Ligestillingsudvalget 2020-21
LIU Alm.del Bilag 13
Offentligt
2273585_0001.png
Menneskehandel
i Danmark 2019
Årsrapport
LIU, Alm.del - 2020-21 - Bilag 13: Center mod Menneskehandels årsrapport for 2019, fra ministeren for fødevarer, fiskeri og ligestilling
Publikationen er udgivet af
Socialstyrelsen
Edisonsvej 1
5000 Odense C
Tlf: 72 42 37 00
E-mail: [email protected]
www.socialstyrelsen.dk
1. oplag, 1. udgave: 250 styk
Udgivet oktober 2020
Layout: 4plus4
Download eller se rapporten på
www.socialstyrelsen.dk.
Der kan frit citeres fra rapporten med angivelse
af kilde.
Digital udgivelse: ISBN 978-87-94059-12-1
Trykt udgivelse: ISBN 978-87-94059-13-8
Foto: Tine Harden
Fotograf Tine Harden har produceret en række billeder til Center mod Menneskehandel
(CMM), der viser forskellige steder og situationer, hvor der kan forekomme menneske-
handel. Tine Harden har bl.a. været med CMM’s mobile sundhedstilbud på opsøgende
arbejde på massageklinikker i Jylland, besøgt et børneasylcenter og deltaget ved en stør-
re politiaktion. Det er Tine Hardens billeder, der er anvendt i denne årsrapport.
LIU, Alm.del - 2020-21 - Bilag 13: Center mod Menneskehandels årsrapport for 2019, fra ministeren for fødevarer, fiskeri og ligestilling
Indhold
Indledning ....................................................................................................................................................
Center mod Menneskehandel ..............................................................................................................................................
Opsøgende og tillidsskabende arbejde .......................................................................................................
Henvendelser på hotline 2019 ............................................................................................................................................
Arbejdstilsynets opsøgende arbejde...................................................................................................................................
Mobilt sundhedstilbud ............................................................................................................................................................
Fundamentet er tillid ...............................................................................................................................................................
Identifikation og støtte ...............................................................................................................................
Identifikationer .........................................................................................................................................................................
Færre vurderede ofre for menneskehandel i 2019 ........................................................................................................
Udnyttelse .................................................................................................................................................................................
Ofrenes nationalitet ................................................................................................................................................................
Fordeling af køn ........................................................................................................................................................................
Screeningsværktøj opsporer børn og unge, der er ofre for menneskehandel.........................................................
Børn og unge som ofre for menneskehandel ...................................................................................................................
Nye krisecenterpladser i Aalborg .........................................................................................................................................
Bistand og støtte til ofre for menneskehandel i 2019 ..................................................................................................
Tendenser og opmærksomhedspunkter ............................................................................................................................
Opsøgende arbejde i et gråzonefelt ...................................................................................................................................
Efterforskning og retsforfølgelse ...............................................................................................................
Motivere ofre til at anmelde bagmænd .............................................................................................................................
Hvorfor kan sager om menneskehandel være svære at løfte? ....................................................................................
’Projekt Menneskehandel’ i Skattestyrelsen .....................................................................................................................
Koordination og vidensdeling......................................................................................................................
Samarbejdsfora ........................................................................................................................................................................
Opkvalificering af fagpersoner .............................................................................................................................................
Internationalt samarbejde .....................................................................................................................................................
Indsatser i 2020 ..........................................................................................................................................
4
4
5
5
6
6
8
9
9
10
10
11
12
14
15
16
17
18
20
21
21
22
23
24
24
24
25
27
LIU, Alm.del - 2020-21 - Bilag 13: Center mod Menneskehandels årsrapport for 2019, fra ministeren for fødevarer, fiskeri og ligestilling
2273585_0004.png
Indledning
Center mod Menneskehandel (CMM) præsenterer her-
med årsrapport om menneskehandel i Danmark 2019.
Med årsrapporten ser CMM tilbage på det forgangne
års indsats mod menneskehandel.
Årsrapporten har til formål at udbrede viden om men-
neskehandel i Danmark og give et indblik i den aktuelle
situation og statistik på området.
Årsrapporten er bygget op om fire hovedtemaer:
1)
2)
3)
4)
Opsøgende og tillidsskabende arbejde
Identifikation og støtte
Efterforskning og retsforfølgelse
Koordination og vidensdeling.
Center mod Menneskehandel
CMM blev etableret i 2007. Centret udgør kernen i den
landsdækkende sociale indsats, som er rammesat af
skiftende nationale handlingsplaner til bekæmpelse af
menneskehandel. CMM ligger i Socialstyrelsen og refe-
rerer til ministeren for ligestilling, som er ansvarlig for at
sikre implementering af Handlingsplan til bekæmpelse af
menneskehandel 2019-2021.
CMM er ansvarlig for at koordinere og udvikle den
landsdækkende sociale indsats og indsamle og formidle
viden om menneskehandel i Danmark. CMM udreder
og identificerer potentielle ofre for menneskehandel
og tilbyder bistand, støtte og rådgivning til ofre for
menneskehandel. CMM udfører opsøgende arbejde på
massageklinikker og driver ligeledes et drop-in-center,
MØS, i København for udenlandske kvinder i prostitution
sammen med Reden International. CMM har en national
hotline, hvor bl.a. samarbejdspartnere og borgere kan
henvende sig ved mistanke om menneskehandel.
CMM underviser og opkvalificerer relevante aktører,
herunder andre myndigheder, politi, faglige organisatio-
ner, NGO’er, studerende m.fl. CMM koordinerer samar-
bejdet med andre aktører på området gennem en række
fora og netværksmøder på tværs af Danmark.
De fire temaer belyses gennem viden og tendenser om
ofre for menneskehandel i Danmark i 2019 og konkre-
te indsatser. Det er målet, at rapporten vil inspirere til
drøftelser af indsatser og udfordringer på menneske-
handelsområdet.
4
Menneskehandel i Danmark 2019
LIU, Alm.del - 2020-21 - Bilag 13: Center mod Menneskehandels årsrapport for 2019, fra ministeren for fødevarer, fiskeri og ligestilling
2273585_0005.png
Opsøgende og tillidsskabende arbejde
En vigtig del af den danske indsats mod menneskehan-
del er at opspore potentielle ofre, så de kan få viden om
rettigheder og muligheder og motiveres til at tage imod
bistand og støtte.
Flere aktører er involveret i at opspore ofre for menne-
skehandel. CMM og NGO’er som AmiAmi, Reden Inter-
national, Røde Kors og HopeNow varetager opsøgende
arbejde over for potentielle ofre for menneskehandel.
Andre myndigheder og aktører kan ligeledes komme i
berøring med ofre for menneskehandel i deres daglige
arbejde. Det er bl.a. politiet, Arbejdstilsynet, Skattesty-
relsen, kommunalt- og sundhedsfagligt personale og
faglige organisationer.
mistænker er ofre for menneskehandel. Politiet er den
aktør, der har henvist flest af de personer, der er vurde-
ret som ofre for menneskehandel i 2019.
Opkald fra samarbejdspartnere og myndigheder er fx fra
fagforbund som 3F, den sociale døgnvagt i København,
Røde Kors, krisecentre, kommuner, Udlændingestyrelsen
og Skattestyrelsen. Næst efter henvisninger fra politiet
er det aktører i denne kategori, der har henvist flest af
de personer, der er vurderet handlet i 2019.
Kategorien ’Informanter’ dækker primært over pårø-
rende og privatpersoner, som har mistanke om men-
neskehandel, behov for sparring eller information om
rettigheder og muligheder. I 2019 førte ingen af disse
henvendelser til, at en person blev vurderet handlet.
Henvendelser fra mulige ofre er fra personer, som har
behov for bistand og støtte. Nogle har været udsat for
menneskehandel, mens andre bliver henvist videre til
andre myndigheder, hvis deres problematik ikke blev
vurderet at have relation til menneskehandel. En enkelt
af henvendelserne i denne kategori førte til, at en per-
son blev vurderet handlet.
Endeligt dækker ’Øvrige’ over henvendelser fra fx per-
soner med behov for viderestilling, generelle spørgsmål
eller behov for sparring.
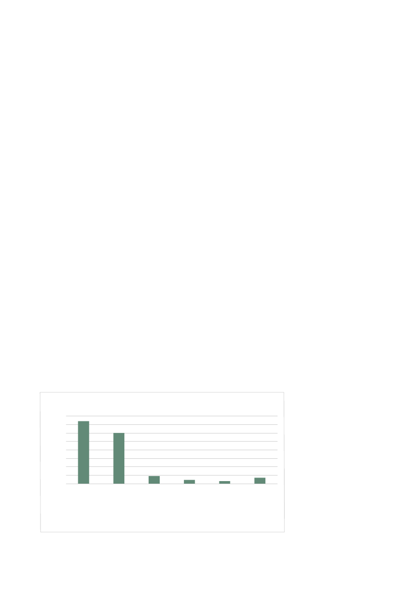
Henvendelser på hotline 2019
I langt de fleste tilfælde får CMM kontakt til ofre for
menneskehandel ved henvendelser på CMM’s nationale
hotline. I 2019 modtog CMM 315 henvendelser på
hotlinen fra en række aktører.
Den største del af opkaldene på CMM’s hotline er fra
politiet fra alle landets kredse. Københavns Politi tegner
sig for størstedelen. Henvendelser fra politiet omhandler
typisk varsling af politikontroller og aktioner fx i prosti-
tutionsmiljøer eller på arbejdspladser, hvor de kan møde
mulige ofre for menneskehandel. Politiet henvender sig
endvidere, når de har personer i deres varetægt, som de
Henvendelser på hotline 2019
160
140
Antal personer
120
100
80
60
40
20
0
18
14
148
120
9
6
tie
t
te
r
og
re
de
,
Po
li
er
e
an
of
Jo
sk urn
ole ali
ele ste
ve r, s
r m tud
m ere
.
n
S
m ama
yn rb
dig ej
he dsp
de ar
r tn
Inf
or
M
uli
ge
m
Øv
rig
e
«
Anm.: Figuren viser hvilke aktører, der
har henvendt sig på hotline i 2019 og
hvor mange gange. De enkelte henven-
delser kan omhandle samme sag.
Årsrapport, Center mod Menneskehandel
5
LIU, Alm.del - 2020-21 - Bilag 13: Center mod Menneskehandels årsrapport for 2019, fra ministeren for fødevarer, fiskeri og ligestilling
2273585_0006.png
Arbejdstilsynets opsøgende arbejde
Myndigheder og andre aktører, der udfører opsøgende arbejde i forskellige brancher som rengøring,
transport, landbrug, byggeri, hotel og restauration, kan derigennem opspore potentielle ofre for menne-
skehandel.
Arbejdstilsynet er en af de myndigheder, der udfører opsøgende arbejde og har fokus på tegn på menne-
skehandel til tvangsarbejde. Arbejdstilsynet har til opgave at føre tilsyn med, at udenlandske virksomheder
overholder dansk arbejdsmiljølovgivning. Hvis Arbejdstilsynet under et tilsyn bliver opmærksomme på eller
får mistanke om, at der kan være tale om menneskehandel, kontaktes politiet og CMM.
