Miljø- og Fødevareudvalget 2020-21
MOF Alm.del Bilag 444
Offentligt
2360061_0001.png
Bekæmpelsesmiddel-
statistik 2019
Behandlingshyppighed og
pesticidbelastning baseret
på salg og forbrug
Orientering fra Miljøsty-
relsen nr. 48
Marts 2021
MOF, Alm.del - 2020-21 - Bilag 444: Bekæmpelsesmiddelstatistik 2019, fra miljøministeren
Udgiver: Miljøstyrelsen
Redaktion: Miljøstyrelsen
ISBN: 978-87-7038-279-3
Miljøstyrelsen offentliggør rapporter og indlæg vedrørende forsknings- og udviklingsprojekter inden for miljøsektoren,
som er finansieret af Miljøstyrelsen. Det skal bemærkes, at en sådan offentliggørelse ikke nødvendigvis betyder, at
det pågældende indlæg giver udtryk for Miljøstyrelsens synspunkter. Offentliggørelsen betyder imidlertid, at Miljøsty-
relsen finder, at indholdet udgør et væsentligt indlæg i debatten omkring den danske miljøpolitik.
Må citeres med kildeangivelse.
2
Miljøstyrelsen / Bekæmpelsesmiddelstatistik 2019
MOF, Alm.del - 2020-21 - Bilag 444: Bekæmpelsesmiddelstatistik 2019, fra miljøministeren
Indhold
Forord
Statistikkens opbygning
Sammenfatning
1.
1.1
1.1.1
1.1.2
1.1.3
1.1.4
1.1.5
1.1.6
1.2
1.2.1
1.2.2
1.3
1.3.1
1.3.2
1.4
1.4.1
1.4.2
1.5
2.
3.
3.1
3.1.1
3.1.2
3.1.3
3.1.4
3.2
4.
4.1
4.2
5.
5.1
6.
6.1
6.1.1
6.2
Udvikling i nøgleparametre og konklusion
Mængder – Salg og forbrug af bekæmpelsesmidler
Solgte mængder for biocider
Solgte mængder for pesticider
Forbrug af pesticider (væsentligste årsag til forskelle mellem salg og forbrug)
Generel udvikling i salg og forbrug af pesticid-aktivstoffer
Udvikling i salg og forbrug af specifikke pesticid-aktivstoffer
Pesticid-aktivstoffernes miljøbelastning
Belastning - Pesticidbelastningsindikatoren (PBI)
PBI baseret på salgsdata
PBI baseret på forbrugsdata
Behandlingshyppighed
Behandlingshyppighed baseret på salgsdata
Behandlingshyppighed baseret på forbrugsdata
Belastningsindeks
Belastningsindeks baseret på salgsdata
Belastningsindeks baseret på forbrugsdata
Konklusioner
Begreber for pesticider
Salg af bekæmpelsesmidler
Antal godkendelsesindehavere og solgte mængder
Pesticider (Plantebeskyttelsesmidler)
Biocider
Salget af pesticider og biocider
Salgstal fordelt på anvendelsesgrupper
Bekæmpelsesmidlernes aktivstoffer
Landbrugets areal-anvendelse, vejrforhold og skadegørere
Arealanvendelse
Vækståret 2019
Repræsentativiteten af forbrugsdata baseret på sprøjtejournaldata
Om sprøjtejournalerne
Salg af pesticider til landbrugsafgrøder i 2019
Opdeling af pesticider på landbrug samt øvrige afgrøder og anvendelser
Bejdsemidler og pesticider solgt til øvrige anvendelser
Aktivstofmængde og miljøbelastning for pesticider solgt i 2019 opdelt på
anvendelsesgrupper
5
5
7
8
8
8
8
8
9
10
11
11
12
12
13
14
14
14
15
15
16
17
19
19
19
19
20
20
24
35
35
39
41
41
44
44
45
46
Miljøstyrelsen / Bekæmpelsesmiddelstatistik 2019
3
MOF, Alm.del - 2020-21 - Bilag 444: Bekæmpelsesmiddelstatistik 2019, fra miljøministeren
7.
7.1
7.2
7.3
7.3.1
7.3.2
7.3.3
7.3.4
7.4
7.5
7.6
8.
8.1
8.2
Landbrugets behandlings-hyppighed og pesticid-belastning 2010-2019
Indledning
Aktivstofmængder og behandlingshyppigheder
Pesticidbelastning
Samlet pesticidbelastning
Pesticidbelastningsindikator
Fladebelastning og dens fordeling på belastningsindikatorer
Fladebelastning fordelt på anvendelsesgrupper
Belastningsindeks
Afgiftens betydning for salget og forbruget af pesticider
Udvikling i nøgleparametre i forhold til referenceperiode og målsætning
Pesticidbelastning fordelt på hovedafgrøder
Behandlingshyppighed fordelt på hovedafgrøder og anvendelsesgrupper
Belastningsindeks beregnet for hovedafgrøder og anvendelsesgrupper
48
48
48
51
51
51
52
54
57
58
59
60
60
63
71
75
80
80
90
94
101
102
Bilag 1.Godkendelses-indehavere, der har indberettet salg for 2019
Bilag 2.Standarddoseringer (g aktivstof pr. ha)
Bilag 3.Solgte mængder aktivstof fordelt på anvendelser 2019
Bilag 3.1
Oversigt over solgte mængder af pesticider for 2010-2019.
Bilag 3.2
Oversigt over solgte mængder af biocider for 2010-2019.
Bilag 4.Solgte pesticider i 2019 og deres relative fordeling på hovedafgrøder
Bilag 5.Nøgletal for pesticider – salgsdata 2019
Bilag 6.Nøgletal for pesticider – forbrugsdata 2019
4
Miljøstyrelsen / Bekæmpelsesmiddelstatistik 2019
MOF, Alm.del - 2020-21 - Bilag 444: Bekæmpelsesmiddelstatistik 2019, fra miljøministeren
2360061_0005.png
Forord
Denne publikation indeholder en statistik over salget af bekæmpelsesmidler, den årlige bereg-
ning af landbrugets behandlingshyppighed og en opgørelse af pesticidbelastningen for 2019.
Samtidig suppleres salgsstatistikken med en forbrugsstatistik baseret på de elektronisk indbe-
rettede oplysninger fra sprøjtejournaler, der hvert år (siden 2011) indsamles af Miljøministeriet
(tidl. Miljø- og Fødevareministeriet)
1
. Efter udgivelsen af bekæmpelsesmiddelstatistikken for
2010 udgav Miljøstyrelsen en særskilt rapport om belastningen af miljø og sundhed som følge
af pesticidanvendelsen (salget) ”Pesticidbelastningen fra jordbruget 2007-2010”
2
. I den rapport
beskrives baggrunden for og metoderne til at beregne parametrene pesticidbelastningsindika-
tor, fladebelastning og belastningsindeks. Metoden for beregning af belastningen blev efterføl-
gende justeret i forbindelse med den endelige vedtagelse af pesticidafgiftsloven (Lov nr. 594
af 18/6/2012)
3
.
Pesticidbelastningsindikatoren (PBI) giver et mål for den potentielle samlede belastning af
sundhed og miljø ud fra en række data vedrørende pesticidernes miljø- og sundhedsmæssige
egenskaber. Sammen med behandlingshyppigheden viser pesticidbelastningsindikatoren pe-
sticidernes belastning for hele landet.
Baggrunden for udvikling af en pesticidbelastningsindikator var et ønske om at ændre pesticid-
afgiften fra en værdiafgift til en differentieret afgift, der var baseret på pesticidernes egenska-
ber og belastning. Pesticidbelastningsindikatoren (PBI) anvendes til at måle effekten af om-
lægningen af pesticidafgiften i 2013.
Dertil kommer, at det fremgår af Pesticidstrategi 2017-2021, at den overordnede politiske mål-
sætning er, at pesticidbelastningen (PBI) maximalt må udgøre 1,96.
Statistikkens opbygning
Den første del af Bekæmpelsesmiddelstatistikken er baseret på salgstal, der er meddelt til Mil-
jøstyrelsen af de godkendelsesindehavere, der sælger bekæmpelsesmidler i Danmark. En li-
ste over de godkendelsesindehavere, der har indberettet salg til Miljøstyrelsen for 2019, findes
i Bilag 1. Salgstallene omfatter både pesticider og biocider, og den samlede statistik for disse
præsenteres i den første del af rapporten (Kapitel 3) samt i Bilag 3.
I den efterfølgende del af rapporten fokuseres der på landbrugets anvendelse af pesticider på
omdriftsarealer, beregning af den tidligere målindikator, behandlingshyppigheden, samt pesti-
cidbelastningsindikatoren PBI, der blev indført med Sprøjtemiddelstrategi 2013-2016. Behand-
lingshyppigheden beskriver, hvor mange gange det samlede landbrugsareal i gennemsnit ville
kunne behandles med pesticiderne, hvis de blev udbragt i en standarddosering.
Beregning af pesticidbelastningen og behandlingshyppighed, og særligt fordelingen af pesticid-
forbruget på landbrugets hovedafgrøder (kapitel 4), har de seneste år primært været baseret på
ekspertskøn understøttet af forbrugsdata fra indberettede data fra sprøjtejournalerne. I takt med,
at indberetningerne af data fra sprøjtejournalerne har fået en større dækningsgrad og en højere
kvalitet, er det nu primært forbrugstallenes fordeling på hovedafgrøder, og i mindre grad ek-
spertskøn, der lægges til grund for fordelingen af de solgte mængder på hovedafgrøder. Hvor
der oprindeligt blev sat lighedstegn mellem salg og forbrug, har indsamling af sprøjtejournaldata
1
2
3
De oplysninger, der er indberettet, er det samlede forbrug af pesticider, opgjort på afgrødeniveau.
http://www.mst.dk/Publikationer/Publikationer/2012/januar/978-87-92779-75-5.pdf.htm
https://www.retsinformation.dk/Forms/R0710.aspx?id=142470
Miljøstyrelsen / Bekæmpelsesmiddelstatistik 2019
5
MOF, Alm.del - 2020-21 - Bilag 444: Bekæmpelsesmiddelstatistik 2019, fra miljøministeren
2360061_0006.png
gjort det muligt at opgøre både kalenderårets solgte mængder, baseret på salgstal, og høstårets
(1. august til 31. juli) forbrugte mængder, baseret på sprøjtejournaldata. Data fra sprøjtejourna-
lerne sammenholdes med salgstal i den sidste del af rapporten (kapitel 7 og 8).
Datagrundlaget for beregning af parametrene i statistikken bliver ændret løbende, når pestici-
derne bliver revurderet, og når grundlaget for arealdata forbedres. Siden omlægningen af af-
giften er der sket en ændring i, hvordan midlerne klassificeres. Nu sker klassificeringen i hen-
hold til CLP
4
forordningen. Omklassificeringen har bevirket, at især ukrudtsmidlernes nu har
en højere belastning. Dette ændrer dog ikke på de beregnede samlede belastninger for de tid-
ligere år. Ændringer i den opgjorte belastning ift. tidligere år kan således både skyldes revur-
dering af produkterne samt et ændret salg eller forbrug.
Vurderingen af anvendelsesmønstre for de enkelte midler er foretaget af Institut for Agroøkologi,
Aarhus Universitet (AGRO) (bilag 4). AGRO har desuden beskrevet forekomsten af de væsent-
ligste skadevoldere i vækståret 2019. De har ligeledes bidraget med en faglig vurdering af ud-
viklingen i belastningen fra forbruget af pesticider fra 2017 til 2019. Miljøstyrelsen har udarbejdet
øvrige dele af rapporten.
4
CLP-forordningen, EF nr. 1272/2008 http://eur-lex.europa.eu/LexUriServ/LexUri-
Serv.do?uri=CONSLEG:2008R1272:20110419:DA:PDF , der er baseret på det globale GHS system
(Globally Harmonised System of Classification and Labelling of Chemicals) under FN.
6
Miljøstyrelsen / Bekæmpelsesmiddelstatistik 2019
MOF, Alm.del - 2020-21 - Bilag 444: Bekæmpelsesmiddelstatistik 2019, fra miljøministeren
Sammenfatning
Rapporten omfatter bekæmpelsesmiddelstatistikken, der dels er baseret på salgstal for bioci-
der og pesticider for kalenderåret 2019, dels baseret på landbrugets pesticidforbrug indrappor-
teret for perioden 1. august 2018 til 31. juli 2019. Såvel salgstal som forbrugstal er sat i rela-
tion til data fra tidligere år.
Bekæmpelsesmiddelstatistikken for 2019 viser, at belastningen fra landbrugets pesticidanven-
delse er faldet med 52 procent i forhold til det beregnede niveau i 2011 baseret på salgstal,
svarende til en pesticidbelastning på 1,57. Af Pesticidstrategi 2017-2021 fremgår det, at mål-
sætningen for pesticidbelastning er, at pesticidbelastningsindikatorer (PBI) maximalt må ud-
gøre 1,96. Med en aktuel pesticidbelastningsindikator på 1,69 er målsætningen dermed opfyldt
i 2019.
Pesticidbelastningsindikatoren, målt på forbrugstal, er faldet fra 2,94 i 2010/11 til 1,76 PBI i
2018/19 svarende til et fald på 40 procent. Pesticidbelastningsindikatoren for 2018/19 ligger 22
procent højere end i 2017/18, hvor PBI lå meget lavt, da vækståret 2018 i lange perioder var
domineret af varme og tørke.
Effekten af hamstringen i 2012 og 2013 er væsentligt aftaget, og de tidligere meget iøjefal-
dende forskelle mellem salg og forbrug er væsentligt reduceret. Belastningen fra salg af pesti-
cider er lavere end før 2013, og den samlede belastning fra salget af pesticider ser ud til at
have stabiliseret sig på det lavere niveau. Salget at pesticider i 2019 kan dog være påvirket af
tørken i 2018. Det skyldes, at en del pesticider kan være indkøbt inden tørken i sommeren
2018 og således fortsat have stået på hylderne hos forhandlerne eller jordbrugeren i 2019.
Dette kan have reduceret salget i 2019. Belastningen fra forbruget af pesticider er faldet efter-
hånden, som lagrene af de hamstrede pesticider med høj belastning er reduceret. Substitutio-
nen fra mere belastende til mindre belastende midler ser derfor ud til at være slået igennem på
forbruget også.
Miljøstyrelsen / Bekæmpelsesmiddelstatistik 2019
7
MOF, Alm.del - 2020-21 - Bilag 444: Bekæmpelsesmiddelstatistik 2019, fra miljøministeren
1. Udvikling i nøgleparametre
og konklusion
Rapporten omfatter bekæmpelsesmiddelstatistikken baseret på salgstal for kalenderåret 2019
samt pesticidstatistik over forbruget i perioden 1. august 2018 til 31. juli 2019 baseret på jord-
brugernes sprøjtejournalindberetninger til Miljø- og Fødevareministeriet (nu Miljøministeriet).
Disse er sat i relation til data fra tidligere år.
Bekæmpelsesmiddelstatistikken beskriver udviklingen i fire nøgleparametre:
Mængder
Belastning
Behandlingshyppighed
Belastningsindeks
1.1
Mængder – Salg og forbrug af bekæmpelsesmidler
Det samlede salg af bekæmpelsesmidler i 2019 var på 11.240 tons, heraf udgjorde aktivstof-
ferne 2.797 tons.
1.1.1
Solgte mængder for biocider
Salget af godkendelsespligtige biocider udgjorde 3.293 tons midler, hvoraf 133 tons var aktiv-
stoffer, hvilket er et fald på 25 procent i forhold til 2018. Faldet i salget af aktivstoffer skyldes
hovedsageligt et ophør i salget af aktivstoffet basisk kobber(II)carbonat. Salget af basisk kob-
ber(II)carbonat, der anvendes til træbeskyttelse, har været meget svingende fra 2015 til 2018,
for i 2019 slet ikke at have været solgt. I stedet ses der for første gang et salg af aktivstoffet
kobber, der også anvendes til træbeskyttelse, men som ikke er solgt i samme mængde som
kobber(II)carbonat tidligere blev solgt i. For saltsyre, der er godkendt til anvendelse i toiletrens
med desinficerende egenskaber, er salget fortsat faldende for 2019. Dette har været tilfældet
siden det kom på markedet i 2016, hvor det bidrog til en stigning i det samlede salg af bioci-
der.
1.1.2
Solgte mængder for pesticider
Salget af pesticider udgjorde størstedelen af det samlede salg af bekæmpelsesmidler og var i
2019 på 7.947 tons, hvoraf aktivstofferne udgjorde 2.664 tons. Salget af aktivstoffer er således
på samme niveau som i 2018, hvor salget af aktivstoffer til pesticider var på 2.650 tons. Salget
toppede i 2012, da der blev købt til lager inden den ny afgift blev indført i juli 2013. Siden 2015
har salget generelt ligget på et stabilt niveau. For nogle midler vurderes det, at der fortsat er
lagre, men der er indikation på, at disse lagre generelt er ved at være opbrugt.
1.1.3
Forbrug af pesticider (væsentligste årsag til forskelle mellem
salg og forbrug)
Landmænd, gartnere og andre jordbrugere har hvert år siden 2011 været forpligtet til at indbe-
rette den mængde pesticider, de anvender. Disse indberetninger udgør de såkaldte forbrugs-
data. Forbrugs- og salgsdata kan dog ikke sammenlignes direkte af flere årsager.
De tre væsentligste årsager til forskellene i forbrugs- og salgsdata samt måden at korrigere for
forskellene er følgende:
Forbrugsdata dækker primært anvendelsen af pesticider på markerne. Salgsdata derimod
omfatter pesticider solgt til alle anvendelser, inkl. bejdsemidler til såsæd anvendt i Danmark
8
Miljøstyrelsen / Bekæmpelsesmiddelstatistik 2019
MOF, Alm.del - 2020-21 - Bilag 444: Bekæmpelsesmiddelstatistik 2019, fra miljøministeren
og til eksport. For at sammenligne de to datasæt benyttes den antagede fordeling af salg på
hovedafgrøder som angivet i Bilag 4. Dette gælder dog ikke Kapitel 3 og Bilag 3, der om-
handler det samlede salg uafhængigt af fordeling på hovedafgrøder.
Forbrugsdata følger planperioden (høstsæsonen) fra 1. august til 31. juli. Salgstallene der-
imod følger regnskabsåret fra nytår til nytår. Som korrektion for forskellig periodeafgræns-
ning, samt forskydning i salg og forbrug, bør forbrugsdata sammenlignes med salgsdata for
flere foregående kalenderår.
Forbrugsdata indberettes ikke for det fulde areal, idet visse mindre bedrifter ikke har pligt til
at indberette deres pesticidforbrug (se afsnit 5.1). Forbrugs- og salgsdata bør derfor sam-
menlignes på arealkorrigerede, relative parametre som f.eks. behandlingshyppighed, flade-
belastning og PBI.
Salgsdata blev tidligere anvendt som et direkte mål for forbruget ud fra en forventning om, at
årets salg af pesticider blev forbrugt i samme planperiode. Data her i rapporten viser dog, at
salg og forbrug i de enkelte år kan være ret forskellige.
1.1.4
Generel udvikling i salg og forbrug af pesticid-aktivstoffer
Af Tabel 1.1 ses det, at den samlede aktivstofmængde for de enkelte år er svingende for både
salgs- og forbrugsdata. For salgsdata skyldes det primært indkøb til lager, mens det for for-
brugsdata blandt andet skyldes vejrforhold og afgrødevalg, samt at arealet ændrer sig for
hvert år – jo større areal, der indberettes sprøjtninger for, jo større forbrug af aktivstoffer. Ud-
viklingen i andelen af sprøjtejournalindberetninger fremgår af Tabel 5-1. Tabel 1.1 omfatter
også aktivstofmængden fordelt på arealet i kg pr. ha. Her ser man, at salgsdata toppede i
2012, dykkede til det laveste niveau i 2014, herefter har det svinget mellem årene og ligger for
2019 på 1,20 mio. kg, hvilket er en lille stigning i forhold til 2017 og 2018, hvor det lå på 1,17.
Forbrugsdata har ikke de samme udsving i mængde aktivstof, når de korrigeres for antal ha,
men varierer lidt henover årene. Siden 2013/14 har forbruget af aktivstoffer årligt været let fal-
dende. For 2017/18 var der dog et betydeligt fald i aktivstofforbruget. For 2018/19 ses en stig-
ning i forhold til 2017/18, men sammenlignet med perioden fra 2013/14 til 2016/17 er der for-
sat en faldende tendens.
De store udsving i salgsdata skyldes hovedsageligt varierende lageropbygning. Særligt i for-
bindelse med omlægning af pesticidafgiften skete der en lageropbygning. Omlægningen af af-
giften blev varslet flere år før, men blev først efter lovens vedtagelse i 2012 implementeret i juli
2013. Formodentligt blev der i 2012 og i første del af 2013 indkøbt en del midler med gammel
afgift med henblik på senere anvendelse. For forbrugsdata skal det relativt store fald i planåret
2017/18, ses i relation til de varme og tørre vejrforhold, der påvirkede landbruget dette planår.
Miljøstyrelsen / Bekæmpelsesmiddelstatistik 2019
9
MOF, Alm.del - 2020-21 - Bilag 444: Bekæmpelsesmiddelstatistik 2019, fra miljøministeren
2360061_0010.png
TABEL 1-1
Aktivstofmængde solgt og forbrugt for årene 2010-2019. Baseret på salgstal og
forbrugstal for omdriftsarealer.
Salgstal
Årstal
2010
2011
2012
2013
2014
2015
2016
2017
2018
2019
Areal Mio. ha
I alt
2,2
2,2
2,2
2,2
2,2
2,2
2,2
2,1
2,1
2,0
Aktivstofmængde (mio. kg)
I alt
3,90
4,33
5,71
3,96
1,67
2,39
2,20
2,47
2,41
2,45
Aktivstofmængde fordelt på arealet (kg pr. ha)
I alt
1,76
1,93
2,59
1,80
0,76
1,10
1,02
1,17
1,17
1,20
Forbrugstal
Planår
-
10-11
11-12
12-13
13-14
14-15
15-16
16-17
17-18
18-19
Areal Mio. ha
I alt
-
1,4
1,9
1,9
1,9
2,2
2,0
2,0
2,0
1,9
Aktivstofmængde (mio. kg)
I alt
-
1,90
2,29
2,13
2,24
2,44
2,21
2,17
1,48
1
2,05
Aktivstofmængde fordelt på arealet (kg pr. ha)
I alt
1)
-
1,09
1,16
1,06
1,15
1,13
1,11
1,10
0,75
1
1,07
Data er genberegnet pga. fejl i Bekæmpelsesmiddelstatistik 2018.
1.1.5
Udvikling i salg og forbrug af specifikke pesticid-aktivstoffer
Insektmidler blev særligt købt til lager frem mod indførelsen af den differentierede pesticidaf-
gift, da der var en forventning om, at afgiften for netop denne gruppe af midler ville stige mar-
kant. Dette ses tydeligt for aktivstoffet cypermethrin, der fortsat er godkendt til salg i Danmark.
Der blev solgt relativt store mængder frem til 2013, men for pesticider med dette aktivstof, til
brug på friland, har der ikke været salg siden 2013 (se Bilag 3.1). For cypermethrin viste en
sammenligning af salgs- og forbrugsdata i forbindelse med evalueringen af pesticidafgiften
5
,
baseret på data frem til 2016, at der fortsat var lagre hos landmændene. Dette resultat bliver
for planåret 2018/19 fortsat understøttet af, at der stadig indkommer indberetninger om forbrug
af cypermethrin, hvilket tyder på at der stadig er lagre af produkter med cypermethrin. De ind-
komne indberetninger for brug af cypermethrin er de sidste par år dog faldet væsentligt i for-
hold til årene lige efter afgiftsomlægningen. Dette kan indikere, at lagrene med insektmidler er
ved at være tømt. For midler med metamitron (herbicid), hvor der fra 2014 til 2017 var et lille
salg i forhold til 2012 og 2013, kunne der for 2018 og 2019 ses en betydelig stigning i salget i
forhold til perioden fra 2014 til 2017. Dette kunne ligeledes tyde på, at lagrene er ved at være
opbrugt for dette aktivstof.
For glyphosat blev det i evalueringen af pesticidafgiften vurderet, at forskellen på salg og forbrug
ikke udelukkende skyldes effekter af hamstring, men at der også kan være tale om manglende
indberetning af forbruget. Det skyldes, at en stor del af glyphosatforbruget foregår i perioden
mellem to afgrøder og indrapporteres måske ikke. Erhvervet er opmærksom på denne problem-
stilling.
Hamstring i 2013 er ikke den eneste årsag til forskelle i salgs- og forbrugsdata. En anden
grund kan være, at godkendelsen for samtlige produkter med et givent aktivstof kan ophøre
samtidig. Disse produkter må typisk sælges i 6 måneder og herefter anvendes yderligere 12
måneder. Et eksempel på dette er godkendelserne for produkterne med aktivstoffet
5
https://www2.mst.dk/Udgiv/publikationer/2018/05/978-87-93710-28-3.pdf
10
Miljøstyrelsen / Bekæmpelsesmiddelstatistik 2019
MOF, Alm.del - 2020-21 - Bilag 444: Bekæmpelsesmiddelstatistik 2019, fra miljøministeren
picoxystrobin, der allersenest ophørte i oktober 2017, da aktivstoffet ikke længere var god-
kendt i EU. Picoxystrobin-produkter måtte anvendes til slutningen af november 2018. Den
solgte mængde af picoxystrobin er derfor lav i 2017, og der er intet salg i 2018, mens aktivstof-
fet fortsat har været anvendt lovligt frem til og med planperioden 2017/18. Ligeledes ses det
for aktivstoffet thiram (bejdse). Her er salget steget for 2017 og 2018 frem til, at det udløb i ja-
nuar 2019, men stadig måtte anvendes frem til januar 2020.
En tredje årsag til udsving i salgsdata kan være, at landmanden pga. pakningsstørrelser, tilbud
eller andre markedsmæssige forhold indkøber en større mængde, end der kan bruges på et
år. Dette ser ud til at have været tilfældet for produkter med aktivstofferne epoxiconazol og
boscalid, hvor salget har svinget meget fra år til år.
1.1.6
Pesticid-aktivstoffernes miljøbelastning
Den samlede mængde aktivstoffer viser ikke i sig selv noget om, hvor belastende stofferne er
for miljø og sundhed. Miljøbelastningen kan derimod beregnes direkte ud fra de solgte mæng-
der af specifikke aktivstoffer. Den samlede belastning, som inkluderer sundhedsbelastningen,
kan derimod kun beregnes på produktniveau. Det skyldes, at klassificeringen af produkterne
er afgørende for sundhedsbelastningen.
Aktivstoffernes miljøbelastning i et givent år afhænger både af, hvor belastende stoffet er, men
også af, hvor store mængder af stoffet, der er solgt. Tabel 6.2 viser de 10 aktivstoffer, der teg-
ner sig for den største andel af summen af miljøadfærds- og miljøeffektbelastningen i 2019 for
midler solgt til anvendelse af professionelle på friland i landbruget. Her fremgår det, at 67 pro-
cent af den samlede miljøbelastning stammer fra 10 aktivstoffer i 2019 (se Tabel 6.2). Aktiv-
stoffet lambda-cyhalothrin ligger i toppen med 16,7 procent af den samlede miljøbelastning.
Glyphosat ligger på en andenplads med 9,9 procent af den samlede miljøbelastning. Der kan
være forskellige årsager til, at stoffer placerer sig øverst på listen. For glyphosat gælder det, at
stoffet tegner sig for 46,3 procent af det samlede aktivstofsalg mængdemæssigt og dermed
ender højt oppe på listen til trods for en relativ lav miljøbelastning pr. kg. Lambda-cyhalothrin
derimod udgør kun 0,1 procent af den samlede solgte mængde aktivstof, men har til gengæld
en relativ høj belastning pr. kg.
1.2
Belastning - Pesticidbelastningsindikatoren (PBI)
Den samlede miljø- og sundhedsbelastning kan beregnes for hvert produkt. Dette gøres ved at
gange produktets belastning (B pr. kg eller liter) med mængden. Belastningen for alle produk-
terne lægges sammen. PBI beregnes ved at dividere landbrugets samlede, årlige pesticidbe-
lastning med det samlede, konventionelt dyrkede landbrugsareal i 2007. PBI viser derfor ud-
viklingen i landbrugets samlede belastning uafhængigt af ændringer i det dyrkede areal. PBI
beregnes både for salgstal og forbrugstal.
PBI indgår i målsætningen for Pesticidstrategi 2017-2021. Strategien er Danmarks nationale
handlingsplan for bæredygtig anvendelse af pesticider og afløste Sprøjtemiddelstrategi 2013-
2016. I Sprøjtemiddelstrategi 2013-2016 var reduktionsmålet for pesticidanvendelsen, at PBI
baseret på salgstal skulle være faldet 40 procent i 2015 i forhold til det beregnede niveau i
2011, svarende til en pesticidbelastning på 1,96. I Pesticidstrategi 2017-2021 er der fastsat en
målsætning om en pesticidbelastning (PBI) på 1,96 (baseret på salgstal).
Miljøstyrelsen / Bekæmpelsesmiddelstatistik 2019
11
MOF, Alm.del - 2020-21 - Bilag 444: Bekæmpelsesmiddelstatistik 2019, fra miljøministeren
2360061_0012.png
TABEL 1-2
Pesticidbelastningsindikatoren (PBI) for årene 2010-2019. Baseret på salgstal og
forbrugstal for omdriftsarealer.
Pesticidbelastningsindikatoren (PBI)
Salgstal
Årstal
2010
2011
2012
2013
2014
2015
2016
2017
2018
PBI
3,39
3,02
5,00
3,55
1,47
1,95
1,40
1,69
1,69
2010-11
2011-12
2012-13
2013-14
2014-15
2015-16
2016-17
2017-18
2,94
2,44
2,27
2,41
2,11
2,17
2,14
1,44
1
Forbrugstal
Planperiode
PBI
2019
1,57
2018-19
1,76
1) Data er genberegnet pga. fejl i Bekæmpelsesmiddelstatistik 2018.
1.2.1
PBI baseret på salgsdata
PBI beregnet ud fra salgstal toppede i 2012 med en PBI på 5,0, men er reduceret til 1,57 i
2019 (Tabel 1.2 og Figur 1.1). PBI i 2019 ligger på 1,57, hvilket er 52 procent lavere ift. det
genberegnede niveau i 2011
6
. Pesticidstrategiens målsætning er dermed stadig opfyldt, og er
faldet med 7 procent i forhold til niveauet i 2017 og 2018.
Fra 2014 til 2019 har PBI baseret på salgstal varieret mellem 1,40 og 1,95. Udsving i belast-
ningen i perioden har i høj grad været påvirket af et varierende salg af svampemidler med ak-
tivstofferne epoxiconazol og boscalid.
1.2.2
PBI baseret på forbrugsdata
PBI baseret på forbrugstal var højest i planperioden 2010/11, hvor PBI var på 2,94. Frem til
2014/15 faldt PBI og lå i 2014/15 på 2,11. PBI lå stabilt i perioden fra 2015/16 til 2016/17 med
et gennemsnit på 2,14, men for planåret 2017/18 faldt PBI til et markant lavere niveau, hvor
det lå på det laveste niveau nogensinde pga. den tørre sommer (Tabel 1.2 og Figur 1.1). For
2018/19 er PBI 1,76. Det svarer til et fald, målt på forbrugstal, på 40 procent ift. 2010/11. PBI
for 2018/19 ligger 22 procent højere end i 2017/18 men stadig på et niveau, der er 18 procent
lavere end for 2016/17. Den lave PBI for 2018/19 hænger sammen med, at der er anvendt
mindre mængde af en række aktivstoffer med høj belastning i dette planår sammenlignet med
planåret 2016/17. Dermed kan det konkluderes, at det lavere niveau for PBI i 2018/19 ikke kan
kobles til et lavere pesticidforbrug, som det var tilfældet for 2017/18, men derimod skyldes an-
vendelse af midler med lavere belastning.
PBI for forbrugstal var i 2018 for første gang siden 2013 lavere end PBI for salgstal. Forbruget
var lavt pga. tørken, mens salget ikke var tilsvarende lavt. Dette skyldes, at salget af pesticider
skete før tørken ramte landbruget i 2018. En del af de pesticider, der blev solgt i 2018, kan så-
ledes fortsat have stået på hylderne hos forhandlerne eller landmanden i 2019, hvilket dermed
kan have medvirket til et lavere salg i 2019. Det er desuden vigtigt at holde sig for øje, at de to
6
PBI for 2011 blev genberegnet til 3,27 for salgsdata i forbindelse med udarbejdelse af sprøjtemiddelstra-
tegi 2013-2016. Da der ved ikrafttrædelse af afgiften 1.7.2013 blev fastsat nye afgifter (belastningstal) for
de enkelte midler, så blev PBI efterfølgende opdateret til 3,0.
12
Miljøstyrelsen / Bekæmpelsesmiddelstatistik 2019
MOF, Alm.del - 2020-21 - Bilag 444: Bekæmpelsesmiddelstatistik 2019, fra miljøministeren
2360061_0013.png
datasæt for salg og forbrug er forskudt i tid. Dette kan også medføre, at der fortsat står midler
på hylderne, som først er tiltænkt til anvendelse i en senere planperiode.
I forhold til tidligere år har PBI baseret på salgsdata og forbrugsdata nærmet sig hinanden i
2018 og 2019. Det skyldes, at PBI for forbrugstal er faldet i forhold til perioden før 2018, mens
PBI for salgsstal har været stort set uændret de sidste tre år
Det skal yderligere bemærkes, at PBI baseret på forbrugsdata kan være lidt lavere end det
faktiske forbrug. Denne situation opstår, hvis landmanden ikke får indberettet hele det reelle
pesticidforbrug, der har været på bedriften.
6,00
Pesticidbelastningsindikator (PBI)
5,00
4,00
3,00
2,00
1,00
0,00
2017-18*
2010-11
2011-12
2012-13
2013-14
2014-15
2015-16
2016-17
2018-19
2010
2011
2012
2013
2014
2015
2016
2017
2018
2019
Salgsdata
Forbrugsdata
FIGUR 1.1
Udviklingen i PBI 2010-2019. Baseret på salgstal og forbrugstal for omdriftsarealer:
*Data er genberegnet pga. fejl i Bekæmpelsesmiddelstatistik 2018.
1.3
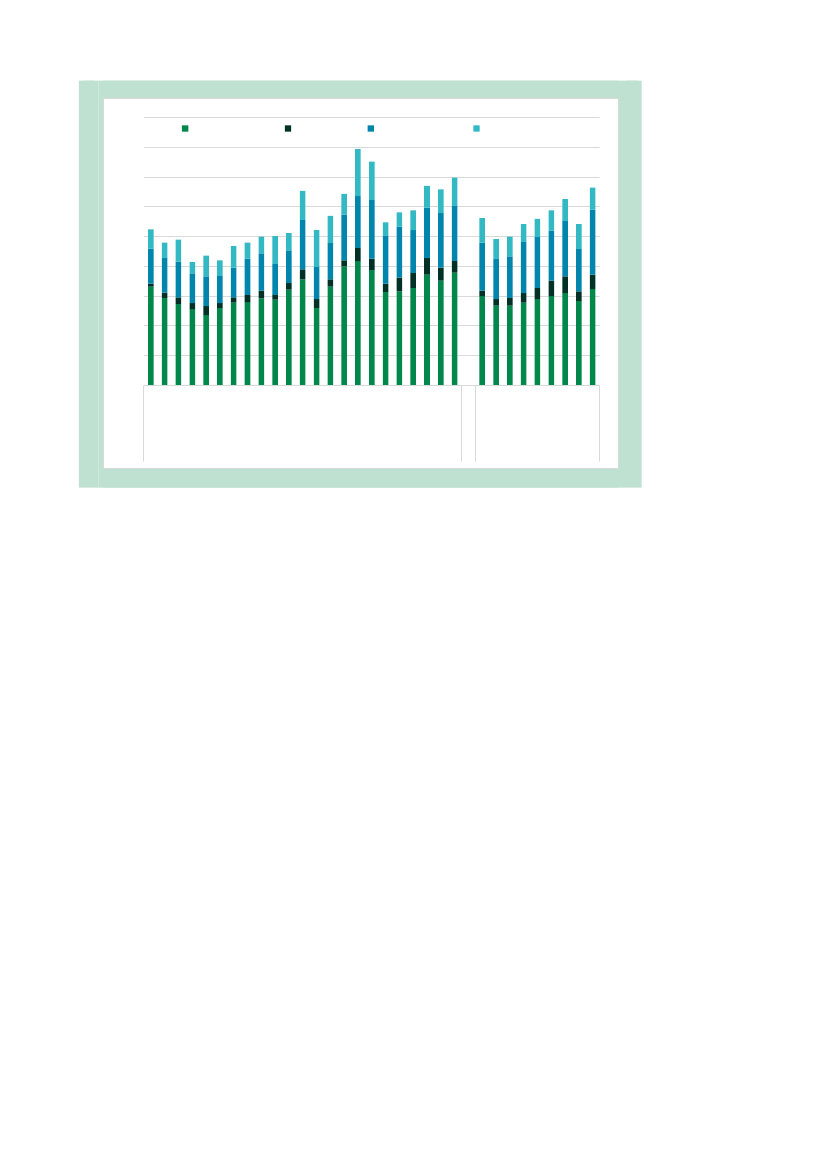
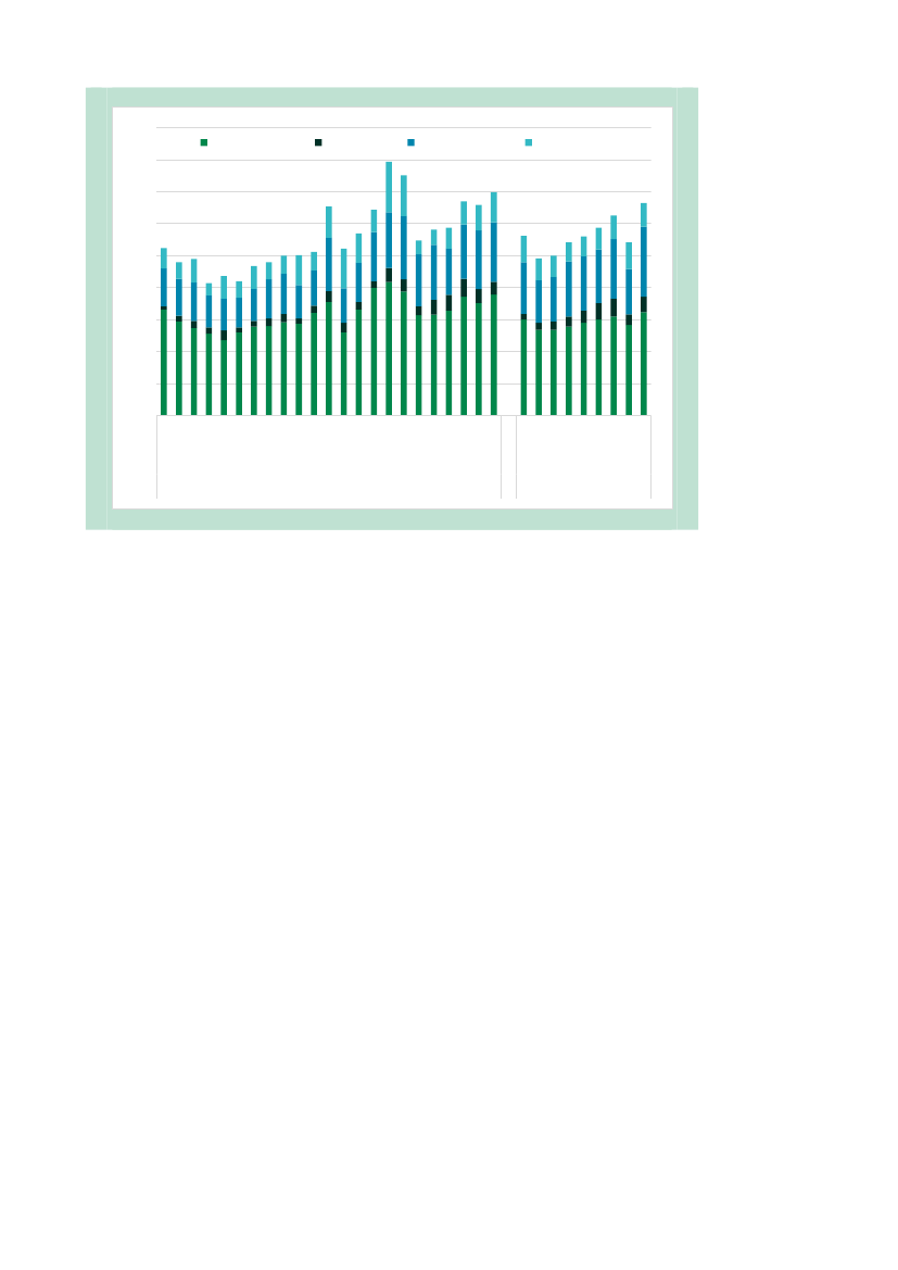
Behandlingshyppighed
Behandlingshyppigheden (BH) angiver det antal gange, det konventionelt dyrkede landbrugs-
areal i gennemsnit kan sprøjtes med den solgte mængde pesticider udbragt i standarddoserin-
ger (BI). Begrebet "behandlingshyppighed” blev introduceret for mere end 25 år siden og er
gennem mere end 20 år blevet publiceret af Miljøstyrelsen sammen med den årlige bekæm-
pelsesmiddelstatistik. figur 1.2 viser udviklingen i behandlingshyppigheden gennem årene.
