Klima-, Energi- og Forsyningsudvalget 2020-21
KEF Alm.del Bilag 38
Offentligt
2267578_0001.png
KLIMAPROGRAM
2020
2020
KEF, Alm.del - 2020-21 - Bilag 38: Klimaprogram 2020 i web-tilgængelig version KEF, Alm.del - 2020-21 - Bilag 38: Klimaprogram 2020 i web-tilgængelig version
Klimaprogrammets indhold
Danmark som grønt foregangsland – Klimalovens år 0
Grønne milepæle siden regeringsskifte
1. Resumé og anskueliggørelse
2. Klimaloven
3. Seneste klimavidenskabelige udvikling
4. Status for opfyldelse af Danmarks nationale klimamål og internationale forpligtelser
5. Principperne for den grønne omstilling
• 5.1 En klog og effektiv klimaindsats
• 5.2 Afkobling af vækst og drivhusgasudledninger
• 5.3 Fremtidige eksportmuligheder
4
6
8
24
28
36
44
44
48
49
6. Tværgående indsatser på klimaområdet
• 6.1. Regeringens klimapolitiske arbejdsmetode
• 6.2 Tværgående EU-initiativer og -tilgang
• 6.3. Grøn forskningsstrategi
• 6.4. Danmarks Grønne Fremtidsfond
• 6.5. Grøn skattereform
52
52
56
58
60
61
7. En klog grøn omstilling
• 7.1 Energi- og industrisektoren
• 7.2 Affaldssektoren
• 7.3 Transportsektoren
• 7.4 Land- og skovbrugssektoren
• 7.5 Klimavenlig adfærd
64
64
76
83
94
101
8. Global strategi
9. Klimarådets anbefalinger og regeringens stillingtagen
104
112
KEF, Alm.del - 2020-21 - Bilag 38: Klimaprogram 2020 i web-tilgængelig version
2267578_0004.png
4
KLIMAPROGRAM 2020
Danmark som grønt
foregangsland –
Klimalovens år 0
Selvom Danmark er et lille land, har vi store kli-
maambitioner: Frem mod 2030 skal vi reducere
vores udledninger af drivhusgasser med 70 pct.,
og senest i 2050 skal Danmark være klimaneu-
tralt. At vi er et lille land ses også på størrelsen
af vores drivhusgasudledninger, der blot udgør
0,1 pct. af de globale udledninger. Selv hvis vi
valgte at lukke alle vores industrivirksomheder,
flytte landbruget til udlandet og fjerne alle ben-
zinbilerne fra vejene, vil det ikke have mærkbare
konsekvenser for det globale klima.
Når vi alligevel har ambitionen om, at Danmark
skal være et grønt foregangsland, handler det om,
at vi kan gøre en reel forskel for klimaet ved at
få andre lande til at følge vores eksempel. Derfor
er det heller ikke ligegyldigt, hvordan vi indretter
vejen til 70 pct. Skal resten af verden vælge en
ambitiøs klimavej, skal den være attraktiv at gå.
Spørgsmålet er, hvordan vi bedst viser vejen.
Regeringen mener, at Danmark skal inspirere til
forandring ved at gå forrest. Vi skal vise, at de
høje ambitioner kan omsættes til konkret hand-
ling. Vi skal vise, at det er muligt at gennemføre
en grøn omstilling, der understøtter vækst og
velfærd. Og vi skal udvikle de grønne teknolo-
giske løsninger, som verden har brug for. Kort
sagt vil regeringen føre en klimapolitik, der på
én gang er i social balance, økonomisk ansvarlig
og ambitiøs. Det er vores rettesnor, som skal
sikre et socialt retfærdigt, trygt og bæredygtigt
velfærdssamfund.
Vi står nu i klimalovens år 0: De næste 10 år skal
vi reducere udledningerne ligeså meget, som
vi har gjort over de sidste 30 år. Der er mange
forskellige veje til at nå 70 pct.-målet. Uanset
hvilken vej vi vælger, vil der følge omkostninger
med. Det vil især blive omkostningsfuldt, hvis vi
alene fokuserer på kortsigtede løsninger. Derfor
er det afgørende, at vi allerede nu tænker frem
i tiden og lægger de langsigtede spor, vi senere
kan gå på. Grundlæggende handler det om, at
vi allerede i dag skal investere i udvikling af
nye teknologier og udvikle nye virkemidler, der
inden 2030 kan være til at sikre de nødvendige
reduktioner.
Selvom klimakrisen er affødt af industrisam-
fundets fossile teknologier, er løsningen ikke
at skrue tiden tilbage. I stedet skal vi videreud-
vikle eksisterende grønne teknologier og satse
på fremtidens nye klimaløsninger som eksem-
pelvis fangst, lagring og anvendelse af CO
2
. Det
kræver, at vi tør vælge nogle teknologier til og
andre fra. Vi skal selvsagt ikke vælge i blinde.
Men hvis vi skal blive førende på et område,
kræver det, at vi fokuserer indsatsen. Præcis
som vi tidligere gjorde med vindenergi, hvor
fremsynede politikere og et visionært erhvervs-
liv prioriterede midler til forskning og udvikling
af teknologien. Det var ikke uden omkostninger,
men en klog investering. I dag er tusindvis af
danskere beskæftiget inden for vindenergi, og
industrien eksporterer for mere end 50 milli-
arder kroner årligt til gavn for klimakampen
verden over.
Samlet set og i tråd med Klimarådet mener
regeringen, at vejen til 70 pct.-målet går ad to
spor: Et implementeringsspor og et udviklings-
spor. Implementeringssporet har fokus på de
kendte virkemidler, som er nødvendige for at
komme det første stykke ad vejen. I det spor
skal vi investere klogt i løsninger, som vil redu-
cere udledningerne på den korte bane, og vi er
allerede i gang. Vi skal bl.a. udskifte gas- og
oliefyr, udtage lavbundsjorde, gøre vores boli-
ger energieffektive, udfase kul og genanvende
vores affald. Alt sammen tiltag, som vil levere
en reduktionseffekt på den korte bane. Gennem
det seneste år er der i Danmark truffet beslut-
ninger, der samlet sikrer drivhusgasreduktioner
på ca. 5 mio. ton CO
2
e. Det svarer til en fjerde-
del af det, vi skal nå i 2030.
KEF, Alm.del - 2020-21 - Bilag 38: Klimaprogram 2020 i web-tilgængelig version
2267578_0005.png
DAnMARK sOM GRønt fOReGAnGsLAnD – KLIMALOvens åR 0
5
I udviklingssporet skal vi tage beslutninger nu,
velvidende at vi først kender de konkrete resul-
tater på den lidt længere bane. Netop det spor
stiller årets klimaprogram skarpt på. I foråret
tog vi vigtige skridt, da vi med sektorstrategi-
erne for affald samt for energi og industri valgte
at investere i CO
2
-fangst, energiøer og Pow-
er-to-X. Det er beslutninger, som ikke leverer en
reduktionseffekt med det samme. Men det er
nødvendige beslutninger, som skal sikre, at tek-
nologierne modnes og leverer de reduktioner, der
på længere sigt får os i mål. For at understøtte
udviklingssporet har vi samtidig lanceret en grøn
forskningsstrategi, der skal fokusere forsknings-
indsatsen på de områder, hvor der er størst grønt
potentiale for teknologiudvikling.
Vejen til 70 pct.-målet handler ikke alene om
regeringens og Folketingets indsats. Det er en
fælles samfundsopgave, hvor borgere, kommu-
ner, fagbevægelse, civilsamfund og erhvervsliv
skal spille en aktiv rolle. Det kræver, at vi gen-
tænker måden, hvorpå vi laver klimapolitik.
Derfor har regeringen etableret 13 klimapartner-
skaber med erhvervslivet, som er kommet med
flere end 400 anbefalinger til den grønne omstil-
ling. Samtidig har vi nedsat et klimaborgerting
med 99 borgere, der giver danskerne mulighed
for at komme med konkrete anbefalinger til kli-
mapolitikken. Vi har også givet klimapolitikken
en markant større vægt i regeringens øvrige
arbejde og integreret grønne hensyn på tværs
af alle politikområder. Vi har bl.a. nedsat et
regeringsudvalg for grøn omstilling, sat gang i
arbejdet med grønne regnemodeller og lavet en
vejledning til at beregne udledningskonsekven-
serne af alle relevante lovforslag.
2020 har været et særligt år, der vil blive husket
for COVID-19-krisens menneskelige og økono-
miske omkostninger. Det vil være uansvarligt
ikke at forholde sig til de konsekvenser, som den
største internationale krise siden 2. verdenskrig
har medført. Vi står foran en enorm opgave med
at genoprette verdensøkonomien. Men vi står
også med en unik mulighed for at finde en grøn
vej ud af krisen. Derfor skal vi gøre den grønne
omstilling til motoren i den økonomiske gen-
opretning. Det kræver handling også uden for
Danmark. Regeringen har derfor sammen med
Det Internationale Energiagentur (IEA) startet
et globalt samarbejde om grøn genopretning af
verdens økonomier. Hertil arbejder vi i EU fortsat
for en ambitiøs klimalov, højere klimamål og et
forbud mod benzin- og dieselbiler, mens vi i FN
presser på for at øge de globale ambitioner, så
verden kan indfri Parisaftalens klimamål.
I Danmark har vi med klimaloven lagt grundste-
nen for den danske klimapolitik. Ikke kun for de
næste 10 år, men helt frem til 2050. Netop fordi
vi skal investere langsigtet og udvikle nye tek-
nologier til gavn for hele verden, skal vi allerede
nu turde at træffe beslutninger, der rækker frem
i tid. Regeringen vil derfor i løbet af 2020 – kli-
malovens år 0 – fremlægge sektorstrategier for
alle samfundets sektorer. Vi håber at fortsætte
det meget brede samarbejde om klimaet – ikke
blot med de folkevalgte på Christiansborg – men
sammen med borgere, erhvervslivet og civilsam-
fundet i hele Danmark. .
September 2020
Klima-, Energi- og Forsyningsminister
Dan Jørgensen
KEF, Alm.del - 2020-21 - Bilag 38: Klimaprogram 2020 i web-tilgængelig version
2267578_0006.png
6
KLIMAPROGRAM 2020
Grønne milepæle siden
regeringsskifte
I det seneste år er der samlet set truffet beslutninger i Danmark, der vil
reducere udledningerne med 5 mio. ton CO
2
e i 2030.
2019
August
Grønt regeringsudvalg
Oktober
Udnævnelse af Danmarks første
klimaambassadør
Bedre forhold for naboer til fremtidens
vindmøller og solceller
Grønne initiativer på finansloven for 2020
Grøn Fremtidsfond 25 mia. 
1 milliard ekstra til grøn forskning
Fond til udtagning af landbrugsjord – 2 mia. frem til 2029
100 mio. kr. til klimaskovfond
Styrkelse af Klimarådet – 10 mio. i 2020 og 15 mio. årligt fra 2021 til 2023
20 mio kr. til udlægning af urørt skov
75 mio. kr. til grønne busser og taxikørsel
Elbiler – annullering af afgiftsstigninger og fremme af grønne firmabiler
Tredobling af afgifter på engangsservice og bæreposer
Grønne obligationer
Styrkelse af det grønne diplomati (5 mio. kr. årligt i 2020-2021)
150 mio. kr. til klimabistand
Hurtigere sagsbehandling i energiklagenævnet
200 mio. kr. til udtagning af landbrugsjord i de næste 10 år.
50 mio. kr. i 2020 til en pulje til at fremme cyklisme.
Forundersøgelser til energiøer (65 mio. kr. fra 2020-22)
Genindførelse af afgifter på PVC, PCV-folier og ftalater
Lancering af nyt Klimaatlas
November
13 Klimapartnerskaber
December
Aftale om klimalov
Udmøntning af støtte til to storskala
PtX-projekter
KEF, Alm.del - 2020-21 - Bilag 38: Klimaprogram 2020 i web-tilgængelig version
2267578_0007.png
GRønne MILePæLe sIDen ReGeRInGssKIfte
7
2020
Danmark samler i alt 12 lande bag brev til
EU-Kommissionen, der opfordrer til højere
klimamål
Marts
April
Aftale om udmøntning af grøn
transportpulje i 2020 (75 mio. kr.)
IEA og Danmark tager initiativ til global
diskussion om grøn genopretning
Danmark samler i alt 20 EU-lande, der stiller
krav om grøn genopretning
Maj
Aftale om klimatilpasning
Grøn boligaftale, der vil renovere almene
boliger for 30 mia. kr.
Udmelding om kulstop på Fynsværket
Klimaplan for en grøn affaldssektor og
cirkulær økonomi
Øget og strømlinet affaldssortering
Mere genanvendelse af plastikaffald
En stærk genanvendelsessektor
Mindre forbrænding og mindre import af affald til forbrænding
Mindre affald og mere cirkulær økonomi
En energi- og klimaneutral vandsektor
Yderligere initiativer frem mod en klimaneutral affaldssektor
Etablering af verdens første energiøer
Overgang til markedsdrevet udbygning af solceller og landvind
Fremtidens grønne teknologier – Power-to-X og fangst af CO
2
Grøn omstilling af industrien
Støtte til biogas og andre grønne gasser
Energieffektiviseringer
Grøn omlægning af varmeafgifter
Fremme af udnyttelse af overskudsvarme
Udfasning af individuelle olie- og gasfyr
Grøn fjernvarme
Bæredygtighedskrav til biomasse til energi
Grøn transportpulje
Transportforhandlinger
Udvikling af bedriftsregnskaber i landbruget
Forhandlinger om grøn skattereform
Juni
Vedtagelse af klimalov
PtX-aftale med Nederlandene
Klimaaftale for energi og industri
Samarbejdsaftale med kommuner
om grøn kollektiv trafik
Nedsættelse af Borgerting
September
Vejledning om vurdering af konsekvenser for
klima, miljø og natur
Udmelding om nye tværgående
samarbejder med klimapartnerskaberne
Implementering af klimainitiativer fra
Klimaaftale for energi og
industri
mv. 2020
Fælles metode for måling af drivhusgasudledninger
Mere klimavenlig kost
Udvikling af grønne kompetencer i arbejdsstyrken
Samarbejdsaftale med Aalborg Portland
Klimaudspil for vejtransport
Grøn forskningsstrategi
Langsigtet global klimastrategi
KEF, Alm.del - 2020-21 - Bilag 38: Klimaprogram 2020 i web-tilgængelig version
2267578_0008.png
8
KLIMAPROGRAM 2020
1. Resumé og
anskueliggørelse
Klimaloven fastsætter et mål om, at Danmark skal reducere drivhusgasudledningen med 70 pct. i 2030
i forhold til niveauet i 1990. På længere sigt skal Danmark være et klimaneutralt samfund i senest 2050.
Klimaloven fastslår samtidig, at klimaindsatsen skal ske under hensynstagen til en række guidende prin-
cipper, jf. boks 1 og kapitel 2.
Boks 1
Guidende
principper for
klimaindsatsen, jf.
Aftale om klimalov
”Klimaindsatsen skal ske under hensynstagen til en række guidende principper: Klimaudfordringerne er en
global problemstilling. Derfor skal Danmark være et foregangsland i den internationale klimaindsats, som kan
inspirere og påvirke resten af verden. Danmark har derudover både et historisk og moralsk ansvar for at gå
forrest. Indfrielsen af Danmark klimamål skal ske så omkostningseffektivt som muligt, under hensyntagen
til både den langsigtede grønne omstilling, bæredygtig erhvervsudvikling og dansk konkurrencekraft, sunde
offentlige finanser og beskæftigelse. Dansk erhvervsliv skal udvikles og ikke afvikles. Danmark skal vise, at vi
kan lave en grøn omstilling og samtidig bibeholde et stærkt velfærdssamfund, hvor sammenhængskraften og
den sociale balance sikres. De tiltag, vi skal anvende for at reducere udledningen af drivhusgasser, skal med-
føre reelle, indenlandske reduktioner, men vi skal samtidig sikre, at danske tiltag ikke blot flytter hele drivhus-
gasudledningen uden for Danmarks grænser.”
Klima-, energi- og forsyningsministeren skal hvert år udarbejde et klimaprogram til Folketinget.
Klimapro-
gram 2020
er det første siden lovens vedtagelse og er dermed det første samlede program, som beskri-
ver, hvordan klima-, energi- og forsyningsministeren vil anskueliggøre, at klimalovens mål kan nås.
Klimaloven indeholder en række krav til indholdet af programmet, jf. boks 2.
Boks 2
Klimalovens
indholdskrav til
klimaprogrammet
§ 7, stk. 2 Klimaprogrammet skal indeholde følgende:
1.
2.
3.
4.
5.
6.
7.
Status på opfyldelse af de nationale klimamål: kapitel 4
Planlagte klimatiltag og virkemidler med effekt på kort og lang sigt og forventet fremtidig effekt heraf:
kapitel 6 og 7
En redegørelse for Klimarådets anbefalinger og klima-, energi- og forsyningsministerens stillingstagen
hertil: kapitel 9
Status på forskning og udvikling af nye klimatiltag: kapitel 6 og 7
Status på klimavidenskabelig udvikling, herunder nyeste rapporter fra IPCC: kapitel 3
Beskrivelse af og status for opfyldelse af internationale klimamålsætninger: kapitel 4
En global klimastrategi: kapitel 8
Vurderingen af, om det kan anskueliggøres, at klimalovens mål nås baseres på en samlet vurdering af
effekterne af initiativer på kort og lang sigt, hvor det for nogle initiativer vil være muligt at estimere en
konkret reduktionseffekt, mens der for andre initiativer foretages en vurdering af forventningerne til reduk-
tionseffekten baseret på faglige antagelser.
Idet klimaindsatsen ifølge klimaloven skal ske under hensyntagen til klimalovens guidende principper,
lægges hensynet til principperne også til grund for ministerens vurdering. Derudover indgår det i ansku-
eliggørelsen, at regeringen – som det fremgår nedenfor - senere i 2020 og også efterfølgende vil frem-
lægge nye initiativer, der skal bidrage til at opnå klimalovens mål.
KEF, Alm.del - 2020-21 - Bilag 38: Klimaprogram 2020 i web-tilgængelig version
2267578_0009.png
1. Resumé Og anskueliggøRelse
9
Status for opfyldelse af klimamål
Danmark har igennem en længere årrække reduceret udledningen af drivhusgasser. Danmark udledte i
2018 54,8 mio. t CO
2
e
1
. Dermed var de samlede udledninger af drivhusgasser i 2018 reduceret med 29
pct. sammenlignet med 1990 (FN’s basisår). Reduktionen er hovedsageligt drevet af udviklingen i energi-
sektoren, hvor udledningerne er faldet med 65 pct. fra 1990 til 2018.
Målet om 70 pct. reduktion i 2030 forudsætter imidlertid, at udledningerne reduceres markant mere
frem mod 2030. For at nå målet skal der sikres samme mængde reduktioner de næste 10 år, som man
har opnået over de seneste 30 år med omstillingen af energisektoren. Med finansloven for 2020, afta-
lerne om sektorstrategier for energi, industri og affald, aftale om grønne boliger, samarbejdsaftalen med
Aalborg Portland og Fynsværkets beslutning om kulstop nedbringes de danske drivhusgasudledninger
med omkring 5 mio. ton CO
2
e i 2030. Det betyder, at der i dag mangler 16,1 mio. ton CO
2
e for at nå målet
om 70 pct. reduktion. Med andre ord har regeringen og brede flertal i Folketinget i samarbejde med bl.a.
erhvervslivet på ét år opnået reduktioner, der svarer til næsten en fjerdedel af det, der skal nås i 2030. Dertil
kommer, at regeringens klimaudspil for vejtransport skønnes at levere yderligere 1 mio. ton CO
2
e i 2030, og
at regeringen i 2020 vil fremlægge yderligere udspil på bl.a. landbrug og til en grøn skattereform.
Regeringen vil følge udviklingen tæt og løbende tage stilling til nye initiativer i takt med den teknologiske
og samfundsmæssige udvikling.
Klimaprogrammet skitserer, hvordan regeringen vil anskueliggøre, at de resterende reduktioner frem mod
2030 og efter opnås.
Figur 1
Samlede
udledninger fordelt
på sektorer 1990-
2030, mio. ton
CO
2
e
90
80
70
60
50
40
30
20
10
0
1990
Landbrug og natur
Transport
2018
Industri
2025
Affald og Spildevand
Energi
2030
70% Målsætning
Regeringens tilgang
Den grønne omstilling er ikke alene godt for klimaet og miljøet, men kan også bidrage til bæredygtig
vækst og nye, grønne arbejdspladser. Samtidig vil en klog og ambitiøs grøn omstilling, hvor der sikres
reelle drivhusgasreduktioner, og hvor der ikke gås på kompromis med velfærdsamfundet og erhvervsli-
vets konkurrenceevne, gøre Danmark til foregangsland. Et foregangsland, der både teknologisk og som
samfund kan vise vejen for andre lande. Hvis andre følger med, kan det mangedoble effekterne af indsat-
sen på de globale udledninger. Derfor er de guidende principper i klimaloven, der sætter rammerne for en
grøn omstilling af Danmark, der er økonomisk ansvarlig og socialt balanceret, centrale for regeringens
tilgang til omstillingen.
Regeringens klimaindsats beror på handling nu gennem investeringer i konkrete virkemidler og i udviklings-
tiltag, der, i tillæg til den generelle teknologiske udvikling, skal reducere omkostningerne ved omstillingen
og sikre konkrete reduktioner frem mod 2030 og efter. Alle de initiativer, der klogt kan gennemføres nu og
her, og som giver drivhusgasreduktioner, skal gennemføres. Men de konkrete virkemidler, hvor implemen-
tering og reduktionseffekter er kendte, kan ikke stå alene. Der mangler omkostningseffektive og skalerbare
virkemidler, der kan få os helt i mål. De nye løsninger kommer ikke af sig selv, men kræver investeringer i
1
2018 er det seneste år, hvor der er udgivet endelig energistatistik.
KEF, Alm.del - 2020-21 - Bilag 38: Klimaprogram 2020 i web-tilgængelig version
2267578_0010.png
10
KLIMAPROGRAM 2020
teknologiudvikling og regulering i dag. Der skal bygges videre på de seneste årtiers succes med at reducere
drivhusgasudledningerne samtidig med fortsat økonomisk vækst, jf. kapitel 5. Satsningen på konkrete vir-
kemidler og udviklingstiltag udgør tilsammen en investeringsvej, der skal sikre, at klimalovens mål opfyldes
samtidig med, at Danmark er et rigt og lige samfund.
Regeringen ser derfor klimaindsatsen som en kontinuerlig indsats, hvor en stor del af beslutningerne tages
først i perioden, men hvor udviklingstiltag senere skal følges op med implementering af konkrete virkemidler.
Beslutninger og effekt følges ikke nødvendigvis ad. For det første har virkemidler, der implementeres nu, en
indfasningstid. Et eksempel er, at
Klimaaftale for energi og industri mv.
medfører en reduktion på 2,7 mio.
ton i 2030, mens effekten er 1,3 i 2025. For det andet vil udviklingstiltag, der sættes i gang i dag, og løbende
følges op af politiske beslutninger, først have en reduktionseffekt på den længere bane. Dertil arbejder rege-
ringen for at styrke rammerne for en klog, grøn omstilling af Danmark gennem en styrket global og europæ-
isk klimaregulering samt partnerskaber med erhverv, kommuner og regioner og civilsamfund. Det vil samlet
resultere i en reduktionskurve, hvor der løbende implementeres reduktionstiltag, men hvor den konkrete
reduktionseffekt indtræffer senere i forpligtelsesperioden, som illustreret i figur 2. Beslutningskurven vil
derimod være stejl i de første år mod 2030, hvilket regeringens vedtagne og planlagte politik illustrerer.
Derfor ses den samlede effekt af regeringens klimahandlingsplan for 2020 først over en årrække. Rege-
ringen vil således nå målene i klimaloven ved at træffe ambitiøse beslutninger allerede i 2020, som giver
konkrete og målbare reduktioner på den korte bane, mens der samtidig sættes gang i en række udvik-
lingstiltag, som skal sikre yderligere reduktioner frem mod 2030 og efter.
En tilgang, der understøttes af klimaloven, og som sikrer, at der løbende og flere gange årligt følges op
på regeringens klimaindsats, således at dansk klimapolitik kontinuerligt er rettet mod opfyldelse af de
nationale klimamål.
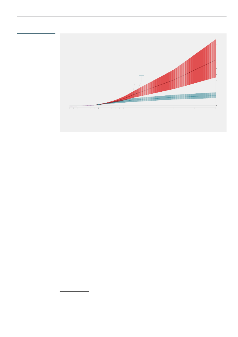
Figur 2
Beslutninger
Effekt
Behov for
beslutninger i dag
for at realisere
reduktioner inden
2030
70%-mål
Beslutning (v.a.)
Effekt (h.a.)
Omkostninger vil falde over tid
Mens samfundet som helhed vil få gavn af de positive effekter for klimaet af en reduktionsindsats, vil der være
omkostninger forbundet med at implementere virkemidler, der kan reducere drivhusgasudledningerne og
bidrage til at nå målet om 70-pct. reduktion i 2030.
De samfundsmæssige reduktionsomkostninger ved realiseringen af 70 pct.-målsætningen er tidligere estimeret
af både Klimarådet og CEPOS til hhv. 15-20 mia. kr. i 2030 og 26 mia. kr. i 2030. I beregningerne blev der taget
udgangspunkt i daværende reduktionsmanko, og en skyggepris på hhv. 800 kr. og 1.370 kr. pr. ton reduceret
CO
2
e
KEF, Alm.del - 2020-21 - Bilag 38: Klimaprogram 2020 i web-tilgængelig version
2267578_0011.png
1. Resumé Og anskueliggøRelse
11
Med udgangspunkt i den nuværende reduktionsmanko på 16,1 mio. ton. i 2030 vil en realisering med en gen-
nemsnitlig skyggepris på ml. 1.000 kr. og 1.500 kr. pr. ton udgøre mellem 16 og 24 mia. kr. og dermed udgøre en
samfundsmæssig reduktionsomkostning på ml. 0,7 - 1,0 pct. af nuværende BNP pr. år. Det skal ses i sammen-
hæng med, at væksten i den danske økonomi gennemsnitligt skønnes til 1,4 pct. årligt frem mod 2030. Samtidig
er det regeringens tilgang, at den grønne omstilling skal ske på en måde, hvor Danmark ikke bliver fattigere. Den
grønne omstilling skal understøtte bæredygtig vækst og nye, grønne arbejdspladser.
Der er stor usikkerhed forbundet med at skønne over de samfundsmæssige reduktionsomkostninger med den
teknologi og regulering, der er tilgængeligt på nuværende tidspunkt. Ovenstående viser imidlertid, at der vil være
store omkostninger forbundet med at skulle implementere konkrete virkemidler til at realisere hele mankoen
tidligt i forpligtelsesperioden. Omkostningerne vil skulle bæres af erhverv, husholdninger og/eller staten afhæn-
gig af valget af virkemidler. Fx pålægger afgifter og teknologispecifikke krav omkostninger for erhverv og forbru-
gere. Tilskud kan kompensere for en sådan omkostning, men medfører samtidig en regning for statskassen, der
i sidste ende vil skulle finansieres af forbrugere og erhverv.
Omkostningerne varierer i høj grad på tværs af områder, bl.a. afhængig af de grønne teknologiers modenhed, jf.
figur 3. I figuren sammenlignes den samlede omkostning for samfundet ved at reducere 1 ton CO
2
e ved et givent
tiltag (den såkaldte skyggepris). Fx har anlæg til at optage CO
2
fra store punktkilder en reduktionsomkostning på
ca. 1.350 kr. pr. ton reduceret CO
2
, mens omkostningerne ved at reducere udledningerne fra personbilstranspor-
ten - afhængig af antallet af elbiler - udgør mellem 200-3.800 kr. pr. ton.
Figur 3
Skyggepris (kr./ton)
-2000
-1000
0
1000
2000
3000
4000
5000
Omkostninger ved
udvalgte grønne
virkemidler i de
enkelte sektorer
Energi og
Industri
Markedsbaseret tilskudspulje til CCS
Udfasning af olie og gasfyr (bl.a. tilskud)
Tilskudspulje til CO2 reduktioner i industrien
Pulje til støtte til biogas og andre grønne gasser
1350
1300
800
1250
-467
918
504
0
260
1270
1300
300
300
800
1.500
200
3800
2000
2500
Affald
Gnsn af virkemidler i klimaplan for affald
Strømligning af sortering og indsamling af erhvervets affald
Loft over lattergasemissioner fra store renseanlæg
Grøn
skattereform
Hæve procesafgift (lav)*
Hæve procesafgift (høj)*
Ændrede afgifter (forhøjet rum-varme, lempet elvarme)**
Landbrug
og skovbrug
Øget fedtandel i foder til konventionelle malkekøer og kvier
Hyppig udslusning af gylle i svinestalde
Øget statslig skovrejsning
Yderligere statslig skovrejsning
Målrettet kvælstofsregulering (3.500 t kvælstofsreduktion)
Transport
Omlægning af bilbeskatning (�½ mio. elbiler i 2030)
Omlægning af bilbeskatning (1 mio. elbiler i 2030)
Regulering af VE-brændstoffer (6 pct. reduktionskrav)
Regulering af VE-brændstoffer (10 pct. reduktionskrav)
Anm.:Skyggepris vedr. omlægning af bilbeskatning er angivet for 2030-nyregistreringsårgangen. Skyggeprisen er højere ved fx 2021-nyregistreringsårgangen. *Skyggepriserne
for at hæve procesafgifterne angiver marginale skyggepriser. ** Marginal skyggepris vedr. rumvarme. For elvarme er skyggeprisen negativ.
Kilde: Skatteministeriet, Klima-, Energi- og Forsyningsministeriet og Miljø og Fødevareministeriet.
Samtidig fremgår det af figur 3, at skyggepriserne ved den grønne omstilling generelt er højest i trans-
portsektoren og lavere i fx landbrug og industrisektoren. Hertil kommer, at der er betydelige forskelle for
de enkelte erhvervssektorers mulighed for at reducere udledningerne. Selv om skyggepriserne er lavere i
landbruget end i transportsektoren, vil en forceret omstilling via høje krav og afgifter på dette område også
indebære en stor risiko for, at drivhusgasudledningerne i stedet flytter til udlandet. En sådan konsekvens
er hverken til fordel for Danmark eller klimaet. Endvidere kendes alle konkrete virkemidler endnu ikke til at
opfylde 70 pct.- målsætningen,
men regeringens udviklingsindsats anviser vejen derhen.
Generelt forventes omkostningerne imidlertid at falde over tid. Det skyldes, at teknologierne bliver mere
udviklede og globalt udbredte, på samme måde som at prisen på fx havvind, solceller og batterier er
faldet kraftigt i de seneste år, jf. kapitel 5.1. Virkemidler, som i dag er kendte, men omkostningstunge,
forventes dermed at kunne udvikles til at blive mere omkostningseffektive senere i forpligtelsesperioden.
KEF, Alm.del - 2020-21 - Bilag 38: Klimaprogram 2020 i web-tilgængelig version
2267578_0012.png
12
KLIMAPROGRAM 2020
Regeringens klimapolitik
Regeringens klimapolitik er i tråd med Klimarådets vurdering baseret på to spor: Implementering og udvikling.
Implementeringssporet
består af beslutninger om en række indsatser, som medfører konkrete drivhusgasreduk-
tioner på den korte og lange bane inden for alle sektorer, jf. næste afsnit.
Udviklingssporet
består af flere sideløbende indsatser. For det første igangsætter regeringen allerede i år en
række udviklingstiltag, som understøtter udviklingen af grønne teknologier og muliggør reduktioner frem mod
2030 og efter. For nuværende eksisterer en lang række grønne teknologier, men mange af dem skal falde
væsentligt i pris, før de er markedsmodne. I nogle sektorer er der endnu ikke kendskab til virkemidler, der kan
reducere udledningerne markant under hensynstagen til klimalovens guidende principper.
Regeringens udviklingstiltag skal derfor bidrage til at udvikle og opskalere de grønne teknologier på samme
måde, som Danmark er lykkes med at udvikle havvindmølleteknologien og opskalere denne til en konkurrence-
dygtig og på sigt helt støttefri teknologi i global skala.
Udviklingssporet understøttes bl.a. af regeringens grønne forskningsstrategi, der sikrer en målrettet og styrket
dansk forskningsindsats på det grønne område, jf. kapitel 6.3. Det sker bl.a. igennem en række nye forsknings-
missioner, hvor forskningen med accelereret indsats kan bidrage til at fremme løsninger, der kan reducere driv-
husgasudledningerne og derigennem bidrage til opfyldelsen af klimalovens målsætninger.
Et andet væsentligt element i udviklingssporet er regeringens internationale klimapolitik. Øgede ambitioner
globalt og i EU kan bidrage til omstillingen, både i Danmark og i resten af EU, jf. kapitel 6.2. Indsatsen for at sikre
en ambitiøs og omkostningseffektiv klimaregulering i EU og globalt bidrager således både til at reducere de glo-
bale drivhusgasudledninger og til at opfylde klimalovens nationale målsætninger, bl.a. fordi fælles EU-regulering
sikrer lige konkurrencevilkår for danske og øvrige europæiske virksomheder og sikrer langsigtede rammevilkår.
Danmark arbejder samtidig for et højt ambitionsniveau i international klimaregulering, hvilket skal minimere risi-
koen for, at danske virksomheder og arbejdspladser udflytter til lande med lavere klimaambitioner, jf. kapitel 8.
Samtidig igangsætter regeringen en række initiativer, som skal understøtte, at hele samfundet bidrager til den
grønne omstilling. Regeringen styrker bl.a. samarbejdet med både erhvervslivet, civilsamfundet og danskerne
om den grønne omstilling, hvilket også bidrager til målopfyldelsen. Fx har dansk erhvervsliv via regeringens 13
klimapartnerskaber sat ambitiøse visioner for den grønne omstilling og forpligtet sig til at gennemføre en lang
række reduktionstiltag uafhængigt af regeringens initiativer, hvilket skal udmøntes i sektorkøreplaner senere på
året, jf. kapitel 6.1. Derudover har regeringen fremlagt en række initiativer, som skal være med til at anspore en
mere klimavenlig adfærd hos borgere og virksomheder, jf. kapitel 7.5.
Regeringens samlede tilgang til den grønne omstilling illustreres i figur 4.
Figur 4
Regeringens
tilgang til den
grønne omstilling
Virkemidler
Initiativer her og nu
Konkrete virkemidler i klimahandlingsplan 2020, finanslov mv.
Forskning & udvikling
Grøn forskningsstrategi, investering i nye, grønne teknologier (fx PtX ), analysetiltag
International og
EU regulering
Indsats for mere ambitiøs og omkostningseffektiv klimaregulering i EU, styrket
klimadiplomatisk indsats
Klimaindsats
på tværs
Klimapartnerskaber, samarbejdskontrakter med store udledere, samarbejde med
kommuner, regioner og civilsamfundet, Borgertinget
2020
2030
2050
KEF, Alm.del - 2020-21 - Bilag 38: Klimaprogram 2020 i web-tilgængelig version
2267578_0013.png
1. Resumé Og anskueliggøRelse
13
Effekter og potentialer i regeringens klimapolitik
Regeringen har igangsat - og sammen med et bredt flertal af Folketingets partier aftalt - en række initiativer i
implementerings- og udviklingssporet, der skal bidrage til indfrielsen af de ambitiøse klimamålsætninger.
Først og fremmest har regeringen gennemført en række tiltag, der skal bidrage til at ændre måden, der
udvikles og gennemføres klimapolitik i Danmark – eksempelvis ved at oprette et nyt, grønt regeringsud-
valg. Samtidig har regeringen sat gang i en række tværgående indsatser, hvoraf flere er aftalt med et flertal
i Folketinget. Indsatserne tæller bl.a. regeringens tilgang til centrale EU-initiativer, forskning, lancering af
Danmarks Grønne Fremtidsfond samt regeringens klimapartnerskaber og Borgertinget, jf. figur 4 ovenfor.
Derudover har regeringen og et flertal i Folketinget bl.a. med aftalerne om
Finansloven 2020, Klimaaftale for
energi og industri mv. og Klimaplan for en grøn affaldssektor og cirkulær økonomi
igangsat en lang række
tiltag inden for de enkelte sektorer, som vil have effekt inden for en årrække. Samtidig er det besluttet at
igangsætte en række udviklingstiltag inden for sektorerne, som frem mod 2030 forventes at kunne bidrage
med yderligere reduktioner, efterhånden som teknologierne modnes, jf. tabel 1.
Af tabel 1 fremgår effekterne af alle de beslutninger, der er truffet i denne regeringsperiode, som har ledt til et
væsentligt fald i reduktionsmankoen frem mod 2030. De beslutninger, der er truffet i denne regeringsperiode,
har ledt til et væsentligt fald i reduktionsmankoen frem mod 2030 på samlet set ca. 5 mio. ton CO
2
e i 2030.
Med tiltagene er mankoen reduceret til ca. 16. mio. ton Dertil kommer regeringens klimaudspil for vejtrans-
port, der skønnes at reducere udledningerne med yderligere ca. 1 mio. ton CO
2
e i 2030
Dertil kommer, at regeringen netop har præsenteret et klimaudspil for vejtransport, en langsigtet global stra-
tegi
En grøn og bæredygtig verden
samt en grøn forskningsstrategi. Allerede inden årets udgang følger des-
uden en sektorstrategi for landbruget samt strategier for grønne offentlige indkøb og bæredygtigt byggeri.
Samtidig vil regeringen præsentere et oplæg til en grøn skattereform, der også vil bidrage til at nedbringe
drivhusgasudledningen i alle dele af det danske samfund. Tilsammen udgør sektorstrategierne klimahand-
lingsplanen for 2020, der sætter retning for omstillingen af de enkelte sektorer på vejen mod indfrielsen af
målet om 70-pct. reduktion.
Flere reduktioner vil således følge i takt med, at resten af klimahandlingsplanen 2020 foldes ud. Med ind-
satsen hidtil på 5 mio. ton CO
2
e, regeringens transportudspil på 1 mio. ton samt kommende udspil i 2020 er
regeringen således godt på vej allerede i det første år af klimaloven.
Tabel 1
Effekt i 2025 (CO
2
e)
Finansloven 2020
Beslutning om kulstop på Fynsværket i 2022
Sektorstrategi for affald
Sektorstrategi for energi og industri
Grøn boligaftale
Samarbejdsaftale med Aalborg Portland
Klimaudspil for vejtransport
Kommende klimaudspil i 2020
Sektorstrategi for landbrug
og skov
Grøn skattereform
Strategi for bæredygtigt byggeri
Strategi for grønne offentlige indkøb
Anm.: *Indgår i BF20
Effekt i 2030 (CO
2
e)
0,5*
0,5*
Beslutninger
om reduktioner
i indeværende
regeringsperiode
-
0,1
1,3
-
0,25
-
0,7
2,7
0,05
0,5
1
KEF, Alm.del - 2020-21 - Bilag 38: Klimaprogram 2020 i web-tilgængelig version
2267578_0014.png
14
KLIMAPROGRAM 2020
Det er ikke muligt at nå alle reduktioner via kendte virkemidler. Derfor har regeringen bl.a. sammen
med brede flertal i Folketinget og med regeringens grønne forskningsstrategi igangsat en række
udviklingstiltag, som præsenteres i årets klimaprogram. Udviklingstiltagene har store potentialer,
som gennem udvikling og opskalering kan indfries i årene frem mod 2030 og efter, jf. tabel 2.
Med klimaaftalen for energi og industri mv. er der fx afsat 2,5 mia. kr. frem mod 2030 målrettet kon-
verteringer væk fra anvendelse af fossil energi samt tilskud til energieffektivisering. Samtidig inve-
steres der i udviklingen af løsninger til fangst og lagring af CO
2
. En teknologi, der har et potentiale til
at reducere drivhusgasudledningerne med 4-9 mio. ton i 2030.
Transportområdets udledninger kan reduceres både gennem grønnere brændselsvalg, ændrede
transportvaner og udskiftning af køretøjer, hvilket understøttes med konkrete initiativer som bl.a.
lavere afgifter for elbiler, CO
2
-fortrængningskrav for brændstoffer, og pulje til at fremme udbredelsen
af grønne busser. Samtidig har regeringen sat en konkret retning for, hvordan vi i Danmark med en
markant udbygning af havvind skal understøtte udviklingen af PtX, der gennem produktion af bære-
dygtige brændstoffer har potentiale til at reducere udledningerne fra transportsektoren med 0,5-3,5
mio. ton CO
2
e i 2030. Dertil kommer et potentiale i samme størrelsesorden for biobrændstoffer, som
bl.a. fremmes ved regeringens forslag til CO
2
-fortrængningskrav for brændstoffer og strategi for VE-
og biobrændstoffer.
På landbrugsområdet vurderes det ligeledes muligt at reducere drivhusgasudledningerne gennem
udviklingen af nye teknologier og løsninger, der kan mindske klima- og miljøpåvirkningen fra føde-
vareproduktion og jordbrug. En række nye teknologier og løsninger er under udvikling, hvor særligt
nogle forskningsprojekter har vist et stort tekniske reduktionspotentiale, herunder især fodertilsæt-
ningsstoffer, gylletilsætningsstoffer samt bioraffinering. Regeringen har bl.a. fokus på landbrug i
den grønne forskningsstrategi. Endvidere vil regeringen i sin kommende sektorstrategi for landbru-
get ligeledes have fokus på udviklingstiltag.
Dertil arbejder regeringen for at øge klimaambitionerne i EU, hvilket må forventes at bidrage med
drivhusgasreduktioner i Danmark. Europa-Kommissionen lægger op til et forhøjet reduktionsmål på
55 pct. i 2030 (ift. 1990), som implementeres bl.a. gennem et styrket og udvidet kvotemarked (ETS)
og højere CO
2
-krav til lette og tunge køretøjer. Afhængig af hvordan et evt. højere mål implemente-
res, vil dette kunne give reduktioner i Danmark gennem fx højere kvotepriser og mere energieffektive
køretøjer.
De store potentialer forbundet med regeringens udviklingsspor er sammen med implementerings-
sporet med til at anskueliggøre, at klimamålsætningerne kan nås.
Klimarådet vurderer, at implementeringssporet kan levere en reduktion på 10,9 mio. ton, svarende
til ca. 60 pct., med kendte virkemidler, mens udviklingssporet skal hente de resterende 10 procent-
point. Klimaprogrammet viser, at regeringen har taget væsentlige skridt i implementeringssporet
inden for det første år af regeringens levetid. Samtidig viser programmet, at der vil være væsentlige
tekniske og økonomiske barrier ved at implementere virkemidler til at lukke størstedelen af man-
koen i de første år.
Regeringen vil således frem mod 2030 løbende vende tilbage til sektorerne og de konkrete udvik-
lingstiltag, som er sat i gang, med henblik på, at der hvert år vil blive truffet konkrete beslutninger
om yderligere reduktioner frem mod 2030 og herefter.
KEF, Alm.del - 2020-21 - Bilag 38: Klimaprogram 2020 i web-tilgængelig version
2267578_0015.png
1. Resumé Og anskueliggøRelse
15
Tabel 2
Potentialer i
regeringens
udviklingsspor
frem mod 2030.
Tekniske reduktionspotentialer frem mod 2030 (mio. ton CO
2
e)
Fangst og lagring eller anvendelse af CO
2
Grønne brændstoffer
Power-to-X
Biobrændstoffer
Biogas
Elektrificering og energieffektivitet inden for industrisektoren
Eksempler på udviklingsprojekter i skov- og landbrugssektoren
Fodertilsætningsstoffer
Tilsætningsstoffer til gylle
Binding af kulstof i jorder og biokul
Genanvendelse og reduktion af plastaffald
Partnerskabsaftaler
Sum (korrigeret for overlap)
4-9
0,6-5,1 *
0,5-3,5 (og 1,5-7,5 på længere sigt) **
0,5-3,5 (og 1,5-7,5 på længere sigt) **
0,6
2
4
1
1
2
0,15
0,2-0,4
9-16�½
Anm.: Bemærk overlap mellem potentialer, hvorfor summering ikke giver totalen. Der er taget højde for overlap i totalen. * Forventet overlap med transportudspil på 0,8 mio. ton
er trukket fra ’Grønne brændstoffer’, men ikke fra underkategorierne, da fordelingen er usikker. ** Heraf 1-4 mio. ton i international skibs- og luftfart, som ikke tæller med i 70
pct.-målsætning.
Kilde: Klima-, Energi- og Forsyningsministeriet og Miljø- og Fødevareministeriet
Skønnene for tekniske reduktionspotentialer er behæftet med betydelig usikkerhed, både hvad angår
størrelse og overlap mellem potentialerne. I potentialeskønnene er der ikke taget højde for teknologi-
ens omkostninger, men fokuseret på det teknisk mulige og omfanget af, hvad der teoretisk vurderes
realiserbart i 2030. Reduktionspotentialerne indikerer dermed udelukkende et billede af de tekniske og
teoretiske muligheder for, at teknologierne og løsningerne kan reducere drivhusgasudledningen inden for
de segmenter, som teknologierne vurderes mest relevante at blive anvendt til. Endvidere kan f teknolo-
gispring medføre betydelige reduktioner inden for andre områder.
Regeringens anskueliggørelse
Det følger som nævnt af klimaloven, at klima-, energi- og forsyningsministeren i klimaprogrammet skal
give sin vurdering af, om det kan anskueliggøres, at de nationale klimamål om 70 pct. reduktion af de
danske drivhusgasudledninger i 2030 i forhold til 1990 og klimaneutralitet i senest 2050 nås.
Der er siden regeringsskiftet i juni 2019 truffet beslutning om tiltag, som reducerer mankoen med ca. 5
mio. ton CO
2
e. I dag udgør mankoen ca. 16,1 mio. ton CO
2
e. Dertil kommer, at regeringen har fremlagt et
transportudspil, som reducerer yderligere 1 mio. ton, og at regeringen i løbet af 2020 vil fremlægge yderli-
gere udspil, som vil indebære beslutninger om yderligere reduktioner i implementeringssporet.
Regeringen har desuden investeret i en række udviklingstiltag med betydelige potentialer, som på sigt
forventes at kunne opskaleres og omsættes til yderligere konkrete reduktioner.
Det er således regeringens samlede vurdering, at det med en klimaindsats, der beror på konkrete virke-
midler nu og her samt målrettede investeringer i en lang række udviklingstiltag, som med opfølgende
politiske beslutninger kan blive til konkrete reduktioner senere i forpligtelsesperioden, kan anskueliggø-
res, at klimalovens mål nås, jf. figur 5.
KEF, Alm.del - 2020-21 - Bilag 38: Klimaprogram 2020 i web-tilgængelig version
2267578_0016.png
16
KLIMAPROGRAM 2020
Figur 5
Regeringens
anskueliggørelse
70%:
20 mio. ton CO
2
e i 2030
2020
2030
Vedtaget & fremlagt
Affald, energi & industri,
samarbejdsaftaler,
transport.
Kommende indsatser
Udspil 2020: Landbrug, byggeri, skat og offentlige indkøb.
+
Kontinuerlig opfølgning på alle sektorer
Reduktioner allerede
indregnet i manko
Teknologisk potentiale
Genanvendelse
af plastik
Landbrug
Grønne brændstoffer
CCS
Elektrificering og
energieffektivitet
i industrien
Samarbejdsaftaler
med erhverv
International regulering
Klimaindsats på tværs
International regulering
MANKO 2020
IMPLEMENTERINGSSPOR MED KONKRETE VIRKEMIDLER
UDVIKLINGSSPOR OG TEKNOLOGISK POTENTIALE
KEF, Alm.del - 2020-21 - Bilag 38: Klimaprogram 2020 i web-tilgængelig version
2267578_0017.png
1. Resumé Og anskueliggøRelse
17
Overblik over tiltag på klimaområdet besluttet siden regeringens
tiltræden
Boks 3
Tværgående tiltag
Regeringens klimapolitiske arbejdsmetode
Regeringsinterne processer
Grønt Udvalg.
Regeringsudvalget skal sikre, at hensynet til klima, miljø og natur styrkes og integreres i regeringens politik.
Lovprogram.
Der foretages som en fast procedure en screening af regeringens årlige lovprogram for grønne effekter.
Vejledning om vurdering af konsekvenser for klima, miljø og natur.
Fastlægger retningslinjer for konsekvensvurderinger for
klima, miljø og natur samt for hvornår tiltag skal forelægges Grønt Udvalg.
Grønne regnemodeller.
Der udarbejdes en ny regnemodel (Grøn REFORM), som vil kunne vurdere miljø-, natur- og klimaef-
fekter af den økonomiske aktivitet samt vurdere økonomiske effekter af miljø-, natur- og klimapolitiske tiltag.
Regeringens samarbejdsfora
13 Klimapartnerskaber. Samarbejde med erhvervslivet med fokus på, hvordan erhvervslivet og regeringen i sam-
arbejde kan bidrage til at løse klimaudfordringer på en måde, der samtidig understøtter dansk konkurrenceevne,
eksport, job, velfærd og velstand samt ikke skaber øget ulighed. Partnerskaberne er forankret i Grønt Erhvervs-
forum, der skal bidrage til at styrke dialogen mellem regeringen, erhvervsliv og fagbevægelser om muligheder og
barrierer i erhvervslivets grønne omstilling.
Borgerting. Borgertinget består af 99 medlemmer, som over de næste to år skal debattere borgernære dilemmaer
og løsninger, der er forbundet med klimaudfordringerne.
Ungeklimaråd. Ungeklimarådet skal bringe nytænkning ind i dansk klimapolitik og komme med input til fremtidens
klimaløsninger. Medlemmerne er udpeget for en to-årig periode og kommer fra alle dele af landet, fra forskellige
uddannelsesretninger og repræsenterer forskellige indgangsvinkler til klimaudfordringen.
Tværgående EU-initiativer og –tilgang
Danmark arbejder for en ambitiøs implementering af European Green Deal.
Danmark arbejder for en ambitiøs europæisk klimalov.
Danmark arbejder for en forøgelse af EU’s 2030 klimamål til mindst 55 pct.
KEF, Alm.del - 2020-21 - Bilag 38: Klimaprogram 2020 i web-tilgængelig version
2267578_0018.png
18
KLIMAPROGRAM 2020
Boks 3
Tværgående tiltag
Grøn forskningsstrategi
Fangst og lagring eller anvendelse af CO
2
Mission: Danmark skal udvikle omkostningseffektive løsninger til fangst og lagring af CO
2
, som kan anvendes til
at reducere CO
2
-udledninger og skabe negative udledninger fra store industrielle udledere, affaldsforbrændings-
anlæg, biogasanlæg og biomassebaseret kraftvarmeanlæg. Sammen med brint fra vedvarende energi kan fanget
CO
2
levere kulstof til nye klimaneutrale løsninger. Teknisk reduktionspotentiale for CCUS skønnes at udgøre 4-9
mio. t. CO
2
e i 2030. Det bemærkes, at der er overlap til PtX-potentialet.
Power-to-X –
Grønne brændstoffer og brændsler til transport og industri
Mission: Der skal udvikles løsninger til at omdanne strøm fra vedvarende energi til produkter, der kan anvendes til
at reducere udledningerne fra dele af transport- og industrisektoren, hvor der ikke eksisterer omkostningseffektive
alternativer til fossil energi. Teknisk reduktionspotentiale for PtX skønnes at udgøre 0,5-3,5 mio. t. CO
2
e i 2030, og
på længere sigt 1,5-7,5 (heraf 1-4 i international skibs- og luftfart, som ikke tæller med i 70 pct.-målsætning). Det
bemærkes, at der overlap til CCUS-potentialet.
Klima- og miljøvenligt landbrug og fødevareproduktion
Mission: Forsknings- og innovationsindsatsen skal målrettes udvikling af teknologier og løsninger, der markant
kan reducere klima- og miljøpåvirkningen fra både konventionel og økologisk fødevareproduktion og jordbrug,
herunder udledninger fra husdyr, gødningsanvendelse og jorde, samt reducere afledte effekter på naturen. Det kan
fx være igennem teknologier samt mere cirkulære og bæredygtige løsninger mhp. optag af CO
2
i jord og skov,
bioraffinering, herunder pyrolyse, nye foder- og fødevareprodukter med lavere klima- og miljøaftryk, planteforæd-
ling og understøttelse af vidensbehov i forhold til effektiv regulering, herunder dokumentation af emissioner. En
række nye teknologier og løsninger er under udvikling, hvor særligt nogle forskningsprojekter indenfor fordertil-
sætningsstoffer, gylle tilsætningsstoffer samt biorafinering, har vist potentiale.
Genanvendelse og reduktion af plastaffald
Mission: Forskningsindsatsen skal rettes mod udvikling af nye teknologier og fremstillingsmetoder, der kan sikre
affaldsreduktion samt bedre sortering og genanvendelse af plastikaffald til nye plastikprodukter. Udvikling af
plastikholdige produkter, der er designet til genbrug eller genanvendelse, både med hensyn til den kemiske sam-
mensætning af plastråvaren og additiverne og sammensætningen af materialer i det enkelte produkt. Teknologier
og løsninger, der giver en høj kvalitet i genanvendelsen og et lavt tab af materialer, samt sortering, oparbejdning
og genanvendelse af plastikholdige tekstiler vurderes at kunne reducere mængden af plastisk og fossilt tekstilaf-
fald med ca. 53.000 ton ud over reduktionen i Aftalen om en grøn affaldssektor og cirkulær økonomi. Hvis denne
yderligere mængde fjernes fra forbrændingen, vil Danmark nå målsætningen om at fjerne 80 pct. af plastaffaldet
fra forbrændingen i 2030, hvilket vil medføre en reduktion af CO
2
e fra affaldsforbrænding på ca. 0,15 mio. ton
CO
2
e i 2030.
Danmarks Grønne Fremtidsfond
Vækstfonden.
4 mia. kr. til Vækstfonden skal anvendes til at igangsætte en bred og langsigtet indsats for at
opbygge et marked for grøn risikovillig kapital. Det skal gøre det nemmere for de grønne iværksættere og vækst-
virksomheder at rejse lån og egenkapitalfinansiering, der kan udvikle virksomhederne og omsætte gode grønne
ideer til grønne arbejdspladser. Vækstfonden vil primært foretage fondsinvesteringer og direkte investeringer i
virksomheder, men kan også give lånefinansiering.
EKF Danmarks Eksportkredit.
14 mia. kr. til EKF Danmarks Eksportkredit skal anvendes til at styrke EKF’s mulig-
heder for at garantere de danske virksomheders eksport af grøn teknologi og løsninger til hele verden. EKF Dan-
marks Eksportkredit tilbyder eksportfinansiering til danske eksportører i form af lån og garantier.
Danmarks Grønne Investeringsfond.
6 mia. kr. til Danmarks Grønne Investeringsfond skal anvendes til at medfinan-
siere investeringer, der fremmer en grøn omstilling af det danske samfund, herunder inden for energibesparelser,
vedvarende energianlæg og ressourceeffektivitet. Fonden yder lån og garantier til private virksomheder, almene
boligorganisationer samt offentlige selskaber og institutioner m.v.
Investeringsfonden for Udviklingslande.
1 mia. kr. til Investeringsfonden for Udviklingslande (IFU) skal anvendes til
at fremme investeringer og udlån i grønne løsninger i udviklingslande, herunder vedvarende energi, energieffekti-
vitet, fødevareproduktion og sikring af rent vand. IFU leverer rådgivning og risikovillig kapital til virksomheder, der
ønsker at gøre forretning i udviklingslande og vækstmarkeder.
Grøn skattereform
Regeringen vil udarbejde et oplæg til grøn skattereform og indkalde til forhandlinger herom i efteråret 2020.
KEF, Alm.del - 2020-21 - Bilag 38: Klimaprogram 2020 i web-tilgængelig version
2267578_0019.png
1. Resumé Og anskueliggøRelse
19
Boks 4
Sektortiltag
Energisektoren, byggeri og industri
Individuel opvarmning
Virkemidler:
Elvarmeafgiften lempes til EU’s minimumssatser
Forbrugerbindingerne til naturgasnettet afskaffes og samfundsøkonomikravet justeres (se også boks vedr.
hovedinitiativerne inden for fjernvarme)
Tilskudspuljer til udfasning af olie- og gasfyr fra 2020 og frem, herunder en pulje til afkobling fra naturgasnettet
og til udrulning af fjernvarme
Tiltag målrettet forbrugersikkerhed og sikker implementering
Energieffektiviseringer
Udviklingstiltag:
Undersøgelse af, om der kan etableres en særlig låneordning til borgere med manglende finansieringsmuligheder
Indsats til at kortlægge kommunale og regionale bygningers olie- og gasfyr
Analyse af mulighederne for at udfase olie og naturgas i husholdningernes opvarmning
Grøn Forskningsstrategi opstiller bl.a. en række temaområder for grøn forskning og innovation. Temaområderne
er valgt med udgangspunkt i grønne forskningsbehov og -potentialer samt erhvervs- og forskningsmæssige styr-
ker og potentialer. Temaområderne inkluderer bl.a. energieffektive bygninger og kan således understøtte, at der
med midlerne udvikles løsninger, som reducerer energiforbruget og potentielt CO
2
e-udledninger.
Regeringen arbejder på europæisk plan for at styrke og udvide EU’s kvotehandelssystem til bl.a. at inkludere
vejtransport og bygninger med det formål at sikre mere ens CO
2
-prissignaler på tværs af sektorer og en mere
omkostningseffektiv klimaregulering.
