Europaudvalget 2020-21
EUU Alm.del Bilag 494
Offentligt
2383311_0001.png
Danmarks
Konvergensprogram
2021
Finansministeriet
april 2021
EUU, Alm.del - 2020-21 - Bilag 494: Danmarks konvergensprogram 2021 EUU, Alm.del - 2020-21 - Bilag 494: Danmarks konvergensprogram 2021
Danmarks
Konvergensprogram
2021
april 2021
EUU, Alm.del - 2020-21 - Bilag 494: Danmarks konvergensprogram 2021 EUU, Alm.del - 2020-21 - Bilag 494: Danmarks konvergensprogram 2021
Indhold
1.
Udfordringer og målsætninger for den økonomiske politik ..............................................
1.1 Økonomien frem mod 2025 .....................................................................................
1.2 Målsætninger for den økonomiske politik ................................................................
1.3 Opdateret fremskrivning af finanspolitisk råderum ..................................................
Bilag 1.1 Nye centrale oplysninger og forudsætninger i forløbet.....................................
De økonomiske udsigter ..................................................................................................
2.1 Konjunktursituationen og de økonomiske udsigter for 2021 og 2022 .....................
2.2 Forudsætninger om international økonomi og finansielle forhold ...........................
2.3 Mellemfristede udsigter for vækst og beskæftigelse ...............................................
2.4 Boligpriser ................................................................................................................
2.5 Betalingsbalancen ...................................................................................................
Bilag 2.1 Nøgletal for dansk økonomi 2019-2025 ...........................................................
Offentlig saldo og gæld frem til 2025 ...............................................................................
3.1 Den faktiske offentlige saldo ...................................................................................
3.2 Strukturel saldo ........................................................................................................
3.3 Finanspolitikkens aktivitetsvirkning .........................................................................
3.4 Finanspolitisk råderum ............................................................................................
3.5 Offentligt forbrug, offentlige investeringer og ramme til håndtering af COVID-19 ..
3.6 Udgifter og indtægter som andele af BNP...............................................................
3.7 Den offentlige gæld..................................................................................................
Bilag 3.1 Beregning af strukturel saldo i 2020-2022 .......................................................
Bilag 3.2 Engangsforhold i 2020-2022 ............................................................................
Bilag 3.3 Reservation i det finanspolitiske råderum ........................................................
Følsomhedsanalyser og sammenligning med DK2025, august 2020 .............................
4.1 Følsomhedsanalyser ...............................................................................................
4.2 Sammenligning med DK2025 – en grøn, retfærdig og ansvarlig genopretning
af dansk økonomi, august 2020 ..............................................................................
Perioden efter 2025 og langsigtet holdbarhed ................................................................
5.1 Udviklingen efter 2025 .............................................................................................
5.2 Betydning af levetidsindeksering af pensionsaldre .................................................
5.3 Udgangspunktet for de langsigtede fremskrivninger – centrale forudsætninger
og fremskrivningsprincipper.....................................................................................
Bilag 5.1 Udvikling i strukturel saldo og gæld sammenlignet med den seneste
fremskrivning fra august 2020 ..........................................................................
Offentlige finanser og institutionelle rammer ...................................................................
6.1 Institutionelle rammer ..............................................................................................
6.2 Fleksibilitet i institutionelle rammer i lyset af COVID-19..........................................
5
5
14
15
17
19
19
22
25
27
28
30
33
33
37
40
42
46
49
54
55
57
58
61
61
64
67
67
70
72
74
77
77
78
83
2.
3.
4.
5.
6.
Bilagstabeller i henhold til EU’s ”Code of Conduct” ................................................................
EUU, Alm.del - 2020-21 - Bilag 494: Danmarks konvergensprogram 2021
2383311_0006.png
Kapitel 1
Udfordringer og målsætninger for den økonomiske politik
4
Danmarks Konvergensprogram 2021
April 2021
EUU, Alm.del - 2020-21 - Bilag 494: Danmarks konvergensprogram 2021
2383311_0007.png
1. Udfordringer og målsætninger
for den økonomiske politik
1.1 Økonomien frem mod 2025
I kølvandet på coronapandemien er der gennemført en markant økonomisk-politisk indsats for at un-
derstøtte økonomien bedst muligt. De finanspolitiske tiltag omfatter både hjælpepakker og stimuli-til-
tag, og samlet set skønnes den økonomiske politik at holde hånden under ca. 85.000 jobs i 2021 og
40.000 jobs i 2022. Den finanspolitiske indsats bidrager således markant til at dæmpe tilbageslaget.
Samtidig er genåbningen af dansk økonomi nu undervejs efter vinterens smittebølge og nedlukninger.
Det har ført til stigende aktivitet, der ifølge højfrekvente indikatorer blandt andet afspejles i et stigende
privatforbrug og en faldende ledighed. Den fornyede fremgang i økonomien betyder, at BNP ventes at
vokse med godt 2 pct. i år og op mod 4 pct. i 2022,
jf. figur 1.1.
En vækst på op mod 4 pct. i 2022 vil
være den højeste BNP-vækst i Danmark i 15 år.
Der er således udsigt til en markant fremgang i aktiviteten i dansk økonomi efter faldet på 2¾ pct. i
2020, hvor coronakrisen ramte. Med de aktuelle udsigter ventes BNP i 2022 at overstige niveauet i
2019 – dvs. niveauet før pandemien ramte,
jf. figur 1.2,
og konjunkturerne i dansk økonomi skønnes
grundlæggende omtrent normale i 2022.
Figur 1.1
Vækst i BNP, 2000-2025
Pct.
6
4
2
0
-2
-4
-6
00 02 04 06 08 10 12 14 16 18 20 22 24
Pct.
6
4
2
0
Figur 1.2
Niveau for faktisk og strukturel BNP, 2000-2025
Indeks (2019=100)
110
105
100
95
90
-2
Indeks (2019=100)
110
105
100
95
90
85
80
75
85
-4
-6
80
75
00 02 04 06 08 10 12 14 16 18 20 22 24
Faktisk BNP
Strukturelt BNP
Kilde: Danmarks Statistik og egne beregninger.
Vinterens nedlukninger for at håndtere smitteudviklingen og danskernes ændrede adfærd mv. har ført
til et midlertidigt fald i aktiviteten, men ikke i samme størrelsesorden som i forbindelse med nedluknin-
gen sidste forår, trods en længerevarende og på nogle stræk mere omfattende nedlukning. Det skal
Danmarks Konvergensprogram 2021
April 2021
5
EUU, Alm.del - 2020-21 - Bilag 494: Danmarks konvergensprogram 2021
2383311_0008.png
Kapitel 1
Udfordringer og målsætninger for den økonomiske politik
blandt andet ses i sammenhæng med, at husholdninger og erhverv har omstillet sig til online handel,
erfaringerne med hjælpepakker samt en forventning om, at økonomien hurtigt kan rette sig igen.
Muligheden for hurtig fremgang i økonomien skal ses i lyset af, at finanspolitikken har holdt hånden
under virksomheder og jobs med hjælpepakker, likviditetstiltag og stimuli gennem sundhedskrisen.
Samtidig har tilbagegangen i aktiviteten efter coronakrisen ikke været et gængs konjunkturtilbageslag,
hvor forventninger forbliver afdæmpede i en længere periode. Aktivitetsnedgangen skyldes snarere
mere forsigtige forbrugere under pandemien samt de restriktioner, der har været nødvendige for at
holde smitteudviklingen under kontrol.
Det gode underliggende ståsted for dansk økonomi giver mulighed for, at økonomien hurtigt kan rette
sig igen i takt med, at restriktionerne kan udfases. Hertil kommer tegn på stigende optimisme i den
globale økonomi, herunder også i takt med at vaccinerne har givet fornyet håb. De internationale or-
ganisationer forventer nu, at den globale økonomi i år kan få den største vækst siden 1973.
Selvom coronakrisen stadig har sit tag i dansk økonomi, så viser erfaringerne fra 2020, at der er po-
tentiale for en hurtig fremgang i aktiviteten. I forlængelse af pandemiens udbrud i foråret og heraf føl-
gende nedlukninger var faldet i BNP i 2. kvartal 2020 på 7,9 pct. i forhold til 4. kvartal 2019, men det
blev hurtigt reduceret til blot 1,5 pct. i 4. kvartal.
Forløbet efter et historisk dyk i BNP i foråret 2020 tegner samlet set til at blive langt bedre end efter
finanskrisen, hvor udviklingen forblev svag i en årrække som følge af et behov for konsolidering og
genopretning af ubalancer efter overophedningen i årene, før finanskrisen ramte.
Tilbageslaget i dansk økonomi i 2020 var endvidere i den milde ende i sammenligning med en lang
række andre europæiske lande. Således faldt BNP i eksempelvis Spanien med mere end 10 pct. i
2020, og også mange andre sydeuropæiske lande oplevede voldsomme tilbageslag. Også i Storbri-
tannien faldt BNP med næsten 10 pct. Omvendt klarede de øvrige nordiske lande sig – ligesom Dan-
mark – relativt godt i en international sammenligning, herunder EU som helhed og USA,
jf. figur 1.3.
Figur 1.3
Vækst i BNP i Danmark, europæiske lande, EU og USA, 2020
Pct.
6
4
2
0
-2
-4
-6
-8
-10
-12
BGR
GRC
ROU
POL
ISL
FIN
NOR
MKD
DEU
KOS
NLD
SWE
USA
CYP
PRT
AUT
MLT
EST
LUX
LTU
ITA
EU
UK
BEL
DK
SVN
HUN
FRA
ESP
CZE
HRV
SVK
LVA
CHE
IRL
Pct.
6
4
2
0
-2
-4
-6
-8
-10
-12
Anm.: For Norge er vist væksten i fastlandsøkonomien, mens BNP for Norge som helhed faldt med 0,8 pct. i 2020.
Kilde: Macrobond og Eurostat.
6
Danmarks Konvergensprogram 2021
April 2021
EUU, Alm.del - 2020-21 - Bilag 494: Danmarks konvergensprogram 2021
2383311_0009.png
Kapitel 1
Udfordringer og målsætninger for den økonomiske politik
Smitteudviklingen har haft stor betydning for aftrykket på økonomierne. Således ses en generel ten-
dens til, at lande med større overdødelighed under pandemien også har haft større nedgang i BNP,
jf.
figur 1.4.
Det peger blandt andet på, at tiltag, der i tide begrænser de sundhedsmæssige konsekven-
ser af pandemien, også kan bidrage til at mindske de økonomiske konsekvenser af coronakrisen.
Figur 1.4
Overdødelighed og BNP-vækst i 2020
Figur 1.5
Udvikling i beskæftigede i Danmark og i
nærliggende lande, 2020
Pct.
0,0
Pct.
0,0
BNP-vækst i 2020
-2
NOR
-4
DEU
DK
FIN
SWE
NLD
BNP-vækst i 2020
-2
USA
-4
-0,4
-0,4
-6
BEL
AUT
-6
-0,8
-0,7
-1,1
-1,3
-1,3
-0,8
-8
FRA
ITA
GBR
ESP
-8
-1,2
-1,2
-10
-10
-1,6
-1,5
-1,6
-12
-50
0
50
100
150
Overdødelighed pr. 100.000 indbyggere i 2020
200
-12
-2,0
Danmark
Finland
Norge
Sverige
Tyskland
-2,0
Anm.: I figur 1.4 angiver overdødeligheden, hvor meget antallet af døde per 100.000 i 2020 afveg fra gennemsnittet fra
årene 2015-2019. Der er ikke taget højde for forskelle i trendmæssig vækst. For Norge er vist væksten i
fastlandsøkonomien. I figur 1.5 er Norge den samlede økonomi.
Kilde: Macrobond, Eurostat, Ourworldindata.org og egne beregninger.
Selvom nedgangen i dansk BNP var på linje med de andre nordiske lande, så har nedgangen på ar-
bejdsmarkedet målt ved det opgjorte antal beskæftigede været relativt mindre herhjemme. I Danmark
faldt beskæftigelsen 0,7 pct. i 2020, mens nedgangen i beskæftigelsen blandt nabolande har været
lidt større,
jf. figur 1.5.
Forskellige arbejdsmarkedsordninger på tværs af landene betyder, at en di-
rekte sammenligning skal tages med forbehold (navnlig i forhold til Norge, hvor permitterede ledige
ikke tæller som beskæftigede i modsætning til fx lønkompensationsordningen i Danmark).
Markant finanspolitisk indsats
Siden coronakrisen ramte er der tilrettelagt en ekspansiv finanspolitik med både omfattende midlerti-
dige hjælpepakker i de perioder, hvor Danmark har været lukket ned, og en lang række stimulerende
tiltag, der understøtter den økonomiske aktivitet. Med de midlertidige hjælpepakker og stimuli-tilta-
gene er der samlet set tale om en historisk stor finanspolitisk indsats, der samtidig understøtter
grundlaget for en hurtig genstart af dansk økonomi,
jf. boks 1.1.
Senest har regeringen – i lyset af, at COVID-19, vinterens restriktioner og en række afledte tiltag
medfører et stort træk i 2021 på den midlertidige udgiftsramme til håndtering af COVID-19 mv. (også
kaldet 'krigskassen') – besluttet at udvide den midlertidige ramme ved at lempe finanspolitikken med
0,1 pct. af BNP i 2021. Det øger isoleret set rammen med 2,4 mia. kr. i 2021. Lempelsen skal ses i
lyset af, at den strukturelle saldo i 2021 blev skønnet forbedret med 0,1 pct. af BNP i
Økonomisk Re-
Danmarks Konvergensprogram 2021
April 2021
7
EUU, Alm.del - 2020-21 - Bilag 494: Danmarks konvergensprogram 2021
2383311_0010.png
Kapitel 1
Udfordringer og målsætninger for den økonomiske politik
degørelse,
december 2020. Lempelsen er derfor i tråd med den planlagte finanspolitik på finanslov-
forslaget for 2021, hvor udgifts- og finanspolitikken blev planlagt helt til budgetlovens underskuds-
grænse på 0,5 pct. af BNP.
Boks 1.1
Historisk stor finanspolitisk indsats i lyset af COVID-19 understøtter en hurtig genstart
Danmark har siden coronapandemiens begyndelse i marts 2020 gennemført en historisk stor finanspolitisk indsats.
De mange tiltag er afgørende for, at virksomhederne og arbejdsmarkedet er klar til fornyet økonomisk fremgang og
dermed en hurtig genstart af aktiviteten i dansk økonomi. Desuden rækker en lang række af de gennemførte aftaler
også frem i tid, således at der investeres i fremtiden samtidig med, at den økonomiske aktivitet genoprettes. Samlet
set indebærer de indgåede genopretningsaftaler og stimuli-tiltag, at der aktiveres ca. 135 mia. kr. i 2020-2022 til at
understøtte den økonomiske aktivitet. De mange aftaler og tiltag omfatter blandt andet:
Aftaler og tiltag besluttet i foråret og sommeren 2020:
Grøn boligaftale 2020: Landsbyggefondens rammer 2021-2026 og fremrykket indsats i 2020 (maj 2020)
Suspendering af kommuner og regioners anlægslofter for 2020 (marts 2020)
Økonomiaftaler med kommuner og regioner for 2021 med markant løft af anlægslofter for 2021 (maj 2020)
Trepartsaftale om ekstraordinær hjælp til elever og lærlinge samt virksomheder (maj 2020)
Klimaaftale for energi og industri mv. 2020 (juni 2020)
Aftale om styrket opkvalificering og Aftale om ekstraordinært løft af ledige (juni 2020)
Aftale om udfasning af hjælpepakker, stimuli-initiativer og eksportinitiativer (juni 2020)
Aftaler om en grøn genstart af Danmark indgået i december 2020:
Aftale om udbetaling af resterende to ugers indefrosne feriemidler, eksportpakke og reserve til forlængelse af
hjælpepakker
Aftale om grøn omstilling af vejtransporten
Aftale om finansloven for 2021
Aftale om stimuli og grøn genopretning
Aftale om grøn skattereform
Hertil kommer virkningen af de ekstraordinære kompensationsordninger, som bidrager til at holde hånden under
virksomheder og arbejdspladser. I alt er der udbetalt over 35 mia. kr. i kompensation fra de store kompensationsord-
ninger, og samlet set har over 300.000 lønmodtagere været hjemsendt med lønkompensation i perioder. Endeligt er
der indført en række garanti- og låneordninger, udskydelser af betalingsfrister og øvrige foranstaltninger, der bredt
sigter på at øge likviditeten i erhvervslivet mv.
Samlet set understøtter finanspolitikken den økonomiske aktivitet markant i 2020-2022, og finanspoli-
tikken skønnes at holde hånden under ca. 55.000 jobs i 2020, ca. 85.000 jobs i 2021 og ca. 40.000
jobs i 2022,
jf. figur 1.6.
Heri indgår, at hjemsendte med lønkompensation i løbet af 2020 og 2021 tæl-
les som beskæftigede.
Den igangværende genåbning af økonomien og det gode grundlag for en hurtig fremgang i aktiviteten
i samspil med den allerede gennemførte finanspolitiske indsats indebærer således også, at finanspo-
litikken overordnet er afstemt med konjunktursituationen, og der er udsigt til at konjunkturerne kan
være omtrent neutrale i 2022. I forhold til finanspolitikken er der dog specifikke dele af dansk øko-
nomi, der må forventes at være påvirket af krisen i længere tid end den brede økonomi.
8
Danmarks Konvergensprogram 2021
April 2021
EUU, Alm.del - 2020-21 - Bilag 494: Danmarks konvergensprogram 2021
2383311_0011.png
Kapitel 1
Udfordringer og målsætninger for den økonomiske politik
Figur 1.6
Ekspansiv finanspolitik understøtter beskæftigelsen markant i 2020-2022
1.000 personer
90
80
70
60
50
40
30
20
10
0
2020
2021
2022
1.000 personer
90
80
70
60
50
40
30
20
10
0
Anm.: Aktivitetsvirkningerne er beregnet som finanspolitikkens flerårige efterspørgselsvirkning på beskæftigelsen ekskl.
virkningen af strukturreformer på kapacitetspresset.
Kilde: Danmarks Statistik og egne beregninger.
Den brede og markante finanspolitiske indsats, der allerede er besluttet, omfatter blandt andet en
række initiativer finansieret af Danmarks forventede hjemtag af midler fra EU’s genopretningsfacilitet
(”genopretningsfonden”) på ca. 11�½ mia. kr. over perioden 2021-2025. Danmarks genopretningsplan
– der udgør grundlaget for Danmarks adgang til midler fra EU's genopretningsfacilitet – er blandt an-
det med til at finansiere aftalerne om en grøn genstart af Danmark indgået i forbindelse med
Aftale
om finanslov for 2021.
Initiativerne i Danmarks genopretningsplan skal på den korte bane stimulere økonomien og holde
hånden under danske arbejdspladser og virksomheder. På den lidt længere bane er et centralt ele-
ment i genopretningsplanen at understøtte både den grønne og digitale omstilling, herunder målsæt-
ningen om at nedbringe drivhusgasudledningen i Danmark med 70 pct. i 2030. Den danske genopret-
ningsplan skal vurderes og godkendes af EU.
Den danske krisepolitik har således ikke kun haft fokus på det korte sigte – dvs. at få Danmark godt
igennem krisen. Krisepolitikken er også brugt aktivt til at investere i fremtiden og den langsigtede ud-
vikling af Danmark. Med de politiske aftaler, der er indgået siden coronakrisens begyndelse, er der
investeret målrettet i tiltag, som skal få Danmark stærkere ud af krisen, herunder investeringer i grøn
omstilling, et forhøjet fradrag til virksomhederne for forskning og udvikling, digitalisering, renovering af
infrastruktur og en massiv opkvalificeringsindsats af lønmodtagerne.
Hertil kommer, at det i forbindelse med den opdaterede 2025-ramme præsenteret i august 2020 blev
besluttet at prioritere ca. 15 mia. kr. mere til offentlige investeringer i 2021-2025,
jf. DK2025 – en
grøn, retfærdig og ansvarlig genopretning af dansk økonomi.
Løftet af de offentlige investeringer ud-
gør blandt andet en del af grundlaget for regeringens udspil til en ny infrastrukturplan
Danmark
Fremad – Infrastrukturplan 2035,
april 2021.
Danmarks Konvergensprogram 2021
April 2021
9
EUU, Alm.del - 2020-21 - Bilag 494: Danmarks konvergensprogram 2021
2383311_0012.png
Kapitel 1
Udfordringer og målsætninger for den økonomiske politik
Regeringens fokus på investeringer i fremtiden skal også ses i sammenhæng med, at regeringen, si-
den den tiltrådte i sommeren 2019, har indgået en række grønne aftaler, klimaaftaler mv. Aftalerne
bidrager samlet set til at bringe Danmark tættere på målsætningen om at reducere drivhusgasudled-
ningerne med 70 pct. i 2030,
jf. boks 1.2.
