerke P.E., Hoffmann C.C., & Elsgaard, L. (2019). Complete
annual CO
2
, CH
4
, and N
2
O balance of a temperate riparian wetland 12 years
after rewetting. Ecological Engineering 127:527-535
https://doi.org/10.1016/j.ecoleng.2017.12.019
Kristensen, K., Waagepetersen, J., Børgesen, C.D., Vinther, F.P., Grant, R. &
Blicher-Mathiesen, G. (2008). Re-estimation and further development in the
model N-LES, N-LES3 to N-LES4. Aarhus Universitet, Det Jordbrugsviden-
skabelige Fakultet, 2008. 25 s. (DJF Plant Science; 139).
Kristensen, T. (2015). Beregning af grovfoderudbytte på kvægbrug ud fra
regnskabsdata. DCA - Nationalt Center for Fødevarer og Jordbrug DCA - Na-
tionalt Center for Fødevarer og Jordbrug. 27 s.
Kristensen, T., Vinther, F.P., Søegaard, K. & Eriksen, J. (2011). Notat vedrø-
rende skrift fra afgræsning til slæt.
Aarhus Universitet.
Kronvang, B., Rubæk, G.H., Djurhuus, J., Heckrath, G., Hofmann, C.C &
Grant, R., Monitering og estimering af fosfortab fra danske landbrugsarealer.
I: Poulsen, H. D. & Rubæk, G. H. (red) (2005). Fosfor i dansk landbrug - Om-
sætning, tab og virkemidler mod tab. Danmarks JordbrugsForskning, Fou-
lum.
https://pure.au.dk/portal/files/309245/DJF_rapport_husdyr_nr._68.pdf
,
Landbrugsstyrelsen (2019). Vejledning om gødsknings- og harmoniregler.
Planperioden 1. august 2019 til 31. juli 2020.
Landbrugsstyrelsen (2020.) Statistik over økologiske jordbrugsbedrifter 2019.
Autorisation & produktion. Miljø- og Fødevareministeriet, København,
Marts 2020. ISBN 978-87-7120-143-7. 55 p.
https://lbst.dk/fileadmin/user_upload/NaturErhverv/Filer/Tvaergaa-
ende/Oekologi/Statistik/Statistik_over_oekologiske_jordbrugsbedrif-
ter_2019.pdf
Liu, H. & Lennartz, B. (2019), Hydraulic properties of peat soils along a bulk
density gradient—A meta study. Hydrological Processes, 33, 101-114.
doi:10.1002/hyp.13314
Madsen, H. & Holst, K. (1987). Potentielle marginaljorde, appendix 4. Miljø-
ministeriets projektundersøgelser 1986, Teknikerrapport nr. 1, Landbrugsmi-
nisteriets Arealdatakontor.
109
MOF, Alm.del - 2020-21 - Bilag 86: Aarhus Universitets rapport af 3/11-2020 om Baseline 2027 for udvalgte elementer, fra miljøministeren
2273658_0112.png
Maljanen, M., Sigurdsson, B.D., Guðmundsson, J., Óskarsson, H., Huttunen,
J.T. & Martikainen, P.J. (2010). Greenhouse gas balances of managed peat-
lands in the Nordic countries - present knowledge and gaps. Biogeosciences,
7, 2711-2738. doi:10.5194/bg-7-2711-2010
Miljøstyrelsen (2017). Teknisk beskrivelse af beregningsgrundlag for husdyr-
efterafgrøder i ny husdyrregulering. Miljø- og Fødevareministeriet. 10 s.
https://mst.dk/media/143671/notat-om-beregning-af-husdyrefterafgroe-
dekrav.pdf
Nielsen, O-K., Plejdrup, M.S., Winther, M., Mikkelsen, M.H., Nielsen, M., Gyl-
denkærne, S., Fauser, P., Albrektsen, R., Hjelgaard, K.H., Bruun, H.G. &
Thomsen, M. 2020. Annual Danish Informative Inventory Report to UNECE.
Emission inventories from the base year of the protocols to year 2018. Aarhus
University, DCE – Danish Centre for Environment and Energy, 559 pp. Scien-
tific Report No. 369
http://dce2.au.dk/pub/SR369.pdf
Oelofse, M., Jensen, L.S. & Magid, J. (2013). The implications of phasing out
conventional nutrient supply in organic agriculture: Denmark as a case. Or-
ganic Agriculture, 3, 41-55.