I 2019 blev der indgået en ny arbejdsmiljøaftale, som bl.a. betyder, at Arbejdstilsynet styrker det opsø-
gende arbejde overfor udenlandske virksomheder og deres ansatte. Fokus er på overtrædelser af arbejds-
miljøloven og indikationer på andre ulovlige forhold som menneskehandel til tvangsarbejde. Arbejdstilsy-
net kortlægger i samarbejde med politiet, CMM og Styrelsen for International Rekruttering og Integration,
hvordan en fælles indsats omkring opsporing af menneskehandel til tvangsarbejde fremadrettet kan
styrkes. Arbejdstilsynets tilsynsførende klædes ligeledes på til at kunne spotte tegn på menneskehandel til
tvangsarbejde, når de fører tilsyn på arbejdspladserne.
Mobilt sundhedstilbud
CMM’s mobile sundhedstilbud kunne fejre 10 års jubi-
læum i 2019. Det mobile sundhedstilbud blev etableret
med henblik på at opspore potentielle ofre for menne-
skehandel på massageklinikker.
CMM’s mobile sundhedstilbud dækker regionerne Midt-
jylland, Nordjylland og Sjælland. AmiAmi har et lignende
tilbud i Region Syddanmark, hvor de også har en sund-
hedsklinik, og Reden International har et lignende mobilt
sundhedstilbud, der dækker Region Hovedstaden og
Region Nordsjælland, samt en klinik i København i sam-
arbejde med CMM.
Udenlandske personer i prostitution mangler oftest vi-
den om muligheder og rettigheder og har ikke adgang til
det etablerede sundhedssystem. Den direkte kontakt til
potentielle ofre skal sikre dem adgang til sundhedstilbud
og tilbud om bistand og støtte. Samtidigt opnår CMM
en mere generel viden om menneskehandel i prostitu-
tionsmiljøerne gennem det opsøgende arbejde. Blandt
andet opnår CMM viden om, hvilke klinikker der er be-
kymrende forhold på, og hvordan feltet udvikler sig over
tid. Hvis det mobile sundhedstilbud støder på særligt
bekymrende forhold på massageklinikker, bliver politiet
informeret.
Det mobile sundhedstilbud observerede i 2019 flere
østeuropæiske kvinder i prostitution end i de forudgå-
ende år. De østeuropæiske kvinder fremstår mere pres-
sede, også økonomisk, sammenlignet med de kvinder,
som sundhedstilbuddet har mødt tidligere. Bagmæn-
dene synes mere ”barske” end tidligere, og kvinderne
virker mere bange. Kvinderne kan være tilbageholdende
med at tage imod bistand og støtte fra det mobile sund-
hedstilbud, hvis de frygter repressalier fra bagmændene.
CMM vurderer, at bagmændene generelt er blevet bed-
re organiserede og mere professionelle. De finder nye
effektive måder at rekruttere og fastholde kvinderne på,
og metoder til selv at forblive skjult.
CMM har observeret, at flere og flere potentielle ofre
for menneskehandel befinder sig i mere skjulte former
for prostitution, som escort-prostitution i private lejlig-
heder, mobilehomes, moteller og lignende. I de tilfælde
er den eneste kontaktflade til de potentielle ofre for
menneskehandel et mobiltelefonnummer i en sexannon-
ce. Det er ofte bagmanden, der betjener telefonen, og
det gør det svært at opnå kontakt til potentielle ofre for
menneskehandel.
I 2019 aflagde CMM’s mobile sundhedstilbud 467 be-
søg på 257 forskellige klinikker i Nord- og Midtjylland
og på Sjælland. CMM blev lukket ind på klinikkerne ved
knap halvdelen af besøgene, og der blev afholdt sam-
taler med 312 udenlandske kvinder og transpersoner i
prostitution. 165 af de 312 har det mobile sundhedstil-
bud ikke tidligere talt med.
6
Menneskehandel i Danmark 2019
LIU, Alm.del - 2020-21 - Bilag 13: Center mod Menneskehandels årsrapport for 2019, fra ministeren for fødevarer, fiskeri og ligestilling
2273585_0007.png
Jeg screener forskellige sex-websites for nye klinikker og for at se, om nogen af de prostituerede fremstår mere
udsatte end andre, fx hvis det fremgår at de er meget unge. Det kan også være, der er anmeldelser fra kunder, der
indikerer, at personerne er underlagt pres fra deres bagmænd til at tilbyde sex uden beskyttelse eller mere ekstreme
ydelser.
Først har jeg udvalgt mig et geografisk område, og ud fra screeningen planlægger jeg så min rute. Jeg pakker min
taske med kondomer og udstyr til at teste for kønssygdomme og informationsmateriale om menneskehandel, og så
kører jeg ud og banker på døren. Jeg præsenterer mig som sygeplejerske og jordemoder og spørger, om jeg må komme
indenfor for at fortælle lidt om, hvad det mobile sundhedstilbud går ud på.
Vi forsøger i vores daglige arbejde også at få kontakt med personer, oftest kvinder, der er i escort-prostitution, ved at
sende en SMS til dem, hvori vi fortæller vi, hvem vi er, og hvad vi kan tilbyde. Når det lykkes at få kontakt til nogen, så
spredes budskabet ofte til andre om, at vi vil dem det godt. På den måde får vi flere og flere henvendelser fra uden-
landske kvinder i mere skjulte former for prostitution. Det er svært at få kontakt, men det går fremad.
De potentielle ofre bliver flyttet rundt på mange forskellige massageklinikker i Danmark. Vi, der arbejder på området,
har derfor brug for et godt samarbejde, hvis vi skal give dem den bedst mulige hjælp. CMM’s mobile sundhedstilbud
har et rigtigt godt samarbejde med NGO’erne AmiAmi og Reden International. Vi mødes to gange om året til et sund-
heds- og socialfagligt netværksmøde, hvor vi deler viden og erfaringer og hjælper hinanden på tværs.
Citater fra Jette Mæng, sygeplejerske/jordemoder i det mobile sundhedstilbud.
Årsrapport, Center mod Menneskehandel
7
LIU, Alm.del - 2020-21 - Bilag 13: Center mod Menneskehandels årsrapport for 2019, fra ministeren for fødevarer, fiskeri og ligestilling
2273585_0008.png
Fundamentet er tillid
NGO’en AmiAmi udfører opsøgende arbejde
blandt udenlandske personer i prostitution og
potentielle ofre for menneskehandel i Region
Syddanmark. Organisationen har siden 2001 haft
et skærpet fokus på den thailandske målgruppe.
Tæt kontakt til miljøet
AmiAmi laver opsøgende arbejde på alle mas-
sageklinikker i Region Syddanmark. Besøgene
på klinikkerne skal skabe tillid med henblik på at
etablere en personlig kontakt til kvinderne. Af
og til er det kun muligt at lægge en pjece eller
et visitkort på stedet, men ofte bliver AmiAmi
inviteret indenfor på klinikkerne. Kvinderne bliver
ligeledes inviteret ind i AmiAmis sundhedsklinik
for kvinder i prostitution i Fredericia. Ud over
sundhedsklinikken lægger AmiAmi vægt på at
have et sted, hvor alle er velkomne, og AmiAmi
gør meget ud af at holde forskellige arrangemen-
ter for kvinderne. Fx har de inviteret til nytårskur
for den thailandske målgruppe.
Kontakt til målgruppen
AmiAmis kontakt til målgruppen har resulteret i,
at mange af kvinderne får mod til at fortælle de-
res handelshistorie. Flere af kvinderne henvender
sig også til AmiAmi med bekymringer om andre
kvinder fra prostitutionsmiljøet. Det er ofte en
sådan bekymring, som leder AmiAmi i retning af
en handlet kvinde, da ofrene ofte ikke selv tager
kontakt.
Flere thailandske kvinder ender i et
handelsforhold
AmiAmi oplever et stigende antal af thailandske
kvinder, der bliver identificeret som ofre for men-
neskehandel. Denne tendens afspejles i CMM’s
statistik, hvor der også ses en stigning i antallet
af thailandske ofre for menneskehandel. Gene-
relt vurderer AmiAmi, at der er kommet flere
thaimassageklinikker i Region Syddanmark, og
flere thailandske kvinder henvender sig for at få
bistand og støtte.
En lukrativ udlejningsforretning
AmiAmi har svært ved at pege på én konkret
årsag til, at flere thailandske kvinder udsættes
for menneskehandel. Men de ser en tendens til,
at thailandske kvinder lejes ud til forskellige kli-
nikker, og det er blevet en lukrativ forretning for
bagmændene.
Tidligere fik kvinderne en procentdel af de penge,
de tjente, men sådan oplever AmiAmi det ikke
længere. Flere af kvinderne får ingen betaling,
fordi bagmanden og ejeren af klinikken deler for-
tjenesten mellem sig. De fleste kvinder, der be-
finder sig i et handelsforhold, skylder penge, fordi
bagmanden har betalt deres rejseudgifter for at
komme til Danmark. Den manglende betaling til
bagmanden betyder derfor, at kvinderne bliver
yderligere forgældet. Miljøet er på den måde ble-
vet hårdere, og kvinderne er blevet endnu mere
fastlåste i deres udnyttelsesforhold.
Et nyt projekt skal afdække tendenser og
intensivere indsatsen
I 2019 fik AmiAmi en ekstra bevilling til at udvide
den allerede eksisterende indsats i det thailand-
ske miljø. Det betyder, at AmiAmi udvider staben
med en medarbejder. På sigt håber de at kunne
åbne flere afdelinger i Syddanmark. Det er Ami-
Amis håb, at de nye midler, og dermed et større
fokus på målgruppen, kan generere yderligere
viden om den thailandske målgruppe, herunder at
afdække hvorfor flere thailandske kvinder ender i
et handelsforhold.
AmiAmis arbejde med menneskehandel er
finansieret af Handlingsplan til bekæmpelse
af menneskehandel 2019-2021. Artiklen
er baseret på interview af AmiAmis leder,
Lisbeth Bohmann, og seniorkonsulent, Vibeke
Nielsen.
LIU, Alm.del - 2020-21 - Bilag 13: Center mod Menneskehandels årsrapport for 2019, fra ministeren for fødevarer, fiskeri og ligestilling
2273585_0009.png
Identifikation og støtte
Når der etableres kontakt til potentielle ofre for menne-
skehandel, har CMM og NGO’erne under Handlingsplan
til bekæmpelse af menneskehandel 2019-2021 til
opgave at foretage identifikationssamtaler. Samtalerne
danner afsæt for, at Udlændingestyrelsen, dommere,
Styrelsen for International Rekruttering og Integration
eller CMM endeligt kan vurdere, om en person har væ-
ret udsat for menneskehandel. Personer, der vurderes
som ofre for menneskehandel, tildeles en refleksions-
og restitutionsperiode i Danmark på op til 120 dage.
I refleksionsperioden får ofrene tilbud om bistand og
støtte. Det kan være i form af sikker indkvartering væk
fra udnyttelsesforholdet, juridisk bistand, psykologhjælp,
sundhedsbehandling og en forberedt hjemsendelse med
efterfølgende reintegrationsstøtte i hjemlandet i seks
måneder. Alle ofre får tildelt en kontaktperson fra CMM.