Boks 1.2
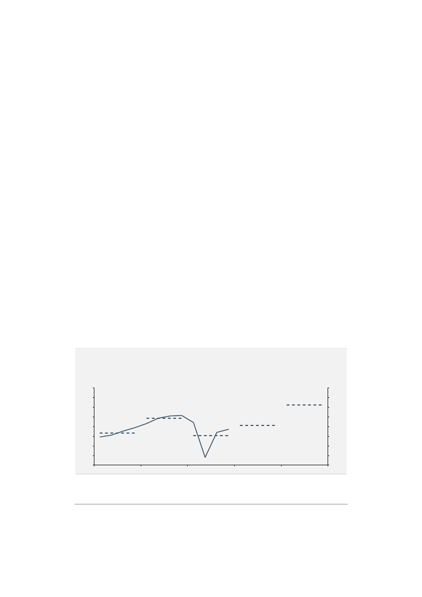
Klimamål og udledning af drivhusgasser
Med klimaloven er der fastsat et bindende mål om at reducere udledningen af drivhusgasser med 70 pct. i 2030 i
forhold til niveauet i 1990. Ifølge Energistyrelsens nyeste
Klimastatus- og -fremskrivning 2021,
april 2021 er
Danmarks udledning af drivhusgasser fra 1990 og frem til 2020 reduceret med over 40 pct.,
jf. figur a.
I samme
periode er BNP vokset med ca. 40 pct. Energistyrelsen vurderer på nuværende tidspunkt, at Danmark i 2030 vil
have reduceret sine udledninger med ca. 55 pct. i forhold til niveauet i 1990.
Med afsæt i den nye klimafremskrivning skønnes mankoen mod indfrielsen af målet om en reduktion på 70 pct. i
2030 reduceret til ca. 12 mio. tons CO
2
e. Til sammenligning blev mankoen i Energistyrelsens
Basisfremskrivning
2020
fra juni 2020 skønnet til ca. 20 mio. tons CO
2
e. Den nye klimafremskrivning indregner blandt andet effekten på
drivhusgasudledningerne af
Klimaaftale for energi og industri mv.
(juni 2020),
Klimaplan for en grøn affaldssektor og
cirkulær økonomi
(juni 2020),
Aftale om grøn omstilling af vejtransporten
(december 2020),
Aftale om stimuli og
grøn genopretning
(december 2020),
Aftale om grøn skattereform
(december 2020). Hertil kommer også en række
tekniske datakorrektioner mv.
Samlet set skønnes det, at der, siden regeringen trådte til, er truffet beslutninger, som samlet set reducerer udled-
ningerne i 2030 med ca. 7 mio. tons CO
2
e (inkl. beslutning om kuludfasning på Fynsværket).
Figur a
Udledning af drivhusgasser og strukturel BNP
Indeks (1990=100)
140
120
100
80
60
40
20
0
90 91 92 93 94 95 96 97 98 99 00 01 02 03 04 05 06 07 08 09 10 11 12 13 14 15 16 17 18 19 20 21 22 23 24 25 26 27 28 29 30
Basisfremskrivning 2020
Klimafremskrivning 2021
70 pct. målsætning
Strukturelt BNP (h. akse)
70 pct. målsætning
Indeks (2020=100)
140
120
100
80
60
40
20
0
Anm.: Den opdaterede mellemfristede fremskrivning i
Danmarks Konvergensprogram 2021
tager afsæt i Energistyrelsens
Basisfremskrivning 2020,
juni 2020. Udledningen af drivhusgasser er opgjort efter IPCCs metode inkl. LULUCF.
Udledningen af drivhusgasser i 2019-2030 i
Basisfremskrivning 2020
er fremskrevet ved at interpolere mellem den
skønnede drivhusgasudledning i 2018, 2025 og 2030.
Kilde: Energistyrelsen, Danmarks Statistik og egne beregninger.
10
Danmarks Konvergensprogram 2021
April 2021
EUU, Alm.del - 2020-21 - Bilag 494: Danmarks konvergensprogram 2021
2383311_0013.png
Kapitel 1
Udfordringer og målsætninger for den økonomiske politik
Stigende beskæftigelse og sunde offentlige finanser
Den ventede fremgang i dansk økonomi afspejles også i en forventning om stigende beskæftigelse,
som i 2022 ventes at overstige niveauet umiddelbart før krisen,
jf. figur 1.7.
Gennemførte tiltag, her-
under lønkompensationsordningen, har under coronakrisen været med til at fastholde personer i be-
skæftigelse og holde hånden under arbejdsmarkedet. Sammen med gode underliggende strukturer
og et velfungerende arbejdsmarked har det bidraget til at mindske omkostningerne ved krisen i Dan-
mark i form af færre jobtab mv.
Frem mod 2025 er der udsigt til en stor beskæftigelsesfremgang – også inklusiv virkningen
Aftale om
ny ret til tidlig pension
fra oktober 2020. Samlet set ventes den strukturelle beskæftigelse således at
kunne stige med i gennemsnit ca. 12-13.000 personer om året i 2021-2025.
Den faktiske ledighed er steget i kølvandet på coronapandemien og også den strukturelle ledighed
estimeres til at stige i 2020-2021, hvilket vurderes at være afledt af en mindre smidig jobmatching på
arbejdsmarkedet på grund af de omstillingsbehov, som pandemien har ført med sig. Det forudsættes,
at stigningen i den strukturelle ledighed er midlertidig, således at den strukturelle ledighed igen er fal-
dende frem mod 2025,
jf. figur 1.8.
Samtidig er stigningen i den faktiske ledighed markant mindre end
i kølvandet på finanskrisen.
Figur 1.7
Udsigt til stigning i både faktisk og strukturel
beskæftigelse frem mod 2025
1.000 personer
3.000
1.000 personer
3.000
Figur 1.8
Faktisk og strukturel bruttoledighed er påvirket
af coronapandemien
1.000 personer
250
1.000 personer
250
2.900
2.900
200
200
2.800
2.800
150
150
2.700
2.700
100
100
2.600
2.600
50
50
2.500
2.500
00 02 04 06 08 10 12 14 16 18 20 22 24
Faktisk beskæftigelse
Strukturel beskæftigelse
0
00 02 04 06 08 10 12 14 16 18 20 22 24
Faktisk ledighed
Strukturel ledighed
0
Anm.: Beskæftigelsen er opgjort ekskl. orlovspersoner.
Kilde: Danmarks Statistik og egne beregninger.
Udsigterne for de offentlige finanser er fortsat gode og sunde i Danmark. Der er ikke – som det var
tilfældet efter finanskrisen – behov for at konsolidere og genoprette de offentlige finanser via nye initi-
ativer. Det skal ses i lyset af, at de gennemførte lempelser er midlertidige. Hjælpepakkerne og øvrige
corona-relaterede engangsudgifter er midlertidige, ligesom lempelsen af finanspolitikken i de kom-
mende år, der blev besluttet i forbindelse med den opdaterede 2025-ramme i
DK2025,
august 2020,
er midlertidig, herunder i kraft af rammen til håndtering af COVID-19 og stimuli (’krigskassen’), der
rækker frem til 2024. Målet om strukturel balance i 2025 gælder således fortsat,
jf. figur 1.9.
Danmarks Konvergensprogram 2021
April 2021
11
EUU, Alm.del - 2020-21 - Bilag 494: Danmarks konvergensprogram 2021
2383311_0014.png
Kapitel 1
Udfordringer og målsætninger for den økonomiske politik
Det giver plads til at føre en ekspansiv finanspolitik i de kommende år, der understøtter den økonomi-
ske aktivitet, samtidig med, at alle varige tiltag er finansieret inden for ansvarlige finanspolitiske ram-
mer. På den baggrund er det ikke nødvendigt at stramme finanspolitikken i forhold til det planlagte for
at opnå målet om strukturel balance i 2025.
I den opdaterede mellemfristede fremskrivning i konvergensprogrammet for 2021 svarer profilen for
den strukturelle saldo frem mod 2025 til profilen i seneste vurdering i
DK2025,
august 2020. Indeholdt
i de opdaterede skøn for den strukturelle saldo i 2023-2025 er der en underliggende forbedring af de
offentlige finanser svarende til ca. 0,1 pct. af BNP årligt i forhold til fremskrivningen fra august, hvilket
særligt skal ses i sammenhæng med højere skønnede strukturelle nettorenteindtægter. Den underlig-
gende forbedring prioriteres til en udvidelse af den midlertidige ramme til håndtering af COVID-19 mv.
('krigskassen') i 2023-2024, et løft af rammen til offentlige investeringer i 2024-2025 og en forøgelse
af det finanspolitiske råderum inden for målet om strukturel balance i 2025.
Figur 1.9
Strukturel saldo – lempelse i 2021-2024 og
fastholdt mål om balance i 2025
Pct. af BNP
0,6
0,4
0,2
0,0
-0,2
-0,4
-0,6
2021
2022
2023
2024
2025
Før lempelse i opdateret 2025-ramme (august 2020)
Danmarks Konvergensprogram 2021
Finanspolitisk
lempelse i
2021-2024
Fastholdt mål
om strukturel
balance i 2025
Figur 1.10
Offentlig saldo i Danmark, europæiske lande,
EU og USA, 2020 og 2021
Pct. af BNP
0
Pct. af BNP
0
Pct. af BNP
0,6
0,4
0,2
-4
-4
-8
-8
0,0
-12
-12
-0,2
-0,4
-0,6
-16
-16
-20
-20
Anm.: I figur 1.9 er profilen for den strukturelle saldo før den finanspolitiske lempelse i forbindelse med den opdate-
rede 2025-ramme i
DK2025,
august 2020 baseret på
Økonomisk Redegørelse,
maj 2020 og
Opdateret 2025-forløb,
ok-
tober 2019. I figur 1.10 er skøn for Danmark baseret på indeværende vurdering, mens skøn for udlandet er base-
ret på seneste prognose fra IMF. Den faktiske saldo i 2020 for Danmark er påvirket af en række betydelige en-
gangsudgifter relateret til håndteringen af COVID-19 samt engangsindtægter for personskatter i forbindelse med
udbetalingen af indefrosne feriemidler.
Kilde: Danmarks Statistik, IMF World Economic Outlook, april 2021, og
Økonomisk Redegørelse,
maj 2020 og
Opdateret
2025-forløb,
oktober 2019 samt egne beregninger.
Ifølge foreløbige nationalregnskabstal er underskuddet på den faktiske offentlige saldo i 2020 opgjort
til godt 1 pct. af BNP. Det er betydeligt lavere end skønnet i
Økonomisk Redegørelse,
december
2020, hvor der blev skønnet et underskud på ca. 3�½ pct. af BNP i 2020. Det lavere opgjorte under-
skud drives især af større indtægter fra pensionsafkastskat og mindre realiserede udgifter end tidli-
gere lagt til grund til offentlige subsidier, herunder hjælpepakker, og offentlige forbrugsudgifter i regn-
skabstallene end skønnet i konjunkturvurderingen i december. Det foreløbigt opgjorte underskud i
Danmark i 2020 på den faktiske offentlige saldo i 2020 er samtidig lavt sammenlignet med andre
lande,
jf. figur 1.10.
I henhold til IMFs seneste prognose forventes en række andre lande således at
12
Danmarks Konvergensprogram 2021
April 2021
DK
CHE
SWE
DEU
FIN
IRL
NLD
PRT
NOR
EU
ITA
AUT
GRC
FRA
BEL
ESP
UK
USA
2020
2021
EUU, Alm.del - 2020-21 - Bilag 494: Danmarks konvergensprogram 2021
2383311_0015.png
Kapitel 1
Udfordringer og målsætninger for den økonomiske politik
have markant større underskud på den faktiske offentlige saldo i 2020, herunder peger prognosen på
et underskud i 2020 i USA på knap 16 pct. af BNP og for EU som helhed på godt 8 pct. af BNP.
Den offentlige ØMU-gæld er øget som følge af coronakrisen, herunder afledt af omfattende statslige
likviditetsordninger for erhvervslivet under krisen. Den danske ØMU-gæld er imidlertid fortsat væsent-
ligt under grænsen i Stabilitets- og Vækstpagten på 60 pct. af BNP, og ØMU-gælden er fortsat lav i
både internationalt og historisk perspektiv,
jf. figur 1.11 og 1.12.
Danmark har samtidig fortsat den hø-
jeste internationale kreditvurdering (AAA-rating).
Inden coronakrisen havde Danmark i 2019 en offentlig nettoformue – svarende til, at nettogælden var
negativ. Den offentlige nettogæld er det centrale gældsbegreb i vurderingen af finanspolitikkens lang-
sigtede holdbarhed. Et sundt udgangspunkt er generelt en vigtig forudsætning for, at lande kan rea-
gere tilstrækkeligt og håndtere økonomiske kriser uden en betydelig regning eller risiko for stigende
renter. Trods coronakrisen og de gennemførte tiltag i kølvandet på coronakrisen skønnes Danmark
også at have en offentlig nettoformue ved udgangen af 2025,
jf. figur 1.11.
Udviklingen skal blandt
andet ses i sammenhæng med, at nettoformuen steg i 2020 – trods en øget bruttogæld. Stigningen i
nettoformuen i 2020 afspejler primært kursændringer på de offentlige aktiver og passiver, særligt
kursstigninger på statens aktiebeholdning i Ørsted A/S.
Figur 1.11
Moderat udvikling i den offentlige gæld og
bred afstand til EUs grænse for ØMU-gælden
Pct. af BNP
100
80
60
40
20
0
-20
80
85
90
95
00
05
10
15
20
25
Grænse for ØMU-gæld i
Stabilitets- og Vækstpagten
Figur 1.12
Offentlig bruttogæld i Danmark, europæiske
lande, EU og USA, 2020 og 2021
Pct. af BNP
250
Pct. af BNP
250
Pct. af BNP
100
80
60
200
200
150
40
150
100
20
0
-20
100
50
50
0
SWE
NOR
DK
CHE
NLD
IRL
FIN
DEU
AUT
EU
UK
FRA
BEL
ESP
USA
PRT
ITA
GRC
0
ØMU-gæld
Nettogæld
2020
2021
Anm.: I figur 1.12 er skøn for Danmark baseret på indeværende vurdering, mens skøn for udlandet er baseret på sene-
ste prognose fra IMF.
Kilde: Danmarks Statistik, IMF World Economic Outlook, april 2021, og
Økonomisk Redegørelse,
maj 2020 og
Opdateret
2025-forløb,
oktober 2019 samt egne beregninger.
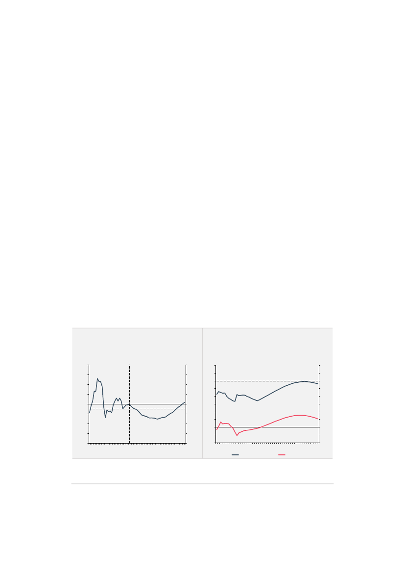
Finanspolitikken er holdbar og den finanspolitiske holdbarhedsindikator skønnes til godt 1 pct. af
BNP. Der er imidlertid fortsat udsigt til en periode efter 2025 med øget pres på de offentlige finanser –
den såkaldte hængekøjeudfordring. Der er således udsigt til en forværring af den offentlige saldo i en
længere årrække, hvor store årgange erstattes af mindre årgange, og hvor andelen i beskæftigelse er
nedadgående. Den positive holdbarhedsindikator hviler på, at de offentlige finanser i det beregnings-
tekniske forløb forbedres på langt sigt, herunder blandt andet som følge af levetidsindekseringen af
pensionsaldrene.
Danmarks Konvergensprogram 2021
April 2021
13
EUU, Alm.del - 2020-21 - Bilag 494: Danmarks konvergensprogram 2021
2383311_0016.png
Kapitel 1
Udfordringer og målsætninger for den økonomiske politik
1.2 Målsætninger for den økonomiske politik
I kølvandet på coronakrisen fremlagde regeringen i august 2020
DK2025 – En grøn, retfærdig og an-
svarlig genopretning af dansk økonomi,
som indeholder regeringen nye overordnede rammer for fi-
nanspolitikken frem mod 2025,
jf. boks 1.3.
Med den nye 2025-ramme og de mange aftaler, der er indgået siden coronakrisen, har regeringen
lagt sporene til vejen ud af krisen med en ekspansiv finanspolitik i de nærmest kommende år og inve-
steringer i fremtiden samtidig med et fastholdt mål om strukturel balance i 2025, så varige tiltag finan-
sieres. Den vej danner grundlag for fremgang i den økonomiske aktivitet og en grøn og retfærdig styr-
kelse af dansk økonomi inden for ansvarlige finanspolitiske rammer.
Boks 1.3
Mål, pejlemærker og prioriteringer frem mod 2025
Ansvarlige økonomisk rammer og
genopretning af økonomien:
Ekspansiv finanspolitik for at stimulere
aktiviteten de nærmeste år
Retfærdige og grønne
prioriteringer:
Velfærden skal følge med, når vi bliver
flere børn og ældre – samtidig skal
kvaliteten og nærheden styrkes
Ny ret til tidlig pension for personer med et
langt arbejdsliv
Sikre en grøn omstilling af det danske
samfund
Mål om strukturel balance i 2025
Overholdelse af budgetloven og
internationale forpligtelser
Holdbare offentlige finanser på langt sigt
2. generationsreformer – ny reformkurs
Den offentlige gæld skal holde en bred
sikkerhedsmargin til EU’s grænse for
ØMU-gælden på 60 pct. af BNP
Vækst i både offentlig og privat
beskæftigelse – i gensidig balance
Gode rammer for erhvervslivet og
balance mellem land og by
Løft af de offentlige investeringer skaber
plads til ny infrastruktur og grønne
investeringer
Kilde:
DK2025 – en grøn, retfærdig og ansvarlig genopretning af dansk økonomi,
august 2020.
Ny reformkurs skal ruste Danmark til fremtiden
Regeringen har gjort klart, at den vil føre en ny reformkurs, der skal gøre Danmark stærkere. Arbejdet
med en ny reformkurs skal ses i lyset af, at der på længere sigt tegner sig en række langsigtede ud-
fordringer – men også muligheder.
For det første vil den grønne omstilling og 70 pct.-målsætningen kræve massive investeringer, der
har til hensigt at skabe et mere bæredygtigt samfund. For det andet stiller en løbende skarp internati-
onal konkurrence nye krav til kompetencerne og uddannelsesniveauet på det danske arbejdsmarked.
14
Danmarks Konvergensprogram 2021
April 2021
EUU, Alm.del - 2020-21 - Bilag 494: Danmarks konvergensprogram 2021
2383311_0017.png
Kapitel 1
Udfordringer og målsætninger for den økonomiske politik
For det tredje står Danmark og verden midt i en digital revolution, og der skal derfor tages nye skridt i
digitaliseringen af det danske samfund.
En ny reformkurs har fokus på erhverv og beskæftigelse og sigter mod at styrke den danske sam-
fundsmodel og dansk økonomi. Et element heri bliver, at beskæftigelse skal øges varigt, og at det
skal ske på en socialt retfærdig måde. Danmark skal have en både større og en dygtigere arbejds-
styrke. Flere af dem, der står uden for arbejdsmarkedet, blandt andre indvandrerkvinder, skal ind på
arbejdsmarkedet. En ny reformkurs skal ses i sammenhæng med arbejdet omkring 2. generationsre-
former, der skal understøtte den danske velfærdsmodel og medvirke til at mindske den sociale ulig-
hed og sætte ind overfor komplekse udfordringer, som tidligere reformer ikke i tilstrækkeligt omfang
har været i stand til at tage hånd om.
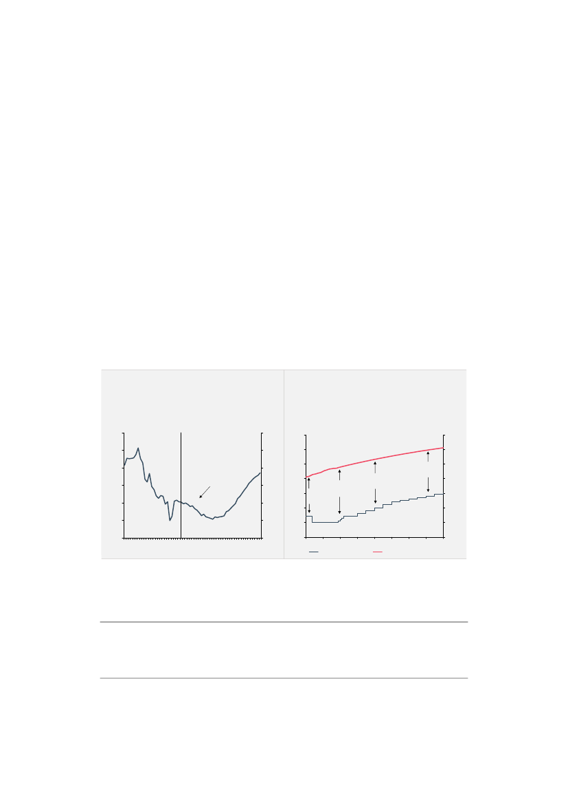
1.3 Opdateret fremskrivning af finanspolitisk råderum
Det finanspolitiske råderum frem mod 2025 er et mål for hvor meget plads, der er til nye politiske initi-
ativer på skatte- og udgiftsområdet, herunder realvækst i det offentlige forbrug eller andre politiske
initiativer, inden for målet om strukturel balance på de offentlige finanser i 2025.