Olesen, J.E., Børgesen, C.D., Hashemi, F., Jabloun, M., Bar-Michalczyk, D.,
Zurek, A.J., Bartosova, A., Bosshard, T., Hansen, A.L. & Refsgaard, J.C. (2019).
Nitrate leaching losses from two Baltic Sea catchments under scenarios of
changes in land use, land management and climate. Ambio, 48, 1252-1263.
Olesen, J.E., Kristensen, T., Kristensen, I.S., Børgesen, C.D., Eriksen, J., Peder-
sen, B.F., Kongsted, A.G. 2020. Opdatering af kvælstofudvaskning fra økolo-
giske bedrifter. Notat DCA
Nr. 2019-760-001009, 36 s.
Olesen, J.E., Kristensen, T., Kristensen, I.S., Pedersen, B.F., Hansen, E.M.,
Thomsen, I.K. & Sørensen, P. 2019. Afklaring af om der er grundlag for en ny
faglig opdatering af kvælstofudvaskningen fra økologiske bedrifter.
https://pure.au.dk/portal/da/persons/joergen-e-olesen(d3bcf85c-a32d-
4169-8f78-b2bf7fe78102)/publications/afklaring-af-om-der-er-grundlag-for-
en-ny-faglig-opdatering-af-kvaelstofudvaskning-fra-oekologiske-bedrif-
ter(5e7e9c20-1fd6-42bc-bcfb-eac68be3b43b).html
Pedersen, E.F. (1985). Drænvandsundersøgelser på marsk- og dyb tørvejord
1971-84. Tidsskrift Planteavl 89: 319-329.
http://web.agrsci.dk/pub/planteavl_89_319.pdf
Penn, C., Chagas, I., Klimeski, A. & Lyngsie, G. (2017). A review of phospho-
rus removal structures: How to assess and compare their performance. Water,
9, 583.
Petersen, R. J., Prinds, C., Iversen, B. V. & Kjærgaard, C. (2018). Fosfortab fra
våde lavbundsjorde. Vand & Jord, 25, 131-134.
Petersen, R. J., Prinds, C., Jessen, S., Iversen, B. V. & Kjaergaard, C. (2020).
Riparian lowlands in clay till landscapes Part II: Nitrogen reduction and re-
lease along variable flow paths. Water Resources Research, 56,
e2019WR025810. doi:10.1029/2019WR025810
110
MOF, Alm.del - 2020-21 - Bilag 86: Aarhus Universitets rapport af 3/11-2020 om Baseline 2027 for udvalgte elementer, fra miljøministeren
2273658_0113.png
Petersen, R.J., Prinds, C., Kjaergaard, C., Thamdrup, B., Iversen, B. V. &
Elsgaard, L. (submitted). Nitrate reduction pathways and interactions with
iron in the drainage water infiltration zone of a riparian wetland soil. Indsendt
til Biogeochemistry.
Plejdrup, M.S., Nielsen, O.-K., Gyldenkærne, S. & Bruun, H.G. (2018). Spatial
high-resolution distribution of emissions to air – SPREAD 2.0. Aarhus Uni-
versity, DCE – Danish Centre for Environment and Energy, 186 pp. Scientific
Report from DCE – Danish Centre for Environment and Energy No. 131
http://dce2.au.dk/pub/TR131.pdf
Poulsen, H.D., Møller, H.B., Klinglmair, M. & Thomsen, M. (2019). Husdyrs
fosforudnyttelse og fosfors værdikæde fra husdyrgødning, bioaffald og spil-
devand. DCE rapport nr. 325. 83 s.
Pugliese, L., De Biase, M., Chidichimo, F., Heckrath, G., Iversen, B.V., Kjaer-
gaard, C. & Straface, S. (2020). Modelling phosphorus removal efficiency of a
reactive filter treating agricultural tile drainage water. Submitted to Ecologi-
cal Engineering.
Pullens, J.W.M., Olesen, J.E., Sørensen, C.A.G. (2019). Model til udarbejdelse
af en prognose for høstdatoer. Aarhus Universitet, DCA Notat.
