Indfødsretsudvalget 2020-21
IFU Alm.del Bilag 59
Offentligt
2312577_0001.png
Mapping
STATELESSNESS
in Denmark
UNHCR Representation for the Nordic and Baltic Countries
IFU, Alm.del - 2020-21 - Bilag 59: UNHCR og FN's Flygtningeorganisations rapport Mapping Statelessness in Denmark IFU, Alm.del - 2020-21 - Bilag 59: UNHCR og FN's Flygtningeorganisations rapport Mapping Statelessness in Denmark
2312577_0003.png
Mapping
STATELESSNESS
in Denmark
ACKNOWLEDGMENTS
UNHCR Representation for the Nordic and Baltic Countries, Stockholm, 2019
Consultant: Eva Ersbøll and Paavo Savolainen
This document is for general distribution. All rights reserved. Reproduction and translation is
authorized, except for commercial purposes, provided that UNHCR is acknowledged as the source.
ISBN 978-953-95763-7-8
The views expressed in this publication are those of the author and do not necessarily represent
the views of UNHCR.
© UNHCR, Stockholm, 2019
Cover photos: © UNHCR
Layout & design: BakOS DESIGN
IFU, Alm.del - 2020-21 - Bilag 59: UNHCR og FN's Flygtningeorganisations rapport Mapping Statelessness in Denmark
2312577_0004.png
CONTENTS
Glossary..........................................................................................................................................................................................................................
6
1. Introduction
...............................................................................................................................................................................................................7
1.1 Statelessness across the globe
................................................................................................................................................................... 8
1.1.1 Defining “a stateless person”.................................................................................................................................................................. 8
1.1.2 Causes of statelessness.......................................................................................................................................................................... 9
1.1.3 Consequences of statelessness ..........................................................................................................................................................10
1.2 The international and regional legal framework
.................................................................................................................................10
2. The Face of Statelessness in Denmark
..........................................................................................................................................................12
2.1 Introduction
......................................................................................................................................................................................................12
2.1.1 Historical background ............................................................................................................................................................................12
2.1.1.1 Acquisition of nationality.................................................................................................................................................................12
2.1.1.2 The “statelessness case” ..............................................................................................................................................................14
2.2 A statistical overview of the stateless population in Denmark
......................................................................................................15
2.2.1 Specifics of the data used ....................................................................................................................................................................15
2.2.2 The target population .......................................................................................................................................................................... 17
2.2.2.1 Stateless persons with residence rights ..................................................................................................................................18
2.2.2.2 Stateless persons seeking asylum or other residence permits .....................................................................................25
2.2.3 A summary of the developments after 2011 ..................................................................................................................................36
2.3 Qualitative analysis of the situation of stateless persons
............................................................................................................. 37
2.3.1 Specifics of the information used ...................................................................................................................................................... 37
2.3.2 Procedural aspects .............................................................................................................................................................................. 37
2.3.3 The human face of statelessness .....................................................................................................................................................39
2.3.4 Hopes and expectations for the future ...........................................................................................................................................40
2.4 Conclusions and recommendations
.......................................................................................................................................................41
3. Determination of statelessness and rights attached to the status
.......................................................................................................41
3.1 Introduction
.....................................................................................................................................................................................................42
3.2 National legal framework
..........................................................................................................................................................................43
3.3 Statelessness determination procedure or other procedures in which statelessness status is determined
................44
3.3.1 Competent authority .............................................................................................................................................................................45
3.3.2 Procedural aspects...............................................................................................................................................................................46
3.3.2.1 Initiation of the procedure and course of the procedure ...................................................................................................46
3.3.2.2 Standard and burden of proof.................................................................................................................................................. 47
3.3.2.3 Access to courts (appeal procedures)....................................................................................................................................48
3.3.2.4 Other procedural aspects: developments after 2011 .........................................................................................................49
3.3.3 Conclusions ............................................................................................................................................................................................50
4
Mapping Statelessness in Denmark
IFU, Alm.del - 2020-21 - Bilag 59: UNHCR og FN's Flygtningeorganisations rapport Mapping Statelessness in Denmark
3.4 Rights of applicants and recognized stateless persons
..................................................................................................................50
3.4.1 Rights of applicants during the statelessness determination procedure................................................................................50
3.4.1.1 Detention ...........................................................................................................................................................................................51
3.4.1.2 Expulsion ..........................................................................................................................................................................................51
3.4.2 Rights of persons recognized as stateless ....................................................................................................................................52
3.4.2.1 The right of residence..................................................................................................................................................................52
3.4.2.2 The right to work and related rights .......................................................................................................................................54
3.4.2.3 The right to public relief .............................................................................................................................................................55
3.4.2.4 Identification and travel documents .......................................................................................................................................56
3.5 Conclusions and recommendations
......................................................................................................................................................56
4. Reduction and prevention of statelessness
................................................................................................................................................58
4.1 Introduction
.....................................................................................................................................................................................................58
4.2 National legal framework
..........................................................................................................................................................................59
4.2.1 Avoidance of statelessness at birth ...................................................................................................................................................61
4.2.1.1 Birth on the state’s territory ..........................................................................................................................................................61
4.2.1.1.1 Rules governing persons born stateless in Denmark
who are under the age of 18 years at the time of application ..................................................................................................63
4.2.1.1.2 Rules governing persons born stateless in Denmark
who have attained the age of 18 years but are not yet 21 years old ......................................................................................65
4.2.1.1.3 Transitional rule for certain stateless persons born in Denmark who are 21 years or older .............................66
4.2.1.1.4 Political concern with regard to convention obligations and 2018 dialogue with UNHCR................................ 67
4.2.1.2 Birth outside the State’s Territory..............................................................................................................................................68
4.2.1.3 Other path to naturalization .......................................................................................................................................................69
4.2.1.4 Foundlings ......................................................................................................................................................................................69
4.2.2 Birth on a ship or aircraft ....................................................................................................................................................................70
4.2.3 Avoidance of statelessness upon change in civil status ............................................................................................................. 71
4.2.4 Avoidance of statelessness in the context of renunciation, loss or deprivation of nationality ......................................... 71
4.2.5 Reduction of statelessness ................................................................................................................................................................ 72
4.2.5.1 Naturalization ................................................................................................................................................................................. 72
4.2.5.2 Other modes ................................................................................................................................................................................. 76
4.3 Conclusions and recommendations
...................................................................................................................................................... 77
5. Concluding remarks and recommendations
............................................................................................................................................... 78
UNHCR Representation for the Nordic and Baltic Countries
5
IFU, Alm.del - 2020-21 - Bilag 59: UNHCR og FN's Flygtningeorganisations rapport Mapping Statelessness in Denmark
2312577_0006.png
GLOSSARY
CAT
Convention Against Torture and Other Cruel,
Inhuman or Degrading Treatment or Punishment
Convention on the Elimination of all Forms of Discrimination against Women
Central Office of Civil Registration
Convention on the Rights of the Child
Danish Institute for Human Rights
Documentation and Advisory Centre on Racial Discrimination
European Convention on Human Rights
Electronic Case and Document Handling System
European Convention on Nationality
UNHCR Guidelines on Statelessness No. 4: Ensuring Every Child’s Right to Acquire a
Nationality through Articles 1-4 of the 1961 Convention on the Reduction of Statelessness
UNHCR Handbook on Protection of Stateless Persons
International Covenant on Civil and Political Rights
International Convention on the Elimination of All Forms of Racial Discrimination
Danish Immigration Service
Non-Governmental Organization
Aliens Division of the Danish National Police
National Police Case Registration System
Refugees Welcome
Statistics Denmark
National Operational Aliens Centre
UNHCR Representation for the Nordic and Baltic Countries
United Nations Relief and Works Agency for Palestine Refugees in the Near East
1954 Convention Relating to the Status of Stateless Persons
1961 Convention on the Reduction of Statelessness
CEDAW
CPR
CRC
DIHR
DRC
ECHR
ECDH
ECN
Guidelines No. 4
Handbook
ICCPR
ICERD
DIS
NGO
NUC
POLSAS
RW
SD
UCN
UNHCR RNB
UNRWA
1954 Convention
1961 Convention
1951 Refugee
Convention
1951 Convention Relating to the Status of Refugees and its 1967 Protocol
6
Mapping Statelessness in Denmark
IFU, Alm.del - 2020-21 - Bilag 59: UNHCR og FN's Flygtningeorganisations rapport Mapping Statelessness in Denmark
2312577_0007.png
1
INTRODUCTION
In November 2014, UNHCR launched a Global Campaign to End Statelessness in 10 Years. The strategy for the
Campaign is set out in a Global Action Plan, which contains 10 actions that need to be taken to end statelessness.
States are encouraged to adopt National Action Plans that include those actions necessary to end statelessness
in their own national contexts. Since the launch of the Campaign, the UNHCR Representation for the Nordic
and Baltic Countries (UNHCR RNB) has conducted statelessness mappings in each of the eight countries in the
Northern Europe region. The mapping in Denmark has been conducted by an independent consultant, Ms. Eva
Ersbøll, senior researcher, Ph.D., Danish Institute for Human Rights, working under the supervision of UNHCR RNE.
The text was finalized by UNHCR RNE with the support of Paavo Savolainen reflecting relevant developments until
31 December 2018. The methodology has comprised desk research as well as consultations with governmental
and non-governmental stakeholders in this area. It should be noted that sec. 4.2.1.1.4 was drafted by UNHCR.
UNCR RNB shared a draft version of the mapping with the key national stakeholders in this area, namely the
Ministry of Immigration and Integration received an advance draft of the mapping for comments, which have been
incorporated by UNCR RNB into this final report. The statistical data was updated in early 2018 with the support of
Statistics Denmark. UNHCR is very grateful for all the cooperation extended and for the valuable input, constructive
feedback and comments provided by the stakeholders throughout the consultative process.
The information gathered through these mappings of statelessness in the countries of Northern Europe,
consolidated in reports like the current one, is aimed at raising awareness and providing a better understanding
among the stakeholders of the situation of stateless persons in the countries concerned, and the extent to which
the international standards in this area are implemented in law and practice. UNHCR thus hopes that the findings
and recommendations contained in the reports will contribute to the ongoing dialogue between UNHCR, the
governments concerned, civil society, and other relevant actors on what steps may need to be taken at the national
level in order to bring the respective countries’ national legal frameworks, institutional capacities, and practices
fully in line with international standards in the area of prevention and reduction of statelessness and the protection
of stateless persons. UNHCR, moreover, hopes that the reports can serve as a starting point for the development
of National Action Plans to end statelessness in each of the countries in the region.
This mapping of statelessness in Denmark provides an overview and analysis of the statistics and demographic
profiles of persons who are stateless in Denmark and examines existing laws and practices relating to the
recognition of their status and their enjoyment of rights.
The demographic section of this report consists mainly of quantitative analysis with some qualitative elements. The
quantitative analysis includes a statistical overview and analysis, as well as a review of statelessness registration
methods and practices. As the statistics provided in the mapping cover a specific period, a cutoff date has been
set as 31 December 2017.
The chief purpose of the legal analysis section of the report is to examine the implementation of the 1954
Convention relating to the Status of Stateless Persons
1
(1954 Convention) and the 1961 Convention on the Reduction
of Statelessness
2
(1961 Convention) and other relevant international and regional standards on statelessness. In
analyzing current Danish approaches to statelessness in law and policy, particular attention has been paid to
1
UN General Assembly, Convention
Relating to the Status of Stateless Persons,
28 September 1954, United Nations, Treaty Series, vol.
360, p. 117, available at:
http://www.refworld.org/docid/3ae6b3840.html.
UN General Assembly, Convention
on the Reduction of Statelessness,
30 August 1961, United Nations, Treaty Series, vol. 989, p.
175, available at:
http://www.refworld.org/docid/3ae6b39620.html.
2
UNHCR Representation for the Nordic and Baltic Countries
7
IFU, Alm.del - 2020-21 - Bilag 59: UNHCR og FN's Flygtningeorganisations rapport Mapping Statelessness in Denmark
2312577_0008.png
whether and to what extent Danish law and policy provide for the identification and protection of stateless persons,
as well as the prevention and reduction of statelessness.
The report consists of five parts. This introductory chapter is followed by Part 2, which illustrates the face of
statelessness in Denmark containing a historical overview of relevant Danish laws, as well as a summary of statistical
data on stateless persons in Denmark. Part 3 discusses the administrative practices and means to identify and
determine statelessness within the existing administrative procedures, as well as rights that are attached to the
status, while addressing the compliance with art. 1 C in the 1954 Convention. Part 4 discusses the reduction and the
prevention of statelessness, analyzing the compliance of national laws with the 1961 Convention and other relevant
international human right standards. All parts conclude with a set of recommendations. The last part of the report,
Part 5, compiles all recommendations.
The mapping highlights positive aspects of addressing statelessness in Denmark, as well as current gaps and
challenges. It suggests possible ways to improve conditions of stateless persons in Denmark. UNHCR hopes this
mapping can contribute to a better understanding and awareness of the issue of statelessness at the national level
and help encourage relevant national actors to further investigate how to address statelessness.
1.1
Statelessness across the globe
Statelessness is a global phenomenon. UNHCR estimates that there are millions of stateless persons worldwide.
The following sections look at the definition of a “stateless person”, the causes of statelessness, and some of the
consequences of being stateless.
1.1.1 Defining “a stateless person”
The definition of a “stateless person” is set forth in Article 1(1) of the 1954 Convention, which provides that a
“stateless person” is “a person who is not considered as a national by any State under the operation of its law.” The
International Law Commission has concluded that Article 1(1) definition of a “stateless person” is part of customary
international law.
3
The present report focuses on persons coming under this definition.
4
The term “national” within the meaning of Article 1(1) refers to a formal bond between a person and a state, but it does
not need to be an “effective” or “genuine” link.
5
The term “law” within the meaning of Article 1(1) “encompass[es]
not just legislation, but also ministerial decrees, regulations, orders, judicial case law…and, where appropriate,
customary practice.”
6
Establishing whether an individual is considered as a national of a state requires an analysis
of both the text of that state’s laws, as well as their application to the individual’s case.
7
The letter of the law, as well
3
See
the International Law Commission,
Articles on Diplomatic Protection with commentaries,
2006, p. 49 (stating that the Article 1 definition
can “no doubt be considered as having acquired a customary nature”), available at:
http://www.refworld.org/docid/525e7929d.html.
The UNHCR
Handbook on Protection of Stateless Persons
explains that “persons who fall within the scope of Article 1(1) of the 1954
Convention are sometimes referred to as “de
jure”
stateless persons,” UNHCR,
Handbook on Protection of Stateless Persons,
30 June
2014, para. 7, (“Handbook
on Protection of Stateless Persons”),
available at:
http://www.refworld.org/docid/53b676aa4.html.
Individuals
who have a nationality but are outside the country of their nationality and are denied diplomatic and consular protection accorded to
other nationals by their state of nationality have been referred to as “de
facto”
stateless. See UN High Commissioner for Refugees
(UNHCR), Expert Meeting – The Concept of Stateless Persons under International Law (“Prato Conclusions”), May 2010, pp. 5-8, available
at:
http://www.refworld.org/docid/4ca1ae002.html.
The term “de
jure”
is not found in any international treaty and is not used in this report,
yet it must be emphasized that the present report does not include “de
facto”
stateless persons.
UNHCR Handbook
on Protection of Stateless Persons,
30 June 2014, para 54 and fn. 38.
Ibid,
para. 22.
Ibid,
para. 23, and fn. 12 (citing Articles 1 and 2 of the 1930 Hague Convention on Certain Questions Relating to the Conflict of Nationality
Laws).
4
5
6
7
8
Mapping Statelessness in Denmark
IFU, Alm.del - 2020-21 - Bilag 59: UNHCR og FN's Flygtningeorganisations rapport Mapping Statelessness in Denmark
2312577_0009.png
as the practice, must be examined, as some states may not precisely adhere to the letter of the law or might even
“[go] so far as to ignore its substance.”
8
A person’s nationality must be assessed at the time of determination of eligibility to international protection under
the 1954 Convention, which is neither a historic nor a predictive exercise.
9
This means that, for the determination
of whether a person is stateless, it is not relevant that that person is in the process of naturalizing or has the option
to acquire the nationality of a given state. Accordingly, if, at the time of the determination, the person is in the
process of losing, being deprived of, or renouncing a nationality, the person is still a national.
10
Furthermore, the
1954 Convention does not permit states to exclude from protection persons who have voluntarily renounced their
nationality.
11
1.1.2 Causes of statelessness
Statelessness can be caused by numerous factors. Some of these factors are of a legal technical nature, where
statelessness is caused by gaps in nationality laws or conflicts of nationality laws. States determine their own
nationality laws, within certain limited restrictions imposed by international human rights law. The two principal legal
frameworks governing states’ nationality rules are
jus sanguinis
(citizenship by descent) and
jus soli
(citizenship by
birth in the territory).
Conflicts in these laws are one of the several types of conflicts of law situations that can render a child stateless.
For example, a child born in the territory of a
jus sanguinis
state to parents with nationality of a
jus soli
state would
encounter problems obtaining any nationality if the national legislation of the two states relevant here do not
contain provisions that would allow such a child to obtain citizenship.
Statelessness can also occur later in life. Some legal systems provide for mechanisms of automatic loss of
nationality, for example after a long absence from the territory. Some states require that a person renounce his or
her nationality before acquiring the nationality of that State. Withdrawal of nationality can also lead to statelessness
if there is no adequate safeguard in place to prevent statelessness.
Another major cause of statelessness relates to the dissolution and separation of states, transfer of territory
between states, and the creation of new states. In the period of decolonization, groups of persons may have been
left out of the initial body of citizens under the nationality legislation of the newly independent state. In Europe,
many people were left stateless after the dissolution of the Soviet Union and the Socialist Federal Republic of
Yugoslavia.
Often, nationality laws or practices that discriminate against certain segments of a population, or arbitrary
deprivation of nationality, contribute significantly to the creation and perpetuation of statelessness. Such situations
can independently account for instances of statelessness, or they can be present alongside the aforementioned
causes of statelessness. In some countries, certain ethnic groups within a state or ethnic populations living across
multiple states are denied or deprived of nationality. Examples of such populations are the Rohingya in Myanmar,
the Bidoon in the Arab Gulf States, and segments of the Roma population in Europe.
Discrimination on the ground of gender can also be a cause of statelessness. In some nationality laws, women are
not able to pass their nationality on to their children. Moreover, women may lose their nationality upon marriage
or upon dissolution of the marriage. The impossibility for women to transmit their nationality to their children is
8
9
10
11
Ibid,
para. 24.
Ibid,
para. 50.
Ibid.
Ibid,
para. 51 and fn. 34 (distinguishing, but not discussing, voluntary renunciation from failure to comply with formalities).
UNHCR Representation for the Nordic and Baltic Countries
9
IFU, Alm.del - 2020-21 - Bilag 59: UNHCR og FN's Flygtningeorganisations rapport Mapping Statelessness in Denmark
2312577_0010.png
especially problematic in cases where children are born out of wedlock or where the father is unknown, has
passed away, has left, is stateless or is a foreigner who is unable to transmit his own nationality or who is unwilling
to take the necessary administrative steps to do so. Currently, 25 States still discriminate against women in their
laws with regard to transmission of nationality to their children, the majority of which can be found in Africa, Asia
and the Middle East.
12
Further, laws that discriminate against children born out of wedlock, for example by making
it more difficult for them to acquire their father’s nationality, can also contribute to statelessness.
1.1.3 Consequences of statelessness
Most stateless persons encounter difficulties in many aspects of daily life. Stateless parents may have trouble
obtaining a birth certificate for their children and stateless persons generally have problems obtaining personal
identification documents. Without such documents, they are often prevented from enjoying their fundamental
rights. They may face obstacles accessing education or health care services, entering the labor market, traveling
abroad, or owning land or other property. Stateless persons may not be able to open a bank account, to inherit or to
get legally married. Stateless persons may be detained repeatedly and for prolonged periods because they have
no identity documents or right to stay in the country where they are. Consequently, stateless persons often face
destitution, and many stateless populations belong to the most marginalized and vulnerable groups worldwide.
1.2
The international and regional legal framework
The international legal framework relating to statelessness consists of international instruments and regional
instruments. At the international level, two conventions deal specifically with statelessness: the 1954 Convention
relating to the Status of Stateless Persons and the 1961 Convention on the Reduction of Statelessness.
The 1954 Convention aims to guarantee to persons who are stateless the enjoyment of a minimum set of rights,
while the 1961 Convention provides a set of safeguards for states to include in their nationality laws to ensure that
statelessness is avoided. The 1954 Convention entered into force in 1960 and has 91 states parties.
13
The 1961
Convention entered into force in 1975 and has 73 states parties.
14
Denmark is a state party to both conventions.
15
In June 2014, UNHCR published the
Handbook,
which provides interpretative legal guidance for governments,
NGOs, legal practitioners, decision-makers, the judiciary, and others working on statelessness. The
Handbook
addresses the definition of a stateless person, procedures to determine who is stateless, and the legal status
of stateless persons at the national level. UNHCR’s Guidelines on Statelessness No. 4
16
address the prevention
of statelessness at birth under the 1961 Convention. Developed on the basis of consultations with international
experts and a broad range of stakeholders, the Handbook and the Guidelines will be used in the present report to
elaborate upon the obligations under the Conventions.
Other international human rights instruments contain provisions relevant to nationality and statelessness. The
International Covenant on Civil and Political Rights (ICCPR), the Convention on the Rights of the Child (CRC), the
Convention on the Elimination of Discrimination against Women (CEDAW), and the Convention on the Elimination
of Racial Discrimination (CERD) contain provisions on the right to a nationality, on equal treatment of men and
12
UNHCR,
Background Note on Gender Equality, Nationality Laws and Statelessness 2019,
8 March 2019, available at:
https://www.refworld.org/docid/5c8120847.html.
As of August 2019. UN Treaty Collection database, available at:
https://bit.ly/2Pcb65f.
As of August 2019. UN Treaty Collection database, available at:
https://bit.ly/3f3xbNJ.
Denmark ratified the 1954 Convention on January 17, 1956 (with reservations to Arts. 24(3), 24(1), and 31, as discussed
infra),
and acceded
to the 1961 Convention on July 11, 1977 (without reservation).
UN High Commissioner for Refugees (UNHCR), Guidelines
on Statelessness No. 4: Ensuring Every Child’s Right to Acquire a Nationality
through Articles 1-4 of the 1961 Convention on the Reduction of Statelessness (“UNHCR Guidelines No. 4”),
21 December 2012, HCR/
GS/12/04, available at:
http://www.refworld.org/docid/50d460c72.html
 [accessed 15 August 2019]
13
14
15
16
10
Mapping Statelessness in Denmark
IFU, Alm.del - 2020-21 - Bilag 59: UNHCR og FN's Flygtningeorganisations rapport Mapping Statelessness in Denmark
2312577_0011.png
women, and the prohibition of discrimination. In addition to these instruments, the 1951 Convention Relating to
the Status of Refugees, expressly applies to stateless persons who otherwise meet the definition of a refugee,
as does the 1967 Protocol by implication.
17
That is to say that, although not all stateless persons are refugees, a
stateless person can be a refugee and, if so, the protection afforded to refugees by the 1951 Convention and the
1967 Protocol apply to such a stateless person.
18
At the European regional level, the Council of Europe has adopted two instruments of particular relevance to
statelessness. The European Convention on Nationality (ECN) entered into force in 2000 and currently has 21 State
Parties, Denmark among them.
19
This instrument contains several provisions guaranteeing against statelessness,
some of which parallel those found in the 1961 Convention and others of which complement the convention.
20
ECN Article 4 provides,
inter alia,
that State Party nationality rules shall incorporate the principle that statelessness
be avoided.
21
ECN Article 6(2) provides a safeguard against statelessness at birth comparable to that of the 1961
Convention. Further, ECN Article 7, which governs the loss of nationality
ex lege
or at the initiative of a State Party,
contains safeguards against statelessness.
The European Convention on the Avoidance of Statelessness in Relation to the Succession of States entered into
force in 2009 and has seven States Parties.
22
It establishes rules for the acquisition of nationality with a view to
preventing statelessness in the particular context of state succession.
Moreover, the European Convention on Human Rights (ECHR), to which Denmark is party, is increasingly relevant
to the prevention of statelessness and the protection of stateless persons. Although the ECHR does not explicitly
provide for the right to a nationality, the European Court of Human Rights (ECtHR) has recognized in its jurisprudence
that the impact of the denial of citizenship on a person’s social identity brings it within the scope of Article 8 of
the ECHR, which enshrines the right to respect for private and family life.
23
Further, the ECHR sets out rights to be
enjoyed by all persons within a state’s jurisdiction, whether they are the state’s own nationals, foreign nationals,
or stateless persons.
17
18
See
1951 Convention Relating to the Status of Refugees, Art 1(A)(2) (“Definition of the term ‘refugee’”).
See
UNHCR
Handbook,
paras 78-82 (discussing in detail the coordination of refugee status and statelessness determinations, including
confidentiality requirements; noting that “protection under the 1951 Convention generally gives rise to a greater set of rights at the
national level than that under the 1954 Convention” but that “there may be instances where refugee status ceases without the person
having acquired a nationality, necessitating then international protection as a stateless person”).
See also ibid,
para 128 (noting that
where a stateless person may also be a refugee, each claim must be assessed and both stateless and refugee statuses must be explicitly
recognized; noting standards of treatment and complementary forms of protection).
Number provided by the Council of Europe’s Treaty Office as of August 2019, available at:
https://bit.ly/2OWr1Ez.
Denmark ratified the
ECN on July 24, 2002. It entered into force on November 1, 2002. In the regional context of Europe, note also the European Convention
on the Avoidance of Statelessness in Relation to the Succession of States (entered into force in 2009; six states parties as of the date
of publication of this report, Denmark not among them). The Convention sets forth detailed rules for the acquisition of nationality with a
view to preventing statelessness in the context of state succession. These rules are in addition to the already substantial rules set forth in
statelessness conventions, as well as the ECN. The text of the European Convention on the Avoidance of Statelessness in Relation to the
Succession of States and a list of states parties are available at:
https://bit.ly/3g4SMGU.
The ECN is discussed in more detail
infra.
Article 4 provides in part: “The rules on nationality of each State Party shall be based on the following principles: a) everyone has the right
to a nationality; b) statelessness shall be avoided.”
Number provided by the Council of Europe’s Treaty Office as of August 2019, available at:
https://bit.ly/2BCieoc.
See
Genovese v. Malta, Application
no. 53124/09, Council of Europe: European Court of Human Rights, 11 October 2011, available at:
http://www.refworld.org/docid/509ea0852.html.
19
20
21
22
23
UNHCR Representation for the Nordic and Baltic Countries
11
IFU, Alm.del - 2020-21 - Bilag 59: UNHCR og FN's Flygtningeorganisations rapport Mapping Statelessness in Denmark
2312577_0012.png
2
THE FACE OF STATELESSNESS
IN DENMARK
2.1
Introduction
Although Denmark is a state party to both the 1954 and 1961 Statelessness Conventions, as well as to other
international human rights instruments that contain provisions of relevance to statelessness, as is the case in
many other Western European countries, statelessness had received little attention until 2010/2011. Consequently,
many stateless persons in Denmark were not registered as stateless. The recognition of this led to a process of
re-registration that started in the autumn of 2011, as described in more detail below.
24
The lack of attention to statelessness and its legal effects did not only become apparent to the various authorities
dealing with foreigners, but also organizations working with immigrants reported that they had not been sufficiently
aware of the complex problems related to statelessness. Consequently, many NGOs explained in the course of the
research for this report that they did not have a great deal of experience with, or insight into, statelessness.
Events in 2011 drew the public’s attention to the plight of stateless persons in Denmark and led to changes in
government policy.
In a series of articles, Danish newspaper Information reported on the cases of stateless persons born in Denmark
who have had their citizenship applications wrongly denied.
In cooperation with the Danish Institute for Human Rights (DIHR),
25
the Danish Immigration Service turned its
attention to statelessness, in particular the determination and identification of stateless persons. Letters were sent
to stateless persons, informing them of their right to be re-registered as stateless and about their right to acquire
an aliens passport. Leaflets were distributed on re-registration as a stateless person.
2.1.1 Historical background
2.1.1.1 Acquisition of nationality
Since the adoption of the Danish Nationality Act of 1898, Danish nationality rules have primarily build on the
principle of
jus sanguinis.
Over time, a number of significant changes have been implemented, some of which have
made the acquisition of Danish nationality easier, and some of which have made it more difficult.
Until 1978, a child born in wedlock to a Danish father and a foreign mother acquired Danish nationality by birth, but
the child born in wedlock to a Danish mother and a foreign father did not, as a rule, acquire Danish nationality. In
other words, a Danish woman married to a foreigner could not transmit her nationality to the child.
26
By contrast, a
child born out of wedlock acquired Danish nationality only if the mother was Danish, meaning a Danish man who
fathered an out-of-wedlock child did not automatically transmit his nationality to the child.
24
The re-registration initiative launched by the Danish Immigration Service in late 2011 was concluded by the end of 2012. Still, the Danish
Immigration Service receives and processes incoming applications for re-registration (cf. consultant’s communication with the Danish
Immigration Service, email dated 9 March 2015).
DIHR is an “independent state-funded institution” whose “mandate is to promote and protect human rights and equal treatment in
Denmark and abroad.” For the official website,
see
http://www.humanrights.dk/about-us.
An exception applied if the father was stateless or did not transmit his nationality to the child at birth.
25
26
12
Mapping Statelessness in Denmark
IFU, Alm.del - 2020-21 - Bilag 59: UNHCR og FN's Flygtningeorganisations rapport Mapping Statelessness in Denmark
2312577_0013.png
Since then, important and steady changes in the law have protected the right of both men and women to transmit
their Danish nationality to their children, as well as the children’s right to acquire both parents’ nationality. In 1978,
the Nationality Act was amended to allow a Danish woman to transmit her nationality to her children born in
wedlock to a foreign man. In 1998, an amendment granted children born out of wedlock in Denmark equal rights
to children born in wedlock. In principle, the change was neutral as to whether the child was born in- or out-of-
wedlock and had the effect that all children born in Denmark in and out of wedlock to a Danish parent acquired
Danish nationality from the father as well as the mother. An exception remained for children born abroad and out of
wedlock, who did not automatically at birth acquire Danish nationality from the father.
27
If the father had custody of
the child, it was, however, possible for the child to become naturalized.
28
In 2014, the Nationality Act’s exception for
children born abroad out of wedlock to a Danish father was abolished.
29
As of 1 July 2014, “a child acquires Danish
nationality by birth if the father, the mother or the co-mother is Danish”.
30
Section 3 of the Nationality Act on immigrant descendants’ entitlement to Danish nationality was amended in 1968
in order to comply with Article 1 of the 1961 Convention. From that time, young non-Danish nationals could acquire
Danish nationality by making a declaration when they were between the ages of 18 and 23 years and had resided
in Denmark for at least five years before the age of 16, and permanently between the age of 16 and 21 years.
31
Declarants who were stateless or could prove that they would lose their foreign nationality by the acquisition of
Danish nationality could make the declaration between the age of 18 and 23 years.
32
In 1998, access to Danish
nationality was facilitated for young aliens, including stateless persons. According to the amended section 3, both
groups could henceforth acquire Danish nationality by declaration between ages 18 and 23 years, if they had
resided in Denmark for at least ten years in total, at least five of which must have been within the six-year period
preceding the declaration.
However, by the end of the following year, Section 3 of the Nationality Act was restricted, making acquisition of
Danish nationality by declaration conditional on the absence of a criminal record.
33
In 2004, another amendment of
Section 3 was enacted providing that only descendants of Nordic origin were entitled (under the above-mentioned
conditions) to Danish nationality by declaration.
34
Other descendants of immigrants, including stateless persons
born in Denmark, were as of 2004 referred to the process of naturalization granted by an Act of Parliament.