Miljøstyrelsen / Bekæmpelsesmiddelstatistik 2019
13
MOF, Alm.del - 2020-21 - Bilag 444: Bekæmpelsesmiddelstatistik 2019, fra miljøministeren
2360061_0014.png
4,50
Ukrudtsmidler
4,00
3,50
3,00
2,50
2,00
1,50
1,00
0,50
0,00
2010/11
2011/12
2012/13
2013/14
2014/15
2015/16
2016/17
2017/18
2018/19
Forbrugsdata
1997
1998
1999
2000
2001
2002
2003
2004
2005
2006
2007
2008
2009
2010
2011
2012
2013
2014
2015
2016
2017
2018
2019
Salgstal
Vækstreg.
Svampemidler
Insektmidler
FIGUR 1.2.
Udviklingen i behandlingshyppigheden fordelt på anvendelsesgrupper beregnet ud
fra salgstal (1997-2019) samt forbrugsdata (for planperioderne 2010/11 til 2018/19). Baseret
på omdriftsarealer.
1.3.1
Behandlingshyppighed baseret på salgsdata
Behandlingshyppigheden baseret på salgsdata ses til venstre i Figur 1.2. Behandlingshyppig-
heden var lavest i 2000 og steg derefter jævnt fra 2000 til 2009. En undtagelse er 2008, hvor
behandlingshyppigheden forbigående steg kraftigere end i resten af perioden. Den kraftige
stigning i salget i 2008 kan tolkes som en følge af kraftigt stigende kornpriser i 2007 og for-
ventninger om en forestående mangel på pesticider i 2008.
Fra 2009 til med 2012 steg behandlingshyppigheden kraftigt, efterfulgt af et mindre fald til
2013. Denne stigning skyldes formodentlig, at der blev indkøbt pesticider til lager i forbindelse
med den nye pesticidafgift, der trådte i kraft 1. juli 2013. Behandlingshyppigheden for salgs-
data faldt 27 procent fra 2013 til 2014. Fra 2014 til 2019 har behandlingshyppigheden overord-
net været stigende gennem perioden. At behandlingshyppigheden for de solgte midler fortsat
kan stige, samtidig med, at pesticidbelastningen har været mere stabil, kan forklares med, at
pesticidafgiften samt den løbende udfasning af de mest belastende midler har medført, at de
solgte midler er stadig mindre belastende pr. standarddosering (BI).
1.3.2
Behandlingshyppighed baseret på forbrugsdata
Behandlingshyppigheden baseret på forbrugsstal ses til højre i Figur 1.2. Her ses overordnet
en jævnt stigende tendens fra planperioden 2011/12 til planperioden 2018/19, hvor behand-
lingshyppigheden for 2018/19 er på det højeste niveau nogensinde. For 2017/18 bemærkes
dog, at behandlingshyppigheden faldt markant for dette ene planår. Dette vurderes at være en
konsekvens af de varme og tørre vejrforhold i vækståret 2018.
1.4
Belastningsindeks
Belastningsindekset siger noget om, hvor belastende de enkelte sprøjtninger er. Indekset kan
således bruges til at vurdere, om de mere belastende midler substitueres med de mindre bela-
stende midler. Belastningsindekset beregnes ved at dividere fladebelastningen (B pr. ha) med
14
Miljøstyrelsen / Bekæmpelsesmiddelstatistik 2019
MOF, Alm.del - 2020-21 - Bilag 444: Bekæmpelsesmiddelstatistik 2019, fra miljøministeren
2360061_0015.png
behandlingshyppigheden (BI pr. ha). Derved fås en betegnelse for belastningen af en stan-
dardbehandling (B pr. BI). Belastningsindekset vil halveres, hvis et belastende middel udskif-
tes med et halvt så belastende middel forudsat en i øvrigt uændret behandlingshyppighed.
3,00
Ukrudtsmidler
2,50
Vækstregulering
Svampemidler
Insektmidler
2,00
1,50
1,00
0,50
0,00
10-11
11-12
12-13
13-14
14-15
15-16
16-17
17-18*
18-19
2010
2011
2012
2013
2014
2015
2016
2017
2018
2019
Salgstal
Forbrugsdata
FIGUR 1.3.
Belastningsindeks (B pr.BI) 2010-2019 fordelt på anvendelsesgrupper. Baseret på
salgstal og forbrugsdata. *Data er genberegnet pga. fejl i Bekæmpelsesmiddelstatistik 2018.
1.4.1
Belastningsindeks baseret på salgsdata
Insektmidler var den gruppe, der indtil 2013 havde det højeste belastningsindeks. Dette æn-
drede sig fra 2014, hvor det frem til og med 2017 i stedet var svampemidlerne, der havde det
højeste belastningsindeks (se Figur 1.3). For 2018 og 2019 er det svampemidlerne og insekt-
midlerne, der har det højeste belastningsindeks. Belastningsindekset for solgte insektmidler
faldt i 2011 for derefter at stige igen. Det høje niveau for solgte insektmidler i 2012 og 2013
skyldes formodentlig, at især de mest belastende insektmidler blev købt til lager på det tids-
punkt. I årene efter har belastningsindekset for solgte insektmidler været markant lavere, da
de solgte midler generelt har været mindre belastende som følge af afgiftsomlægningen i
2013.
For svampemidler ses et andet billede. Her svinger belastningsindekset i perioden fra 2014 til
2018, mens niveauet i 2019 er uændret ift. 2018. Det skyldes formodentlig de variationer, der
ses i de solgte mængder af aktivstofferne epoxiconazol og boscalid.
1.4.2
Belastningsindeks baseret på forbrugsdata
Belastningsindekset for insektmidler baseret på forbrugsdata er årligt faldet betydeligt siden
planåret 2013/14. For ukrudtsmidlerne ses et lille fald henover hele perioden, men for 2018/19
er det på samme niveau som 2017/18. For vækstreguleringsmidlerne kan man se et fald i be-
lastningsindekset i 2014/15, hvorefter det har ligget på et stabilt niveau. Belastningsindekset
Miljøstyrelsen / Bekæmpelsesmiddelstatistik 2019
15
MOF, Alm.del - 2020-21 - Bilag 444: Bekæmpelsesmiddelstatistik 2019, fra miljøministeren
for svampemidler viser et fald for perioden frem til og med planåret 2014/15. For planperio-
derne 2015/16 til 2016/17 steg belastningsindekset lidt, men faldt markant for planperioden
2017/18, hvor det er forblevet for 2018/19. Det lave belastningsindeks for 2018/19 kan kobles
til anvendelse af midler med lavere belastning. Dette gælder særligt for anvendelsen af aktiv-
stofferne: alpha-cypermethrin, cypermethrin, epoxiconazol, pendimethalin og prosulfocarb. For
2017/18 var anvendelsen af pesticider påvirket af tørre vejrforhold, dette betød, at der generelt
blev anvendt færre pesticider, hvilket også påvirkede belastningsindekset.
1.5
Konklusioner
Bekæmpelsesmiddelstatistikken for 2019 viser, at Pesticidbelastningsindikatoren for salgstal
ligger på 1,57, hvilket svarer til et fald på 52 procent i forhold til det beregnede niveau i 2011.
Den overordnede målsætning for Pesticidstrategi 2017-2021 er en PBI på 1,96, målsætningen
er dermed opnået i 2019. Pesticidbelastningsindikatoren målt på forbrugstal ligger på 1,76,
hvilket er et fald på 40 procent ift. 2010/11.
Belastningen fra forbruget af pesticider i planåret 2018/19 er faldet i forhold til tidligere år, hvis
man ser bort fra 2017/18, hvor belastningen var ekstraordinær lav pga. varme og tørre vejrfor-
hold. Pesticidbelastningsindikatoren ligger for 2018/19 på 1,76, hvilket er 22 procent højere
end i 2017/18, hvor PBI var lav pga. tørken. Sammenlignet med 2016/17 ligger PBI 18 procent
lavere i 2018/19.
Effekten af hamstringen i 2012 og 2013 er væsentligt aftaget, og de tidligere meget iøjefal-
dende forskelle mellem salg og forbrug er væsentligt reduceret. Belastningen fra salg af pesti-
cider er lavere end før 2013, og den samlede belastning fra salget af pesticider ser ud til at
have stabiliseret sig på det lavere niveau. Salget at pesticider i 2019 kan dog være påvirket af
tørken i 2018, da en del pesticider kan være indkøbt inden tørken i sommeren 2018, og såle-
des fortsat have stået på hylderne hos forhandlerne eller jordbrugeren i 2019, hvilket dermed
kan have påvirket salget i 2019. Belastningen fra forbruget af pesticider er faldet efterhånden
som lagrene af de hamstrede pesticider med høj belastning er reduceret. Substitutionen fra
mere belastende til mindre belastende midler ser derfor ud til at være slået igennem på forbru-
get i 2019.
Sammenlignet med de andre typer af midler, viser insektmidlerne og ukrudtsmidlerne for 2019
det højeste belastningsindeks opgjort for både salgs- og forbrugsdata. For salget af insektmid-
ler har belastningsindekset været langsomt stigende siden 2014, der er det første år efter
hamstringen, men det er for 2019 faldet en smule. Omvendt har forbruget af insektmidler vist
et årligt faldende belastningsindeks siden 2014/15. Dette kan ses som en indikation på, at ef-
fekten af hamstringen årligt aftager.
Salget af pesticider målt som behandlingshyppighed har samlet set været stigende siden
2014. Ligeledes har behandlingshyppigheden baseret på forbrug, overordnet set, været sti-
gende siden planåret 2011/12.
16
Miljøstyrelsen / Bekæmpelsesmiddelstatistik 2019
MOF, Alm.del - 2020-21 - Bilag 444: Bekæmpelsesmiddelstatistik 2019, fra miljøministeren
2360061_0017.png
2. Begreber for pesticider
Standarddosering (BI)
angiver hvor stor en dosis, et givent pesticid skal anvendes i for at
opnå tilstrækkelig effekt. Dosis kan angives i kg pr. ha, liter pr. ha, antal tabletter pr. ha eller
gram pr. ha. Standarddoseringen varierer afhængig af, hvilken afgrøde midlet anvendes i.
Standarddoseringer af forskellige pesticider er pr. definition lige effektive til løsning af en given
opgave. Skal man bekæmpe en skadevolder i en afgrøde kan forskellige relevante pesticider
anvendes i hver deres dosering og være lige effektive til at bekæmpe skadevolderen. Stan-
darddoseringerne ligger til grund for beregningen af behandlingshyppigheden (BH).
Behandlingshyppighed (BH)
angiver, hvor mange gange et areal i gennemsnit kan behand-
les med en given mængde pesticider i løbet af en vækstsæson, hvis pesticiderne blev udbragt
med standarddoseringer (BI). Arealet kan både være arealet af en specifik afgrøde eller det
kan være det samlede areal, der dyrkes. F.eks. kan den solgte mængde af pesticider i 2017
opgøres som behandlingshyppighed (BI pr. ha) på det samlede omdriftsareal i Danmark. Når
behandlingshyppigheden beregnes for salgstallene antages det, at de pesticider, der sælges
om efteråret og først anvendes i det efterfølgende høstår, skal fordeles på et tilsvarende areal
som året før. Behandlingshyppighed har indgået i Miljøstyrelsens årlige bekæmpelsesmiddel-
statistik siden 1987, og den samme beregningsmetode har været anvendt siden 1997.
Standardbehandlinger
er det antal gange én ha kan behandles med en given mængde aktiv-
stof eller middel, når der hver gang anvendes en standarddosering. En standardbehandling kan
også være det areal (ha), der kan behandles med en given mængde aktivstof eller middel, når
der til hver ha anvendes en standarddosering.
Pesticidbelastning
er beregnet på grundlag af midlernes formulering og anvendelse samt de-
res indhold af aktivstoffer. Belastningen for det enkelte middel opgøres i enheden B pr. kg.
Ganges denne med mængden af midlet, fås den samlede belastning (måles i enheden B) for
det pågældende middel. Belastningen (B) for det enkelte middel er således principielt uaf-
hængig af, på hvor stort et areal og i hvilke afgrøder, midlet anvendes.
Pesticidbelastningen er sammensat af tre hovedindikatorer for hhv. sundhed, miljøadfærd og
miljøeffekt. Definitioner og regler for beregning af belastning, indikatorer og ny afgift fremgår af
”Pesticidbelastningen fra jordbruget 2007-2010”, Orientering fra Miljøstyrelsen Nr. 1 2012
7
.
Dog blev der i forbindelse med pesticidafgiftslovens endelige vedtagelse foretaget enkelte ju-
steringer i beregningerne, hvorfor de korrekte faktorer, der skal anvendes i beregningerne,
skal findes i afgiftsloven
8
.
Pesticidbelastningen giver et mål for midlernes sundheds- og miljømæssige egenskaber
(f.eks. deres giftighed over for fisk og fugle), men den indeholder ingen oplysninger om, hvor-
vidt de anvendte pesticider rent faktisk kommer i kontakt med mennesker eller dyr og dermed
påvirker – endsige gør skade på – mennesker eller miljø. Derfor er den beregnede pesticidbe-
lastning en belastningsindikator – ikke en skadeindikator.
I forbindelse med beregningen og kvalificeringen af pesticidbelastningen opereres der med
flere afledte begreber. En beskrivelse af de begreber, der anvendes i nærværende publikation,
er som følger:
7
https://mst.dk/service/publikationer/publikationsarkiv/2012/jan/pesticidbelastningen-fra-jordbruget-2007-2010/
https://www.retsinformation.dk/Forms/R0710.aspx?id=164963
8
Miljøstyrelsen / Bekæmpelsesmiddelstatistik 2019
17
MOF, Alm.del - 2020-21 - Bilag 444: Bekæmpelsesmiddelstatistik 2019, fra miljøministeren
Fladebelastning (BF)
er pesticidbelastningen pr. arealenhed (B pr. ha), hvor den beregnede
belastning for en given pesticidanvendelse fordeles på det tilsvarende behandlede areal (ha).
Fladebelastningen er velegnet til at beskrive intensiteten i pesticidbelastningen for f.eks. den
enkelte landmand eller den enkelte afgrøde. Da arealanvendelsen kan ændre sig fra år til år,
og det samlede behandlede areal kan ændre sig som følge af ekstensivering (f.eks. udtagning
og omlægning til økologisk drift), kan udviklingen i den samlede pesticidbelastning i mange
sammenhænge bedst udtrykkes ved hjælp af udviklingen i landbrugets samlede pesticidbe-
lastning frem for udviklingen i fladebelastningen for det behandlede areal. Hvis man f.eks. for-
dobler det økologiske areal vil det således medføre en reduceret, samlet pesticidbelastning
(B), men ikke nødvendigvis en reduceret fladebelastning (B pr. ha) for det resterende, konven-
tionelt dyrkede areal.
Belastningsindeks
udtrykker belastningen pr. standarddosering (B pr. BI). Dermed angives
belastningen i forhold til den standarddosering (BI), der antages anvendt i marken. Ønsker
man at reducere belastningen mest muligt, men uden at gå på kompromis med effekten, skal
der vælges det middel, der har det laveste belastningsindeks. Et reduceret belastningsindeks
kan skyldes et reduceret forbrug eller et ændret middelvalg. Hvis meget belastende midler
substitueres med lige så effektive, men mindre belastende midler, vil det netop komme til ud-
tryk ved et reduceret belastningsindeks og en uændret behandlingshyppighed.
Pesticidbelastningsindikatoren (PBI)
er en variant af fladebelastningen (BF) og er også
med enheden B pr. ha. Den beregnes ved at dividere landbrugets samlede, årlige pesticidbe-
lastning for omdriftsarealet med det samlede, konventionelt dyrkede landbrugsareal i omdrift
for 2007. Se afsnit 7.3.2 for eksempler på PBI-beregninger for både salg og forbrug. Den rela-
tive ændring i PBI viser derfor udviklingen i landbrugets samlede pesticidbelastning. Hvis
f.eks. en markant andel af det nuværende konventionelt dyrkede areal omlægges til økologisk
drift eller til naturarealer vil dette betyde, at den samlede belastning og dermed PBI væsentligt
reduceres, uanset at de resterende konventionelle arealer sprøjtes med en uændret behand-
lingshyppighed og fladebelastning. I dette tilfælde vil fladebelastningen og behandlingshyppig-
heden forblive på samme niveau samtidig med, at PBI falder.
I Sprøjtemiddelstrategi 2013-2016 var reduktionsmålet for pesticidanvendelsen, at PBI baseret
på salgstal skulle være faldet 40 procent i 2015 i forhold til det beregnede niveau i 2011, sva-
rende til en pesticidbelastning på 1,96. I Pesticidstrategi 2017-2021 fremgår det, at målsætnin-
gen om at nå en pesticidbelastning (PBI) på 1,96 som minimum skal nås.
18
Miljøstyrelsen / Bekæmpelsesmiddelstatistik 2019
MOF, Alm.del - 2020-21 - Bilag 444: Bekæmpelsesmiddelstatistik 2019, fra miljøministeren
2360061_0019.png
3. Salg af bekæmpelsesmidler
3.1
Antal godkendelsesindehavere og solgte mængder
I kemikalielovens
9
§ 36 er der hjemmel til, at miljøministeren kan fastsætte nærmere regler om
oplysningspligt om salg af godkendelsespligtige bekæmpelsesmidler. Dette er udmøntet i be-
kæmpelsesmiddelbekendtgørelsens
10
§ 46, hvor den, som skal betale afgift efter kemikalielo-
vens § 36 (årlig produktafgift på 500 kr. pr. produkt), skal indsende en årsopgørelse over den
solgte mængde for hvert enkelt produkt.
3.1.1
Pesticider (Plantebeskyttelsesmidler)
Pesticider har følgende funktioner:
At beskytte planter eller planteprodukter mod alle skadegørere eller at forebygge angreb fra
sådanne skadegørere, medmindre hovedformålet med det pågældende produkt må anses
for at være af hygiejnemæssig karakter snarere end beskyttelse af planter eller plantepro-
dukter.
At påvirke planters livsprocesser, f.eks. ved at indvirke på planternes vækst på anden måde
end som næringsstof.
At konservere planteprodukter, for så vidt de pågældende stoffer eller produkter ikke er om-
fattet af særlige fællesbestemmelser om konserveringsmidler.
At ødelægge uønskede planter eller plantedele, bortset fra alger, medmindre produkterne
anvendes på jord eller vand for at beskytte planter.
At bremse eller forebygge uønsket vækst af planter, bortset fra alger, medmindre produk-
terne anvendes på jord eller vand for at beskytte planter
3.1.2
Biocider
Biocider er en betegnelse for produkter, der giver en kemisk beskyttelse af mennesker, dyr,
vand, overflader, materialer eller produkter mod skadegørere som fx skadedyr, bakterier,
svampe eller andre uønskede organismer. Biocider bruges fx til at forlænge et produkts hold-
barhed, undgå lugtgener, forebygge råd, begrænse spredning af bakterier eller forebygge fysi-
ske skader på materialer. Generelt kan man sige om biocider, at de dræber, afskrækker eller
tiltrækker levende skadegørere som mikroorganismer, alger, svamp eller skadedyr ved hjælp
af kemiske stoffer eller mikrobiologiske organismer
11
.
Lovgivningen for biocider berører i dag flere produkter end tidligere. Da biocidforordningen
trådte i kraft i hele EU den 1. september 2013, blev kredsen af berørte produkter udvidet i for-
hold til det tidligere biociddirektiv. Nogle af disse produkter har i al væsentlighed været ube-
rørte af tidligere regler. Den nuværende lovgivning medfører derfor, at flere brancher end tidli-
gere skal sørge for, at deres produkter lever op til biocidreglerne. Ikke alle biocider har været
godkendelsespligtige i de år, som Bekæmpelsesmiddelstatistikken omfatter. Dette skal man
være opmærksom på, når man tolker på udviklingen i solgte mængder for biocider.
Der er en række biocidprodukter og beslægtede produkter, som ikke er omfattet af biocidfor-
ordningen. Disse registreres i stedet i Produktregisteret og er ikke medtaget i Bekæmpelses-
middelstatistikken. Det gælder eksempelvis følgende:
9
https://www.retsinformation.dk/Forms/R0710.aspx?id=164026
https://www.retsinformation.dk/eli/lta/2020/910
Der har endnu ikke været mikrobiologiske biocider godkendt i Danmark.
10
11
Miljøstyrelsen / Bekæmpelsesmiddelstatistik 2019
19
MOF, Alm.del - 2020-21 - Bilag 444: Bekæmpelsesmiddelstatistik 2019, fra miljøministeren
2360061_0020.png
Produkter der forhindrer eller kontrollerer skadegørere med fysiske eller mekaniske virke-
midler, men ikke med kemiske virkemidler
Biocidprodukter til konservering af kosmetik
Biocidprodukter til konservering af fødevarer og foder
Biocidprodukter til desinfektion af medicinsk udstyr
Lægemidler til behandling af sygdomme hos dyr og mennesker.
3.1.3
Salget af pesticider og biocider
Nedenfor vises salgstal for pesticider og biocider for årene 2015-2019, for godkendelsesinde-
havere og produkter med indberetninger det pågældende år
12
.
Antal godkendelsesindehavere for pesticider og biocider – samlet og opdelt
2015
Antal godkendelsesindehavere for pesti-
cider og biocider samlet
Antal godkendelsesindehavere for pesti-
cider
Antal godkendelsesindehavere for bioci-
der
150
90
74
2016
147
78
83
2017
142
74
83
2018
140
77
77
2019
136
68
82
Samlet salg af pesticider og biocider
2015
Antal produkter
Produktmængde i ton
Tons aktivstoffer
1.064
10.923
2.723
2016
991
11.652
2.804
2017
938
11.630
2.916
2018
931
11.517
2.828
2019
814
11.240
2.797
Disse mængder fordelte sig på pesticider og biocider som følger:
Samlet salg af pesticider
2015
Antal produkter
Produktmængde i ton
Tons aktivstoffer
724
8.103
2.588
2016
645
8.680
2.595
2017
587
8.569
2.708
2018
600
8.319
2.650
2019
538
7.947
2.664
Samlet salg af biocider
2015
Antal produkter
13
Produktmængde i ton
Tons aktivstoffer
340
2.820
135
2016
346
2.972
208
2017
351
3.061
209
2018
331
3.198
178
2019
276
3.293
133
3.1.4
Salgstal fordelt på anvendelsesgrupper
De solgte mængder er nedenfor fordelt på anvendelsesgrupper for henholdsvis pesticider og
biocider. Antallet af midler angiver antallet af midler, der er indberettet salgstal for til Miljøsty-
relsen det pågældende år. Anvendelsesgrupperne er baseret på de registreringer, der er fore-
taget i Miljøstyrelsens Bekæmpelsesmiddeldatabase. For pesticider kan anvendelsesgrup-
perne genfindes som pesticid produktgrupper i databasen. Anvendelsesgrupperne for biocider
12
Data er genberegnet for den viste periode, se fodnoter i Tabel 3-1.
Antal produkter dækker over både enkelte biocidprodukter og biocidproduktfamilier. Biocidproduktfami-
13
lier kan omfatte mere end ét produkt, men biocidproduktfamilier er i forbindelse med statistikken opgjort
som et enkelt produkt.
20
Miljøstyrelsen / Bekæmpelsesmiddelstatistik 2019
MOF, Alm.del - 2020-21 - Bilag 444: Bekæmpelsesmiddelstatistik 2019, fra miljøministeren
2360061_0021.png
er en kombination af biocid produktgrupperne fra godkendelser givet i henhold til den nationale
godkendelsesordning (DNO) og biocid produkttyperne fra godkendelser givet i henhold til bio-
cidforordningen (BPR).
For hver anvendelsesgruppe fremgår forkortelsen for anvendelsesgruppen. Denne forkortelse
benyttes gennemgående i tabellerne i rapporten.
Pesticider
Ukrudtsmidler (Hrb): Midler godkendt med pesticid produktgruppen ”Ukrudtsmidler
inkl. nedvisningsmidler” (herbicides)
Ukrudtsmidler
Antal midler
kg midler
kg aktivstof
2015
346
4.950.021
1.903.413
2016
328
5.073.384
1.915.172
2017
270
5.236.258
1.953.042
2018
275
5.478.276
2.011.356
2019
216
5.321.642
2.025.554
Vækstreguleringsmidler (Vkr): Midler godkendt med pesticid produktgruppen ”Vækstre-
guleringsmidler inkl. spiringshæmmende midler” (Plant growth regulators)
Vækstregulerings-
midler
Antal midler
kg midler
kg aktivstof
2015
49
371.328
124.023
2016
41
447.366
188.773
2017
46
513.840
211.230
2018
47
333.920
134.802
2019
49
328.630
132.275
Svampemidler (Fun): Midler godkendt med pesticid produktgruppen ”Svampemidler”
(Fungicides)
Svampemidler samlet
Antal midler
kg midler
kg aktivstof
2015
184
2.110.417
499.275
2016
165
1.710.999
401.790
2017
169
1.945.518
479.813
2018
175
1.767.068
436.511
2019
169
1.807.243
436.287
Mikrobiologiske svampemidler: Tabellen herover inkluderer både kemiske og mikrobiologiske
midler. I tabellen herunder opgøres de mikrobiologiske midler separat
Mikrobiologiske
Svampemidler
Antal midler
kg midler
kg aktivstof
2015
13
1.792
67
2016
12
2.279
105
2017
15
16.375
241
2018
18
20.965
287
2019
14
26.008
417
Kombinationsmidler (Com): Midler godkendt med både pesticid produktgruppen
”Svampemidler” og pesticid produktgruppen ”Insektmidler (inkl. kornskadedyr)” (Com-
bined fungicides and insecticides)
Kombinationsmidler
Antal midler
kg midler
kg aktivstof
2015
1
12.620
4.669
2016
1
15.140
5.602
2017
1
12.340
4.566
2018
1
7.725
2.858
2019
Ej godkendt
Ej godkendt
Ej godkendt
Miljøstyrelsen / Bekæmpelsesmiddelstatistik 2019
21
MOF, Alm.del - 2020-21 - Bilag 444: Bekæmpelsesmiddelstatistik 2019, fra miljøministeren
2360061_0022.png
Jorddesinfektionsmidler (Jds): Midler godkendt med pesticid produktgruppen ”Jord-
desinfektionsmidler” (Soil disinfectants)
Jorddesinfektions-
midler
Antal midler
kg midler
kg aktivstof
2015
1
1.120
1.098
2016
1
380
372
2017
1
200
196
2018
Ej godkendt
Ej godkendt
Ej godkendt
2019
Ej godkendt
Ej godkendt
Ej godkendt
Insektmidler og acaricider (Ins og Acr): Midler godkendt med en eller begge pesticid
produktgrupper ”Insektmidler (inkl. kornskadedyr)” og ”acaricider” (Insecticides, incl.
acaricides)
Insekt- og midemidler
Antal midler
kg midler
kg aktivstof
2015
117
248.285
41.554
2016
84
252.907
54.987
2017
81
296.522
43.152
2018
82
334.150
53.906
2019
82
368.780
66.836
Mikrobiologiske insektmidler: Tabellen herover inkluderer både kemiske og mikrobiologiske
midler. I tabellen herunder opgøres de mikrobiologiske midler separat
Mikrobiologiske
insektmidler
Antal midler
kg midler
kg aktivstof
2015
9
32.235
4.251
2016
10
15.691
8.352
2017
8
4.698
1.366
2018
11
20.302
3.397
2019
12
13.102
2.783
Sneglemidler (Sng): Midler godkendt med pesticid produktgruppen ”Sneglemidler”
(Molluscicides)
Sneglemidler
Antal midler
kg midler
kg aktivstof
2015
18
395.470
8.908
2016
18
1.173.060
27.334
2017
11
556.360
13.587
2018
12
392.388
8.855
2019
13
113.103
2.414
Repellanter (Rep): Midler godkendt med pesticid produktgruppen ”Afskrækningsmidler
(repellanter)”
Repellanter
Antal midler
kg midler
kg aktivstof
2015
2
5.520
359
2016
2
5.420
352
2017
2
4.620
300
2018
2
2.840
185
2019
3
6.567
427
Rodenticider (Rod): Midler godkendt med pesticid produktgruppen ”Rodenticider –
muldvarpe og mosegrise”
Rodenticider
Antal midler
kg midler
kg aktivstof
2015
6
8.292
4.644
2016
5
1.781
997
2017
5
3.323
1.861
2018
5
2.536
1.420
2019
5
608
340
22
Miljøstyrelsen / Bekæmpelsesmiddelstatistik 2019
MOF, Alm.del - 2020-21 - Bilag 444: Bekæmpelsesmiddelstatistik 2019, fra miljøministeren
2360061_0023.png
Nematicider (Nem): Midler godkendt med pesticid produktgruppen ”Nematicider”
Nematicider
Antal midler
kg midler
kg aktivstof
2015
Ej godkendt
Ej godkendt
Ej godkendt
2016
Ej godkendt
Ej godkendt
Ej godkendt
2017
1
0
0
2018
1
0
0
2019
1
0
0
Biocider
Desinfektionsmidler (DES). Midler godkendt med biocid produktgruppen ”Algevækst”
og biocidprodukttyperne PT1-PT5 (Disinfectants including algicides)
Desinfektionsmidler
Antal midler
kg midler
kg aktivstof
2015
4
54.375
9.239
2016
7
464.002
52.630
2017
9
291.537
29.470
2018
9
467.444
45.992
2019
22
588.755
42.522
Konserveringsmidler (Trb). Midler godkendt med biocid produktgrupperne ”Skadedyr i
tømmer og træværk” og ”Træødelæggende svamp” samt biocidprodukttyperne PT6-
PT13. (Preservatives including wood preservatives (Previously: Products for the protec-
tion of wood and woodwork)
Konserveringsmidler
Antal midler
kg midler
kg aktivstof
2015
97
1.571.144
114.406
2016
122
1.704.999
147.025
2017
108
1.903.741
171.103
2018
105
1.971.077
124.274
2019
86
2.073.047
82.843
Skadedyrsbekæmpelse
Denne gruppe opdeles særskilt i rodenticider, insekticider og repellanter. Der er i perioden
2012-2019 ikke registreret solgte mængder af produkter, der er godkendt til mere end 1 pro-
dukttype inden for gruppen af skadedyrsbekæmpelse, og det er derfor fortsat muligt at opgøre
midler til skadedyrsbekæmpelse på undergrupperne.
Mus: Rodenticider. Midler godkendt med biocid produktgruppen ”Kaniner, mus, rotter,
muldvarpe, mosegrise mm.” eller biocidprodukttypen PT14 Rodenticider, som den ene-
ste produkttype.
Rodenticider
(mod rotter mv.)
Antal midler
kg midler
kg aktivstof
2015
65
464.912
891
2016
47
89.393
228
2017
57
184.308
245
2018
54
185.742
358
2019
37
128.034
32
Insekticider inkl. midler mod utøj (Flu og Utj). Midler godkendt med biocid produktgrup-
pen ”Insekter, snegle, mider og lignende”, biocid produktgruppen ”Utøj hos husdyr,
herunder stuefugle” og/eller biocidprodukttypen PT 18 Insekticider, acaricider og pro-
dukter til bekæmpelse af andre leddyr. (Insecticides against flies, moths, ants, grain
pests etc.)
Insekticider inkl. mid-
ler mod utøj
Antal midler
kg midler
kg aktivstof
2015
148
717.188
7.589
2016
144
699.116
5.954
2017
148
669.239
5.718
2018
140
560.788
4.980
2019
117
487.076
3.969
Miljøstyrelsen / Bekæmpelsesmiddelstatistik 2019
23
MOF, Alm.del - 2020-21 - Bilag 444: Bekæmpelsesmiddelstatistik 2019, fra miljøministeren
2360061_0024.png
Afskræknings- og tiltrækningsmidler (Myg). Midler godkendt med biocid
produktgruppen ”Afskrækningsmidler mod myg” eller biocidprodukttypen PT19
Afskræknings- og tiltrækningsmidler, som den eneste produkttype. (Products against
mosquitoes and flies)
Afskræknings- og til-
trækningsmidler
Antal midler
kg midler
kg aktivstof
2015
26
12.315
2.505
2016
26
14.054
2.520
2017
29
12.471
2.147
2018
23
12.759
2.332
2019
14
16.506
3.783
Andre biocidholdige produkter
Der er for årene 2012-2019 ikke registreret noget salg i Danmark af midler, tilhørende produkt-
typerne PT21 Antifoulingmidler og PT22 Balsamerings- og præserveringsvæsker,
da der for
PT21 endnu ikke er nogen godkendte produkter, og PT22 ikke har været godkendelsespligtige
i denne periode.
3.2
Bekæmpelsesmidlernes aktivstoffer
I Tabel 3-1 er opgjort hvor mange aktivstoffer, der var godkendt i perioden 2010-2019. Salget
er opgjort for pesticider, biocider og samlet. Bemærk, at det samme aktivstof kan være god-
kendt som både pesticid og biocid, så antal aktivstoffer i alt er ikke summen af aktivstoffer
godkendt som pesticid og aktivstoffer godkendt som biocid.
TABEL 3-1
Antal aktivstoffer godkendt i perioden 2010-2019.
Årstal
2010
2011
2012
2013
2014
2015
2016
2017
2018
2019
Antal aktivstoffer
i alt
185
189
195
194
196
206
198
215
215
216
Antal aktivstoffer i
pesticidprodukter
158
161
166
166
169
177
167
177
176
172
Antal aktivstoffer i
biocidprodukter
41
42
43
42
41
43
45
52
53
58
24
Miljøstyrelsen / Bekæmpelsesmiddelstatistik 2019
MOF, Alm.del - 2020-21 - Bilag 444: Bekæmpelsesmiddelstatistik 2019, fra miljøministeren
2360061_0025.png
TABEL 3-2
Oversigt over aktivstofmængde i solgte bekæmpelsesmidler 2010-2019. Mængden er angivet i kg.
Anvendelser af bekæmpelsesmidler
Tabellen er baseret på data for midler, der er indberettet solgte mængder for i perioden 2010-2019. I kolonnen ”P/B” er det angivet for hvert aktivstof, om stoffet indgår i
solgte midler godkendt som pesticider (P), biocider (B) eller begge (P/B). Ligeledes er det registreret, hvilke anvendelsesgrupper (Anv. Gr.) midlerne, som aktivstoffet
indgår i, er registreret som i Miljøstyrelsens Bekæmpelsesmiddeldatabase. Anvendelsesgrupperne og deres forkortelser fremgår af ovenstående afsnit.
For nogle aktivstoffer kan produkterne være solgt til flere forskellige anvendelser – f.eks. både som pesticid og biocid. En delmængde af den solgte mængde kan f.eks.
også være solgt som bejdsemiddel, der udelukkende er til såsæd, der eksporteres. Yderligere information om salg til de forskellige anvendelser fremgår af tabellen i
bilag 3. Her fremgår detaljer som CAS nr. og for pesticider mulig anvendelse (kun til væksthuse, bejdsemiddel kun til eksport osv.) for aktivstofferne.
Felter uden salg
I tabellen nedenfor er det specificeret, hvad et felt uden salg dækker over, idet der er tilføjet ”A” for aktivstoffer, hvor det ikke har været godkendt det pågældende år, og
”B” hvis der ikke er indberettet solgte mængder for et godkendt aktivstof. Fremgår tallet nul af tabellen, betyder det således, at der har været et eller flere godkendte
produkter med det pågældende aktivstof til den pågældende anvendelse, men at godkendelsesindehaverne har indberettet en solgt mængde på nul kg eller liter. Så-
fremt der for et aktivstof ikke har været godkendte produkter i perioden 2010-2018, indgår aktivstoffet ikke i tabellen.
Aktivstofnavn
(E,E)-8, 10-dodecadien-1-ol
(Z)-11-tetradecen-1-yl acetat
(Z)-9-tetradecen-1-yl acetat
(Z,E)-Tetradeca-9,12-dienyl Acetate
1-methylcyclopropen
1-naphthyleddikesyre
2,4-D
3-iodo-2-propynylbutylcarbamat (IPBC)
1
6-benzyladenin
abamectin
acetamiprid
aclonifen
Adoxophyes orana Granulovirus
(AoGV) stamme
BV-0001
Alphachloralose
2
alpha-cypermethrin
P/B
P
P
P
B
P
P
P
B
P
P
PB
P
P
B
P
Anv.-gr.
Ins
Ins
Ins
Myg
Vkr
Vkr
Hrb
Trb
Vkr
Ins
Ins, Flu
Hrb
Ins
Mus
Ins
2010
0,0
A
A
A
0,0
46,2
1.158,2
1.594,5
10,7
8,4
93,6
10.527,0
A
19,6
1.339,0
2011
20,4
19,5
3,9
A
0,0
33,7
13.150,0
1.284,5
24,3
10,8
435,5
21.348,0
A
17,6
2.993,0
2012
32,9
31,5
6,3
A
0,0
29,3
3.892,7
6.981,5
14,4
9,7
744,2
41.496,0
0,0
9,6
5.709,0
2013
25,5
24,3
4,9
A
0,0
24,8
10.627,0
5.330,1
24,0
19,7
813,6
25.428,0
0,0
356,8
4.463,8
2014
22,6
21,6
4,4
A
0,0
33,1
13.449,7
6.207,9
31,7
13,8
1.491,0
1.164,0
0,0
264,0
247,8
2015
25,8
24,6
5,0
A
0,0
98,8
16.748,6
6.633,9
0,0
14,0
1.531,2
18.761,5
0,0
843,6
28,0
2016
29,4
28,1
5,7
0,0
0,1
A
18.918,6
6.881,9
22,0
13,0
2.296,2
16.723,0
0,0
201,8
0,0
2017
35,3
33,7
6,8
0,0
0,0
83,5
20.012,0
7.001,3
4,8
15,3
2.049,1
23.549,0
0,0
210,1
120,0
2018
34,8
33,3
6,7
0,0
0,1
20,9
20.350,8
18.302,7
8,0
19,2
2.204,4
27.982,0
0,0
284,0
75,0
2019
39,4
37,7
7,6
B
0,1
41,8
18.230,4
17.291,3
12,0
10,6
4.358,8
39.363,0
0,0
0,0
167,0
Miljøstyrelsen / Bekæmpelsesmiddelstatistik 2019
25
MOF, Alm.del - 2020-21 - Bilag 444: Bekæmpelsesmiddelstatistik 2019, fra miljøministeren
2360061_0026.png
Aktivstofnavn
aluminiumphosphid
amidosulfuron
aminopyralid
amorphous silicon dioxid
Ampelomyces quisqualis
strain AQ10
asulam
Aureobasidium pullulans
azadirachtin
azamethiphos
azoxystrobin
Bacillus amyloliquefaciens
strain MBI 600
Bacillus firmus
I-1582
Bacillus subtilis
strain QST 713
Bacillus thuringiensis
subsp.
aizawai
GC-91
Bacillus thuringiensis
subsp.
israelensis
AM65-52
Bacillus thuringiensis
subsp.
kurstaki
ABTS-351
basisk kobber(II)carbonat
Beauveria bassiana
ATCC 74040
Beauveria bassiana
GHA
bendiocarb
bentazon
benthiavalicarb
beta-cyfluthrin
bifenazate
bifenox
bifenthrin
Bis-(N-cyclohexyldiazeniumdioxi)kobber
bitertanol
blodmel
boroxid
P/B
PB
P
P
B
P
P
P
P
B
P
P
P
P
P
P
P
B
P
P
B
P
P
P
P
P
B
B
P
P
B
Anv.-gr.