Rubæk, G.H., Gundersen, P., Strandberg, B., Bruus, M., Hutchings, N. & Jacob-
sen, B.H. Skovrejsning. I: Andersen, H.E., Rubæk, G.H., Hasler, B. & Jacobsen,
B.H. (red.). (2020). Virkemidler til reduktion af fosforbelastningen af vandmil-
jøet. Aarhus Universitet, DCE – Nationalt Center for Miljø og Energi, 284 s. -
Videnskabelig rapport nr. 379
http://dce2.au.dk/pub/SR379.pdf
Sørensen, P. & Birkmose, T. (2002). Kvælstofudvaskning efter gødskning med
afgasset gylle. Danmarks JordbrugsForskning. Grøn Viden, Markbrug nr. 266.
Sørensen, P. & Børgesen, C.D. (2015). Kvælstofudvaskning og gødningsvirk-
ning ved anvendelse af afgasset biomasse. DCA rapport nr. 65. 46 s.
Sørensen, P., Christensen, B.T. & Børgesen, C.D. (2019a). Langtidseffekter på
nitratudvaskning af mineralsk kvælstof i tilført gødning (10-års perspektiv).
Notat til Landbrugsstyrelsen fra DCA, Aarhus Universitet. 29. November
2019. 9 s.
Sørensen, P., Poulsen, H.D., Rubæk, G.H., Vinther, F.P., Pedersen, B.F. & Kri-
stensen, I.S. (2019b). Udredning om anvendelse af gødning i dansk landbrug
i relation til indførslen af fosforlofter. DCA rapport nr. 160, 61 s., august 2019.
Sørensen, P., Thomsen, I.K. & Schröder, J.J. (2017). Empirical model for min-
eralisation of manure nitrogen in soil. Soil Research, 55, 500-505.
Tampio, E., Tapio, S. & Rintala, J. (2016). Agronomic characteristics of five dif-
ferent urban waste digestates. Journal of Environmental Management, 169, 293-
302.
Thodsen, H., Tornbjerg, H., Rasmussen, J.J., Bøgestrand, J., Larsen, S.E., Ovesen,
N.B., Blicher-Mathiesen, G., Kjeldgaard, A. & Windolf, J. (2019). Vandløb 2018.
NOVANA. Undertitel. Aarhus Universitet, DCE – Nationalt Center for Miljø og
Energi, 2 s. - Videnskabelig rapport nr. 353. http://dce2.au.dk/pub/SR353.pdf
111
MOF, Alm.del - 2020-21 - Bilag 86: Aarhus Universitets rapport af 3/11-2020 om Baseline 2027 for udvalgte elementer, fra miljøministeren
2273658_0114.png
Thomsen, I.K., Elsgaard, L., Olesen, J.E. & Christensen, B.T. (2016). Nitrogen re-
lease from differently aged
Raphanus sativus
L. nitrate catch crops during min-
eralization at autumn temperatures. Soil Use and Management, 32, 183-191.
Tiemeyer, B., Borraz, E.A., Augustin, J., Bechtold, M., Beetz, S., Beyer, C.,
Drösler, M., Ebli, M., Eickenscheidt, T., Fiedler, S., Förster, C., Freibauer, A.,
Giebels, M., Glatzel, S., Heinichen, J., Hoffmann, M., Höper, H., Jurasinski, G.,
Leiber-Sauheitl, K., Peichl-Brak, M., Roßkopf, N., Sommer, M. & Zeitz, J.
(2016). High emissions of greenhouse gases from grasslands on peat and other
organic soils Global Change Biology, 22, 4134-4149. doi:10.1111/gcb.13303
Tiemeyer, B., Freibauer, A., Borraz, E. A., Augustin, J., Bechtold, M., Beetz, S.,
Beyer, C., Ebli, M., Eickenscheidt, T., Fiedler, S., Förster, C., Gensior, A.,
Giebels, M., Glatzel, S., Heinichen, J., Hoffmann, M., Höper, H., Jurasinski, G.,
Laggner, A., Leiber-Sauheitl, K., Peichl-Brak, M., and Drösler, M. (2020), A
new methodology for organic soils in national greenhouse gas inventories:
Data synthesis, derivation and application. Ecological Indicators, 109, 105838.
https://doi.org/10.1016/j.ecolind.2019.105838
UNECE (2013). 1999 Protocol to Abate Acidification, Eutrophication and
Ground-level Ozone to the Convention on Long- range Transboundary Air Pol-
lution, as amended on 4 May 2012, ECE/EB.AIR/114, 6 May 2013.
