Miljø- og Fødevareudvalget 2020-21
MOF Alm.del Bilag 585
Offentligt
2398384_0001.png
BEATE 2017
Benchmarking af affaldssektoren
Forbrænding
Rapporten er udarbejdet af COWI.
Redskabet til indsamling af data
er stillet til rådighed af Energistyrelsen
.
1
MOF, Alm.del - 2020-21 - Bilag 585: Resultater fra benchmarking af affalds-forbrændings- og deponeringsanlæg for året 2017.
1
2
3
4
5
6
7
RESUME OG INTRODUKTION
ANLÆG, DER FORBRÆNDER AFFALD
ØKONOMI
RAMMEVILKÅR
ENERGI
EMISSIONER OG RESTPRODUKTER
OM BEATE
3
5
10
14
20
24
32
2
MOF, Alm.del - 2020-21 - Bilag 585: Resultater fra benchmarking af affalds-forbrændings- og deponeringsanlæg for året 2017.
1
Resume og introduktion
Denne benchmarking omfatter økonomi og miljø på anlæg i Danmark, der har
forbrændt og energiudnyttet affald i 2017. Benchmarkingen blev gennemført på
frivillig basis for årene 2007-2009, og fra 2010 er benchmarking ved lov blevet
obligatorisk for alle landets forbrændingsanlæg. Derfor er basisåret for denne
rapport år 2010. Data er indsamlet i foråret 2019.
Der er tre typer anlæg, der forbrænder affald. I 2017 fordelte de sig således:
·
Dedikerede forbrændingsanlæg, der primært forbrænder husholdnings- og
erhvervsaffald til energiproduktion (22 anlæg).
Multifyrede forbrændingsanlæg, der både forbrænder husholdningsaffald og
erhvervsaffald samt biomasse og/eller naturgas (4 anlæg).
Øvrige specielle anlæg, der med-forbrænder affald, eller primært forbrænder
farligt affald (2 anlæg).
·
·
Samlet giver denne rapport et overordnet billede af affaldsforbrændingsområdet i
Danmark.
I 2017 forbrændte de 26 dedikerede og multifyrede anlæg ca. 3,5 mio. ton affald fra
husholdninger og erhverv, hvilket svarer til ca. samme mængde, som blev
forbrændt i 2016. De forbrændte affaldsmængder varierer dog fra år til år. Siden
2010 er mængderne af forbrændingsegnet affald i dedikerede og multifyrede anlæg
steget med ca. 240.000 ton. Denne stigning skyldes dog en stigning i mængden af
importeret affald på 266.000 ton over samme periode. Således er mængden af
affald fra danske producenter faldet en smule over perioden.
De 22 dedikerede affaldsforbrændingsanlæg modtog en samlet betaling for
affaldsbehandling fra husholdninger og virksomheder på ca. 1,33 mia. kr.
Nettoindtægten (dvs. uden afgifter) for affaldsbehandlingen er fra 2010 til 2017
faldet med ca. 6,5 pct.
De samlede omkostninger for dedikerede affaldsforbrændingsanlæg varierer over
hele perioden. I 2017 udgjorde de samlede omkostninger ca. 2,69 mia. kr. (2017-
priser). Fra 2010 til 2017 er omkostningerne faldet med ca. 2,2 pct., og den
samlede forbrændte mængde affald er steget med ca. 8,4 pct. i samme periode.
Det betyder, at omkostningerne i kroner pr. ton forbrændt affald er faldet med ca.
9,9 pct.
Den gennemsnitlige takst for affaldsforbrænding varierer fra år til år. I 2017 var den
gennemsnitlige vægtede takst for dedikerede affaldsforbrændingsanlæg 422 kr. pr.
ton.
Den gennemsnitlige affaldsvarmepris varier ligeledes fra år til år og udgjorde 46,5
kr./GJ i 2017, svarende til et fald på ca. 14 pct. siden 2010.
Udledning af NO
x
pr. ton forbrændt affald har ligget stabilt siden 2013. Fra 2010 til
2016 har svovl udledningen været stigende, men faldende i 2017. Udledningen af
CO har været stort set uændret fra 2016 til 2017.
I 2018 lukkede Grenaa Forbrænding, Energianlæg Hobro og Skagen Forbrænding.
Disse anlæg indgår dog i denne rapport, da de var i drift i 2017.
I rapporten bruges der faste priser med henblik på at kunne følge den reelle
udvikling i anlæggenes økonomi renset for inflation. Dette kan betyde, at der er
3
MOF, Alm.del - 2020-21 - Bilag 585: Resultater fra benchmarking af affalds-forbrændings- og deponeringsanlæg for året 2017.
afvigelser i forhold til benchmarkingen for 2016, hvor der blev anvendt løbende
priser.
ARC lukkede deres gamle anlæg ned i 2017, og startede et nyt anlæg op. I de
fleste figurer og tabeller optræder ARC både med det gamle og det nye anlæg, da
de indberettede tal og mængder ikke har været ens for de to anlæg. Dette gør, at
der de fleste steder afrapporteres for 29 anlæg. Takster og andre økonomidata er
ens for de to anlæg. Da en gennemsnitstakst udregnes på baggrund af vægt,
indgår som regel begge anlæg i beregningen. Det fremgår af figurnoten, hvis kun
det nye ARC anlæg indgår.
4
MOF, Alm.del - 2020-21 - Bilag 585: Resultater fra benchmarking af affalds-forbrændings- og deponeringsanlæg for året 2017.
2398384_0005.png
2
Anlæg, der forbrænder affald
I 2017 var der 28 anlæg i Danmark, der forbrændte affald.
Affaldsforbrændingsanlæggene er lokaliseret i hele landet. De største anlæg ligger
ved de største byer. På kortet i Figur 1 er anlæggene skaleret i forhold til
forbrændingskapacitet. De dedikerede anlæg er turkis, multifyrede anlæg er lilla, og
øvrige specialanlæg er røde.
Figur 1: Kort over forbrændingsanlæg i BEATE
Note 1: Anlæggene er skaleret efter forbrændingskapacitet.
Note 2: Kun det nye ARC anlæg fremgår af kortet.
5
MOF, Alm.del - 2020-21 - Bilag 585: Resultater fra benchmarking af affalds-forbrændings- og deponeringsanlæg for året 2017.
2398384_0006.png
Figur 2 viser den miljøgodkendte kapacitet på alle anlæg, der forbrænder og
energiudnytter affald.
Figur 2: Miljøgodkendte forbrændingskapacitet (alle anlæg)
Vestforbrænding
ARC Nyt anlæg
ARGO
Fjernvarme Fyn Affaldsenergi A/S
Aalborg Portland
I/S Reno-Nord
AffaldVarme Aarhus
Fortum Waste Solutions A/S
MEC Bioheat & Power A/S
Energnist Esbjerg
Energnist Kolding
Norfors
REFA
Affaldplus Næstved
Fjernvarme Horsens A/S
AVV Energianlæg
Affaldplus Slagelse
RENOSYD
Sønderborg Kraftvarmeværk
Aars Fjernvarme Amba
I/S Kraftvarmeværk Thisted
Svendborg Kraftvarme
Frederikshavn Affaldskraftvarmeværk
Hammel Fjernvarme
Energianlæg Hobro
Grenaa Forbrænding
BOFA
Skagen Forbrænding
0
200
400
600
800
Dedikerede
Special
Multifyrede
Note 1: Forhold for mængder og markedet gør, at kapaciteten kan se anderledes ud i forhold til hvad
anlæggende reelt både kan og har tilladelse til at forbrænde og afsætte. Dette gælder både i det
enkelte år og for de enkelte anlæg.