Det finanspolitiske råderum for de enkelte år udmøntes hvert år i forbindelse med tilrettelæggelsen af
finanspolitikken – dvs. i forbindelse med økonomiaftaler med kommuner og regioner samt finanslov-
forslaget og de efterfølgende aftaler om finansloven. Råderummet for 2021 er således udmøntet i for-
bindelse med Aftale om finansloven for 2021 mv.
Det finanspolitiske råderum frem mod 2025 blev senest opdateret i forbindelse med
DK2025-rammen
fra august 2020, hvor det blev beregnet til ca. 19�½ mia. kr. i 2025 målt i forhold til udgiftsniveauet i
2021, dvs. i forhold til det budgetterede niveau for finanslovsåret.
Håndteringen af coronakrisen indebærer en række midlertidige merudgifter, som i konvergenspro-
grammet påvirker udgiftsniveauet i 2021. Korrigeret for disse midlertidige forhold er den opdaterede
udvikling i det finanspolitiske råderum omtrent uændret på 19�½ mia. kr. frem mod 2025.
Det svarer til en gennemsnitlig højest mulig vækst i det offentlige forbrug på ca. 0,9 pct. årligt. Det er
større end den gennemsnitlige årlige vækst i det demografiske træk i samme periode på ca. 0,5 pct.
årligt svarende til ca. 11 mia. kr. i 2025 målt i forhold til 2021.
Med regeringens prioriteringer på finansloven for 2020 og 2021 mv. indebærer det samlet set, at der
er plads til en mulig vækst i det offentlige forbrug på ca. 34¾ mia. kr. frem mod 2025 målt i forhold til
2019, hvor regeringen trådte til, eller ca. 1,1 pct. om året i gennemsnit.
Virkningen af nye forhold for opgørelsen af den højest mulige offentlige forbrugsvækst ift.
DK2025,
august 2020 fremgår af boks 1.4. Opgørelsen er målt i forhold til udgiftsniveauet i 2021.
Danmarks Konvergensprogram 2021
April 2021
15
EUU, Alm.del - 2020-21 - Bilag 494: Danmarks konvergensprogram 2021
2383311_0018.png
Kapitel 1
Udfordringer og målsætninger for den økonomiske politik
Boks 1.4
Skøn for det finanspolitiske råderum sammenlignet med fremskrivningen fra august 2020
Råderummet i konvergensprogrammet for 2021 er opgjort til ca. 19�½ mia. kr. i 2025 (målt i forhold til niveauet i
2021), når der korrigeres for virkningen af midlertidige forhold i 2021 relateret til COVID-19, herunder betydelige
merudgifter i 2021 i forbindelse med myndighedsopgaver i stat, kommuner og regioner,
jf. tabel a.
Hvis der ikke korrigeres for disse midlertidige forhold, svarer stigningen i det offentlige forbrug – fra det højere
midlertidige udgiftspunkt i 2021 – til 14�½ mia. kr. frem mod 2025. Det skyldes, at de midlertidige forhold giver
anledning til et midlertidigt højt udgiftsniveau i 2021, der isoleret set reducerer den mulige udgiftsvækst i de
efterfølgende år målt i forhold til 2021. De ekstraordinære og midlertidige COVID-19-udgifter, der påvirker
udgiftsniveauet i 2021, reducerer imidlertid ikke prioriteringsrummet til nye udgiftstiltag efter 2021.
Korrigeret for midlertidige forhold i 2021 relateret til COVID-19 er den højest mulige offentlige forbrugsvækst frem
mod 2025 omtrent uændret siden august 2020. Det afspejler flere modsatrettede forhold:
I
Aftale om ny ret til tidlig pension (oktober 2020)
indgår et finansieringsbidrag fra nytænkning af beskæftigelses-
indsatsen på ca. 1 mia. kr. fra 2024. I fremskrivningen er det beregningsteknisk lagt til grund, at besparelsen
udmøntes som lavere driftsudgifter i kommunerne, hvilket isoleret reducerer den højest mulige offentlige for-
brugsvækst, men ikke råderummet til øvrige formål.
I
Aftale om finansloven for 2021
og
Aftale om stimuli og grøn genopretning (december 2020)
er der samlet priori-
teret flere midler til initiativer, der påvirker det offentlige forbrug i 2021 end i 2025, hvilket isoleret set reducerer
væksten.
Yderligere er der med den underliggende forbedring af den strukturelle saldo i konvergensprogrammet prioriteret
1 mia. kr. til en forøgelse af råderummet inden for målet om strukturel balance i 2025.
Tabel a
Ændringer i det finanspolitiske råderum siden august 2020
2025
Mia. kr. (2021-priser)
DK2025,
august 2020
+ Midlertidige forhold i 2021 relateret til COVID-19
+
Aftale om ny ret til tidlig pension
(oktober 2020)
+
Aftale om finansloven for 2021
og
Aftale om stimuli og grøn genopretning
(december 2020)
+ Underliggende forbedring af den strukturelle saldo
+ Øvrige forhold, tekniske justeringer mv.
1)
Konvergensprogram 2021
med virkning af midlertidige forhold i 2021
Konvergensprogram 2021
korrigeret for midlertidige forhold i 2021 relateret til COVID-19
19�½
-5
-1
1
¾
14�½
19�½
Anm.: Det finanspolitiske råderum opgøres som den højest mulige offentlige forbrugsvækst ekskl. afskrivninger inden
for målet om strukturel balance i 2025 og afrundet til nærmeste kvarte mia. kr.
1)
Øvrige forhold, tekniske justeringer mv. dækker bl.a. over virkningen af de tekniske ændringsforslag, skøn for
øvrige loftsbelagte udgifter, herunder bl.a. udviklingsbistand, samt merudgifter relateret til COVID-19, som ind-
går i opgørelsen af den strukturelle saldo.
Kilde: Danmarks Statistik,
DK2025,
august 2020 og egne beregninger.
16
Danmarks Konvergensprogram 2021
April 2021
EUU, Alm.del - 2020-21 - Bilag 494: Danmarks konvergensprogram 2021
2383311_0019.png
Kapitel 1
Udfordringer og målsætninger for den økonomiske politik
Bilag 1.1 Nye centrale oplysninger og forudsætninger i
forløbet
Nye centrale oplysninger siden den seneste mellemfristede fremskrivning fra august 2020 er opsum-
meret bilagsboks 1.1 Detaljerede skøn og udviklinger fremgår af konvergensprogrammet kapitel 2-6.
Bilagsboks 1.1
Opdateringer af 2025-forløbet siden august 2020
Nyt konjunkturgrundlag:
Konvergensprogrammet tager udgangspunkt i en opdateret konjunkturprognose, som
indeholder skøn for makroøkonomiske nøgletal og offentlige finanser i 2021-2022. I konvergensprogrammet er
der desuden indarbejdet foreløbige nationalregnskabstal og offentlige regnskaber for 2020 mv.
Strukturelt forløb fra 2023:
I fremskrivningen vurderes konjunkturerne målt ved output- og beskæftigelsesgabet
omtrent neutrale i 2022. I det mellemfristede forløb forudsættes beskæftigelse, BNP mv. beregningsteknisk at
svare til deres strukturelle niveauer fra 2023 og frem.
Nye politiske aftaler:
Den mellemfristede fremskrivning indarbejder virkningen af nye aftaler siden fremskrivnin-
gen i august, herunder finansloven for 2021 og øvrige aftaler om en grøn genstart,
Aftale om en ny ret til tidlig
pension, Aftale om fremtiden for olie- og gasindvinding i Nordsøen, Aftale om politiets og anklagemyndighedens
økonomi 2021-2023, Aftale om erstatning mv. til minkavlerne og følgeerhverv berørt af COVID-19,
forslag til den
danske genopretningsplan i forbindelse med EU's genopretningsfacilitet.
Prioritering inden for mål om balance på den strukturelle saldo i 2025:
I konvergensprogrammet er den
strukturelle saldo underliggende forbedret med 0,1 pct.af BNP i 2023-2025. Finanspolitikken er prioriteret inden
for samme ramme som I
DK2025,
august 2020, og der er i konvergensprogrammet indregnet yderligere manøv-
rerum til den såkaldte 'krigskasse', offentlige investeringer samt finanspolitisk råderum. Herudover er den beslut-
tede udvidelse af 'krigskassen' ved at lempe finanspolitikken med 0,1 pct. af BNP i 2021, der isoleret set øger
den midlertidige ramme med 2,4 mia. kr. i 2021, indregnet i konvergensprogrammet. Lempelsen skal ses i lyset
af, at den strukturelle saldo i 2021 blev skønnet forbedret med 0,1 pct. af BNP i
Økonomisk Redegørelse,
de-
cember 2020 sammenlignet med vurderingen i forbindelse med finanslovforslaget for 2021, der blev fremlagt i
august 2020.
Renteforudsætninger:
Der er antaget en gradvist normalisering af renterne. Den 10-årige rente på statsobliga-
tionerne forudsættes at stige til 0,8 pct. i 2025, og derefter gradvist yderligere til 4 pct. i 2050 for derefter at være
uændret.
Oliepriser og indtægter fra aktiviteter i Nordsøen:
Statens indtægter fra beskatningen af aktiviteter i Nord-
søen tager udgangspunkt i Energistyrelsens langsigtede prognose for produktion af olie og gas (svarende til
augustgrundlaget) samt virkningen af
Aftale om fremtiden for olie- og gasindvinding i Nordsøen.
Hertil kommer
virkningen af opdaterede markedsforventninger til olieprisen (futures) og Det Internationale Energiagenturs (IEA)
nyeste fremskrivning (Stated Policies Scenarie i
World Energi Outlook
fra oktober 2020).
Danmarks Konvergensprogram 2021
April 2021
17
EUU, Alm.del - 2020-21 - Bilag 494: Danmarks konvergensprogram 2021
2383311_0020.png
Kapitel 2
De økonomiske udsigter
18
Danmarks Konvergensprogram 2021
April 2021
EUU, Alm.del - 2020-21 - Bilag 494: Danmarks konvergensprogram 2021
2383311_0021.png
2. De økonomiske udsigter
2.1 Konjunktursituationen og de økonomiske udsigter for
2021 og 2022
Coronapandemien har ført til et dybt tilbageslag i dansk og international økonomi. Set på tværs af
lande var der en historisk stor tilbagegang i økonomisk aktivitet under den første smittebølge i foråret
sidste år. Sommeren og efteråret bød på en betydelig fremgang i aktiviteten i de fleste lande, og de
seneste opgørelser peger på, at denne fremgang var stærkere end tidligere forventet. På trods heraf
blev resultatet for 2020 som helhed et stort fald i BNP i de fleste lande. I Danmark faldt BNP med 2,7
pct. i 2020, hvilket var relativt moderat i en international sammenligning. Det hænger også sammen
med at smittespredningen i Danmark og de sundhedsmæssige konsekvenser heraf var relativt mode-
rate set i forhold til en række andre lande,
jf. kapitel 1.
Den danske økonomi har været ramt af den anden smittebølge henover vinteren med nye restriktio-
ner og delvise nedlukninger for at holde smitteudviklingen under kontrol. Det har medført en svag
start på året, og der forventes på den baggrund et fald i aktiviteten i 1. kvartal 2021. Store dele af
dansk økonomi er imidlertid nu genåbnet eller er på vej til at blive det efter vinterens nedlukning. Det
har ført til stigende aktivitet, der blandt andet afspejles i et stigende privatforbrug og en faldende le-
dighed ifølge højfrekvente indikatorer. Den fornyede fremgang i økonomien betyder, at BNP ventes at
vokse med godt 2 pct. i år og op mod 4 pct. i 2022 i prognosen i konvergensprogrammet. En vækst
på op mod 4 pct. i 2022 vil være den højeste BNP-vækst i 15 år, og den hurtige forventede fremgang
indebærer, at aktiviteten ventes at nå tilbage på niveauet før coronakrisen i løbet af 2. halvår.
Figur 2.1
BNP-udviklingen
Mia. kr. (2021-priser, kædede værdier)
570
560
550
540
530
520
510
500
490
2018
2019
2020
2021
2022
Mia. kr. (2021-priser, kædede værdier)
570
560
550
540
530
520
510
500
490
Anm.: De stiplede linjer angiver årsgennemsnit.
Kilde: Danmarks Statistik og egne beregninger.
Danmarks Konvergensprogram 2021
April 2021
19
EUU, Alm.del - 2020-21 - Bilag 494: Danmarks konvergensprogram 2021
2383311_0022.png
Kapitel 2
De økonomiske udsigter
Forventningen om en relativt hurtig fremgang i aktiviteten bygger blandt andet på erfaringerne fra sid-
ste år, hvor aktiviteten hurtigt vendte tilbage, da smitten faldt, og restriktioner blev løftet. Generelt var
forbruget i 4. kvartal 2020 tilbage på niveau med før krisen, men på nogle områder lå forbruget fortsat
lavere. Udsigterne for en tilsvarende udvikling i år understøttes yderligere af den ekstra opsparing,
som husholdningerne har akkumuleret i 2020 – herunder fordi en række forbrugsmuligheder har væ-
ret begrænsede. Således var husholdningernes opsparing i forhold til indkomsterne på det højeste
niveau i mange år for året set som helhed.
Ud over husholdningernes opsparede midler ventes der også at blive et betydeligt bidrag fra udbeta-
lingen af de resterende indefrosne feriepenge frem til udgangen af maj. Således ventes det private
forbrug at give de største bidrag til BNP-væksten i både 2021 og 2022,
jf. figur 2.2.
Figur 2.2
Bidrag til BNP-vækst
Pct.-point
6
4
2
0
-2
-4
-6
2009
2010
Eksport
2011
2012
2013
2014
2015
2016
2017
2018
2019
2020
2021
2022
Privatforbrug
Private investeringer
Offentlig efterspørgsel
BNP-vækst
Pct.-point
6
4
2
0
-2
-4
-6
Anm.: Bidrag til væksten i BNP er korrigeret for importindhold.
Kilde: Danmarks Statistik og egne beregninger.
De seneste prognoser fra de internationale organisationer peger også på en relativt hurtig fremgang i
den internationale økonomi. Således ventes den globale BNP-vækst, vægtet efter andelene i dansk
eksport, at udgøre 3,5 pct. i 2021 og 3,2 pct. i 2022 efter et fald på 3,8 pct. i 2020, jf. afsnit 2.2.
Det giver grobund for en pæn fremgang i eksporten, som også ventes at give et betydeligt bidrag til
BNP-væksten i både 2021 og 2022. Vareeksporten har indtil videre klaret sig bedre gennem krisen og
ventes at indhente førkriseniveauet allerede i 2021. De konjunkturfølsomme dele af vareeksporten vil
nyde godt af de forbedrede vækstudsigter. Tjenesteeksporten ventes derimod først at være tilbage på
førkriseniveauet i 2022, hvilket afspejler, at efterspørgslen efter rejserelaterede tjenester fortsat for-
ventes at være påvirket af pandemien i 2021. Søtransporten nyder derimod godt af den internationale
fremgang i varehandlen, og industriproduktionen ser ud til at nå førkriseniveauet i 2021.
Virksomhedernes investeringer ventes at udvikle sig positivt i 2021 efter et betydeligt dyk i 2020. De
bedre vækstudsigter som følge af udrulningen af vaccinerne og den deraf følgende reducerede usik-
kerhed samt stigende kapacitetsudnyttelse giver mulighed for en pæn fremgang i investeringerne
20
Danmarks Konvergensprogram 2021
April 2021
EUU, Alm.del - 2020-21 - Bilag 494: Danmarks konvergensprogram 2021
2383311_0023.png
Kapitel 2
De økonomiske udsigter
igennem 2021. Virksomhedernes investeringer ventes desuden at få et løft i 2021 og 2022 som følge
af investeringsvinduet aftalt i forbindelse med Grøn Skattereform 2020.
Grundlaget for en hurtig genstart af aktiviteten i dansk økonomi skal således også i sammenhæng
med, at der er gennemført en markant finanspolitisk indsats under coronakrisen både med hjælpe-
pakker og stimuli-tiltag, der holder hånden under virksomheder og jobs og øger aktiviteten. Finanspo-
litikken er tilrettelagt ekspansivt i lyset af coronakrisen og de gennemførte tiltag, herunder udbetaling
af indefrosne feriemidler, øvrige stimuli-tiltag og hjælpepakker mv., som understøtter såvel BNP som
beskæftigelse,
jf. nærmere i kapitel 3.
Med den fornyede fremgang i økonomien ventes også en bedring på arbejdsmarkedet. Beskæftigel-
sen faldt som følge af coronapandemien med knap 22.000 personer i 2020, og ventes at stige med
sammenlagt 43.000 personer i 2021 og 2022. Dermed er der udsigt til, at beskæftigelsen i 2022 vil
overstige niveauet fra 2019,
jf. figur 2.3.
Figur 2.3
Beskæftigelsen
1.000 personer
3.200
1.000 personer
3.200
3.100
3.100
3.000
3.000
2.900
2.900
2.800
2.800
2.700
2000
2002
2004
2006
2008
2010
2012
2014
2016
2018
2020
2022
2.700
Anm.: Fuldtidsbeskæftigede personer, inkl. orlov.
Kilde: Danmarks Statistik og egne beregninger.
Målt ved årsgennemsnit ventes beskæftigelsen at stige med 6.000 personer i 2021 og 37.000 perso-
ner i 2022. Den moderate stigning i 2021 afspejler, at beskæftigelsen i 1. kvartal 2021 blev påvirket
negativt af smittespredning og behovet for nedlukning af dele af økonomien. Udsigten til en betydelig
fremgang i aktiviteten i de beskæftigelsesintensive serviceerhverv som følge af en mere varig genåb-
ning henover foråret og sommeren giver derimod grobund til en relativt hurtig stigning i beskæftigel-
sen. Således var to tredjedele af beskæftigelsesfaldet sidste forår allerede indhentet ved indgangen til
vinteren.
Samtidig ventes ledigheden at aftage til under 120.000 personer eller ca. 3,8 pct. af arbejdsstyrken i
2022. Ledigheden vil dermed være tæt på det niveau, der kan forventes i en normal konjunktursitua-
tion.
Danmarks Konvergensprogram 2021
April 2021
21
EUU, Alm.del - 2020-21 - Bilag 494: Danmarks konvergensprogram 2021
2383311_0024.png
Kapitel 2
De økonomiske udsigter
Boks 2.1
Grundlag for vurderingen af udviklingen i dansk økonomi
Konjunkturvurderingen i dette konvergensprogram tager udgangspunkt i de reviderede nationalregnskabstal, der
foreligger frem til og med 4. kvartal 2020, samt en række andre indikatorer, der for de mest højfrekvente rækker ind i
marts 2021. Nationalregnskabstallene og andre økonomiske indikatorer er behæftet med større usikkerhed end
normalt på grund af coronakrisen.
De foreløbige nationalregnskabstal for 2020 viser, et fald i BNP i 2020 på 2,7 pct. hvilket er væsentligt mindre end
det skønnede fald på 3,8 pct. i Økonomisk Redegørelse, december 2020.
På grund af den anden bølge af smitte-spredning er der gennemført en mere omfattende nedlukning af brancher
eller aktiviteter henover vinteren end lagt til grund i decemberredegørelsen. Det indebærer en svagere start på
2021, hvilket påvirker årsgennemsnittet for BNP-væksten i 2021 negativt. Omvendt er vækstudsigterne for den
internationale økonomi blevet opjusteret på baggrund af den seneste prognose fra den Internationale Valutafond, jf.
boks 2.2. Samlet set indebærer prognosen en lidt lavere vækst i 2021. Omvendt er væksten for 2022 justeret op.
I prognosen er det lagt til grund, at vaccinationsprogrammer og øvrige tiltag vil medføre, at smitten forbliver under
kontrol, og at det derfor ikke vil blive nødvendigt med nye større nedlukningstiltag i Danmark eller internationalt.