With the amendments to Section 3 of the Nationality Act in late 1999 and 2004, the entitlement for persons
born stateless in Denmark, as described under Articles 1(1)(b) and 1(2)(a) of the 1961 Convention, were no longer
implemented in Danish law. In response, it was announced in the explanatory notes to the Bills providing for
the changes to Section 3 of the Nationality Act, that stateless applicants who were covered by Article 1 of the
27
The former section 1(1) of the Nationality Act (Consolidation Act No. 422 of 7 June 2004) provided: “A child is a natural-born Danish
national if born to a Danish father or a Danish mother. Where the child’s parents are not married and only the father is a Danish national,
the child will only acquire Danish nationality if born within Denmark.” That provision applied to children who were born on 1 February 1999
and later. Available in English translation at:
https://bit.ly/39wmuls.
Under the present naturalization circular, section 16, the custody requirement has been abolished.
See
amendment of the Nationality Act by Act No. 729 of 25 June 2014 (providing for the automatic granting of citizenship at birth to all
children of a Danish father, mother, or co-mother). For an English-language summary,
see
https://bit.ly/32VQXby.
See Act No. 729 of 25 June 2014, amending Section 1 of the Nationality Act. For an English-language summary of the new law governing
transmission of Danish citizenship to children born abroad, see the official website of the Ministry of Foreign Affairs of Denmark in the
United States, page on “Citizenship,” available at:
http://usa.um.dk/en/travel-and-residence/citizenship/.
Residence in another Nordic country before the age of 16 and at least 5 years before the declaration was made equated residence in
Denmark.
See Section 1(1) of Act No. 399 of 11 December 1968. Before, the Nationality Act incorporated some
jus soli
aspects by providing for
access to Danish nationality for persons born and raised in Denmark at the age of majority. The birth criterion was repealed in 1968.
Act No. 1102 of 29 December 1999.
Act No. 311 of 4 May 2004. For background information on the processes that caused these changes,
see
the country profile of Denmark
at the website of the EUDO Observatory on Citizenship, available at:
http://eudo-citizenship.eu/country-profiles/?country=Denmark.
28
29
30
31
32
33
34
UNHCR Representation for the Nordic and Baltic Countries
13
IFU, Alm.del - 2020-21 - Bilag 59: UNHCR og FN's Flygtningeorganisations rapport Mapping Statelessness in Denmark
2312577_0014.png
1961 Convention would be included in future Bills for naturalization submitted to Parliament, regardless of their
compliance with the general conditions for naturalization.
35
The idea, as referred to in the preparatory works of the bill, was to comply with the 1961 Convention obligation in
relation to persons born stateless in Denmark, but only to the minimum, making acquisition of nationality subject
to all conditions allowed in Article 1(2)(a) to (d) of the Convention. However, as will be explained below under 2.1.1.2,
subsequent applications from persons who were born stateless in Denmark and fulfilled these conditions were
refused.
36
Due to an amendment of the Nationality Act in 2014, persons with foreign background who were born and raised in
Denmark became again, under certain (more strict) conditions, entitled to Danish nationality by making a declaration
to that effect. The declaration should be made before they turned 19 years.
37
The Centre-Left government that
came into office in 2011 introduced the new provision that turned out to be short-lived as it was repealed after a
new change of government, as of 1 March 2016.
38
Among other important developments dual nationality was fully accepted by Denmark as of 1 September 2015.
39
Moreover, as of 1 April 2016, as a rule, applicants for Danish nationality must submit their applications for
naturalization by a digital application procedure.
40
2.1.1.2 The “statelessness case”
In 2010, the Minister of Integration informed the Parliament that the Ministry had for some years wrongfully denied
applications for Danish nationality from persons born stateless in Denmark entitled to Danish nationality under
the 1961 Convention and the CRC. The Minister noted that, pursuant to explanatory notes to the 1999 and 2004
amendments to the Nationality Act, Danish law was supposed to be interpreted in line with these conventions.
In 36 cases, the Ministry had wrongly refused applications for Danish nationality made by persons born stateless
in Denmark. In 22 cases, applicants who were entitled to Danish nationality under the 1961 Convention (by virtue
of birth in Denmark) had had their applications denied. There were an additional 14 cases in which children born
stateless in Denmark, who were entitled to Danish nationality under the CRC, had been wrongly denied nationality.
Unlike the 1961 Convention, the CRC was expressly referred to in the Naturalization Circular of 2008, however, in
vague terms.
41
35
In Denmark, following the amendments referred to in 2004, naturalization to Danish born stateless persons is granted by statute, adopted
in Parliament. The general naturalization criteria are included in a circular, but until 2013, the circular did not mention the right to Danish
nationality for stateless persons born in Denmark, as regulated in the 1961 Convention. Thus, after the 1999- and 2004-amendment of
Section 3 of the Nationality Act, there was not an effective implementation of Article 1 (on the entitlement to Danish nationality for persons
who fulfil the requirements of Article 1), since this right did not any longer find expression in any Danish regulation.
The obligations were not any longer reflected in any law or guideline on naturalization and hereafter it turned out that the case workers
were not aware of the obligations in the administrative practice.
See amendment of the Nationality Act by Act No. 730 of 25 June 2014.
See amendment of the Nationality Act by Law No 110 of 8 February 2016.
Act no. 1496 of 23 December 2014.
Act no. 534 of 29 April 2015.
Article 7 of the Convention on the Rights of the Child (CRC) provides in its entirety: 1. The child shall be registered immediately after birth
and shall have the right from birth to a name, the right to acquire a nationality and, as far as possible, the right to know and be cared for
by his or her parents. 2. States Parties shall ensure the implementation of these rights in accordance with their national law and their
obligations under the relevant international instruments in this field, in particular where the child would otherwise be stateless. Section 17
of the Naturalization Circular implemented Article 7 of the CRC in relation to children who were born stateless in Denmark. Accordingly,
Section 17 states: “In accordance with the 1989 UN Convention children born stateless in Denmark may be listed in a naturalization bill if
they are residing (in Dnaish: ‘bopæl’) in Denmark.” For an earlier English version of the Circular, see Circular Letter No. 61 of 22 September
2008, available at:
https://bit.ly/2D7KLCn.
36
37
38
39
40
41
14
Mapping Statelessness in Denmark
IFU, Alm.del - 2020-21 - Bilag 59: UNHCR og FN's Flygtningeorganisations rapport Mapping Statelessness in Denmark
2312577_0015.png
The following year, 2011, Danish media reported on the wrongful refusals. The attention ultimately resulted in the
resignation of the Minister for Integration, and in the establishment of a Statelessness Commission.
42
Before the
Minister resigned, she asked the Central Office of Civil Registration for information about the number of persons
born stateless in Denmark who could have claimed Danish nationality under the 1961 Convention or the CRC
from 1991
43
onwards. Based on information from the Central Office of Civil Registration, she concluded that 378
persons (aged 0 – 37 years) were registered as born stateless in Denmark and thus potentially had the right
to Danish nationality. Among them, 27 could not any longer apply for Danish nationality by entitlement as they
had turned 21.
44
Given that these stateless persons might have been misinformed about their rights, the Minister
instigated that they were informed individually in March 2011 of their assumed entitlement to Danish nationality.
Simultaneously, the 27 stateless persons who did not any longer fulfill the general age requirements for applying
for Danish nationality were given an opportunity to apply for inclusion in a naturalization bill by 1 March 2012.
45
What came to be known as the “statelessness case” prompted public debate, and questions of statelessness and
the rights of stateless persons captured the attention of the Danish public. More families claimed that they were
stateless and asked for nationality rights for their children.
It turned out that almost all the stateless persons who had been wrongly denied Danish nationality in the
“statelessness case” were stateless Palestinians, whereas many stateless persons born in other countries,
especially stateless Kurds from Syria, had been wrongly registered in the Aliens Register and the Civil Registration
System as nationals of the countries of their former habitual residence, rather than as stateless.
46
When a picture
of a defective registration system emerged in or around August 2011, DIHR entered into negotiations with the
Danish Immigration Service with a view to improve the registration procedures and to correct earlier wrongful
registrations.
47
Accordingly, the Danish Immigration Service introduced new registration procedures, as explained in more detail
below in Section 3.3.2.4, and many stateless persons have had their civil registration changed.
2.2
A statistical overview of the stateless population in Denmark
2.2.1 Specifics of the data used
The gathering of statistics on stateless persons in Denmark presents a challenge, also found in the vast majority of
other countries: no one single administrative office in Denmark is able to provide statistics relating to all stateless
persons in the country. Instead, different sources provide statistics on different groups of stateless persons.
Moreover, as noted above, a person’s statelessness was not necessarily registered correctly in the Danish registers
prior to 2011.
42
43
Website of the Commission available at:
http://statsloesekommissionen.dk/.
The year 1991 was chosen since that year the CRC entered into force in Denmark.
But see
discussion,
infra,
of Article 12 of the 1961
Convention (requiring that Articles 1 and 4 be retroactive upon a State Party’s accession).
See Ministry of Integration, ‘Redegørelse
til statsministeren om Integrationsministeriets behandling af ansøgninger om indfødsret fra
statsløse personer født i Danmark’,
7 March 2011, p. 29, available at:
https://bit.ly/2CSrt43.
In a letter of 3 March 2011, 378 stateless persons, born in Denmark since the CRC entered into force in 1991, were informed that the 1961
Convention and the CRC, under certain conditions, entitle persons born stateless in Denmark to Danish nationality. The letter listed the
conditions they had to meet under Danish law. It also informed of the application form and fee.
See one of the first newspaper articles on the registration problem, ‘Kurdere
vil omregistreres fra syrere til statsløse’
in
Information,
27
June 2011, available at:
http://www.information.dk/271997.
See the DIHR’s memoranda of 4 October 2011 and 27 October 2011 on correct registration of among other things statelessness, available
at:
https://bit.ly/3hISd67
and
https://bit.ly/3hDJDVX.
44
45
46
47
UNHCR Representation for the Nordic and Baltic Countries
15
IFU, Alm.del - 2020-21 - Bilag 59: UNHCR og FN's Flygtningeorganisations rapport Mapping Statelessness in Denmark
2312577_0016.png
The primary source for statistical information on statelessness and nationality in Denmark is the Danish Central
Office of Civil Registration (CPR).
48
A CPR number shall be assigned to any person who is CPR-registered in
Denmark, either on grounds of birth in Denmark or entry from abroad.
49
A child born in Denmark is CPR-registered
on the ground of “birth” if the mother is registered as a resident. If this is not the case, the child may be registered
on the ground of “entry,” but only if the child fulfils the criteria for registration based on immigration. The criteria
for such registration follow from part 5 of the Act on the CPR. Normally, to be eligible for registration, a foreigner
(adult or child) must have a residence permit, an entry clearance in accordance with the Aliens Act or regulations
issued in pursuance thereof, or a confirmation from the Danish Immigration Service that he or she is exempt from
a residence permit or entry clearance pursuant to the Aliens Act.
50
Sources of data presented in this chapter are from Statistics Denmark, the Danish Immigration Service, and the
Danish National Police. Statistics Denmark provides statistical information about population figures in Denmark,
including data on stateless persons. However, Statistics Denmark receives its population figures from the CPR,
51
which, as explained above, primarily registers persons with a right of residence. Importantly, stateless persons
without a right of residence are not captured by the CPR data, nor are asylum-seekers. Consequently, the number
of stateless persons reported by Statistics Denmark is lower than the number of stateless persons actually in
Denmark.
Data provided by the Danish Immigration Service’s yearly Statistical Overview on migration and asylum is also
presented. This Overview includes categories of stateless persons not registered in the CPR system, such as
asylum-seekers.
52
One division of the Danish Immigration Service, the so-called Country of Origin Information
Division, works explicitly on collecting background information in a database on conditions in countries of origin
of asylum-seekers, which serves as a basis for decisions in asylum cases. Since late 2011, after DIHR entered into
a cooperative arrangement with the Danish Immigration Service on registration of statelessness, the Country of
Origin Information Division of the Danish Immigration Service has also collected background information for the
use of the identification of statelessness.
53
The Country of Origin Information Division was tasked with collecting
background information on statelessness in different countries because it is the division charged with collecting
background information on conditions in asylum-seekers’ countries of origin.
54
48
Since 1924, the name, address, marital status, place of birth, nationality and other basic information, are systematically registered for
every person with past or present residence in Denmark or Greenland. In 1968, the centralized Civil Registration System (the CPR system)
was created as the single civil register covering the whole country.
See
the CPR, ‘Udviklingen
på CPR-området i de seneste 20-25 år
frem til 2009’,
April 2009, available at:
https://cpr.dk/media/165161/4396.pdf.
The basis for this registration is found in the Act on the
CPR (consolidated Act of 2 June 2017) which aims to ensure that every person with residence in Denmark can be identified by a unique
identification number (the CPR-number). This number also serves as identifier for the CPR when operating as a supplier of basic personal
information to public authorities, such as Statistic Denmark, or to private individuals.
See
Section 1 of Consolidation Act No. 5 of 9 January
2013 (with amendments), available at:
https://www.retsinformation.dk/forms/r0710.aspx?id=144955.
An English version of the Act is
available at:
https://cpr.dk/media/163624/lovbekendtg_relse_eng_12070213.pdf.
Ibid,
Section 3.
Asylum-seekers are not registered in the CPR system, but acquire a substitute registration number. As a rule, registration can only take
place if the stay in Denmark is to last more than three months and if the person in question has a residence or fixed place of abode in
Denmark.
According to Statistics Denmark, ‘Quality Declaration for Immigrants and Descendants 1 January 2014’, available at:
https://bit.ly/2WZSh9I
The Danish Immigration Service, ‘Tal
og Fakta på Udlændingeområdet 2016’
(Danish version at
https://bit.ly/3hE5mx5.
For a shorter
English version, see ‘Statistical Overview: Migration and Asylum 2015’ at
https://bit.ly/2DafWx3.
The database contains information on the countries’ nationality law, specific provisions on loss, change, renunciation and reacquisition of
nationality, registration practice, rules and practice concerning access to passports, ID- and civil status documents, security and human
rights situations, property and pension rights, discrimination, repression and gender inequality.
This task of the Country of Origin Information Division is not legally formalized in any law or decree. Responsibilities are assigned
geographically to the staff of the Country of Origin Information Division, so staff members work as regional experts. They continually
process information obtained from an extensive selection of reports, newsletters, journals and newspapers. A great deal of information
is also retrieved via the internet. In addition, information is collected through national and international networks, including researchers
and others with specialized knowledge of the regions. Further information is obtained via the Danish Ministry of Foreign Affairs,
UN organizations (notably UNHCR), and other relevant sources.
See
information on obtaining information about countries of origin on
New to Denmark, available at:
https://bit.ly/2OYVIc7.
Furthermore, the regional experts of the Country of Origin Information Division may
also travel abroad to examine problems on statelessness.
49
50
51
52
53
54
16
Mapping Statelessness in Denmark
IFU, Alm.del - 2020-21 - Bilag 59: UNHCR og FN's Flygtningeorganisations rapport Mapping Statelessness in Denmark
2312577_0017.png
There has been a lack of uniformity between Statistics Denmark and the Danish Immigration Service in the
classification of different groups of stateless persons, which complicates the comparison of statistics from different
data sources. Statistics Denmark distinguishes in statistics on persons’ nationality between “stateless” and “not
stated” (nationality), while the Danish Immigration Service traditionally separated “stateless Palestinians” from
“other stateless persons”. Nowadays, the category “stateless persons” includes “stateless Palestinians”, while a
few statistical overviews merge the categories “stateless/unknown”.
2.2.2 The target population
Most stateless persons have come to Denmark as refugees, arriving spontaneously or as part of a resettlement
program, applied by Denmark back in 1979. Since 1989, Denmark has annually granted about 500 refugees a
residence permit in accordance with the resettlement program. However, in 2016 and 2017, the Danish government
has decided to put the resettlement program on hold.
55
As will become clear from the statistics outlined in Section 2.2.2.1, the largest number of recognized stateless
persons in Denmark is comprised of stateless persons of Syrian and Palestinian origins from different countries,
such as Lebanon and Syria. Many Syrians have fled to Denmark during the recent war and many Palestinians came
to Denmark during the civil war in Lebanon in the 1980s,
56
also fleeing persecution.
57
The database of the Country of Origin Information Division contains background information of several groups of
stateless persons, among others, stateless Palestinians, stateless ethnic Nepalese from Bhutan, stateless Rohingya
from Myanmar, and stateless Kurds from Syria. Apart from these populations, information could also be found on
stateless Bidoon from Kuwait and stateless former Soviet nationals from countries including Armenia, Azerbaijan,
the Republic of Moldova, Belarus, Kirgizstan, Georgia, Uzbekistan and Russia.
58
Rohingya have been granted asylum in Denmark, both as spontaneous asylum-seekers and as resettled refugees.
59
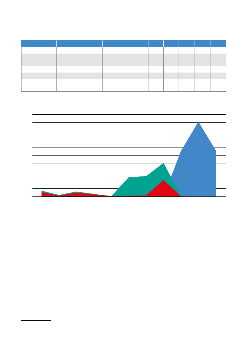
The Rohingya refugees were among those who were informed in 2012 of their right to have an incorrect registration
corrected in the CPR-register. Since then, the number of stateless persons from Myanmar with residence rights in
Denmark has increased significantly, from only two persons in 2012 to 142 persons in 2017, see figure 7.
Other refugees in Denmark among whom statelessness is common are Bhutanese refugees of Nepalese origin.
For a number of years, Denmark received about 150 Bhutanese refugees per year for resettlement. In 2012, the
Danish-Bhutanese Culture Organization estimated that 650 Bhutanese refugees had residence in Denmark and
that most of them were stateless. In the same year, however, Statistic Denmark had only recorded 92 stateless
persons of Bhutanese origin. According to the Danish-Bhutanese Culture Organization, many Bhutanese refugees
were at that time in the process of getting a former wrongful registration as national of Bhutan corrected to
“stateless”.
60
The results of the re-registration procedure is reflected in the records of Statistics Denmark, which
counted 718 stateless persons of Bhutanese origin as having residence in Denmark by July 2017 (see Figure 7).
55
56
57
See the September 2017 draft bill on the introduction of a new quota arrangement at
https://bit.ly/2CTYuwN.
Information obtained from the Danish-Palestinian friendship organization during an interview on 15 August 2012.
See Mohamed Kamel Doraï.
Palestinian Emigration from Lebanon to Northern Europe: Refugees, Networks and Transnational Practices.
Refuge, 2003, 21 (2), p.23-31, available at:
https://halshs.archives-ouvertes.fr/halshs-00291746.
Hundreds of thousands of persons became stateless in the early 1990s because of the dissolution of the Soviet Union. Since then,
Denmark has, according to Statistics Denmark, received 45 stateless persons from the following republics of the former Soviet Union:
Russia (14), Estonia (7), Latvia (12), Lithuania (1), Belarus (1), Ukraine (5), Armenia (4) and Azerbaijan (1).
See
Statistics Denmark (Quarterly
Population Statistics (FOLK1)).
See the Danish Immigration Service’s reports of June 2003 and January 2011 on fact finding missions into the situation of Rohingya,
available at:
https://bit.ly/39xTeuO
and
https://bit.ly/2OYSo0z.
Interview with the Danish-Bhutanese Culture Organization, 26 August 2012.
58
59
60
UNHCR Representation for the Nordic and Baltic Countries
17
IFU, Alm.del - 2020-21 - Bilag 59: UNHCR og FN's Flygtningeorganisations rapport Mapping Statelessness in Denmark
2312577_0018.png
Kurds from Syria comprise another sizable number of stateless persons in Denmark. According to Statistics
Denmark, 365 stateless Kurds were registered as residents in Denmark in 2012, while, as illustrated in Figure 7, the
registered number of stateless persons with Syrian origins has increased to 3,868 in 2017. Years back, the Danish
Refugee Appeals Board decided to suspend any return of asylum-seekers from Syria.
61
To overcome the various challenges outlined above, the statistical overview will be divided into two sections, each
focusing on a group of stateless persons covered by the separate sources of data:
1
Stateless persons with residence rights
62
2
Stateless persons seeking asylum or other residence permits
63
.
2.2.2.1 Stateless persons with residence rights
The stateless population with residence rights in Denmark consisted of 4,558 persons by the third quarter of 2014.
In addition, there were 61 persons registered as of having their nationality ‘not stated’ (uoplyst in Danish) forming
a category which will further on be referred as ‘unknown nationality’
64
in this study. In the following years, the
stateless population with residence rights in Denmark has risen with more than 3,000 persons and consists by
the third quarter of 2017 of 7,784 stateless persons – and in addition, 58 persons are registered as of “unknown
nationality”.
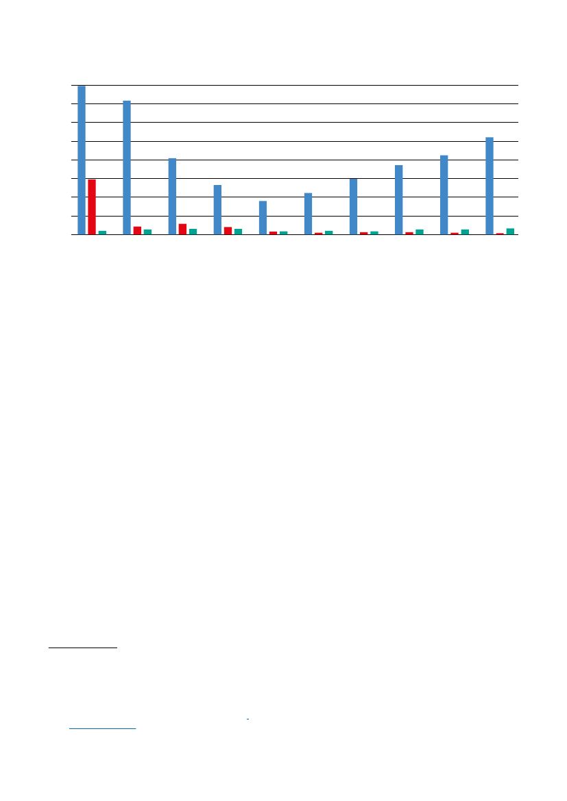
Figure 1: Population with residence rights registered as stateless or unknown nationality (2008 – 2017)
2008
Stateless
Unknown nationality
Total
3,487
101
3,588
2009
3,467
101
3,568
2010
3,222
100
3,322
2011
3,074
100
3,174
2012
3,220
105
3,325
2013
3,764
103
3,867
2014
4,558
61
4,619
2015
5,771
67
5,838
2016
7,013
67
7,070
2017
7,784
58
7,842
Source: SD (Quarterly Population Statistics (FOLK1), 3
rd
quarter of every year, 2011-2017)
8,000
7,000
6,000
5,000
4,000
3,000
2,000
1,000
0
2008
2009
2010
2011
2012
2013
2014
2015
2016
2017
Stateless
Unknown nationality
61
See
an assessment of the police’s work on the return of rejected asylum-seekers in 2013 in the NUC, ‘Status
på arbejdet med udsendelse
af afviste asylansøgere i 2013’,
21 January 2014, p. 11, available at:
https://bit.ly/3hFWd7a.
The main source of data is Statistics Denmark.
The main sources of data are the Danish Immigration Service and the National Police.
‘Persons of unknown nationality’ is here defined as ‘Individuals with no identifiable nationality but who cannot obtain the registration
as stateless either’. The Danish Immigration Service has informed during an interview in August 2012 that most of the registrations as
‘unknown nationality’ are relatively old. Today, the authorities seldom have doubts about a person’s nationality or statelessness.
62
63
64
18
Mapping Statelessness in Denmark
IFU, Alm.del - 2020-21 - Bilag 59: UNHCR og FN's Flygtningeorganisations rapport Mapping Statelessness in Denmark
2312577_0019.png
As illustrated in Figure 1, in the period 2008-2012 a rather consistent number of stateless persons were registered
with residence rights in Denmark, ranging from around 3,000 to 3,500 individuals. In the following years, however,
Denmark has seen a marked increase in the registered number of stateless persons, from 3,200 in 2012 to the 2017
level of 7,784. The number of persons of unknown nationality has remained equally stable around 100 persons,
with a decrease to around 60 persons from 2014 and onwards.
The surge in the number of stateless persons with residence rights in Denmark must be seen in light of a general
rise in the number of asylum-seekers, including stateless asylum-seekers arriving from Syria. At the same time, the
changes reflect the registration procedure changes in 2011. Due to the increased focus on statelessness, and the
4,000 letters that were sent out to persons at risk of being wrongfully registered, more than 800 persons were re-
registered as stateless during 2012, which compares to only 171 in 2011.
65
In addition, since 2012, the registration
of statelessness has been more accurate.
The data provided by Statistics Denmark can be broken down according to origin, age, country of origin, civil status,
gender and regional distribution. These categories will provide an insight into the profile of stateless persons with
residence rights in Denmark.
Origin of stateless persons
As illustrated in Figure 2 below, the vast majority (92.7 percent) of stateless persons registered in the CPR system
are immigrants (7,218 persons).
66
Moreover, 561 of the stateless persons are descendants of immigrants (7.2
percent),
67
whereas only five persons are of Danish origin (0.1 percent). Among the persons registered as having
an unknown nationality, there are 43 immigrants (74 percent), six descendants of immigrants (10 percent) and nine
persons of Danish origin (16 percent).
68
Figure 2: Origin of stateless persons in Denmark in 2017
Stateless
Immigrants
Descendants
Persons of Danish origin
Total
7,218
561
5
7,784
Unknown nationality
43
6
9
58
Source: SD (Quarterly Population Statistics (FOLK1), Recorded 3
rd
quarter of 2017)
65
66
Personal communication of the author with the Danish Immigration Service (email dated 9 March 2015).
Statistics Denmark defines an immigrant as ‘a person born abroad whose parents are both (or one of them if there is no available
information on the other parent) foreign nationals or were both born abroad. If there is no available information on either of the parents
and the person was born abroad, the person is also defined as an immigrant’. Definition obtained from Statistics Denmark, ‘Quality
Declaration for Immigrants and Descendants 1 January 2014’, available at:
https://bit.ly/39wZJOp.
Statistics Denmark defines a descendant of immigrants as ‘a person born in Denmark whose parents (or one of them if there is no
information on the other parent) are either immigrants or descendants with foreign nationality. If there is no available information on either
of the parents and the person in question is a foreign national, the person is also defined as a descendant’.
Ibid. See
Section 4.2.1.1 for a
discussion of the laws governing how children born stateless in Denmark can be naturalized.
An example of a stateless person of Danish origin is a girl born to a British mother and a Danish father. In her childhood, she was
considered a Danish national and received a Danish passport, but when she turned 18 years old, it was discovered that since she had
been born out of wedlock before 1999, and thus before Danish unmarried fathers could pass on their nationality to their children born
abroad. For that reason, she was not Danish; her one-time Danish nationality was deemed void. She could not acquire British nationality
from her British national mother, who had been born abroad and resided abroad and thus could not transmit her British nationality to her
daughter. Because of this conflict-of-laws gap, the daughter was stateless – until she was granted Danish nationality by naturalization.
67
68
UNHCR Representation for the Nordic and Baltic Countries
19
IFU, Alm.del - 2020-21 - Bilag 59: UNHCR og FN's Flygtningeorganisations rapport Mapping Statelessness in Denmark
2312577_0020.png
Figure 3 below outlines the development in the number of stateless persons, broken down by categories of origin.
As can be seen, the decrease in the overall number of stateless persons experienced from 2008 to 2011 was
largely due to a reduction in the number of stateless descendants of immigrants, mainly as result of these persons
acquiring citizenship. Likewise, the figure demonstrates that the significant increase during the following years
was mainly driven by a rise in the number of stateless immigrants. As noted above, this increase is probably to be
explained with the rising number of stateless asylum-seekers arriving from Syria coupled with the statelessness
registration procedure that was introduced by the end of 2011.
Figure 3: Origin of stateless persons (2008-2017)
2008
Immigrants
Descendants
Persons of Danish origin
Total
2,635
844
8
3,487
2009
2,674
788
5
3,467
2010
2,718
499
5
3,222
2011
2,736
333
5
3,074
2012
3,002
213
5
3,220
2013
3,506
254
4
3,764
2014
4,223
329
6
4,558
2015
5,355
410
6
5,771
2016
6,546
462
5
7,013
2017
7,218
561
5
7,784
Source: Provided by SD upon a request (Quarterly Population Statistics (FOLK1) Recorded 3rd quarter of every year
from 2008-2017)
8,000
7,000
6,000
5,000
4,000
3,000
2,000
1,000
0
2008
2009
2010
2011
2012
2013
2014
2015
2016
2017
Immigrants
Descendants
Persons of Danish Origin
Age distribution
The age categories considered in this section are based on the various rules applicable in Denmark for the
acquisition of nationality, in particular for stateless persons born in the country.
69
Figure 4: Age distribution of stateless persons with residence permits in 2017
0-17 years
Stateless
Unknown nationality
2,274
12
18-20 years
344
0
21+ years
5,166
46
Total
7,784
58
Source: Provided by SD upon a request (Quarterly Population Statistics (FOLK1), recorded 3rd quarter of 2017)
69
See
discussion, infra Section 4.2.1
20
Mapping Statelessness in Denmark
IFU, Alm.del - 2020-21 - Bilag 59: UNHCR og FN's Flygtningeorganisations rapport Mapping Statelessness in Denmark
2312577_0021.png
Stateless persons
Unknown nationality
29
21
%
66
5
79
%
0-17 years
18-20 years
20+ years
0-17 years
18-20 years
20+ years
Of the 7,784 stateless persons with residence rights in Denmark in 2017, the distribution by age group is as follows:
2,274 persons are minors below the age of 18 (29 percent), 344 persons are 18–20 years (5 percent); 5,166 (66
percent) stateless persons are more than 21 years old (2,850 of them being between 21–40 years old (37 percent),
while 2,316 persons are older than 40 years of age (29 percent)). The distribution among age categories of persons
with an unknown nationality is very different as the majority of persons with unknown nationality (79 percent) are
older than 21 years old, whereas 21 percent are between ages 0 and 17 years old and 24 percent between 21 and
40 years old. In 3rd quarter of 2017, there was not a single person with unknown nationality between ages 18 and
20 years old.
When considering only stateless persons who are born in Denmark, the distribution looks somewhat different:
Figure 5: Age distribution of stateless persons born in Denmark who have residence permits
0-17 years
Stateless
Unknown nationality
520
4
18-20 years
8
0
21+ years
33
2
Total
561
6
Source: Provided by SD upon a request (Quarterly Population Statistics (FOLK1). Recorded 3
rd
quarter of 2017)
As illustrated in Figure 5 above, 520 out of the 561 stateless persons born in Denmark are under the age of 18,
while eight persons are between 18 and 20 years old. It can be inferred that the vast majority of all stateless
persons who are born in Denmark (91 percent in 3
rd
quarter of 2017) are entitled under domestic law to be listed in
a naturalization bill and to acquire Danish nationality without satisfying the usual naturalization conditions.
Figure 6 shows the development between 2008 and 2017, in age brackets, of stateless persons born in Denmark.
Figure 6: Stateless persons born in Denmark who have residence permits (2008-2017)
2008
0-17 years
18-20 years
21+ years
Total
794
29
21
844
2009
717
43
28
788
2010
409
59
31
499
2011
264
39
30
333
2012
179
16
18
213
2013
223
10
21
254
2014
298
13
18
329
2015
371
12
27
410
2016
424
10
28
462
2017
520
8
33
561
Source: Provided by SD upon a request (Quarterly Population Statistics (FOLK1), 3rd quarter of every year from
2008-2017)
UNHCR Representation for the Nordic and Baltic Countries
21
IFU, Alm.del - 2020-21 - Bilag 59: UNHCR og FN's Flygtningeorganisations rapport Mapping Statelessness in Denmark
2312577_0022.png
Stateless persons born in Denmark, 2008-2017
800
700
600
500
400
300
200
100
0
2008
2009
2010
2011
2012
2013
2014
2015
2016
2017
0-17 years
18-20 years
20+ years
The figure illustrates that the number of stateless persons born in Denmark between 0 and 17 years old decreased
steadily from 794 persons in 2008, to 179 persons in 2012, notably with the first large decrease occurring between
2009 and 2010. After 2012, the number started to rise again and in 2017 there were 520 stateless persons under
18 years old who were born in Denmark. The number of stateless persons aged between 18 and 20 rose between
2008 and 2010 from 29 to 59 persons, after which it has decreased each year, to only eight persons in the third
quarter of 2017.