Note 2: Kapacitet er her angivet som den samlede årlige miljøgodkendte affaldskapacitet ton/år for
hele anlægget i forhold til miljøbeskyttelseslovens kapitel 5 (hvis der ikke er angivet en årlig mængde i
miljøgodkendelsen, svarer den årlige miljøgodkendte kapacitet til den teoretiske årlige kapacitet)
Note 3: Da det gamle ARC anlæg blev lukket ned i løbet af året, ses dets forbrændingskapacitet som
0. Derfor fremgår kun det nye ARC-anlæg.
Den samlede miljøgodkendte kapacitet på alle 28 danske anlæg i 2017 var på ca.
4,49 mio. ton. De 26 dedikerede og multifyrede forbrændingsanlæg har en samlet
miljøgodkendt kapacitet på knap 4,0 mio. ton affald og forbrændte i 2017 i alt ca.
6
MOF, Alm.del - 2020-21 - Bilag 585: Resultater fra benchmarking af affalds-forbrændings- og deponeringsanlæg for året 2017.
2398384_0007.png
3,5 mio. ton affald inkl. importeret affald og få ton biomasse, jf.
Figur 4 og Figur 4b.
Hovedparten (18) af de danske forbrændingsanlæg er kommunale eller
fælleskommunale anlæg. Figur 3 viser de forbrændte mængder fordelt på
anlæggenes ejerskab. Enkelte anlæg er ejet af fjernvarmeselskaber, mens de store
specialanlæg, Fortum Waste Solutions og Aalborg Portland, er ejet af private
virksomheder.
Figur 3: Ejerskab af anlæg, opgjort efter forbrændte mængder affald, 2017 (alle
forbrændingsanlæg)
Ejet i fællesskab
af 2 eller flere af
ovenstående
1%
Ejet af andelsejet
fjernvarmeværk
(AMBA)
5%
Andet
12%
Kommunalt
ejetforhold
24%
Fælles
kommunalt ejet
(I/S)
58%
Note 1:
Kategorien ”Andet” dækker over privatejede
og selskabsudskilte virksomheder.
De fleste danske affaldsforbrændingsanlæg, både dedikerede og multifyrede, er
bygget som kraftvarmeanlæg for mere end 20 år siden. En række af dem er dog
senere renoveret eller levetidsforlænget, bl.a. med nye ovnlinjer. Der er i 2017 22
dedikerede affaldsforbrændingsanlæg og 4 multifyrede forbrændingsanlæg.
7
MOF, Alm.del - 2020-21 - Bilag 585: Resultater fra benchmarking af affalds-forbrændings- og deponeringsanlæg for året 2017.
2398384_0008.png
Figur 4a: Affaldsmængder og miljøgodkendt kapacitet 2010-2017, alle anlæg
5,0
4,5
4,0
3,5
3,0
Mio. ton
2,5
2,0
1,5
1,0
0,5
0,0
2010
2011
2012
2013
2014
2015
2016
2017
Brændt affald
Forbrændingskapacitet
Figur 4b: Affaldsmængder og miljøgodkendt kapacitet 2010-2017 for de dedikerede og multifyrede
anlæg.
4,5
4,0
3,5
3,0
Mio. ton
2,5
2,0
1,5
1,0
0,5
0,0
2010
2011
2012
2013
2014
2015
2016
2017
Brændt affald
Forbrændingskapacitet
Note 1: Kapaciteten markeret med den røde streg i figurerne er anlæggenes miljøgodkendte kapacitet.
Kapacitet er her angivet som den samlede årlige miljøgodkendte affaldskapacitet ton/år for hele
anlægget i forhold til miljøbeskyttelseslovens kapitel 5 (hvis der ikke er angivet en årlig mængde i
miljøgodkendelsen, svarer den årlige miljøgodkendte kapacitet til den teoretiske årlige kapacitet).
Forhold for mængder og markedet gør, at kapaciteten kan se anderledes ud i forhold til, hvad
anlæggende reelt kan forbrænde og afsætte. Dette gælder både i det enkelte år og for de enkelte
anlæg.
Note 2: Affaldsmængden i 2010 er ekskl. import.
8
MOF, Alm.del - 2020-21 - Bilag 585: Resultater fra benchmarking af affalds-forbrændings- og deponeringsanlæg for året 2017.
2398384_0009.png
Tabel 1a og Tabel 1b viser udviklingen i mængden af forbrændt affald fordelt på
direkte tilført affald, affald fra mellemdeponi og biomasse. Affald deponeres
midlertidigt, når der ikke er kapacitet til at forbrænde affaldet
f.eks. pga. nedbrud,
renoveringer eller sæsonforskydninger.
Mængden af affald til forbrænding er fra 2016 til 2017 steget med ca. 0,9 pct. Den
samlede mængde forbrændt biomasse er, som i tidligere år, beskeden i forhold til
den samlede forbrændte mængde affald.
1
Tabel 1a: Mængder for dedikerede og multifyrede anlæg, 2016 og 2017 (1.000 ton)
2016
Brændt affald og biomasse
Affald
- Heraf fra mellemdeponering
- Heraf fra import
2017
3.563
3.501
143
266
3.526
3.472
102
364
Biomasse (ikke affald)
54
62
Tabel 1b: Mængder for dedikerede anlæg, 2016 og 2017 (1.000 ton)
2016
Brændt affald og biomasse
Affald
- Heraf fra mellemdeponering
- Heraf fra import
2017
3.193
3.146
126
226
3.148
3.114
85
299
Biomasse (ikke affald)
34
47
1
Bemærk at enkelte multifyrede anlæg ikke har angivet deres mængde af biomasse, hvilket
de ikke er forpligtet til ifølge Affaldsbekendtgørelsen, BEK nr. 1309 af 18/12/2012, Bilag 3.
9
MOF, Alm.del - 2020-21 - Bilag 585: Resultater fra benchmarking af affalds-forbrændings- og deponeringsanlæg for året 2017.
2398384_0010.png
3
Økonomi
Figur 5 nedenfor viser både udviklingen i de gennemsnitlige mængdevægtede
affaldsforbrændingstakster, som affaldsproducenterne betaler for behandling af
forbrændingsegnet affald på de dedikerede forbrændingsanlæg, samt de samlede
nettoindtægter og afgiftsbetalinger på de dedikerede affaldsforbrændingsanlæg i
perioden 2010-2017.
I 2017 var den gennemsnitlige vægtede affaldsforbrændingstakst ca. 422 kr. pr. ton
på de dedikerede affaldsforbrændingsanlæg. Nettoindtægterne fra
affaldsbehandling udgjorde i alt ca. 600 mio. kr., mens afgifterne i alt udgjorde ca.
728 mio. kr. i 2017. Det ses, at både de samlede nettoindtægter og den
gennemsnitlige takst pr. ton generelt har været faldende i perioden 2010-2017.
Figur 5: Gennemsnitlige vægtede affaldsforbrændingstakster inkl. visse affaldsafgifter totalt og kr. pr.
ton 2010 - 2017 (dedikerede forbrændingsanlæg, faste priser)
1.600
1.400
1.200
1.000
540
520
500
480
460
440
420
400
380
2010
2011
2012
2013
2014
2015
2016
2017
Affald nettoindtægter (venstre)
Afgifter i alt (venstre)
Gns. takst pr. ton (højre)
800
600
400
200
0
Note 1: Afgiftsdelen består af CO
2
-afgift, tillægsafgift, SO
2
- og NO
x
-afgift.