Energieffektivitet er ligeledes en prioritet for regeringen i EU. Regeringen arbejder for, at energieffektiviseringsind-
satsen særligt bør målrettes reduktion af fossilt energiforbrug, således at indsatsen bidrager til EU’s klimamål for
2030 og målet om klimaneutralitet senest i 2050. Der eksisterer også en række EU-krav til hhv. energiselskaber
og bygninger samt til energiforbrugende produkter som kedler, husholdningsapparater m.fl., som er en smart og
omkostningseffektiv måde at opnå store energibesparelser på.
Europa-Kommissionen ventes i 3. kvartal 2020 at lancere et initiativ om en renoveringsbølge, der skal
bidrage til mindst at fordoble renoveringsraten, samt i 2021 at lancere en vejledning om anvendelse af
energieffektivitet-først-princippet.
Fjernvarme
Virkemidler:
Fjernvarmesektorens produktionsbindinger moderniseres, herunder ophæves brændsselsbindingen til naturgas
og krafvarmekravet. Derudover justeres samfundsøkonomikravet, så fjernvarmeprojekter kan godkendes uden en
sammenligning med fossile alternativer.
Aftagepligten til fjernvarme moderniseres, for at muliggøre en øget udnyttelse af overskudsvarme og egen
VE-produktion.
Elvarmeafgiften lempes til EU’s minimumssatser, hvorved afgiften for elbaseret overskudsvarme bortfalder.
Overskudsvarmeafgiften bortfalder, hvis overskudsvarmen er certificeret eller underlagt en tilsvarende aftaleord-
ning, der sikrer energieffektiviseringer hos overskudsvarmeleverandøren.
Aftale om øget udnyttelse af overskudsvarme af 28. marts 2019 bekræftes, herunder at der skal være en prisregu-
lering af overskudsvarme.
Udviklingstiltag:
Der igangsættes en analyse, der skal belyse konsekvenserne ved et eventuelt forbud mod olie og naturgas til fjern-
varmeproduktion fra 2030, herunder for forsyningssikkerhed, el- og varmepriser.
Konsekvenser ved begrænsning af forbruget af biomasse til el- og varmeproduktion skal undersøges.
Der afsættes 2 mio. kr. årligt i 2021 og 2022 til en række understøttende initiativer.
Grøn Forskningsstrategi opstiller en række temaområder for grøn forskning og innovation. Temaområderne er
valgt med udgangspunkt i grønne forskningsbehov og –potentialer samt erhvervs- og forskningsmæssige styrker
og potentialer. Temaområderne inkluderer bl.a. intelligente løsninger til integration af VE i varmeproduktionen.
KEF, Alm.del - 2020-21 - Bilag 38: Klimaprogram 2020 i web-tilgængelig version
2267578_0020.png
20
KLIMAPROGRAM 2020
Boks 4
Sektortiltag
El
Virkemidler:
Overgang til markedsdrevet udbygning af solceller og landvind. Udbud af landvind, sol og andre grønne tekno-
logier fortsættes frem til 2021, ligesom der igangsættes en analyse af støttebehovet til at kvalificere behov for
støtte i fremtiden.
Støtte til test og demonstration. Der afsættes desuden 237 mio. kr. til forsøgsmøller i 2021-24 og igangsættes en
analyse af, hvordan rammer for test og demonstraton bedst understøttes i fremtiden.
Der fjernes administrative barrierer, så virksomhederne kan investere i mere solenergi.
Udbygning med havvindmøller. Fremrykning af park 2 fra energiaftalen 2018, som placeres ved Hesselø.
Udviklingstiltag:
Etablering af verdens første energiøer. Etablering af havvindmølleparker på hhv. 3 GW og 2 GW. Den grønne strøm fra
bl.a. energiøerne skal bruges direkte, men på sigt også omdannes til bæredygtige brændsler (Power-to-X), der kan
dekarbonisere de sektorer, som ikke kan anvende strøm direkte, fx luftfart, tung transport, nogle industriprocesser mv.
Grøn Forskningsstrategi opstiller en række temaområder for grøn forskning og innovation. Temaområderne er
valgt med udgangspunkt i grønne forskningsbehov og -potentialer samt erhvervs- og forskningsmæssige styrker
og potentialer. Temaområderne inkluderer bl.a. omkostningseffektive VE-teknologier til energiproduktion, der på
sigt kan reducere udledningerne i industri og transportsektoren.
Indgåelse af en eller flere partnerskaber med nabolande til Danmark om udlandsforbindelser mhp. at sikre etable-
ringen og rentabiliteten af energiøerne.
Danmark deltager aktivt i Nordsøsamarbejdet sammen med 8 andre lande og Kommissionen om udbygningen
af havvind og el-net i Nordsøen. Der blev under dansk formandskab i december 2019 vedtaget et nyt arbejdspro-
gram for Nordsøsamarbejdet, ligesom landene på ministermødet i juli 2020 fik vedtaget en fælles erklæring om
vigtigheden af havvind i bekæmpelsen af klimaforandringer. I erklæringen opfordrer Nordsølandende desuden
Europa-Kommissionen til at udvikle en lovgivningsmæssig ramme, der kan fremme havvind på en omkostningsef-
fektiv måde.
Præge Europa-Kommissionen til at udvikle en lovgivningsmæssig ramme, der kan fremme havvind på en omkost-
ningseffektiv måde.
Regeringen præsenterer primo 2021 en elektrificeringsstrategi med scenarier med relation til 70
pct.-målsætningen.
Industri
Virkemidler:
Grøn omstilling og øget energieffektivisering af erhvervslivets fossile produktion. Der er afsat 2,5 mia. kr. frem
mod 2030 målrettet konverteringer væk fra anvendelse af fossil energi, tilskud til energieffektivisering af de
processer mv., som ikke i dag kan konverteres til el samt elektrificering og energieffektivisering af intern transport
(gaffeltrucks, traktorer mv.) i fremstillingserhverv, landbrug mv.
Støtte til biogas og andre grønne gasser. Der er afsat 12,8 mia. kr. over 20 år til en ny støtteordning til biogas og
andre grønne gasser, som kan anvendes, hvor det ikke er muligt at elektrificere.
Udviklingstiltag:
Analyse af muligheder for grøn omstilling, hvor det ikke er muligt at elektrificere. Der igangsættes en analyse, der skal
identificere potentialer og barrierer for udfasning af fossile brændsler i erhverv, herunder i de dele af virksomhedernes
processenergiforbrug hvor der i dag er begrænsede muligheder for fossiludfasning, fx højtemperatur processer.
Grøn Forskningsstrategi opstiller en række temaområder for grøn forskning og innovation. Temaområderne er
valgt med udgangspunkt i grønne forskningsbehov og –potentialer samt erhvervs- og forskningsmæssige styrker
og potentialer. Temaområderne inkluderer bl.a. energieffektiv industriproduktion, grønne brændstoffer og materia-
ler til transport og industri der på sigt kan fremme udfasningen af fossile brændsler i industrien.
Fremtidens teknologier
Virkemidler:
Markedsbaseret teknologineutral pulje på 800 mio. kr. årligt indfaset fra 2024 til at fange og lagre CO
2
. Puljen skal
bidrage til kosteffektive CO
2
reduktioner ved at giver mulighed for at støtte fangst og lagring. Puljen kan bidrage til
at nedbringe udledninger, som ellers er vanskelige at reducere, og ved fangst og lagring af CO
2
fra biomasse kan
der skabes negative emissioner. Gennem fangst og lagring forventes puljen at kunne bidrage med reduktioner på
0,9 mio. ton CO
2
/år fra 2030.
Danmark har indgået et partnerskab med Nederlandene. Partnerskabet vil tilvejebringe et provenu på min. 750
mio. kr. Provenuet vil finansiere en tilskudsordning til storskala brintproduktion (PtX), som skal bidrage til at drive
prisen på grøn brint ned samt styrke danske kompetencer og konkurrenceevne på energiområdet.
KEF, Alm.del - 2020-21 - Bilag 38: Klimaprogram 2020 i web-tilgængelig version
2267578_0021.png
1. Resumé Og anskueliggøRelse
21
Boks 4
Sektortiltag
Udviklingstiltag:
Grøn Forskningsstrategi opstiller en række temaområder for grøn forskning og innovation. Temaområderne er
valgt med udgangspunkt i grønne forskningsbehov og –potentialer samt erhvervs- og forskningsmæssige styrker
og potentialer. Temaområderne inkluderer bl.a. grønne brændstoffer og materialer til transport og industri, brint-
produktion og CCS – Fangst og lagring af CO
2.
Samlet PtX/CCUS-strategi. Strategien skal understøtte udbredelsen og udvikling af fremtidens grønne løsninger.
Klimapartnerskaberne og centrale interessenter inden for relevante sektorer vil blive inddraget løbende i arbejdet.
Grøn mission: PtX – Udvikling af grønne brændstoffer til transport og industri. Udvikle løsninger til at omdanne
strøm fra vedvarende energi til produkter, der kan anvendes til at reducere udledningerne fra dele af transport- og
industrisektoren, hvor der ikke eksisterer omkostningseffektive alternativer til fossil energi.
Grøn mission: Udvikle omkostningseffektive løsninger til fangst og lagring af CO
2
, som kan anvendes til at redu-
cere CO
2
-udledninger og skabe negative udledninger fra store industrielle udledere, affaldsforbrændingsanlæg,
biogasanlæg og biomassebaseret kraftvarmeanlæg. Sammen med brint fra vedvarende energi kan fanget CO
2
levere kulstof til nye klimaneutrale løsninger
.
På europæisk plan arbejder regeringen for et dekarboniseret europæisk energisystem inden 2050 med særligt
fokus på større anvendelse af vedvarende energi samt på elektrificering af fossilt energiforbrug bl.a. igennem
power-to-X teknologier til produktion af grøn brint og andre brintbaserede produkter (e-brændsler). Via power-to-X
teknologier kan vedvarende energi viderekonverteres til brint og derved bidrage til dekarboniseringen i sektorer,
som er svære at elektrificere som tung transport og industri. Et europæisk fokus på grønne gasser og viderekon-
vertering af disse kan bidrage til hurtigere teknologiudvikling, opskalering og prisfald på grønne løsninger, som
kan komme danske virksomheder til gode og understøtte den grønne omstilling herhjemme.
Virkemidler i øvrige aftaler
Aftale om kommunernes og regionernes økonomi for 2021. Tidligere på året aftalte regeringen og KL at ophæve
anlægsloftet for 2020 grundet COVID-19-krisen. Regeringen og KL bygger videre på den aftale ved ekstraordinært at
hæve anlægsloftet i 2021 til 21,6 mia. kr., herunder et tilskud på 1 mia. kr. til grønne investeringer, så kommunerne fx
kan foretage grønne renovationer af skoler, plejehjem, veje og gennemføre energirenoveringer. Regeringen og Danske
Regioner har ligeledes aftalt et ekstraordinært løft af regionernes anlægsloft i 2021 på 1 mia. kr. til grønne investeringer.
Politisk aftale om grøn renovering af almene boliger. I maj indgik regeringen aftale om grøn renovering af almene
boliger. Aftalen afsætter 30,2 mia. kr. fra Landsbyggefonden til renovering i den almene boligsektor i perioden
2020-2026 og sikrer sunde og tidssvarende almene boliger til gavn for lejerne og genopretningen af dansk øko-
nomi. Grønne renoveringer af almene boliger reducerer drivhusgasudledningerne med ca. 47.000 t CO
2
e og giver
2.200 fuldtidsbeskæftigede i 2020 stigende til 5.900 i 2021 og 3.500 i 2022.
Affald
Virkemidler:
Øget og strømlinet affaldssortering. Danskerne skal sortere affald på samme måde i hjemmet og på arbejdsplad-
sen uanset hvilken kommune, de bor i. Der skal sorteres 10 typer af affald, og både husholdninger og virksomhe-
der skal bruge samme sorteringsguidelines og affaldspiktogrammer.
Mere genanvendelse af plastikaffald. Der indføres bl.a. krav om minimum 60 pct. reel genanvendelse af indsamlet
plastikaffald, sektorsamarbejder med restaurationsbranchen, landbrugs- og byggesektoren.
En stærk genanvendelsessektor. Affaldsstrømmene fra husholdninger og virksomheder samles og organiseres
mere ensartet. Rammevilkårene for affaldssektoren skal indrettes, så der investeres i genanvendelsesanlæg frem
for forbrændingsanlæg.
Mindre forbrænding og mindre import af affald til forbrænding. Kapaciteten på de danske forbrændingsanlæg
skal nedbringes, så den passer til de danske affaldsmængder, der forventes at falde, når danskerne sorterer mere
affald til genanvendelse.
En energi- og klimaneutral vandsektor, bl.a. ved at reducere lattergasemissioner fra spildevand og skabe incita-
menter til, at vandsektoren udnytter egne ressourcer optimalt.
Udvalgte udviklingstiltag:
Analyse af affaldsafgifterne. Der igangsættes en analyse af, hvordan affaldsafgifterne kan bidrage til at under-
støtte yderligere CO
2
-reduktioner i affaldssektoren og omstillingen til cirkulær økonomi.
Partnerskab. Der etableres et partnerskab, som skal understøtte brugen af nye teknologier og digitale løsninger i
affaldssektoren, som kan øge genanvendelsen af affald.
Øge andelen af genanvendt plastik. Der igangsættes et arbejde for at se på mulighederne for at øge andelen af
genanvendt plastik i nye produkter.
KEF, Alm.del - 2020-21 - Bilag 38: Klimaprogram 2020 i web-tilgængelig version
2267578_0022.png
22
KLIMAPROGRAM 2020
Boks 4
Sektortiltag
Regeringen støtter Kommissionens ambition om tilvejebringelsen af en cirkulær økonomi i EU, der kan understøtte
opnåelsen af klimaneutralitet i 2050 og afkoblingen mellem vækst og ressourceforbrug, da ressourceudvinding og
-forarbejdning er store kilder til drivhusgasudledninger i EU, og da omstillingen kan være med til at sikre EU’s konkur-
renceevne på længere sigt.
Regeringen arbejder for EU-Kommissionens forventede forslag til kvantitative affaldsreduktionsmål, og Danmark
får kvantitative reduktionsmål i forbindelse med fastsættelsen af sådanne mål i EU.
Regeringen bakker op om, at EU bør stoppe med at eksportere affald ud af EU og støtter en ambitiøs revision af EU’s trans-
portforordning om overførsel af affald over grænser for at skabe et reelt indre marked for handel med sekundære råvarer.
Forbrænding af især plastik bør nedbringes i EU. Danmark støtter derfor mere ambitiøse mål for genanvendelse af
plastik og finansiering af genanvendelseskapacitet i Europa samt bedre design af produkter.
Regeringen støtter en etablering af standardiserede metoder til effektiv indsamling og deling af data mellem
virksomheder i hele leverandørkæden med henblik på at understøtte virksomheders muligheder for forretningsud-
vikling på baggrund af data og at understøtte et fælles indre marked for sekundære råvarer.
Regeringen støtter, at Kommissionen har fokus på at sikre en sammenhængende juridisk ramme for en bære-
dygtig produktpolitik, der skal understøtte ressourceeffektivitet, cirkularitet, sikkerhed og et reduceret klima- og
miljøaftryk. En udvidelse af ecodesigndirektivet i forhold til at inddrage flere produktgrupper og flere kriterier, som
understøtter den cirkulære økonomi, og bygger på erfaringer fra EU’s miljømærke Blomsten og Kommissionens
nye livscyklusmetode, Product Environmental Footprint (PEF) kan bidrage til denne udvikling.
Regeringen bakker op om Kommissionens ønsker om at revidere byspildevands- og slamdirektiverne med henblik
på, at der kommer større fokus på energiproduktion og genanvendelse af næringsstoffer.
Transport
Virkemidler (vejtransport):
180 mio. kr. til annullering af afgiftsstigninger på elbiler samt sænkningen af proces-elafgiften på el til el-biler.
25 mio.kr. til indførslen af et fradrag i beskatningsgrundlaget for grønne firmabiler, for at gøre det billigere at køre
grønt på jobbet.
75 mio. kr. til at accelerere omstillingen af grønne busser.
100 mio. kroner til fremme at cyklisme og pulje på 50 mio. kr., hvor kommunerne mod en medfinansiering på 50
pct. kan søge midler til cykelprojekter.
Udmøntning af 50 mio. kr. til ladestandere og 24 mio. kr. til fremme af erhvervstransport og 1 mio. kr. til en analyse
af mulighederne for omstillingen af indenrigsfærger til vedvarende energi som en del af udmøntningen af puljen til
grøn transport i 2020, og en analyse af prisstruktur for offentligt tilgængelige ladestandere.
Fremrykning af den resterende udmøntning af puljen til grøn transport til 2020 og 2021 samt forøgelse af puljen
med yderligere 50 mio. kr., således at der i alt prioriteres 425 mio. kr. i 2020 og 2021 til ladestandere, fremme af
grøn erhvervstransport samt omstilling til grønne færger.
Regeringens klimaudspil på vejtransport sætter rammen for den fremtidigen regulering af vejtransporten, der i alt
vil reducere 1 mio. ton CO
2
e på tværs af tiltag inden for personbiler og tung transport.
Udviklingstiltag samt EU-regulering:
Regeringen vil udarbejde en strategi for videreudvikling af markedet for VE-brændstoffer i Danmark som over-
gangsløsning frem mod 2035.
Regeringen arbejder for et styrket kvotehandelssystem, som udvides til at inkludere vejtransport.
Regeringen har opfordret Kommissionen til at fremlægge en strategi for, hvordan EU kan fremme den grønne
omstilling af transportsektoren, herunder en klar plan for udfasning af benzin og dieselbiler i EU.
Regeringen arbejder for at tilpasse det europæiske regelsæt, så det understøtter udfasning af benzin og diesel-
biler fra 2030 herunder bl.a. også for strengere CO2-krav for lette og tunge køretøjer, inklusion af vejtransporten
i kvotesektoren, den nødvendige infrastruktur, fremme af alternative brændstoffer, herunder Power-to-X, og en
ambitiøs tiltagn til batterier.
Regeringen vil desuden arbejde for oprettelsen af en alliance blandt ligesindede EU-medlemslande, der kan presse
på for at fremme udfasningsdagsordenen i EU.
For at mindske udledningerne fra luftfarten har regeringen bl.a. opfordret Kommissionen til at fremsætte forslag
om prissætning af luftfartens udledninger, herunder evt. afgifter, der skal sikre mere bæredygtig lufttransport,
samt at Europa-Kommissionen bør analysere muligheden for at reducere tildelingen af gratiskvoter på tværs af
sektorer, uden at dette fører til lækage.
KEF, Alm.del - 2020-21 - Bilag 38: Klimaprogram 2020 i web-tilgængelig version
2267578_0023.png
1. Resumé Og anskueliggøRelse
23
Boks 4
Sektortiltag
Regeringen arbejder aktivt for at sikre, at potentielle fremtidige EU-tiltag på søfartsområdet er til gavn for klimaet
og ikke skader europæisk søfarts konkurrenceevne.
Grøn Forskningsstrategi opstiller en række temaområder for grøn forskning og innovation. Temaområderne er
valgt med udgangspunkt i grønne forskningsbehov og –potentialer samt erhvervs- og forskningsmæssige styrker
og potentialer. Temaområderne inkluderer bl.a. transport. Herudover udpeger grøn forskningsstrategi missionen
om Grønne brændstoffer – Power-to-X, der skal udvikle løsninger til at omdanne strøm fra vedvarende energi til
produkter, der kan anvendes til at reducere udledningerne fra dele af transport- og industrisektoren, hvor der ikke
eksisterer omkostningseffektive alternative til fossil energi.
Landbrugs- og skovsektoren
Virkemidler (FL20):
Udtag af kulstofrige landbrugsjorde. Der er med finanslovsaftalen for 2020 afsat 2 mia. kr. frem mod 2029 til
udtag af kulstofrig landbrugsjord. Udmøntningen forventes at bidrage til udtag af ca. 15.000 ha landbrugsjord.
Den forventede klimaeffekt er ca. 270.000 t CO
2
e om året i 2030.
Skovrejsning. Der er med finanslovsaftalen for 2020 afsat 100 mio. kr. til etablering af en klima-skovfond, hvor
virksomheder og privatpersoner kan bidrage til reduktionsindsatsen. Fondens aktiviteter vurderes at kunne reali-
sere et drivhusgasoptag på 50.000 t CO
2
e om året i 2030. Desuden er det i udmøntningen af landdistriktsprogram-
met for 2021 besluttet at fordoble midlerne i den eksisterende støtteordning for privat skovrejsning, så der i alt
afsættes 70 mio. kr. Det vurderes, at udmøntningen vil medføre ca. 2000 ha privat skovrejsning. Skovrejsning på
yderligere ca. 1.000 ha vurderes at øge optaget af drivhusgasser med ca. 5.000 t CO
2
e om året i 2030.
Nedbringelse af kvælstofudledningen. Det er besluttet at indføre en skærpelse af udnyttelseskravet for husdyrgød-
ning samt en reduktion af kvælstofnormerne for afgrøder, der dyrkes på kulstofrige jorde. Desuden er der indført
forbud mod sprøjtning, gødskning og omlægning af §3 arealer. Tiltagene forventes samlet at give en klimaeffekt
på 90.000 t CO
2
e om året i 2030.
Bedriftsregnskaber. Med sektorstrategien for energi og industri afsættes 5 mio. kr. i 2021 med henblik på at
bidrage til udviklingen af et klimaregnskab på bedriftsniveau, som skal understøtte en omkostningseffektiv regule-
ring af landbrugets drivhusgasudledninger, idet der dog udestår en stor forskningsindsats for at kunne udarbejde
et retvisende klimaregnskab på bedriftniveau.
Forskning. Regeringen har sat 10 forskningsprojekter i gang for 90 mio. kr., som skal bidrage til at finde fremti-
dens løsninger til at nedbringe drivhusgasser fra landbruget. Det sker med midler fra klimaforskningsprogrammet.
Pengene er afsat for perioden 2019-21.
Udviklingstiltag:
Drivhusgasudledninger i landbrugssektoren er i dag ikke reguleret direkte i EU, men er overladt til medlemslan-
dene med differentierede reduktionsmål for ikke-kvotesektoren. Det medfører begrænset incitament for klimafor-
bedrende aktiviteter og udfordringer i forhold til risiko for karbonlækage internt i EU. På europæisk plan arbejder
regeringen derfor for en fælleseuropæisk reduktionsforpligtelse og styrket regulering af landbruget. Regeringen
arbejder for, at EU’s landbrugsreform skal anvendes til at understøtte fælles klimatiltag med henblik på at redu-
cere drivhusgasudledninger på landbrugsområdet.
I regeringens grønne forskningsstrategi er udviklingen af nye teknologier og løsninger, der kan reducere drivhus-
gasudledningen fra fødevarer- og landbrugsproduktionen udpeget som en mission. For at kunne reducere klima-
belastningen i landbruget uden blot at reducere landbrugsproduktionen er det nødvendigt at udvikle nye teknolo-
gier og løsninger, som kan reducere klimabelastningen pr. produceret enhed.
Der forskes eksempelvis aktuelt i bioraffinering, hvor man bl.a. kan omdanne biomasse igennem pyrolyse til
biokul samt olie og gas. Biokullene indarbejdes i jorden, hvorefter det kulstof, der er bundet i kullene, nedbrydes
meget langsomt og derved er fjernet fra atmosfæren i mange år. DTU vurderer under betydelig usikkerhed, at kul-
stofbindingen fra biokul har et teknisk reduktionspotentiale på op til 6 mio. ton CO
2
e om året. Klimarådet vurderer,
at en tredjedel af potentialet kan realiseres inden 2030, såfremt teknologien fungerer og kan opskaleres.
Andre forskningsprojekter søger at nedbringe metanudledningerne fra husdyrenes fordøjelse gennem fodertilsæt-
ningsstoffer. Forskere er fx ved at udvikle stoffet ”x”, som i de første forsøg har indikeret, at metanudledningen fra
kvæg kan sænkes med cirka 35-40 pct. Såfremt stoffet kan reducere metanudledningen fra køernes fordøjelsen med
40 pct. og kan anvendes på alle malkekøer, vil det kunne reducere udledningerne med ca. 1 mio. ton CO
2
e. Ligeledes
er der i september 2019 søgt om EU-godkendelse af fodertilsætningsstoffet Bovaer, som ventes at kunne gives til
konventionelt malkekvæg for at mindske metanudledningen herfra. Stoffet kan potentielt reducere udledningen af
metan med op til 30 pct. og forventes at komme på markedet i 2021 efter endt EU-godkendelsesproces.
Endelig arbejdes der på at udvikle tilsætningsstoffer til gyllen, som kan reducere drivhusgasudledningerne.
Eksempelvis forskes der aktuelt i stoffet ”NoGas”, som foreløbigt har vist potentiale til at kunne reducere udled-
ningerne af metan fra gyllen i stalde og lagre med op til 50 pct., svarende til cirka 1 mio. ton CO
2
e, såfremt det
anvendes til behandling af halvdelen af al gyllen i Danmark.
Det skal bemærkes, at de nævnte reduktionspotentialer er behæftet med meget stor usikkerhed ift. både effekt,
herunder overlap, dokumentation samt udbredelsespotentiale.
KEF, Alm.del - 2020-21 - Bilag 38: Klimaprogram 2020 i web-tilgængelig version
2267578_0024.png
24
KLIMAPROGRAM 2020
2. Klimaloven
Regeringen har sammen med Venstre, Dansk Folkeparti, Radikale Venstre, Socialistisk Folkeparti, Enheds-
listen, Det Konservative Folkeparti og Alternativet indgået
Aftale om klimalov af 6. december 2019.
Aftalen
er udmøntet i lov om klima, som blev vedtaget af Folketinget den 26. juni 2020. Klimaloven fastsætter et
mål om, at Danmark skal reducere udledningen af drivhusgasser i 2030 med 70 pct. i forhold til niveauet i
1990, hvilket er blandt de mest ambitiøse klimamål i verden. Klimaloven fastsætter samtidig et langsigtet
mål om, at Danmark opnår at være et klimaneutralt samfund i senest 2050 med Parisaftalens 1,5 graders
målsætning for øje. Danmark har dermed for første gang fået juridisk bindende klimamål.
Klimalovens mål og guidende principper
Med klimaloven sikres det, at der hvert 5. år sættes en ny national klimamålsætning med tiårigt per-
spektiv. Der skal derfor i 2025 sættes en ny juridisk bindende klimamålsætning for 2035. Klimaloven
fastsætter samtidig, at en ny klimamålsætning ikke må være mindre ambitiøs end den senest fastsatte
målsætning. Dette flugter med Parisaftalens princip om ”no backsliding”. Det følger desuden af
Aftale
om klimalov,
at regeringen i forbindelse med klimahandlingsplanen 2020 foreslår et indikativt delmål for
2025.
Den grønne omstilling af samfundet rummer mange dilemmaer og hensyn, som skal vejes op imod hin-
anden. Aftalepartierne bag klimaloven er således enige om, at klimaindsatsen skal ske under hensyns-
tagen til en række guidende principper, jf. boks 5. Klimaindsatsen skal tage hensyn til den langsigtede
grønne omstilling, omkostningseffektivitet, bæredygtig erhvervsudvikling, dansk konkurrencekraft, sunde
offentlige finanser, beskæftigelse og velfærdsstatens sammenhængskraft og sociale balance. Samtidig
understreger klimaloven, at klimaudfordringerne er globale, og at danske klimaløsninger både skal inspi-
rere til efterfølgelse og samtidig implementeres på en måde, der ikke blot flytter drivhusgasudlednin-
gerne og danske arbejdspladser til udlandet.
Regeringens klimapolitiske arbejde tager udgangspunkt i de rammer og krav, som klimaloven opstiller.
Arbejdet – som er beskrevet i dette klimaprogram – er således udtryk for en ambitiøs strategi, som skal
nå reduktionsmålene i klimaloven under hensyn til de principper, som også er en del af loven.
Boks 5
Guidende
principper for
klimaindsatsen jf.
Aftale om klimalov
af 6. december
2019
”Klimaindsatsen skal ske under hensynstagen til en række guidende principper: Klimaudfordringerne er en global problem-
stilling. Derfor skal Danmark være et foregangsland i den internationale klimaindsats, som kan inspirere og påvirke resten
af verden. Danmark har derudover både et historisk og moralsk ansvar for at gå forrest. Indfrielsen af Danmark klimamål
skal ske så omkostningseffektivt som muligt, under hensyntagen til både den langsigtede grønne omstilling, bæredygtig
erhvervsudvikling og dansk konkurrencekraft, sunde offentlige finanser og beskæftigelse. Dansk erhvervsliv skal udvikles
og ikke afvikles. Danmark skal vise, at vi kan lave en grøn omstilling og samtidig bibeholde et stærkt velfærdssamfund, hvor
sammenhængskraften og den sociale balance sikres. De tiltag, vi skal anvende for at reducere udledningen af drivhusgasser,
skal medføre reelle, indenlandske reduktioner, men vi skal samtidig sikre, at danske tiltag ikke blot flytter hele drivhusgasud-
ledningen uden for Danmarks grænser.”
Klimahandlingsplaner hvert femte år
Regeringen skal i henhold til klimaloven mindst hvert femte år og som minimum i forbindelse med
fastsættelse af klimamålsætningerne udarbejde en klimahandlingsplan med tiårigt perspektiv. Dette
klimaprogram kommer midt i udarbejdelsen af
Klimahandlingsplan 2020.
Omstillingen af affaldssektoren samt energi- og industrisektoren er allerede sat i gang. Regeringen
er sammen med et bredt udsnit af Folketingets partier blevet enige om
Klimaplan for en grøn affalds-
sektor og cirkulær økonomi
og
Klimaaftale for energi og industri mv. 2020.
Regeringen har også præ-
senteret et klimaudspil for vejtransport, en langsigtet global strategi En grøn og bæredygtig verden
og en strategi for grøn forskning. Dertil har regeringen indgået aftale om en finanslov for 2020, der
har prioriteret en styrket grøn omstilling, aftale om grøn renovering af almene boliger samt samar-
bejdsaftaler med landets største kommuner om ambitiøse planer for den grønne omstilling af den
kollektive busflåde.
KEF, Alm.del - 2020-21 - Bilag 38: Klimaprogram 2020 i web-tilgængelig version
2267578_0025.png
2. klimalOven
25
Regeringen har desuden indgået en samarbejdsaftale med cementfabrikken Aalborg Portland,
der sikrer en reduktion i drivhusgasudledningerne på 0,5 mio. ton CO
2
e i 2030.
Senere på året følger en sektorstrategi for landbruget samt strategier for grønne offent-
lige indkøb og bæredygtigt byggeri. Samtidig vil regeringen præsentere et oplæg til en grøn
skattereform.
Tilsammen udgør sektorstrategierne klimahandlingsplanen for 2020, der sætter retningen for
omstillingen i de enkelte sektorer. Elementerne i
Klimahandlingsplan 2020
oplistes i figur 6.
Figur 6
Elementer i
Klimahandlings-
plan 2020
Klimahandlingsplan
2020
Klimapartnerskaber
Vejtransport
Finanslov 2020
Grønne offentlige indkøb
Bilkommissionen
(samling af forløb fra for og efterår)
Klimatilpasning (vand)
Global klimastrategi
Grøn forskningsstrategi
Bæredygtigt byggeri
Grøn renovering af
almene boliger
Affald og cirkulær
økonomi
Klimaprogram
Landbrug
Grøn skattereform
Energi og industri
Indikativt 2025 mål
Klimasamarbejdsaftaler
om grøn kollektiv trafik
Bilkommissionen, hovedrapport
2021
Elementer
Lanceringer m.v.
2020
Klimalovens globale dimension
Danmark skal være et foregangsland i den internationale klimaindsats, som kan inspirere og
påvirke resten af verden. Derfor har klimaloven også et internationalt sigte. Loven fastsætter, at
Danmark skal arbejde aktivt for Parisaftalens målsætning om at begrænse den globale tempera-
turstigning til 1,5 grader. Samtidig fastslår loven, at der årligt i klimaprogrammet skal gøres status
på Danmarks internationale forpligtelser og præsenteres en global klimastrategi, samt at den
årlige klimastatus- og fremskrivning skal indeholde en særskilt global afrapportering for de inter-
nationale effekter af den danske klimaindsats. Der skal herunder fremgå oplysninger om redukti-
oner i international skibs- og luftfart og reduktioner fra eksport af el fra vedvarende energikilder.
Desuden kan effekterne af de danske bilaterale energisamarbejder med store drivhusgasudledere
indgå, ligesom effekterne af dansk import og forbrug søges belyst. Hertil skal der redegøres for
den danske bistand på klimaområdet. Formålet med afrapporteringen er at synliggøre Danmarks
globale påvirkning af klimaet. Der vil være tale om både negativ og positiv påvirkning, eksempel-
vis ved hhv. forbrug og konkrete bilaterale landesamarbejder, hvor Danmark bl.a. bidrager med at
omstille landenes energisektorer.
KEF, Alm.del - 2020-21 - Bilag 38: Klimaprogram 2020 i web-tilgængelig version
2267578_0026.png
26
KLIMAPROGRAM 2020
Klimalovens årshjul
Danmark har med klimaloven fået et fast årshjul for dansk klimapolitik, så den til enhver tid siddende
regering er forpligtet til at arbejde for at indfri klimalovens målsætninger. Årshjulets elementer illustreres
og uddybes i boks 6. Det følger af årshjulet, at Klimarådet skal rådgive regeringen om klimaindsatsen.
Klimarådet har som led i
Aftale om finanslov for 2020
fået tilført ekstra midler med henblik på at øge
Klimarådets klimafaglige kompetencer og kapacitet til at vurdere samfundsøkonomiske konsekvenser af
klimapolitiske forslag.
Boks 6
Klimalovens
årshjul
feBRUAR
Anbefalinger fra
Klimarådet
DeCeMBeR
Redegørelse for
klimaeffekter
i Folketinget
APRIL
ÅRSHJUL
for
Klimaloven
Klimastatus og
-fremskrivning
sePteMBeR
Finanslovs-
proces
Klimaminister
fremlægger
klimaprogram
Klimarådets årlige anbefalinger
Klimarådet skal rådgive regeringen om klimaindsatsen. Denne rolle styrkes med klimaloven, hvor Klimarådet årligt skal vur-
dere regeringens klimaindsats og afgive anbefalinger til den fremadrettede indsats. Disse anbefalinger skal klima-, energi- og
forsyningsministeren hvert år redegøre for og tage stilling til i klimaprogrammet. Klimarådet skal samtidig give dets faglige
vurdering af, om handlepligten indtræder, jf. nedenfor om det årlige klimaprogram.
Klimastatus og -fremskrivning
Energistyrelsen udarbejder årligt en fremskrivning af de danske drivhusgasudledninger. Klimastatus og –fremskrivningen
vil give en samlet status for de forventede udledninger efter indregning af de virkemidler, der er besluttet i det forgangne år
og den nye viden, der måtte være opstået i forhold til fx teknologiudvikling, rammebetingelser eller ny viden om aktiviteters
betydning for udledning af drivhusgasser. Den årlige klimastatus og –fremskrivning vil indeholde en særskilt global afrappor-
tering for de internationale effekter af den danske klimaindsats.
Klimaprogram
I henhold til klimaloven skal klima-, energi- og forsyningsministeren årligt udarbejde et klimaprogram til Folketinget, jf. neden-
for om det årlige klimaprogram.
Finanslovsproces
Klimaprogrammet vil tilgå Folketinget i september, så dets indhold kan tages i betragtning i forbindelse med
finanslovsprocessen.
Redegørelse til Folketinget
Klima-, energi- og forsyningsministeren skal efter indgåelse af den årlige aftale om finansloven komme med en redegørelse
for effekterne af regeringens klimapolitik og stiller sig i den sammenhæng årligt til rådighed for en forespørgselsdebat i
Folketinget. Hermed får Folketinget mulighed for årligt at vurdere, om regeringens initiativer er tilstrækkelige til, at Folketinget
vurderer, at handlepligten efterleves, jf. nedenfor om det årlige klimaprogram.
KEF, Alm.del - 2020-21 - Bilag 38: Klimaprogram 2020 i web-tilgængelig version
2267578_0027.png
2. klimalOven
27
Klimaprogram og handlepligt
Klima-, energi- og forsyningsministeren skal i henhold til klimaloven årligt udarbejde et klimaprogram
til Folketinget.
Klimaprogram 2020
er det første siden lovens vedtagelse og er dermed skrevet, inden
klimalovens årshjul har været gennemløbet.
Loven rummer en række krav til indholdet af programmet, som understøtter, at der løbende frem
mod det kommende delmål følges op på den samlede klimaindsats. I klimaprogrammet gøres der fx
status på opfyldelsen af Danmarks klimamål og -forpligtelser, mens regeringens planlagte klimatil-
tag præsenteres. Klimaprogrammet rummer samtidig et globalt kapitel, som beskriver regeringens
langsigtede strategi for global klimaindsats i konkrete initiativer, der igangsættes i det kommende
år. Boks 7 belyser klimalovens krav til indholdet af klimaprogrammet, samt hvor disse elementer kan
genfindes i
Klimaprogram 2020.
Boks 7
Klimalovens
indholdskrav til
klimaprogrammet
§ 7, stk. 2 Klimaprogrammet skal indeholde følgende:
1.
2.
3.
4.
5.
6.
7.
Status på opfyldelse af de nationale klimamål: kapitel 4
Planlagte klimatiltag og virkemidler med effekt på kort og lang sigt og forventet fremtidig effekt heraf: kapitel 7
En redegørelse for Klimarådets anbefalinger og klima-, energi- og forsyningsministerens stillingstagen hertil:
kapitel 9
Status på forskning og udvikling af nye klimatiltag: kapitel 6 og 7
Status på klimavidenskabelig udvikling, herunder nyeste rapporter fra IPCC: kapitel 3
Beskrivelse af og status for opfyldelse af internationale klimaforpligtelser: kapitel 4
En global klimastrategi: kapitel 8
Ud over disse indholdskrav til klimaprogrammet skal klima-, energi- og forsyningsministeren i klimapro-
grammet give sin vurdering af, om det kan anskueliggøres, at de nationale klimamål nås, jf. boks 8.
Boks 8
Klimaloven om
anskuliggørelse
Af lovteksten fremgår, at:
§ 7, stk. 3: Klima-, energi- og forsyningsministeren skal i klimaprogrammet give sin vurdering af, om det kan anskueliggøres,
at de nationale klimamål […] nås.
§ 7, stk. 4: Kan det ikke anskueliggøres, at de nationale klimamål nås, skal klima-, energi- og forsyningsministeren i klimapro-
grammet tillige fremlægge nye initiativer med reduktionseffekt på kortere sigt og initiativer med reduktionseffekt på længere
sigt, som viser vejen mod opfyldelse af de nationale klimamål.
Det fremgår desuden af bemærkningerne til klimaloven, at:
Der knyttes en handlepligt til klimalovens målsætninger. Handlepligten indtræder, hvis det ikke kan anskueliggøres, at klima-
lovens mål nås. Dette under hensynstagen til, at man endnu ikke kender de præcise virkemidler, der skal til for at nå målet om
70 pct. reduktion af drivhusgasser i 2030 i forhold til 1990 under hensyntagen til klimalovens principper for klimaindsatsen.
Det påhviler således klima-, energi- og forsyningsministeren […] i klimaprogrammet at offentliggøre sin vurdering af, om det
på grundlag af igangsatte og fremsatte klimatiltag samt forventet effekt af f.eks. forskning og udviklingstiltag og teknologisk
udvikling kan anskueliggøres, at klimamålene nås. Igangsatte og fremsatte initiativer vil eksempelvis dække over initiativer
vedtaget gennem lovgivning eller initiativer, som offentligt i anden sammenhæng er foreslået igangsat af regeringen, mens
antagelser om forventede effekter af f.eks. teknologisk udvikling vil have karakter af fagligt baserede antagelser og forvent-
ninger til fremtidig teknologisk udvikling.
Anskueliggørelsen af, om klimamålene nås, baseres altså på en samlet vurdering af effekterne af initiativer på kort og lang
sigt, hvor det for [nogle] initiativer vil være muligt at estimere en konkret reduktionseffekt, mens der for [andre] initiativer
foretages en vurdering af forventningerne til reduktionseffekten baseret på faglige antagelser.
Frem mod 2030 skal der over årene i klimaprogrammet ske en øget konkretisering i de fremlagte initiativer, hvor balancen
skal gå mod, at der i tiltagende grad fremsættes initiativer med effekter på kortere sigt med henblik på at sikre målopfyldelse
i 2030.
I overensstemmelse med klimalovens krav anskueliggør regeringen målopfyldelse igennem to spor, som
belyst i kapitel 1.
KEF, Alm.del - 2020-21 - Bilag 38: Klimaprogram 2020 i web-tilgængelig version
2267578_0028.png
28
KLIMAPROGRAM 2020
3. Seneste
klimavidenskabelige udvikling
DMI er regeringens klimavidenskabelige rådgiver og vil hvert år i klimaprogrammet levere en status over den
seneste klimavidenskabelige udvikling, baseret på nyeste forskning og nyeste konklusioner fra IPCC. DMI fun-
gerer som det danske kontaktpunkt til FN’s klimapanel (IPCC) og sikrer derigennem både, at dansk forskning
aktiveres internationalt, og at nyeste internationale viden forankres og videreformidles i en dansk kontekst.
DMI repræsenterer således Danmark ved møder i IPCC og holder danske forskere opdateret om, hvordan de
kan bidrage til udarbejdelsen af IPCC rapporter. DMI videreformidler samtidig viden fra IPCC til den danske
regering og befolkning. DMI er pt. involveret i mere end 70 nationale og internationale forskningsprojekter.
Størstedelen af disse er klimaforskningsaktiviteter, herunder forskning i klimaforhold i oceanerne.
I dette års version af klimaprogrammet fastslår DMI med baggrund i flere IPCC rapporter, at klimasyste-
mets opvarmning er utvetydig, og den dominerende årsag er menneskelig udledning af drivhusgasser.
Aktuel forskning peger desuden på, at afsmeltning fra iskapper og gletsjere får havniveauet til at stige i
et tiltagende tempo med konsekvenser både for Danmark og resten af verden.
Global temperaturudvikling ifølge IPCC og nyeste forskning
Klimasystemets opvarmning er utvetydig
1
. Siden 1970’erne er den globale gennemsnitstemperatur blevet
højere årti for årti. De fem seneste år er de varmeste nogensinde målt, og 19 ud af de 20 varmeste år har
fundet sted siden år 2000 jf. figur 7.
Figur 7
Udviklingen i
temperatur-
gennemsnittet,
1850-2020
°C
1,5
JRA-55 (degC)
1,2
ERA-5
HadCRUT
0,9
Berkeley Earth
Cowtan and Way
0,6
GISTEMP
0,3
0,0
-0,3
1850
1910
1970
2020
Anm.: Udviklingen i den observerede globale middeltemperatur fra 1850 til 2020. Grafen viser temperaturudviklingen set i forhold til referenceperioden 1850-1900. Der vises data
fra seks forskellige videnskabelige kilder. De forskellige dataset udviser alle samme langtidstendens og år til år variabilitet.
Kilde: https://www.metoffice.gov.uk/hadobs/monitoring/dashboard.html
1
IPCC AR5 WGI SPM 2013
KEF, Alm.del - 2020-21 - Bilag 38: Klimaprogram 2020 i web-tilgængelig version
2267578_0029.png
3. seneste klimavidenskabelige udvikling
29
Som det ses i figur 7, har den globale middeltemperatur tydelige udsving fra år til år forårsaget af natur-
lig variabilitet i klimasystemet, fx varmefænomenet El Niño i Stillehavsområdet. Siden midten af forrige
århundrede er der dog sket en markant opvarmning, der er et resultat af den fundamentale ubalance i
klimaets energiregnskab: Der kommer mere energi ind fra Solen, end Jorden afgiver tilbage til verdens-
rummet. Det skyldes den menneskeskabte forstærkning af drivhuseffekten
2
.
Den fremtidige udvikling af den globale middeltemperatur afhænger af udledningen af drivhusgasser.
FN’s klimapanel IPCC vurderer
3
, at den globale temperaturstigning i slutningen af det 21. århundrede vil
være mellem 1,0 °C i et lavt udledningsscenarie (kaldet RCP2.6
4
) og 3,7 °C i et højt udledningsscenarie
(kaldet RCP8.5
5
) i forhold til referenceperioden 1986-2005. Figur 8 viser, at der er markante forskelle i
opvarmning hen over kloden. Opvarmningen er større over land end over havene, og i Arktis er opvarm-
ningen mere end dobbelt så stor som det globale gennemsnit
6
.
Figur 8
Fremskrivninger
af temperatur-
gennemsnittet,
2081-2100
Ændring i gennemsnitlig overfladetemperatur (1986-2005 til 2081-2100)
Lav udledning
(RCP2.6)
Høj Udledning
(RCP8.5)
Anm: Årlig gennemsnitstemperatur i 2081-2100 sammenlignet med 1986-2005; under hhv. et lavt og et højt udledningsscenarie (RCP2.6 til venstre, RCP8.5 til højre). Den forven-
tede gennemsnitlige globale opvarmning er 1,0°C for RCP2.6 og 3,7°C for RCP8.5. Hvis opvarmningen i stedet ses i forhold til det førindustrielle niveau (1850-1900) tilføjes en
yderligere opvarmning på 0,6°C
Kilde: IPCC AR5, 2013
Havniveau
Vandstanden i verdenshavene og havet langs de danske kyster stiger som følge af varmere klima. Det
globale gennemsnit kan ses i figur 9. Dels udvider vandet sig, når havtemperaturen stiger, og dels smel-
ter iskapper på Grønland og Antarktis samt gletsjere over hele kloden. Afsmeltningen fra Grønlands ind-
landsis og mindre gletsjere i Arktis bidrog med ca. 1/3 af den globale havstigning i perioden 1992-2017
7
.
FN’s klimapanel IPCC vurderer, at menneskelige aktiviteter er den dominerende årsag til havniveaustig-
ningen siden 1970
8
.
2
3
4
5
6
7
8
IPCC AR5 WGI Kapitel 1 2013
IPCC AR5 WGI SPM 2013
RCP 2.6 er et lavt udledningsscenarie med omfattende reduktionstiltag, hvor den globale udledning går i nul før slutningen af århundredet.
RCP 8.5 er et højt udledningsscenarie, hvor der ikke fortages omfattende reduktionstiltag, og udledningen fortsat stiger frem mod slutningen af århundredet.
IPCC SROCC SPM 2019
AMAP, Climate Change Update 2019: An Update to Key Findings of Snow, Water, Ice and Permafrost in the Arctic (SWIPA) 2017.
IPCC SROCC SPM 2019
KEF, Alm.del - 2020-21 - Bilag 38: Klimaprogram 2020 i web-tilgængelig version
2267578_0030.png
30
KLIMAPROGRAM 2020
Figur 9
Udviklingen i
havniveauet,
1993-2020
mm
80
70
60
50
CSIRO (mm)
40
30
20
10
0
-10
-20
-30
1992
2001
2011
2020
Colorado (mm)
NASA (mm)
AVISO (mm)
CMEMS (mm)
Anm: Udviklingen af det globale havniveau fra 1993 frem til i dag. I gennemsnit er havniveauet stegt med cirka 2,5 mm pr. år over hele perioden. Dog har stigningen i de seneste
5 år været cirka 4 mm. pr. år. Grafen viser havniveauet i forhold til referenceperioden 1993-2010. Grafikken viser satellitdata fra fem videnskabelige kilder. De forskellige dataset
udviser alle samme langtidstendens og år til år variabilitet.
Kilde: https://www.metoffice.gov.uk/hadobs/monitoring/dashboard.html
Havniveauet forventes at stige i et tiltagende tempo
9
. Denne tendens forventes at fortsætte flere
århundreder fremover; hvor meget og hvor hurtigt afhænger af udledningen af drivhusgasser. Fra
midten af århundredet og frem er der en markant forskel på, hvor meget og hvor hurtigt havet stiger
afhængigt af udledningen af drivhusgasser, jf. figur 10. Under det lave udledningsscenarie forventes
havet at stige yderligere 0,43 m frem mod 2100, mens et højt udledningsscenarie fører til en forventet
stigning på 0,84 m
10
. Desuden er der en lille, men ikke ubetydelig risiko for væsentlig større stigninger i
havniveau, specielt på grund af potentielt ustabile ismasser på Vestantarktis
11
.
På lang sigt (frem mod 2300) er der store usikkerheder forbundet med, om afsmeltningen i Antarktis
og Grønland passerer kritiske tærskler, der igangsætter irreversibelt tab af is og dermed giver en stor
stigning i havniveauet. Tærsklen for at udløse disse eventuelle tipping points kan ligge på en global
temperaturstigning på omkring 1,5°C - 2°C
12
.
9
10
11
12
IPCC SROCC SPM 2019
IPCC SROCC SPM 2019
IPCC SROCC Kapitel 4 2019 og Bamber et al. “Ice Sheet Contributions to Future Sea-Level Rise from Structured Expert Judgment” Proceedings of the National Academy of
Sciences 2019.
IPCC SR15 SPM 2018
KEF, Alm.del - 2020-21 - Bilag 38: Klimaprogram 2020 i web-tilgængelig version
2267578_0031.png
3. seneste klimavidenskabelige udvikling
31
Figur 10
Meter
5
Fremtidigt
havniveau
(m)
Globalt gennemsnitligt havniveau
ændring relativt til 1986−2005
4
0,84 m
0,43 m
3
2
1
År
0
1950
20 00
20 50
21 00
215 0
220 0
225 0
230 0
Anm: Udviklingen af det globale havniveau frem mod år 2300; lavt udledningssceniarie RCP2.6 (blå) og højt udledningsscenarie RCP8.5 (rød). Kurverne indikerer det bedste
bud, og de skraverede områder usikkerhedsintervallet. De to punkter: 0,84m og 0,43m indikerer forventet havniveau i år 2100 i hvert af de to scenarier
Kilde: IPCC SROCC 2019 Figur SPM.1 panel m
Øvrige globale konsekvenser af klimaforandringerne
Igennem de seneste årtier har den globale opvarmning allerede resulteret i forandringer i klimaet, som har
indvirket på naturlige og menneskelige systemer på alle kontinenter og på tværs af verdenshavene. Fortsat
udledning af drivhusgasser vil forårsage yderligere opvarmning og varige ændringer af klimasystemet.
Når luften bliver varmere, kan den indeholde mere vanddamp. Mere vanddamp i atmosfæren vil resultere
i kraftigere og voldsommere byger og skybrud. Derfor bliver voldsomme nedbørhændelser generelt mere
ekstreme og hyppige i takt med den globale opvarmning. Det kan medføre øget risiko for oversvømmelser.
På grund af havniveaustigninger gennem det 21. århundrede og fremover vil kyster og lavtliggende områder
desuden i stigende grad opleve oversvømmelser og kysterosion. 
Hyppigheden af tørke vil sandsynligvis øges i nuværende tørre områder. Der er store regionale variationer
i den fremtidige risiko for tørke. Middelhavsområdet, det sydvestlige USA og det sydlige Afrika har en
øget risiko for tørke i et varmere klima
13
. Som en konsekvens af opvarmning og øget risiko for varme- og
hedebølger, tørke og mindre nedbør vil flere områder desuden have en øget risiko for naturbrande. Risi-
koen forventes at stige i takt med opvarmningen, hvorfor en gradvist større andel af Jordens landareal
vil have en større risiko for naturbrande
14
. Klimaforandringer vil dertil reducere vandressourcer væsentligt
i de fleste tørre, subtropiske områder. Andelen af den globale befolkning, der oplever vandmangel, vil
derfor stige i takt med den globale opvarmning i det 21. århundrede
15
.
Klimaforandringerne truer desuden biodiversiteten. En stor andel af landboende og ferskvandsbaserede
arter kan risikere at uddø som følge af de fremskrevne klimaforandringer i løbet af dette århundrede og
fremover. Dette er især tilfældet, når man ser på klimaforandringerne i samspil med andre faktorer som
ændring af habitater, overudnyttelse
af naturens ressourcer, forurening, invasive arter og forsuring af
havene
16
. Risikoen stiger med størrelsen og hastigheden af klimaforandringerne
17
. Tropiske skovområder
og regnskove har potentielle tipping points, hvor opvarmning over et vist niveau starter en udtørring, der
kan igangsætte brat og udbredt skovdød, fx i Amazonas
18
.
Konsekvenser af klimaforandringer forventes dertil i løbet af det 21. århundrede at øge antallet af for-
drevne mennesker. Klimaforandringer kan indirekte føre til øget risiko for voldelige konflikter ved at for-
værre fattigdom og økonomiske kriser
19
.
13
14
15
16
17
18
19
IPCC AR5 WGI Kapitel 12 2013
IPCC SR15 Kapitel 3 2018
IPCC AR5 WGII og SR15 SPM
IPCC SROCC SPM 2019
IPCC SR15 SPM 2018
IPCC SR15 Kapitel 3 2018
IPCC AR5 WGII SPM 2014
KEF, Alm.del - 2020-21 - Bilag 38: Klimaprogram 2020 i web-tilgængelig version
2267578_0032.png
32
KLIMAPROGRAM 2020
Nyeste særrapporter fra FN’s klimapanel
FN’s klimapanel IPCC udgiver løbende rapporter, der belyser nyeste viden om klimaforandringer,
som beskrevet i dette afsnit. IPCC peger bl.a. på, at den globale udledning af drivhusgasser skal
nå nul omkring 2050, hvis den globale opvarmning skal begrænses til 1,5 °C. I en anden særrapport
vurderer IPCC, at bæredygtig jordforvaltning, der integreres med klimatilpasning og bekæmpelse
af klimaforandringer, kan skabe større robusthed over for konsekvenserne af klimaforandringer.
Særrapporten om klimaforandringer og hav og is belyser, hvordan det globale havniveau stiger i et stadig
højere tempo. De seneste særrapporter belyses i
boks 9.
Boks 9
Nyeste
særrapporter fra
FN’s klimapanel
FN’s særrapport om 1,5 °C
Det har stor betydning for omfanget og konsekvenserne af klimaforandringerne, om temperaturstigningen begrænses til 1,5
°C eller 2 °C. Selv en midlertidig opvarmning over 1,5 °C kan føre til langvarige eller irreversible ændringer, fx risiko for lang-
som, men uigenkaldelig afsmeltning fra iskapperne i Grønland og på Antarktis samt tab af økosystemer. Med de ambitioner,
verdens lande har meldt ind i forbindelse med de internationale klimaforhandlinger, vil den globale opvarmning i slutningen af
århundredet være ca. 3 °C. For at begrænse opvarmningen til 1,5 °C i slutningen af århundredet er det nødvendigt med globale
CO
2
-reduktioner på 45 pct. i 2030 i forhold til 2010, og udledningerne skal nå nul omkring 2050.
FN’s særrapport om landsektoren
Aktiviteter inden for landbrug, skovbrug og anden arealanvendelse udgør 23 pct. af de menneskeskabte udledninger af driv-
husgasser på globalt plan. Rapporten konstaterer, at klimaforandringerne i sig selv skaber pres på landjorden og påvirker
fødevareforsyningssikkerheden og biodiversiteten negativt. Samtidig har fødevareproduktionen en væsentlig klimapåvirkning.
Bæredygtig jordforvaltning, der integreres med klimatilpasning og bekæmpelse af klimaforandringer, kan skabe større robust-
hed over for konsekvenserne af klimaforandringer.
FN’s klimapanels særrapport om klimaforandringer og hav og is
Verdenshavene bliver varmere og undergår forsuring og ilttab. Samtidig stiger havniveauet hurtigere end tidligere, især
på grund af afsmeltning fra iskapperne
på Grønland og Antarktis samt fra gletsjere. Siden 1993 er opvarmningen af
verdenshavene mere end fordoblet, og det globale havniveau stiger i et stadigt højere tempo.
Fremtidens klima i Danmark.
Temperaturgennemsnittet i Danmark for hele året er steget ca. 1°C, når man sammenligner de seneste
30 år med de foregående 30 år (1991-2020 set i forhold til 1961-1990). Danske forskere slår fast, at tem-
peraturen i Danmark i fremtiden vil stige yderligere. DMI’s Klimaatlas
20
viser, at med et højt udlednings-
scenarie stiger den årlige gennemsnitstemperatur ca. 3,4 ˚C frem mod år 2100 (i forhold til 1981-2010).
Mængden af nedbør stiger i takt med opvarmningen, især om vinteren, hvor nedbøren forventes at stige
med knap 25 pct. og en stigende andel vil falde som regn.
Sommerens nedbør forventes at forblive stort set uforandret, men regnen vil i højere grad falde som kraf-
tige byger. Antallet af skybrud forventes at stige med 70 pct., og de kraftigste nedbørshændelser bliver
kraftigere. Havniveauet kan stige med ca. 50 cm i slutningen af århundredet, og med et stigende havni-
veau øges hyppigheden af forhøjet vandstand og stormfloder. Tilfælde af stormflod, som i dag statistisk
forekommer hvert 20. år, bliver en hændelse, der kan ske hvert eller hvert andet år
22
.