The notable decrease in the overall number of stateless persons born in Denmark in 2012, as noted earlier, is
largely explained by a fall in the number of stateless persons under the age of 18 years, and complemented by a
decrease in the age group between 18 and 20 years old.
70
Nonetheless, 561 persons born stateless in Denmark remain stateless. This is thus an issue warranting further
examination.
Country of origin
The countries of origin that are most frequently represented in the statistics on stateless persons with residence
rights under Danish law are detailed below in Figure 7.
71
The figure includes the category of “country of origin in
the Middle East unknown” and “Stateless”. The nine countries and two categories listed in the figure together
constitute 94.9 percent of the stateless population with residence rights in Denmark.
72
However, there may be an
additional number of stateless persons living in Denmark without a residence permit, who may still fall within the
terms of the 1954 and/or 1961 Conventions.
70
This observation is related to the earlier explained wrongfully denied grants of Danish nationality, which was addressed in 2011.
Subsequently, more stateless persons born in Denmark claimed their Danish nationality, causing the fall in the total number of stateless
persons.
Country of origin is by Statistics Denmark determined on the basis of the following: If both parents are known, the country of origin is
determined according to the mother’s country of birth. If only one parent is known, the country of origin is determined according to that
parent’s country of origin. If neither of the parents is known, the country of origin is defined according to the stateless person’s own
information. Definition obtained from Statistics Denmark, ‘Quality Declaration for Immigrants and Descendants 1 January 2014’, available
at:
https://bit.ly/3hI9Brk.
An additional 50 countries combined make up the remaining 5 percent. The remaining countries each comprise less than 0.5 percent of
the total stateless population and are not included within Figure 7.
71
72
22
Mapping Statelessness in Denmark
IFU, Alm.del - 2020-21 - Bilag 59: UNHCR og FN's Flygtningeorganisations rapport Mapping Statelessness in Denmark
2312577_0023.png
Figure 7: Country of origin of stateless persons in Denmark (N <0.5%)
73
4,000
3,500
3,000
2,500
2,000
1,500
1,000
500
0
Sy
ria
Le
ba
no
n
Bh
u ta
n
ele
ss
an
ma
r
wn
k
Isr
ae
l
Ku
wa
it
Ne
pa
l
3,516
21
Source: SD (Requested in a separate
correspondence. Recorded 1 July of 2017)
Figure 7 indicates that 43.4 percent of the stateless population in Denmark has one or two parents from Syria (3,868
persons in absolute numbers). Another 22.6 percent has one or two parents who originate from Lebanon (1759
persons), while 9.2 percent (718 persons) are of Bhutanese origins.
74
5.2 percent (408 persons) of the stateless
population have their country of origin marked as ‘Stateless’ which suggests that there have been mistakes in the
registration procedure, as ‘Stateless’ is not a country and cannot therefore be a person’s country of origin.
Gender, marital status, and regional distribution
The male to female ratio among stateless persons with residence rights is close to 1:1, with 4268 stateless men
(53 percent) and 3516 stateless women (47 percent). In the case of persons with an unknown nationality, the ratio
is somewhat more unequal with 37 men (64 percent) and 21 women (36 percent) registered in the CPR system.
Figure 8: Gender distribution among stateless persons and persons of unknown nationality in Denmark
Males
Stateless
Unknown
4,268
37
Females
Source: SD (Quarterly Population Statistics (FOLK1), recorded 3rd quarter of 2017)
73
74
N<0,5 percent: a country is only included when it comprises at least 0,5 percent of the total stateless population.
In the data provided by Statistics Denmark, persons with ‘stateless’ as country of origin and ‘unknown’ country of origin are two separate
categories (303 and 38 persons, respectively). However, as a stateless person’s country of origin cannot be ‘stateless’, there seems to
have been mistakes in the Danish registration system. Therefore, the two groups are merged here into one larger category covering
persons with an unknown country of origin.
UNHCR Representation for the Nordic and Baltic Countries
Mi
dd
le-
Ea
Sa
ud
i-A
rab
ia
Sta
t
My
st
u
nk
no
Ira
23
IFU, Alm.del - 2020-21 - Bilag 59: UNHCR og FN's Flygtningeorganisations rapport Mapping Statelessness in Denmark
2312577_0024.png
Stateless
Unknown
55
64
%
45
36
%
Males
Females
Males
Females
As illustrated in Figure 9, the majority of stateless persons (adults and children), i.e. 4034 (47 percent), have never
been married. 3,064 (40 percent) stateless persons are either married or separated. Moreover, two smaller groups
of persons are either divorced or widowed: 515 and 171 persons respectively.
Figure 9: Marital status of stateless persons in Denmark
Never married
Married/separated
Widowed
Divorced
4,034
3,064
171
515
Source: Provided by SD upon a request (Quarterly Population Statistics (FOLK1). Recorded 3rd quarter of 2017)
Denmark is divided into five regions and 98 municipalities. As indicated in Figure 10, most stateless persons,
2,131 persons, reside in the Capital Region of Denmark, while another 1,333 stateless persons live in the Region
of Zealand. 1,928 persons live in Central Denmark, Southern Denmark counts 1650 stateless persons, while 742
stateless persons live in the Region of Northern Denmark.
Figure 10: Stateless persons by regional distribution in Denmark
Capital Region
Region Zealand
Southern Denmark
Central Denmark
Northern Denmark
Source: SD (Quarterly Population Statistics (FOLK1). Recorded 3rd quarter of 2017)
Figure 11 shows the distribution of stateless persons in Danish municipalities on a map. As can be seen, stateless
persons are concentrated in the urban areas of Copenhagen, Aarhus and Odense (the three biggest cities in
Denmark), with 904 persons living in the municipality of Aarhus, 578 persons in Copenhagen and 375 persons in
Odense. The stateless population in these areas constitute roughly 24 percent of the whole stateless population
in Denmark. In addition, the Western part of Zealand and certain municipalities in Jutland host a sizeable numbers
of stateless persons.
2,131
1,333
1,650
1,928
742
24
Mapping Statelessness in Denmark
IFU, Alm.del - 2020-21 - Bilag 59: UNHCR og FN's Flygtningeorganisations rapport Mapping Statelessness in Denmark
2312577_0025.png
Figure 11: Distribution of stateless persons in Danish municipalities
2.2.2.2 Stateless persons seeking asylum or other residence permits
A number of stateless persons are in the process of applying for asylum or a residence permit on other grounds,
and are therefore not registered in the CPR system. Therefore, this part includes data available through the
Danish Immigration Service, and more specifically through the Danish Immigration Service’s publication “Statistical
Overview.”
75
The statistics on immigration and asylum are based on administrative records from the Danish Aliens
Register
76
and on the electronic case and document handling system (ECDH).
77
These two registries contain
information on foreign nationals or stateless persons who currently have, or previously had, a case processed
according to the Danish aliens legislation.
78
Besides its own publication, the Danish Immigration Service also
75
The Danish Immigration Service,
Tal og Fakta på Udlændingeområdet 2016
(Danish version), 2017, available at:
https://bit.ly/303fBVN
and Ministry of Immigration, Integration and Housing,
Statistical Overview: Migration and Asylum 2015,
2016, available at:
https://bit.ly/2OY2NcO.
In Danish:
Udlændingeregistret.
The Danish Immigration Service,
Tal og Fakta på Udlændingeområdet 2016,
p. 8.
Ibid.
76
77
78
UNHCR Representation for the Nordic and Baltic Countries
25
IFU, Alm.del - 2020-21 - Bilag 59: UNHCR og FN's Flygtningeorganisations rapport Mapping Statelessness in Denmark
2312577_0026.png
provides data to Statistics Denmark regarding annual numbers of residence permits granted, asylum-seekers, and
other information, which will be used throughout this section.
79
The number and types of residence permits granted to stateless persons over the period 2010-2017 is indicated
in Figure 12 below.
Figure 12: Number of residence permits granted per type, 2010-2017
Stateless
2010
Asylum
Family reunification
EU residence certificate or card
Working permit
Education
Other reasons
Total
12
57
6
12
6
0
93
2011
237
49
9
14
6
0
315
2012
249
46
3
12
2
4
316
2013
413
54
5
13
2
8
495
2014
571
201
6
13
1
12
804
2015
919
888
8
11
10
37
1,873
2016
557
411
7
3
14
30
1,022
2017
185
202
6
7
11
88
499
All applicants
2010
Asylum
Family reunification
EU residence certificate or card
Working permit
Education
Other reasons
Total
2,124
4,768
25,361
10,851
11,863
642
2011
2,249
2,902
27,395
9,389
10,550
494
2012
2,583
3,170
9,024
10,652
494
2013
3,889
5,112
11,529
11,601
404
2014
6,104
5,727
35,415
12,436
12,144
516
2015
10,849
11,645
37,366
11,682
12,658
493
2016
74,93
7,679
37,166
12,903
14,291
470
2017
2,749
7,017
38,306
12,750
15,300
775
30,059 32,027
55,609 52,979 55,982 64,562 72,342 84,693 80,002 76,897
Source: SD (Residence permits (year) by type of residence permit and citizenship (VAN66), recorded ultimo each
year 2010-2017)
Three main conclusions can be drawn from Figure 12. First, the figure illustrates a large increase in the total number
of residence permits granted to stateless persons, with a notable increase occurring between 2010 (93 permits)
and 2011 (315 permits) from where the amount has gradually increased leading to the grant of 1,873 permits in 2015.
It can also be seen from the figure that this increase was mainly driven by a rise in the number of permits granted
to stateless asylum-seekers, jumping from 12 in 2010 to 919 in 2015, from which the amount decreased to the level
of 185 granted permits in 2017. This shift partially mirrors the rise in the total number of residence permits granted
to all asylum-seekers (2,124 in 2010 and 10,489 in 2015).
Secondly, reflecting the large increase in the number of residence permits granted to asylum-seekers since 2011,
the figure indicates a significant shift in composition of permits granted. While in 2010, 61.3 percent of all residence
permits (57 permits) were granted to stateless persons on the grounds of family reunification, between 2011 and
2016 the majority of the residence permits have been granted for asylum-seekers. The peak was reached in 2013
when out of the total 495 residence permits granted to stateless persons, the majority (413 permits, or 83 percent)
79
It must be stressed that due to the wrongful registrations discussed in Section 2.1, the data collected prior 2011 is somewhat flawed. Only
since the attention paid to the issue in 2011 can registration include ‘stateless’ and not only ‘national of country of origin’. Re-registration
therefore causes an increase in the number of stateless persons since 2011. All the same, the data reflect that the distribution of residence
permits granted to stateless persons deviate from the overall distribution of permits. This is acknowledged in the Danish Immigration
Service, ‘Statistical Overview: Migration and Asylum 2011’ (English version), p. 9.
26
Mapping Statelessness in Denmark
IFU, Alm.del - 2020-21 - Bilag 59: UNHCR og FN's Flygtningeorganisations rapport Mapping Statelessness in Denmark
2312577_0027.png
All applicants
60%
50%
40%
30%
20%
10%
0%
2010
2011
2012
2013
2014
2015
2016
2017
Stateless application
80%
70%
60%
50%
40%
30%
20%
10%
0%
2010
2011
2012
2013
2014
2015
2016
2017
Asylum
Family reunification
EU residence certificate or card
Working permit
Education
were granted on the basis of asylum and only 54 residence permits (11 percent) were granted on basis of family
reunification, while the remaining permits were granted based on work and education or issued in accordance with
EU law.
80
In comparison, subsequent years saw a notable increase in the number of residence permits granted
80
Family members of EU nationals have the possibility of applying for a registration certificate pursuant to the conditions of the Act No. 322
of 21 April 2009, Executive Order on Residence in Denmark for Aliens Falling within the Rules of the European Union (the EU Residence
Order), available at:
https://bit.ly/3306ZBm
UNHCR Representation for the Nordic and Baltic Countries
27
IFU, Alm.del - 2020-21 - Bilag 59: UNHCR og FN's Flygtningeorganisations rapport Mapping Statelessness in Denmark
2312577_0028.png
on the basis of family reunification. This figure peaked in 2015, when 888 residence permits (or 47 percent of all
permits) were granted on the ground of family reunification, while the relative importance of the other categories
declined accordingly. In 2017, 40.5 percent of residence permits (202 permits) were granted to stateless persons
on the grounds of family reunification, exceeding the number of residence permits granted on the basis of asylum
(185 percent or 37.1 percent) for the first time since 2010.
The third observation is that in general, the distribution of residence permits granted to stateless persons differs
substantially from the distribution of permits for all applicants. Between 2011 and 2017, in average 49.2 percent
of all residence permits were granted each year in the form of EU residence certificates, while approximately 18
to 20 percent were granted on the grounds of either work or education. These three categories combined made
up less than 6 percent of the residence permits granted to stateless persons during the same period of time, with
the exception of 2011 when 9.2 percent of stateless persons acquired residence permits on the above-mentioned
grounds. Looking at stateless applicants, the vast majority of residence permits have been given to asylum-seekers
(64.2 percent on average), a group that constituted only a minor fraction (7 percent on average) of the total number
of residence permits granted to all applicants within the same period of time.
Figure 13 provides quarterly statistics on the number of residence permits granted to stateless and all other asylum-
seekers in the period of the first quarter of 2010 until the fourth quarter of 2017. Again, the increase in residence
permits granted to stateless asylum-seekers should be seen in the context of a general rise in asylum-seekers,
in particular stateless persons from Syria.
81
As indicated by the blue bars in the graph, the number of residence
permits granted to asylum-seekers who are not stateless rose significantly throughout the period until the figure
turned into a steady decrease from the 2
nd
quarter of 2016 onwards. The peak periods when the highest amount
of residence permits have been granted to stateless asylum-seekers seemingly follow the general trend with the
highest peaks reached in the fourth quarter of 2013 (16.8 percent or 291 permits) and the first quarter of 2015 (11
percent or 394 permits) after which the percentage of residence permits granted quarterly to stateless asylum-
seekers have been between 5.5 and 9.4 percent.
Figure 13: Residence permits granted to stateless asylum-seekers (quarterly figures 2010-2017)
Residence permits granted
3,500
3,000
2,500
2,000
1,500
1,000
500
0%
2010Q1
2010Q2
2010Q3
2010Q4
2011Q1
2011Q2
2011Q3
2011Q4
2012Q1
2012Q2
2012Q3
2012Q4
2013Q1
2013Q2
2013Q3
2013Q4
2014Q1
2014Q2
2014Q3
2014Q4
2015Q1
2015Q2
2015Q3
2015Q4
2016Q1
2016Q2
2016Q3
2016Q4
2017Q1
2017Q2
2017Q3
2017Q4
All asylum seekers exc. stateless
Stateless asylum seekers
Source: SD (Residence permits (quarterly by each year) by citizenship (VAN 77) 2010-2017)
81
Personal communication with the Danish Immigration Service (email dated 9 March 2015).
28
Mapping Statelessness in Denmark
IFU, Alm.del - 2020-21 - Bilag 59: UNHCR og FN's Flygtningeorganisations rapport Mapping Statelessness in Denmark
2312577_0029.png
Until 2011, when processing an application for asylum in Denmark, the Danish Immigration Service determined,
whether the applicant fell into the category of “stateless Palestinians” or of “other stateless persons”.
82
The total
number of “spontaneous asylum applications”,
83
received by the Danish Immigration Service from 2009-2016, is
outlined below.
Figure 14: Spontaneous asylum applications (processing figure 2006-2016)
84
2006
Stateless
85
– Stateless
Palestinians
– Other
stateless
Total
Stateless as
share of total
45
40
5
922
4.9%
2007
23
17
6
1,029
2.2%
2008
41
30
11
951
4.3%
2009
45
43
2
2,022
2.2%
2010
29
26
3
2,844
1.0%
2011
133
32
101
3,600
3.7%
2012
87
-
-
3,336
2.6%
2013
351
-
-
5,144
6.8%
2014
807
-
-
2015
924
-
-
2016
1,266
-
-
10,192 10,472 12,722
3.7%
8.5%
9.9%
Sources: IS (Statistical Overview, Migration and Asylum 2011, 36) and SD (Asylum-seekers by citizenship and type
of asylum (VAN5) 2006-2016)
Spontaneous asylum applications, processing figure, 2006-2016
1,200
1,000
800
600
400
200
0
2006
2007
2008
2009
2010
2011
2012
2013
2014
2015
2016
Stateless total
Stateless Palestinians
Other Statelles
82
An application for asylum in Denmark can, as a rule, only be made by a person in Denmark. During the processing of the case, the asylum-
seeker is assigned to an accommodation center in Denmark. See information on applying for asylum on New to Denmark, available at:
http://www.nyidanmark.dk/en-us/coming_to_dk/asylum/asylum_process/applying_for_asylum.htm.
A spontaneous asylum-seeker is a person who applies for asylum in Denmark without already holding a residence permit (such
as a family reunification residence permit). See frequently asked questions on seeking asylum on New to Denmark, available at:
http://www.nyidanmark.dk/en-us/faq/asylum.htm.
Processing figures only cover “registered spontaneous asylum-seekers”. A registered spontaneous asylum-seeker is a person who has
entered Denmark and applied for asylum, and whose application Denmark has agreed to process (c.f. the Dublin Convention).
Ibid.
Until 2011, the Danish Immigration Service reported the number of spontaneous asylum applications in its annual ‘Statistical Overview’
publications. In its publications from 2012 and 2013, however, the Danish Immigration Service has not reported these figures. For these
years, accordingly, the table draws on data from Statistics Denmark, which does not allow for a decomposition into ‘Stateless Palestinians’
and ‘Other stateless’.
83
84
85
UNHCR Representation for the Nordic and Baltic Countries
29
IFU, Alm.del - 2020-21 - Bilag 59: UNHCR og FN's Flygtningeorganisations rapport Mapping Statelessness in Denmark
2312577_0030.png
Figure 14 indicates that the number of stateless Palestinians applying for asylum in Denmark fluctuated between
approximately 17 and 43 applicants in the period 2006-2011. Until 2010, Denmark received applications for asylum
from persons who were registered as stateless Palestinians more frequently than from “other stateless persons,”
who submitted only between two to three applications per year in 2009 and 2010. In 2011, however, the number
of applications for asylum made by “other stateless persons” increased significantly. This may be explained by the
increased number of Syrian asylum applicants, in combination with the increased focus on correct statelessness
registration and re-registration.
86
In any case, among the asylum-seekers in the category “other stateless persons,”
the majority has so far been of Syrian origin.
87
Since Statistics Denmark’s data from 2011 and onwards do not allow
for disaggregation, the distribution between “stateless Palestinians” and “other stateless persons” cannot be easily
assessed any longer.
Looking at the overall picture, the graph suggests that the total number of applications for asylum submitted by
stateless persons remained relatively low until 2011, rarely exceeding 45 applications per year. Accordingly, the
number of applications submitted by stateless persons only constituted 1 percent of the total number of applications
for asylum in 2010. Since 2011, applications from registered stateless persons have risen significantly, reaching 6.8
percent of all asylum cases in 2013 and 9.9 percent in 2016.
Recognition Rate
Figure 15 shows the rates of recognition of refugee status in asylum applications from stateless persons, processed
by the Danish Immigration Service from 2006 to 2016.
88
Figure 15: Recognition rates in asylum cases in Denmark (2006-2016)
89
2006
Stateless (total)
Stateless
Palestinians
Other stateless
All nationalities
-
31%
100%
18%
2007
-
48%
60%
56%
2008
36%
15%
90%
50%
2009
34%
31%
100%
44%
2010
13%
13%
0%
38%
2011
53%
15%
63%
33%
2012
51%
-
-
46%
2013
76%
-
-
55%
2014
89%
-
-
74%
2015
90%
-
-
85%
2016
82%
-
-
72%
Source: IS (Statistical Overview, Migration and Asylum 2011: 38; 2013:16, 2016: 62 (Danish version))
86
As explained above, this is caused by the re-registration of stateless persons since 2011. See the Danish Immigration Service, ‘Statistical
Overview: Migration and Asylum 2015’ (English version), 2016, p. 18.
The Danish Immigration Service,
Tal og Fakta på Udlændingeområdet 2016’
(Danish version), 2017, p. 63
The data includes only applications from spontaneous asylum-seekers who are recognized either as ‘convention refugees’ (applicants
who fall within the provisions of the Refugee Convention, cf. Section 7(1) of the Aliens Act) or ‘refugees with B-status/de
facto
status
(applicants who are granted protection status because they risk the death penalty or torture, inhuman or degrading treatment or
punishment in case of return to their country of origin, cf. Section 7(2) of the Aliens Act). The data does not include residence permits
granted to ‘quota refugees’ (refugees who are offered resettlement in Denmark according to an agreement with UNHCR), residence
permits granted for humanitarian reasons (cf. Section 9(b) of the Aliens Act) and residence permits issued when exceptional reasons make
it appropriate, cf. Section 9(c)(1) of the Aliens Act.
Explanatory notes to the table and graph: Until 2011, the Danish Immigration Service maintained the distinction between ‘stateless
Palestinians’ and ‘other stateless persons’ and did not report aggregate recognition rates for stateless persons for the period 2006-2011.
However, in its 2012 and 2013 publications, the Danish Immigration Service provided aggregate recognition rates five years back in time.
For this reason, aggregate recognition rates for stateless persons are available from 2008 onwards.
87
88
89
30
Mapping Statelessness in Denmark
IFU, Alm.del - 2020-21 - Bilag 59: UNHCR og FN's Flygtningeorganisations rapport Mapping Statelessness in Denmark
2312577_0031.png
100%
80%
60%
40%
20%
0%
2006
2007
2008
2009
2010
2011
2012
2013
2014
2015
2016
Stateless (2008-2016)
Stateless Palestinians (2006-2011)
Other Statelles (2006-2011)
Figure 15 indicates that the recognition rate for stateless Palestinians seeking asylum in Denmark has decreased
from around 30-50 percent in 2006 and 2007 to a substantially lower recognition rate in 2010 and 2011, of around
15 percent. As to “other stateless persons,” the recognition rate has varied but normally it has remained above
60 percent, except in 2010, where no refugee status was granted among this group of asylum-seekers.
90
Looking
at the aggregate recognition rate available from 2008 onwards, the graph indicates a fall until 2010 (13 percent)
and, since then, a significant increase to 53 percent in 2011 and 76 percent in 2013; thereafter the percentage has
steadily remained between 82 to 90 percent.
Comparing the data of stateless asylum-seekers to other categories of asylum-seekers (shown in the table), it
can be seen that between 2008 and 2011, the recognition rate for “stateless Palestinians” was substantially lower
than the average of all others, which remained between 30 percent and 50 percent in that period. In contrast,
the recognition rate for “other stateless persons” was higher than the national average, except in 2010. When
considering the stateless as one group, recognition rates remained below the national average until 2011. After
2011, the recognition rate for stateless asylum seekers in total has stayed consistently higher than the rate for other
categories.
Besides the stateless spontaneous asylum-seekers, stateless persons may have been granted asylum in Denmark
as quota refugees, these being refugees who are offered resettlement in Denmark based on an agreement with
UNHCR, or they may have been granted a residence permit for humanitarian or other exceptional reasons. In
order to get a comprehensive overview of the total number of stateless persons within the entire asylum system
in Denmark, it is therefore important to consider the total number of residence permits granted, as outlined in
Figure 16.
90
Here, it must be taken into consideration that the number of “other stateless applicants” was relatively low. There were for instance only
two and three asylum applications registered from “other stateless applicants” in 2009 and 2010, respectively.
UNHCR Representation for the Nordic and Baltic Countries
31
IFU, Alm.del - 2020-21 - Bilag 59: UNHCR og FN's Flygtningeorganisations rapport Mapping Statelessness in Denmark
2312577_0032.png
Figure 16: Total number of residence permits issued to stateless persons who are recognized refugees, resettled
refugees, or granted a residence permit based on humanitarian or exceptional grounds (2006-2016)
2006
Stateless
– Stateless
Palestinians
– Other stateless
Total
Stateless as
share of total
69
55
14
1,095
6.3%
2007
20
17
3
1,278
1.6%
2008
62
51
11
1,453
4.3%
2009
32
30
2
1,376
2.3%
2010
12
12
0
2,124
0.6%
2011
237
10
227
2,249
10.5%
2012
249
14
235
2,583
9.6%
2013
413
207
206
3,889
10.6%
2014
571
-
-
6,104
9.4%
2015
919
-
-
10,849
8.5%
2016
556
-
-
7,493
7.4%
Source: IS (Statistical Overview, Migration and Asylum 2011: 70; 2012:18, 2013: 14-15, 2015:17; 2016: 15 (Danish
version))
1,000
900
800
700
600
500
400
300
200
100
0
2006
2007
2008
2009
2010
2011
2012
2013
2014
2015
2016
Stateless total (2013-2016)
Stateless Palestinians (2006-2011)
Other Statelles (2006-2011)
As indicated in Figure 16, the total number of residence permits granted to persons who were registered as
“stateless Palestinians” and “other stateless persons” fluctuates from year to year. In the case of stateless
Palestinians, the total number of positive decisions varied between 10 and 55 from 2006 to 2012, but rose to 207
in 2013. For “other stateless persons,” the number of positive decisions was substantially lower in the period 2006-
2010, ranging from zero to 14 permits. In 2011, however, this number rose steeply to 227 permits, partly due to the
attention paid to correct registration in 2011, including 143 permits granted to quota refugees, mainly from Bhutan
and Myanmar.
91
This level, above 200 permits granted per year, continued in 2012. Since 2013, over 400 permits
have been granted per year. The peak was reached in 2015 when 919 residence permits were granted.
When comparing the total number of residence permits granted to stateless persons with the overall number of
permits granted, the percentage of permits granted to stateless persons varies widely from 0.6 percent of the total
in 2010 to 10.6 percent in 2013 after which the number has moderately decreased to the level of 7.4 percent in
2016.
91
The Danish Immigration Service, ‘Statistical Overview: Migration and Asylum 2011’ (Danish version), p. 44.
32
Mapping Statelessness in Denmark
IFU, Alm.del - 2020-21 - Bilag 59: UNHCR og FN's Flygtningeorganisations rapport Mapping Statelessness in Denmark
2312577_0033.png
If an asylum-seeker receives a final rejection of his or her application from the Refugee Appeals Board, the person
becomes subject to removal and must leave Denmark according to a deadline stated in the decision. If a rejected
asylum-seeker refuses to leave Denmark voluntarily, it is the responsibility of the North Zealand Police – National
Operational Aliens Centre (UCN)
92
to ensure his or her departure.
93
An asylum-seeker who has received a final
rejection and awaits his or her departure is registered as a “rejected asylum-seeker in return position.”
94
The
practice of returning rejected asylum-seekers who are stateless can be problematic, as stateless persons may
not have a country to be returned to at all .
95
Consequently, in practice it may not be possible to return a stateless
person whose application for asylum has been refused.
Despite these obstacles, each year a number of rejected stateless asylum-seekers are registered as being in a
return position waiting to leave Denmark.
96
The Danish Immigration Service provides historical data on the total
number of rejected stateless asylum-seekers in a return position, which is outlined in Figure 17.
Figure 17: Rejected stateless asylum seekers in a return position (2008 to 2016)
2008
Stateless
97
– Stateless Palestinians
– Other stateless
Total in return position
Share of stateless in total
20
19
1
665
3.0%
2009
17
16
1
510
3.3%
2010
17
17
0
844
2.0%
2011
41
24
17
978
4.2%
2012
48
-
-
1,525
3.1%
2013
65
-
-
1,519
4.3%
2014
68
-
-
1,686
4.0%
2015
87
-
-
1,393
6.2%
2016
96
-
-
1,154
8.3%
Source: IS (Statistical Overview, Migration and Asylum 2011: 40, 2013: 20, 2016: 21 (Danish version))
98
Rejected stateless asylum seekers in a return position, 2008-2016
100
90
80
70
60
50
40
30
20
10
0
2008
2009
2010
2011
2012
2013
2014
2015
2016
Stateless Palestinians
Other Statelles
Other (total)
92
93
94
95
In Danish:
Udlændinge Center Nordsjælland
(UCN).
See information on applying for asylum on New to Denmark, available at:
https://bit.ly/3hID7gW.
The Danish Immigration Service, ‘Statistical Overview: Migration and Asylum 2011’ (English version), p. 40.
The NUC, ‘Status
efter 2. halvår 2011 vedrørende arbejdet med udsendelse af afviste asylansøgere’
(Status of the second half of 2011
concerning the departure of rejected asylum-seekers), February 2012, available at:
https://bit.ly/3hUtR9F.
Some countries abide by their duty to receive stateless persons to whom they are affiliated; for instance Lebanon, which receives
stateless Palestinians who are registered in Lebanon with UNRWA.
See ibid.
In its annual ‘Statistical Overview’ publications for 2012 and 2013, the Danish Immigration Service does not distinguish between ‘Stateless
Palestinians’ and ‘Other stateless’ in data on rejected asylum seekers in return position.
Figures for 2014: The National Aliens Division of the National Police: Status concerning the departure of rejected asylum seekers in 2014,
Status på arbejdet med udsendelse af afviste asylansøgere i 2014, p.4:
https://bit.ly/330iIQc.
96
97
98
UNHCR Representation for the Nordic and Baltic Countries
33
IFU, Alm.del - 2020-21 - Bilag 59: UNHCR og FN's Flygtningeorganisations rapport Mapping Statelessness in Denmark
2312577_0034.png
Figure 17 indicates that since 2008, the number of stateless persons registered as in a return position has steadily
rose from the number of 20 in 2008 to 96 persons recorded in 2016; however, in relation to the number of
submitted asylum applications, increased recognition rate and the increase in residence permits granted to
stateless persons within the same period of time, as illustrated in Figures 14 to 16 respectively, the percentage of
stateless asylum seekers in a return position has proportionally decreased. Between 2008 and 2011, the majority of
rejected stateless asylum applicants in return position were of Palestinian origins, but since the Danish Immigration
Service discontinued the use of distinct categories of ‘Stateless Palestinians’ and ‘Other Stateless’ in 2011, it was
not possible to make distinctions between the two groups from 2012 onwards.
Statistics Denmark provides information on the number of foreigners, including stateless persons, who have
obtained Danish nationality through naturalization each year in the period 2006-2017. They are shown in Figure 18.
Figure 18: Stateless persons obtaining Danish nationality (2007-2017)
2007
Stateless persons
All persons
Share of
stateless in total
69
4,150
1.7%
2008
126
6,111
2%
2009
463
6,869
6.7%
2010
246
3,833
6.4%
2011
248
4,467
5.5%
2012
128
3,671
4%
2013
50
1,863
2.7%
2014
163
4,786
3.4%
2015
149
4,498
3.3%
2016
415
15,028
2.8%
2017
274
7,272
3.8%
Source: SD (People, who changes into Danish citizenship by sex, age and former citizenship (DKSTAT) recorded
ultimo 2007-2017)
500
450
400
350
300
250
200
150
100
50
0
2007
2008
2009
2010
2011
2012
2013
2014
2015
2016
2017
Figure 18 indicates that between 50 and 463 stateless persons were granted Danish nationality each year in the
period 2007-2017.
When comparing the numbers of stateless persons to the total number of foreign nationals who naturalized, there
is a decrease in the percentage of stateless persons obtaining Danish nationality since 2009 and onwards. In the
period 2009-2011, the percentage was around six percent, while since 2012, it decreased to less than four percent
of the total number of grants of nationality to foreigners. In 2017, 274 stateless persons obtained Danish nationality,
which constitutes 3.8 percent of all naturalized persons.
The high number of naturalized stateless persons in 2009 cannot be explained as an effect of the “statelessness
case” (see Section 2.1.1). It may have caused a number of stateless persons to apply for naturalization but most
likely only as of 2011 when the rights of Danish born stateless persons became publicly well known. The fact that
the grants of nationality to stateless persons peaked already in 2009 may be explained as a coincidence. The
34
Mapping Statelessness in Denmark
IFU, Alm.del - 2020-21 - Bilag 59: UNHCR og FN's Flygtningeorganisations rapport Mapping Statelessness in Denmark
2312577_0035.png
Nationality Division of the Ministry of Immigration and Integration (previously under the Ministry of Justice) has
shared their impression that many applicants were informed about the entitlement to nationality due to birth in
Denmark from other applicants, and that the information was passed by word-of-mouth.