På trods af, at der er foretaget omtrent lige mange
identifikationssamtaler de to år, er der således færre
personer, der er identificeret og vurderet handlet i 2019
end året før. Tendensen til, at færre af dem, der afholdes
identifikationssamtaler med, bliver vurderet handlet, er
især tydelig blandt nigerianske kvinder i prostitution.
Hvem skabte den første kontakt til ofre for menneske-
handel i 2019?:
Politiet er den aktør, der har etableret kontakt til
Identifikationer
64 personer blev i 2019 vurderet handlet og fik tilbud
om bistand og støtte under handlingsplanen til bekæm-
pelse af menneskehandel.
I 2019 har AmiAmi, HopeNow, Reden International og
CMM afholdt identifikationssamtaler med 234 poten-
tielle ofre for menneskehandel
1
. I omkring en fjerdedel
af sagerne var der klare tegn på, at en person var udsat
for menneskehandel, og de blev efterfølgende vurderet
handlet. Til sammenligning blev der i 2018 afholdt næ-
sten samme antal identifikationssamtaler, men dengang
var der tegn på menneskehandel i halvdelen af alle iden-
tifikationssamtalerne.
størstedelen af de personer, der blev vurderet som
ofre for menneskehandel i 2019. Politiet henviste
184 personer til identifikation, og heraf blev 26 per-
soner vurderet handlet.
AmiAmi, HopeNow og Reden International identifice-
rer ofre for menneskehandel gennem opsøgende ar-
bejde og støttende aktiviteter. Gennem deres arbejde
blev ni personer vurderet handlet i 2019.
Henvendelser fra Røde Kors førte i 2019 til, at fem
personer blev vurderet handlet.
Henvendelser fra 3F førte i 2019 til, at 14 personer
blev vurderet handlet.
To ofre for menneskehandel blev henvist til CMM fra
et kvindekrisecenter.
Udlændingestyrelsen afdækkede menneskehandel i to
asylsager, hvor personerne blev vurderet handlet.
Derudover har henvendelser fra en advokat, en kom-
munal sagsbehandler, en sygeplejerske, en bisidder,
en privatperson, en kirkelig organisation og en NGO i
Schweiz også ført til identifikation af ofre for menne-
skehandel.
1
Tallet omfatter de identifikationer, der er dokumenteret og forelagt
relevant myndighed med henblik på vurdering af, om pågældende
person var offer for menneskehandel. Tallet er derfor ikke et udtryk
for, hvor mange potentielle ofre, der samlet set er blevet mødt og
talt med i 2019.
Årsrapport, Center mod Menneskehandel
9
LIU, Alm.del - 2020-21 - Bilag 13: Center mod Menneskehandels årsrapport for 2019, fra ministeren for fødevarer, fiskeri og ligestilling
2273585_0010.png
Politiet opnår kontakt til potentielle ofre for
menneskehandel via kontroller og aktioner
bl.a. i prostitutionsmiljøet på gaden i Køben-
havn og på massageklinikker landet over. En
stor del af de personer, som politiet møder
i prostitutionsmiljøet, sigtes for ulovligt
arbejde eller ulovligt ophold. Sagerne fore-
lægges typisk for Udlændingestyrelsen, som
skal træffe afgørelse om, hvorvidt en person
skal ud- eller afvises af Danmark. Ved afgø-
relsen skal der tages hensyn til, om personen
kan være udsat for menneskehandel. Derfor
inddrages CMM eller NGO’erne under hand-
lingsplanen for at udrede og finde eventuelle
tegn på menneskehandel i sagen.
Der er ingen enkle og entydige forklaringer på stignin-
ger og fald over årene i antallet af vurderede ofre for
menneskehandel. Som det er beskrevet tidligere, er der
heller ikke en direkte sammenhæng mellem antal hen-
vendelser til CMM om potentielle ofre for menneske-
handel og antallet af personer, der vurderes som ofre for
menneskehandel.
Udnyttelse
Mere end halvdelen af de personer, der blev vurderet
handlet i 2019, var udsat for seksuel udnyttelse. Om-
kring en fjerdedel var udnyttet til tvangsarbejde, og
knap en tiendedel var udnyttet til strafbare handlinger.
I fire sager har det ikke været muligt endeligt at fastslå
udnyttelsesformen.
Fordeling af sager på de forskellige udnyttelsesformer i
2019 adskiller sig ikke væsentligt fra det billede, der har
tegnet sig de seneste 10 år. Der har i alle årene været
en relativt høj forekomst af sager om menneskehandel
til seksuel udnyttelse. Sammenholdt med 2018 er der
dog sket en stigning i antallet af personer, der er vur-
deret handlet til seksuel udnyttelse, og et fald i antallet
af personer, der er vurderet handlet til tvangsarbejde.
Antallet af sager om strafbare handlinger er stort set
uændret.
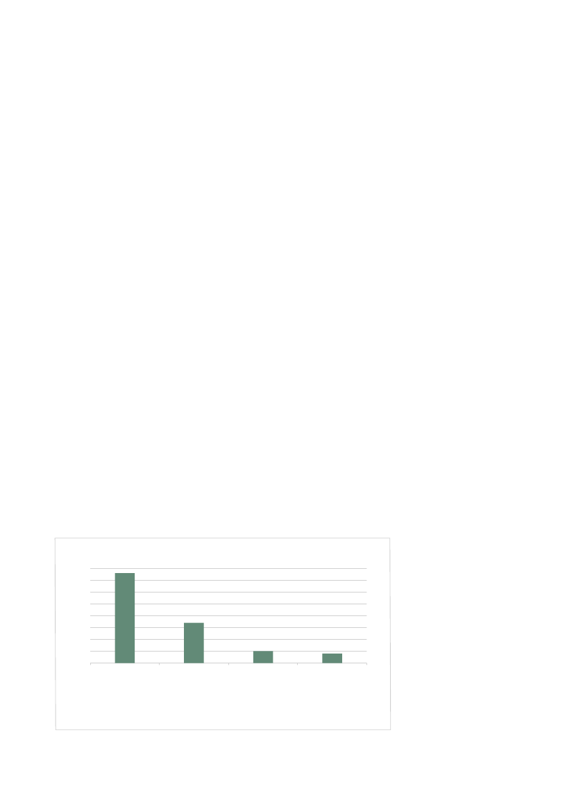
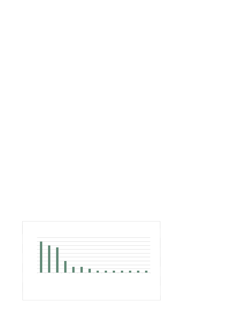
Færre vurderede ofre for
menneskehandel i 2019
Der er sket et fald i antallet af vurderede ofre for men-
neskehandel fra 2018 til 2019, fra 97 til 64 personer.
Der har tidligere været udsving i antallet af vurderede
ofre i Danmark. Fra 2013 til 2014 var der et mindre fald
fra 76 til 71 ofre. Siden 2016, som med 121 er det år
med flest ofre, har tallet været faldende. Faldet svarer
til omtrent en halvering af antallet af vurderede ofre for
menneskehandel fra 121 i 2016 til 64 i 2019.
Personer vurderet handlet 2007-2019 fordelt pr. år
140
120
Antal personer
100
80
60
40
20
0
2007
2008
2009
2010
2011
2012
2013
2014
2015
2016
2017
2018
2019
17
28
47
53
60
76
66
71
93
98
97
64
121
«
Anm.: Figuren viser antal personer
vurderet handlet hvert enkelt år. Det
kan forekomme, at én person vurderes
handlet mere end én gang. Hvis en person
vurderes handlet to gange på et år, tælles
denne person kun med én gang. Hvis en
person er vurderet handlet med flere års
mellemrum, kan denne person indgå i sta-
tistikken flere gange. Eksempelvis er fire
af de personer, der er vurderet handlet i
2019, tidligere blevet vurderet handlet.
10
Menneskehandel i Danmark 2019
LIU, Alm.del - 2020-21 - Bilag 13: Center mod Menneskehandels årsrapport for 2019, fra ministeren for fødevarer, fiskeri og ligestilling
2273585_0011.png
Hovedparten af de 38 ofre for menneskehandel i 2019,
der var handlet til seksuel udnyttelse, var kvinder ud-
nyttet til prostitution. Enkelte af kvinderne var samtidig
udsat for andre former for udnyttelse, som eksempel-
vis husarbejde. Kvinderne var primært fra Nigeria og
Thailand. En af kvinderne var under 18 år. En enkelt
mindreårig dreng blev også vurderet handlet til seksuel
udnyttelse. Han var samtidig udnyttet til at begå straf-
bare handlinger.
17 personer var ofre for menneskehandel til tvangsar-
bejde. Bortset fra en enkelt kvinde, var alle ofrene unge
eller voksne mænd. En enkelt var under 18 år.
De fem personer, der var udnyttet til at begå strafbare
handlinger, var børn og unge mænd. De blev udnyttet til
tyveri eller salg af stoffer. Alle fem var fra Marokko. Tre
af dem var under 18 år.
Nigeria
Kvinder fra Nigeria udgør knap halvdelen af det samlede
antal personer, der er blevet vurderet handlet i perioden
2007-2019. Selvom antallet af ofre for menneskehan-
del fra Nigeria er faldet til det laveste antal siden 2010,
er ofre fra Nigeria stadig den hyppigst forekommende
nationalitet i statistikken for 2019.
De 16 personer fra Nigeria, der blev vurderet handlet
i 2019, var alle kvinder udsat for seksuel udnyttelse,
på nær en enkelt person, hvor udnyttelsen ikke kunne
fastslås.
Thailand
Antallet af thailændere, der er vurderet som ofre for
menneskehandel, er mere end fordoblet siden 2018, og
antallet af thailandske ofre i 2019 er det højeste siden
2007. Thailand er dermed den næst-hyppigst forekom-
mende nationalitet i 2019.
CMM har i 2019 fået flere henvendelser på hotlinen om
thailandske potentielle ofre for menneskehandel end
tidligere år, særligt fra politiet. Samtidig er der en ten-
dens til, at en større andel af de thailandske statsbor-
gere, som udredes for menneskehandel, bliver vurderet
handlet, end det har været tilfældet tidligere år. Mens
der bliver vurderet færre nigerianske ofre for menne-
skehandel i 2019, er tendensen således den modsatte
for thailandske kvinder.
Ofrenes nationalitet
De 64 personer, der blev vurderet som ofre for menne-
skehandel i 2019, har oprindelse i 14 forskellige lande.
Ofre for menneskehandel fra Nigeria, Thailand, Rumæni-
en og Marokko udgør tilsammen mere end tre fjerdedele
af det samlede antal ofre i 2019.
Hvor der tidligere har været flest ofre fra Nigeria og
færre fra Thailand og Rumænien, er der næsten lige
mange ofre fra de tre lande i 2019. Der er dog forskelle
på ofrene fra de tre lande, når det angår køn, alder og
udnyttelsesform. Der er også stor forskel på, hvilke til-
bud om bistand og støtte ofrene tager imod.