Ins, Rod,
Mus
Hrb
Hrb
Flu
Fun
Hrb
Fun
Ins
Flu
Fun
Fun
Nem
Fun
Ins
Ins
Ins
Trb
Ins
Ins
Flu
Hrb
Fun
Ins
Ins
Hrb
Flu, Trb
Trb
Fun
Rep
Trb
2010
8.063,1
0,0
0,0
A
A
2.424,0
30,0
A
150,3
14.142,5
A
A
A
A
A
A
109.958,2
A
A
A
39.765,6
0,0
80,0
18,0
1.152,0
0,6
67,2
10.125,0
1.005,4
A
2011
5.492,2
0,0
341,5
A
A
1.600,0
75,0
A
94,4
15.892,0
A
A
A
A
A
A
95.409,0
A
A
A
12.978,6
0,0
0,0
21,6
854,4
12,6
1.024,8
3.000,0
678,0
A
2012
6.555,6
0,0
195,3
A
0,0
3.520,0
0,0
A
73,2
12.784,0
A
A
A
A
A
A
75.256,7
12,0
A
A
19.016,8
0,0
144,0
24,0
0,0
6,6
154,0
A
969,8
A
2013
8.918,0
A
448,8
A
0,6
3.726,0
0,0
A
76,6
17.322,0
A
A
A
A
A
A
79.975,8
3,7
A
A
26.325,8
0,0
85,3
22,8
A
11,3
B
A
511,1
A
2014
5.146,4
A
508,8
A
0,2
3.614,0
A
2,2
62,6
19.664,8
A
A
A
A
0,0
0,0
101.718,4
1,0
A
A
24.111,0
0,0
250,7
20,4
A
A
0,0
A
115,3
A
2015
9.455,0
A
759,2
A
0,0
3.232,0
A
2,1
49,5
20.470,5
A
A
1,4
30,0
3.734,3
466,6
81.946,4
1,9
B
A
23.795,8
0,0
217,6
16,8
A
A
0,0
A
A
A
2016
5.752,9
A
705,4
A
0,0
3.852,0
A
3,1
56,5
19.779,3
A
A
17,9
280,0
0,0
8.035,2
107.719,9
2,3
33,0
A
22.446,0
0,0
47,2
26,4
A
A
37,0
A
A
A
2017
7.184,2
A
823,0
A
0,0
6.128,0
A
25,1
53,9
20.258,2
A
0,0
44,5
260,0
324,7
777,6
130.651,7
3,0
B
113,7
21.864,8
0,0
29,9
15,6
A
0,0
0,0
A
A
B
2018
6.426,0
A
878,6
A
0,0
7.738,0
A
41,0
8,8
6.140,2
0,0
0,0
71,3
440,0
2.199,2
751,7
96.668,6
3,5
B
47,4
32.040,0
0,0
0,0
32,4
A
0,0
B
A
A
B
2019
8.106,6
A
820,8
0,0
0,0
8.290,0
A
21,2
45,9
8.048,6
8,2
0,0
116,7
420,0
1.217,7
1.088,6
0,0
6,6
47,5
37,4
25.032,0
0,0
0,0
26,4
A
0,0
0,0
A
A
4,7
26
Miljøstyrelsen / Bekæmpelsesmiddelstatistik 2019
MOF, Alm.del - 2020-21 - Bilag 444: Bekæmpelsesmiddelstatistik 2019, fra miljøministeren
2360061_0027.png
Aktivstofnavn
borsyre
boscalid
Brodifacoum
3
bromadiolon
bromoxynil
buprofezin
Caprinsyre
captan
carfentrazon-ethyl
carvone
chlormequat-chlorid
chlorophacinon
chlorpropham
Citronellal
clethodim
clodinafop-propargyl
clofentezin
clomazon
Clonostachys rosea
strain J1446
4
clopyralid
clothianidin
Coniothyrium minitans
CON/M/91-08
coumatetralyl
cyazofamid
cycloxydim
Cydia pomonella granulosis
virus (CpGV)
cyfluthrin
cymoxanil
cypermethrin
cyprodinil
P/B
B
P
B
B
P
P
P
P
P
P
P
B
P
B
P
P
P
P
P
P
P
P
B
P
P
P
B
P
PB
P
Anv.-gr.
Trb
Fun
Mus
Mus
Hrb
Ins
Hrb
Fun
Hrb
Vkr
Vkr
Mus
Vkr
Myg
Hrb
Hrb
Ins
Hrb
Fun
Hrb
Ins
Fun
Mus
Fun
Hrb
Ins
Flu
Fun
Ins, Trb,
Utj, Flu
Fun
2010
24.068,6
67.142,6
0,1
12,8
33.788,0
0,0
4.441,4
9.680,0
108,0
A
186.945,0
A
960,0
A
487,4
217,2
0,0
9.689,5
A
9.120,4
0,0
7,7
1,3
4.084,8
5.196,0
0,1
15,6
0,0
12.418,2
67,5
2011
19.923,8
84.117,0
2,9
10,7
23.536,8
A
2.482,0
10.112,0
115,8
A
146.415,0
A
960,0
A
A
262,8
0,0
8.053,9
A
11.841,0
0,0
1,3
5,3
8.086,8
3.762,0
0,8
39,0
7,7
4.195,4
746,3
2012
16.265,0
83.096,6
2,4
29,2
69.335,2
A
2.176,3
7.412,0
81,0
A
369.855,0
A
560,0
A
A
128,8
0,0
13.245,5
5,9
8.170,6
680,0
9,6
0,2
9.216,0
4.752,0
0,5
51,6
805,0
18.629,2
191,3
2013
17.438,3
72.772,0
1,7
15,8
47.172,0
A
542,4
10.960,0
118,8
A
244.803,8
A
730,0
A
A
372,0
0,0
14.462,3
75,2
14.285,3
160,0
11,4
4,2
7.944,0
5.262,0
0,5
73,2
1.399,0
8.923,1
1.732,5
2014
22.226,2
70.434,6
4,0
6,2
11.826,6
A
0,0
10.232,0
197,1
B
54.630,0
A
710,0
A
A
760,0
A
12.741,1
73,0
13.535,9
1.280,0
13,4
14,5
8.041,2
5.981,0
0,5
23,4
1.409,5
133,1
1.509,3
2015
17.917,0
102.248,7
1,7
12,7
192,8
A
0,0
4.092,0
183,6
53,6
29.790,0
1,8
820,0
A
A
875,6
A
15.444,3
41,9
10.228,6
1.266,8
7,5
16,0
6.400,0
5.645,0
0,6
45,6
4.044,0
17,0
731,3
2016
23.450,3
39.743,3
0,1
1,6
15.430,9
A
233,5
7.680,0
224,4
0,0
79.500,0
B
770,0
A
199,4
723,2
A
14.583,1
70,3
11.829,4
76,0
9,0
13,7
3.884,0
5.418,0
0,6
65,4
7.714,0
16,5
4.947,5
2017
24.109,4
66.226,9
0,1
3,5
13.306,8
0,0
0,0
6.492,0
A
0,0
85.740,0
1,0
760,0
A
228,2
1.187,8
A
5.311,0
55,3
11.049,0
0,0
12,0
11,6
7.552,0
4.437,5
0,6
33,0
10.142,5
11,8
881,3
2018
A
55.492,5
0,4
3,9
4.819,2
0,0
567,9
4.760,0
A
0,0
40.560,0
0,6
960,0
0,0
228,2
98,0
A
4.635,2
48,2
2.706,8
0,0
11,7
10,7
15.523,2
7.388,0
0,7
15,0
9.815,1
7,2
637,5
2019
0,0
43.716,0
1,0
1,3
3.212,8
0,0
1.047,9
A
A
0,0
56.580,0
0,8
1.040,0
0,1
282,2
338,0
A
9.130,8
49,6
2.331,3
0,0
79,5
8,4
15.886,4
6.502,0
0,0
0,0
15.942,0
17,1
397,5
Miljøstyrelsen / Bekæmpelsesmiddelstatistik 2019
27
MOF, Alm.del - 2020-21 - Bilag 444: Bekæmpelsesmiddelstatistik 2019, fra miljøministeren
2360061_0028.png
Aktivstofnavn
cyromazin
d-allethrin
daminozid
dazomet
deltamethrin
desmedipham
diatomejord
dicamba
dichlorprop-P
didecyldimethylammoniumchlorid (DDAC)
difenacoum
difenoconazol
difethialon
diflubenzuron
diflufenican
dimethoat
dimethomorph
dinatrium tetraborate
dinatrium-octaborat
dinatrium-octaborat-tetrahydrat
diquat
dithianon
diuron
dodecan-1-ol
dodin
d-phenothrin
eddikesyre
epoxiconazol
esbiothrin
5
esfenvalerat
P/B
B
B
P
P
PB
P
P
P
P
B
B
P
B
PB
P
P
P
B
B
B
P
P
P
P
P
B
P
P
B
P
Anv.-gr.
Flu
Flu
Vkr
Jds
Ins og Flu
Hrb
Ins
Hrb
Hrb
Des
Mus
Fun
Mus
Ins, Utj, Flu
Hrb
Ins
Fun
Trb
Trb
Trb
Hrb
Fun
Hrb
Ins
Fun
Flu
Hrb
Fun
Flu, Myg
Ins
2010
529,7
A
1.481,6
16.464,0
265,3
3.996,8
375,0
521,9
1.493,7
A
17,7
1.204,4
0,2
884,8
11.079,3
3.520,0
278,3
A
80,0
3.921,4
21.362,0
3.269,0
2.392,0
A
A
A
A
46.720,3
54,2
0,0
2011
457,4
0,0
2.590,8
A
153,4
2.080,0
255,0
1.280,8
1.396,0
A
4,2
939,5
0,0
1.038,8
15.884,9
4.112,0
441,0
A
26,0
2.612,2
18.576,0
3.332,0
A
3,2
A
A
A
63.349,4
154,4
108,0
2012
986,5
3,7
1.827,5
6.742,4
358,8
4.159,2
210,0
966,6
1.986,7
A
2,8
577,0
0,3
1.639,0
22.467,3
7.072,0
600,0
A
24,9
3.023,4
29.724,0
4.424,0
A
5,1
A
A
A
52.075,9
91,1
72,0
2013
963,6
3,7
2.129,3
4.998,0
303,2
6.911,2
270,0
838,5
946,9
A
1,7
577,0
0,4
1.762,8
26.556,6
6.366,0
599,3
A
55,0
2.902,5
24.724,0
3.913,0
A
4,0
A
A
A
61.885,4
124,0
72,0
2014
1.040,1
0,0
2.157,3
1.136,8
340,8
7.660,8
0,0
418,9
613,7
A
1,3
3.697,5
0,2
1.815,0
34.072,8
A
240,0
A
A
3.057,4
9.180,0
4.634,0
A
3,5
0,0
A
990,0
55.565,4
150,9
72,0
2015
1.041,1
0,0
1.916,8
1.097,6
354,8
5.272,8
0,0
297,4
180,1
A
2,7
4.147,5
0,6
2.265,0
37.756,3
A
1.423,5
A
A
1.924,1
20.904,0
2.597,0
A
4,0
943,8
A
172,8
48.592,8
18,8
36,0
2016
872,9
0,0
1.797,8
372,4
323,5
6.198,4
A
246,2
7,8
A
1,2
9.125,8
B
1.755,0
43.161,7
A
1.825,1
A
A
2.233,8
13.412,0
2.747,0
A
4,6
641,9
A
1.814,5
13.258,7
61,6
66,0
2017
1.276,0
0,0
1.806,3
196,0
342,0
7.366,4
A
286,0
111,4
46,2
1,5
12.590,3
0,7
1.470,0
44.622,5
A
2.202,8
B
A
1.710,1
22.592,0
2.321,2
A
5,5
293,8
0,0
681,0
18.791,1
16,6
A
2018
918,8
B
2.524,5
A
219,7
7.957,6
A
34,4
161,2
6.880,0
1,7
8.571,8
0,7
910,0
38.716,0
A
1.788,7
B
A
2.052,9
31.532,0
2.437,2
A
5,4
435,2
0,0
1.586,4
15.663,6
21,7
A
2019
1.093,6
A
1.972,0
A
166,0
14.374,4
A
39,1
183,3
7.315,3
1,1
10.362,8
0,6
225,0
38.223,0
A
2.362,3
0,5
A
1.771,6
23.560,0
1.525,8
A
6,1
233,9
0,5
4.464,6
12.612,9
8,9
A
28
Miljøstyrelsen / Bekæmpelsesmiddelstatistik 2019
MOF, Alm.del - 2020-21 - Bilag 444: Bekæmpelsesmiddelstatistik 2019, fra miljøministeren
2360061_0029.png
Aktivstofnavn
ethephon
ethofumesat
etofenprox
fedtsyre, umættede kaliumsalte
fedtsyre-salte
fenamidon
fenhexamid
fenoxaprop-P-ethyl
fenpropidin
Fenpyrazamin
fenpyroximat
ferrifosfat
6
fipronil
flocoumafen
flonicamid
florasulam
fluazifop-P-butyl
fluazinam
fludioxonil
fluopyram
flupyrsulfuron-methyl
fluroxypyr
flurprimidol
folpet
foramsulfuron
fosetyl-Al
fosforbrinte
fuberidazol
fårefedt
gamma-cyhalothrin
P/B
P
P
B
P
P
P
P
P
P
P
P
P
B
B
P
P
P
P
P
P
P
P
P
P
P
P
P
P
P
P
Anv.-gr.
Vkr
Hrb
Flu
Hrb
Ins
Fun
Fun
Hrb
Fun
Fun
Ins
Sng
Flu
Mus
Ins
Hrb
Hrb
Fun
Fun, Com
Fun
Hrb
Hrb
Vkr
Fun
Hrb
Fun
Ins
Fun
Rep
Ins
2010
2.551,3
5.907,5
A
A
0,0
81,0
445,0
2.474,1
6.174,0
A
2,1
579,3
0,0
0,2
365,5
514,5
435,0
60,0
793,7
A
348,0
32.224,1
0,6
A
3.066,5
3.208,2
0,0
621,0
A
518,4
2011
4.355,5
1.464,0
A
A
0,0
27,0
857,5
2.234,2
46.206,0
A
7,0
3.670,5
0,0
0,4
465,0
947,3
702,5
50,0
550,3
A
233,4
41.431,3
0,7
A
3.767,7
6.394,5
A
184,0
A
18,0
2012
17.264,3
9.418,0
0,0
A
1.543,3
66,8
1.085,0
3.967,0
11.430,0
A
3,2
11.250,9
0,0
0,7
597,5
796,3
187,5
290,0
2.538,7
A
147,4
42.176,8
0,4
A
3.114,6
3.118,3
A
A
A
14,0
2013
23.103,4
4.974,5
0,0
0,0
768,6
0,0
985,0
5.223,3
35.442,0
A
7,3
7.651,4
0,0
0,3
579,5
1.100,5
A
1.100,0
2.471,4
A
330,4
44.436,1
0,6
A
3.932,0
4.724,4
A
A
209,3
26,5
2014
17.188,1
522,0
0,0
0,0
558,5
1,5
390,0
5.783,2
A
A
12,2
12.549,9
0,0
0,7
983,0
1.551,3
A
1.090,0
2.330,5
A
254,0
40.552,6
0,4
2.980,0
4.256,3
3.966,0
A
A
B
0,0
2015
18.213,4
402,0
0,0
0,0
0,0
0,4
640,0
3.929,6
A
36,0
6,3
8.908,5
0,0
0,3
500,0
1.796,9
A
1.950,0
2.191,3
A
400,0
41.865,7
0,3
12.070,0
3.492,0
3.554,4
A
A
358,8
0,0
2016
27.079,3
1.512,0
65,4
A
A
484,1
408,0
3.247,1
A
0,0
0,0
27.334,2
0,0
0,1
665,5
1.660,3
A
2.390,0
3.221,5
A
840,0
27.561,5
A
560,0
3.963,3
3.554,8
A
A
352,3
0,0
2017
32.916,2
1.056,0
40,5
A
A
0,0
350,0
4.349,8
A
0,0
0,0
13.587,4
0,0
0,2
0,0
1.678,2
A
5.639,0
2.673,5
12.847,5
1.017,5
40.129,3
A
20,0
2.727,9
3.056,6
A
A
300,3
0,0
2018
34.376,0
7.275,0
0,0
A
A
0,0
505,0
5.238,8
A
0,0
0,0
8.854,8
0,0
0,0
1.618,5
1.803,6
A
5.149,0
2.120,5
34.233,1
A
36.062,0
A
0,0
3.138,0
2.630,5
A
A
184,6
0,0
2019
11.329,6
6.630,0
B
A
A
0,0
167,0
3.380,7
A
0,0
A
2.414,0
0,0
0,0
1.107,0
1.844,8
A
7.602,0
3.020,1
33.788,8
A
31.811,6
A
0,0
3.456,0
1.791,6
A
A
426,9
0,0
Miljøstyrelsen / Bekæmpelsesmiddelstatistik 2019
29
MOF, Alm.del - 2020-21 - Bilag 444: Bekæmpelsesmiddelstatistik 2019, fra miljøministeren
2360061_0030.png
Aktivstofnavn
gibberellinsyre
glutaraldehyd
glyphosat
halauxifen-methyl
hexythiazox
hvidløg
hydrogenperoxid
hymexazol
icaridin
imazalil
imidacloprid
indoxacarb
iodosulfuron-methyl-natrium
ioxynil
jern(II)sulfat
Jod
kalium hydrogenkarbonat
kaliumoleat
kaliumphosphonat
kobber
kobber-HDO
kresoxim-methyl
kuldioxid
7
lambda-cyhalothrin
laminarin
Lecanicillium muscarium Ve6
linolsyre
linuron
magnesiumphosphid
maleinhydrazid
P/B
P
B
P
P
P
P
B
P
B
P
PB
PB
P
P
P
B
P
P
P
B
B
P
B
PB
P
P
P
P
P
P
Anv.-gr.
Vkr
Trb
Hrb
Hrb
Ins
Hrb, Ins
Des
Fun
Myg
Fun
Ins, Com,
Flu
Ins, Flu
Hrb
Hrb
Hrb
Des
Fun
Ins
Fun
Trb
Trb
Fun
Mus
Ins, Flu
Fun
Ins
Ins
Hrb
Ins
Hrb, Vkr
2010
A
A
2011
A
A
2012
A
A
2013
A
A
2014
A
A
626.844,5
A
14,8
0,0
A
3.850,0
0,0
1.022,0
2.473,7
748,5
1.568,2
9.502,0
2.417,2
A
0,0
0,0
A
A
0,0
578,5
B
1.332,3
0,0
A
33,9
A
B
3.282,5
2015
A
A
853.749,4
A
20,0
0,0
A
4.200,0
1.938,9
5.720,0
1.891,8
796,1
1.368,0
69,5
2.417,2
A
0,0
0,0
A
A
0,0
352,5
11,4
2.246,4
36,0
1,2
13,9
A
A
1.985,3
2016
A
A
2017
0,0
A
2018
40,0
621,5
964.315,7
1.331,3
22,5
A
A
12.600,0
1.970,2
3.129,2
3.148,8
38,0
1.585,1
A
36.633,1
A
B
A
269,3
A
A
92,5
56,5
3.760,4
3,6
1,7
A
A
A
1.212,0
2019
0,0
621,5
1.188.370,1
1.185,0
17,5
A
124,3
8.400,0
1.989,7
1.800,0
78,1
462,7
1.425,3
A
13.439,9
12,3
0,0
A
269,3
55.763,8
A
144,0
18,7
3.329,9
8,1
2,4
A
A
A
984,0
1.646.562,8 1.941.310,1 1.402.520,4 1.388.856,9
A
5,6
0,0
A
5.250,0
1.927,9
7.512,0
2.617,5
112,5
1.175,8
26.460,5
13.179,5
A
A
357,3
A
A
0,0
515,0
10,6
536,1
A
A
34,2
A
0,0
1.482,5
A
0,8
0,0
A
5.600,0
2.130,0
5.070,1
4.421,7
132,0
1.553,0
21.094,8
44.710,2
A
A
1.395,8
A
A
0,0
627,5
6,6
705,6
A
A
119,2
A
0,0
4.321,9
A
0,0
0,0
A
6.650,0
801,1
6.180,2
4.462,1
1.447,1
1.114,4
62.036,7
10.993,3
A
A
25,0
A
A
0,0
537,5
13,8
1.106,7
0,0
A
7,3
A
0,0
2.260,0
A
13,6
0,0
A
3.500,0
1.674,6
7.896,0
6.188,2
1.237,1
1.602,8
44.028,3
9.793,7
A
A
0,0
A
A
0,0
382,5
8,0
1.023,4
36,0
A
17,1
30,0
0,0
2.448,3
1.140.700,0 1.241.402,9
324,7
19,5
A
A
7.000,0
1.711,6
4.650,0
2.248,8
527,1
1.380,4
A
A
A
80,8
0,0
0,0
A
0,0
262,5
9,2
1.981,5
A
0,9
A
A
A
2.466,1
1.326,0
15,0
A
A
11.200,0
1.724,0
1.299,3
4.171,1
893,4
1.392,9
A
A
A
658,8
0,0
78,5
A
0,0
406,5
16,5
2.999,3
4,5
0,6
A
A
A
1.335,0
30
Miljøstyrelsen / Bekæmpelsesmiddelstatistik 2019
MOF, Alm.del - 2020-21 - Bilag 444: Bekæmpelsesmiddelstatistik 2019, fra miljøministeren
2360061_0031.png
Aktivstofnavn
mancozeb
mandipropamid
maneb
MCPA
mechlorprop-P (MCPP-P)
mepanipyrim
mepiquat-chlorid
mercaptodimethur
mesosulfuron
mesotrion
metalaxyl-M
metamitron
Metarhizium anisopliae
var.
anisopliae
F52
metconazol
metobromuron
metrafenon
metsulfuron-methyl
milbemectin
muscalure
Mælkesyre
N,N-diethyl-m-toluamid (DEET)
Natriumbenzoat
natriumsølvthiosulfat
N-cyclohexyldiazeniumdioxi-kalium
nitrogen
8
paclobutrazol
paraffinolie
pebermynteolie
pelargonsyre
pencycuron
P/B
P
P
P
P
P
P
P
P
P
P
P
P
P
P
P
P
P
P
B
B
B
B
P
B
B
P
P
P
PB
P
Anv.-gr.
Fun
Fun
Fun
Hrb
Hrb
Fun
Vkr
Ins, Sng
Hrb
Hrb
Fun, Com
Hrb
Ins
Fun, Vkr
Hrb
Fun
Hrb
Ins
Flu
Des
Myg
Trb
Vkr
Trb
Flu
Vkr
Ins
Vkr
Hrb, Des
Fun, Com
2010
247.057,6
1.045,0
0,0
242.674,5
815,1
44,0
5.020,3
152,6
244,8
11.312,0
267,7
130.210,5
A
396,0
A
8.318,0
502,5
3,2
0,5
A
A
A
32,1
0,0
A
36,1
A
A
3.786,2
6.683,8
2011
205.373,6
3.680,0
0,0
654.278,7
1.830,5
44,0
8.570,5
102,4
352,1
11.150,0
1.615,4
44.100,0
B
195,6
A
10.554,0
848,8
B
0,2
A
A
A
34,7
0,0
A
12,0
A
A
21.496,3
8.337,5
2012
492.449,2
5.107,5
0,0
220.939,8
550,4
138,2
7.434,5
3,0
253,4
12.128,0
2.698,1
174.205,5
B
572,4
A
9.904,0
500,6
2,2
0,2
A
A
A
44,0
0,0
A
13,9
A
A
17.666,8
6.827,5
2013
386.630,3
7.892,5
0,0
311.532,3
632,2
202,4
5.267,8
1,9
592,9
14.722,0
561,8
133.280,0
B
1.159,2
A
12.415,0
546,8
4,1
0,1
A
A
A
41,9
A
A
25,7
A
A
14.105,9
7.590,0
2014
2.134,4
11.737,5
0,0
90.533,7
1.034,6
167,2
17.923,7
0,0
786,2
14.648,0
196,5
41.349,0
B
2.389,5
A
11.756,0
557,0
15,9
0,1
A
A
A
44,5
A
B
28,3
A
A
13.111,3
9.506,9
2015
4.122,1
16.750,0
0,0
90.854,7
1,6
85,8
26.976,5
0,0
810,0
15.095,5
169,6
41.363,0
17,0
3.059,9
A
10.415,0
156,3
3,7
0,0
A
0,0
A
102,0
A
0,0
22,8
0,0
0,0
16.010,2
9.327,5
2016
0,0
25.710,0
0,0
18.936,2
2,5
105,6
41.226,6
0,0
897,3
15.552,0
67,8
31.640,0
0,0
4.464,0
A
5.778,6
348,7
3,1
0,1
6,4
341,5
A
A
A
0,0
12,5
31,9
0,0
31.844,9
12.795,6
2017
10.278,0
27.036,3
B
47.786,3
A
44,0
47.012,6
0,0
990,2
14.470,0
271,4
38.500,0
B
3.644,3
A
7,8
252,8
1,3
0,0
12,7
229,2
A
33,9
A
0,0
17,2
0,0
0,0
10.983,0
10.736,9
2018
7.108,5
27.596,3
A
94.482,9
A
79,2
21.477,8
0,0
1.056,1
20.054,0
264,6
73.248,0
0,0
870,6
6.600,0
0,0
160,0
4,7
1,1
0,8
131,9
A
6,6
A
0,0
20,5
95,6
0,0
36.845,0
9.623,8
2019
8.527,5
29.002,5
A
85.831,4
A
17,6
26.409,4
0,0
1.130,5
4.160,0
489,1
61.281,5
0,0
501,0
16.325,0
0,0
321,4
2,1
1,9
2.047,1
1.546,0
0,0
A
A
0,0
26,3
446,3
B
36.709,4
7.650,0
Miljøstyrelsen / Bekæmpelsesmiddelstatistik 2019
31
MOF, Alm.del - 2020-21 - Bilag 444: Bekæmpelsesmiddelstatistik 2019, fra miljøministeren
2360061_0032.png
Aktivstofnavn
pendimethalin
Peppermint oil
permethrin
phenmedipham
Phlebiopsis gigantea
VRA 1835
Picloram
Picolinafen
Picoxystrobin
Pirimicarb
p-menthan-3,8-diol
prohexadion-calcium
propamocarb
propaquizafop
propiconazol
propyzamid
proquinazid
prosulfocarb
prothioconazol
Pseudomonas chlororaphis
MA342
pymetrozin
pyraclostrobin
pyraflufen-ethyl
pyrethrin I og II
pyridat
pyrimethanil
pyriofenon
pyriproxyfen
pyroxsulam
quinoclamin
rapsolie
P/B
P
B
B
P
P
P
P
P
P
B
P
P
P
PB
P
P
P
P
P
P
P
P
PB
P
P
P
P
P
P
P
Anv.-gr.
Hrb
Myg
Trb, Utj, Flu
Hrb
Fun
Hrb
Hrb
Fun
Ins
Myg
Vkr
Fun
Hrb
Fun, Trb
Hrb
Fun
Hrb
Fun
Fun
Ins
Fun
Hrb
Ins, Utj, Flu
Hrb
Fun
Hrb
Ins
Hrb
Hrb
Ins
2010
146.799,8
A
1.446,1
47.107,9
2,1
723,6
2.649,9
1.335,0
5.422,5
658,1
A
1.126,1
4.047,1
12.695,1
22.392,0
A
820.216,0
11.900,0
0,0
A
34.344,7
A
485,5
A
532,0
A
2,4
321,2
168,0
0,0
2011
113.949,2
A
2.198,6
29.738,9
4,2
1.349,7
477,8
915,0
2.778,0
854,0
A
456,5
5.906,4
15.034,0
22.762,0
A
584.416,0
20.280,0
0,0
A
39.182,2
A
858,5
A
960,0
A
6,0
445,3
207,0
11,9
2012
257.771,4
A
1.367,0
39.062,6
0,0
206,4
646,9
655,0
8.281,0
872,6
136,0
2.805,1
2.145,9
17.124,7
32.870,0
A
2.047.312,0
36.098,4
0,0
0,0
36.262,8
A
1.083,9
A
952,0
A
0,0
467,6
B
29,7
2013
131.898,1
A
2.018,5
40.170,4
0,5
255,6
439,4
1.280,0
7.539,0
621,4
148,0
7.571,6
4.395,2
16.987,2
40.082,0
A
529.200,0
60.342,5
55,0
1.565,0
44.147,9
A
715,7
A
760,0
A
0,0
804,7
0,0
665,4
2014
29.420,3
A
2.381,9
25.967,0
0,0
257,6
0,0
210,0
4.236,0
353,8
1.044,0
7.115,7
5.437,5
12.836,6
45.190,0
A
134.400,0
83.472,5
0,0
1.165,0
36.579,6
A
883,7
A
832,0
A
4,8
1.374,6
B
1.505,6
2015
28.301,0
A
2.072,9
21.889,1
0,3
328,3
0,0
395,0
2.989,5
566,3
2.113,0
18.124,7
5.122,1
9.929,7
42.314,0
A
573.872,0
95.711,0
0,0
840,0
47.583,3
A
1.015,4
A
616,0
A
1,2
2.344,1
112,5
2.007,1
2016
33.806,5
A
1.778,8
17.343,2
0,2
549,5
0,0
587,5
2.112,5
466,5
4.911,7
14.480,5
5.149,5
7.626,9
58.734,0
A
357.344,0
104.436,8
A
770,0
25.968,0
A
876,2
A
634,0
A
0,0
2.496,3
0,0
7.342,8
2017
15.570,1
A
1.097,0
20.022,4
0,2
3.113,9
0,0
225,0
2.767,5
193,5
5.680,2
20.439,8
6.064,0
9.385,8
51.008,0
3.538,2
265.824,0
77.068,2
0,0
1.070,0
39.519,8
A
1.007,0
94,5
416,0
0,0
0,0
1.761,4
375,0
768,8
2018
11.038,3
0,0
1.457,0
23.933,6
0,1
2.735,2
0,0
A
996,5
229,6
2.367,7
11.416,4
5.724,0
5.916,0
54.630,0
3.442,0
451.584,0
78.866,1
0,0
405,0
46.475,0
66,3
1.108,6
85,5
312,0
0,0
0,0
1.827,2
337,5
7.234,3
2019
11.666,2
0,2
957,0
32.035,2
0,2
1.831,2
0,0
A
4.269,5
247,5
3.102,9
21.152,8
4.133,5
5.623,8
57.608,0
1.120,0
278.528,0
68.764,2
B
110,0
42.543,7
154,8
932,1
640,5
168,0
0,0
0,0
1.909,3
A
7.067,3
32
Miljøstyrelsen / Bekæmpelsesmiddelstatistik 2019
MOF, Alm.del - 2020-21 - Bilag 444: Bekæmpelsesmiddelstatistik 2019, fra miljøministeren
2360061_0033.png
Aktivstofnavn
rimsulfuron
s-abscisinsyre
saltsyre
sedaxane
silthiofam
s-methopren
Spinosad
9
spirotetramat
spiroxamin
Streptomyces
K61
sulfosulfuron
svovl
tau-fluvalinat
tebuconazol
tefluthrin
tepraloxydim
tetradecan-1-ol
thiabendazol
thiacloprid
thiamethoxam
thiencarbazone-methyl
thifensulfuron-methyl
thiophanat-methyl
thiram
tolclofos-methyl
tralkoxydim
triasulfuron
tribenuron-methyl
Trichoderma harzianum
T-22
triflumuron
P/B
P
P
B
P
P
B
PB
P
P
P
P
P
P
PB
P
P
P
P
P
PB
P
P
P
P
P
P
P
P
P
B
Anv.-gr.
Hrb
Vkr
Des
Fun
Fun
Flu
Ins, Flu
Ins
Fun
Fun
Hrb
Fun
Ins
Fun, Trb
Ins
Hrb
Ins
Fun
Ins
Ins, Com,
Flu
Hrb
Hrb
Fun
Fun
Fun
Hrb
Hrb
Hrb
Fun
Flu
2010
149,5
A
A
A
A
A
63,7
A
A
A
310,2
11.852,0
9.619,2
46.881,0
0,0
135,8
A
A
4.339,7
362,6
A
780,7
A
7.504,8
200,0
0,0
0,0
1.541,3
A
1,1
2011
384,0
A
A
A
750,0
A
72,2
10,8
A
A
304,8
10.280,0
11.283,8
49.388,8
0,0
163,5
0,7
0,0
5.598,2
324,6
A
905,4
A
8.121,6
7.158,5
0,0
20,0
2.117,6
A
1,0
2012
A
A
A
A
375,0
A
45,2
106,8
A
A
368,0
15.420,0
14.441,8
58.833,1
0,0
144,0
1,1
0,0
4.830,6
360,7
A
1.196,6
A
6.921,6
730,5
5.920,0
21,8
1.569,5
A
0,8
2013
224,8
A
A
A
600,0
A
98,1
106,8
A
A
184,8
17.020,0
19.043,5
79.433,2
0,0
172,5
0,9
0,0
5.128,1
461,3
A
513,4
A
6.220,8
2.358,0
A
20,3
1.889,9
A
2,3
2014
200,0
A
A
A
1.050,0
A
100,1
136,8
A
A
341,2
8.720,0
2.934,0
36.582,5
2.016,0
480,0
0,8
720,0
3.839,1
8.402,6
A
633,4
A
3.840,0
1.872,0
A
0,0
2.260,1
A
0,0
2015
210,5
A
A
A
750,0
A
50,4
154,8
A
1,4
286,4
4.731,2
3.960,0
45.209,1
960,0
0,0
0,9
1.680,0
4.851,3
10.501,1
A
592,7
121,8
6.988,8
7.562,0
A
0,0
1.326,8
14,3
7,5
2016
225,0
A
31.922,5
A
300,0
A
53,5
145,2
A
1,1
208,0
3.068,8
7.593,6
60.684,5
2.400,0
A
1,0
A
6.413,8
9.134,8
0,0
480,0
420,0
11.347,2
720,0
A
0,0
1.459,9
6,4
A
2017
270,0
150,4
24.100,1
A
375,0
0,0
77,0
151,2
0,0
0,6
21,6
2.240,8
10.777,0
81.011,8
2.960,0
A
1,2
A
6.631,9
2.857,0
0,0
444,5
365,4
16.032,0
2.465,0
A
A
2.074,9
128,3
A
2018
288,8
142,4
18.459,9
A
375,0
0,0
277,1
191,8
774,0
0,5
14,4
3.979,2
9.472,3
43.021,0
3.600,0
A
1,2
A
1.468,8
12.174,7
0,0
493,5
386,4
18.662,4
3.543,0
A
A
0,0
155,4
A
2019
310,3
271,2
13.973,7
36,0
300,0
0,0
637,2
222,0
60,0
0,3
A
2.600,0
12.261,6
65.985,4
3.520,0
A
1,4
A
5.097,6
13.628,1
0,0
494,1
228,9
12.288,0
8.460,0
A
A
2.340,7
162,9
A
Miljøstyrelsen / Bekæmpelsesmiddelstatistik 2019
33
MOF, Alm.del - 2020-21 - Bilag 444: Bekæmpelsesmiddelstatistik 2019, fra miljøministeren
2360061_0034.png
Aktivstofnavn
triflusulfuron-methyl
trinexapac-ethyl
Verticillium albo-atrum
strain WCS850
zoxamid
1)
2)
3)
4)
5)
6)
7)
8)
9)
P/B
P
P
P
P
Anv.-gr.
Hrb
Vkr
Fun
Fun
2010
445,0
7.467,5
A
0,0
2011
498,0
6.245,0
A
0,0
2012
510,6
7.396,8
A
0,0
2013
513,0
11.081,0
A
0,0
2014
670,8
17.873,0
A
0,0
2015
887,0
41.079,4
A
B
2016
129,0
31.155,0
A
B
2017
0,0
34.700,8
0,0
0,0
2018
0,0
30.893,1
0,0
0,0
2019
224,5
30.004,5
0,0
B
3-iodo-2-propynylbutylcarbamat (IPBC): Der har været en fejl i koncentrationen for et produkt i Bekæmpelsesmiddeldatabasen. Denne fejl er nu rettet op, hvilket har betydet, at salget er redigeret for 2018.
Alphachloralose: Der er indberettet solgte mængder for 2018, der ikke tidligere har været indberettet til Miljøstyrelsen, dette er nu opdateret for rækken
Brodifacoum: Der er indberettet solgte mængder for 2018, der ikke tidligere har været indberettet til Miljøstyrelsen, dette er nu opdateret for rækken
Clonostachys rosea
strain J1446: Aktivstoffet har ændret navn fra
Gliocladium catenulatum,
strain J1446
Esbiothrin: var i statistikken 2018 registreret som "ej indberettet", dette er nu rettet til "ej godkendt"
Ferrifosfat: En godkendelsesindehaver har opdateret salget af et produkt, dette har betydet en ændring af salget for 2018.
Kuldioxid: Der er indberettet solgte mængder for 2018, der ikke tidligere har været indberettet til Miljøstyrelsen, dette er nu opdateret
Nitrogen: Der er indberettet solgte mængder for 2018, der ikke tidligere har været indberettet til Miljøstyrelsen, dette er nu opdateret
Spinosad, flu: Der er indberettet solgte mængder for 2017, der ikke tidligere har været indberettet til Miljøstyrelsen, dette er nu opdateret for rækken
34
Miljøstyrelsen / Bekæmpelsesmiddelstatistik 2019
MOF, Alm.del - 2020-21 - Bilag 444: Bekæmpelsesmiddelstatistik 2019, fra miljøministeren
2360061_0035.png
4. Landbrugets areal-
anvendelse, vejrforhold og
skadegørere
4.1
Arealanvendelse
Fordeling på hovedafgrøder
Behandlingshyppigheden for pesticider i dansk landbrug beregnes med udgangspunkt i den
del af landbrugsarealet, der aktivt anvendes til planteavl, dvs. omdriftsarealet. Omdriftsarealet
defineres her som det samlede dyrkede landbrugsareal minus vedvarende græsarealer, brak-
lagte arealer og arealer med frugt, bær, skovbrug, prydplanter og øvrigt gartneri.
Bekæmpelsesmiddelstatistikken omfatter kun det konventionelt dyrkede areal i omdrift, der ud-
gør i alt 2,033 mio. ha. i 2019. Dyrkede arealer, der er omlagt til økologi før d. 31. maj 2019,
indgår ikke i statistikken. Tabel 4.1 viser arealanvendelse for hovedafgrøderne i det konventio-
nelle landbrug 2010-2019. De viste arealdata er hentet fra de respektive årgange af Miljøsty-
relsens Bekæmpelsesmiddelstatistik.
Siden 2016 har de arealrelaterede beregninger for alle arealdata været baseret på udtræk fra
Landbrugsstyrelsens system CAP-TAS, hvor oplysninger om ansøgning om arealstøtte ligger
(Fællesskemaet). I årene 2010-2012 var arealdata baseret på Danmarks Statistiks landbrugs-
statistik (konventionelle arealer) og Miljø- og Fødevareministeriet (økologiske arealer). I perio-
den 2012-2015 var de arealrelaterede beregninger for alle data baseret på arealdata fra det
såkaldte Generelle Landbrugsregister (GLR). Arealet er desuden opgjort for sprøjtejournal-
data. De arealrelaterede beregninger har for 2012-2017 været understøttet af GIS-kort mar-
ker
14
.
Hovedafgrøderne dækker over flere forskellige afgrøder (underafgrøder), som har forskellige
behov for bekæmpelse. Især for de tre hovedafgrøder, vintersæd, vårsæd og kartofler er det
relevant at vurdere, om andelen af underafgrøder har ændret sig. For vintersæd gælder det, at
hvede kræver mere bekæmpelse end rug og triticale. For vårsæd kræver vårbyg mere be-
kæmpelse end helsæd, og for kartofler kræver f.eks. stivelseskartofler mere bekæmpelse end
læggekartofler.
De specifikke arealer for de tre hovedafgrøders underafgrøder er angivet i Tabel 4.2. Arealet
med vintersæd er steget med 39 procent i forhold til 2018, og vintersædsarealet for 2019 er
igen på størrelse med arealet i 2016 og 2017. Stigningen i arealer med vintersæd for 2019
hænger sammen med, at der var problemer med store mængder nedbør og meget våde mar-
ker i efteråret 2017, der gjorde, at vintersædsarealet 2018 var markant mindre en normalt. Det
er hovedsageligt arealet af vinterhvede, der i 2018 bidrog til det store udsving i arealet med
vintersæd, da det er denne afgrøde, der udgør det største andel af arealet med vintersædsaf-
grøderne (korn). Udsvinget i arealet af vinterhvede har ikke haft betydning for den relative an-
del af dyrket vinterhvede i forhold til det samlede vintersædsareal de sidste par år. For vårsæd
er der omvendt sket et fald på 34 procent for vårsæd (korn) i 2019 set i forhold til 2018, dette
skyldes, at arealer, hvor det for vækståret 2018 var vanskeligt at etablere vintersæd, i stedet
14
GIS kort Marker er et landsdækkende geografisk tema, som udstiller flest mulige digitaliserede marker
fra den årlige indberetning til Landbrugsstyrelsen. https://kortdata.fvm.dk/download/Index?page=Mark-
blokke_Marker
Miljøstyrelsen / Bekæmpelsesmiddelstatistik 2019
35
MOF, Alm.del - 2020-21 - Bilag 444: Bekæmpelsesmiddelstatistik 2019, fra miljøministeren
blev tilsået med vårsæd. Faldet i vårsæd fra 2018 til 2019 skyldes nedgang i arealet med vår-
byg. Andelen af vårbyg i forhold til det samlede dyrkede vårsædsareal er dog stort set uæn-
dret, når man sammenligner med de to foregående år. Da vintersæd generelt kræver mere be-
kæmpelse af bl.a. ukrudt og svampesygdomme end vårsæd, vil et fald i arealet dyrket med
vårsæd og tilsvarende stigning i arealet dyrket med vintersæd normalt medføre en stigning i
belastningen. For kartofler er der sket en årlig stigning i arealet med stivelsekartofler for perio-
den. Dette medfører i sig selv et øget bekæmpelsesbehov for hovedafgrøden kartofler. For
2019 er stigningen i arealet af stivelsekartofler på 15 procent i forhold til 2018, hvilket er en lidt
større stigning end de tidligere år angivet i tabel 4-2.