Note 2: Taksten beregnes som de samlede indtægter, som anlægget modtager i betaling i form af
gebyrer/takster for forskellige typer af forbrændingsegnet affald (inkl. evt. biomasseaffald, men ekskl.
supplerende biomasse, som ikke er affald) divideret med den brændte mængde forbrændingsegnet
affald.
Note 3: Affaldsforbrændingstaksterne er vægtede i forhold til priser og takster på de forskellige
affaldsfraktioner som forbrændingsanlæggene behandler
Note 4: Afgiften følger Skatteministeriets indeksering af afgiftssatserne med basisår i 2017. Taksten
følger bruttoværditilvæksten (BVT-deflatoren) med basisår i 2017.
Note 5: Højre akse (den gennemsnitlige takst) starter ved 380.
DKK pr. ton
DKK mio.
10
MOF, Alm.del - 2020-21 - Bilag 585: Resultater fra benchmarking af affalds-forbrændings- og deponeringsanlæg for året 2017.
2398384_0011.png
Tabel 2 nedenfor viser de gennemsnitlige vægtede affaldsforbrændingstakster for
årene 2010-2017 og for typer af forbrændingsanlæg.
Tabel 2: Vægtede gennemsnitlige affaldsforbrændingstakster, kr. pr. ton, inkl. afgifter for dedikerede
og dedikerede + multifyrede anlæg, 2010-2017 (faste priser)
2010
Gns. takst for dedikerede
anlæg
Gns. takst for dedikerede og
multifyrede anlæg
527
521
2011
527
502
2012
491
462
2013
473
457
2014
453
446
2015
428
424
2016
444
443
2017
422
419
Note: Afgiften føler Skatteministeriets indeksering af afgiftssatserne med basisår i 2017. Taksten
følger bruttoværditilvæksten (BVT-deflatoren) med basisår i 2017.
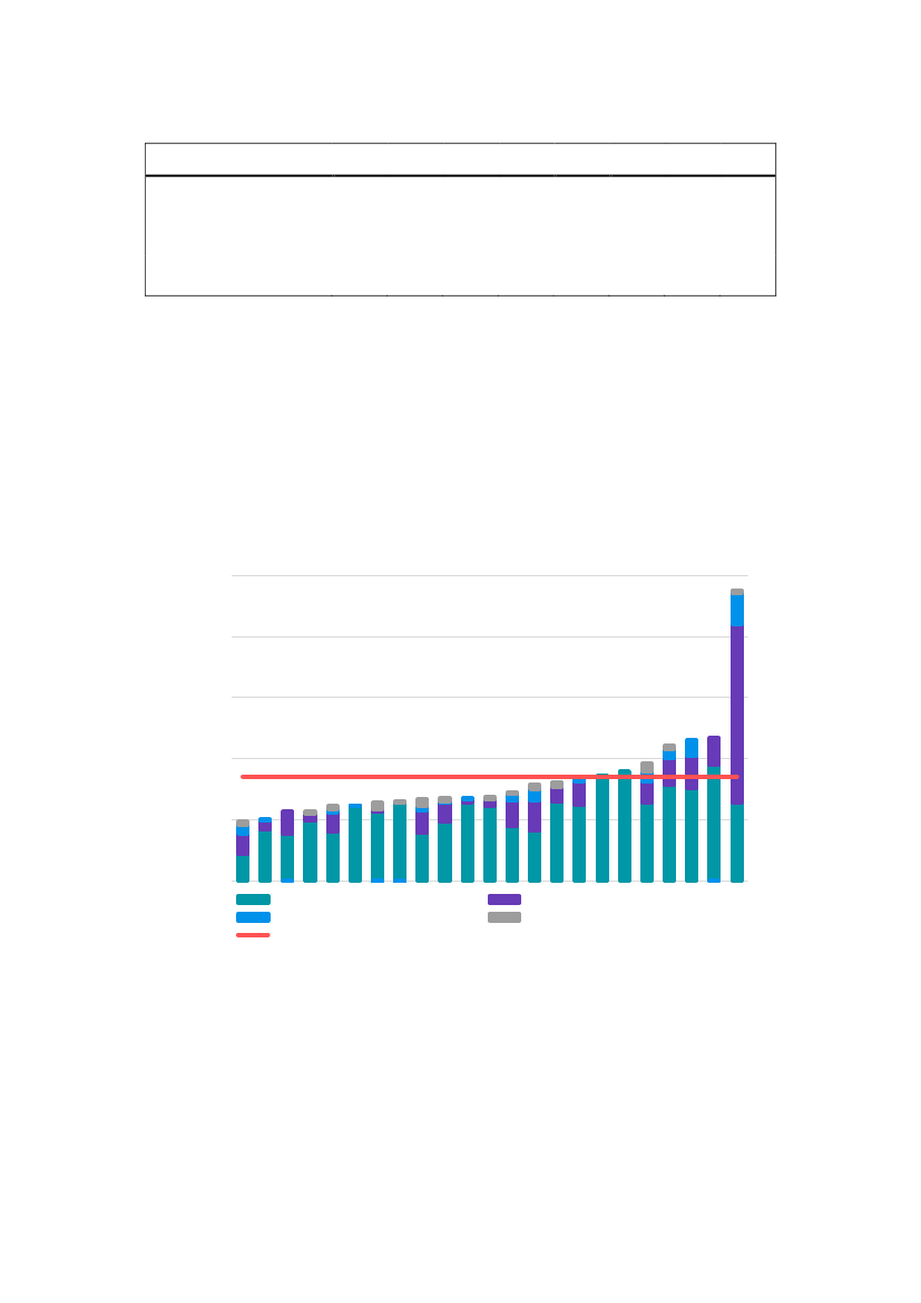
Figur 6 viser anlæggenes gennemsnitlige affaldsforbrændingstakster inkl. afgifter
for hvert enkelt anlæg. Der er en spredning i den gennemsnitlige
affaldsforbrændingstakst på de dedikerede og multifyrede forbrændingsanlæg, fra
298 kr. pr. ton til 720 kr. pr. ton. Det vægtede gennemsnit er 419 kr. pr. ton.
Figur 6: Affaldsforbrændingstakster i kr. pr. ton affald i 2017 inkl. afgifter for affaldsproducenten
(dedikerede og multifyrede forbrændingsanlæg). Den røde streg angiver det vægtede gennemsnit
på 419 kr.
800
700
Affaldstakster inkl. afgifter
(DKK pr. ton)
600
500
400
300
200
100
0
1 2 3 4 5 6 7 8 9 10 11 12 13 14 15 16 17 18 19 20 21 22 23 24 25 26
El og varmeproducerende
Varmeproducerende
Gns. takst
11
MOF, Alm.del - 2020-21 - Bilag 585: Resultater fra benchmarking af affalds-forbrændings- og deponeringsanlæg for året 2017.
2398384_0012.png
Figur 7 viser udviklingen i og opdelingen af de samlede omkostninger og
gennemsnitlige omkostninger i kr. pr. ton affald (ekskl. afgifter) i perioden fra 2010-
2017 for de 22 dedikerede affaldsforbrændingsanlæg. De gennemsnitlige
omkostninger for dedikerede forbrændingsanlæg var ca. 853 kr. pr. ton i 2017 og
har generelt ligget nogenlunde stabilt over perioden.