Ofre for menneskehandel i 2019 fordelt på udnyttelsesformer
40
35
Antal personer
30
25
20
15
10
5
0
Seksuel udnyttelse
Tvangsarbejde
Strafbare handlinger
Kan ikke fastslås
5
4
17
38
«
Anm.: Figuren viser antal personer
vurderet handlet fordelt på udnyttel-
sesformer. I enkelte tilfælde er personer
handlet til flere former for udnyttelse.
Her vil personerne blive talt med under
den udnyttelsesform, som de primært
har været handlet til. I fire tilfælde var
det ikke endeligt muligt at fastslå hvilken
udnyttelse, disse personer var blevet
handlet til.
Årsrapport, Center mod Menneskehandel
11
LIU, Alm.del - 2020-21 - Bilag 13: Center mod Menneskehandels årsrapport for 2019, fra ministeren for fødevarer, fiskeri og ligestilling
2273585_0012.png
Med undtagelse af en transperson var alle de thailand-
ske ofre for menneskehandel kvinder. 12 thailændere
var udsat for menneskehandel til seksuel udnyttelse. I to
sager kunne udnyttelsen ikke nærmere fastslås.
Rumænien
Antallet af ofre for menneskehandel fra Rumænien var
relativt højt i 2019. 12 af ofrene var mænd fra samme
sagskompleks, som var udsat for menneskehandel til
tvangsarbejde. CMM blev involveret i sagen af 3F, som
havde fået kontakt til mændene på en byggeplads på
Sjælland.
Ofre for menneskehandel fra Rumænien udgør en re-
lativt stor andel af det samlede antal vurderede ofre i
perioden 2007-2019. Årene 2015 og 2019 er beg-
ge præget af sagskomplekser, hvor større grupper af
rumænske mænd blev vurderet handlet. Det har haft
betydning for den samlede høje forekomst af ofre for
menneskehandel fra Rumænien.
Marokko
Efter Nigeria, Thailand og Rumænien er Marokko det
land, hvorfra der vurderes flest ofre for menneskehan-
del. I 2019 var alle ofrene fra Marokko drenge eller
unge mænd udnyttet til at begå strafbare handlinger.
Tre af dem var under 18 år.
I 2017 blev en marokkansk dreng vurderet som offer
for menneskehandel. I løbet af 2017 og 2018 fik CMM
kontakt til flere drenge og unge mænd fra Marokko i
alderen 16-23 år, som kunne være ofre for menneske-
handel. Et kontinuerligt arbejde med at opnå viden om
målgruppen og skabe tillid til de marokkanske drenge
og unge mænd resulterede i, at syv drenge og unge
mænd blev vurderet handlet i 2018. Fokus på målgrup-
pen fortsatte i 2019, hvor yderligere fem blev vurderet
handlet.
Mod slutningen af 2019 har særligt Røde Kors meldt
om færre uledsagede nordafrikanske børn og unge i
asylsystemet. Det kan have haft betydning for, at der
var et mindre fald i antallet af vurderede ofre fra Marok-
ko fra 2018 til 2019.
Viden om og erfaringer med marokkanske drenge kan
findes i denne rapport på side 26 i resuméet af CMM’s
artikel ’Moroccan minors as victims of human trafficking
in Denmark’.
Fordeling af køn
I 2019 blev 41 kvinder, 22 mænd og en transperson
vurderet som ofre for menneskehandel. Fordelingen på
køn afspejler i store træk fordelingen i den samlede sta-
tistik over de sidste 10 år.
Tidligere blev ingen eller kun ganske få mænd vurderet
ofre for menneskehandel, men de seneste år er antallet
af mandlige ofre steget i takt med, at der er set flere
sager om menneskehandel til tvangsarbejde og udnyt-
telse til strafbare handlinger. I 2018 oversteg antallet af
mandlige ofre for første gang antallet af kvindelige ofre.
Det skyldtes en større sag om udnyttelse af mandlige
chauffører i transportbranchen.
Ofre for menneskehandel i 2019 fordelt på nationalitet
18
16
14
12
10
8
6
4
2
0
16
14
13
Antal personer
6
3
3
2
1
1
1
1
1
1
1
n
Co
ng
o
ien
er
ou
n
n
M
ar
ok
ko
Ug
an
da
Po
le
m
bia
Ni
ge
Ke
n
Ru
s
Ind
ail
ba
Al
æ
Ru
m
Ca
Kir
gis
Th
m
Ga
ist
an
an
d
ya
ria
d
nie
nie
lan
n
«
Anm.: Figuren viser antal personer
fordelt på deres oprindelsesland.
12
Menneskehandel i Danmark 2019
LIU, Alm.del - 2020-21 - Bilag 13: Center mod Menneskehandels årsrapport for 2019, fra ministeren for fødevarer, fiskeri og ligestilling
2273585_0013.png
Der tegner sig et klart billede af, at kvinder og trans-
personer, som bliver vurderet som ofre for menne-
skehandel, primært udnyttes til prostitution og sek-
suel udnyttelse, og at mænd typisk bliver udnyttet til
tvangsarbejde og til at begå strafbare handlinger.
Inden for de seneste år har CMM fået flere henvendel-
ser om kvinder, som bliver udnyttet af deres ægtemænd
fx til børnefødsler og husarbejde under forhold, der kan
betegnes som slaverilignende forhold.
Det er også karakteristisk, at ofre for menneskehandel
fra det afrikanske kontinent og Latinamerika typisk er
kvinder, mens ofre fra Asien og Europa både er kvinder
og mænd. De transpersoner, der er blevet vurderet
handlet gennem årene, er fra Latinamerika og Asien.
Årsrapport, Center mod Menneskehandel
13
LIU, Alm.del - 2020-21 - Bilag 13: Center mod Menneskehandels årsrapport for 2019, fra ministeren for fødevarer, fiskeri og ligestilling
2273585_0014.png
Screeningsværktøj opsporer børn og unge, der er
ofre for menneskehandel
mistanke. Graden af bekymring indikerer, hvor-
når medarbejderne skal kontakte CMM for at få
udredt, om et barn eller ung kan være offer for
menneskehandel.
Værktøjet er med til at fastholde personalets
fokus på menneskehandel og kan være afsæt for
en dialog med barnet eller den unge om trivsel,
sårbarhed og kriminel adfærd. Røde Kors har im-
plementeret værktøjet, og personalet har taget
screening af uledsagede mindreårige til sig som
en integreret arbejdsopgave.
Opkvalificering af fagpersoner
Røde Kors har også udviklet et kursus i form af et
e-læringsværktøj; ’Kan det være menneskehan-
del?’. Kurset henvender sig til fagpersoner, som
arbejder med børn og unge. I kurset formidles
viden om menneskehandel, og hvad fagpersoner
kan gøre ved mistanke i en given sag. E-læring er
at finde på Prologio.
Ny viden til fremtidige indsatser i Danmark
Erfaringerne fra projektet har givet Røde Kors
en større viden om menneskehandel af børn og
unge. Fx viden om familiære baggrunde og rejse-
ruter i Europa for uledsagede mindreårige. Røde
Kors har også opnået en større viden om bag-
mænd og deres metoder, når de rekrutterer og
fastholder børn og unge. Den nye viden er med
til at understøtte god praksis i arbejdet med børn
og unge, der kan være ofre for menneskehandel.
Projektet afsluttes i 2020 med forskellige tvær-
faglige events, der skal udbrede viden om men-
neskehandel med børn og unge. Røde Kors arbej-
der fortsat på, at den viden og de nye metoder,
de har udviklet, kan bidrage til at forebygge og
bekæmpe menneskehandel af børn og unge i
Danmark.
Artiklen er baseret på interview af projekt-
leder i Røde Kors, Marie Larsen.
Røde Kors står bag projektet ’Styrket indsats
målrettet uledsagede mindreårige ofre for men-
neskehandel’. Projektet har ført til, at Røde Kors
systematisk screener alle mindreårige i asylsyste-
met for indikatorer på menneskehandel.
Screening af børn og unge betyder øget trivsel
og omsorg
I 2017 fik Røde Kors midler under regeringens
handlingsplan til bekæmpelse af menneskehandel
til projektet ’Styrket indsats målrettet uledsagede
mindreårige ofre for menneskehandel’. Røde Kors
og CMM har samarbejdet om flere af projektets
initiativer.
Overordnet har projektet til formål at identificere
uledsagede børn og unge under 18 år, som er
ofre for menneskehandel.
Røde Kors oplever, at børn og unge kan have
svært ved at tale om deres oplevelser med
krænkelser og udnyttelse. Det kan gøre det
svært at udrede dem for menneskehandel. Røde
Kors har derfor udviklet en række redskaber til
at opspore børn og unge, som kan være udsat
for menneskehandel. Identifikation af menneske-
handel er med til at sikre børnenes eller de unges
rettigheder og beskytte dem mod udnyttelse,
krænkelser, kriminalitet m.m.
Et skræddersyet screeningsværktøj
Røde Kors har udviklet et screeningsværktøj til
asylafdelingerne. Det skal sikre, at alle uledsa-
gede børn og unge, der søger asyl, systematisk
bliver screenet for tegn på menneskehandel.
Screeningsværktøjet består af en række afkryds-
ningslister med indikatorer på menneskehandel.
Her rangerer de graden af bekymring for, om
barnet eller den unge kan være offer for men-
neskehandel ud fra personens fortælling. Der
arbejdes ud fra skalaen: ’grøn’: ingen mistanke om
menneskehandel, ’gul’: mistanke og ’rød’: stærk
LIU, Alm.del - 2020-21 - Bilag 13: Center mod Menneskehandels årsrapport for 2019, fra ministeren for fødevarer, fiskeri og ligestilling
2273585_0015.png
Børn og unge som ofre for
menneskehandel
De 64 personer, der blev vurderet ofre for menneske-
handel i 2019, var i alderen 12-54 år, med en gennem-
snitsalder på 31 år. Der ses en tendens til, at mænd
handlet til tvangsarbejde har en højere alder end de
kvinder, der er handlet til seksuel udnyttelse. Endvidere
har de thailandske kvinder en højere gennemsnitsalder
end de nigerianske kvinder.
Seks af de 64 personer var under 18 år, da de blev vur-
deret handlet. Heraf var fem unge i alderen 16-17 år,
og den sidste var et barn på 12 år. Fire var fra Marokko
og to var fra hhv. Gambia og Kenya. Af de seks børn og
unge var tre udnyttet til at begå strafbare handlinger, to
var handlet til seksuel udnyttelse og en var handlet til
tvangsarbejde. Fem var drenge, og en var pige.
2019 adskiller sig ikke fra de seneste 10 år, hvad angår
fordeling på alder. Børn og unge under 18 år udgør en
relativt lille del på fem procent af det samlede antal vur-
derede ofre i perioden. Både piger og drenge er gennem
tiden blevet vurderet som ofre for menneskehandel, og
de er handlet til forskellige former for udnyttelse. Over
de seneste 10 år var størstedelen af det samlede antal
børn og unge under 18 år i alderen 15-17 år, da de blev
vurderet som ofre for menneskehandel, med en gen-
nemsnitsalder på 16 år.