99
Under the ministerial report of 2011 on the “statelessness case,” stateless children born in Denmark made up a
substantial number of the applicants who had been listed in naturalization bills in 2009 due to their fulfilment of the
normal requirements for naturalization. Stateless children born in Denmark made up between 9 and 16 percent of
all applicants listed in the two naturalization bills in 2009 (121 and 254 children respectively). Likewise, in the first
half of 2010, before the re-establishment of a naturalization practice in accordance with the Conventions, stateless
children born in Denmark made up 10 percent of all listed applicants (89 stateless children out of 913 applicants).
100
Figure 19 illustrates the number and legal grounds on which stateless persons have been listed in naturalization
bills since October 2010 to 2016.
101
Figure 19: Stateless persons listed in Naturalization Bills (2010-2016)
Oct
2010
Convention
on the Rights
of the Child
Convention
on the
Reduction of
Statelessness
Standard
requirements
Total per bill
121
Apr
2011
48
Nov
2011
79
Apr
2012
37
Oct
2012
19
Apr.
2013
20
Oct.
2013
11
Apr.
2014
27
Oct.
2014
12
2015
2016
Total
492
(38%)
41
77
35
11
36
13
7
1
2
1
0
1
0
107
(8%)
701
(54%)
1,300
21
177
20
79
22
137
22
72
21
47
17
38
27
40
29
57
73
85
346
388
103
180
Source: Naturalization Bills submitted to the Danish Parliament October 2010 – October 2014 (L38
102
, L192
103
, L11
104
,
L163
105
, L42
106
, L211
107
, L53
108
, L179
109
and L45
110
).
The figure indicates that 38 percent of stateless persons included in Danish naturalization bills since October 2010
have been listed based on the CRC (492 persons). A relatively smaller part of stateless persons (8 percent) have
been listed on the basis of the 1961 Convention (107 persons), while a bit over half (54 percent) have obtained Danish
nationality by fulfilling the standard requirements applicable to stateless immigrants applying for naturalization in
Denmark (701 persons). In total, 1300 stateless persons have been listed on a naturalization bill from October 2010
to October 2016, of which 599 persons have been listed based on one of these two Conventions.
99
100
The theory was explained during an interview on 29 August 2012 with the Nationality Division.
See the report, Ministry of Integration, ‘Redegørelse til statsministeren om Integrationsministeriets behandling af ansøgninger om
indfødsret fra statsløse personer født i Danmark’, 7 March 2011, available at:
https://bit.ly/2OYOeWy
In October 2010, the first naturalization bill was submitted to the Danish Parliament comprising a number of stateless applicants who did
not fulfil the general naturalization requirements.
http://www.ft.dk/samling/20101/lovforslag/l38/index.htm.
http://www.ft.dk/samling/20101/lovforslag/L192/index.htm.
http://www.ft.dk/samling/20111/lovforslag/L11/index.htm.
http://www.ft.dk/samling/20111/lovforslag/L63/index.htm.
http://www.ft.dk/samling/20121/lovforslag/l42/index.htm.
http://www.ft.dk/samling/20121/lovforslag/l211/index.htm.
http://www.ft.dk/samling/20131/lovforslag/l53/index.htm.
http://www.ft.dk/samling/20131/lovforslag/l179/index.htm.
http://www.ft.dk/samling/20141/lovforslag/l45/index.htm.
101
102
103
104
105
106
107
108
109
110
UNHCR Representation for the Nordic and Baltic Countries
35
IFU, Alm.del - 2020-21 - Bilag 59: UNHCR og FN's Flygtningeorganisations rapport Mapping Statelessness in Denmark
2312577_0036.png
In 2015, 41 stateless children were included in naturalization bills according to the CRC, and one person was
included according to the 1961 Convention. In total 388 stateless persons were naturalized that year. In 2016, 77
stateless children were included in naturalization bills according to the CRC and none was included according to
the 1961 Convention. In total, 180 stateless persons were naturalized that year.
111
It appears from the statistics that many Danish-born stateless persons – more than 500 – are entitled to Danish
nationality and still have not naturalized. The higher numbers of naturalizations of Danish born stateless children
and young people in the wake of the so-called “statelessness case” must be seen against the background of the
direct information about their entitlement to Danish nationality from the authorities that Danish-born stateless
persons received in individual letters in March 2011.
112
Since then, no such direct information has been given.
Moreover, some difficulties are experienced with regard to naturalization, especially given the difficulties as to
getting a judicial review.
113
Furthermore, fees for naturalization of a child where families apply independently may
have been an obstacle for naturalization for some of these families. As a positive development, this problem has
been solved, since as of 1 September 2015, all children are exempted from the requirement of paying a fee for
naturalization.
2.2.3 A summary of the developments after 2011
Since 2011, the Danish authorities have increasingly focused on statelessness. This has led to a reconsideration of
the registration of stateless persons and the mechanism through which statelessness is assessed, as well as the
publication of information on the possibilities for re-registration of nationality. These developments are reflected
in the statistics.
The renewed attention to statelessness has made immigration authorities more aware of the problems that
stateless persons face, and the Danish Immigration Service’s Country of Origin Information Division has developed
a database with country specific information on statelessness. Thus, all stakeholders now have a better indication
of the size of problems with regard to statelessness in Denmark. The initiated processes of re-registration were
completed by the end of 2012. However, the process of re-registration of statelessness is continuously ongoing.
114
Moreover, an increasing number of stateless persons have entered Denmark and been granted residence permits,
and the total number of stateless persons is approximately 8,000. Thus, there is reason to believe that the registered
number of stateless persons residing in Denmark may further increase.
111
112
Informed by the Ministry of Immigration and Integration in letters of 29 April 2016 and 14 June 2017 to the DIHR.
As mentioned in section 2.1.1, in a letter of 3 March 2011, the 378 stateless persons born in Denmark were informed that the 1961
Convention and the CRC, under certain conditions, entitle persons born stateless in Denmark to the nationality of their country of birth.
The letter listed the conditions to be applied in Danish practice and informed about the use of an application form and an application fee.
See about access to judicial review below in section 4.2.
According to Information given by the Danish Immigration Service to DIHR in an email dated 9 March 2015, in March 2015, about 30
applicants awaited re-registration.
113
114
36
Mapping Statelessness in Denmark
IFU, Alm.del - 2020-21 - Bilag 59: UNHCR og FN's Flygtningeorganisations rapport Mapping Statelessness in Denmark
2312577_0037.png
2.3
Qualitative analysis of the situation of stateless persons
2.3.1 Specifics of the information used
As part of this mapping, representatives of five NGOs working on statelessness were interviewed in August 2012.
115
These organizations shared their views and experiences with stateless persons in Denmark, as presented in the
following sections.
2.3.2 Procedural aspects
Around 2012, the organization
Refugees Welcome (RW)
advised about 200 refugees per year, including stateless
Palestinians, Rohingya, Bhutanese and stateless persons from the former Soviet Republics.
RW staff explained that originally stateless Kurds from Syria in particular had faced problems in Denmark during
the administrative process.
116
Other stateless persons had reported problems in relation to getting a biometric
registration document from their country of origin.
117
RW explained that some of their experiences related to periods preceding the Danish Immigration Service’s
introduction of new statelessness registration procedures in 2011-12, but they mentioned that they still came across
registration problems. In their opinion, it would be an improvement if qualified interpreters could participate in the
first registration of asylum-seekers carried out immediately after their arrival. Confusion due to language problems
might lead to misunderstandings, for instance in relation to a question like, “Where do you come from?”
According to RW, stateless asylum-seekers, like other asylum-seekers, faced economic problems, which were
exacerbated after a rejection of their asylum application, when they were in a “return position.” As far as RW could
judge, the provision in Section 9c(2) of the Aliens Act (on the grant of residence permits to aliens whom it has not
been possible to return for at least 18 consecutive months) was used very seldom. This was considered especially
to be so because of the requirement under Section 9c(2)(iii ) that “return must be considered futile.”
RW was aware of two cases where stateless persons had stayed in reception centers in Denmark for 10 to 12 years.
The first case concerned a stateless Kurdish family from Syria. RW has described the case in the publication
“Asylum Camp Limbo.”
118
Both the father and the mother had been politically active in Syria. They both fled to
Turkey, where they met and married.
119
Later they moved to Denmark and applied for asylum. In Denmark, they
lived in a number of reception centers, during which time their two children were born, in 2002 and in 2006. Their
asylum application was refused in 2003 and an appeal was refused in 2010. Their children were heavily affected
by their insecure life in the centres. The parents declared their willingness to leave Denmark but ultimately, they
refused to sign the necessary papers when they learned about persecution of Kurds in Syria. Neither the Syrian nor
the Turkish authorities had confirmed their identity. The Syrian authorities claimed that their ID cards were forged.
The husband was alleged to have come to Denmark under a false identity, which made him untrustworthy in the
115
These organizations are Refugees Welcome (‘Komitéen
Flygtninge Under Jorden’),
the Danish Refugee Council (‘Dansk Flygtningehjælp’),
the Danish-Palestinian Friendship Association (‘Dansk-Palæstinensisk
Venskabsforening’),
the Danish-Bhutanese culture association
(‘Håndtryk
og Hatemalo’,
both Håndtryk and Hatemalo means ‘handshake’ in Danish and Bhutanese respectively) and the Documentation
and Advisory Centre on Racial Discrimination (‘DRC:
Dokumentations- og rådgivningscentret om racediskrimination’).
Interviews with
stateless persons were not part of the research project.
The viewpoints of RW were given during an interview on 13 August 2012.
These problems are not recognized by the asylum authorities, and may be problems which stateless asylum applicants experience
themselves.
RW,
Asylum Camp Limbo,
A report about obstacles to deportation, 2011. pp. 30 and 34, available at:
https://bit.ly/30RwqSJ.
Ibid,
p. 30.
116
117
118
119
UNHCR Representation for the Nordic and Baltic Countries
37
IFU, Alm.del - 2020-21 - Bilag 59: UNHCR og FN's Flygtningeorganisations rapport Mapping Statelessness in Denmark
2312577_0038.png
eyes of the Danish police. The authorities had said they suspected they were of Turkish origin, but a language
test showed they spoke Arabic fluently. The Danish Immigration Service reported that the family was granted a
residence permit in the summer 2012 as “un-returnable”, and they were re-registered as stateless.
120
The other case mentioned in the publication concerned a stateless Bidoon from Kuwait.
121
Kuwait does not
recognize the Bidoon as citizens (bidoon is short for
Bidoon Jinsiya
which means “without nationality” in Arabic),
and the Bidoon do not have access to employment or healthcare. The stateless Bidoon in this particular case,
having left his wife and five children in Kuwait, went to Denmark to look for employment. He reportedly acquired
a forged Iraqi ID card in 2002, arguably because other asylum-seekers had told him that this would improve his
chances of being granted asylum in Denmark. Quickly after, however, he regretted the forgery and told the Danish
police the truth about the forged card and his situation as a stateless Bidoon. In 2004, he received the final refusal
of his application for asylum. The Danish authorities maintained that he was from Iraq and attempted to return him.
In 2009, the Iraqi authorities declared that his identity card was false and refused to admit him. Later, however,
the Iraqi authorities showed some willingness to reopen the case. The person was imprisoned in a Danish asylum
prison for seven months, on grounds that his physical presence was necessarily in the event of an expulsion order.
The Danish embassy in Kuwait had received no reply from the Kuwaiti authorities, and thus presumed that Kuwait
would not readmit him. The person claimed that if he had received legal counsel from the start, he would not
have lied about his identity, and he would probably have had a greater chance being granted a residence permit
in Denmark. The Danish Immigration Service informed the DIHR late 2012 that the person were to be granted a
residence permit as “un-returnable” and that he would be re-registered as stateless.
122
In 2012, the Danish Immigration Service and the
Danish Refugee Council (DRC)
concluded an agreement on
counseling asylum-seekers.
123
This project encompassed asylum-seekers at all phases of the asylum procedure.
Under the agreement, the DRC counseled rejected asylum-seekers who had remained in Denmark for many
years.
124
The importance of their assistance in the return efforts was emphasized.
The DRC explained during an interview in 2012 that, in their opinion since 2011, there had been more awareness
of statelessness among all Danish stakeholders. Still, they found that stateless persons in a return position faced
problems, and persons who were “unreturnable” appeared to be a low priority for the Danish Immigration Service.
According to the Aliens Act, the national police must consider questions on return options 18 months after an
application for asylum has been rejected. However, the decision of the Danish Immigration Service to grant a
residence permit based on the fact that a person is unreturnable, pursuant to Section 9c(2) of the Aliens Act, could
take an extra six months. One of the requirements for such a grant is that the ‘return must be considered futile
according to the information available at the time’ (Section 9c(2)(iii)). When that is not the case, another 18 months
must pass before a new application for a residence permit on grounds that someone is unreturnable can be
reconsidered. In this way, several 18-month periods can pass. In the opinion of the DRC, a person’s statelessness
could be the occasion for exempting him or her from the 18-month requirement, since an assessment of the
return possibilities would often be possible from the very beginning, given the likelihood that a stateless person
is unreturnable.
Obstacles to return are discussed by the national police in their annual reports.
125
In these reports, emphasis is put
on the receiving countries’ willingness to receive rejected asylum-seekers. They do not deal with the standard of
treatment afforded by these countries to, among others, stateless persons.
120
121
122
123
124
According to an email to DIHR dated 28 November 2012.
RW,
Asylum Camp Limbo, A report about obstacles to deportation,
2011. p. 34.
Information given by the Danish Immigration Service to DIHR in an email dated 28 November 2012.
Interview with Danish Immigration Service.
Information meetings will be held at the accommodation centers. The aim was that all centers have video equipment with the possibility of
video conferences with the Danish Refugee Council in 2012. In addition, the Danish Red Cross, which is responsible for accommodation
centers, has been contacted with a view to make it possible to refer rejected asylum-seekers to the Danish Refugee Council for further
information.
The annual reports by the NUC, ‘Status
på arbejdet med udsendelse af afviste asylansøgere’,
are available at:
https://bit.ly/2CXMiuW.
125
38
Mapping Statelessness in Denmark
IFU, Alm.del - 2020-21 - Bilag 59: UNHCR og FN's Flygtningeorganisations rapport Mapping Statelessness in Denmark
2312577_0039.png
In relation to stateless Palestinian refugees who came from Lebanon and who have prima facie a refugee status,
the Refugee Appeal Board may decide whether they can be returned to Lebanon as a safe third country. According
to the DRC, the question is whether the living conditions of stateless persons in Lebanon cumulatively fulfil the
requirements of a “safe third country.”
The
Danish-Bhutanese culture organization Håndtryk og Hatemalo
explained in 2012 that the first group of
Bhutanese refugees came to Denmark in 2008. At that time, they did not understand the text in the papers they
received from the Danish authorities, including their residence permits. The Danish-Bhutanese culture organization
was also not acquainted with the entitlement to Danish citizenship if a child is born stateless in the country. Most
Bhutanese refugees were illiterate. According to the organization, it was not enough to disseminate information
at Danish language schools. In the opinion of the organization, the municipality, the “accompanying group” or a
“spokesperson” should provide information. This way, this population would be better informed, for example, of
their children’s right to acquire Danish nationality.
The chairperson of the Danish-Bhutanese culture organization himself did not realize that he had been wrongfully
registered as a Bhutanese national, rather than as stateless. First, when he started his education at an education
center, he found out that he was registered as a national of Bhutan, even though he had lived as a stateless
refugee in a camp in Nepal for 17 years and was not allowed to enter Bhutan. In 2012, he received a letter from
the Danish Immigration Service, informing him about the possibility to change his incorrect registration from
“Bhutanese national” to “stateless.”
For many Bhutanese refugees, it was a particular problem that they could not document their age, since they had
their age “altered” in the refugee camps in Nepal in order to get access to education, which was only offered to
persons up to a certain age.
126
In Denmark, their low age on paper had unexpected consequences, among others
in relation to the qualifications for old-age pension.
2.3.3 The human face of statelessness
The Danish-Palestinian Friendship Organization noted that having a nationality gives security and makes family life
possible. In a residential housing area in Copenhagen, Mjølnerparken, many of the residents were elderly people
who were not born in Denmark and who could not acquire Danish nationality.
127
This was a problem in families
where children and grandchildren were Danish nationals. It was difficult to explain to the old generation that they
could not become Danish nationals. Often, they could not travel with their families. Nationality is also important
for feeling included in the Danish society. Moreover, without a nationality it is not possible to vote in parliamentary
elections, which they see as the ultimate expression of citizenship and inclusion.
For various reasons, many stateless Palestinians from Lebanon had problems acquiring Danish nationality, while
they, at the same time, were unable to return to their former country of habitual residence. They had their whole
family in Denmark. For them, acquisition of a nationality was of great importance, and this feeling was shared by
their children, who had become Danish nationals. Stateless persons appeared to value acquisition of a nationality
most of all.
This was also illustrated in the so called “statelessness case,” where it became apparent from a number of interviews
with stateless persons in the media that acquisition of a nationality made a tremendous difference in the lives of
stateless persons. Similarly, RW explained that most stateless persons shared a feeling of disgrace and displeasure
when their country rejected them as citizens with equal rights.
126
127
This was explained during the interview with the Danish-Bhutanese culture organization on 26 August 2012.
Many elderly persons have difficulties learning a new language, and an exemption from the language requirement for naturalization for
applicants over the age of 65 was repealed in 2002.
UNHCR Representation for the Nordic and Baltic Countries
39
IFU, Alm.del - 2020-21 - Bilag 59: UNHCR og FN's Flygtningeorganisations rapport Mapping Statelessness in Denmark
2312577_0040.png
The Danish-Palestinian Friendship Association explained that even after the “statelessness case,” some of the
stateless persons who were entitled to Danish nationality were met with a refusal from the police who might not
have been sufficiently informed about the new practice on naturalization of Danish stateless persons who do not
fulfil the general requirements. The association had established an organization, The Nationality Organization
(in Danish ‘Statsborgerforeningen’) for stateless persons born in Denmark. The organization advised stateless
persons about their entitlement to Danish nationality. Seventeen stateless persons took legal action against the
Danish state and the then Ministers for Integration concerning damages for pain and suffering due to the wrongful
refusals of their applications for Danish nationality up to 2010.
128
On 21 December 2016, the Eastern High Court
ruled that the ministry should pay compensation for the injury to seven of the applicants with a sum of 20,000 DKK
(about 2,667 €) to each. The seven applicants had acquired Danish nationality with a significant delay due to the
wrongful treatment of their cases, which was not the case for the rest of the plaintiffs.
129
A stateless girl known to the Documentation and Advisory Centre on Racial Discrimination (DRC) has described the
problems she faced when her grandparents became ill, and she was not able to visit them together with her sisters
and brothers, who had acquired Danish nationality by entitlement as they were born in Denmark. The girl herself
was born in Sweden on a one-day visit when her pregnant mother unexpectedly gave birth prematurely, and the
then Danish Ministry of Justice/the Minister of Justice had not recommended that she acquired Danish nationality
by entitlement, as she was not born in Denmark.
130
Eventually, in April 2013, the Parliamentary Naturalization
Committee granted the16-year-old girl at that time Danish nationality.
131
2.3.4 Hopes and expectations for the future
Several organizations have pointed out that stateless persons need a nationality. The Danish Refugee Council
noted the importance of granting every member of a stateless family Danish nationality to ensure family unity.
Acquisition of nationality promotes security and inclusion and allows for family trips abroad.
The chairperson of the Danish-Bhutanese culture organization found it important to be correctly registered
as stateless. He said that anyone who had experienced being stateless truly would know how important the
acquisition of a nationality is. He hoped to be able to acquire Danish nationality but was worried, having heard that
the requirements were very rigorous. To his knowledge, more than 50 percent of the Bhutanese refugees were not
able to pass the Danish language test level 2, which was required in 2012 in order to obtain a permanent residence
permit.
132
Therefore, following the October 2015 changes of the language requirement for acquisition of Danish
nationality, demanding as a rule successful Danish language test level 3,
133
the language requirement may be a
barrier for most Bhutanese refugees to acquire Danish nationality.
According to the Danish-Bhutanese culture organization, it is a particular problem that many elderly pensioners
cannot take Danish language classes. They cannot walk long distances to language schools in winter periods
or they are not offered language education in practice. Moreover, they must fulfil the general, high language
requirements for naturalization. The chairman of the organization finds it difficult to understand that Denmark
subjects resettled uneducated refugees to such high requirements as a precondition for granting them a secure
128
129
See the newspaper article ‘Statsløse
trækker Bertel Haarder i retten’
in
Politiken,
8 July 2011, available at:
https://bit.ly/30MAtQ8.
See the judgment at:
https://bit.ly/3jMUija:
the ministry had offered 10,000 DKK in compensation and this amount was doubled by the High
Court.
For the story of the stateless girl in question, see a collection of articles in the newspaper
Information,
‘Sagen
om de statsløse’,
available
at:
http://www.information.dk/statsl%C3%B8se.
See the newspaper article ‘Folketinget
underkender Morten Bødskov i sag om statsløs pige’
in
Information,
April 2013, available at:
http://www.information.dk/458535.
Danish language test level 2 corresponds to B1 of the Common European Framework of Reference for Languages (CEF or CEFR),
accessible her
https://www.examenglish.com/CEFR/cefr.php.
Danish language test level 3 corresponds to B2 of the CEF.
130
131
132
133
40
Mapping Statelessness in Denmark
IFU, Alm.del - 2020-21 - Bilag 59: UNHCR og FN's Flygtningeorganisations rapport Mapping Statelessness in Denmark
2312577_0041.png
residence status. In his opinion, the selection of refugees and the requirements they need to fulfil in order to be
granted a secure residence status do not correspond.
As to the hopes and expectation for the future of stateless Bhutanese, the organization reported big differences
between the generations. The chairperson’s father, for instance, had lived and worked in Bhutan and participated
in the construction of roads and in building the society. His generation saw Bhutan as their country and they wished
to return to Bhutan. Return was, however, unrealistic for the time being. As things stood, also persons belonging
to the older generation wanted to be registered as stateless persons and have the opportunity to acquire Danish
nationality, since they expected their children and grandchildren to stay in Denmark.
2.4
Conclusions and recommendations
In Denmark, statelessness often arises in the context of migration and asylum. Gathering statistical data on the
stateless population in Denmark possess some challenges, as the data must be obtained from various sources,
which in turn focus on different population groups. The analysis must therefore take into consideration different
registration categories, gaps, and overlaps in the data. There may also be a group of undocumented stateless
persons in Denmark who are not registered at all.
Based on the statistics available, it can be estimated that in 2017, almost 8,000 stateless persons reside in Denmark.
Registration procedures have been improved since 2011. In 2012, as many as 804 stateless persons responded to
the letter from the Danish Immigration Service about the possibility of re-registration and got their statelessness
established. Relatively few persons are registered under the category of “unknown nationality”, as the Danish
Immigration Service tries to avoid using this registration category.
Through interviews in 2012 with NGOs and the Danish Immigration Service, it has become clear that stateless
persons encountered difficulties in everyday life. Stateless persons reported feelings of disgrace and displeasure.
However, more information is needed to accurately and timely depict the human face of statelessness.
The data available at Statistics Denmark and Danish Immigration Service are comprehensive allowing profiling of
the country’s registered stateless population by various indicators, including country of origin information, sex and
age, type of residence permits and place of residence in Denmark. It is recommended that data collection between
various government institutions in charge of registering stateless persons be further harmonized in order to ensure
a consistent approach, in particular, concerning the use of definitions and availability and consistency of data in
different databases. Further research should also be undertaken, including interviews with stateless persons in
Denmark, in order to provide a full and actual picture of the human face of statelessness in Denmark.
Moreover, information about the possibility of re-registering in the CPR system
134
as a stateless person and to
acquire Danish nationality should be made available in languages that the persons concerned may understand.
135
134
Furthermore, the DIS handles the initial registration of citizenship for foreign nationals with residence according to the Aliens Act. If
subsequent changes are made to this registration, the DIS will ask the municipality to make the changes in the CPR system.
On the website, newtodenmark.dk, there are specific sections in English with guidance for stateless persons, under the articles
concerning” Modification of personal data” and “Apply for a passport for foreign nationals”.
135
UNHCR Representation for the Nordic and Baltic Countries
41
IFU, Alm.del - 2020-21 - Bilag 59: UNHCR og FN's Flygtningeorganisations rapport Mapping Statelessness in Denmark
2312577_0042.png
3
DETERMINATION OF STATELESSNESS AND
RIGHTS ATTACHED TO THE STATUS
3.1
Introduction
As noted in Chapter 1.3.1, a stateless person is defined in Article 1(1) of the 1954 Convention as “a person who is
not considered as a national by any State under the operation of its law.” The International Law Commission has
concluded that Article 1(1) definition of a “stateless person” is part of customary international law.
136
The definition
identifies the persons who are entitled to the core protection of the 1954 Convention, with additional convention
rights depending on the individual’s residence status, as discussed below. While ultimately only the acquisition of
a nationality will end a person’s statelessness, in situations where this is not yet possible, it is necessary to protect
stateless persons. A formal statelessness determination procedure makes it possible to identify those persons
who are entitled to the protection regime of the 1954 Convention.
For a statelessness determination procedure to be fair and efficient, a number of procedural safeguards must be
implemented. The procedure must be accessible for stateless persons,
137
and while the procedure is underway,
applicants should be entitled to certain rights.
138
During the procedure, stateless persons may not be detained for
reasons relating to their statelessness. Where they are detained, it must be a measure of last resort and the person
may not be held with convicted criminals or individuals awaiting trial.
139
Moreover, pending the outcome of the
procedure, the applicant may not be expelled from the State where the procedure is ongoing.
140
The 1954 Convention guarantees rights to stateless persons on a gradual, conditional scale, with some protection
applicable to all stateless persons and others dependent on the precise legal status of the individual.
141
The 1954
Convention foresees that stateless persons who are “lawfully in” a State party (in French “se
trouvant régulièrement”),
are entitled to,
inter alia,
protection from expulsion (Article 31).
142
For stateless persons to be “lawfully in” a State
party, their presence in the country needs to be authorized by the State. The concept encompasses both presence,
which is explicitly sanctioned and that which is known and not prohibited, taking into account all personal
circumstances of the individual. The duration of presence can be temporary. This interpretation of the terms of the
1954 Convention is in line with its object and purpose, which is to assure the widest possible exercise by stateless
persons of the rights contained therein. As confirmed by the drafting history of the Convention, applicants for
statelessness status who enter a determination procedure are therefore “lawfully in” the territory of a State party.
By contrast, an individual who has no immigration status in the country and declines the opportunity to enter a
statelessness determination procedure is not “lawfully in” the country.
143
136
See the International Law Commission,
Articles on Diplomatic Protection with commentaries,
2006, p. 49 (stating
that the Article 1 definition can “no doubt be considered as having acquired a customary nature”), available at:
http://www.refworld.org/docid/525e7929d.html.
UNHCR
Handbook on Protection of Stateless Persons,
paras. 68-70.
Ibid, paras. 144-146.
Ibid, paras. 112-115.
Ibid, paras. 72 and 145.
For a detailed discussion,
see ibid,
paras. 132-139.
See also ibid,
paras 14 and 16 (on the status of a stateless person and attendant rights
even prior to a formal determination of his or her statelessness).
UNHCR,
Handbook,
para 134.
Ibid,
para 136.
137
138
139
140
141
142
143
42
Mapping Statelessness in Denmark
IFU, Alm.del - 2020-21 - Bilag 59: UNHCR og FN's Flygtningeorganisations rapport Mapping Statelessness in Denmark
2312577_0043.png
When a person’s statelessness has been determined, he or she is entitled to the core rights of the 1954 Convention.
144
In the first place, this means granting the right of residence, which is not explicitly set forth in the 1954 Convention,
but follows from its object and purpose.
145
In addition, stateless persons have a right to work, based on Article 17
of the 1954 Convention.
Apart from the 1954 Convention, other instruments also provide content to the protection of stateless persons.
Human rights law instruments, including the ICCPR, the International Covenant on Economic, Social and Cultural
Rights (ICESCR), the CRC, CEDAW and in Europe the ECHR, enumerate certain rights relevant to the protection of
stateless persons.
In the following section, the rights of stateless persons as provided by the international legal framework will be
addressed and compared to the standards provided within the national legal system. This includes a description
of administrative and judicial procedures in which the determination of statelessness may take place, even though
these procedures do not have the establishment of statelessness as a specific aim.
146
3.2
National legal framework
As noted above, Denmark is a state party to the 1954 Convention, which entered into force in Denmark on 6 June
1960.
147
Denmark has made reservations to Article 24 on labor legislation and social security and to Article 31 on
expulsion. The reservations are as follows:
Denmark is not bound by Article 24, paragraph 3.
148
The provisions of Article 24, paragraph 1, under which stateless persons are in certain cases placed on the
same footing as nationals, shall not oblige Denmark to grant stateless persons in every case exactly the
same remuneration as that provided by law for nationals, but only to grant them what is required for their
support.
149
Article 31 shall not oblige Denmark to grant to stateless persons a status more favorable than that accorded
to aliens in general.
150
Denmark has a dualistic system of law, meaning that – in principle – rules of public international law are not
automatically part of Danish law. If convention provisions conform to a pre-existing legal situation, no specific
measures are needed, since there will be ‘harmony of norms’. In other cases in principle, transformation (re-writing)
or incorporation of the provisions of the convention is necessary in order to ensure that the conventions are
enforceable by Danish courts and other law-applying authorities.
151
144
Some convention rights apply to all stateless persons in a state’s territory or otherwise subject to the state’s jurisdiction. Others are
dependent upon factors such as the type of residence the individual holds.
See ibid.
Ibid,
para. 147.
UNHCR Handbook
on Protection of Stateless Persons,
para. 57.
Denmark was the first state to ratify the Convention.
Article 24(3) of the 1954 Convention: ‘The Contracting States shall extend to stateless persons the benefits of agreements concerning the
maintenance of acquired rights and rights in the process of acquisition in regard to social security, subject only to the conditions which
apply to nationals of the States signatory to the agreements in question.’
Ibid, Article 24(1) provides that Contracting States shall accord to stateless persons lawfully staying in their territory the same treatment as
is accorded to nationals in respect of working conditions, social security etc.
Ibid,
Article 31(1): ‘The Contracting States shall not expel a stateless person lawfully in their territory save on grounds of national security or
public order.’
See the report by the Incorporation Committee (betænkning No. 1407 of 2001),
On the Incorporation of Human Rights in Danish Law,
summary in English, p. 320 ff.
145
146
147
148
149
150
151
UNHCR Representation for the Nordic and Baltic Countries
43
IFU, Alm.del - 2020-21 - Bilag 59: UNHCR og FN's Flygtningeorganisations rapport Mapping Statelessness in Denmark
2312577_0044.png
So far, only the ECHR has as such been incorporated in Danish law.
152
Danish governments have not been in favor
of incorporating further human rights conventions in Danish law. One of the arguments is that it may displace
competence from the Parliament to the courts.
153
Still, in today’s practice unincorporated conventions to which
Denmark is a party are also considered as relevant sources of law that can be invoked before law-applying
authorities. Harmony of norms is ascertained and the authorities will, as a point of departure, interpret Danish
law in accordance with Denmark’s international obligations, presuming that the Parliament has not intended to
legislate in contravention of Denmark’s international obligations. The authorities will seek to avoid breaches of
Denmark’s international obligations. This presumption of conformity is only deviated from insofar as (hypothetically)
it clearly appears that the Parliament with firm intention has legislated or will legislate in contravention of Denmark’s
international obligations.
The Aliens Act was not amended when Denmark ratified the 1954 Convention, as harmony of norms was
ascertained.