2.2 Forudsætninger om international økonomi og finansielle
forhold
Coronapandemien har skabt stor usikkerhed både i forhold til omfanget af det økonomiske tilbageslag
og forløbet for den efterfølgende genstart. Det seneste halve år har på trods af alvorlig ny smitte-
spredning ført til mere positive udsigter for den internationale økonomi i 2021 og 2022. Det skal især
ses i lyset af tiltro til, at en mere permanent genåbning af økonomierne vil blive mulig som følge af
vaccination af store dele af befolkningerne og dermed mindre risiko for fornyede alvorlige tilbageslag
som følge af pandemien. Forudsætningerne om international økonomi og finansielle forhold fremgår
af boks 2.2.
Der er dog fortsat betydelig negative usikkerhedsfaktorer knyttet til coronapandemiens forløb, herun-
der risikoen for, at nye varianter vil kunne sætte den økonomiske fremgang midlertidigt tilbage. Samti-
dig er der, på trods af et fortsat relativt lavt omfang af konkurser, stadig en risiko for, at et større antal
virksomheder end normalt må lukke i de kommende år på grund af tab og mulige forskydninger i ef-
terspørgslen, der er opstået som følge af coronapandemien.
Det er endvidere uklart, hvilke mere blivende forandringer coronakrisen har ført med sig. Ændrede
forbrugsvaner, andre rejsemønstre og øget digitalisering mv. vil eksempelvis kunne påvirke vækst og
beskæftigelse og også sammensætningen på forskellige erhverv fremadrettet. Det vil kunne medføre
tilpasningsomkostninger på kortere sigt i form af virksomhedslukninger og flere jobskifter, eventuelt
efter forudgående ledighedsperioder, men vil også kunne bidrage til at understøtte produktivitetspo-
tentialet på længere sigt.
Der er også andre risici end coronapandemien i forhold til konjunkturudsigterne. Indgåelsen af en af-
tale mellem EU og Storbritannien om de fremtidige handelsvilkår indebærer bortfald af risikoen for
22
Danmarks Konvergensprogram 2021
April 2021
EUU, Alm.del - 2020-21 - Bilag 494: Danmarks konvergensprogram 2021
2383311_0025.png
Kapitel 2
De økonomiske udsigter
overgang til et samhandelsforhold under WTO’s regelsæt. Det er en positiv udvikling i forhold til, hvad
der blev indregnet Økonomisk Redegørelse, december 2020, selvom der er tale om en forringelse af
handelsvilkårene mellem EU og Storbritannien.
De mere positive vækstudsigter som følge af vacciner mod Covid-19 og forøget finanspolitisk stimu-
lus i navnlig USA har ført til, at både renter og aktiekurser er steget. Mere pludselige stigninger i ren-
ter som følge af højere inflationsforventninger kan bidrage til øget usikkerhed på de finansielle marke-
der med potentielle kursfald til følge. Det vil også kunne have afsmittende virkning på boligmarke-
derne, der i mange lande har udviklet sig stærkt under krisen. Stigninger i markedsrenterne vil dog
også kunne forebygge en opbygning af større ubalancer senere hen. I forhold til konjunkturudsigterne
er der således risici i både opadgående og nedadgående retninger. Aktuelt vurderes risici samlet set
at være omtrent balancerede.
Boks 2.2
Forudsætninger om international økonomi og finansielle forhold
Forudsætningerne for udviklingen i den internationale økonomi er opdaterede med den seneste prognose fra IMF,
World Economic Outlook, april 2021. Forudsætningerne om de finansielle forhold er opdateret med den seneste
markedsudvikling. IMF’s prognose indebærer en relativt hurtig fremgang i den internationale økonomi som følge af,
at vaccinations-programmer muliggør en mere varig genåbning af økonomierne. Dertil kommer effekten af fornyet
finanspolitisk stimulus, navnlig i USA. Den handelsvægtede BNP-vækst i udlandet ventes dermed at være 3,5 pct.
og 3,2 pct. i henholdsvis 2021 og 2022 og derefter følge en gradvist aftagende profil, i takt med at
normaliseringsfasen efter coronapandemien ebber ud,
jf. tabel a.
Renteskønnene er opdateret på baggrund af den seneste markedsudvikling. De bedre vækstudsigter og stigende
inflation har medført en stigning i de lange renter siden slutningen af 2020. Renten på 10-årige statsobligationer
ventes dog fortsat at være på et lavt niveau i de kommende år, som følge af udsigten til fortsat lempelig pengepolitik
i de kommende år, efterfulgt af en begyndende normalisering. Den korte rente ventes således at være lav i de næ-
ste år med en meget gradvis stigning frem mod 2025.
Tabel a
Forudsætninger om oliepris, dollarkurs og renter
2020
Real BNP-vækst for samhandelspartnere
Oliepris (Brent), dollar pr. tønde
Dollarkurs, kr. pr. 100 dollar
Rente 10-årig dansk statsobligation, pct.
2021
3,5
62,3
618,6
-0,1
2022
3,1
62,7
628,8
0,1
2023
2,0
63,6
627,5
0,3
2024
2,0
64,8
626,3
0,6
2025
2,1
66,2
625,0
0,8
-3,8
41,8
654,2
-0,4
Kilde: Danmarks Statistik, Macrobond, Nordea Markets, IEA, IMF World Economic Outlook april 2021 og egne
beregninger.
Skønnet for olieprisudviklingen er fastlagt ud fra en metode, som inddrager både futures-priser og Det
Internationale Energiagenturs (IEA) mellemfristede fremskrivning i
Stated Policies-scenariet.
I over-
ensstemmelse med skønnet har olieprisen været stigende siden starten af december fra knap 50 dol-
Danmarks Konvergensprogram 2021
April 2021
23
EUU, Alm.del - 2020-21 - Bilag 494: Danmarks konvergensprogram 2021
2383311_0026.png
Kapitel 2
De økonomiske udsigter
lar pr. tønde til omkring 63 dollar pr. tønde i begyndelsen af april. Frem mod 2025 forudsættes oliepri-
sen at stige lidt hastigere end den almindelige inflation til 66,2 dollars pr. tønde i 2025. Metoden bag
skønnet er nærmere beskrevet i
Økonomisk Redegørelse,
december 2020.
Stated Policies-scenariet
kan betegnes som IEA’s centrale scenarie og afspejler et princip om at ind-
drage effekten af allerede vedtagne aftaler samt effekten af de aftaler og tiltag, regeringerne har
meldt ud – altså eksisterende politik og konkrete planlagte initiativer. Dette grundlæg lægges til grund
for fremskrivningerne af dansk økonomi.
IEA offentliggør også andre scenarier. Det gælder fx
Sustainable Development-scenariet,
der antager
en høj grad af grøn omstilling og tager udgangspunkt i en række mål fastsat på baggrund af FN’s ver-
densmål, herunder Parisaftalens mål. Herfra udledes den udvikling, der vil føre til, at målene opfyldes.
Dette scenarie indebærer en lavere olieefterspørgsel og dermed lavere oliepris end i
Stated Policies-
scenariet, jf. figur 2.4,
og tilsvarende lavere indtægter fra statens fra aktiviteter i Nordsøen,
jf. figur 2.5
Figur 2.4
Olieprisfremskrivning med IEA's Stated Policies
og Sustainable Development scenarier
USD pr. tønde (2021-priser)
80
70
60
50
40
30
20
10
0
2015 2020 2025 2030 2035 2040 2045 2050 2055 2060
Stated Policies
Sustainable Development
USD pr. tønde (2021-priser)
80
70
Figur 2.5
Nordsøprovenu med IEA’s Stated Policies og
Sustainable Development scenarier
Pct. af BNP
2,0
Pct. af BNP
2,0
1,5
60
50
40
30
20
10
0
1,5
1,0
1,0
0,5
0,5
0,0
0,0
-0,5
00 04 08 12 16 20 24 28 32 36 40 44 48 52 56 60
KP21
Sustainable Development
-0,5
Anm.: I figur 2.5 er vist den strukturelle udvikling i indtægterne fra aktiviteter i forløbet i Danmarks
Konvergensprogram 2021 samt den strukturelle udvikling beregnet via et syv-års glidende gennemsnit for
Sustainable Development-scenariet fra 2021 og frem.
Kilde: IEA og egne beregninger.
24
Danmarks Konvergensprogram 2021
April 2021
EUU, Alm.del - 2020-21 - Bilag 494: Danmarks konvergensprogram 2021
2383311_0027.png
Kapitel 2
De økonomiske udsigter
2.3 Mellemfristede udsigter for vækst og beskæftigelse
I fremskrivningen er der udsigt til omtrent neutrale konjunkturer i 2022 med output- og beskæftigel-
sesgab tæt på nul. Det skal ses sammenhæng med den hurtige forventede genstart af aktiviteten i
dansk økonomi.
I årene 2023-2025, hvor økonomien således forudsættes at udvikle sig på linje med den strukturelle
udvikling i det mellemfristede forløb, ventes BNP i gennemsnit at vokse med ca. 1,6 pct. i gennem-
snit,
jf. figur 2.6.
Figur 2.6
BNP-vækst og outputgab
Pct.
6
4
2
0
-2
-4
-6
2000
2005
2010
BNP-vækst
2015
2020
Outputgab (h. akse)
2025
Pct. af BNP
6
4
2
Figur 2.7
Faktisk og strukturel beskæftigelse
1.000 personer
3.000
1.000 personer
3.000
2.900
2.900
2.800
0
2.800
2.700
-2
-4
-6
2.700
2.600
2.600
2.500
2000
2005
2010
2015
2020
2025
Faktisk beskæftigelse
2.500
Strukturel beskæftigelse
Anm.: Outputgabet angiver hvor langt produktion (BVT) skønnes at befinde sig fra det strukturelle niveau.
Beskæftigelsen er opgjort ekskl. orlovspersoner.
Kilde: Danmarks Statistik og egne beregninger.
Fra 2020 og frem til 2025 ventes beskæftigelsen at vokse med ca. 70.000 personer,
jf. figur 2.7.
Det
er sammensat af en stigning i den strukturelle beskæftigelse på ca. 62.000 personer, og et konjunk-
turbidrag på ca. 8.000 personer.
Den gunstige udvikling i beskæftigelsen skal således ses i sammenhæng med gode underliggende
strukturer, herunder i lyset af gennemførte reformer, navnlig reguleringen af efterløns- og folkepensi-
onsalderen.
Den voksende beskæftigelse og stigende realløn understøtter, at det private forbrug kan vokse frem
mod 2025. Der er samtidig forudsat en delvis normalisering af den private forbrugskvote i fremskriv-
ningen,
jf. figur 2.8.
Samlet set forudsættes det private forbrug at vokse med ca. 2¾ procent om året
fra 2020 til 2025.
I takt med den generelle økonomiske fremgang stiger virksomhedernes behov for at øge kapitalappa-
ratet. I løbet af fremskrivningsperioden ventes investeringskvoten at vokse frem mod 2025,
jf. figur
2.9.
De stigende investeringer bidrager også til den voksende timeproduktivitet i fremskrivningen.
Danmarks Konvergensprogram 2021
April 2021
25
EUU, Alm.del - 2020-21 - Bilag 494: Danmarks konvergensprogram 2021
2383311_0028.png
Kapitel 2
De økonomiske udsigter
Figur 2.8
Privat forbrugskvote
Pct. af disponibel indkomst
110
105
100
95
90
85
80
2000
2005
2010
2015
2020
2025
Pct. af disponibel indkomst
110
105
100
Figur 2.9
Investeringskvote
Pct. af privat BVT ekskl. råstof
24
Pct. af privat BVT ekskl. råstof
24
22
22
20
95
20
18
90
85
80
18
16
16
14
2000
2005
2010
2015
2020
2025
14
Anm.: Investeringskvoten er opgjort som faste bruttoinvesteringer inkl. boliginvesteringer i den private sektor i forhold
til værditilvæksten i den private sektor ekskl. råstofindvinding.
Kilde: Danmarks Statstik og egne beregninger.
Produktionspotentialet ventes at stige med gennemsnitligt 1,7 pct. om året fra 2020 og frem mod
2025. Det er et udtryk for en udvidelse af den strukturelle arbejdsstyrke og en tiltagende vækst i time-
produktiviteten,
jf. tabel 2.1.
Tabel 2.1
Bidrag til vækst i produktionspotentialet for hele økonomien
1996-2007
Gns. vækst pr. år, pct.
1. Produktionspotentiale (BVT)
Heraf bidrag fra:
- Timeproduktivitet
- Strukturel ledighed
- Strukturel arbejdsstyrke
- Strukturel arbejdstid
2. Konjunktur
3. Faktisk BVT (1+2)
4. Nettoafgifter
5. Faktisk BNP (3+4)
1,1
0,5
0,3
0,0
0,2
2,1
0,1
2,2
1,5
0,2
-0,4
-0,6
-2,9
-2,2
-0,5
-2,7
1,4
0,0
0,5
-0,3
0,4
1,9
0,0
1,9
0,5
0,1
0,5
-0,1
-0,1
0,8
0,2
1,0
1,3
0,0
0,3
0,0
-0,1
1,5
0,1
1,6
1,8
0,7
1,6
0,9
1,6
2008-2009
2010-2019
2020-2022
2023-2025
Anm.: Der er usikkerhed forbundet med skønnet for potentiel vækst i delperioder, herunder bidragene fra de enkelte
komponenter. På grund af afrunding svarer summen af enkeltkomponenterne ikke nødvendigvis til totalen.
Kilde: Danmarks Statistik og egne beregninger.
26
Danmarks Konvergensprogram 2021
April 2021
EUU, Alm.del - 2020-21 - Bilag 494: Danmarks konvergensprogram 2021
2383311_0029.png
Kapitel 2
De økonomiske udsigter
2.4 Boligpriser
Efter et kortvarigt tilbageslag i starten af foråret 2020 som følge af usikkerheden relateret til coronakri-
sen har der i den resterende del af 2020 været en stærk fremgang i boligsalget, som har nået det hø-
jeste niveau i mange år. Det har ført til et kraftigt dyk i antallet af boliger til salg, og væksten i boligpri-
serne har været tiltagende. De seneste opgørelser viser, at denne udvikling er fortsat i starten af
2021. Prisfremgangen har været stærkest i og omkring København.
Tendensen til kraftig fremgang på boligmarkedet på trods af coronapandemien er ikke et særligt
dansk fænomen, og boligpriserne er også steget kraftigt i en række andre lande, heriblandt Sverige
og Norge. Seneste tal fra Eurostat for 4. kvartal 2020 viser dog, at Danmark ligger i den høje ende,
hvad angår år-til-år vækst i boligpriser.
Fremgangen på boligmarkedet skal blandt andet ses i lyset af, at coronakrisen med hjemmearbejde
og restriktioner har bidraget til øget boligefterspørgsel ved at understrege værdien af at bo godt og
have mere plads. Dertil kommer, at husholdningernes likviditet, som kan anvendes til boligkøb, har
fået et løft som følge af begrænsninger i forbrugsmulighederne samt udbetaling af feriepenge.
Selv om det aktuelt går stærkt på boligmarkedet, så er situationen anderledes end i årene før finans-
krisen, hvor prisstigningerne var kraftigere over en længere periode og var understøttet af stigende
gæld og boligkøb med baggrund i forventninger om fremtidige prisstigninger.
Priserne har grundlæggende udviklet sig i tråd med indkomsterne i de seneste år,
jf. figur 2.10.
Bolig-
byrden, dvs. finansieringsomkostningerne ved at købe en bolig som andel af husholdningernes gen-
nemsnitlige disponible indkomst, ligger fortsat på et relativt moderat niveau. Priserne har nået et højt
niveau i forhold til de gennemsnitlige indkomster i visse områder, særligt i og omkring København.
Figur 2.10
Priser på enfamiliehuse i forhold til husholdningernes disponible indkomster
Indeks (gns. 1967-2020 = 100)
200
Indeks (gns. 1967-2020 = 100)
200
150
150
100
100
50
50
0
1967 1970 1973 1976 1979 1982 1985 1988 1991 1994 1997 2000 2003 2006 2009 2012 2015 2018 2021
0
Kilde: Danmarks Statistik og egne beregninger.
Danmarks Konvergensprogram 2021
April 2021
27
EUU, Alm.del - 2020-21 - Bilag 494: Danmarks konvergensprogram 2021
2383311_0030.png
Kapitel 2
De økonomiske udsigter
Selvom der fortsat ventes fremgang på boligmarkedet, er det som udgangspunkt forventningen, at
prisstigningerne vil aftage til et tempo, hvor boligpriserne vokser omtrent i takt med indkomsterne.
Væksten i 2021 forventes at blive relativt høj på 10,4 pct., aftagende til 3,2 pct. i 2022. Udsigten til
fortsat fremgang på boligmarkedet understøttes af fremgang i indkomsterne, og dertil kommer den
seneste runde af feriepenge, der giver likviditet til nye boligkøbere kombineret med opsparede midler
under nedlukningen.
Forventningen om en mere moderat udvikling i anden halvdel af 2021 og i de følgende år skal ses på
baggrund af flere forhold. Den relativt høje vækst i 2021 hænger sammen med den stærke fremgang i
priserne i slutningen af 2020 og starten af 2021. Realkreditrenterne er dog steget siden årsskiftet,
hvilket isoleret set dæmper prisstigningerne. Derudover vil husholdningernes forbrugsmønster for-
mentlig i høj grad vende tilbage til mønstret fra før pandemien, i takt med at økonomien igen fungerer
uden større restriktioner. Et mere permanent skifte i boligefterspørgslen kan dog ikke udelukkes, hvil-
ket vil kunne understøtte efterspørgslen i de kommende år.
De senere års skærpelse af reguleringen (særligt udbetalingskravet på 5 pct., Vækstvejledning for
København og omegn og Århus og bekendtgørelse om god skik for boligkredit) forventes at bidrage til
en mere moderat prisvækst fremadrettet. Det gælder specielt i de store byer, da disse tiltag gradvist
vil være bindende for flere husholdninger i takt med, at priserne stiger, hvis husholdningernes formue
og indkomst ikke følger med boligprisudviklingen.
På længere sigt vil de nye regler for boligbeskatning, der implementeres i 2024, bidrage til at stabili-
sere udsving i boligpriserne. En analyse fra Nationalbanken i 2017 og Skatteministeriet i 2018 peger
på, at det vil føre til lidt lavere priser på ejerlejligheder, mens det omvendt vil have en svagt positiv
effekt for prisudviklingen på enfamiliehuse set for hele landet.
Regeringen har noteret sig, at Det Systemiske Risikoråd på sit næste møde forventer at henstille om
at iværksætte nye tiltag, der kan begrænse risikoopbygningen på boligmarkedet. Regeringen har ikke
planer om indgreb på boligmarkedet. Regeringen følger selvfølgelig udviklingen tæt og vil tage stilling
til Rådets henstilling, når den foreligger.
2.5 Betalingsbalancen
Danmark har siden 2010 haft overskud på betalingsbalancen på mere end 6 pct. af BNP, som hoved-
sageligt er tilvejebragt ved overskud på handlen med varer og tjenester samt overskud på løn- og for-
mueindkomst i forhold til udlandet. Overskuddet på betalingsbalancens løbende poster udgjorde
181,2 mia. kr. i 2020, svarende til 7,8 pct. af BNP. Overskuddet på tjenestebalancen var betydeligt
lavere i forhold til det foregående år, som følge af coronakrisens påvirkning af handelen med tjeneste-
ydelser. I forhold til varehandelen kan overskuddet i høj grad tilskrives produkter, der ikke krydser den
danske grænse (merchanting and processing), samt overskud på handelen med medicinalprodukter.
Overskuddet på betalingsbalancen ventes at udgøre godt 7 pct. af BNP i 2021 og 2022 for derefter at
aftage til 5,5 pct. af BNP frem mod 2025,
jf. figur 2.11.
De store overskud på betalingsbalancen i de
senere år afspejler blandt andet en stor opsparingstilbøjelighed hos husholdningerne. Der forventes
en tilbagevenden til en mere normal forbrugstilbøjelighed i de kommende år, hvilket bidrager til at
28
Danmarks Konvergensprogram 2021
April 2021
EUU, Alm.del - 2020-21 - Bilag 494: Danmarks konvergensprogram 2021
2383311_0031.png
Kapitel 2
De økonomiske udsigter
overskuddet reduceres. Samtidig ventes virksomhedernes finansielle opsparing at aftage i takt med at
investeringsbehovet stiger.
Figur 2.11
Betalingsbalancens løbende poster
Pct. af BNP
12
10
8
6
4
2
0
-2
-4
-6
00
01
02
03
04
05
06
07
08
09
10
11
12
13
14
15
16
17
18
19
20
21
22
23
24
25
Vare- og tjenestebalance
Løn- og formueindkomst
Løbende overførsler
Betalingsbalance
Pct. af BNP
12
10
8
6
4
2
0
-2
-4
-6
Kilde: Danmarks Statistik og egne beregninger.
Overskuddet på betalingsbalancens løbende poster bidrager til at øge Danmarks nettoformue over for
udlandet, som forventes at vokse til mere end 110 pct. af BNP i 2025,
jf. tabel 2.2.