Flertallet af de børn og unge under 18 år, som er vurde-
ret ofre for menneskehandel i Danmark, er uledsagede
mindreårige asylansøgere. I kølvandet på det store antal
flygtninge, der ankom til Europa i 2015, modtog Røde
Kors mange uledsagede mindreårige på asylcentrene.
I 2019 er der imidlertid sket et stort fald i antallet af
uledsagede børn og unge under 18 år, som søger asyl,
og det kan være blandt årsagerne til det fald, der er sket
i antallet af vurderede ofre blandt børn og unge under
18 år i 2019.
Børn og unge under 18 år kan samtidig være svære at
opspore og identificere. Enten fordi barnet forsvinder fra
fx asylsystemet inden udredningen af menneskehandel
er afsluttet, eller fordi barnet ikke fortæller sin historie.
Det kan skyldes manglende tillid til voksne og til myn-
digheder, frygt for repressalier fra bagmændene, eller at
barnet kommer med indøvede svar, som bagmændene
har indprentet dem.
CMM har i 2019 afholdt udredende samtaler med 19
potentielle ofre for menneskehandel under 18 år.
Årsrapport, Center mod Menneskehandel
15
LIU, Alm.del - 2020-21 - Bilag 13: Center mod Menneskehandels årsrapport for 2019, fra ministeren for fødevarer, fiskeri og ligestilling
2273585_0016.png
Nye krisecenterpladser i Aalborg
Reden International etablerede i 2003 i Køben-
havn det første krisecenter i Danmark til kvinde-
lige ofre for menneskehandel. Senere er tilbuddet
udvidet med krisecenterpladser i Aalborg
Indkvarteringstilbud til kvindelige ofre
I 2019 udvidede Reden International deres krise-
centertilbud i København med et tilbud i Aalborg
til kvinder, der er ofre eller mulige ofre for men-
neskehandel. Nu er der syv pladser i København
og to i Aalborg. Ved behov kan der udvides med
enkelte opredninger. Krisecentret drives i et sam-
arbejde mellem Reden Aalborg, Reden Internatio-
nal og KFUKs Sociale Arbejde.
Sikkerhed, restitution og rehabilitering
Et krisecenterophold giver offeret mulighed for at
komme væk fra bagmanden. Begge krisecentre
har hemmelige adresser for at beskytte kvinder-
ne. Leder af krisecentret i Aalborg, Jeanette Dam
Kaastrup, fortæller; ’Når kvinden har fået ro og
tillid til personalet på krisecentret, så arbejder vi
med at rehabilitere den enkelte kvinde.’ Krise-
centrene understøtter også CMM’s arbejde med
forberedt hjemsendelse, hvis kvinden tager imod
dette tilbud.
Kvindens trivsel og fremtid
Kvindernes situationer er meget forskellige. Per-
sonalet arbejder helhedsorienteret for at sikre,
at kvindens livssituation og trivsel forbedres, og
at kvinden (gen)finder troen på sig selv. Reden
International har fokus på kvindens fysiske- og
psykiske sundhed, netværk, misbrug, økonomi,
beskæftigelse og udsathed for vold. Målet er, at
kvinden finder styrke og motivation til at foreta-
ge de forandringer, hun ønsker for sin fremtid.
Øget sikkerhed og fleksibilitet
Erfaringerne fra det første år med krisecenter-
pladserne i Aalborg viser, at det er en fordel, at
der er geografisk spredte indkvarteringstilbud.
Det har bl.a. givet mulighed for bedre at beskytte
kvinderne. Jeanette fortæller; ’En kvinde, der har
været tvunget til at prostituere sig på gaden, var
indkvarteret på krisecentret i København. Hun
kunne ikke færdes sikkert uden for krisecenteret
og var i risiko for trusler fra nærmiljøet. Kvinden
blev overflyttet til krisecentret i Aalborg og fik
derved tryghed og bevægelsesfrihed. Omvendt
har det været nødvendigt at flytte en kvinde
fra krisecentret i Aalborg til København, da en
bagmand fandt ud af, at kvinden var i Aalborg’.
Milena Skaarup, leder af Reden Internationals
krisecenter i København, oplever, ligesom Jeanet-
te Dam Kaastrup, at kvinderne kan trives, uagtet
hvor de geografisk er indkvarteret.
Færre kvinder fra Nigeria
Reden International oplevede i 2019 en ændring
i nationalitet blandt de indkvarterede kvinder.
Tidligere var størsteparten af kvinderne fra Nige-
ria, men i 2019 var der færre kvinder fra Nigeria
og flere kvinder fra andre lande som fx Thailand,
Rumænien, Serbien, Albanien og Kenya. Flere af
disse sager har været anderledes end tidligere.
Kvinderne har ikke opholdt sig i prostitutionsmil-
jøet på gaden, men på massageklinikker forskel-
lige steder i Danmark. Mange af de kvinder, der
har været indkvarteret i 2019, har også været
mere interesserede i den forberedte hjemsendel-
se, og mange er blevet på krisecentrene, indtil de
skulle rejse hjem. Det betyder, at der kan etable-
res en længerevarende kontakt og bedre mulig-
heder for rehabilitering.
Anmeldelse af bagmænd
Reden International har et kontinuerligt fokus på,
hvordan indkvarterede kvinder kan motiveres til
at bidrage til efterforskning og retsforfølgning
af deres bagmænd. Men Reden International
vurderer, at ofrenes incitament for at vidne mod
bagmænd skal styrkes, så kvinderne i langt højere
grad oplever, at de får noget ud af at bidrage til
efterforskning.
Artiklen er baseret på interview ved Jeanette
Dam Kaastrup, leder af Reden International’s
krisecenter i Aalborg, og Milena Skaarup,
leder af Reden International’s krisecenter i
København. Krisecentrene er finansieret af
Handlingsplan til bekæmpelse af menneske-
handel 2019-2021.
LIU, Alm.del - 2020-21 - Bilag 13: Center mod Menneskehandels årsrapport for 2019, fra ministeren for fødevarer, fiskeri og ligestilling
2273585_0017.png
Bistand og støtte til ofre for
menneskehandel i 2019
CMM’s statistik tegner et billede af, at nationalitet og
køn kan have indflydelse på hvilke tilbud om bistand og
støtte, som ofre for menneskehandel tager imod.
Få nigerianske kvindelige ofre for menneskehandel har
taget imod en frivillig forberedt hjemsendelse. I 2019
tog ingen af de nigerianske ofre imod en forberedt
hjemsendelse, men seks af dem valgte at rejse til Nigeria
på egen hånd.
Samlet set har ofre for menneskehandel fra Thailand
været mere motiverede til at tage imod tilbud om en
forberedt hjemsendelse end de nigerianske kvinder. Næ-
sten alle de thailandske kvinder, der blev vurderet hand-
let i 2019, tog imod en forberedt hjemsendelse. Samlet
set tog flere ofre for menneskehandel dermed imod
tilbud om bistand og støtte og en forlænget refleksions-
periode end i de foregående år.
Erfaringen fra de større sager om mandlige ofre for
menneskehandel fra Rumænien peger på, at denne
gruppe gerne tager imod tilbud om en forberedt hjem-
sendelse. De rumænske mænd har samtidig ønsket at
rejse hjem hurtigt efter, de er blevet vurderet handlet.
De har derfor gjort mindre brug af tilbud om bistand og
støtte.
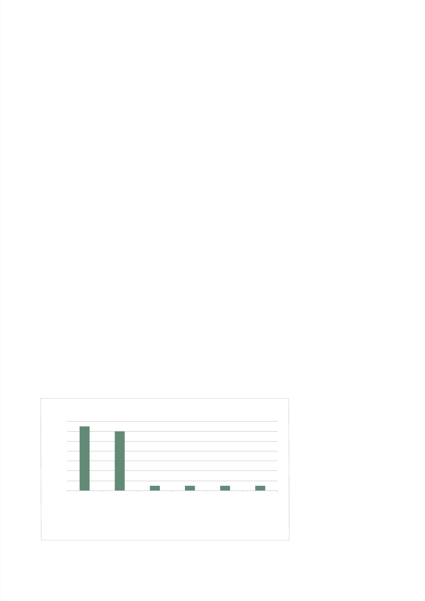
Stigning i antallet af forberedte hjemsendelser
I 2019 valgte 29 ofre for menneskehandel at tage imod
en frivillig, forberedt hjemsendelse og reintegrations-
støtte i hjemlandet. Det er mere end en fordobling af
forberedte hjemsendelser fra 2018, hvor 13 personer
tog imod tilbuddet. Det er samtidig det højeste antal
forberedte hjemsendelser gennemført på et år, siden
tilbuddet blev anvendt første gang i 2009.
Når et offer for menneskehandel tager imod en forbe-
redt hjemsendelse, kan personen få reintegrationsstøtte
i seks måneder efter hjemkomst. CMM og det enkelte
offer udarbejder sammen en individuel reintegrations-
plan tilpasset det enkelte offers behov og ønsker. Når
ofret er vendt hjem, er det muligt alt efter behov at få
støtte til fx en bolig, til at iværksætte en mindre virk-
somhed eller uddannelsesaktiviteter, lommepenge, mad
og skolepenge for eventuelle børn.
Det overordnede formål med reintegrationsforløbet og
støtten fra Handlingsplan til bekæmpelse af menneske-
handel 2019-2021 er at sikre en bæredygtig tilbage-
venden til hjemlandet for det enkelte offer for menne-
skehandel. Det skal også hindre, at personen havner i
et nyt udnyttelsesforhold. Størstedelen af de ofre for
menneskehandel, der tog imod den forberedte hjemsen-
delse i 2019, var fra Rumænien og Thailand.
For første gang i flere år tog en større gruppe mænd
imod støtte og bistand til at rejse hjem i 2019; således
var 12 af de 29, der rejste hjem med støtte, mænd fra
Rumænien, som var handlet til tvangsarbejde. De re-
sterende 17 var alle kvinder, som var handlet til seksuel
udnyttelse. Af de 17 kvinder var 12 fra Thailand og fem
var fra henholdsvis Rumænien, Rusland, Kenya, Albanien
og Kirgisistan.
Frivillig forberedt hjemsendelse i 2019 fordelt på lande, hvortil der er foretaget hjemsendelser
14
12
Antal personer
10
8
6
4
2
0
Rumænien
Thailand
Rusland
Kenya
Albanien
Kirgisistan
1
1
1
1
13
12
«
Anm.: Figuren angiver antal personer,
som er vurderet handlet i 2019, og som
har taget imod en frivillig forberedt
hjemsendelse. Personer, som er vurderet
handlet tidligere år, men først har gen-
nemført den forberedte hjemsendelse i
2019, er ikke medtaget i figuren.
Årsrapport, Center mod Menneskehandel
17
LIU, Alm.del - 2020-21 - Bilag 13: Center mod Menneskehandels årsrapport for 2019, fra ministeren for fødevarer, fiskeri og ligestilling
2273585_0018.png
Et succesfuldt reintegrationsforløb
Filippinske Paolo blev vurderet offer for menne-
skehandel til tvangsarbejde i transportsektoren.