154
Thus, the authorities will, as far as possible, interpret Danish law in accordance with the country’s
obligations under the Convention, as explained above.
The Immigration Service and other Danish authorities, among others Statistics Denmark, use the definition of a
stateless person of the 1954 Convention. The definition appears from information material on access to an alien’s
passport, and in the alien’s passports, there is an explicit reference to the definition of the 1954 Convention.
155
To what extent Denmark in practice meets the obligations of the Convention will be discussed in the following
sections.
3.3
Statelessness determination procedure or other procedures
in which statelessness status is determined
Although the 1954 Convention does not spell out specific determination processes, procedural safeguards must
assure fair and efficient determination procedures. First, the procedure must be accessible to stateless persons,
including non-returnable persons in detention. This includes a state’s obligation to disseminate information and
to ensure that stateless persons become aware of determination mechanisms and feel comfortable accessing
them. Determination mechanisms should be available to all persons within the territory, and there should be
no requirement that a person be lawfully resident within the territory, as stateless persons normally have great
difficulty in securing the documentation that is necessary to reside in a state lawfully. There is also no basis in the
convention to set time limits for individuals to claim statelessness status.
156
Further, pending the outcome of the
determination procedure, individuals awaiting a statelessness determination should not be expelled from the State
where the procedure is ongoing.
157
As already mentioned, in Denmark most questions on statelessness arise in a migratory context. Consequently,
the Danish Immigration Service has taken responsibility for identification, registration and/or determination of
statelessness.
158
The Immigration Service’s Country of Origin Information Division does not only engage in country
related inquiries, but may also engage in examination of individual statelessness cases. The Division provides
the other divisions of the Immigration Service with background information; it does not itself make conclusions
152
In December 2012, the government set up an expert committee on incorporation of human rights conventions; the work of the
committee was completed in August 2014. A report of the work, Ministry of Justice, ‘Betænkning 1546 om inkorporering mv. inden for
menneskeretsområdet’, August 2014, is available at:
https://bit.ly/39GFaiM.
For more information on the decision of the government in 2014, see the newspaper article ‘Regeringen: Konventioner bliver ikke en del
af dansk lov’ in Information, 22 November 2014, available at:
http://www.information.dk/516618.
The Convention was ratified according to a Royal Resolution of 31 December 1955, cf. regulation of 17 January 1956.
See information on passports for foreign nationals on New to Denmark, available at:
https://bit.ly/2OZdZpK.
UNHCR
Handbook,
paras. 68-70.
Ibid,
paras. 72 and 145.
See
also
infra
Section 3.4 for a discussion of other provisions relating to expulsion.
See information about the registration of personal information, including statelessness, on New to Denmark, available at:
https://bit.ly/39znTaW.
153
154
155
156
157
158
44
Mapping Statelessness in Denmark
IFU, Alm.del - 2020-21 - Bilag 59: UNHCR og FN's Flygtningeorganisations rapport Mapping Statelessness in Denmark
2312577_0045.png
on statelessness in concrete cases. This responsibility may be carried out within different divisions of the Danish
Immigration Service during their handling of cases on asylum, family reunification, residence based on EU Law,
work permits, etc. Concerning stateless persons who do not have a pending case in the Immigration Service, the
competence is placed in the Immigration Service’s division Citizen Service.
159
The Danish Immigration Service introduced the statelessness registration procedures in the second half of 2011,
after the increased attention paid to statelessness in the wake of the aforementioned ‘statelessness case’. The
new procedures are not formalized in law. However, in May 2013, the Parliament adopted an Act amending the
Aliens Act on registration of foreigners’ basic personal data.
160
Even though the Article 1(1) definition of a stateless person is widely used by the Danish authorities, including the
Danish Immigration Service and Statistics Denmark,
161
some stateless asylum-seekers in Denmark up to 2012 have
had difficulty with obtaining a determination of their statelessness.
162
Until mid-2011, there was no direct focus
on ‘statelessness determination’, but rather a focus on establishing the identity of the individual asylum-seeker.
According to the NUC, which took care of the first registration of asylum-seekers until 2016 when it was substituted
by the UCN, when filling in questions on ‘nationality’ in the NUC’s case registration system (POLSAS) the officer
had to choose between listing the applicant’s country of origin or the applicant’s nationality status.
163
The Danish
term ‘nationalitet’ is not commonly used as synonymous with ‘citizenship/nationality’, but rather understood as
signifying ‘the country of origin’. This may explain why the applicant’s country of origin was in a number of cases
listed under ‘nationality’ – regardless of whether the applicant was ‘a national’ or ‘stateless’.
164
The national police
realized the flaws of the case registration system in relation to stateless persons and, for the very same reason,
established as of 1 January 2012 a database listing necessary information to be filled in, including a checkbox
on statelessness. The so-called NUC-list was correlated with POLSAS and since then, statelessness has been
registered, initially in accordance with the applicant’s information and documentation, and data security has been
ensured. This is a very positive development.
165
3.3.1 Competent authority
As mentioned above, from 2016 until 2019 the UCN has been responsible for the first registration of spontaneous
asylum-seekers arriving in Denmark, and in this connection, registers the asylum-seekers’ nationality or
statelessness.
The Danish Immigration Service is the responsible authority for issuing foreigners a residence permit and has, as
such, the responsibility for registration and determination of foreigners’ statelessness.
In practice, the Danish Immigration Service has delegated the competence to determine and register statelessness
to its different divisions. At any time, a stateless person present in Denmark may apply for registration and
recognition as a stateless person by approaching the Danish Immigration Service.
159
160
See information on the Citizen Service on New to Denmark, available at:
https://bit.ly/2DcFKZg.
See the Act No. 430 of 1 May 2013, available at:
https://www.retsinformation.dk/forms/r0710.aspx?id=146542.
According to Section
48(e) of the Aliens Act, it is now up to the police to register among other things the nationality/statelessness of foreigners who apply
for a residence permit. The police’s registration is based on the information provided by the applicant and other available information.
Subsequently, when an asylum-seeker has been allowed to stay in Denmark during the processing of his or her case, it is up to the
Immigration Service, if necessary, to institute an inquiry to establish said person’s nationality/statelessness.
For example, the Article 1(1) definition appears on informational materials about how to obtain an alien’s passport. These passports
themselves include an explicit reference to the 1954 Convention’s Article 1(1) definition.
See
information on passports for foreign nationals
on New to Denmark, available at:
https://bit.ly/30SNubd.
To some extend this may be explained by lack documentation, including identity documents.
Interview with the NUC, August 2012.
See more about the Danish use of the word ‘nationality’ on the website of EUDO, available at:
https://bit.ly/39zp22f.
A representative of the National Police explained this during an interview on 24 August 2012.
161
162
163
164
165
UNHCR Representation for the Nordic and Baltic Countries
45
IFU, Alm.del - 2020-21 - Bilag 59: UNHCR og FN's Flygtningeorganisations rapport Mapping Statelessness in Denmark
2312577_0046.png
Statelessness can be established during several administrative procedures. There is no centralized procedure with
the sole purpose of statelessness determination and the protection of stateless persons. The various divisions of
the Danish Immigration Service carry out the determination of statelessness under the existing procedures. It may
be carried out as part of a decision in regards to an application for a residence permit (e.g. family reunification,
asylum, work, education) or as an isolated act, if so requested by resident immigrants who for instance wish to have
a wrongful registration corrected. In such cases, the Immigration Service’s Citizenship Service handles the request.
3.3.2 Procedural aspects
3.3.2.1 Initiation of the procedure and course of the procedure
Most cases of registration of statelessness in Denmark take place in the context of the refugee status determination
procedure.
Persons who seek asylum in Denmark (so-called spontaneous asylum-seekers) can apply for asylum at a police
station, including the police station in Copenhagen Airport, or at Sandholm Reception Center. Applicants are
registered, photographed, and fingerprinted by the UCN. All asylum-seekers are then placed in the Sandholm
Reception Center, run by the Danish Red Cross.
166
At Sandholm, further processing of the asylum application
begins.
Pursuant to Section 48(e) of the Aliens Act, it is for the Danish Immigration Service to decide whether Denmark is
responsible for handling an asylum application, pursuant to the Dublin Regulation. Pursuant to Section 48(a) of the
Aliens Act, the Danish Immigration Service will thus not review an application for a residence permit under Section
7 of the Aliens Act until it has decided to refrain from refusal of entry, expulsion, transfer (in accordance with the
Dublin regulation) and return. The police register an asylum-seeker’s personal information for purposes of the
Section 48(e) decision.
167
Since the January 2012 reforms, the procedure has been for the police to give the applicant a temporary
registration number (ENR), comprised of the applicant’s birthday plus four letters, a notation if the person might be
stateless, the country and region of origin, and language spoken. It will also be indicated whether the applicant is
cooperative with Danish authorities, as well as the country of possible transfer. The police base this information on
the applicant’s statements and documents.
168
The Danish Immigration Service conducts an interview with the applicant assisted by an interpreter. Based on this
interview, the Danish Immigration Service carries out an investigation in order to “determine the alien’s identity,
nationality and travel route and to procure other necessary information.”
169
If deemed necessary, the applicant
can be called in for a more thorough interview with the help of an interpreter. The second interview may include
questions regarding all parts of the application for asylum including additional information or correction of earlier
registered including the applicant’s nationality or, as the case may be, statelessness.
An asylum-seeker is allowed to stay in Denmark, while an application is examined.
170
If the Danish Immigration
Service in accordance with the Dublin Regulation decides that an asylum-seeker will have his/her asylum application
processed in Denmark, the applicant will be given a written decision and a new case will be created in the case-
166
167
168
See the procedural information available on New to Denmark, available at:
https://bit.ly/3hChBdw.
Section 48(e)(1) of the Aliens Act. Since May 2012, the National Police also takes biometric data of asylum-seekers.
The asylum-seeker will also be registered in the Danish Immigration Service’s Foreigners Register with a serial number (the alien number)
and assigned an identity card (an asylum-seeker card) with necessary identity information. The Danish Immigration Service uses the 1954
Convention’s definition of a stateless person.
Section 48(e)(3) of the Aliens Act.
The stay is considered ‘procedural’.
169
170
46
Mapping Statelessness in Denmark
IFU, Alm.del - 2020-21 - Bilag 59: UNHCR og FN's Flygtningeorganisations rapport Mapping Statelessness in Denmark
2312577_0047.png
working system of the Danish Immigration Service.
171
In principle, registration of an asylum-seeker’s nationality status
can be corrected, and statelessness can be assessed throughout the refugee status determination procedure.
However, the initial registration stands as long as it is unchallenged, and thus becomes a part of the authorities’
decisions.
When an asylum-seeker is granted asylum in Denmark, the person is granted residency, and his or her identity
card will be replaced by a residence card. That card indicates the refugee’s personal data, including information on
possible statelessness. The Danish Immigration Service used to notify the refugee’s municipality of residence and
provide the municipality with information necessary for the refugee’s CPR registration. Likewise, up to 1 October
2015, the Danish Immigration Service alerted the local municipalities about residence permits based on family
reunification through their electronic registration system.
However, since 1 October 2015, the Danish Immigration Service conducts the basic registration (including
citizenship) in the Civil Registration System (the CPR) for persons who have been granted residence permit based
on family reunification.
172
Likewise, from February 2016, the basic registration (including citizenship) in CPR has
been implemented for persons who have been granted a residence permit based on asylum.
Section 48(e) is the only provision in the Aliens Act on registration of personal data. It is noteworthy that originally,
the aim of the provision was exclusively to establish Danish responsibility for processing an asylum application.
173
However, as a consequence of the increased focus on statelessness since 2011, the provision (Section 48(e)(1)) was
amended in 2013 with a view to clarify which data the police have to register and that the police’s registration is
based only on information from the asylum-seeker and the documentation the asylum-seeker has brought along.
In addition, the amendment has transferred the competence to make the more thorough examination as to the
asylum-seeker’s identity, nationality, travel route and other background information from the police to the Danish
Immigration Service (Section 48(e)(3)).
174
3.3.2.2 Standard and burden of proof
Because a person seeking a determination of his or her statelessness is essentially asked to prove a negative, the
determination itself presents significant challenges to applicants.
175
Although in ordinary administrative proceedings
an applicant normally bears the burden of proof, in a statelessness determination proceeding, “the burden of proof
is in principle shared, in that both the applicant and examiner must cooperate to obtain evidence and to establish
the facts.”
176
Due to the very nature of statelessness, applicants will ordinarily have difficulties substantiating their
claims of statelessness with documentary evidence. Such situations must be taken into account by determination
authorities.
177
The standard of proof must reflect the difficulties attendant to a determination of statelessness. Although the 1954
Convention does not require a particular standard of proof, UNHCR recommends that states adopt a standard
providing that, where an individual’s statelessness is established to a “reasonable degree,” the individual shall be
determined to be stateless.
178
171
Section 48(e) of the Aliens Act on the registration of a person as “an applicant for asylum.” Registration of an applicant’s as an asylum-
seeker is different from registration of the applicant as stateless. Registration of an asylum-seeker is pursuant to Section 48(e) of the
Aliens Act, whereas the registration of an individual as stateless is conducted pursuant to administrative reforms in an effort to comply
with the 1954 Convention.
The concerned persons nevertheless have to contact the local municipality within five days from their entry into Denmark (or from the
notification of the permit, if they already are staying in Denmark) in order to register their residence.
The Aliens Act, Consolidation Act No. 1021 of 19 September 2014.
See the amendment of Section 48(e), available at:
https://www.retsinformation.dk/Forms/R0710.aspx?id=146542.
See
UNHCR
Handbook,
para 88.
Ibid,
para 89.
Ibid,
para 90.
Ibid, para 91.
172
173
174
175
176
177
178
UNHCR Representation for the Nordic and Baltic Countries
47
IFU, Alm.del - 2020-21 - Bilag 59: UNHCR og FN's Flygtningeorganisations rapport Mapping Statelessness in Denmark
2312577_0048.png
According to the Danish Immigration Service, the determination of statelessness for the purpose of registration
is often simple because the evidence is sufficiently clear.
179
Many stateless persons, including stateless asylum-
seekers, belong to identified groups of stateless persons satisfying the definition of a stateless person under Article
1(1) of the 1954 Convention. Thus, statelessness may be registered on a prima facie basis in such cases where there
is no doubt as to whether the applicant comes within the scope of the definition of the 1954 Convention after the
Immigration Service has interviewed the applicant and checked the available country of origin information.
Correct identification and registration of statelessness is normally straightforward when the immigration authorities
deal with persons coming to Denmark as students, researchers, workers or as persons to be reunited with family
members, since these groups normally hold a passport or a travel document for stateless persons. Correct
registration of statelessness may be more complicated with regard to asylum-seekers who more often are unable
to provide evidence of their nationality or lack thereof. In such cases, a more thorough examination is necessary.
The Danish Immigration Service’s Country of Origin Information Division may obtain information on statelessness
in a particular country through the Danish Ministry of Foreign Affairs, a Danish representation in the country or
through UNHCR. Specialists from the Country of Origin Information Division may also go abroad themselves in
order to explore how matters actually stand in a certain country. Consular authorities of other countries are not
approached in the case of asylum-seekers.
The Country of Origin Information Division began their collection and collation of background information about
statelessness in countries where stateless persons who arrived in Denmark previously had their habitual residence.
When new groups – or individuals – have arrived from countries where stateless persons or populations live, new
investigations have been initiated. The inquiries are not only general, but may also be posed in respect of individual
cases. The division’s regional experts are consulted by staff from other divisions of the Danish Immigration Service,
whenever a need arises.
When the Danish Immigration Service can conclude to a reasonable degree that a person is stateless, after that
individual has, to the best of his/her ability, informed the authorities about his/her identity and handed over any
documentation in his/her possession, that person’s statelessness is accepted.
180
When doubt arises, it is often related to uncertainty about the applicant’s country of origin. As an example, doubts
have arisen in certain cases where applicants have claimed to be Rohingya originating from Myanmar although
there were many indications that they originated from Bangladesh.
181
3.3.2.3 Access to courts (appeal procedures)
In practice, the Danish Immigration Service expects to be able to complete a procedure during which a person’s
statelessness may be established within three months. In some cases however, the procedure may take longer,
for instance in cases where it is necessary for the Danish Immigration Service to obtain information on nationality
legislation and practice in the applicant’s country of origin/habitual residence.
If the Danish Immigration Service does not recognize and register a person as stateless pursuant to the 1954
Convention, the applicant will be informed about his/her right to appeal the decision.
Originally, appeals concerning establishment of a person’s identity fell within the competence of the Ministry of
Immigration and Integration. However, as of 1 March 2017, the ministry’s competences was transferred to the
179
180
181
This was explained during an interview in August 2012 with the head of the Second Asylum Division.
According to an interview with the Immigration Service, August 2012.
According to interviews with the Immigration Service in August 2012 and a member of the refugee Appeals Board in January 2013.
48
Mapping Statelessness in Denmark
IFU, Alm.del - 2020-21 - Bilag 59: UNHCR og FN's Flygtningeorganisations rapport Mapping Statelessness in Denmark
2312577_0049.png
Refugee Appeals Board and the Immigration Appeals Board.
182
If the Immigration Appeals Board rejects an appeal,
its decision may, in accordance with Section 63 in the Danish Constitutional Act (1953) be brought before a court of
justice that is empowered to decide on any question relating to the scope of the executive’s authority. In addition,
the Parliamentary Ombudsman may examine such a case. The same does not apply to decisions made by the
Refugee Appeals Board. Pursuing to section 56 (8) of the Danish Aliens Act, this board’s decisions are final, which
means that they are not subject to judicial review. This has been established by the Supreme Court that concluded
that the board is an expert board of a quasi-judicial nature and that deliberations of courts are limited to points of
law.
183
3.3.2.4 Other procedural aspects: developments after 2011
In 2011, as part of the increased focus on statelessness, the Danish Immigration Service developed a new application
form to be used by foreigners who claim that their personal data, including information on their nationality or
statelessness have been registered incorrectly in the Danish Immigration Service’s registers.
184
In parallel, all
forms relating to the extension of a residence permit have been revised to include information on how to correct
wrongfully registered personal data.
185
Furthermore, the Danish Immigration Service disseminated information on statelessness to relevant authorities,
including to all case officers in the Danish Immigration Service dealing with residence permits, and to the police,
and municipalities. In particular, efforts were made to strengthen knowledge of statelessness at NUC processing
the initial asylum registration, and among caseworkers in the Danish Immigration Service who process applications
for asylum.
186
During this awareness-raising process, the Danish Immigration Service and DIHR held a number of meetings,
including a meeting with the CPR aiming at ensuring correct registration of a person’s statelessness. The CPR has
subsequently informed the municipalities of measures to be taken to ensure correct registrations. In addition, the
Danish Immigration Service and DIHR held an information meeting on statelessness with lawyers who specialize
in aliens’ law and who regularly meet with the Danish Immigration Service in what is known as the Advocate
Forum. Further, the Danish Immigration Service has published information on its website about registration of
statelessness and about how to get incorrect registrations corrected.
187
Also, posters and leaflets on statelessness
have been published and made available for use by public authorities, in order to raise awareness about the
statelessness issue.
As part of a targeted campaign in 2012, the Danish Immigration Service informed persons who mistakenly might
have been registered as nationals of a foreign country, when in fact they were stateless, about the possibility
of getting incorrect registrations corrected. Between February and May 2012, letters with this information were
sent to persons from groups with a high incidence of statelessness, more specifically to 4,036 persons from
Syria, Myanmar and Bhutan who had been granted a residence permit in Denmark in the years 2000–2011.
188
Subsequently, the Danish Immigration Service received applications for re-registration as a stateless person in
large numbers, many comprising both the applicant and the applicant’s family members. Applicants from all three
182
The Refugee Appeals Board is the competent authority in cases where the applicant has applied for/been granted a residence permit
based on the Aliens Act section 7, 8 or 9 c, stk. 2 or 3 (asylum) and the Immigration Appeals Board is the competent authority in other
cases, cf. Act no 188 of 27/02/2017 changing the Aliens Act at
https://www.retsinformation.dk/Forms/R0710.aspx?id=186789.
See the general information about the board at:
https://bit.ly/30WbpX4
The application form for modification of personal data is available at:
https://bit.ly/2CL8zwf.
See application forms for extension of residence permits, available at:
https://bit.ly/39xIJHK,
where the following is stated on ‘modification
of personal data’: If you believe that your personal data (e.g. nationality/citizenship or date of birth) is incorrectly registered with the
Danish Immigration Service’s records, you can use form PE1 to seek modification of your data.
Among other things, the DIHR has held meetings etc. for employees in the Danish Immigration Service.
For information about the change of incorrect personal data, see
Registration of personal information in the Immigration Service
on New
to Denmark, 5 December 2017, available at:
https://bit.ly/3f4nmza.
Note from the Danish Immigration Service, 16 November 2011. See also a press release on New to Denmark: ‘Orienteringsbreve
om
mulighed for omregistrering af statsborgerskab’,
21 February 2012, available at:
https://bit.ly/3hI5X0H.
183
184
185
186
187
188
UNHCR Representation for the Nordic and Baltic Countries
49
IFU, Alm.del - 2020-21 - Bilag 59: UNHCR og FN's Flygtningeorganisations rapport Mapping Statelessness in Denmark
2312577_0050.png
countries applied for re-registration. Refusals have been given in a small number of cases, and a number of appeals
have been decided on. The initial re-registration process was completed in November 2012, when 804 applicants
had been registered as stateless persons, which can be compared to 171 such registrations in 2011.
189
3.3.3 Conclusions
The assessment of a person’s statelessness can take place in the context of asylum application and application
for other residence permits, but also when a person already lawfully resident in Denmark requests an assessment
of statelessness. In first instance, the Danish Immigration Service is the competent authority, although different
divisions work on different situations (i.e. on asylum or applications for residence permits on other grounds). The
applicant needs to provide available information on his or her identity and nationality or statelessness. The Danish
Immigration Service’s Country of Origin Information Division may obtain information on statelessness in a particular
country through various means. For an assessment of statelessness, it needs to be established to a “reasonable
degree” that an individual is not considered as a national by any State under the operation of its law. Decisions
made by the Danish Immigration Service can be appealed.
However, as will be explained in the following sub-chapters, an assessment of a person’s statelessness does not
lead to the granting of a status as a stateless person with corresponding rights (following from that status).
3.4
Rights of applicants and recognized stateless persons
3.4.1 Rights of applicants during the statelessness determination procedure
Under current Danish law, statelessness alone does not as such serve as a ground for rights. Only a few rights
are recognized in practice.
190
This also applies to persons having their statelessness assessed within the context
of asylum or other immigration procedures. In other words, persons in the process of having their statelessness
assessed by the Danish Immigration Service are not, as a rule, entitled to particular rights pending the outcome of
the assessment.
In practice, the Danish authorities will often clarify already at the arrival of an immigrant or an asylum-seeker whether
the person concerned is stateless. Often, statelessness will be registered based on person’s own information
and documentation, and insofar as this is the case, such person is not considered awaiting determination of
statelessness.
Notably, in an August 2012 interview with DIHR, the Danish Immigration Service stated that as regards the rights of
stateless persons, it would take into consideration whether the country that is primarily responsible for a person’s
statelessness has changed its nationality laws and granted stateless persons access to nationality.
3.4.1.1 Detention
Routine detention of individuals seeking protection on the grounds of statelessness is arbitrary. Statelessness, by
its very nature, severely restricts access to basic identity and travel documents that nationals normally possess.
Moreover, stateless persons are often without a legal residence in any country. Thus, an individual’s undocumented
189
190
Information given in an email from the Danish Immigration Service to the DIHR dated 9 March 2015.
Cf. below in the introduction to section 3.4.2.
50
Mapping Statelessness in Denmark
IFU, Alm.del - 2020-21 - Bilag 59: UNHCR og FN's Flygtningeorganisations rapport Mapping Statelessness in Denmark
2312577_0051.png
status or lack of necessary immigration permits cannot be used as a general justification for the detention of such
persons.
191
Article 9 of the International Covenant on Civil and Political Rights (“ICCPR”), guaranteeing the right to liberty and
security of person, prohibits unlawful as well as arbitrary detention. For detention to be lawful it must be regulated
by domestic law, preferably with maximum limits set on such detention, and subject to periodic and judicial review.
For detention not to be arbitrary, it must be necessary in each individual case, reasonable in all the circumstances,
proportionate, and non-discriminatory. Indefinite as well as mandatory forms of detention are arbitrary
per se.
192
Detention is therefore a measure of last resort and can only be justified where other less invasive or coercive
measures have been considered and found insufficient to safeguard the lawful governmental objective pursued by
detention. Alternatives to detention – from reporting requirements or bail/bond systems to structured community
supervision and/or case management programs – are part of any assessment of the necessity and proportionality
of detention. General principles relating to detention apply
a fortiori
to children, who as a rule are not to be
detained in any circumstances.
193
Danish law contains no express reference to the detention of stateless persons or their freedom of movement. If a
person who is stateless is detained, then this is done on grounds independent of his/her statelessness.
3.4.1.2 Expulsion
Article 31(1) of the 1954 Convention prohibits contracting States from expelling a stateless person lawfully in the
territory save on grounds of national security or public order. A stateless person is also entitled to submit evidence
to clear him- or herself, to appeal a decision on expulsion and be represented by a person specially designated by
the competent authority. In addition, a stateless person is entitled to a reasonable period to seek legal admission
into another country. The State implementing the expulsion can apply internal measures as necessary.
194
As mentioned above in Chapter 3.2, Denmark has made a reservation to Article 31 in the 1954 Convention, which
states that “Article
31 shall not oblige Denmark to grant to stateless persons a status more favorable than that
accorded to aliens in general”.
195
Consequently, there are no specific provisions in Danish legislation prohibiting
the expulsion of stateless persons. At the very least stateless refugees need to be protected against expulsion in
accordance with Article 32 of the 1951 Convention relating to the Status of Refugees and human rights law.
3.4.2 Rights of persons recognized as stateless
Stateless persons are entitled to the protection of the 1954 Convention.
196
The 1954 Convention, along with
applicable standards of international human rights law, grants stateless persons a core set of rights. Some provisions
191
UNHCR,
Handbook,
para 112 (citing the UN Working Group on Arbitrary Detention, Report to the Human Rights Council, A/HRC/13/30, 18
January 2010,
http://www.refworld.org/docid/502e0fa62.html.
In relation to stateless persons specifically, please see UNHCR Executive
Committee Conclusion 106 (LV1) of 2006 on identification, prevention and reduction of statelessness and protection of stateless persons,
http://www.unhcr.org/453497302.html
which “Calls on States not to detain stateless persons on the sole basis of their being stateless and
to treat them in accordance with international human rights law… ”
See ibid
generally, paras 112-115.
UNHCR Handbook
on Protection of Stateless Persons, para.
112.
Ibid,
para. 113.
Article 31(2 – 3) of the 1954 Convention.
Ibid,
Article 31(1): ‘The Contracting States shall not expel a stateless person lawfully in their territory save on grounds of national security or
public order.’
This assumes none of the three exclusion provisions under Article 1(2) applies.
192
193
194
195
196
UNHCR Representation for the Nordic and Baltic Countries
51
IFU, Alm.del - 2020-21 - Bilag 59: UNHCR og FN's Flygtningeorganisations rapport Mapping Statelessness in Denmark
2312577_0052.png
apply to all stateless persons, while others have certain residence requirements.
197
Importantly, “[r]ecognition of an
individual as a stateless person under the 1954 Convention also triggers the ‘lawfully staying’ rights, in addition to a
right to residence. Thus the right to work, access to healthcare and social assistance, as well as a travel document
must accompany a residence permit.”
198
Substantive rights guaranteed to stateless persons include,
inter alia,
freedom of religion, the right to recognition
of their personal legal status (especially marriage), property rights, the right of association, access to courts, the
right to identity documents, certain rights to travel documents, certain rights to wage-earning employment, self-
employment, housing, public education, public relief, administrative assistance, and freedom of movement.
199
This
list is not exhaustive, and other international and regional human rights instruments and jurisprudence afford
stateless persons additional rights.
The Danish Aliens Act does not contain any provisions on statelessness or rights of stateless persons.
200
However,
an amendment of the Aliens Act was adopted in 2013, providing for rules on registration of foreigners’ personal
data (including statelessness).
201
Some of the rights of stateless persons under the 1954 Convention are however recognized in the administrative
practice of the Danish Immigration Service. Thus, stateless persons are entitled to an alien’s passport,
202
and they
have a specific right to stay in Denmark for seven days after a decision on expulsion.
203
Apart from this, the rights
of stateless persons depend, like the rights of other foreigners, on the nature of their residence status.
3.4.2.1 The right of residence
“Although the 1954 Convention does not explicitly require States to grant a person determined to be stateless a
right of residence, granting such permission would fulfill the object and purpose of the treaty. This is reflected in
the practice of States with determination procedures. Without a right to remain, the individual is at risk of continuing
insecurity and prevented from enjoying the rights guaranteed by the 1954 Convention and international human
rights law.”
204
Thus, for persons who meet the international legal definition of a stateless person, the right to reside
in a particular territory is paramount to their enjoyment of fundamental human rights. From the state perspective,
the granting of the right to reside to persons recognized under international law as stateless allows the state to
fulfill its international protection obligations.
197
For a comprehensive discussion on the proper interpretation of these terms,
see
UNHCR, Handbook, 30 June 2014, paras 147-152, (inter
alia,
making specific recommendations as to the granting of a residence permit; noting that the recognition of an individual as stateless
“triggers the ‘lawfully staying’ rights;” discussing “habitual residence;”), paras 136-139 (discussing the “lawfully staying” rights as well
as “habitually resident” provisions), and paras 140-143 (discussing international human rights law and its relevance to statelessness,
in particular the ICCPR’s Article 12(4) “own country” provisions and its guarantee of “the right of entry, and thus the right to remain, of
individuals with special ties to a State.”), available at:
http://www.refworld.org/docid/53b676aa4.html.
Ibid,
para 150.
See ibid
for a discussion of the proper interpretation of the 1954 Convention’s “lawfully staying” rights.
As mentioned earlier, there is no Danish law or decree providing for the grant of a statelessness status or regulating stateless persons’
rights in Denmark.
The case of Danish nationality law is different. The Nationality Act has for years contained provisions aiming at the reduction of
statelessness, as described in Section 2.1 above.
In accordance with Article 28 of the 1954 Convention.
In line with Article 31 of the 1954 Convention, to which Denmark made a reservation as mentioned in section 3.2 above.
UNHCR Handbook, para. 147. For a comprehensive discussion of the right to reside and related rights,
see also ibid,
paras 147-152, (inter
alia,
making specific recommendations as to the granting of a residence permit; noting that the recognition of an individual as stateless
“triggers the ‘lawfully staying’ rights;” discussing “habitual residence;”), paras 136-139 (discussing the “lawfully staying” rights as well
as “habitually resident” provisions), and paras 140-143 (discussing international human rights law and its relevance to statelessness,
in particular the ICCPR’s Article 12(4) “own country” provisions and its guarantee of “the right of entry, and thus the right to remain, of
individuals with special ties to a State.”).
198
199
200
201
202
203
204
52
Mapping Statelessness in Denmark
IFU, Alm.del - 2020-21 - Bilag 59: UNHCR og FN's Flygtningeorganisations rapport Mapping Statelessness in Denmark
2312577_0053.png
Specifically, the UNHCR
Handbook
recommends that states grant persons recognized as stateless a residence
permit valid for a period of at least two years. Further, it notes that permits of a longer duration, for example five
years, are preferable in the interests of stability.
205
As already mentioned, in order to settle in Denmark, a foreigner who is not a Nordic, an EU or EEC national must
be granted a residence permit. Such permits may be granted for asylum, family reunification, work, education or
other reasons. Stateless persons are not able to regularize their immigration status solely on the basis of being
stateless. Statelessness may be an element that can weigh in an asylum procedure, but a residence right does not
follow from being stateless only.
There are, however, a few provisions in the Aliens Act, which may provide for a right of residence for stateless
persons who are at risk of continuing insecurity and prevented from enjoying rights guaranteed by the 1954
Convention and other international human rights instruments.