20
https://www.dmi.dk/klimaatlas/
KEF, Alm.del - 2020-21 - Bilag 38: Klimaprogram 2020 i web-tilgængelig version
2267578_0033.png
3. seneste klimavidenskabelige udvikling
33
Figur 11
Procentvis
ændring i hhv.
gennemsnits-
nedbør og skybrud
Ændring i gennemsnitsnedbør
Danmark, hele året
30%
Middel CO
2-
niveau (RCD4,5)
Højt CO
2-
niveau (RCD8,5)
20%
10%
0%
Reference (1981-2010): 2,03mm/døgn
-10%
Start århundrede
2011-2040
Midt århundrede
2041-2070
Slut århundrede
2071-2100
Ændring i skybrud
Danmark, hele året
200%
150%
100%
50%
0%
-50%
Start århundrede
2011-2040
Midt århundrede
2041-2070
Middel CO
2-
niveau (RCD4,5)
Højt CO
2-
niveau (RCD8,5)
Reference (1981-2010): 0,33 hændelser/år
Slut århundrede
2071-2100
Anm.: Procentvis ændring af Danmarks årlige nedbør mellem 1981-2010 og fremtidsperioder-ne 2011-2040, 2041-2070 og 2071-2100 med et mellemlavt (RCP4.5, blå) og et højt
(RCP8.5, rød) udledningsscenarie. Til venstre gennemsnitsnedbør for hele året, til højre hyppigheden af skybrud. Den forventede ændring i slutningen af århundredet for RCP8.5
er 14 pct. (2 til 25 pct.) for gennemsnitsnedbør og 70 pct. (20 til 150 pct.) for skybrud.
Kilde: DMI’s Klimaatlas, https://www.dmi.dk/klimaatlas/
Dansk forskning i klimaforandringer ved klodens poler
Nationalt Center for Klimaforskning ved DMI samler rigsfællesskabets kapaciteter inden for klimaforsk-
ning og initierer forskningsprojekter, der søger at belyse videnshuller inden for klimaforskningen, bl.a. om
klimaforandringernes påvirkning på afsmeltningsprocesser i Grønland og fra gletsjere i Arktis og Antark-
tis, jf. boks 10.
Boks 10
Nationalt Center
for Klimaforskning
Nationalt Center for Klimaforskning (NCKF) blev i 2020 etableret ved DMI med bevilling fra forskningsreserven. Centeret
samler rigsfællesskabets kapaciteter inden for klimaforskning og initierer forskningssamarbejder på tværs af universiteter,
styrelser, institutioner og beslutningstagere. Forskningsprojekterne i NCKF sigter mod at udfylde huller i den internationale
viden om klimaforandringer. Der er bl.a behov for bedre at forstå de processer, der forårsager afsmeltning fra Grønlands
indlandsis og gletsjere i Arktis og Antarktis, som har stor indflydelse på havniveau-ændringer globalt. Der er også behov for
forskning i, hvordan klimaændringer påvirker havstrømmene i Nordatlanten og Arktis. NCKF har igangsat en række forsk-
ningsprojekter, der skal bidrage til at øge viden inden for disse vigtige klimavidenskabelige områder.
KEF, Alm.del - 2020-21 - Bilag 38: Klimaprogram 2020 i web-tilgængelig version
2267578_0034.png
34
KLIMAPROGRAM 2020
Både Arktis og Antarktis oplever meget markante ændringer som følge af klimaforandringerne, der har
konsekvenser for hele kloden – især ved at bidrage til et stigende havniveau
21
. Danske forskere har i de
senere år medvirket i en lang række internationale studier, der omhandler afsmeltning ved polerne. Et af
disse forskningsprojekter viser, at opvarmningen i Arktis de sidste 40 år er sket i et tempo, der kun tidli-
gere er forekommet under sjældne perioder med brat opvarmning under sidste istid
22
. Et andet detaljeret
studie af ændringerne i Grønlands indlandsis konkluderede, at den faktiske afsmeltning frem til i dag har
fulgt det høje udledningsscenarie (RCP 8,5)
23
.
Temperaturen i Arktis stiger 2-3 gange så hurtigt som det globale gennemsnit
24
. Den nyeste forskning
fremhæver, at opvarmningen allerede nu har resulteret i markante ændringer i Arktis: Mindre havisdække,
kortere snedække-sæson, øget afsmeltning fra Indlandsisen og mindre gletsjere, øgede vandmængder i
de arktiske floder og større udbredelse af vegetation i den arktiske tundra
25
. Afsmeltningen fra Indlands-
isen øger det globale havniveau med 0,7 mm pr. år i gennemsnit (svarende til ca. 250 milliarder ton is)
25
.
Stigende temperatur, ændringer i sne- og havisdække og nye vejrekstremer påvirker dyre- og plantelivet i
Arktis, både i havet og på land
26
. FN’s klimapanel IPCC nævner Arktis og områdets oprindelige befolkning
blandt særlige truede og unikke systemer, der er i særlig høj risiko ved fortsat opvarmning
27
. De nyeste
klimamodeller indikerer, at vi kommer til at opleve den første havis-fri sommer i Arktis inden 2050 – selv
med en hurtig og markant global reduktion i udledningen af drivhusgasser
28
. Figur 12 illustrerer denne
udvikling i afsmeltningen ved klodens poler.
Figur 12
Masseændring
i Grønland
og Antarktis
fra GRACE
satellitmålinger
1250
0
Massændring (Mia. ton is)
-1250
-2500
Grønland
Antarktis
-3750
GRACE
GRACE - Follow On
-5000
2000
2005
2010
2015
2020
Anm: Figuren viser masseændringen måned for måned for iskapperne
på Grønland (blå) og Antarktis (rød). Ændringerne er angivet i gigaton (mia. ton). 100 gigaton svarer til
0,28 mm havniveaustigning globalt. Baseret på satellitdata fra GRACE indtil 2016 og GRACE-Follow On efter 2016.
Kilde: DTU-Space og polarportal.dk
21
22
23
24
25
26
27
28
IPCC SROCC SPM 2019 og AMAP, Climate Change Update 2019
Jansen et al., “Past Perspectives on the Present Era of Abrupt Arctic Climate Change.” Nature Climate Change, 2020.
The IMBIE Team. “Mass Balance of the Greenland Ice Sheet from 1992 to 2018.” Nature, 2019.
IPCC SR15 SPM 2018
IPCC SROCC SPM 2019 og AMAP Climate Change Update 2019 og NOAA Arctic Report Card 2019 (https://www.arctic.noaa.gov/Report-Card).
IPCC SROCC SPM 2019
IPCC SR15 SPM 2018
SIMIP Community. “Arctic Sea Ice in CMIP6” Geophysical Research Letters, 2020.
KEF, Alm.del - 2020-21 - Bilag 38: Klimaprogram 2020 i web-tilgængelig version
2267578_0035.png
3. seneste klimavidenskabelige udvikling
35
Den estimerede fremtidige stigning i havniveau er større end hidtil antaget grundet et større forventet
bidrag fra Antarktis
29
. For Danmark er det i højere grad iskappen på Antarktis end Grønlands indlandsis,
der kan påvirke havniveauet langs de danske kyster. Afsmeltningen fra Antarktis er steget de seneste
år: Siden 2012 har iskappen tabt ca. 200 milliarder ton is hvert år. Samlet set har iskappen
på Antarktis
alene bidraget med
en stigning i det globale havniveau på ca. 7,5 mm siden 1992
30
. Dele af iskappen
på Antarktis er i direkte kontakt med havet og kan derfor også påvirkes af stigende havtemperaturer.
På Vestantarktis er der derfor en risiko for hurtig tilbagetrækning, irreversibelt istab og en markant
havniveaustigning. De tilgængelige data og den nuværende viden er utilstrækkelige til at foretage en
kvantitativ vurdering, men det er dog meget usandsynligt, at dette vil føre til et komplet tab af iskappen i
løbet af dette århundrede
31
. Iskappen på Antarktis er den primære årsag til usikkerheden i de nuværende
fremskrivninger af det globale havniveau; ikke desto mindre forventes afsmeltningen fra Antarktis at
blive det største bidrag til havniveaustigningen i løbet af det 21. århundrede
32
.
29
30
31
32
IPCC SROCC SPM 2019
The IMBIE team.
“Mass Balance of the Antarctic Ice Sheet from 1992 to 2017”
Nature, 2018.
IPCC AR5 WGI Kapitel 12 2013
IPCC SROCC SPM 2019
KEF, Alm.del - 2020-21 - Bilag 38: Klimaprogram 2020 i web-tilgængelig version
2267578_0036.png
36
KLIMAPROGRAM 2020
4. Status for opfyldelse
af Danmarks nationale
klimamål og internationale
forpligtelser
Danmarks klimaforpligtelser er både relateret til de nationale mål på vejen mod et klimaneutralt sam-
fund, fastsat med klimaloven, og de internationale forpligtelser, der bl.a. følger af Parisaftalens globale
temperaturmål og Danmarks EU-forpligtelser. Dertil kommer en række øvrige internationale forpligtelser,
der har betydning for drivhusgasreduktionerne i Danmark fx mål for VE-andele og energieffektiviseringer.
Kapitlet viser en samlet status over opfyldelsen af Danmarks klimamål og -forpligtelser, herunder at der
efter aftalerne om sektorstrategier for affald, energi og industri samt samarbejdsaftalen med Aalborg
Portland skal ske en reduktion på yderligere ca. 16,1 mio. ton CO
2
e for at nå 70 pct.-målet i 2030. Sam-
tidig viser kapitlet de store usikkerheder, der er forbundet ved at lave fremskrivninger mange år frem i
tiden.
Internationale klimamål
FN’s klimakonvention (UNFCCC) og Parisaftalen, der blev vedtaget på COP21 i 2015, sætter rammerne
for den globale klimaindsats. Parisaftalens overordnede mål er at holde den globale temperaturstigning
et godt stykke under 2 grader og stræbe efter at begrænse den til 1,5 grader, blive modstandsdygtige
over for klimaforandringernes konsekvenser, vende finansieringsstrømme mod lavemissionssamfund
og opnå klimaneutralitet i anden del af dette århundrede. Parisaftalen forpligter parterne til at fremlægge
nationale klimabidrag (NDC’er), som skal bidrage til den samlede reduktion i udledningen af drivhusgas-
ser. I klimaforhandlingerne forhandler Danmark gennem EU. EU har således på vegne af Danmark og de
øvrige medlemsstater fremlagt ét samlet klimabidrag. Bidraget lyder på en reduktion i udledningen af
drivhusgasser på mindst 40 procent i 2030 i forhold til i 1990. Danmark arbejder for, at EU skal hæve sit
2030 klimabidrag til mindst 55 pct., samt at både EU og EU’s medlemsstater bliver klimaneutrale senest
i 2050. 
I tillæg til EU’s NDC har mange europæiske lande sat nationale delmål og langsigtede reduktionsmål, jf.
tabel 3. Målene er ikke direkte sammenlignelige, da der fx kan være forskel på, hvilke udledninger, der
indgår i målene, men boksen viser, at Danmark ikke er alene om at have ambitiøse mål for den grønne
omstilling. Ved at vise vejen med en ambitiøs, socialt balanceret og omkostningseffektiv grøn
omstilling,
kan Danmark og andre EU-lande inspirere andre til også at hæve sine ambitioner.
KEF, Alm.del - 2020-21 - Bilag 38: Klimaprogram 2020 i web-tilgængelig version
2267578_0037.png
4. status fOR Opfyldelse af danmaRks natiOnale klimamål Og inteRnatiOnale fORpligtelseR
37
Tabel 3
Andre EU-landes
nationale klimamål
Land
Finland
Frankrig
Irland
Nederlandene
Portugal
Langsigtet mål*
80 pct. drivhusgasreduktion i 2050
Klimaneutralitet i 2050 med mindst 83,3 pct. drivhusgasreduktion.
Klimaneutralitet i 2050
95 pct. drivhusgasreduktion i 2050
Klimaneutralitet i 2050
Klimaneutralitet i 2050 (inkl. min.
90 pct. drivhusgasreduktion)
Klimaneutralitet i 2045
Klimaneutralitet i 2050
Klimaneutralitet senest i 2050
Klimaneutralitet i 2040
Delmål
Klimaneutralitet i 2035
51 pct. i 2030
49 pct. i 2030
-
23 pct. i 2030
63 pct. i 2030
75 pct. i 2040
55 pct. i 2030
40 pct. i 2030
Spanien
Sverige
Tyskland
Ungarn
Østrig
Anm.: *: Målene er opgjort i forhold til 1990-niveau.
Kilde: Klima-, Energi- og Forsyningsministeriet.
Danmarks nationale klimamål og internationale klimaforpligtelser
Danmark har for at drive både den nationale og globale klimadagsorden forpligtet sig til at leve op til
en række nationale og internationale klimamålsætninger. Det samlede overblik over målsætningerne er
anført i tabel 4.
Tabel 4
Holde den gennemsnitlige globale temperaturstigning et godt stykke under 2
°C i forhold til førindustrielt niveau og stræbe efter at begrænse temperatur-
stigningen til 1,5 °C.
EU’s reduktionsmål for 2030: mindst 40 pct. reduktion af drivhusgasudlednin-
gerne relativt til 1990.
Danmarks
klimapolitiske
forpligtelser
Langsigtede
rammeforpligtelser
Målsætning for 2030
EU-forpligtelser
Danske forpligtelser
39 pct. reduktion af drivhusgasudledninger relativt til 2005 i de ikke-kvote-
belagte sektorer
70 pct. reduktion af drivhusgasudledninger relativt til 1990
Målsætning for 2050
EU-forpligtelser
Danske forpligtelser
EU’s mål for, at EU som helhed skal være klimaneutral i 2050.
Klimalovens langsigtede mål om klimaneutralitet i senest 2050
I tillæg hertil har Danmark en række målsætninger på energi- og transportområdet, bl.a. mål om udfas-
ning af kul til el-produktion frem mod 2030, som Energistyrelsen i seneste Basisfremskrivning vurderer
opnås under fravær af nye tiltag.
Danmarks drivhusgasudledninger – historisk set
Danmark udledte 54,8 mio. ton CO
2
e i 2018
1
, jf. figur 13. Dermed er Danmarks samlede udledninger af
drivhusgasser i 2018 reduceret med 29 pct. sammenlignet med 1990 (FN’s basisår). Reduktionen er
hovedsageligt drevet af udviklingen i energisektoren, hvis udledninger er faldet med 65 pct. fra 1990 til
2018, svarende til et fald i udledningerne fra denne sektor på ca. 20 mio. ton CO
2
e over perioden.
1
2018 er det seneste år, hvor der er udgivet endelig energistatistik. Tallet dækker over den samlede udledning inkl. LULUCF.
KEF, Alm.del - 2020-21 - Bilag 38: Klimaprogram 2020 i web-tilgængelig version
2267578_0038.png
38
KLIMAPROGRAM 2020
Figur 13
Samlede
udledninger fordelt
på sektorer 1990-
2030, mio. ton CO
2
e
90
80
70
60
50
40
30
20
10
0
1990
Land- og skovbrug
Affald og Spildevand
Transport
Energi
2018
Industri
Status for opfyldelse af klimalovens mål
Den nyeste fremskrivning af Danmarks drivhusgasudledninger peger på, at udledningerne uden nye tiltag
vil udgøre 43,1 mio. ton CO
2
e i 2030
2
, jf. figur 14. Det svarer til en reduktion på 44 pct. af de danske driv-
husgasudledninger i 2030 i forhold til 1990. Heri bidrager Finansloven for 2020 og Fynsværkets beslut-
ning om kulstop i 2022 med en reduktion i de danske drivhusgasudledninger på i alt ca. 1 mio. ton CO
2
e.
Figur 14
Samlede forventede
udledninger i 2030
fordelt på sektorer,
mio. ton CO
2
e
Affald og
Spildevand
2,3
6%
Energi
2,3
5%
Transport
13,7
32%
Land- og skovbrug
16,1
37%
Industri
8,6
20%
2
I dette tal indgår sektorstrategier for affald og energi og industri ikke.
KEF, Alm.del - 2020-21 - Bilag 38: Klimaprogram 2020 i web-tilgængelig version
2267578_0039.png
4. status fOR Opfyldelse af danmaRks natiOnale klimamål Og inteRnatiOnale fORpligtelseR
39
Med sektorstrategierne for affald og energi og industri fra juni 2020 skønnes det, at de danske drivhus-
gasudledninger vil blive reduceret med yderligere 3,4 mio. ton CO
2
e i 2030, jf. tabel 5. Dertil kommer
aftalen om grøn renovering af almene boliger, som regeringen indgik i maj 2020, der sikrer en reduktion
på ca. 0,05 mio. ton CO
2
e i 2030 samt samarbejdsaftalen med Aalborg Portland, der reducerer udlednin-
gerne i 2030 med 0,5 mio. ton CO
2
e i 2030. Det bringer drivhusgasudledningerne i 2030 ned på 39,2 mio.
ton CO
2
e. Inklusiv disse aftaler vil udledningerne i 2030 dermed være reduceret med omkring 49 pct. i
forhold til 1990.
Tabel 5
Aftale
Finansloven 2020
Sektorstrategi for affald
Sektorstrategi for energi og industri
Grøn boligaftale
Samarbejdsaftale med Aalborg Portland
Anm.: *Indgår i BF20.
Aftaler med
klimaeffekt det
seneste år
Effekt i 2025 (mio. ton CO
2
e)
-
0,1
1,3
-
0,2
Effekt i 2030 (mio. ton CO
2
e)
0,5*
0,7
2,7
0,05
0,5
Et øjebliksbillede af reduktionsmankoen for at indfri klimalovens mål om 70 pct. reduktion i 2030 i
forhold til 1990 viser, at drivhusgasudledningerne reduceres med yderligere ca. 16,1 mio. ton CO
2
e
i 2030, efter indregning af sektorstrategierne for affald og energi og industri og samarbejdsaftalen
med Aalborg Portland, jf. tabel 5.
Indikativt delmål for 2025
For at sikre klimahandling på kort sigt skal regeringen i henhold til
Aftale om klimalov
i forbindelse
med klimahandlingsplanen 2020 foreslå et indikativt delmål for 2025, efter at Klimarådet har afgivet
anbefaling herom. Herefter skal der hvert 5. år sættes en ny klimamålsætning med et 10-årigt per-
spektiv, der vil være juridisk bindende.
Klimarådet anbefaler, at det indikative delmål for 2025 fastsættes til 50-54 pct. reduktion i 2025
i forhold til 1990. Klimarådet identificerer kendte omstillingselementer på i alt 5,4 mio. ton CO
2
e,
svarende til en reduktion på ca. 50 pct. i 2025 i forhold til 1990. I rådets optik er det svært at nøjes
med mindre end 50 pct. reduktion i 2025, hvis Danmark skal kunne siges at være på den omkost-
ningseffektive vej mod 70 pct.-målet. En 54 pct. reduktion i 2025 følger af en lineær reduktionssti
fra 2020 mod 70 pct.-målet i 2030. Klimarådet vurderer, at det vil kræve enten produktionsnedgang
i industrien eller landbruget eller begrænsninger på bilkørsel for at nå en 54 pct. reduktion i 2025,
samt at der vil være store samfundsøkonomiske omkostninger forbundet hermed, hvilket strider
mod klimalovens principper. Der er ikke foretaget vurdering af omkostningerne for staten, erhverv og
husholdninger mv. forbundet med en reduktion på 50-54 pct. i 2025.
Med regeringens hidtidige indsats forventes udledningerne at være 44,1 mio. ton i 2025, hvilket
svarer til en reduktion på 43 pct. i 2025 i forhold til 1990
3
. Dertil kommer kommende tiltag frem mod
2025. For at opnå en reduktion, der svarer til Klimarådets anbefalede spænd på 50-54 pct., vil der
skulle findes yderligere ca. 5,5-8,6 mio. ton i 2025. Regeringens indsats følger dog ikke nødvendigvis
en lineær reduktionssti, idet regeringens klimaindsats er kontinuerlig. Regeringen vil løbende vende
tilbage og adressere drivhusgasudledningen i de enkelte sektorer i takt med den teknologiske udvik-
ling eller andre vilkår ændrer sig. Dette er for at sikre en reduktionstilgang, som er i overensstem-
melse med klimalovens principper.
3
Klimaudspil for vejtransport er ikke medregnet.
KEF, Alm.del - 2020-21 - Bilag 38: Klimaprogram 2020 i web-tilgængelig version
2267578_0040.png
40
KLIMAPROGRAM 2020
Figur 15
Mio. tons CO
2
e
Udviklingen i
drivhusgas-
udledning fra
1990 og frem mod
klimaneutralitet
100
90
80
70
60
50
40
30
20
10
0
Kommende mål
Fastsatte mål
Historisk udledning
Fremskrivning
Klimarådets anbefaling
2030: 70 pct.
2050: Netto -
nuludledning
1990 1995 2000 2005 2010 2015 2020 2025 2030 2035 2040 2045 2050
2025: Indikativtdelmål
2035, 2040 og 2045: Delmål
Anm.: Effekterne af sektorstrategierne for affald og energi og industri samt samarbejdsaftalen med Aalborg Portland er ikke inkluderet i figuren.
Kilde: Klima-, Energi- og Forsyningsministeriet
Status for opfyldelse af Danmarks EU-forpligtelser
Ud over det nationale 70 pct. mål, som følger af klimaloven, har Danmark over for EU forpligtet sig til at
reducere drivhusgasudledningerne uden for kvotesektoren (non-ETS) med 39 pct. i 2030 relativt til 2005.
Hvor det nationale 70 pct. mål er fastsat som et punktmål i 2030, er non-ETS-målet fastsat som en
samlet reduktionsforpligtelse for årene 2021-2030.
Der fastlægges for alle landene en reduktionssti for årene 2021-2030 i non-ETS-sektoren, og Danmarks
reduktionsmanko opgøres som forskellen mellem den fastsatte reduktionssti og de forventede udled-
ninger i årene 2021-2030. Det grå skraverede område i figur 16 viser den akkumulerede manko frem mod
2030 og peger på, at Danmark over årene 2021-2030 samlet set skal reducere udledningerne uden for
kvotesektoren med 34 mio. ton CO
2
e. Effekten af sektorstrategierne for affald og energi og industri er
endnu ikke indregnet i dette tal. Det er Danmarks adgang til fleksibilitetsmekanismer, hvor Danmark kan
anvende LULUCF-kreditter og kvoteannullering til indfrielse af EU-forpligtelsen, ligeledes ikke. Det tyder
på, at beslutning om anvendelse af de to fleksibilitetsmekanismer vil kunne nedbringe mankoen over
årene 2021-2030 til 11 mio. ton CO
2
e.
Det fremgår af klimaloven, at aftaleparterne ikke ønsker at anvende reduktionsmekanismer til opfyldelse
af 70 pct.-målet. Aftalepartierne er enige om, at hvis det i de sidste år frem mod 2030 viser sig, at man
ikke kan leve op til 70 pct.-målet under hensynstagen til de i klimaloven angivne principper, må aftale-
partierne træde sammen med henblik på at drøfte, om der kan opnås enighed om at anvende fleksible
mekanismer og andre virkemidler.
Som følge af forskellene fra det nationale mål til non-ETS-forpligtelsen er den nationale reduktions-
manko ikke direkte sammenlignelig med non-ETS-mankoen.
KEF, Alm.del - 2020-21 - Bilag 38: Klimaprogram 2020 i web-tilgængelig version
2267578_0041.png
4. status fOR Opfyldelse af danmaRks natiOnale klimamål Og inteRnatiOnale fORpligtelseR
41
Figur 16
Non-ETS
reduktionsmanko
2021-2030
45
40
35
Mio. ton CO
2
-e
30
25
20
15
10
5
0
2005
2010
2015
2020
2025
2030
Akkumuleret manko
Non-ETS udledninger
Redukstionssti
Europa-Kommissionen fremlagde medio september en plan for opjustering af EU’s 2030-klimamål på
mindst 55 pct. i forhold til 1990. Regeringen har sammen med andre klimaambitiøse lande gået i front og
arbejdet målrettet for, at EU’s 2030-mål netop øges til mindst 55 pct.
Store usikkerheder i fremskrivningen
Generelt gælder det, at der skal tages højde for de usikkerheder, som altid vil være forbundet med bud
på en udvikling frem i tid. Danmarks drivhusgasudledninger fremskrives årligt, så udviklingen frem i tid
kan følges. Energistyrelsens Basisfremskrivning 2020 præsenterer et grundforløb frem til 2030, som
er baseret på en såkaldt frozen policy-tilgang. Det er således kun allerede politisk besluttede tiltag, der
indregnes. Fremskrivningen er dermed et samlet kvalificeret skøn for udviklingen i fremtidens klima- og
energirelaterede størrelser under fravær af nye politiske tiltag. Der vil altid være store usikkerheder for-
bundet med at forudse fremtiden, særligt i en tid, hvor teknologien og bevidstheden om at reducere driv-
husgasudledninger aldrig har været større. Udfaldsrummet vil således kunne variere i begge retninger
med flere mio. ton årligt i både 2025 og 2030.
Basisfremskrivningen forudsætter et vist niveau for teknologiomkostninger, men fremskrivningen kan
ikke tage højde for egentlige teknologiske ”game changers”. Det kan være en teknologisk udvikling, som
pludselig ruller langt hurtigere end forudsat eller en helt ny løsning eller ændret adfærd. Historisk har der
fx været markante fald på udgifterne til vindkraft og batterier, som har haft stor betydning for den grønne
omstilling. Senest har forårets nedlukning af samfundet vist, hvordan en ekstraordinær og markant
adfærdsændring som følge af Covid-19 har betydet, at det danske energiforbrug er faldet med 10 pct.
i første halvår af 2020 sammenlignet med året før. Faldet var særligt drevet af store fald i forbruget af
jetbrændstof og benzinforbruget, fordi transportforbruget faldt så drastisk under nedlukningen.
Usikkerheden i fremskrivningen har forskellig karakter. Der arbejdes løbende på at forbedre datagrundlag
og fremskrivning som følge af fx forbedrede metoder, teknologiudvikling, der afviger fra det i dag bedste
bud, eller ændringer i andre rammebetingelser. Den metodemæssige usikkerhed vurderes for nuværende
størst for fremskrivningen af udledninger i landbrugs- og LULUCF-sektoren. Her er fremskrivningen base-
ret på relativt komplekse opgørelsesmetoder knyttet til forskellige aktiviteter i sektoren. Udsvingene i
opgørelserne af udledninger og optag fra jorde og skove tydeliggør usikkerheden, jf. illustration i figur
17. Ud over den metodemæssige usikkerhed vil udledningerne i fremtidige år kunne variere betydeligt
afhængig af vejrsituationen i et givent år og ændrede adfærdsmønstre.
KEF, Alm.del - 2020-21 - Bilag 38: Klimaprogram 2020 i web-tilgængelig version
2267578_0042.png
42
KLIMAPROGRAM 2020
Figur 17
7
6
5
4
3
2
1
0
-1
-2
-3
-4
-5
-6
-7
1990
Skove
1995
2000
Øvrig arealanvendelse
2005
2010
2015
2020
2025
2030
Udledninger og
optag fra skove
og øvrige arealer
1990-2030, mio.
ton CO
2
e
Anm. Positive tal er udledninger, negative tal er optag.
Landbrugssektorens udledninger er desuden følsom i forhold til ændringer i landbrugets produktion.
Basisfremskrivningen for 2020 peger fx på, at en ændring i antal malkekøer på 15 pct. i 2030 vil øge eller
reducere landbrugets årlige drivhusgasudledninger med mindst 0,5 mio. ton CO
2
e.
I transportsektoren er der tilsvarende stor usikkerhed om teknologiudvikling og dermed den konkrete
fremskrivning for udviklingen i det forventede salg af elbiler frem mod 2030. Basisfremskrivningens
grundforløb forudsiger en andel af elbiler i nybilsalget på 36 pct. i 2030. Ved variationer i teknologiudvik-
ling og forbrugerpræferencer fås imidlertid et udfaldsrum på mellem 18 og 65 pct., jf. figur 18.
El-biler nysalg (tusinde)
Figur 18
180
160
140
120
100
80
60
40
20
0
2018
2020
2022
2024
2026
2028
2018
Pris + adfærd
Pris
BF20
Derudover er ydre rammebetingelser tilsvarende betydende for de enkelte skøn i fremskrivningen, særligt
i forhold til energipriser, CO
2
-priser og økonomisk vækst. I årets fremskrivning er en særlig usikkerhed
knyttet til COVID-19-pandemien, som det ikke har været muligt at tage højde for i fremskrivningen mod
2030. Også Økonomisk Redegørelse fra august 2020 peger på, at det for nogle stød til økonomien, som
eksempelvis COVID-19-krisen, kan være svært at forudsige, hvordan og hvornår de korrigeres. Det er
derfor også fortsat usikkert, hvordan COVID-19-pandemien eventuelt vil påvirke drivhusgasudledningen
fra især erhverv og industri frem mod 2030.
Mio. ton CO
2
-e
Usikkerhed ved
fastsættelse af
elbilsandelen
200
KEF, Alm.del - 2020-21 - Bilag 38: Klimaprogram 2020 i web-tilgængelig version
2267578_0043.png
4. status fOR Opfyldelse af danmaRks natiOnale klimamål Og inteRnatiOnale fORpligtelseR
43
Ny klimafremskrivning
Med klimaloven er der etableret et årshjul, som belyst i kapitel 2, hvor den årlige klimastatus og –frem-
skrivning udgives i april. Klimastatus og –fremskrivning erstatter den nuværende Basisfremskrivning.
Klimastatus og -fremskrivning vil hvert år give en samlet status for de forventede udledninger efter ind-
regning af de virkemidler, der er besluttet i det forgangne år, og ny viden i forhold til fx teknologiudvikling,
rammebetingelser eller aktiviteters betydning for udledning af drivhusgasser, jf. ovenstående afsnit om
usikkerheden i fremskrivningerne.
Det er ambitionen, at den nye klimafremskrivning, udover at give et opdateret bud på udviklingen i udled-
ningerne frem mod 2030, løbende skal udbygges med mere detaljerede beskrivelser af de resterende
udledninger. En mere detaljeret forståelse af de resterende udledninger er et afgørende redskab for
løbende at kunne iværksætte nye tiltag på vej mod opfyldelsen af målet i 2030.
Særskilt global afrapportering
I sammenhæng med den nye klimastatus –og fremskrivning i april vil der samtidig blive offentliggjort
en særskilt årlig afrapportering på Danmarks klimaindsats i forhold til globale udledninger. Der skal her-
under fremgå oplysninger om reduktioner i international skibs- og luftfart og reduktioner fra eksport af
el fra vedvarende energikilder. Desuden kan effekterne af de danske bilaterale energisamarbejder med
store CO
2
-udledninger indgå, ligesom effekterne af dansk import og forbrug søges belyst. Hertil redegø-
res der for den danske bistand på klimaområdet.
ormålet med afrapporteringen er at synliggøre Danmarks globale påvirkning på klimaet. Der vil både
være tale om negativ påvirkning fx i forhold til forbrug, men også positiv påvirkning, eksempelvis i for-
hold til konkrete bilaterale landesamarbejder, hvor Danmark bl.a. bidrager med at omstille landenes
energisektor.
KEF, Alm.del - 2020-21 - Bilag 38: Klimaprogram 2020 i web-tilgængelig version
2267578_0044.png
44
KLIMAPROGRAM 2020
5. Principperne for den
grønne omstilling
En klog grøn omstilling er ikke alene godt for klimaet og miljøet, men kan også øge den grønne eksport
og bidrage med nye, grønne arbejdspladser. Danmark bliver et foregangsland, hvis der gennemføres en
klog og ambitiøs grøn omstilling, som ikke flytter jobs og udledninger til udlandet og presser den sociale
balance. Derfor udgør klimalovens principper (se kapitel 2) nogle centrale rammer for regeringens til-
gang til den grønne omstilling.
Klimaloven forudsætter, at den grønne omstilling i Danmark sker på en måde, hvor der tages højde for, at
virkemidlerne til at nå 70 pct.-målet samlet sikrer en socialt balanceret og omkostningseffektiv omstil-
ling i henhold til klimalovens principper. Samtidig skal indsatsen indrettes med sigte på det langsigtede
mål om klimaneutralitet.
Klimaindsatsen beror derfor på konkrete virkemidler og udviklingstiltag, der i tillæg til den generelle tek-
nologiske udvikling, skal reducere omkostningen ved omstillingen og sikre konkrete reduktioner frem
mod 2030 og efter. Desuden vil mange af virkemidlerne virke med tiltagende styrke og først får fuldt gen-
nemslag efter noget tid. Det betyder, at omstillingen vil følge en kurve, hvor der investeres nu og løbende,
mens de mest markante reduktioner vil falde senere i forpligtelsesperioden.
Klimahandlingsplanen for 2020 er således med til at lægge de rammer, som skal sikre yderligere redukti-
oner senere i forpligtelsesperioden med henblik på at nå det samlede mål i 2030.
5.1 En klog og effektiv klimaindsats
Reduktionen af drivhusgasudledningerne vil oftest nødvendiggøre, at forbrug eller produktion ændres.
Reduktionsindsatser vil derfor medføre en omkostning for erhverv, husholdninger og/eller staten afhæn-
gig af valget af virkemiddel.
Fx medfører afgifter og teknologispecifikke krav omkostninger for erhverv og forbrugere. Tilskud kan
kompensere for en sådan omkostning, men medfører samtidig en regning for statskassen, der i sidste
ende vil skulle finansieres gennem fx øgede skatter eller lavere offentligt forbrug. Derfor søges redukti-
onsindsatsen indrettet så omkostningseffektivt som muligt og med blik for den sociale balance og virk-
somhedernes konkurrenceevne i tråd med klimalovens principper.
Omkostningseffektive virkemidler
Omkostningseffektiviteten forbundet med opnåelsen af de klimapolitiske målsætninger øges, når reduk-
tionerne opnås med de for samfundet billigste virkemidler. Det vil sige, at det offentlige, borgerne og
virksomhederne belastes mindst muligt givet det mål, der ønskes opnået.
Det vil samfundsøkonomisk set være mest hensigtsmæssigt, at omstillingen fremmes via internatio-
nale målsætninger og international regulering, så drivhusgaslækage undgås. Danske virksomheder er i
konkurrence med udenlandske virksomheder, hvorfor tiltag i Danmark risikerer at rykke udledninger til
udlandet, hvis det har en uforholdsmæssig stor omkostning for erhvervet. Det fører samtidig til tab af
arbejdspladser inden for de berørte sektorer i Danmark.
I det omfang, at Danmarks nationale mål og klimaregulering er mere ambitiøs, end der kan opnås enig-
hed om globalt, kan omstillingen imidlertid ikke drives af international regulering alene. Målsætningen
om 70 pct. drivhusgasreduktion i 2030 i forhold til 1990 og klimaneutralitet i senest 2050 vil derfor ikke
kunne indfris gennem international regulering alene.
KEF, Alm.del - 2020-21 - Bilag 38: Klimaprogram 2020 i web-tilgængelig version
2267578_0045.png
5. pRinCippeRne fOR den gRønne Omstilling
45
For at finde ud af hvilke virkemidler, der er mere omkostningseffektive end andre, bruges CO
2
e-skygge-
priser (eller skyggepriser). Skyggeprisen angiver virkemidlets samfundsøkonomiske omkostning pr. ton
reduceret drivhusgas. Jo lavere skyggepris, jo billigere (mere omkostningseffektivt) er virkemidlet.
Skyggepriserne er et øjebliksbillede i den forstand, at de afspejler omkostningerne med de nuværende
teknologier. Skyggepriserne vil fx ændre sig, hvis den teknologiske udvikling betyder, at de eksisterende
indsatser bliver mere effektive eller billigere. Den teknologiske udvikling kan også betyde, at der kommer
nye virkemidler, der er mere konkurrencedygtige (har lavere skyggepris).
Omkostningerne varierer i høj grad på tværs af områder bl.a. afhængig af de grønne teknologiers moden-
hed, jf. figur 19. Fx har anlæg til at optage CO
2
fra store punktkilder en reduktionsomkostning på ca.
1.350 kr. pr. ton reduceret CO
2
, mens omkostningerne ved at reducere udledningerne fra personbilstrans-
porten - afhængig af antallet af elbiler - udgør mellem 200-3.800 kr. pr. ton i 2030.
Samtidig fremgår det, at skyggepriserne ved den grønne omstilling generelt er højest i transportsektoren
og lavere i fx landbrugs- og industrisektoren. Hertil skal bemærkes, at der samtidig er betydelig forskel
på de enkelte erhvervsstrukturer i forhold til mulighederne for reelt at ændre adfærd med nuværende
teknologi.
Figur 19
Skyggepris (kr./ton)
-2000
-1000
0
1000
2000
3000
4000
5000
Omkostninger ved
udvalgte grønne
virkemidler
Energi og
Industri
Markedsbaseret tilskudspulje til CCS
Udfasning af olie og gasfyr (bl.a. tilskud)
Tilskudspulje til CO2 reduktioner i industrien
Pulje til støtte til biogas og andre grønne gasser
1350
1300
800
1250
-467
918
504
0
260
1270
1300
300
300
800
1.500
200
3800
2000
2500
Affald
Gnsn af virkemidler i klimaplan for affald
Strømligning af sortering og indsamling af erhvervets affald
Loft over lattergasemissioner fra store renseanlæg
Grøn
skattereform
Hæve procesafgift (lav)*
Hæve procesafgift (høj)*
Ændrede afgifter (forhøjet rum-varme, lempet elvarme)**
Landbrug
og skovbrug
Øget fedtandel i foder til konventionelle malkekøer og kvier
Hyppig udslusning af gylle i svinestalde
Øget statslig skovrejsning
Yderligere statslig skovrejsning
Målrettet kvælstofsregulering (3.500 t kvælstofsreduktion)
Transport
Omlægning af bilbeskatning (�½ mio. elbiler i 2030)
Omlægning af bilbeskatning (1 mio. elbiler i 2030)
Regulering af VE-brændstoffer (6 pct. reduktionskrav)
Regulering af VE-brændstoffer (10 pct. reduktionskrav)
Anm.:Skyggepris vedr. omlægning af bilbeskatning er angivet for 2030-nyregistreringsårgangen. Skyggeprisen er højere ved fx 2021-nyregistreringsårgangen. *Skyggepriser-
ne for at hæve procesafgifterne angiver marginale skyggepriser. ** Marginal skyggepris vedr. rumvarme. For elvarme er skyggeprisen negativ.
Kilde: Skatteministeriet, Klima-, Energi- og Forsyningsministeriet og Miljø og Fødevareministeriet.
Omkostningerne forventes at falde som led i, at teknologierne bliver mere udviklede og globalt udbredte på
samme måde, som prisen på fx havvind, solceller og batterier er faldet kraftigt i de seneste år, jf. figur 20.
Virkemidler, som i dag er kendte, men omkostningstunge, forventes dermed at kunne udvikles til at blive
mere omkostningseffektive senere i forpligtelsesperioden. Princippet om omkostningseffektivitet i klimalo-
ven ville således umiddelbart betyde, at investeringerne i den grønne omstilling tilrettelægges, så der tages
højde for den teknologiske udvikling og modning af teknologier.
Mens samfundet vil få gavn af de positive effekter for klimaet af en reduktionsindsats, vil der være
omkostninger forbundet med at implementere virkemidler, der kan reducere drivhusgasudledningerne og
bidrage til at nå målet om 70 pct. reduktion i 2030. De samfundsmæssige reduktionsomkostninger ved
realiseringen af 70 pct.-målsætningen er tidligere estimeret af både Klimarådet og CEPOS til hhv. 15-20
mia. kr. i 2030 og 26 mia. kr. i 2030. I beregningerne blev der taget udgangspunkt i den daværende reduk-
tionsmanko, og en skyggepris på hhv. 800 kr. og 1.370 kr pr. ton reduceret CO
2
e. Med udgangspunkt i den
nuværende reduktionsmanko på 16,1 mio. ton i 2030 vil en realisering med en gennemsnitlig skyggepris
KEF, Alm.del - 2020-21 - Bilag 38: Klimaprogram 2020 i web-tilgængelig version
2267578_0046.png
46
KLIMAPROGRAM 2020
på mellem 1.000 kr. og 1.500 kr. pr. ton udgøre mellem 16 og 24 mia. kr. Det svarer til en samfundsmæssig
omkostning på mellem 0,7 - 1,0 pct. af nuværende BNP pr. år. Det skal ses i sammenhæng med, at væksten
i den danske økonomi gennemsnitlig skønnes til 1,4 pct. årligt frem mod 2030
Figur 20
Historisk udvikling
i teknologi-
omkostninger
Figur 20a: Pris på havvind
Fast afregningspris, øre pr. kWh.
120
105
100
80
60
40
20
0
Anholt (2012)
Horns Rev 3 (2019)
Kriegers Flak (2021)
37
77
Anm.: Figuren viser udviklingen i den faste afregningspris, som producenterne er sikret. Den faste afregningspris består af elprisen plus støtten. Årstallene i parentes angiver
året for idriftsættelse/forventet idriftsættelse
Figur 20b: Batteriomkostninger
Gennemsnitlig pris, kr. pr. kWh
8000
7267
7000
6000
5000
4000
3000
2337
5632
4429
4072
3615
2000
1000
1804
1341
1103
977
2010
Kilde: Energistyrelsen og DTU
2011
2012
2013
2014
2015
2016
2017
2018
2019
Omkostningseffektiviteten øges ligeledes, hvis konverteringen til grønne teknologier sker, når eksiste-
rende teknologier skal udskiftes. De samfundsøkonomiske omkostninger ved at konvertere fra naturgas-
fyr til varmepumper vil fx være markant højere, hvis der lægges op til at skrotte eksisterende velfunge-
rende gasfyr. Det kan dog alligevel vise sig nødvendigt for at leve op til 70 pct.-målet, eftersom en række
teknologier og aktiver har en levetid, der rækker ud over 2030, jf. tabel 6.
Der er derfor behov for at træffe beslutninger nu og investere i langsigtede rammer for den grønne
omstilling, som giver effekt senere, idet den tilskynder til konvertering i takt med, at virksomheder og
forbrugere skal reinvestere i nye opvarmningsformer, transportmidler, procesteknologier etc.
KEF, Alm.del - 2020-21 - Bilag 38: Klimaprogram 2020 i web-tilgængelig version
2267578_0047.png
5. pRinCippeRne fOR den gRønne Omstilling
47
Tabel 6
Anlæg/køretøj
Færger
Personbiler
Lastbiler
Stalde
Gasfyr
Kraftvarmeværker
Gaffeltrucks
Levetid (år)
30
15
10
25
20
25
20
Eksempler på
teknisk levetid
Kilde.: Eksempler på anvendte antagelser baseret på faglige estimater fra Klima-, Energi- og Forsyningsministeriet, DCE (2017) og Transport- og Boligministeriet
Skyggepriser er afgørende for at kunne sammenligne forskellige virkemidlers omkostningseffektivi-
tet. Skyggepriser giver modsat ikke information om bl.a. de fordelingsmæssige konsekvenser eller
om drivhusgaslækage.
Klimaudfordringen er global, hvilket indebærer, at beslutninger om at reducere drivhusgasudlednin-
gen i Danmark kan bevirke, at drivhusgasudledningen i andre lande stiger eller drivhusgaslækage.
Det sker ved, at et tiltag påfører virksomheder højere omkostninger, hvormed de kan vælge at flytte
produktionen ud af landet. Risikoen herfor afhænger af, hvor handels- og udledningsintensiv et
erhverv er. Jo større konkurrence med udlandet og jo højere omkostning ved at reducere drivhusgas-
udledninger, jo større er risikoen for at miste markedsandele, når der gennemføres udledningsredu-
cerende tiltag.
Fælles EU-regulering skaber lige konkurrencevilkår og mindsker risikoen for, at virksomheder,
arbejdspladser og dermed drivhusgasudledningerne flytter ud af landet. Samarbejdet i EU og en
ambitiøs grøn EU-politik er således en vigtig forudsætning for, at Danmark kan realisere de grønne
ambitioner, og at det sker på en omkostningseffektiv måde, som tager hensyn til vækst og arbejds-
pladser i overensstemmelse med klimalovens principper. Dertil kommer, at EU står for omkring 10
pct. af de globale udledninger, hvormed en mere ambitiøs klimaindsats i EU har potentiale for at
reducere de globale udledninger markant.
Klimaomstillingen kan ramme forskelligt på tværs af indkomstgrupper, land og by mv. En klimaind-
sats, der ikke tager hensyn til den sociale balance i tråd med klimalovens principper, kan medføre, at
nogle grupper bærer en betydeligt større byrde end andre, hvilket kan have betydning for sammen-
hængskraften i samfundet.
Det fremgår derudover af klimaloven, at der i indretningen af klimaindsatsen, skal tages hensyn til
sunde offentlige finanser. Det skal sikre, at der fortsat er råd til at finansiere bl.a. velfærden i Dan-
mark. Endelig sættes der med klimaloven både et reduktionsmål for 2030 samt et mål om klima-
neutralitet i senest 2050. Det betyder, at klimaindsatsen også skal tage højde for den langsigtede
omstilling, hvor nogle tiltag har andre perspektiver og omkostninger på langt sigt end kort sigt.
Opsummering
Klimalovens mål, klimalovens principper og omkostningerne forbundet med omstillingen forudsæt-
ter samlet set en balanceret og gradvis national og international tilgang. Det indebærer beslutninger
på kort sigt, der sikrer lige konkurrencevilkår i Danmark og EU og leverer konkrete reduktioner.
Samtidig indebærer det beslutninger, som understøtter en teknologisk udvikling, der reducerer
omkostningerne og bringer teknologier tættere på markedsvilkår, så de på sigt kan levere konkrete
reduktioner til indfrielse af klimalovens reduktionsmål. Samlet skal en sådan tilgang understøtte, at
der bygges videre på seneste årtiers succes med at afkoble drivhusgasudledninger fra økonomisk
vækst, hvilket har gjort Danmark til foregangsland for resten af verden før.
KEF, Alm.del - 2020-21 - Bilag 38: Klimaprogram 2020 i web-tilgængelig version
2267578_0048.png
48
KLIMAPROGRAM 2020
5.2 Afkobling af vækst og drivhusgasudledninger
Danmark har historisk været et grønt foregangsland. Således er der gennem de seneste årtier sket en
afkobling mellem den økonomiske aktivitet og omfanget af udledning af drivhusgasser, hvilket er forud-
sætningen for, at realisere 70 pct.-målet i 2030 under hensyntagen til principperne i klimaloven. Dansk
økonomi er således vokset med ca. 60 pct. i perioden 1990-2017, mens udledningen af drivhusgasser i
samme periode er reduceret med 32 pct., jf. figur 21.
Figur 21
BNP, energiforbrug
og udledning af
drivhusgasser
Indeks (1990=100)
200
Indeks (1990=100)
200
150
150
100
100
50
50
0
1990
1992
1994
BNP
1996
1998
2000
2002
2004
2006
2008
2010
2012
2014
2016
Bruttoenergiforbrug
Drivhusgasser
0
Anm.: Udledningen af drivhusgasser følger UNFCCC-opgørelsen, ekskl. arealanvendelse og skovbrug (LULUCF).
Kilde: Danmarks Statistik og egne beregninger.
Afkoblingen mellem økonomisk vækst og udledningen af drivhusgasser afspejler både, at økono-
misk vækst har fundet sted uden øget energiforbrug, og at tilvejebringelsen af energi i dag er forbun-
det med færre udledninger. Det er således i energisektoren, at man historisk har set en reduktion i
drivhusgasudledningerne.
Økonomisk vækst bæres grundlæggende af produktivitetsfremskridt, der kan stamme fra en række
forskellige kilder, og som i mange tilfælde ikke er betinget af øget energiforbrug. Det kan fx være et
stigende uddannelsesniveau, teknologiske fremskridt gennem forskning og udvikling, stærkere ramme-
vilkår, gevinster ved samhandel og øget konkurrence. Disse forhold og mange flere kan bidrage til, at der
kan være økonomisk vækst uden en tilsvarende stigning i energiforbruget.
Samtidig har energieffektiviseringer spillet en væsentlig rolle. I forsyningssektoren kan energi i dag tilve-
jebringes med langt færre udledninger, og virksomheder og husholdninger er blevet bedre til at udnytte
energi effektivt og har derved sparet på energiforbruget. Endelig er der sket et skift i erhvervsstrukturen
mod mindre energiintensive brancher, fx en række serviceerhverv. Det bidrager alt sammen til, at der kan
være øget økonomisk aktivitet uden et tilsvarende aftryk på udledningen af drivhusgasser.
Helt afgørende for afkoblingen af vækst og udledninger af drivhusgasser har været den løbende udvik-
ling i omkostningerne til biomasse, vind og andre vedvarende energikilder. Vedvarende energikilder
forventes fremadrettet i stigende grad at kunne konkurrere med andre teknologier, og der er også eksem-
pler på støttefri udbud af landvind og sol. Derfor forventes støtten til VE, herunder særligt til vindmøller
og solceller at falde markant frem mod 2030, jf. figur 22.
KEF, Alm.del - 2020-21 - Bilag 38: Klimaprogram 2020 i web-tilgængelig version
2267578_0049.png
5. pRinCippeRne fOR den gRønne Omstilling
49
Figur 22
Mio. kr. 2021-priser
10.000
Pj
Faldende
støtteomkostninger
400
7.500
300
5.000
200
2500
100
0
2020
2021
2022
2023
2024
2025
2026
2027
2028
2029
2030
0
Biomasse
Havvind
Biogas
Landvind
Vandkraft
Vind diverse
Øvrige
Dansk VE-produktion (højre akse)
Solceller
Landvind/solceller
Anm.:2021-tal. Betydning af
Klimaaftale for energi og industri mv.
medregnet.
Kilde: Energistyrelsen
Afkobling mellem vækst og udledning af drivhusgasser vil derfor kunne fortsætte i de kommende år. Det
skyldes bl.a., at BNP fortsat vil være drevet af forhold, der ikke forudsætter et større energiforbrug, og at
en fortsat udbygning af vedvarende energi og den teknologiske udvikling vil kunne reducere omkostnin-
gerne forbundet med reduktionerne yderligere.
Et centralt element i at realisere målene under hensyntagen til klimalovens principperne er derfor at inve-
stere i teknologiudviklingen, som på sigt vil kunne medføre lavere produktionsomkostninger for grønne
teknologier og dermed potentielt gøre teknologierne mere konkurrencedygtige overfor fossile og drivhus-
gasudledende teknologier, jf. kapitel 6. Det kan samtidig åbne muligheder for at eksportere nye, grønne
løsninger til udlandet.
5.3 Fremtidige eksportmuligheder
Dansk vindmølleindustri er et godt eksempel på, at den grønne omstilling kan åbne for nye erhvervsmu-
ligheder, hvor virksomhederne får større erfaringer med nyttiggørelse og kommercialisering af grøn tek-
nologi. Vindenergi til elproduktion er blevet en dansk styrkeposition, som er blevet understøttet af bl.a.
offentlige investeringer i forskning og udvikling og har skabt grønne jobs og eksport.
Satsningen har bidraget til, at Danmark i dag har en ledende vindindustri, der ifølge Wind Denmarks bran-
chestatistik beskæftigede omkring 33.000 personer over hele landet og eksporterede for 54 mia. kr. i
2018.
Danmark har et godt afsæt for at få gavn af omstillingen, og danske virksomheder er førende på det
grønne felt. Den danske eksport af grønne varer og tjenester udgør ifølge det grønne nationalregnskab
omkring 6,5 pct. af den samlede eksport, hvilket er en forholdsvis stor andel i forhold til andre EU-lande,
jf. figur 23.
KEF, Alm.del - 2020-21 - Bilag 38: Klimaprogram 2020 i web-tilgængelig version
2267578_0050.png
50
KLIMAPROGRAM 2020
Den danske eksport vedrører især miljøformålet produktion af fornybar energi (især vindmøller), som
udgjorde hovedparten af eksporten i 2018 med 50 mia. kr. Varer og rådgivning med reduceret energi- og
varmeforbrug (bl.a. varmeisolering og energieffektiv teknologi) var næststørst med 11 mia. kr. i eksport.
Eksport knyttet til affaldshåndtering og genindvinding var på 5 mia. kr.
Figur 23
Andel af grøn
eksport, 2016
Pct.
12
10
8
6
4
2
Østrig
Italien
Rumænien
Bulgarien
Luxembourg
Portugal
Tjekkiet
Finland
Kroatien
Letland
Storbritannien
Estland
Litauen
Sverige
Belgien
Nederlandene
Slovakiet
Tyskland
Spanien
Danmark
Frankrig
Ungarn
Irland
Polen
Malta
0
Anm.: Opgørelsen er baseret på afgrænsningen i det grønne nationalregnskab og følger de samme principper på tværs af lande.
Kilde: Eurostat og egne beregninger.
Danmark har et godt udgangspunkt som energiteknologisk foregangsland med en relativt stor produk-
tion og eksport af grønne varer og tjenester. Det kan give nye muligheder for vækst og eksport samt
tiltrække udenlandske investeringer i tråd med principperne i klimaloven.
Det skal ses i sammenhæng med, at de globale investeringer i vedvarende energi og energieffektivi-
tet forventes at skulle fordobles i fremtiden, hvis de globale temperaturstigninger skal holdes under 2
grader (som følge af Parisaftalen). Der investeres i dag ca. 4.300 mia. kr. globalt i vedvarende energi og
energieffektivitet, og dette forventes at skulle stige til 9.500 mia. kr. årligt frem til 2030 for at overholde
Parisaftalen.
Det er dog ikke nødvendigvis afgørende, at ny teknologi udvikles i Danmark, og ny teknologi udviklet
i udlandet vil også skulle bidrage til at reducere udledningerne. Men satsningen på at være med til at
udvikle fremtidens grønne løsninger tjener til at indfri klimalovens reduktionsmål under hensyn til klima-
lovens principper, hvis satsningen gøres klogt.
Fastholdelsen af de grønne styrkepositioner forudsætter, at den danske arbejdsstyrke og erhvervsstruk-
tur fortsat er omstillingsparat, så ressourcerne ikke bliver fastlåst i utidssvarende teknologier. Gode ram-
mevilkår for privat udvikling og innovation vil også bidrage til at fremme grønne investeringer i Danmark
til gavn for væksten og den grønne omstilling.
KEF, Alm.del - 2020-21 - Bilag 38: Klimaprogram 2020 i web-tilgængelig version
2267578_0051.png
5. pRinCippeRne fOR den gRønne Omstilling
51
KEF, Alm.del - 2020-21 - Bilag 38: Klimaprogram 2020 i web-tilgængelig version
2267578_0052.png
52
KLIMAPROGRAM 2020
6. Tværgående indsatser på
klimaområdet
Regeringen har igangsat en række initiativer, der skal bidrage til indfrielsen af de ambitiøse grønne mål-
sætninger, og som samtidig tager hensyn til principperne i klimaloven. Først og fremmest har regeringen
gennemført en række tiltag, der skal bidrage til at ændre måden, der udvikles og gennemføres klimapolitik i
Danmark. Samtidig har regeringen sat gang i en række tværgående indsatser. Indsatserne tæller bl.a. rege-
ringens tilgang til centrale EU-initiativer, tilgangen til forskning, aktiveringen af Danmarks Grønne Fremtids-
fond, regeringens klimapartnerskaber og en grøn skatteform, som behandles i indeværende kapitel.
6.1. Regeringens klimapolitiske arbejdsmetode
Regeringens tiltag, der samlet set bidrager til at ændre måden, der udvikles og gennemføres klimapolitik
i Danmark, skal bidrage til en stærk og kontinuerlig klimaindsats. Af boks 11 fremgår elementerne i rege-
ringens klimapolitiske arbejdsmetode.
Boks 11
Regeringens
klimapolitiske
arbejdsmetode
Regeringsinterne processer
Grønt Udvalg.
Regeringsudvalget skal sikre, at hensynet til klima, miljø og natur styrkes og integreres i regeringens
politik.
Lovprogram.
Der foretages som en fast procedure en screening af regeringens årlige lovprogram for grønne
effekter.
Vejledning om vurdering af konsekvenser for klima, miljø og natur.
Fastlægger retningslinjer for konsekvensvurde-
ringer for klima, miljø og natur samt for hvornår tiltag skal forelægges Grønt Udvalg.
Grønne regnemodeller.
Der udarbejdes en ny regnemodel (Grøn REFORM), som vil kunne vurdere miljø-, natur- og
klimaeffekter af den økonomiske aktivitet samt vurdere økonomiske effekter af miljø-, natur- og klimapolitiske
tiltag.
Regeringens samarbejdsfora
13 Klimapartnerskaber.
Samarbejde med erhvervslivet med fokus på, hvordan erhvervslivet og regeringen i sam-
arbejde kan bidrage til at løse klimaudfordringer på en måde, der samtidig understøtter dansk konkurrenceevne,
eksport, job, velfærd og velstand samt ikke skaber øget ulighed
Borgerting.
Borgertinget består af 99 medlemmer, som over de næste to år skal debattere borgernære dilemmaer
og løsninger, der er forbundet med klimaudfordringerne.
Ungeklimaråd.
Ungeklimarådet skal bringe nytænkning ind i dansk klimapolitik og komme med input til fremtidens
klimaløsninger. Medlemmerne er udpeget for en to-årig periode og kommer fra alle dele af landet, fra forskellige
uddannelsesretninger og repræsenterer forskellige indgangsvinkler til klimaudfordringen.
Klimapolitik i centraladministrationen
Regeringen har nedsat
Grønt Udvalg,
der har til formål at sikre, at hensynet til klima, miljø og natur
styrkes og integreres i regeringens politik. Udvalget skal understøtte en målrettet, omfattende og
koordineret indsats, som sikrer en socialt afbalanceret tilgang til udfordringerne og skaber grundlag
for grøn vækst og nye danske styrkepositioner i et hastigt voksende globalt marked for grøn tekno-
logi. Udvalgets faste medlemmer er klima-, energi- og forsyningsministeren (forperson), miljømini-
steren, skatteministeren,fødevareministeren, transportministeren, uddannelses- og forskningsmini-
steren og erhvervsministeren.