Affaldsforbrændingsanlæggenes samlede omkostninger er fordelt på
driftsomkostninger, afskrivninger, finansielle omkostninger, el til eget forbrug samt
ekstraordinære omkostninger.
Det er ikke muligt at identificere de ekstraordinære omkostninger yderligere, og de
indgår derfor ikke i Figur 7,Figur 8 samt Tabel 3. Der har været mindre
ekstraordinære omkostninger fra 2010 til 2014, hvilket kan betyde, at
omkostningerne ikke er helt sammenlignelige.
Figur 7: Omkostninger totalt og kr. pr. ton affald (dedikerede forbrændingsanlæg, faste priser), 2010-
2017
3.000
3.000
2.500
2.000
2.500
Omkostninger (DKK mio.)
2.000
1.500
1.500
1.000
1.000
500
500
0
-500
2010
2011
2012
2013
2014
2015
2016
2017
Driftsomkostninger
El til eget forbrug
Afskrivninger
Omkostninger pr. ton
Finansielle udgifter
0
Note 1: Omkostninger = driftsomkostninger + afskrivninger + finansielle udgifter + udgifter til at
forbrænde en andel biomasse (biomassen er dog medregnet i affaldsmængden).
Note 2: En del af anlæggene har indregnet omkostninger til køb af CO
2
-kvoter under
driftsomkostninger, men det er ikke muligt at opgøre omfanget heraf.
Note 3: Anlæggenes afregning og opgørelse af el til eget forbrug er forskelligt opgjort, bl.a. afhængig
af om anlægget køber elektricitet fra elnettet eller modregner elektricitetsforbruget fra egen produktion.
Note 4: Omkostningerne følger bruttoværditilvæksten (BVT-deflatoren) med basisår i 2017.
Som det fremgår af nedenstående Tabel 3 var affaldsmængden i 2017 ca. 8,5 pct.
højere end i 2010, mens de samlede omkostninger i faste priser er ca. 2,2 pct.
lavere. Omkostningerne pr. ton er ca. 9,9 pct. (faste priser) lavere i 2017 end i
2010.
Omkostninger pr. ton (DKK)
12
MOF, Alm.del - 2020-21 - Bilag 585: Resultater fra benchmarking af affalds-forbrændings- og deponeringsanlæg for året 2017.
2398384_0013.png
Tabel 3: Omkostningsændringer (faste priser) for dedikerede anlæg, 2010-2017
2010
Omkostninger i alt (DKK
mio.)
Omkostninger (DKK pr.
ton)
Affaldsmængde (mio.
ton)
2.771
955
2,9
2011
2.843
917
3,1
2012
2.520
840
3,0
2013
2.839
946
3,0
2014
2.949
922
3,2
2015
2.719
850
3,2
2016
2.426
783
3,1
2017
2.685
853
3,1
Note 1: Omkostninger = driftsomkostninger + afskrivninger + finansielle udgifter + udgifter til at
forbrænde en andel biomasse (biomassen er dog medregnet i affaldsmængden).
Note 2: Andel af forbrændt mængde biomassebrændsel indgår ikke i affaldsmængden. Priserne er
ekskl. afgifter.
Note 3: Omkostningerne følger bruttoværditilvæksten (BVT-deflatoren) med basisår i 2017.
Figur 8 viser fordelingen af anlæggenes omkostninger i kr. pr. ton affald.
Omkostningerne varierer på tværs af anlæggene fra 482 kr. pr. ton til 2.378 kr. pr.
ton. Forskellen skyldes bl.a. forskellige driftsstrategier, anlægsstørrelse og alder,
faldende driftstimer på ældre ovnlinjer, neddeling, mellemdeponering, omlastning af
affaldet samt distribution af hhv. varme og elektricitet.
Figur 8: Omkostninger for dedikerede forbrændingsanlæg i kr. pr. ton affald, ekskl. afgifter. Den røde
streg angiver det vægtede gennemsnit på 853 kr. pr. ton
2.500
2.000
DKK pr. ton
1.500
1.000
500
0
Driftsomkostninger
Finansielle omkostninger
Gns omkostninger pr ton
Afskrivninger
El eget forbrug
Note 1: Andel af forbrændt mængde biomassebrændsel indgår ikke i affaldsmængden.
Note 2: Omkostninger = driftsomkostninger + afskrivninger + finansielle udgifter + udgifter til at
forbrænde en andel biomasse (biomassen er dog ikke medregnet i affaldsmængden).
Note 3: En del af anlæggene har indregnet omkostninger til køb af CO
2
-kvoter under
driftsomkostninger, men det er ikke muligt at opgøre omfanget heraf.
Note 4: Anlæggenes afregning og opgørelse af el til eget forbrug er forskellig opgjort, bl.a. afhængig af
om anlægget køber elektricitet fra nettet eller modregner elektricitetsforbruget fra egen produktion.
13
MOF, Alm.del - 2020-21 - Bilag 585: Resultater fra benchmarking af affalds-forbrændings- og deponeringsanlæg for året 2017.
2398384_0014.png
4
Rammevilkår
Indtægter ved forbrænding består som oftest af indtægter fra salg af varme og for
de fleste anlægs vedkommende også el. De omkostninger, der ikke dækkes af
indtægter fra energiproduktion, opkræves som affaldsforbrændingstakst hos
affaldsproducenterne, under hensyntagen til det specifikke anlægs
omkostningsfordeling.
Figur 9
viser, at indtægterne fra varme udgør ca. 48 pct.;
mens indtægterne fra salg af el udgør ca. 14 pct. i 2017. De resterende ca. 38 pct.
af anlæggenes indtægter stammer fra affald. Indtægtsfordelingen har ligget
nogenlunde stabilt i perioden 2010-2017.
I 2017 udgjorde afgifterne ca. 55 pct. af indtægten for affaldsforbrænding.
Tilsvarende udgjorde 30 pct. af varmeindtægten afgifter til staten
(affaldsvarmeafgiften). Siden 2013 har hovedparten af alle danske
forbrændingsanlæg
2
været omfattet af det europæiske CO
2
-kvotesystem (ETS),
som medfører yderligere omkostninger og indtægter (f.eks. køb og salg af kvoter på
markedsvilkår) for både affaldsproducenter og affaldsvarmekunder.
Figur 9: Fordeling af totale indtægter (pct.), 2010-2017 (dedikerede forbrændingsanlæg)
100%
90%
80%
70%
14%
17%
15%
18%
14%
17%
14%
17%
13%
18%
14%
15%
14%
20%
22%
21%
Indtægtsandel
60%
50%
40%
30%
20%
10%
0%
24%
22%
21%
19%
18%
18%
12%
18%
14%
17%
14%
14%
11%
13%
17%
17%
30%
34%
35%
33%
35%
36%
32%
34%
2010
2011
2012
Varme, afgifter
2013
2014
2015
2016
Affald, afgifter
2017
El
Varme, nettoindtægter
Affald, nettoindtægter
Note 1: Der er en vis usikkerhed forbundet med ift. anlæggenes opgørelser, idet visse anlæg
modregner egetforbruget af elproduktionen.