Det trækker i sig
selv i retning af højere formueindkomster. Omvendt ventes de gradvist stigende renter i prognoseperi-
oden at reducere afkastet på den danske formue relativt til udlandets på grund af sammensætningen
af formuens aktiver og passiver.
Tabel 2.2
Opsparing, investeringer, betalingsbalance og nettoaktiver over for udlandet
Pct. af BNP
Investeringskvote, privat sektor
Opsparingskvote, privat sektor
Privat finansiel opsparing
Offentlig saldo
Betalingsbalancen, løbende poster
Nettoaktiver, ultimo
Gennemsnit
1995-2019
18,3
22,0
4,0
0,4
4,4
10,0
2020
19,5
27,4
9,0
-1,1
7,8
63,7
2021
19,5
28,4
10,3
-3,3
7,0
85,6
2022
19,4
26,5
8,2
-0,9
7,3
102,9
2023
19,6
26,6
7,5
-0,7
6,8
106,0
2024
20,0
26,6
7,0
-0,6
6,3
109,3
2025
20,2
25,5
5,5
0,0
5,5
111,7
Kilde: Danmarks Statistik og egne beregninger.
Danmarks Konvergensprogram 2021
April 2021
29
EUU, Alm.del - 2020-21 - Bilag 494: Danmarks konvergensprogram 2021
2383311_0032.png
Kapitel 2
De økonomiske udsigter
Bilag 2.1 – Nøgletal for dansk økonomi 2019-2025
Bilagstabel 2.1
Nøgletal for dansk økonomi 2019-2025
2019
Outputgab og reale vækstrater, pct.
BVT
BNP
Outputgab (pct. af BNP)
Efterspørgsel, realvækst, pct.
Privatforbrug
Offentligt forbrug
1)
Faste bruttoinvesteringer
Eksport
Import
Prisudvikling, pct.
Forbrugerpriser
Betalingsbalance mv., pct. af BNP
Betalingsbalance
Privat finansiel opsparing
Arbejdsmarked og produktivitet
Arbejdsstyrkevækst (pct.)
Beskæftigelsesvækst (pct.)
Registreret bruttoledighed (1.000 pers.)
Strukturel bruttoledighed (1.000 pers.)
Timeproduktivitet, hele økonomien
Timeproduktivitet, private byerhverv
Vækst i BVT pr. beskæftiget
Arbejdsstyrkevækst (pct.)
Beskæftigelsesvækst (pct.)
1,1
1,2
104
114
1,7
2,1
1,7
1,1
1,2
0,3
-0,7
133
122
0,3
0,8
-2,3
0,3
-0,7
-0,1
0,2
124
122
1,0
2,0
1,6
-0,1
0,2
1,0
1,2
118
117
0,8
1,2
2,5
1,0
1,2
0,3
0,5
113
113
1,4
1,3
1,3
0,3
0,5
0,1
0,1
111
111
1,1
1,2
1,2
0,1
0,1
0,3
0,3
112
112
1,1
1,2
1,1
0,3
0,3
8,9
5,2
7,8
9,0
7,0
10,3
7,3
8,2
6,8
7,5
6,3
7,0
5,5
5,5
0,7
0,4
1,1
1,5
2,0
2,0
2,2
1,4
1,2
2,8
5,0
2,4
-1,9
-0,1
2,1
-7,7
-4,8
2,4
3,2
1,3
4,2
4,8
4,4
0,1
4,0
6,7
5,8
2,4
1,2
4,2
2,6
3,2
2,3
0,9
2,4
2,2
3,4
2,2
1,1
2,1
1,7
2,8
2,9
2,8
0,5
-3,0
-2,7
-1,8
1,9
2,1
-0,8
3,7
3,8
0,2
1,8
2,3
0,0
1,3
1,3
0,0
1,4
1,3
0,0
2020
2021
2022
2023
2024
2025
Anm.: Forløbet i 2023-2025 er beregningsteknisk.
1)
Den offentlige forbrugsvækst i 2019 og 2020 er opgjort ved outputmetoden. Den skønnede offentlige
forbrugsvækst i 2021-2022 er beregningsteknisk forudsat ens ved hhv. input- og outputmetoden. Opgjort ved
inputmetoden inkl. afskrivninger udgør den offentlige forbrugsvækst 0,2 pct. i 2019 og 0,6 pct. i 2020.
Kilde: Danmarks Statistik og egne beregninger.
30
Danmarks Konvergensprogram 2021
April 2021
EUU, Alm.del - 2020-21 - Bilag 494: Danmarks konvergensprogram 2021 EUU, Alm.del - 2020-21 - Bilag 494: Danmarks konvergensprogram 2021
2383311_0034.png
Kapitel 3
Offentlig saldo og gæld frem til 2025
32
Danmarks Konvergensprogram 2021
April 2021
EUU, Alm.del - 2020-21 - Bilag 494: Danmarks konvergensprogram 2021
2383311_0035.png
3. Offentlig saldo og gæld frem
til 2025
3.1 Den faktiske offentlige saldo
Den faktiske offentlige saldo er ifølge Danmarks Statistik foreløbige nationalregnskabstal for 2020 op-
gjort til -1,1 pct. af BNP. Det er en væsentlig forbedring på ca. 2,4 pct. af BNP sammenlignet med
skønnet i
Økonomisk Redegørelse,
december 2020. Det lavere underskud afspejler blandt andet
markant højere indtægter fra pensionsafkastskatten og lavere udgifter end ventet i forbindelse med
kompensationsordninger relateret til COVID-19,
jf. boks 3.1 nedenfor.
Der skønnes, med baggrund i blandt andet væsentlige engangsudgifter, et underskud på den faktiske
offentlige saldo på 3,3 pct. af BNP i 2021. Underskuddet skønnes reduceret til 0,9 pct. af BNP i 2022,
hvorefter den faktiske offentlige saldo skønnes at bevæge sig mod balance i 2025,
jf. tabel 3.1.
Tabel 3.1
Oversigt over den faktiske offentlige saldo
2020
Pct. af BNP
Offentlig saldo
-1,1
-3,3
-0,9
-0,7
-0,6
0,0
2021
2022
2023
2024
2025
Kilde: Danmarks Statistik og egne beregninger.
Underskuddet i 2021 skønnes at overstige den almindelige nedre grænse for det faktiske budgetun-
derskud, der følger af Stabilitets- og Vækstpagten. Det forventes dog ikke at give anledning til henstil-
linger fra EU, idet EU-Kommissionen har tilkendegivet, at aktiveringen af den generelle undtagelses-
klausul både omfatter 2020 og 2021.
Underskuddet i 2021 skønnes gradvist reduceret frem mod 2025. Det skal især ses i lyset af, at de
ekstraordinært høje engangsudgifter afledt af COVID-19 i 2021 ikke forventes at bære med over i ef-
terfølgende år. Derudover bidrager den generelle forventede fremgang i den økonomiske aktivitet til
stigende skatteindtægter og faldende udgifter til ledighedsrelaterede indkomstoverførsler sammenlig-
net med 2021. Hertil kommer en gradvis forbedring af den underliggende strukturelle saldo.
Skønnene for den faktiske saldo i de aktuelle år er behæftet med betydelig usikkerhed, som generelt
er større i perioder med væsentlige omslag i økonomien.
Danmarks Konvergensprogram 2021
April 2021
33
EUU, Alm.del - 2020-21 - Bilag 494: Danmarks konvergensprogram 2021
2383311_0036.png
Kapitel 3
Offentlig saldo og gæld frem til 2025
Boks 3.1
Opgørelse af den offentlige saldo i 2020 baseret på foreløbige nationalregnskabstal
Danmarks Statistik har i marts 2021 offentliggjort en opgørelse af den offentlige saldo i 2020 baseret på foreløbige
regnskabstal. Der er aktuelt opgjort et faktisk offentligt underskud på ca. 27 mia. kr. – svarende til ca. 1,1 pct. af
BNP. Det er det første underskud siden 2016, men er alligevel yderst begrænset set i lyset af den økonomiske situ-
ation og sammenlignet med situationen i en lang række andre lande.
Det relativt begrænsede underskud set i lyset af coronapandemien og den delvise nedlukning af samfundet i løbet
af 2020 afspejler bl.a., at den økonomiske udvikling i Danmark generelt har været relativt gunstig set i sammenlig-
ning med mange andre lande. Desuden har udviklingen på finansmarkederne givet anledning til væsentligt højere
indtægter fra pensionsafkastskat end forventet i løbet af 2020. Samtidig bidrager de ekstraordinære personskatte-
indtægter knyttet til udbetalingen af de indefrosne feriemidler isoleret set til en forbedring af den faktiske offentlige
saldo i 2020.
Det offentlige underskud i 2020 er markant lavere end skønnet i Finansministeriets prognoser i løbet af 2020. Det
foreløbigt opgjorte underskud i 2020 er således ca. 54 mia. kr. lavere end skønnet i
Økonomisk Redegørelse,
de-
cember 2020,
jf. tabel a.
Det kan især henføres til højere indtægter fra pensionsafkastskat, selskabsskat og moms
samt lavere udgifter til subsidier og offentligt forbrug end skønnet i december. I modsat retning trækker bl.a. højere
udgifter til offentlige kapitaloverførsler og offentlige investeringer end skønnet i december.
Den væsentlige afvigelse og de store justeringer af skønnet for den faktiske offentlige saldo i løbet af 2020 skal ses i
sammenhæng med den ekstraordinære økonomiske situation som følge af COVID-19, hvor der er væsentlig større
usikkerhed end i en normalsituation.
Tabel a
Den faktiske offentlige saldo i 2020
2020
Mia. kr.
Foreløbige regnskabstal
Skøn i
Økonomisk Redegørelse,
december 2020
Forskel
Heraf pensionsafkastskat
Heraf selskabsskatter (ekskl. Nordsø-indtægter)
Heraf moms
Heraf subsidier
Heraf offentligt forbrug
Heraf kapitaloverførsler til virksomheder
Heraf offentlige investeringer
Heraf øvrige udgifts- og indtægtsposter
-26,7
-80,6
54,0
28,5
6,8
5,0
17,6
10,5
-7,7
-3,5
-3,3
Kilde: Danmarks Statistik,
Økonomisk Redegørelse,
december 2020 samt egne beregninger.
34
Danmarks Konvergensprogram 2021
April 2021
EUU, Alm.del - 2020-21 - Bilag 494: Danmarks konvergensprogram 2021
2383311_0037.png
Kapitel 3
Offentlig saldo og gæld frem til 2025
Saldoen for de offentlige delsektorer
De offentlige delsektorer består af staten, kommuner og regioner samt sociale kasser og fonde. I
Danmark er det som udgangspunkt kun statens saldo, der kan afvige markant fra balance, navnlig set
over en årrække. Underskuddet på statens saldo skønnes til 3,3 pct. af BNP i 2021,
jf. tabel 3.2.
Sta-
tens underskud skønnes at aftage frem mod 2025, hvor der skønnes balance mellem indtægter og
udgifter.
Saldoen for kommuner og regioner antages beregningsteknisk at udvise balance i hele fremskrivnin-
gen, dvs. fra og med 2021. Den kommunale sektors saldo skal som udgangspunkt være i balance op-
gjort på kassebasis, men opgjort på nationalregnskabsform kan der i enkelte år være overskud eller
underskud. Saldoen for de sociale kasser og fonde er ligeledes forudsat at være i balance i hele frem-
skrivningsperioden.
Tabel 3.2
Oversigt over den faktiske offentlige saldo
2020
Pct. af BNP
Staten
Kommuner og regioner
Sociale kasser og fonde
-1,3
0,1
0,0
-3,3
0,0
0,0
-0,9
0,0
0,0
-0,7
0,0
0,0
-0,6
0,0
0,0
0,0
0,0
0,0
2021
2022
2023
2024
2025
Kilde:
Danmarks Statistik og egne beregninger.
Ændring af skøn for den faktiske saldo i forhold til decembervurderingen
Skønnene for den faktiske offentlige saldo i 2021 og 2022 er opdateret sammenlignet med vurderin-
gen i
Økonomisk Redegørelse,
december 2020. I 2021 er det skønnede offentlige underskud øget
med knap 2 pct. af BNP – svarende til ca. 47 mia. kr. – sammenlignet med decembervurderingen. I
2022 skønnes budgetunderskuddet derimod reduceret med ca. 0,7 pct. af BNP – svarende til ca. 16
mia. kr.,
jf. tabel 3.3.
Den skønnede forværring af den faktiske offentlige saldo i 2021 sammenlignet med decembervurde-
ringen drives overvejende af en opjustering af udgifter til subsidier og kapitaloverførsler til virksomhe-
der samt en nedjustering af de skønnede indtægter fra pensionsafkastskatten. I modsat retning træk-
ker blandt andet en opjustering af de skønnede momsindtægter og indtægter fra selskabsskat.
Stigningen i udgifterne til subsidier i 2021 skyldes altovervejende forventede udgifter til kompensati-
onsordninger til erhvervslivet, herunder særligt til lønkompensationsordningen, kompensationsordnin-
gen for virksomheders faste omkostninger og kompensationsordningen for selvstændige. Kompensa-
tionsordningerne har været gældende i hele 2021 frem til nu og er forlænget til udgangen af juni som
led i
Rammeaftale om plan for genåbning af Danmark
(marts 2021).
Den store stigning i udgifterne til kapitaloverførsler til virksomheder i 2021 skyldes overvejende
Aftale
om erstatning mv. til minkavlerne og følgeerhverv berørt af COVID-19
(januar 2021). De skønnede
udgifter til erstatning er beregningsteknisk placeret i 2021 i fremskrivningen.
Danmarks Konvergensprogram 2021
April 2021
35
EUU, Alm.del - 2020-21 - Bilag 494: Danmarks konvergensprogram 2021
2383311_0038.png
Kapitel 3
Offentlig saldo og gæld frem til 2025
Nedjusteringen af de skønnede indtægter fra pensionsafkastskat kan henføres til en forudsætning om
gradvist stigende renter gennem året – målt i forhold til det meget lave niveau ved årsskiftet, og der-
med et lavere forventet afkast fra obligationer og rentederivater end skønnet i december.
Opjusteringen af de skønnede momsindtægter kan henføres til, at de regnskabsførte momsindtægter
i 2020 blev højere end forventet i decembervurderingen. Det afspejler en gunstigere makroøkonomisk
udvikling i løbet af 2020, og det højere 2020-niveau for momsindtægterne skønnes samlet set at
bære med videre i 2021 og 2022.
Tabel 3.3
Ændrede skøn for den faktiske saldo i 2021-2022
2021
Mia. kr.
Økonomisk Redegørelse,
december 2020
+ ændret skøn for indtægter fra moms
+ ændret skøn for selskabsskatter (ekskl. Nordsø-indtægter)
+ ændret skøn for indtægter fra pensionsafkastskat
+ ændret skøn for offentlige forbrugsudgifter
+ ændret skøn for udgifter til indkomstoverførsler
+ ændret skøn for udgifter til subsidier
+ ændret skøn for kapitaloverførsler til virksomheder
+ ændret skøn for nettorenter
+ ændret skøn for øvrige udgifts- og indtægtsposter
Danmarks Konvergensprogram 2021
-31,1
5,1
3,8
-11,5
-1,1
-1,2
-21,6
-18,5
-0,4
-1,2
-77,7
-38,1
5,7
2,2
9,1
-0,2
-0,8
0,0
-1,4
1,3
0,1
-22,0
2022
Pct. af BNP
Økonomisk Redegørelse,
december 2020
Danmarks Konvergensprogram 2021
-1,3
-3,3
-1,5
-0,9
Anm.: Positive tal indikerer en forbedring af den faktiske offentlige saldo – enten i form af højere offentlige indtægter
eller lavere offentlige udgifter. Negative tal indikerer tilsvarende en forværring af den offentlige saldo i form af
lavere indtægter eller højere udgifter.
Kilde: Egne beregninger.
Forbedringen af den faktiske offentlige saldo i 2022 sammenlignet med decembervurderingen drives
hovedsageligt af højere skønnede indtægter fra pensionsafkastskat og moms.
36
Danmarks Konvergensprogram 2021
April 2021
EUU, Alm.del - 2020-21 - Bilag 494: Danmarks konvergensprogram 2021
2383311_0039.png
Kapitel 3
Offentlig saldo og gæld frem til 2025
3.2 Strukturel saldo
Den strukturelle saldo er et beregnet mål for den underliggende stilling på de offentlige finanser ved
den givne finanspolitik og er et centralt styringsinstrument i tilrettelæggelsen af finanspolitikken. Den
strukturelle saldo renses – i modsætning til den faktiske saldo – for virkningen af konjunkturudsving
og en række andre midlertidige forhold og er derfor et mere robust mål for den reelle stilling på de of-
fentlige finanser.
Den mellemfristede fremskrivning i Danmarks Konvergensprogram 2021 er baseret på en opdateret
konjunkturvurdering samt nye politiske aftaler og nye oplysninger mv. Den strukturelle saldo skønnes
aktuelt til 0,3 pct. af BNP i 2020, -0,5 pct. af BNP i 2021 og -0,3 pct. af BNP i 2022,
jf. tabel 3.4.
Det
svarer til en opjustering af den strukturelle saldo på 0,5 pct. af BNP i 2020 og en nedjustering på 0,1
pct. af BNP i 2021, mens skønnet for 2022 er på linje med den seneste vurdering i forbindelse med
Økonomisk Redegørelse,
december 2020.
I 2020 kan opjusteringen af den strukturelle saldo særligt tilskrives, at der indgår et betydeligt mindre
offentligt forbrug i Danmarks Statistiks foreløbige opgørelse for 2020 sammenlignet med skønnet i
december. I 2021 skal nedjusteringen ses i sammenhæng med, at finanspolitikken er lempet med
yderligere 2,4 mia. kr. (svarende til 0,1 pct. af BNP) siden vurderingen i december. Dermed tilrette-
lægges finanspolitikken i 2021 helt til budgetlovens underskudsgrænse, ligesom det blev planlagt i
forbindelse med fremlæggelsen af regeringens finanslovforslag for 2021 i august 2020,
jf. DK2025 -
en grøn, retfærdig og ansvarlig genopretning af dansk økonomi.
Tabel 3.4
Skøn for den strukturelle saldo
2020
Pct. af BNP
DK2025 - en grøn, retfærdig og ansvarlig
genopretning af dansk økonomi,
august 2020
Økonomisk Redegørelse,
december 2020
Konvergensprogram 2021,
april 2021
-0,4
-0,2
0,3
-0,5
-0,4
-0,5
-0,3
-0,3
-0,3
-0,1
-
-0,1
-0,1
-
-0,1
0,0
-
0,0
2021
2022
2023
2024
2025
Kilde:
DK2025 - en grøn, retfærdig og ansvarlig genopretning af dansk økonomi,
august 2020 og
Økonomisk Redegørelse,
december
2020 og egne beregninger.
I den opdaterede fremskrivning til konvergensprogrammet er der udsigt til en underliggende forbed-
ring af den strukturelle saldo på 0,1 pct. af BNP i perioden 2023-2025 (svarende til ca. 2,4 mia. kr. år-
ligt) sammenlignet med den seneste mellemfristede fremskrivning fra august 2020, hvilket særligt kan
henføres til højere skønnede strukturelle nettorenteindtægter. Inden for målet om strukturel balance i
2025 er der således rum til yderligere finanspolitiske disponeringer. Det gælder tilsvarende i 2023-
2024 for så vidt angår udgifter, der ligger uden for udgiftslofterne.
Den underliggende forbedring af de offentlige finanser i perioden 2023-2025 udmøntes til en udvi-
delse af krigskassen i 2023 og 2024, et løft af de offentlige investeringer i 2024 og 2025 samt en for-
Danmarks Konvergensprogram 2021
April 2021
37
EUU, Alm.del - 2020-21 - Bilag 494: Danmarks konvergensprogram 2021
2383311_0040.png
Kapitel 3
Offentlig saldo og gæld frem til 2025
øgelse af det finanspolitiske råderum i 2025,
jf. nærmere i afsnit 3.4 og 3.5.
På den baggrund skøn-
nes den strukturelle saldo således til -0,1 pct. af BNP i 2023-2024 og strukturel balance i 2025 på linje
med forløbet i
DK2025 - en grøn, retfærdig og ansvarlig genopretning af dansk økonomi,
august
2020.
Fra faktisk til strukturel saldo
Beregningen af den strukturelle saldo foretages ved, at den faktiske offentlige saldo korrigeres for de
udsving, der vurderes at følge af konjunkturerne og en række andre midlertidige forhold. Det drejer
sig blandt andet om de ofte store fluktuationer i indtægterne fra pensionsafkastskatten og olie- og
gasindvindingen i Nordsøen. Herudover korrigeres den faktiske offentlige saldo for en række en-
gangsforhold, der kan have betydelig størrelsesorden i de enkelte år. Den strukturelle saldo i et givet
år er dermed et skøn for, hvor stort det offentlige over- eller underskud ville have været i en normal
situation, dvs. en situation, hvor den økonomiske aktivitet hverken er særskilt høj eller lav, og hvor de
offentlige finanser samtidig ikke er påvirket af andre midlertidige forhold.