http://www.unece.org/fileadmin/DAM/env/docu-
ments/2013/air/eb/ECE.EB.AIR.114_ENG.pdf
Wells, E.D. & Williams, B.L. (1996). Effects of drainage, tilling and PK-fertili-
zation on bulk density, total N, P, K, Ca and Fe and net N-mineralization in
two peatland forestry sites in Newfoundland, Canada. Forest Ecology and
Management, 84, 97-108. doi:10.1016/0378-1127(96)03741-3
Wiggers, L., Bidstrup, J., Kronvang, B., Jørgensen, J.O. & Müller-Wohlfeil, D.
(2002). Mariager Fjord – Tilførsel af næringsstoffer fra land. Rapport fra Århus
Amt. 92 s.
Wilson, D., Blain, D., Couwenberg, J., Evans, C.D., Murdiyarso, D., Page, S.
E., .. & Tuittila, E.S. (2016). Greenhouse gas emission factors associated with
rewetting of organic soils. Mires and Peat, 17.
Zak, D., Goldhammer, T., Cabezas, A., Gelbrecht, J., Gurke, R., Wagner, C.,
Reuter, H., Augustin, J., Klimkowska, A. & McInnes, R. (2018). Top soil re-
moval reduces water pollution from phosphorus and dissolved organic mat-
ter and lowers methane emissions from rewetted peatlands. Journal of Ap-
plied Ecology, 55, 311-320.
Zak, D., Gelbrecht, J., Zerbe, S., Shatwell, T., Barth, M., Cabezas, A. & Stef-
fenhagen, P. (2014). How helophytes influence the phosphorus cycle in de-
graded inundated peat soils – Implications for fen restoration. Ecological En-
gineering, 66, 82-90.
Zak, D., Reuter, H., Augustin, J., Shatwell, T., Barth, M., Gelbrecht, J. & McIn-
nes, R.J. (2015). Changes of the CO
2
and CH
4
production potential of rewetted
fens in the perspective of temporal vegetation shifts. Biogeosciences, 12, 2455–
2468.
112
MOF, Alm.del - 2020-21 - Bilag 86: Aarhus Universitets rapport af 3/11-2020 om Baseline 2027 for udvalgte elementer, fra miljøministeren
Bilag 1a: Opgavebeskrivelse fra Miljøstyrelsen
113
MOF, Alm.del - 2020-21 - Bilag 86: Aarhus Universitets rapport af 3/11-2020 om Baseline 2027 for udvalgte elementer, fra miljøministeren
2273658_0116.png
Østjylland
Ref. PEKJE
J.nr.
Den 3. januar 2019
Opgavebeskrivelse: Opdatering af baseline 2021 og beskrivelse
af Baseline 2027 til vandområdeplan III.
Problemstilling
MFVM ønsker foretaget 1) en opdatering af baseline 2021, som beskrevet af Aarhus Universitets i
rapport,
”Revurdering af baseline” nr. 67, 2015, og efterfølgende 2) udarbejdet et baselineestimat
for
landbrugets næringsstoftab til brug for 3. generation vandområdeplaner.
Dette skal bl.a. ses i lyset af at der ikke med de seneste udledningstal ser ud til at have været den
forventede baselineeffekt.
Da delopgave 1 kan danne grundlag for en del af besvarelsen af delopgave 2 beskrives begge
delopgaver i denne bestilling, men med forskellige tidsfrister.
Nedenfor er de to delopgaver beskrevet.
Delopgave 1
opdatering af baseline 2021
Baggrund og opgaveafgrænsning
Aarhus Universitets har i rapporten ”Revurdering af baseline” nr. 67, 2015, opgjort den forventede
effekt af allerede vedtagne initiativer (virkemidler m.m.) samt øvrig udvikling i landbrugserhvervet,
som kan få indflydelse på næringsstoftabet til vandmiljøet. For opgørelse af visse elementer i baseline
henvises til rapporten ”Fastlæggelse af baseline”, Aarhus Universitet, nr. 43, 2014.
Der er i revurdering
af baseline 2021 også taget hensyn til ophævelse af normreduktion m.m. Rapporten kan ses her:
https://dce2.au.dk/pub/TR67.pdf
Rapporten er udarbejdet i 2015 med udgangspunkt i en fremskrivning for perioden fra 2012 til 2021.