I
Grønt Udvalg
forberedes bl.a. regeringens udspil på klima-, miljø- og naturområdet, ligesom udval-
get understøtter udmøntningen af regeringens politik, og at der ved øvrige relevante politiske aftaler
på området tages behørigt hensyn til klima-, miljø- og naturpåvirkninger.
KEF, Alm.del - 2020-21 - Bilag 38: Klimaprogram 2020 i web-tilgængelig version
2267578_0053.png
6. tvæRgående indsatseR på klimaOmRådet
53
Beregninger og konsekvensvurderinger
Grønt Udvalgs
bidrag til at sikre et tværgående grønt hensyn i regeringens politik understøttes end-
videre af, at regeringens årlige lovprogram screenes for grønne effekter samt af en række konkrete
værktøjer, herunder
vejledning om vurdering af konsekvenser for klima, miljø og natur
samt udvikling
af en ny grøn regnemodel (Grøn REFORM). Disse værtøjer har til formål at sikre, at det grønne fokus
forankres i regeringens og embedsværkets dag-til-dag-arbejde.
Vejledning om vurdering af konsekvenser for klima, miljø og natur
fastsætter således en række retnings-
linjer for, hvornår og hvordan politiske tiltag skal gennemgås med henblik på at afdække deres konse-
kvenser for klima, miljø og natur. Samtidig beskriver vejledningen, hvornår tiltag skal forelægges
Grønt
Udvalg.
Fælles klimaindsats på tværs – Klimapartnerskaberne, Grønt Erhvervsforum,
Borgerting og Ungeklimaråd
I tillæg til forankringen af grønne hensyn i de regeringsinterne processer indgår regeringen i en
række eksterne samarbejdsfora med erhvervslivet, civilsamfundet og de danske borgere.
For at regeringens ambitiøse reduktionsmål kan indfries, skal der både leveres nye, grønne løsninger,
og de skal tages i brug. Det kræver samarbejde om at finde fælles løsninger på de omstillingsudfor-
dringer, som samfundet og virksomhederne står overfor. Derfor har regeringen indgået 13 samarbej-
der med alle dele af det danske erhvervsliv i form af klimapartnerskaberne, der går på tværs af sek-
torer, og som skal bidrage til reduktionen af drivhusgasser i Danmark på en måde, der tager hensyn
til dansk konkurrenceevne, eksport, job og velfærd, jf. figur 24.
Regeringens klimapartnerskaber er forankret i Grønt Erhvervsforum, der skal bidrage til at styrke
dialogen mellem regeringen, erhvervsliv og fagbevægelser om muligheder og barrierer i erhvervsli-
vets grønne omstilling. Forummet skal løbende følge arbejdet i de 13 klimapartnerskaber inden for
erhvervslivets sektorer med fokus på fremdrift i sektorernes køreplaner samt synergier og samar-
bejdsflader mellem de forskellige klimapartnerskaber omkring fx teknologiudvikling og forskning.
Forummet skal drøfte konkrete veje til at opnå drivhusgasreduktioner gennem indsatser i erhvervs-
livet og gennem politiske tiltag samt drøfte erhvervsmulighederne for danske virksomheder i den
grønne omstilling. Grønt Erhvervsforum mødes to gange om året, og dets medlemmer tæller et bredt
udsnit af direktører og forpersoner fra toneangivende danske virksomheder og interesseorganisatio-
ner samt et bredt udsnit af regeringen.
KEF, Alm.del - 2020-21 - Bilag 38: Klimaprogram 2020 i web-tilgængelig version
2267578_0054.png
54
KLIMAPROGRAM 2020
Figur 24
Regeringens
13 klima-
partnerskaber
Anm.: Faste deltagende ministre i Grønt Erhvervsforum er erhvervsministeren, klima-, energi- og forsyningsministeren, udenrigsministeren, skatteministeren, minister for
fødevare, fiskeri og ligestilling, sunheds- og ældreministeren, transportministeren, uddannelses- og forskningsministeren, boligministeren samt miljøministeren. Dertil deltager
direktørerne for Dansk Industri, Dansk Erhverv, Dansk Energi, Landbrug og Fødevarer samt forpersonerne for Fagbevægelsens Hovedorganisation, Dansk Metal, 3F, Concito,
Klimarådet og forpersonerne for de af regeringen nedsatte (13) klimapartnerskaber.
Kilde: KEFM
Partnerskaberne er kommet med over 400 anbefalinger til regeringen og til tiltag, som erhvervsli-
vet selv vil iværksætte. Flere af anbefalingerne er allerede afspejlet i sektorstrategierne for affald
og energi og industri. De øvrige anbefalinger vil indgå i regeringens arbejde med kommende
sektorstrategier.
En opgave for klimapartnerskaberne er desuden at komme med anbefalinger til, hvad sektoren selv
kan gøre for at reducere udledningerne. I den forbindelse har flere virksomheder selv igangsat tiltag
for at reducere deres drivhusgasudledninger og investere massivt i den grønne omstilling, jf. boks 12.
Aalborg Portland har som den første af en række virksomheder for nyligt indgået en samarbejdsaf-
tale med regeringen om markant reduktion af egne udledninger. Aftalen er en milepæl i regeringens
nye tilgang til et styrket samarbejdet med dansk erhvervsliv på klimaområdet, som vil bidrage mar-
kant til den grønne omstilling. Det er regeringens intention, at samarbejdsaftalen med Aalborg Port-
land skal tjene som en skabelon til fremtidige samarbejdsaftaler med andre store danske udledere.
Sådanne aftaler vurderes at rumme et reduktionspotentiale på 0,2-0,4 mio. ton CO
2
e, der kan bidrage
til realiseringen af klimalovens klimamål under hensyn til principperne i klimaloven.
KEF, Alm.del - 2020-21 - Bilag 38: Klimaprogram 2020 i web-tilgængelig version
2267578_0055.png
6. tvæRgående indsatseR på klimaOmRådet
55
Boks 12
Eksempler på
erhvervslivets
selvstændige tiltag
Regeringen har indgået aftale med Aalborg Portland om, at virksomheden vil reducere deres udledninger med
cirka 660.000 ton CO
2
e frem mod 2030. Aftalen betyder, at mankoen i forhold til 70 pct-målet reduceres med 0,5
mio. ton CO
2
e i 2030.
Den danske pensionsbranche har meldt ud, at den vil investere 350 mia. kr. i den grønne omstilling frem mod
2030. Det tal svarer til mere end 10 pct. af det samlede danske BNP.
Finans Danmark igangsætter et initiativ, som skal klæde bankrådgivere bedre på til at gøre de danske boligejere
opmærksomme på de økonomiske besparelser, de kan opnå ved at træffe klimavenlige valg og energioptimere
deres boliger.
WWF og VELUX Gruppen har lanceret initiativet Lifetime Carbon Neutral, der skal sikre, at VELUX indfanger alle
sine historiske og fremtidige CO
2
-udledninger gennem skovprojekter. Det svarer til i alt 5,6 mio. ton CO
2
i skovpro-
jekter, der vil blive udviklet og drevet af WWF.
Ørsted, Mærsk, Haldor Topsøe, DSV, SAS, Københavns Lufthavne og DFDS har indgået samarbejde om historisk
storskala brintanlæg på op til 1,3 GW kapacitet. Det skal kunne udvikle bæredygtigt brint til fly, skibe, lastbiler og
busser med strøm fra danske vindmøller. Parterne bag anlægget forventer, at produktionen fra anlægget vil i 2030
kunne reducere CO
2
-udledningerne med 850.000 ton om året.
Cirka 20 pct. af danskernes klimaaftryk kommer fra fødevareindtag. Som den første dagligvarekoncern i Danmark
giver Coop nu kunderne mulighed for at følge deres eget klimaaftryk fra de varer, de køber.
Regeringen og klimapartnerskaberne fortsætter samarbejdet fremadrettet inden for tre spor, jf. boks 13.
Boks 13
Eksempler
på klima-
partnerskabernes
selvstændige tiltag
Input til kommende sektorstrategier:
Regeringen vil vurdere og tage politisk stilling til klimapartnerskabernes
anbefalinger i forbindelse med efterårets sektorstrategier. I den forbindelse vil der blive regnet på alle de væsent-
ligste anbefalinger ud fra ministeriernes gængse regneprincipper. Klimpartnerskaberne arbejder videre med egne
køreplaner og tiltag.
Implementering:
Regeringen vil arbejde sammen med klimapartnerskaberne om at implementere anbefalinger
fra indgåede og kommende klimaaftaler. I første omgang om konkrete initiativer fra klimaaftalen for energi og
industri.
Fire nye tværgående samarbejder,
jf. nedenfor (boks 14)
Endvidere har Grønt Erhvervsforum besluttet at nedsætte fire nye tværgående samarbejder, hvis formål
er at skabe sammenhæng og synergi mellem klimaindsatser, som har relevans for flere organisationer
og klimapartnerskaber, jf. boks 14.
Boks 14
Fire nye
tværgående
samarbejder med
erhverslivet
Samarbejde om implementering af klimainitiativer fra klimaftale for energi og industri mv.
indeholder både et part-
nerskab om udviklingen af strategien for den videre udvikling af PtX og CCS i Danmark og et partnerskab om en
effektiv udmøntning af den afsatte tilskudspulje på 2,5 mia. kr. i 2020-2030 til grøn omstilling af industrien.
Samarbejde om fælles metode til at opgøre drivhusgasudledninger
med udgangspunkt i en frivillig, kvantitativ model
for, hvordan den finansielle sektor kan opgøre klimaaftrykket af de aktiviteter, de finansierer i danske virksomheder mv.
Arbejdet ledes at Finanssektorens klimapartnerskab med Finans Danmark i spidsen og udvikles i tæt samarbejde med
erhvervslivet og relevante myndigheder. Modellen vil bl.a. afspejle de informationskrav om virksomheders CO
2
-aftryk,
som reguleringen kommer til at stille krav om, og som den finansielle sektor vil efterspørge hos kunderne.
Samarbejde om udvikling af mere klimavenlig kost
vedrører bl.a. en styrkelse af eksisterende partnerskaber om
mere klimavenlig kost og madspild, så den grønne omstilling når helt ud på tallerkenen hos danskerne – både ved
at fokusere på produktion, forbrug og eksport.
Samarbejde om grønne kompetencer
vedrører jobskabelse og opkvalificering, så der er adgang til de rette kompe-
tencer til at implementere de mange grønne tiltag. Dertil kommer, at den grønne omstilling vil medføre nye kompe-
tencer og forskellige jobtyper, som endnu ikke kan forudsiges.
KEF, Alm.del - 2020-21 - Bilag 38: Klimaprogram 2020 i web-tilgængelig version
2267578_0056.png
56
KLIMAPROGRAM 2020
Regeringen ønsker også at aktivere den danske befolkning – unge som gamle. Derfor har regeringen
nedsat både et Borgerting, ligesom der allerede på klima-, energi- og forsyningsområdet eksisterer et
Ungeklimaråd.
Borgertinget består af 99 borgere på tværs af alder, køn, geografi, uddannelse og indkomst. De har til
opgave at debattere borgernære dilemmaer forbundet med den grønne omstilling samt give input og
anbefalinger til den grønne dagsorden. Borgertinget skal således give yderligere mulighed for, at dan-
skerne kan få deres stemme hørt i tilrettelæggelsen af klimapolitikken. Borgertingets første samling er af
hensyn til COVID-19-pandemien blevet aflyst. Det afventes, hvornår det er forsvarligt at afholde Borgertin-
gets samlinger. På Borgertingets samlinger vil relevante eksperter holde vidensoplæg for borgerne, der
vil drøfte inputs og anbefalinger med henblik på fremlæggelse for klima-, energi- og forsyningsministeren
samt Folketingets Klima-, Energi- og Forsyningsudvalg.
Ungeklimarådet har til formål at bidrage til den grønne dagsorden gennem bl.a. at indsamle input og
idéer fra unge aktører i samfundet til dansk klimahandling, formidle ungdommens ønsker til konkrete
politiske forslag samt skabe opmærksomhed om den grønne dagsorden hos både unge og ældre. Rege-
ringen har siden dens tiltrædelse styrket Ungeklimarådet med flere medlemmer, og rådet har overrakt
deres anbefalinger til indretningen af dansk klimapolitik med særligt fokus på fødevarer, klimaafgifter,
Nordsøen og grøn genopretning til klima-, energi- og forsyningsministeren.
Regeringen bidrager således til, at der skabes rum for en større offentlig debat om indretningen af dansk
klimapolitik med perspektiver fra både borgere, erhvervsliv og civilsamfundet.
6.2 Tværgående EU-initiativer og -tilgang
En ambitiøs og omkostningseffektiv klimaindsats i EU gennem udmøntningen af European Green Deal
kan drive den grønne omstilling både i Danmark og hele EU og kan samtidig fungere som løftestang for
global handling, hvor EU kan lægge pres på andre lande til at øge deres bidrag til Parisaftalen. Samti-
dig skaber en fælles EU-regulering lige konkurrencevilkår og mindsker risikoen for, at virksomheder og
arbejdspladser flytter ud af landet og dermed flytter udledningerne fra ét land til et andet.
Boks 15
EU’s
klimaregulering
EU’s eksisterende drivhusgasreduktionsmål i 2030 er på mindst 40 pct. i 2030 i forhold til 1990. EU-målet er opdelt i:
Et fælles EU-mål for kvotesektoren (udledninger fra energi i el-produktion, fjernvarme, store industrianlæg,
olie-gasproduktion og flytrafik).
Nationalt byrdefordelte mål for ikke-kvotesektoren (udledninger fra vejtransport, boliger med individuel opvarm-
ning, affald og landbrug.) Dvs. hvert land har sit eget reduktionsmål.
Derudover er landene forpligtet gennem en række sektor mål inden for vedvarende energi, energieffektivisering og transport.
Sektorerne reguleres gennem en væsentlig mængde EU-lovgivning, der skal bidrage til at fremme den grønne omstilling bl.a.
ved at fremme energispareindsatser og en grøn transportsektor gennem CO
2
-standarder for nye køretøjer.
Regeringen har arbejdet for, at et højt ambitionsniveau i EU’s klimapolitik skulle blive en hovedpriori-
tet for den nuværende Europa-Kommission, der tiltrådte i december 2019. Kommissionen fremlagde
som noget af det første i december 2019 European Green Deal, der er en detaljeret køreplan med
ambitiøse klimamål og grønne tiltag i alle sektorer frem mod 2030, der skal sætte væsentligt skub
i omstillingen hen mod klimaneutralitet i EU senest i 2050. En ny europæisk klimalov og en opju-
stering af EU’s 2030-klimamål er blandt de centrale elementer i planen, som skal fungere som EU’s
overordnede ramme for, at klimaindsatsen realiseres i de kommende år.
Kommissionen har fremsat det første konkrete forslag under European Green Deal og flere vil følge i
kommende år. Forhandling af EU-forslag i Rådet og Europa-Parlamentet kan tage et par år, hvorefter
retsakterne skal implementeres i medlemslandene. Nye tiltag på EU-niveau vil derfor forventeligt
først kunne få virkning om nogle år frem mod 2030. Med udgangspunkt i European Green Deal er
der dog et betydeligt potentiale for, at EU-tiltag vil kunne bidrage til en væsentlig reduktionsindsats i
Danmark frem mod 2030 og dermed bidrage til indfrielsen af 70 pct.-målet, jf. kapitel 1.
KEF, Alm.del - 2020-21 - Bilag 38: Klimaprogram 2020 i web-tilgængelig version
2267578_0057.png
6. tvæRgående indsatseR på klimaOmRådet
57
Ambitiøs implementering af European Green Deal
Regeringen går forrest i EU og arbejder sammen med ligesindede lande for, at implementeringen af European
Green Deal bliver så ambitiøs som muligt. COVID-19 har sat dybe spor i EU og har kastet medlemslandenes
økonomier ud i en mærkbar krise. For regeringen er det vigtigt, at genopretning af EU’s økonomi styrker og
ikke forsinker klimaindsatsen. Derfor har regeringen i foråret 2020 taget initiativ til at samle 19 medlemslande
om et fælles brev til Europa-Kommissionen med det budskab, at der skal sikres momentum i EU’s klimaambi-
tioner, ikke mindst ved at øge EU’s 2030 klimamål inden udgangen af 2020. Det bidrog til, at European Green
Deal fortsat er det centrale omdrejningspunkt for en grøn genopretning af EU’s økonomi, der fremmer omstil-
lingen og skaber bæredygtig vækst og grønne arbejdspladser.
I sommerens forhandlinger om EU’s budget for 2021-2027 og EU’s genopretningspakke har Danmark desuden
været med til at sikre, at mindst 30 pct. af de samlede EU-midler for den kommende periode skal anvendes til
tiltag, der gavner klimaet. Regeringen vil i forbindelse med udmøntningen af det flerårige EU-budget arbejde
for, at der kommer mest mulig klimaeffekt ud af midlerne.
Den europæiske klimalov
Europa-Kommissionen fremlagde i foråret 2020 forslag til den første europæiske klimalov. Danmarks klima-
lov giver et godt afsæt til at præge den europæiske klimalov i den rigtige retning. Regeringen arbejder for, at
den europæiske klimalov bliver så ambitiøs som muligt og er med til at sikre, at EU når sit mål om klimaneu-
tralitet senest i 2050 og lever op til forpligtelserne i Parisaftalen.
Regeringen arbejder derfor for, at loven etablerer de rette rammer for, at EU og medlemslandene når målet
om klimaneutralitet, ligesom der skal sikres en proces for fastsættelse af delmål frem mod klimaneutralitet.
Loven skal ligeledes sikre, at målet om klimaneutralitet skal gælde for alle EU’s medlemsstater og sende et
signal om, at EU skal gå mod netto-negativ udledninger efter klimaneutralitet senest i 2050. Derudover er det
vigtigt for regeringen, at der skabes klare rammer for, hvordan optag og lagring integreres i EU’s klimaindsats.
Forøgelse af EU’s 2030-klimamål til mindst 55 pct.
Europa-Kommissionen fremlagde medio september 2020 en ambitiøs plan for en opjustering af EU’s 2030
klimamål på mindst 55 pct. i forhold til 1990. Regeringen har sammen med andre klimaambitiøse lande gået i
front og arbejdet målrettet for, at EU’s 2030-mål netop øges til mindst 55 pct.
Et EU-mål på mindst 55 pct. vil reducere drivhusgasudledningerne i EU, med hvad der svarer til ca. 20 gange
Danmarks totale udledninger i 2018. Det viser, at Danmark kan gøre en stor forskel, når der løftes i flok. Den
danske regering vil arbejde for, at EU vedtager målet, så man kan indmelde et nyt klimabidrag til Parisaftalen
inden udgangen af året. Hvis de globale klimaambitioner i Paris aftalen skal indfries, skal EU gå foran og vise
vejen for andre store udledere.
Regeringen har samtidigt arbejdet for en så omkostningseffektiv og klog indfrielse af målet som muligt. Kommissi-
onens plan lægger sig i vid udstrækning op af regeringens prioriteter, jf. boks 16. Regeringen fortsætter nu arbejdet
med at sikre, at Kommissionens plan omsættes til konkret og ambitiøs EU-regulering, der følger de danske forslag.
Boks 16
Centrale elementer
i Europa-
Kommissionens
2030-plan
Kommissionen har foreslået en opjustering af EU’s 2030 klimamål på mindst 55 pct. og udstukket retningen for en grund-
læggende modernisering af EU’s klima- og energiregulering. Kommissionen lægger op til, at fælleseuropæiske instrumenter
og markedsbaseret regulering skal spille en større rolle inden for alle sektorer frem mod 2030 og 2050 mhp. at fremme en
mere omkostningseffektiv omstilling.
Planen indeholder derudover forskellige scenarier for, hvordan det kan ske herunder med fokus på bl.a. følgende områder:
Styrkelse af EU’s kvotehandelssystem.
Udvidelse af kvotehandel til flere sektorer, herunder vejtransport og bygninger.
Øget energieffektivitet.
Et højere ambitionsniveau for vedvarende energi.
Reduktion af udledninger fra transport, herunder styrkede CO
2
-krav til nye biler.
Integreret tilgang til klimaregulering af landbrugets udledninger samt optag i jord og skov (LULUCF).
Justering af de nationalt byrdefordelte mål i ikke-kvotesektoren.
KEF, Alm.del - 2020-21 - Bilag 38: Klimaprogram 2020 i web-tilgængelig version
2267578_0058.png
58
KLIMAPROGRAM 2020
Regeringens indsats for at sikre en ambitiøs og omkostningseffektiv udmøntning European Green Deal
inden for de enkelte sektorer fremgår af kapitel 7 om henholdsvis energi og industri, transport og landbrug.
Regeringens tilgang til en ambitiøs udmøntning af Green Deal er opsummeret i boks 17.
Boks 17
Regeringens
tilgang til ambitiøs
udmøntning af
Green Deal
Kommissionens 2030-plan er en central hjørnesten i udmøntningen af Green Deal. Som led i udmøntningen af et højere
2030-klimamål arbejder regeringen arbejder for at ændre EU’s klimaregulering, så EU’s kvotehandelssystem styrkes væsent-
ligt og udvides til vejtransport og opvarmning af bygninger. Samtidigt skal der oprettes en særskilt søjle for landbrugets
udledninger for at styrke incitamenter til klimavenlig landbrugsproduktion væsentligt. Det vil skabe et stærkere incitament til
at reducere drivhusgasudledningerne, hvor potentialet er størst, på tværs af lande og sektorer.
I Green Deal og i udmøntningen af et højere 2030-klimamål vil regeringen desuden fortsat arbejde for ambitiøs sektorregu-
lering inden for vejtransport og opvarmning af bygninger. Regeringen har fx gennem længere tid opfordret til, at benzin og
dieselbiler udfases i EU. Det er positivt, at Kommissionen i forbindelse med fremlæggelsen af 2030-planen har været lydhør
og nu vil overveje en slutdato for udfasning.
Derudover kan følgende prioriteter i Green Deal fremhæves:
Mere vedvarende energi i EU bl.a. med vindøer i Nordsøen.
Et grønt og integreret energisystem på tværs af grænser og sektorer.
Højere CO
2
-krav til lette og tunge køretøjer.
Reduktion af udledningerne fra luftfart.
Fremtidige EU-tiltag på søfartsområdet, som understøtter en global løsning i regi af IMO, er til gavn for klimaet og
ikke skader europæisk søfarts konkurrenceevne.
Indførelse af klimaregulering af landbruget i EU.
Styrket energieffektiviseringsindsats fx gennem produktkrav
.
6.3. Grøn forskningsstrategi
Med strategien
Fremtidens grønne løsninger – Strategi for investeringer i grøn forskning, teknologi og
innovation
sætter regeringen en langsigtet retning for grøn forskning, udvikling og demonstration i
Danmark. Strategien skal danne grundlag for klare politiske prioriteringer for den fremtidige indsats og
derved understøtte udviklingen af de teknologier, som på sigt skal være med til at realisere klimalovens
mål under hensyn til principper.
Strategien udpeger forskningsbehov og -potentialer, der inden for forskellige sektorer og områder vurde-
res at være mest perspektivrige i forhold til den grønne omstilling – fx i form af udvikling af eksisterende
grønne teknologier og mere nyskabende forskning.
En missionsdrevet indsats skal accelerere udviklingen af nye løsninger
For at understøtte en målrettet udvikling af fremtidens teknologier udpeger regeringen fire konkrete
grønne missioner, jf. boks 19. Regeringen vil med en missions-drevet indsats accelerere udviklingen af
teknologier, der skal i anvendelse for at indfri mod klimalovens mål under hensynstagen til klimalovens
principper. Strategien udpeger udfordringer (”pick the challenge”), som skal løses gennem en strategisk
og sammenhængende grøn forskningsindsats, der spænder hele vejen fra grundforskning til kommercia-
lisering af nye løsninger på tværs af offentlige og private aktører med blik for erhvervslivets forsknings-
og innovationsbehov og styrkepositioner, jf. boks 18.
KEF, Alm.del - 2020-21 - Bilag 38: Klimaprogram 2020 i web-tilgængelig version
2267578_0059.png
6. tvæRgående indsatseR på klimaOmRådet
59
Boks 18
Kriterier for
grønne missioner
Grønt potentiale
Målrettes konkrete udfordringer inden for sektorer, hvor behovet for nye løsninger og potentialet for at indfri grønne målsæt-
ninger er størst i såvel Danmark som globalt.
Erhvervsmæssige styrker og potentialer
Målrettes udfordringer, hvor dansk erhvervsliv har stærke forudsætninger for at udvikle grønne løsninger og en tydelig konkur-
rencefordel. Et voksende verdensmarked for grønne løsninger, produkter og tjenesteydelser udgør en mulighed for, at danske
forskere, virksomheder og iværksættere kan vende udfordringer til nye erhvervsmuligheder og udbrede grønne løsninger globalt.
Forskningsmæssige styrker
Målrettes udfordringer, hvor danske forskningsaktører har styrkepositioner og forudsætninger for at indgå i samarbejder og
partnerskaber med forskere og videninstitutioner i hele verdenen, hjemtage viden og tiltrække forskningsmidler fra særligt
EU’s forskningsprogrammer.
Partnerskabspotentiale
Missionerne skal kunne danne udgangspunkt for grønne forsknings- og innovationspartnerskaber, hvor der er grundlag for
samarbejde mellem universiteter, virksomheder, Godkendte Teknologiske Serviceinstitutter, myndigheder m.fl. De skal gøre
forsknings- og innovationsindsatsen konkret og målorienteret, hvorved det bliver muligt at accelerere hastigheden, hvormed
de konkrete resultater i relation til den grønne omstilling realiseres.
I 2021 lægger regeringen op til at prioritere markante midler til de fire missioner, hvor behovet for nye
løsninger og potentialet for at reducere drivhusgasudledningerne samlet vurderes at være størst i både
Danmark og globalt. Dermed målrettes missionerne indsatsen for at indfri klimalovens målsætninger.
Samtidig er der tale om områder, hvor der vurderes at være potentiale for at skabe nye arbejdspladser
og eksport af grønne løsninger, der kan bidrage til at reducere drivhusgasudledningen globalt, jf. boks 19.
Der vil i de kommende år potentielt kunne identificeres yderligere missioner.
Boks 19
Den grønne
forsknings-
strategis fire
missioner
Fangst og lagring eller anvendelse af CO
2
Mission: Danmark skal udvikle omkostningseffektive løsninger til fangst og lagring af CO
2
, som kan anvendes til at reducere
CO2-udledninger og skabe negative udledninger fra store industrielle udledere, affaldsforbrændingsanlæg, biogasanlæg og
biomassebaseret kraftvarmeanlæg. Sammen med brint fra vedvarende energi kan fanget CO2 levere kulstof til nye klimaneu-
trale løsninger. Teknisk reduktionspotentiale for CC(U)S skønnes at udgøre 4-9 mio. ton CO
2
e i 2030. Det bemærkes, at der er
overlap til PtX-potentialet.
Power-to-X – Grønne brændstoffer og brændsler til transport og industri
Mission: Der skal udvikles løsninger til at omdanne strøm fra vedvarende energi til produkter, der kan anvendes til at reducere
udledningerne fra dele af transport- og industrisektoren, hvor der ikke eksisterer omkostningseffektive alternativer til fossil
energi. Teknisk reduktionspotentiale for PtX skønnes at udgøre 0,5-3,5 mio. ton CO2e i 2030, og på længere sigt 1,5-7,5 mio.
ton (heraf 1-4 mio. ton i international skibs- og luftfart, som ikke tælles med i Danmarks nationale 70 pct.-målsætning). Det
bemærkes, at der overlap til CC(U)S-potentialet.
Klima- og miljøvenligt landbrug og fødevareproduktion
Mission: Forsknings- og innovationsindsatsen skal målrettes udvikling af teknologier og løsninger, der markant kan reducere
klima- og miljøpåvirkningen fra både konventionel og økologisk fødevareproduktion og jordbrug, herunder udledninger fra
husdyr, gødningsanvendelse og jorde, samt reducere afledte effekter på naturen. Det kan fx være igennem teknologier samt
mere cirkulære og bæredygtige løsninger mhp. optag af CO
2
i jord og skov, bioraffinering, herunder pyrolyse, nye foder- og
fødevareprodukter med lavere klima- og miljøaftryk, planteforædlingsamt understøttelse af vidensbehov i forhold til effektiv
regulering, herunder dokumentation af emissioner. En række nye teknologier og løsninger er under udvikling, hvor særligt
nogle forskningsprojekter inden for fodertilsætningsstoffer, gylletilsætningsstoffer samt bioraffinering har vist potentiale.
Genanvendelse og reduktion af plastikaffald
Mission: Forskningsindsatsen skal rettes mod nye teknologier og fremstillingsmetoder, der kan sikre affaldsreduktion samt
bedre sortering og genanvendelse af plastikaffald til nye plastikprodukter. Udvikling af plastikholdige produkter, der er designet
til genbrug eller genanvendelse, både med hensyn til den kemiske sammensætning af plastråvaren og additiverne og sammen-
sætningen af materialer i det enkelte produkt. Teknologier og løsninger, der giver en høj kvalitet i genanvendelsen og et lavt tab
af materialer, samt sortering, oparbejdning og genanvendelse af plastikholdige tekstiler vurderes at kunne reducere mængden af
plastisk og fossilt tekstilaffald med ca. 53.000 ton ud over reduktionen i Aftalen om en grøn affaldssektor og cirkulær økonomi.
Hvis denne yderligere mængde fjernes fra forbrændingen, vil Danmark nå målsætningen om at fjerne 80 pct. af plastaffaldet fra
forbrændingen i 2030, hvilket vil medføre en reduktion af CO
2
e fra affaldsforbrænding på ca. 0,15 mio. ton CO
2
e i 2030.
Metodenotat kan findes via ministeriets hjemmeside.
KEF, Alm.del - 2020-21 - Bilag 38: Klimaprogram 2020 i web-tilgængelig version
2267578_0060.png
60
KLIMAPROGRAM 2020
De grønne missioner skal konkret løses af grønne forsknings- og innovationspartnerskaber. Det er et nyt
forsknings- og innovationsvirkemiddel, som introduceres med
Grøn Forskningsstrategi.
De grønne forsk-
nings- og innovationspartnerskaber skal samle vidensinstitutioner, erhvervsliv, offentlige parter og inno-
vationsaktører om en fælles forsknings- og innovationsindsats, som er rettet mod at realisere en konkret
mission. Den grønne omstilling går dermed hånd i hånd med indsatsen for at skabe danske arbejdsplad-
ser og styrke konkurrenceevnen, jf. hensynet til bæredygtig erhvervsudvikling i klimaloven.
Partnerskaberne skal for at understøtte en hurtigere og succesfuld modning af lovende grøn forskning
og teknologi i Danmark i videst mulige omfang skabe en stærk kobling mellem partnerskabernes akti-
viteter, offentlige støtteordninger som demonstrationsprogrammerne og Innovationsfonden samt Dan-
marks Grønne Fremtidsfond og de private investormiljøer. Målet er, at perspektivrige grønne forsknings-
og udviklingsprojekter i regi af partnerskaberne i videst muligt omfang udvikler sig, så de kan danne
grundlag for nye grønne vækstsucceser, der kan skaleres op i Danmark ved hjælp af finansiering fra bl.a.
Danmarks Grønne Fremtidsfond og private investorer eller en kombination heraf.
Danmarks Innovationsfond vil i koordination og dialog med øvrige relevante aktører, herunder Danmarks
Grønne Fremtidsfond stå for udmøntningen af de missionsdrevne Grønne Forsknings- og Innovations-
partnerskaber. Midlerne udbydes i konkurrence. Grøn Forskningsstrategi, herunder de forskningsbehov
og –potentialer, som strategien kortlægger, vil i de kommende år danne grundlag for den grønne forsk-
ningsindsats i regeringens årlige oplæg til prioritering af forskningsmidler som led i aftalen om fordeling
af forskningsreserven mv.
6.4. Danmarks Grønne Fremtidsfond
Partierne bag finansloven for 2020 har afsat 25 mia. kr. til Danmarks Grønne Fremtidsfond,
der skal bidrage til en national og global grøn omstilling, herunder udvikling og udbredelse af
nye teknologier, omlægning af energisystemer til vedvarende energi, lagring og effektiv anven-
delse af energi mv. og fremme af global eksport af grøn teknologi, eksempelvis inden for vind og
energieffektiviseringsløsninger.
Samtidig skal fonden via dens fire underliggende institutioner (Vækstfonden, EKF Danmarks Eksportkre-
dit, Danmarks Grønne Investeringsfond og Investeringsfonden for Udviklingslande) bidrage til opfyldelse
af Parisaftalens temperaturmål samt realisering af nationale klimamål og skal således aktivt finansiere
og investere i tiltag, der reducerer belastningen for klima, natur og miljø, herunder tiltag rettet mod vand-
knaphed, fødevaremangel og bæredygtig fødevareproduktion, jf. boks 20.
Boks 20
Fire underliggende
institutioner i
Danmarks Grønne
Fremtidsfond
Vækstfonden
4 mia. kr. til Vækstfonden skal anvendes til at igangsætte en bred og langsigtet indsats for at opbygge et marked for grøn
risikovillig kapital. Det skal gøre det nemmere for de grønne iværksættere og vækstvirksomheder at rejse lån og egenkapi-
talfinansiering, der kan udvikle virksomhederne og omsætte gode grønne ideer til grønne arbejdspladser. Vækstfonden vil
primært foretage fondsinvesteringer og direkte investeringer i virksomheder, men kan også give lånefinansiering.
EKS Danmarks Eksportkredit
14 mia. kr. til EKF Danmarks Eksportkredits skal anvendes til at styrke EKF’s muligheder for at garantere de danske virksom-
heders eksport af grøn teknologi og løsninger til hele verden. EKF Danmarks Eksportkredit tilbyder eksportfinansiering til
danske eksportører i form af lån og garantier.
Danmarks Grønne Investeringsfond
6 mia. kr. til Danmarks Grønne Investeringsfond skal anvendes til at medfinansiere investeringer, der fremmer en grøn omstil-
ling af det danske samfund, herunder inden for energibesparelser, vedvarende energianlæg og ressourceeffektivitet. Fonden
yder lån og garantier til private virksomheder, almene boligorganisationer samt offentlige selskaber og institutioner mv.
Investeringfonden for Udviklingslande
1 mia. kr. til Investeringsfonden for Udviklingslande (IFU) skal anvendes til at fremme investeringer og udlån i grønne
løsninger i udviklingslande, herunder vedvarende energi, energieffektivitet, fødevareproduktion og sikring af rent vand. IFU
leverer rådgivning og risikovillig kapital til virksomheder, der ønsker at gøre forretning i udviklingslande og vækstmarkeder.
KEF, Alm.del - 2020-21 - Bilag 38: Klimaprogram 2020 i web-tilgængelig version
2267578_0061.png
6. tvæRgående indsatseR på klimaOmRådet
61
Danmarks Grønne Fremtidsfond vil som udgangspunkt altid finansiere sammen med private aktører.
Det kan fx være pensionsselskaber, venturefonde eller business angels. Fremtidsfonden vil derfor også
mobilisere en betragtelig mængde privat kapital, som samlet set løfter hele økosystemet for grøn kapital
og gør det nemmere for grønne virksomheder og projekter at opnå finansiering.
6.5. Grøn skattereform
Med
Klimaaftale for energi og industri mv. 2020
er et bredt flertal i Folketinget enige om, at regeringen
udarbejder oplæg til en grøn skattereform, herunder justeringer af energibeskatningen på kort sigt med
øje for en ensartet CO
2
e-afgift på langt sigt.
Afgifter er grundlæggende et effektivt redskab til at finde de samfundsøkonomisk billigste reduktioner.
Med den korrekte afgift afspejler prisen på CO
2
e-udledning de omkostninger, som husholdninger og
erhvervsliv påfører samfundet. Det giver økonomisk tilskyndelse til at reducere CO
2
e-udledningerne for at
spare afgiften.
Desuden kan afgifter målrettes CO
2
e-udledninger, mens det fx er vanskeligt med tilskud, hvor det fx er
nødvendigt at vide, hvilke teknologier der giver de billigste reduktioner og dermed bør støttes.
Samtidig er det dog vigtigt, at en grøn omlægning af afgiftssystemet afvejer og balancerer hensynene,
som gælder bredt for den grønne omstilling af samfundet, jf. klimalovens principper.
Nuværende afgiftssystem
De nuværende afgifter på CO
2
e består af energiafgifter på fossile brændsler, CO
2
-afgift primært uden for
EU’s kvotesektor samt CO
2
-kvotepris inden for de sektorer, der er reguleret under EU’s kvotehandelssy-
stem. Dertil kommer afgifter på luftforurening fra brændsler (NOX og svovl), ligesom der også er diffe-
rentieringer efter CO
2
-udledning i bilafgifterne. Energiafgifter udgør den største andel med et provenu på
ca. 4,5 pct. af det samlede skatte- og afgiftsprovenu på ca. 1.000 mia. kr.
Afgiftssystemet er sammensat ud fra en række forskellige hensyn, herunder CO
2
-reduktioner, men også
fx erhvervenes konkurrenceudsættelse. Der er en række områder, hvor CO
2
e-udledninger helt er fritaget
for afgift.
Det betyder, at CO
2
e-udledning i det nuværende system er reguleret med en meget uensartet prissætning
på tværs af sektorer og anvendelser. Afgiftsbelastningen på landtransport samt husholdningerne og
erhvervenes rumvarme (komfortvarme og -køling mv.) er relativ høj. Omvendt er afgifterne på produk-
tion forholdsvis lave og yderligere differentieret, hvor områder helt er afgiftsfritaget. Derudover er de
ikke-energirelaterede udledninger fra fx landbruget (metan og lattergas) ikke omfattet af afgifter eller
anden direkte regulering.
Konkret varierer den effektive sats for beskatningen på mellem 0 og 2.000
(målt i kr. pr. udledt ton CO
2
e).
Det giver meget forskellige skyggepriser, dvs. den samfundsøkonomiske omkostning pr. ton reduceret
CO
2
e, hvilket er illustreret i tabel 7. Ved afgiftsforhøjelser vil skyggeprisen stige.
Tabel 7
Tiltag, energi
Rumvarme afgift
Procesenergi afgift
Marginale
skyggepriser for
mulige virkemidler
Skyggepris (kr./t CO
2
e)
1.270
0-260
Anm.: Fsva. forøgelse af afgifterne med 1 kr. pr. ton CO
2
er vist de samlede afgifter samt kvoteomkostninger relateret til CO
2
-udledning. For rumvarme og proces er der taget udgangs-
punkt i naturgas, inklusiv aftalte forhøjelser i sektorstrategi for energi og industri.
KEF, Alm.del - 2020-21 - Bilag 38: Klimaprogram 2020 i web-tilgængelig version
2267578_0062.png
62
KLIMAPROGRAM 2020
Konsekvenser af en grøn skattereform
Der er mange muligheder for at omlægge afgifterne i forbindelse med en grøn skattereform, hvormed
konsekvenserne for borgere og erhverv vil være meget forskellige afhængig af den konkrete model,
herunder om fx CO
2
e-beskatningen ensrettes på tværs af sektorer, om de eksisterende differentieringer
opretholdes, eller om visse sektorer friholdes.
Uanset modellen for en grøn skattereform vil afgifter på erhverv umiddelbart belaste erhvervenes kon-
kurrenceevne, jf. eksempel i tabel 8.
Tabel 8
Umiddelbare
konsekvenser for
udvalgte erhverv
ved en forhøjelse
af den samlede
CO
2
-beskatning
med ca. 100 kr./
ton CO
2
Udvalgte erhverv
Landbrug, gartneri, skovbrug
Føde-, drikke- og tobaksindustri
Kemisk industri
Plast-, glas- og betonindustri
Gældende regler
Kr. pr. beskæftiget pr. år
475
1.575
775
0
Forhøjelse
Kr. pr. beskæftiget pr. år
2.350
3.675
1.800
4.375
Anm.: En forhøjelse af den samlede CO
2
-beskatning fra ca. 250 kr./ton CO
2
til ca. 350 kr./ton CO
2
(ved en forhøjelse af energiafgiften på erhvervenes procesafgift) indebærer betydelige
forhøjelser for produktionserhvervene. Konsekvenserne er vist som kr. pr. beskæftiget. Det skønnes, at en sådan forhøjelse vil indebære en CO
2
-reduktion på ca. 0,5 mio. ton.
Kilde: Skatteministeriets beregninger.
En højere CO
2
-beskatning vil alt andet lige medføre et generelt fald i produktionen og beskæftigelsen
samt påvirke de erhverv, hvis produktion sælges i udenlandsk konkurrence.
På længere sigt forventes konkurrenceevnen for dansk erhvervsliv set under et at blive genetable-
ret, og beskæftigelsen vil overvejende vende tilbage til samme niveau. Erhvervsstrukturen vil i den
proces blive tilpasset, så konkurrenceudsatte erhverv, der pålægges en højere beskatning, mind-
skes til fordel for andre erhverv, hvor beskæftigelsen vil opstå. Det hænger sammen med, at de
øgede afgifter via såkaldt nedvæltning i sidste ende fører til lavere lønninger (og eventuelt lavere
jordpriser).
For den del af den indenlandske produktion, der ikke er i udenlandsk konkurrence, vil en afgiftsforhø-
jelse kunne overvæltes i højere forbrugerpriser. Afgifterne vil dog samtidig medføre potentielt bety-
delige forskydninger mellem erhverv, så aktivitet og beskæftigelse i udledningsintensive erhverv (fx
visse industrier, gartnerier og landbrug) vil falde, mens udledningslette erhverv (fx service) vil øge
aktiviteten og beskæftigelsen.
I sidste ende vil det således være husholdningerne, der bærer omkostningerne ved målopfyldelsen i
form af lavere realindkomst. Den andel af byrden, der nedvæltes gennem lønningerne, kan forventes
at være nogenlunde bredt fordelt, mens fordelingen af den andel, der overvæltes i priserne afhænger
af, hvem der aftager de relevante goder.
I perioden frem mod den nye ligevægt, vil der være tilpasningsomkostninger. De vil alt andet lige
være højere under lavkonjunktur end under højkonjunktur.
Gennemførelse af grøn skattereform
Danmark har en lang tradition for at anvende afgifter til at begrænse forurening og reducere udled-
ningen af drivhusgasser mv. under ”forureneren-betaler-princippet”.
En grøn skattereform, der via den generelle prissætning på drivhusgasudledninger har som ambition
at blive en af hovedmotorerne for at nedbringe CO
2
e-udledningen i alle dele af det danske samfund,
vil dog have betydelige konsekvenser for borgere og virksomheder. Fx vil virksomheder med begræn-
sede alternativer primært mindske produktionen, hvilket betyder, at arbejdspladser og udledningerne
flyttes til udlandet. Desuden vil der være store forskydninger i den nuværende erhvervsstruktur samt
fordelings- og provenueffekter.
KEF, Alm.del - 2020-21 - Bilag 38: Klimaprogram 2020 i web-tilgængelig version
2267578_0063.png
6. tvæRgående indsatseR på klimaOmRådet
63
Samtidig er der væsentlige udfordringer ved at indføre en bred CO
2
e-afgift, og det kræver betydeligt
udviklingsarbejde, særligt for de sektorer, hvor det endnu ikke er muligt at dokumentere beskatnings-
grundlaget for en CO
2
e-afgift. Det gælder fx for landbrugets ikke-energirelaterede udledninger.
Derfor er det afgørende, at den grønne omstilling sker løbende, så både borgere og virksomheder kan
indstille sig på nye tiltag, fx omlægning af afgifterne. Ved en løbende omstilling opnås der samtidig sik-
kerhed for, at nye afgifter kan implementeres og administreres.
Regeringen lægger derfor op til, at en grøn skattereform tager skridt i retning af en højere og mere ensar-
tet beskatning af CO
2
e-udledninger.
Det skal ses i sammenhæng med, at der med Klimaaftale for energi og industri mv. 2020 blev aftalt en
forhøjelse af afgiften på fossil rumvarme for at fremme grønnere opvarmningsformer. Der blev desuden
aftalt en de facto afskaffelse af afgiften på elvarme, hvilket gør det billigere at varme op med fx grøn
vindmølle-el.
KEF, Alm.del - 2020-21 - Bilag 38: Klimaprogram 2020 i web-tilgængelig version
2267578_0064.png
64
KLIMAPROGRAM 2020
7. En klog grøn omstilling
I alle sektorer er der udfordringer og muligheder ved omstillingen, men de er af meget forskellig karakter.
Der er særligt stor forskel på omkostningsniveauerne for de tilgængelige teknologier. Omkostningerne
forbundet med omstillingen varierer derfor væsentligt i de forskellige sektorer, ligesom der er forskellige
tekniske barrierer for, at tiltag kan implementeres. Regeringen går i henhold til aftale om klimalov sektor-
vis til omstillingen til et klimaneutralt Danmark. I 2020 udarbejdes sektorhandlingsplaner for alle væsent-
lige sektorer, herunder landbrug, transport, energi, byggeri, affald og industri. Med den tilgang søges der
taget højde for de særlige forhold i den enkelte sektorer.
7.1 Energi- og industrisektoren
Der udestår stadig en reduktionsudfordring i industrien og dele af varmeproduktionen. Dertil kan en
udvikling af fremtidens energisektor understøtte omstillingen i andre sektorer. Regeringen har derfor
sammen med et bredt flertal i Folketinget indgået aftale om en sektorstrategi for energi og industri i juni
2020. Planen indeholder en række konkrete initiativer, der medfører reduktioner i 2030. Aftalen indehol-
der samtidig et markant udviklingsspor med henblik på udvikling og modning af teknologierne CCS og
PtX, som bakkes op af regeringens grønne forskningsstrategi. Det skal føre til yderligere reduktioner i
takt med, at teknologierne modnes. Endelig vil regeringen styrke indsatsen for et fælles europæisk ener-
gimarked og samtidig sikre fortsat tæt dialog med klimapartnerskaberne på energi- og industriområdet
med henblik på at indgå samarbejdsaftaler med klimapartnerskaberne om kommende reduktionsindsat-
ser. Regeringens plan for omstillingen i sektoren er illustreret i figur 25.
Figur 25
Regeringens tilgang
til omstillingen
af energi- og
industrisektoren
Virkemidler
Initiativer her og nu
Klimaaftale for energi og industri mv.: 2,7mio.t CO
2
e i 2030
Grøn renovering af almene boliger: 47.000 t CO
2
e i 2030
Forskning & udvikling
Analyse
Strategi for
PtX og CCS
Mission i grøn forskningsstrategi:
Udvikling af PtX og CCS
Storskalaproduktion af PtX
International og
EU regulering
Indsats for øget dekarbonisering af energi-
og industrisektoren
Implementering af lovgivning i Danmark
Klimaindsats
på tværs
Klimapartnerskaber for energi- og forsyningssektoren, energitung industri, bygge- og
anlægssektoren mv. Samarbejdsaftale med Aalborg Portland
2020
2030
2050
Sektorens drivhusgasudledninger
Udledninger i energi- og industrisektoren forventes i 2030 hovedsageligt at stamme fra fossile brændsler til
opvarmning og industrielle processer. Af figur 26 fremgår den forventede fordeling af udledningerne i energi og
industrien i 2030 før indgåelsen af sektorstrategien for energi og industri af 22. juni. Drivhusgasudledningen i ener-
gisektoren vil frem mod 2030 blive reduceret markant. Sektorens udledninger forventes at falde med 9,5 mio. ton,
uden at reduktioner som følge af indgåelsen af sektorstrategien for energi og industri af 22. juni medtages.
De resterende udledninger i energisektoren i 2030 forventes næsten udelukkende at stamme fra varmeproduktion.
Individuelle olie-og gasfyr forventes efter indgåelsen af sektorstrategien d. 22. juni fortsat at udlede 1 mio. ton CO
2
e
i 2030. Udledningen fra de individuelle olie- og gasfyr skal i 2030 ses i lyset af, at regeringen med sektorstrategien
for energi og industri allerede har sikret drivhusgasreduktioner for 0,7 mio. ton CO
2
e. Inklusiv forventet udvikling
forventes ca. 180.000-240.000 olie- og gasfyr at være udfaset i 2030.
KEF, Alm.del - 2020-21 - Bilag 38: Klimaprogram 2020 i web-tilgængelig version
2267578_0065.png
7. en klOg gRøn Omstilling
65
Der forventes dog stadig at være resterende olie- og gasfyr i 2030. Der er mange årsager dertil – mange
gasfyrsejere vil stadig have et relativt nyt og velfungerende gasfyr, hvorfor der endnu ikke vil være
opstået et naturligt tidspunkt at skifte fyret ud på. For nogle vil det økonomiske incitament til at udskifte
selv et udtjent gasfyr med fjernvarme eller en varmepumpe være begrænset. Der forventes i 2030 at
være få oliefyr tilbage, som er svære at få udfaset. Det kan skyldes, at besværet og omkostningerne ved
at skifte disse oliefyr ud med en varmepumpe eller fjernvarme er betragtelige for den enkelte boligejer, på
trods af at der gennemsnitligt er store privatøkonomiske fordele ved at konvertere til fx en varmepumpe.
I fjernvarmeproduktionen forventes det, at udledningerne vil falde med 0,05 mio. ton CO
2
e i 2020 og 0,02
mio. ton CO
2
e i 2030 som følge af sektorstrategien. Den resterende drivhusgasudledning i fjernvarme-
sektoren, som i 2030 forventes at være ca. 0,5 mio. ton CO
2
e, skyldes primært afbrænding af naturgas
og olie til spids- og reservelastproduktion af varme og kraftvarme. Selvom det er teknisk muligt, kan der
være relativt høje omkostninger ved en forceret omstilling af de sidste udledninger. Det skyldes, at spids-
og reservelastanlæg er i drift meget få timer, og derfor typisk vil blive de anlæg, hvor investeringerne
er lave, og hvor den marginale driftsomkostning er lidt højere. Derfor vil fx naturgasfyrede anlæg være
attraktive, også fordi de teknisk set kan starte og lukkes ned hurtigt. De eldrevne varmepumper kræver
høje investeringer og er derfor uegnede som spids- og reservelast. Biomasseanlæg kan anvendes, men
her er investeringerne også relativt høje. Grundet tæt integration af det danske el- og varmesystem kan
initiativer, der påvirker kraftvarmeværkerne, også påvirke elforsyningssikkerheden.
Satsning på vedvarende energi (VE) i Danmark har betydet stadigt faldende drivhusgasudledninger. Dette
gør sig særligt gældende for elproduktion, hvor andelen af VE i 2030 forventes at overstige elforbruget.
Der vurderes dog fortsat at være behov for udbygning med VE, ud over det allerede besluttede, idet
efterspørgslen efter el i samfundet forventes at stige betragteligt som følge af både øget elektrificering,
konvertering til grønne alternative brændsler, samt øget forekomst af store elforbrugere (fx datacentre).
Fremtidens energisektor kan derfor understøtte omstillingen i andre sektorer, særligt i industrien og i
transportsektoren gennem produktion og distribution af grøn el og grønne brændstoffer.
Figur 26
Hvor kommer
drivhusgas-
udledningerne
fra i energi og
industrisektoren i
2030?
50
45
40
35
30
25
20
15
10
5
0
1990
Industri
2018
Energi
2025
2030
Individuel
opvarmning
mm.
16%
Energi
20%
El- og
fjernvarme
4%
Industri
80%
Anm. *Med mere dækker over terrassevarmere, plæneklippere og bygas. Udledninger fra Basisfremskrivningen 2020, dvs. før indgåelse af sektorstrategi for energi og industri af 22. juni 2020
Kilde: Energistyrelsen
Drivhusgasudledningerne fra industri og erhverv stammer hovedsagligt fra udledningerne fra cementin-
dustrien, fra olie- og gassektoren samt fra fremstillingserhverv. Der er derudover udledninger i industrien
både fra bygge- og anlægsbranchen, hvor fossile brændsler anvendes bl.a. i intern transport, samt fra
energiforbruget i landbrug og gartneri, hvor der ligeledes anvendes fossile brændsler til intern transport
og opvarmning af stalde mv. Industrisektoren forventes i 2030 at udlede 8,6 mio. ton CO
2
, om end dette
forventes reduceret med flere af tiltagene fra sektorstrategi for energi og industri af 22. juni. Dette sker
bl.a. gennem støtte til øget biogasproduktion, til øget elektrificering og energieffektivisering af industrien
mv. Med puljerne til øget biogasproduktion samt puljen til elektrificering og energieffektivisering i indu-
strien, forventes udledningerne at blive reduceret med yderligere 0,9 mio. ton primært fra industriens
udledninger. Ud over tiltag fra sektorstrategi for energi og industri af 22. juni forventes samarbejdsaf-
talen mellem regeringen og Aalborg Portland også særskilt at bidrage med en reduktion af industriens
udledninger frem mod 2030 med 0,5 mio. ton CO
2
e.
KEF, Alm.del - 2020-21 - Bilag 38: Klimaprogram 2020 i web-tilgængelig version
2267578_0066.png
66
KLIMAPROGRAM 2020
Nogle af de resterende udledninger i industrien vil kunne reduceres gennem yderligere elektrificering og
et skifte fra fossile brændsler og gas til biogas på sigt. Der er dog også væsentlige teknologiske barrierer
for at sikre markante reduktioner af drivhusgasudledningerne i industrien, idet der for nuværende ikke
kan anvendes varmepumper til fx højtemperaturprocesser. Endvidere er der nogle procesudledninger, fx
fra cementproduktion, som ikke kan reduceres via elektrificering eller et skifte væk fra fossile brændsler.
Disse udledninger må i stedet adresseres gennem nye grønne teknologier, hvor CO
2
fanges og efterføl-
gende lagres eller anvendes til produktion af grønne brændsler, eller gennem en udvikling af mere bære-
dygtige produkter, der medfører færre procesudledninger.
Forventninger til anvendelse af biogas, omkostningerne til støtteudgifter og klimaeffekt er under konso-
lidering. Med energiaftalen fra 2018 blev der indført et stop for nye støttemodtagere på de eksisterende
ordninger for biogas. Inden d. 1 juli 2020 skulle alle eksisterende og kommende biogasprojekter indsende
ansøgning om at modtage et tilsagn, hvori vilkårene for at modtage støtte fastlægges. Energistyrelsen er i
gang med at behandle sagerne.
Individuel opvarmning - grøn varme
I dag findes ca. 80.000 oliefyr og 380.000 gasfyr. Udledningerne fra individuel varme skønnes at udgøre ca. 2,6
mio. ton CO
2
e i 2018 faldende til ca. 1,7 mio. ton CO
2
e i 2030 uden yderligere tiltag (dvs. ekskl. sektorstrategien af
22. juni). I 2030 vil udledning fra olie- og gasfyr udgøre hovedparten af udledningerne fra varmesektoren.
I de fleste tilfælde kan olie- og gasfyrene erstattes med grøn fjernvarme eller eldrevne varmepumper. En barriere
for omstillingen er, at en varmepumpe kræver en initialinvestering på gennemsnitligt knap 90.000 kr., hvilket
kan være en økonomisk udfordring for boligejere. Gasfyrsejere oplevede forud for sektorstrategien for energi
og industri ikke klare økonomiske incitamenter til at skifte gasfyret ud, og samtidig betød forbrugerbindinger til
gassystemet, at visse gaskunder er bundet til enten at anvende gas eller bidrage til gassystemet. Dertil udgjorde
samfundsøkonomikravet en barriere for konverteringer af gasområder til fjernvarme.
Derfor har aftaleparterne med sektorstrategi for energi og industri aftalt at gøre det grønne valg mere økono-
misk attraktivt ved at indføre afgiftsændringer, som gør opvarmning med fossile brændsler dyrere og opvarm-
ning med el billigere, og afsætte i alt 4,1 mia. kr. (inkl. afledt afgiftstab) frem mod 2030 i tilskud til udfasning af
olie- og gasfyr. Aftaleparterne vil ophæve forbrugerbindingerne til naturgas og derudover justere samfundsøko-
nomikravet, så fjernvarmeprojekter kan godkendes uden en sammenligning med fossile alternativer, og natur-
gasområder kan konverteres til fjernvarme. Den samlede indsats for at udfase olie- og gasfyr i sektorstrategi for
energi og industri forventes at medføre en reduktion på 0,7 mio. ton CO
2
e i 2030.
Olie- og gasfyr forventes fortsat at udlede 1 mio. ton CO
2
e i 2030. Det skyldes flere ting – dels vil især
mange gasfyr stadig fungere i 2030, og derved vil der endnu ikke være opstået et naturligt tidspunkt
at skifte fyret ud på. Her skal det bemærkes, at aldersprofilen for gasfyr tyder på, at en del gasfyr skal
udskiftes i perioden 2030-2035. Med sektorstrategien for industri og energi af 22. juni 2020 forventes
det, at flere gasfyrsejere vil finde et økonomisk incitament til at skifte til fjernvarme eller en varmepumpe,
når gasfyret går i stykker, dog er det ikke forventningen, at det vil gælde for alle. I 2030 vil der være få
oliefyr tilbage, som kan være svære at få udfaset. Det kan skyldes, at der for de pågældende oliefyrsejere
er stort besvær og store omkostninger forbundet med at skifte opvarmningsform, på trods af at der
gennemsnitligt er store privatøkonomiske fordele ved at skifte oliefyret ud.