2
20 danske affaldsforbrændingsanlæg er omfattet af det fælles, europæiske
kvotehandelssystem (ETS):
https://ens.dk/ansvarsomraader/co2-kvoter/eus-co2-
kvoteordning
14
MOF, Alm.del - 2020-21 - Bilag 585: Resultater fra benchmarking af affalds-forbrændings- og deponeringsanlæg for året 2017.
2398384_0015.png
Som det fremgår af Tabel 4, betalte de dedikerede affaldsforbrændingsanlæg i
2017 i alt ca. 1,2 mia. kr. i afgifter (ekskl. svovlafgifter) til staten. Hvilket var ca. 4,8
pct. mindre end i 2016.
Tabel 4: Afgifter i alt mio. kr. kun dedikerede anlæg, 2010-2017 (faste priser)
2010
CO
2
-afgift
NOx-afgift
Tillægsafgift
Affaldsvarmeafgift
Afgifter i alt
126
17
588
438
1.168
2011
125
17
583
453
1.178
2012
83
44
570
521
1.218
2013
140
69
537
652
1.399
2014
163
70
569
727
1.529
2015
154
70
598
440
1.263
2016
145
43
606
453
1.246
2017
135
14
593
445
1.187
Note 1: Udgifter til CO₂-kvoter indgår ikke.
Note 2: Afgifterne følger Skatteministeriets indeksering af afgiftssatserne med basisår i 2017.
Andelen af indtægter fra de forskellige indtægtskilder svinger fra år til år, jf.
Fejl!
Henvisningskilde ikke fundet..
Ser man på de enkelte anlæg, svinger indtægten
fra affaldstakster inkl. affaldsafgifter fra ca. 31 pct. til ca. 56 pct. af de totale
indtægter inkl. afgifter i 2017.
Indtægten fra salg af el er baseret på markedsprisen, som er afhængig af, om det
enkelte anlæg er berettiget til det såkaldte grundbeløb (garanteret mindstepris).
3
Den gennemsnitlige el-indtægt på et dedikeret affaldsforbrændingsanlæg med
elproduktion, fratrukket egetforbrug, udgør 142 kr. pr. ton affald.
3
Anlæg, omfattet af grundbeløbet (pristillæg), var indtil år 2019 garanteret en mindstepris
for afregning med el, der i nogle tilfælde kan være højere end markedsprisen. Se også
Energistyrelsens hjemmeside:
https://ens.dk/sites/ens.dk/files/contents/service/file/oversigt_over_stoette_til_ve_m.dato_.p
df
15
MOF, Alm.del - 2020-21 - Bilag 585: Resultater fra benchmarking af affalds-forbrændings- og deponeringsanlæg for året 2017.
2398384_0016.png
Figur 10: Fordeling af totale indtægter per anlæg (pct.), 2017 (dedikerede forbrændingsanlæg)
23
22
21
20
19
18
17
16
15
14
13
12
11
10
9
8
7
6
5
4
3
2
1
0%
10%
26%
11%
23%
27%
3%
23%
29%
33%
37%
48%
13%
18%
19%
2%
13%
11%
20%
20%
33%
10%
33%
13%
11%
46%
13%
17%
23%
0%
17%
16%
25%
8%
35%
10%
24%
18%
13%
19%
32%
12%
8%
40%
12%
17%
19%
13%
13%
29%
18%
17%
47%
12%
28%
10%
29%
18%
25%
23%
5%
37%
20%
8%
34%
0%
36%
13%
15%
22%
14%
14%
13%
24%
22%
45%
14%
6%
24%
10%
19%
4%
29%
24%
42%
13%
21%
24%
0%
34%
35%
21%
0%
36%
14%
19%
21%
10%
38%
10%
18%
18%
15%
18%
16%
27%
13%
35%
16%
23%
26%
0%
31%
9%
25%
17%
18%
20%
30%
40%
50%
60%
70%
80%
90%
100%
El
Varme, nettoindtægter
Varme, afgifter
Affald, nettoindtægter
Affald, afgifter
Note 1: Der er en vis usikkerhed forbundet med anlæggenes opgørelser, idet visse anlæg modregner
egetforbruget af elproduktionen.
16
MOF, Alm.del - 2020-21 - Bilag 585: Resultater fra benchmarking af affalds-forbrændings- og deponeringsanlæg for året 2017.
2398384_0017.png
Affaldsvarmeprisen ekskl. afgifter varierede fra 3 til 67 kr. pr. GJ på tværs af
anlæggende med et vægtet gennemsnit på ca. 46,5 kr. pr. solgt GJ-varme.
Variationerne mellem anlæggende i 2017 fremgår af
Figur 11.
Figur 11: Variation i affaldsvarmepris ekskl. afgifter (dedikerede affaldsforbrændingsanlæg), 2017.
Den røde streg angiver det vægtede gennemsnit på ca. 47 kr. pr. GJ
80
70
60
50
40
30
20
10
0
1
2
3
4
5
6
7
8
9 10 11 12 13 14 15 16 17 18 19 20 21 22 23
Gns. Varmepris
Note 1: Varmeproduktion, som er baseret på affaldsforbrænding, er underlagt et prisloft ekskl.
afgiftsændringer på 84,2 kr. pr. GJ (jf. Energitilsynet, "Udmelding af prisloft 2017", udmeldt 15. oktober
2016).
Note 2: Affaldsvarmepriser korrigeres ikke for eventuel over-/underdækning fra tidligere år.
Der gælder særlige regler for at fastsætte affaldsvarmeprisen.
4
Princippet er, at
prisen på affaldsvarmen kun må dække de nødvendige omkostninger
5
, dog sådan
at prisen ikke må overstige det mulige alternativ i varmeforsyningsområdet eller et
loft for maksimalprisen for affaldsvarmen, som udmeldes af Energitilsynet.
6
Prisloftsbekendtgørelsen trådte i kraft 1. januar 2013, og det beregnede og
udmeldte prisloft ekskl. afgiftsændringer var i 2017 på 84,2 kr. pr. GJ.
78
4
I forbindelse med etablering af røggaskondensering, kan der være indgået nye aftaler
mellem affald og varmesiden om fordelingen af omkostningerne herved.
5
Varmepriserne påvirkes også af, at omkostninger lokalt fordeles forskelligt mellem affald
og varme.
6
Pr. 1. juli 2018 har Forsyningstilsynet overtaget alle opgaver fra Energitilsynet.
7
Jf. Energitilsynet, "Udmelding af prisloft 2017", udmeldt 15. oktober 2016.
8
Som led i overgangsbestemmelserne i Prisloftbekendtgørelsen (BEK nr.1213 af
17/12/2012), kunne prislofter på eksisterende aftaler om afsætning af affaldsvarme
beregnes på baggrund af tidligere gældende regler indtil 2016. Fra 1. januar 2016 er alle
anlæg omfattet af det nye, samme prisloft.
DKK per GJ
17
MOF, Alm.del - 2020-21 - Bilag 585: Resultater fra benchmarking af affalds-forbrændings- og deponeringsanlæg for året 2017.
2398384_0018.png
Figur 12 nedenfor viser udviklingen i varmepriser ekskl. afgifter. Fra 2010 til 2017 er
prisen faldet med ca. 9 pct., Prisen steg en smule fra 2016 til 2017.
Figur 12: Udvikling i den gennemsnitlige affaldsvarmepris ekskl. afgifter fra 2010-2017 (dedikerede
affaldsforbrændingsanlæg, faste priser).