Det fremgår i rapporten at der kan være behov for en revurdering af de opgjorte effekter:
”En
fremskrivning på 6-7 år af udviklinger m.m. kan for visse elementer være behæftet med en
væsentlig usikkerhed
en usikkerhed der hidrører bl.a. fra kommende politiske initiativer (både
danske og internationale) eller markedsændringer. Det betyder, at der kan være behov for en
revurdering af effekterne i perioden frem til 2021, såfremt de forudsætninger, der er lagt til grund for
denne revurderede baseline 2021, ændres væsentligt”
(side 8),
og
”Men
da beregningerne har sandsynliggjort, at udviklingen i den animalske produktion kan have en
afgørende indflydelse på baseline, anbefales det, at der senere i perioden frem mod 2021 laves en
revurdering af fremskrivningen samt en kvantificering af effekten på udvaskningen”
(side 19).
Med udgangspunkt i disse anbefalinger fra Aarhus Universitet ønsker MFVM foretaget en opdatering
af baseline 2021.
Der bør ved opdatering lægges vægt på revurdering i fh.t. udledningen af kvælstof, jf. rapporten
”Revurdering af baseline” nr. 67, 2015.
Vurdering af udledningen af fosfor indgår i delopgave 2.
Miljøstyrelsen • Vasevej 7 • 8920 Randers NV
Tlf. 72 54 40 00 • Fax 86 45 40 36 • CVR 25798376 • EAN 5798009883148 • [email protected] • www.mst.dk
MOF, Alm.del - 2020-21 - Bilag 86: Aarhus Universitets rapport af 3/11-2020 om Baseline 2027 for udvalgte elementer, fra miljøministeren
Der bør inddrages de samme elementer som fremgår af rapporten fra 2015, og der tages stilling til den
forventede effekt i lyset af de tidshorisonter, som er anvendt for de forskellige elementer. I forhold til
vurderingen af effekten af depositionen skal også inddrages de målte værdier fra NOVANA
overvågningen.
I baselinerapporten angives, at ved en forøgelse af N-normen vil hovedparten af den øgede N-tilførsel
resultere i øgede kvælstofudbytter, som forventes at udgøre omkring 60 % af tilført N. Det øgede N-
udbytte vil i stort omfang substituere N i importeret proteinfoder. De resterende 40 % vil, under
forudsætning af, at der ikke over en årrække sker væsentlige ændringer i jordens kvælstofindhold,
fordele sig nogenlunde ligeligt mellem Nudvaskning og gasformige tab (især denitrifikation). Der
ønskes en evaluering af disse antagelser i lyset af de seneste kvælstofbalancer.
For kvælstofnormen beregnes dog i nærværende opgave kun konsekvens af årlig tilpasset økonomisk
optimal kvælstofnorm. I rapporten fra 2015 er regnet med konsekvens af to forskellige
reguleringssystemer, henholdsvis: (A) årlig tilpasset økonomisk optimal kvælstofnorm og (B) fastlåst
kvælstofnorm fra høståret 2017.
I forbindelse med vurdering af betydningen af ændret norm bør vurderes om forudsætningerne for
anvendelse af gødningsmængder beskrevet i rapporten fra 2015 fortsat er gældende. Specifikt ønskes
en vurdering af, om antagelsen om kvælstofnormernes vækst på 1 kg N pr. ha pr. år er korrekt. Hvis
ikke, bedes opgjort hvad den reelle ændirng har været samt dennes betydning for det samlede
kvælstofforbrug.
Derudover ønskes vurderet om der kan være elementer der ikke har indgået i baseline, det kunne fx
være ændringer i afgrødesammensætning,ændret mængder af genanvendt affald, samt ændret
anvendelse af efterafgrøder, der giver grundlag til ændringer i baseline. Endvidere ønskes en vurdering
af evt andre elementer, som kan give grundlag for en ændret baseline. Hvis sådanne kan identificeres
ønskes disse kvantificeret.
Aarhus Universitet bedes evaluere hvad baselineeffekten samlet set vurderes at have været for den 6
årige periode 2013-2018, og hvad effekten fra 2019-2021 forventes at være. I den forbindelse ønskes
vurderet om der kan være tale om en forsinkelse af at baselineeffekten slår igennem, idet der for
mange baselineelementer regnes med en langtidseffekt.