Et muligt virkemiddel til at få udfaset de sidste fyr er forskellige former for forbud eller krav. Danmark er
dog forpligtet af EU-retten på dette område, hvorfor det fx ikke med nuværende EU-regulering vurderes
muligt at forbyde selve fyret. Desuden vil forbud eller krav mod anvendelsen af olie- og gasfyr potentielt
medføre store omkostninger for nogle af de boligejere, som fortsat ejer et sådant fyr. Der findes desuden
andre muligheder end forbud og med sektorstrategien forventes det at blive mere rentabelt at udskifte
et udtjent gasfyr. Partierne bag sektorstrategien har aftalt, at der skal udarbejdes en analyse af mulighe-
derne for at udfase olie og naturgas i husholdningernes opvarmning.
Det skal derudover tilføjes, at i forhold til udfasningen af gasfyr har tidshorisonten for udfasningen stor
betydning for konsekvenserne for de tilbageværende gaskunder (overvejende produktionsvirksomheder).
Det skyldes, at gassystemets drift finansieres over forbrugernes tariffer, og en hurtig udfasning af naturgas
til individuel varme vil medføre, at regningen skal deles mellem færre gasforbrugere. Uden tid til tilpasning
kan dette medføre markante prisstigninger for de tilbageværende gaskunder. Det vurderes, at omkostnin-
gerne vil være markant større, hvis udfasningen sker frem mod 2030 i modsætning til efter 2035.
KEF, Alm.del - 2020-21 - Bilag 38: Klimaprogram 2020 i web-tilgængelig version
2267578_0067.png
7. en klOg gRøn Omstilling
67
Boks 21
Forceret omstilling
af olie- og gasfyr
Udledningerne fra olie – og gasfyr skønnes at udgøre ca. 1 mio. ton . i 2030 (efter sektorstrategi for energi og industri af 22.
juni 2020). En fuld udfasning i 2030 vha. forbud vurderes ikke mulig indenfor den nuværende EU-regulering. Mulighederne
og eventuelle alternative tiltag undersøges nærmere som aftalt med sektorstrategien. Desuden vil en fuld udfasning af de
resterende olie- og gasfyr inden 2030 betyde et stort afledt afgiftstab for staten. I sektorstrategien medfører en CO
2
-reduktion
på 0,7 mio. ton CO
2
fra udfasning af olie- og gasfyr fx et samlet afgiftstab på 1,9 mia. kr. frem mod 2030. Hvis de resterende
olie- og gasfyr også skal omstilles inden 2030 til andre opvarmningsformer pga. krav, forbud eller lign. vil afgiftstabet stige,
og der kan være behov for at afsætte yderligere tilskudsmidler.
Grøn EU-energipolitik
Med EU’s energiunion er der taget væsentlige skridt mod en fælles energipolitik i EU. Med European
Green Deal følger yderligere tiltag. Det gælder både inden for vedvarende energi, energieffektivitet og nye
grønne teknologier som PtX, brint og CCUS. Danmark er via udlandsforbindelser og el-net tæt forbundet
med vores nabolande, og med de stadigt stigende mængder vedvarende energi, både herhjemme og i
EU, er der behov for fælleseuropæiske løsninger for at sikre en omkostningseffektiv grøn omstilling af
vores energisystem.
Energirenoveringsbølgen og ”Energieffektivitet-først-princippet” i EU
Regeringen støtter ”energieffektivitet-først-princippet” i Green Deal, hvorved energieffektivitet er et cen-
tralt element i omkostningseffektiv energipolitik i EU, samt Europa-Kommissionens forslag om en ener-
girenoveringsbølge, og at Kommissionen fremhæver energieffektivitetsstandarder som et centralt instru-
ment. Dette rummer store eksportpotentialer for danske virksomheder. Regeringen arbejder for styrkede
EU-krav til produkters energieffektivitet, samt for at energieffektiviseringsindsatsen særligt målrettes
mod reduktion af fossil energi.
Boks 22 opsummerer de initiativer, der indtil videre er taget inden for individuel opvarmning.
Boks 22
Overblik over
hovedinitiativerne
inden for individuel
opvarmning
Virkemidler:
Elvarmeafgiften lempes til EU’s minimumssatser.
Forbrugerbindingerne til naturgasnettet afskaffes og samfundsøkonomikravet justeres (se også boks vedr.
hovedinitiativerne inden for fjernvarme).
Tilskudspuljer til udfasning af olie- og gasfyr fra 2020 og frem, herunder en pulje til afkobling fra naturgasnettet
og til udrulning af fjernvarme.
Tiltag målrettet forbrugersikkerhed og sikker implementering.
Energieffektiviseringer.
Udviklingstiltag:
Undersøgelse af, om der kan etableres en særlig låneordning til borgere med manglende finansieringsmuligheder.
Indsats til at kortlægge kommunale og regionale bygningers olie- og gasfyr.
Analyse af mulighederne for at udfase olie og naturgas i husholdningernes opvarmning.
Grøn Forskningsstrategi opstiller en række temaområder for grøn forskning og innovation. Temaområderne er
valgt med udgangspunkt i grønne forskningsbehov og -potentialer samt erhvervs- og forskningsmæssige styrker
og potentialer. Temaområderne inkluderer bl.a. energieffektive bygninger og kan således understøtte, at der med
midlerne udvikles løsninger som reducerer energiforbruget og potentielt CO
2
e-udledninger.
Regeringen arbejder på europæisk plan for at styrke og udvide EU’s kvotehandelssystem til bl.a. at inkludere
vejtransport og bygninger med det formål at sikre mere ens CO
2
-prissignaler på tværs af sektorer og en mere
omkostningseffektiv klimaregulering.
Energieffektivitet er ligeledes en prioritet for regeringen i EU. Regeringen arbejder for, at energieffektiviseringsind-
satsen særligt bør målrettes reduktion af fossilt energiforbrug, således at indsatsen bidrager til EU’s klimamål for
2030 og målet om klimaneutralitet senest i 2050. Der eksisterer også en række EU-krav til hhv. energiselskaber
og bygninger samt til energiforbrugende produkter som kedler, husholdningsapparater m.fl., som er en smart og
omkostningseffektiv måde at opnå store energibesparelser på.
Europa-Kommissionen ventes i 3. kvartal 2020 at lancere et initiativ om en renoveringsbølge, der skal
bidrage til mindst at fordoble renoveringsraten, samt i 2021 at lancere en vejledning om anvendelse af
energieffektivitet-først-princippet.
KEF, Alm.del - 2020-21 - Bilag 38: Klimaprogram 2020 i web-tilgængelig version
2267578_0068.png
68
KLIMAPROGRAM 2020
El- og fjernvarme – overskudsvarme, grøn fjernvarme og kuludfasning.
Fjernvarmesektoren (inkl. kraftvarmeværker, der producerer el og varme) udledte i 2018 ca. 8,5
mio. ton CO
2
e (ekskl. affaldsforbrænding). Uden yderligere tiltag forventes udledningerne at være
reduceret til ca. 0,5 mio. ton CO
2
e i 2030. De resterende udledninger skyldes primært afbrænding af
naturgas og olie til spids- og reservelastproduktion af varme og kraftvarme.
Selvom det er teknisk muligt, kan der være relativt høje omkostninger ved en forceret omstilling af
de sidste udledninger. Grundet tæt integration af det danske el- og varmesystem kan initiativer, der
påvirker kraftvarmeværkerne, også påvirke elforsyningssikkerheden.
Det er en udfordring, at sektoren er karakteriseret ved begrænset konkurrence og en forældet
regulering.
Det er vigtigt, at fjernvarmesektoren er underlagt rammevilkår, der understøtter, at husholdninger
og erhvervsliv har adgang til grøn fjernvarme til forbrugervenlige priser. Bl.a. derfor er der med
sektorstrategi for energi og industri igangsat en modernisering af sektorens produktionsbindinger,
hvilket vil give fjernvarmeproducenter mere frit valg over egne investeringer. Dette inkluderer bl.a.
en udfasning af kraftvarmekravet og brændselsbindingerne til naturgas. Derudover igangsættes en
analyse, der skal belyse konsekvenserne ved et eventuelt forbud mod olie og naturgas til fjernvar-
meproduktion fra 2030, herunder evt. konsekvenser for forsyningssikkerhed, el- og varmepriser.
En lang række af de store kulfyrede kraftvarmeværker er allerede omlagt til eller erstattet af bio-
massefyrede blokke, og denne udvikling er fremmet gennem økonomiske incitamenter herunder
støtte til elproduktion på biomasse (15-øren) og mulighed for at varme- og elsiden kan aftale en
omkostningsfordeling. Endvidere foreligger der investeringsbeslutninger og planer for de reste-
rende værker, der anvender kul som primærbrændsel, som indebærer, at kul forventes at være
udfaset af el- og varmeproduktionen ved udgangen af 2028. På Fynsværket og på Ørsteds værker
forventes kuludfasningen at ske i hhv. 2022 og 2023, mens kuludfasningen på Nordjyllandsværket
er planlagt til 2028. Generelt gælder det, at en forceret udfasning vurderes at have relativt høje
omkostninger, som kan øge varmeomkostningerne for forbrugerne, ligesom der kan være tekniske
udfordringer med at dække et varmebehov i stor skala uden brug af fossile brændsler.
Biomasse står for hovedparten af VE (primært i form af halm, træpiller og træflis). Klimapartner-
skaberne har anbefalet lovfastsatte rammer for bæredygtig biomasse, der bl.a. sikrer, at biomassen
reelt bidrager til reduktion af CO
2
e, og overholder krav om biodiversitet. Med sektorstrategien for
energi og industri er aftaleparterne enige om at stille lovkrav til bæredygtighed af træbiomasse til
energi samt krav til dokumentation og verifikation med henblik på at understøtte en så bæredygtig
el- og varmeproduktion som muligt under hensyntagen til forsyningssikkerheden.
Boks 23
Forceret
omstilling af
fjernvarme-
produktionen
Nordjyllandsværket anvender kul til produktion af el- og fjernvarme i Aalborg. Der er planer om at lukke værket ved
udgangen af 2028 og en fremrykning til 2025 vil betyde meromkostninger. For det første er der gæld i værket, som
ikke vil være afskrevet i 2025. For det andet vil en fremrykning af investeringer i de fjernvarmeproduktionsanlæg, der
skal erstatte varmeproduktionen fra Nordjyllandsværket, indebære forøgede omkostninger. De samlede omkostninger
ved en fremrykning er af Aalborg Kommune anslået til 500 mio. kr. Denne omkostning vil bæres af varmeforbrugere
i Aalborg, med mindre staten yder tilskud til omlægningen, hvilket vil medføre en væsentlig omkostning for staten.
Dertil kommer et anslået afgiftstab på 100-150 mio. kr. for staten.
I det enkelte tilfælde kan udnyttelse af overskudsvarme være en effektiv og billig måde at for-
trænge fossile brændsler i fjernvarmesektoren. Med sektorstrategien for energi og industri mv. er
parterne enige om at lempe elvarmeafgiften til EU’s minimumssatser, hvorved afgiften for elbase-
ret overskudsvarme bortfalder. Derudover fjernes overskudsvarmeafgiften, hvis overskudsvarmen
er certificeret eller underlagt en tilsvarende aftaleordning, der sikrer energieffektiviseringer hos
overskudsvarmeleverandøren. Parterne bekræfter endvidere overskudsvarmeaftalen af 28. marts
2019, herunder at der skal være en prisregulering af overskudsvarme.
Boks 24 opsummerer de initiativer, der indtil videre er taget for inden for fjernvarme.
KEF, Alm.del - 2020-21 - Bilag 38: Klimaprogram 2020 i web-tilgængelig version
2267578_0069.png
7. en klOg gRøn Omstilling
69
Boks 24
Overblik over
hovedinitiativerne
inden for
fjernvarme
Virkemidler:
Fjernvarmesektorens produktionsbindinger moderniseres, herunder ophæves brændsselsbindingen til naturgas
og krafvarmekravet. Derudover justeres samfundsøkonomikravet, så fjernvarmeprojekter kan godkendes sam-
menligning med fossile alternativer.
Aftagepligten til fjernvarme moderniseres, for at muliggøre en øget udnyttelse af overskudsvarme og egen VE-produktion.
Elvarmeafgiften lempes til EU’s minimumssatser, hvorved afgiften for elbaseret overskudsvarme bortfalder. Over-
skudsvarmeafgiften bortfalder, hvis overskudsvarmen er certificeret eller underlagt en tilsvarende aftaleordning,
der sikrer energieffektiviseringer hos overskudsvarmeleverandøren.
Aftale om øget udnyttelse af overskudsvarme af 28. marts 2019 bekræftes, herunder at der skal være en prisregu-
lering af overskudsvarme.
Udviklingstiltag:
Der igangsættes en analyse, der skal belyse konsekvenserne ved et eventuelt forbud mod olie og naturgas til fjern-
varmeproduktion fra 2030, herunder for forsyningssikkerhed, el- og varmepriser.
Konsekvenser ved begrænsning af forbruget af biomasse til el- og varmeproduktion skal undersøges.
Der afsættes 2 mio. kr. årligt i 2021 og 2022 til en række understøttende initiativer.
Grøn Forskningsstrategi opstiller en række temaområder for grøn forskning og innovation. Temaområderne er
valgt med udgangspunkt i grønne forskningsbehov og –potentialer samt erhvervs- og forskningsmæssige styrker
og potentialer, og inkluderer bl.a. intelligente løsninger til integration af VE i varmeproduktionen.
El og fjernvarme - grøn strøm
Elsektorens rolle i den grønne omstilling er at levere tilstrækkelig med VE-baseret el til, at også de øvrige
sektorer kan udfase brugen af fossile energikilder. Elsektoren er i høj grad allerede lykkes med den
grønne omstilling, idet der i 2027 forventes 100 pct. grøn strøm i det danske elforbrug. Dermed er udled-
ningerne fra elsektoren yderst begrænset og stammer primært fra spidslast (fra el- og fjernvarme samlet
0,5 mio. ton i 2030). En yderligere udbygning af VE-elproduktion i forhold til, hvad der allerede forventes
at blive opført frem mod 2030, vil derfor ikke isoleret set føre til yderligere drivhusgasreduktioner i elsek-
toren, men kan via konvertering bidrage til at reducere udledninger i andre sektorer.
De mange spidslastenheder (fx gasturbiner, dieseldrevne generatorer mv.) på elsiden kører meget sjæl-
dent, men de har en stor betydning for elforsyningssikkerheden, når forbruget overstiger produktionen
fx på tidspunkter, hvor det ikke blæser, og solen ikke skinner. Det kan således i en overgangsperiode
være nødvendigt at opretholde spidslastenheder i elsystemet for at sikre elforsyningssikkerheden, indtil
vi har egnede teknologier og lagringsløsninger og elforbruget er gjort mere fleksibelt. Udledningen kan
evt. imødegås med anvendelse af ikke-fossile brændsler som bioolie og grøn gas. Disse er dog markant
dyrere end de nuværende fossile brændsler. Disse forhold vil blive undersøgt nærmere ifm. en analyse
om effekterne på elforsyningssikkerhed af tiltagene i sektorstrategien for energi og industri af d. 22. juni.
Mulighederne for yderligere udbygning med landvind og sol begrænses hovedsageligt af geografi, herun-
der bl.a. grundet hensynet til borgere samt muligheden for at få godkendt placeringer. Regeringen blev
ultimo 2019 med et bredt flertal i Folketinget enige om at forbedre forholdene for naboer til kommende
VE-anlæg for at øge den lokale opbakning til en fortsat udbygning med VE på land. Med klimaaftalen for
energi og industri blev det besluttet at øge to af VE-ordningerne (Grøn Pulje og VE-bonus). På sigt kan
nettet blive en begrænsende faktor for VE-udbygningen på land.
En forudsætning for, at elforbruget kan øges, er, at elnettet er i stand til at transportere tilstrækkelig
strøm til det traditionelle elforbrug og nye forbrugstyper (eksempelvis opvarmning og transport) og
opretholde en fortsat høj forsyningssikkerhed trods ændrede forbrugsmønstre og produktionsformer.
Det kræver ikke alene forstærkninger af eksisterende net, men også en bedre anvendelse af elnettet med
fokus på fleksibilitet i forbrug og produktion.
For at skabe fremtidens energisektor vil Danmark som det første land i verden påbegynde en ny epoke
i udbygningen af havvind med et paradigmeskifte fra enkeltstående havvindmølleparker til energiøer i
2030. Det skal sikre en mere effektiv udnyttelse af havvindressourcer langt fra kysterne og et relativt
mindre behov for nye elmaster på land. Det kan understøtte en elektrificering af Danmark og bidrage til
en grøn omstilling af Europa via dansk eksport og transeuropæisk integration af elmarkeder.
KEF, Alm.del - 2020-21 - Bilag 38: Klimaprogram 2020 i web-tilgængelig version
2267578_0070.png
70
KLIMAPROGRAM 2020
Sektorstrategi for energi og industri indeholder etablering af to energiøer i 2030. Den ene ø etableres i Nordsøen
med 3 GW havvind tilkoblet og plads til mindst 10 GW på sigt, mens Bornholm gøres til en energiø i Østersøen ved
at tilkoble op til 2 GW havvind. Hertil bliver tidplanen for en allerede besluttet havvindmøllepark på 1 GW ved Hes-
selø fremrykket, så den nettilsluttes i 2027 i stedet for 2028. Udbygningen på i alt 6 GW er mere end tre gange så
meget kapacitet havvind, som Danmark har i dag. Hertil fortsættes udbygningen med vedvarende energi på land.
Der er således allerede truffet beslutning om en væsentlig udbygning med yderligere grøn strøm i Danmark. Det
er afgørende, at vi også kan nyttiggøre al den grønne strøm. For at elnettet kan følge med det stigende udbud af
grøn strøm samtidig med den stigende efterspørgsel, vil regeringen fremlægge initiativer til en fortsat udvikling af
elnettet.
Et tæt koblet energimarked med en omkostningseffektiv udbygning af vedvarende energi
Regeringen arbejder for, at EU fastholder og videreudvikler det europæiske elmarked og dermed sikrer energiforsy-
ningen på tværs af grænser. Ved at integrere vores energimarkeder kan vi øge mængden af vedvarende energi og
samtidig fastholde en høj forsyningssikkerhed. Det kræver et intensiveret samarbejdet på tværs af grænser, både til
lands og til vands.
I EU er der identificeret et behov for havvind på op til 450 GW havvind i 2050, hvis temperaturstigninger som følge
af klimaforandringer skal holdes under 1,5
o
C. Det svarer til en tyvedobling af den nuværende kapacitet. For at
udnytte dette potentiale samarbejder Danmark med de øvrige EU-lande om, at der i Nordsøen og Østersøen fast-
lægges rammer for udbygning af havvind. De kommende danske energiøer skal netop øge andelen af vedvarende
energi i Europa og samtidig forbinde medlemslandene endnu tættere.
EU’s kommende strategi for havvind er også vigtig for Danmark pga. vores unikke styrkepositioner på området
samt ambitiøse udbygningsplaner med havvind i de kommende år. Den kommende revision af TEN-E-forordningen
skal desuden medvirke til at forbedre den europæiske el-og gas energiinfrastruktur så transporten af vedvarende
energi fra nord, fx havvind i Nordsøen og Østersøen, kan strømme nemmere på tværs af grænserne til de områder i
EU, hvor der er en stor efterspørgsel på energi og udfordringer med energiforsyningssikkerheden.
Boks 25 opsummerer de initiativer, der indtil videre er taget for inden for el.
Boks 25
Overblik over
hovedinitiativerne
inden for el
Virkemidler:
Overgang til markedsdrevet udbygning af solceller og landvind. Udbud af landvind, sol og andre grønne teknologier fort-
sættes frem til 2021, ligesom der igangsættes en analyse af støttebehovet til at kvalificere behov for støtte i fremtiden.
Støtte til test og demonstration. Der afsættes desuden 237 mio. kr. til forsøgsmøller i 2021-24 og igangsættes en
analyse af, hvordan rammer for test og demonstraton bedst understøttes i fremtiden.
Der fjernes administrative barrierer, så virksomhederne kan investere i mere solenergi.
Udbygning med havvindmøller. Fremrykning af park 2 fra energiaftalen 2018, som placeres ved Hesselø.
Udviklingstiltag:
Etablering af verdens første energiøer. Etablering af havvindmølleparker på hhv. 3 GW og 2 GW. Den grønne strøm fra
bl.a. energiøerne skal bruges direkte, men på sigt også omdannes til bæredygtige brændsler (Power-to-X), der kan
dekarbonisere de sektorer, som ikke kan anvende strøm direkte, fx luftfart, størstedelen af tung transport, nogle indu-
striprocesser mv.
Grøn Forskningsstrategi opstiller en række temaområder for grøn forskning og innovation. Temaområderne er
valgt med udgangspunkt i grønne forskningsbehov og -potentialer samt erhvervs- og forskningsmæssige styrker
og potentialer. Temaområderne inkluderer bl.a. omkostningseffektive VE-teknologier til energiproduktion, der på
sigt kan reducere udledningerne i industri og transportsektoren.
Indgåelse af en eller flere partnerskaber med nabolande til Danmark om udlandsforbindelser mhp. at sikre etable-
ringen og rentabiliteten af energiøerne.
Danmark deltager aktivt i Nordsøsamarbejdet sammen med 8 andre lande og Kommissionen om udbygningen af
havvind og el-net i Nordsøen. Der blev under dansk formandskab i december 2019 vedtaget et nyt arbejdsprogram
for Nordsøsamarbejdet, ligesom landene på ministermødet i juli 2020 fik vedtaget en fælles erklæring om vigtighe-
den af havvind i bekæmpelsen af klimaforandringer. I erklæringen opfordrer Nordsølandende desuden Europa-Kom-
missionen til at udvikle en lovgivningsmæssig ramme, der kan fremme havvind på en omkostningseffektiv måde.
Præge Europa-Kommisionen til at udvikle en lovgivningsmæssig ramme, der kan fremme havvind på en omkost-
ningseffektiv måde.
KEF, Alm.del - 2020-21 - Bilag 38: Klimaprogram 2020 i web-tilgængelig version
2267578_0071.png
7. en klOg gRøn Omstilling
71
Industri
Mulighederne for at reducere udledning af drivhusgasser i industrien afhænger i høj grad af mulighe-
derne for at konvertere fra fossile brændsler til el eller andre VE-former, samt i hvilket omfang der er
mulighed for at foretage energieffektiviseringer. Derfor afsættes med sektorstrategien for energi og
industri 2,5 mia. kr. (inkl. afledt afgiftstab) fra 2020-2030 til en tilskudspulje målrettet elektrificering og
energieffektivisering for at mindske drivhusgasudledningen fra dansk erhverv.
Generelt er de største muligheder for elektrificering i forbindelse med fremstilling af mellem- og lavtem-
peraturvarme op til 150 grader i fremstillingserhverv og landbrug, gartnerier mv. Der er også elektrifice-
ringsmuligheder i industriens interne transport på virksomhederne. Det er dog en udfordring, at konver-
teringer kan være store investeringsbeslutninger, og at fossile brændsler har en relativt lav markedspris.
Det økonomiske incitament for at reducere drivhusgasudledninger kan derfor ofte være begrænset i
fremstillingserhverv og landbruget.
På de øvrige områder i industrien er der på nuværende tidspunkt begrænset teknologisk mulighed for
at bruge el. Det gælder fx ved højtemperaturprocesser, idet el (varmepumper) ikke umiddelbart kan
opvarme til mere end 150 grader (fx ved cementproduktion, metalprocesser mv.). Det vil kræve fortsat
teknologisk udvikling inden for anvendelse af industrielle varmepumper, hvis det skal blive muligt at elek-
trificere disse dele af industriens procesenergiforbrug. Dertil kræver visse produktionsprocesser direkte
fyring med et brændsel, hvorved el ikke umiddelbart kan anvendes. For disse produktionsprocesser
ligger de største reduktionspotentialer i dag i energieffektiviseringer og evt. øget brug af grønne gasser,
hvorfor der med sektorstrategien er afsat i alt 12,8 mia. kr. over 20 år til en ny støtteordning til biogas og
andre grønne gasser, som kan anvendes, hvor det ikke er muligt at elektrificere. Klimapartnerskabet for
energi og forsyning og klimapartnerskabet for energiintensiv industri peger på udbygning af biogaspro-
duktionen som et nødvendigt redskab for nå 70 pct. målsætningen.
Boks 26
Forceret omstilling
af industrien
Der er i dag et begrænset antal fremstillingsvirksomheder (10-15), som stadig anvender kul til deres produktion. I
2018 anvendte de tilsammen 5,2 PJ kul svarende til ca. 6 pct. af det samlede energiforbrug i fremstillingserhvervene.
Dertil kommer et mindre antal landbrug og gartnerier, som i 2018 samlet anvendte 0,4 PJ kul. Samlet set udgør
udledningen fra anvendelsen af kul ca. 1,1 mio. ton CO
2
for fremstillingsvirksomhederne og 0,04 mio. ton CO
2
for
landbruget.
Mange af de virksomheder, der anvender kul, har behov for højtemperaturvarme hvorfor en konvertering til elektricitet
via varmepumper ikke er et alternativ. En konvertering til el, biogas, biomasse, affald eller i første omgang naturgas
kan være et alternativ til kul. Importprisen for kul er imidlertid relativ lav i forhold til alternative brændsler. Ved konver-
tering til gas gælder desuden, at denne skal være til rådighed for virksomheden og kræver derfor, at virksomhedens
placering gør det muligt at tilslutte sig til gasnettet. Et forbud mod brug af kul i industri og erhverv i 2025 vil derfor
have en række erhvervsøkonomiske konsekvenser, der kan medføre svækket konkurrenceevne som følge af højere
brændselspriser. Dette kan medføre produktionsnedgang og evt. nedlukning samt lækageeffekter, hvor produktionen
og dermed udledningerne flyttes til andre lande, evt. med færre krav til klimavenlig produktion.
Efter klimalovens guidende principper skal 70-pct. målsætningen indfries under hensyntagen til bl.a.
omkostningseffektivitet, bæredygtig erhvervsudvikling, dansk konkurrencekraft og beskæftigelse. Hertil
skal tiltag til reduktioner af industriens drivhusgasudledninger sikre reelle, indenlandske reduktioner og
ikke medføre, at drivhusgasudledningen bare rykker uden for Danmarks grænser. Derfor er det centralt,
at der arbejdes for at fremme en ambitiøs international regulering på klimaområdet og derved sikre ens
konkurrencevilkår for virksomheder på tværs af grænser.
Boks 27 opsummerer de initiativer, der indtil videre er taget for inden for industri.
KEF, Alm.del - 2020-21 - Bilag 38: Klimaprogram 2020 i web-tilgængelig version
2267578_0072.png
72
KLIMAPROGRAM 2020
Boks 27
Overblik over
hovedinitiativerne
inden for industri
Virkemidler:
Grøn omstilling og øget energieffektivisering af erhvervslivets fossile produktion.
Der er afsat 2,5 mia. kr. frem mod 2030 målrettet konverteringer væk fra anvendelse af fossil energi, tilskud til
energieffektivisering af de processer mv., som ikke i dag kan konverteres til el samt elektrificering og energieffek-
tivisering af intern transport (gaffeltrucks, traktorer mv.) i fremstillingserhverv, landbrug mv.
Støtte til biogas og andre grønne gasser .
Der er afsat 12,8 mia. kr. over 20 år til en ny støtteordning til biogas og andre grønne gasser, som kan anvendes,
hvor det ikke er muligt at elektrificere.
Udviklingstiltag:
Analyse af muligheder for grøn omstilling, hvor det ikke er muligt at elektrificere.
Der igangsættes en analyse, der skal identificere potentialer og barrierer for udfasning af fossile brændsler i
erhverv, herunder i de dele af virksomhedernes processenergiforbrug hvor der i dag er begrænsede muligheder for
fossiludfasning, fx højtemperatur processer
Grøn Forskningsstrategi opstiller en række temaområder for grøn forskning og innovation. Temaområderne er
valgt med udgangspunkt i grønne forskningsbehov og –potentialer samt erhvervs- og forskningsmæssige styrker
og potentialer. Temaområderne inkluderer bl.a. energieffektiv industriproduktion, grønne brændstoffer og materia-
ler til transport og industri der på sigt kan fremme udfasningen af fossile brændsler i industrien.
Nordsøen
Efterforskning og produktion af olie- og gas i den danske del af Nordsøen medfører udledninger, der
regnes som en del af erhvervslivets udledninger. Det er relevant at skelne mellem udledninger fra selve
produktionen – der stammer fra egetforbrug og flaring – og en udledning forbundet med forbruget af
den olie og gas, der produceres. Førstnævnte indgår i den nationale udledninger, mens sidstnævnte ikke
gør, fordi olien og gassen afsættes på et globalt marked. Egetforbrug er forbrug til selve energiforbruget
forbundet med produktionen, mens
flaring
dækker over direkte afbrænding af fx naturgas af forskelige
årsager. Udledningerne udgjorde i 2018 ca. 2,5 mio. ton CO
2
e
1
. Baseret på prognosen for den fortsatte
produktion fra 2019 forventes udledningerne i 2030 at være ca. 2,2 mio. ton CO
2
e. For udledningerne
fra egetforbrug er der et teknisk potentiale for at nedbringe dem ved at elektrificere produktionen og
gennem effektivisering. En elektrificering af produktionen vil dog være forbundet med store omkost-
ninger for både stat og selskaber. For staten kan der være omkostninger forbundet med tilslutningen
til enten elnettet på land, en fremtidig energiø eller en selvstændig havvindmøllepark. For selskaberne
vil der være udgifter forbundet med tekniske ændringer på anlæggene. Størrelsen af potentialet er ikke
kendt, ligesom det præcise niveau for omkostningerne forbundet hermed ikke er. Det forventes, at det
ikke er muligt at elektrificere hele produktionen.
Det fremgår af den seneste prognose for den fremtidige produktion af olie og gas fra september 2020,
at Danmark fortsat forventes at være nettoimportør af olie, men at vi vil være nettoeksportører af gas til
efter 2035 bortset fra i årene 2020-2021.
Fremtidens teknologier i energi- og industrisektoren
CC (Carbon Capture) er en fælles betegnelse for en række teknologier, hvor CO
2
indfanges direkte fra
udledningskilden, herunder fx i industrien og affaldsforbrændingsanlæg. Ved fangst og lagring (CCS) er
det muligt at nedbringe udledninger, som ellers er svære at reducere samt at opnå negative udledninger.
Det sidste sker ved at indfange og lagre CO
2
fra bæredygtige kulstofkilder eller direkte fra atmosfæren.
Det er også muligt at anvende den fangede CO
2
til forskellige formål (carbon capture and utilisation -
CCU). Det kunne fx være produktion af grønne brændstoffer, hvor CO
2
kobles med brint produceret på
basis af vedvarende energi (PtX).
Der er endnu ikke erfaringer med CCS i Danmark, men teknologien bruges i andre lande, bl.a.
Norge. Potentialet for fangst af CO
2
fra store danske punktkilder er stort, men afhænger af den
konkrete udvikling for de enkelte kilder. Det vurderes, at den danske undergrund potentielt kan
rumme op til 500 gange de nuværende samlede årlige danske CO
2
-udledninger. Potentialet for
fangst af CO
2
i 2030-2040 er vanskeligt at opgøre præcist og afhænger bl.a. af udviklingen i de
sektorer, hvor teknologien kan være relevant. Potentialet for at anvende teknologien som redskab
1
Kilde: Basisfremskrivning 2020.
KEF, Alm.del - 2020-21 - Bilag 38: Klimaprogram 2020 i web-tilgængelig version
2267578_0073.png
7. en klOg gRøn Omstilling
73
frem mod opfyldelsen af danske klimamålsætninger vurderes til, at kunne levere 4-9 mio. ton. i
2030 (ud over den forventede reduktion fra CCS-puljen i sektorstrategien for energi og industri)
i industri-, energi- og affaldssektorerne samt ved fangst af CO
2
fra biogasanlæg. Vurderingen
bygger på den forventede udvikling i de enkelte sektorer og vil blive fastlagt nærmere i forbindelse
med det videre arbejde med det kommende CC(U)S-strategiarbejde. 
CO
2
-fangst og -lagring eller -anvendelse er et samfundsmæssigt effektiv redskab til at nå danske kli-
mamålsætninger, men de virksomheder, som kunne anvende teknologien, mangler et privatøkonomisk
incitament hertil. Det nuværende økonomiske incitament er således ikke tilstrækkeligt stort til, at tekno-
logiernes fulde reduktionspotentialer for nuværende kan indfries uden støtte.
Med sektorstrategien for energi og industri er der derfor afsat en markedsbaseret pulje svarende til 800
mio. kr. årligt indfaset fra 2024 til at reducere CO
2
-udledninger gennem fangst og lagring eller fangst og
anvendelse. Det forventes, at puljen, der løber i 20 år, i 2030 vil kunne føre til årlige CO
2
-reduktioner på
0,9 mio. ton.
Det er ikke altid muligt at anvende strøm direkte, fx i forbindelse med højtemperaturprocesser i nogle
dele af industrien og langdistance-flyruter og –sejladser. For at omstille dele af transportsektoren, som
luftfart, skibsfart og dele af den tunge vejtransport, samt industrien er der derfor behov for omdanne
strøm til et andet slutprodukt. Øget elektrificering frem mod 2030 kan derfor også ske indirekte, dvs.
gennem omdannelse af el til grønne brændsler med en række forskellige teknologier, kaldet PtX. Dermed
kan PtX også udgøre et vigtigt element i visionen for hybridprojekter i regi af energiøerne. Elektrolyse
(brintproduktion) er teknologisk moden til markedsudrulning, men efterspørgslen og rammevilkårene for
grøn brint har endnu ikke været tilstrækkelige til, at der er sket en stor udbygning. Den lave efterspørgsel
skyldes bl.a., at fossile brændsler fortsat er mere konkurrencedygtige end grøn brint og andre grønne
gasser. Flere af PtX-teknologierne til konvertering af brint til andre typer brændsler er på vej fra forsk-
ningsstadiet til udvikling og demonstration, mens andre er mere teknologisk udviklede.
Det vurderes under betydelig usikkerhed, at PtX har et teknisk potentiale for at kunne bidrage 0,5-3,5 mio.
ton i 2030 og på længere sigt 1,5-7,5 mio. ton (heraf 1-4 mio. ton i international skibs- og luftfart, som
ikke tæller med i 70 pct.-målsætningen). At der er tale om et teknisk potentiale betyder, at fortrængnings-
potentialet er estimeret på baggrund af, hvad der er teknisk muligt. Hvis potentialet skal indfris, er der
behov for forskning og udvikling, opskalering af de mere markedsmodne teknologier samt øget efter-
spørgsel på e-fuels.
Endvidere er der med sektorstrategien for energi og industri aftalt, at Danmark skal have en samlet stra-
tegi for PtX og CC(U)S, ligesom der afsættes min. 750 mio. kr. til en tilskudsordning gennem offentligt
udbud til PtX-projekter.
Grønne forskningsmissioner for både CC(U)S og PtX
Regeringen vil med den grønne forskningsstrategi igangsætte en missionsdrevet forsknings- og udvik-
lingsindsats for både CC(U)S og PtX. Formålet med CC(U)S-missionen er, at eksempelvis forskere, virk-
somheder, myndigheder m.fl. skal gå sammen om at udvikle omkostningseffektive løsninger til fangst og
lagring af CO
2
, der potentielt kan levere reduktioner, negative udledninger og kulstof til nye klimaneutrale
materialer som fx tekstiler og flybrændstoffer. Formålet med PtX-missionen er at styrke udviklingen af
grønne brændstoffer til transport og industri, jf. kapitel 6.
Et dekarboniseret europæisk energisystem gennem sektorkobling og PtX
For at sikre en optimal udnyttelse af den vedvarende energi og fortrængning af CO
2
fra det europæiske
energisystem har regeringen arbejdet for, at sektorkobling og fremme af vedvarende PtX/brint sættes i
fokus i EU. Europa-Kommissionen har imødekommet dette ved at fremlægge strategier for henholdsvis
brint og energisystemintegration. Regeringen vil arbejde for, at fokus for det videre arbejde bliver på
teknologier og løsninger, der kan bidrage til opskalering og lavere priser på eksempelvis produktion og
viderekonvertering af vedvarende brint ved hjælp af power-to-X teknologier. Det vil kunne understøtte
opnåelsen af 70 pct.-reduktionsmålet for sektorer, der er svære at elektrificere såsom tung transport
som lastbiler, fly og skibe samt den energiintensive industri.
Boks 28 opsummerer de initiativer, der indtil videre er taget inden for fremtidens teknologier.
KEF, Alm.del - 2020-21 - Bilag 38: Klimaprogram 2020 i web-tilgængelig version
2267578_0074.png
74
KLIMAPROGRAM 2020
Boks 28
Overblik over
hovedinitiativerne
inden for
fremtidens
teknologier
Virkemidler:
Markedsbaseret teknologineutral pulje på 800 mio. kr. årligt indfaset fra 2024 til at fange og lagre CO
2
. Puljen
skal bidrage til omkostningseffektive CO
2
reduktioner ved at giver mulighed for at støtte fangst og lagring. Puljen
kan bidrage til nedbringe udledninger, som ellers er vanskelige at reducere, og ved fangst og lagring af CO
2
fra
biomasse kan der skabes negative emissioner. Gennem fangst og lagring forventes puljen at kunne bidrage med
reduktioner på 0,9 mio. ton CO
2
/år fra 2030.
Danmark har indgået et partnerskab med Nederlandene. Partnerskabet vil tilvejebringe et provenu på min. 750
mio. kr. Provenuet vil finansiere en tilskudsordning til storskala brintproduktion (PtX), som skal bidrage til at drive
prisen på grøn brint ned samt styrke danske kompetencer og konkurrenceevne på energiområdet.
Udviklingstiltag:
Samlet PtX/CC(U)S-strategi. Strategien skal understøtte udbredelsen og udvikling af fremtidens grønne løsninger.
Klimapartnerskaberne og centrale interessenter inden for relevante sektorer vil blive inddraget løbende i arbejdet.
Grøn mission: PtX – Udvikling af grønne brændstoffer til transport og industri. Udvikle løsninger til at omdanne
strøm fra vedvarende energi til produkter, der kan anvendes til at reducere udledningerne fra dele af transport- og
industrisektoren, hvor der ikke eksisterer omkostningseffektive alternativer til fossil energi.
Grøn mission: Udvikle omkostningseffektive løsninger til fangst og lagring af CO
2
, som kan anvendes til at redu-
cere CO
2
-udledninger og skabe negative udledninger fra store industrielle udledere, affaldsforbrændingsanlæg,
biogasanlæg og biomassebaseret kraftvarmeanlæg. Sammen med brint fra vedvarende energi kan fanget CO
2
levere kulstof til nye klimaneutrale løsninger .
Grøn Forskningsstrategi opstiller en række temaområder for grøn forskning og innovation. Temaområderne er
valgt med udgangspunkt i grønne forskningsbehov og –potentialer samt erhvervs- og forskningsmæssige styrker
og potentialer, og inkluderer bl.a. grønne brændstoffer og materialer til transport og industri, brintproduktion og
CCS – Fangst og lagring af CO
2
.
På europæisk plan arbejder regeringen for et dekarboniseret europæisk energisystem inden 2050 med særligt
fokus på større anvendelse af vedvarende energi samt på elektrificering af fossilt energiforbrug bl.a. igennem
power-to-X teknologier til produktion af grøn brint og andre brintbaserede produkter (e-brændsler). Via power-to-X
teknologier kan vedvarende energi viderekonverteres til brint og derved bidrage til dekarboniseringen i sektorer,
som er svære at elektrificere som tung transport og industri. Et europæisk fokus på grønne gasser og viderekon-
vertering af disse kan bidrage til hurtigere teknologiudvikling, opskalering og prisfald på grønne løsninger, som
kan komme danske virksomheder til gode og understøtte den grønne omstilling herhjemme.
Yderligere tiltag
Sektorstrategien for energi og industri indeholder en række initiativer, som tilsammen sikrer mere effek-
tiv brug af energien frem mod 2030, herunder tilskud til udfasning af olie- og gasfyr og omstilling af
industrien. Med aftalen afsættes der samtidig knap 0,5 mia. kr. fra 2021-2030 til en målrettet energief-
fektiviseringsindsats. Indsatsen vil bl.a. indeholde krav om energibesparelser i statslige bygninger samt
bidrage til, at energieffektiviseringsindsatsen bringes ind i den digitale tidsalder. Dertil har regeringen
indgået en række aftaler i det seneste år, der bidrager til et mere energieffektivt forbrug af energien i
bygninger, jf. boks 29.
Boks 29
Virkemidler i
øvrige aftaler
Aftale om kommunernes og regionernes økonomi for 2021.
Tidligere på året aftalte regeringen og KL at ophæve anlægsloftet
for 2020 grundet COVID-19-krisen. Regeringen og KL bygger videre på den aftale ved ekstraordinært at hæve anlægsloftet
i 2021 til 21,6 mia. kr., herunder et tilskud på 1 mia. kr. til grønne investeringer, så kommunerne fx kan foretage grønne reno-
vationer af skoler, plejehjem, veje og gennemføre energirenoveringer. Regeringen og Danske Regioner har ligeledes aftalt et
ekstraordinært løft af regionernes anlægsloft i 2021 på 1 mia. kr. til grønne investeringer.
Politisk aftale om grøn renovering af almene boliger.
I maj indgik regeringen aftale om grøn renovering af almene boliger. Afta-
len afsætter 30,2 mia. kr. fra Landsbyggefonden til renovering i den almene boligsektor i perioden 2020-2026, og sikrer sunde
og tidssvarende almene boliger til gavn for lejerne og genopretningen af dansk økonomi. Grønne renoveringer af almene
boliger reducerer drivhusgasudledningerne med ca. 47.000 ton CO
2
e og giver 2.200 fuldtidsbeskæftigede i 2020 stigende til
5.900 i 2021 og 3.500 i 2022.
Regeringen vil i efteråret præsentere en strategi for bæredygtigt byggeri, der skal bidrage til at sikre et
mere bæredygtigt og kvalitetsbevidst byggeri, der samtidig er økonomisk ansvarligt.
Tabel 9 illustrerer de varierende omkostninger, der er ved at implementere virkemidler i energi- og
industrisektoren.
KEF, Alm.del - 2020-21 - Bilag 38: Klimaprogram 2020 i web-tilgængelig version
2267578_0075.png
7. en klOg gRøn Omstilling
75
Tabel 9
Oversigt
over centrale
virkemidler i
Klimaplanen for
energi og industri:
CO
2
-effekt og
økonomiske
konsekvenser
Virkemidler
CO
2
-re-
duktion
Mio. ton
CO
2
e/året
2030
Omkostninger (mio. kr.)
Stat
2030
Hushold-
ninger
2030
Erhverv
2030
Skyggepris
kr. per fortrængt ton CO
2
(med sideeffekter)
(uden side-effekter)
Virkemidler
Markedsbaseret tilskudspulje til
CSS
Ændrede afgifter (forhøjet rumvar-
me, lempet elvarme)
Udfasning af olie og gasfyr
(tilskud, ophævelse af forbruger-
bindingerne til naturgasnettet,
modernisering af samfundsøkono-
mikravet og understøttende tiltag)
Tilskudspulje til CO
2
reduktioner i
industrien
Pulje til støtte til biogas og andre
grønne gasser
0,9
815
0
-800
i.b.
1.350
0,35*
830
-85
-95
i.b.
1.270**
0,35
307
0
0
1.300
1.300
0,2
40
0
0
i.b.
800
0,7
678
0
-678
1.200
1.250
Anm: Omkostninger for erhverv og husholdninger er fsva. tilskudspuljer angivet som støttemidlerne. * Set i forhold til udledningerne i dag er den fuldt indfasede partielle effekt af
afgiftsændringerne med stor usikkerhed beregnet til 0,6 mio. ton CO
2
. Usikkerheden vedrører bl.a. fremskrivningen af det forventede forbrug af fossiler i varmeproduktionen. Ud
fra Basisfremskrivningen og i sammenhæng med øvrige tiltag, vurderes afgiftsændringerne med stor usikkerhed at medføre en reduktion i udledningerne i 2030 på i størrelsesor-
denen 0,35 mio. ton. Det skal understreges, at initiativet skal ses i sammenhæng med den samlede pakke af initiativer på varmeområdet, hvorfor den angivne isolerede virkning
alene har beregningsteknisk karakter. De samlede effekter af en pakke på varmeområdet vil ikke nødvendigvis være summen af de enkelte initiativer. **Marginal skyggepris vedr.
rumvarme. For elvarme er skyggeprisen negativ.
Elektrificering og energieffektivisering er i industri- og energisektoren oftest den mindst omkostningstunge
vej til drivhusgasreduktioner, da mange af teknologierne er kendte og velafprøvede. De mindre modne tek-
nologier, som fx CC(U)S og PtX, er mere omkostningstunge. Reduktionspotentialet for CCS vurderes som
stort, da der er tale om en velkendt teknologi, og med den afsatte pulje til fangst og lagring eller anvendelse
er det forventningen, at der kan nås en årlig drivhusgasreduktion på 0,9 mio. ton. fra 2030. En indfrielse af
potentialet forudsætter lagringsmuligheder i eller tæt på Danmark. Disse forventes klar omkring 2024.
Fælles klimaindsats på tværs
Erhvervslivet bidrager også til den grønne omstilling af energiforbruget og industrien. Danske virksomhe-
der er førende inden for energiteknologi og viser et stort engagement i at samarbejde om en fortsat grøn
omstilling af erhverv og industri. Klimapartnerskabet for energiintensiv energi har fx meldt ud, at der er
potentiale for at reducere udledningerne med 30 pct. Det kan ske gennem et skifte til grøn gas, produktion
og efterspørgsel efter bæredygtige løsninger, CO
2
-fangst hos de største punktudledere samt øget anven-
delse af overskudsvarme. Klimapartnerskabet for energi og forsyning peger også på et stort potentiale
for reduktioner med en 95 pct.-reduktion fra 1990 til 2030 i energi- og forsyningssektoren, bl.a. gennem en
markant elektrificering og udbygning med vedvarende energi. Andre eksempler på udmeldinger om redukti-
onstiltag fra erhvervslivet er fremhævet i boks 30.
Boks 30
Energisektorens
indsatser
Aalborg Portland har indgået aftale med regeringen, som forpligter cementfabrikken Aalborg Portland til at redu-
cere ca. 0,5 mio. ton CO
2
og til samarbejde om yderligere reduktioner.
Fynsværket har besluttet at stoppe brugen af kul fra 2022, som giver reduktioner på op mod 0,5 mio. ton CO
2
e i
2030.
Ørsted har beslutning at udfase kul på alle deres værker i 2023.
Ørsted har indgået i et partnerskab sammen med andre relevante aktører og Københavns kommune om at udvikle
et storskalaanlæg (1,2 GW elektrolysekapacitet i 2030) i Storkøbenhavn til produktion af brint og e-fuels.
Shell og Everfuel står bag HySynergy projekt om et storskala PtX-anlæg ved Fredericia raffinaderi (op til 1 GW
elektrolysekapacitet).
KEF, Alm.del - 2020-21 - Bilag 38: Klimaprogram 2020 i web-tilgængelig version
2267578_0076.png
76
KLIMAPROGRAM 2020
7.2 Affaldssektoren
Affaldssektoren vil uden nye tiltag stå for ca. 5,4 pct. af de samlede udledninger i Danmark i 2030. Rege-
ringens plan for omstillingen af sektoren sker i fire spor. Regeringen har først og fremmest med en bred
kreds af Folketingets partier indgået aftale om en
Klimaplan for en grøn affaldssektor og cirkulær øko-
nomi,
som frem mod 2030 reducerer sektorens udledninger med ca. 0,7 mio. ton CO
2
e, ligesom aftalen
fastlægger en vision for en klimaneutral affaldssektor i 2030. Aftalen indeholder desuden en række initia-
tiver i udviklingssporet. Dertil kommer, at regeringens grønne forskningsstrategi udpeger genanvendelse
og reduktion af plast som en af fire missioner, mens Danmark også arbejder for at øge genanvendelsen
i EU. Samtidig arbejder industrien også for at drive omstillingen af sektoren fremad. Fx har Klimapartner-
skabet for affald, vand og cirkulær økonomi en vision om, at Danmark i 2030 er verdens førende cirku-
lære økonomi, der viser vejen til klimaneutralitet i 2050.
Regeringens plan for omstillingen i sektoren er illustreret i figur 27.
Figur 27
Regeringens tilgang
til omstillingen af
affaldssektoren
Virkemidler
Initiativer her og nu
Klimaplan for en grøn affaldssektor og cirkulær økonomi: ca. 0,7 mio. ton CO
2
e i 2030
Forskning, udvikling
og Analyse
Afgiftsanalyse
Mission i grøn forskningsstrategi: Genanvendelse og reduktion af plast
CCS-udbredelse
International og
EU regulering
Mere ambitiøs EU-regulering, bl.a. affaldsreduktionsmål
Implementering af lovgivning i Danmark
Klimaindsats
på tværs
Klimapartnerskab for affald, vand og cirkulær økonomi
Partnerskab mhp. nye teknologier og digitale løsninger til øget affaldsgenanvendelse
2020
2030
2050
Sektorens drivhusgasudledninger
Uden nye tiltag forventes affaldssektoren at udlede ca. 2,3 mio. ton CO
2
e i 2030, svarende til 5,4 pct. af
de nationale CO
2
e-udledninger. Disse udledninger vil stamme fra affaldsforbrænding (1,5 mio. ton CO
2
e),
deponeringsanlæg (0,4 mio. ton CO
2
e), biologisk affaldsbehandling (0,35 mio. ton CO
2
e) og spildevands-
sektoren (0,12 mio. ton CO
2
e).
Figur 28 viser, hvor udledningerne fra affaldssektoren stammer fra.
Figur 28
3,0
2,5
2,0
1,5
1,0
0,5
0,0
Biologisk
affald mm.
15%
Spildevand
5%
Deponeringsanlæg
15%
Hvor kommer
drivhusgas-
udledningerne fra
i affaldssektoren i
2030?
1990
2018
2025
2030
Affaldsforbrænding
65%
Deponeringsanlæg
Spildevand
Kilde: Energistyrelsen
Affaldsforbrænding
Biologisk affald mm.
Anm.: Delelementerne opgjort med én decimal summer til 2,3 mio. ton og ikke til de samlede udledninger på 2,4 mio. ton. Dette skyldes afrundinger.
KEF, Alm.del - 2020-21 - Bilag 38: Klimaprogram 2020 i web-tilgængelig version
2267578_0077.png
7. en klOg gRøn Omstilling
77
Størstedelen af affaldssektorens udledninger kommer med andre ord fra forbrænding af affald. Der er
overordnet to barrierer for at reducere drivhusgasudledningerne fra affaldsforbrænding i dag: for det
første har de eksisterende rammevilkår i sektoren medført en betydelig overkapacitet inden for affalds-
forbrænding, mens investeringer i genanvendelsesanlæg hæmmes, og for det andet udsorteres der
for lidt affald til genanvendelse og sendes for meget til forbrænding, bl.a. fordi kommunerne i dag har
forskellige indsamlingsordninger, hvilket medfører små og forskelligartede affaldsstrømme til genan-
vendelse. For at opnå reduktioner i forbrændingssektoren er det nødvendigt at løse begge udfordringer
samtidig.
På den baggrund indgik regeringen og Venstre, Radikale Venstre, Socialistisk Folkeparti, Enhedslisten,
Det Konservative Folkeparti, Liberal Alliance og Alternativet i juni 2020 en aftale om
Klimaplan for en grøn
affaldssektor og cirkulær økonomi.
Aftalen fastlægger en vision om en klimaneutral affaldssektor i 2030, samt at 80 pct. af det danske
plastikaffald skal ud af forbrændingen i 2030, og at affaldskurven skal knækkes, så der kommer mindre
affald, mindre spild og mere genbrug. Dertil kommer en række initiativer vedrørende øget og strømlinet
affaldssortering, øget genanvendelse og tilpasning af forbrændingskapaciteten, jf. boks 31.
Boks 31
Overblik over
hovedelementerne
i
Klimaplan for en
grøn affaldssektor
og cirkulær
økonomi
Øget og strømlinet affaldssortering
Danskerne skal sortere affald på samme måde i hjemmet og på arbejdspladsen uanset hvilken kommune, de bor i. Der
skal sorteres 10 typer af affald og både husholdninger og virksomheder skal bruge samme sorteringsguidelines og
affaldspiktogrammer.
Mere genanvendelse af plastikaffald
Der indføres bl.a. krav om minimum 60 pct. reel genanvendelse af indsamlet plastikaffald, sektorsamarbejder med restaurati-
onsbranchen, landbrugs- og byggesektoren.
En stærk genanvendelsessektor
Affaldsstrømmene fra husholdninger og virksomheder samles og organiseres mere ensartet. Rammevilkårene for affaldssek-
toren skal indrettes, så der investeres i genanvendelsesanlæg frem for forbrændingsanlæg.
Mindre forbrænding og mindre import af affald til forbrænding
Kapaciteten på de danske forbrændingsanlæg skal nedbringes, så den passer til de danske affaldsmængder, der forventes at
falde, når danskerne sorterer mere affald til genanvendelse.
Udvalgte udviklingstiltag:
Analyse af affaldsafgifterne
Der igangsættes en analyse af, hvordan affaldsafgifterne kan bidrage til at understøtte yderligere CO
2
-reduktioner i affalds-
sektoren og omstillingen til cirkulær økonomi.
Partnerskab
Der etableres et partnerskab, som skal understøtte brugen af nye teknologier og digitale løsninger i affaldssektoren, som kan
øge genanvendelsen af affald.
Øge andelen af genanvendt plastik
Der igangsættes et arbejde for at se på mulighederne for at øge andelen af genanvendt plastik i nye produkter.
Endvidere vurderes aftalen at medføre, at der er ca. 65 pct. mindre plastikaffald i forbrændingsanlæggene
i 2030 i forhold til 2020. Aftalen imødekommer en række af anbefalingerne fra Klimapartnerskabet for
affald, vand og cirkulær økonomi, herunder vedr. ensartet sortering, obligatorisk henteordning samt at
markedet gives adgang til det genanvendelige affald.
KEF, Alm.del - 2020-21 - Bilag 38: Klimaprogram 2020 i web-tilgængelig version
2267578_0078.png
78
KLIMAPROGRAM 2020
Affaldsforbrænding
Udledningerne af fossilt CO
2
fra affaldsforbrænding kommer primært fra afbrænding af dansk plastikaf-
fald og importeret plastikaffald. Derfor kan udledningerne reduceres ved dels at tilpasse kapaciteten på
affaldsforbrændingsanlæggene til de nationale affaldsmængder og dels at reducere affaldsmængderne
og udsortere mere affald, herunder plastik, med henblik på at øge genanvendelsen.
De konkrete tiltag i aftalen om sektorstrategi for affald er i varierende grad forbundet med en mer-
omkostning sammenlignet med affaldsforbrænding, jf. tabel 10. Det fremgår, at skyggeprisen på de
enkelte virkemidler varierer, og at der for flere er tale om negative skyggepriser, hvilket skyldes, at aftalen
afskaffer en række barrierer for effektiv drift og udnyttelse af ressourcerne, hvilket er med til at reducere
omkostningerne ved omstillingen.
Tabel 10
CO
2
-reduktion
Mio. ton
CO
2
e/året i
2030
Omkostninger (mio. kr.) - 2030
Kommunale
omkostnin-
ger*
Erhverv**
Skyggepris
kr. pr. fortrængt
ton CO
2
(med
sideeffekter)
Oversigt over
centrale virkemidler
i sektorstrategi for
affald: CO
2
-effekt
og økonomiske
konsekvenser
Stat
Virkemidler
1. Ny organisering af affaldssektoren
0,14
-17,5
-167
-167
-13.815
2. Strømlining af sortering og indsamling
af erhvervets husholdningslignende
affald
3. Strømlining og obligatoriske henteord-
ninger for husholdningernes affald
- herunder synergieffekter til eksisteren-
de ordninger samt effektivisering (2%
effektivisering – adfærd)
4. Strømlining med obligatorisk henteord-
ning for husholdningernes tekstilaffald***
5. Affaldssortering i det offentlige rum
6. Storskrald ud af affaldsforbrændingen
7. Mere direkte genbrug og klare rammer
for kommunale genbrugsbutikker
8. Krav om mindre tabsrater i genanven-
delse af plastik
9. Mål om 50 % reduktion af visse takea-
way-emballager af plastik i 2026
10. National implementering af udvidet
producentansvar for emballage
11. Øget genanvendelse af plastik fra
landbrugssektoren
12. Øget genanvendelse af plastik i byg-
ge- og anlægssektoren
13. Ny model for affaldstilsynet som skal
sikre øget genanvendelse
14. Produktivitetsgevinst på øget genan-
vendelse af plastik ved synergieffekten
mellem at der kommer klare rammer for
sektoren, at markedet for adgang til både
husholdningernes og erhvervets affald og
at affaldsstrømmene øges og strømlines.
15. Frivillige tilbagetagningsordninger for
virksomheder der vil tage egne produkter
retur
0,071
11,3
0
>75
918
0,008
0,050
1,6
9,3
>157
80
-
-
24.562
525
0,018
0,000
0,004
0,001
3,2
0,0
0,8
0,2
>/<0
-
16
-6
-
20
-
-
-
559.895
3.169
-12.591
0,007
1,1
1
-
134
0,004
0,7
-3
>0
-950
0,121
20,2
-1500
>1500
-
0,02
3,6
-.