70
Gennemsnitlig affaldsvarmepris (DKK pr. GJ)
60
50
40
30
20
10
0
2009
2010
2011
2012
2013
2014
2015
2016
2017
2018
Note: Taksten følger bruttoværditilvæksten (BVT-deflatoren) med basisår i 2017.
18
MOF, Alm.del - 2020-21 - Bilag 585: Resultater fra benchmarking af affalds-forbrændings- og deponeringsanlæg for året 2017.
2398384_0019.png
Som det fremgår af Figur 13, så varierer affaldsforbrændingsanlæggenes
afregningspris på elektricitet fra 214 til 549 kr. pr MWh. Variationerne i el
afregningsprisen kan bl.a. skyldes forskellige elpriser i Øst- og Vestdanmark,
forskellig indregning af grundbeløbet (garanti for mindste elpriser) samt
anlæggenes forskellige muligheder for at indgå som balancekraft, regulerkraft
og/eller reservekraft i elmarkedet. Desuden har elproduktionsenheder, der er
tilsluttet efter 21. april 2004, ikke længere mulighed for at opnå grundbeløb jf. § 58 i
elforsyningsloven.
Figur 13 Variation i el-afregningspris i 2017 (el producerende, dedikerede forbrændingsanlæg).
Den røde streg angiver det vægtede gennemsnit på 392 kr. pr. MWh
600
500
400
DKK pr. MWh
300
200
100
0
1
2
3
4
5
6
Vest
7
8
Øst
9
10 11 12 13 14 15 16 17 18
Gns. elpris
Note 1: Ikke alle anlæg opgør deres afregning på samme måde, idet visse anlæg ikke medtager
grundbeløbet.
Note 2: Der er en vis usikkerhed forbundet med ift. anlæggenes opgørelser, idet visse anlæg
modregner egetforbruget af elproduktionen.
19
MOF, Alm.del - 2020-21 - Bilag 585: Resultater fra benchmarking af affalds-forbrændings- og deponeringsanlæg for året 2017.
2398384_0020.png
5
Energi
Som det fremgår af Figur 14, har forbrændingsanlæggene produceret ca. 20-25 pct.
af fjernvarmeforbruget i Danmark og leveret ca. 4-5 pct. af det danske elforbrug i
perioden 2010-2017.
Figur 14: Afsat produktion af varme (PJ) og el (GWh), samt forbrændingsanlæggenes andel (pct.) af
Danmark samlede fjernvarme- og elforbrug, 2010-2017 (alle anlæg)
1.800
30
(24 %)
(25 %)
(
(25 %)25 %)
(23 %)
(22 %)
(22 %)
(20 %)
1.600
(5 %)
(4 %)
(4 %)
(4 %)
(4 %) (4 %)
Varmeproduktion solgt (PJ)
Elproduktion solgt (GWh)
25
20
15
10
5
0
1.400
1.200
1.000
800
600
400
200
0
(4 %) (4 %)
Note 1: Anlæggenes andel af el- og varmeforbruget er opgjort på baggrund af anlæggenes
indrapporterede solgte mængder af hhv. el og varme til BEATE, sammenholdt med det samlede
danske energiforbrug (final energy consumption) af hhv. el og varme i de respektive år.
Note 2: Det samlede danske el- og varmeforbrug stammer fra Energistyrelsens årlige energistatistik.
(link:
https://ens.dk/service/statistik-data-noegletal-og-kort/maanedlig-og-aarlig-energistatistik).
Note 3: Andelen af varmeproduktionen, som forbrændingsanlæggene producerer, er ændret i 2014 og
2016 med 1 pct.-point i forhold til sidste års rapport. Dette skyldes løbende kvalitetssikring af
energistatistikken.
20
MOF, Alm.del - 2020-21 - Bilag 585: Resultater fra benchmarking af affalds-forbrændings- og deponeringsanlæg for året 2017.
2398384_0021.png
Figur 15 viser den samlede el- og varmeproduktion fra de dedikerede
affaldsforbrændingsanlæg i perioden 2010 til 2017. Det bemærkes, at
varmeproduktionen fra affaldsforbrændingsanlæggene er på stort set samme
niveau i 2017, som det var i 2010. Dog var der et fald i produktionen fra 2010 til
2011, der primært kan henføres til faldende affaldsmængder, som følge af
finanskrisen. Fra 2011-2017 har anlæggene øget varmeproduktionen med ca.10
pct., især som følge af at affaldsforbrændingsanlæggene har installeret
røggaskondensering, der bidrager til at øge den samlede energieffektivitet.
Figur 15: Den samlede el- og varmeproduktion fra 2010
2017 (dedikerede forbrændingsanlæg)
30
1.800
25
1.500
Varmeproduktion solgt (PJ)
20
1.200
15
900
10
600
5
300
0
2010
2011
2012
2013
2014
2015
2016
2017
Varmeproduktion
Elproduktion
0
Elproduktion solgt (GWh)
21
MOF, Alm.del - 2020-21 - Bilag 585: Resultater fra benchmarking af affalds-forbrændings- og deponeringsanlæg for året 2017.
2398384_0022.png
Figur 16 viser netto el- og varmeproduktion pr. ton affald og biomasse. Enkelte
mindre dedikerede forbrændingsanlæg - 5 af de 22 - producerer alene varme, mens
de øvrige 17 anlæg producerer både el og varme. Nogle anlæg, der både har
kraftvarmeovne og rene varmeproducerende ovnlinjer, har en relativt lav samlet
elproduktion, når det måles i forhold til anlæg, der udelukkende har kraftvarmeovne.
Derudover kan forskelle på anlæggenes produktion af hhv. el og varme desuden
forklares af anlæggenes alder, konstruktionen af anlæggene samt i brændværdien i
det tilførte, brændbare affald.
Figur 16 Netto el- og varmeproduktion pr. ton affald og biomasse (dedikerede forbrændingsanlæg)
0,7
Elproduktion pr. ton affald og biomasse
(MWh)
0,6
0,5
0,4
0,3
0,2
0,1
-
0
2
4
6
8
10
Varmeproduktion pr. ton affald og biomasse (GJ)
12
Note 1: Anlæg, der alene producerer varme, er markeret på X-aksen.
Note 2: Forholdet mellem et anlægs producerende MWh el og GJ varme pr. ton affald er påvirket af, at
den driftsøkonomiske optimering, og afspejler ikke den tekniske energieffektivitet. Eksempelvis kan
lave elpriser medføre en højere varmeproduktion.
22
MOF, Alm.del - 2020-21 - Bilag 585: Resultater fra benchmarking af affalds-forbrændings- og deponeringsanlæg for året 2017.
2398384_0023.png
Langt det meste af varmen fra forbrændingsanlæggene udnyttes i
fjernvarmesystemet. Siden 2010 er andelen af bortkølet varme reduceret fra ca. 2,6
pct. til ca. 2,2 pct., dog med en stigning fra 2015 til 2017, jf. Figur 17.
I de seneste år har flere anlæg fået installeret røggaskondensering, som kan lede til
lejlighedsvis bortkøling
særligt i varme perioder.
Figur 17: Gennemsnitlig andel af varmeproduktionen som bortkøles, 2010-2017
3,0%
2,5%
2,0%
1,5%
1,0%
0,5%
0,0%
2010
2011
2012
2013
2014
2015
2016
Gennemsnitlig andel af varmeproduktion, som bortkøles (pct.)