One of these provisions is Section 7(2) of the Aliens Act, which states that a residence permit will be issued if an
alien risks the death penalty or being subject to torture or inhuman or degrading treatment or punishment in case
of return to his country of origin. According to the Immigration Service, the scope of this provision is broad enough
to comprise foreigners who are subjected to other human rights violations than those explicitly mentioned in the
provision (i.e. death penalty, torture). In addition, foreigners who are at risk of abuse and who for this reason cannot
enjoy their basic human rights may be covered. The question is whether this protection is broad enough to cover
stateless persons in need of protection because they cannot enjoy civil, economic, social and cultural rights in their
country of origin or another country.
206
Another provision is Section 9(c)(1) of the Aliens Act, which provides for a residence permit to be issued to an
alien ‘if exceptional reasons make it appropriate’. This provision is only used in exceptional cases, and if it were to
apply to stateless persons who cannot enjoy basic human rights in another country, it would be a completely new
interpretation of the provision.
The third and last possibility is the application of Section 9(c)(2) of the Aliens Act. According to this provision, a
residence permit may be issued to an alien whose application for asylum has been refused. Three conditions must
be fulfilled as follows:1) that it has not been possible to return the applicant during a period of 18 months; 2) that the
applicant has assisted in the return efforts during these 18 months and 3) that deportation remains improbable.
207
If
a residence permit is issued because deportation was not possible, it is valid for an initial period of 12 months. After
this, it is possible to apply for an extension of the permit if it remains impossible for the applicant to leave Denmark
by his or her own free will and the police are still not able to enforce deportation.
The provision in Section 9(c)(2) has been used in a number of cases concerning stateless persons. In some
cases, however, stateless persons have waited many years before they were able to meet all conditions and
thus to benefit from the rule.
208
In 2012, during an interview the Immigration Service has informed that they and
the Danish Refugee Council had entered into an agreement on counselling asylum-seekers. It was a project with
considerable funding, and asylum-seekers at all phases in the asylum procedure could be included. It followed
from the agreement that the Danish Refugee Council would conduct a project with particular counselling efforts
in relation to rejected asylum-seekers who, subsequently, had stayed in Denmark for many years. The importance
of their assistance in the return efforts would be emphasized. Moreover, information meetings would be held
at the accommodation centers. The aim was that all centers had video equipment with the possibility of video
205
See Handbook, para 148 (noting also the 1954 Convention’s prescription under Article 32 that states facilitate naturalization of stateless
persons);
see also ibid,
para 152 (noting that “habitual residence” rights “may be activated…if the individual can be considered to be living
in the country on a stable basis”).
Handbook, paras. 147 (on the right to a life of security and dignity) and 157 (on the right of residence).
See the Aliens Act, Consolidation Act 412 of 9 May 2016 with later amendments, available at
https://bit.ly/3hLMgp4.
It should be noted that the 18 month-term of making an effort to return can be extended repeatedly with 18 months.
206
207
208
UNHCR Representation for the Nordic and Baltic Countries
53
IFU, Alm.del - 2020-21 - Bilag 59: UNHCR og FN's Flygtningeorganisations rapport Mapping Statelessness in Denmark
2312577_0054.png
conferences with the Danish Refugee Council in 2012. In addition, the Danish Red Cross, which is responsible for
accommodation centers had been contacted with a view to make it possible to refer rejected asylum-seekers to
the Danish Refugee Council for further information.
Moreover, in September 2012, a majority of the political parties in Parliament entered into a common asylum
agreement according to which the Refugee Council, among other things, should make a particular effort as to
advising newcomers about the importance of providing correct information in their asylum cases. Timely and
complete information and advice were considered vital in order to avoid situations where asylum-seekers act
against their own interest due to sheer ignorance about the rules governing their situation.
209
The agreement was
implemented in 2013, but has been rolled back in 2016 as part of the former Government’s Asylum Package II.
3.4.2.2 The right to work and related rights
As noted above, the recognition of an individual as stateless “triggers the ‘lawfully staying’ rights” of the 1954
Convention.
210
Among these rights are the right to work (Article 17), practice of liberal profession (Article 19), and
labor and social security rights (Article 24).
Article 17 provides in its entirety:
Wage-earning employment
1. The Contracting States shall accord to stateless persons lawfully staying in their territory treatment as
favorable as possible and, in any event, not less favorable that that accorded to aliens generally in the
same circumstances,
211
as regards the right to engage in wage-earning employment.
2. The Contracting States shall give sympathetic consideration to assimilating the rights of all stateless
persons with regard to wage-earning employment to those of nationals, and in particular of those stateless
persons who have entered their territory pursuant to programmes of labor recruitment or under immigration
schemes.
There is no express provision in Danish law or policy that grants a stateless person the right to work on grounds
of his or her statelessness. Hence, also in this regard, stateless persons are treated like other foreigners with a
similar residence right. Consequently, stateless asylum-seekers are – as is the case with other asylum-seekers
– in principle prohibited from working in Denmark, as long as they have not gained a right to work based on a
residence permit or on another basis.
212
209
See above Section 2.3.2 on the need for information and advice; see in particular the case of the stateless Bidoon from Kuwait on the
need for proper counselling.
Handbook,
para 150. For a more thorough discussion of the lawfully staying rights,
see ibid.,
paras 136-137.
Article 6, the term “in the same circumstances” provides:
‘For the purpose of this Convention, the term “in the same circumstances” implies that any requirements (including requirements as
to length and conditions of sojourn or residence) which the particular individual would have to fulfil for the enjoyment of the right in
question, if he were not a stateless person, must be fulfilled by him, with the exception of requirements which by their nature a stateless
person is incapable of fulfilling’.
Once an asylum-seeker (stateless or not stateless) has been recognized as a refugee and thereby acquired a residence permit, the
said person is allowed to work (in jobs, which are not reserved for nationals). However, pursuant to Section 14 (a) of the Aliens Act, upon
application, the Danish Immigration Service may decide that an asylum applicant who meets certain specific requirements may accept
employment in Denmark on ordinary conditions of pay and employment without a work permit until said person is issued with a residence
permit, departs from Denmark or is returned.
210
211
212
54
Mapping Statelessness in Denmark
IFU, Alm.del - 2020-21 - Bilag 59: UNHCR og FN's Flygtningeorganisations rapport Mapping Statelessness in Denmark
2312577_0055.png
The same lack of working rights etc. applies to rejected stateless asylum-seekers who are “in a return situation,”
and stateless persons who are not entitled to stay in Denmark, but who are allowed a “tolerated stay” if they
cannot be returned due to risk of death penalty, torture, persecution or similar reasons.
213
Article 19 provides in its entirety:
Each Contracting State shall accord to stateless persons lawfully staying in their territory who hold
diplomas recognized by the competent authorities of that State, and who are desirous of practicing a liberal
profession, treatment as favorable as possible and, in any event, not less favorable than that accorded to
aliens generally in the same circumstances.
As is the case for Article 17, there are no provisions in Danish law or policy implementing the requirements in Article
19 in respect of stateless persons.
As mentioned above in Chapter 3.2, Denmark has made two reservations to Article 24. Denmark’s reservation
to paragraph 1 requires it to grant to stateless persons lawfully staying in their territory only “what is required for
their support,” not to treat them equally to nationals in respect of the matters enumerated in paragraph 1.
214
Again,
stateless persons in Denmark are in the same position as other foreigners – their right to public relief is dependent
on their residence right.
3.4.2.3 The right to public relief
Article 23 (public relief) is among the “lawfully staying” rights, persons recognized as stateless are entitled to
enjoy.
215
Article 23 of the 1954 Convention provides in its entirety:
The Contracting States shall accord to stateless persons lawfully staying in their territory the same treatment
with respect to public relief and assistance as is accorded to their nationals.
Because recognition of an individual as a stateless person “triggers the ‘lawfully staying rights”,
216
Article 23 must
be interpreted as applicable to all persons recognized as stateless by a state within that state’s territory.
There is no express provision in Danish law that affords stateless persons the right to public relief by virtue of their
statelessness. Rather, under Danish law, a stateless person has access to public relief based on a temporary or
permanent residence permit. Stateless persons in Denmark holding such residence permits are treated equally to
nationals with respect to public relief.
However, stateless persons who lack a residence permit – and who are not in the process of applying for asylum
or a residence permit on other grounds (apart from statelessness)
217
– do not have access to public relief (by virtue
of their statelessness).
213
Aliens on tolerated stay may be aliens who are deemed a danger to national security, a serious threat to the public order, safety or health;
or aliens who are deemed to fall within Article 1F of the Refugee Convention (Section 10 of the Aliens Act). They may be on tolerated stay
in Denmark insofar as they cannot be returned to a country where they will risk of the death penalty or of being subjected to torture or
inhuman or degrading treatment or punishment, or where they will not be protected against being sent on to such a country (Section 31).
The reservation reads: The provisions of article 24, paragraph 1, under which stateless persons are in certain cases placed on the same
footing as nationals, shall not oblige Denmark to grant stateless persons in every case exactly the same remuneration as that provided by
law for nationals, but only to grant them what is required for their support.
See
United Nations Treaty Collection, 1954 Convention relating
to the Status of Stateless Persons, Declarations and Reservations, available at:
https://bit.ly/333l0ya.
UNHCR
Handbook,
para 136.
Handbook,
para 150.
According to the Aliens Act section 42a, aliens who are in the process of applying for asylum or a residence permit on other grounds will
have their expenses for maintenance and any necessary healthcare services defrayed by the Danish Immigration Service.
214
215
216
217
UNHCR Representation for the Nordic and Baltic Countries
55
IFU, Alm.del - 2020-21 - Bilag 59: UNHCR og FN's Flygtningeorganisations rapport Mapping Statelessness in Denmark
2312577_0056.png
3.4.2.4 Identification and travel documents
Article 27 of the 1954 Convention provides that “The
Contracting States shall issue identity papers to any stateless
person in their territory who does not possess a valid travel document”.
218
Stateless persons in Denmark can be divided into two groups: those with a residence permit or residence rights
and those without a residence permit or residence rights (among them, stateless persons whose application for
a residence permit has not yet been decided on, or has been rejected). Among the last group, most will have
entered Denmark as asylum-seekers.
Applicants for asylum will be issued an identity card (asylum-seeker card) with information on their personal data,
including whether the individual is stateless. Applicants who are granted a residence permit (of any kind) will be
issued a ‘residence card’ certifying their identity, and during the processing of their application for a residence
permit, the Danish Immigration Service will have established whether they are stateless. When it is accepted that
an asylum-seeker is stateless, this will appear on his or her asylum-seeker card, and when a residence permit has
been issued, his/her statelessness will appear on the residence card and in the CPR register. At any point in time,
a person who has wrongfully been registered as a national of his or her country of origin may enter into a separate
procedure for correcting the wrongful registration.
Article 28 is among the “lawfully staying” rights. It provides in full:
The Contracting States shall issue to stateless persons lawfully staying in their territory travel documents
for the purpose of travel outside their territory, unless compelling reasons of national security or public
order otherwise require, and the provisions of the Schedule to this Convention shall apply with respect to
such documents. The Contracting States may issue such a travel document to any other stateless person in
their territory; they shall in particular give sympathetic consideration to the issue of such a travel document
to stateless persons in their territory who are unable to obtain a travel document from the country of their
lawful residence.
Foreigners who hold a Danish residence permit, and who are recognized as stateless persons in accordance with
the 1954 Convention, are entitled to a Danish alien‘s passport which states that the holder has been recognized as
stateless in accordance with the 1954 Convention.
A specific application form containing information on the right of stateless persons to an alien’s passport was drawn
up in 2011. The form contains a detailed explanation on how to complete it and which documents to attach.
219
The
applicant must tick a box declaring, “I am stateless and I apply for an alien’s passport”. The applicant is advised to
be aware that if he or she is not registered as stateless in the Immigration Service’s register and in the CPR, such
a change is necessary in order to obtain an alien’s passport on the basis of statelessness.
3.5
Conclusions and recommendations
Denmark has made a commendable effort to improve the procedure in which statelessness is established for
purposes of correct registration, and has adopted a legislative basis for the authorities’ registration of foreigners’
personal data (including statelessness). The steps taken in this area can usefully be shared with other countries
that are facing challenges in ensuring that the various national authorities involved in the registration of persons
218
By the terms of its text, Article 27 applies “to any stateless person in [a Contracting State’s] territory” and is thus not dependent on the
person’s residence status.
See also
UNHCR
Handbook,
para 132 (discussing the convention’s “rights on a gradual, conditional scale”)
and para 133 (describing Article 27’s right to identity papers as accruing “to individuals when they are physically present in a State party’s
territory.”)
The application form for an alien’s passport along with a detailed explanation is available at:
https://bit.ly/2DhGMmH.
219
56
Mapping Statelessness in Denmark
IFU, Alm.del - 2020-21 - Bilag 59: UNHCR og FN's Flygtningeorganisations rapport Mapping Statelessness in Denmark
use the same definition and criteria and apply these in a streamlined and consistent manner, resulting in a correct
registration of persons who are stateless persons.
Nonetheless, while there is competence within the Danish institutions to assess a person’s statelessness for the
purposes of registration, for example in the context of establishing an asylum-seeker’s identity, there exists no
statelessness determination procedure
per se
as a result of which a stateless person will be granted a status as
stateless and corresponding rights. Hence, it is recommended that legislation be adopted to establish such a
procedure that can lead to the granting of a status as stateless, in line with the UNHCR
Handbook on Protection
of Stateless Persons.
Such a procedure could be established within the Danish Immigration Service and build
on the Immigration Service’s existing expertise and institutional capacity. The UNHCR
Handbook on Protection
of Stateless Persons
provides guidance to states as to the form and procedural safeguards of statelessness
determination procedures. In this context, it is recommended that “unreturnable” persons have access to the
statelessness determination procedure where there are indications the individual may be stateless.
Moreover, it is recommended to incorporate the 1954 Convention definition of a stateless person into Danish law to
further strengthen a consistent application of the definition by all relevant authorities and judicial bodies involved
in the registration and determination of statelessness.
It is also recommended to introduce a residence permit for persons recognized as stateless pursuant to the 1954
Convention, and provide for their entitlement to the rights set out in that Convention, including identity papers and
travel documents, as elaborated in the UNHCR
Handbook on Protection of Stateless Persons.
Furthermore, a person who has submitted an application for recognition as a stateless person ought to receive
the same standards of treatment as asylum-seekers whose claims are under consideration, in line with the UNHCR
Handbook on Protection of Stateless Persons.
This should include protection against expulsion and a right to await
the outcome of the procedure on the territory.
In this context, it is recommended that the Aliens Act be amended in such a way that a person’s statelessness may
give rise to an exemption from the requirement that a person must wait 18 months before he or she is deemed
unable to return to another country prior to qualifying for a right of residence under Section 9(c)(2) of the Aliens Act.
Finally, Denmark is encouraged to withdraw its reservations to the 1954 Convention.
UNHCR Representation for the Nordic and Baltic Countries
57
IFU, Alm.del - 2020-21 - Bilag 59: UNHCR og FN's Flygtningeorganisations rapport Mapping Statelessness in Denmark
2312577_0058.png
4
REDUCTION AND PREVENTION OF
STATELESSNESS
4.1
Introduction
The 1961 Convention is the leading international instrument that provides rules for the conferral and non-
withdrawal of citizenship to prevent cases of statelessness from arising. By setting out rules to limit the occurrence
of statelessness, the Convention gives effect to Article 15 of the Universal Declaration of Human Rights, which
affirms that “everyone has the right to a nationality.”
Underlying in the 1961 Convention is the notion that, while States maintain the power to elaborate the content
of their nationality laws, they must do so in compliance with international norms relating to nationality, including
the principle that statelessness should be avoided. By adopting the 1961 Convention safeguards that prevent
statelessness, States contribute to the reduction of statelessness over time. The Convention seeks to balance the
rights of individuals with the interests of States by establishing general rules for the prevention of statelessness,
while simultaneously allowing some exceptions to those rules.
A central focus of the Convention is the prevention of statelessness at birth by requiring States to grant citizenship
to persons born on their territory, or born to their nationals abroad, who would otherwise be stateless. To prevent
statelessness in such cases, States must grant nationality to children either automatically at birth or subsequently
upon application. States must also ensure that foundlings and persons born on a ship or aircraft acquire a nationality.
The Convention further seeks to prevent statelessness later in life by prohibiting the withdrawal of citizenship from
States’ nationals – through either loss, renunciation, or deprivation of nationality – when doing so would result in
statelessness. The 1961 Convention further seeks to prevent statelessness upon a change in civil status. This is
complemented by Article 9 of CEDAW, which grants women equal rights with men to acquire, change, or retain
nationality, in particular in the context of marriage.
The safeguards of the 1961 Convention are triggered only where statelessness would otherwise arise and for
individuals who have some link with a country. These standards serve to avoid nationality problems, which might
arise between States.
The provisions of the 1961 Convention must be read and interpreted in light of developments in international law,
in particular international human rights law. Relevant instruments include the ICCPR, CEDAW and the CRC, which
is of paramount importance in determining the scope of the 1961 Convention obligations to prevent statelessness
among children. Article 7 of the CRC sets out that every child has the right to acquire a nationality. The drafters
of the CRC saw a clear link between this right and the 1961 Convention and therefore specified in Article 7(2) of
the CRC that “States
Parties shall ensure the implementation of these rights in accordance with their national law
and their obligations under the relevant international instruments in this field, in particular where the child would
otherwise be stateless.”
220
Regional instruments, such as the 1997 European Convention on Nationality and the 2006 Convention on the
Avoidance of Statelessness in Relation to State Succession, are also relevant for the prevention and reduction of
statelessness.
220
UNHCR Guidelines No. 4,
para 10,  available at:
http://www.re.
58
Mapping Statelessness in Denmark
IFU, Alm.del - 2020-21 - Bilag 59: UNHCR og FN's Flygtningeorganisations rapport Mapping Statelessness in Denmark
2312577_0059.png
These measures to prevent and reduce statelessness are discussed below in more detail, where provisions in
Danish law are assessed against the relevant international standards.
4.2
National legal framework
Denmark is a party to a number of international and regional conventions that deal with or have a bearing on
nationality issues including the 1961 Convention,
221
the CERD,
222
the ICCPR,
223
CEDAW
224
and the CRC.
225
The most
important Council of Europe Convention ratified by Denmark
226
is the ECN.
227
An important reservation made by Denmark in the context of statelessness is the following reservation with regard
to Article 12 of the ECN on a right to a review:
228
Denmark makes the reservation to the effect that Article 12 of the Convention shall not be binding on
Denmark.
Referring to Article 29, paragraph 2, of the Convention, Denmark wishes, in that connection, to notify the
Secretary General of the Council of Europe of the following:
Pursuant to Section 44 of the Danish Constitution, naturalization shall be granted by law. The Folketing
(Danish Parliament) and, on behalf of the Folketing, the Naturalization Committee of the Folketing are not
part of the public administration and, consequently, are not bound by the general rules of administrative law,
which implies that there is no right to an administrative review.
Introducing a right to review into the Danish procedure of considering applications for Danish nationality
by naturalization, cf. Article 12 of the Convention, would require an amendment to the Danish Constitution.
Until recently, it has been the general viewpoint that refusals of naturalization could not be reviewed by the courts.
However, this changed after the Danish Supreme Court on 13 September 2013 ruled that an applicant who had
not been included in an Act on Naturalization had a right to judicial review of whether international law obligations
had been violated, and whether the applicant for this reason could claim compensation. Such judicial review does
not violate the Constitution, which, however, precludes for instance judicial review of a claim on acquisition of
citizenship. Substantially the case dealt with discrimination based on disability (in the Naturalization Circular then
in force, Posttraumatic Stress Syndrome (PTSD) was singled out as a disability which could not motivate exemption
from the language requirement for naturalization). Such discrimination based on a particular diagnosis arguably
violates international human rights conventions, including Article 26 of the ICCPR, and Article 18 of the Convention
on the Rights of Persons with Disabilities. Moreover, it may raise questions according to Article 8 of the ECHR on
respect for a person’s private life in conjunction with Article 14 on prohibition of discrimination.
229
The Supreme
Court referred the case to the Eastern High Court for reconsideration.
230
221
222
223
224
225
226
227
228
229
230
The Convention entered into force in Denmark on 9 October 1977.
The Convention entered into force in Denmark on 8 January 1972.
The Convention entered into force in Denmark on 23 March 1976.
The Convention entered into force in Denmark on 21 May 1983.
The Convention entered into force in Denmark on 18 August 1991.
Denmark has not ratified the 2006 European Convention on Avoidance of Statelessness in Relation to State Succession.
The Convention entered into force in Denmark on 1 November 2002.
The reservation can be found at the EUDO website, available at:
https://bit.ly/2X3wT36.
See also the ECtHR Genovese case under Article 14 of the ECHR, final judgment of 11 January.
Previously, the High Court had ruled that there was no access to judicial rewiev. See the Supreme Court judgment with comments,
available at:
https://bit.ly/3f4rtej.
UNHCR Representation for the Nordic and Baltic Countries
59
IFU, Alm.del - 2020-21 - Bilag 59: UNHCR og FN's Flygtningeorganisations rapport Mapping Statelessness in Denmark
2312577_0060.png
The UN Human Rights Committee (“HRC”), acting under article 5(4) of the Optional Protocol to the CCPR determined
in 2015 that Denmark had violated CCPR article 26 by failing to demonstrate that a refusal to grant exemption
from the general naturalization criteria was based on reasonable and objective grounds. The reason was that the
Ministry of Justice was unable to give details about the reasons for the Naturalization Committee´s refusal since
the Committee’s proceedings are confidential. The lack of motivation of the decision and transparency of the
procedure made it difficult for the applicant to submit further documentation in order to support his request, as
he did not know the reason for the refusal. Besides, there were no accessible information about the dispensation
practice of the Committee. According to the HRC, the fact that the Naturalization Committee is part of the legislature
does not exempt Denmark from taking measures so that an applicant for naturalization is informed, even in brief
form, of the substantive grounds of the Committee’s decision. In the absence of a justification for the decision not
to accept the mental disability of the applicant as a basis for a language exception provided for in the law, Denmark
had failed to demonstrate that the decision was based on reasonable and objective grounds.
231
In May 2017, the Danish Supreme Court delivered a judgement on whether Denmark had violated its international
law obligations by refusing naturalization. Three applicants claimed that they should have been exempted from
the Danish language and naturalization test requirements since they were prevented from passing the tests due
to their disabilities. They argued that by refusing their applications for dispensation (and naturalization), the Danish
authorities had violated their right to equal treatment. After a concrete evaluation of the medical documentation, the
Supreme Court rejected their claims as unsubstantiated. In addition, the Supreme Court found that the authorities
had acted in compliance with the obligation to ensure that the refusals of nationality contained reasons in writing,
as required by the European Convention on Nationality, article 11.
232
In a judgment of 25 September 2017, the City Court of Copenhagen ruled that an applicant for naturalization,
whose application for naturalization and dispensation from the language and naturalization test requirements
due to her disability was refused, had been subjected to handicap-based discrimination in violation of Denmark’s
international obligations. In the judgment, the court referred to ECHR article 14 in conjunction with article 8, the
Handicap Convention article 1 in conjunction with article 2, 4, 5 18, plus the CCPR article 26. Based on the case’s
concrete circumstances, the court did not find that the applicant for this reason could claim compensation.
233
According to a newspaper article, the legal adviser to the Danish government (‘kammeradvokaten’) had assessed
that if the Committee upheld a refusal of dispensation from the language requirement etc., the courts might find
that a denial of dispensation to the disabled applicant for naturalization may be seen as a violation of Denmark’s
international obligations.
234
231
232
233
234
Human Rights committee communication No. 2001/2010, Advance unedited version. Distr.: General, 24 April 2015.
See about the judgment
https://bit.ly/2CMDatn
and
https://bit.ly/2BCmQKV.
The judgment of the city court (case no. BS 28B – 2468/2016) is not published.
The information was confidential. However, the content has been presented in the newspapers, see among others Politiken at
https://bit.ly/306IH6B.
60
Mapping Statelessness in Denmark
IFU, Alm.del - 2020-21 - Bilag 59: UNHCR og FN's Flygtningeorganisations rapport Mapping Statelessness in Denmark
2312577_0061.png
4.2.1 Avoidance of statelessness at birth
4.2.1.1 Birth on the state’s territory
Article 1(1) of the 1961 Convention provides, “A
Contracting State shall grant its nationality to a person born in its
territory who would otherwise be stateless.”
Article 1(1) allows a State Party to provide for the grant of its nationality to such a person either a) “at birth, by
operation of law,” or b) by way of an application procedure.
235
Article 1(2) lists the four enumerated conditions that
a State Party can permissibly impose on a person who comes under Article 1(1). Importantly, this list is exhaustive.
The four conditions a state may permissibly impose on an Article 1 applicant for nationality are a fixed period for
application within certain rules set forth by Article 1(2)(a);
236
a requirement of habitual residence within the rules set
forth by Article 1(2)(b);
237
certain exceptions for certain criminal offenses, as described by Article 1(2)(c);
238
and that
the person concerned has always been stateless, as provided by Article 1(2)(d).
239
As agreed by experts convened in 2011 by UNHCR, if a state is to grant its nationality to a stateless person born
in its territory pursuant to an application, as contemplated by Article 1(1)(b) of the 1961 Convention – rather than
by operation of law – the state is obligated to grant the applicant nationality, provided that he or she meet the
conditions permitted to be imposed pursuant to Article 1(2):
The use of the mandatory “shall” (“Such nationality shall be granted…”), indicates that a Contracting State
must grant its nationality to otherwise stateless children born in their territory where the conditions set forth
in Article 1(2) and incorporated in their application procedure are met. The exhaustive nature of the list of
possible requirements means that States cannot establish conditions for the grant of nationality additional
to those stipulated in the Convention. As a result, providing for a discretionary naturalization procedure for
otherwise stateless children is not permissible under the 1961 Convention. A State may choose not to apply
any of the permitted conditions and simply grant nationality upon submission of an application.
240
The importance of a child’s obtaining a nationality is reiterated by Article 7 of the CRC and Article 24 of the ICCPR,
the latter of which has been described in the UN Human Rights Committee General Comment No. 17 as follows:
“States
are required to adopt every appropriate measure, both internally and in cooperation with other States,
to ensure that every child has a nationality when he is born.”
241
It follows from these articles and Article 3 of the
CRC, which describes the principle of the best interest of the child, that a child may not be left stateless for an
extended period.
242
Specifically, when read with Article 1 of the 1961 Convention, the right of every child to acquire a
nationality (Article 7 of the CRC) and the principle of the best interests of the child (Article 3 of the CRC) require that
235
Article 1(b) provides for the grant of nationality “upon an application being lodged with the appropriate authority, by or on behalf of
the person concerned, in the manner prescribed by the national law. Subject to the provisions of paragraph 2 of this Article, no such
application may be rejected.” Note that the final paragraph of Article 1(1) further provides: “A Contracting State which provides for the grant
of its nationality in accordance with sub-paragraph (b) of this paragraph may also provide for the grant of its nationality
by operation of
law
at such age and subject to such conditions as may be prescribed by the national law” (emphasis added). Any such conditions must be
within the limitations of Article 1(2).
Article 1(2)(a) provides: “that
the application is lodged during a period, fixed by the Contracting State, beginning not later than at the age
of eighteen years and ending not earlier than at the age of twenty-one years, so, however, that the person concerned shall be allowed at
least one year during which he may himself make the application without having to obtain legal authorization to do so.”
Article 1(2)(b) provides: “that the person concerned has habitually resided in the territory of the Contracting State for such period as may
be fixed by that State, not exceeding five years immediately preceding the lodging of the application nor ten years in all.”
Article 1(2)(c) provides: “that the person concerned has neither been convicted of an offence against national security nor has been
sentenced to imprisonment for a term of five years or more on a criminal charge.”
Article 1(2)(d) provides: “that the person concerned has always been stateless.”
UN High Commissioner for Refugees (UNHCR), Interpreting
the 1961 Statelessness Convention and Preventing Statelessness among
Children: (“Dakar Conclusions”),
para 26 Dakar Conclusions (interpreting Art 1 of the 1961 Convention), September 2011, available at:
http://www.refworld.org/docid/4e8423a72.html [accessed
14 October 2015].
UN Human Rights Committee (HRC), CCPR
General Comment No. 17: Article 24 (Rights of the Child),
7 April 1989, para 8, available at:
http://www.refworld.org/docid/45139b464.html.
UNHCR Guidelines No. 4,
para 11
236
237
238
239
240
241
242
UNHCR Representation for the Nordic and Baltic Countries
61
IFU, Alm.del - 2020-21 - Bilag 59: UNHCR og FN's Flygtningeorganisations rapport Mapping Statelessness in Denmark
2312577_0062.png
States grant nationality to children born in their territory who would otherwise be stateless either (i) automatically
at birth or (ii) upon application as shortly as possible after birth. UNHCR considers that the right of every child to
acquire a nationality and the principle of the best interests of the child together create a presumption that States
need to provide for the automatic acquisition of their nationality at birth by an otherwise stateless child born in their
territory, in accordance with Article 1(1)(a) of the 1961 Convention.
243
However, if the State imposes conditions for
an application as allowed for under Article 1(2) of the 1961 Convention, this must not have the effect of leaving the
child stateless for a considerable period of time.
244
The main principle of attribution of Danish nationality is, as mentioned above in Section 2.1.1, the principle of
ius sanguinis.
According to Section 1(1) of the Nationality Act, a child is a Danish national if born to a Danish
father, a Danish mother or co-mother.
245
Before 1 July 2014, where the child’s parents were not married and only
the father was a Danish national, the child would only acquire Danish nationality automatically at birth if born
on Danish territory.
246
Still, children born out of wedlock to an alien mother and a Danish father might acquire
Danish nationality by naturalization irrespective of residence in Denmark and irrespective of whether the child
could fulfil the other general naturalization criteria, however only if the father shared the parental authority. In May
2013, an effort was made to “repair” this remaining element of gender inequality. The relevant provision in the
Naturalization Circular was changed to allow a child born out of wedlock to a foreign mother and a Danish father
to be naturalized irrespective of whether the child could fulfil the general naturalization criteria and irrespective of
whether the father participated in the parental authority of the child. The amendment was caused by the European
Court of Human Rights’ judgment in the Genovese case prohibiting gender discrimination in relation to children’s
acquisition of nationality based on descent. The Genovese case also caused the amendment of the Nationality
Act’s
ius sanguinis
provision in 2014, which now provides for complete equality between Danish men and women
and all children with Danish parents.
247
According to Section 2 of the Nationality Act, a child of a Danish father and a foreign mother who has not acquired
Danish nationality at birth will acquire Danish nationality through the subsequent marriage of the parents. In that
case, the child must be unmarried and under 18 years of age at the time of the marriage of the parents. However,
a marriage contracted by a person already married (a bigamous marriage, which is illegal in Denmark) has no legal
effects under the Nationality Act.
248
This means that children born in a marriage with a second spouse are not
considered to be born in wedlock. For a child born after 1 July 2014, this does not affect the child’s right to Danish
nationality acquired by descent.
In principle, Denmark does not provide for automatic acquisition of nationality at birth through the
ius soli
principle.
The case of foundlings will be discussed in Section 4.2.1.4.
249
243
Comments by UNHCR to the Legislative Proposal amending the Citizenship Law (Nr. 52/Lp11) in Latvia, p. 2, available at:
http://www.refworld.org/docid/57ed07954.html.
UNHCR Guidelines No. 4,
para 34.
See Act No. 729 of 25 June 2014 amending Section 1 of the Nationality Act.
See the Consolidated Nationality Act No. 422 of 7 June 2004. Note however that also before May 2013 a child born abroad and out
of wedlock to a foreign mother and a Danish father could be naturalized irrespective of whether the child could fulfill the general
naturalization criteria if the father had part in the parental authority of the child.
See this case on equal treatment between children born in and out of wedlock:
Genovese v. Malta,
and Section 16 of the Naturalization
Circular.
As established in Section 2B of this Act.