Eksempelvis beregnes den strukturelle saldo til -0,5 pct. af BNP i 2021 med udgangspunkt i skønnet
for den faktiske offentlige saldo på -3,3 pct. af BNP,
jf. tabel 3.5
(pkt. 1). Da konjunkturerne i 2021
(målt ved et sammenvejet output- og beskæftigelsesgab) skønnes værre end i en normalsituation,
skal den faktiske saldo korrigeres for den ugunstige virkning på den faktiske saldo, som de negative
konjunkturgab indebærer. Den beregnede virkning fra konjunkturerne på den faktiske saldo udgør ca.
-0,4 pct. af BNP i 2021 (pkt. 2).
Udover konjunkturbidraget korrigeres den faktiske offentlige saldo for udsving i en række særlige ind-
tægts- og udgiftsposter (pkt. 3-9). I 2021 skønnes blandt andet lavere faktiske indtægter fra pensions-
afkastskatten end i en normalsituation, ligesom udgifterne til de såkaldte specielle budgetposter er
højere end det beregnede strukturelle niveau (grundet ekstraordinære COVID-19-udgifter af engangs-
karakter). Sådanne forhold korrigeres der for i beregningen af den strukturelle saldo, og samlet set
svarer korrektionen for pkt. 3-9 til -1,7 pct. af BNP i 2021.
Herudover korrigeres der for øvrige forhold (pkt. 10). Det skyldes, at der i nogle år kan være nogle
særlige engangsforhold (udover for de specielle budgetposter) af ikke-tilbagevendende karakter, som
påvirker den faktiske saldo uden at have særlig betydning for den underliggende stilling på de offent-
lige finanser. I 2021 vedrører disse særlige forhold navnlig engangsudgifterne (netto) direkte relateret
til inddæmning og afbødning af COVID-19 på ca. 27¾ mia. kr. (ud over dem, der konteres på de spe-
cielle budgetposter mv.), og i modsat retning, ekstraordinære personskatteindtægter fra udbetalingen
af de resterende to ugers indefrosne feriepenge på ca. 13¼ mia. kr. Forholdene vurderes at have ka-
rakter af engangsforhold og påvirker derfor ikke den strukturelle saldo,
jf. også bilag 3.2.
Engangsudgifter og engangsindtægter er således neutrale for den strukturelle saldo, herunder også
de COVID-19-udgifter, der afholdes til blandt andet kompensationsordninger mv. Hvis der
illustrativt
ikke korrigeres for COVID-19-engangsforhold skønnes den strukturelle saldo med usikkerhed til -1,8
pct. af BNP i 2021.
38
Danmarks Konvergensprogram 2021
April 2021
EUU, Alm.del - 2020-21 - Bilag 494: Danmarks konvergensprogram 2021
2383311_0041.png
Kapitel 3
Offentlig saldo og gæld frem til 2025
Tabel 3.5
Fra faktisk til strukturel saldo
2020
Pct. af BNP
1. Faktisk Saldo
Heraf bidrag til den faktiske saldo fra:
2. Konjunkturgab
3. Selskabsskat
1)
4. Registreringsafgift
5. Aktieskat
6. Pensionsafkastskat
7. Nordsøindtægter
2)
8. Nettorentebetalinger og udbytter
1)
9. Specielle budgetposter
3)
10. Øvrige forhold
4)
Heraf COVID-19-relaterede tiltag
Heraf skatteindtægter fra udbetaling af feriepenge
11. Strukturel saldo (1-2-3-4-5-6-7-8-9-10)
5)
Illustrativ strukturel saldo inkl. COVID-19 engangsforhold
6)
-0,7
0,1
0,0
0,0
0,9
0,0
0,1
-1,2
-0,6
-1,6
0,9
0,3
-1,4
-0,4
0,1
0,0
0,0
-0,8
-0,1
0,0
-1,0
-0,7
-1,2
0,6
-0,5
-1,8
0,1
0,2
0,0
0,0
-0,3
-0,1
0,1
-0,6
0,0
0,0
0,0
-0,3
-0,4
-
0,0
0,0
0,0
-0,5
-0,1
0,0
0,0
0,0
0,0
0,0
-0,1
-0,3
-
0,0
0,0
0,0
-0,5
0,0
0,0
0,0
-0,1
0,0
0,0
-0,1
-0,2
-
-
-
-
-
-
-
-
-
-
-
0,0
0,0
-1,1
-3,3
-0,9
-0,7
-0,6
0,0
2021
2022
2023
2024
2025
7)
1)
2)
Ekskl. indtægter vedrørende aktiviteter i Nordsøen.
Det strukturelle niveau er baseret på det strukturelle provenu, der blev beregnet ved fastsættelse af
udgiftslofterne (hhv. 2020-fremskrivning, august 2016 for 2020, 2025-fremskrivning, august 2017 for 2021,
Opdateret 2025-forløb,
august 2018 for 2022,
Opdateret 2025-forløb,
oktober 2019 for 2023 og
DK2025,
august 2020
for 2024) justeret for holdbarhedsvirkningen af ændringer i de fremtidige nordsøprovenuer i forhold til skønnet
ved loftfastsættelsen. Den varige virkning af de opdaterede provenuskøn svarer til ca. -0,08 pct. af BNP i 2020,
ca. -0,05 pct. af BNP i 2021-2023 og og -0,01 pct. af BNP i 2024.
3)
Der er korrigeret for en række udgifter direkte relateret til inddæmning og afbødning af COVID-19 svarende til i
alt ca. 16,5 mia. kr. i 2020 og 17,4 mia. kr. i 2021. Der er korrigeret for tilbagebetaling af ejendomsskatter som
følge af
Forlig om tryghed om boligbeskatningen
(maj 2017). Det er beregningsteknisk forudsat, at tilbagebetalingen til
boligejerne udgør ca. 1,3 mia. kr. i 2021 og 12,6 mia. kr. i 2022. I 2022 er der også korrigeret for udbetaling af
efterlønsbidrag i forbindelse med
Aftale om ny ret til tidlig pension
svarende til ca. 2,1 mia. kr.
4)
Der er korrigeret for en række udgifter (netto) direkte relateret til inddæmning og afbødning af COVID-19
svarende til i alt ca. 37,1 mia. kr. i 2020 og 27,7 mia. kr. i 2021. Hertil kommer engangsskatteindtægterne fra
udbetalingen af indefrosne feriepenge på ca. 20,4 mia. kr. i 2020 og 13,2 mia. kr. i 2021. I 2020 er der korrigeret
for nye oplysninger om de offentlige indtægter (inkl. oplysninger ift. udbetaling af indefrosne feriepenge), som
endnu ikke vurderes afspejlet i Danmarks Statistiks opgørelse af den faktiske offentlige saldo. I 2020-2024 er der
endvidere korrigeret for investeringen i kampfly, som planlægges i perioden 2021-2026, men påvirker den
strukturelle saldo gennem et syvårs glidende gennemsnit. Øvrige forhold indeholder endvidere forskelle i
tilsagnsniveau og afløb for udviklingsbistanden og omregning fra pct. af faktisk BNP til pct. af strukturelt BNP.
5)
Strukturel saldo opgjort i pct. af strukturelt BNP.
6)
Opgjort inkl. COVID-19-engangsforhold samt hertil relateret tilbageløb på selskabsskat og aktieskat.
7)
Økonomien forudsættes strukturel og den faktiske og strukturelle saldo er således sammenfaldende.
Kilde: Danmarks Statistik og egne beregninger.
Danmarks Konvergensprogram 2021
April 2021
39
EUU, Alm.del - 2020-21 - Bilag 494: Danmarks konvergensprogram 2021
2383311_0042.png
Kapitel 3
Offentlig saldo og gæld frem til 2025
3.3 Finanspolitikkens aktivitetsvirkning
Siden udbruddet af coronakrisen er der gennemført en ekspansiv finanspolitik med både hjælpepak-
ker og stimuli-tiltag, som bidrager til at holde hånden under beskæftigelsen og aktiviteten. Finans- og
strukturpolitikken skønnes således samlet set at øge BNP med ca. 2 pct. i 2020, 3¼ pct. i 2021 og 2
pct. i 2022. Tilsvarende skønnes en markant understøttelse af beskæftigelsen. Uden bidraget fra den
ekspansive finanspolitik havde der således alt andet lige været udsigt til betydelige negative output-
og beskæftigelsesgab i 2020-2022,
jf. figur 3.1 og 3.2.
Figur 3.1
Outputgab
Pct. af BNP
1
0
-1
-2
-3
-4
-5
2020
2021
2022
Outputgab i fravær af finans- og strukturpolitik
Outputgab med besluttet politik
Pct. af BNP
1
0
-1
-2
-3
-4
-5
Figur 3.2
Beskæftigelsesgab
1.000 personer
20
0
-20
-40
-60
-80
-100
2020
2021
2022
Beskæftigelsesgab i fravær af finans- og strukturpolitik
Beskæftigelsesgab med besluttet politik
1.000 personer
20
0
-20
-40
-60
-80
-100
Anm.: Virkningen på konjunkturgabene beskriver finans- og strukturpolitikkens virkning på output- og beskæftigelses-
gabet i et enkelt år (inkl. afledte private investeringer og midlertidige kompensationsordninger mv).
Aktivitetsvirkningen er opgjort som den samlede virkning af finans- og struktur-politikken i forhold til 2019.
Kilde: Danmarks Statistik og egne beregninger.
Finans- og strukturpolitikkens samlede virkning på kapacitetsudnyttelsen i 2020-2022 er helt overve-
jende drevet af efterspørgselsvirkningen af den førte finanspolitik, som isoleret set skønnes at under-
støtte beskæftigelsen med ca. 55.000 personer i 2020, 85.000 personer i 2021 og 40.000 personer i
2022,
jf. tabel 3.6.
Heri indgår også, at hjemsendte med lønkompensation tælles som beskæftigede. I
2020 kan størstedelen af bidraget til aktivitetsvirkningerne tilskrives kompensationsordningerne ved-
rørende COVID-19 mv., mens bidraget fra den mere traditionelle finanspolitik skønnes at udgøre en
tiltagende andel af virkningerne i 2021 og 2022. Virkningen dækker blandt andet over udbetalingen af
feriepenge og øvrige stimuli-tiltag mv.
Finans- og strukturpolitikkens gennemsnitlige virkning på kapacitetsudnyttelsen over perioden 2020-
2022 som helhed skønnes i omtrent samme størrelsesorden som i seneste konjunkturvurdering fra
Økonomisk Redegørelse,
december 2020. De skønnede aktivitetsvirkninger i de enkelte år er imidler-
tid ændret, idet virkningen er nedjusteret i 2020 og opjusteret i 2021. Nedjusteringen af virkningen i
2020 skal ses i sammenhæng med, at udgifterne til kompensationsordningerne vedrørende COVID-
19 mv. blev lavere end forudsat i december, og at der er opgjort et lavere offentligt forbrug i 2020
ifølge Danmarks Statistiks foreløbige nationalregnskabstal. I 2021 er opjusteringen af virkningerne
40
Danmarks Konvergensprogram 2021
April 2021
EUU, Alm.del - 2020-21 - Bilag 494: Danmarks konvergensprogram 2021
2383311_0043.png
Kapitel 3
Offentlig saldo og gæld frem til 2025
drevet af øgede udgifter til kompensationsordningerne til COVID-19 mv., som er blevet forlænget som
følge af vinterens smittebølge og nedlukninger mv.
Tabel 3.6
Finans- og strukturpolitikkens virkning på kapacitetsudnyttelsen (flerårige effekter)
2020
Pct. af BNP
1. Virkning på outputgab ekskl. midlertidige COVID-19 tiltag
1)
2. Virkning af midlertidige kompensationsordninger mv. vedr. COVID-19
3. Virkning på outputgab inkl. midlertidige COVID-19 tiltag (1+2)
- Heraf efterspørgselsvirkning
0,6
1,3
1,9
2,0
1,9
1,4
3,3
3,5
1,6
0,4
2,0
2,3
2021
2022
1.000 personer
1. Virkning på beskæftigelsesgab ekskl. COVID-19
1)
2. Virkning af midlertidige kompensationsordninger mv. vedr. COVID-19.
3. Virkning på beskæftigelsesgab inkl. COVID-19 tiltag (1+2)
- Heraf efterspørgselsvirkning
4
51
55
57
21
59
79
83
20
12
32
40
Anm.: Finans- og strukturpolitikkens virkning på konjunkturgabene beskriver finans- og strukturpolitikkens bidrag til
output- og beskæftigelsesgabet i det enkelte år.
1)
Opgjort ekskl. virkningen af COVID-19-tiltag, som behandles som engangsforhold i opgørelsen af den struktu-
relle saldo, herunder kompensationsordninger mv. Indeholder aktivitetsvirkningen af udbetaling af indefrosne
feriepenge i 2020 og 2021, investeringer i regi af Landsbyggefonden i forlængelse af boligaftalen fra 2020 samt
afledte private investeringer som følge af klimaaftale 2020,
Aftale om stimuli og grøn genopretning, Aftale om grøn
omstilling af vejtransporten
og
Aftale om grøn skattereform,
herunder virkningen af investeringsvinduet i 2021 og 2022.
Kilde: Danmarks Statistik og egne beregninger.
I de efterfølgende år frem mod 2025 er finanspolitikken også tilrettelagt ekspansivt, men lempelserne
er gradvist aftagende i takt med den forudsatte konjunkturfremgang og udfasningen af de midlertidige
kompensationsordninger. Finanspolitikken strammes således gradvist fra 2022 og frem målt år-til-år i
forhold til det lempelige udgangspunkt,
jf. tabel 3.7.
Danmarks Konvergensprogram 2021
April 2021
41
EUU, Alm.del - 2020-21 - Bilag 494: Danmarks konvergensprogram 2021
2383311_0044.png
Kapitel 3
Offentlig saldo og gæld frem til 2025
Tabel 3.7
Finans- og strukturpolitikkens virkning på kapacitetspresset (ét-årige effekter)
2020
Pct. af BNP
Finans- og strukturpolitikkens virkning på kapacitets-
udnyttelsen ekskl. midlertidige COVID-19 tiltag
Virkning af midlertidige kompensationsordninger mv.
Finanseffekt inkl. COVID-19 tiltag
0,6
1,3
1,9
1,2
0,0
1,3
-0,4
-0,9
-1,3
-0,6
-0,3
-0,8
-0,4
-0,1
-0,6
0,2
-0,1
0,1
2021
2022
2023
2024
2025
Anm.: Den ét-årige finanseffekt er en opgørelse af finans- og strukturpolitikkens bidrag til ændringer af outputgabet i et
enkelt år.
Kilde: Danmarks Statistik og egne beregninger.
3.4 Finanspolitisk råderum
Danmarks Konvergensprogram 2021
indeholder et opdateret skøn for det finanspolitiske råderum
frem mod 2025. Det finanspolitiske råderum er et mål for den højest mulige offentlige forbrugsvækst –
givet øvrig besluttet politik i øvrigt – inden for målet om strukturel balance på de offentlige finanser i
2025.
Det finanspolitiske råderum for de enkelte år udmøntes hvert år i forbindelse med tilrettelæggelsen af
finanspolitikken – dvs. i forbindelse med økonomiaftaler med kommuner og regioner samt finanslov-
forslaget og de efterfølgende aftaler om finansloven. Råderummet for 2021 er således udmøntet i for-
bindelse med finanslovsaftalen for 2021 mv.
Tabel 3.8
Opdateret finanspolitisk råderum
2022
Målt ift. niveauet i 2021 (mia. kr., 2021-priser)
DK2025,
august 2020
Konvergensprogram 2021
Konvergensprogram 2021 korrigeret for midlerti-
dige forhold i 2021 relateret til COVID-19
5
�½
5�½
10
14¼
13�½
19�½
14�½
19�½
2023
2024
2025
Anm.: Råderummet er opgjort med usikkerhed, som er stigende ud i tid.
Kilde:
DK2025,
august 2020 og egne beregninger.
42
Danmarks Konvergensprogram 2021
April 2021
EUU, Alm.del - 2020-21 - Bilag 494: Danmarks konvergensprogram 2021
2383311_0045.png
Kapitel 3
Offentlig saldo og gæld frem til 2025
I den seneste mellemfristede fremskrivning i
DK2025 - en grøn, retfærdig og ansvarlig genopretning
af dansk økonomi,
august 2020 blev det finanspolitiske råderum beregnet til ca. 19�½ mia. kr. i 2025
målt i forhold til udgiftsniveauet i 2021, dvs. i forhold til det budgetterede niveau for finanslovsåret. I
indeværende konvergensprogram er der taget højde for de aftaler, der er indgået siden august 2020
samt øvrige nye oplysninger mv. På den baggrund er det finanspolitiske råderum opgjort til ca. 19�½
mia. kr. i 2025 (målt i forhold til udgiftsniveauet i 2021), når der korrigeres for virkningen af midlerti-
dige forhold i 2021 relateret til COVID-19. Det er uændret i forhold til seneste opgørelse i
DK2025,
august 2020.
Hvis der ikke korrigeres for disse midlertidige forhold, udgør det finanspolitiske råderum 14�½ mia. kr.
frem mod 2025,
jf. tabel 3.8.
Det afspejler, at håndteringen af coronakrisen indebærer en række mid-
lertidige merudgifter, som i Konvergensprogrammet påvirker udgiftsniveauet i 2021. Det opdaterede
finanspolitiske råderum skal blandt andet ses i sammenhæng med en række modsatrettede forhold,
som er beskrevet i
boks 3.2.
Danmarks Konvergensprogram 2021
April 2021
43
EUU, Alm.del - 2020-21 - Bilag 494: Danmarks konvergensprogram 2021
2383311_0046.png
Kapitel 3
Offentlig saldo og gæld frem til 2025
Boks 3.2
Ændringer i det finanspolitiske råderum siden august 2020
Siden det mellemfristede forløb i august 2020 er der indregnet nye oplysninger, der påvirker råderummet,
jf. tabel a.
Midlertidige forhold i 2021 relateret til COVID-19:
Midlertidige forhold i 2021 relateret til COVID-19 giver anled-
ning til et midlertidigt højt udgiftsniveau i 2021, der isoleret set reducerer den mulige udgiftsvækst i de efterføl-
gende år målt i forhold til 2021. De ekstraordinære og midlertidige COVID-19-udgifter, der påvirker udgiftsni-
veauet i 2021, reducerer imidlertid ikke prioriteringsrummet til nye udgiftstiltag efter 2021.
Aftale om ny ret til tidlig pension (oktober 2020):
I aftalen indgår et finansieringsbidrag fra nytænkning af beskæf-
tigelsesindsatsen på ca. 1 mia. kr. fra 2024. I fremskrivningen er det beregningsteknisk lagt til grund, at bespa-
relsen udmøntes som lavere driftsudgifter i kommunerne, hvilket isoleret reducerer den højest mulige offentlige
forbrugsvækst, men ikke råderummet til øvrige formål.
Aftale om finansloven for 2021 og Aftale om stimuli og grøn genopretning (december 2020):
I aftalerne er der
samlet set prioriteret flere midler til initiativer, der påvirker det offentlige forbrug i 2021 end i 2025, hvilket isoleret
set reducerer den højest mulige offentlige forbrugsvækst frem mod 2025. Hertil kommer afvigelser i de præcise
forudsætninger om år-til-år virkningen af det forudsatte hjemtag af midler fra EU's genopretningsfacilitet.
Underliggende forbedring af den strukturelle saldo:
Nye oplysninger, herunder højere skønnede strukturelle net-
torenteindtægter, indebærer en underliggende forbedring af den strukturelle saldo med 0,1 pct. af BNP i 2025.
Inden for målet om strukturel balance i 2025 øger det isoleret manøvrerummet med ca. 2�½ mia. kr. Heraf priori-
teres ca. 1�½ mia. kr. til et løft af rammen til offentlige investeringer og 1 mia. kr. til en forøgelse af råderummet.
Øvrige forhold, tekniske justeringer mv.:
Øvrige forhold mv. dækker blandt andet over virkningen af de tekniske
ændringsforslag, skøn for øvrige loftsbelagte udgifter, herunder blandt andet udviklingsbistand, samt merudgifter
relateret til COVID-19, som indgår i opgørelsen af den strukturelle saldo.
Tabel a
Ændringer i det finanspolitiske råderum siden august 2020
2025
Mia. kr. (2021-priser)
DK2025,
august 2020
+ Midlertidige forhold i 2021 relateret til COVID-19
1)
+
Aftale om ny ret til tidlig pension
(oktober 2020)
+
Aftale om finansloven for 2021
og
Aftale om stimuli og grøn genopretning
(december 2020)
+ Underliggende forbedring af den strukturelle saldo
+ Øvrige forhold, tekniske justeringer mv.