2017
23
MOF, Alm.del - 2020-21 - Bilag 585: Resultater fra benchmarking af affalds-forbrændings- og deponeringsanlæg for året 2017.
2398384_0024.png
6
Emissioner og restprodukter
EU har i affaldsforbrændingsdirektivet fastsat miljømæssige minimumskrav til
forbrænding i EU
9
. Når affald forbrændes, opstår der en aske- og slaggedel, som
ikke kan forbrændes og dermed ikke omsættes i forbrændingsprocessen. Slaggen
udgør typisk ca. 17 pct. af den samlede indfyrede affaldsmængde og består især af
uorganiske stoffer og mineraler samt metaller.
Den største andel af slaggen anvendes i forbindelse med vejbyggeri,
havneudvidelser og andre bygningskonstruktioner. En stadig større andel af
metallerne i forbrændingsslaggen genanvendes. Forbrænding af affald medfører
desuden en mængde restprodukter fra røggasrensningen. Mængden svarer til ca. 3
pct. af affaldet og eksporteres til nyttiggørelse i Norge og Tyskland.
Endelig giver affaldsforbrænding anledning til en række luftemissioner, der typisk
måles kontinuerligt. Således måles SO
2
, HCl, TOC, CO, NO
X
og totalstøv (partikler)
kontinuerligt. Emissioner af HF, dioxin og tungmetaller måles ved stikprøver.
Figur 18a-Figur 21a viser emissioner pr. ton affald for de parametre, der skal måles
kontinuerligt ved forbrænding af affald
vist fra mindste til største emission for
hvert stof.
De stiplede linjer angiver det enkelte anlægs grænseværdi, omregnet fra mg pr.
Nm³ til g pr. ton, regnet ud fra de grænseværdier, som var gældende i 2017
10
.
Søjlerne viser dedikerede anlægs faktiske udledning (g pr. ton affald).
Forbrændingsanlæggene er udstyret med rensningsudstyr, der under normal drift er
optimeret til at overholde grænseværdierne.
Figur 18b-Figur 21b viser udviklingen i de samlede vægtede emissioner for 4
parametre (CO, Partikler, NO
x
og SO
2
) pr. ton affald i perioden 2010 til 2017.
9
Europaparlamentets og rådets direktiv 2000/76/EF af 4. december 2000 om forbrænding
af affald.
10
Grænseværdierne er fastsat af EU efter røggasmængde (g/Nm
3
). Da røggasmængden pr.
ton affald varierer fra anlæg til anlæg, vil udledningen (g pr. ton affald) også variere, når
udledningen beregnes på baggrund af EU-grænseværdierne. For NO
X
er der to forskellige
grænseværdier, idet der er en højere grænseværdi for ovnlinjer, der var i drift den 28.
december 2002, og som har en kapacitet på højst 6 ton/time. I figuren er angivet den høje
grænseværdi for et anlæg, hvis mindst én af ovnlinjerne på anlægget har denne
grænseværdi.
24
MOF, Alm.del - 2020-21 - Bilag 585: Resultater fra benchmarking af affalds-forbrændings- og deponeringsanlæg for året 2017.
2398384_0025.png
Som det fremgår af Figur 18a, så holder udledningen af CO fra affaldsforbrænding
sig generelt under grænseværdien. I perioden 2011 til 2015 har udledningen ligget
forholdsvis stabilt, men steg i 2016, jf. Figur 18b.
Figur 18a: Udledning af CO, der måles kontinuerligt (g pr. ton affald) (dedikerede
affaldsforbrændingsanlæg), 2017
600
500
g pr. ton affald
400
300
200
100
0
1
2
3
4
5
6
7
8
9 10 11 12 13 14 15 16 17 18 19 20 21 22 23
CO
Grænseværdi
Note: Grænseværdierne er fastsat af EU efter røggasmængde (g/Nm3). Da røggasmængden pr. ton
affald varierer fra anlæg til anlæg, vil udledningen (g pr. ton affald) også variere, når udledningen
beregnes på baggrund af EU-grænseværdierne.
Figur 18b: Udvikling i udledning af CO (g pr. ton affald) (dedikerede affaldsforbrændingsanlæg),
2010-2017.
70
60
50
g pr. ton affald
40
30
20
10
0
1
2
3
4
5
6
7
8
Årstal
Note: Stigning i udledning af CO fra 2015 til 2016 skyldes især driftsmæssige udfordringer for et større
anlæg i 2016.
25
MOF, Alm.del - 2020-21 - Bilag 585: Resultater fra benchmarking af affalds-forbrændings- og deponeringsanlæg for året 2017.
2398384_0026.png
Udledningen af partikler fra affaldsforbrænding var under grænseværdien i 2017. I
perioden 2010 til 2013 er udledningen af partikler pr. ton blevet halveret, og den har
fra 2013 til 2017 nogenlunde stabiliseret sig jf. Figur 19b.
Figur 19a: Udledning af partikler, der måles kontinuerligt (g pr. ton affald) (dedikerede
affaldsforbrændingsanlæg), 2017
120,0
100,0
g pr. ton affald
80,0
60,0
40,0
20,0
0,0
1
2
3
4
5
6
7
8
9 10 11 12 13 14 15 16 17 18 19 20 21 22 23
Grænseværdi
Partikler pr. ton
Note: Grænseværdierne er fastsat af EU efter røggasmængde (g/Nm3). Da røggasmængden pr. ton
affald varierer fra anlæg til anlæg, vil udledningen (g pr. ton affald) også variere, når udledningen
beregnes på baggrund af EU-grænseværdierne.
Figur 19b Udvikling i udledning af partikler (g pr. ton affald) (dedikerede affaldsforbrændingsanlæg),
2010-2017
8
7
6
5
g pr. ton affald
4
3
2
1
0
1
2
3
4
5
6
7
8
26
MOF, Alm.del - 2020-21 - Bilag 585: Resultater fra benchmarking af affalds-forbrændings- og deponeringsanlæg for året 2017.
2398384_0027.png
Generelt har udledningen af NO
x
fra affaldsforbrænding ligget under
grænseværdien, for henholdsvis store og små ovnlinjer. I perioden 2010 til 2013
blev udledningen af NO
x
pr. ton affald reduceret med ca. 20 pct., og den har fra
2013 til 2017 stabiliseret sig på nogenlunde samme niveau (se Figur 20b).
Affaldsforbrændingsanlæggene har fastsat forskellige NO
x
grænseværdier
afhængig af ovnkapaciteten på det enkelte affaldsforbrændingsanlæg. Ovnlinjer,
der var i drift den 28. december 2002 og som har en ovnkapacitet på højst 6 ton pr.
time, defineres som små og har derfor en højere grænseværdi.
11
Figur 20a: Udledning af NOx, der måles kontinuerligt (g pr. ton affald) (dedikerede
affaldsforbrændingsanlæg), 2017
4.000
3.500
3.000
g. pr. ton affald
2.500
2.000
1.500
1.000
500
0
1
2
3
4
5
6
7
8
9 10 11 12 13 1
2
3
4
5
6
7
8
9 10
NOx gram per ton, lille
NOx gram per ton, stor
Grænseværdi
Note: Grænseværdierne er fastsat af EU efter røggasmængde (g/Nm3). Da røggasmængden pr. ton
affald varierer fra anlæg til anlæg, vil udledningen (g pr. ton affald) også variere, når udledningen
beregnes på baggrund af EU-grænseværdierne. I figuren er angivet den høje grænseværdi for et
anlæg, hvis mindst én af ovnlinjerne på anlægget har denne grænseværdi.