>0
-
0,034
5,6
-.
>0
-
0,059
9,3
-
62
986
0,153
23,3
6
6
-359
-
-
-
<10
-
KEF, Alm.del - 2020-21 - Bilag 38: Klimaprogram 2020 i web-tilgængelig version
2267578_0079.png
7. en klOg gRøn Omstilling
79
16. Standardiserede nedrivningsplaner for
byggeri
-
-
-
<10
-
17. Loft over lattergasemissioner fra store
renseanlæg ***
Delsum inkl. omfordeling ved producentan-
svar
0,016
0,5
73,2****
53,0
1,2
-1.415
85
-
1.516
16
504
0,71
Sum ekskl. omfordeling ved
producentansvar
-467
Anm.: Et negativt fortegn angiver en gevinst, mens et positivt fortegn angiver en omkostning. Konsekvenserne er opgjort for 2025 og 2030, 2020-priser.
* Kommunale omkostninger dækker både over omkostninger for affaldsaktører og kommuner som alle overvæltes på borgere via. gebyr.
** Omkostninger for erhvervet overvæltes delvist på forbrugerne i priserne.
*** Skyggeprisen er ikke inkluderet i den samlede skyggepris
**** Da der kun er mindre pilotforsøg med indsamling af tekstilaffald hos borgerne, har datagrundlaget ikke været godt nok til at beregne de økonomiske konsekvenser af tiltaget.
Det er på nuværende tidspunkt vanskeligt at fjerne alle affaldssektorens udledninger af drivhusgasser.
Det skyldes, at der selv med øget genanvendelse fortsat vil være fossilholdigt restaffald, der skal for-
brændes. Dels vil der forventeligt fortsat være genanvendeligt affald i restaffaldet fra husholdninger
og erhverv; dels findes der i dag plastik i produkter, hvori plasten er svær at adskille fra øvrige materi-
aler (fx i engangsbleer eller kombineret emballage). Ideelt set vil det danske affald til forbrænding på
længere sigt hovedsageligt bestå af affald indeholdende miljøproblematiske stoffer, klinisk risikoaffald
og andet affald, der ikke egner sig til genanvendelse, og som heller ikke må deponeres.
For at sektoren bevæger sig mod klimaneutralitet, kan indfangningen og enten lagringen eller anven-
delsen (CCS og CCU) af drivhusgasudledningerne fra affaldsforbrændingen derfor være nødvendig.
Dertil kommer, at udvikling af produktdesign og behandlingsteknologier kan føre til en bedre sortering
og større genanvendelse af plastikaffald. Såfremt der eksempelvis kan udvikles bedre sorterings- og
genanvendelsesteknologier, vil dette kunne bidrage til at opnå klimaneutralitet i sektoren. Genanven-
delse af plastik indgår som mission i regeringens grønne forskningsstrategi, jf. afsnit nedenfor om
fremtidens grønne løsninger inden for affaldsområdet.
Deponi
Deponeringsanlæg forventes i 2030 at udlede ca. 0,4 mio. ton CO
2
e. Omkring 3 pct. af den samlede
danske affaldsproduktion går til deponering svarende til ca. 416.000 ton affald i 2018. Deponering sker
i dag kun, hvis affaldet ikke kan forberedes med henblik på genbrug, genanvendelse eller forbrænding.
Eksempler herpå er asbest fra tage og lofter, blød pvc-plastik og forurenet jord.
Før 1997 var det tilladt at deponere forbrændingsegnet affald i Danmark, herunder organisk affald,
som danner metan under iltfrie forhold. Det anslås, at der sker en CO
2
e-reduktion på 76 pct. i 2030
sammenlignet med 1990 uden yderligere politiske tiltag. Reduktionen skyldes særligt forbuddet fra
1997, som bevirker, at gamle lossepladser i dag langsomt afgasser og dermed udleder gradvist mindre
CO
2
og metan.
Miljøstyrelsen har en igangværende biocoverordning med henblik på at reducere udledningerne
fra danske deponeringsanlæg. Der er imidlertid fundet et langt mindre potentiale for etablering af
biocover end oprindeligt forventet, da metanudledningerne har vist sig lavere end forventet på flere af
de undersøgte anlæg. Der er desuden blevet undersøgt forskellige modeller for at stille konkrete reduk-
tionskrav til deponeringsanlæggene. De undersøgte modeller forventes at give en reduktion på ca.
mellem 0,011 mio. ton og 0,045 mio. ton og medføre en meromkostning på ca. mellem 67 og 362 mio.
kr. i perioden 2024-2027. I betragtning af de i forvejen nedadgående udledninger vurderes det at være
omkostningstungt at stille konkrete reduktionskrav til særligt de mindre deponeringsanlæg, ligesom
der ville være stor usikkerhed om den reelle effekt heraf.
Med aftalen om en sektorstrategi for affald igangsættes derfor i stedet tiltag, som forventes at med-
føre lokale samfundsøkonomiske reduktionstiltag på deponier og affaldsbehandlingsanlæg. Tiltagene
består i en dialog med kommunerne og anlæg om gennemførelse af CO
2
-reduktionstiltag, en afklaring
af muligheden for at gennemføre og indregne disse tiltag i taksterne samt vejledningsmateriale til at
understøtte indsatsen.
KEF, Alm.del - 2020-21 - Bilag 38: Klimaprogram 2020 i web-tilgængelig version
2267578_0080.png
80
KLIMAPROGRAM 2020
Håndtering af biologisk affald
Biologisk behandling af affald medfører udledninger på ca. 0,35 mio. ton CO
2
e i 2030 i form af metan,
CO
2
, og lattergas. Ca. 0,2 mio. ton CO
2
e kommer fra kompostering. Kompostering af have- og parkaffald
udgør over 80 pct. af udledningerne fra kompostering.
Det har været undersøgt, om der kan stilles krav til forbrænding af have- og parkaffald, da forbrænding af
organisk materiale opgøres som CO
2
-neutralt. Forbrænding af visse typer have- og parkaffald er i mod-
strid med affaldsdirektivet og kan potentielt have negative miljømæssige konsekvenser og vanskeliggøre
opfyldelsen af EU’s genanvendelsesmål. Muligheden for bioforgasning af have- og parkaffald har ligele-
des været undersøgt, men ikke alle dele af have- og parkaffald er egnede til nedbrydelse i biogasanlæg.
Med aftalen om en sektorstrategi for affald igangsættes derfor i stedet en nærmere analyse af området
med henblik på at pege på tiltag, der kan sikre en reduktion af drivhusgasudledningerne fra have- og
parkaffald på mindst 20 pct.
De resterende ca. 0,1 mio. ton CO
2
e-udledninger fra biologisk behandling af affald kommer fra lækage
fra biogasanlæg
1
. Biogas Danmark har i 2016 etableret et frivilligt måleprogram for metanlækager fra
biogasanlæg, hvor anlæggene ved hjælp af målinger og systematisk egenkontrol kan identificere og
nedbringe deres metanlækage. Programmets mål er at opnå en samlet lækage på under 1 pct. af biogas-
produktionen i 2020. Energistyrelsen har i forlængelse heraf igangsat et omfattende måleprogram med
det formål at fastsætte tabet og herigennem vurdere, hvorvidt et lovkrav er nødvendigt. Det vurderes i
den forbindelse, hvordan og hvorvidt der kan stilles krav om at nedbringe metanlækager til et minimum.
Spildevand
Behandling af spildevand medfører udledning af ca. 0,12 mio. ton CO
2
e i 2030 i form af metan og latter-
gas med de nuværende værdier
2
. Udledning af lattergas fra processerne på rensningsanlæggene er langt
den største bidragsyder til udledninger af CO
2
e fra vandsektoren. Forsøg viser, at det er forholdsvis billigt
for renseanlæggene at styre processerne bedre, så der sker en mindre udledning af lattergas.
Med aftalen om en sektorstrategi for affald indføres derfor grænseværdier for lattergasemissioner for
renseanlæg, der renser spildevand svarende til mindst 30.000 personers udledning (PE). Dermed omfat-
ter grænseværdierne ca. 65 pct. af spildevandsmængden og 75 pct. af lattergasemissionerne fra proces-
sen. På baggrund af erfaringerne drøftes det senest i 2025 med aftalepartierne, om grænsen skal sættes
ned fra 30.000 personers udledning (PE) til et lavere niveau. Tiltaget forventes at medføre en reduktion
på 0,02 mio. ton CO
2
e i 2030 til en skyggepris på 504 kr. pr. fortrængt CO
2
e, jf. tabel 10. Der gennemføres
derudover en analyse af drivhusgasudledninger fra spildevandsoverløb. Potentielle tiltag for rensning af
metanafkastet fra septiktanke er endvidere blevet undersøgt. Tallet for metanafkastet fra septiktanke er
imidlertid meget usikkert, og tiltagene vurderes at have lille effekt, være omkostningstunge og ramme
socialt skævt. Et lille husmandssted på landet vil typisk skulle investere 60.-80.000 kr. i forbedret spil-
devandsrensning. Brug af septiktanke bliver desuden reduceret som følge af kloakering under vandom-
rådeplanerne – de sidste 15 år er 15-20 pct. af septiktankene forsvundet på grund af kloakering mv., og
udviklingen forventes at fortsætte i de kommende år.
Aftalen om en sektorstrategi for affald indeholder desuden en række tiltag, der skal understøtte målet
om en energi- og klimaneutral vandsektor. Det rummer bl.a. gennemførelse af en ”Parismodel” for en
energi- og klimaneutral vandsektor samt en undersøgelse af, om den økonomiske regulering kan indret-
tes, så drikke- og spildevandsselskaber får stærkere incitamenter til at udnytte egne ressourcer effektivt
til gavn for forbrugerne, bl.a. i forhold til forgasning.
Fremtidens grønne løsninger inden for affaldsområdet
For at reducere klimabelastningen fra afbrændingen af affald og forureningen af vores natur skal
mængden af plastikaffald nedbringes, og mere plast skal genbruges og genanvendes. Genanven-
delse og reduktion af plastaffald indgår derfor som én af de fire missioner i regeringens grønne
1
2
Det bemærkes, at der i basisfremskrivningen af udledningerne fra lækage fra biogasanlæg i 2030 på 0,1 mio. ton CO
2
e allerede er taget højde for effekten af Energistyrel-
sens måleprogram og et eventuelt kommende lovkrav om at reducere lækage fra biogasanlæg til et minimum.
Foreløbige tal fra Lattergaspuljen i Miljøstyrelsen tyder på, at den reelle emission af lattergas fra processer i spildevandsrensningen er underestimeret. Det reelle tal for
emission af lattergas fra processer er ifølge de foreløbige tal tre gange større end de opgjorte.
KEF, Alm.del - 2020-21 - Bilag 38: Klimaprogram 2020 i web-tilgængelig version
2267578_0081.png
7. en klOg gRøn Omstilling
81
forskningsstrategi. Forskningsindsatsen skal rettes mod nye teknologier og fremstillingsmetoder, der
kan sikre affaldsreduktion samt bedre sortering og genanvendelse af plastikaffald til nye plastikproduk-
ter. Der skal udvikles plastikholdige produkter, der er designet til genbrug eller genanvendelse, både med
hensyn til den kemiske sammensætning af plastikråvaren og additiverne og sammensætningen af mate-
rialer i det enkelte produkt. Missionen skal således være med til at understøtte sektorstrategiens vision,
om at 80 pct. af plastikaffaldet skal ud af forbrændingen i 2030.
Teknologier og løsninger som at designe og producere plastikemballager og produkter til genbrug og
genanvendelse; sporings- og genkendelsesteknologier til mærkning af plastikprodukter og emballager;
sorterings- og oparbejdningsteknologier, der giver en høj kvalitet i genanvendelsen og et lavt tab af
materialer; og sortering, oparbejdning og genanvendelse af plastikholdige tekstiler vurderes at have
væsentligt potentiale i at reducere mængden af plastik og fossilholdigt tekstilaffald. Disse teknologier
og løsninger skal spille sammen for at få en høj genanvendelse af plastikmaterialer, hvor plastik indgår
i kredsløb igen og igen. At nå det tekniske reduktionspotentiale på ca. 53.000 ton plastik kræver en
forskningsmæssig indsats samt de nødvendige investeringer i og implementering af løsninger samt
samarbejde mellem aktører i værdikæden. En indfrielse af det tekniske reduktionspotentiale vil medføre
en reduktion af CO
2
e fra affaldsforbrænding på ca. 0,15 mio. ton CO
2
e i 2030. Reduktionen i mængden af
dansk forbrændingsegnet affald kan alt andet lige medføre afledte effekter i forhold til importeret affald,
som ikke er medregnet her.
Fælles europæiske rammer for affaldssektoren og cirkulær økonomi
Fælles europæiske rammer kan reducere omkostningerne ved den danske indsats. Derfor arbejder rege-
ringen aktivt for, at der også på EU-plan sættes mere ambitiøse mål for at reducere affaldsmængden,
øge genanvendelsen og begrænse importen af plastik til afbrænding.
Regeringen finder det derfor positivt, at Kommissionens handlingsplanen for cirkulær økonomi sætter
fokus på en styrkelse af indsatsen for mindre affald, mere genbrug samt mere og bedre genanvendelse,
herunder især for plastik og tekstiler. Regeringen bakker op om kvantitative affaldsreduktionsmål, her-
under for udvalgte affaldstyper såsom husholdningslignende affald, øget harmonisering på tværs af EU,
samt bedre vilkår for brug af genanvendte materialer.
Regeringen er åben over for at se nærmere på muligheden for at stille krav til indhold af genanvendt plast
i produkter som emballage, byggematerialer og biler. Regeringen finder det desuden positivt, at Kom-
missionen vil støtte udviklingen af løsninger inden for højkvalitetssorteringsanlæg. Begge dele vil kunne
understøtte et marked for genanvendt plast og gøre det mere attraktivt at etablere sorteringsanlæg til
forskellige plasttyper i EU-landene.
Cirkularitet er en vigtig del af industriens bidrag til klimaneutralitet og forsatte konkurrenceevne og støt-
ter Kommissionens intention om at fremme brug af digitale teknologier til at følge, spore og kortlægge
ressourcestrømme og -kvaliteter i værdikæder
Ecodesign og energimærkning er estimeret til at have leveret 50 pct. af EU’s 2020-mål for energibespa-
relser. En udvidelse af anvendelsesområdet for Ecodesign kan derfor forventes at bringe store energi- og
miljøbesparelser samt udbrede tilgangen om cirkulær økonomi. Derudover bør en sammenhængende
juridisk ramme for bæredygtige produkter omfatter de mange andre produktreguleringer, der allerede
findes. Dette skal sikre, at der på tværs af produktområder stilles konsistente krav til klimapåvirkning
igennem hele livscyklus, og at man fremmer brugen af fornyelige ressourcer og beskyttelsen af sund-
hed og miljø for alle produkter, der produceres i EU. Kun herved kan der skabes materialekredsløb, der
er bæredygtige. Forlængelse af levetiden, ressourceoptimering og øget genanvendelighed af produkter,
øget anvendelse af sekundære råvarer og substituering af skadelige kemikalier skal være centrale ele-
menter i den sammenhængende juridiske ramme.
Regeringens indsats i EU opsummeres i boks 32.
KEF, Alm.del - 2020-21 - Bilag 38: Klimaprogram 2020 i web-tilgængelig version
2267578_0082.png
82
KLIMAPROGRAM 2020
Boks 32
Mere ambitiøs
EU-regulering af
affaldsområdet og
cirkulær økonomi
Regeringen støtter Kommissionens ambition om tilvejebringelsen af en cirkulær økonomi i EU, der kan understøtte
opnåelsen af klimaneutralitet i 2050 og afkoblingen mellem vækst og ressourceforbrug, da ressourceudvinding
og -forarbejdning er store kilder til drivhusgasudledninger i EU, og da omstillingen kan være med til at sikre EU’s
konkurrenceevne på længere sigt.
Regeringen bakker op om, at EU bør stoppe med at eksportere affald ud af EU og støtter en ambitiøs revision af
EU’s transportforordning om overførsel af affald over grænser for at skabe et reelt indre marked for handel med
sekundære råvarer.
Forbrænding af især plastik bør nedbringes i EU. Danmark støtter derfor mere ambitiøse mål for genanvendelse af
plastik og finansiering af genanvendelseskapacitet i Europa samt bedre design af produkter.
Regeringen bakker op om kvantitative affaldsreduktionsmål, herunder for husholdningslignende affald.
Regeringen støtter en etablering af standardiserede metoder til effektiv indsamling og deling af data mellem
virksomheder i hele leverandørkæden med henblik på at understøtte virksomheders muligheder for forretningsud-
vikling på baggrund af data og at understøtte et fælles indre marked for sekundære råvarer.
Regeringen støtter, at Kommissionen har fokus på at sikre en sammenhængende juridisk ramme for en bære-
dygtig produktpolitik, der skal understøtte ressourceeffektivitet, cirkularitet, sikkerhed og et reduceret klima- og
miljøaftryk. En åbning af ecodesigndirektivet i forhold til at inddrage flere produktgrupper og flere kriterier, som
understøtter den cirkulære økonomi, og bygger på erfaringer fra EU’s miljømærke Blomsten og Kommissionens ny
metode, Product Environmental Footprint (PEF) kan bidrage til denne udvikling.
Regeringen bakker op om Kommissionens ønsker om at revidere byspildevands- og slamdirektiverne med henblik
på, at der kommer større fokus på energiproduktion og genanvendelse af næringsstoffer.
Fælles klimaindsats på tværs
Industrien bidrager også til omstillingen af affaldssektoren. Klimapartnerskabet for affald, vand og cirku-
lær økonomi arbejder for, at Danmark i 2030 er verdens førende cirkulære økonomi, der viser vejen til kli-
maneutralitet i 2050. Partnerskabet går foran med konkrete anbefalinger til, hvordan sektoren kan drive
udviklingen på tværs af indsatsområder som længere produktlevetid og cirkulære forretningsmodeller. I
boks 33 er fremhævet forskellige eksempler på anbefalinger til affaldssektorens indsatser.
Boks 33
Eksempler på
anbefalinger til
affaldssektorens
egne indsatser
Design af cirkulære produkter og implementering af forretningsmodeller baseret på genbrug og reparation for at
forlænge produkternes levetid.
Håndtering af genanvendeligt affald via producentansvar og fokus på bedre sortering af affald fra service, industri
og byggepladser med henblik på maksimal genanvendelse af alle materialer
Udnyttelse af overskudsvarme og udbygning af biogasproduktionen på renseanlæg
KEF, Alm.del - 2020-21 - Bilag 38: Klimaprogram 2020 i web-tilgængelig version
2267578_0083.png
7. en klOg gRøn Omstilling
83
7.3 Transportsektoren
Den grønne omstilling af person-, varebiler- og lastbiler er den primære udfordring for transportsektoren
set i forhold til nationale drivhusgasudledninger. Øvrige transportformer udgør kun en mindre andel af
transportsektorens udledninger, og reduktionspotentialerne på dansk grund er begrænsede.
Der vurderes på nuværende tidspunkt at være store udfordringer i omstillingen af transportområdet frem
mod 2030 og herefter. Den grønne omstilling af transportområdet er kendetegnet ved, at udfordringerne
spænder meget bredt på tværs af områder. Fx er der for personbiler tale om en lav omstillingshastighed
(den gennemsnitlige levetid for personbiler er ca. 15 år) samt at elbiler som det nuværende alternativ
ikke er konkurrencedygtige på pris sammenlignet med konventionelle biler. Samtidig er udfordringen for
omstillingen af fx konventionelle lastbiler, færger og fly, at de grønne teknologier på nuværende tidspunkt
ikke er modne alternativer.
Potentialet for at reducere udledningerne er dermed på den ene side at arbejde for, at konventionelle
køretøjer mv. udleder mindst muligt indtil de udskiftes, hvilket fx kan ske via iblanding af biobrændstof-
fer. Samtidig er potentialet en langsigtet omstilling fra fossildrevne motorkøretøjer til nul- og lavemissi-
onskøretøjer og udvikling af teknologier, som kan konkurrere med nuværende fossile brændsler inden for
søfart og luftfart. Med eksisterende regulering ventes indfaset ca. 400.000 grønne personbiler frem mod
2030. Den samlede bilbestand i Danmark forventes i samme periode at vokse fra ca. 2,7 mio. personbiler
i dag til ca. 3,3 mio. i 2030. For last- og varebiler ventes der en meget begrænset markedsbaseret indfas-
ning af bl.a. grønne køretøjer.
På kortere sigte kan udledningerne i transportsektoren blive reduceret gennem øget energieffektivitet (fx
EU-krav til nye køretøjers udledninger) og ved anvendelse af grønnere brændstoffer i den eksisterende
bilpark. Potentialet for at reducere udledningerne gennem en reduktion af efterspørgslen efter transport
eller overflytning til mere klimavenlige transportformer såsom tog og busser vurderes begrænset.
Med finansloven for 2020 har regeringen sikret ro om bilafgifterne for grønne biler i 2020. Regeringens
klimaudspil for vejtransport sikrer bl.a. langsigtede rammevilkår for bilbranchen og bilejerne i den grønne
omstilling af personbiler med afsæt i Kommissionen for grøn omstilling af personbilers (Bilkommissi-
onen) anbefalinger. Dertil kommer reelle reduktioner i udledningerne fra den eksisterende vejtransport
gennem mere langsigtet og fremtidssikret regulering af VE-brændstoffer samt en omlægning af afgif-
terne på lastbiltrafik, så afgifterne i højere grad afspejler de samfundsøkonomiske omkostninger for-
bundet med den tunge trafik, herunder gennem en differentiering af afgifterne på baggrund af køretøjet
energieffektivitet.
På den baggrund er regeringens plan for omstillingen i sektoren illustreret i figur 29.
Figur 29
Regeringens tilgang
til omstillingen af
transportsektoren
Virkemidler
Initiativer her og nu
Klimaudspil for vejtransport: 1 mio. ton CO
2
e i 2030
Klimasamarbejdsaftaler om grøn kollektiv trafik: 40.000 ton CO
2
e i 2030
Udmøntning af pulje til grøn transport
CO
2
-reduktionskrav
Forskning, udvikling
og Analyse
Strategier for
PtX og VE-brændstoffer
Mission i grøn forskningsstrategi:
Grønne brændstoffer
Storskalaproduktion af PtX
International og
EU regulering
Ambitiøs grøn transportdagsorden i EU
Implementering af lovgivning i Danmark
Klimaindsats
på tværs
Klimapartnerskab for landtransport og logistik, luftfart og det blå Danmark
2020
2030
2050
KEF, Alm.del - 2020-21 - Bilag 38: Klimaprogram 2020 i web-tilgængelig version
2267578_0084.png
84
KLIMAPROGRAM 2020
Sektorens drivhusgasudledninger
Transportsektoren skønnes at stå for omkring en tredjedel af de danske drivhusgasudledninger i 2030
uden nye tiltag, hvoraf vejtransporten udgør 92 pct. af de samlede indenlandske udledninger fra trans-
portsektoren, jf. figur 30.
Figur 30
Hvor kommer
drivhusgas-
udledningerne fra i
transportsektoren i
2030?
14
12
10
8
6
4
2
0
Forsvar mm. Luftfart
Søfart
3%
(indenrigs)
(indenrigs)
1%
4%
Jernbane
0%
1990
2018
2025
2030
Vejtransport
92%
Forsvar mm.
Luftfart (indenrigs)
Vejtransport
Søfart (indenrigs)
Jernbane
Drivhusgasudledningerne i transportsektoren kommer primært fra anvendelsen af fossile drivmidler, og
ca. 92 pct. af transportsektorens energiforbrug er således baseret på fossile brændsler.
Vejtransporten
Vejtransporten udleder i dag ca. 12,5 mio. ton CO
2
årligt, svarende til ca. 92 pct. af den samlede udled-
ning fra transportsektoren,. I 2030 forventes vejtransporten at udlede ca. 12,6 mio. ton CO
2
svarende til
ca. 92 pct. af den samlede udledning i transportsektoren i 2030, jf. figur 30.
En væsentlig udfordring for vejtransporten er, at en stor del af bilparken (person-, vare- og lastbiler) for-
venteligt fortsat vil bestå af konventionelle biler i 2030. Derudover forventes købsprisen på både person-,
vare- og lastbiler (ekskl. registreringsafgift) på alternative brændstoffer fortsat at være væsentligt højere
end tilsvarende benzin- og dieselkøretøjer i 2030.
Regeringens klimaudspil for vejtransport sætter rammen for den fremtidige regulering af vejtransporten,
der i alt vil reducere 1 mio. ton CO
2
e på tværs af tiltag inden for personbiler og tung vejgodstransport.
Afgiftsjusteringer imødekommer, at elbilerne i produktionsomkostninger fortsat er betydeligt dyrere end
konventionelle biler. Samtidig lægger regeringen op til at tilskynde brugen af grønnere brændstofferne
i den konventionelle bilpark. Regeringens udspil lægger desuden op til, at der igangsættes et arbejde
med etablering af kilometerbaserede vejafgifter for lastbiler fra 2025, så lastbiler i højere grad og mere
målrettet beskattes efter lastbiltrafikkens samfundsøkonomiske omkostninger. Det lægges desuden op
til, at afgiften differentieres efter det pågældende køretøjs CO
2
-udledning og geografisk differentiering
af taksterne. Endelig lægger regeringen op til at udarbejde en strategi for videreudvikling af markedet for
VE-brændstoffer i Danmark.
Regeringen arbejder for en mere ambitiøs EU-regulering af transportsektoren, jf. boks 34. Endvidere vil
regeringen i EU arbejde for et styrket kvotehandelssystem, der skal levere en større andel af EU’s sam-
lede reduktionsindsats, samt at kvotehandelssystemet udvides til at inkludere vejtransport.
KEF, Alm.del - 2020-21 - Bilag 38: Klimaprogram 2020 i web-tilgængelig version
2267578_0085.png
7. en klOg gRøn Omstilling
85
Boks 34
Mere ambitiøs
EU-regulering af
transportsektoren
Regeringen arbejder for, at Kommissionen fremlægger en ambitiøs og bredspektret strategi for, hvordan EU kan
fremme den grønne omstilling af transportsektoren, herunder en klar plan for udfasning af benzin- og dieselbiler i EU.
Regeringen arbejder for et styrket kvotehandelssystem, som udvides til at inkludere vejtransport.
Regeringen arbejder for at tilpasse det europæiske regelsæt, så det understøtter udfasning af benzin og dieselbiler
fra 2030 herunder bl.a. også for strengere CO
2
-krav for lette og tunge køretøjer, den nødvendige infrastruktur, fremme
af alternative brændstoffer, herunder Power-to-X. og en ambitiøs tiltang til udvikling af batterier.
Regeringen vil arbejde for oprettelsen af en alliance blandt ligesindede EU-medlemslande, der kan presse på for at
fremme udfasningsdagsordenen i EU.
For at mindske udledningerne fra luftfarten har regeringen bl.a. opfordret Kommissionen til at fremsætte forslag om prissæt-
ning af luftfartens udledninger, herunder evt. afgifter, der skal sikre mere bæredygtig lufttransport, samt at Kommissionen bør
analysere muligheden for at reducere tildelingen af gratiskvoter på tværs af sektorer, uden at dette fører til lækage .
Regeringen arbejder aktivt for at sikre, at potentielle fremtidige EU-tiltag på søfartsområdet understøtter en global løsning i
regi af IMO er til gavn for klimaet og ikke skader europæisk søfarts konkurrenceevne.
Personbiler
Personbiler forventes at stå for udledninger for ca. 7,3 mio. ton CO
2
i 2030 svarende til ca. 53 pct. af
transportsektorens udledninger. Omstillingen til mere klimavenlige alternativer er umiddelbart teknisk
mulig inden for personbiltransporten, hvor batteridrevne elbiler frem mod 2030 forventes at være de
mest konkurrencedygtige alternativer til konventionelle biler. På længere sigt forventes fx brint at kunne
spille en større rolle for personbilerne. Købsprisen for de fleste elbiler er dog fortsat højere end for tilsva-
rende konventionelle biler på trods af de nuværende afgiftslempelser.
Ud over de økonomiske grunde til at vælge en elbil ligger der dog fortsat en forskel mellem de konventio-
nelle biler og elbilerne. Elbilerne har således en kortere rækkevidde end konventionelle biler, ligesom for-
syningen med drivmidler til elbiler tager væsentligt længere tid end optankning af benzin- og dieselbiler,
og forsyningssikkerheden er lavere, hvilket medvirker til at skabe en utryghed i forbindelse med brugen
af elbiler. Disse forskelle betyder, at elbiler endnu ikke udgør et reelt alternativ for alle grupper af brugere.
De praktiske begrænsninger i forhold til traditionelle kørselsmønstre er således fortsat udfordrende og er
ikke alene et spørgsmål om omkostningerne. Der opnås imidlertid samtidig en bedre forståelse for elbi-
lernes egenskaber, efterhånden som der kommer flere biler på vejene. Dertil udgør produktionsbegræns-
ninger fortsat en barriere for elbiler.
Mange aktører peger også på udrulningen af ladeinfrastruktur som en udfordring for udbredelsen af
elbiler. Flere undersøgelser viser, at omfanget af offentligt tilgængelige lademuligheder er en central
parameter i beslutningen om at købe elbiler. Derfor skal den offentligt tilgængelige ladeinfrastruktur være
tilstrækkeligt udbygget for at understøtte, at flere vil vælge en elbil. Det gælder særligt for de forbrugere,
der ikke har adgang til hjemmeopladning eller de, der har behov for opladning på de lange ture. Bilkom-
missionen vil ved årsskiftet 2020/2021 aflevere anden og sidste delrapport, hvor der bl.a. er fokus på
ladeinfrastruktur.
Aftalepartierne bag energiaftalen for 2018 har besluttet at udmønte knap 50 mio. kr. fra puljen til grøn
transport til ladestandere. Med
Klimaftale for energi og industri mv.
fra 2020 er parterne desuden enige
om, at de resterende midler i pulje til grøn transport målrettes ladeinfrastruktur, tung transport og færger.
Aftaleparterne er med
Klimaaftale for energi og industri mv.
enige om at fremrykke udmøntningen af de
resterende midler i pulje til grøn transport til 2020 og 2021 og forhøje puljen med 50 mio. kr., så der kon-
kret prioriteres 100 mio. kr. i 2020 og 375 mio. kr. i 2021.
Bilafgifter og valg af personbil
En måde at få flere til at vælge en elbil frem for en benzin- eller dieselbil er derfor fx at reducere omkost-
ningen på elbiler i forhold til benzin- og dieselbiler eller gøre køb og brug af benzin- og dieselbiler dyrere
for dermed økonomisk at opveje nogle af de øvrige forskelle.
I købsbeslutningen bør der ud over købsprisen tages højde for omkostninger til ejerskab og forbrug, hvor
nul- og lavemissionsbiler til gengæld har markant lavere omkostninger til drivmiddel og vedligehold.
KEF, Alm.del - 2020-21 - Bilag 38: Klimaprogram 2020 i web-tilgængelig version
2267578_0086.png
86
KLIMAPROGRAM 2020
Tabel 11
Bilsegment
Konventionelle biler
Førafgiftspris (kr.)
Købspris inkl. afgift (kr.)
Mikro
VW Up!
76.500
115.900
Lille
Hyundai
Kona
120.300
211.500
Mellem
Nissan
Qashqai
159.300
283.300
Stor
Audi A5
248.400
499.800
Premium
Audi A7
471.400
1.063.300
Sammenligning af
førafgiftspriser i
2019
Elbiler
Førafgiftspris (kr.)
Købspris inkl. afgift (kr.)
VW e-Up!
200.500
200.500
Hyundai
Kona
311.700
311.700
Nissan Leaf
281.600
281.600
Tesla 3
468.500
484.300
Tesla S
708.600
803.600
Anm.: Baseret på gennemsnit af de solgte bilmodeller i Danmark i 2019.
Kilde: Kommissionen for grøn omstilling af personbiler.
Der blev i 2019 solgt ca. 9.400 nul- og lavemissionsbiler i Danmark. I 2020 er der medio september solgt
ca. 16.000 nul- og lavemissionsbiler. Salget af el- og lavemissionsbiler skønnes at stige betydeligt frem
mod 2030 i takt med, at priserne falder, udbuddet af modeller vokser, og der opnås bedre kendskab til
de nye teknologier mv. Derfor ventes der i 2030 at være ca. 400.000 nul- og lavemissionsbiler i Danmark
ved gældende regler, mens der med stor usikkerhed ventes godt 1 mio. nul- og lavemissionsbiler i 2035.
En grundlæggende udfordring ved en grøn omstilling af personbiler er, at forbrugerne skal udskifte et højt
beskattet gode (konventionelle biler) med et dyrere, men lavt beskattet gode (nul- og lavemissionsbiler).
Et stort skifte fra konventionelle biler til elbiler indebærer omkostninger både for staten og for forbru-
gerne i købssituationen. Samtidig medfører den tekniske levetid på køretøjer et værditab for den enkelte,
såfremt udskiftningen af bilparken forceres i forhold til køretøjernes levetid. Endvidere er det internati-
onale marked for elbiler fortsat begrænset. En forcereret fremrykning af udviklingen vil derfor være for-
bundet med væsentlige omkostninger for staten samt for husholdningerne.
En større udbredelse af nul- og lavemissionsbiler forudsætter et større og mere konkurrencedygtigt
udbud af nul- og lavemissionsbiler særligt i de mindre bilsegmenter, hvor ca. halvdelen af nye biler, som
danskerne købte i 2019, kostede under 250.000 kr. inkl. moms og registreringsafgift. I 2019 blev der solgt
omkring 300 forskellige modeller af konventionelle biler i Danmark, mens der blev solgt ca. 45 forskellige
modeller af nul- og lavemissionsbiler.
For husholdninger vil en fremrykning også i udgangspunktet have fordelingsmæssige konsekvenser
eftersom der sælges flest nul- og lavemissionsbiler i de dyrere bilsegmenter, som typisk købes af
højindkomstgrupperne. Det er også i disse segmenter, at afgiftslempelser har størst effekt, fordi afgifts-
indholdet i de mindre, konventionelle biler er relativt lavt. Forhøjes afgifterne på konventionelle biler for
at fremme nul- og lavemissionsbiler i de mindre bilsegmenter, hvor nul- og lavemissionsbiler er mindst
udbredte, vil det derfor have fordelingsmæssige konsekvenser.
Såfremt nul- og lavemissionsbiler fremmes ved at gøre disse biler billigere uden at hæve afgifterne på kon-
ventionelle biler, vil det for staten (skatteyderne) medfører væsentligt tabt afgiftsprovenu, som i udgangspunk-
tet skal finansieres ved et lavere offentligt forbrug eller ved at hæve andre skatter eller afgifter.
For staten vil der selv med fuldt indfaset registreringsafgift for elbiler i det nuværende afgiftssystem
være et mindreprovenu på ca. 115.000-125.000 kr. pr. solgt elbil, fordi elbilen, som følge af høj energief-
fektivitet opnår store fradrag i registreringsafgiften og en lav ejerafgift.
Bilkommissionens rapport viser samtidig, at det er vanskeligt at få et væsentligt bidrag fra personbiler i
2030, uden at CO
2
-reduktionerne er forbundet med væsentlige samfundsøkonomiske omkostninger pr.
reduceret ton CO
2
. Bilkommissionen vurderer eksempelvis en marginal skyggepris på 3.800 kr. pr. CO
2
i 2030 ved 1 mio. nul- og lavemissionsbiler i 2030, jf. tabel 12. Hertil skal bemærkes, at det vil indebære
en årligt afgiftsændring på 5.900 kr. for en gennemsnitlig konventionel bil, hvoraf størstedelen vil være i
registreringsafgiften jf. tabel 12.
KEF, Alm.del - 2020-21 - Bilag 38: Klimaprogram 2020 i web-tilgængelig version
2267578_0087.png
7. en klOg gRøn Omstilling
87
Tabel 12
Virkemidler
Antal nul- og lavemissionsbiler i bestand i 2030
Ændring i antal nul- og lavemissionsbiler i bestand i 2030 ift.
grundforløb
Andel nul- og lavemissionsbiler i nysalget i 2030 (pct.)
CO
2
-reduktion i 2030 (mio. ton)
Provenuændring i 2030 (mia. kr.)
Samfundsøkonomi ekskl. CO
2
(mia. kr.) i 2030
Samfundsøkonomi inkl. CO
2
(mia. kr.) i 2030*
Skyggepris (kr. pr. ton CO
2
) i 2030
    
Model 1
500.000
100.000
39
0,2
-0,3
-0,0
0,0
200
Model 2
600.000
200.000
41
0,3
-0,7
-0,3
-0,3
2.000
Model 3
750.000
350.000
50
0,9
-0,1
-2,4
-2,2
3.400
Model 4
1.000.000
600.000
62
1,5
1,0
-5,7
-5,2
3.800
Bilkommissionens
modeller
Afgiftsændring på konventionelle biler (årlig)
Gennemsnitlig konventionel bil
Gennemsnitlig elbil
 
440
-2.000
 
440
-2.300
 
2.200
-1.900
 
5.900
-1.500
Anm.: Ændringerne er opgjort relativt til grundforløbet. *Kommissionen for grøn omstilling af personbiler anvender en CO
2
-pris på 363 kr. pr. ton CO
2
e i 2030, jf. Finansministeriets
nøgletalskatalog. Samfundsøkonomi og skyggepris er opgjort over levetiden for nyregisteringsårgangen 2030.
På trods af en større indfasning af nul- og lavemissionsbiler forventes der fortsat at være en meget
væsentlig bestand af konventionelle biler i 2030. Derfor vil regeringen arbejde for at reducere udlednin-
gerne fra personbiler gennem grønne brændsler som bio- og VE-brændstoffer.
Tung vejgodstransport
Lastbiler og varebiler forventes at stå for hhv. 2,6 og 2,1 mio. ton CO
2
i 2030. Omstillingen af den tunge
vejgodstransport er teknisk set vanskeligere end persontransporten, hvilket skyldes, at der i dag findes få
reelle alternativer til fossile lastbiler, og drivmiddelinfrastrukturen kan ligeledes være en hindring. El-tek-
nologien er endnu ikke moden til at dække den tunge vejgodstransports transportbehov, og der findes i
dag ikke en konkurrencedygtig grøn løsning på omstillingen af den tunge vejgodstransport.
En overgang til mere bæredygtige brændstoffer kan imidlertid være en væsentlig del af løsningen, paral-
lelt med at fremtidens grønne løsninger udvikles og testes, hvilket klimapartnerskabet for landtransport
også peger på. Regeringens satsning på udvikling af fremtidens grønne brændstoffer, herunder både
biogas og PtX, kan understøtte omstillingen af særligt den tunge del af transportsektoren, hvor teknolo-
gien endnu ikke er moden til elektrificering på de længere distancer.
Derfor er forskning i grønne brændstoffer og PtX en prioriteret mission i regeringens grønne forskningsstra-
tegi. De grønne brændstoffer kan på sigt bidrage til at udskifte fossile drivmidler. Her kan Danmark bygge
på en forskningsmæssig tradition inden for især brint og elektrolyse med henblik på at indfri et muligt stort
potentiale for en erhvervsmæssig styrkeposition inden for PtX.
Med regeringens klimaudspil for vejtransport vil regeringen igangsætte et arbejde med etablering af
kilometerbaserede CO
2
-differentierede vejafgifter for lastbiler fra 2025, så lastbiler i højere grad og mere
målrettet beskattes i forhold til de skadesomkostninger, de har for samfundet, klimaet og miljøet og på
sigt drive omstillingen mod CO
2
-neutrale lastbiler. Direktivændringen, der gør differentiering obligatorisk i
alle vejafgiftsordninger i EU, forventes besluttet i Rådet i december med en efterfølgende forhandling med
Europa-Parlamentet. Det er derfor endnu for tidligt at skønne over effekter, herunder i en kommende dansk
kilometerbaseret vejafgift. Den i initiativet indregnede CO
2
-effekt er baseret på efterspørgselsændringen,
hvor vejafgiften resulterer i en lavere efterspørgsel efter vejgodstransport. En differentiering, hvor de
grønne køretøjer betaler relativt mindre end de fossile køretøjer, vil give vognmanden incitament til at inve-
stere i grønne lastbiler, herunder lastbiler der anvender el, brint eller gas som drivmiddel. Effekten af, at der
kommer flere grønne køretøjer i den samlede flåde, er ikke medtaget i opgørelsen af initiativets CO
2
-effekt.
Disse effekter vil blive vurderet nærmere, når direktivændringen kendes, og når der er udarbejdet konkrete
modeller for afgiftsstruktur og satser i en kilometerbaseret vejafgift for lastbiler på vejnettet i Danmark.
KEF, Alm.del - 2020-21 - Bilag 38: Klimaprogram 2020 i web-tilgængelig version
2267578_0088.png
88
KLIMAPROGRAM 2020
Boks 35 opsummerer de initiativer, regeringen indtil videre har taget for at adressere udledningerne fra
vejtransporten.
Boks 35
Overblik over
hovedinitiativerne
inden for
vejtransporten
Virkemidler:
180 mio. kr. til annullering af afgiftsstigninger på elbiler samt sænkningen af proces elafgiften på el til el-biler.
25 mio. kr. til indførslen af et fradrag i beskatningsgrundlaget for grønne firmabiler, for at gøre det billigere at køre
grønt på jobbet.
75 mio. kr. til at accelerere omstillingen af grønne busser.
100 mio. kr. til fremme at cyklisme og pulje på 50 mio. kr., hvor kommunerne mod en medfinansiering på 50 pct.
kan søge midler til cykelprojekter.
Udmøntning af 50 mio. kr. til ladestandere, 24 mio. kr. til fremme af erhvervstransport og 1 mio. kr. til en analyse
af mulighederne for omstillingen af indenrigsfærger til vedvarende energi som en del af udmøntningen af puljen til
grøn transport i 2020, og en analyse af prisstruktur for offentligt tilgængelige ladestandere.
Fremrykning af den resterende udmøntning af puljen til grøn transport til 2020 og 2021 samt forøgelse af puljen
med yderligere 50 mio. kr., således der i alt prioriteres 425 mio. kr. i 2020 og 2021 til ladestandere, fremme af grøn
erhvervstransport samt omstilling til grønne færger.
Regeringens klimaudspil for vejtransport sætter rammen for den fremtidige regulering af vejtransporten, der i alt
vil reducere 1 mio. ton CO
2
e på tværs af tiltag inden for personbiler og tung transport.
Grønne brændstoffer
Biobrændstoffer
Med regeringens klimaudspil for vejtransport lægger regeringen op til en langsigtet og teknologineutral
regulering af anvendelsen af VE-brændstoffer i transportsektoren med fokus på CO
2
-fortrængning. Regu-
leringen af bio- og VE-brændstoffer kan afhængig af tilgang bidrage til målopfyldelse af det nationale
70 pct.-mål og reduktion af global CO
2
-udledning, herunder bæredygtighed, fødevarehensyn, alternativ
brug af produktionsjord, sociale hensyn mv. samt fremme af indenlandsk produktion af nye grønne
brændstoffer.
Regeringen lægger op til, at det nuværende iblandingskrav erstattes af et CO
2
-fortrængningskrav, der kan
forpligte brændstofleverandørerne til en procentvis reduktion af drivhusgas pr. energienhed sammenlig-
net med 2010. Dette vil giver branchen et incitament til teknologineutralt at anvende de mest bæredyg-
tige brændstoffer med en høj global reduktionseffekt. Bæredygtige biobrændstoffer omfatter således
også hensyn uden for de nationale udledninger. Et fortrængningskrav vil samtidig give mulighed for at
inkludere konkurrerende typer CO
2
-reducerende brændselstiltag i kravet og kan dermed tage højde for
den fremtidige udvikling af nye brændstoffer baseret på fx power-to-X.
Det skønnes, at et nationalt CO
2
-fortrængningskrav på ca. 4,6 pct. i 2022 for diesel, benzin og gas vil
medføre, at brændstofleverandørerne anvender de højeste mulige standarder for hhv. benzin og diesel
(svarende til en faktisk iblandingsprocent på 6,6 pct.), samtidig med at VE-kravet til anvendelse af avan-
cerede biobrændstoffer skønnes at være opfyldt frem til 2024. Et højere krav på baggrund af nuværende
priser og teknologi skønnes at medføre iblanding af HVO-biodiesel, der pga. sine tekniske egenskaber
uden begrænsning kan erstatte diesel.
I tabel 13 fremgår en række eksempler på fortrængningskrav. Det skal bemærkes, at det vurderes at
kræve betydelig udvikling af markedet, hvis det skal være muligt for brændstofleverandørerne at købe
den mængde diesel, som det kræves, at opfylde et CO
2
-fortrængningskrav på fx 30 pct.
KEF, Alm.del - 2020-21 - Bilag 38: Klimaprogram 2020 i web-tilgængelig version
2267578_0089.png
7. en klOg gRøn Omstilling
89
Tabel 13
Skøn over
konsekvenser
forskellige
niveauer for CO
2
-
fortrængnings-
kravet
Omkostning ved forskellige CO
2
-fortrængningskrav i 2030
CO
2
-fortrængningskrav, pct.
CO
2
-effekt i alt inkl. adfærdseffekt,
mio. ton
1
Direkte CO
2
-effekt, mio. ton.
Meromkostning for branchen, mia. kr.
Mindreprovenu, mia. kr.
Skyggepris, kr.
Øget pris for diesel, øre/liter m. moms
2
Øget pris for benzin, øre/liter m. moms
4,6
0,3
0,2
0,2
0,2
1.400
10
0
6
0,8
0,5
0,8
0,7
2.000
30
0
7
1,1
0,7
1,3
1,0
2.300
50
0
8
1,5
0,9
1,8
1,3
2.400
70
0
9
1,8
1,1
2,3
1,7
2.500
90
0
10
2,2
1,3
2,8
2,1
2.500
110
0
15
3,6
2,3
5,3
4,0
2.900
200
0
30
6,2
5,3
12,8
9,8
4.100
490
0
Anm: Den anvendte HVO-biodiesel er i udregningseksemplet baseret på raps, der er et 1. generations biobrændstof. 1: Der er alene indregnet adfærdseffekt som følge af mindre
kørsel og grænsehandel. Grænsehandelseffekterne er forbundet med betydelig usikkerhed -særligt ved store prisstigninger på diesel. I beregningerne er der ikke taget højde for
at, en væsentlig ensidig prisstigning på diesel i forhold til benzin isoleret set vil medføre et højere forbrug af benzin og et lavere forbrug af diesel som følge af et gradvist skift fra
dieselbiler til benzinbiler. Denne effekt forventes at ville medføre, at der skal blandes endnu mere biobrændstof i diesel for at opnå et givet CO
2
-fortrængningskrav.2: Tallene er
afrundet til nærmeste 10 øre pr. liter. Det skønnes med betydelig usikkerhed, at et CO
2
-fortrængningskrav kan medføre et begrænset prisfald på benzin.
Det skal bemærkes, at det er forbundet med betydelig usikkerhed at skønne over den præcise brænd-
stofsammensætning, da det alene er muligt at skønne over brændstofsammensætningen baseret på
nuværende prisforhold og det aktuelle udbud af brændstoffer. Den faktiske brændstofsammensætning
vil således afhænge af bl.a. den teknologiske udvikling, hvilket kan have betydning for bl.a. meromkost-
ningerne for branchen og CO
2
-reduktion.
For at understøtte den videre teknologiudvikling vil regeringen bl.a. udarbejde en strategi for videreudvik-
ling af markedet for VE-brændstoffer i Danmark, der kan være en overgangsløsning frem mod udfasning
af fossile biler.
Det er fx i dag teknisk muligt at erstatte alt fossil diesel med HVO-biodiesel. Det vurderes dog ikke i prak-
sis at være muligt på nuværende tidspunkt bl.a. grundet begrænset markedsudbud.
Boks 36
Krav om 100
pct. biodiesel -
eksempel
HVO er en særlig biodiesel, der har samme egenskab som fossil diesel. HVO er lige så bæredygtigt som øvrige
biodiesel, da det kan produceres på de samme råstoffer, og dermed kan være både 1.G og 2.G eller avanceret
HVO-biodiesel.
Det er teknisk muligt at dieselbiler anvender 100 pct. biodiesel.
Der kan i dag iblandes 7 pct. konventionel biodiesel, og derudover er det således muligt i teorien at iblande yderligere 93
pct. HVO-biodiesel i diesel. Det skønnes umiddelbart, at det vil medføre en umiddelbar drivhusgasreduktion i 2030 på 7
mio. ton , svarende til hele den forventede udledning fra diesel i vejtransporten.
Et krav om 100 pct. biodiesel forventes imidlertid at medføre meromkostninger for branchen på ca. 16,5 mia. kr. årligt.
Ud fra en antagelse om, at meromkostningerne følger brændstoffet, vil en overvæltning af meromkostningerne medføre
meget betydelige prisstigninger for ejere af dieselkøretøjer i form af en merpris på i omegnen af 6 kr. pr. l diesel. De
årlige omkostninger til diesel for en personbil vil derved i gennemsnit stige med omtrent 7.000 kr.
Hertil kommer et provenutab på omtrent 1,5 mia. kr. for staten fra CO
2
-afgiften. Der er her tale om en alt-andet-lige
betragtning, hvor der ikke er taget højde for adfærdseffekter, øget grænsehandel, æn-dringer i afgiftssystemet (fx bort-
fald af udligningsafgiften), fald i efter-spørgsel efter dieselbiler mv. Derudover vurderes det, at det i praksis vil være
umuligt for brændstofleverandørerne at indkøbe så store mængder HVO.
KEF, Alm.del - 2020-21 - Bilag 38: Klimaprogram 2020 i web-tilgængelig version
2267578_0090.png
90
KLIMAPROGRAM 2020
Power-to-X
Det vurderes ikke muligt inden for de næste årtier at udfase al fossilt energiforbrug i alle sektorer. Men et
lovende perspektiv er at omdanne grøn strøm fra de kommende energiøer til grønne brændstoffer, som
kan bruges i de sektorer, hvor grøn strøm direkte som drivmiddel ikke i fuldt omfang er en løsning. Det
gælder fx den tunge vejtransport samt skibs- og luftfarten, hvor el som direkte drivmiddel i dag kun kan
løse en lille del af transportbehovet. Disse processer, hvor grøn strøm fra vindmøller og solceller omdan-
nes til grønne brændstoffer, omtales samlet som PtX.
Direkte elektrificering og bio-baserede brændstoffer har begge forskellige begrænsninger navnligt i for-
hold til batteri-kapacitet og bæredygtighed. Her adskiller PtX sig ved potentielt at kunne skaleres uden
væsentlige tekniske begrænsninger ud over tilstrækkelig adgang til VE-baseret strøm. Visse af poten-
tialerne vil dog kræve brug af kulstof (CCU), som igen afhænger af de tilgængelige kulstofkilder. Der er
derfor brug for at udvikle omkostningseffektive løsninger til at omdanne strøm fra vedvarende energi til
produkter, der kan anvendes til at reducere udledningerne fra dele af transport- og industrisektoren, hvor
der ikke eksisterer bredt skalerbare alternativer til fossil energi.
Inden for transport alene anslås det, at CO
2
-fortrængningspotentialet ved anvendelsen af grønne brænd-
stoffer fremstillet via PtX på sigt vil være i størrelsesorden 0,5-3,5 mio. ton i 2030 og på længere sigt
1,5-7,5 mio. ton (heraf 1-4 mio. ton i international skibs- og luftfart, som ikke tæller med i 70 pct.-målet).
Denne potentialevurdering er behæftet med usikkerhed og bør vurderes nærmere. I det anslåede poten-
tiale er både indenrigs- og udenrigstransport inkluderet, og potentialet er derfor ikke direkte sammenlig-
neligt med grundlaget for 70 pct.-målet i 2030.
Der er i denne potentialevurdering antaget en relativt stor andel af PtX-brændstoffer inden for de trans-
portsegmenter, som er svære at elektrificere direkte (søfart, luftfart og dele af den tunge vejtransport).
Boks 37
Strømmen fra
vind og sol
skal omdannes
til grønne
brændstoffer
Shell og Everfuel står bag et projekt om et storskala PtX-anlæg ved Fredericia raffinaderi. Ørsted er gået
sammen med andre relevante aktører og Københavns kommune i et partnerskab om at udvikle et PtX-stor-
skalaanlæg i Storkøbenhavn til produktion af bæredygtige brændstoffer.
Danmark har også indgået et bilateralt samarbejde med Nederlandene om salg af danske VE-andele (min.
750 mio. kr. og op til 1,5 mia. kr.), som skal finansiere en tilskudsordning til PtX-anlæg i Danmark.
Kollektiv transport
Busser
I dag skønnes de offentlige busser (ca. 3.300) at udlede ca. 190.000 ton CO
2
årligt, mens de private busser
(ca. 6.235) skønnes at udlede ca. 320.000 ton CO
2
årligt. Det forventes, at alle offentlige busser vil være
omstillet til rene drivmidler mellem 2035 og 2040 uden yderligere tiltag. På det private busmarked er omstil-
lingen derimod yderst træg, og det forventes på nuværende tidspunkt, at udledningen af CO
2
vil være omtrent
uændret i 2030 i forhold til i dag. Det kan bl.a. skyldes, at grønne busser er dyrere end konventionelle busser.
Foruden de forholdsvis lange private busture, hvor omstilling til særligt el er en udfordring, har den private
bustrafik et anderledes og mere uforudsigeligt kørselsmønster sammenlignet med de offentlige busser.
Den 22. april 2020 indgik aftalekredsen bag finansloven for 2020 aftale om
Klimasamarbejdsaftaler om grøn
kollektiv trafik.
Med aftalen fik transportministeren mandat til at forhandle klimasamarbejdsaftaler med landets
største kommuner, som øvrige kommuner og regioner senere kan tilslutte sig. Klimasamarbejdsaftalerne blev
indgået den 25. juni 2020 med seks af landets største kommuner og bidrager primært ved at lægge en ambitiøs
plan for grøn omstilling af den kollektive bustrafik, men indeholder også forpligtelser for omstillingen af den kom-
munale køretøjsflåde. Når alle seks kommuner har omstillet deres busser svarende til disse klimasamarbejds-
aftaler, skønnes den samlede CO
2
-reduktion at være knap 40.000 ton årligt i forhold til det årlige niveau i dag.
Yderligere to kommuner har tilsluttet sig aftalerne efterfølgende, og der er dialog med flere andre kommuner. I
efteråret 2020 forhandler transportministeren ligeledes med regionerne om indgåelse klimasamarbejdsaftaler.
Aftalekredsen bag finansloven for 2020 indgik ligeledes aftale om
Grøn buspulje til regionale busser og øer”
Til
udmøntning af buspuljen på finansloven for 2020 på 75 mio. kr. er der på den baggrund etableret en ansøg-
ningspulje, der har til formål at yde tilskud til grønne regionale busruter samt grøn buskørsel på øer. Med grøn
buskørsel omfattes CO
2
-reducerende teknologier som biogas, biodiesel, el eller brint.
KEF, Alm.del - 2020-21 - Bilag 38: Klimaprogram 2020 i web-tilgængelig version
2267578_0091.png
7. en klOg gRøn Omstilling
91
Taxi
Når taxi-markedet liberaliseres, skønnes der at være ca. 6.000 taxier, der ventes at udlede ca. 80.000
ton CO
2
årligt. I 2030 forventes taxiernes udledninger at være reduceret til ca. 70.000 ton CO
2
årligt.
Energikrav til taxier reguleres i dag ved bekendtgørelse 1018 af 29. juni 2020, som tilsiger, at taxier, der
nyregistreres efter den 1. januar 2021, skal være af A++-klassen, hvilket med dagens bilmarked er et
meget begrænset antal taxiegnede bilmærker, da det som minimum vil være en simpel hybridbil.
Jernbanetransport
Jernbanetransporten udleder i dag ca. 0,2 mio. ton CO
2
årligt svarende til godt 2 pct. af den samlede
udledning fra transportsektoren. Det inkluderer både CO
2
-udledningerne fra diesel- og eldrift. Togdrif-
tens CO
2
-udledning skønnes at udgøre 1 pct. af transportsektorens CO
2
-udledning i 2030. Det skyldes
primært allerede besluttede og finansierede tiltag om elektrificering.
Med de allerede besluttede og finansierede tiltag i elektrificering af hovedbanenettet vil hele DSB’s
togdrift i 2030 være baseret på el. Hermed vil den tilbageværende dieseltogtrafik på den statslige jern-
bane efter 2030 være regionaltrafik på sidebaner i Midt- og Vestjylland og på Svendborgbanen, som i
dag eller fra ultimo 2020 varetages af Arriva. Denne del udgør ca. 8 pct. af jernbanesektorens CO
2
-ud-
ledning. Det er forventningen, at alle disse dieseltog vil blive udskiftet med CO
2
-neutrale tog frem mod
2035.
Boks 38
Udskiftning
af regionale
dieseltog i den
statslige togtrafik
- eksempel
Det vurderes muligt at fremrykke udskiftningen af dieseltog i den statslige togtrafik i Midt- og Vestjylland og på Svendborgba-
nen til en CO
2
-neutral løsning, fx batteri- eller brinttog i senest 2030, hvorved der opnås en samlet CO
2
-reduktion på ca. 0,05
mio. ton i 2030. En fremrykning af udskiftning til CO
2
-neutrale skønnes dog at medføre merudgift, idet togene skal udskiftes
før det økonomisk optimale tidspunkt, dvs. før togenes levetid udløber.