Han rejste til Filippinerne med reintegrationsstøt-
te på en af årets sidste dage i 2018.
I en samtale med CMM i 2020 har Paolo set
tilbage på den reintegrationsstøtte, han mod-
tog fra CMM i 2018 og 2019. Paolo har brugt
reintegrationsstøtten til at starte en lille svej-
seforretning i sin hjemby i Filippinerne. Reinte-
grationsstøtten har dækket indkøb af materialer
til svejseforretningen. Støtten er også gået til
uddannelse til hans søn. For Paolo har reintegra-
tionsstøtten betydet, at han har kunnet opbygge
en bæredygtig forretning, som kan forsørge fa-
milien.
Paolo fortæller, at hans familie var bekymret, da
han kom tilbage til Filippinerne i december 2018.
Selvom de var glade og lettede over, at han kom
tilbage, var de også påvirkede af den udnyttelse,
som han havde været udsat for i Danmark.
Paolo havde taget et lån for at betale et rekrut-
teringsfirma, som havde fået ham til Danmark.
Han skyldte derfor mange penge væk. Familien
var bekymret over at få en traumatiseret mand
med en stor gæld hjem til en uvis fremtid.
Paolos reintegrationsstøtte har været medvirken-
de til, at familiens bekymringer er blevet mindre.
Svejseforretningen har givet Paolo og hans fami-
lie en fornyet tro på fremtiden. På lang sigt er det
Paolos håb, at hans familie får et godt liv.
(Anonymiseret case)
Tendenser og opmærksomhedspunkter
Afrikanske drenge og mænd
Røde Kors, HopeNow, kommunale sagsbehandlere, bi-
standsadvokater og andre aktører har de seneste år
rapporteret om drenge og unge mænd, som kan være
udsat for menneskehandel og udnyttet til at begå straf-
bare handlinger. Typisk er der tale om afrikanske mænd,
som er tvunget til at sælge euforiserende stoffer, og
nordafrikanske drenge og helt unge mænd, som er ud-
nyttet til tyveri og salg af stoffer.
Trods opmærksomhed på, at afrikanske mænd, især fra
Nigeria, kan være udsat for udnyttelse til salg af stof-
fer, blev ingen afrikanske mænd vurderet som ofre for
menneskehandel til strafbare handlinger i 2019. I inter-
viewet med HopeNow på side 20 peges der på de sær-
lige udfordringer, der er forbundet med at identificere
mænd, der bliver udnyttet til strafbare handlinger, som
ofre for menneskehandel.
Kinesiske ansatte på restaurationer
I løbet af 2019 modtog CMM flere henvendelser fra
Skattestyrelsen, politiet og 3F om kvinder og mænd,
primært fra Kina, som kunne være ofre for menneske-
handel til tvangsarbejde i restaurationsbranchen. Nogle
af de potentielle ofre fortalte, at de var kommet til Dan-
mark gennem rekrutteringsfirmaer i hjemlandet. Andre
var rejst ind i Danmark via opholdstilladelse i andet
Schengenland. I flere tilfælde var der søgt om opholds-
og arbejdstilladelse.
Flere af de personer, som CMM var i kontakt med, hav-
de fået løfter om et velbetalt arbejde på en restaurant
og gode boligforhold til rådighed, men virkeligheden
viste sig at være en anden. I stedet skulle de arbejde uri-
meligt mange timer, og de fik ikke den løn, der svarede
til arbejdsindsatsen. De arbejdede og boede ofte på et
og samme sted, og flere var huset sammen under trange
og usle kår.
Samlet tegnede der sig et billede af en sårbar og presset
gruppe, som var meget tilbageholdende med at fortælle
om deres situation. Det gjorde det svært at udrede dem
for menneskehandel. De identifikationssamtaler, som
blev afholdt med de potentielle ofre, resulterede derfor
ikke i, at de blev vurderet som ofre for menneskehandel,
selvom der var visse indikatorer på menneskehandel.
CMM og andre aktører er fortsat opmærksomme på
denne målgruppe.
18
Menneskehandel i Danmark 2019
LIU, Alm.del - 2020-21 - Bilag 13: Center mod Menneskehandels årsrapport for 2019, fra ministeren for fødevarer, fiskeri og ligestilling
2273585_0019.png
Familiesammenførte kvinder
Inden for de seneste år har CMM fået flere henvendel-
ser om familiesammenførte kvinder, som er potentielle
ofre for menneskehandel. Fælles for sagerne er, at kvin-
derne er blevet udnyttet af deres ægtemand til husar-
bejde eller seksuelle ydelser, at de var helt isoleret fra
omverdenen, og at de havde været udsat for fysisk eller
psykisk vold.
CMM har set en stigning i antallet af henvendelser om
kvinder, der er udnyttet i hjemmet i en grad, så der er
tale om menneskehandel. Det kan skyldes et øget fokus
på menneskehandel hos frontpersonale ved kvindekri-
secentre og hos bistandsadvokater, der typisk kommer
i kontakt med kvinderne efter, at de har været udsat for
fysisk eller psykisk vold af deres ægtemænd.
Kvinde udnyttet af ægtemand
Eliza er en af de kvinder, som CMM vurderede
som offer for menneskehandel i 2019. Hun kom
til Danmark som familiesammenført ægtefælle til
en dansk mand, og sagen er dermed et eksempel
på en nyere tendens, hvor familiesammenførte
kvinder udnyttes af den mand, som de er gift
med.
Eliza har fortalt til CMM, at hun oprindeligt fik
kontakt til den danske mand i sit hjemland via
sociale medier. På daværende tidspunkt levede
hun under fattige kår og var alene om at forsøge
sin datter.
Den danske mand lovede hende, at han ville
forsørge hende, hvis hun giftede sig med ham
og kom til Danmark. Han lovede også, at Eliza
kunne gå i skole og lære dansk. Eliza accepterede
tilbuddet, og manden sørgede for transporten
til Danmark for hende og hendes datter. Da de
ankom til Danmark flyttede hun og datteren ind
hos manden, og de søgte efterfølgende om fami-
liesammenføring.
Forholdene i Danmark viste sig imidlertid at være
meget anderledes, end det manden havde lovet
Eliza forud for rejsen. Eliza oplevede, at manden
ændrede adfærd og begyndte at behandle hende
og datteren nedladende og kontrollerende. Hun
blev isoleret i hjemmet, hvor hun arbejdede under
slaverilignende forhold, og hvor manden fastholdt
hende gennem social kontrol, trusler, nedværdi-
gende behandling og psykisk vold.
Som følge af mandens adfærd blev Eliza og hen-
des datter efterfølgende indkvarteret på et kri-
secenter, hvorfra de blev henvist til CMM. Med
udgangspunkt i kvindens forklaring, vurderede
CMM, at hun var offer for menneskehandel.
Årsrapport, Center mod Menneskehandel
19
LIU, Alm.del - 2020-21 - Bilag 13: Center mod Menneskehandels årsrapport for 2019, fra ministeren for fødevarer, fiskeri og ligestilling
2273585_0020.png
Opsøgende arbejde i et gråzonefelt
Siden 2007 har NGO’en HopeNow ydet rådgiv-
ning og beskyttelse til ofre for menneskehandel
i Danmark. Kontakt til målgruppen etableres på
gadeplan og i fængsler i København. Her navi-
gerer HopeNow i et felt, hvor grænsen mellem
at være offer og kriminel tit flyder sammen.
HopeNow har en tillidsbaseret tilgang. Det er en
forudsætning for at kunne bistå en ofte overset
gruppe: De handlede mænd.
Kontakten til kvinderne baner vejen
HopeNow yder rådgivning og støtte til kvinder,
der er ofre for menneskehandel til prostitution.
Som leder og grundlægger, Michelle Mildwa-
ter, fortæller, har kvindernes tillid til HopeNow
banet vej for, at også mandlige ofre for men-
neskehandel tør tage kontakt. Mændene kom-
mer ofte fra samme område, som mange af de
kvinder, HopeNow arbejder med. De mandlige
ofre, som HopeNow møder, har været tvunget til
at begå grov kriminalitet, mens mange af kvin-
derne udnyttes til prostitution.
HopeNow har ansat en medarbejder, der selv
har været offer for menneskehandel. Hun spiller
en afgørende rolle i arbejdet med at identificere
mænd, der har behov for bistand og støtte.
Udvikling af arbejdsmetoder
Vedholdenhed og en ”empowerment”-tilgang er
en integreret del af HopeNows arbejde med ofre
for menneskehandel. Det betyder, at de fokuse-
rer på ofrenes styrke og på at hjælpe dem til at
tage kontrol over eget liv. Organisationen bliver
løbende opmærksom på nye former for menne-
skehandel, når bagmænd forsøger at finde nye
lukrative områder. Indsatsen mod menneskehan-
del tilpasses løbende og nye metoder udvikles i
takt med, at nye tendenser opstår. Det skal sikre,
at der hele tiden kan ydes kompetent bistand og
støtte til målgruppen.
Kønsstereotype og kulturelle udfordringer
HopeNow oplever, at kønsstereotype antagelser
om, at ofre for menneskehandel er synonymt
med kvinder handlet til prostitution, kan skabe
udfordringer i forhold til at skabe kontakt med de
mandlige ofre. Det drejer sig bl.a. om forestillin-
ger om, at kvinder udgør en mere sårbar gruppe
end mænd. Denne antagelse betyder, at det kan
være sværere at få mændene til at betragte sig
selv om ofre, og til at tale om den udnyttelse, de
har været udsat for.
Mændene bærer ofte kulturelle strukturer med
sig fra overvejende patriarkalske samfund, og
HopeNow oplever, at mændene ofte finder det
vanskeligt og skamfuldt at måtte indrømme, at
drømmen om et arbejde i Europa endte i et ud-
nyttelsesforhold.
Kriminelle ofre
Mange af de mandlige ofre for menneskehandel,
som HopeNow har kontakt til, bliver udnyttet
til salg af stoffer. For HopeNow er de kriminelle
forhold underordnede. De fokuserer i stedet på,
hvordan man konkret kan hjælpe den enkelte
gennem en ikke-fordømmende tilgang. Michelle
Mildwater vurderer, at etablering af sikre, spe-
cialiserede indkvarteringstilbud til mandlige ofre
for menneskehandel er afgørende for at kunne
varetage målgruppens behov bedst muligt. Eks-
tra ressourcer og specialiserede tilbud kan ifølge
HopeNow imidlertid ikke stå alene. Det er også
vigtigt, at indsatsen tager højde for, at kulturelle,
kønsspecifikke og psykologiske mekanismer på-
virker mænd og kvinder forskelligt, også når der
er tale om menneskehandel.
HopeNows arbejde med ofre for menneske-
handel er finasieret af Handlingsplan til
bekæmpelse af menneskehandel 2019-2021.
Artiklen er baseret på interview af HopeNow
ved direktør, Michelle Mildwater, og bestyrel-
sesformand, Lilian Vigslund.
