Klima-, Energi- og Forsyningsudvalget 2020-21
KEF Alm.del Bilag 109
Offentligt
2300223_0001.png
Kommentarer til DCA-rapport 277
”Vidensyntese om Conservation Agriculture”
1. december 2020
FRDK så meget frem til at modtage DCA-rapport 277 som den første af sin slags herhjemme.
Vi har også meget positivt at sige om den:
den kommer godt omkring alle de væsentlige forhold, der knytter an til
Conservation Agriculture (CA)
langt de fleste emner, den behandler, har fået en så grundig behandling som muligt
set i lyset af de ret sparsomme data, der findes herhjemme fra forskning, forsøg og
projekter
i det meste bekræfter den også det, vores medlemmer har erfaret i praksis og det, vi
ved fra internationale kilder – det være sig forskere, konsulenter som landmænd
i konklusionerne påpeges, at der er brug for meget mere viden fra forskning, forsøg
og praksis hos CA-landmænd. Det kræver øgede bevillinger i takt med den
betydeligt øgede interesse hos danske landmænd
Det vil vi gerne anerkende de mange forskere for, som har lavet forsøg, håndteret kilder,
data og skrevet rapporten.
MEN vi har også
nogle væsentlige indvendinger:
definitionen af CA er i Vidensyntesen ikke helt entydig. Derfor er rapportens udsagn
på nogle områder måske mindre retvisende, end hvis der var anvendt en entydig
definition, der udelukker harvning
opgørelsen af forbruget af herbicider (ukrudtsmidler) hos 29 pløjefri/CA-landmænd
sammenlignet med samtlige danske konventionelle landmænds forbrug kaldes
fejlagtigt i rapportens ”Oversigt” for ”pesticider” – der burde have stået ”Herbicider”
i ”Oversigten”.
selvom der forelå data for forbruget af insekticider (insektmidler) og fungicider
(svampemidler) fra de ovennævnte 29 landmænd, er disse ikke anvendt til
sammenligninger lige som for herbicider. Det er nemlig særligt insekticider og til dels
fungicider, at CA-landmænd har et lavere forbrug, fordi behovet for bekæmpelse
falder efter omlægningen til CA-dyrkning
Det følgende er
uddybende bemærkninger til det problematiske i rapporten:
Som ganske rigtigt anført i rapporten er CA et dyrkningsprincip, i hvilket
jorden
bearbejdes minimalt
(kun direkte såning eller smal stribesåning), der
altid er
plantedække, efterladt halm
og et
sundt sædskifte.
Der kan med andre ord end ikke
udføres overfladisk jordbearbejdning af hele arealet med nogle former for harver. I
KEF, Alm.del - 2020-21 - Bilag 109: Henvendelse af 8/12-20 fra Foreningen for Reduceret jordbearbejdning i DanmarK (FRDK) om forbruget af pesticider hos CA-landmændene sammenlignet med alle danske landmænd
2300223_0002.png
rapporten anføres, at overfladisk harvning (til maks. 10 cm dybde) kan indgå i CA-
princippet. Det er IKKE en korrekt definition af CA. Al fladebearbejdning af jorden
med harve har stor betydning for omsætningen af næringsstoffer, for biodiversiteten
og ikke mindst for behovet for at bekæmpe ukrudt. Desuden øger jordbearbejdning
risikoen for erosion markant. Derfor kan brug af data fra forsøg og forskning, hvori
harvning af jorden indgår, ikke bruges til at beskrive og konkludere noget om CA-
systemets fordele/ulemper.
Vi anser det selvfølgelig for meget vigtigt at sammenligne forbruget af pesticider
mellem systemer – især fordi det samfundsmæssigt er et vedvarende og ofte
hensigtsmæssigt krav til landbruget, såfremt der er bedre alternativer. Endvidere er
det også økonomisk attraktivt for landmændene at sprøjte så lidt som muligt. CA-
landmænd er generelt meget optaget af at bruge færrest mulige pesticider og at lade
økosystemerne i marken gøre så meget som muligt. Af rapporten fremgår det, som
forventet, også, at det fagligt teoretisk betragtet synes muligt at sænke forbruget af
herbicider, insekticider og måske også fungicider. Men desværre konkluderer
forskerne i rapportens oversigt udelukkende for herbicider.
Hos de 29 CA-landmænd blev der også hentet data for brug af insekticider og
fungicider i samme årrække som for herbicider. Det vil sige, at datagrundlaget for
sammenligning var lige godt for alle tre typer af pesticider – og det er derfor
uforståeligt, at der i vidensyntesen alene er beregnet for herbicider.
Det fremgår af de indsamlede data, at hos 18 af de 27 landmænd, der i 2019 dyrkede
vinterhvede, blev der ikke anvendt insekticid. Det svarer til
67 procent ikke brugte
insekticid i deres vinterhvede
dyrket til høst 2019 (se figur 1 herunder).
Figur 1. Pesticidbelastning (B) ved dyrkning af vinterhvede i 2019 hos 29 CA-landmænd.
KEF, Alm.del - 2020-21 - Bilag 109: Henvendelse af 8/12-20 fra Foreningen for Reduceret jordbearbejdning i DanmarK (FRDK) om forbruget af pesticider hos CA-landmændene sammenlignet med alle danske landmænd
2300223_0003.png
Stor variation i forbrug af pesticider mellem CA-landmænd
Det fremgår også af figur 1 på foregående side, at der mellem CA-landmændene er tale om
en meget stor variation i totalt belastningsindeks i vinterhvede.