Indenrigsfærger
Danske indenrigsfærger udleder årligt ca. 249.000 ton CO
2
e, hvoraf 72.000 ton kan relateres til offent-
lige indenrigsfærger, der ikke sejler til Færøerne. Udledningen fra de offentlige færger er reduceret med
ca. 85 pct. i forhold til 1990. Det skyldes primært nedlæggelse af færgeruter, herunder to ruter over
Storebælt.
Indenrigsfærgeruterne i Danmark er uensartede. Det gælder både størrelse, alder på tonnagen, akti-
onsradius og organisering. Der mangler konkrete data på omkostningerne og teknologiske muligheder
for grøn omstilling af danske færgeruter.
Der er endnu ikke skabt et overblik over økonomien, og hvilke drivmidler der vil være mest fordelagtige
for de enkelte færgeruter i omstilling til en mere klimavenlig færgedrift. Der mangler konkrete bereg-
ninger for omstillingen af færgerne, som både tager højde for investeringer i selve færgerne og også
de omkringliggende ændringer i form af eksempelvis landstrømanlæg samt eventuelle brændstofbe-
sparelser. Dernæst mangler der konkrete bud på, hvordan den grønne omstilling af færgerne bedst
muligt kan understøttes. Der er kun ganske få udviklingsprojekter i Danmark, hvor færger omstilles til
en mere klimavenlig drift (såsom elfærgen Ellen på Ærøoverfarten og en kommende hybridfærge på
Fanøoverfarten).
Det blev med
Aftale om udmøntning af pulje til grøn transport
i april 2020 aftalt at iværksætte en ana-
lyse, der skal undersøge, hvilke færgeruter der er mest egnede til at overgå til vedvarende energi, og på
hvilken måde omstillingen af færger bedst understøttes via midler fra puljen til grøn transport. Det vil
også blive afdækket, hvordan der kan stilles krav til de enkelte færgeruter. Analysen forventes færdig i
november 2020.
Luftfart
Luftfarten (udledningen fra flyrejser, der afgår fra Danmark) forventes samlet set at udlede årligt
omkring 3,1 mio. ton CO
2
e i 2030, hvoraf indenrigsluftfarten, som medregnes i 70 pct. målet, forventes
at udlede 0,1 mio. ton CO
2
e i 2030, hvilket vil være en reduktion på omkring 60 pct. i forhold til 1990.
Dette skyldes bl.a. etableringen af Storebæltsforbindelsen, hvor passagerer skiftede fra flyrejser til bil,
bus og togrejser. Indenrigslufttrafikken udgør således ca. 1 pct. af transportsektorens udledninger.
KEF, Alm.del - 2020-21 - Bilag 38: Klimaprogram 2020 i web-tilgængelig version
2267578_0092.png
92
KLIMAPROGRAM 2020
En stor udfordring ved den grønne omstilling af luftfarten er, at der i dag ikke er en tilstrækkelig produk-
tion af konkurrencedygtige bæredygtige brændstoffer, der kan iblandes i flyenes brændstof. Øget brug af
CO
2
-neutrale brændstoffer i luftfartssektoren vil derfor kræve en større produktion i Danmark eller øget
import, samt at brændstoffet kan produceres til priser, der er konkurrencedygtige med fossilt flybrænd-
stof. Det vurderes, at bæredygtigt flybrændstof koster 2-5 gange så meget som fossilt flybrændstof.
Teknologien er endnu ikke moden til, at fly kan drives på 100 pct. grøn energi, fx elektricitet.
En anden udfordring er, at flytransport desuden er fritaget for energiafgift og moms. Flytransport er såle-
des afgiftsmæssigt begunstiget i forhold til andet forbrug generelt og i særdeleshed i forhold til privatbi-
lisme samt kollektiv trafik som bus og tog.
Luftfartssektoren er hårdt ramt af COVID-19 krisen, hvor flytrafikken i foråret var reduceret til et par pro-
cent af det normale niveau, og fortsat i august 2020 var omkring 20 pct. af det normale aktivitetsniveau.
Det er forbundet med stor usikkerhed, hvornår aktiviteten igen nærmer sig sit normale niveau.
Samlet set sikrer regeringen sammen med aftalepartierne i Folketinget igangsættelsen af en lang række
virkemidler til omstillingen af transportsektoren med klimaudspil for vejtransporten samt finansloven for
2020 og
Klimaaftale for energi og industri mv.,
jf. boks 35.
Fælles klimaindsats på tværs
De transportpolitiske brancheorganisationer støtter op om klimalovens målsætninger. Branchen er både
i regi af klimapartnerskaberne og som selvstændige organisationer kommet med anbefalinger til mål
og virkemidler, der kan bidrage til opfyldelse af klimamålene. Klimapartnerskaberne har sat visioner
for omstillingen af transportsektoren og bidrager således også derigennem til målopfyldelse. I boks 39
fremgår en række eksempler på, at transportsektorens bidrag til omstillingen af transportsektoren.
Boks 39
Transports-
ektorens indsatser
og samarbejde
med kommunerne
Luftfarten investerer i nye flyflåder og operationelle effektiviseringer, der kan mindske brændstofforbruget, og
branchen foreslår produktionsanlæg for grønne brændstoffer, sammen med andre erhvervssektorer og forskning i
teknologier til el- og brintfly
Den 25. juni indgik transportministeren klimasamarbejdsaftaler om grøn kollektiv bustrafik. Med aftalerne forplig-
ter landets største kommuner (i forskelligt tempo) sig til en ambitiøs omstilling af den kollektiv bustrafik. Sam-
arbejdet med kommunerne vil reducere drivhusgasudledninger i 2030 med 40.000 ton CO
2
e – og reduktionen vil
stige i takt med at øvrige kommuner og regioner tilslutter sig.
Danske Havne har lanceret ambitiøse målsætninger om CO
2
-neutrale havne med mulighed for grøn tilslutning til
skibe senest i 2030.
Partnerskabet for Luftfart arbejder for øget produktion og brug af bæredygtige flybrændstoffer. Partnerskabet for
Landtransport arbejder for optimering af logistik og vil have yderligere fokus på branchens brændstofforbrug for
at skabe effektiviseringer, der kan nedbringe CO
2
-udledningen.
Partnerskab for Det Blå Danmark har som ambition at sikre Danmarks position som et internationalt foregangs-
land for klimavenlig skibsfart.
Regeringen har med sektorstrategien for energi og industri samtidig skubbet på udviklingen af fremti-
dens grønne løsninger, der også spiller en væsentlig rolle i omstillingen af transportsektoren, jf. boks 40.
For at komme i mål med den grønne omstilling af transportsektoren er det nødvendigt med udviklingstil-
tag, hvor bl.a. prioriteringen af grønne brændstoffer og PtX i den grønne forskningsstrategi samt indsat-
sen i EU på længere sigt vil understøtte den grønne omstilling af transporten, jf. boks 40.
KEF, Alm.del - 2020-21 - Bilag 38: Klimaprogram 2020 i web-tilgængelig version
2267578_0093.png
7. en klOg gRøn Omstilling
93
Boks 40
Indsats i EU og
international for
grøn omstilling af
transportsektoren
En styrket fælleseuropæisk regulering kan bidrage til en mere omkostningseffektiv realisering af det danske 70 pct. redukti-
onsmål, fx gennem en plan for udfasning af benzin- og dieselbiler samt CO
2
-krav til både lette og tung køretøjer, der kan drive
teknologiudviklingen af nulemissionsbiler.
Vejtransport
Der er behov for, at omstillingen af transportsektoren i EU styrkes væsentligt. Regeringen arbejder for, at Kommission frem-
lægger en ambitiøs og bredspektret strategi for, hvordan EU kan fremme den grønne omstilling af transportsektoren og
sektorens bidrag til målet om klimaneutralitet senest i 2050, herunder også en klar plan for udfasning af benzin og dieselbiler.
Kommissionen vil i løbet af efteråret 2020 fremlægge en strategi for bæredygtig og intelligent mobilitet, som regeringen på en
lang række områder arbejder for at præge i en ambitiøs retning.
Regeringen arbejder for, at man tilpasser det europæiske regelsæt, så det understøtter en udfasning af salget af nye benzin-
og dieselbiler fra 2030, herunder bl.a. for strengere CO
2
-krav til både lette og tunge køretøjer. Regeringen vil desuden arbejde
for oprettelsen af en alliance blandt ligesindede EU-medlemslande, der kan presse på for at fremme udfasningsdagsorden
i EU. Derudover arbejder regeringeer. n for, at man på europæisk plan sikrer den nødvendige infrastruktur bl.a. via en bred
udrulning af elladestandere og tankstationer for alternative brændstoffer, fremme af alternative brændstoffer, herunder PtX,
og for at man fastholder ambitionsniveauet i den strategiske handlingsplan for batteri
Regeringen arbejder desuden for en styrkelse og udvidelse af det europæiske kvotehandelssystem, så det også dækker
udledninger fra vejtransport.
Luftfart
Regeringen arbejder også for at reducere luftfartssektorens udledninger gennem europæisk handling. En af udfordringerne
ved en omstilling af lufttransportsektoren er at sikre, at ambitiøse krav i Danmark ikke blot fører til, at udledningerne flyttes til
andre lande i EU eller at en ambitiøs europæisk regulering ikke blot flytter udledningerne til lande uden for EU.
Dele af luftfarten er allerede i dag reguleret internationalt, bl.a. er luftfarten omfattet af EU’s kvotehandelssystem og CO
2
-regu-
leringsmekanismen CORSIA (fra 2021), mens EU- og ICAO-regler sætter rammerne for yderligere regulering af luftfartens driv-
husgasudledning. Her arbejder regeringen for en ambitiøs og omkostningseffektiv regulering. Regeringen har bl.a. opfordret
Europa-Kommissionen til at fremsætte forslag om prissætning af luftfartens udledninger, herunder evt. afgifter der skal sikre
mere bæredygtig lufttransport, og til at analysere muligheden for at reducere allokeringen af gratiskvoter på tværs af sektorer
med henblik på fremme den grønne omstilling af sektoren, og uden at det fører til karbonlækage.
Søfart
Udledninger fra søfarten udgør ca. 2-3 pct. af de globale drivhusgasudledninger. Der er derfor et stort potentiale for driv-
husgasreduktioner. Da søfarten er kendetegnet ved sin globale natur, hvor rederier ud fra konkurrencehensyn frit kan vælge,
hvilket flag, deres skib skal indregistreres under, samt ændre rute og havneanløb, kræver det international regulering. Regerin-
gen arbejder derfor for, at der i FN’s søfartsorganisation (IMO) vedtages globale, flagneutrale og ambitiøse tiltag. Regeringen
arbejder samtidig for, at fremtidige tiltag for søfarten på EU-niveau understøtter en global løsning i regi af FN’s internationale
søfartsorganisation IMO, sikrer europæisk søfarts konkurrenceevne og skaber reelle reduktioner.
KEF, Alm.del - 2020-21 - Bilag 38: Klimaprogram 2020 i web-tilgængelig version
2267578_0094.png
94
KLIMAPROGRAM 2020
7.4 Land- og skovbrugssektoren
Reduktion af drivhusgasudledningen i landbruget vil på det eksisterende vidensgrundlag være forbundet
med markante omkostninger for erhvervet og/eller staten. Reduktionsindsatsen skal derfor tilrettelægges
omkostningseffektivt ud fra en passende balance mellem udviklingstiltag og beslutninger om tiltag på den
korte bane. Regeringens tilgang til indsatsen i land- og skovbrugssektoren går derfor på flere ben. Dels skal
der tages stilling til konkrete tiltag på den korte bane. Dels er det nødvendigt med en ambitiøs forsknings- og
udviklingsindsats, som målrettet satser på nye teknologier i land- og skovbrugssektoren, der har potentiale
til at skabe større og mere omkostningseffektive reduktioner på længere sigt. Desuden skal omstillingen
understøttes af en fælles klimaregulering af landbruget i EU, som sætter konkurrencedygtige rammevilkår for,
at landbruget kan nå yderligere reduktioner. Endelig kan erhvervets bidrag, herunder klimapartnerskabet for
fødevare- og landbrugssektoren, kvalificere omstillingen i sektoren mod en produktion med færre udledninger.
Tilgangen er illustreret i figur 31.
Figur 31
Regeringens
tilgang til
omstillingen
af land- og
skovbrugssektoren
Initiativer her og nu
Virkemidler
Allerede besluttede tiltag, herunder udtag af ca. 15.000 ha lavbundsjorder og
etablering af en skovfond (FL2020) og nedbringelse af kvælstofudledningen:
i alt 433.000 CO
2
e/år i 2030
Yderligere reduktioner i kommende sektorstrategi for land- og skovbrug
Forskning, udvikling
og Analyse
Mission i grøn forskningsstrategi:
Klima- og miljøvenligt landbrug
og fødevareproduktion
Klimaforsknings-
programmet
Kommende
sektorstrategi
Udvikling af
bedriftsregnskaber
International og
EU regulering
Styrket fælleseuropæisk regulering af landbruget
Fremme af grønne elementer i EU’s landbrugsreform
Implementering af lovgivning i Danmark
Klimaindsats
på tværs
Klimapartnerskab for Fødevare- og Landbrugssektoren
2020
2030
2050
Sektorens drivhusgasudledninger
Udledningerne fra land- og skovbrugssektoren forventes uden nye tiltag at udgøre ca. 16 mio. ton C0
2
e i
2030 svarende til mere end en tredjedel af Danmarks samlede drivhusgasudledninger, jf. figur 32.
Figur 32
20
15
10
5
0
1990
Arealanvendelse
Opbevaring af gylle
2018
2025
2030
Omsætning af gødning
Metan fra husdyr fordøjelse
Hvor kommer
drivhusgas-
udledningerne
fra i land- og
skovbrugssekto-
ren?
Metan fra
husdyr
fordøjelse
25%
Areal-
anvendelse
33%
Opbevaring
af gylle
17%
Omsætning
af gødning
25%
Landbrugserhvervet har over tid bevæget sig i en retning mod færre udledninger af drivhusgasser, jf.
figur 32. Der er siden 1990 sket en større afkobling mellem produktionens størrelse og omfanget af
drivhusgasudledning. Fra 1990 til 2017 steg produktionen med 35 pct., mens drivhusgasudledningen
faldt med 16 pct. Der er et betydeligt overlap mellem aktiviteter i landbruget, som medfører udledning
af kvælstof til vandmiljøet og drivhusgasser. Reduktionen i landbrugets drivhusgasudledninger på 18
pct. (2,3 mio. ton CO
2
e) fra 1990 til 2010, kan således primært tilskrives et fald i lattergasemissioner fra
dyrkningen af jorden som følge af kvælstofreguleringen. Den primære reduktion i udledningerne skete
i perioden fra 1990 til 2002, hvorefter udledningen fra gødning på markerne har ligget på nogenlunde
samme niveau. Reduktionen skyldes en halvering af brugen af handelsgødning, en række miljøtiltag, der
KEF, Alm.del - 2020-21 - Bilag 38: Klimaprogram 2020 i web-tilgængelig version
2267578_0095.png
7. en klOg gRøn Omstilling
95
har reduceret udvaskningen af kvælstof, samt udviklingen i staldtyper, gødningshåndtering og miljøtek-
nologi. I indretningen af klimaindsatsen er der derfor oplagt synergi mellem drivhusgasreduktioner og
indfrielse af direktivforpligtelser på miljøområdet. Tilsvarende vil en reduktion af drivhusgasser reducere
negative påvirkninger af naturen, og der kan potentielt opnås synergi i forhold til naturområdet, når der i
klimaindsatsen arbejdes med at udtage intensivt drevne landbrugsarealer.
Der er dog også en række udfordringer forbundet med at omstille land- og skovbrugssektoren. I land-
bruget vil en vis reduktion i emissionerne være mulig via indførelse af kendte teknologier i produktionen,
udtag af jorder, skovrejsning mv. Der vil dog med nuværende produktionsmetoder og teknologi altid være
et tab af lattergas i forbindelse med gødskning af afgrøder og et tab af metan fra animalsk produktion.
Der har hidtil ikke været en direkte regulering af sektorens udledninger af drivhusgasser hverken natio-
nalt eller via EU.
Der findes en række virkemidler, der kan tages udgangspunkt i på kort sigt. Dog er der i forhold til det
eksisterende produktionsanlæg kun begrænset kendskab til teknologiske løsninger, der i væsentlig grad
kan bidrage til at nedbringe drivhusgasudledningerne og få omkostningseffektive håndtag. Erhvervets
produktionsapparat har lange nedskrivningsperioder, hvilket betyder, at udskiftning af staldsystemer og
teknologier tager lang tid. Hvis man med nuværende vidensgrundlag skal nedbringe reduktionerne mar-
kant på kort sigt, vurderes det at være forbundet med væsentlige omkostninger for erhvervet eller staten.
Der udestår derfor et stort behov for udvikling og test af nye virkemidler, der er nødvendige for at ned-
bringe landbrugets udledninger. Herudover skal dokumentationen af eksisterende klimavirkemidlers
effekt udbygges, så de kan indgå i den nationale udledningsopgørelse, men også for at sikre en omkost-
ningseffektiv omstilling. Endelig skal den grundlæggende viden om udledningerne fra landbruget forbed-
res, ligesom der er brug for større kendskab til aktivitetsdata i erhvervet.
Tiltag på området skal ses i lyset af, at landbrugserhvervet er konkurrenceudsat og har en presset drifts-
økonomi. Fødevareklyngen eksporterer sammenlagt for ca. 150 mia. kr. og beskæftiger ca. 110.000 per-
soner særligt i landdistrikterne. Landbrugets økonomi er i dag sårbart over for udsving i priser og rente.
Det skyldes bl.a. en stor gæld på samlet ca. 350 mia. kr., hvor størstedelen er variabelt forrentet, samt lav
indtjening for mange bedrifter.
Visse klimaindsatser såsom effektivisering og øget udnyttelse af foder, gødning og andre ressourcer, kan
både gavne landbrugets økonomi og reducere klimabelastningen. Dertil kommer, at fælles EU-regulering
på området kan være med til at reducere omkostningerne for erhvervet ved omsstillingen og mindske
risikoen for lækage af drivhusgasudledninger, jf. boks 41.
Boks 41
Lækage af
drivhusgasser i
landbruget
En mindsket fødevare- og/eller træproduktion vil alt andet lige indebære forskydning af produktion/arealanvendelse/hugst
og dermed øgede udledninger i udlandet ('carbon leakage' / 'indirect land-use change'), således at den reelle globale klimaef-
fekt bliver mindre end den umiddelbare nominelle reduktion af udledninger i Danmark. Den reelle globale reduktion skønnes
med betydelig usikkerhed kun at udgøre ca. 25-73 pct. af den nationale reduktion, jf. DMØR, hvilket svarer til en lækagerate
på 27-75 pct. Fælles regulering i EU kan sikre lige konkurrencevilkår og reducere risiko for karbonlækage ved danske tiltag.
Samtidig vil en tidlig dansk indsats demonstrere reduktionspotentialerne og potentielt kunne føre til udvikling af ny teknologi,
produktionsformer og eksport med deraf afledte globale reduktionseffekter.
Kilde: De Økonomiske Råd: Økonomi og Miljø 2019, Kap II Lækage af drivhusgasudledninger og dansk klimapolitik.
Drivhusgasreduktioner inden for land- og skovbrugssektoren
Husdyrproduktion (gødningshåndtering og metan fra husdyrenes fordøjelse)
Produktionen af husdyr forventes uden nye tiltag at udgøre ca. 6,8 mio. ton CO
2
e i 2030 svarende til
knap 42 pct. af udledningerne fra land- og skovbrugssektoren. Udledningerne stammer primært fra
metandannelse ved dyrenes fordøjelse og håndteringen af gødning i stalde og lagre. Der findes i dag
teknologier, der kan skabe reduktioner i drivhusgasudledningerne. Fx kan gyllen udsluses hurtigere
fra stalden, afsættes til biogasanlæg, eller der kan gives mere fedtholdigt foder til malkekøer og kvier,
hvilket mindsker udledningerne. Herudover anvendes i dag flere virkemidler til reduktion af ammoniak,
som kan have en klimaeffekt. Hvis udledningerne fra husdyrproduktionen skal reduceres markant,
vil det kræve en nedgang i produktionsomfang, en produktionsomlægning til anden produktion eller
KEF, Alm.del - 2020-21 - Bilag 38: Klimaprogram 2020 i web-tilgængelig version
2267578_0096.png
96
KLIMAPROGRAM 2020
udvikling af ny teknologi. Der er derfor behov for at sætte massivt ind for at udvikle og teste nye virke-
midler, der kan bidrage til at mindske udledningen fra husdyrproduktionen.
Omsætning af gødning på markerne
Når der tilføres kvælstof til markerne i form af kunst- eller husdyrgødning med henblik på afgrødernes
næringsoptag, omdannes en del af kvælstoffet til bl.a. lattergas. Udledningerne fra omsætningen af
gødningen på markerne forventes uden nye tiltag at udgøre ca. 2,7 mio. ton CO
2
e i 2030 svarende til 25
pct. af de samlede udledninger fra land- og skovbrugssektoren. Der kan derfor sættes ind for at opti-
mere gødningsanvendelsen. Dette skal dog ske under hensyntagen til en fortsat effektiv og konkurren-
cedygtig produktion, der ved nuværende produktionsmåder er afhængig af tilførsel af kvælstof.
Det er i foråret 2020 bl.a. besluttet at indføre en skærpelse af udnyttelseskravet for husdyrgødning
samt en reduktion af kvælstofnormerne for afgrøder, der dyrkes på kulstofrige jorder, jf. boks 42.
Anvendelsen af kvælstof reguleres i dag via den målrettede regulering og vandområdeplanerne, som
implementerer miljøkrav fra EU. Klimaeffekter og synergier vil indgå i implementeringen af de nye
vandområdeplaner.
Der skal herunder overvejes udbredelse af klimavenlige afgrødetyper fx øget dyrkning af græs og vir-
kemidler, som kan understøtte dette fx anlæg til raffinering af biomassen, ligesom der kan satses på
udvikling af nye virkemidler til at reducere udledningerne fra brugen af gødning.
Arealanvendelse
Dyrkning og drift af jorder og skove medfører en udledning af drivhusgas, når kulstofbalancen i jorder
og biomasse ændres. Omvendt kan sektoren bidrage til optag af CO
2
, når kulstof lagres i jord og plan-
ter. Nettoudledningerne fra skove og øvrig arealanvendelse forventes i 2030 at udgøre ca. 5,3 mio. ton
CO
2
e i 2030 svarende til ca. 33 pct. af de samlede udledninger fra land- og skovbrugssektoren.
Regeringen har med finansloven for 2020 sat målrettet ind med en pulje til udtagning af lavbundsjor-
der på i alt 2 mia. kr., som kan reducere udledningerne med ca. 270.000 ton CO
2
e om året i 2030, jf.
boks 42. Samtidig har regeringen afsat midler til etableringen af en skovfond, der bl.a. skal sikre rejs-
ning af mere skov i Danmark. Desuden er midlerne til privat skovrejsning under landdistriktsprogram-
met fordoblet.
Sammenlignet med andre virkemidler er udtagning af kulstofrige lavbundsjorder et omkostnings-
effektivt virkemiddel til at opnå drivhusgasreduktioner i landbrugssektoren. Der skønnes at være et
aktuelt, teknisk potentiale for at udtage ca. 50.000 hektar landbrugsjorder. Der er med puljen afsat på
Finansloven for 2020 skabt grundlag for udtagning af de første ca. 15.000 hektar. Der er således et
teknisk potentiale for udtagning af yderligere ca. 35.000 hektar. Det skønnes, at de allerede igangsatte
indsatser er udtømmende for, hvad der med nuværende incitamentsstrukturer kan udtages med en
frivillig indsats. Det skyldes, at der efter de 15.000 hektar sandsynligvis ikke er potentiale for at købe
yderligere jorder til den teknisk fastsatte markedspris, der gennemsnitligt udgør 133.000 kr. pr. hektar
(inkl. jordfordeling, kompensation, forundersøgelse, administration og anlægsudgifter).
Under en frivillig pulje er der alene adgang til at betale markedsprisen, og det vil således ikke være
foreneligt med statsstøttereglerne at øge kompensationsgraden for den vej igennem at sikre større
udtag. En udtagning af det resterende tekniske potentiale forudsætter derfor sandsynligvis andre vir-
kemidler, der øger incitamentet til at sælge.
En udtagning af de sidste 35.000 hektar vil derfor samlet set beløbe sig til en engangsomkostning på
minimum 4,5 mia. kr. i basiskompensation.
En udtagning i den størrelsesorden skønnes, at ville bidrage med en reduktion i drivhusgasudledningen
på ca. 0,5 mio. ton CO
2
e pr. år. Det kan indikere, at udtagning af lavbundsjord sammenlignet med andre
tiltag på landbrugsområdet fortsat kan bidrage med omkostningseffektive reduktioner til 70 pct.-målet
og en række andre mål på miljøområdet. En endelig vurdering af videre udtagning af lavbundsjorder
forudsætter imidlertid konkrete modeller for, hvordan incitamentet kan styrkes.
KEF, Alm.del - 2020-21 - Bilag 38: Klimaprogram 2020 i web-tilgængelig version
2267578_0097.png
7. en klOg gRøn Omstilling
97
Økologi
Regeringen har en målsætning om fordobling af økologien og har store ambitioner på økologiens vegne.
Nye oplysninger fra Aarhus Universitet ført til en opskrivning af økologiens klimaeffekt pr. hektar fra ca. 0,6
ton CO
2
e pr. hektar til ca. 2 ton CO
2
e pr. hektar. Dette kan bl.a. henføres til mere klimavenlige afgrøder og
færre husdyr pr. hektar. Når forbrugerne køber mere økologisk, er de med til at betale en del af prisen for
landbrugets omstilling. Samtidig er det klart, at udover økologien gennem årene har været støttet økono-
misk, skal udviklingen af økologien være markedsdrevet. Produktionen af økologiske fødevarer skal følge
efterspørgslen fra danske og globale forbrugere. Såfremt det økologiske areal vokser, vil det bidrage til en
reduktion af drivhusgasudledningen.
Boks 42
Virkemidler i
Finansloven for
2020 og andre
besluttede og
igangsatte tiltag
De besluttede tiltag på landbrugsområdet i indeværende regeringsperiode bidrager samlet til en reduktionseffekt på 433.000
CO
2
e ton om året i 2030.
Udtag af kulstofrige landbrugsjorder
Der er med finanslovsaftalen for 2020 afsat 2 mia. kr. frem mod 2029 til udtag af kulstofrig landbrugsjord.
Udmøntningen forventes at bidrage til udtag af ca. 15.000 hektar landbrugsjord. Den forventede klimaeffekt er ca.
270.000 ton CO
2
e om året i 2030.
Skovrejsning
Der er med finanslovsaftalen for 2020 afsat 100 mio. kr. til etablering af en klima-skovfond, hvor virksomheder
og privatpersoner kan bidrage til reduktionsindsatsen. Fondens aktiviteter vurderes at kunne realisere et drivhus-
gasoptag på 50.000 ton CO
2
e om året i 2030. Desuden er det i udmøntningen af landdistriktsprogrammet for 2021
besluttet at fordoble midlerne i den eksisterende støtteordning for privat skovrejsning, så der i alt afsættes 70
mio. kr. Det vurderes, at udmøntningen vil medføre ca. 2.000 hektar privat skovrejsning. Skovrejsning på yderli-
gere ca. 1.000 hektar vurderes at øge optaget af drivhusgasser med ca. 5.000 ton CO
2
e om året i 2030.
Nedbringelse af kvælstofudledningen
Det er besluttet at indføre en skærpelse af udnyttelseskravet for husdyrgødning samt en reduktion af kvælstofnor-
merne for afgrøder, der dyrkes på kulstofrige jorder. Desuden er der indført forbud mod sprøjtning, gødskning og
omlægning af §3-arealer. Tiltagene forventes samlet at give en klimaeffekt på 90.000 ton CO
2
e om året i 2030.
Bedriftsregnskaber
Med sektorstrategien for energi og industri afsættes 5 mio. kr. i 2021 med henblik på at bidrage til udviklingen
af et klimaregnskab på bedriftsniveau, som skal understøtte en omkostningseffektiv regulering af landbrugets
drivhusgasudledninger, idet der dog udestår en stor forskningsindsats for at kunne udarbejde et retvisende klima-
regnskab på bedriftniveau.
Forskning
Regeringen har sat ti forskningsprojekter i gang for 90 mio. kr., som skal bidrage til at finde fremtidens løsninger
til at nedbringe drivhusgasser fra landbruget. Det sker med midler fra klimaforskningsprogrammet. Pengene
er afsat for perioden 2019-2021. Desuden er der i regeringens Grønne Udviklings- og Demonstrationsprogram
(GUDP) afsat 23 mio. kr. i 2020 til støtte af tre nye, store projekter om at skabe plantebaserede proteinpro-
dukter af danske råvarer til fremtidens klimavenlige kost. Dertil indgår udviklingen af nye teknologier, der kan
reducere drivhusgasudledningen fra fødevarer- og landbrugsproduktionen som en mission i regeringens grønne
forskningsstrategi.
I tabel 14 nedenfor præsenteres de skønnede effekter og overslag over omkostninger ved en række
kendte klimavirkemidler i land- og skovbrugssektoren. Dertil kommer tiltag vedrørende udtagning af
lavbundsjorder og tiltag vedrørende fremme af økologi. Det bemærkes, at initiativerne er skalerbare, og
at reduktionseffekten bl.a. afhænger af finansieringen. Indsatserne i tabellen skal derfor ses som eksem-
pler. Alle tal er behæftet med usikkerhed.
KEF, Alm.del - 2020-21 - Bilag 38: Klimaprogram 2020 i web-tilgængelig version
2267578_0098.png
98
KLIMAPROGRAM 2020
Tabel 14
 
 
Reduktion
mio. ton CO
2
e/
året
2025
2030
Omkostninger
mio. kr.
Årlig gennemsnit frem
til 2030
Skyggepris
kr. pr. ton
Skyggepris
kr. pr. ton
Økonomi og
effekt af mulige
virkemidler
 
Øget fedtandel i fo-
der til konventionelle
malkekøer og kvier
Hyppig udslusning
af gylle i svinestalde
Øget statslig skov-
rejsning
1
Yderligere statslig
2
skovrejsning
Nuværende indsats i
målrettet kvælstofre-
gulering (3.500 ton
kvælstofreduktion)
3
Kollektive kvælstof-
virkemidler
4
(ca. 1.500 ton kvæl-
stofreduktion)
(med side-effekter)
(uden side-effekter)
0,15
0,15
156
1.300
1.300
0, 14
0,17
34
300
300
0,002
0,01
25
300
800
0,01
0,06
196
800
1.300
0,29
0,29
200
-1.500
900
0,02
0,10
450
Fra -5.300 til -240
Fra 250 til 1.700
1 Indsatsen kan ikke skaleres ud over den otte-årige profil med 200 hektar. Pr. år da det ikke vurderes muligt at finde medfinansiering til fra kommuner og vandværker ud over
profilen.
2 Indsatsen vil kunne opjusteres med yderligere hektar. Indfasningsprofilen ligger dog fast
3 Indsatsen vil kunne opjusteres. Fx vil yderligere indsats svarende til 1.000 ton kvælstofreduktion sikre sideeffekter svarende til knap 0,1 mio. ton CO
2
e. Stigende indsats vil
medføre stigende skyggepriser. Det skal bemærkes, at der ikke er taget højde for langtidseffekten af efterafgrøder. Over en horisont på adskillige årtier vil den akkumulerede
klimaeffekt (LULUCF) af efterafgrøder konvergere mod nul. Skyggeprisberegningen indregner udelukkende den positive initiale effekt af virkemidlet og ikke de efterfølgende
negative effekter. Derfor er skyggeprisen undervurderet.
4 Det antages, at der kun i meget begrænset omfang vil være realiserede projekter i 2025. Indfasningen svarer til den forventede indfasning opnået i 2. vandplansperiode.
Initiativet dækker over flere virkemidler som lavbund, vådområder og privat skovrejsning. Intervallet i skyggepriser dækker dels over forskellige virkemidler, dels over forskellige
tidshorisonter for kulstofbindingen (2050/2080). Reduktioner som følge af privat skovrejsning indgår i basisfremskrivning 2020 og medregnes ikke.
Udviklings- og forskningsindsatser med reduktionspotentiale på længere sigt
For at nå markante reduktioner i land- og skovbrugssektoren på længere sigt er der behov for en målret-
tet forsknings- og udviklingsindsats, der kan reducere klima- og miljøpåvirkningen fra både konventionel
og økologisk fødevareproduktion og jordbrug samt reducere afledte effekter på naturen. Det kan f.eks.
være igennem teknologier samt mere cirkulære og bæredygtige løsninger med henblik på optag af CO
2
i
jord og skov, bioraffinering og pyrolyse, nye foder- og fødevareprodukter med lavere klima- og miljøaftryk,
planteforædling samt understøttelse af vidensbehov i forhold til effektiv regulering, herunder dokumenta-
tion af udledninger.
Derfor lægger regeringen med den grønne forskningsstrategi op til i 2021 at prioritere en mission om en
klima- og miljøvenligt landbrug- og fødevareproduktion, som skal føres ud i livet via grønne forsknings-
og innovationspartnerskaber. En missionsdreven forskningsindsats, som i væsentligt omfang kan under-
støtte udviklingen af nye teknologier og løsninger, der forventes at kunne reducere klima- og miljøpåvirk-
ningen fra landbruget. Herunder udledninger fra husdyr, gødningsanvendelse og jorder samt udvikling af
alternative proteinkilder og nye fødevareprodukter med lavere klima- og miljøaftryk.
Der forskes fx aktuelt i bioraffinering, hvor man bl.a. kan omdanne biomasse igennem pyrolyse til biokul
samt olie og gas. Biokullene indarbejdes i jorden, hvorefter det kulstof, der er bundet i kullene, nedbrydes
meget langsomt og derved er fjernet fra atmosfæren i mange år. DTU vurderer under betydelig usikker-
hed, at kulstofbindingen fra biokul har et teknisk reduktionspotentiale på op til 6 mio. ton CO
2
e om året.
Klimarådet vurderer, at en tredjedel af potentialet kan realiseres inden 2030, såfremt teknologien kan
bringes i anvendelse og opskaleres. Udviklingen af biokul anbefales af Klimapartnerskabet for Føde-
vare- og Landbrugssektoren, som også peger på det igangværende pyrolyse-projekt, SkyClean, der har til
formål at opgradere gassen til flybrændstof ved at tilføre brint til gassen. Projektet er i testfasen.
KEF, Alm.del - 2020-21 - Bilag 38: Klimaprogram 2020 i web-tilgængelig version
2267578_0099.png
7. en klOg gRøn Omstilling
99
For at nedbringe metanudledningerne fra husdyrenes fordøjelse forskes der ligeledes i at udvikle fodertilsæt-
ningsstoffer. Forskere har fx udviklet stoffet ”x”. De første forsøg med stoffet indikerer, at metanudledningen
fra kvæg kan sænkes med cirka 35-40 pct. Ligeledes er der i september 2019 søgt om EU-godkendelse af
fodertilsætningsstoffet Bovaer, som ventes at kunne gives til konventionelt malkekvæg for at mindske metan-
udledningen herfra. Stoffet kan potentielt reducere udledningen af metan med op til 30 pct. og forventes at
komme på markedet i 2021 efter endt EU-godkendelsesproces.
Desuden forskes der i laboratoriefremstillet kød og mælk ud fra enkelte dyreceller, som medfører markant
lavere drivhusgasudledninger end konventionel kød- og mælkeproduktion. Bl.a. er der i regi af regeringens
klimaforskningsprogram igangsat projektet "CleanMeat and CleanMilk", hvor muskelceller og yverceller
fra husdyr samt bæredygtige proteinkilder til vækst af cellerne undersøges og testes. Projektet forventes
afsluttet i sommeren 2022. Det er estimeret, at kød uden husdyr kan sænke behovet for landbrugsjord samt
vandforbruget med op til 90 pct., mens energiforbruget kan sænkes med op til 60 pct. Klimaeffekten ved kød
produceret uden husdyr afhænger dog af teknologiens endelige virkemåde og effektivitet. Der forskes også i
bioraffinering af græs til græsprotein, der potentielt vil kunne erstatte importeret proteinfoder til dyr eller pro-
tein i fødevarer. Desuden er der i regeringens Grønne Udviklings -og Demonstrationsprogram (GUDP) afsat 23
mio. kr. i 2020 til støtte af tre nye projekter om at skabe plantebaserede proteinprodukter af danske råvarer.
For at nedbringe udledningerne fra husdyrgødningen arbejdes der i regi af regeringens klimaforskningspro-
gram også på at udvikle et tilsætningsstof til gyllen (”NoGas”). Det antages, at stoffet vil kunne reducere
udledningerne af metan fra stalde og lagre med op til 50 pct. Derudover undersøges pt. en række stald-
teknologier med ammoniakreducerende effekt med henblik på at fastslå deres effekt på reduktionen af
drivhusgasser.
Desuden undersøger et forskningsprojekt på Aarhus Universitet i øjeblikket klimaeffekten og de miljømæs-
sige konsekvenser ved brugen af såkaldte nitrifikationshæmmere, som forventes afsluttet ved udgangen af
2021. Nitrifikationshæmmere er en række syntetiske tilsætningsstoffer til gyllen, som potentielt kan nedbringe
drivhusgasudledningen fra gyllen med op til 50 pct.
Der må dog forventes overlap imellem de forskellige fodertilsætningsstoffer og de forskellige gylle- og gød-
ningstilsætningsstoffer samt flere af staldteknologierne.
Indførelse af klimaregulering af landbruget i EU
Landbrugssektoren er genstand for stor international konkurrence. Derfor sikres de bedste rammevilkår
gennem fælles europæisk lovgivning. Regeringen arbejder derfor aktivt for, at EU’s klimapolitik understøtter
omstillingen til en mere klimavenlig og konkurrencedygtig produktion ved ambitiøse reduktionsforpligtelser
og en regulering, der sikrer incitament til klimaforbedrende aktiviteter for medlemsstater og den enkelte
landmand. EU’s landbrugsreform er et centralt redskab til at understøtte regeringens høje ambitioner for den
grønne omstilling.
Drivhusgasudledninger i landbrugssektoren er i dag ikke reguleret direkte i EU. Det sætter væsentlige
begrænsninger for incitamentet til at gennemføre klimaforbedrende aktiviteter i landbruget og skaber udfor-
dringer i forhold til konkurrenceforvridning og risiko for lækage. Regeringen ønsker derfor en fælleseuropæisk
klimaregulering af landbruget, der sammen med nationale klimatiltag skal fremme omstillingen af landbruget.
I dette lys ser regeringen potentiale i Europa-Kommissionens idé om på sigt at etablere en landsektorsøjle,
der inkluderer landbruget og udledninger og optag fra skove og jorder. Regeringen arbejder også for, at EU’s
landbrugsreform i højere grad skal anvendes til at understøtte fælles klimatiltag. Det skal bl.a. blive væsentligt
nemmere at omdanne landbrugsarealer til naturområder, som reducerer drivhusgasudledningerne. Endvidere
vil Danmark arbejde for, at direktivet om industrielle emissioner udvides til også at omfatte drivhusgasudled-
ninger fra visse husdyrsproduktioner.
Europa-Kommissionen lancerede i maj 2020 en ”jord-til-bord”-strategi, der skal sikre en samlet tilgang til et
bæredygtigt fødevaresystem i Europa. Med afsæt i jord-til-bord-strategien vil regeringen arbejde for en regule-
ring, der tilskynder klimaforbedrende aktiviteter. Konkret vil regeringen arbejde for at der etableres obligatori-
ske gødningsregnskaber efter dansk model på tværs af EU. Grønne forretningsmodeller er også et fokus i jord
til bord, hvor det danske arbejde med klimaregnskaber på bedriftsniveau kan hjælpe EU på vej. Regeringen
arbejder desuden for, at der indføres EU-standarder for metanudledningen.
KEF, Alm.del - 2020-21 - Bilag 38: Klimaprogram 2020 i web-tilgængelig version
2267578_0100.png
100
KLIMAPROGRAM 2020
Boks 43
Mere ambitiøs
EU-regulering af
landbrugsområdet
Drivhusgasudledninger i landbrugssektoren er i dag ikke reguleret direkte i EU, men er overladt til medlemslandene med
differentierede reduktionsmål for ikke-kvotesektoren. Det medfører begrænset incitament for klimaforbedrende aktiviteter og
udfordringer i forhold til risiko for karbonlækage internt i EU. På europæisk plan arbejder regeringen derfor for en fælleseuro-
pæisk reduktionsforpligtelse og styrket regulering af landbruget. Regeringen arbejder for, at EU’s landbrugsreform skal anven-
des til at understøtte fælles klimatiltag med henblik på at reducere drivhusgasudledninger på landbrugsområdet.
Kommende sektorstrategi for land- og skovbrugssektoren
Regeringen vil senere på året præsentere en sektorstrategi for land- og skovbrugssektoren. Ved tilrette-
læggelsen af indholdet i sektorstrategien vil der blive taget udgangspunkt i udfordringer og muligheder
på de respektive områder (arealer, gødskning, husdyrproduktion, jf. ovenfor). Rammerne for den kom-
mende strategi angives nedenfor i boks 44.
Boks 44
Rammer for
kommende
sektorstrategi
for land-og
skovbrugssektoren
Dansk landbrug skal ikke afvikles, så udledningerne fra fødevareproduktionen blot rykker til andre lande. Dansk landbrug skal
i stedet udvikles, og der er brug for en strategi for land- og skovbrugssektoren, der forener og styrker indfrielsen af ambitiøse
klima- og miljømålsætninger og samtidig sikrer et fortsat konkurrencedygtigt landbrug i Danmark.
Under hensyntagen til principperne i klimaloven bør indsatsen således i første omgang ske med udgangspunkt i
kendte virkemidler med dokumenteret effekt. Samidig skal indsatsen fokusere målrettet på forskning samt udvikling
og modning af teknologi. Desuden skal der i indsatsen tages højde for økonomiske og strukturelle omstændigheder,
der kan skabe barrierer for en effektiv og vellykket omstilling.
Der vil herved være fokus på, at dansk landbrug omstilles ved en løbende proces, så klimaaftrykket fra den eksiste-
rende produktion mindskes og udvikles, i takt med at nye produktionsmåder med lavere klimabelastning vinder frem.
Sektorstrategien vil herved sigte mod en kontinuerlig klimaindsats i land- og skovbrugssektoren, der vil bidrage med
langsigtede rammevilkår, og som understøtter, at klimaindsatsen indrettes under hensyn til seneste teknologiske
udvikling og klimalovens principper. Reduktionsniveauet forventes herved forøget frem mod 2030, hvilket vil blive
understøttet af regeringens udviklingsindsats, forventet øget klimaregulering på EU-niveau mv.
Fælles klimaindsats på tværs
Klimapartnerskabet for fødevare- og landbrugssektoren understreger, at man ser den grønne omstilling,
som et fremtidigt konkurrenceparameter, og at hele sektoren vil fremme omstillingen og bidrage til at
indfri Danmarks målsætninger.
For at nå 70 pct.-målsætningen anbefaler partnerskabet bl.a., at der satses på udtag af kulstofrige lav-
bundsjorde og øget skovrejsning. Partnerskabet anbefaler også, at anvendelsen af klima- og miljøvenlige
staldteknologier øges, så udledningerne fra håndteringen af gødning i stalde mindskes. Desuden indgår
det også i anbefalingerne, at der udarbejdes klimatjek og handlingsplaner på bedrifterne med klare regler
for opgørelsesmetoder af drivhusgasudledninger. Endelig ser partnerskabet det som afgørende, at der
afsættes tilstrækkelige midler til forskning inden for udvinding af græsprotein, biokul (SkyClean), biofiltre
og fodertilsætningsstoffet X. Anbefalingerne indgår i arbejdet med den kommende sektorstrategi for
land- og skovbrugssektoren.
Boks 45
Fødevare- og
landbrugs-
sektorens
klimaambitioner
Klimapartnerskabet for fødevare- og landbrugssektoren har formuleret 24 anbefalinger, som går på tværs af hele sektoren:
Fra landbrug over akvakultur og skov, til forarbejdning, samfundet og forskning. Partnerskabet fokuserer især på udtagning af
lavbundsjorder og på forskning og udvikling.
Det danske fødevare- og landbrugserhverv har sat et mål om at blive klimaneutralt i 2050. Visionen betyder, at det danske
fødevareerhverv i 2050 ikke skal udlede flere klimagasser, end det optager, og at det skal bidrage med grøn, bæredygtig
energi. Samtidig er visionen fra erhvervet, at man også i fremtiden skal producere mindst samme mængde eller flere fødeva-
rer, end man gør i dag.
KEF, Alm.del - 2020-21 - Bilag 38: Klimaprogram 2020 i web-tilgængelig version
2267578_0101.png
7. en klOg gRøn Omstilling
101
7.5 Klimavenlig adfærd
Nedbringelse af Danmarks drivhusgasudledninger indebærer hovedsageligt teknologiske investeringer og
omstilling af vores transport-, fødevare- og energisystemer. En meget stor del af indsatsen er derfor fokuseret
på produktionen i Danmark. Klimavenlig adfærd kan imidlertid også bidrage til den grønne omstilling og under-
støtte reelle reduktioner bl.a. ved at modne markedet for grønne løsninger og øge efterspørgslen efter varer og
services med lavere klimaaftryk.
Det forudsætter, at forbrugerne har lyst til og mulighed for at træffe klimavenlige valg. Forbrugerne har ikke altid
forudsætningerne for at vælge klimavenlige produkter. Det kan skyldes manglende standarder eller information
om, hvad der er klimavenligt. Samtidigt er der også meget vane i vores forbrug. En større bevidsthed om effek-
ten af vores forbrug kan være med til at ændre de vaner. Regeringen ønsker derfor at understøtte klimavenlig
adfærd og inddrage befolkningen aktivt i den grønne omstilling.
Tiltag for politikskabelse med borgerne
Regeringen vil sikre en bred forankring af klimaindsatsen. Derfor har regeringen valgt at videreføre Ungeklimarå-
det og sammen med aftaleparterne bag klimaloven nedsat et nationalt borgerting på klimaområdet.
Borgertinget består af 99 borgere på tværs af alder, køn, geografi, uddannelse og indkomst. Borgertinget har
til opgave at debattere borgernære dilemmaer forbundet med den grønne omstilling samt give input og anbe-
falinger til regeringen og Folketingets Klima-, Energi- og Forsyningsudvalg om klimahandlingsplanerne og den
grønne dagsorden generelt. Borgertingets første samling er af hensyn til COVID-19-pandemien blevet aflyst. Det
afventes, hvornår det er forsvarligt at afholde anden og tredje samling. På borgertingets samlinger vil relevante
eksperter holde oplæg for borgerne, der vil drøfte inputs og anbefalinger med henblik på fremlæggelse for
klima-, energi- og forsyningsministeren samt Folketingets Klima-, Energi- og Forsyningsudvalg.
Tiltag for at styrke klimavenlig adfærd igennem kost
Ca. 60 pct. af danskerne ønsker at spise mere klimavenligt, men er i tvivl om, hvordan de skal gøre det.
Regeringen har derfor igangsat en række projekter, der har fokus på klimavenlige fødevarer.
Kampagnen Madglade Klimatips
Regeringen lancerede i august 2020 kampagnen Madglade Klimatips, der giver danskerne nemme og kon-
krete tips til at spise mere klimavenligt. Kampagnen består af 22 konkrete klimatips, som hjælper alle dan-
skere til at leve mere klimavenligt. DTU har vurderet, at klimaaftrykket fra danskernes mad kan reduceres
betragteligt ved at sammensætte måltider af de klimavenlige alternativer inden for en fødevarekategori. Det
kunne fx være at vælge kylling frem for oksekød og kartofler frem for ris. Kampagnen vil derfor understøtte
danskernes mulighed for at tilvælge klimavenlige fødevarer.
Kostråd med en klimavinkel
De nuværende officielle kostråd fra Fødevarestyrelsen vejleder om kostsammensætning ud fra et sundheds- og
madkulturelt perspektiv. Det er besluttet, at de nye officielle kostråd også skal indeholde vejledning om mere
klimavenligt fødevareforbrug. Regeringen har derfor igangsat et arbejde med at udvikle nye kostråd, der også
kan vejlede om sammensætning af klimavenlige måltider. Regeringen lancerer nye kostråd i november 2020 og
igangsætter en kampagne for at udbrede kendskabet til kostrådene i starten af 2021.
Statsligt-kommunalt partnerskab om klimavenlige måltider
Klima-, Energi- og Forsyningsministeriet og Miljø- og Fødevareministeriet har indgået et partnerskab med Køben-
havns og Aarhus kommuner om klimavenlige måltider.
Arbejdet sætter fokus på:
Opgørelsesmetoder om måltiders klimaaftryk samt madspild i professionelle køkkener.
Brug af indkøbsaftaler som redskab til at sikre mere klimavenlige måltider.
Kommunikationen af klimavenlige og økologiske måltider, herunder klima- og økologimålsætninger til
borgere og medarbejdere.
KEF, Alm.del - 2020-21 - Bilag 38: Klimaprogram 2020 i web-tilgængelig version
2267578_0102.png
102
KLIMAPROGRAM 2020
Storkøkkener og kommuner forventes at kunne motiveres til at løfte deres ambitionsniveau i forhold til at ser-
vere klimavenlige måltider, når de har metoder til at opgøre og dermed kan synliggøre deres indsats. Metoderne
og løsningerne kan efterfølgende udbredes til hele landet.
Guide til kantiner, der vil være mere klimavenlige
Klima-, Energi- og Forsyningsministeriet samarbejder med Miljø- og Fødevareministeriet og Konkurrence- og
Forbrugerstyrelsen om at udarbejde en guide til kantiner om adfærdsinitiativer, der skal understøtte et mere
klimavenligt forbrug. Guiden vil indeholde råd til adfærdstiltag, der kan få brugerne af kantinerne til at spise både
sundere og mere klimavenligt.
National madspildsdag
I Danmark genereres ca. 700.000 ton spild af fødevarer hvert år. Regeringen lancerede i marts 2020, at der frem-
over afholdes en årlig national madspildsdag den 29. september. Datoen følger FN’s internationale madspilds-
dag, International Day of Awareness of Food Loss and Waste.
Formålet er at engagere danskerne i kampen mod
madspild. En lang række aktører bidrager til at markere dagen og sætte fokus på, hvordan både børn og voksne,
forbrugere og professionelle kan hjælpe med at mindske madspild.
Tiltag for at styrke klimavenlig adfærd i virksomheder
Flere klimapartnerskaber pegede på, at virksomhedernes klimavenlige adfærd skal styrkes, og transparens
omkring dette kan også have en positiv effekt på forbrugeradfærden. Regeringen vil sikre gode rammevilkår,
der understøtter virksomhedernes omstilling til en grøn og cirkulær økonomi, og som understøtter virksom-
hedernes udnyttelse af de kommercielle muligheder både nationalt, i EU og globalt bl.a. via udvikling af nye
grønne produkter, services og forretningsmodeller. Erhvervsstyrelsen udvikler i samarbejde med Energistyrelsen,
Erhvervshusene og Dansk Standard et nyt tema ”Grøn og bæredygtig virksomhed” til Virksomhedsguiden, der er
en fællesoffentlig platform. Temaet er et digitalt vejledningsunivers, der samler information om grøn omstilling,
som er målrettet virksomheder. Temaet har til formål at fremme den grønne omstilling i virksomheder i hele
landet ved at motivere navnlig SMV’er til at integrere grønne og cirkulære klimarettede tiltag i alle led af deres
forretning. Temaet Grøn og bæredygtig virksomhed overskueliggør relevant information om, hvordan virksomhe-
der kommer i gang med den grønne omstilling fx en vejledning med nemme skridt til at blive mere klimavenlig,
cases med andre virksomheder, der har indført klimarettede tiltag og cirkulære forretningsmodeller og konkrete
eksempler på, hvordan virksomheden kan effektivisere sit energiforbrug eller reducere spild af materialer.
Regeringen sætter derudover fokus på at reducere madspild i detailhandlen gennem projektet “Madspildjæ-
gerne”, hvor detailhandelsvirksomhederne kan få bistand til at mindske deres madspild og ved at igangsætte
udvikling af en internationalt anerkendt standard for opgørelser af “food loss” og “food waste”. Initiativerne er en
del af regeringens vækstplan for at skabe bedre vilkår for vækst i handels- og logistikerhvervene i hele Danmark
fra januar 2020.
Tiltag for at styrke forskning inden for adfærd
Regeringens grønne forskningsstrategi adresserer endvidere behovet for øget viden om bæredygtig adfærd, her-
under bl.a. hvad der skal til for, at borgere, virksomheder, institutioner m.fl. ændrer adfærd i en mere grøn retning,
og hvad omfanget af gevinsterne ved adfærdsændringer vil være. Det kan bl.a. være i forhold til de produkter og
services, vi forbruger fx inden for fødevarer, transport, energi og tekstiler.
Kommende strategi for grønne offentlige indkøb
Det er vigtigt, at danskerne har de rette værktøjer til at kunne træffe mere klimavenlige valg, fx når de skal lave
mad eller handle ind. Det offentlige skal i den sammenhæng gå forrest og sikre, at grønne offentlige indkøb
bidrager til at øge udbuddet af grønne løsninger. Der har i mange år været fokus på, at det offentlige køber effek-
tivt ind. Det er der fortsat, men regeringen ønsker samtidig, at den offentlige sektor igennem sine indkøb skal
være med til at rykke markedet i en grønnere retning. Hvert år køber den offentlige sektor i Danmark varer og
tjenesteydelser for knap 200 mia. kr., hvoraf staten køber ind for ca. 50 mia. kr. Når staten med sin store ind-
købskapacitet efterspørger grønne og klimavenlige produkter, kan det bidrage til at drive markedet i en grønnere
retning. På sigt kan det sikre nye grønne og konkurrencedygtige produkter og tjenesteydelser.
Derfor vil regeringen senere på året lancere en strategi for grønne offentlige indkøb. Med strategien sætter rege-
ringen bl.a. fokus på at videreudvikle retningslinjer og værktøjer for grønne indkøb.
KEF, Alm.del - 2020-21 - Bilag 38: Klimaprogram 2020 i web-tilgængelig version
2267578_0103.png
7. en klOg gRøn Omstilling
103
KEF, Alm.del - 2020-21 - Bilag 38: Klimaprogram 2020 i web-tilgængelig version
2267578_0104.png
104
KLIMAPROGRAM 2020
8. Global strategi
Klimaforandringerne stopper ikke ved grænsen. Det gør den danske klimaindsats heller ikke. Udfordrin-
gen er at samle det globale samfund om at indfri Parisaftalens målsætninger. Det kræver global ambi-
tion, handling og finansiering. Danmark skal være det lille grønne tandhjul, der får de store til at dreje den
rigtige, solidariske og grønne vej. Den danske klimaindsats skal derfor være ambitiøs, ligesom der skal
prøves kræfter med nye, innovative løsninger. Der skal være fokus på muligheder, frem for problemer.
Danmark kan gøre den største forskel, når indsatsen kan inspirere andre. Dette er ledetråden for rege-
ringens indsats. Fra de store globale klimaforhandlinger til de afgørende tiltag, der tages i europæisk
regi, er regeringen med til at rykke ambitionerne i den rigtige retning. Der går en lige linje fra de indsats-
områder, som regeringen arbejder med på nationalt plan og til de ambitioner, som Danmark er med til at
presse i vejret i Europa og på globalt plan.
Regeringens langsigtede strategi for global klimaindsats
En grøn og bæredygtig verden
sætter retning
for indsatsen på tværs af sektorer og interessenter. Der er tale om den første samlede strategi for Dan-
marks globale klimaindsats. Regeringen vil aktivere alle relevante internationale politikområder og binde
Danmarks globale arbejde sammen i en ambitiøs, vedholdende, flerstrenget og integreret global indsats.
Regeringen vil fokusere Danmarks internationale klimaindsats på baggrund af Parisaftalens tre overord-
nede mål:
Stræbe efter at begrænse den globale temperaturstigning til 1,5 grader.
Øge tilpasningsevnen og fremme modstandsdygtigheden over for de skadelige virkninger af klimafor-
andringer, der rammer de fattigste hårdest.
Vende finansieringsstrømme så de understøtter omstillingen til lavemission og modstandsdygtighed
over for klimaforandringer.
Det globale kapitel i regeringens klimaprogram udmønter regeringens langsigtede strategi for global
klimaindsats i konkrete initiativer, der igangsættes i det kommende år i henhold til årets internationale
milepæle. Kapitlet beskriver, hvordan Danmark vil spille en rolle som global drivkraft i international klima-
politik. En ambitiøs og omkostningseffektiv klimaindsats i EU udgør også en central del af regeringens
langsigtede strategi, og er beskrevet i klimaprogrammets kapitel 6.
Det er centralt for regeringen at tage lederskab for klimaindsatsen internationalt på en måde, som er
solidarisk, samarbejdende og med blik for de fattigste og skrøbeligste landes og befolkningers særlige
udfordringer. Regeringen sætter derfor en ny ambitiøs grøn retning for udviklingssamarbejdet ved at
foreslå at afsætte samlet ca. 2,9 mia. kr. på FFL21 til klima- og miljøindsatser i udviklingslande i 2021.