2)
Konvergensprogram 2021
med virkning af midlertidige forhold i 2021
Konvergensprogram 2021
korrigeret for midlertidige forhold i 2021 relateret til COVID-19
19�½
-5
-1
1
¾
14�½
19�½
Anm.: Det finanspolitiske råderum opgøres som den højest mulige offentlige forbrugsvækst ekskl. afskrivninger inden
for målet om strukturel balance i 2025 og afrundet til nærmeste kvarte mia. kr.
1)
Øvrige forhold, tekniske justeringer mv. dækker bl.a. over virkningen af de tekniske ændringsforslag, skøn for
øvrige loftsbelagte udgifter, herunder bl.a. udviklingsbistand, samt merudgifter relateret til COVID-19, som ind-
går i opgørelsen af den strukturelle saldo.
Kilde: Danmarks Statistik,
DK2025,
august 2020 og egne beregninger.
44
Danmarks Konvergensprogram 2021
April 2021
EUU, Alm.del - 2020-21 - Bilag 494: Danmarks konvergensprogram 2021
2383311_0047.png
Kapitel 3
Offentlig saldo og gæld frem til 2025
På baggrund af den opdaterede beregning af det finanspolitiske råderum er der i perioden 2022-2025
plads til en offentlig forbrugsvækst på ca. 0,9 pct. årligt, når der korrigeres for midlertidige forhold re-
lateret til COVID-19,
jf. også afsnit 3.5.
Det er større end den gennemsnitlige årlige vækst i det demo-
grafiske træk, der i samme periode udgør ca. 0,5 pct. Den samlede vækst i det demografiske træk i
2025 målt i forhold til 2021 er beregnet til ca. 11 mia. kr.
Det offentlige forbrug er vokset med ca. 3¾ mia. kr. i 2020, mens regeringens prioriteringer på finans-
loven for 2021 mv. indebærer, at det offentlige forbrug kan vokse med ca. 16¾ mia. kr. i 2021 og ca.
11¾ mia. kr. korrigeret for midlertidige forhold relateret til COVID-19 i 2021. Det indebærer samlet
set, at der er plads til en mulig vækst i det offentlige forbrug på ca. 34¾ mia. kr. frem mod 2025 målt i
forhold til 2019, hvor regeringen trådte til, eller ca. 1,1 pct. i offentlig forbrugsvækst om året i gennem-
snit,
jf. figur 3.3.
Figur 3.3
Offentlig forbrugsvækst og finanspolitisk råderum, 2020-2025
40
35
30
25
20
15
10
5
0
2020
2021
2022
2023
Offentlig forbrugsvækst i 2021
2024
Finanspolitisk råderum
2025
Offentlig forbrugsvækst i 2020
Offentlig forbrugsvækst
på 3¾ mia. kr. i 2020.
Offentlig forbrugsvækst på
ca. 11¾ mia. kr. i 2021
(korrigeret for COVID-19)
Finanspolitisk råderum på 19�½
mia. kr. fra 2021 til 2025.
(korrigeret for COVID-19)
Samlet mulig stigning i
offentligt forbrug på 34¾
mia. kr. fra 2019 til 2025.
40
35
30
25
20
15
10
5
0
Anm.: Det offentlige forbrug er opgjort ved inputmetoden (ekskl. afskrivninger). Det skraverede område angiver
virkningen af midlertidige forhold relateret til COVID-19 i 2021 målt i forhold til det samlede offentlige
forbrugsniveau i 2020.
Kilde: Danmarks Statistik og egne beregninger.
Det samlede råderum i finanspolitikken frem mod 2025 er dog begrænset og vil skulle prioriteres med
omhu – herunder i forhold til den demografiske udvikling og det ambitiøse mål om at reducere udled-
ningen af drivhusgasser med 70 pct. Det skal blandt andet ses i sammenhæng med, at en del af det
finanspolitiske råderum er reserveret til det besluttede løft af forsvaret i forbindelse med
Forsvarsforli-
get
(januar 2018) samt reserve til sikring af gode rammebetingelser i dansk erhvervsliv i forlængelse
af
Nordsøaftalen
(marts 2017). Eksklusiv disse reserverede midler er det finanspolitiske råderum til
øvrige prioriteringer ca. 2 mia. kr. lavere i 2025 målt i forhold til 2021,
jf. bilag 3.3.
Råderummet skal i
fravær af ny finansiering blandt andet dække de løbende årlige aftaler om finanslove samt kommuner
og regioners økonomi og uomgængelige merudgifter mv.
Danmarks Konvergensprogram 2021
April 2021
45
EUU, Alm.del - 2020-21 - Bilag 494: Danmarks konvergensprogram 2021
2383311_0048.png
Kapitel 3
Offentlig saldo og gæld frem til 2025
3.5 Offentligt forbrug, offentlige investeringer og ramme til
håndtering af COVID-19
Offentligt forbrug og demografisk træk
Givet målet om strukturel balance i 2025 er der – når der ikke korrigeres for midlertidige COVID-19
udgifter under det offentlige forbrug i 2021 – plads til en gennemsnitlig offentlig forbrugsvækst på 0,7
pct. om året i perioden 2022-2025,
jf. figur 3.4.
Når der korrigeres for midlertidige forhold relateret til
COVID-19 er der i perioden 2022-2025 plads til en årlig offentlig forbrugsvækst på ca. 0,9 pct., hvilket
skal ses i sammenhæng med en gennemsnitlig vækst i det demografiske træk på 0,5 pct. årligt i
samme periode.
Figur 3.4
Offentlig forbrugsvækst og demografisk træk i
2022-2025
Pct.
1,0
Pct.
1,0
Tabel 3.9
Skøn for det offentlige forbrug
Realvækst, pct.
Decembervurdering, 2020
Konvergensprogram 2021
-
Ændring, pct.-point
2021
1,4
3,2
1,8
3,6
2022
-0,3
0,1
0,4
0,9
0,8
0,8
0,6
0,6
Korrigeret for midlertidige for-
hold relateret til COVID-19
Mia. kr., årets priser
Decembervurdering, 2020
Konvergensprogram 2021
- Ændring, mia. kr.
0,4
0,4
0,2
0,2
597,8
598,9
1,1
605,8
605,9
0,1
0,0
Gns. årlig vækst i offentlig
forbrug
Gns. årlig vækst i
demografisk træk
0,0
Korrigeret for midlertidige forhold relateret til covid-19
Anm.: Figur 3.4 viser den gennemsnitlige årlige vækst i hhv. det offentlige forbrug og det demografiske træk i 2022-
2025. Prikken angiver den gennemsnitlige årlige vækst i det offentlige forbrug i perioden 2022-2025, når der
korrigeres for midlertdige forhold realteret til COVID-19.
Kilde: Danmarks Statistik og egne beregninger.
Det offentlige forbrug skønnes at vokse realt med 3,2 pct. i 2021, hvilket er en opjustering på 1,8 pct.-
point i forhold til skønnet i
Økonomisk Redegørelse,
december 2020,
jf. tabel 3.9 og figur 3.5.
Opju-
steringen af den offentlige forbrugsvækst kan primært henføres til, at Danmarks Statistiks foreløbige
opgørelse indebærer et lavere niveau for det offentlige forbrug i 2020 end forudsat i decembervurde-
ringen. Desuden er det nominelle offentlige forbrug i 2021 opjusteret med 1,1 mia. kr. i forhold til de-
cembervurderingen, hvilket primært kan henføres til besluttede merudgifter relateret til COVID-19. I
modsat retning trækker en korrektion af det reale offentlige forbrug i forbindelse med hjemsendte
medarbejdere.
1
Hvis der justeres for midlertidige forhold relateret til COVID-19 i 2020 og 2021, skøn-
nes den offentlige forbrugsvækst til ca. 3,6 pct. i 2021.
Korrektionen følger Eurostats retningslinjer for den nationalregnskabsmæssige behandling af hjemsendte medarbejdere i
forbindelse med COVID-19. Det er beregningsteknisk antaget, at det reale offentlige forbrug i 2021 nedjusteres med ca.
0,4 pct. ift. skønnet i december som følge af afholdte lønudgifter i den offentlige sektor til arbejdstimer, der ikke er blevet
1
46
Danmarks Konvergensprogram 2021
April 2021
EUU, Alm.del - 2020-21 - Bilag 494: Danmarks konvergensprogram 2021
2383311_0049.png
Kapitel 3
Offentlig saldo og gæld frem til 2025
I 2022 er de skønnede nominelle offentlige forbrugsudgifter omtrent uændret i forhold decembervur-
deringen, mens den reale offentlige forbrugsvækst skønnes til 0,1 pct. Når der korrigeres for midlerti-
dige forhold relateret til COVID-19 i 2021, udgør skønnet for den offentlig forbrugsvækst ca. 0,9 pct. i
2022.
For 2023 og frem svarer den beregningstekniske offentlige forbrugsvækst til den højest mulige offent-
lige forbrugsvækst givet det mellemfristede mål om strukturel balance i 2025 (det finanspolitiske råde-
rum). I fremskrivningen kan de offentlige forbrugsudgifter (ekskl. afskrivninger) vokse med i gennem-
snit ca. 0,9 pct. om året i perioden 2023-2025.
Figur 3.5
Offentlig forbrugsvækst, 2000-2025
Pct.
4
Pct.
4
Figur 3.6
Offentigt forbrugsniveau, 2000-2025
Pct. af BNP
30
29
Pct. af BNP
30
29
28
27
26
Gns. 1990-2007
25
24
23
22
00 02 04 06 08 10 12 14 16 18 20 22 24
3
3
28
27
2
2
26
25
1
Gns. 2023-2025
1
24
23
0
Gns. 00- Gns. 10- 2021
20
20
Regnskabstal
Beregningsteknisk
2022
2023
2024
2025
0
22
Skøn
Korrigeret for COVID-19
Anm.: Den offentlige forbrugsvækst er opgjort ved inputmetoden (ekskl. afskrivninger).
Kilde: Danmarks Statistik og egne breegninger.
På baggrund af den forudsatte realvækst i det offentlige forbrug skønnes de offentlige forbrugsudgif-
ter at udgøre en let faldende andel af BNP frem mod 2025,
jf. figur 3.6.
Det skal primært ses i lyset af
det særligt høje udgiftsniveau i 2021 grundet midlertidige merudgifter til COVID-19. I perioden 2021-
2025 er de offentlige forbrugsudgifters andel af BNP fortsat over et historisk gennemsnit fra før fi-
nanskrisen (1990-2007).
Offentlige investeringer
De offentlige investeringer, som andel af BNP, har de seneste år ligget på et historisk højt niveau og
forventes også at gøre det de kommende år,
jf. figur 3.7.
Skønnet for de offentlige investeringer i 2021 og 2022 er uændrede i forhold til
Økonomisk Redegø-
relse,
december 2020. Niveauet for 2023 er opjusteret i forhold til fremskrivningen i
DK2025 – en
grøn, retfærdig og ansvarlig genopretning af dansk økonomi,
august 2020, hvilket er en følge af
Aftale
realiseret. De samlede indregnede korrektioner i 2020-21 bidrager isoleret set til en realvækst i det offentlige forbrug på ca.
�½ pct. i 2021. Der henvises desuden til boks 8.5 i
Økonomisk Redegørelse,
august 2020, hvor der indgår en uddybende forkla-
ring om baggrunden for korrektionen.
Danmarks Konvergensprogram 2021
April 2021
47
EUU, Alm.del - 2020-21 - Bilag 494: Danmarks konvergensprogram 2021
2383311_0050.png
Kapitel 3
Offentlig saldo og gæld frem til 2025
om stimuli og grøn genopretning
(december 2020). Hertil kommer, at der i fremskrivningen er priorite-
ret yderligere ca. 1¼ mia. kr. i 2024 og ca. 1�½ mia. kr. i 2025 til offentlige investeringer som led i ud-
møntningen af en underliggende forbedring af den strukturelle saldo i
Danmarks Konvergensprogram
2021.
Samlet set skønnes de samlede offentlige investeringer i perioden 2021-2025 at udgøre mellem 3,5
og 3,8 pct. af BNP. Niveauet for de offentlige investeringer har efter finanskrisen ligget over gennem-
snittet i perioden 1990-2007. Forløbet frem mod 2025 indebærer, at de samlede offentlige investerin-
ger stiger fra ca. 87 mia. kr. i 2021 til 97 mia. kr. i 2023, hvorefter de aftager til godt 90 mia. kr. i 2025
(2021-priser).
Figur 3.7
Offentlige investeringer, pct. af BNP
Pct. af BNP
4,0
3,8
3,5
3,3
3,0
2,8
2,5
2,3
90
95
00
05
10
15
20
25
Offentlige investeringer
Pct. af BNP
4,0
3,8
3,5
3,3
Figur 3.8
Offentlige investeringer, mia. kr. (2021-priser)
Mia. kr. (2021-priser)
80
70
60
50
40
Mia. kr. (2021-priser)
80
70
60
50
40
30
20
10
0
07 08 09 10 11 12 13 14 15 16 17 18 19 20 21 22 23 24 25
Bygninger og anlæg
Forskning og udvikling
3,0
2,8
2,5
2,3
Gennemsnit i perioden 1990-2007
30
20
10
0
Kilde: Danmarks Statistik og egne beregninger.
Størstedelen af de offentlige investeringer udgøres af investeringer i bygninger og anlæg, mens en
mindre del udgøres af forskning og udvikling,
jf. figur 3.8.
Det er væksten i investeringerne i bygninger
og anlæg, der bidrager til den markante samlede stigning i de offentlige investeringer frem mod 2023.
Ramme til håndtering af COVID-19
I
DK2025 – en grøn, retfærdig og ansvarlig genopretning af dansk økonomi,
august 2020 blev der af-
sat en midlertidig ramme til håndtering af udfordringer i lyset af COVID-19 mv. Rammen blev afsat til
håndtering af de løbende udgiftsbehov, der opstår som følge af coronapandemien. Samtidig har ram-
men givet mulighed for at igangsætte nye initiativer, der kan bidrage yderligere til den økonomiske
aktivitet, herunder med nye investeringer i fremtiden.
En væsentlig del af rammen er således udmøntet i regi af en række politiske aftaler indgået primo de-
cember 2020, herunder særligt
Aftale om stimuli og grøn genopretning, Aftale om grøn omstilling af
vejtransporten
og
Aftale om en grøn skattereform.
Sammen med den midlertidige nationale ramme
indgik forventet hjemtag af midler fra EU’s genopretningsfacilitet som finansiering af en række af initi-
ativerne i aftalerne.
48
Danmarks Konvergensprogram 2021
April 2021
EUU, Alm.del - 2020-21 - Bilag 494: Danmarks konvergensprogram 2021
2383311_0051.png
Kapitel 3
Offentlig saldo og gæld frem til 2025
Siden de indgåede aftaler er der disponeret yderligere midler fra den midlertidige ramme til nye CO-
VID-19-relaterede udgiftstiltag – særligt i 2021, men også i efterfølgende år, herunder blandt andet
som led i
Aftale om tillæg til aftale om genåbning af de generelle kompensationsordninger, Aftale om
yderligere forbedringer af hjælpepakkerne for ikke mindst de mindre erhvervsdrivende
mv.
Med afsæt i de indgåede aftaler er den midlertidige ramme på den baggrund samlet set nedjusteret i
den opdaterede fremskrivning i forbindelse med Konvergensprogrammet sammenlignet med august-
fremskrivningen. I modsat retning trækker dog, at den midlertidige ramme i 2021 isoleret er opskrevet
med 2,4 mia. kr. ved at lempe den strukturelle offentlige saldo med 0,1 pct. af BNP. Samtidig opjuste-
res rammen med 2,4 mia. kr. i 2023 og 1,2 mia. kr. i 2024 som led i udmøntningen af en underlig-
gende forbedring af den strukturelle offentlige saldo i forbindelse med Konvergensprogrammet.
I Konvergensprogrammet udgør rammen således 3,7 mia. kr. i 2021 faldende til 1,6 mia. kr. i 2024,
jf.
tabel 3.10.
Tabel 3.10
Justeringer af den midlertidige ramme til håndtering af COVID-19 siden
DK2025
2021
Mia. kr., 2021-priser
Ramme til håndtering af COVID-19 mv. i
DK2025,
august 2020
+ Nettoudmøntninger af rammen siden august
+ Lempelse af den strukturelle saldo i 2021
+ Udmøntning af underliggende forbedring af den
strukturelle offentlige saldo i 2023 og 2024
Ramme til håndtering af COVID-19 mv. i KP21
7,7
-6,4
2,4
-
3,7
6,2
-2,9
-
-
3,3
2,4
-1,4
-
2,4
3,4
1,0
-0,6
-
1,2
1,6
0,0
0,0
-
-
0,0
2022
2023
2024
2025
Kilde:
DK2025,
august 2020 og egne beregninger.
3.6 Udgifter og indtægter som andele af BNP
De offentlige udgifters andel af BNP nåede historisk høje niveauer i slutningen af 2000’erne, hvor der
i en årrække var relativt høj vækst i de offentlige udgifter, og hvor BNP faldt i kølvandet på den glo-
bale finanskrise. Når der tages højde for midlertidige bidrag, som fx udsving i konjunkturerne, har ud-
gifterne som andel af BNP været aftagende fra 2012 til 2019,
jf. figur 3.9.
I 2020 steg de primære ud-
gifter som andel af BNP og ventes at stige yderligere i 2021, hvilket blandt andet kan tilskrives de fi-
nanspolitiske stimuli-tiltag (ekskl. engangsudgifter) mv., som er iværksat for at modgå virkningen af
COVID-19. Frem mod 2025 vender de primære udgifter som andel af BNP tilbage til niveauet i årene
umiddelbart inden coronakrisen i takt med, at finanspolitikken normaliseres.
Skattetrykket renset for konjunktur og midlertidige forhold skønnes at udgøre en omtrent konstant an-
del af BNP i perioden 2019-2025,
jf. figur 3.10.
Danmarks Konvergensprogram 2021
April 2021
49
EUU, Alm.del - 2020-21 - Bilag 494: Danmarks konvergensprogram 2021
2383311_0052.png
Kapitel 3
Offentlig saldo og gæld frem til 2025
Figur 3.9
Primære udgifter som andel af BNP frem mod
2025
Pct. af BNP
60
Pct. af BNP
60
Figur 3.10
Skattetryk frem mod 2025
Pct. af BNP
60
Pct. af BNP
60
55
55
55
55
50
50
50
50
45
45
45
45
40
40
90 92 94 96 98 00 02 04 06 08 10 12 14 16 18 20 22 24
Primære udgifter
Primære udgifter renset for konjunktur og midlertidige forhold
40
90 92 94 96 98 00 02 04 06 08 10 12 14 16 18 20 22 24
Skattetryk
Skattetryk renset for konjunktur og midlertidige forhold
40
Anm.: Skattetrykket er opgjort ekskl. nordsøindtægter. De primære udgifter omfatter de offentlige udgifter ekskl.
renteudgifter. De røde kurver afspejler tilnærmede opgørelser af skattetryk og de primære udgifter som andel af
BNP, hvor der blandt andet korrigeres for påvirkningen af konjunktursituationen, engangsindtægter fra
omlægning af kapitalpensioner og udbetaling af indefrosne feriepenge samt engangsudgifter fra udbetalingen af
efterlønsbidrag og kompensationsordninger for COVID-19 mv., samt midlertidige udsving i blandt andet
indtægter fra pensionsafkastskatten svarende til den metode, der anvendes i beregningen af den strukturelle
saldo. Opgørelsen af de primære udgifter og skattetrykket renset for konjunktur og midlertidige forhold er
beregnet med afsæt i et strukturelt BNP, som er behæftet med usikkerhed.
Kilde: Danmarks Statistik og egne beregninger.
De faktiske offentlige udgifter
De samlede offentlige udgifter er opgjort til ca. 53 pct. af BNP i 2020. Udgiftstrykket skønnes fastholdt
på dette høje niveau i 2021, hvilket overvejende skal ses i lyset af de ekstraordinære midlertidige ud-
gifter forbundet med kompensationsordninger til erhvervslivet mv. i lyset af COVID-19. De samlede
udgifter skønnes således ca. konstante som andel af BNP fra 2020 til 2021. Herefter skønnes ande-
len at aftage til 49 pct. af BNP frem mod 2025,
jf. tabel 3.11.