36
Miljøstyrelsen / Bekæmpelsesmiddelstatistik 2019
MOF, Alm.del - 2020-21 - Bilag 444: Bekæmpelsesmiddelstatistik 2019, fra miljøministeren
2360061_0037.png
TABEL 4-1
Arealanvendelse i det konventionelle landbrug 2010-2019 og det totale areal, som dyrkes af de konventionelle landmænd, som har indberettet via sprøjte-
journaldata (1.000 ha)
Grøntsager (friland)
Andre frøafgrøder
Samlet konventionelt dyrkede areal (1.000 ha)
2010
2011
2012
2013
2014
2015
2016
2017
2018
2019
962
943
760
737
872
857
763
795
553
767
507
554
697
665
548
575
691
599
806
529
164
153
129
176
165
192
160
176
141
162
63
62
71
80
77
69
71
81
97
105
36
39
38
38
41
41
44
47
50
54
43
44
45
44
41
30
37
38
38
33
13
11
9
10
8
11
13
16
23
15
165
168
193
191
195
186
176
167
181
186
6
6
6
6
6
6
6
6
6
6
258
267
263
262
254
204
195
189
171
175
2.216
2.242
2.211
2.208
2.208
2.171
2.157
2.115
2.067
2.033
Areal i sprøjtejournaldata (1.000 ha)
2010/11
2011/12
2012/13
2013/14
2014/15
2015/16
2016/17
2017/18
2018/19
517
681
668
793
810
722
755
533
732
373
610
589
486
534
619
557
768
500
116
116
159
151
183
153
168
137
155
50
65
73
72
68
67
78
95
102
26
33
33
37
40
42
44
48
52
37
43
40
39
29
36
37
38
32
7
6
7
7
10
11
14
22
14
43
170
170
169
175
166
158
175
178
5
5
6
5
6
6
5
6
6
176
199
198
190
167
166
156
150
157
1.351
1.928
1.943
1.948
2.022
1.988
1.974
1.971
1.928
Omdriftsareal I alt
Korn, vintersæd
Græs og kløver
Årstal / planår
Korn, vårsæd
Bælgsæd
Kartofler
Raps
Roer
Majs
Miljøstyrelsen / Bekæmpelsesmiddelstatistik 2019
37
MOF, Alm.del - 2020-21 - Bilag 444: Bekæmpelsesmiddelstatistik 2019, fra miljøministeren
2360061_0038.png
TABEL 4-2
konventionelle arealanvendelser fordelt på afgrøder og underafgrøder. 2010-2019 (1.000 ha)
Brødhvede, vintersæd
Vinter rug og triticale
Helsæd (vårsæd)
Stivelseskartofler
Vintersæd i alt
Læggekartofler
2010
2011
2012
2013
2014
2015
2016
2017
2018
2019
710
686
546
501
601
571
530
542
378
527
142
128
101
108
118
118
110
123
82
97
79
76
78
91
109
122
110
103
79
117
30
33
30
34
40
40
37
24
11
19
7
6
3
3
4
4
4
3
2
6
962
943
760
737
872
857
791
795
553
767
414
456
599
562
469
494
605
520
686
458
43
44
59
63
39
39
96
51
85
41
37
36
36
40
40
38
50
28
35
30
507
554
697
665
548
571
751
599
806
529
5
5
6
5
5
6
6
7
8
8
12
12
9
9
10
8
9
8
7
6
20
23
23
24
26
28
31
33
35
40
36
39
38
38
41
42
46
47
50
54
38
Miljøstyrelsen / Bekæmpelsesmiddelstatistik 2019
Kartofler i alt
Spisekartofler
Øvrig vårsæd
Vårsæd i alt
Vinterhvede
Vinterbyg
Vårbyg
Konventionelt
areal fordelt på af-
grøder og under-
afgrøder
(1.000 ha)
Helsæd (vintersæd)
MOF, Alm.del - 2020-21 - Bilag 444: Bekæmpelsesmiddelstatistik 2019, fra miljøministeren
4.2
Vækståret 2019
Vækstforholdene har stor betydning for forekomst og omfang af sygdomme, skadedyr og
ukrudt og dermed landbrugets behov for pesticider.
De første vintermåneder i 2019 var milde, solrige og varmere end normalt. I februar var gen-
nemsnitstemperaturen således 4,2 ºC over det normale. Marts måned var ekstrem våd i første
halvdel, hvor der kom mere end den dobbelte nedbørsmængde i forhold til normalen. Tempe-
raturene var ligeledes højere med en gennemsnitstemperatur 3,3 ºC over normalen. Sidste del
af marts og hele april var uden meget nedbør, og gjorde at vækstsæsonen startede med be-
gyndende vandmangel på de sandede jorde allerede i april. Derudover blev april en af de var-
meste måneder og den mest solrige, som indtil nu er registreret. Maj måned var lidt køligere
end normalt, havde normal nedbør, og der forekom stadig en del nætter med nattefrost, hvilket
gav frostskader på en række afgrøder og reducerede væksthastigheden i afgrøderne.
Sommeren 2019 var varm med nedbør og solskinstimer tæt på det normale. Både juni, juli og
august havde gennemsnitstemperaturer over det normale. Nedbørshændelserne var tilstræk-
kelig jævnt fordelt til at sikre, at afgrøderne ikke generelt led af vandmangel på lerjorderne i
juni og juli, og nedbørsunderskuet var væsentlig lavere end i 2018, hvor vi havde ekstrem
tørke mange steder. I august var der 22 dage med nedbør, hvilket var til gene for høsten især i
de vestlige og nordlige egne af Jylland. Desuden var der ekstremt våde forhold i efteråret, som
var til stor gene for både roe-og kartoffelhøsten.
Afgrøderne kom generelt godt igennem den milde vinter, og vækstforholdene var som helhed
ret optimale for de fleste landbrugsafgrøder. I forhold til 2018 var der i 2019 flere betydende
angreb af de plantesygdomme, som fremmes af fugtige vejrforhold.
I hvede var det især tabsgivende angreb af gulrust, som gav anledning til bekymring, og som
ledte til gentagne sprøjtninger i modtagelige sorter. En ny og mere tilpasset gulrust-race gav
aggressive og tabsgivende angreb især i sorten Benchmark, som udgjorde 25 procent af vin-
terhvedearealet. Angrebene af septoria og meldug var mere moderate, men bidrog dog stadig
til de store merudbytter for fungicidsprøjtning, som blev målt i 2019. I gennemsnit af vinterhve-
deforsøgene blev der høstet 18 hkg/ha i merudbytte, hvilket er det højeste gennemsnitlige
merudbytte for svampesprøjtning siden 1998.
I både vinterbyg og vårbyg var det især bygrust, som gav anledning til tabsgivende angreb.
Men også angreb af bygbladplet udviklede sig kraftigt i nogle af de meste dyrkede sorter og
gav anledning til en del sprøjtning.
Angreb af sygdommene knoldbægersvamp og lysbladplet i vinterraps var moderate til lave.
Derimod var angrebene af sygdomme i sukkerroer mere udbredte, hvor især bederust var al-
mindelig. Der blev også set en del angreb af Cercospora-bladplet, mens angrebene af meldug
og ramularia-bladplet i sukkerroer var forholdsvist svage.
Arealet med kartofler er steget fra 2018 til 2019 med 9 procent. Især er arealet med stivelses-
kartofler øget, som er den type kartofler, som har den længste vækstsæson, og som også nor-
malt sprøjtes mest intensivt med fungicider. Angrebene af kartoffelskimmel startede tidligt og
udviklede usædvanligt kraftige angreb som følge af jord- og knoldsmitte. Angrebene af kartof-
felbladplet var også betydelige og gav anledning til flere sprøjtninger.
Generelt var 2019 et år med relativt få skadedyrsproblemer. I både hvede og byg var der ge-
nerelt svage angreb af bladlus, og der optrådte usædvanligt mange mariehøns og svirrefluer,
som var med til at holde bladlusbestanden nede. Der forekom en del angreb af kornbladbiller i
byg, og også bygfluer i vårhvede gav anledning til bekymring. Skadedyrsangrebene i raps var
Miljøstyrelsen / Bekæmpelsesmiddelstatistik 2019
39
MOF, Alm.del - 2020-21 - Bilag 444: Bekæmpelsesmiddelstatistik 2019, fra miljøministeren
2360061_0040.png
overvejende moderate til svage med undtagelse af enkelte lokaliteter, hvor rapsjordloppens
larver har givet betydelige angreb.
Ukrudtsbekæmpelsen fulgte et ret normalt forløb i forhold til tidligere vækstsæsoner. På de fle-
ste vintersædsarealer var ukrudtet bekæmpet allerede i efteråret 2018. Forårssprøjtning blev
på grund af lange perioder med nedbør og nattefrost mange steder udsat til april, hvilket be-
tød, at ukrudtet var blevet større, og gode effekter var sværere at opnå. Der er stigende tilba-
gemeldinger om udfordringer med herbicidresistens hos bl.a. fuglegræs, ager-rævehale og ita-
liensk rajgræs.
For en detaljeret udredning af vejrforholdene i vækstsæson 2019, henvises til ”Oversigt over
landsforsøgene 2019” (SEGES 2019)
15
.
15
Oversigt over landsforsøgene 2019 - https://www.landbrugsinfo.dk/Planteavl/Landsforsoeg-
og-resultater/Oversigten-og-tabelbilaget/Sider/Oversigten_2019_web.pdf
40
Miljøstyrelsen / Bekæmpelsesmiddelstatistik 2019
MOF, Alm.del - 2020-21 - Bilag 444: Bekæmpelsesmiddelstatistik 2019, fra miljøministeren
2360061_0041.png
5. Repræsentativiteten af
forbrugsdata baseret på
sprøjtejournaldata
5.1
Om sprøjtejournalerne
Beregningerne af behandlingshyppighed og belastning var før 2011 udelukkende baseret på
salgstal, og Miljøstyrelsens oplysninger om aktivstoffernes og midlernes egenskaber. Resulta-
terne var derfor afhængige af de begrænsninger, der ligger i at benytte salgsstatistik kombine-
ret med ekspertskøn i stedet for at benytte forbrugsstatistik. Fra og med 2011 er det imidlertid
muligt at supplere ekspertvurderingerne med forbrugsdata fra de elektroniske indberettede op-
lysninger fra sprøjtejournaler, der hvert år (siden 2011) indberettes af jordbrugerne til Miljømi-
nisteriet. Hvor salgsstatistikken er baseret på solgte mængder i det senest afsluttede regn-
skabsår, er de elektroniske indberetninger knyttet til høståret (1. august til 31. juli det følgende
år).
Bekendtgørelse om sprøjtejournaler (Nr. 814 af 7/6 2017) specificerer, at alle professionelle
brugere af plantebeskyttelsesmidler, skal føre sprøjtejournal, og hvilke oplysninger der skal
indberettes til Miljøstyrelsen.
Registrering af forbrug af plantebeskyttelsesmidler til bekæmpelse af muldvarpe og mosegrise
skal ikke ske efter reglerne i denne bekendtgørelse, men efter reglerne i bekendtgørelse om
gasning i forbindelse med skadedyrsbekæmpelse (bekg. nr. 1412 af 4.12. 2017)
16
, og forbru-
get af disse midler skal ikke indberettes til Miljøstyrelsen. Brugerne af disse midler er endvi-
dere ikke kun jordbrugere.
Ligeledes skal golfbaners registrering af deres forbrug af plantebeskyttelsesmidler i stedet ske
i Miljøstyrelsens databasen GreenData jf. reglerne i bekendtgørelse om anvendelse af plante-
beskyttelsesmidler på golfbaner (bekg. nr. 1774 af 30. 11. 2020)
17
.
Pesticidforbruget på offentlige arealer skal normalt indberettes til Miljøstyrelsen hvert 3. år på
baggrund af en spørgeskemaundersøgelse.
Ejere og brugere af almindelige jordbrugsvirksomheder (landbrug og skovbrug) med et samlet
dyrket areal på 10 ha. eller derover, og ejere og brugere af øvrige jordbrugsvirksomheder (høj-
værdiafgrøder såsom gartnerier, planteskoler, frugtplantager mv.) med en årlig momspligtig
omsætning på 50.000 kr. eller derover, har pligt til at indberette virksomhedens forbrug af
plantebeskyttelsesmidler – uanset størrelsen på det dyrkede areal. Der skal indberettes føl-
gende oplysninger til Miljøstyrelsen:
1) Ejer eller brugers CVR-nr.
2) Hvorvidt der i virksomheden er anvendt plantebeskyttelsesmidler på det dyrkede areal. Så-
fremt der anvendes plantebeskyttelsesmidler, skal indberetningen indeholde oplysninger om
det samlede forbrug opgjort på kultur- eller afgrødeniveau for hvert anvendt plantebeskyttel-
sesmiddel (navn og registreringsnummer).
16
https://www.retsinformation.dk/Forms/R0710.aspx?id=195034
https://www.retsinformation.dk/eli/lta/2020/1774
17
Miljøstyrelsen / Bekæmpelsesmiddelstatistik 2019
41
MOF, Alm.del - 2020-21 - Bilag 444: Bekæmpelsesmiddelstatistik 2019, fra miljøministeren
Indberetningen skal omfatte perioden 1. august – 31. juli (planperioden). For ejere og brugere,
der dyrker arealer, der skal behandles med plantebeskyttelsesmidler efter den 31. juli, men in-
den 30. september, og som skal høstes inden den 31. december, forlænges planperioden til
den 30. september.
De oplysninger, der er indberettet til Miljøministeriet, er altså det samlede forbrug af pesticider
opgjort på jordbrugerens afgrødeniveau. Det er således ikke den mere detaljerede sprøjtejour-
nal, som jordbrugeren skal føre for de enkelte marker og behandlinger, der er indberettet, men
en opsummering af data fra disse sprøjtejournaler. Derfor bruges betegnelsen ”sprøjtejournal-
data” og ”indberettede sprøjtejournaldata”, men ikke ”sprøjtejournaler” om de indberettede op-
lysninger, der ligger til grund for statistikken. Sprøjtejournaldata omtales primært som for-
brugsdata i nærværende bekæmpelsesmiddelstatistik.
På grundlag af data fra sprøjtejournalerne, hvor indberetningerne i 2018/19 dækker 95 procent
af det samlede, konventionelt dyrkede omdriftsareal, er der udarbejdet en forbrugsstatistik.
Der kan være en skævhed i fordelingen af bedrifter, der har indberettet deres forbrug. Således
at f.eks. store eller små bedrifter, bedrifter med bestemte afgrøder, økologiske bedrifter eller
bedrifter, der sprøjter meget eller lidt, kan være over- eller underrepræsenteret i årets indbe-
retninger. Til sammenligning af forbrugstal med salgstallene og til belysning af fordeling af
midler på afgrøderne er det dog antaget, at de indberettede sprøjtejournaldata på afgrødeni-
veau i alle sammenhænge er repræsentative for det samlede, konventionelt dyrkede landbrug.
Statistikken omfatter kun det konventionelt dyrkede areal i omdrift. Dvs., at omdriftsarealer, der
er omlagt til økologi før d. 31. maj 2019, er trukket ud af datagrundlaget. I de tilfælde, hvor der
har været åbenlyst fejlagtige oplysninger, er den pågældende afgrøde og dens pesticidbe-
handlinger også taget ud af datagrundlaget for den pågældende bedrift. Derudover er der ikke
foretaget udvælgelse af sprøjteoplysningerne, og der er ikke gjort forsøg på ekstrapolation til
det samlede landbrugsareal i omdrift eller andre former for vægtning.
Indberetningerne fra 2018/19 dækker 95 procent af omdriftsarealet, men der udarbejdes ikke
en vægtet opskalering på f.eks. standardbehandlinger og belastning (B) for de enkelte afgrø-
der, men der sammenlignes relative, arealkorrigerede begreber som f.eks. behandlingshyppig-
hed (BI pr. ha), fladebelastning (B pr. ha) og pesticidbelastningsindikator (PBI).
Tabel 5.1 viser andelen af det totale konventionelle dyrkede areal med landbrugsafgrøder i
omdrift for høstårene 2010 – 2019 (vækstsæsonerne 2010/2011 - 2018/2019), der har indbe-
rettet.
Over årene er der indberettet sprøjtejournaldata for en stadig stigende andel af det dyrkede
areal. For de seneste tre planperioder er det således kun 5-7 procent af det totale konventio-
nelt dyrkede omdriftsareal, for hvilke der ikke er indberettet forbrugsdata. Til sammenligning
manglede der indberetning for 10 procent af arealet i 2013/2014. Forbruget i visse afgrøder
indberettes med højere andel end andre. F.eks. indberettes forbruget i planåret 2018/2019 for
98 procent af arealet med roer og 89 procent af arealer med græs og kløver. Den lavere pro-
centdel af arealer med græs kan skyldes, at der er en række jordbrugere, der alene har græs,
og som ikke har indberettet sprøjtejournaldata, idet pesticidforbruget i græs og kløver normalt
er meget lavt eller lig nul.
42
Miljøstyrelsen / Bekæmpelsesmiddelstatistik 2019
MOF, Alm.del - 2020-21 - Bilag 444: Bekæmpelsesmiddelstatistik 2019, fra miljøministeren
2360061_0043.png
TABEL 5-1
Andel af det totale konventionelle areal, som er indberettet via sprøjtejournaler
Andel af det totale konventionelt dyrkede areal med indberetning
Omdriftsareal i alt
76%
89%
89%
90%
93%
92%
93%
95%
95%
Korn, vintersæd
Græs og kløver
67%
82%
84%
83%
82%
85%
82%
88%
89%
Korn, vårsæd
Planår
2010/2011
2011/2012
2012/2013
2013/2014
2014/2015
2015/2016
2016/2017
2017/2018
2018/2019
77%
90%
91%
91%
95%
95%
95%
96%
95%
76%
89%
89%
90%
93%
90%
93%
95%
95%
77%
91%
90%
92%
95%
96%
96%
97%
96%
82%
92%
91%
94%
99%
94%
96%
97%
97%
75%
85%
87%
91%
98%
95%
94%
97%
95%
85%
94%
92%
94%
97%
97%
97%
98%
98%
73%
88%
84%
84%
91%
85%
91%
95%
92%
79%
89%
89%
87%
94%
94%
94%
97%
96%
77%
87%
94%
93%
100%
100%
86%
88%
91%
Grøntsager
(Friland)
Andre
frøafgrøder
Bælgsæd
Kartofler
Raps
Roer
Majs
Miljøstyrelsen / Bekæmpelsesmiddelstatistik 2019
43
MOF, Alm.del - 2020-21 - Bilag 444: Bekæmpelsesmiddelstatistik 2019, fra miljøministeren
2360061_0044.png
6. Salg af pesticider til
landbrugsafgrøder i 2019
6.1
Opdeling af pesticider på landbrug samt øvrige afgrøder
og anvendelser
For at kunne beregne og analysere landbrugets pesticidanvendelser er det nødvendigt først at
opdele det samlede salg af pesticider på landbrug og øvrige anvendelser.
Mange midler kan anvendes både i og uden for landbruget, og midlerne kan have forskellige
standarddoseringer i forskellige afgrøder. Ved beregning af behandlingshyppighed og belast-
ning for landbrugets pesticidanvendelse er det derfor nødvendigt først at fordele de solgte
mængder på landbrug og ikke-landbrug, for dernæst at fordele dem på hovedafgrøder. Denne
fordeling sker dels på grundlag af midlernes anvendelse, jf. deres godkendelse, dels på grund-
lag af en agronomisk vurdering, der er understøttet af forbrugsdata fra de indberettede sprøjte-
journaloplysninger, der fra og med høståret 2011 er blevet indberettet til Miljøministeriet.
Landbrugsanvendelsen fordeles til 1) vintersæd, 2) vårsæd, 3) raps, 4) andre frøafgrøder, 5)
kartofler, 6) roer, 7) ærter (og anden bælgsæd), 8) majs, 9) grøntsager (friland), 10) sædskifte-
græs samt 11) glyphosat anvendt i omdriftsarealet. Derudover fremgår der af bilag 4 en detal-
jeret fordeling for 2018, hvor den øvrige anvendelse opdeles på 12) frugt og bær, 13) pryd-
planter og planteskoler (øvrigt gartneri), 14) juletræer-pyntegrønt-skov og 15) væksthuse samt
en restgruppe med hus og have, parker, golfbaner, offentlige veje, anlæg og pladser mv.
Fra og med 2016 er de arealrelaterede beregninger for alle data baseret på udtræk fra Land-
brugsstyrelsens system CAP-TAS. I perioden 2012-2015 var de arealrelaterede beregninger
for alle data baseret på arealdata fra det såkaldte Generelle Landbrugsregister, GLR. De are-
alrelaterede beregninger har for 2012-2017 været understøttet af GIS-kort marker
18
. Før 2012
var beregningerne baseret på konventionelle arealdata fra Danmarks Statistik og økologiske
arealdata fra Fødevareministeriet. Danmarks Statistik medtager kun bedrifter med omdriftsare-
aler på mere end 5 ha, eller med stor omsætning som f.eks. for gartnerier, mens de benyttede
arealdata fra Landbrugsstyrelsen (inkl. GLR) kun medtager bedrifter, der modtager en eller an-
den form for støtte (som f.eks. enkeltbetaling/grundbetaling, Ø-støtte, MVJ, miljøvenlig drift
osv.) eller har en autorisation eller anden status for omlægning/ophør med økologi.
Da en del bedrifter er under 5 ha, og en del bedrifter ikke modtager støtte, betyder det, at i
størrelsesordenen 10-20.000 ha, svarende til under 1 procent af det samlede landbrugsareal,
typisk græs- og brakarealer, mangler, uanset hvilket af de to datagrundlag, der benyttes. Ved
kun at benytte arealdata fra Landbrugsstyrelsen (CAP-TAS) er det muligt at benytte en ensar-
tet og mere præcis definition af hvilke afgrøder, der indgår i hvilke hovedafgrøder, uanset om
der regnes på salgstal eller forbrugsdata.
18
GIS kort Marker er et landsdækkende geografisk tema, som udstiller flest mulige digitaliserede marker
fra den årlige indberetning til Landbrugsstyrelsen. https://kortdata.fvm.dk/download/Index?page=Mark-
blokke_Marker
44
Miljøstyrelsen / Bekæmpelsesmiddelstatistik 2019
MOF, Alm.del - 2020-21 - Bilag 444: Bekæmpelsesmiddelstatistik 2019, fra miljøministeren
2360061_0045.png
Til brug for analyserne i rapporten opdeles midlerne i anvendelser ud fra deres registreringer i
Miljøstyrelsens Bekæmpelsesmiddeldatabase (BMD). Midlerne opdeles på følgende mulige
anvendelser:
PRI: Midler der må anvendes af ikke-professionelle brugere (private)
LAG: Midler ”Kun til høstede afgrøder i kornlagre o.l.”.
VKH: Midler ”kun til væksthuse”.
IND: Bejdsemidler kun til industriel anvendelse (ej kun til eksport) – bejdset såsæd må sælges
i Danmark såvel som eksporteres.
BJS: Bejsemidler (ej kun til eksport)
EXP: Bejsemidler kun til eksport – bejdset såsæd må ikke sælges i Danmark.
Blank: Midler, der ikke er registreret med en af de mulige anvendelser nævnt i ovenstående.
Gruppen omfatter primært midler til brug på friland, men f.eks. indgår også midler, der både er
godkendt til brug på friland og i væksthuse.
TABEL 6-1
aktivstofmængde (kg) fordelt på anvendelsesgrupper og mulige anvendelser for
solgte pesticider 2019.*
Solgte mæng-
der 2019
i kg
Ukrudtsmidler
Vækstregulering
Svampemidler
Insektmidler
Sneglemidler
Afskræknings-
midler
Rodenticider
Pesticider i alt
Friland
mm.
Kun
vækst-
huse
0
3.390
0
1.474
0
0
0
4.864
Bejdse ej
til ek-
sport
0
0
37.599
3.520
0
0
0
41.119
Private
Lager o.l.
og eksport
1.981.387
127.844
385.327
40.419
2.252
394
341
2.537.963
44.167
0
194
139
163
33
0
44.696
0
1.040
13.167
21.286
0
0
0
35.493
*
Tabellen har tidligere indeholdt anvendelsesgrupperne ”Kombinerede svampe og insektmidler”, Jorddes-
infektionsmidler og nematicider. For disse grupper er der intet salg i 2019, og de indgår derfor ikke i tabel-
len.
Tabel 6.1 viser, hvordan den solgte mængde af aktivstoffer i pesticider fordeler sig på ”kun til
væksthuse”, ”bejdse ej til eksport”, ”Private” og ”lager og eksport”. De resterende mængder er
præsenteret i kolonnen ”Friland mm.”. Tabellen er baseret på opgørelserne i Bilag 3. Midler til
”Friland mm.” analyseres grundigt i de næste kapitler, hvor det bl.a. vurderes, hvor stor en del
af disse midler, der anvendes på friland i jordbruget, og hvor stor en del, der anvendes til an-
dre formål, herunder indendørs brug i væksthuse.
6.1.1
Bejdsemidler og pesticider solgt til øvrige anvendelser
Dansk udsæd, der sælges i Danmark, er ofte bejdset med mindre belastende bejdsemidler,
mens dansk udsæd, der eksporteres, kan være bejdset med andre midler, der er mere bela-
stende. Bejdsemidler, der ikke kun er til eksport, kan lige så vel eksporteres som sælges i
Danmark. Endelig kan importeret udsæd være bejdset med bejdsemidler, hvor belastningen er
ukendt. Det er derfor vanskeligt på grundlag af salgsstatistikken alene at konstruere et dæk-
kende billede af belastningen med bejdsemidler i dansk landbrug. De elektroniske sprøjtejour-
naldata kan ikke medvirke til en afdækning, da hverken indkøbte bejdsemidler eller bejdsemid-
ler på indkøbt udsæd skal indberettes. Bejdsemidler kun til eksport forventes ikke anvendt i
Miljøstyrelsen / Bekæmpelsesmiddelstatistik 2019
45
MOF, Alm.del - 2020-21 - Bilag 444: Bekæmpelsesmiddelstatistik 2019, fra miljøministeren
2360061_0046.png
Danmark, men for de øvrige bejdsemidler er det uvist, hvor stor en del af den beregnede
mængde, der anvendes i Danmark.
Da det er vanskeligt at afdække det samlede forbrug af bejdsemidler, og der ikke beregnes
behandlingshyppighed for bejdsemidlerne, er det valgt at udelade bejdsemidlerne fra en
række af de efterfølgende analyser af såvel aktivstofmængde som belastning for landbrugsaf-
grøderne og øvrige afgrøder. Midler, der må anvendes af ikke-professionelle brugere, opgøres
særskilt i publikationen ”Salg af pesticider til brug i private haver”.
6.2
Aktivstofmængde og miljøbelastning for pesticider solgt i
2019 opdelt på anvendelsesgrupper
Den samlede mængde solgte aktivstoffer siger ikke i sig selv noget om, hvor belastende stof-
ferne er for miljø og sundhed. Miljøbelastningen kan beregnes direkte ud fra de solgte mæng-
der af de enkelte aktivstoffer. Den samlede belastning, som inkluderer sundhedsbelastningen,
kan derimod kun beregnes på produktniveau. Det skyldes, at klassificeringen af produkterne
er afgørende for sundhedsbelastningen. Aktivstoffernes miljøbelastning i et givent år afhænger
både af, hvor belastende stoffet er men også af i hvor store mængder, stoffet er solgt. Tabel
4.2 viser de 10 aktivstoffer, der tegner sig for den største andel af summen af miljøadfærds-
og miljøeffektbelastningen i 2019 for midler, der må anvendes af professionelle på friland i
landbruget.
TABEL 6-2
Top-10 aktivstoffer baseret på andel af samlet miljøbelastning for aktivstoffer solgt
til anvendelse af professionelle på friland.
Samlet
miljø-
belastning
(1.000 B)
367
217
176
143
108
103
99
92
89
72
1.468
Anven-
delses-
gruppe
Ins
Hrb
Hrb
Ins
Fun
Hrb
Hrb
Fun
Fun
Hrb
Aktivstofnavn
% belastning
af den totale
miljøbelastning
16,7%
9,9%
8,1%
6,5%
5,0%
4,7%
4,5%
4,2%
4,0%
3,3%
67,0%
Mængde
aktivstof
kg
3.328
1.175.482
278.528
12.262
42.544
39.363
38.223
43.716
12.613
85.196
1.731.253
% aktivstof
af den totale
mængde
0,1%
46,3%
11,0%
0,5%
1,7%
1,6%
1,5%
1,7%
0,5%
3,4%
68,2%
lambda-cyhalothrin
glyphosat
prosulfocarb
tau-fluvalinat
pyraclostrobin
aclonifen
diflufenican
boscalid
epoxiconazol
MCPA
I alt
Det fremgår af Tabel 6.2, at Top-10 aktivstofferne tegner sig for 67 procent af den samlede
miljøbelastning (miljøadfærd og miljøeffekt sammenlagt) og 68,2 procent af den samlede
solgte mængde aktivstoffer for pesticider solgt i 2019 til anvendelse af professionelle på fri-
land.
Målt på miljøbelastningen (summen af adfærd og effekt) er det lambda-cyhalothrin (16,7 %) og
glyphosat (9,9 %), der tegner sig for de største andele i 2019. Derudover tegner prosulfocarb
(8,1 %) sig også for en væsentligt andel.
Det fremgår også, at der er stor forskel på aktivstoffernes andel af den samlede miljøbelast-
ning og deres andel af solgte mængder aktivstof. Glyphosat udgør f.eks. hele 46,3 procent af
den samlede mængde aktivstof, men kun 9,9 procent af den samlede belastning, mens
46
Miljøstyrelsen / Bekæmpelsesmiddelstatistik 2019
MOF, Alm.del - 2020-21 - Bilag 444: Bekæmpelsesmiddelstatistik 2019, fra miljøministeren
lambda-cyhalothrin, der udgør 16,7 procent af den samlede miljøbelastning, kun udgør under
0,1 procent af den samlede mængde aktivstof.
Miljøstyrelsen / Bekæmpelsesmiddelstatistik 2019
47
MOF, Alm.del - 2020-21 - Bilag 444: Bekæmpelsesmiddelstatistik 2019, fra miljøministeren
7. Landbrugets behandlings-
hyppighed og pesticid-
belastning 2010-2019
7.1
Indledning
I det følgende beskrives udviklingen i landbrugets pesticidanvendelse i perioden 2010-2019.
Udviklingen beskrives ved at følge forskellige parametre - mængde aktivstof, antal standard-
behandlinger og belastning. Desuden anvendes forskellige nøgletal såsom behandlingshyp-
pighed, fladebelastning og Pesticidbelastningsindikatoren. En beskrivelse af begreberne kan
ses i kapitel 2 ”Begreber for pesticider”.
7.2
Aktivstofmængder og behandlingshyppigheder
Det fremgår af Tabel 7.1, at de solgte mængder af aktivstoffer faldt væsentligt fra 2012 til
2014, et fald på 58 procent. Salget steg igen i 2015 og har siden da, overordnet set, ligget på
et stabilt niveau. For 2019 er det samlede salg af aktivstoffer 37 procent lavere end 2013. Sal-
get er i 2019 1 procent højere end i 2018. De samlede forbrugte mængder af aktivstof, har i
perioden 2011/12 til 2016/17 ligget stabilt sammenlignet med de solgte mængder. For planåret
2017/18 skete der et fald på 32 procent i forhold til planperioden 2016/17. For planåret
2018/19 er den samlede mængde af forbrugte aktivstoffer igen steget, og det ligger på et ni-
veau, der er 39 procent højere end i 2017/18. Dette er stadig 5 procent lavere end for planåret
2016/17. Samlet set har aktivstofforbruget været faldende siden planåret 2014/15.
Det fremgår af Tabel 7.2 og Figur 7.1, at behandlingshyppigheden for salgstal var lavest i
2000, hvor BH er beregnet til 2,07. Fra 2000 til 2009 er behandlingshyppigheden, baseret på
salgstal, steget jævnt fra 2,07 til 2,60 BI/ha. En undtagelse er 2008, hvor behandlingshyppig-
heden forbigående steg til 3,27 BI/ha. Fra 2009 til 2012 steg behandlingshyppigheden igen
jævnt, men kraftigt, fra 2,60 til 3,96 BI/ha. Det svarer til, at behandlingshyppigheden steg med
91 procent i forhold til år 2000. Fra 2012 til 2014 faldt behandlingshyppigheden baseret på
salgstallene 31 procent og var i 2014 beregnet til 2,73 BI/ha, hvor den lå nogenlunde stabilt
frem til og med 2016. For 2017 og 2018 steg behandlingshyppigheden til et ensartet niveau,
der lå på 3,3 BI/ha i 2018. For 2019 er behandlingshyppigheden steget 6 procent i forhold til
2018 og ligger nu på 3,49.
Behandlingshyppigheden for forbrugsdata har siden 2011/12 været jævnt stigende frem til og
med 2016/17. For 2017/18 faldt behandlingshyppigheden til 2,71 fra at have ligget på 3,13 i
2016/17, hvilket svarer til et fald på 13 procent. For planåret 2018/19 er behandlingshyppighe-
den steget igen, og den ligger nu på 3,32, hvilket er det højeste for perioden siden 2010/11,
hvor data er opgjort. Det svarer til hhv. 6 og 23 procent højere end for planårene 2016/17 og
2017/18.
48
Miljøstyrelsen / Bekæmpelsesmiddelstatistik 2019
MOF, Alm.del - 2020-21 - Bilag 444: Bekæmpelsesmiddelstatistik 2019, fra miljøministeren
2360061_0049.png
TABEL 7-1
Standardbehandlinger, behandlingshyppighed og solgt aktivstofmængde. Fordelt på anvendelsesgrupper, baseret på salgstal og forbrugstal for omdriftsare-
aler.
Aktivstofmængde fordelt på arealet (kg pr. ha), Standardbehandlinger (mio. BI) og Behandlingshyppighed (BH) (BI pr. ha)
Salgstal
Årstal
Areal (1.000 ha)
2010
2011
2012
2013
2014
2015
2016
2017
2018
Forbrugstal
2019 10-11 11-12 12-13 13-14 14-15 15-16 16-17 17-18 18-19
2.216 2.242 2.211 2.208 2.208 2.172 2.157 2.115 2.067 2.033 1.351 1.928 1.943 1.948 2.161 1.988 1.974 1.971 1.928
Aktivstofmængde (mio. kg)
Aktivstof mio. kg
3,90
4,33
5,71
3,96
1,67
2,39
2,20
2,47
2,41
2,45
1,90
2,29
2,13
2,24
2,44
2,21
2,17
1,48
2
2,06
Aktivstofmængde fordelt på arealet (kg pr. ha)
Ukrudtsmidler
Vækstregulering
Svampemidler
Insektmidler
1
I alt
1,44
0,09
0,22
0,02
1,76
1,60
0,07
0,24
0,01
1,93
2,02
0,17
0,37
0,03
2,59
1,28
0,12
0,36
0,03
1,80
0,53
0,05
0,16
0,02
0,76
0,84
0,05
0,19
0,01
1,10
0,75
0,09
0,15
0,03
1,02
0,86
0,09
0,19
0,02
1,17
0,92
0,06
0,17
0,02
1,17
0,94
0,06
0,19
0,02
1,20
0,77
0,06
0,25
0,01
1,09
0,82
0,09
0,24
0,01
1,16
0,73
0,09
0,23
0,01
1,06
0,80
0,10
0,23
0,01
1,15
0,81
0,09
0,22
0,01
1,13
0,80
0,10
0,20
0,01
1,11
0,77
0,10
0,22
0,01
1,10
0,53
2
0,06
2
0,14
2
0,02
2
0,75
2
0,75
0,08
0,22
0,01
1,07
Standardbehandlinger (mio. BI)
Ukrudtsmidler
Vækstregulering
Svampemidler
Insektmidler
1
I alt
3,68
0,27
1,35
1,01
6,31
4,48
0,22
1,72
0,78
7,21
4,62
0,48
1,92
1,74
8,75
4,29
0,41
2,19
1,41
8,30
3,46
0,31
1,78
0,47
6,02
3,43
0,50
1,87
0,52
6,32
3,54
0,54
1,55
0,71
6,34
3,93
0,59
1,79
0,77
7,09
3,64
0,45
1,90
0,82
6,81
3,85
0,41
1,89
0,96
7,10
2,03
0,13
1,10
0,55
3,81
2,58
0,22
1,30
0,66
4,76
2,60
0,24
1,36
0,64
4,85
2,71
0,31
1,67
0,58
5,27
3,13
0,41
1,84
0,67
6,05
2,98
0,52
1,67
0,68
5,84
3,06
0,55
1,84
0,73
6,18
2,80
0,32
1,40
0,82
5,34
3,12
0,47
2,11
0,71
6,41
Behandlingshyppighed (BH) (BI pr. ha)
Ukrudtsmidler
Vækstregulering
Svampemidler
Insektmidler
1
I alt
1)
2)
1,66
0,12
0,61
0,46
2,00
0,1
0,77
0,35
2,09
0,22
0,87
0,79
1,94
0,19
0,99
0,64
1,57
0,14
0,81
0,22
1,58
0,23
0,86
0,24
1,64
0,25
0,72
0,33
1,86
0,28
0,85
0,36
3,35
1,76
0,22
0,92
0,40
3,30
1,89
0,20
0,93
0,47
3,49
1,50
0,09
0,81
0,41
2,82
1,34
0,11
0,67
0,34
2,47
1,34
0,13
0,70
0,33
2,49
1,39
0,16
0,86
0,30
2,71
1,45
0,19
0,85
0,31
2,80
1,50
0,26
0,84
0,34
2,94
1,55
0,28
0,93
0,37
3,13
1,42
0,16
0,71
0,42
2,71
1,62
0,24
1,10
0,37
3,32
2,85 3,22 3,96 3,76 2,73 2,91 2,94
Sneglemidler er indregnet
Data er genberegnet pga. fejl i Bekæmpelsesmiddelstatistik 2018
Miljøstyrelsen / Bekæmpelsesmiddelstatistik 2019
49
MOF, Alm.del - 2020-21 - Bilag 444: Bekæmpelsesmiddelstatistik 2019, fra miljøministeren
2360061_0050.png
TABEL 7-2
Behandlingshyppighed 1997-2019. Fordelt på anvendelsesgrupper baseret på
salgstal og forbrugstal for omdriftsarealer.
År
Salgsdata
1997
1998
1999
2000
2001
2002
2003
2004
2005
2006
2007
2008
2009
2010
2011
2012
2013
2014
2015
2016
2017
2018
2019
Forbrugstal
2010/11
2011/12
2012/13
2013/14
2014/15
2015/16
2016/17
2017/18
1,50
1,34
1,34
1,39
1,45
1,50
1,55
1,42
0,09
0,11
0,13
0,16
0,19
0,26
0,28
0,16
0,24
0,81
0,67
0,70
0,86
0,85
0,84
0,93
0,71
1,10
0,41
0,34
0,33
0,30
0,31
0,34
0,37
0,42
0,37
2,82
2,47
2,49
2,71
2,80
2,94
3,13
2,71
3,32
1,66
1,47
1,37
1,28
1,18
1,30
1,39
1,40
1,46
1,44
1,61
1,78
1,3
1,66
2,00
2,09
1,94
1,57
1,58
1,64
1,86
1,76
1,89
0,05
0,09
0,11
0,10
0,15
0,08
0,09
0,12
0,13
0,08
0,11
0,17
0,15
0,12
0,10
0,22
0,19
0,14
0,23
0,25
0,28
0,22
0,20
0,59
0,58
0,60
0,50
0,50
0,46
0,50
0,61
0,63
0,52
0,55
0,83
0,54
0,61
0,77
0,87
0,99
0,81
0,86
0,72
0,85
0,92
0,93
0,32
0,26
0,37
0,19
0,35
0,26
0,36
0,27
0,28
0,47
0,29
0,49
0,62
0,46
0,35
0,79
0,64
0,22
0,24
0,33
0,36
0,40
0,47
2,63
2,40
2,45
2,07
2,19
2,10
2,33
2,39
2,49
2,52
2,56
3,27
2,60
2,85
3,22
3,96
3,76
2,73
2,91
2,94
3,35
3,30
3,49
Ukrudtsmidler
Vækstreg.
Svampemidler
Insektmidler
1
I alt
2018/19
1,62
1) Sneglemidler er indregnet
50
Miljøstyrelsen / Bekæmpelsesmiddelstatistik 2019
MOF, Alm.del - 2020-21 - Bilag 444: Bekæmpelsesmiddelstatistik 2019, fra miljøministeren
2360061_0051.png
4,50
4,00
3,50
3,00
2,50
2,00
1,50
1,00
0,50
0,00
Ukrudtsmidler
Vækstreg.
Svampemidler
Insektmidler
Salgstal
FIGUR 7.1
Udviklingen i behandlingshyppigheden for omdriftsarealer. Baseret på salgstal
(1997-2019) og forbrugstal (2010/11-2018/19).
7.3
7.3.1
Pesticidbelastning
Samlet pesticidbelastning
Tabel 7.3 viser udviklingen i samlet belastning, fladebelastning og Pesticidbelastningsindikato-
ren (PBI) 2010-2019 fordelt på hovedindikatorerne sundhed, miljøadfærd og miljøeffekt.
Det fremgår af Tabel 7.3, at den samlede pesticidbelastning fra midler anvendt på omdriftsare-
aler i landbruget, baseret på salgsdata, toppede i 2012 med 10,86 mio. B. Herefter faldt den
markant frem til 2014, hvor den lå på 3,2 mio. B. Siden 2014 har den samlede belastning kun
været let svingende og for 2019 ligger den på 3,41 mio. B hvilket er 0,27 mio. B lavere end for
2018.
Af Tabel 7.3 fremgår det, at der for perioden fra 2011/12 til 2016/17 samlet set ikke forekom-
mer store udsving mellem årene for den samlede belastning for forbrugstal. Dog med en fal-
dende tendens i perioden fra 2013/14 til 2016/17. For planåret 2017/18 faldt den samlede be-
lastning for forbruget af pesticider til 2,98 mio. B, hvilket var et fald på 31 procent i forhold til
2016/17. For planåret 2018/19 er den samlede belastning steget med 22 procent i forholdt til
2017/18, og den ligger nu på 3,63 mio. B. Sammenlignes 2018/19 derimod med niveauet for
2016/17, er pesticidbelastningen for forbruget faldet med 16 procent i 2018/19.