Endelig ønskes der for hvert element en opgørelse af usikkerheden hermed, fx som et spænd på
estimatet.
MFVM udarbejder primo 2019 en midtvejsevaluering af VPII til EU Kommissionen, hvor status for
implementering af virkemidler frem til 3. kvartal 2018 beskrives. Denne midtvejsevaluering kan stilles
til rådighed for projektet.
Leverancer, delopgave 1.
Som den første leverance udarbejdes et projektoplæg med bl.a. tidsplan, organisering m.v.
Som produkt af projektet forventes udarbejdet en rapport med beskrivelse af effekterne af hvert af
elementer i baseline fremskrivningen, herunder en kvantificering af den forventede effekt i 2021 med
den foreliggende viden. Effekten neddeles geografisk på hvert af de 23 hovedvandoplande, der
anvendes i vandområdeplanlægningen.
Tidsplan, delopgave 1.
Projektoplæg bedes udarbejdet så et udkast, der kan drøftes med MFVM senest d. 1. marts 2019.
Opgaven skal gennemføres, så projektet er afsluttet senest d. 1. september 2019.
2
MOF, Alm.del - 2020-21 - Bilag 86: Aarhus Universitets rapport af 3/11-2020 om Baseline 2027 for udvalgte elementer, fra miljøministeren
2273658_0118.png
Delopgave 2
udarbejdelse af baseline for 2027
Baseline 2027 skal som udgangspunkt estimeres for kvælstof (N) og fosfor (P), men med kvalitative
beskrivelser af evt. synergieffekter i forhold til natur og klima.
Estimatet skal udarbejdes for perioden 2019 til og med 2027.
Baggrund og opgaveafgrænsning, delopgave 2
Med baseline menes i denne sammenhæng effekten af allerede vedtagne initiativer (virkemidler m.m.)
samt øvrig udvikling i erhvervet, som kan få indflydelse på næringsstoftabet. Et væsentligt element i
baseline vil være de virkemidler m.m., der er indlejret i 2. generation vandområdeplaner, og hvor
effekten først kan forventes efter den periode, der ligger til grund for en ny statusbelastning.
Der skal opstilles baselineestimater for N og P udledningen ultimo 2027.
Statusbelastningen i
vandområdeplanerne forventes således udarbejdet med udgangspunkt i data til og med 2018, hvorfor
der er behov for en beskrivelse baseline for perioden 2019-2027.
I Vandområdeplan 2015-2021 er beskrevet en række virkemidler med effekt på udledningen af N og P
fra landbrugsarealer m.v., herunder bl.a. udtagning af lavbundsarealer, minivådområder,
skovrejsning, etablering af vådområder, miljøfokus arealer (MFO), målrettet regulering.
Særligt for fosfor er i vandområdeplanerne anført virkemidlet P-ådale.
Desuden er anført en række tiltag i fh.t. punktkilder, f.eks. opkøb af dambrug, forbedret
spildevandsrensning.
Opgaven forventes at sætte fokus på virkemidler, der reducerer udledning af N og P fra
landbrugsarealer m.v., mens reduktion i udledning fra punktkilder opgøres af MST i en parallel proces.
Foruden virkemidler til reduktion af udledningen af næringssalte bør effekten af den generelle
udvikling i landbrugserhvervet på udviklingen af udledningen af N og P beskrives. Der kan i den
forbindelse indgå f.eks.:
- den generelle udvikling i landbrugsarealet,
- udvikling i gødningsforbrug og gødningstyper (herunder brug af forskellige typer af hhv
husdyrgødning/anden organisk gødning/handelsgødning) efterafgrøder,
- effekten af omlægning til økologisk drift,
- effekt af bioforgasning af husdyrgødning,
- effekt af andre teknologiske løsninger til behandling af husdyrgødning,
- Sædskiftemæssige ændringer f.eks. udvikling i energiafgrøder, kartofler, græs og majs eller
andre afgrøder med afvigende udvaskning.
- Effekten af udviklingen i høstudbytterMVJ-ordninger eller andre tilskudsordninger til
miljøvenlig drift under Landdistrikstprogrammet,
- Anden ekstensivering
- den generelle udvikling i husdyrholdet på bedriftsgrene og driftsformer (fx udegående
husdyrhold), forbedret foderudnyttelse og den heraf følgende anvendelse af husdyrgødning,
- forventede ændring i kvælstofdepositionen, og
- Effekten af øget genanvendelse af affald.