11
Visse anlæg er dog blevet tildelt lavere døgngrænser, på baggrund af anlæggenes BAT-
vurderinger.
27
MOF, Alm.del - 2020-21 - Bilag 585: Resultater fra benchmarking af affalds-forbrændings- og deponeringsanlæg for året 2017.
2398384_0028.png
Figur 20b: Udvikling i udledning af NOx (g pr. ton affald) (dedikerede affaldsforbrændingsanlæg),
2010-2017
1.200,0
1.000,0
800,0
g pr. ton affald
600,0
400,0
200,0
0,0
1
2
3
4
5
6
7
Generelt har udledningen af SO
2
fra affaldsforbrænding ligget under
grænseværdien i 2017. I perioden 2010 til 2016 steg udledningen af SO
2
pr. ton
affald med ca. 11 pct., men er fra 2016 til 2017 igen faldet. Dele af faldet skyldes
implementering af røggaskondensering hos nogle anlæg. I 2017 er udledning af
SO₂ således på sit laveste niveau for hele perioden. (se Figur 21b).
28
MOF, Alm.del - 2020-21 - Bilag 585: Resultater fra benchmarking af affalds-forbrændings- og deponeringsanlæg for året 2017.
2398384_0029.png
Figur 21a: Udledning af SO
2
, der måles kontinuerligt (g pr. ton affald) (dedikerede
affaldsforbrændingsanlæg), 2017
700
600
500
g pr. ton affald
400
300
200
100
0
1
2
3
4
5
6
7
SO₂
8
9 10 11 12 13 14 15 16 17 18 19 20 21 22 23
Grænseværdi pr. anlæg
Note: Grænseværdierne er fastsat af EU efter røggasmængde (g/Nm3). Da røggasmængden pr. ton
affald varierer fra anlæg til anlæg, vil udledningen (g pr. ton affald) også variere, når udledningen
beregnes på baggrund af EU-grænseværdierne.
Figur 21b: Udvikling i udledning af SO
2
(g pr. ton affald) (dedikerede affaldsforbrændingsanlæg),
2010-2017.
80
70
60
50
g. pr. ton affald
40
30
20
10
0
1
2
3
4
Årstal
5
6
7
8
Flere af de 23 dedikerede forbrændingsanlæg har haft overskridelser af vilkår for
døgnmiddelværdier i deres miljøgodkendelse. Der har siden 2013 været en tendens
29
MOF, Alm.del - 2020-21 - Bilag 585: Resultater fra benchmarking af affalds-forbrændings- og deponeringsanlæg for året 2017.
2398384_0030.png
til, at færre forbrændingsanlæg har ingen eller kun meget få overskridelser (1-2).
Der er fortsat enkelte anlæg, som har mange overskridelser, og især koncentreret
om overskridelser af CO, jf. Figur 22.
I 2017 var der 17 anlæg, der havde overskridelser af vilkår for døgnmiddelværdier,
hvilket er en stigning i forhold til 2016, hvor der var 13 anlæg med overskridelser af
vilkår for døgnmiddelværdier.
Figur 22: Antal enkeltoverskridelser af luftemissioner (dedikerede forbrændingsanlæg), 2017
60
50
Antal overskridelser
40
30
20
10
0
1
2
3
4
5
6
7
8
9 10 11 12 13 14 15 16 17 18 19 20 21 22 23
CO
Andre luftemissioner
30
MOF, Alm.del - 2020-21 - Bilag 585: Resultater fra benchmarking af affalds-forbrændings- og deponeringsanlæg for året 2017.
2398384_0031.png
Figur 23 viser det samlede antal enkeltoverskridelser af luftemissioner for perioden
2010 til 2017. Det ses, at antallet faldt fra 2010 til 2011. Antallet af overskridelser
har i 2016 og 2017 været næsten dobbelt så stort, som i perioden 2011 til 2015.
Figur 23: Samlede antal enkeltoverskridelser af luftemissioner (dedikerede forbrændingsanlæg),
2010-2017
700
600
500
400
300
200
100
0
2010
2011
2012
2013
2014
2015
2016
2017
Antal overskridelser
År
Figur 24 viser, hvilke vilkårsoverskridelser af døgnmiddelværdier anlæggene i øvrigt
har haft i 2017. Det har særligt været vilkårsoverskridelser for luftemissioner.
Figur 24: Vilkårsoverskridelser, 2017 (dedikerede forbrændingsanlæg)
8
7
6
5
4
3
2
1
0%
10%
20%
30%
Andel af anlæg
40%
50%
60%
.
31
MOF, Alm.del - 2020-21 - Bilag 585: Resultater fra benchmarking af affalds-forbrændings- og deponeringsanlæg for året 2017.
7
Om BEATE
Kriteriet for at indgå i BEATE (BEnchmarking Affaldsmodel Til Effektivisering) er, at
anlægget kan modtage affald efter kravene i direktivet om industrielle
emissioner/den danske forbrændingsbekendtgørelse. Følgende typer af anlæg er
blevet bedt om at indrapportere:
- Dedikerede forbrændingsanlæg, hvor mindst 80 pct. af den producerede energi
stammer fra affald.
- Øvrige anlæg, der forbrænder mere end 20.000 ton affald om året.
Energistyrelsen har stillet et spørgeskema i Excel format til rådighed for indsamling
af data. Dette spørgeskema er blevet valideret og kvalitetssikret af COWI før
udsendelse af spørgeskemaerne til dette års BEATE indsamling. Spørgeskemaet til
indsamling af data er stillet til rådighed af Energistyrelsen (i perioden 2007-2013
blev redskabet stillet til rådighed af Miljøstyrelsen).
COWI har samlet data for alle anlæg fra årene 2010-2017 i en Excel model, som er
blevet anvendt til at opstille figurer og behandle data. Kvalitetssikring af data er
blevet udført af COWI i samarbejde med Dansk Affaldsforening.
I BEATE indsamles de data, som fremgår af affaldsaktørbekendtgørelsen. De
indsamlede data gennemgår en kvalitetssikring. Dansk Affaldsforeningen har haft
adgang til data fra de anlæg, der er medlem af foreningen, og har bistået med
kvalitetssikringen af data. Anlæggene har igennem en årrække indberettet data i
denne form, og det er erfaringen, at benchmarkingen bliver stadig mere præcis. Det
er således indtrykket, at anlæggenes tal er blevet mere sammenlignelige i takt med,
at der er opbygget en praksis omkring benchmarking. Det kan imidlertid ikke
udelukkes, at der er enkelte datasæt, der ikke er opgjort på samme grundlag.
BEATE er en resultatbenchmarking, der beskriver de enkelte anlægs udvikling og
branchen som helhed i det enkelte år og over flere år. BEATE forklarer ikke
årsagerne til præstationerne for de enkelte anlæg og branchen. Ønsker man at
undersøge og forklare de mere specifikke grunde til en given udvikling, kan man
supplere med andre typer benchmarking, herunder matematiske modeller
(DEA/SFA) eller procesbenchmarking, hvor man analyserer og sammenligner
arbejdsprocesser. Ønsker man herudover at forklare, hvordan anlæggenes
forskellige rammevilkår eller ændringer i generelle rammebetingelser påvirker de
enkelte anlæg, vil dette forudsætte yderligere analyser.
32