7.3.2
Pesticidbelastningsindikator
Pesticidbelastningsindikatoren (PBI) for 2019 beregnes som fladebelastningen ganget med
forholdet mellem omdriftsarealet i 2019 og 2007 (PBI = BF*areal 2019/areal 2007). Omdrifts-
arealet i 2007 var på 2.169.000 ha. Ved beregning af PBI i 2019 betyder det, at fladebelastnin-
gen ganges med 0,937 (2.033.000 ha / 2.169.000 ha). Ved beregning af PBI for forbrugsdata
ganges fladebelastningen fra konventionelle landbrug med samme faktor (0,937).
2010/11
2011/12
2012/13
2013/14
2014/15
2015/16
2016/17
2017/18
2018/19
Forbrugsdata
Miljøstyrelsen / Bekæmpelsesmiddelstatistik 2019
51
1997
1998
1999
2000
2001
2002
2003
2004
2005
2006
2007
2008
2009
2010
2011
2012
2013
2014
2015
2016
2017
2018
2019
MOF, Alm.del - 2020-21 - Bilag 444: Bekæmpelsesmiddelstatistik 2019, fra miljøministeren
For forbrugsdata ses det, at PBI i årene 2010-2013 lå under PBI baseret på salgstal. For
2014-2017 ligger PBI højere for forbrugsdata end for salgstal. Det kunne tyde på, at der i
sprøjtesæsonerne 13/14-16/17 fortsat til dels er brugt midler fra lager frem for udelukkende ny-
indkøbte midler. For 2018 lå PBI baseret på sprøjtejournaldata for første gang siden 2013 la-
vere end PBI for salgsdata. Dette skal, som udgangspunkt, ses som en konsekvens af tørken i
2018, som medførte et lavere pesticidforbrug, snarere end en konsekvens af, at der ikke læn-
gere blev anvendt pesticider fra lager. For 2018/2019 ligger PBI for forbrugsdata på 1,76.
Dette er et fald på 17 procent i forhold til 2016/17 og 40 procent lavere end planåret 2010-
2011, der er det første planår pesticidbelastningen er beregnet for og det planår, hvor den hø-
jeste pesticidbelastning blev registreret. Den lave PBI for 2018/19 hænger sammen med, at en
række aktivstoffer med høj belastning i mindre grad er anvendt i dette planår sammenlignet
med planåret 2016/17. Dette gælder særligt for anvendelsen af aktivstofferne: alpha-cyper-
methrin, cypermethrin, epoxiconazol, pendimethalin og prosulfocarb. Yderligere bidrog en re-
duceret anvendelse af azoxystrobin, boscalid, og mancozeb også i mindre grad til et fald i be-
lastningen fra anvendelsen af pesticider.
7.3.3
Fladebelastning og dens fordeling på belastningsindikatorer
Det fremgår af Figur 7.2 og Tabel 7.3, at der for salgstallene er store årsvariationer i såvel den
samlede fladebelastning som i fladebelastningen for hver af de tre hovedindikatorer. For salgs-
tallene viser Figur 7.2 et fald i fladebelastningen fra 2012-2014. Miljøbelastningen faldt da for-
holdsvis mere end sundhedsbelastningen, især miljøeffektbelastningen faldt. Fra 2014 til 2018
har fladebelastningen for salgstallene været svingende omkring et gennemsnit på 1,66 B/ha.
Særligt ses de største udsving for sundhedsbelastningen, hvor miljøbelastningerne i stedet lig-
ger på et mere stabilt niveau. Fladebelastningen for 2019 ligger på 1,67 B/ha, hvilket er 1 pro-
cent mindre end gennemsnittet for perioden 2014-2018 og 6 procent mindre set i forhold til
2018.
Forbrugsdata i Figur 7.2 og Tabel 7-3 viser, at fladebelastningen samlet set faldt fra planåret
2010/11 til 2012/13, hvorefter den steg svagt for 2013/14. Fra 2014/15 har fladebelastningen
for forbrugsdata ligget på et ensartet niveau frem til 2016/17, med et gennemsnit på 2,16. For
2017/18 faldt fladebelastningen til 1,51 B/ha. Fra 2017/18 til 2018/19 er fladebelastningen ste-
get med 25 procent til 1,88 B/ha. Dette er samtidig 14 procent lavere end for 2016/17. Det er
sundhedsbelastningen, der med en fladebelastning på 0,82 B/ha, bidrager til den største andel
af den samlede pesticidbelastning for 2018/19. Sundhedsbelastningen var stabil i perioden fra
2011/12 frem til og med 2014/15, hvorefter den steg i planårene 2015/16 og 2016/17. For
2017/18 faldt sundhedsbelastningen til 0,59 B/ha, for i 2018/19 at stige igen til 0,82 B/ha. Mil-
jøadfærdsbelastningen har siden planåret 2011/12 ligget på et nogenlunde ensartet niveau,
med et gennemsnit på 0,66 B/ha for 2011/12 til 2016/17, men faldt for 2017/18 med 26 pro-
cent i forhold til dette gennemsnit. I 2018/19 er miljøadfærdsbelastningen steget til 0,57 B/ha.
Miljøeffektbelastningen har samlet set været faldende for hele perioden frem til 2017/18. For
2018/19 ligger miljøeffektbelastningen på 0,49 B/ha, hvilket er det samme niveau som
2017/18. Samlet set er miljøbelastningen faldet 46 procent siden 2010/11.
52
Miljøstyrelsen / Bekæmpelsesmiddelstatistik 2019
MOF, Alm.del - 2020-21 - Bilag 444: Bekæmpelsesmiddelstatistik 2019, fra miljøministeren
2360061_0053.png
TABEL 7-3
Pesticidbelastning 2010-2019 for konventionelt dyrkede landbrugsafgrøder, fordelt på hovedindikatorerne: Sundhed, miljøadfærd og miljøeffekt. Baseret på
salgstal og forbrugstal for omdriftsarealer.
Samlet belastning landbrug (mio. B), Fladebelastning (BF) (B pr. ha) og Pesticidbelastningsindikator (PBI)
Salgstal
Årstal
2010
2011
2012
2013
2014
2015
2016
2017
2018
Forbrugstal
2019 10-11 11-12 12-13 13-14 14-15 15-16 16-17
17-18
1
18-19
Konventionelt dyrket landbrugsareal i omdrift (1.000 Ha)
I alt
Aktivstof
Mio. kg
Kg/ha
Kg/ha 2007
3,90
1,76
1,80
4,33
1,93
1,99
5,73
2,59
2,63
3,97
1,80
1,83
1,68
0,76
0,77
2,39
1,10
1,10
2,20
1,02
1,01
2,47
1,17
1,14
2,41
1,17
1,11
2,45
1,20
1,13
1,90
1,41
2,29
1,19
2,13
1,09
2,24
1,15
2,44
1,13
2,21
1,11
2,17
1,10
1,48
0,75
2,06
1,07
2216
2242
2211
2208
2208
2172
2157
2115
2067
2033
1351
1928
1943
1948
2161
1988
1974
1971
1928
Samlet belastning landbrug (mio. B)
Sundhed
Miljøadfærd
Miljøeffekt
I alt
2,03
1,91
3,42
7,36
2,31
2,08
2,17
2,80
3,03
5,03
2,38
1,99
3,34
7,71
1,36
1,03
0,81
3,20
2,00
1,30
0,93
4,24
1,25
0,99
0,80
3,04
1,63
1,11
0,93
3,66
1,51
1,13
1,04
3,67
1,33
1,07
1,01
3,41
1,20
1,13
1,52
3,85
1,41
1,31
1,91
4,62
1,40
1,23
1,72
4,34
1,50
1,32
1,77
4,61
1,53
1,49
1,53
4,56
1,83
1,25
1,29
4,37
1,89
1,24
1,18
4,32
1,16
0,85
0,97
2,98
1,58
1,11
0,94
3,63
6,55 10,86
Fladebelastning (BF) (B pr. ha)
Sundhed
Miljøadfærd
Miljøeffekt
I alt
0,92
0,86
1,54
3,32
1,03
0,93
0,97
2,92
1,27
1,37
2,28
4,91
1,08
0,90
1,51
3,49
0,61
0,47
0,37
1,45
0,92
0,60
0,43
1,95
0,58
0,46
0,37
1,41
0,77
0,52
0,44
1,73
0,73
0,54
0,50
1,78
0,66
0,52
0,50
1,67
0,88
0,83
1,13
2,85
0,73
0,68
0,99
2,39
0,72
0,63
0,88
2,24
0,77
0,68
0,91
2,37
0,71
0,69
0,71
2,11
0,90
0,63
0,65
2,18
0,96
0,63
0,60
2,19
0,59
0,43
0,49
1,51
0,82
0,57
0,49
1,88
Pesticidbelastningsindikator (PBI)
Sundhed
Miljøadfærd
Miljøeffekt
I alt
1)
0,94
0,88
1,57
1,06
0,96
1,00
1,29
1,39
2,32
1,09
0,92
1,54
0,62
0,48
0,38
0,92
0,60
0,43
0,58
0,46
0,37
0,75
0,51
0,43
0,70
0,52
0,48
0,61
0,49
0,46
0,91
0,86
1,17
2,94
0,74
0,69
1,01
2,44
0,73
0,64
0,90
2,27
0,78
0,69
0,93
2,41
0,71
0,69
0,71
2,11
0,90
0,63
0,65
2,17
0,94
0,61
0,59
2,14
0,56
0,41
0,47
1,44
0,77
0,54
0,46
1,76
3,39 3,02 5,00 3,55 1,47 1,95 1,40 1,69 1,69 1,57
Data er genberegnet pga. fejl i Bekæmpelsesmiddelstatistik 2018, gælder ikke for arealet
Miljøstyrelsen / Bekæmpelsesmiddelstatistik 2019
53
MOF, Alm.del - 2020-21 - Bilag 444: Bekæmpelsesmiddelstatistik 2019, fra miljøministeren
2360061_0054.png
6,00
Miljøeffekt
5,00
Miljøadfærd
Sundhed
4,00
3,00
2,00
1,00
0,00
10-11
11-12
12-13
13-14
14-15
15-16
16-17
17-18*
18-19
2010
2011
2012
2013
2014
2015
2016
2017
2018
2019
Salgstal
Forbrugsdata
FIGUR 7.2.
Udviklingen i fladebelastningen (B pr. ha) (BF) 2010-2019 fordelt på hovedindika-
torerne sundhed, miljøadfærd og miljøeffekt. Baseret på salgstal og forbrugstal for omdriftsare-
aler. *Data er genberegnet pga. fejl i Bekæmpelsesmiddelstatistik 2018.
7.3.4
Fladebelastning fordelt på anvendelsesgrupper
Tabel 7.4 viser den samlede fladebelastning fordelt på belastningsindikatorer og anvendelses-
grupper for perioden 2010-2019.
Salgsdata i Tabel 7.4 viser, at fladebelastningen faldt for alle anvendelsesgrupper i perioden
fra 2012-2014. Fladebelastningen for ukrudtsmidler har fra 2015-2019 ligget på et nogenlunde
stabilt niveau med et gennemsnit på 0,76 B/ha, hvilket er det samme som for 2019. For vækst-
reguleringsmidlerne har fladebelastningen været jævnt stigende i perioden 2014-2017, heref-
ter har den igen været faldende for både 2018 og 2019. Vækstreguleringsmidlerne udgør kun
en mindre andel af den samlede fladebelastning og har maksimalt udgjort 5 procent af den
samlede fladebelastning. Svampemidlernes fladebelastning har for hele perioden været meget
svingende, og for 2019 ligger den, ligesom i 2018 på 0,58 B/ha. Dette er det laveste for perio-
den på nær for 2016, hvor fladebelastningen lå på 0,48 B/ha. Fladebelastningen for insektmid-
lerne havde det mest markante fald fra 2012-2014 og er siden forblevet på et relativt lavt ni-
veau i forhold til perioden før 2014. Siden 2014 ses dog årligt en mindre stigning i fladebelast-
ningen for insektmidlerne, derfor ligger fladebelastningen i 2019 på 0,30 B/ha, hvilket er en
stigning på 0,18 B/ha siden 2014. Det er i 2019 ukrudts- og svampemidlerne, der med en sam-
let andel på 80 procent udgør den største andel at fladebelastningen.
For forbrugsdata bemærkes det i tabel 7-4, at fladebelastningen for insektmidlerne har været
faldende for hele perioden med det mest markante fald fra 2013/14 til 2014/15. For svampe-
midlerne har der modsat været en overodnet stigning i fladebelastningen siden 2011/12 og
frem til 2017/18, hvor fladebelastningen faldt markant. For 2018/19 er fladebelastningen steget
54
Miljøstyrelsen / Bekæmpelsesmiddelstatistik 2019
MOF, Alm.del - 2020-21 - Bilag 444: Bekæmpelsesmiddelstatistik 2019, fra miljøministeren
igen til 0,76 B/ha, hvilket svarer til et niveau, der er 13 procent lavere end 2016/17. Ukrudts-
midlernes fladebelastning faldt fra 2010/11 til 2012/13, og den lå siden da på et stabilt niveau
frem til 2017/18, hvor den faldt markant. For 2018/19 er den steget igen til et niveau, der ligger
11 procent lavere end 2016/17. Fladebelastningen fra brug af vækstreguleringsmidler har ge-
nerelt været stigende i hele perioden frem til og med 2016/17, hvor den for 2017/18 blev næ-
sten halveret. For planåret 2018/19 ses igen en stigning til 0,07 B/ha, hvilket svarer til niveauet
i 2015/16.
Miljøstyrelsen / Bekæmpelsesmiddelstatistik 2019
55
MOF, Alm.del - 2020-21 - Bilag 444: Bekæmpelsesmiddelstatistik 2019, fra miljøministeren
2360061_0056.png
TABEL 7-4
Pesticidbelastning fordelt på belastningsindikatorer og anvendelsesgrupper. Baseret på salgstal og forbrugstal for omdriftsarealer.
Salgstal
Årstal
Aktivstof
(kg pr. ha)
2010
1,76
2011
1,93
2012
2,59
2013
1,80
2014
0,76
2015
1,10
2016
1,02
2017
1,17
2018
1,17
Forbrugstal
2019 10-11 11-12 12-13 13-14 14-15 15-16 16-17 17-18 18-19
1,20
1,41
1,19
1,09
1,15
1,13
1,11
1,10
0,75
2
1,07
Fladebelastning (B pr. ha) (BF) fordelt på belastningsindikatorer
Sundhed
Miljøadfærd
Miljøeffekt
I alt
0,92
0,86
1,54
3,32
1,03
0,93
0,97
2,92
1,27
1,37
2,28
4,91
1,08
0,90
1,51
3,49
0,61
0,47
0,37
1,45
0,92
0,60
0,43
1,95
0,58
0,46
0,37
1,41
0,77
0,52
0,44
1,73
0,73
0,54
0,50
1,78
0,66
0,52
0,50
1,67
0,88
0,83
1,13
2,85
0,73
0,68
0,99
2,39
0,72
0,63
0,88
2,24
0,77
0,68
0,91
2,37
0,71
0,69
0,71
2,11
0,90
0,63
0,65
2,18
0,96
0,63
0,60
2,19
0,59
2
0,43
2
0,49
2
1,51
2
0,82
0,57
0,49
1,88
Fladebelastning (B pr. ha) (BF) fordelt på anvendelsesgrupper
Ukrudtsmidler
Vækstreg.
Svampemidler
Insektmidler
1
I alt
1,41
0,05
0,71
1,15
3,32
1,49
0,04
0,89
0,51
2,92
2,22
0,09
0,91
1,70
4,91
1,36
0,07
1,01
1,05
3,49
0,54
0,03
0,76
0,12
1,45
0,80
0,05
0,95
0,16
1,95
0,67
0,07
0,48
0,20
1,42
0,71
0,08
0,71
0,24
1,73
0,86
0,05
0,58
0,28
1,78
0,76
0,05
0,58
0,30
1,67
1,10
0,00
0,90
0,70
2,80
1,00
0,04
0,69
0,67
2,39
0,91
0,05
0,70
0,58
2,24
0,91
0,06
0,82
0,58
2,37
0,93
0,05
0,74
0,39
2,11
0,95
0,07
0,80
0,36
2,18
0,90
0,08
0,87
0,34
2,19
0,64
2
0,05
2
0,48
2
0,34
2
1,51
2
0,80
0,07
0,76
0,25
1,88
Andel af landbrugets samlede pesticidbelastning fordelt på belastningsindikatorer
Sundhed
Miljøadfærd
Miljøeffekt
I alt
28%
26%
46%
35%
32%
33%
26%
28%
46%
31%
26%
43%
42%
32%
26%
47%
31%
22%
41%
33%
26%
44%
30%
25%
41%
31%
28%
39%
31%
30%
31%
29%
40%
31%
28%
41%
32%
28%
39%
32%
29%
39%
34%
33%
34%
41%
29%
30%
44%
29%
27%
39%
28%
33%
44%
31%
26%
100% 100% 100% 100% 100% 100% 100% 100% 100% 100% 100% 100% 100% 100% 100% 100% 100% 100% 100%
Andel af landbrugets samlede pesticidbelastning fordelt på anvendelsesgrupper
Ukrudtsmidler
Vækstreg.
Svampemidler
Insektmidler
1
I alt
1)
2)
43%
1%
21%
35%
51%
1%
30%
18%
45%
2%
18%
35%
39%
2%
29%
30%
37%
2%
52%
8%
41%
3%
49%
8%
47%
5%
34%
14%
41%
5%
41%
14%
48%
3%
33%
16%
45%
3%
34%
18%
42%
1%
31%
26%
42%
2%
29%
28%
41%
2%
31%
26%
38%
3%
35%
24%
44%
2%
35%
18%
44%
3%
37%
17%
41%
4%
40%
16%
43%
3%
32%
22%
43%
4%
40%
13%
100% 100% 100% 100% 100% 100% 100% 100% 100% 100% 100% 100% 100% 100% 100% 100% 100% 100% 100%
Sneglemidler er indregnet
Data er genberegnet pga. fejl i Bekæmpelsesmiddelstatistik 2018
56
Miljøstyrelsen / Bekæmpelsesmiddelstatistik 2019
MOF, Alm.del - 2020-21 - Bilag 444: Bekæmpelsesmiddelstatistik 2019, fra miljøministeren
2360061_0057.png
7.4
Belastningsindeks
Tabel 7.5 og Figur 7.3 viser, at det samlede belastningsindeks for salgstallene toppede i 2012
på 1,25 B/BI og aldrig har været højere, men at det siden faldt frem til 2014. Belastningsindek-
set stiger i 2015, hvorefter det falder igen i 2016. For 2016 og frem til 2019 ligger belastnings-
indekset samlet set på et jævnt niveau, der for 2019 ligger på 0,48 B/BI. Det er insektmidlerne,
der står for langt det største fald i belastningsindekset. Fra 2014 til 2018 har der dog været en
langsomt stigende tendens for det samlede belastningsindeks, men for 2019 er det faldet og
ligger på 0,63 B/BI.
Belastningsindekset for forbrugstallene har overordnet været svagt faldende i hele perioden,
og for 2017/18 og 2018/19 ligger det på 0,56 B/BI. Det er insektmidlerne, der samlet set ligger
til grund for det største fald i belastningsindekset. Siden 2013/14 har belastningsindekset for
insektmidlerne været faldende for hvert år, hvilket også er tilfældet for 2018/19. For svampe-
og ukrudtsmidlerne har belastningsindekset ligget nogenlunde stabilt de seneste ca. 4 år, men
for 2017/18 faldt belastningsindekset betydeligt for begge disse anvendelsesgrupper, for i
2018/19 kun at stige svagt. Belastningsindekset for 2018/19 er fortsat lavt i forhold til 2016/17
på trods af, at vejforholdene ikke tilsiger, at pesticidforbruget skulle være lavt, som det var i
2018 pga. det tørre vækstår. Det faldende belastningsindeks skyldes, at der i 2019, sammen-
lignet med 2017, er anvendt pesticider, som er mindre belastende.
TABEL 7-5
Belastningsindeks for anvendelsesgrupper. Baseret på salgstal og forbrugstal for
omdriftsarealer.
Belastningsindeks B pr BI = (BF/BH)
Årstal/
planperiode
Ukrudtsmidler
Vækstreg.
Svampemidler
Insektmidler
1
Samlet
Salgstal
2010
2011
2012
2013
2014
2015
2016
2017
2018
2019
0,85
0,74
1,06
0,70
0,34
0,51
0,41
0,38
0,49
0,40
0,38
0,37
0,42
0,36
0,21
0,20
0,28
0,28
0,25
0,23
1,16
1,15
1,05
1,02
0,94
1,10
0,67
0,84
0,64
0,62
Forbrugstal
10-11
11-12
12-13
13-14
14-15
15-16
16-17
17-18
2
18-19
1)
2)
0,79
0,74
0,68
0,65
0,64
0,63
0,58
0,45
0,40
0,37
0,36
0,38
0,25
0,27
0,29
0,29
1,10
1,02
1,00
0,95
0,87
0,95
0,94
0,68
1,79
1,96
1,77
1,93
1,26
1,09
0,92
0,80
0,69
1,01
0,97
0,90
0,87
0,75
0,74
0,70
0,56
0,57
2,53
1,47
2,21
1,65
0,55
0,67
0,61
0,65
0,70
0,63
1,17
0,91
1,25
0,93
0,53
0,67
0,48
0,52
0,54
0,48
0,49
0,29
0,69
Sneglemidler er indregnet
Data er genberegnet pga. fejl i Bekæmpelsesmiddelstatistik 2018
Miljøstyrelsen / Bekæmpelsesmiddelstatistik 2019
57
MOF, Alm.del - 2020-21 - Bilag 444: Bekæmpelsesmiddelstatistik 2019, fra miljøministeren
2360061_0058.png
3,00
Ukrudtsmidler
2,50
Vækstregulering
Svampemidler
Insektmidler
2,00
1,50
1,00
0,50
0,00
10-11
11-12
12-13
13-14
14-15
15-16
16-17
17-18*
18-19
2010
2011
2012
2013
2014
2015
2016
2017
2018
2019
Salgstal
Forbrugsdata
FIGUR 7.3
Belastningsindeks (B pr. BI) 2010-2019 for anvendelsesgrupper i hhv. Baseret på
salgstal og forbrugstal for omdriftsarealer.*Data er genberegnet pga. fejl i Bekæmpelsesmid-
delstatistik 2018.
7.5
Afgiftens betydning for salget og forbruget af pesticider
Når der kigges nærmere på fladebelastningen, ses et billede af, at salg og forbrug af pesticider
er påvirket af afgiftsomlægningen i 2013. Dette ses tydeligst for udviklingen i miljøeffektbelast-
ningen, der i høj grad er påvirket af substitution til mindre belastende insektmidler.
Betydningen af afgiftsomlægningen kan også aflæses i belastningsindekset, hvor omlægnin-
gen tydeligt har bevirket et fald i belastningsindekset for både salg og forbrug. Et fald i belast-
ningsindekset er en indikator på, at der er sket en substitution mod køb og anvendelse af min-
dre belastende pesticider. Fra 2017 til 2019 ses en sådan substitution. I 2019 er anvendelsen
af nogle af aktivstofferne med en høj belastning, og som dermed er pålagt en høj pesticidafgift,
faldet i forhold til 2017. Dette er sket uden, at det kan tilskrives et mindre forbrug af pesticider.
Miljøstyrelsen udgav i juni 2018 en evaluering af pesticidafgiften, der blev omlagt i 2013
19
. I
marts 2020 udgav MST yderligere en forskningsrapport
20
, der evaluerer betydningen af om-
lægningen til den differentierede pesticidafgift. I begge disse rapporter er det muligt at læse
grundigere analyser af effekten af afgiftsomlægningen.
19
https://www2.mst.dk/Udgiv/publikationer/2018/05/978-87-93710-28-3.pdf
https://www2.mst.dk/Udgiv/publikationer/2019/10/978-87-7038-116-1.pdf
20
58
Miljøstyrelsen / Bekæmpelsesmiddelstatistik 2019
MOF, Alm.del - 2020-21 - Bilag 444: Bekæmpelsesmiddelstatistik 2019, fra miljøministeren
2360061_0059.png
7.6
Udvikling i nøgleparametre i forhold til referenceperiode
og målsætning
På Figur 7.4 ses udviklingen i de tre parametre pesticidbelastningsindikatoren, fladebelastnin-
gen og behandlingshyppigheden baseret på både salgsdata og forbrugsdata. Forbrugstallene
viser lavere værdier end salgstallene for alle parametre i 2012 og 2013. I perioden 2014 til
2017 har pesticidbelastningsindikatoren og fladebelastningen for salgstallene været svin-
gende, men de har for alle årene ligget på et lavere niveau end forbrugstallene, der har ligget
på et stabilt niveau. I 2018 faldt pesticidbelastningsindikatoren og fladebelastningen, for første
gang siden afgiftsomlægningen til et niveau, der var lavere for forbrugstal end for salgstal. I
2019 ligger PBI for salgstal lidt lavere end niveauet for 2017 og 2018, og den holder sig der-
ved stadig under målsætningen. Pesticidbelastningsindikatoren og fladebelastningen for for-
brugstal er for planperioden 2018/19 steget, og begge parametre ligger igen højere end salgs-
tallene. For både salgs- og forbrugstal har behandlingshyppigheden overordnet set været sti-
gende siden 2014, dog med et tydeligt udsving i behandlingshyppighed for forbrugstal i plan-
året 2017/18.
5,00
4,50
Fladebelastning (BF)(B pr. ha)
Pesticidbelastningsindikator (PBI)
Behandlingshyppighed (BH)
4,00
3,50
3,00
2,50
2,00
1,50
1,00
0,50
0,00
10-11
11-12
12-13
13-14
14-15
15-16
16-17
17-18*
18-19
2010
2011
2012
2013
2014
2015
2016
2017
2018
2019
Salgsdata
Forbrugsdata
FIGUR 7.4.
Udviklingen i fladebelastningen (B pr. ha), pesticidbelastningsindikatoren (PBI) (B
pr. ha) og behandlingshyppigheden (BI pr. ha). Baseret på salgstal og forbrugstal for omdrifts-
arealer. *Data er genberegnet pga. fejl i Bekæmpelsesmiddelstatistik 2018.
Miljøstyrelsen / Bekæmpelsesmiddelstatistik 2019
59
MOF, Alm.del - 2020-21 - Bilag 444: Bekæmpelsesmiddelstatistik 2019, fra miljøministeren
2360061_0060.png
8. Pesticidbelastning fordelt
på hovedafgrøder
I dette kapitel analyseres tallene med henblik på fordelingen af midlerne på landbrugets ho-
vedafgrøder i omdrift
21
. ”Glyphosat” angiver anvendelse af glyphosat i omdriftsarealet mellem
to afgrøder, hvorfor det ikke kan henregnes til hverken den ene eller den anden afgrøde.
8.1
Behandlingshyppighed fordelt på hovedafgrøder og
anvendelsesgrupper
Det fremgår af Tabel 8.1, at den samlede mængde pesticider solgt i 2019 svarer til 7,1 mio.
standardbehandlinger (BI). Det giver en behandlingshyppighed på 3,49 BI/ha, når salget forde-
les på det samlede, konventionelt dyrkede areal i omdrift på i alt 2,0 mio. ha. Den højeste be-
handlingshyppighed er beregnet for kartofler med 16,2 BI/ha. Antallet af standardbehandlinger
solgt til anvendelse i kartofler er på 0,9 mio. BI, hvilket svarer til 12 procent af det samlede pe-
sticidsalg. Til sammenligning har vintersæd og vårsæd, der er de arealmæssigt største afgrø-
der, et samlet pesticidsalg på hhv. 3,3 og 2,6 B/ha, svarende til hhv. 35 og 19 procent af det
samlede antal solgte standarddoseringer til landbruget.
Den samlede mængde pesticider forbrugt i landbruget i 2019 fremgår af tabel 8-2. Heraf ses
det, at forbruget samlet set er lavere for 2018/19.
21
De mindre erhvervsmæssige anvendelser; frugt og bær, prydplanter samt skovbrug indgår ikke i dette
års statistik, da beregningsgrundlaget ikke er tilstrækkeligt
60
Miljøstyrelsen / Bekæmpelsesmiddelstatistik 2019
MOF, Alm.del - 2020-21 - Bilag 444: Bekæmpelsesmiddelstatistik 2019, fra miljøministeren
2360061_0061.png
TABEL 8-1
Standardbehandlinger og behandlingshyppigheder i 2019 fordelt på hovedafgrøder og anvendelsesgrupper baseret på salgstal. Glyphosat: anvendelse
mellem to afgrøder.
Grøntsager
Areal 1.000 ha
767
529
162
105
54
33
15
186
6
175
2.033
Glyphosat
2019 salgstal
2.033
Standardbehandlinger (1.000 BI)
Ukrudtsmidler
Vækstregulering
Svampemidler
Insektmidler
1
I alt
1.177
208
808
311
2.504
845
93
262
172
1.371
313
8
101
250
673
162
98
65
37
362
118
0
617
147
882
116
0
17
2
136
20
0
7
22
48
202
0
5
0
207
5
0
11
14
31
5
0
0
0
5
885
0
0
0
885
3.849
407
1.893
955
7.104
Behandlingshyppighed (BH) (BI pr. ha)
Ukrudtsmidler
Vækstregulering
Svampemidler
Insektmidler
1
I alt
1,53
0,27
1,05
0,41
3,26
1,60
0,17
0,49
0,32
2,59
1,93
0,05
0,62
1,54
4,15
1,54
0,93
0,62
0,35
3,43
2,17
0,00
11,33
2,69
16,20
3,53
0,00
0,52
0,06
4,11
1,32
0,00
0,46
1,48
3,26
1,09
0,00
0,03
0,00
1,12
0,84
0,08
1,78
2,19
4,88
0,03
0,00
0,00
0,00
0,03
0,44
0,00
0,00
0,00
0,44
1,89
0,20
0,93
0,47
3,49
Andel af landbrugets samlede standardbehandlinger (BI)
Ukrudtsmidler
Vækstregulering
Svampemidler
Insektmidler
1
I alt
1)
17%
3%
11%
4%
35%
12%
1%
4%
2%
19%
4%
0%
1%
4%
9%
2%
1%
1%
1%
5%
2%
0%
9%
2%
12%
2%
0%
0%
0%
2%
0%
0%
0%
0%
1%
3%
0%
0%
0%
3%
0%
0%
0%
0%
0%
0%
0%
0%
0%
0%
12%
0%
0%
0%
12%
54%
6%
27%
13%
100%
Sneglemidler er indregnet
Total Omdriftsareal
Andre frøafgrøder
Korn, Vintersæd
Græs og kløver
Korn, Vårsæd
Kartofler
Ærter
Raps
Roer
Majs
Miljøstyrelsen / Bekæmpelsesmiddelstatistik 2019
61
MOF, Alm.del - 2020-21 - Bilag 444: Bekæmpelsesmiddelstatistik 2019, fra miljøministeren
2360061_0062.png
TABEL 8-2
Standardbehandlinger og behandlingshyppigheder i 2019 fordelt på hovedafgrøder og anvendelsesgrupper baseret på forbrugstal. Glyphosat: anvendelse
mellem to afgrøder.
Grøntsager
Areal 1.000 ha
732
500
155
102
52
32
14
178
6
157
1.928
Glyphosat
Kartofler
2018/19
forbrugstal
1.928
Standardbehandlinger (1.000 BI)
Ukrudtsmidler
Vækstregulering
Svampemidler
Insektmidler
1
I alt
1.182
237
976
219
2.613
621
133
292
135
1.182
288
12
119
205
624
143
87
83
29
342
81
0
593
99
774
81
0
24
2
107
18
0
6
13
37
267
0
5
0
272
5
1
14
7
27
3
0
0
0
3
428
428
3.118
469
2.112
710
6.408
Behandlingshyppighed (BH) (BI pr. ha)
Ukrudtsmidler
Vækstregulering
Svampemidler
Insektmidler
1
I alt
1,61
0,32
1,33
0,30
3,57
1,24
0,27
0,58
0,27
2,36
1,86
0,07
0,77
1,32
4,02
1,40
0,85
0,82
0,28
3,36
1,57
0,00
11,45
1,92
14,94
2,52
0,00
0,73
0,07
3,33
1,35
0,00
0,41
0,95
2,71
1,50
0,00
0,03
0,00
1,53
0,95
0,09
2,43
1,25
4,73
0,02
0,00
0,00
0,00
0,02
0,22
0,22
1,62
0,24
1,10
0,37
3,32
Andel af landbrugets samlede standardbehandlinger (BI)
Ukrudtsmidler
Vækstregulering
Svampemidler
Insektmidler
1
I alt
1)
18%
4%
15%
3%
41%
10%
2%
5%
2%
18%
4%
0%
2%
3%
10%
2%
1%
1%
0%
5%
1%
0%
9%
2%
12%
1%
0%
0%
0%
2%
0%
0%
0%
0%
1%
4%
0%
0%
0%
4%
0%
0%
0%
0%
0%
0%
0%
0%
0%
0%
7%
7%
49%
7%
33%
11%
100%
Sneglemidler er indregnet
62
Miljøstyrelsen / Bekæmpelsesmiddelstatistik 2019
Total Omdriftsareal
Andre frøafgrøder
Korn, Vintersæd
Græs og kløver
Korn, Vårsæd
Ærter
Raps
Roer
Majs
MOF, Alm.del - 2020-21 - Bilag 444: Bekæmpelsesmiddelstatistik 2019, fra miljøministeren
8.2
Belastningsindeks beregnet for hovedafgrøder og
anvendelsesgrupper
Tabel 8-3 og Tabel 8-4 viser behandlingshyppighed, fladebelastning og belastningsindeks i
2018 fordelt på hovedafgrøder og anvendelsesgrupper for hhv. salgs- og forbrugstal. Tabel
8-5 og Tabel 8-6 viser tilsvarende fladebelastningen for hovedafgrøderne fordelt på belast-
ningsindikatorer og anvendelsesgrupper samt parametrenes andele af den samlede belast-
ning i procent – igen for hhv. salgs- og forbrugstal.
Miljøstyrelsen / Bekæmpelsesmiddelstatistik 2019
63
MOF, Alm.del - 2020-21 - Bilag 444: Bekæmpelsesmiddelstatistik 2019, fra miljøministeren
2360061_0064.png
TABEL 8-3
Behandlingshyppighed (BH), belastning (B pr. ha) og belastningsindeks (B pr BI) fordelt på hovedafgrøder og anvendelsesgrupper for 2019. (glyphosat:
anvendelse mellem to afgrøder på omdriftsarealet). Salgstal
Korn, Vintersæd
Græs og kløver
Korn, Vårsæd
Andre frø
Kartofler
2019 salgstal
Areal (1.000 ha)
Procentvis andel af det
totale omdriftsareal
767
38%
529
26%
162
8%
105
5%
54
3%
33
2%
15
1%
186
9%
6
0%
175
9%
2033
100%
Behandlingshyppighed (BH) (BI pr. ha)
Ukrudtsmidler
Vækstreguleringsmidler
Svampemidler
Insektmidler
1
I alt
1,53
0,27
1,05
0,41
3,26
1,60
0,17
0,49
0,32
2,59
1,93
0,05
0,62
1,54
4,15
1,54
0,93
0,62
0,35
3,43
2,17
0,00
11,33
2,69
16,20
3,53
0,00
0,52
0,06
4,11
1,32
0,00
0,46
1,48
3,26
1,09
0,00
0,03
0,00
1,12
0,84
0,08
1,78
2,19
4,88
0,03
0,00
0,00
0,00
0,03
0,44
0,44
1,89
0,20
0,93
0,47
3,49
Fladebelastning (BF) (B pr. Ha)
Ukrudtsmidler
Vækstreguleringsmidler
Svampemidler
Insektmidler
1
I alt
0,70
0,07
0,91
0,28
1,96
0,33
0,03
0,25
0,27
0,87
1,01
0,07
0,32
1,08
2,48
1,06
0,13
0,73
0,27
2,20
3,87
0,00
2,99
0,31
7,17
2,20
0,00
1,07
0,04
3,31
1,23
0,00
0,30
1,08
2,61
0,22
0,00
0,01
0,00
0,23
1,71
0,01
1,19
1,40
4,31
0,02
0,00
0,00
0,00
0,02
0,10
0,10
0,76
0,05
0,58
0,30
1,67
Belastningsindeks (B pr. BI) = BF/BH
Ukrudtsmidler
Vækstreguleringsmidler
Svampemidler
Insektmidler
1
0,45
0,25
0,86
0,70
0,21
0,16
0,51
0,82
0,34
0,51
0,70
0,60
0,52
0,69
0,14
1,19
0,77
0,64
0,26
0,11
0,44
0,81
2,05
0,66
0,73
0,80
0,21
0,67
0,64
0,88
0,22
1,78
0,62
0,93
0,21
2,04
0,22
0,40
0,23
0,62
0,63
0,48
Samlet
0,60
1
Sneglemidler er indregnet
64
Miljøstyrelsen / Bekæmpelsesmiddelstatistik 2019
Total
Omdriftsareal
2033
100%
Grøntsager
Glyphosat
Ærter
Raps
Roer
Majs
MOF, Alm.del - 2020-21 - Bilag 444: Bekæmpelsesmiddelstatistik 2019, fra miljøministeren
2360061_0065.png
TABEL 8-4
Behandlingshyppighed (BH), belastning (B pr. ha) og belastningsindeks (B pr.BI) fordelt på hovedafgrøder og anvendelsesgrupper for planåret 2018/19.
(glyphosat: anvendelse mellem to afgrøder for omdriftsareal). Forbrugsdata.
Korn, Vintersæd
Græs og kløver
Korn, Vårsæd
Areal (1.000 ha)
Procentvis andel af det
totale omdriftsareal
732
38%
500
26%
155
8%
102
5%
52
3%
32
2%
14
1%
178
9%
6
0%
157
8%
1928
100%
Glyphosat
0,22
Andre frø
Kartofler
2018/19
Forbrugstal
Behandlingshyppighed (BH) (BI pr. ha)
Ukrudtsmidler
Vækstreguleringsmidler
Svampemidler
Insektmidler
1
I alt
1,61
0,32
1,33
0,30
3,57
1,24
0,27
0,58
0,27
2,36
1,86
0,07
0,77
1,32
4,02
1,40
0,85
0,82
0,28
3,36
1,57
0,00
11,45
1,92
14,94
2,52
0,00
0,73
0,07
3,33
1,35
0,00
0,41
0,95
2,71
1,50
0,00
0,03
0,00
1,53
0,95
0,09
2,43
1,25
4,73
0,02
0,00
0,00
0,00
0,02
0,22
1,62
0,24
1,10
0,37
3,32
Fladebelastning (BF) (B pr. Ha)
Ukrudtsmidler
Vækstreguleringsmidler
Svampemidler
Insektmidler
1
I alt
0,97
0,10
1,23
0,23
2,53
0,26
0,05
0,32
0,23
0,86
0,99
0,10
0,41
0,95
2,46
0,86
0,14
1,03
0,22
2,25
3,19
0,00
3,23
0,24
6,66
1,81
0,00
1,65
0,07
3,53
1,45
0,00
0,26
0,71
2,42
0,58
0,00
0,01
0,00
0,60
2,06
0,01
1,61
1,37
5,06
0,01
0,00
0,00
0,00
0,01
0,05
0,05
0,80
0,07
0,76
0,25
1,88
Belastningsindeks (B pr. BI) = BF/BH
Ukrudtsmidler
Vækstreguleringsmidler
Svampemidler
Insektmidler
1
0,60
0,32
0,92
0,78
0,21
0,20
0,55
0,86
0,37
0,54
0,72
0,61
0,53
0,61
0,17
1,27
0,76
0,67
0,28
0,13
0,45
1,06
2,26
0,63
0,74
0,89
0,39
0,66
1,10
1,07
0,23
2,03
0,72
1,08
0,39
2,17
0,23
0,49
0,29
0,69
0,69
0,57
Samlet
0,71
1) Sneglemidler er indregnet
Total
omdriftsareal
1928
100%
Grøntsager
Ærter
Raps
Roer
Majs
Miljøstyrelsen / Bekæmpelsesmiddelstatistik 2019
65
MOF, Alm.del - 2020-21 - Bilag 444: Bekæmpelsesmiddelstatistik 2019, fra miljøministeren
2360061_0066.png
TABEL 8-5
Pesticidbelastning for salgstal, fordelt på hovedafgrøder, belastningsindikatorer og anvendelsesgrupper for 2017.