Laveste belastningsindeks er blot 0,75 og højeste hele 5,1. Det vægtede gennemsnit er 3,2.
Men vigtigt at bemærke er, at
som gennemsnit af de 29 landmænd udgør glyfosat kun 4,6
procent af den samlede pesticidbelastning.
Forbruget af insekticider hos de otte
landmænd, der overhovedet sprøjtede mod skadedyr, har også en meget lav belastning i
forhold til øvrige herbicider og fungicider. FRDK har foretaget tilsvarende analyser af
pesticidbelastning i vinterraps og vårbyg. Her er der lige så stor variation.
Lavere belastning hos CA-landmænd
De 29 landmænd stillede data for deres forbrug af pesticider til rådighed for Miljøstyrelsen i
årene 2014, 2017, 2018 og 2019. Årene 2014 og til dels 2017 bør betragtes som referenceår,
hvor de fleste ikke praktiserede CA, men pløjefri dyrkning med harvning.
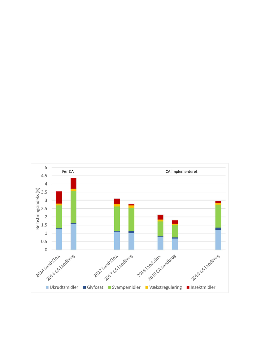
Figur 2 viser den gennemsnitlige pesticidbelastning for dyrkning af vintersæd hos de 29
landmænd. For alle år undtagen 2019 er disse sammenlignet med den gennemsnitlige
belastning for alle danske landmænd. For 2019 er landsdata endnu ikke tilgængelige. I såvel
2017 som 2018 havde de 29 CA-landmænd lavere belastningsindeks end gennemsnittet. Det
står i modsætning til konklusionen i Vidensyntesens ”Oversigt”.
Figur 2. Det gennemsnitlige belastningsindeks for de CA landmænd ved dyrkning af
vintersæd. Belastningen er opdelt på produktgrupper.
KEF, Alm.del - 2020-21 - Bilag 109: Henvendelse af 8/12-20 fra Foreningen for Reduceret jordbearbejdning i DanmarK (FRDK) om forbruget af pesticider hos CA-landmændene sammenlignet med alle danske landmænd
2300223_0004.png
Lavere belastning i vinterraps
Figur 3 viser en tilsvarende opgørelse for vinterraps, hvor de CA-landmænd, der dyrkede
vinterraps, i alle årene som gennemsnit havde lavere belastningsindeks end landets
rapsdyrkere som helhed.
Figur 3. Det gennemsnitlige belastningsindeks for de 29 CA-landmænd ved dyrkning af
vinterraps. Belastningen er opdelt på produktgrupper.
Næsten samme pesticidbelastning i vårsæd
Figur 4 (på næste side) viser en tilsvarende opgørelse for landmændenes forbrug af
pesticider ved dyrkning af vårsæd. CA-landmænd har generelt en stor andel vårsæd i deres
markplaner. Som det fremgår, er pesticidbelastningen ved dyrkning af vårsæd væsentligt
mindre end for vinterraps og vintersæd.
CA-dyrkning af vårsæd har dog ifølge denne analyse ikke en lavere pesticibelastning end
konventionel dyrkning af vårsæd. At der i 2018 er en tendes til en større belastning ved CA-
dyrkning skyldes givetvis, at de 29 CA-landmænd dyrkede vårhvede på 17 procent af deres
areal med vårsæd. For landmænd generelt var andelen med vårhvede kun to procent. Der
sprøjtes generelt mere i våhvede end i vårbyg.
FRDK’s analyser af pesticidforbruget hos de 29 CA-landmænd understøtter de erfaringer, vi
hører fra vores medlemmer – og af teksten i Vidensyntesen. Nemlig, at når jordbearbejdning
helt udelades (som ved CA), er behovet for sprøjtning generelt lavere end i konventionel
dyrkning eller ved pløjefri dyrkning med harvning.
KEF, Alm.del - 2020-21 - Bilag 109: Henvendelse af 8/12-20 fra Foreningen for Reduceret jordbearbejdning i DanmarK (FRDK) om forbruget af pesticider hos CA-landmændene sammenlignet med alle danske landmænd
2300223_0005.png
Figur 4. Det gennemsnitlige belastningsindeks for de 29 CA-landmænd ved dyrkning af
vårsæd. Belastningen er opdelt på produktgrupper.
Definition af belastningsindeks (B)
Belastningsindekset siger noget om, hvor belastende de enkelte sprøjtninger er.
Miljøstyrelsens definition er:
”Pesticidbelastning er beregnet på grundlag af midlernes
formulering og anvendelse samt deres indhold af aktivstoffer. Pesticidbelastningen giver et
mål for midlernes sundheds- og miljømæssige egenskaber (f.eks. deres giftighed over for fisk
og fugle), men indeholder ingen oplysninger om, hvorvidt de anvendte pesticider rent faktisk
kommer i kontakt med mennesker eller dyr og dermed påvirker – endsige gør skade på –
mennesker eller miljø. Derfor er den beregnede pesticidbelastning en belastningsindikator –
ikke en skadeindikator”.
Venlig hilsen
Henrik Terp
Formand for FRDK
Mobil 20 12 36 10 mail: [email protected]
www.frdk.dk
Foreningen for Reduceret jordbearbejdning i DanmarK (FRDK) har 625 medlemmer, hvoraf
langt de fleste er landmænd. Stadig flere landmænd i Danmark og internationalt går over til
pløjefri dyrkning og derfra til Conservation Agriculture.