Om muligt skal der også inddrages landbrugsfremskrivningen frem til 2030
1
, herunder forventning til
ændringer i afgrødesammensætning, husdyrhold og betydningen heraf for udvaskningen af kvælstof.
Udover effekten af det enkelte element skal foretages en samlede effektvurdering af alle elementerne i
kombination, hvor der bedst muligt tages højde for vekselvirkningerne.
1
https://static-curis.ku.dk/portal/files/186714395/IFRO_Udredning_2017_28.pdf
3
MOF, Alm.del - 2020-21 - Bilag 86: Aarhus Universitets rapport af 3/11-2020 om Baseline 2027 for udvalgte elementer, fra miljøministeren
En række forhold medvirker til at forsinke effekten af tiltag på marken, i forhold til hvornår ændringen
i udledningen kan måles i havet. I det omfang en forsinkelse vurderes at være af afgørende betydning
for udledningen af N eller P beskrives en sådan forsinkelse og effekten af forsinkelsen estimeres. Der
skal anvendes samme beregningsprincipper i forhold til tidshorisonter for alle elementer, og denne
skal være relevant i forhold til målsætningen i 2027. Dette kunne f.eks. være tidshorisonten anvendt i
N-LES. Beregningerne kan evt. suppleres med konsekvensberegninger med kortere tidshorisont til
anvendelse ved vurderinger af effekten år til år, eller længere tidshorisont i forhold til de langsigtede
konsekvenser.
Desuden ønskes der for hvert element en opgørelse af usikkerheden hermed, fx som et spænd på
estimatet.
Leverancer
Som den første leverance udarbejdes et projektoplæg med bl.a. en oversigt over, hvilke elementer, der
forventes at kunne indgå i en kvantificering af baseline 2027 for hhv. N og P., tidsplan, organisering
m.v.
Som produkt af projektet forventes udarbejdet en rapport med beskrivelse af effekterne af hvert af
elementer i baseline fremskrivningen, herunder en kvantificering af effekten i 2027. Effekten neddeles
geografisk på hvert af de 90 kystvandoplande, der anvendes i vandområdeplanlægningen.
Tidsplan
Projektoplæg bedes udarbejdet så et udkast kan drøftes med MFVM senest d. 1. maj 2019. Opgaven
skal gennemføres, så projektet er afsluttet i første kvartal 2020 med henblik på anvendelse i forslag til
vandområdeplan 2021-2027, der forventes at skulle offentliggøres i december 2020. Af hensyn til
MFVM forberedelse af forslag til vandområdeplan skal opgaven derfor afsluttes senest ved udgangen
af første kvartal 2020.
4
MOF, Alm.del - 2020-21 - Bilag 86: Aarhus Universitets rapport af 3/11-2020 om Baseline 2027 for udvalgte elementer, fra miljøministeren
Bilag 1b: Tillæg til opgavebeskrivelsen fra
Miljøstyrelsen
118
MOF, Alm.del - 2020-21 - Bilag 86: Aarhus Universitets rapport af 3/11-2020 om Baseline 2027 for udvalgte elementer, fra miljøministeren
2273658_0121.png
Vandmiljø og Friluftsliv
J.nr. 2019 - 8170
Ref. SUSHJ
Den 12. februar 2020
Tillæg til opgavebeskrivelse til brug for beskrivelse af Baseline 2027 til
vandområdeplan III
Problemstilling
Som opfølgning på ministeriets opgavebeskrivelse af 3. januar 2019 følger her MFVM ønsker til
justering af AU´s projektbeskrivelse af 13. januar 2020, idet der i denne projektbeskrivelse indgår en
række elementer, som afhænger af planlagte beslutninger i den kommende tid. Her skal især nævnes
regeringens klimaindsats, der kan omfatte udtagning af lavbundsjorde og udviklingen for det
økologiske areal, hvor der i regeringens forståelsespapir er en målsætning om en fordobling af det
økologiske areal i 2030. Dette skal videre ses i lyset af at AU skal færdiggøre baselinefremskrivningen
inden juli 2020, dvs., der ikke er mulighed for at afvente udfaldet af de politiske forhandlinger.