Total Omdriftsareal
0,66
0,52
0,50
1,67
0,76
0,05
0,58
0,30
0,10
1,67
39%
31%
30%
100%
45%
3%
34%
18%
6%
100%
Korn, Vintersæd
Fladebelastning (BF) (B pr. Ha)
Sundhed
Miljøadfærd
Miljøeffekt
I alt
0,82
0,60
0,53
1,96
0,28
0,24
0,35
0,87
0,79
0,65
1,04
2,48
1,22
0,45
0,53
2,20
4,34
1,91
0,92
7,17
0,91
1,60
0,80
3,31
0,56
1,01
1,04
2,61
0,06
0,12
0,05
0,23
1,27
1,35
1,69
4,31
0,01
0,01
0,00
0,02
0,00
0,06
0,04
0,10
Fladebelastning (BF) (B pr. Ha)
Ukrudtsmidler
Vækstregulering
Svampemidler
Insektmidler
1
I alt
0,70
0,07
0,91
0,28
1,96
0,33
0,03
0,25
0,27
0,87
1,01
0,07
0,32
1,08
2,48
1,06
0,13
0,73
0,27
2,20
3,87
0,00
2,99
0,31
7,17
2,20
0,00
1,07
0,04
3,31
1,23
0,00
0,30
1,08
2,61
0,22
0,00
0,01
0,00
0,23
1,71
0,01
1,19
1,40
4,31
0,02
0,00
0,00
0,00
0,02
0,10
Andel af landbrugets samlede pesticidbelastning fordelt på belastningsindikatorer
Sundhed
Miljøadfærd
Miljøeffekt
I alt
19%
14%
12%
44%
4%
4%
6%
14%
4%
3%
5%
12%
4%
1%
2%
7%
7%
3%
1%
11%
1%
2%
1%
3%
0%
0%
0%
1%
0%
1%
0%
1%
0%
0%
0%
1%
0%
0%
0%
0%
0%
4%
2%
6%
Andel af landbrugets samlede pesticidbelastning fordelt på anvendelsesgrupper
Ukrudtsmidler
Vækstregulering
Svampemidler
Insektmidler
1
I alt
1)
16%
2%
20%
6%
44%
5%
0%
4%
4%
14%
5%
0%
2%
5%
12%
3%
0%
2%
1%
7%
6%
0%
5%
0%
11%
2%
0%
1%
0%
3%
1%
0%
0%
0%
1%
1%
0%
0%
0%
1%
0%
0%
0%
0%
1%
0%
0%
0%
0%
0%
6%
Sneglemidler er indregnet
66
Miljøstyrelsen / Bekæmpelsesmiddelstatistik 2019
Glyphosat
Andre frø
Kartofler
2019 salgstal
Græs og kløver
Korn, Vårsæd
Grøntsager
Ærter
Raps
Roer
Majs
MOF, Alm.del - 2020-21 - Bilag 444: Bekæmpelsesmiddelstatistik 2019, fra miljøministeren
2360061_0067.png
TABEL 8-6
Pesticidbelastning for forbrugstal, fordelt på hovedafgrøder, belastningsindikatorer og anvendelsesgrupper for planåret 2018/19.
Total Omdriftsareal
0,82
0,57
0,49
1,88
0,80
0,07
0,76
0,25
0,05
1,88
44%
31%
26%
100%
43%
4%
40%
13%
3%
100%
Korn, Vintersæd
Grøntsager
Fladebelastning (BF) (B pr. Ha)
Sundhed
Miljøadfærd
Miljøeffekt
I alt
1,14
0,80
0,60
2,53
0,31
0,23
0,33
0,86
0,83
0,69
0,94
2,46
1,26
0,47
0,51
2,25
4,03
1,79
0,84
6,66
1,33
1,41
0,78
3,53
0,44
1,18
0,80
2,42
0,37
0,15
0,08
0,60
1,42
1,74
1,90
5,06
0,01
0,01
0,00
0,01
0,00
0,03
0,02
0,05
Fladebelastning (BF) (B pr. Ha)
Ukrudtsmidler
Vækstregulering
Svampemidler
Insektmidler
1
I alt
0,97
0,10
1,23
0,23
2,53
0,26
0,05
0,32
0,23
0,86
0,99
0,10
0,41
0,95
2,46
0,86
0,14
1,03
0,22
2,25
3,19
0,00
3,23
0,24
6,66
1,81
0,00
1,65
0,07
3,53
1,45
0,00
0,26
0,71
2,42
0,58
0,00
0,01
0,00
0,60
2,06
0,01
1,61
1,37
5,06
0,01
0,00
0,00
0,00
0,01
0,05
Andel af landbrugets samlede pesticidbelastning fordelt på belastningsindikatorer
Sundhed
Miljøadfærd
Miljøeffekt
I alt
23%
16%
12%
51%
4%
3%
4%
12%
4%
3%
4%
11%
4%
1%
1%
6%
6%
3%
1%
10%
1%
1%
1%
3%
0%
0%
0%
1%
2%
1%
0%
3%
0%
0%
0%
1%
0%
0%
0%
0%
0%
2%
1%
3%
Andel af landbrugets samlede pesticidbelastning fordelt på anvendelsesgrupper
Ukrudtsmidler
Vækstregulering
Svampemidler
Insektmidler
1
I alt
1)
20%
2%
25%
5%
51%
4%
1%
4%
3%
12%
4%
0%
2%
4%
11%
2%
0%
3%
1%
6%
5%
0%
5%
0%
10%
2%
0%
1%
0%
3%
1%
0%
0%
0%
1%
3%
0%
0%
0%
3%
0%
0%
0%
0%
1%
0%
0%
0%
0%
0%
3%
Sneglemidler er indregnet
Glyphosat
Andre frø
Kartofler
2018/19
Forbrugstal
Græs og kløver
Korn, Vårsæd
Ærter
Raps
Roer
Majs
Miljøstyrelsen / Bekæmpelsesmiddelstatistik 2019
67
MOF, Alm.del - 2020-21 - Bilag 444: Bekæmpelsesmiddelstatistik 2019, fra miljøministeren
2360061_0068.png
16,00
Aktivstof (kg pr. ha.)
14,00
Behandlingshyppighed (BI pr. ha)
12,00
Fladebelastning (B pr. Ha)
10,00
8,00
6,00
4,00
2,00
0,00
FIGUR 8.1
Mængde aktivstof (kg pr. ha), behandlingshyppighed (BH) (BI pr. ha) og fladebe-
lastning (BF) (B pr. ha) fordelt på hovedafgrøder baseret på forbrugstal 2018/19.
Det fremgår af Figur 8.1, at kartofler, grøntsager og roer er de tre hovedafgrøder, der, baseret
på forbrugstal, har den største fladebelastning og det største aktivstofforbrug pr ha. Behand-
lingshyppigheden ligger markant højest for kartofler, efterfulgt af grøntsager. Det mindst inten-
sive pesticidforbrug er registreret for hovedafgrøden Græs og kløver.
68
Miljøstyrelsen / Bekæmpelsesmiddelstatistik 2019
MOF, Alm.del - 2020-21 - Bilag 444: Bekæmpelsesmiddelstatistik 2019, fra miljøministeren
2360061_0069.png
60%
50%
40%
30%
20%
10%
0%
Areal (%)
Aktivstof (%)
Behandlingshyppighed (%)
Fladebelastning (%)
FIGUR 8.2.
Hovedafgrødernes andel af det samlede pesticidforbrug 2018/19, opgjort som pro-
cent af det samlede areal samt den samlede mængde aktivstof, behandlingshyppighed (BH)
og fladebelastning (BF) fordelt på hovedafgrøder. Glyphosat: anvendelse mellem to afgrøder
og arealet er derfor lig hele omdriftsarealet (100 %). Figuren er baseret på forbrugstal for om-
driftsarealer.
Det fremgår af Figur 8.2, at det er afgrøden vintersæd (Korn, vintersæd), der står for langt den
største andel af jordbrugets samlede pesticidforbrug på omdriftsarealer, udtrykt som procent af
det samlede pesticidforbrug– dette både for mængde aktivstof, fladebelastning og behand-
lingshyppighed. Vintersæd står således for 38 procent af omdriftsarealet, 43 procent af forbru-
get af aktivstoffer, 41 procent af behandlingshyppigheden og 51 procent af den samlede flade-
belastning på omdriftsarealer (illustreret i Figur 8.2).
Kartofler udgør 3 procent af det samlede areal, men står for hhv. 8, 12 og 10 procent af det
samlede forbrug af aktivstof, behandlingshyppighed og fladebelastning (illustreret i Figur 8.2).
Figur 8.3 viser for forbrugstal, hvilke ni kombinationer af afgrøde og anvendelsesgruppe, der
er de mest belastende. Der er i alt fire diagrammer i figuren – ét for summen af de tre hovedin-
dikatorer og tre, der viser hhv. sundheds-, miljøadfærds- og miljøeffektbelastning.
Det fremgår af Figur 8.3, at det er nogle få (to til tre) kombinationer af afgrøde og pesticidan-
vendelse, der står for en stor del af den samlede belastning, for hver af de enkelte belast-
ningsindikatorer. For både sundhedsbelastningen og miljøadfærdsbelastningen står svampe-
og ukrudtsmidler i vintersæd for ca. 50 procent af den samlede belastning. For miljøeffektbe-
lastningen står insekt- og svampemidler i vintersæd for 31 procent af den samlede belastning.
Overordnet set er det anvendelsen af svampemidler og ukrudtsmidler i vintersæd, der står for
den største andel af pesticidforbruget på omdriftsarealer.
Miljøstyrelsen / Bekæmpelsesmiddelstatistik 2019
69
MOF, Alm.del - 2020-21 - Bilag 444: Bekæmpelsesmiddelstatistik 2019, fra miljøministeren
2360061_0070.png
FIGUR 8.3
Fordeling af belastning på de 9 mest belastende kombinationer af hovedafgrøder på omdriftsarealer og anvendelsesgrupper samt ”øvrige” baseret på for-
brugsdata 2018/19. det fremgår af hvert af de fire diagrammer, hvilken belastning, der er afbilledet.
70
Miljøstyrelsen / Bekæmpelsesmiddelstatistik 2019
MOF, Alm.del - 2020-21 - Bilag 444: Bekæmpelsesmiddelstatistik 2019, fra miljøministeren
2360061_0071.png
Bilag 1. Godkendelses-
indehavere, der har
indberettet salg for
2019
Denne liste viser alle godkendelsesindehavere, der har indberettet et salg af bekæmpelses-
midler i 2019 til Miljøstyrelsen.
Virksomheds-nr.
1
3
11
14
17
18
19
25
30
48
49
64
179
266
308
318
327
347
352
357
361
362
364
386
392
396
404
413
416
417
421
424
Virksomhedsnavn
Syngenta Nordics A/S
DuPont Danmark ApS
Cheminova A/S
AgroDan ApS, c/o United Phosphorus
KRS ApS.
Bayer A/S, Bayer CropScience
BASF A/S
Aeropak A/S
Dyrup A/S
Monsanto Crop Sciences Denmark A/S, c/o Lund-
grens Advokatpartnerselskab
Klarsø A/S
Corteva Agriscience Denmark A/S
Tanaco Danmark A/S
Allflex Danmark ApS
Beck & Jørgensen A/S
LFS Kemi A/S
Helm AG
Nufarm Deutschland GmbH
ISK Biosiences Europe N.V.
Barclay Chemicals Manufacturing Ltd.
Arysta LifeScience Benelux SPRL
SC Johnson Scandinavia
W. Neudorff GmbH KG
Fausol A/S
Linds A/S
ADAMA Registrations B.V.
Borregaard BioPlant ApS
Bell Laboratories Netherlands B.V
Detia Degesch GmbH
Teknos A/S
FMC Chemical s.p.r.l., Agricultural
Woodstream, c/o Exponent Int. Ltd.
DK85551612
DK21500445
DK30908783
DK21906689
CVR-nr.
DK20575778
DK58158828
DK12760043
DK42302228
DK31871336
DK16089818
DK17412612
DK46500911
DK18998696
DK25237579
DK11158390
DK12938241
DK71361411
DK78479310
DK63749028
DK36456515
Miljøstyrelsen / Bekæmpelsesmiddelstatistik 2019
71
MOF, Alm.del - 2020-21 - Bilag 444: Bekæmpelsesmiddelstatistik 2019, fra miljøministeren
2360061_0072.png
Virksomheds-nr.
501
509
512
526
532
542
544
550
555
558
561
578
579
592
601
604
607
613
617
623
628
631
632
634
635
638
643
660
666
668
677
679
681
682
684
686
687
690
691
692
693
694
699
706
713
Virksomhedsnavn
UPL Europe Ltd.
Nordisk Alkali AB
Citrefine International Limited
Sumitomo Chemical Agro Europe S.A.
Leovet Dr. Jacoby Gmbh
Protox ApS
Fine Agrochemicals Ltd.
Berkem
Pharma Vest ApS
Arysta LifeScience Great Britain Ltd.
Nisso Chemical Europe GmbH
Troy Chemical Company BV
SBM Développement SAS
Babolna Bioenvironmental Centre Ltd
Q-Chem NV
Nordisk Alkali
Rotam Agrochemical Europe Limited
Globachem NV
TRÆ-NORD A/S
Vestjydsk Agro
Brico-Scanma Gruppen
Certis Europe B.V.
Belchim Crop Protection NV/SA
Tikkurila Sverige AB
Frøslev Træ A/S
Aako BV
Trifolio-M
BASF Wolman GmbH
Rentokil Initial Limited
Delicia Freyberg GmbH
Koppert B.V.
ConVet GmbH & Co. KG
Novozymes France
Garta
HOKO
Esbjerg Farve- og Lakfabrik A/S
Indofil Industries Limited
Farvefabrikken Kolorit
Kwizda France S.A.S.
Remmers GmbH
AS Eskaro
Sherwin-Williams Sweden AB
CBC (Europe) S.r.l.
Kwizda Agro GmbH
Certiplant BV
CVR-nr.
DK26689228
DK26385180
DK28684134
DK13238340
DK19077888
DK34608121
DK14248331
DK25442024
DK15723572
DK77553118
72
Miljøstyrelsen / Bekæmpelsesmiddelstatistik 2019
MOF, Alm.del - 2020-21 - Bilag 444: Bekæmpelsesmiddelstatistik 2019, fra miljøministeren
2360061_0073.png
Virksomheds-nr.
715
716
724
727
729
730
732
734
736
738
739
740
747
748
750
755
756
758
761
764
766
770
774
775
776
777
778
781
782
784
786
790
798
804
805
807
823
825
826
827
830
832
833
847
848
Virksomhedsnavn
Punya Innovation ApS
Liphatech S.A.S.
Evergreen Garden Care Österreich GmbH
Nichino Europe Limited
Armosa Tech SA
Trinol A/S
Syngenta Crop Protection AG
Jotun AS
Pelgar International Ltd.
Mitsui AgriScience International S.A./N.V.
Schippers Europe BV
Laboratoires GOËMAR SAS
Scandiflex Nordic A/S
Andermatt Biocontrol AG
Elanco GmbH
Flügger A/S
Albaugh TKI d.o.o.
Everris International B.V.
Compo GmbH
Arch Timber Protection Ltd.
W.F. Young Ltd.
RB Hygiene Home Nordic A/S
Frunol Delicia GmbH
terrasan Haus- + Gartenbedarf GmbH
Superwood A/S
Nowocoat A/S
Syngenta UK Limited
DeLaval NV
Akzo Nobel Decorative Coatings BV
LAM International Corporation
Novartis Animal Health UK Limited
Primmed BV
Evans Vanodine Europe
Indofil Industries (Netherlands) B.V.
Tikkurila Oyj
Salveco S.A.S
Agros Pro
Akzo Nobel Industrial Coatings AB
STEFES GmbH
Promal A/S
Linie Kemi A/S
Agri Services International B.V.
AgroFresh Holding France S.A.S.
BASF SE
Berger Zobel GmbH
CVR-nr.
DK30701569
DK30068572
DK65220016
DK32788718
DK40131299
DK26434602
DK25067282
DK37336440
DK20669438
DK27923356
Miljøstyrelsen / Bekæmpelsesmiddelstatistik 2019
73
MOF, Alm.del - 2020-21 - Bilag 444: Bekæmpelsesmiddelstatistik 2019, fra miljøministeren
2360061_0074.png
Virksomheds-nr.
857
858
859
863
864
879
880
882
891
897
901
904
911
936
946
Virksomhedsnavn
Steris Solutions Limited
Emerald Kalama Chemical B.V.
SC Johnson Sweden AB
BTL Bomendienst B.V.
Mitsui Chemicals Europe GmbH
De Sangosse SAS
Danstar Ferment AG
Ecolab Deutschland Gmbh
Elanco Animal Health Inc.
LIMARU NV
Denka REGISTRATIONS bv
Elanco Europe Ltd.
Bird Free Ltd.
Lonza Cologne GmbH
Arysta LifeScience Netherlands B.V
CVR-nr.
74
Miljøstyrelsen / Bekæmpelsesmiddelstatistik 2019
MOF, Alm.del - 2020-21 - Bilag 444: Bekæmpelsesmiddelstatistik 2019, fra miljøministeren
2360061_0075.png
Bilag 2. Standarddoseringer (g aktivstof pr. ha)
Bilag 2 viser standarddoseringerne, der er anvendt ved beregningerne af standarddoseringer i rapporten.
Standarddoseringerne er principielt ikke ændret, siden de oprindelig blev fastlagt, dvs. siden det enkelte pesticid første gang indgik i statistikken. Dette af hensyn til
sammenlignelighed over tid. Listen er imidlertid ajourført, så standarddoseringerne er relateret til de aktivstofnavne og aktivstofnumre, der nu benyttes i Bekæmpelses-
middeldatabasen.
Enheder og Anvendelsesgrupper
Standarddoseringer er angivet i gram aktivstof pr ha. Hrb: ukrudtsmidler, Fun: svampemidler, Vkr: vækstreguleringsmidler, Ins: insektmidler
Korn, Vintersæd
Sædskiftegræs
Korn, Vårsæd
omdriftsareal
Kartofler
Vårraps
Anv. gr
Aktivstofnavn
CAS nr.
Hrb
Hrb
Hrb
Hrb
Hrb
Hrb
Hrb
Hrb
Hrb
Hrb
Hrb
Hrb
Hrb
Hrb
Hrb
Hrb
Hrb
2,4-D
aclonifen
aminopyralid
asulam
bentazon
bifenox
bromoxynil
clethodim
clodinafop-propargyl
clomazon
clopyralid
cycloxydim
desmedipham
diflufenican
diquat
ethofumesat
fenoxaprop-P-ethyl
94-75-7
74070-46-5
150114-71-9
3337-71-1
25057-89-0
42576-02-3
1689-84-5
99129-21-2
105512-06-9
81777-89-1
1702-17-6
101205-02-1
13684-56-5
83164-33-4
2764-72-9
26225-79-6
71283-80-2
1200
1200
60
800
1500
1500
1200
480
1500
Grøntsager
192
500
Vinterraps
Andre frø
Ærter
Roer
Majs
2000
45
800
720
720
400
720
720
400
120
480
360
1440
720
400
240
30
120
90
150
500
500
90
150
500
720
240
480
500
960
382
120
400
40
90
150
500
100
100
100
500
120
200
100
75
600
600
75
400
800
400
600
400
64
64
64
Miljøstyrelsen / Bekæmpelsesmiddelstatistik 2019
75
MOF, Alm.del - 2020-21 - Bilag 444: Bekæmpelsesmiddelstatistik 2019, fra miljøministeren
2360061_0076.png
Korn, Vintersæd
Sædskiftegræs
Korn, Vårsæd
Kartofler
Vårraps
Anv. gr
Aktivstofnavn
CAS nr.
Hrb
Hrb
Hrb
Hrb
Hrb
Hrb
Hrb
Hrb
Hrb
Hrb
Hrb
Hrb
Hrb
Hrb
Hrb
Hrb
Hrb
Hrb
Hrb
Hrb
Hrb
Hrb
Hrb
Hrb
Hrb
Hrb
Hrb
florasulam
flupyrsulfuron-methyl
fluroxypyr
foramsulfuron
glyphosat
halauxifen-methyl
iodosulfuron-methyl-natrium
ioxynil
MCPA
mesosulfuron
mesotrion
metamitron
metobromuron
metsulfuron-methyl
pendimethalin
phenmedipham
picloram
picolinafen
propaquizafop
propyzamid
prosulfocarb
pyraflufen-ethyl
pyridat
pyriofenon
pyroxsulam
rimsulfuron
sulfosulfuron
145701-23-1
144740-54-5
69377-81-7
173159-57-4
1071-83-6
943831-98-9
144550-36-7
1689-83-4
94-74-6
400852-66-6
104206-82-8
41394-05-2
3060-89-7
74223-64-6
40487-42-1
13684-63-4
1918-02-1
137641-05-5
111479-05-1
23950-58-5
52888-80-9
129630-19-9
55512-33-9
688046-61-9
422556-08-9
122931-48-0
141776-32-1
5
10
144
5
7,5
5
5
126
144
270
90
360
1260
6,25
10
400
1500
10
6,25
3,5
400
1500
1260
6,25
6,25
10
400
2000
1260
1260
3
506
133
2025
150
2100
1000
6,2
1600
4,15
800
800
4,15
1600
720
60
100
150
75
500
2800
13,5
13,5
900
90
18,75
7,5
17,5
17,5
90
150
500
2800
2800
125
150
100
150
500
60
1000
720
600
1600
2000
76
Miljøstyrelsen / Bekæmpelsesmiddelstatistik 2019
omdriftsareal
Grøntsager
Vinterraps
Andre frø
Ærter
Roer
Majs
MOF, Alm.del - 2020-21 - Bilag 444: Bekæmpelsesmiddelstatistik 2019, fra miljøministeren
2360061_0077.png
Korn, Vintersæd
Sædskiftegræs
Korn, Vårsæd
Kartofler
Vårraps
Anv. gr
Aktivstofnavn
CAS nr.
Hrb
Hrb
Hrb
Hrb
Hrb
Vkr
Vkr
Vkr
Vkr
Vkr
Vkr
Fun
Fun
Fun
Fun
Fun
Fun
Fun
Fun
Fun
Fun
Fun
Fun
Fun
Fun
Fun
Fun
terbuthylazin
thiencarbazone-methyl
thifensulfuron-methyl
tribenuron-methyl
triflusulfuron-methyl
chlormequat-chlorid
ethephon
maleinhydrazid
mepiquat-chlorid
prohexadion-calcium
trinexapac-ethyl
azoxystrobin
boscalid
Coniothyrium minitans CON/M/91-08
cyazofamid
cymoxanil
cyprodinil
difenoconazol
dimethomorph
epoxiconazol
fenpropidin
fenpropimorph
fluazinam
fludioxonil
fluopyram
folpet
fosetyl-Al
5915-41-3
317815-83-1
79277-27-3
101200-48-0
126535-15-7
999-81-5
16672-87-0
123-33-1
24307-26-4
127277-53-6
95266-40-3
131860-33-8
188425-85-6
Mikrobiologisk
120116-88-3
57966-95-7
121552-61-2
119446-68-3
110488-70-5
135319-73-2
67306-00-7
67564-91-4
79622-59-6
131341-86-1
658066-35-4
133-07-3
39148-24-8
125
750
125
750
125
125
125
112,5
125
750
750
125
750
750
125
750
750
200
750
750
125
750
150
500
125
80
200
1200
100
125
250
350
600
100
100
250
350
250
250
250
250
2440
100
125
250
250
250
250
920
480
920
240
360
1840
960
11,7
7,8
7,8
7,8
7,8
46
4,8
420
1150
7,8
19,5
2000
250
250
250
150
750
500
125
750
500
125
2400
Miljøstyrelsen / Bekæmpelsesmiddelstatistik 2019
77
omdriftsareal
Grøntsager
Vinterraps
Andre frø
Ærter
Roer
Majs
MOF, Alm.del - 2020-21 - Bilag 444: Bekæmpelsesmiddelstatistik 2019, fra miljøministeren
2360061_0078.png
Korn, Vintersæd
Sædskiftegræs
Korn, Vårsæd
Kartofler
Vårraps
Anv. gr
Aktivstofnavn
CAS nr.
Fun
Fun
Fun
Fun
Fun
Fun
Fun
Fun
Fun
Fun
Fun
Fun
Fun
Fun
Ins
Ins
Ins
Ins
Ins
Ins
Ins
Ins
Ins
Ins
Ins
Ins
Ins
mancozeb
mandipropamid
metalaxyl-M
metconazol
metrafenon
picoxystrobin
propamocarb
propiconazol
proquinazid
prothioconazol
pyraclostrobin
spiroxamin
tebuconazol
thiophanat-methyl
acetamiprid
alpha-cypermethrin
Bacillus thuringiensis subsp. aizawai GC-91
Bacillus thuringiensis subsp. kurstaki ABTS-351
cypermethrin
ferrifosfat
flonicamid
gamma-cyhalothrin
indoxacarb
lambda-cyhalothrin
pirimicarb
pymetrozin
pyrethrin I og II
8018-01-7
374726-62-2
70630-17-0
125116-23-6
220899-03-6
117428-22-5
24579-73-5
60207-90-1
189278-12-4
178928-70-6
175013-18-0
118134-30-8
107534-96-3
23564-05-8
135410-20-7
67375-30-8
Mikrobiologisk
Mikrobiologisk
52315-07-8
10045-86-0
158062-67-0
76703-62-3
173584-44-6
91465-08-6
23103-98-2
123312-89-0
8003-34-7
7,5
125
7,5
125
75
75
25
247,5
70
3
70
3
3,6
25,5
7,5
3,6
25,5
7,5
25
40
40
247,5
12,5
12,5
12,5
12,5
125
50
200
250
150
250
350
125
50
200
250
150
250
350
375
375
90
150
250
90
150
250
1500
1500
150
100
1500
1500
250
992
125
50
200
250
250
250
250
250
250
125
960
250
30
20
12,5
12,5
12,5
12,5
12,5
500
540
40
40
32
32
40
40
247,5
80
3
37,5
7,5
250
7,5
150
6,3
150
6,3
125
15
25,5
15
250
15
40
12,5
27,54
78
Miljøstyrelsen / Bekæmpelsesmiddelstatistik 2019
omdriftsareal
Grøntsager
Vinterraps
Andre frø
Ærter
Roer
Majs
MOF, Alm.del - 2020-21 - Bilag 444: Bekæmpelsesmiddelstatistik 2019, fra miljøministeren
2360061_0079.png
Korn, Vintersæd
Sædskiftegræs
Korn, Vårsæd
Kartofler
Vårraps
Anv. gr
Aktivstofnavn
CAS nr.
Ins
Ins
Ins
Ins
Ins
rapsolie
spinosad
spirotetramat
tau-fluvalinat
thiacloprid
8002-13-9
168316-95-8
203313-25-1
102851-06-9
111988-49-9
48
48
72
72
72
48
4950
96
75
Miljøstyrelsen / Bekæmpelsesmiddelstatistik 2019
79
omdriftsareal
Grøntsager
Vinterraps
Andre frø
Ærter
Roer
Majs
MOF, Alm.del - 2020-21 - Bilag 444: Bekæmpelsesmiddelstatistik 2019, fra miljøministeren
Bilag 3. Solgte mængder aktivstof fordelt på
anvendelser 2019
Bilag 3.1
Oversigt over solgte mængder af pesticider for 2010-2019.
Tabellen viser den solgte mængde aktivstof i kg for årene 2010-2019.
Felter uden salg
I tabellen nedenfor er det specificeret, hvad et felt uden salg dækker over, idet der er tilføjet ”A” for aktivstoffer, hvor det ikke har været godkendt det pågældende år, og
”B” hvis der ikke er indberettet solgte mængder for et godkendt aktivstof. Fremgår tallet nul af tabellen, betyder det således, at der har været et eller flere godkendte
produkter med det pågældende aktivstof til den pågældende anvendelse, men at godkendelsesindehaverne har indberettet en solgt mængde på nul kg eller liter. Så-
fremt der for et aktivstof ikke har været godkendte produkter i perioden 2010-2019, indgår aktivstoffet ikke i tabellen.
I tabellen er det specificeret, hvad et nul eller et tomt felt dækker over, idet der er tilføjet ”A” for aktivstoffet der ikke har været godkendt det pågældende år, og ”B” hvor
der ikke er indberettet solgte mængder for et godkendt aktivstof. Fremgår tallet nul af tabellen, betyder det således, at der har været et eller flere godkendte produkter
med det pågældende aktivstof til den pågældende anvendelse, men at godkendelsesindehaverne har indberettet en solgt mængde på nul kg eller liter. Såfremt der for et
aktivstof ikke har været godkendte produkter i perioden 2010-2019 er rækken med aktivstoffet slettet.
Anvendelsesgrupper og anvendelser
I tabellen er aktivstofferne opdelt på grundlag af godkendelsen for de midler, de indgår i. De er opdelt på anvendelsesgrupper (Anv. Gr.) og anvendelser (Anv). Tabellen
er sorteret efter anvendelsesgrupperne og det enkelte aktivstof kan derfor fremgå flere forskellige steder i tabellen. Gruppernes forkortelse har følgende betydning:
Anvendelsesgrupper for pesticider (Ang.-gr.):
Hrb: Midler godkendt med pesticid produktgruppen ”Ukrudtsmidler inkl. nedvisningsmidler”
Vkr: Midler godkendt med pesticid produktgruppen ”Vækstreguleringsmidler inkl. spiringshæmmende midler”
Alg: Midler godkendt med pesticid produktgruppen ”Algemidler og desinfektionsmidler til plantebeskyttelse”
Fun: Midler godkendt med pesticid produktgruppen ”Svampemidler”
Com: Midler godkendt med både pesticid produktgruppen ”Svampemidler” og pesticid produktgruppen ”Insektmidler (inkl. kornskadedyr)”
Jds: Midler godkendt med pesticid produktgruppen ”Jorddesinfektionsmidler”
Ins: Midler godkendt med en eller begge pesticid produktgrupper ”Insektmidler (inkl. kornskadedyr)” og ”Acaricider”
Sng: Midler godkendt med pesticid produktgruppen ”Sneglemidler”
Rep: Midler godkendt med pesticid produktgruppen ”Afskrækningsmidler (repellanter)”
Rod: Midler godkendt med pesticid produktgruppen ”Rodenticider – muldvarpe og mosegrise”
Nem: Midler godkendt med pesticid produktgruppen ” Nematicider”
80
Miljøstyrelsen / Bekæmpelsesmiddelstatistik 2019
MOF, Alm.del - 2020-21 - Bilag 444: Bekæmpelsesmiddelstatistik 2019, fra miljøministeren
2360061_0081.png
Mulige anvendelser for pesticider (Anv.):
PRI: Midler der må anvendes af ikke-professionelle brugere (private). Medmindre PRI er angivet, har aktivstoffet haft professionel anvendelse.
LAG: Midler ”Kun til høstede afgrøder i kornlagre o.l”.
VKH: Midler ”kun til væksthuse”.
IND: Bejdsemidler kun til industriel anvendelse (ej kun til eksport)
BJS: Bejsemidler (ej kun til eksport) (disse er godkendt før godkendelserne specifikt blev givet til ”kun til industriel anvendelse”, men anvendes formodentlig stort set kun
industrielt).
EXP: Bejsemidler kun til eksport
Blank: Midler til brug på friland. Gruppen omfatter midler, der kan bruges både på friland og i væksthuse.
Anv.
- gr.
Hrb
Hrb
Hrb
Hrb
Hrb
Hrb
Hrb
Hrb
Hrb
Hrb
Hrb
Hrb
Hrb
Hrb
Hrb
Hrb
Hrb
Hrb
Hrb
Hrb
Hrb
Aktivstofnavn
2,4-D
2,4-D
aclonifen
amidosulfuron
aminopyralid
asulam
bentazon
bifenox
bromoxynil
Caprinsyre
carfentrazon-ethyl
clethodim
clodinafop-propargyl
clomazon
clopyralid
clopyralid
cycloxydim
desmedipham
dicamba
dicamba
dichlorprop-P
CAS-nr.
94-75-7
94-75-7
74070-46-5
120923-37-7
150114-71-9
3337-71-1
25057-89-0
42576-02-3
1689-84-5
334-48-5
128639-02-1
99129-21-2
105512-06-9
81777-89-1
1702-17-6
1702-17-6
101205-02-1
13684-56-5
1918-00-9
1918-00-9
15165-67-0
Anv
.
2010
447,0
2011
11.106,0
2.044,0
21.348,0
0,0
341,5
1.600,0
12.978,6
854,4
23.536,8
2.482,0
115,8
A
262,8
8.053,9
11.786,5
54,5
3.762,0
2.080,0
399,0
881,8
1.396,0
2012
3.515,4
377,3
41.496,0
0,0
195,3
3.520,0
19.016,8
0,0
69.335,2
2.176,3
81,0
A
128,8
13.245,5
8.170,6
0,0
4.752,0
4.159,2
435,0
531,6
1.986,7
2013
9.816,9
810,1
25.428,0
A
448,8
3.726,0
26.325,8
A
47.172,0
542,4
118,8
A
372,0
14.462,3
14.257,7
27,6
5.262,0
6.911,2
405,0
433,5
946,9
2014
12.441,9
1.007,8
1.164,0
A
508,8
3.614,0
24.111,0
A
11.826,6
0,0
197,1
A
760,0
12.741,1
13.524,7
11,3
5.981,0
7.660,8
0,0
418,9
613,7
2015
15.024,6
1.724,0
18.761,5
A
759,2
3.232,0
23.795,8
A
192,8
0,0
183,6
A
875,6
15.444,3
10.228,6
A
5.645,0
5.272,8
0,0
297,4
180,1
2016
17.292,3
1.626,3
16.723,0
A
705,4
3.852,0
22.446,0
A
15.430,9
233,5
224,4
199,4
723,2
14.583,1
11.829,4
A
5.418,0
6.198,4
0,0
246,2
7,8
2017
18.264,0
1.748,0
23.549,0
A
823,0
6.128,0
21.864,8
A
13.306,8
0,0
A
228,2
1.187,8
5.311,0
11.049,0
A
4.437,5
7.366,4
0,0
286,0
111,4
2018
20.350,8
A
27.982,0
A
878,6
7.738,0
32.040,0
A
4.819,2
567,9
A
228,2
98,0
4.635,2
2.706,8
A
7.388,0
7.957,6
0,0
34,4
161,2
2019
18.230,4
A
39.363,0
A
820,8
8.290,0
25.032,0
A
3.212,8
1.047,9
A
282,2
338,0
9.130,8
2.331,3
A
6.502,0
14.374,4
A
39,1
183,3
PRI
711,2
10.527,0
0,0
0,0
2.424,0
39.765,6
1.152,0
33.788,0
PRI
4.441,4
108,0
487,4
217,2
9.689,5
9.072,8
PRI
47,6
5.196,0
3.996,8
0,0
PRI
PRI
521,9
1.493,7
Miljøstyrelsen / Bekæmpelsesmiddelstatistik 2019
81
MOF, Alm.del - 2020-21 - Bilag 444: Bekæmpelsesmiddelstatistik 2019, fra miljøministeren
2360061_0082.png
Anv.
- gr.
Hrb
Hrb
Hrb
Hrb
Hrb
Hrb
Hrb
Hrb
Hrb
Hrb
Hrb
Hrb
Hrb
Hrb
Hrb
Hrb
Hrb
Hrb
Hrb
Hrb
Hrb
Hrb
Hrb
Hrb
Hrb
Hrb
Hrb
Hrb
Hrb
Hrb
Aktivstofnavn
diflufenican
diflufenican
diquat
diuron
eddikesyre
eddikesyre
ethofumesat
fedtsyre, umættede kalium-
salte
fenoxaprop-P-ethyl
florasulam
fluazifop-P-butyl
flupyrsulfuron-methyl
fluroxypyr
fluroxypyr
foramsulfuron
glyphosat
glyphosat
halauxifen-methyl
hvidløg
iodosulfuron-methyl-natrium
ioxynil
jern(II)sulfat
linuron
maleinhydrazid
maleinhydrazid
MCPA
MCPA
mechlorprop-P (MCPP-P)
mesosulfuron
mesotrion
CAS-nr.
83164-33-4
83164-33-4
2764-72-9
330-54-1
64-19-7
64-19-7
26225-79-6
67701-09-1
71283-80-2
145701-23-1
79241-46-6
144740-54-5
69377-81-7
69377-81-7
173159-57-4
1071-83-6
1071-83-6
943831-98-9
8008-99-9
144550-36-7
1689-83-4
7720-78-7
330-55-2
123-33-1
123-33-1
94-74-6
94-74-6
16484-77-8
400852-66-6
104206-82-8
Anv
.
2010
10.294,4
2011
15.552,3
332,6
18.576,0
A
A
A
1.464,0
A
2.234,2
947,3
702,5
233,4
41.322,3
109,0
3.767,7
1.927.544,1
13.766,0
A
A
1.553,0
21.094,8
44.710,2
A
2.304,0
433,9
645.829,7
8.449,0
1.830,5
352,1
11.150,0
2012
22.318,9
148,4
29.724,0
A
A
A
9.418,0
A
3.967,0
796,3
187,5
147,4
42.176,8
0,0
3.114,6
1.388.570,2
13.950,2
A
A
1.114,4
62.036,7
10.993,3
A
446,4
313,6
213.128,0
7.811,8
550,4
253,4
12.128,0
2013
25.787,4
769,2
24.724,0
A
A
A
4.974,5
0,0
5.223,3
1.100,5
A
330,4
44.380,9
55,2
3.932,0
1.370.791,8
18.065,1
A
A
1.602,8
44.028,3
9.793,7
30,0
504,0
528,3
306.916,5
4.615,8
632,2
592,9
14.722,0
2014
33.806,6
266,1
9.180,0
A
342,0
648,0
522,0
0,0
5.783,2
1.551,3
A
254,0
40.530,1
22,5
4.256,3
610.549,3
16.295,2
A
A
1.568,2
9.502,0
2.417,2
A
1.138,2
164,3
86.569,5
3.964,2
1.034,6
786,2
14.648,0
2015
37.504,4
251,9
20.904,0
A
172,8
0,0
402,0
0,0
3.929,6
1.796,9
A
400,0
41.865,7
A
3.492,0
841.618,4
12.131,0
A
A
1.368,0
69,5
2.417,2
A
702,0
131,3
90.227,5
627,2
1,6
810,0
15.095,5
2016
43.016,5
145,2
13.412,0
A
1.352,9
461,6
1.512,0
A
3.247,1
1.660,3
A
840,0
27.561,5
A
3.963,3
1.126.419,6
14.280,4
324,7
A
1.380,4
A
A
A
1.350,0
60,1
18.905,0
31,2
2,5
897,3
15.552,0
2017
44.622,5
0,0
22.592,0
A
432,0
249,0
1.056,0
A
4.349,8
1.678,2
A
1.017,5
40.129,3
A
2.727,9
1.229.648,9
11.754,0
1.326,0
A
1.392,9
A
A
A
90,0
0,0
47.400,0
386,3
A
990,2
14.470,0
2018
38.472,0
244,0
31.532,0
A
795,6
790,8
7.275,0
A
5.238,8
1.803,6
A
A
36.062,0
A
3.138,0
950.428,5
13.887,2
1.331,3
A
1.585,1
A
36.633,1
A
0,0
0,0
93.924,0
558,9
A
1.056,1
20.054,0
2019
38.223,0
A
23.560,0
A
1.710,0
2.754,6
6.630,0
A
3.380,7
1.844,8
A
A
31.811,6
A
3.456,0
1.175.481,8
12.888,4
1.185,0
A
1.425,3
A
13.439,9
A
0,0
0,0
85.196,0
635,4
A
1.130,5
4.160,0
PRI
784,9
21.362,0
2.392,0
A
PRI
A
5.907,5
PRI
A
2.474,1
514,5
435,0
348,0
32.128,9
PRI
95,1
3.066,5
1.629.015,7
PRI
17.547,1
A
B
1.175,8
26.460,5
PRI
13.179,5
A
218,4
PRI
256,1
235.653,2
PRI
PRI
7.021,4
815,1
244,8
11.312,0
82
Miljøstyrelsen / Bekæmpelsesmiddelstatistik 2019
MOF, Alm.del - 2020-21 - Bilag 444: Bekæmpelsesmiddelstatistik 2019, fra miljøministeren
2360061_0083.png
Anv.
- gr.
Hrb
Hrb
Hrb
Hrb
Hrb
Hrb
Hrb
Hrb
Hrb
Hrb
Hrb
Hrb
Hrb
Hrb
Hrb
Hrb
Hrb
Hrb
Hrb
Hrb
Hrb
Hrb
Hrb
Hrb
Hrb
Vkr
Vkr
Vkr
Vkr
Vkr
Vkr
Aktivstofnavn
metamitron
metobromuron
metsulfuron-methyl
pelargonsyre
pelargonsyre
pendimethalin
phenmedipham
picloram
picolinafen
propaquizafop
propyzamid
prosulfocarb
pyraflufen-ethyl
pyridat
pyroxsulam
quinoclamin
rimsulfuron
sulfosulfuron
tepraloxydim
thiencarbazone-methyl
thifensulfuron-methyl
tralkoxydim
triasulfuron
tribenuron-methyl
triflusulfuron-methyl
1-methylcyclopropen
1-naphthyleddikesyre
1-naphthyleddikesyre
6-benzyladenin
carvone
chlormequat-chlorid
CAS-nr.
41394-05-2
3060-89-7
74223-64-6
112-05-0
112-05-0
40487-42-1
13684-63-4
1918-02-1
137641-05-5
111479-05-1
23950-58-5
52888-80-9
129630-19-9
55512-33-9
422556-08-9
2797-51-5
122931-48-0
141776-32-1
149979-41-9
317815-83-1
79277-27-3
87820-88-0
82097-50-5
101200-48-0
126535-15-7
3100-04-7
86-87-3
86-87-3
1214-39-7
99-49-0
999-81-5
Anv
.