For information on the modes of acquiring Danish nationality based on the
ius soli
principle, see the website of the Ministry of Immigration
and Integration, ‘Stateless persons born in Denmark’.
244
245
246
247
248
249
62
Mapping Statelessness in Denmark
IFU, Alm.del - 2020-21 - Bilag 59: UNHCR og FN's Flygtningeorganisations rapport Mapping Statelessness in Denmark
2312577_0063.png
Three categories of stateless persons enjoy special rights under domestic law to obtain Danish nationality without
having to satisfy the general conditions for naturalization.
250
These categories are:
1. Persons born stateless in Denmark and who are under the age of 18 at the time of application.
251
2. Persons born stateless in Denmark who have attained the age of 18 but are not 21 at the time of application.
252
3. Persons born stateless in Denmark who have attained the age of 21 and who – before they turned 21 years old
– may have either applied for naturalisation or been misinformed as to their right to Danish nationality under
to the CRC or the 1961 Convention. (This is to a certain extent a prolongation of the transitional rule that was
adopted in the wake of the “statelessness case” noted above.)
253
4.2.1.1.1 Rules governing persons born stateless in Denmark who are under the age of 18 years at the time of
application
Stateless persons born in Denmark who are minors at the time of application are entitled to Danish nationality
through naturalization without having to meet the ordinary requirements for naturalization under Danish law. This
right was introduced through Section 3
254
of the Circular of Naturalization of 1992 and it has been moved under
Section 17 in later circulars, most recently in the Naturalization Circular of September 2018.
255
The purpose of the
rule is to comply with the obligations under the CRC, to ensure that children enjoy their right to acquire a nationality.
Applications for nationality under Section 17 are submitted to and pre-processed by the Ministry of Immigration
and Integration. Once the applications are approved, the Ministry refers a naturalization bill with the names of the
applicants to Parliament. Normally two naturalization bills are presented in Parliament annually, and only at the
Parliament’s adoption (after three readings) do the named individuals obtain Danish nationality.
To qualify for Danish nationality under Section 17, an applicant must have been born stateless in Denmark, must
have residence
256
in the country under Danish law; and must apply before attaining the age of 18 years. The
residency requirement presupposes that the child is registered in the CPR as a resident of Denmark, which in turn
presupposes that the child’s residence is lawful.
UNHCR notes that Article 7(2) of the CRC makes a reference¸
inter alia,
to the 1961 Convention by urging State
Parties to ensure: “the implementation of these rights [including every child’s right to acquire a nationality] in
accordance with their national law and their obligations
under the relevant international instruments
in this field,
in particular where the child would otherwise be stateless.”
257
The provisions of the 1961 Convention are therefore
of central importance to full enjoyment of every child’s right to acquire a nationality under the CRC and
vice versa.
The CRC further stipulates that nothing in the Convention: “shall
affect any provisions [of national or international
250
Applicants for naturalization, who satisfy those conditions, will be listed in a naturalization bill to be adopted by the Danish Parliament. The
legislative process is anchored in the Ministry of Immigration and Integration, which administers the law made by Parliament.
The Circular on Naturalization section 17 refers to the CRC stating that in accordance with the CRC, a Danish born stateless child may be
included in a naturalization bill without fulfilling the normal requirements for naturalization. In addition, the circular’s section 27 and 28
refer to the CRC.
The Circular on Naturalization section 26 refers to the 1961 Convention, stating that in accordance with the 1961 Convention, Danish born
stateless persons between the age of 18 – 21 may on certain conditions be included in a naturalization bill. In addition, Section 28 and 32
refer to the 1961 Convention.
See
the Ministry of Justice’s 29 February 2012 letter to the Parliamentary Naturalization Committee, available at:
https://bit.ly/2X5QbVL.
For a brief summary of the law and a link to the circular, see the official website of the Ministry of Immigration and Integration of Denmark,
available at:
https://bit.ly/3jOujaY.
Since the 2013 Circular on Naturalization, the wording of this provision has remained unchanged, cf. Section 17 of the Circular No 9779 of
14 September 2018. Circular No 9779 of 14 September 2018 available in Danish at:
https://bit.ly/2Xk3aTZ.
The Circular provides that the applicant must be resident. As noted above, under Danish law, residence presupposes lawful residence.
UNHCR,
Ensuring the right of all children to acquire a nationality: Connecting the Dots between the Convention on the Rights of the Child
and the Convention on the Reduction of Statelessness,
23 August 2013, available at:
http://www.refworld.org/docid/52206aa54.html.
251
252
253
254
255
256
257
UNHCR Representation for the Nordic and Baltic Countries
63
IFU, Alm.del - 2020-21 - Bilag 59: UNHCR og FN's Flygtningeorganisations rapport Mapping Statelessness in Denmark
2312577_0064.png
law] which are more conducive to the realization of the rights of the child.”
258
This is to say that in implementing
the CRC, the Convention must not be interpreted in a “vacuum”, but in conjunction with the relevant international
standards, in particular the 1961 Convention, and if national or international law prescribes more conducive
standards, these standards should prevail.
259
UNHCR finds that while the CRC is silent on stipulating any requirements of residence for the child born stateless
in the country in order to acquire a nationality, the requirement of lawful residence is nevertheless not permitted
because it is not allowed for under Article 1(2) of the 1961 Convention, which should be interpreted in conjunction
with the CRC. “Habitual residence” pursuant to Article 1(2)(b) must be understood as meaning that the person in
question has had a “stable, factual residence,”
260
and does not imply a legal or formal residence requirement. The
1961 Convention does not permit Contracting States to make an application for the acquisition of nationality by
individuals who would otherwise be stateless conditional upon
lawful
residence.”
261
The Danish Government has in its answers to the Committee in Parliament,
262
upheld the requirement of lawful
residence, and in support hereof stated that Denmark is a contracting state to the 1997 European Convention on
Nationality (ECN). Article 6(2)(b) of the ECN allows applications for children born on a state’s territory who do not
acquire at birth another nationality to be subject to a condition of lawful and habitual residence in a period up to
five years preceding the lodging of the application. Under Section 17 of the Circular on Naturalization, an applicant
must have residence in Denmark (the Danish term: “bopæl”) which is to be understood as a lawful residence as it
presupposes a valid residence permit. The Ministry of Immigration and Integration finds the condition of residence
(“bopæl”) under Section 17 of the Circular on Naturalization to be in line with Denmark’s obligations under the CRC
and the ECN. The Danish Government has in its answers to the Committee in Parliament also stated that it is in
line with Denmark’s obligations under the 1961 Convention to require that the applicant must be between 18 and
21 years
of age.
263
Hence the obligation under the 1961 Convention does not apply for a person born stateless in
Denmark and who is under the age of 18 years.
UNHCR is concerned that there may be stateless children born in Denmark who are not able to acquire lawful
residence in the country. As a consequence, such children cannot benefit from the provisions of Section 17, and
may have to wait for 18 years before being eligible to acquire Danish citizenship in accordance with Section 26 of
the Naturalization Circular.
264
In light of the obligations cumulating from the 1961 Convention and the CRC, UNHCR
interprets that the right of every child to acquire a nationality (Article 7 of the CRC) and the principle of the best
interests of the child (Article 3 of the CRC) together create a presumption that States need to provide for the
automatic acquisition of their nationality at birth by an otherwise stateless child born in their territory, in accordance
with Article 1(1)(a) of the 1961 Convention.
265
If the State imposes conditions for an application as allowed for under
Article 1(2) of the 1961 Convention, this must not have the effect of leaving the child stateless for a considerable
period of time.
266
258
UN General Assembly,
Convention on the Rights of the Child,
20 November 1989, United Nations, Treaty Series, vol. 1577, p. 3, Art. 41,
available at:
http://www.refworld.org/docid/3ae6b38f0.html.
Article 13 of the 1961 Convention contains similar provision stipulating that :
“[The] Convention shall not be construed as affecting any provisions more conducive to the reduction of statelessness which may be
contained in the law of any Contracting State now or hereafter in force, or may be contained in any other convention, treaty or agreement
now or hereafter in force between two or more Contracting States.”
See also,
United Nations, Vienna Convention on the Law of Treaties,
23 May 1969, United Nations, Treaty Series, vol. 1155, p. 331, Art. 31(3)
(c) and International Law Commission,
Conclusions of the work of the Study Group on the Fragmentation of International Law: Difficulties
arising from the Diversification and Expansion of International Law,
2006, available at:
https://bit.ly/2El6rvm,
para. 4.
UNHCR Guidelines No. 4, para
41.
See also ibid,
FN 30 (discussing the term “habitual residence” in numerous international instruments, as
well as by The Hague Conferences on Private International Law.).
Ibid.
See in Danish, answer to L41/8 dated 11 December 2019, available at:
https://bit.ly/30V88ra.
https://bit.ly/334PyiS.
See discussion on Section 26 of the Circular of Naturalization, p. 84-85.
Comments by UNHCR to the Legislative Proposal amending the Citizenship Law (Nr. 52/Lp11) in Latvia, p. 2, available at:
http://www.refworld.org/docid/57ed07954.html.
UNHCR Guidelines No. 4,
para 34.
259
260
261
262
263
264
265
266
64
Mapping Statelessness in Denmark
IFU, Alm.del - 2020-21 - Bilag 59: UNHCR og FN's Flygtningeorganisations rapport Mapping Statelessness in Denmark
2312577_0065.png
This interpretation is supported by the Committee on the Rights of the Child, which has authoritatively interpreted
Article 7 of the CRC since 1990 as requiring State Parties to grant nationality to all children born on the territory
who would otherwise be stateless, regardless of the residence status of the children or their parents.
267
In its
Concluding observation in October 2017, the Committee urged Denmark to provide for the automatic granting of
nationality to all children born in Denmark who would otherwise be stateless.
268
Under Danish law, the Ministry of Immigration and Integration is required to forward the names of qualified applicants
to Parliament. The Parliament itself is not bound by any domestic law or rule to grant the persons listed on a
naturalization bill Danish citizenship, while international law obligations apply.
269
In this regard, it is recommended
to further examine whether the existing procedure for granting nationality to children born in Denmark, who would
otherwise be stateless, may be discretionary in a way, which would not comply with the CRC (cf. Article 1 of the
1961 Convention).
4.2.1.1.2 Rules governing persons born stateless in Denmark who have attained the age of 18 years but are not
yet 21 years old
Persons born stateless in Denmark, who already reached the age of 18, but not the age of 21, are also entitled to
Danish nationality by naturalization. The rule aims at satisfying the requirements of Article 1 of the 1961 Convention,
and it is now included in Section 26 of the Naturalization Circular of September 2018. The conditions are as follows:
• The applicant must be born stateless in Denmark and always have been stateless.
• The applicant must have his or her habitual residence in Denmark (the Danish wording is “fast bopæl”).
• The applicant must have resided habitually in Denmark for five years immediately preceding the submission
of the application, or must have resided habitually in Denmark for eight years altogether. This means that the
applicant may have lived in Denmark for different periods of a total duration of eight years, but in any case, at the
time of submitting the application for nationality, he or she must reside in Denmark.
• The applicant must not have been found guilty of an offence against national security, and not have been
sentenced to imprisonment for five years or more for a criminal offence. Offences against national security are
acts falling within the scope of Part 12 of the Criminal Code on offences against national independence and
security and Part 13 of the Code on offences against the Constitution and the supreme authorities of the state.
These provisions relate to, among others, offences that are considered terrorist acts.
• The applicant must make a solemn declaration confirming that he or she has not been found guilty of any acts
falling within the scope of Part 12 of the Criminal Code on offences against national independence and security
or Part 13 on offences against the Constitution and the supreme authorities of the state.
• The applicant must also solemnly declare whether he or she has been sentenced to imprisonment for five years
or more.
The Parliament itself is not bound by any domestic law or rule to grant the persons listed on a naturalization bill
Danish citizenship, while international law obligations apply.
270
On this background, it should be examined whether
267
Since 1990, The CRC Committee has made at least 27 recommendations to various State Parties underlying this obligation. See for
instance; UN Committee on the Rights of the Child (CRC),
Concluding observations on the fourth periodic report of the Netherlands,
8 June 2015, CRC/C/NDL/CO/4, available at:
http://www.refworld.org/docid/566fc5a04.html,
UN Committee on the Rights of the Child
(CRC), Concluding observations on the combined second to fourth periodic reports of Turkmenistan, 10 March 2015, CRC/C/TKM/CO/2-
4, available at:
https://bit.ly/30V8H4g,
and UN Committee on the Rights of the Child (CRC),
Concluding observations on the combined
second to fourth periodic reports of Switzerland,
26 February 2015, CRC/C/CHE/CO/2-4, available at:
https://bit.ly/3jOkDxm.
UN Committee on the Rights of the Child (CRC),
Concluding observations on the fifth periodic report of Denmark,
26 October 2017,
CRC/C/DNK/CO/5, para. 15, available at:
http://www.refworld.org/docid/5a0ebb974.html.
The Danish Supreme Court has – as referenced in sec. 4.2.– found that it to a certain degree can review whether international law
obligations have been violated, and whether an applicant for this reason can claim compensation.
The Danish Supreme Court has – as referenced in sec. 4.2. – found that it to a certain degree can review whether international law
obligations have been violated, and whether an applicant for this reason can claim compensation.
268
269
270
UNHCR Representation for the Nordic and Baltic Countries
65
IFU, Alm.del - 2020-21 - Bilag 59: UNHCR og FN's Flygtningeorganisations rapport Mapping Statelessness in Denmark
2312577_0066.png
the procedure for granting 18-21 year old stateless persons born in Denmark citizenship may be discretionary in a
way, which would not comply with Article 1 of the 1961 Convention. In this regard, it may be taken into account that
before a bill on naturalization is introduced, the Ministry of Immigration and Integration sends the Naturalization
Committee an overview of persons qualifying for naturalization on the basis of the 1961 Convention to the
Parliament.
271
4.2.1.1.3 Transitional rule for certain stateless persons born in Denmark who are 21 years or older
In the wake of the so-called ‘statelessness case’, mentioned above, a transitional rule was adopted, allowing
persons born stateless in Denmark to apply for naturalization although they had attained the age of 21 years or
more and thus exceeded the maximum age for applying for nationality without satisfying the usual conditions.
At first, they had to apply before 1 March 2012, but as of 29 February 2012, the right to apply was extended
indeterminately with the following limitation:
Persons born stateless in Denmark, that previously and before reaching the age of 21 have applied for
nationality, and who may have received an incorrect processing or who may have received incorrect
information regarding their rights under the UN Convention on the Reduction of Statelessness or the
UN Convention on the Rights of the Child can be listed in a naturalization bill without satisfying the usual
conditions for being eligible for Danish nationality. It is a condition to be listed in a naturalization bill with
reference to the conventions that the person concerned at the time of the incorrect processing or the
incorrect information satisfied the conditions that can be required according to the conventions. When these
conditions are satisfied, the person concerned will be listed in a naturalization bill. This applies regardless
of whether the application has first been submitted after 1 March 2012.
272
The wording of the announcement may be subject to interpretation, but it appears from a letter of 29 February
2012 from the Ministry of Justice to the Parliament’s Naturalization Committee that two groups of stateless persons
having turned 21 as a rule are entitled to Danish nationality based on the CRC and the 1961 Convention and
therefore, upon application, will be included in a Naturalization Bill. The two groups consist of those who have
applied for Danish nationality before they turned 21 years, and those who have been wrongfully advised about
their rights to acquire a nationality under the Conventions.
In addition, the Ministry of Justice refers to an earlier practice introduced by the Ministry of Integration in March
2011, regarding a third group of stateless persons who would be included in a Naturalization Bill under the rules of
the CRC and the 1961 Convention, even if they applied for Danish nationality after they had turned 21 years and had
not been wrongfully advised about their rights to acquire a nationality under the Conventions. However persons in
this third group had to apply for Danish Nationality before 1 March 2012.
According to the Ministry, Denmark is not obliged to grant nationality to persons who have not received incorrect
guidance before they turned 21 years.
This interpretation of Denmark’s international obligations warrants consideration since, for a number of years, the
1961 Convention was not incorporated and the CRC was not fully incorporated in Danish law. During these years,
stateless persons born in Denmark were not (fully) informed about their entitlement to Danish nationality and this
omission may in itself have been misleading.
273
This was recognized by the former Minister for Integration when
she introduced the first transitional rule that had a broader personal scope.
271
272
Section 32(1) of the Naturalization Circular
See the Danish text, available at the website of the Ministry of Immigration and Integration, ‘Stateless persons born in Denmark’. Available
at:
http://uim.dk/arbejdsomrader/statsborgerskab/statslose-fodt-i-danmark-1.
See Eva Ersbøll:
Dansk indfødsret i international og historisk belysning
(2007), p. 749.
273
66
Mapping Statelessness in Denmark
IFU, Alm.del - 2020-21 - Bilag 59: UNHCR og FN's Flygtningeorganisations rapport Mapping Statelessness in Denmark
2312577_0067.png
Indeed, even though the national legal system contains provisions to prevent statelessness, the rules are not always
apparent to persons who could make use of them. This viewpoint has for example been voiced by a member of
the Bhutanese culture organization, who was not aware of the entitlement to acquire nationality if a child born in
Denmark is otherwise stateless. Most of the Bhutanese who arrived to Denmark up to 2012 were illiterate and it was
difficult for them to find the necessary information on the internet. According to the organization, it is not enough
to disseminate information at the language schools. Many Bhutanese had difficulties in understanding general
information. In the organization’s opinion, information should be provided by the municipality, the ‘accompanying
group’ or a ‘spokesperson’. This way, this population would be better informed on the option to obtain nationality
for their children.
Given that Article 12 in the 1961 Convention expressly provides that States Parties’ obligations under Articles 1
and 4 are to be retroactive, the establishment of a cut-off age for stateless persons born in Denmark to apply for
Danish nationality – where such persons may have been kept in ignorance of their rights under Article 1 or 4 – is
not permitted under the 1961 Convention.
4.2.1.1.4 Political concern with regard to convention obligations and 2018 dialogue with UNHCR
274
What has caused some concern in relation to the naturalization of persons born stateless in Denmark is the 1961
Convention’s conduct requirements. According to the Convention, a state may require that a stateless applicant
has not been convicted of an offence against national security and not been sentenced to imprisonment for a
term of five years or more on a criminal charge. Several politicians in the Danish Parliament are critical of the
requirements in Article 1(2), which they consider “out of date”
275
.
The Danish Security and Intelligence Service has three times, in the years 2011 – 2013, informed the Minister of
Justice that among the applicants listed in a biannual naturalization bill was a Danish-born stateless applicant who
might be a danger to national security without fulfilling these requirements. For cases not pertaining to stateless
persons, the general rule is that, if the Security and Intelligence Service considers an applicant a possible security
threat, that person is removed from the naturalization bill and excluded from naturalization for a period of normally
five years, as provided in Section 21 of the Naturalization Circular.
The political parties in Parliament were divided when debating the three naturalization bills, which included a
Danish-born stateless person who was considered a possible security risk. One political party decided to vote
against the adoption of the bills; others wanted to refuse the application for naturalization.
276
A majority in Parliament
has asked the Government to re-negotiate the interpretation or the content of Article 1(2) of the 1961 Convention.
Still, in the three concrete cases, a parliamentary majority voted for acting in accordance with the 1961 Convention,
and the three stateless applicants have acquired Danish nationality by naturalization.
Related questions on the interpretation of the 1961 Convention have been debated. One is whether it is in
accordance with the 1961 Convention to require that Danish-born stateless applicants make a solemn declaration
confirming that they have not been found guilty of a crime against the state and have not been sentenced to
imprisonment for five years or more.
277
In early 2018, the Government of Denmark reached out to UNHCR to start a dialogue on the interpretation of
the 1961 Convention with regard to stateless applicants for Danish citizenship who at the time of application are
charged or indicted for serious crimes or assessed as a potential threat to national security.
274
275
This section was drafted by UNHCR
Article 1(2)(c) of the 1961 Convention reads “that the person concerned has neither been convicted of an offence against national security
nor has been sentenced to imprisonment for a term of five years or more on a criminal charge” in order to be eligible to acquire nationality
through application in accordance with the Convention.
See for instance the parliamentary debate of bill L 11 (2011-2012) accessible at
http://www.ft.dk/samling/20111/lovforslag/l11/index.htm.
This is a requirement for naturalization in Danish practice.
276
277
UNHCR Representation for the Nordic and Baltic Countries
67
IFU, Alm.del - 2020-21 - Bilag 59: UNHCR og FN's Flygtningeorganisations rapport Mapping Statelessness in Denmark
2312577_0068.png
In the course of the dialogue, the Government of Denmark produced an outline for an approach for the processing
of applications from stateless applicants under the 1961 Convention.
278
The approach will allow the Ministry of
Immigration and Integration to postpone the processing of citizenship applications from stateless applicants whom
the Danish Security and Intelligence Service (PET) assesses as a potential threat to national security, or who at
the time of application are charged or indicted for offences against national security or a criminal offence that can
result in imprisonment of 5 years or more. In such cases, the application will not be rejected, but action on it will
be postponed, as long as PET assesses the applicant to constitute a threat to national security, or the charge or
indictment is in force and the resolution of these issues is pending.
The postponement is conditional on the continued existence of justified grounds and periodic review conducted
by the Ministry of Immigration and Integration, which will biannually and by its own initiative request a renewed
security assessment of the concerned applicant by the PET or confirm that the charge or indictment is still in force.
Furthermore, it is required that the postponement does not result in the applicant not receiving a decision on his
or her application within “a reasonable time”.
279
The assessment on the “reasonable time” requirement will be
undertaken by the Ministry of Immigration and Integration. In situations where a decision should be made in view of
the overall case processing time, the Ministry will submit the application to the Danish Parliament’s Naturalisation
Committee with a report referring to the obligations under the 1961 Convention.
In August 2018, the Government of Denmark and UNHCR exchanged letters, in which UNHCR concurred that the
new approach is in line with the object and purpose of the 1961 Convention.
280
4.2.1.2 Birth outside the State’s Territory
Article 4 of the 1961 Convention sets forth the obligation of a Contracting State to “grant
its nationality to a person,
not born in the territory of a Contracting State, who would otherwise be stateless, if the nationality of one of his
parents at the time of the person’s birth was that of that State.”
Danish nationality law largely follows the principle of
jus sanguinis.
As noted above, as of 1 July 2014, a child born
to a Danish father, a Danish mother, or a Danish co-mother will acquire Danish nationality at birth, irrespective of
where that birth occurs.
281
This development was prompted by The European Court of Human Right’s judgment in
Genovese case.
282
Prior to this amendment, a child born out of wedlock to a Danish father and a foreign mother would acquire Danish
nationality at birth only if born on Danish territory.
283
In other words, a child born abroad and out of wedlock to a
Danish father and a foreign mother would not automatically at birth acquire Danish nationality under the old rule.
284
However, such child could acquire Danish nationality by naturalization without fulfilling the normal requirements if
the father had part in the parental authority. This last-mentioned condition was abolished in May 2013. At that time
the Naturalization Circular was amended, also prompted by the
Genovese case,
to allow such a child to be listed
278
Ministry of Immigration and Integration,
Brief on Processing of applications for Danish citizenship by naturalisation from applicants
covered by the UN Convention on the Reduction of Statelessness of 1961(the 1961 Convention), and who PET (the Danish Security and
Intelligence Service) assesses as a potential threat to national security, or who are charged or indicted for offences against national
security or a criminal offence that can result in imprisonment of 5 years or more,
16 August 2018, available at:
https://bit.ly/2Dgjmyo.
The reasonable time requirement derives directly from the Art. 10 of the ECN concerning the processing of applications relating to the
acquisition, retention, loss, recovery or certification of nationality.
UNHCR,
Letter from UNHCR to the Deputy Permanent Secretary of the Ministry of Immigration and Integration,
28 August 2018, available
at:
https://www.ft.dk/samling/20171/almdel/IFU/bilag/152/1935206.pdf.
Act No. 729 of 25 June 2014, amending Section 1 of the Nationality Act. Note that under Danish law, Danish citizens born and resident
abroad are subject to nationality retention requirements. For a discussion of these rules,
see
section 4.3.4,
infra.
See above note 255.
The Consolidated Nationality Act No. 422 of 7 June 2004.
Under Section 2 of the Danish Nationality Act, a child born out of wedlock to a Danish father and an alien mother and who has not
acquired Danish nationality at birth will acquire Danish nationality through the subsequent marriage of the parents. To benefit from this
rule, the child must be unmarried and under 18 years of age at the time of the marriage of the parents.
279
280
281
282
283
284
68
Mapping Statelessness in Denmark
IFU, Alm.del - 2020-21 - Bilag 59: UNHCR og FN's Flygtningeorganisations rapport Mapping Statelessness in Denmark
2312577_0069.png
on the naturalization bill, regardless of whether the father shared the parental authority and, importantly, the effect
was retroactive for all the children born after 11 October 1993 who had not acquired Danish citizenship before.
285
In sum, Danish law, prior to 31 December 2018, allows for transmission of Danish nationality to all children born to
at least one Danish national, irrespective of whether the child would otherwise be stateless or of whether the child
was born in the territory of a Contracting State. It is thus over-compliant with Article 4 of the 1961 Convention, and
Denmark is to be commended.
4.2.1.3 Other path to naturalization
Under Section 6(2), cf. Section 5 of the Danish Nationality Act, children of naturalizing parents may acquire Danish
nationality simultaneously with the parent. This provision could benefit some stateless children of among others
refugee parents who naturalize.
4.2.1.4 Foundlings
Article 2 of the 1961 Convention provides, “A
foundling found in the territory of a Contracting State shall, in the
absence of proof to the contrary, be considered to have been born within that territory of parents possessing the
nationality of that State.”
It has been argued that this rule has become an international customary norm and it has
been reiterated in other international and regional conventions.
286
At a minimum, the safeguard for Contracting
States to grant nationality to foundlings is to apply to all young children who are not yet able to communicate
accurately information pertaining to the identity of their parents or their place of birth. This flows from the object
and purpose of the 1961 Convention and also from the right of every child to acquire a nationality. A contrary
interpretation would leave some children stateless.”
287
Under Section 1(2) of the Danish Nationality Act, a child found abandoned in Denmark will, in the absence of
evidence to the contrary, be considered a Danish national. A foundling’s automatic acquisition of nationality at birth
is based on the presumption that at least one of the parents is Danish. Under Danish law, if “proof to the contrary”
is established (i.e., if it is proved that neither parent was a Danish citizen), the acquisition of Danish nationality at
birth
ex lege
is deemed null and void. This interpretation follows from the Danish constitution establishing that
nationality must be granted by the legislature. When considered that the prerequisite for acquisition of Danish
nationality (assumption of descent from a Danish parent) was not present, then nationality was never acquired.
The situation may be seen as a ‘loss of conditional citizenship’,
288
or as ‘quasi-loss’ of nationality because of the
change in personal status.
289
Still, such a situation of statelessness may be remedied by the Danish Parliament/the
Naturalization Committee, which, upon application, may grant Danish nationality by naturalization irrespective of
whether the normal conditions for naturalization are fulfilled. According to a practice introduced in 2013, problems
of statelessness and protection of legitimate expectations are normally solved this way.
290
In spite of this, formal legal safeguard against statelessness in relation to loss of nationality are not applicable
to these situations, since the person is not protected against statelessness under Danish nationality legislation.
285
Section 16 of the Naturalization Circular. Note that also before May 2013 a child born abroad and out of wedlock to a foreign mother and
a Danish father could be naturalized irrespective of whether the child could fulfill the general naturalization criteria if the father had part
in the parental authority of the child. In May 2013 the Naturalization Circular was amended repealing the prior condition on the father’s
parental authority as contrary to the European Court of Human Rights’ judgment in
Genovese,
cf. note 255.
Waas, L.V.,
Nationality Matters,
pp. 70-71 and 90.
UNHCR Guidelines No. 4, para.
58.
See Gerard-René de Groot and Maarten Peter Vink:
A comparative Analysis of Regulations on Involuntary Loss of Nationality in the
European Union
(December 2014), available at:
https://bit.ly/2WZkzRu.
See Gerard-René de Groot and Patrick Wautelet:
Reflections on Quasi-loss of nationality in comparative, international and European
Perspective
(August 2014), available at:
https://bit.ly/39xlu0u.
See Eva Ersbøll: Loss of Nationality in the Nordic Countries, in
European Citizenship at the Crossroads, The Role of the European Union
on Loss and Acquisition of Nationality
(2015), p. 202 f.
286
287
288
289
290
UNHCR Representation for the Nordic and Baltic Countries
69
IFU, Alm.del - 2020-21 - Bilag 59: UNHCR og FN's Flygtningeorganisations rapport Mapping Statelessness in Denmark
2312577_0070.png
This implication must be considered in relation to the protection against statelessness in Article 5(1) of the 1961
Convention and Article 7(1)(f) of the ECN.
291
Article 2 of the 1961 Convention, by its plain text, requires not only that a State Party presume that a foundling was
born to parents possessing the nationality of that State, but also that the foundling was born within that territory.
Thus, even if it were, eventually, proved that a foundling had been born to non-Danish nationals, Article 2 still
requires that a State Party presumes – absent evidence to the contrary – that the foundling was born within that
State’s territory.
292
Assumedly, Danish law will be interpreted in accordance with the requirements of Article 2 of the 1961 Convention,
establishing a safeguard against statelessness for foundlings.
4.2.2 Birth on a ship or aircraft
Article 3 of the 1961 Convention provides that a “birth
on a ship or in an aircraft shall be deemed to have taken
place in the territory of the State whose flag the ship flies or in the territory of the State in which the aircraft is
registered, as the case may be.”
The provision should be interpreted as referring to all vessels registered in the
state. In addition, the provision applies equally to ships that are within the territorial water or a harbor of another
state as well as to an aircraft at an airport of another state.
293
No provision governing births aboard a ship or aircraft exists in Danish law. According to the Ministry of Justice
294
,
no such situation has ever occurred in practice,
295
but that if such a case should present itself, there is “every
probability” that it would be dealt with in accordance with the 1961 Convention.
296
It is therefore assumed here that Denmark would interpret its own laws in accordance with Article 3 of the 1961
Convention and thus deem a birth aboard a Danish-flagged ship or aircraft as having occurred on Danish territory,
although there seems to be a gap in Danish law with respect to such births.
A related problem concerning birth during a journey has been dealt with in Danish practice. A stateless woman
gave, prematurely, birth to a child on a one-day trip from Denmark to Sweden. The mother and the child returned
to Denmark the day after the birth, and the child’s birth registration was deleted from the Swedish registers. The
child did not acquire a nationality from the father either. The Danish Minister of Justice did not find that the child
was comprised by the CRC since the birth had not taken place in Denmark, while the Naturalization Committee of
the Parliament later granted the child Danish nationality in line with the object and the purpose of the CRC and the
1961 Convention.
291
Article 5(1) of the 1961 Convention allows loss as a consequence of a change in personal status as long as it does not lead to
statelessness. Article 7(1)(f) of the ECN allows for the loss of nationality on this ground but Article 7(3) ECN states that such loss of
nationality may not take place if it leads to statelessness.
Such a presumption would trigger the Article 1 requirements if the foundling were stateless.
UNHCR Guidelines No. 4,
paras. 62 and 63.
As of 28 November 2016 the Nationality Division is part of the Ministry of Immigration and Integration.
This information was given during an interview with employees in the Nationality Division of the Ministry of Justice.
This information was given during an interview in August 2012 with the Nationality Division of the Ministry of Justice.
292
293
294
295
296
70
Mapping Statelessness in Denmark
IFU, Alm.del - 2020-21 - Bilag 59: UNHCR og FN's Flygtningeorganisations rapport Mapping Statelessness in Denmark
2312577_0071.png
4.2.3 Avoidance of statelessness upon change in civil status
Article 5(1) of the 1961 Convention provides:
1. If the law of a Contracting State entails loss of nationality as a consequence of any change in the personal
status of a person such as marriage, termination of marriage, legitimation, recognition or adoption, such
loss shall be conditional upon possession or acquisition of another nationality.