De elementer MFVM i så fald vil håndtere, vil indgå i kvælstofberegningerne bag
vandområdeplanerne, når der er truffet beslutninger om de enkelte elementer, hvor MFVM vil kunne
angive effekterne med anvendelse af effekttal fra det opdaterede kvælstofvirkemiddelkatalog.
Justeret opgaveafgrænsning
Med henvisning til bilag 1 forventer MFVM at håndtere følgende elementer: 2.1 (MFO), 2.4
(Vådområder), 2.5 (Minivådområder), 2.10 (Anden ekstensivering), 2.11 (MVJ ordninger), 2.12 (Andre
tilskudsordninger til miljøvenlig drift under Landdistriktsprogrammet), 2.14 (Effekt af andre
teknologiske løsninger til behandling af husdyrgødning) og 2.16 (Pligtige og målrettede efterafgrøder).
Disse elementer skal således tages ud af projektbeskrivelsen vedrørende baseline 2027.
Elementerne: 2.2 (Skovrejsning), 2.3 (Udtagning af lavbundsarealer), 2.8 (Økologisk areal) og 2.13
(Bioforgasning og genanvendt affald) skal fortsat indgå, men her er der behov for illustrative
scenariebeskrivelser hvor flere fremtidige scenarier for udvikling tages i betragtning og vurderes. I
disse scenarier kan indgå forventeringer til den fremtidige udvikling, effekter af virkemidler eller
baselineelementer og det forventede potentiale for de enkelte elementer på de 23 hovedvandoplande.
I den sammenhæng er der videre behov for en vurdering af i hvilket omfang en klimaindsats med
anvendelse af virkemidlerne skovrejsning og udtagning af lavbundsarealer har betydning for den
kvælstofeffekt der vil fremgå af det opdaterede kvælstof virkemiddelkatalog.
Det bemærkes videre, at det særligt for den atmosfæriske deposition er nødvendigt at estimere en
forventet effekt da opgørelsen forudsætter, at der udføres atmosfære modelberegninger.
I lighed med opgavebeskrivelsen fra 3. januar 2019 ønskes både et landstal og en opgørelse på de 23
hovedvandoplande for samtlige elementer i baseline vurderingen.
Tidsplan og leverance
Tentativt - Interessentmøde den 3. marts 2020
Endelig leverance maj 2020
Økonomi
Den ændrede opgaveafgrænsning bedes ligeledes inddrages i det samlede tilbud.
Miljøstyrelsen
Tolderlundsvej 5
5000 Odense C
Tlf. 72 54 40 00
• CVR
25798376
• EAN
5798000860810
[email protected]
www.mst.dk
MOF, Alm.del - 2020-21 - Bilag 86: Aarhus Universitets rapport af 3/11-2020 om Baseline 2027 for udvalgte elementer, fra miljøministeren
2273658_0122.png
Bilag 1
2
MOF, Alm.del - 2020-21 - Bilag 86: Aarhus Universitets rapport af 3/11-2020 om Baseline 2027 for udvalgte elementer, fra miljøministeren
2273658_0123.png
Bilag 1
3
MOF, Alm.del - 2020-21 - Bilag 86: Aarhus Universitets rapport af 3/11-2020 om Baseline 2027 for udvalgte elementer, fra miljøministeren
2273658_0124.png
BASELINE 2027
FOR UDVALGTE ELEMENTER
Denne rapport udgør en vurdering af ændring i nitratud-
vaskning fra rodzonen og i fosforudledning til ferskvand i
2027 for udvalgte baselineelementer. Vurderingen viser
et forventet fald i nitratudvaskningen for baseline ele-
menterne atmosfærisk deposition, nedgang i det dyrkede
areal, skovrejsning og øgede udbytter og ændring i den
økonomisk optimale norm frem mod 2027. I forhold til
fosforudledningen forventes der et fald i udledningen for
de to baselineelementer nedgang i det dyrkede areal
og forventet øget skovrejsning. Rapporten giver desuden
en vurdering af potentialet for kvælstof og fosforfjernelse
ved at vådlægge dyrkede lavbundsarealer på jord med
højt indhold af organisk stof samt mulig kvælstofeffekt af
skovrejsning med et klimaformål.
ISBN: 978-87-7156-529-4
ISSN: 2244-999X