LIU, Alm.del - 2020-21 - Bilag 13: Center mod Menneskehandels årsrapport for 2019, fra ministeren for fødevarer, fiskeri og ligestilling
2273585_0021.png
Efterforskning og retsforfølgelse
Politiet og anklagemyndigheden har fokus på efterforsk-
ning og retsforfølgning af sager om menneskehandel.
Der er rejst tiltale for menneskehandel mod syv perso-
ner i 2019. Det samme år har der været 14 sigtelser og
ingen domfældelser for menneskehandel i Danmark.
Når en person vurderes at være offer for menneskehan-
del, informerer CMM offeret om, at vedkommende er
offer for en forbrydelse og har ret til bistand og støtte
under handlingsplanen.
Når et offer for menneskehandel er kommet væk fra
bagmanden og har haft mulighed for at restituere sig på
et sikkert indkvarteringssted, vejleder CMM offeret om
at anmelde eller videregive oplysningerne om bagman-
den og udnyttelsesforholdet til politiet. CMM kan bistå
med at indgive en anmeldelse eller sørge for videregive
oplysningerne til politiet.
Anklagemyndigheden har udformet pjecen
’Råd
og vej-
ledning. Til dig der arbejder med ofre for menneskehan-
del’. I pjecen beskrives bl.a. processen, hvis et offer for
menneskehandel ønsker at afgive forklaring som vidne
i retten eller skal indenretligt afhøres, og hvilke mulig-
heder offeret har for at få en bistandsadvokat eller søge
erstatning. Folderen kan findes på CMM’s hjemmeside
www.cmm.dk under ’Materialer’.
Motivere ofre til at anmelde bagmænd
CMM’s første møde med et potentielt offer for men-
neskehandel er ofte præget af, at personen befinder
sig i en presset situation. Hvis personen er tilbageholdt
af politiet, fx som følge af ulovligt arbejde eller ulovligt
ophold i Danmark, bliver den første udredende samtale
afholdt i fængslet eller på politistationen.
Ved den første samtale er målet at skabe tillid hos offe-
ret til CMM og til øvrige myndighedspersoner. Det kan
også være centralt, at der tidligt i processen lægges en
strategi, som kan begrænse bagmandens påvirkning af
offeret mest muligt. Fx ved at skærme offeret mod de
trusler, som bagmanden har brugt til at fastholde perso-
nen i udnyttelsesforholdet.
Årsrapport, Center mod Menneskehandel
21
LIU, Alm.del - 2020-21 - Bilag 13: Center mod Menneskehandels årsrapport for 2019, fra ministeren for fødevarer, fiskeri og ligestilling
2273585_0022.png
Hvorfor kan sager om menneskehandel være svære at løfte?
Herunder giver specialanklager, Jette Malberg, en juridisk vinkel på de udfordringer, der kan ligge i menne-
skehandelssager:
Fra anklagemyndighedens perspektiv er en af de største udfordringer i sager om menneskehandel at få en
forklaring fra offeret, der kan tjene som bevis i retten. Vidneforklaringer fra de formodede ofre er ofte det
eneste eller det vigtigste bevis i sager om menneskehandel. Særligt beviset for, at den formodede bag-
mand har anvendt et af tvangsmidlerne, kan typisk kun beskrives af offeret.
Det kan ofte være vanskeligt at få en vidneforklaring fra et offer, enten fordi personen er bange for bag-
manden, eller fordi vedkommende frygter for repressalier, hvis han/hun fortæller politiet om udnyttelsen.
I mange tilfælde er ofrene også bange for myndighederne, fx fordi de ikke har lovligt opholdsgrundlag i
Danmark, eller fordi de frygter, at de selv kan blive straffet.
Det forhold, at der stort set altid er tale om udenlandske ofre, som i nogle tilfælde kan være forsvundet,
inden sagen er færdigefterforsket, er også medvirkende til, at det kan være svært at sikre beviserne i sa-
ger om menneskehandel. Det kan eksempelvis være meget vanskeligt at finde og afhøre ofre, der befinder
sig i udlandet.
Anklageren vil typisk tidligt i efterforskningsfasen overveje, om der skal ske en forudgående afhøring af de
ofre, som skal føres som vidner under en eventuel kommende straffesag (en såkaldt indenretlig afhøring).
Hvis politiet vurderer, at der er risiko for, at et offer rejser ud af landet inden retsmødet, skal anklagemyn-
digheden således, inden der rejses tiltale, afhøre ofret indenretligt for at sikre vidneforklaringen som bevis
i sagen.
Hvis en indenretlig afhøring er foretaget på et tidligt stadie i sagen, kan den imidlertid være ganske man-
gelfuld, og den vil i de tilfælde ikke kunne tjene som eneste bevis i sagen. Selvom der foretages en inden-
retlig afhøring, er udgangspunktet forsat, at vidnet skal møde op til retsmødet og afgive forklaring. Men
der kan som udgangspunkt ikke stilles krav om, at vidner, der befinder sig i udlandet, skal deltage ved et
retsmøde i Danmark.
Sager om menneskehandel er ofte transnationale, hvilket forudsætter, at der etableres et internationalt
samarbejde med henblik på bevissikring, opsporing af vidner og udbytte mv., hvilket også kan være med
til at besværliggøre og forlænge behandlingen af sagerne.
Eksempel på en sag, hvor det lykkedes at få bagmænd dømt for menneskehandel
I den såkaldte
Operation Hvepsebo-sag
fra 2015, der er den hidtil største sag om menneskehandel i Dan-
mark, var der en række faktorer, der set fra anklagemyndighedens perspektiv var medvirkende til, at det
lykkedes af få bagmændene dømt.
I sagen blev efterforskningen fra starten tilrettelagt i samarbejde med anklagemyndigheden, og som led i
efterforskningen blev der oprettet et såkaldt Joint Investigation Team (JIT) med Rumænien, hvorigennem
der blev udvekslet oplysninger til gavn for efterforskningen i begge lande. I sagen blev relevante aktører
bl.a. CMM, Udlændingestyrelsen og Skattestyrelsen også inddraget tidligt i processen. Efter anholdelsen af
bagmændene gennemførte anklagemyndigheden desuden adskillige indenretlige afhøringer af de formo-
dede ofre med henblik på bevissikring.
22
Menneskehandel i Danmark 2019
LIU, Alm.del - 2020-21 - Bilag 13: Center mod Menneskehandels årsrapport for 2019, fra ministeren for fødevarer, fiskeri og ligestilling
2273585_0023.png
’Projekt Menneskehandel’ i Skattestyrelsen
Skattestyrelsen oprettede i 2011 ’Projekt Menneskehandel’, som har fokus på samfundsbeskyttende
aktiviteter i forhold til menneskehandel. Projektet har til formål at understøtte politiets indsats mod men-
neskehandel bl.a. ved at bistå med at identificere mulige ofre for menneskehandel til prostitution, tvangs-
arbejde og strafbare forhold.
Menneskehandel udspringer ofte af organiseret kriminalitet, hvor bagmændene foruden menneskehandel
også begår identitetssvindel, økonomisk kriminalitet, databedrageri og rufferi. Projekt Menneskehandel
har derfor til mål at bekæmpe og begrænse bagmændenes økonomiske gevinst.
Skattestyrelsen udfører kontrolbesøg mod potentielle bagmænd i samarbejde med politiet og foretager
derefter opfølgende sagsbehandling. Kontrolbesøgene har ved flere lejligheder resulteret i, at potentielle
ofre for menneskehandel er blevet henvist til udredning hos CMM.
Skattestyrelsen kan også bidrage med oplysninger, som kan bruges i forbindelse med en retssag mod bag-
manden.
Skattestyrelsen samarbejder med andre myndigheder inden for menneskehandelsområdet ved fælles
myndighedsaktioner. Skattestyrelsen deltager derudover i de regionale referencegrupper samt den natio-
nale referencegruppe til bekæmpelse af menneskehandel.
Årsrapport, Center mod Menneskehandel
23
LIU, Alm.del - 2020-21 - Bilag 13: Center mod Menneskehandels årsrapport for 2019, fra ministeren for fødevarer, fiskeri og ligestilling
2273585_0024.png
Koordination og vidensdeling
En lang række myndigheder og aktører er involveret i
at forebygge og bekæmpe menneskehandel i Danmark.
Det er bl.a. politiet, organisationer under handlingspla-
nen, Arbejdstilsynet, Udlændingestyrelsen, Styrelsen for
International Rekruttering og Integration og forskere på
området. I dette afsnit belyses CMM’s arbejde med at
koordinere og dele viden om menneskehandel i forskelli-
ge samarbejdsfora både nationalt og internationalt.
De forskellige samarbejdsfora skal sikre deling af viden
om nye tendenser, strategier og procedurer.
For yderligere information om samarbejdsfora se CMM’s
hjemmeside www.cmm.dk under ’Om os’.
Opkvalificering af fagpersoner
CMM indsamler og formidler viden om menneskehandel.
Formålet med formidlingsaktiviteterne er, at flere ofre
for menneskehandel opspores og identificeres og derved
får adgang til tilbud om bistand og støtte.
Undervisningsaktiviteter
Undervisning og oplæg er med til at opkvalificere fag-
personer, så de får kendskab til tegn og signaler på
menneskehandel og ved, hvordan de skal agere, hvis de
får mistanke om, at der finder menneskehandel sted.
Samarbejdsfora
Der er etableret en række forskellige mødefora, som skal
styrke samarbejdet og koordination mellem relevante
aktører i Danmark. I 2019 blev der fx afholdt møder i:
Myndighedsgruppen til bekæmpelse af tvangsarbejde
Indsatsgruppen mod prostitutionsbagmænd i Jylland
og på Fyn
Opsøgende forum for sundheds- og socialfagligt ud-
gående personale
Samarbejdsmøder mellem CMM og NGO’er.
24
Menneskehandel i Danmark 2019
LIU, Alm.del - 2020-21 - Bilag 13: Center mod Menneskehandels årsrapport for 2019, fra ministeren for fødevarer, fiskeri og ligestilling
2273585_0025.png
I 2019 har CMM undervist og holdt oplæg for
en række myndigheder, herunder nøglepersoner i
politikredsene, politiaspiranter, grænsepoliti, Ud-
lændingestyrelsen, Skattestyrelsen, Arbejdstilsy-
net, dommere og anklagere. CMM har også un-
dervist ansatte på ambassader, sygehuse, sikrede
institutioner, opholdssteder for uledsagede min-
dreårige, fagforbund, virksomheder og NGO’er
samt studerende på socialrådgiveruddannelsen
og jordemoderuddannelsen. CMM stiller som
hovedregel også op, når skoleelever henvender
sig og ønsker viden om menneskehandel.
Internationalt samarbejde
Menneskehandel er i langt de fleste tilfælde en græn-
seoverskridende kriminalitet. Danmark har tiltrådt en
række konventioner og er forpligtet af en række direk-
tiver, der pålægger stater at forebygge og bekæmpe
menneskehandel og yde bistand og støtte til ofre for
menneskehandel.