2010
130.210,5
A
502,5
1.359,2
2011
44.100,0
A
848,8
15.772,4
2.699,3
113.949,2
29.738,9
1.349,7
477,8
5.906,4
22.762,0
584.416,0
A
A
445,3
207,0
384,0
304,8
163,5
A
905,4
0,0
20,0
2.117,6
498,0
0,0
33,5
0,2
24,3
A
146.415,0
2012
174.205,5
A
500,6
2.778,1
2.110,9
257.771,4
39.062,6
206,4
646,9
2.145,9
32.870,0
2.047.312,0
A
A
467,6
B
A
368,0
144,0
A
1.196,6
5.920,0
21,8
1.569,5
510,6
0,0
29,1
0,1
14,4
A
369.855,0
2013
133.280,0
A
546,8
3.136,6
7.453,0
131.898,1
40.170,4
255,6
439,4
4.395,2
40.082,0
529.200,0
A
A
804,7
0,0
224,8
184,8
172,5
A
513,4
A
20,3
1.889,9
513,0
0,0
24,7
0,1
24,0
A
244.803,8
2014
41.349,0
A
557,0
7.083,4
1.183,7
29.420,3
25.967,0
257,6
0,0
5.437,5
45.190,0
134.400,0
A
A
1.374,6
B
200,0
341,2
480,0
A
633,4
A
0,0
2.260,1
670,8
0,0
32,9
0,2
31,7
B
54.630,0
2015
41.363,0
A
156,3
4.368,8
2.402,6
28.301,0
21.889,1
328,3
0,0
5.122,1
42.314,0
573.872,0
A
A
2.344,1
112,5
210,5
286,4
0,0
A
592,7
A
0,0
1.326,8
887,0
0,0
98,6
0,2
0,0
53,6
29.790,0
2016
31.640,0
A
348,7
8.980,3
2.163,9
33.806,5
17.343,2
549,5
0,0
5.149,5
58.734,0
357.344,0
A
A
2.496,3
0,0
225,0
208,0
A
0,0
480,0
A
0,0
1.459,9
129,0
0,1
A
A
22,0
0,0
79.500,0
2017
38.500,0
A
252,8
1.784,9
3.886,8
15.570,1
20.022,4
3.113,9
0,0
6.064,0
51.008,0
265.824,0
A
94,5
1.761,4
375,0
270,0
21,6
A
0,0
444,5
A
A
2.074,9
0,0
0,0
83,5
A
4,8
0,0
85.740,0
2018
73.248,0
6.600,0
160,0
8.423,9
7.769,8
11.038,3
23.933,6
2.735,2
0,0
5.724,0
54.630,0
451.584,0
66,3
85,5
1.827,2
337,5
288,8
14,4
A
0,0
493,5
A
A
0,0
0,0
0,1
20,9
A
8,0
0,0
40.560,0
2019
61.281,5
16.325,0
321,4
4.480,8
13.178,8
11.666,2
32.035,2
1.831,2
0,0
4.133,5
57.608,0
278.528,0
154,8
640,5
1.909,3
A
310,3
A
A
0,0
494,1
A
A
2.340,7
224,5
0,1
41,8
A
12,0
0,0
55.200,0
PRI
1.846,6
146.799,8
47.107,9
723,6
2.649,9
4.047,1
22.392,0
820.216,0
A
A
321,2
168,0
149,5
310,2
135,8
A
780,7
0,0
0,0
1.541,3
445,0
LAG
0,0
46,0
VKH
VKH
LAG
0,2
10,7
A
186.945,0
Miljøstyrelsen / Bekæmpelsesmiddelstatistik 2019
83
MOF, Alm.del - 2020-21 - Bilag 444: Bekæmpelsesmiddelstatistik 2019, fra miljøministeren
2360061_0084.png
Anv.
- gr.
Vkr
Vkr
Vkr
Vkr
Vkr
Vkr
Vkr
Vkr
Vkr
Vkr
Vkr
Vkr
Vkr
Vkr
Vkr
Fun
Fun
Fun
Fun
Fun
Fun
Fun
Fun
Fun
Fun
Fun
Fun
Fun
Fun
Aktivstofnavn
chlormequat-chlorid
chlorpropham
daminozid
ethephon
flurprimidol
gibberellinsyre
maleinhydrazid
mepiquat-chlorid
metconazol
natriumsølvthiosulfat
paclobutrazol
pebermynteolie
prohexadion-calcium
s-abscisinsyre
trinexapac-ethyl
Ampelomyces quisqualis
strain AQ10
Aureobasidium pullulans
azoxystrobin
Bacillus amyloliquefaciens
strain MBI 600
Bacillus subtilis
strain QST
713
benthiavalicarb
bitertanol
bitertanol
boscalid
captan
Clonostachys rosea
strain
J1446
1
Coniothyrium minitans
CON/M/91-08
cyazofamid
cymoxanil
CAS-nr.
999-81-5
101-21-3
1596-84-5
16672-87-0
56425-91-3
77-06-5
123-33-1
24307-26-4
125116-23-6
7772-98-7
76738-62-0
8008-79-5
127277-53-6
21293-29-8
95266-40-3
Mikrobiologisk
Mikrobiologisk
131860-33-8
Mikrobiologisk
Mikrobiologisk
177406-68-7
55179-31-2
55179-31-2
188425-85-6
133-06-2
Mikrobiologisk
Mikrobiologisk
120116-88-3
57966-95-7
Anv
.
VKH
LAG
VKH
2010
A
960,0
1.481,6
2.551,3
2011
A
960,0
2.590,8
4.355,5
0,7
A
1.584,0
8.570,5
A
34,7
12,0
A
A
A
6.245,0
A
75,0
15.892,0
A
A
0,0
0,0
3.000,0
84.117,0
10.112,0
A
1,3
8.086,8
7,7
2012
A
560,0
1.827,5
17.264,3
0,4
A
1.500,0
7.434,5
A
44,0
13,9
A
136,0
A
7.396,8
0,0
0,0
12.784,0
A
A
0,0
A
A
83.096,6
7.412,0
5,9
9,6
9.216,0
805,0
2013
A
730,0
2.129,3
23.103,4
0,6
A
1.416,0
5.267,8
0,0
41,9
25,7
A
148,0
A
11.081,0
0,6
0,0
17.322,0
A
A
0,0
A
A
72.772,0
10.960,0
75,2
11,4
7.944,0
1.399,0
2014
A
710,0
2.157,3
17.188,1
0,4
A
1.980,0
17.923,7
1.311,0
44,5
28,3
A
1.044,0
A
17.873,0
0,2
A
19.664,8
A
A
0,0
A
A
70.434,6
10.232,0
73,0
13,4
8.041,2
1.369,5
2015
A
820,0
1.916,8
18.213,4
0,3
A
1.152,0
26.976,5
1.684,8
102,0
22,8
0,0
2.113,0
A
41.079,4
0,0
A
20.470,5
A
1,4
0,0
A
A
102.248,7
4.092,0
41,9
7,5
6.400,0
4.044,0
2016
A
770,0
1.797,8
27.079,3
A
A
1.056,0
41.226,6
1.242,6
A
12,5
0,0
4.911,7
A
31.155,0
0,0
A
19.779,3
A
17,9
0,0
A
A
39.743,3
7.680,0
70,3
9,0
3.884,0
7.714,0
2017
A
760,0
1.806,3
32.916,2
A
0,0
1.245,0
47.012,6
1.078,7
33,9
17,2
0,0
5.680,2
150,4
34.700,8
0,0
A
20.258,2
A
44,5
0,0
A
A
66.226,9
6.492,0
55,3
12,0
7.552,0
10.142,5
2018
0,0
960,0
2.524,5
34.376,0
A
40,0
1.212,0
21.477,8
192,6
6,6
20,5
0,0
2.367,7
142,4
30.893,1
0,0
A
6.140,2
0,0
71,3
0,0
A
A
55.492,5
4.760,0
48,2
11,7
15.523,2
9.815,1
2019
1.380,0
1.040,0
1.972,0
11.329,6
A
0,0
984,0
26.409,4
501,0
A
26,3
B
3.102,9
271,2
30.004,5
0,0
A
8.048,6
8,2
116,7
0,0
A
A
43.716,0
A
49,6
79,5
15.886,4
15.942,0
VKH
0,6
A
1.008,0
5.020,3
A
VKH
VKH
LAG
32,1
36,1
A
A
A
7.467,5
VKH
LAG
A
30,0
14.142,5
IND
A
A
0,0
0,0
IND
10.125,0
67.142,6
9.680,0
A
7,7
4.084,8
0,0
84
Miljøstyrelsen / Bekæmpelsesmiddelstatistik 2019
MOF, Alm.del - 2020-21 - Bilag 444: Bekæmpelsesmiddelstatistik 2019, fra miljøministeren
2360061_0085.png
Anv.
- gr.
Fun
Fun
Fun
Fun
Fun
Fun
Fun
Fun
Fun
Fun
Fun
Fun
Fun
Fun
Fun
Fun
Fun
Fun
Fun
Fun
Fun
Fun
Fun
Fun
Fun
Fun
Fun
Fun
Fun
Aktivstofnavn
cymoxanil
cyprodinil
difenoconazol
difenoconazol
dimethomorph
dithianon
dodin
epoxiconazol
fenamidon
fenhexamid
fenpropidin
Fenpyrazamin
fluazinam
fludioxonil
fludioxonil
fludioxonil
fluopyram
folpet
fosetyl-Al
fuberidazol
hymexazol
imazalil
imazalil
imazalil
imazalil
kalium hydrogenkarbonat
kaliumphosphonat
kresoxim-methyl
laminarin
CAS-nr.
57966-95-7
121552-61-2
119446-68-3
119446-68-3
110488-70-5
3347-22-6
2439-10-3
135319-73-2
161326-34-7
126833-17-8
67306-00-7
473798-59-3
79622-59-6
131341-86-1
131341-86-1
131341-86-1
658066-35-4
133-07-3
39148-24-8
3878-19-1
10004-44-1
35554-44-0
35554-44-0
35554-44-0
35554-44-0
298-14-6
13977-65-6
143390-89-0
9008-22-4
Anv
.
EXP
2010
0,0
67,5
0,0
2011
0,0
746,3
57,5
882,0
441,0
3.332,0
A
63.349,4
27,0
857,5
46.206,0
A
50,0
97,5
448,0
0,0
A
A
6.394,5
184,0
5.600,0
5.070,1
0,0
0,0
0,0
A
A
627,5
A
2012
0,0
191,3
152,5
424,5
600,0
4.424,0
A
52.075,9
66,8
1.085,0
11.430,0
A
290,0
127,5
2.408,0
0,0
A
A
3.118,3
A
6.650,0
6.080,2
0,0
100,0
A
A
A
537,5
0,0
2013
0,0
1.732,5
95,0
482,0
599,3
3.913,0
A
61.885,4
0,0
985,0
35.442,0
A
1.100,0
155,0
2.310,0
0,0
A
A
4.724,4
A
3.500,0
7.896,0
0,0
0,0
A
A
A
382,5
36,0
2014
40,0
1.509,3
3.590,0
107,5
240,0
4.634,0
0,0
55.565,4
1,5
390,0
A
A
1.090,0
407,0
1.903,5
20,0
A
2.980,0
3.966,0
A
3.850,0
662,0
360,0
0,0
A
0,0
A
578,5
0,0
2015
0,0
731,3
4.022,5
125,0
1.423,5
2.597,0
943,8
48.592,8
0,4
640,0
A
36,0
1.950,0
487,5
1.703,8
0,0
A
12.070,0
3.554,4
A
4.200,0
4.880,0
840,0
0,0
A
0,0
A
352,5
36,0
2016
0,0
4.947,5
8.951,5
174,3
1.825,1
2.747,0
641,9
13.258,7
484,1
408,0
A
0,0
2.390,0
615,0
2.606,5
0,0
A
560,0
3.554,8
A
7.000,0
4.650,0
A
0,0
A
80,8
0,0
262,5
A
2017
0,0
881,3
11.985,3
605,0
2.202,8
2.321,2
293,8
18.791,1
0,0
350,0
A
0,0
5.639,0
747,5
1.926,0
0,0
12.847,5
20,0
3.056,6
A
11.200,0
1.299,3
A
A
A
658,8
78,5
406,5
4,5
2018
0,0
637,5
8.546,8
25,0
1.788,7
2.437,2
435,2
15.663,6
0,0
505,0
A
0,0
5.149,0
570,0
1.550,5
0,0
34.233,1
0,0
2.630,5
A
12.600,0
3.129,2
A
A
A
B
269,3
92,5
3,6
2019
0,0
397,5
10.242,8
120,0
2.362,3
1.525,8
233,9
12.612,9
0,0
167,0
A
0,0
7.602,0
350,0
2.616,1
54,0
33.788,8
0,0
1.791,6
A
8.400,0
1.800,0
A
A
A
0,0
269,3
144,0
8,1
IND
1.204,4
278,3
3.269,0
A
46.720,3
81,0
445,0
6.174,0
VKH
A
60,0
45,0
BJS/
IND
EXP
745,5
0,0
A
A
3.208,2
IND
BJS/
IND
BJS/
IND
EXP
LAG
VKH
621,0
5.250,0
7.512,0
A
0,0
0,0
A
A
515,0
A
Miljøstyrelsen / Bekæmpelsesmiddelstatistik 2019
85
MOF, Alm.del - 2020-21 - Bilag 444: Bekæmpelsesmiddelstatistik 2019, fra miljøministeren
2360061_0086.png
Anv.
- gr.
Fun
Fun
Fun
Fun
Fun
Fun
Fun
Fun
Fun
Fun
Fun
Fun
Fun
Fun
Fun
Fun
Fun
Fun
Fun
Fun
Fun
Fun
Fun
Fun
Fun
Fun
Fun
Fun
Fun
Fun
Aktivstofnavn
mancozeb
mandipropamid
maneb
mepanipyrim
metalaxyl-M
metalaxyl-M
metconazol
metrafenon
pencycuron
Phlebiopsis gigantea
VRA
1835
picoxystrobin
propamocarb
propiconazol
proquinazid
prothioconazol
prothioconazol
Pseudomonas chlororaphis
MA342
2
pyraclostrobin
pyrimethanil
pyriofenon
sedaxane
silthiofam
spiroxamin
Streptomyces
K61
svovl
svovl
tebuconazol
tebuconazol
tebuconazol
thiabendazol
CAS-nr.
8018-01-7
374726-62-2
12427-38-2
110235-47-7
70630-17-0
70630-17-0
125116-23-6
220899-03-6
66063-05-6
Mikrobiologisk
117428-22-5
24579-73-5
60207-90-1
189278-12-4
178928-70-6
178928-70-6
Mikrobiologisk
175013-18-0
53112-28-0
688046-61-9
874967-67-6
175217-20-6
118134-30-8
Mikrobiologisk
7704-34-9
7704-34-9
107534-96-3
107534-96-3
107534-96-3
148-79-8
Anv
.
2010
247.057,6
1.045,0
0,0
44,0
254,8
2011
205.373,6
3.680,0
0,0
44,0
1.596,0
0,0
195,6
10.554,0
4.837,5
4,2
915,0
456,5
11.710,0
A
16.030,0
4.250,0
0,0
39.182,2
960,0
A
A
750,0
A
A
10.280,0
0,0
47.580,5
93,6
46,0
0,0
2012
492.449,2
5.107,5
0,0
138,2
2.685,2
0,0
572,4
9.904,0
3.847,5
0,0
655,0
2.805,1
12.055,0
A
34.054,4
2.044,0
0,0
36.262,8
952,0
A
A
375,0
A
A
15.420,0
0,0
57.285,4
210,0
27,1
0,0
2013
386.630,3
7.892,5
0,0
202,4
536,0
0,0
1.159,2
12.415,0
4.380,0
0,5
1.280,0
7.571,6
13.151,3
A
56.507,5
3.835,0
55,0
44.147,9
760,0
A
A
600,0
A
A
17.020,0
0,0
77.515,5
686,0
27,1
0,0
2014
2.134,4
11.737,5
0,0
167,2
A
196,5
1.078,5
11.756,0
5.681,9
0,0
210,0
7.115,7
7.934,7
A
79.422,5
4.050,0
0,0
36.579,6
832,0
A
A
1.050,0
A
A
8.720,0
0,0
34.159,5
774,0
0,0
720,0
2015
4.122,1
16.750,0
0,0
85,8
A
169,6
1.375,1
10.415,0
6.172,5
0,3
395,0
18.124,7
5.475,0
A
90.581,0
5.130,0
0,0
47.583,3
616,0
A
A
750,0
A
1,4
4.500,0
231,2
43.177,0
684,0
76,8
1.680,0
2016
0,0
25.710,0
0,0
105,6
A
67,8
3.221,4
5.778,6
9.010,6
0,2
587,5
14.480,5
2.760,3
A
97.236,8
7.200,0
A
25.968,0
634,0
A
A
300,0
A
1,1
2.900,0
168,8
58.096,6
960,0
53,8
A
2017
10.278,0
27.036,3
B
44,0
A
271,4
2.565,6
7,8
7.651,9
0,2
225,0
20.439,8
3.950,5
3.538,2
68.968,2
8.100,0
0,0
39.519,8
416,0
0,0
A
375,0
0,0
0,6
2.020,0
220,8
78.013,7
1.081,2
0,0
A
2018
7.108,5
27.596,3
A
79,2
A
264,6
678,0
0,0
7.692,5
0,1
A
11.416,4
1.070,0
3.442,0
70.616,1
8.250,0
0,0
46.475,0
312,0
0,0
A
375,0
774,0
0,5
3.720,0
259,2
40.405,9
1.100,0
0,0
A
2019
8.527,5
29.002,5
A
17,6
A
489,1
0,0
0,0
7.650,0
0,2
A
21.152,8
42,0
1.120,0
61.234,2
7.530,0
B
42.543,7
168,0
0,0
36,0
300,0
60,0
0,3
2.405,6
194,4
63.326,1
1.014,2
0,0
A
EXP
0,0
396,0
8.318,0
BJS
4.513,8
2,1
1.335,0
1.126,1
8.170,0
A
11.100,0
IND
IND
800,0
0,0
34.344,7
532,0
A
EXP
EXP
A
A
A
VKH
A
11.840,0
PRI
12,0
44.695,0
IND
PRI
EXP
90,0
63,8
A
86
Miljøstyrelsen / Bekæmpelsesmiddelstatistik 2019
MOF, Alm.del - 2020-21 - Bilag 444: Bekæmpelsesmiddelstatistik 2019, fra miljøministeren
2360061_0087.png
Anv.
- gr.
Fun
Fun
Fun
Fun
Fun
Fun
Fun
Fun
Ins
Ins
Ins
Ins
Ins
Ins
Ins
Aktivstofnavn
thiophanat-methyl
thiram
thiram
tolclofos-methyl
tolclofos-methyl
Trichoderma harzianum
T-
22
Verticillium albo-atrum
strain WCS850
zoxamid
(E,E)-8, 10-dodecadien-1-ol
(Z)-11-tetradecen-1-yl ace-
tat
(Z)-9-tetradecen-1-yl acetat
abamectin
acetamiprid
acetamiprid
Adoxophyes orana Granulo-
virus (AoGV)
stamme BV-
0001
alpha-cypermethrin
aluminiumphosphid
azadirachtin
azadirachtin
azadirachtin
Bacillus thuringiensis
subsp.
aizawai
GC-91
Bacillus thuringiensis
subsp.
israelensis
AM65-52
Bacillus thuringiensis
subsp.
kurstaki
ABTS-351
Beauveria bassiana
ATCC
74040
Beauveria bassiana
GHA
beta-cyfluthrin
beta-cyfluthrin
CAS-nr.
23564-05-8
137-26-8
137-26-8
57018-04-9
57018-04-9
Mikrobiologisk
Mikrobiologisk
156052-68-5
33956-49-9
20711-10-8
16725-53-4
71751-41-2
135410-20-7
135410-20-7
Mikrobiologisk
Anv
.
2010
A
2011
A
3.744,0
4.377,6
0,0
7.158,5
A
A
0,0
20,4
19,5
3,9
10,8
429,6
5,9
A
2012
A
2.592,0
4.329,6
A
730,5
A
A
0,0
32,9
31,5
6,3
9,7
741,8
2,4
0,0
2013
A
3.936,0
2.284,8
A
2.358,0
A
A
0,0
25,5
24,3
4,9
19,7
813,6
0,0
0,0
2014
A
3.840,0
0,0
A
1.872,0
A
A
0,0
22,6
21,6
4,4
13,8
1.491,0
0,0
0,0
2015
121,8
4.224,0
2.764,8
A
7.562,0
14,3
A
B
25,8
24,6
5,0
14,0
1.531,2
0,0
0,0
2016
420,0
6.432,0
4.915,2
A
720,0
6,4
A
B
29,4
28,1
5,7
13,0
2.291,4
4,8
0,0
2017
365,4
8.352,0
7.680,0
A
2.465,0
128,3
0,0
0,0
35,3
33,7
6,8
15,3
1.933,2
0,0
0,0
2018
386,4
8.832,0
9.830,4
A
3.543,0
155,4
0,0
0,0
34,8
33,3
6,7
19,2
2.202,0
2,4
0,0
2019
228,9
12.288,0
0,0
A
8.460,0
162,9
0,0
B
39,4
37,7
7,6
10,6
4.316,4
2,4
0,0
EXP
IND
2.976,0
4.528,8
0,0
BJS
200,0
A
A
0,0
0,0
A
A
VKH
8,4
93,6
PRI
0,0
A
Ins
Ins
Ins
Ins
Ins
Ins
Ins
Ins
Ins
Ins
Ins
Ins
67375-30-8
20859-73-8
11141-17-6
11141-17-6
11141-17-6
Mikrobiologisk
Mikrobiologisk
Mikrobiologisk
Mikrobiologisk
Mikrobiologisk
68359-37-5
68359-37-5
EXP
VKH
VKH
VKH
PRI
VKH
LAG
1.339,0
5.024,9
A
A
A
A
A
A
A
A
A
0,0
2.993,0
3.457,4
A
A
A
A
A
A
A
A
0,0
0,0
5.709,0
1.646,4
A
A
A
A
A
A
12,0
A
0,0
0,0
4.463,8
1.663,2
A
A
A
A
A
A
3,7
A
0,0
85,3
247,8
3.487,1
2,2
A
A
A
0,0
0,0
1,0
A
B
250,7
28,0
4.811,5
2,1
A
A
30,0
3.734,3
466,6
1,9
B
0,0
160,0
0,0
4.755,5
3,1
0,0
A
280,0
0,0
8.035,2
2,3
33,0
0,0
32,0
120,0
5.323,4
13,1
12,0
A
260,0
324,7
777,6
3,0
B
0,0
29,9
75,0
5.005,8
29,0
12,0
A
440,0
2.199,2
751,7
3,5
B
0,0
0,0
167,0
7.766,1
16,8
0,0
4,5
420,0
1.217,7
1.088,6
6,6
47,5
0,0
0,0
Miljøstyrelsen / Bekæmpelsesmiddelstatistik 2019
87
MOF, Alm.del - 2020-21 - Bilag 444: Bekæmpelsesmiddelstatistik 2019, fra miljøministeren
2360061_0088.png
Anv.
- gr.
Ins
Ins
Ins
Ins
Ins
Ins
Ins
Ins
Ins
Ins
Ins
Ins
Ins
Ins
Ins
Ins
Ins
Ins
Ins
Ins
Ins
Ins
Ins
Ins
Ins
Ins
Ins
Ins
Ins
Ins
Aktivstofnavn
beta-cyfluthrin
bifenazate
buprofezin
clofentezin
clothianidin
clothianidin
Cydia pomonella granulosis
virus (CpGV)
cypermethrin
cypermethrin
cypermethrin
deltamethrin
diatomejord
diflubenzuron
dimethoat
dodecan-1-ol
esfenvalerat
fedtsyre-salte
fenpyroximat
flonicamid
fosforbrinte
gamma-cyhalothrin
hexythiazox
hvidløg
imidacloprid
imidacloprid
imidacloprid
imidacloprid
imidacloprid
indoxacarb
kaliumoleat
CAS-nr.
68359-37-5
149877-41-8
69327-76-0
74115-24-5
210880-92-5
210880-92-5
Mikrobiologisk
52315-07-8
52315-07-8
52315-07-8
52918-63-5
61790-53-2
35367-38-5
60-51-5
112-53-8
66230-04-4
Mangler
134098-61-6
158062-67-0
7803-51-2
76703-62-3
78587-05-0
8008-99-9
138261-41-3
138261-41-3
138261-41-3
138261-41-3
138261-41-3
173584-44-6
143-18-0
Anv
.
IND
2010
80,0
18,0
2011
0,0
21,6
A
0,0
0,0
0,0
0,8
4.144,8
A
0,1
19,7
255,0
18,8
4.112,0
3,2
108,0
0,0
7,0
465,0
A
18,0
0,8
0,0
16,2
2.632,0
0,0
3,4
86,8
132,0
1.395,8
2012
144,0
24,0
A
0,0
0,0
680,0
0,5
18.595,2
A
0,0
75,5
210,0
273,0
7.072,0
5,1
72,0
1.543,3
3,2
597,5
A
14,0
0,0
0,0
20,9
2.954,0
0,0
2,0
47,6
1.447,1
25,0
2013
0,0
22,8
A
0,0
160,0
0,0
0,5
8.920,0
A
0,1
69,3
270,0
22,8
6.366,0
4,0
72,0
768,6
7,3
579,5
A
26,5
13,6
0,0
34,4
4.424,0
120,0
11,1
53,2
1.237,1
0,0
2014
0,0
20,4
A
A
1.280,0
0,0
0,5
0,0
A
0,1
63,9
0,0
A
A
3,5
72,0
558,5
12,2
983,0
A
0,0
14,8
0,0
17,6
399,0
150,0
A
64,4
748,5
0,0
2015
57,6
16,8
A
A
960,0
306,8
0,6
0,0
A
0,2
92,3
0,0
A
A
4,0
36,0
0,0
6,3
500,0
A
0,0
20,0
0,0
12,4
196,0
60,0
A
64,4
796,1
0,0
2016
15,2
26,4
A
A
0,0
76,0
0,6
0,0
0,0
0,3
80,8
A
A
A
4,6
66,0
A
0,0
665,5
A
0,0
19,5
A
28,2
224,0
60,0
A
70,0
527,1
0,0
2017
0,0
15,6
0,0
A
0,0
0,0
0,6
0,0
1,4
0,6
67,0
A
A
A
5,5
A
A
0,0
0,0
A
0,0
15,0
A
18,1
2.492,0
56,1
A
110,6
893,3
0,0
2018
0,0
32,4
0,0
A
0,0
0,0
0,7
0,0
0,0
0,3
70,4
A
A
A
5,4
A
A
0,0
1.618,5
A
0,0
22,5
A
8,4
2.100,0
0,0
A
101,5
37,5
A
2019
A
26,4
0,0
A
0,0
A
0,0
0,0
0,3
0,6
79,2
A
A
A
6,1
A
A
A
1.107,0
A
0,0
17,5
A
0,4
0,0
0,0
A
72,8
458,6
A
VKH
0,0
0,0
EXP
IND
0,0
0,0
0,1
12.325,2
LAG
PRI
LAG
LAG
A
0,2
3,4
375,0
26,3
3.520,0
A
0,0
PRI
0,0
2,1
365,5
LAG
0,0
518,4
5,6
0,0
46,5
BJS/
IND
EXP
PRI
VKH
1.436,6
0,0
0,1
86,8
112,5
PRI
(VKH)
357,3
88
Miljøstyrelsen / Bekæmpelsesmiddelstatistik 2019
MOF, Alm.del - 2020-21 - Bilag 444: Bekæmpelsesmiddelstatistik 2019, fra miljøministeren
2360061_0089.png
Anv.
- gr.
Ins
Ins
Ins
Ins
Ins
Ins
Ins
Ins
Ins
Ins
Ins
Ins
Ins
Ins
Ins
Ins
Ins
Ins
Ins
Ins
Ins
Ins
Ins
Ins
Ins
Ins
Sng
Sng
Sng
Aktivstofnavn
lambda-cyhalothrin
Lecanicillium muscarium
Ve6
linolsyre
linolsyre
magnesiumphosphid
mercaptodimethur
mercaptodimethur
Metarhizium anisopliae
var.
anisopliae
F52
milbemectin
paraffinolie
pirimicarb
pymetrozin
pyrethrin I og II
pyrethrin I og II
pyriproxyfen
rapsolie
rapsolie
spinosad
spirotetramat
tau-fluvalinat
tefluthrin
tetradecan-1-ol
thiacloprid
thiacloprid
thiamethoxam
thiamethoxam
ferrifosfat
3
ferrifosfat
mercaptodimethur
CAS-nr.
91465-08-6
Mikrobiologisk
60-33-3
60-33-3
12057-74-8
2032-65-7
2032-65-7
Mikrobiologisk
51596-11-3
8012-95-1
23103-98-2
123312-89-0
8003-34-7
8003-34-7
95737-68-1
8002-13-9
8002-13-9
168316-95-8
203313-25-1
102851-06-9
79538-32-2
112-72-1
111988-49-9
111988-49-9
153719-23-4
153719-23-4
10045-86-0
10045-86-0
2032-65-7
Anv
.
2010
467,9
2011
705,6
A
0,0
119,2
0,0
100,0
2,4
B
B
A
2.778,0
A
A
0,4
6,0
A
11,9
72,0
10,8
11.283,8
0,0
0,7
5.595,5
2,8
0,0
0,0
3.512,2
158,3
0,0
2012
1.046,7
A
0,0
7,3
0,0
A
3,0
B
2,2
A
8.281,0
0,0
A
0,4
0,0
A
29,7
16,8
106,8
14.441,8
0,0
1,1
4.814,6
16,0
0,0
0,0
10.951,9
298,9
A
2013
1.023,4
A
0,0
17,1
0,0
A
1,9
B
4,1
A
7.539,0
1.565,0
3,6
2,8
0,0
652,0
13,4
48,0
106,8
19.043,5
0,0
0,9
5.101,9
26,2
0,0
0,0
7.224,9
426,5
A
2014
1.303,9
A
8,8
25,1
B
A
0,0
B
15,9
A
4.236,0
1.165,0
8,3
0,6
4,8
1.485,5
20,1
40,8
136,8
2.934,0
2.016,0
0,8
3.809,9
29,2
7.800,0
A
12.189,0
360,8
A
2015
2.156,4
1,2
0,0
13,9
A
A
0,0
17,0
3,7
0,0
2.989,5
840,0
11,1
0,8
1,2
1.980,7
26,4
29,3
154,8
3.960,0
960,0
0,9
4.812,5
38,8
8.640,0
952,0
8.490,3
418,2
A
2016
1.941,5
0,9
A
A
A
A
0,0
0,0
3,1
31,9
2.112,5
770,0
40,4
0,5
0,0
7.262,6
80,2
40,8
145,2
7.593,6
2.400,0
1,0
6.413,8
0,0
7.680,0
1.092,0
26.717,0
617,1
A
2017
2.954,3
0,6
A
A
A
A
0,0
B
1,3
0,0
2.767,5
1.070,0
0,0
4,3
0,0
0,0
768,8
50,4
151,2
10.777,0
2.960,0
1,2
6.631,9
0,0
1.680,0
770,0
13.058,4
529,0
A
2018
3.760,4
1,7
A
A
A
A
0,0
0,0
4,7
95,6
996,5
405,0
38,6
1,7
0,0
6.932,5
301,8
61,2
191,8
9.472,3
3.600,0
1,2
1.468,8
0,0
11.760,0
A
7.814,4
1.040,4
A
2019
3.327,5
2,4
A
A
A
A
0,0
0,0
2,1
446,3
4.269,5
110,0
38,6
0,8
0,0
6.932,5
134,8
111,5
222,0
12.261,6
3.520,0
1,4
5.097,6
0,0
13.440,0
A
2.251,5
162,6
A
VKH
A
0,0
PRI
(VKH)
34,2
0,0
150,0
2,6
A
3,2
A
5.422,5
A
A
LAG
EXP
PRI
PRI
VKH
0,3
2,4
A
PRI
VKH
0,0
63,6
A
9.619,2
BJS/
IND
0,0
A
4.305,6
PRI
EXP
IND
34,1
0,0
0,0
0,0
PRI
579,3
0,0
Miljøstyrelsen / Bekæmpelsesmiddelstatistik 2019
89
MOF, Alm.del - 2020-21 - Bilag 444: Bekæmpelsesmiddelstatistik 2019, fra miljøministeren
2360061_0090.png
Anv.
- gr.
Com
Com
Com
Com
Com
Rod
Rep
Rep
Rep
Jds
Nem
Aktivstofnavn
fludioxonil
imidacloprid
metalaxyl-M
pencycuron
thiamethoxam
aluminiumphosphid
blodmel
fårefedt
fårefedt
dazomet
Bacillus firmus I-1582
CAS-nr.
131341-86-1
138261-41-3
70630-17-0
66063-05-6
153719-23-4
20859-73-8
68920-44-5
98999-15-6
98999-15-6
533-74-4
CNCMI-1582
Anv
.
BJS
BJS/
IND
BJS
BJS
BJS
2010
3,2
1.041,6
12,9
2.170,0
112,0
3.038,2
1.005,4
A
2011
4,8
1.680,0
19,4
3.500,0
168,0
2.034,8
678,0
A
A
A
A
2012
3,2
1.430,4
12,9
2.980,0
112,0
4.909,2
969,8
A
A
6.742,4
A
2013
6,4
1.540,8
25,8
3.210,0
224,0
7.254,8
511,1
209,3
0,0
4.998,0
A
2014
A
1.836,0
A
3.825,0
A
1.659,3
115,3
B
B
1.136,8
A
2015
A
1.514,4
A
3.155,0
A
4.643,5
A
358,8
0,0
1.097,6
A
2016
A
1.816,8
A
3.785,0
A
997,4
A
352,3
0,0
372,4
A
2017
A
1.480,8
A
3.085,0
A
1.860,9
A
300,3
0,0
196,0
0,0
2018
A
927,0
A
1.931,3
A
1.420,2
A
184,6
0,0
A
0,0
2019
A
A
A
A
A
340,5
A
393,9
33,0
A
0,0
PRI
A
16.464,0
A
Bilag 3.2
Oversigt over solgte mængder af biocider for 2010-2019.
Tabellen viser den solgte mængde aktivstof i kg for årene 2010-2019.
I tabellen er det specificeret, hvad et nul eller et tomt felt dækker over, idet der er tilføjet ”A” for aktivstoffet der ikke har været godkendt det pågældende år, og ”B” hvor
der ikke er indberettet solgte mængder for et godkendt aktivstof. Fremgår tallet nul af tabellen, betyder det således, at der har været et eller flere godkendte produkter
med det pågældende aktivstof til den pågældende anvendelse, men at godkendelsesindehaverne har indberettet en solgt mængde på nul kg eller liter. Såfremt der for et
aktivstof ikke har været godkendte produkter i perioden 2010-2019 er rækken med aktivstoffet slettet.
Des: Desinfektionsmidler. Midler godkendt med biocid produktgruppen ”Algevækst” og biocidprodukttyperne PT1-PT5
Trb: Konserveringsmidler. Midler godkendt med biocid produktgrupperne ”Skadedyr i tømmer og træværk” og ”Træødelæggende svamp” samt biocidprodukttyperne
PT6-PT13.
Mus: Rodenticider. Midler godkendt med biocid produktgruppen ”Kaniner, mus, rotter, muldvarpe, mosegrise mm.” eller biocidprodukttyperne PT14 Rodenticider eller
PT20 Produkter til bekæmpelse af andre hvirveldyr.
Flu: Insekticider. Midler godkendt med biocid produktgruppen ”Insekter, snegle, mider og lignende” og biocidprodukttypen PT 18 Insekticider, acaricider og produkter til
bekæmpelse af andre leddyr.
Utj: Midler mod utøj. Midler godkendt med biocid produktgruppen ”Utøj hos husdyr, herunder stuefugle”
Myg: Afskræknings- og tiltrækningsmidler. Midler godkendt med biocid produktgruppen ”Afskrækningsmidler mod myg” eller biocidprodukttypen PT19 Afskræknings-
og tiltrækningsmidler, som den eneste produkttype.
90
Miljøstyrelsen / Bekæmpelsesmiddelstatistik 2019
MOF, Alm.del - 2020-21 - Bilag 444: Bekæmpelsesmiddelstatistik 2019, fra miljøministeren
2360061_0091.png
Anv.
- gr.
Myg
Trb
Flu
Mus
Mus
Flu
Flu
Trb
Flu
Flu
Trb
Trb
Trb
Trb
Mus
Mus
Mus
Myg
Flu
Mus
Flu
Flu
Trb
Utj
Flu
Flu
Flu
Des
Trb
Aktivstofnavn
(Z,E)-Tetradeca-9,12-
dienyl Acetate
3-iodo-2-propynylbutylcar-
bamat (IPBC)
4
acetamiprid
Alphachloralose
5
aluminiumphosphid
amorphous silicon dioxid
azamethiphos
basisk kobber(II)carbonat
bendiocarb
bifenthrin
bifenthrin
Bis-(N-cyclohexyldiazeni-
umdioxi)kobber
boroxid
borsyre
brodifacoum
6
bromadiolon
chlorophacinon
Citronellal
clothianidin
coumatetralyl
cyfluthrin
cypermethrin
cypermethrin
cypermethrin
cyromazin
d-allethrin
deltamethrin
didecyldimethylammoni-
umchlorid (DDAC)
didecyldimethylammoni-
umchlorid (DDAC)
CAS-nr.
30507-70-1
55406-53-6
135410-20-7
15879-93-3
20859-73-8
9999999-54-9
35575-96-3
12069-69-1
22781-23-3
82657-04-3
82657-04-3
15627-09-5
1303-86-2
10043-35-3
56073-10-0
28772-56-7
3691-35-8
106-23-0
210880-92-5
5836-29-3
Anv.
2010
A
1.594,5
A
19,6
A
A
150,3
109.958,2
A
0,6
A
67,2
A
24.068,6
0,1
12,8
A
A
A
1,3
15,6
2011
A
1.284,5
A
17,6
A
A
94,4
95.409,0
A
12,6
A
1.024,8
A
19.923,8
2,9
10,7
A
A
A
5,3
39,0
0,0
48,9
1,6
457,4
0,0
133,7
A
A
2012
A
6.981,5
A
9,6
A
A
73,2
75.256,7
A
6,6
A
154,0
A
16.265,0
2,4
29,2
A
A
A
0,2
51,6
0,0
32,6
1,4
986,5
3,7
283,2
A
A
2013
A
5.330,1
A
356,8
A
A
76,6
79.975,8
A
11,3
A
B
A
17.438,3
1,7
15,8
A
A
A
4,2
73,2
1,9
0,0
1,2
963,6
3,7
233,9
A
A
2014
A
6.207,9
A
264,0
A
A
62,6
101.718,4
A
A
A
0,0
A
22.226,2
4,0
6,2
A
A
A
14,5
23,4
1,4
130,4
1,2
1.040,1
0,0
276,9
A
A
2015
A
6.633,9
0,0
843,6
0,0
A
49,5
81.946,4
A
A
A
0,0
A
17.917,0
1,7
12,7
1,8
A
A
16,0
45,6
16,0
0,0
0,8
1.041,1
0,0
262,5
A
A
2016
0,0
6.881,9
B
201,8
0,0
A
56,5
107.719,9
A
A
B
37,0
A
23.450,3
0,1
1,6
B
A
A
13,7
65,4
15,4
0,0
0,8
872,9
0,0
242,7
A
A
2017
0,0
7.001,3
115,9
210,1
0,0
A
53,9
130.651,7
113,7
A
0,0
0,0
B
24.109,4
0,1
3,5
1,0
A
A
11,6
33,0
9,8
0,0
0,0
1.276,0
0,0
275,0
46,2
A
2018
0,0
18.302,7
0,0
284,0
0,0
A
8,8
96.668,6
47,4
A
0,0
B
B
A
0,4
3,9
0,6
0,0
A
10,7
15,0
6,9
0,0
A
918,8
B
149,3
6.880,0
A
2019
B
17.291,3
40,0
0,0
0,0
0,0
45,9
0,0
37,4
A
0,0
0,0
4,7
0,0
1,0
1,3
0,8
0,1
0,0
8,4
0,0
6,7
9,5
A
1.093,6
A
86,8
7.315,3
0,0
52315-07-8
52315-07-8
52315-07-8
66215-27-8
231937-89-6
52918-63-5
7173-51-5
7173-51-5
0,0
81,5
11,3
529,7
A
262,0
A
A
Miljøstyrelsen / Bekæmpelsesmiddelstatistik 2019
91
MOF, Alm.del - 2020-21 - Bilag 444: Bekæmpelsesmiddelstatistik 2019, fra miljøministeren
2360061_0092.png
Anv.
- gr.
Mus
Mus
Flu
Trb
Trb
Trb
Flu
Flu
Myg
Flu
Flu
Mus
Trb
Des
Myg
Flu
Flu
Des
Trb
Trb
Mus
Flu
Flu
Des
Myg
Trb
Trb
Flu
Des
Aktivstofnavn
difenacoum
Difethialon
diflubenzuron
7
dinatrium tetraborate
dinatrium-octaborat
dinatrium-octaborat-tetra-
hydrat
d-phenothrin
esbiothrin
esbiothrin
8
etofenprox
fipronil
flocoumafen
glutaraldehyd
hydrogenperoxid
icaridin
imidacloprid
indoxacarb
Jod
kobber
kobber-HDO
kuldioxid
9
lambda-cyhalothrin
muscalure
Mælkesyre
N,N-diethyl-m-toluamid
(DEET)
Natriumbenzoat
N-cyclohexyldiazeniumdi-
oxi-kalium
nitrogen
10
pelargonsyre
CAS-nr.
56073-07-5
104653-34-1
35367-38-5
1330-43-4
12008-41-2
12280-03-4
26046-85-5
260359-57-7
260359-57-7
80844-07-1
120068-37-3
90035-08-8
111-30-8
7722-84-1
119515-38-7
138261-41-3
173584-44-6
7553-56-2
7440-50-8
312600-89-8
124-38-9
91465-08-6
27519-02-4
50-21-5
134-62-3
532-32-1
6603-10-9
7727-37-9
112-05-0
Anv.