Regeringen vil i denne forbindelse i 2021 søsætte pionerprojekter i Afrika, der bl.a. skal sikre, at langt
flere afrikanere får adgang til rent vand og ren energi samtidig med, at der skabes grønne jobs og lære-
pladser – især til de mange unge i Afrika. Regeringen vil etablere grønne strategiske partnerskaber
samt styrke myndighedssamarbejdet og grøn eksportfremme. Endelig har regeringen taget initiativ til
en ny udenrigs- og sikkerhedspolitisk strategi, som også vil fokusere på den globale klimaindsats. Den
nuværende udviklingspolitiske strategi og forliget herom udløber i 2021, og regeringen vil derfor det kom-
mende år også tage initiativ til sammen med Folketingets partier at lave en ny udviklingspolitisk strategi,
hvor øget bistand til at understøtte klima- og miljøformål står centralt.
De globale udledninger, der er resultat af dansk import og forbrug, indgår ikke i nærværende klimapro-
gram, men vil i henhold til klimaloven blive nærmere beskrevet i den globale afrapportering i april 2021
i forbindelse med den årlige klimastatus og -fremskrivning. Den globale afrapportering i april 2021 skal
belyse de internationale effekter af den danske klimaindsats, herunder reduktioner i international skibs-
og luftfart og reduktioner fra eksport af el fra vedvarende energikilder. Desuden kan effekterne af de
danske bilaterale energisamarbejder med store CO
2
-udledere indgå, ligesom effekterne af dansk import
og forbrug søges belyst. Hertil redegøres der for den danske bistand på klimaområdet.
KEF, Alm.del - 2020-21 - Bilag 38: Klimaprogram 2020 i web-tilgængelig version
2267578_0105.png
8. glObal stRategi
105
Politiske milepæle det kommende år
2020 er og har været et usædvanligt år – også for det globale klimasamarbejde. 2020 skulle have
været året, hvor verden for første gang efter Parisaftalens vedtagelse skulle drøfte et øget ambiti-
onsniveau på FN’s klimakonference COP26. I stedet har COVID-19 og den økonomiske krise domi-
neret billedet. I det kommende år vil genopretningen af dansk, europæisk og global økonomi stå
centralt. Grøn omstilling og understøttelse af grønne arbejdspladser er blandt hovedprioriteterne
for regeringen. Regeringen vil gå forrest med at tænke den grønne omstilling ind i genopretningen
efter COVID-19 både globalt og gennem EU – vi skal
Build Back Better and Greener.
Ved at gå forrest
med innovation, pionerindsatser og eksemplets magt, kan Danmark inspirere de store til at slå ind
på den grønne og solidariske vej. Grønt Erhvervsforum, klimapartnerskaberne og genstartsteams
vil i den forbindelse også fortsat være vigtige platforme for dialog. Endvidere har regeringen taget
initiativ til at fremme en grøn genopretning af økonomien globalt med udgangspunkt i de massive
grønne investeringer i den grønne omstilling i Danmark. Det er bl.a. sket gennem ministermøder i det
Internationale Energiagentur – som Danmark var medinitiativtager til - og EU, herunder gennem et
brev fra 20 lande til Europa-Kommissionen om, at EU’s grønne pagt skal spille en central rolle i EU’s
genopretning.
For at styrke dansk grøn eksport vil regeringens Eksport- og Jobskabelses-taskforce med afsæt i anbe-
falinger fra dansk erhvervsliv, tidligere vækstteams og klimapartnerskaberne bl.a. ansætte flere grønne
sektorrådgivere, identificere nye grønne markedsmuligheder og skabe flere grønne erhvervsfremstød.
Regeringens globale klimaindsats har fokus på følgende milepæle i det kommende år:
COP26,
som er udskudt til november 2021. Tiden skal udnyttes til at skabe fremdrift i forhandlin-
gerne, og regeringens fokus er bl.a. på færdiggørelsen af Parisaftalens regelsæt, øget mobilisering
af klimafinansiering og højere globale klimaambitioner i samspil med andre lande, herunder Storbri-
tannien som COP-formandskab, og andre interessenter.
P4G-topmødet i Seoul i 2021,
som er en central trædesten på vejen mod COP26, hvor bl.a. den pri-
vate sektor skal mobiliseres til at fremvise grønne løsninger. Et vigtigt dansk budskab vil være beho-
vet for mere offentlig-privat samarbejde med inspiration i klimapartnerskaberne.
FN’s generalsekretærs SDG7-topmøde,
som afholdes i forbindelse med Generalforsamlingen i 2021.
Danmark vil gennem lederskabet på verdensmål 7 om bæredygtig energi til alle bidrage aktivt til
topmødet.
FN’s 15. partskonference under biodiversitetskonventionen (UNCBD), tentativt september/oktober
2021,
hvor der skal vedtages nye, globale naturmål. Målene bidrager også til at mindske klima-
forandringer fra naturødelæggelser og forbedre naturbaseret klimatilpasning og herigennem
opfyldelse af Parisaftalen. Danmark vil bl.a. arbejde for at styrke anvendelsen af naturbaserede
løsninger, og for at nye globale naturmål sikrer, at havene er modstandsdygtige og robuste over
for klimaforandringer.
Regeringens indsats det kommende år
Regeringen arbejder for en ambitiøs international klimaindsats i fem spor, som indsatsen det kommende
år struktureres efter:
Øge de globale klimaambitioner.
Reducere de globale drivhusgasudledninger ved at vise vejen for grøn omstilling.
Drive tilpasnings- og modstandsdygtighedsinitiativer i kampen mod klimaforandringerne.
Vende de globale finansieringsstrømme fra sort til grøn.
Samarbejde med erhvervet om grønne løsninger, der gør en forskel.
KEF, Alm.del - 2020-21 - Bilag 38: Klimaprogram 2020 i web-tilgængelig version
2267578_0106.png
106
KLIMAPROGRAM 2020
Øge de globale klimaambitioner
Regeringen vil via forhandlinger i FN-regi og en styrket klimadiplomatisk indsats arbejde for at præge
lande og ikke-statslige aktører til at forpligte sig til ambitiøse målsætninger, der bidrager til at begrænse
den globale temperaturstigning. Vi vil arbejde for at sikre en ambitiøs indsats for klimatilpasning og
modstandsdygtighed samt bæredygtig udvikling. Det skal ske via EU og i alliance og samarbejde med
lande såvel som ikke-statslige aktører. Derfor vil Danmark i det kommende år bl.a.:
Boks 46
Øge de globale
klimaambitioner
Indgå grønne strategiske partnerskaber med udvalgte lande
Danmarks partnerskaber med andre lande skal understøtte opnåelse af verdensmålene med særlig fokus på den grønne omstilling
og bæredygtig økonomisk vækst i partnerlandet samtidig med, at danske virksomheders markedspositioner og konkrete eksport-
muligheder understøttes. Regeringen vil arbejde for at indgå grønne strategiske partnerskaber med både Indien og Sydafrika, samt
nye grønne handlingsplaner for eksisterende strategiske partnerskaber med Kina, Japan, Sydkorea, Indonesien og Mexico.
Øge antallet af klimafrontposter med yderligere fem ambassader
Danmarks forstærkede klimadiplomati udbygges med yderligere klimafrontposter i Brasilien, Egypten, Etiopien, Italien og
Storbritannien for at øge deres klimaambitioner og udbrede danske grønne løsninger på klimaudfordringen.
Arbejde for mere ambitiøse klima- og miljømål i handelspolitikken i EU og WTO
Regeringen vil arbejde for at fremme grønt fokus i alle faser af EU’s handelsaftaler, samt for liberalisering af handel
med grønne varer og tjenesteydelser, udfasning af subsidier til fossile brændsler og øget brug af grønne standarder og
mærkningsordninger.
Oprustning af strategiske partnerskaber og ambitionskoalitioner
Regeringen styrker internationale partnerskaber med bl.a. bysammenslutningen C40, Global Green Growth Institute (GGGI),
Getting to Zero-koalition og Partnering for Green Growth and the Global Goals (P4G) med henblik på at øge klimaambitioner
og fremme grøn og retfærdig genopbygning i højindkomst-, udviklings- og vækstlande i bl.a. Afrika og Asien.
Regeringen har i 2020 allerede bidraget med 67 mio. kr. til samarbejdet med bysammenslutningen C40
Dertil forventes i 2020 bidrag på:
30 mio. kr. til Global Green Growth Institute (GGGI)
15 mio. kr. til New Climate Economy
35 mio. kr. til NDC-Partnerskabet
Regeringen foreslår på FFL21 at afsætte yderligere 50 mio. kr. til Global Green Growth Institute (GGGI).
Styrket grønt offentlighedsdiplomati i lande, hvor Danmark er repræsenteret
Danmark styrker indsatsen for dialog og debat om grøn omstilling og markedsføring af bæredygtige danske grønne løsninger
og knowhow. Dette sker i tæt samarbejde med danske myndigheder, civilsamfund og privatsektor.
Arbejde for international regulering af luftfarten
Fra 2021 vil Danmark deltage i den frivillige fase af den internationale ordning for CO
2
-kompensation og –reduktion (CORSIA).
Fremme grønnere landbaseret transport globalt
Danmark vil sætte fokus på grøn omstilling på tværs af transportformer i International Transport Forums (ITF) ved mini-
stertopmøde i 2021, og på vidensdeling samt sociale og grønne krav i forbindelse med tildeling af transporttilladelser.
Arbejde for en global kemikaliestrategi, der understøtter klimatiltag
I FN-regi forhandles en global kemikaliestrategi for sikker håndtering af kemikalier og affald (SAICM beyond 2020), hvor
Danmark vil arbejde for koblingen mellem kemikalie- og klimatiltag, der understøtter klimamålsætningen.
Drive et europæisk og globalt samarbejde om plastik
Danmark har med de øvrige nordiske lande taget lederskab
på forberedelserne frem mod en global aftale om plastik og
marint affald ved UNEA 5 i 2021.
Tage lederskab på globale bæredygtige fødevaresystemer
Danmark arbejder for at indtage en ledende rolle på at reducere madspild, som er en væsentlig kilde til drivhusgasudlednin-
ger. Danmark afholder World Food Summit 2021 som en trædesten til FN’s topmøde Food Systems Summit 2021 (FSS).
KEF, Alm.del - 2020-21 - Bilag 38: Klimaprogram 2020 i web-tilgængelig version
2267578_0107.png
8. glObal stRategi
107
Reducere de globale drivhusgasudledninger ved at vise vejen for grøn omstilling
Danmark skal arbejde for grøn omstilling i praksis med fokus på, at de største udledere i verden reduce-
rer deres udledninger, og at udviklingslandene gennemgår en bæredygtig udvikling. Derfor vil Danmark i
det kommende år bl.a.:
Boks 47
Reducere
de globale
drivhusgas-
udledninger ved at
vise vejen for grøn
omstilling
Markant styrke energisamarbejdet med en række større udledere
Regeringen foreslår at afsætte
310 mio. kr. gennem Klimapuljen på FL20 og FFL21 til at udbygge energisamarbejdet med Indonesien, Kina,
Mexico, Sydafrika og Vietnam med fokus på bl.a. energiplanlægning, samt bedre rammebetingelser for vedva-
rende energi og energieffektivitet.
Samtidigt opstartes et energisamarbejde om havvind og kuludfasning med Japan.
Hertil foreslår regeringen at afsætte 50 mio. kr. til et fortsat energisamarbejde med Etiopien, samt 10 mio. kr. til
opstart af et myndighedssamarbejde i Afrika på FFL21 med henblik på at forbedre adgangen til ren energi.
Styrke miljøsamarbejdets fokus på klimaindsatsen
På miljøområdet er der inden for de eksisterende bilaterale miljømyndighedssamarbejder fokus på at intensivere synergi med
klimaindsatsen. Energieffektivisering i vandforsyningen, reduktion af drivhusgasser fra vandrensning, cirkularitet i ressource
og affaldsstrømme og tiltag med samtidig reduktion af luftforurening og drivhusgasser vil indgå i dette arbejde.
Arbejde for en ressourceeffektiv fødevareproduktion
På fødevareområdet vil Danmark gennem bilaterale myndighedssamarbejder med Kina, Kenya, Vietnam, Mexico, Colombia,
Indonesien og Nigeria bidrage til udviklingen af et globalt bæredygtigt fødevaresystem med fokus på at reducere fødevare-
produktionens påvirkning af klima og miljø. Dette skal bl.a. ske ved at bistå opbygningen af bedre rammebetingelser for en
ressourceeffektiv fødevareproduktion.
Lancere global katalysatorindsats på energi i udviklingslande
Regeringen foreslår, at der afsættes 15 mio. kroner i Klimapuljen på FFL21 til en ny, fleksibel indsats, der kan supplere de lang-
sigtede samarbejder med korte og klart afgrænsede indsatser i udviklingslande med behov for specifik, teknisk assistance,
som Danmark kan levere.
Fremme grønne og bæredygtige internationale værdikæder
Regeringen lancerer indsatser, der skal drive skiftet mod grønne og bæredygtige værdikæder med særligt fokus på vækst- og
udviklingsøkonomier. Regeringen foreslår på FFL21 at afsætte 20 mio. kr. til fremme af grønne og mere bæredygtige leveran-
dørkæder og dekarbonisering af sektorer.
Øge støtten til multilateralt samarbejde om energi
Regeringen foreslår, at der afsættes yderligere midler på FFL21 til multilaterale energiinitiativer, herunder
50 mio. kr. til det Internationale Energiagenturs (IEA) arbejde med energieffektivitet og vedvarende energi i vækst-
økonomier som Indien, Indonesien og Kina.
90 mio. kr. til Verdensbankens energiprogram (ESMAP) .
100 mio. kr. til faciliteten for investeringer i vedvarende energi under Afrikabanken (SEFA).
Dertil indgår Danmark i et strategisk samarbejde med IRENA.
Styrke det internationale samarbejde om kuludfasning frem mod COP26
Danmark vil gennem samarbejder som Powering Past Coal Alliance præge andre lande særligt i Asien til at udfase kulproduk-
tionen.
Stoppe for støtte til eksport af kulteknologi
Regeringen vil arbejde for at fremme global kuludfasning og stoppe muligheden for offentlig eksportfinansiering til kulfyrede
kraftværker, termisk kuludvinding og termisk kullogistik. Regeringen vil desuden i internationale forhandlinger øge det klimadi-
plomatiske pres for global kuludfasning.
Lancere handlingsplan mod afskovning
Danmark vil bekæmpe den globale afskovning og lancerer i efteråret 2020 en handlingsplan med eksisterende og nye tiltag
mod afskovning.
KEF, Alm.del - 2020-21 - Bilag 38: Klimaprogram 2020 i web-tilgængelig version
2267578_0108.png
108
KLIMAPROGRAM 2020
Drive tilpasnings- og modstandsdygtighedsinitiativer i kampen mod
klimaforandringerne
Regeringen ønsker at bruge sin position som grønt foregangsland til internationalt at inspirere og drive
tilpasnings- og modstandsdygtighedsinitiativer i klimakampen via både udviklingssamarbejdet og eks-
portfremmeindsatsen. Regeringen ønsker et langt mere klimaambitiøst dansk udviklingssamarbejde
med skærpet fokus på tilpasning og bæredygtig udvikling i de fattigste og mest skrøbelige udviklings-
lande, hvor flere skal have adgang til ren energi og rent vand, og hvor der skal skabes flere grønne jobs
og lærepladser. Regeringen vil arbejde for, at de danske løsninger til forebyggelse og klimatilpasning
bredes ud i verden gennem eksportfremmeindsatsen. Derfor vil Danmark i det kommende år bl.a.:
Boks 48
Drive tilpasnings-
og modstands-
dygtigheds-
initiativer i kampen
mod klima-
forandringerne
Afsætte samlet ca. 2,9 mia. kr. på FFL21 til klima- og miljøindsatser i udviklingslandene i
2021
Samlet set foreslår regeringen på FFL21 at tilføre yderligere 450 mio. kr. i 2021 til klima og den grønne dagsorden, herunder
fastholde Klimapuljens rekordhøje niveau i 2021. Den øgede støtte skal bl.a. gå til klimatilpasning, grøn omstilling og adgang
til ren energi og rent vand i de mindst udviklede lande, samt indsatser rettet mod at nedbringe udledninger i vækstøkonomier.
Ny udviklingspolitisk strategi
Regeringen vil tage initiativ til en ny udviklingspolitisk strategi i samarbejde med Folketingets partier, hvor øget bistand til
at understøtte klima- og miljøformål står centralt. Strategien skal følge efter den nuværende strategi og forliget herom, der
udløber med udgangen af 2021. Regeringen ønsker at bidrage til udviklingslandenes bæredygtige udvikling og socialt retfær-
dige grønne genopretning efter COVID-19-krisen. Konkret vil regeringen give prioritet til grøn omstilling og fremme af mod-
standsdygtighed især i Afrika. Regeringen vil bl.a. bidrage til adgang til ren energi og rent vand med fokus på at skabe grønne
faglærte jobs og lærepladser.
Styrke indsatsen for at sikre adgang til rent vand og ren energi,
grønne jobs og lærepladser samt fremme biodiversitet
Som led i regeringens forslag på FFL21 foreslås det bl.a. at afsætte:
149,5 mio. kr. til den Afrikanske Vandfacilitet under den Afrikanske Udviklingsbank.
130 mio. kr. til UNICEFs vandprogram i Etiopien.
80 mio. kr. til fremme af decentral solenergi i Afrika (NEFCO).
40 mio. kr. til den Internationale Union for Naturbevarelse (IUCN) .
Udforske mulighederne for at fastsætte det nye globale klimafinansieringsmål
gældende efter 2025, så det bedre understøtter de fattigste landes klimaindsats
Et nyt mål om øget mobilisering af offentlig og privat klimafinansiering til udviklingslandenes klimaindsats er afgørende for, at
alle parter kan levere på Parisaftalen. Fremdrift på dette område kan skabe grobund for et bedre forhandlingsklima og under-
støtte en ambitiøs gennemførelse af Parisaftalen.
Igangsætte grønt nærområdeinitiativ om klimaforandringer, konflikt,
fordrivelse og irregulær migration med fokus på Sahel og Afrikas Horn
Regeringen planlægger at igangsætte et flerårigt regionalt program, som skal reducere sårbarhed, skrøbelighed og fremme
bæredygtig udvikling med fokus på Sahel og Afrikas Horn. Regeringen foreslår på FFL21 at afsætte 200 mio. kr. til dette som
led i en flerårig indsats.
Etablere nye samarbejder om klimatilpasning med afrikanske miljømyndigheder
Regeringen foreslår at afsætte 10 mio. kr. på FFL21 til at etablere 1-2 nye myndighedssamarbejder, der skal bringe stærke
danske erfaringer med klimatilpasning i spil og bidrage til at styrke modstandsdygtigheden mod klimaforandringerne og
adgangen til rent vand i partnerlande.
Styrke samarbejdet med dansk civilsamfund om klima og miljø
Regeringen vil indgå i dialog med civilsamfundet for at identificere løsninger på, hvordan man i fællesskab kan løfte Danmarks
internationale klimaindsats, samt indgå aftaler om reduktionsmål for civilsamfundets arbejde, der vil kunne inspirere globalt.
Styrke samarbejdet med erhvervsliv om klima og miljø i udviklingsarbejdet
Regeringen foreslår at afsætte 50 mio. kr. på FFL21 til at etablere klimaudviklingspartnerskaber med erhvervslivet, der i sam-
arbejde med andre aktører kan bidrage til at øge adgangen til bl.a. rent vand og energi i udviklingslande.
KEF, Alm.del - 2020-21 - Bilag 38: Klimaprogram 2020 i web-tilgængelig version
2267578_0109.png
8. glObal stRategi
109
Vende de globale finansieringsstrømme fra sort til grøn
Der er behov for massive investeringer for at sætte fart i den grønne omstilling. Regeringen vil arbejde
for at accelerere et skift til grønne klimavenlige investeringer på alle niveauer og landegrupper frem for
sorte investeringer. Rammevilkårene for de finansielle markeder og fx energimarkedet skal indrettes, så
de understøtter grønne investeringer fra private og institutionelle investorer samt fonde. Samtidig er der
behov for at styrke mobiliseringen af klimafinansiering til de fattigste og skrøbeligste lande. Regeringen
vil tage lederskab i forhold til at indtænke den grønne omstilling i genopretningen efter COVID-19 både
globalt og gennem EU. Derfor vil Danmark i det kommende år bl.a.:
Boks 49
Vende de globale
finansierings-
strømme fra sort
til grøn
Afholde investeringskonference i København
Som led i partnerskabet
Climate Investment Coalition
mellem regeringen, Forsikring & Pension, Institutional Inve-
sters Group on Climate Change og World Climate Foundation afholdes en investeringskonference i København for
at udbrede danske og internationale erfaringer med finansieringsmodeller i grøn energiinfrastruktur og indretning af
politiske rammevilkår, der fremmer grøn omstilling og private investorers muligheder for at investere grønt.
Mobilisere øget klimafinansiering som bestyrelsesmedlem i Den Grønne Klimafond
Med regeringens ambition om at fordoble bidraget til Den Grønne Klimafond til 800 mio. kr. i alt i perioden fra 2020-
2023 vil Danmark som bestyrelsesmedlem i fonden arbejde for øget klimafinansiering til udviklingslandenes reduk-
tions- og tilpasningsindsatser og sikre en systematisk resultatmåling af projektindsatser. Danmark har derudover
bidraget til at øge mobilisering af klimafinansiering gennem bidrag på 210 mio. kr. i 2020 til Fonden for de mindst
udviklede lande (LDCF).
Tilslutte sig anbefalinger fra Task Force on Climate-related Financial Disclosures
Anbefalingerne har til hensigt at øge virksomheders fokus på, hvordan klimarelaterede risici og muligheder kan
påvirke deres forretning og derved styrke incitamentet til grøn omstilling og kommunikationen til investorer og omver-
den herom.
Lancere konkrete ambitioner for mere grønt fokus i de multilaterale udviklingsbanker
Regeringen vil gennem bestyrelsesarbejdet i de multilaterale udviklingsbanker arbejde for en udfasning af investerin-
ger og subsidier til fossile brændsler, styrkelse af investeringer i vedvarende energi, vækst på minimum 10 pct. årligt
i klimainvesteringer i Verdensbanken og de regionale udviklingsbanker i Afrika, Latinamerika og Asien målt i forhold
til deres samlede operationer samt presse på for en fælles tilgang til, hvordan aktiviteter bidrager til opfyldelse af
målene i Parisaftalen. Regeringen vil derudover tage initiativ til nordisk samarbejde om strategier for energiinvesterin-
ger og grønne indsatser i de multilaterale udviklingsbanker.
Skabe en markant grøn profil i IFU
Regeringen vil gennem et aktivt ejerskab af Investeringsfonden for Udviklingslande (IFU) sikre flere bæredygtige og
ansvarlige investeringer i udviklingslande især i Afrika og på klimaområdet. IFU skal ved at gå forrest med nye inve-
steringer også i de fattigste lande bidrage til at mobilisere flere private investorer.
Fremme grønne investeringer i udviklingslande via myndighedssamarbejde
Regeringen vil igangsætte tre pilotprojekter i udvalgte udviklingslande for perioden 2020-2022, der skal for-
bedre rammebetingelserne for grønne investeringer og bidrage til at identificere konkrete, nye investeringer.
Pilotprojekterne bygger videre på erfaringer fra eksisterende myndighedssamarbejde inden for energi, vand,
byudvikling og fødevarer.
KEF, Alm.del - 2020-21 - Bilag 38: Klimaprogram 2020 i web-tilgængelig version
2267578_0110.png
110
KLIMAPROGRAM 2020
Samarbejde med erhvervet om grønne løsninger, der gør en
forskel
I Danmark nyder vi godt af et stærkt samarbejde mellem myndigheder og erhvervsliv. Det er en styrke-
position, som vi skal værne om. En succesfuld global klimaindsats skal have dansk erhvervsliv med
og sikre, at danske løsninger leverer for både danskerne og ude i verden. Derfor vil Danmark i det kom-
mende år bl.a.:
Boks 50
Samarbejde med
erhvervet om
grønne løsninger,
der gør en forskel
Styrke myndighedsindsatsen for eksport i EU
Der er med Eksportpakken afsat 15 mio. kr. årligt i 2020 og 2021 til Eksport- og Jobskabelses-taskforcen, som bl.a. skal sikre
en styrket myndighedsindsats i forhold til at sikre danske virksomheders deltagelse i EU’s genopretningsplaner, herunder i en
grøn retning, samt fjerne barrierer på EU’s indre marked.
Styrke grønt økonomisk diplomati og eksportindsatsen for
både drivhusgasreduktioner og klimatilpasning
Danske løsninger for både drivhusgasreduktioner og klimatilpasning skal i endnu højere grad i spil globalt. Regeringen vil
styrke grønt økonomisk diplomati og investerings- og eksportfremme gennem en bred pallette bestående af bl.a. regeringens
Eksport- og Jobskabelses Task Force, eksport- og investeringspakken, genstartsteams, ansættelse af grønne sektorrådgivere
og grønne eksportfremstød, indsatser for små- og mellemstore virksomheder, styrket samarbejde med forsyningsselskaber i
eksport- og myndighedssamarbejdet, samt via nyt værktøj til at fremme grønne investeringer.
Præge den europæiske brintalliance i en grøn retning
Regeringen vil melde sig aktivt ind i den europæiske brintalliance for at præge alliancen i en grøn retning og bane vej for, at
danske virksomheder bliver en del af fremtidens grønne europæiske værdikæder.
Etablere Danmarks Grønne Fremtidsfond
Med en samlet ramme på 25 mia. kr. skal Danmarks Grønne Fremtidsfond bidrage til udvikling og udbredelse af nye teknolo-
gier, der bidrager til reduktion af drivhusgasudledning, samt klimatilpasning og fremme af global eksport af grøn teknologi.
Dette indebærer bl.a. omlægning af energisystemer til vedvarende energi, lagring og effektiv anvendelse af energi mv. og
fremme af global eksport af grøn teknologi, særligt inden for vind.
Styrke indsatsen for forskning og udvikling og hjemtagning af viden på klimaområdet
Regeringen ønsker at indgå samarbejdsaftaler inden for forskningsområdet med USA og Sydkorea om henholdsvis energi og
klima og vil afholde højniveaumøder med Sydafrika, Kina og Indien for at styrke den grønne retning i samarbejdet.
KEF, Alm.del - 2020-21 - Bilag 38: Klimaprogram 2020 i web-tilgængelig version
2267578_0111.png
8. glObal stRategi
111
KEF, Alm.del - 2020-21 - Bilag 38: Klimaprogram 2020 i web-tilgængelig version
2267578_0112.png
112
KLIMAPROGRAM 2020
9. Klimarådets anbefalinger
og regeringens stillingtagen
Efter gennemgangen af regeringens klimapolitik vil dette kapitel i henhold til klimaloven redegøre for Klima-
rådets årlige anbefalinger til den fremadrettede klimaindsats samt opsummere klima-, energi- og forsynings-
ministerens stillingstagen til anbefalingerne. Kapitlet tager udgangspunkt i Klimarådets anbefalinger som
opsummeret i boks 1.1 i rådets rapport
Kendte veje og nye spor til 70 procents reduktion. Retning og tiltag for
de næste ti års klimaindsats i Danmark
fra marts 2020. Gennemgangen viser, at en del af Klimarådets anbe-
falinger følges op med bl.a. aftalen om sektorstrategi for energi og industri, ligesom der vil ske en yderligere
stillingstagen til rådets anbefalinger med udarbejdelsen af den resterende del af klimahandlingsplanen 2020.
Regeringens arbejdsmetode
Tabel 15
Anbefaling
Alle relevante lovforslag, men også større offent-
lige anlægsinvesteringer og øvrige beslutninger
om infrastruktur, bør konsekvensberegnes for
klimaeffekter.
Ministerens stillingtagen til anbefalingerne
Regeringen har implementeret en screening af det årlige lovprogram for
grønne effekter, hvormed alle relevante lovforslag konsekvensberegnes for
klimaeffekter.
Den anvendte CO
2
-pris i samfundsøkonomiske beregninger fastsættes ud fra
faglige betragtninger om, hvad den samfundsøkonomiske omkostning er ved
at udlede drivhusgasser. Forskellen mellem den i dag fastsatte beregningspris
og omkostningerne ved besluttede reduktionstiltag kan forstås som den bedst
tilgængelige proxy for den politiske betalingsvilje ved at reducere CO
2
. Finansmi-
nisteriet finder det vigtigt at bevare dette mål for betalingsvillighed i forhold til 70
pct. målsætningen. Der er på den baggrund ikke planer om at ændre den i dag
gældende fastsættelsesmetode for prisen på drivhusgasser.
Det vurderes dog vigtigt, at der kan evalueres initiativer op i mod 70 pct. målsæt-
ningen i alle sammenhænge – også når initiativer ikke i første omgang er tænkt
som en del af en klimahandlingsplan. For at understøtte dette hensyn, indføres
der i Finansministeriets vejledning til samfundsøkonomiske konsekvensvurderin-
ger et krav om, at der ved samfundsøkonomiske analyser altid skal afrapporteres
skyggepriser, samt præsenteres følsomhedsberegninger for det samfundsøko-
nomiske resultat ved brug af andre CO
2
-priser end den anbefalede af Finansmini-
steriet. Dette skal understøtte, at det for alle initiativer bliver muligt at vurdere om
de er en god investering set i forhold til 70 pct. målsætningen.
Klimarådets
anbefalinger:
Regeringens
arbejdsmetode
Samfundsøkonomiske beregninger, der under-
støtter beslutninger om offentlige projekter, bør
udføres med en pris på drivhusgasser, der er
konsistent med 70-procentsmålet. Prisen skal efter
Klimarådets vurdering op i nærheden af 1.500 kr. pr
ton. Det svarer til skønnet for de marginale omkost-
ninger for de omstillingselementer, der skal bruges
for at indfri 70-procentsmålet.
Forskning
Tabel 16
Anbefaling
Ministerens stillingtagen til anbefalingerne
Med
Klimaaftale for energi og industri mv.
af 22. juni 2020 lægges der op til en styrkelse af de
grønne teknologier.
Der er i aftalen afsat en teknologineutral markedsbaseret pulje på årligt 815 mio. kr. til CCS og
CCU projekter, som kan fremme teknologierne og skabe drivhusgasreduktioner. Puljen indfases
fra 2024 og det forventes at puljen i vil føre til årlige CO
2
reduktioner på 0,9 mio. ton fra 2030.
Klimarådets
anbefalinger:
Forskning
Der bør fokuseres på en massiv
og strategisk indsats inden for
forskning og udvikling samt demon-
stration og markedsmodning af nye
teknologier, der kan tage resten af
vejen til 2030-målet, især: CO
2
-fangst
og lagring, på landbrugs- og fødeva-
reområdet, den tunge vejtransport,
skibe, fly og i industrien.
I forhold til PtX er klimaaftalens desuden enige om, at provenuet fra en VE aftale med Holland
(min. 750 mio. kr.) skal finansiere en tilskudsordning til PtX-projekter.
Der skal senest i 2030 etableres 2 energiøer med en samlet et kapacitet på 5 GW og mulighed
for senere udbygning. Det er intentionen, at VE fra øerne på sigt også skal anvendes til brintpro-
duktion og anden PtX.
Regeringen vil desuden fremlægge en samlet strategi for CO
2
-fangst, lagring og anvendelse
(CCUS) og PtX i Danmark.   
Endelig har regeringen fremlagt en grøn forskningsstrategi der sætter strategisk retning for grøn
forskning, innovation, udvikling og demonstration. Strategien skal sikre, at indsatsen på bedst
mulig vis understøtter den grønne omstilling i Danmark og globalt, og bidrager til at realisere
Danmarks klimamål.
Strategien indeholder bl.a. en ny
missions-orienteret
tilgang, der skal understøtte en målrettet og
accelereret udvikling af nye løsninger til grøn omstilling af udvalgte sektorer, hvor der er identifi-
ceret særlige udfordringer, som ikke kan håndteres effektivt med nuværende teknologier.
KEF, Alm.del - 2020-21 - Bilag 38: Klimaprogram 2020 i web-tilgængelig version
2267578_0113.png
9. klimaRådets anbefalingeR Og RegeRingens stillingtagen
113
Drivhusgasafgift
Tabel 17
Anbefaling
Ministerens stillingtagen til anbefalingerne
Regeringen deler ambitionen om ensartet beskatning af CO
2
e-udledning.
Det vil kræve betydeligt udviklingsarbejde at beskatte emissioner, der
i dag ikke er afgiftspålagt, herunder afgiftsfritagede udledninger som
olieindvinding og -raffinering samt landbrugets ikke energirelaterede
udledninger.
På den baggrund foreslår regeringen, at en grøn skattereform inddeles i
faser, hvor første fase kan tage udgangspunkt i en højere og mere ens-
artet beskatning af CO
2
e-udledninger i det eksisterende afgiftssystem,
mens efterfølgende faser kan omfatte udvidelser af afgiftsgrundlaget
til områder, der er relativt veldefinerede samt områder, der i dag ikke er
afgiftspålagt. Dermed vil virksomheder og borgere også have mulighed
for tidligt at tilpasse sig de højere afgifter.
Klimarådets
anbefalinger:
Drivhusgasafgift
Afgiftssystemet på klima- og energiområdet bør
reformeres, så fokus lægges på drivhusgasser, så
en fremtidig, ensartet drivhusgasafgift har et niveau,
der er væsentlig højere end summen af energi- og
CO
2
-afgiften i dag. Afgiftsniveauet bør annonceres nu
og indfases løbende over en årrække, for at virksom-
heder og borgere tidligt kan tilpasse sig til de højere
afgifter.
Virksomheder i brancher med stor international
konkurrence bør gives et bundfradrag for at begrænse
kulstoflækage. Bundfradraget kan i visse brancher
med fordel gøres produktionsafhængigt, så reduceret
produktion sænker fradraget. For disse brancher
bør fradraget modsvares af en tilsvarende afgift på
forbruget af branchens produkter, uanset om de er
dansk eller udenlandsk produceret. Det kan især være
aktuelt for varer som oksekød og cement, som hand-
les internationalt og har et stort klimaaftryk.
Afgifter og fradrag skal også gælde landbruget, når
der er udviklet et nogenlunde retvisende regnskab for
den enkelte bedrifts udledninger. På den korte bane
skal landbruget tilskyndes til mere klimavenlig pro-
duktion gennem en mere simpel afgiftsmodel eller en
bred vifte af virkemidler som fx krav til bestemte grøn-
ne teknologier og tilskud til deres implementering.
Regeringen vil se nærmere på, hvilke tiltag, der evt. kan afbøde konse-
kvenserne for virksomheder i brancher med stor international konkurren-
ce.
Data om udledninger fra landbruget skal udbygges og forbedres. Regerin-
gen har med aftaleparterne i sektorstrategi for energi og industri afsat 5
mio. kr., som skal bidrage til udviklingen af klimaregnskaber på bedrifts-
niveau og understøtte en omkostningseffektiv regulering af landbrugets
drivhusgasudledning.
Regeringen bør i fremlæggelsen af sit årlige kli-
maprogram også lave et skøn for den nødvendige
forhøjelse af
drivhusgasafgiften, hvis udviklingssporets tiltag
ikke ser ud til at give den forventede effekt. En så-
dan afgiftssats kan illustrere, hvad der kræves for
at nå 70-procentsmålet, og skabe troværdighed om
målet, også hvis det kræver skrappere virkemidler.
Der er mangle hensyn, der skal tages på vejen mod indfrielse af 70
pct.-målsætningen. Der vil også skulle ses på andre værktøjer end
afgifter. Desuden ligger der er stort udviklingsarbejde i at få beskattet
udledninger, der i dag ikke er afgiftspålagt. En given afgiftssats er
dermed ikke et mål i sig selv, hvorfor regeringen ikke vil komme med
løbende vurderinger af, hvad afgiften bør være.
KEF, Alm.del - 2020-21 - Bilag 38: Klimaprogram 2020 i web-tilgængelig version
2267578_0114.png
114
KLIMAPROGRAM 2020
Energi, byggeri og industri
Tabel 18
Tema
Anbefaling
Der bør vedtages et stop for afbrænding af kul til
el- og fjernvarmeproduktion snarest muligt og inden
2025, i lyset af behovet for hurtige reduktioner og
den relativt lave pris på kuludfasning. Dette stop
bør effektueres gennem et decideret forbud eller
gennem andre rammevilkår, der enten umuliggør
fortsat kuldrift, eller gør kul klart mindre attraktivt
end alternativerne.
Udbud og idriftsættelse af havvindmølleparker vedta-
get i regi af energiaftalen fra 2018 bør fremrykkes, og
der bør vedtages yderligere udbud af i første omgang
3 GW havvindmølleparker til idriftsættelse snarest
muligt. Der bør samtidig forberedes yderligere udbud
til det ekstra elforbrug.
De nuværende udbud af projekter med landvind,
kystnær havvind og sol bør fortsætte i auktioner, så
længe der ikke etableres betydelig kapacitet af hver
af teknologierne på markedsvilkår.
Ministerens stillingtagen til anbefalingerne
Der er med Energiaftalen fra 2018 sat et mål om at
udfase kul fra elproduktion inden 2030, som forven-
tes opfyldt. Med Ørsteds beslutning om at udfase
kul fra deres kraftværker i 2023 og Fjernvarme Fyns
beslutning om at udfase kul i 2022, udestår alene
Nordjyllandsværket, som har en plan for udfasning
af kul i 2028. En forceret udfasning vurderes at have
relativt høje omkostninger, ligesom der kan være
tekniske udfordringer.
Klimarådets
anbefalinger:
Energi- og
industrisektoren
Kuludfasning
Anbefalingerne om fremrykning (af park 2 fra ener-
giaftale 2018) og etablering af havvind er imødekom-
met med sektorstrategien for energi og industri, som
ligeledes indeholder flere ressourcer til behandling af
klagesager om etablering af vedvarende energi.
Grøn strøm
Der bør sikres tilstrækkelige midler til behandling af
klagesager, så udbygningen med vedvarende energi-
projekter ikke strander i sagsbehandling.
Regeringen bør udarbejde en strategi for udbredelse
af energilagring og fleksibelt elforbrug, som kan
sikre balancen i elforsyningen, bidrage til at sikre for-
syningen i perioder uden sol og vind og understøtte
en reduktion af brændselsfyrede anlæg.
Regeringen bør udarbejde en ny kompensationsmo-
del for transmissionsprojekter, der kan sikre folkelig
accept i lokalområderne af etableringen af yderligere
højspændingsluftledninger.
Afgiften på elektricitet anvendt til opvarmning bør
sænkes til 10 øre pr. kWh i 2022 og videre til 5 øre
pr. kWh i 2023 som konsekvens af lavere støtte til
elproduktion baseret på vedvarende energi.
Der bør indføres fleksible tariffer i elnettet, der er
tidsmæssigt og regionalt differentierede, så de
afspejler de faktiske omkostninger til brug af både
transmissions- og distributionsnet.
I forlængelse af de første to punkter anbefaler Klima-
rådet desuden, at kraftvarmekravet og brændselsbin-
dingerne på fjernvarmeområdet udfases.
Afgiften på certificeret overskudsvarme bør afskaf-
fes.
CO
2
-prisen i de samfundsøkonomiske beregnings-
forudsætninger, der anvendes ved godkendelse af
fjernvarmeprojekter, skal afspejle omkostningerne
ved at opfylde 70-procentsmålet.
De regler, der binder visse varmekunder til naturgas,
bør fjernes hurtigst muligt.
Regeringen bør se på reglerne for afkobling fra
naturgasnettet med henblik på at gøre det billigere
for borgerne at udfase deres naturgasfyr.
Strategien indeholder også fortsættelse af de
teknologineutrale udbud og analyse af et evt. fortsat
støttebehov.
Endeligt forpligter sektorstrategien regeringen til at
præsentere initiativer, der understøtter den fortsatte
udvikling af elinfrastrukturen.
Grøn varme
Sektorstrategien for energi og industri imødekommer
flere af Klimarådets anbefalinger, herunder udfasning
af kraftvarmekravet og brændselsbindingen til
naturgas og fjernelse af afgiften på certificeret over-
skudsvarme. Dertil fjernes forbrugerbindingerne til
naturgas, og det gøres billigere for borgerne at udfase
deres naturgasfyr. Med aftalen reduceres elvarme-
afgiften til EU’s minimumssatser (0,8 øre pr. kWh for
husholdninger og 0,4 øre pr. kWh for erhverv) allerede
i 2021 mhp. at indfri CO
2
-reduktioner og samfunds-
økonomiske gevinster. Med sektorstrategien justeres
samfundsøkonomikravet også, så fjernvarmepro-
jekter kan godkendes uden en sammenligning med
fossile alternativer.
KEF, Alm.del - 2020-21 - Bilag 38: Klimaprogram 2020 i web-tilgængelig version
2267578_0115.png
9. klimaRådets anbefalingeR Og RegeRingens stillingtagen
115
Industriens energispareordning, den såkaldte
aftaleordning, bør genindføres med særligt fokus på
CO
2
-besparelser.
Bygningsreglementets krav om energieffektivisering
ved ombygninger bør håndhæves gennem stikprø-
vekontrol kombineret med bøde eller påbud, hvis
reglementet ikke overholdes.
Der bør ydes hjælp til optimering af bygningers
tekniske installationer fx gennem bedre information
om energisparepotentialerne og tilbud om gratis
energitjek
Finansieringsløsninger gennem energiservice-virk-
somheder (ESCO) bør fremmes fx ved at give mere
vejledning om ordningen med eksempler fra konkre-
te cases i Danmark.
Med sektorstrategien for energi og industri afsættes
2,5 mia. kr. fra 2020-30 målrettet CO
2
-reduktioner i
erhverv og industri bl.a. med fokus på energieffektivi-
sering af produktionsprocesser, der ikke umiddelbart
kan elektrificeres.
Hvad angår anbefalingen om efterlevelse af bygnings-
reglementet er der iværksat en ny analyse mhp. at
kortlægge efterlevelsen, hvorefter der vil blive taget
stilling til resultaterne.
Energieffekti-
viseringer
Dertil laves en målrettet energieffektiviseringsindsats,
som bl.a. kan bidrage til, at indsatsen bringes ind i
den digitale tidsalder og understøtte smart styring af
bygningers tekniske installationer.
Der bør stilles krav til energirenovering af kom-
munale og regionale bygninger. Samtidig bør det
undersøges, om man kan undtage investeringer i
energieffektivisering og bedre indeklima fra anlægs-
loftet, hvis disse investeringer betaler sig hjem inden
for en given periode.
Energistyrelsen har allerede udarbejdet vejledning om
ESCO, som er tilgængelig på SparEnergi.dk.
Regeringen forventer at igangsætte en dialog med
kommuner og regioner om energirenoveringsindsat-
sen og har ophævet anlægsloftet i 2020 og ekstraor-
dinært hævet anlægsloftet i 2021.
Der bør igangsættes et eller flere udbud af biogas-
produktion, så den samlede produktion stiger til
omkring 35 PJ i 2025.
Støtteordningen til elproduktion med brug af biogas
bør ændres, så den giver de korrekte samfundsøko-
nomiske incitamenter til kun at anvende biogas til
elproduktion, når vinden ikke blæser, eller solen ikke
skinner. Dette kan være i form af et reduceret tilskud
oven i markedsprisen på el svarende til støtten til ny,
anden vedvarende energi, som fx havvind.
Der bør snarest muligt indføres krav om at reducere
udslip fra biogasanlæg til et minimum, og kun bio-
gasanlæg, der opfylder kravene, bør kunne modtage
støtte.
Der bør udføres præcise målinger af udslippene fra
biogasanlæggene, således at lækageraten i Dan-
marks officielle emissionsopgørelser til EU og FN
kan ændres baseret på denne konkrete dokumen-
tation.
Biogas
Med sektorstrategien for energi og industri afsættes
12,8 mia. kr. over 20 år til støtteudbud af biogas.
Udbuddene skal bidrage til øget konkurrence, lavere
omkostninger og dermed reduceret støtteniveau. Det
vurderes, at det vil kunne øge udnyttelsen af biogas
med 10 PJ i 2030. Med lukning af de eksisterende
støtteordninger for biogas, hvorved eksisterende
anlæg har skulle søge om tilsagn senest d. 1. juli
2020, kortlægges den samlede forventede produktion
af biogas.
Hvad angår anbefaling om krav om at reducere udslip
fra biogasanlæg, er der indført lovhjemmel til at
kunne stille krav, og der pågår et arbejde vedrørende
måleprogrammer med henblik på at kunne formulere
disse krav.
KEF, Alm.del - 2020-21 - Bilag 38: Klimaprogram 2020 i web-tilgængelig version
2267578_0116.png
116
KLIMAPROGRAM 2020
Affaldssektoren
Tabel 19
Anbefaling
Ministerens stillingtagen til anbefalingerne
Med sektorstrategien for affald strømlines og øges indsamlingen af offentlige og
private virksomheders affald ved at indføre en omkostningseffektiv meldeord-
ning for virksomheders affaldsordninger, samt krav om, at virksomheder sorterer
husholdningslignende affald efter samme sorteringskriterier som husholdningerne
og efterlever de til enhver tid gældende miljøkrav. Ordningen skal træde i kraft
inden udgangen af 2022. Der laves en ny model for affaldstilsyn, der skal sikre,
at erhvervet overholder eksisterende krav om kildesortering af genanvendeligt
affald. Mindre virksomheder, der genererer affald svarende i art og mængde til
husholdninger, gives frit valg til at vælge de kommunale indsamlingsordninger til
genanvendeligt affald.
Med sektorstrategien for affald bliver affaldsstrømmene fra husholdninger og virk-
somheder samlet og organiseret mere ensartet. Rammevilkårene for affaldssek-
toren skal indrettes, så der fremadrettet investeres i genanvendelsesanlæg frem
for forbrændingsanlæg. Der fastsættes et krav i affaldsbekendtgørelsen om, at
kommunerne senest 1. januar 2022 som minimum skal stille krav om 60 pct. reel
genanvendelse af det indsamlede plastikaffald, når affaldet udbydes til behandling.
I 2021 skal der træffes beslutning om organiseringsmodellen for den nationale
implementering af det udvidede producentansvar for emballage samt fastlæggelse
af de modulerede gebyrer, der skal give producenterne økonomisk incitament til at
designe emballager til genanvendelse.
Anbefalingen vurderes ikke at være et hensigtsmæssigt tiltag, da det risikerer
at sende et budskab til industrien samt affaldssektoren, som kunne lede til en stag-
nering i udviklingen på området. Regeringens tiltag på området søger at fremme
mere genanvendelse af plast gennem bl.a. cirkulært design, herunder en udfasning
af især plastemballager, der ikke nemt genanvendes. Derudover arbejder regerin-
gen for, at plastikaffald skal håndteres inden for Europas grænser.
Klimarådets
anbefalinger:
Affaldssektoren
Der bør stilles krav til virksomheder om, at
de enten selv sorterer og håndterer deres
affald eller skal tilvælge de kommunale
affaldsordninger, og at de lovmæssigt får
mulighed herfor.
Der bør udarbejdes ny regulering, der sikrer,
at plastemballage reelt kan genanvendes.
Det bør overvejes, om den ikke-genanven-
delige andel af den udsorterede plast kan
oplagres i Danmark, indtil det kan sikres, at
plasten kan behandles forsvarligt.
KEF, Alm.del - 2020-21 - Bilag 38: Klimaprogram 2020 i web-tilgængelig version
2267578_0117.png
9. klimaRådets anbefalingeR Og RegeRingens stillingtagen
117
Transportsektoren
Tabel 20
Anbefaling
Ministerens stillingtagen til anbefalingerne
Regeringen arbejder for et stop for salg af benzin- og dieselbiler fra 2030. Det
er dog ikke foreneligt med den gældende typegodkendelseslovgivning i EU at
gennemføre et fuldstændigt forbud mod markedsføring, import eller registrering
af nye benzin- og dieselbiler i et medlemsland. Regeringen arbejder derfor for, at
Kommissionen fremlægger en ambitiøs og bredspektret strategi for, hvordan EU
kan fremme den grønne omstilling af transportsektoren, herunder en klar plan for
udfasning af benzin og dieselbiler i EU. Regeringen arbejder bl.a. også for stren-
gere CO
2
-krav for lette og tunge køretøjer, inklusion af vejtransporten i kvotesek-
toren, fremme af nødvendige infrastruktur og alternative brændstoffer, herunder
Power-to-X. og en ambitiøs tilgang til batterier. Regeringen vil desuden arbejde for
oprettelsen af en alliance blandt ligesindede EU-medlemslande, der kan presse på
for at fremme udfasningsdagsorden i EU.
Regeringen ønsker at sikre gode og stabile rammevilkår for bilafgifterne, som un-
derstøtter, at så mange danskere som muligt bliver en del af den grønne omstilling
samtidig med, at vi bevarer trygheden for bilejerne og mobiliteten i samfundet. Det
er samtidig vigtigt for regeringen, at den grønne omstilling er økonomisk ansvarlig
og giver størst mulig CO
2
-reduktion for pengene.
Klimarådets anbefalinger til ændring af bilafgifterne og kontante tilskud ved køb
af el- og plug-in hybridbiler skønnes at indebære et væsentlig mindreprovenu for
staten og er samtidig forbundet med en væsentlig omkostning pr. reduceret ton
CO
2
i 2030. Desuden kan kontante tilskud til køb af elbiler medføre en betydelig
risiko for, at elbilerne eksporteres efter udbetaling af tilskuddet.
Med afsæt i Bilkommissionens anbefalinger på afgiftsområdet vil regeringen
arbejde for en bred aftale, der sikrer langsigtede rammevilkår for bilbranchen og
bilejerne samt ro om bilafgifterne i den grønne omstilling af personbiler.
Klimarådets
anbefalinger:
Transportsektoren
Annoncering af initiativer, der skal sikre et
stop for salg af personbiler, som helt eller
delvist drives af benzin eller diesel
Der bør på den korte bane gives et økono-
misk skub til elbiler og andre nuludlednings-
biler. Det nuværende batterifradrag til elbiler
i registreringsafgiften bør gøres permanent
og aftrappes i takt med, at prisen på batte-
rier falder. Køb af en elbil bør udløse et fast
tilskud uanset bilens størrelse.
Der bør udarbejdes en pakke med en række
tiltag for at skabe et mere gennemsigtigt og
konkurrencepræget marked for ladning af
elbiler. Pakken bør bl.a. adressere ligestilling
af elafgifter for alle elbilister samt bedre
muligheder og rammevilkår for at opstille
ladestandere. Der bør også sikres en
tilstrækkelig ladeinfrastruktur i både byer
og på motorvejsnettet. Dette kan fx ske ved
at lave et udbud for hurtig- og lynladere ved
bestemte placeringer, hvor udbuddet kan
resultere enten i en afgift til staten eller i
støtte til operatøren.
Aftalepartierne bag Energiaftalen for 2018 har besluttet af udmønte 50 mio. kr. fra
puljen til grøn transport til ladestandere. Denne pulje har aftalepartierne bag aftale
om sektorstrategi for energi og industri besluttet at forhøje med 50 mio. kr. i 2020.
Samtidig fremrykkes udmøntningen af de resterende midler i puljen til 2020 og
2021. Bilkommissionen forventes desuden at komme med anbefalinger til ladein-
frastrukturen i deres næste rapport senere på året, hvorefter regeringen forventer
at skulle drøfte initiativer på området sammen med Folketingets partier.
Det bør overvejes at indføre miljøzoner i
byer for at fremme salget af CO
2
-neutrale
lastbiler
Der er indført skærpede miljøzoner for tunge køretøjer. De fleste køretøjsejere lever
op til reglerne ved at købe nye køretøjer, og derved bidrager miljøzoner indirekte
til at forny bilparken med potentialer for CO
2
-reduktioner. Transport- og Boligmini-
steriet har sammen med Miljø- og Fødevareministeriet og Københavns Kommune
indgået et klimapartnerskab, hvor det skal undersøges, hvordan nulemissionszoner
kan etableres som forsøgsordning
KEF, Alm.del - 2020-21 - Bilag 38: Klimaprogram 2020 i web-tilgængelig version
2267578_0118.png
118
KLIMAPROGRAM 2020
Land- og skovbrugssektoren
Tabel 21
Anbefaling
Den nuværende udtagningsordning for kulstofrige lav-
bundsjorder skal spille en mere væsentlig rolle i frem-
tiden end i dag. Det kræver dog, at ordningen løbende
forbedres, hvis den for alvor skal få effekt.
Ministerens stillingtagen til anbefalingerne
Klimarådets
anbefalinger:
Land- og
skovbrugssektoren
Der bør så hurtigt som muligt skabes bedre viden om
emissionsfaktorer og faktiske arealforhold.
Udtagningen af lavbundsjorder bør dog ikke sættes i
bero, indtil denne viden foreligger.
Udtag af kulstofrige lavbundsjorde er et væsentligt virkemiddel til at
nedbringe landbrugets udledninger. Potentiale og model for yderligere
udtag vil blive undersøgt og kvalificeret i forbindelse med den kommen-
de sektorstrategi for landbruget.
Udtagningsordningen bør organiseres, så den er til-
strækkeligt fleksibel til at kunne håndtere den nye viden
om forskellige jordtypers emissionsfaktorer, i takt med
at den bliver tilgængelig.
Afgifter og fradrag skal også gælde landbruget, når der
er udviklet et nogenlunde retvisende regnskab for den
enkelte bedrifts udledninger. På den korte bane skal
landbruget tilskyndes til mere klimavenlig produktion
gennem en mere simpel afgiftsmodel eller en bred vifte
af virkemidler som fx krav til bestemte grønne teknolo-
gier og tilskud til deres implementering.
Data om udledninger fra landbruget skal udbygges og forbedres. Re-
geringen har med aftaleparterne i sektorstrategi for energi og industri
afsat 5 mio. kr., som skal bidrage til udviklingen af klimaregnskaber
på bedriftsniveau og understøtte en omkostningseffektiv regulering af
landbrugets drivhusgasudledning.
Klimarådets anbefalinger: Klimavenlig adfærd
Tabel 22
Klimavenlig
adfærd
Anbefaling
Alle danske kommuner og regioner bør udarbejde klima-
strategier, der giver klare retningslinjer for klimavenlige
valg i fx kantiner, transport, byggeri og indkøb. Strate-
gierne bør følges op af monitorering, så det er tydeligt,
om strategierne følges og målsætningerne nås.
Ministerens stillingtagen til anbefalingerne
Regeringen ser positivt på, at alle kommuner potentielt får udarbejdet
en klimastrategi, og at dette arbejde koordineres på tværs af kommu-
nerne fx i regi af Kommunernes Landsforening.
Staten bør videreudvikle retningslinjer og værktøjer for
grønne indkøb, som kommuner og regioner kan benytte
sig af. Det gælder fx et værktøj til at beregne kommu-
nens klimaaftryk, både inden og uden for kommunens
territorium.
Staten går med Strategi for grønne offentlige indkøb foran med
strategier og initiativer for grønne indkøb samt værktøjer til at følge
udviklingen af den grønne omstilling. Regeringen inviterer kommuner
og regioner til at følge med i den grønne retning. Der bliver i forbindelse
med strategien udviklet en beregningsmodel til at opgøre drivhusgas-
udledninger fra det statslige indkøb, og det er en ambition, at bereg-
ningsmodellen på sigt også kan anvendes af kommuner og regioner til
at beregne drivhusgasudledningen af deres indkøb.
Regeringen vil senere på året komme med et udspil til en sektorstrategi
for landbruget.
Der ses løbende forsøgsordninger støttet af statslige puljemidler under
Transportministeriet. I Frederikshavn, Hjørring og Aalborg er der fx
indledt et samarbejde med samkørselstjenesten GoMore om at få flere
til at kombinere kollektiv trafik og samkørsel. Der har yderligere været
tildelt puljemidler til forsøg i Nordjylland med udvidelse af Rejseplanen
til også at omfatte private transportformer, såsom samkørselstjenester.
Afgifter på klimabelastende fødevarer
Incitamenter til øget samkørsel
KEF, Alm.del - 2020-21 - Bilag 38: Klimaprogram 2020 i web-tilgængelig version
2267578_0119.png
9. klimaRådets anbefalingeR Og RegeRingens stillingtagen
119
KEF, Alm.del - 2020-21 - Bilag 38: Klimaprogram 2020 i web-tilgængelig version
2267578_0120.png
120
KLIMAPROGRAM 2020
KEF, Alm.del - 2020-21 - Bilag 38: Klimaprogram 2020 i web-tilgængelig version
2267578_0121.png
KLIMAPROGRAM 2020
121
KEF, Alm.del - 2020-21 - Bilag 38: Klimaprogram 2020 i web-tilgængelig version
2267578_0122.png
122
KLIMAPROGRAM 2020
KEF, Alm.del - 2020-21 - Bilag 38: Klimaprogram 2020 i web-tilgængelig version
2267578_0123.png
KLIMAPROGRAM 2020
123
september 2020
klima-, energi- og forsyningsministeriet
Holmens kanal 20, 1060 københavn
tlf. : +45 33 92 28 00
e-mail: [email protected]
isbn 978-87-92555-09-0 (digital version)
isbn 978-87-92555-10-6 (trykt version)
publikationen kan hentes på www.kefm.dk
KEF, Alm.del - 2020-21 - Bilag 38: Klimaprogram 2020 i web-tilgængelig version
2267578_0124.png
Klima-, Energi- og Forsyningsministeriet
Holmens kanal 20, 1060 københavn
tlf. : +45 33 92 28 00
e-mail: [email protected]