Although there is no express provision in Danish legislation providing for the loss of Danish nationality upon a
change in civil status, in practice, the termination of a family relationship that was the basis of acquisition of Danish
nationality can lead to a determination that Danish nationality was never acquired, e.g. in a situation where the
registered Danish father was found not to be the father. The acquisition of Danish nationality is considered null and
void. However, in such situations, the Danish Parliament/the Naturalization Committee may remedy situations of
statelessness by granting citizenship regardless of whether the normal naturalization criteria are fulfilled.
297
Still, it should be further examined whether the lack of legislation on prevention of loss of nationality in the context
of termination of family relationships could be at variance with Article 5(1) of the 1961 Convention.
4.2.4 Avoidance of statelessness in the context of
renunciation, loss or deprivation of nationality
National terminology regarding loss or deprivation of nationality varies among states. Because the distinctions are
often unclear, and the consequences are the same, loss and deprivation of nationality are discussed together. Both
mechanisms must be analyzed in terms of relevant international norms and standards.
298
Articles 7, 8, and 9 of the 1961 Convention contain detailed provisions governing the loss, renunciation, and
deprivation of nationality. Article 7(1) generally prevents states parties from permitting renunciation of nationality
“unless the person concerned possesses or acquires another nationality.” Article 7(2) contains a similar safeguard
against statelessness applicable in situations where the person concerned is seeking naturalization in a foreign
country. Article 7(3) establishes safeguards against statelessness for nationals abroad. In addition, Article 7(6)
prohibits automatic loss of nationality if it would render the person stateless, with certain enumerated exceptions.
Article 8 governs deprivation of nationality. Article 8(1) provides, “A
Contracting State shall not deprive a person of
its nationality if such deprivation would render him stateless.”
Articles 8(2) through 8(4) contain certain enumerated
exceptions, as well as important procedural safeguards.
Article 9 provides in its entirety: “A
Contracting State may not deprive any person or group of persons of their
nationality on racial, ethnic, religious or political grounds.”
Renunciation of Danish nationality is possible in cases where a person wishes to become a foreign national. The
renunciation is accepted on the condition that the person acquires the other nationality within a certain timeframe.
If a Danish national is also a foreign national and resides abroad, release cannot be denied, according to Section
297
298
Cf. above in section 4.2.1.4. about the practice introduced in 2013.
See
Human Rights Council, Twenty-fifth session, Annual report of the United Nations High Commissioner for Human Rights and reports
of the Office of the High Commissioner and the Secretary-General, “Human rights and arbitrary deprivation of nationality: Report of the
Secretary-General,” 19 December 2013, A/HRC/25/28. (discussing the ambiguity of terms and noting, “A common approach, which is
applied in the 1961 Convention on the Reduction of Statelessness, is to refer to “loss” with regard to the automatic lapse of nationality,
ex lege
and without State interference, and “deprivation” for administrative and judicial acts of competent national authorities invoking a
stipulation of the nationality law to withdraw nationality. While “loss” and “deprivation” cover two distinct processes, they both lead to the
same outcome: the person concerned is no longer considered a national by the State, and if he or she does not hold another nationality,
this leads to statelessness.”)
UNHCR Representation for the Nordic and Baltic Countries
71
IFU, Alm.del - 2020-21 - Bilag 59: UNHCR og FN's Flygtningeorganisations rapport Mapping Statelessness in Denmark
2312577_0072.png
9(2) of the Nationality Act.
299
If the person who wishes to be released from Danish nationality resides in Denmark,
renunciation is only accepted if the person in question has a justified reason for the renunciation.
Until 1 September 2015, Danish nationality was lost in cases when a Danish national acquired a foreign nationality
upon application or with his or her express consent, or where a Danish national acquired a foreign nationality by
entering the public service of another country (Sections 7(i) and 7(ii) of the Nationality Act). Unmarried children
who became foreign nationals together with their parents would also as a rule in such cases lose their Danish
nationality.
300
As of 1 September 2015, dual nationality is accepted. In addition, a transitional reacquisition provision will apply
for former Danish citizens who have lost their Danish nationality by acquisition of a foreign nationality. It is a
requirement that they have not been sentenced to imprisonment in the period between their loss of Danish
nationality and the submission of the declaration for reacquisition. They (and their children) may reacquire Danish
nationality by submitting a declaration to that effect within five years to the State Administration.
301
According to Section 8 of the Nationality Act, any person born abroad who has never lived nor been staying in
Denmark under circumstances indicating some association with the country, will lose his or her Danish nationality
automatically on attaining the age of 22 unless this will make the person stateless. The Ministry of Immigration
and Integration may however grant an application for retention of Danish nationality – if submitted before the
applicant’s 22nd birthday.
Deprivation of Danish nationality is possible in cases where the Danish nationality is acquired by fraudulent conduct
(Section 8A) and where a person is convicted of violation of Part 12 or 13 of the Criminal Code concerning crimes
against the state (Section 8B). In the latter case, deprivation of nationality may not take place if it makes the person
stateless. Cases of deprivation of nationality are resolved by court order, and the proceedings are governed by the
rules of administration of justice. Until now, courts have deprived a number of Danish nationals of their nationality
pursuant to Section 8A, while only six Danish nationals have been deprived of their Danish nationality pursuant to
Section 8B.
302
Predominantly, Danish nationality law is compatible with the international standards concerning loss, renunciation
and deprivation of nationality.
4.2.5 Reduction of statelessness
4.2.5.1 Naturalization
Article 32 of the 1954 Convention provides in full: “The
Contracting States shall as far as possible facilitate
the assimilation and naturalization of stateless persons. They shall in particular make every effort to expedite
naturalization proceedings and to reduce as far as possible the charges and costs of such proceedings.”
303
299
Ibid.
It should also be noted that if the person who wishes to be released from Danish nationality resides in Denmark, renunciation is only
accepted if the person in question has a justified reason for renunciation.
Such children would however not lose Danish nationality if the child’s other parent remained Danish and had part in the parental authority
of the child, see former Section 7(iii) of the Nationality Act.
See Section 3 of the Act No. 1496 of 23 December 2014 amending the Nationality Act by providing for the acceptance of dual nationality.
See among other cases, the case referred in U 2009.2296Ø (on crimes against the state), U 2003.1600V and U 2010.3061Ø (on fraud).
These judgments are published at the website of EUDO, available at:
https://bit.ly/331VHwr.
See also the Supreme Court’s judgment of 29
November 2016 on deprivation of nationality pursuant to section 8A, available at
https://bit.ly/2BzELSq
and the two cases on deprivation
of nationality pursuant to section 8B: the Supreme Court judgment of 8 June 2016 available at
https://bit.ly/3hKiqBe
and the Supreme
Court judgment of 14. November 2017 available at
https://bit.ly/3hGu3ZQ.
Because special rules – both under international law and Danish law – govern stateless persons
born in
the territory of the State Party,
provisions in Danish law addressing such persons are discussed separately.
See
section 3.4.1.1.,
supra.
300
301
302
303
72
Mapping Statelessness in Denmark
IFU, Alm.del - 2020-21 - Bilag 59: UNHCR og FN's Flygtningeorganisations rapport Mapping Statelessness in Denmark
2312577_0073.png
In Denmark, the naturalization criteria are not contained in the Nationality Act. Instead, they are agreed upon by
a majority among the political parties in Parliament and included in a Circular on Naturalization. It is fair to say
that the general naturalization criteria are strict, and almost all criteria apply for refugees and stateless persons
as well. According to the Circular, the only facilitation of these persons’ access to nationality (required by the 1951
Convention, the 1954 Convention and the ECN) is a slight reduction of the general residence requirement: the
general requirement of residence of nine years is reduced to residence of eight years.
304
As explained above, stateless children born in Denmark may be naturalized without fulfilling the regular
requirements for naturalization according to Section 17 of the Circular, stating that in accordance with the CRC,
children who are born stateless in Denmark may be listed in a Naturalization Bill if they are residents in Denmark.
Moreover, a provision implementing Article 1 of the 1961 Convention is now included in Section 26 of the Circular.
Otherwise, in order to obtain Danish nationality, a stateless person must satisfy the general conditions laid down
by (a majority among) the political parties in the Parliament and administered by the Ministry of Immigration and
Integration. Applicants for naturalization, who satisfy the conditions codified in the Naturalization Circular, will
be listed in a Naturalization Bill to be adopted by the Parliament.
305
The Naturalization Bills are introduced in
the Parliament, normally twice a year, in spring and in autumn. When a Naturalization Bill has been passed by
Parliament, the persons listed in the Bill, and as a rule their children, will acquire Danish nationality.
306
Ordinary naturalization is the most important mode for acquisition of Danish nationality after birth. As provided
for in Section 6 of the Nationality Act and the Naturalization Circular, foreigners may be naturalized if they have a
permanent residence permit and have resided in Denmark for nine years – or eight years in the case of stateless
persons and refugees – and fulfil other rather strict requirements. Among those requirements are proof of good
conduct and of the absence of a public debt, a certification of knowledge of the Danish language, passing of a
citizenship test and proof of having been self-supporting during the past two years and during four years and 8
months in total within the last five years.
Hence, the only “facilitation” of naturalization available today in Danish legislation and practice of stateless persons
and refugees, pursuant to Article 32 of the 1954 Convention and Article 34 of the 1951 Refugee Convention, is the
reduction of one year of the general residence requirement, from nine to eight years.
307
For many refugees and stateless persons this facilitation may be irrelevant insofar as they may not be able to
meet the other rather strict requirements for naturalization. It is questionable whether the limited reduction of the
residence requirement is sufficient to meet the obligation to ‘facilitate’ naturalization, considering among other
things that many refugees and stateless persons with limited school attendance (see, by way of example, the case
of Bhutanese refugees as explained above) are excluded from acquiring Danish nationality, as they cannot meet
the language and naturalization test requirements.
In this context, UNHCR would like to note that “[b]est
practices in European countries to facilitate naturalization
of immigrants, refugees and stateless persons include waiving language proficiency requirements and reducing
the number of years of lawful residence required.”
308
The Council of Europe Committee of Ministers has long
recommended that each state should facilitate the naturalization of stateless persons, in particular reduce the
required period of residence for stateless persons; not make language requirements stringent; ensure accessibility
304
305
306
307
308
Section 7 of the Naturalization Circular.
See the Naturalization Circular section 7.
The Immigration Service, ‘Statistical Overview: Migration and Asylum 2011’ (English version), p. 46.
See the Naturalization Circular.
UNHCR intervention at the Committee on Legal Affairs and Human Rights, Parliamentary Assembly of the Council of Europe, Paris, 12
November 2012, para 22, available at:
http://www.refworld.org/pdfid/50f53c5d2.pdf.
UNHCR Representation for the Nordic and Baltic Countries
73
IFU, Alm.del - 2020-21 - Bilag 59: UNHCR og FN's Flygtningeorganisations rapport Mapping Statelessness in Denmark
2312577_0074.png
of procedures, avoid delay, and reduce fees; and ensure that offenses, when relevant to the acquisition of
nationality, not unreasonably prevent stateless persons from acquiring nationality.
309
Statistics Denmark provides information on the number of foreigners, including stateless persons, who have
obtained Danish nationality through naturalization each year in the period 2006-2017. They are included in figure
20.
Figure 20: Stateless persons obtaining Danish nationality (2006-2017)
2006 2007 2008 2009
Stateless
persons
All persons
Share of
stateless in
total
161
7,961
2%
69
4,150
1.7%
126
6111
2%
463
2010
246
2011
248
2012
128
3,671
4%
2013
50
1,863
2.7%
2014
163
4,786
3.4%
2015
149
4,498
3.3%
2016
415
15,028
2.8%
2017
274
7,272
3.8%
6,869 3,833 4,467
6.7%
6.4%
5.5%
Source: SD (People, who changes into Danish citizenship by sex, age and former citizenship (DKSTAT) recorded
ultimo 2006-2017)
Figure 20 indicates that between 50 and 463 stateless persons were granted Danish nationality each year in the
period 2006-2017. In most years, less than 250 stateless persons were naturalized, while the number was only 69
persons in 2007 and 50 persons in 2013.
310
The number of naturalized stateless persons increased dramatically in
2009 when 6.7 percent of all naturalized persons in Denmark were formerly stateless.
When comparing the numbers of stateless persons to the total number of foreign nationals who naturalized,
there is likewise a slight increase in the percentage of stateless persons obtaining Danish nationality in 2009 and
onwards. In the period 2006-2008, the percentage was around 1-2 per cent, while during the period between
2009 and 2011 the figure increased to encompass between 5-7 per cent of the total number of grants of nationality
to foreigners. Since 2012, the percentage has again decreased. In 2017, the share of stateless persons was 3.8
percent of all naturalized persons.
An increase in numbers of naturalized stateless persons in 2009 cannot be explained as an effect of the so-called
‘statelessness case’ (see Section 2.1.1). The latter may have caused a number of stateless persons to apply for
naturalization but most likely only as of 2011 when the rights of Danish born stateless persons became publicly well
known. The fact that the grants of nationality to stateless persons peaked already in 2009 may be explained as a
coincidence. The Nationality Division of the Ministry of Justice
311
has shared their impression that many applicants
were informed about Danish born stateless persons’ entitlement to nationality from other applicants, and that the
information was passed by word-of-mouth.
312
The increased number of naturalizations in 2016 is reflected in the
increase in the number of naturalized stateless persons in 2016.
313
309
Council of Europe, Committee of Ministers,
Recommendations No. R (99) 18 of the Committee of Ministers to member States on the
avoidance and reduction of statelessness (Adopted by the Committee of Ministers on 15 September 1999 at the 679
th
meeting of the
Ministers’ Deputies),
available at:
http://www.refworld.org/pdfid/510101e02.pdf.
In 2007, as a consequence of the general election, only one Naturalisation Bill was adopted; consequently, in 2008, three Naturalisation
Bills were adopted, see Eva Ersbøll: On trial in Denmark, in Ricky van Oers, Eva Ersbøll and Dora Kostakopoulou:
Are-definition of
Belonging, Language and Integration Tests in Europe
(2010), p. 140.
As of 28 November 2016 the Nationality Division is part of the Ministry of Immigration and Integration.
The theory was explained during an interview on 29 August 2012 with the Nationality Division.
In 2015, only one naturalization bill was adopted, since the bill presented in Parliament 2015 was annulled due to a parliamentary election
this year; consequently, the following year, three naturalization bills were adopted by Parliament.
310
311
312
313
74
Mapping Statelessness in Denmark
IFU, Alm.del - 2020-21 - Bilag 59: UNHCR og FN's Flygtningeorganisations rapport Mapping Statelessness in Denmark
2312577_0075.png
According to the ministerial report of 2011 on the ‘statelessness case’, stateless children born in Denmark made up
a substantial part of the applicants who had been listed in Naturalization Bills in 2009 due to their fulfilment of all
the requirements in the Naturalization Circular. Stateless children born in Denmark made up between 9 and 16 per
cent of all applicants listed in the two Naturalization Bills in 2009 (121 and 254 children respectively). Likewise, in
the first half of 2010, before the re-establishment of a naturalization practice in accordance with the Conventions,
stateless children born in Denmark made up 10 per cent of all listed applicants (89 stateless children out of 913
applicants).
314
Figure 21 illustrates the number and legal grounds on which stateless persons have been listed in Naturalization
Bills from October 2010 to the end 2016.
315
Figure 21: Stateless persons listed in Naturalization Bills (2010-2016)
Oct
2010
Convention on
the Rights of the
Child
Convention on
the Reduction of
Statelessness
Standard
requirements
Total per bill
121
Apr
2011
48
Nov
2011
79
Apr
2012
37
Oct
2012
19
Apr.
2013
20
Oct.
2013
11
Apr.
2014
27
Oct.
2014
12
2015
2016
Total
492
(38%)
107
(8%)
701
(54%)
1,300
41
77
35
11
36
13
7
1
2
1
0
1
0
21
177
20
79
22
137
22
72
21
47
17
38
27
40
29
57
73
85
346
388
103
180
Source: Information from the Ministry of Immigration and Integration to the DIHR in letters of 29 April 2016 and
14 June 2017, and Naturalization Bills submitted to the Danish Parliament October 2010 – October 2014 (L38
316
,
L192
317
, L11
318
, L163
319
, L42
320
, L211
321
, L53
322
, L179
323
and L45
324
).
The figure indicates that up to 2014, around half (51 per cent) of stateless persons who had been included in Danish
Naturalization Bills since October 2010 were included on the basis of the CRC (358 persons). A relatively smaller
part of stateless persons (14 per cent) were included based on the 1961 Convention (106 persons), while around
a third (34 per cent) has obtained Danish nationality by fulfilling the general requirements applicable to stateless
immigrants applying for naturalization in Denmark (252 persons). In the period from October 2010 to October 2014,
732 stateless persons in total had been listed in Naturalization Bills. Among them, 480 persons had been listed on
the basis one of the two aforementioned Conventions.
However, in 2015, this picture changed with a significant increase of stateless applicants acquiring Danish nationality,
predominantly by fulfilling the standard requirements of naturalization. The fact that many more foreigners
314
See the report, Ministry of Integration, ‘Redegørelse
til statsministeren om Integrationsministeriets behandling af ansøgninger om
indfødsret fra statsløse personer født i Danmark’,
7 March 2011, available at:
https://bit.ly/2X10pGE.
In October 2010, the first Naturalization Bill was submitted to the Danish Parliament comprising a number of stateless applicants who did
not fulfil the general naturalization requirements.
http://www.ft.dk/samling/20101/lovforslag/l38/index.htm.
http://www.ft.dk/samling/20101/lovforslag/L192/index.htm.
http://www.ft.dk/samling/20111/lovforslag/L11/index.htm.
http://www.ft.dk/samling/20111/lovforslag/L163/index.htm.
http://www.ft.dk/samling/20121/lovforslag/l42/index.htm.
http://www.ft.dk/samling/20121/lovforslag/l211/index.htm.
http://www.ft.dk/samling/20131/lovforslag/l53/index.htm.
http://www.ft.dk/samling/20131/lovforslag/l179/index.htm.
http://www.ft.dk/samling/20141/lovforslag/l45/index.htm.
315
316
317
318
319
320
321
322
323
324
UNHCR Representation for the Nordic and Baltic Countries
75
IFU, Alm.del - 2020-21 - Bilag 59: UNHCR og FN's Flygtningeorganisations rapport Mapping Statelessness in Denmark
2312577_0076.png
naturalized in 2016 than the preceding years can explain that also more stateless persons were naturalized that
year.
325
In any case, there has been a decrease in the annual number of stateless persons born in Denmark who have
been naturalized based on the 1961 Convention and the CRC. From statistics, it appears that many (520) Danish
born stateless children are entitled to Danish nationality, but have not naturalized.
326
The higher numbers of
naturalizations of Danish born stateless children and young people in the wake of the so-called “statelessness
case” can be seen against the background of the direct information that Danish born stateless persons received in
individual letters from the authorities in March 2011 about their entitlement to Danish nationality.
327
Since then, no
such direct information has been given.
Some difficulties are experienced with regard to naturalization. Decisions taken by the Parliamentary Naturalization
Committee do not contain reasons in writing, and the right to a review is not generally recognized (no administrative
review and courts may rule on possible human rights violations, but cannot revoke refusals of naturalization).
Moreover, historically, the fee for naturalization of every stateless child (who applies independently) may, especially
in large families, have been an obstacle for naturalization. As of 1 September 2015, however, all children are
exempted from the requirement of paying a fee for naturalization.
The Danish-Palestinian Friendship Association explained in 2012 that even after the “statelessness-case”, some of
the stateless persons who were entitled to Danish nationality were met with a refusal from the police who had not
been sufficiently informed about the new practice on naturalization of Danish stateless persons who do not fulfil
the general requirements. The association established an organization, ‘the Nationality Organization’ (in Danish
‘Statsborgerforeningen’) for stateless persons born in Denmark. The organization advised stateless persons about
their entitlement to Danish nationality. Seventeen stateless persons took legal action against the Danish state and
the then Minister for Integration concerning damages for pain and suffering due to the wrongful refusals of their
applications for Danish nationality. The case against the ministry has been settled by the Eastern High Court that
in a judgement of 21 December 2016 decided that seven of the applicants were entitled to compensation, DKK
20,000 (2667 €) for the wrongdoings.
328
The case against the former Minister for Integration is pending.
4.2.5.2 Other modes
Filial extension of nationality by naturalization is conditioned on the parent(s) having custody over the child, the
child being unmarried and under the age of 18 and residing in Denmark.
329
In addition, if a child is over the age of
15, among others, the normal requirement regarding the lack of a criminal record applies.
330
Some adopted children acquire Danish nationality automatically through adoption. According to Section 2A(1) of
the Nationality Act, as amended in December 2014, this applies to an alien child under 12 years of age adopted
through a Danish adoption order if the child is adopted by a married or cohabiting couple where at least one of
the spouses or the cohabiting partners is a Danish national, or by a single Danish national. The same applies in
cases where the child was adopted by a decision taken abroad which is valid under the Danish Act on Adoption of
Children (Section 2A(3) of the Nationality Act).
331
325
326
327
Due to the parliamentary election in Spring 2015, only one naturalization bill was adopted in 2015, while three bills were adopted in 2016.
Information from Statistic Denmark on the number of stateless children born in Denmark, as of 1 July 2017.
As mentioned in section 2.1.1, in a letter of 3 March 2011, the 378 stateless persons born in Denmark were informed that the 1961
Convention and the CRC, under certain conditions, entitle persons born stateless in Denmark to the nationality of their country of birth.
The letter listed the conditions to be applied in Danish practice and informed about the use of an application form and an application fee.
See about the judgement at
https://bit.ly/305psKC.
Section 6(2) of the Nationality Act, cf. section 5.
See information about this condition that is applied in practice on the website of the Ministry of Immigration and Integration, available at:
https://bit.ly/30WJeam.
See the latest amendment of Section 2A(1), available at:
https://www.retsinformation.dk/forms/r0710.aspx?id=167302.
328
329
330
331
76
Mapping Statelessness in Denmark
IFU, Alm.del - 2020-21 - Bilag 59: UNHCR og FN's Flygtningeorganisations rapport Mapping Statelessness in Denmark
2312577_0077.png
Adopted children over the age of 12 years may acquire Danish nationality by naturalization after two years of
residence before their 18
th
birthday.
332
Other conditions apply, among others the requirement of the lack of a
criminal record.
333
4.3
Conclusions and recommendations
Denmark has taken commendable steps by (re)introducing some of the provisions of the 1961 Convention and
the CRC relating to every child’s right to a nationality and prevention of childhood statelessness in its nationality
legislation. In principle, Denmark has relatively strong standards in place with regard to preventing stateless, but
certain gaps in Danish nationality legislation allow situations where a child might be left stateless for an extended
period of time. Therefore, in order to ensure full compliance with the requirements set out in the 1961 Convention,
and with related provisions in the CRC and ICCPR, it is recommended that Denmark considers introducing automatic
acquisition of nationality at birth for those children who are born stateless in the country.
If Denmark opts to continue to grant its nationality through an application procedure, it is recommended that
stateless children who are born in Denmark and who reside in the country habitually without having a lawful
residence, are allowed to submit their application as soon as possible after birth in order not to be left stateless for
an extended period of time.
In any event, it is recommended that Danish born stateless children and young persons who are entitled to Danish
nationality are informed about the entitlement individually.
Due to the specific Danish naturalization process where nationality is granted by the legislature, there is a lack of
procedural guarantees for applications for nationality to be processed within a reasonable time, to be subject to
appeal or judicial review, and to be reasoned. It is therefore recommended that Denmark assesses to what extent
the existing procedure might be discretionary and whether the right to acquire nationality for those children born
in Denmark who would otherwise be stateless should be incorporated in the Nationality Act in order to ascertain
full compliance with Article 1 of 1961 Convention and relevant international standards.
Moreover, fees should not be charged in case of stateless persons who are entitled to Danish nationality; thus,
the exemption for paying fees ought to also comprise stateless persons born on the territory who have turned 18.
A real, substantial facilitation of naturalization should also be provided for stateless persons not born stateless
in Denmark. Specifically, an exemption from the language and nationality tests could be provided for elderly
stateless persons, who may otherwise be prevented from acquiring Danish nationality like their family members.
In addition, it is recommended that the Nationality Act be amended in such a way that children of parents with
unknown nationality are treated like foundlings and thus considered Danish nationals as long as they have not
been established as nationals of a foreign state.
Finally, it is recommended that the Nationality Act is amended in such a way to include safeguards against
statelessness in case of loss and deprivation of nationality in any form, including when a nationality is considered
never to have been acquired because conditions for the acquisition of nationality are deemed not to have been
met in the first place (‘quasi
loss’).
332
333
According to Section 14 of the Naturalization Circular.
See conditions applying to children who may apply for nationality independently on the website of the Ministry of Immigration and
Integration, available at:
https://bit.ly/2P3gnM8.
UNHCR Representation for the Nordic and Baltic Countries
77
IFU, Alm.del - 2020-21 - Bilag 59: UNHCR og FN's Flygtningeorganisations rapport Mapping Statelessness in Denmark
2312577_0078.png
5
CONCLUDING REMARKS AND
RECOMMENDATIONS
Since 2011, a number of positive changes to Danish aliens and nationality legislation, as well as in administrational
practices, have been adopted. A statelessness registration procedure was introduced in 2011, and the Danish
nationality legislation has been amended in such a way that it now prevents statelessness when it comes to acquisition
of Danish nationality by descent (all children with a Danish parent acquire Danish nationality automatically at birth).
Overall, statelessness as a distinct human rights issue, which has consequences for the individuals concerned, and
for States like Denmark, which are Parties to the 1954 and 1961 Conventions, is generally well perceived among
government authorities, NGOs, and the public at large.
It is also noteworthy that Denmark is a party to most conventions adopted with a view to protect stateless persons
and reduce, and prevent statelessness. Provisions from the CRC and the 1961 Convention have been incorporated
in the Naturalization Circular, and the Nationality Act’s provisions on loss, renunciation and deprivation of Danish
nationality include legal safeguards and protection against statelessness (except in the case of deprivation due to
fraud as well as
quasi-loss
of nationality).
Moreover, the Danish Supreme Court has established that refusals of Danish nationality may be subject to judicial
review in terms of possible human rights violations.
However, certain gaps have been identified, among others with regards to ensuring that stateless persons can
enjoy the rights they are entitled to and that stateless persons born in Denmark do not remain stateless for an
extended period of time, as well as in compiling and maintaining data and statistics on stateless people. Therefore,
in order to facilitate Denmark’s full compliance with its obligations under the 1954 and 1961 Conventions, as well
as other relevant international standards as set in instruments such as the CRC and ICCPR, and to ensure that
stateless persons are able to enjoy the rights to which they are entitled, UNHCR makes the following suggestions
and recommendations with the aim at improving the current legal framework, practice and administrative capacity.
Identification and registration of statelessness
It is recommended that:
Data collection between various government institutions in charge of registering stateless persons is
harmonized
in order to ensure a consistent approach and data covering stateless persons in Denmark.
Further research is undertaken
to provide an updated and full picture of the human face of statelessness in
Denmark, including interviews with stateless persons in Denmark.
Information about the possibility to re-register in the CPR system as a stateless person and to acquire Danish
nationality is made available
in languages that the persons concerned understand.
Flexibility is considered in relation to documentary requirements
imposed on stateless persons.
Determination of stateless persons and the rights attached to the status
It is recommended that:
The statelessness registration procedure is further developed to determine who, within Danish territory,
is stateless, including persons in detention or deportation centres who cannot be expelled (the so-called
“unreturnable”).
The most effective way to ensure Denmark meet its international obligations towards stateless
persons under the 1954 Convention and international human rights law is through the establishment of an
accessible and efficient statelessness determination procedure that identifies stateless persons on Danish
78
Mapping Statelessness in Denmark
IFU, Alm.del - 2020-21 - Bilag 59: UNHCR og FN's Flygtningeorganisations rapport Mapping Statelessness in Denmark
territory, in line with the requirements elaborated in the UNHCR
Handbook on Protection of Stateless Persons
and leads to the status of stateless person. Such a procedure could be established within the Danish Immigration
Service, and build upon existing structures and competencies.
Provisions guaranteeing applicants, as well as persons recognized as stateless, the respective rights to
which they are entitled under the 1954 Convention are introduced in the legislation.
The UNHCR
Handbook
on Protection of Stateless Persons
describes which rights applicants for the statelessness status are entitled to,
and which are reserved for persons determined to be stateless.
A specific residence permit be introduced for persons recognized as stateless
and that these stateless
persons be granted the “lawfully staying” rights guaranteed by the 1954 Convention, as elaborated in the UNHCR
Handbook on Protection of Stateless Persons.
The definition of a stateless person is incorporated in the Aliens Act
in line with Article 1 of the 1954 Convention.
The Aliens Act is amended in such a way that a person’s statelessness may give rise to an exemption
from the
requirement that a person is not able to return to another country during 18 months before qualifying for a right
of residence under Section 9(c)(2) of the Aliens Act.
Consideration will be given in cases of family reunification for stateless persons
on whether the current
guidelines are sufficient to ensure a careful assessment of the parties’ possibilities to enjoy a family life in another
country in cases where the family life may be pursued in the other country, however under living conditions that
are not of an appropriate standard.
Denmark withdraws its reservations to the 1954 Convention.
Prevention and reduction of statelessness
It is recommended that:
The rights to acquire Danish nationality by children and young persons born on the territory who would
otherwise be stateless are incorporated in the Nationality Act
(and not limited to the Naturalization Circular). In
this regard, it is also recommended to examine whether the current naturalization procedure is discretionary and
thereby incompliant with the requirements under Article 1 of the 1961 Convention.
A more inclusive approach is adopted to the implementation of the provisions of Articles 3 and 7 of the CRC
and Article 1 of the 1961 Convention
allowing children who are born stateless in Denmark to acquire Danish
nationality at birth automatically,
ex lege.
Pursuant to Article 1(1)(a) of the 1961 Convention, and Articles 7 and 3 of
the CRC, UNHCR recommends states to grant children born on the territory who would otherwise be stateless
citizenship automatically at birth.
If Denmark opts to continue to grant its nationality through an application procedure,
stateless children who
are born in Denmark and who reside in the country habitually without having a lawful residence, are allowed to
submit their application as soon as possible after birth in order not to be left stateless for an extended period of
time.
Danish born stateless children and young stateless persons who are entitled to Danish nationality should
be informed
about the entitlement individually, and that the provision in the Naturalization Circular on the
application procedure for Danish born stateless children is amended in such a way that the present condition of
‘lawful residence’ in Denmark is replaced by the condition of ‘habitual residence’, as allowed under Article 1(2) of
the 1961 Convention, and as per UNHCR’s
Guidelines on Statelessness No. 4.
The concept of habitual residence is further defined in Danish legislation
in order to ensure consistent
application and interpretation of the concept.
Fees are not charged in the case of stateless persons entitled to Danish nationality;
thus, the exemption for
paying fees should also comprise Danish born stateless persons who have turned 18.
UNHCR Representation for the Nordic and Baltic Countries
79
IFU, Alm.del - 2020-21 - Bilag 59: UNHCR og FN's Flygtningeorganisations rapport Mapping Statelessness in Denmark
A real, substantial facilitation of naturalization is provided for stateless persons born outside the territory of
Denmark.
Specifically, it is recommended that an exemption from the language and nationality tests be provided
for elderly stateless persons, who may otherwise be prevented from acquiring Danish nationality like their family
members.
The Nationality Act is amended in such a way that children of parents with unknown nationality are treated
like foundlings
and thus considered Danish nationals as long as they have not been established as nationals of
a foreign state.
The Nationality Act is amended to include safeguards against statelessness in case of loss and deprivation
of nationality
in any form, including when a nationality is considered never to have been acquired because
conditions for the acquisition of nationality are deemed not to have been met in the first place.
80
Mapping Statelessness in Denmark
IFU, Alm.del - 2020-21 - Bilag 59: UNHCR og FN's Flygtningeorganisations rapport Mapping Statelessness in Denmark IFU, Alm.del - 2020-21 - Bilag 59: UNHCR og FN's Flygtningeorganisations rapport Mapping Statelessness in Denmark
2312577_0082.png
STATELESSNESS