2010
17,7
0,2
858,5
A
80,0
3.921,4
A
54,2
A
A
0,0
0,2
A
A
1.927,9
5,9
A
A
A
0,0
10,6
68,2
0,5
A
A
A
0,0
A
580,5
2011
4,2
0,0
1.020,0
A
26,0
2.612,2
A
154,4
A
A
0,0
0,4
A
A
2.130,0
3,3
A
A
A
0,0
6,6
0,0
0,2
A
A
A
0,0
A
3.024,5
2012
2,8
0,3
1.366,0
A
24,9
3.023,4
A
91,1
A
0,0
0,0
0,7
A
A
801,1
7,1
A
A
A
0,0
13,8
60,0
0,2
A
A
A
0,0
A
12.777,8
2013
1,7
0,4
1.740,0
A
55,0
2.902,5
A
124,0
0,0
0,0
0,0
0,3
A
A
1.674,6
4,7
A
A
A
0,0
8,0
0,0
0,1
A
A
A
A
A
3.516,3
2014
1,3
0,2
1.815,0
A
A
3.057,4
A
150,9
B
0,0
0,0
0,7
A
A
0,0
6,7
A
A
A
0,0
B
28,4
0,1
A
A
A
A
B
4.844,2
2015
2,7
0,6
2.265,0
A
A
1.924,1
A
18,8
0,0
0,0
0,0
0,3
A
A
1.938,9
44,6
A
A
A
0,0
11,4
90,0
0,0
A
0,0
A
A
0,0
9.238,8
2016
1,2
B
1.755,0
A
A
2.233,8
A
61,6
0,0
65,4
0,0
0,1
A
A
1.711,6
49,7
0,0
A
A
0,0
9,2
40,0
0,1
6,4
341,5
A
A
0,0
20.700,8
2017
1,5
0,7
1.470,0
B
A
1.710,1
0,0
16,6
B
40,5
0,0
0,2
A
A
1.724,0
13,5
0,2
A
A
0,0
16,5
45,0
0,0
12,7
229,2
A
A
0,0
5.311,4
2018
1,7
0,7
910,0
B
A
2.052,9
0,0
21,7
A
0,0
0,0
0,0
621,5
A
1.970,2
11,9
0,5
A
A
A
56,5
0,0
1,1
0,8
131,9
A
A
0,0
20.651,3
2019
1,1
0,6
225,0
0,5
A
1.771,6
0,5
8,9
A
B
0,0
0,0
621,5
124,3
1.989,7
4,9
4,1
12,3
55.763,8
A
18,7
2,4
1,9
2.047,1
1.546,0
0,0
A
0,0
19.049,8
92
Miljøstyrelsen / Bekæmpelsesmiddelstatistik 2019
MOF, Alm.del - 2020-21 - Bilag 444: Bekæmpelsesmiddelstatistik 2019, fra miljøministeren
2360061_0093.png
Anv.
- gr.
Myg
Flu
Trb
Utj
Myg
Trb
Flu
Utj
Des
Flu
Flu
Trb
Flu
Flu
Aktivstofnavn
Peppermint oil
permethrin
permethrin
permethrin
p-menthan-3,8-diol
propiconazol
pyrethrin I og II
pyrethrin I og II
saltsyre
s-methopren
spinosad
11
tebuconazol
thiamethoxam
triflumuron
CAS-nr.
8006-90-4
52645-53-1
52645-53-1
52645-53-1
42822-86-6
60207-90-1
8003-34-7
8003-34-7
7647-01-0
65733-16-6
168316-95-8
107534-96-3
153719-23-4
64628-44-0
Anv.
2010
A
839,2
204,0
402,9
658,1
4.525,1
485,2
0,0
A
A
0,1
2.032,2
250,6
1,1
2011
A
1.611,1
127,2
460,3
854,0
3.324,0
858,1
A
A
A
0,2
1.668,8
156,6
1,0
2012
A
982,7
238,5
145,8
872,6
5.069,7
1.083,4
A
A
A
28,4
1.310,7
248,7
0,8
2013
A
1.285,0
230,9
502,6
621,4
3.836,0
709,3
A
A
A
50,1
1.204,6
237,3
2,3
2014
A
1.481,6
271,5
628,7
353,8
4.901,9
874,9
A
A
A
59,3
1.649,0
602,6
0,0
2015
A
1.166,0
258,8
648,2
566,3
4.454,7
1.003,6
A
A
A
21,1
1.271,3
909,1
7,5
2016
A
1.179,2
261,3
338,3
466,5
4.866,7
835,4
A
31.922,5
A
12,7
1.574,1
362,8
A
2017
A
635,5
278,6
183,0
193,5
5.435,3
1.002,7
A
24.100,1
0,0
26,6
1.916,9
407,0
A
2018
0,0
1.048,7
267,3
141,0
229,6
4.846,0
1.068,4
A
18.459,9
0,0
215,9
1.515,1
414,7
A
2019
0,2
803,9
153,1
A
247,5
5.581,8
892,8
A
13.973,7
0,0
525,7
1.645,2
188,1
A
1)
2)
3)
4)
5)
6)
7)
8)
9)
10)
11)
Clonostachys rosea
strain J1446; fun: Aktivstoffet har ændret navn fra
Gliocladium catenulatum,
strain J1446
Pseudomonas chlororaphis
MA342, Fun, ind: Aktivstoffet har ved en fejl været registreret som BJS i Bekæmpelsesmiddelstatistikken, dette er nu rettet
Ferrifosfat, sng: En godkendelsesindehaver har opdateret salget af et produkt, dette har betydet en ændring af salget for 2018.
3-iodo-2-propynylbutylcarbamat (IPBC), trb: Der har været en fejl i koncentrationen for et produkt i Bekæmpelsesmiddeldatabasen. Denne fejl er nu rettet op, hvilket har betydet, at salget er redigeret for 2018.
Alphachloralose, mus: Der er indberettet solgte mængder for 2018, der ikke tidligere har været indberettet til Miljøstyrelsen, dette er nu opdateret for rækken
Brodifacoum; mus: Der er indberettet solgte mængder for 2018, der ikke tidligere har været indberettet til Miljøstyrelsen, dette er nu opdateret for rækken
diflubenzuron, flu: Dette aktivstof har tidligere været kategoriseret med Anv. gr. "Flu/Utj", dette er nu redigeret til at være Flu
Esbiothrin, myg: var i statistikken 2018 registreret som "ej indberettet", dette er nu rettet til "ej godkendt"
Kuldioxid, mus: Der er indberettet solgte mængder for 2018, der ikke tidligere har været indberettet til Miljøstyrelsen, dette er nu opdateret
Nitrogen, Des: Der er indberettet solgte mængder for 2018, der ikke tidligere har været indberettet til Miljøstyrelsen, dette er nu opdateret
spinosad, flu: Der er indberettet solgte mængder for 2017, der ikke tidligere har været indberettet til Miljøstyrelsen, dette er nu opdateret for rækken
Miljøstyrelsen / Bekæmpelsesmiddelstatistik 2019
93
MOF, Alm.del - 2020-21 - Bilag 444: Bekæmpelsesmiddelstatistik 2019, fra miljøministeren
2360061_0094.png
Bilag 4. Solgte pesticider i 2019 og deres relative
fordeling på hovedafgrøder
Den solgte aktivstofmængde (kg) for 2019 samt antaget fordeling (procent) på hovedafgrøder
Hovedafgrøden ”Rest” dækker pesticidanvendelsen på offentlige og private veje, pladser, parker og anlæg samt hus og have, golfbaner mv samt bejdsemidler til eksport
og bejdsning i lukkede anlæg.
I tabellen er aktivstofferne, på grundlag af godkendelsen for de pesticider, de indgår i, opdelt på anvendelsesgruppe (Anv. Gr.)
Anvendelsesgrupper for pesticider
Hrb: Midler godkendt med pesticid produktgruppen ”Ukrudtsmidler inkl. nedvisningsmidler”
Vkr: Midler godkendt med pesticid produktgruppen ”Vækstreguleringsmidler inkl. spiringshæmmende midler”
Fun: Midler godkendt med pesticid produktgruppen ”Svampemidler”
Ins: Midler godkendt med pesticid produktgruppen ”Insektmidler (inkl. kornskadedyr)"
Sng: Midler godkendt med pesticid produktgruppen ”Sneglemidler"
Omdriftsareal i alt
Korn, vintersæd
Græs og kløver
Prydplanter og
Korn, vårsæd
Grøntsager
Skovbrug,
gr.
Bælgsæd
Andre frø
Kartofler
Aktivstofnavn
CAS nr.
I alt kg
Væksthus
Anv.
juletræer mv.
Frugt og bær
Raps
Roer
Majs
planteskoler
Hrb
Hrb
Hrb
Hrb
Hrb
Hrb
Hrb
Hrb
Hrb
Hrb
2,4-D
aclonifen
aminopyralid
asulam
bentazon
bromoxynil
Caprinsyre
clethodim
clodinafop-propargyl
clomazon
94-75-7
74070-46-5
150114-71-9
3337-71-1
25057-89-0
1689-84-5
334-48-5
99129-21-2
105512-06-9
81777-89-1
18.230,4
39.363,0
820,8
8.290,0
25.032,0
3.212,8
1.047,9
282,2
338,0
9.130,8
23%
41%
29%
53%
24%
0%
49%
6%
4%
100%
100%
100%
0%
19%
42%
1%
10%
1%
100%
99%
100%
0%
0%
62%
9%
100%
0%
83%
37%
6%
0%
0%
100%
0%
90%
6%
61%
4%
10%
16%
10%
3%
0%
83%
83%
100%
100%
4%
13%
94
Miljøstyrelsen / Bekæmpelsesmiddelstatistik 2019
Rest
0%
0%
1%
MOF, Alm.del - 2020-21 - Bilag 444: Bekæmpelsesmiddelstatistik 2019, fra miljøministeren
2360061_0095.png
Omdriftsareal i alt
Korn, vintersæd
Græs og kløver
Prydplanter og
Korn, vårsæd
Grøntsager
Skovbrug,
gr.
Bælgsæd
Andre frø
Kartofler
Aktivstofnavn
CAS nr.
I alt kg
Væksthus
Anv.
juletræer mv.
Frugt og bær
Raps
Roer
Majs
planteskoler
Hrb
Hrb
Hrb
Hrb
Hrb
Hrb
Hrb
Hrb
Hrb
Hrb
Hrb
Hrb
Hrb
Hrb
Hrb
Hrb
Hrb
Hrb
Hrb
Hrb
Hrb
Hrb
Hrb
Hrb
Hrb
Hrb
Hrb
Hrb
clopyralid
cycloxydim
desmedipham
dicamba
dichlorprop-P
diflufenican
diquat
eddikesyre
ethofumesat
fenoxaprop-P-ethyl
florasulam
fluroxypyr
foramsulfuron
glyphosat
halauxifen-methyl
iodosulfuron-methyl-natrium
jern(II)sulfat
MCPA
mesosulfuron
mesotrion
metamitron
metobromuron
metsulfuron-methyl
pelargonsyre
pendimethalin
phenmedipham
picloram
propaquizafop
1702-17-6
101205-02-1
13684-56-5
1918-00-9
15165-67-0
83164-33-4
2764-72-9
64-19-7
26225-79-6
71283-80-2
145701-23-1
69377-81-7
173159-57-4
1071-83-6
943831-98-9
144550-36-7
7720-78-7
94-74-6
400852-66-6
104206-82-8
41394-05-2
3060-89-7
74223-64-6
112-05-0
40487-42-1
13684-63-4
1918-02-1
111479-05-1
2.331,3
6.502,0
14.374,4
39,1
183,3
38.223,0
23.560,0
4.464,6
6.630,0
3.380,7
1.844,8
31.811,6
3.456,0
1.188.370,1
1.185,0
1.425,3
13.439,9
85.831,4
1.130,5
4.160,0
61.281,5
16.325,0
321,4
17.659,6
11.666,2
32.035,2
1.831,2
4.133,5
57%
0%
48%
43%
0%
13%
20%
96%
57%
3%
31%
69%
30%
18%
15%
61%
30%
80%
25%
45%
73%
0%
20%
71%
21%
25%
59%
0%
0%
1%
13%
100%
4%
0%
0%
1%
2% 100%
98%
100%
0%
0%
0%
0%
0%
1%
0%
100%
100%
4%
1%
29%
67%
0%
0%
1%
0%
1%
0%
97%
98%
0%
1%
0%
1%
3%
0%
0%
38%
0%
5%
13%
5%
19%
98%
100%
100%
100%
0% 100%
1% 100%
98%
94%
31%
7%
4%
8%
100%
100%
0%
0%
0%
0%
0%
0%
0%
0%
0%
0%
1%
4%
0%
0%
0%
0%
0%
0%
0%
0%
2%
0%
0%
100%
11%
1%
100%
3%
6%
94%
97%
0%
0%
0%
1%
89%
100%
100%
100%
100%
0% 100%
0%
12%
3%
20%
100%
79%
9%
2%
6%
3%
0%
80%
14%
0%
5%
0%
0%
1%
97%
100%
100%
100%
0%
0%
1%
0%
1%
0%
25%
0%
11%
0%
63%
0%
0%
0%
0%
1%
1%
8%
0%
1%
0%
62%
0%
Miljøstyrelsen / Bekæmpelsesmiddelstatistik 2019
95
Rest
0%
MOF, Alm.del - 2020-21 - Bilag 444: Bekæmpelsesmiddelstatistik 2019, fra miljøministeren
2360061_0096.png
Omdriftsareal i alt
Korn, vintersæd
Græs og kløver
Prydplanter og
Korn, vårsæd
Grøntsager
Skovbrug,
gr.
Bælgsæd
Andre frø
Kartofler
Aktivstofnavn
CAS nr.
I alt kg
Væksthus
Anv.
juletræer mv.
Frugt og bær
Raps
Roer
Majs
planteskoler
Hrb
Hrb
Hrb
Hrb
Hrb
Hrb
Hrb
Hrb
Hrb
Vkr
Vkr
Vkr
Vkr
Vkr
Vkr
Vkr
Vkr
Vkr
Vkr
Vkr
Vkr
Vkr
Vkr
Fun
Fun
Fun
Fun
Fun
propyzamid
prosulfocarb
pyraflufen-ethyl
pyridat
pyroxsulam
rimsulfuron
thifensulfuron-methyl
tribenuron-methyl
triflusulfuron-methyl
1-methylcyclopropen
1-naphthyleddikesyre
6-benzyladenin
chlormequat-chlorid
chlorpropham
daminozid
ethephon
maleinhydrazid
mepiquat-chlorid
metconazol
paclobutrazol
prohexadion-calcium
s-abscisinsyre
trinexapac-ethyl
azoxystrobin
Bacillus amyloliquefaciens strain MBI 600
Bacillus subtilis strain QST 713
boscalid
Clonostachys rosea strain J1446
23950-58-5
52888-80-9
129630-19-9
55512-33-9
422556-08-9
122931-48-0
79277-27-3
101200-48-0
126535-15-7
3100-04-7
86-87-3
1214-39-7
999-81-5
101-21-3
1596-84-5
16672-87-0
123-33-1
24307-26-4
125116-23-6
76738-62-0
127277-53-6
21293-29-8
95266-40-3
131860-33-8
Mikrobiologisk
Mikrobiologisk
188425-85-6
Mikrobiologisk
57.608,0
278.528,0
154,8
640,5
1.909,3
310,3
494,1
2.340,7
224,5
0,1
41,8
12,0
56.580,0
1.040,0
1.972,0
11.329,6
984,0
26.409,4
501,0
26,3
3.102,9
271,2
30.004,5
8.048,6
8,2
116,7
43.716,0
49,6
67%
5%
4%
46%
4%
17%
6%
82%
6%
64%
16%
30%
70%
85%
2%
2%
18%
14%
82%
99%
1%
99%
0%
97%
2%
0%
1%
100%
60%
40%
0%
100%
0% 100%
100%
100%
100%
100%
100%
79%
5% 100%
0% 100%
100%
100%
0%
0%
0%
0%
0%
0%
0%
0%
0%
0%
0%
67%
1%
4%
95%
33%
100%
11%
97%
0%
3%
0%
100%
0%
0%
100%
13%
100%
7%
100%
100%
100%
100%
0%
10%
98%
2%
2%
38%
66%
2%
13%
3%
4%
1%
100%
99%
0%
0%
1%
100%
3%
3%
15%
8%
1%
49%
1%
56%
98%
17%
1%
0%
28%
0%
100%
0%
98%
0%
0%
0%
0%
100%
0%
0%
0%
0%
0%
100%
0%
0%
0%
96
Miljøstyrelsen / Bekæmpelsesmiddelstatistik 2019
Rest
0%
0%
0%
MOF, Alm.del - 2020-21 - Bilag 444: Bekæmpelsesmiddelstatistik 2019, fra miljøministeren
2360061_0097.png
Omdriftsareal i alt
Korn, vintersæd
Græs og kløver
Prydplanter og
Korn, vårsæd
Grøntsager
Skovbrug,
gr.
Bælgsæd
Andre frø
Kartofler
Aktivstofnavn
CAS nr.
I alt kg
Væksthus
Anv.
juletræer mv.
Frugt og bær
Raps
Roer
Majs
planteskoler
Fun
Fun
Fun
Fun
Fun
Fun
Fun
Fun
Fun
Fun
Fun
Fun
/Com
Fun
Fun
Fun
Fun
Fun
Fun
Fun
Fun
Fun
Fun
Fun
/Com
Fun/Co
m
Fun
Coniothyrium minitans CON/M/91-08
cyazofamid
cymoxanil
cyprodinil
difenoconazol
dimethomorph
dithianon
dodin
epoxiconazol
fenhexamid
fluazinam
Mikrobiologisk
120116-88-3
57966-95-7
121552-61-2
119446-68-3
110488-70-5
3347-22-6
2439-10-3
135319-73-2
126833-17-8
79622-59-6
79,5
15.886,4
15.942,0
397,5
10.362,8
2.362,3
1.525,8
233,9
12.612,9
167,0
7.602,0
79%
0%
0%
28%
100%
100%
5%
0%
0%
95%
87%
2%
0%
0%
72%
100%
100%
100%
24%
0%
13%
29%
98%
100%
100%
100%
0%
0%
60%
0%
2%
0%
9%
1%
4%
0%
11%
6%
0%
0%
100%
58%
1%
2%
41%
92%
6%
98%
fludioxonil
fluopyram
fosetyl-Al
hymexazol
imazalil
kaliumphosphonat
kresoxim-methyl
laminarin
mancozeb
mandipropamid
mepanipyrim
131341-86-1
658066-35-4
39148-24-8
10004-44-1
35554-44-0
13977-65-6
143390-89-0
9008-22-4
8018-01-7
374726-62-2
110235-47-7
3.020,1
33.788,8
1.791,6
8.400,0
1.800,0
269,3
144,0
8,1
8.527,5
29.002,5
17,6
0%
61%
28%
10%
0%
24%
0%
0%
1%
2%
27%
100%
8%
0%
1%
64%
0%
25%
25%
32%
2%
16%
26%
100%
100%
100%
97%
100%
0%
1%
31%
98%
0%
62%
0%
94%
100%
100%
5%
1%
0%
1%
0%
1%
2%
0%
metalaxyl-M
70630-17-0
489,1
100%
pencycuron
Phlebiopsis gigantea VRA 1835
66063-05-6
Mikrobiologisk
7.650,0
0,2
100%
100%
100%
Miljøstyrelsen / Bekæmpelsesmiddelstatistik 2019
97
Rest
0%
0%
MOF, Alm.del - 2020-21 - Bilag 444: Bekæmpelsesmiddelstatistik 2019, fra miljøministeren
2360061_0098.png
Omdriftsareal i alt
Korn, vintersæd
Græs og kløver
Prydplanter og
Korn, vårsæd
Grøntsager
Skovbrug,
gr.
Bælgsæd
Andre frø
Kartofler
Aktivstofnavn
CAS nr.
I alt kg
Væksthus
Anv.
juletræer mv.
Frugt og bær
Raps
Roer
Majs
planteskoler
Fun
Fun
Fun
Fun
Fun
Fun
Fun
Fun
Fun
Fun
Fun
Fun
Fun
Fun
Fun
Fun
Ins
Ins
Ins
Ins
Ins
propamocarb
propiconazol
proquinazid
prothioconazol
pyraclostrobin
pyrimethanil
sedaxane
silthiofam
spiroxamin
Streptomyces K61
svovl
tebuconazol
thiophanat-methyl
thiram
tolclofos-methyl
Trichoderma harzianum T-22
(E,E)-8, 10-dodecadien-1-ol
(Z)-11-tetradecen-1-yl acetat
(Z)-9-tetradecen-1-yl acetat
abamectin
acetamiprid
Adoxophyes orana Granulovirus (AoGV)
24579-73-5
60207-90-1
189278-12-4
178928-70-6
175013-18-0
53112-28-0
874967-67-6
175217-20-6
118134-30-8
Mikrobiologisk
7704-34-9
107534-96-3
23564-05-8
137-26-8
57018-04-9
Mikrobiologisk
33956-49-9
20711-10-8
16725-53-4
71751-41-2
135410-20-7
21.152,8
42,0 100%
1.120,0 98%
68.764,2 58%
42.543,7 49%
168,0
36,0
300,0
60,0 97%
0,3
2.600,0
64.340,3 67%
228,9
12.288,0
8.460,0
162,9
39,4
37,6
7,6
10,6
4.318,8
15%
10%
5%
3%
0%
1%
23%
32%
6%
6%
0%
1%
6%
97%
1%
98%
100%
100%
0%
2%
0%
0%
0%
5%
0%
3%
100%
100%
11%
0%
0%
2%
5%
0%
0%
0%
0%
0%
0%
10%
89%
100% 0%
10%
82%
100%
100%
21%
1%
0%
0%
21%
98%
13%
0%
21%
39%
40%
100%
93%
93%
0%
7%
100%
100%
100%
100%
2%
91%
0%
91%
2%
0%
0%
6%
98%
1%
0%
0%
0%
58%
1%
7%
2%
Ins
Ins
Ins
Ins
Ins
stamme BV-0001
alpha-cypermethrin
aluminiumphosphid
azadirachtin
Bacillus thuringiensis subsp. aizawai GC-91
Mikrobiologisk
67375-30-8
20859-73-8
11141-17-6
Mikrobiologisk
0,0
167,0 44%
8.106,6
21,2
420,0
1%
17%
1%
17%
31%
70%
30%
9%
0%
2%
5%
90%
2%
100%
1%
6%
3%
0%
68%
13%
0%
97%
98
Miljøstyrelsen / Bekæmpelsesmiddelstatistik 2019
Rest
MOF, Alm.del - 2020-21 - Bilag 444: Bekæmpelsesmiddelstatistik 2019, fra miljøministeren
2360061_0099.png
Omdriftsareal i alt
Korn, vintersæd
Græs og kløver
Prydplanter og
Korn, vårsæd
Grøntsager
Skovbrug,
gr.
Bælgsæd
Andre frø
Kartofler
Aktivstofnavn
CAS nr.
I alt kg
Væksthus
Anv.
juletræer mv.
Frugt og bær
Raps
Roer
Majs
planteskoler
Bacillus thuringiensis subsp. israelensis AM65-
Ins
Ins
Ins
Ins
Ins
Ins
Ins
Ins
Ins
Ins
Ins
Ins
Ins
/Com
Ins
Ins
Ins
Ins
Ins
Ins
Ins
Ins
Ins
Ins
Ins
Ins
Ins
imidacloprid
indoxacarb
lambda-cyhalothrin
Lecanicillium muscarium Ve6
milbemectin
paraffinolie
pirimicarb
pymetrozin
pyrethrin I og II
rapsolie
spinosad
spirotetramat
tau-fluvalinat
tefluthrin
138261-41-3
173584-44-6
91465-08-6
Mikrobiologisk
51596-11-3
8012-95-1
23103-98-2
123312-89-0
8003-34-7
8002-13-9
168316-95-8
203313-25-1
102851-06-9
79538-32-2
73,2
458,6 1%
3.327,5 28%
2,4
2,1
446,3
4.269,5 7%
110,0
39,3
7.067,3
111,5
222,0
12.261,6 68%
3.520,0
13%
14%
0%
1%
0%
1%
36%
2%
96%
16%
2%
56%
25%
0%
1%
95%
95%
8%
60%
0%
56%
87%
99%
95%
95%
8%
60%
98%
2%
2%
12%
29%
0%
0%
0%
4%
0%
1%
2%
0%
0%
86%
44%
10%
3%
1%
1%
1%
80%
6%
0%
0%
100%
2%
2%
4%
27%
68%
32%
6%
6%
2%
0%
2%
0%
26%
15%
1%
2%
0%
26%
92%
97%
4%
0%
0%
2%
0%
73%
4%
0%
100%
10%
1%
0%
0%
52
Bacillus thuringiensis subsp. kurstaki ABTS-351
Beauveria bassiana ATCC 74040
Beauveria bassiana GHA
bifenazate
Cydia pomonella granulosis virus (CpGV)
cypermethrin
deltamethrin
dodecan-1-ol
flonicamid
fårefedt
hexythiazox
Mikrobiologisk
Mikrobiologisk
Mikrobiologisk
Mikrobiologisk
149877-41-8
Mikrobiologisk
52315-07-8
52918-63-5
112-53-8
158062-67-0
98999-15-6
78587-05-0
1.217,7
1.088,6
6,6
47,5
26,4
0,0
0,9
79,2
6,1
1.107,0 1%
426,9
17,5
0%
31%
55%
3%
86%
3%
10%
43%
100%
5%
1%
89%
47%
8%
8%
49%
100%
100%
100%
1%
1%
0%
0%
95%
0%
96%
1%
100%
3%
100%
100%
50%
Miljøstyrelsen / Bekæmpelsesmiddelstatistik 2019
99
Rest
MOF, Alm.del - 2020-21 - Bilag 444: Bekæmpelsesmiddelstatistik 2019, fra miljøministeren
2360061_0100.png
Omdriftsareal i alt
Korn, vintersæd
Græs og kløver
Prydplanter og
Korn, vårsæd
Grøntsager
Skovbrug,
gr.
Bælgsæd
Andre frø
Kartofler
Aktivstofnavn
CAS nr.
I alt kg
Væksthus
Anv.
juletræer mv.
Frugt og bær
Raps
Roer
Majs
planteskoler
Ins
Ins
Ins
/Com
Sng
tetradecan-1-ol
thiacloprid
112-72-1
111988-49-9
1,4
5.097,6 4%
91%
2%
0%
98%
100%
1%
0%
0%
1%
0%
thiamethoxam
ferrifosfat
153719-23-4
10045-86-0
13.440,0
2.414,0 25%
1%
60%
0%
85%
5%
0%
0%
2%
100%
7%
100
Miljøstyrelsen / Bekæmpelsesmiddelstatistik 2019
Rest
MOF, Alm.del - 2020-21 - Bilag 444: Bekæmpelsesmiddelstatistik 2019, fra miljøministeren
2360061_0101.png
Bilag 5. Nøgletal for
pesticider –
salgsdata 2019
Korn, Vintersæd
Græs og kløver
Korn, Vårsæd
Glyphosat
0,55
0,55
0,44
0,44
0,10
0,10
0,00
0,00
0,06
0,06
0,04
0,04
0,22
0,22
Solgte mængder
2019
Omdriftsareal
I alt
0,94
0,06
0,19
0,02
0,00
1,20
1,89
0,20
0,93
0,47
0,00
3,49
0,76
0,05
0,58
0,30
0,00
1,67
0,27
0,02
0,34
0,02
0,00
0,66
0,36
0,01
0,14
0,01
0,00
0,52
0,13
0,01
0,09
0,26
0,00
0,50
0,40
0,23
0,62
0,64
0,48
Grøntsager
6
0,64
0,16
1,23
1,30
0,00
3,34
0,84
0,08
1,78
2,18
0,00
4,88
1,71
0,01
1,19
1,40
0,00
4,31
0,52
0,00
0,51
0,23
0,00
1,27
0,95
0,00
0,32
0,08
0,00
1,35
0,23
0,01
0,36
1,09
0,00
1,69
2,04
0,67
0,64
0,21
0,88
Bælgsæd
15
0,63
0,00
0,12
0,09
0,00
0,84
1,32
0,00
0,46
1,48
0,00
3,26
1,23
0,00
0,30
1,08
0,00
2,61
0,29
0,00
0,16
0,12
0,00
0,56
0,81
0,00
0,11
0,10
0,00
1,01
0,13
0,00
0,03
0,87
0,00
1,04
0,93
0,66
0,73
0,80
Andre frø
Kartofler
Raps
Roer
Arealer (1.000 ha)
767
529
162
105
0,47
0,19
0,14
0,01
0,00
0,81
1,54
0,93
0,62
0,35
0,00
3,43
1,06
0,13
0,73
0,27
0,00
2,20
0,69
0,08
0,43
0,02
0,00
1,22
0,23
0,02
0,18
0,01
0,00
0,45
0,14
0,03
0,12
0,24
0,00
0,53
0,69
0,14
1,19
0,77
0,64
54
1,00
0,00
1,99
0,09
0,00
3,08
2,17
0,00
11,33
2,69
0,00
16,20
3,87
0,00
2,99
0,31
0,00
7,17
2,28
0,00
2,04
0,02
0,00
4,34
1,15
0,00
0,70
0,05
0,00
1,91
0,44
0,00
0,25
0,24
0,00
0,92
1,78
0,26
0,11
0,44
33
3,28
0,00
0,10
0,00
0,00
3,38
3,53
0,00
0,52
0,06
0,00
4,11
2,20
0,00
1,07
0,04
0,00
3,31
0,18
0,00
0,72
0,00
0,00
0,91
1,48
0,00
0,12
0,00
0,00
1,60
0,54
0,00
0,22
0,04
0,00
0,80
0,62
2,05
186
0,14
0,00
0,00
0,00
0,00
0,14
1,09
0,00
0,03
0,00
0,00
1,12
0,22
0,00
0,01
0,00
0,00
0,23
0,06
0,00
0,00
0,00
0,00
0,06
0,11
0,00
0,00
0,00
0,00
0,12
0,05
0,00
0,00
0,00
0,00
0,05
0,21
Majs
175
0,01
0,00
0,00
0,00
0,00
0,01
0,03
0,00
0,00
0,00
0,00
0,03
0,02
0,00
0,00
0,00
0,00
0,02
0,01
0,00
0,00
0,00
0,00
0,01
0,01
0,00
0,00
0,00
0,00
0,01
0,00
0,00
0,00
0,00
0,00
0,00
2.033 2.033
Aktivstof (kg pr. ha)
Ukrudtsmidler
0,48 0,19 0,44
Vækstreg.
0,11 0,03 0,02
Svampemidler
0,22 0,10 0,14
Insektmidler
0,01 0,01 0,05
Sneglemidler
0,00 0,00 0,01
I alt
0,81 0,32 0,67
Behandlingshyppighed (BH)(BI pr. ha)
Ukrudtsmidler
1,53 1,60 1,93
Vækstreg.
0,27 0,17 0,05
Svampemidler
1,05 0,49 0,62
Insektmidler
0,40 0,32 1,50
Sneglemidler
0,00 0,00 0,04
I alt
3,26 2,59 4,15
Fladebelastning, i alt (B pr. ha)
Ukrudtsmidler
0,70 0,33 1,01
Vækstreg.
0,07 0,03 0,07
Svampemidler
0,91 0,25 0,32
Insektmidler
0,28 0,27 1,06
Sneglemidler
0,00 0,00 0,02
I alt
1,96 0,87 2,48
Fladebelastning - Sundhed (B pr. ha)
Ukrudtsmidler
0,23 0,13 0,49
Vækstreg.
0,03 0,02 0,06
Svampemidler
0,56 0,12 0,13
Insektmidler
0,01 0,02 0,11
Sneglemidler
0,00 0,00 0,00
I alt
0,82 0,28 0,79
Fladebelastning - Miljøadfærd (B pr. ha)
Ukrudtsmidler
0,36 0,16 0,46
Vækstreg.
0,02 0,00 0,01
Svampemidler
0,21 0,07 0,14
Insektmidler
0,01 0,01 0,04
Sneglemidler
0,00 0,00 0,00
I alt
0,60 0,24 0,65
Fladebelastning - Miljøeffekt (B pr. ha)
Ukrudtsmidler
0,11 0,05 0,06
Vækstreg.
0,03 0,00 0,00
Svampemidler
0,14 0,06 0,05
Insektmidler
0,26 0,24 0,91
Sneglemidler
0,00 0,00 0,02
I alt
0,53 0,35 1,04
Belastningsindeks (B pr. BI)
Ukrudtsmidler
0,45 0,21 0,52
Vækstreg.
0,25 0,16
Svampemidler
0,86 0,51 0,51
Insektmidler
0,70 0,82 0,71
Sneglemidler
I alt
0,60 0,34 0,60
0,81
Miljøstyrelsen / Bekæmpelsesmiddelstatistik 2019
101
MOF, Alm.del - 2020-21 - Bilag 444: Bekæmpelsesmiddelstatistik 2019, fra miljøministeren
2360061_0102.png
Bilag 6. Nøgletal for
pesticider –
forbrugsdata 2019
Korn, Vintersæd
Græs og kløver
Korn, Vårsæd
Glyphosat
0,28
0,00
0,00
0,00
0,00
0,28
0,22
0,00
0,00
0,00
0,00
0,22
0,05
0,00
0,00
0,00
0,00
0,05
0,00
0,00
0,00
0,00
0,00
0,00
0,03
0,00
0,00
0,00
0,00
0,03
0,02
0,00
0,00
0,00
0,00
0,02
0,23
0,23
Forbrugte mængder
2019
Omdriftsareal
I alt
0,75
0,08
0,22
0,01
0,00
1,07
1,62
0,24
1,10
0,37
0,00
3,32
0,80
0,07
0,76
0,25
0,00
1,88
0,30
0,04
0,46
0,02
0,00
0,82
0,37
0,01
0,18
0,01
0,00
0,57
0,13
0,02
0,12
0,22
0,00
0,49
0,49
0,29
0,69
0,69
0,57
Grøntsager
6
0,78
0,18
1,50
0,11
0,00
2,57
0,95
0,09
2,43
1,25
0,00
4,73
2,06
0,01
1,61
1,37
0,00
5,06
0,56
0,00
0,69
0,18
0,00
1,42
1,24
0,00
0,47
0,03
0,00
1,74
0,27
0,01
0,45
1,17
0,00
1,90
2,17
0,66
1,10
0,39
1,07
Bælgsæd
14
0,68
0,00
0,10
0,04
0,00
0,82
1,35
0,00
0,41
0,95
0,00
2,71
1,45
0,00
0,26
0,71
0,00
2,42
0,28
0,00
0,11
0,06
0,00
0,44
1,02
0,00
0,12
0,04
0,00
1,18
0,15
0,00
0,03
0,61
0,00
0,80
1,08
0,63
0,74
0,89
Andre frø
Kartofler
Raps
Roer
Arealer (1.000 ha)
732
500
155
102
0,37
0,20
0,18
0,01
0,00
0,76
1,40
0,85
0,82
0,28
0,00
3,36
0,86
0,14
1,03
0,22
0,00
2,25
0,56
0,08
0,61
0,02
0,00
1,26
0,19
0,02
0,25
0,01
0,00
0,47
0,11
0,04
0,17
0,19
0,00
0,51
0,61
0,17
1,27
0,76
0,67
52
0,87
0,00
2,09
0,06
0,00
3,02
1,57
0,00
11,45
1,92
0,00
14,94
3,19
0,00
3,23
0,24
0,00
6,66
1,79
0,00
2,22
0,02
0,00
4,03
1,03
0,00
0,73
0,03
0,00
1,79
0,37
0,00
0,28
0,19
0,00
0,84
2,03
0,28
0,13
0,45
32
2,59
0,00
0,14
0,00
0,00
2,73
2,52
0,00
0,73
0,07
0,00
3,33
1,81
0,00
1,65
0,07
0,00
3,53
0,20
0,00
1,13
0,01
0,00
1,33
1,23
0,00
0,18
0,00
0,00
1,41
0,38
0,00
0,35
0,06
0,00
0,78
0,72
2,26
178
0,19
0,00
0,00
0,00
0,00
0,19
1,50
0,00
0,03
0,00
0,00
1,53
0,58
0,00
0,01
0,00
0,00
0,60
0,37
0,00
0,01
0,00
0,00
0,37
0,14
0,00
0,00
0,00
0,00
0,15
0,07
0,00
0,00
0,00
0,00
0,08
0,39
Majs
157
0,00
0,00
0,00
0,00
0,00
0,00
0,02
0,00
0,00
0,00
0,00
0,02
0,01
0,00
0,00
0,00
0,00
0,01
0,01
0,00
0,00
0,00
0,00
0,01
0,01
0,00
0,00
0,00
0,00
0,01
0,00
0,00
0,00
0,00
0,00
0,00
1.928 1.928
Aktivstof (kg pr. ha)
Ukrudtsmidler
0,78 0,13 0,40
Vækstreg.
0,14 0,06 0,04
Svampemidler
0,27 0,12 0,17
Insektmidler
0,01 0,01 0,04
Sneglemidler
0,00 0,00 0,00
I alt
1,20 0,31 0,65
Behandlingshyppighed (BH)(BI pr. ha)
Ukrudtsmidler
1,61 1,24 1,86
Vækstreg.
0,32 0,27 0,07
Svampemidler
1,33 0,58 0,77
Insektmidler
0,30 0,27 1,31
Sneglemidler
0,00 0,00 0,01
I alt
3,57 2,36 4,02
Fladebelastning, i alt (B pr. ha)
Ukrudtsmidler
0,97 0,26 0,99
Vækstreg.
0,10 0,05 0,10
Svampemidler
1,23 0,32 0,41
Insektmidler
0,23 0,23 0,94
Sneglemidler
0,00 0,00 0,01
I alt
2,53 0,86 2,46
Fladebelastning - Sundhed (B pr. ha)
Ukrudtsmidler
0,32 0,10 0,45
Vækstreg.
0,05 0,04 0,08
Svampemidler
0,76 0,16 0,19
Insektmidler
0,01 0,02 0,10
Sneglemidler
0,00 0,00 0,00
I alt
1,14 0,31 0,83
Fladebelastning - Miljøadfærd (B pr. ha)
Ukrudtsmidler
0,49 0,13 0,48
Vækstreg.
0,02 0,01 0,01
Svampemidler
0,28 0,09 0,16
Insektmidler
0,01 0,01 0,03
Sneglemidler
0,00 0,00 0,00
I alt
0,80 0,23 0,69
Fladebelastning - Miljøeffekt (B pr. ha)
Ukrudtsmidler
0,16 0,03 0,06
Vækstreg.
0,04 0,01 0,01
Svampemidler
0,18 0,07 0,06
Insektmidler
0,21 0,21 0,80
Sneglemidler
0,00 0,00 0,01
I alt
0,60 0,33 0,94
Belastningsindeks (B pr. BI)
Ukrudtsmidler
0,60 0,21 0,53
Vækstreg.
0,32 0,20
Svampemidler
0,92 0,55 0,54
Insektmidler
0,78 0,86 0,72
Sneglemidler
I alt
0,71 0,37 0,61
1,06
102
Miljøstyrelsen / Bekæmpelsesmiddelstatistik 2019
MOF, Alm.del - 2020-21 - Bilag 444: Bekæmpelsesmiddelstatistik 2019, fra miljøministeren
2360061_0103.png
Bekæmpelsesmiddelstatistik 2019
Rapporten omfatter bekæmpelsesmiddelstatistikken baseret på salgstal for kalender-
året 2019 samt pesticidstatistik over forbruget i perioden 1. august 2018 til 31. juli
2019 baseret på de sprøjtejournaler, jordbrugere har indberettet til Miljø- og Fødeva-
reministeriet. Disse er sat i relation til data fra tidligere år.
Bekæmpelsesmiddelstatistikken for 2019 viser, at belastningen fra salget af pestici-
der er faldet med 52 procent i forhold til det beregnede niveau i 2011. I Sprøjtemid-
delstrategi 2013-2016 var reduktionsmålet for pesticidanvendelsen, at PBI baseret på
salgstal skulle være faldet 40 procent i 2015 i forhold til det beregnede niveau i 2011,
svarende til en pesticidbelastning på 1,96. I Pesticidstrategi 2017-2021 fremgår det,
at målsætningen om at nå en pesticidbelastning (PBI) på 1,96 som minimum skal
nås. Med en PBI på 1,57 for salgstal er målsætningen dermed også opfyldt i 2019.
Belastningen målt på forbrugstal er faldet 40 procent ift. 2010/11.
Effekten af hamstringen i 2012 og 2013 er væsentligt aftaget, og de tidligere meget
iøjefaldende forskelle mellem salg og forbrug er væsentligt reduceret. Belastningen
fra salg af pesticider er lavere end før 2013, og den samlede belastning fra salget af
pesticider ser ud til at have stabiliseret sig på det lavere niveau. Salget at pesticider i
2019 kan dog være påvirket af tørken i 2018, da en del pesticider kan være indkøbt
inden tørken i sommeren 2018, og således fortsat have stået på hylderne hos for-
handlerne eller jordbrugeren i 2019, hvilket dermed kan have påvirket salget i 2019.
Belastningen fra forbruget af pesticider er faldet efterhånden som lagrene af de ham-
strede pesticider med høj belastning er reduceret. Substitutionen fra mere belastende
til mindre belastende midler ser derfor ud til at være slået igennem på forbruget for
2019.
Miljøstyrelsen
Tolderlundsvej 5
5000 Odense C
www.mst.dk