Danmarks internationale samarbejde har til formål at
forebygge og bekæmpe menneskehandel. Bl.a. deltager
CMM i de faste årlige møder i ’Network of National Rap-
porteurs and/or Equivalent Mechanisms on Trafficking
in Human Beings’ i regi af EU-kommissionens Anti-traf-
ficking Coordinator og OSCE’s (Organization for Security
and Co-operation in Europe) årlige konference, som
samler hundredevis af aktører fra OSCE-landende for at
sætte fokus på bekæmpelse menneskehandel.
Formandskab for Østersørådets Task Force om
menneskehandel
Den 1. juli 2019 overtog Danmark det etårige for-
mandsskab for Østersørådets ekspertgruppe Task Force
om menneskehandel (Task Force against Trafficking in
Human Beings /TF-THB). Task Forcen er en ekspert-
gruppe, der arbejder med at bekæmpe menneskehandel
i Østersøregionen. Fra Danmark deltager Ligestillings-
afdelingen i Miljø- og Fødevareministeriet og CMM i
samarbejdet.
I 2019 afsluttede Task Forcen projektet ’Transnational
Referral Mechanism (TRM) of the Baltic Sea Region,
Bulgaria, Romania and Ukraine’. Projektet har haft fokus
på at udvikle en transnational referencemekanisme, som
skal sikre, at landende har faste procedurer for håndte-
ring af sager med ofre for menneskehandel. I den for-
bindelse er der udarbejdet oversigter over de forskellige
landes menneskehandelsindsatser og kontaktoplysnin-
ger på relevante myndigheder og aktører i Østersøre-
gionen og i Bulgarien, Rumænien og Ukraine, så andre
lande kan komme i kontakt med de rette aktører, hvis
man møder ofre for menneskehandel. Alle informationer
er til at finde på https://bsr-trm.com/
Task Forcen har desuden påbegyndt et projekt, som i
udvalgte lande i regionen, herunder Danmark, skal be-
lyse karakteren af menneskehandel til tvangsarbejde og
udfordringer i relation til retsforfølgelse.
CMM afholdte i november 2019 en temadag for po-
liti og anklagere om mindreårige nordafrikanske ofre
for menneskehandel, der er blevet udnyttet til at begå
strafbare handlinger. Oplægsholdere fra Danmark, Sve-
rige, Belgien og Spanien videregav viden og erfaringer
fra efterforskning og retsforfølgelse af bagmænd, der
udnytter børn og unge fra især Marokko. Temadagen
var arrangeret i samarbejde med Rigspolitiets Efter-
forskningscenter og havde til formål at dele viden og
styrke samarbejdet om drenge og unge mænd, der kan
være ofre for menneskehandel.
Redskaber til at formidle viden om menneskehandel
CMM lancerede i efteråret 2019 en ny hjemmeside på
www.cmm.dk for at styrke CMM’s kommunikation og
formidling af aktuel viden om menneskehandel. Udvalgte
tekster på hjemmesiden er oversat til engelsk. På hjem-
mesiden findes et omfattende materialer om menneske-
handel, eksempelvis vejledninger, videoer, e-læring og
guidelines.
CMM udarbejdede i 2019 en oplysningsfolder målrettet
børn og unge potentielle ofre for menneskehandel. Fol-
deren skal uddeles af fagpersoner, der har samtaler med
børn og unge fx i asylsystemet og på sikrede instituti-
oner. Folderen er holdt i et let og enkelt sprog, der be-
skriver tegn på menneskehandel og tilbud til mindreårige
ofre for menneskehandel. Folderen kan findes på CMM’s
hjemmeside www.cmm.dk under ’Materialer’.
Årsrapport, Center mod Menneskehandel
25
LIU, Alm.del - 2020-21 - Bilag 13: Center mod Menneskehandels årsrapport for 2019, fra ministeren for fødevarer, fiskeri og ligestilling
2273585_0026.png
Projekt ’Nordic Counter Trafficking for Forced
Labour Project’
Det treårige projekt ’Nordic Counter Trafficking for For-
ced Labour Project’ om forebyggelse af menneskehandel
til tvangsarbejde blev afsluttet i efteråret 2019. Nordisk
Ministerråd stod bag projektet, som CMM var projekt-
leder på. Projektets formål var at forebygge menneske-
handel til tvangsarbejde i det private erhvervsliv ved at
styrke den samlede nordiske indsats.
I forbindelse med projektet lancerede CMM i september
2019 ’Undgå skjult tvangsarbejde. Guidelines til virk-
somheder og arbejdsgivere’ om bekæmpelse af men-
neskehandel til tvangsarbejde i det private erhvervsliv.
Guidelines er et oplysnings- og risikostyringsværktøj,
som er udviklet i dialog med en række samarbejdspart-
nere på feltet.
Guidelines blev lanceret i samarbejde med Dansk Initia-
tiv for Etisk Handel. Ved lanceringen deltog bl.a. Nordea,
GLS, Danske Vognmænd, Forsvarsministeriets Materi-
el- og Indkøbsstyrelse, Roskilde Festival, fagforeningen
3F, Fødevarestyrelsen, Københavns Kommune, Aarhus
Kommune og Rigspolitiet.
Guidelines blev endvidere præsenteret ved en konferen-
ce om menneskehandel og virksomheders ansvar i Riga,
som var afholdt af Nordisk Ministerråd og Østersørådet.
Guidelines kan downloades på CMM’s hjemmeside
www.cmm.dk under ’Til virksomheder’.
CMM’s bidrag til Østersørådets ’Round Up Report
2019’
CMM har skrevet artiklen ’Moroccan minors as victims
of human trafficking in Denmark’ om marokkanske dren-
ge og unge mænd, som udnyttes til at begå strafbare
handlinger i Europa. Artiklen fremgår af Østersørådets
Round Up Report 2019, hvor den kan læses i sin fulde
længde på Østersørådets hjemmeside www.cbss.org
Resume af artikel om mindreårige ofre for men-
neskehandel i Østersørådets ’Round up-report’
Udnyttelse af marokkanske drenge og unge
mænd til menneskehandel
Fælles for de marokkanske drenge og unge
mænd, der bliver ofre for menneskehandel, er en
opvækst i fattigdom. De har som regel ingen ud-
dannelse, og de befinder sig i en sårbar og udsat
position uden familie, der kan tage sig af dem. For
at overleve vælger de i en tidlig alder at leve på
gaden. Gadelivet er præget af kriminalitet, vold
og misbrug, og drengene er lette ofre for krimi-
nelle netværk.
Drengene og de unge mænd beskriver, hvordan
de bliver tvunget til at sælge stoffer og fragte
smuglergods ind i Spanien. I Spanien tvinges de til
at sælge euforiserende stoffer, og de bliver træ-
net til at begå tyveri og indbrud. Drengene og de
unge mænds fortællinger stemmer overens med
informationer fra myndigheder i andre europæi-
ske lande, som CMM har været i kontakt med.
Bagmændene benytter sig af forskellige midler til
at kontrollere og fastholde de unge i udnyttelsen,
som truende og voldelig adfærd og seksuelle
overgreb. Bagmændene tilbyder gratis stoffer,
der fungerer som et kontrolmiddel. Drengene og
de unge mænd bliver belønnet af bagmændene
med stoffer, fester eller alkohol, og undertiden
tilbydes endda unge piger som en belønning, når
de unge mænd har haft succes med fx indbrud.
Der er også eksempler på tvungen prostitution
og produktion af pornografisk materiale, som en
måde at straffe ofrene på.
En af de centrale udfordringer i sagerne er, at de
unges ”gadeadfærd” og kriminalitet kan vanske-
liggøre at identificere dem som ofre for menne-
skehandel. Det gør det svært at yde dem bistand
og støtte.
Et styrket samarbejde og udveksling af erfaringer
mellem relevante nationale aktører og på tværs
af Europa kan være en løsning fremadrettet.
26
Menneskehandel i Danmark 2019
LIU, Alm.del - 2020-21 - Bilag 13: Center mod Menneskehandels årsrapport for 2019, fra ministeren for fødevarer, fiskeri og ligestilling
2273585_0027.png
Indsatser i 2020
Menneskehandelsområdet er i konstant forandring, og
det kan derfor være svært at forudsige, hvad den kom-
mende tid vil bringe. CMM og de øvrige aktører arbejder
målrettet på at tilpasse indsatserne efter de nyeste ten-
denser og udfordringer.
Denne rapport har sat fokus på menneskehandel i Dan-
mark i 2019 ved at dele viden og erfaringer, samt den
nyeste statistik på feltet. Med afsæt i nogle af de ten-
denser, som er beskrevet i rapporten, prioriterer CMM i
2020 blandt andet følgende indsatser:
tencer på feltet. CMM vil udarbejde et notat om god
praksis ved fælles myndighedsaktioner med afsæt i
erfaringer fra samarbejde på området. En tværmini-
steriel arbejdsgruppe analyserer sårbare udenlandske
arbejdstageres forhold i Danmark i løbet af 2020.
I 2020 overtager den nye hjemrejsestyrelse forbe-
CMM har igangsat et initiativ om bekæmpelse af
redte hjemsendelser af ofre for menneskehandel.
CMM samarbejder med Hjemrejsestyrelsen om at
implementere en ny hjemsendelseskontrakt og etab-
lere nye samarbejdsrelationer i modtagerlande om
reintegration af ofre for menneskehandel.
menneskehandel online, da ofre for menneskehandel
oftere og oftere fortæller om at være rekrutteret,
udnyttet eller truet via eksempelvis ny teknologi og
sociale medier. Initiativet har til formål at opbygge
viden og indgå samarbejde med relevante aktører,
som kan bistå med at forebygge og bekæmpe men-
neskehandel online. CMM etablerer et netværk med
deltagelse af bl.a. særlige enheder inden for politiet,
Skattestyrelsen og Digitaliseringsstyrelsen samt pri-
vate aktører som PwC, MobilePay og Microsoft.
CMM er fortsat opmærksom på problematikken med
CMM har fortsat fokus på menneskehandel til
tvangsarbejde og øger i 2020 samarbejdet med
relevante myndigheder, bl.a. Arbejdstilsynet, om at
styrke indsatsen og sikre opkvalificering af kompe-
udenlandske kvinder, der bliver rekrutteret via ægte-
skab, og som udnyttes af deres ægtefæller seksuelt,
økonomisk og til børnefødsler under slaverilignende
forhold. Denne målgruppe kræver højt specialiserede
indkvarteringstilbud og et tæt samarbejde mellem
involverede parter. Gennem undervisning og vi-
dendeling i eksisterende netværk og mødefora om
menneskehandel på tværs af landet vil CMM sikre, at
aktører, som kan komme i kontakt med kvinderne, får
viden om tegn og signaler på menneskehandel, som
knytter sig specifikt til denne målgruppe. Det gælder
eksempelvis krisecentre, kommunale medarbejdere,
bistandsadvokater og myndigheder, der arbejder med
familiesammenføring.
Årsrapport, Center mod Menneskehandel
27
LIU, Alm.del - 2020-21 - Bilag 13: Center mod Menneskehandels årsrapport for 2019, fra ministeren for fødevarer, fiskeri og ligestilling
2273585_0028.png
Socialstyrelsen
Edisonsvej 1
5000 Odense C
Tlf.: 72 42 37 00
www.socialstyrelsen.dk
Oktober 2020