50
Danmarks Konvergensprogram 2021
April 2021
EUU, Alm.del - 2020-21 - Bilag 494: Danmarks konvergensprogram 2021
2383311_0053.png
Kapitel 3
Offentlig saldo og gæld frem til 2025
Tabel 3.11
De offentlige udgifters sammensætning
2020
Pct. af BNP
Samlede offentlige udgifter (udgiftstryk)
1)
Primære udgifter
- offentligt forbrug
- offentlige investeringer
- indkomstoverførsler
- subsidier
- øvrige primære udgifter
Renteudgifter
52,9
52,4
24,8
3,6
16,6
3,0
4,4
0,5
53,0
52,3
25,1
3,7
16,4
2,9
4,3
0,7
49,9
49,4
24,3
3,7
15,9
1,6
4,0
0,5
49,4
48,7
24,2
3,8
15,7
1,5
3,4
0,7
49,1
48,4
24,2
3,6
15,8
1,4
3,3
0,6
49,0
48,3
24,4
3,5
15,8
1,4
3,2
0,6
2021
2022
2023
2024
2025
1)
Opgørelsen af de samlede offentlige udgifter (og indtægter) afviger fra Danmarks Statistiks opgørelse. Udgifts-
trykket er her beregnet med afsæt i en opgørelse af de samlede udgifter, hvor alle delelementer af det offentlige
forbrug – herunder fx imputerede udgifter i form af afskrivninger og indtægter i form af salg af varer og tjene-
steydelser – henføres til udgiftssiden.
Kilde: Danmarks Statistik og egne beregninger.
De
offentlige forbrugsudgifter
udgjorde knap 25 pct. af BNP i 2020 og skønnes at udgøre godt 25 pct.
af BNP i 2021. Herefter skønnes forbrugsudgifterne reduceret til ca. 24¼ pct. af BNP i 2022 og fast-
holdt på dette niveau frem mod 2025. Det højere niveau i 2020 og 2021 skal blandt andet ses i lyset
af midlertidige udgifter til myndighedsopgaver relateret til COVID-19 i form af indkøb af værnemidler,
vacciner mv.
De
offentlige investeringer
skønnes at udgøre mellem 3�½ og 3¾ pct. af BNP i perioden frem mod
2025. Udgiftsforløbet skal primært ses i lyset af den underliggende profil i den politisk besluttede
ramme til offentlige investeringer i bygninger og anlæg frem mod 2025.
Udgifterne til
indkomstoverførsler
skønnes reduceret fra ca. 16�½ pct. af BNP i 2020 til ca. 15¾ pct. af
BNP i 2025. Udviklingen skal blandt andet ses i lyset af, at udgifterne til ledighedsrelaterede overførs-
ler skønnes reduceret fra 2020 til 2022. Fra 2022 til 2025 er udgiftsandelen for indkomstoverførslerne
nogenlunde konstant.
Udgifterne til
subsidier
er opgjort til ca. 3 pct. af BNP i 2020, hvilket er markant over normalniveauet.
Det afspejler de ekstraordinære udgifter til kompensationsordninger til erhvervslivet mv. i lyset af CO-
VID-19. Det høje niveau for udgifter til subsidier skønnes af samme årsag fastholdt i 2021, hvorefter
det forventes reduceret til ca. 1�½ pct. af BNP frem mod 2025.
De offentlige
renteudgifter
er opgjort til ca. �½ pct. af BNP i 2020. Frem mod 2025 skønnes renteudgif-
terne at udgøre et lidt højere niveau som andel af BNP.
Danmarks Konvergensprogram 2021
April 2021
51
EUU, Alm.del - 2020-21 - Bilag 494: Danmarks konvergensprogram 2021
2383311_0054.png
Kapitel 3
Offentlig saldo og gæld frem til 2025
De faktiske offentlige indtægter
De samlede offentlige indtægter skønnes at blive reduceret fra godt 51�½ pct. af BNP i 2020 til ca. 49
pct. af BNP i 2025,
jf. tabel 3.12.
Udviklingen skal blandt andet ses i sammenhæng med, at der for
2020 er tale om faktiske indtægter, hvor enkelte indtægtskilder lå særligt højt, mens fremskrivningen i
2025 er baseret på strukturelle forudsætninger.
Udviklingen er blandt andet påvirket af, at indtægterne fra
pensionsafkastskatten
– som afhænger af
udviklingen på de finansielle markeder og dermed kan svinge meget fra år til år – var forholdsvis høje
i 2020, svarende til 2,1 pct. af BNP, mens de i 2025 forudsættes at udgøre 1,2 pct., svarende til det
skønnede strukturelle niveau. Ud over aktier mv., har pensionsselskaberne en relativt stor andel af
deres aktiver placeret i obligationer, hvis værdi alt andet lige falder, hvis renterne stiger. Udsving i
renterne kan siges at ”flytte” skatteprovenu mellem årene. Det kan have relativt stor betydning for det
målte skattetryk og den faktiske offentlige saldo i enkeltår. Finanspolitikken tilrettelægges imidlertid
efter det strukturelle indtægtsniveau, og udsving i de årlige faktiske indtægter fra pensionsafkastskat-
ten har ikke nogen nævneværdig, realøkonomisk betydning.
Udviklingen dækker også over, at
personskatteindtægterne
udgjorde ca. 21,7 pct. af BNP i 2020 og
ventes at aftage til ca. 20,4 pct. af BNP i 2025. Det skal blandt andet ses i lyset af ekstraordinært høje
indtægter fra personskatter i 2020 og 2021 som følge af udbetaling af indefrosne feriemidler.
Øvrige indirekte skatter
omfatter primært punktafgifter i form af blandt andet energi- og miljøafgifter,
afgifter på nydelsesmidler, spilafgifter. Hertil kommer blandt andet indtægterne fra registreringsafgif-
ten, de kommunale ejendomsskatter (grundskyld mv.), erhvervenes motorafgifter, lønsumsafgiften og
tinglysningsafgiften. Indtægterne fra de øvrige indirekte skatter skønnes at aftage fra ca. 6,3 pct. af
BNP i 2020 til 5,7 pct. af BNP i 2025.
Selskabsskatter
er i 2020 foreløbigt opgjort til ca. 2,6 pct. af BNP og ventes at ligge på samme niveau
i hele perioden frem til 2025.
Momsindtægterne
udgjorde ifølge Danmarks Statistik ca. 9,6 pct. af
BNP i 2020 og ventes at ligge på et omtrent uændret niveau frem mod 2025. Endeligt skønnes også
de offentlige renteindtægter
at være stabile frem mod 2025 og udgøre knap 1 pct. af BNP.
52
Danmarks Konvergensprogram 2021
April 2021
EUU, Alm.del - 2020-21 - Bilag 494: Danmarks konvergensprogram 2021
2383311_0055.png
Kapitel 3
Offentlig saldo og gæld frem til 2025
Tabel 3.12
De offentlige indtægters sammensætning
2020
Pct. af BNP
Personskatter mv.
1)
Arbejdsmarkedsbidrag
Pensionsafkastskat
Selskabsskatter
- selskabsskat af kulbrintevirksomhed
- øvrig selskabsskat
Moms
Øvrige indirekte skatter
Øvrige skatter
2)
Skattetryk
Renteindtægter
3)
Øvrige indtægter
4)
Told mv. til EU
5)
Indtægter i alt
6)
21,7
4,5
2,1
2,6
0,0
2,6
9,6
6,3
0,1
47,0
0,9
4,0
-0,1
51,7
21,2
4,5
0,4
2,6
0,0
2,6
9,7
6,2
0,1
44,8
1,0
4,2
-0,1
49,8
20,6
4,4
0,9
2,6
0,1
2,6
9,6
6,0
0,0
44,1
0,9
4,1
-0,1
49,0
20,4
4,3
0,7
2,6
0,1
2,6
9,6
6,0
0,0
43,7
1,0
4,1
-0,1
48,7
20,4
4,3
0,7
2,6
0,1
2,6
9,7
5,8
0,0
43,5
0,9
4,2
-0,1
48,5
20,4
4,4
1,2
2,6
0,1
2,6
9,7
5,7
0,0
44,1
0,8
4,3
-0,1
49,0
2021
2022
2023
2024
2025
8)
Memopost: nordsøindtægter
7)
0,0
0,0
0,1
0,1
0,1
0,1
Personskatter mv. indeholder indkomstskat, ejendomsværdiskat, vægtafgift fra husholdninger, bo- og gaveafgift
samt andre personlige skatter.
2)
Øvrige skatter indeholder medielicens (primært til DR) og obligatoriske pensionsbidrag for tjenestemænd i of-
fentlige selskaber mv.
3)
Inkl. udbytter og Nationalbankens overskud.
4)
Øvrige indtægter indeholder blandt andet overskud af offentlig virksomhed, diverse drifts- og kapitaloverførsler
fra andre indenlandske sektorer og EU samt imputerede (beregnede) indtægter i form af både bruttorestind-
komst og bidrag til tjenestemandspensioner. Endvidere indgår statens indtægter fra statsdeltagelse i forbindelse
med olie- og gasindvinding i Nordsøen og kulbrinteskatten.
5)
Ifølge nationalregnskabsprincipperne kategoriseres disse indtægter som skatter og indgår derfor i skattetrykket,
men da indtægterne tilfalder EU, indgår de ikke i de offentlige indtægtstryk.
6)
Opgørelsen af de samlede offentlige indtægter afviger fra Danmarks Statistiks opgørelse, der blandt andet henfø-
rer det offentliges salg af varer og tjenester til indtægtssiden og ikke, som her, til udgiftssiden som en del af de
samlede forbrugsudgifter. De samlede indtægter er her desuden opgjort inkl. bruttorestindkomst, som er mod-
svaret til de imputerede afskrivningsudgifter, der indgår i opgørelsen af det offentlige forbrug.
7)
De samlede nordsøindtægter udgøres af kulbrinteskat, selskabsskat af kulbrintevirksomhed og udbytter fra
Nordsøfonden. Nordsøindtægterne indgår i selskabsskatter, renteindtægter og øvrige indtægter.
8)
Efter 2022 er de fremskrevne niveauer baseret på beregningstekniske principper.
Kilde: Danmarks Statistik og egne beregninger.
1)
Danmarks Konvergensprogram 2021
April 2021
53
EUU, Alm.del - 2020-21 - Bilag 494: Danmarks konvergensprogram 2021
2383311_0056.png
Kapitel 3
Offentlig saldo og gæld frem til 2025
3.7 Den offentlige gæld
Den offentlige bruttogæld (opgjort ved ØMU-gælden) er øget moderat under coronakrisen som følge
af blandt andet det økonomiske tilbageslag, hjælpepakkerne under nedlukningen og øvrige initiativer,
der understøtter genopretningen af dansk økonomi. Danmark har imidlertid i udgangspunkt en lav of-
fentlig gæld. Den danske ØMU-gæld ligger derfor fortsat væsentligt under grænsen i Stabilitets- og
Vækstpagten på 60 pct. af BNP, ligesom gælden fortsat er lav i international og historisk sammen-
hæng,
jf. kapitel 1.
Danmark har samtidig fortsat den højeste internationale kreditvurdering (AAA-ra-
ting)
Den danske ØMU-gæld udgjorde i 2020 ca. 42 pct. af BNP mod ca. 33 pct. af BNP ved udgangen af
2019, dvs. før coronakrisen. Det finanspolitiske mål om strukturel balance i 2025 er med til at stabili-
sere udviklingen i ØMU-gælden, der således forventes at aftage en smule frem mod 2025, hvor
ØMU-gælden skønnes at udgøre knap 40 pct. af BNP,
jf. tabel 3.13.
Tabel 3.13
Oversigt over den offentlige gæld, ultimo året
2020
Pct. af BNP
ØMU-gæld
Offentlig nettogæld
42,2
-11,0
40,7
-7,4
41,3
-6,2
41,6
-5,1
41,3
-4,2
39,7
-4,1
2021
2022
2023
2024
2025
Memopost: Faktisk offentlig saldo
-1,1
-3,3
-0,9
-0,7
-0,6
0,0
Kilde: Danmarks Statistik og egne beregninger.
Den offentlige nettogæld – dvs. passiver minus aktiver – er negativ. Danmark har således en offentlig
nettoformue, der ved udgangen af 2020 var vokset til ca. 11 pct. af BNP. Den offentlige nettogæld er
det centrale gældsbegreb i vurderingen af finanspolitikkens langsigtede holdbarhed.
Inden coronakrisen havde Danmark en offentlig nettoformue på 6 pct. af BNP i 2019, og denne er så-
ledes vokset betydeligt i løbet af 2020. Stigningen i nettoformuen i 2020 afspejler primært kursæn-
dringer på de offentlige aktiver og passiver – særligt kursstigninger på statens aktiebeholdning i ener-
giselskabet Ørsted A/S. Den offentlige nettoformue forventes at blive reduceret frem mod 2025, men
Danmark skønnes fortsat at have en offentlig nettoformue ved udgangen af 2025 på ca. 4 pct. af
BNP.
Den skønnede år-til-år udvikling i nettogælden er behæftet med særlig usikkerhed, idet udviklingen i
nettogælden ud over stillingen på den offentlige saldo også afhænger af kursreguleringer på det of-
fentliges aktiver og passiver. Kursreguleringer på de offentlige passiver vil have en tendens til at blive
udjævnet henover årene. For de offentlige aktiver ventes der generelt at være positive omvurderinger
i gennemsnit hen over årene.
54
Danmarks Konvergensprogram 2021
April 2021
EUU, Alm.del - 2020-21 - Bilag 494: Danmarks konvergensprogram 2021
2383311_0057.png
Kapitel 3
Offentlig saldo og gæld frem til 2025
Bilag 3.1 Beregning af strukturel saldo i 2020-2022
Bilagstabel 3.1.1
Faktiske og strukturelle særlige poster i beregningen af den strukturelle saldo
2020
Pct. af BNP
1. Faktisk saldo
-1,1
-3,3
-0,9
2021
2022
Konjunkturrensning
i) Outputgab
ii) Beskæftigelsesgab
a) Sammenvejet konjunkturgab = i)*0,4+ii)*0,6
b) Budgetfaktor
c) 1-(outputgab/100)
2. Konjunkturbidrag = a)*b)*c)
-1,8
-0,3
-0,9
0,75
1,02
-0,7
-0,8
-0,4
-0,6
0,74
1,01
-0,4
0,2
0,1
0,1
0,74
1,00
0,1
Selskabsskat
Faktisk provenu
Strukturelt provenu
3. Korrektion for selskabsskat
2,6
2,5
0,1
2,6
2,4
0,1
2,6
2,4
0,2
Registreringsafgift
Faktisk provenu
Strukturelt provenu
4. Korrektion for registreringsafgift
0,8
0,8
0,0
0,8
0,8
0,0
0,7
0,8
0,0
Aktieskat
Faktisk provenu
Strukturelt provenu
5. Korrektion for aktieskat
1,0
1,1
0,0
1,1
1,1
0,0
1,1
1,1
0,0
Danmarks Konvergensprogram 2021
April 2021
55
EUU, Alm.del - 2020-21 - Bilag 494: Danmarks konvergensprogram 2021
2383311_0058.png
Kapitel 3
Offentlig saldo og gæld frem til 2025
Bilagstabel 3.1.1 (fortsat)
Faktiske og strukturelle særlige poster i beregningen af den strukturelle saldo
2020
Pct. af BNP
Pensionsafkastskat
Faktisk provenu
Strukturelt provenu
6. Korrektion for pensionsafkastskat
2,1
1,2
0,9
0,4
1,2
-0,8
0,9
1,2
-0,3
2021
2022
Nordsøprovenu
Faktisk provenu
Strukturelt provenu
7. Korrektion for nordsøprovenu
0,0
0,1
0,0
0,0
0,1
-0,1
0,1
0,2
-0,1
Nettorenter og udbytter
Faktisk provenu
Strukturelt provenu
8. Korrektion for nettorenter og udbytter
0,4
0,3
0,1
0,4
0,3
0,0
0,4
0,3
0,1
Specielle budgetposter
Faktisk provenu før korrektioner for engangsforhold mv.
Faktisk provenu korrigeret for engangsforhold mv. til beregning af struktu-
relt provenu, jf. bilagstabel 3.2.1
Strukturelt provenu
9. Korrektion for specielle budgetposter
-1,8
-1,1
-0,6
-1,2
-1,6
-0,8
-0,6
-1,0
-1,2
-0,6
-0,6
-0,6
10. Øvrige korrektioner (jf. bilagstabel 3.2.1)
- Heraf COVID-19-engangsforhold
- Heraf engangsskatteindtægter fra udbetaling af indefrosne feriepenge
-0,6
-1,6
0,9
-0,7
-1,2
0,6
0,0
0,0
0,0
11. 1-2-3-4-5-6-7-8-9-10 Strukturel saldo
0,3
-0,5
-0,3
56
Danmarks Konvergensprogram 2021
April 2021
EUU, Alm.del - 2020-21 - Bilag 494: Danmarks konvergensprogram 2021
2383311_0059.png
Kapitel 3
Offentlig saldo og gæld frem til 2025
Bilag 3.2 Engangsforhold i 2020-2022
Bilagstabel 3.2.1
Engangsforhold der korrigeres for i beregningen af den strukturelle saldo
2020
Pct. af BNP
Engangsforhold vedrørende COVID-19
Ekstraordinær udbetaling af for meget betalt ejendomsskat
Udbetaling af efterlønsbidrag
Engangsforhold der korrigeres for i de specielle budgetposter i alt
-0,7
0,0
0,0
-0,7
-0,7
-0,1
0,0
-0,8
0,0
-0,5
-0,1
-0,6
2021
2022
Øvrige korrektioner
Engangsforhold vedrørende COVID-19
- Heraf som overførsler til husholdninger
- Heraf som subsidier
- Heraf som offentligt forbrug
- Heraf som tilbageløb via skatter
1)
- Heraf som bidrag til EU
Engangsskatteindtægter fra udbetaling af indefrosne feriepenge
Udviklingsbistand – forskel mellem politiske tilsagn og afløb i faktisk
saldo
Korrektion for oplysninger om indtægtssiden
Korrektion for investeringer i kampfly
2)
Omregning til strukturel BNP
Øvrige korrektioner i alt
-1,6
-0,1
-1,2
-0,5
0,3
-0,1
0,9
0,0
0,1
0,0
0,0
-0,6
-1,2
0,0
-1,1
-0,3
0,3
0,0
0,6
0,0
0,0
0,0
0,0
-0,7
0,0
0,0
0,0
0,0
0,0
0,0
0,0
0,0
0,0
0,0
0,0
0,0
1)
2)
Opgjort ekskl. engangsforhold vedrørende tilbageløb på selskabsskat og aktieskat.
Investeringer i kampfly behandles på samme måde som nettokøb af bygninger og andre eksisterende
investeringsgoder i beregningen af den strukturelle saldo og indgår via et syvårs glidende gennemsnit.
Danmarks Konvergensprogram 2021
April 2021
57
EUU, Alm.del - 2020-21 - Bilag 494: Danmarks konvergensprogram 2021
2383311_0060.png
Kapitel 3
Offentlig saldo og gæld frem til 2025
Bilag 3.3 Reservation i det finanspolitiske råderum
Det finanspolitiske råderum i 2022-2025 (korrigeret for midlertidige forhold i 2021 relateret til COVID-
19), herunder midler reserveret til det besluttede løft af Forsvaret i forbindelse med
Forsvarsforliget
(januar 2018) samt reserve til sikring af gode rammebetingelser i dansk erhvervsliv i forlængelse af
Nordsøaftalen
(marts 2017),
fremgår af bilagsfigur 3.3.1.
Eksklusiv disse reserverede midler udgør
det finanspolitiske råderum til øvrige prioriteringer ca. 17�½ mia. kr. i 2025 målt i forhold til 2021.
Bilagsfigur 3.3.1
Finanspolitisk råderum frem mod 2025
Mia. kr. (2021-priser)
24
20
16
12
8
4
0
2022
2023
Reserve til sikring af gode rammebetingelser i dansk erhvervsliv
Finanspolitisk råderum til øvrige forhold
2024
Løft af Forsvaret i Forsvarsforliget
Finanspolitisk råderum i alt
2025
Mia. kr. (2021-priser)
24
20
16
12
8
4
0
Anm.: Det finanspolitiske råderum er korrigeret for midlertidige forhold i 2021 relateret til COVID-19. Forsvarsforliget
dækker perioden 2018-2023. Den del af merbevillingerne til Forsvaret, der beregningsteknisk er kategoriseret
som offentligt forbrug, er finansieret inden for det finanspolitiske råderum og løftet af Forsvaret som følge af
Forsvarsforliget
er teknisk fastholdt på 2023-niveauet i 2024-2025.
Kilde: Danmarks Statistik og egne beregninger.
58
Danmarks Konvergensprogram 2021
April 2021
EUU, Alm.del - 2020-21 - Bilag 494: Danmarks konvergensprogram 2021 EUU, Alm.del - 2020-21 - Bilag 494: Danmarks konvergensprogram 2021
2383311_0062.png
Kapitel 4
Følsomhedsanalyser og sammenligning med DK2025, august 2020
60
Danmarks Konvergensprogram 2021
April 2021
EUU, Alm.del - 2020-21 - Bilag 494: Danmarks konvergensprogram 2021
2383311_0063.png
4. Følsomhedsanalyser og
sammenligning med DK2025,
august 2020
4.1 Følsomhedsanalyser
Inden coronakrisen i 2020 befandt dansk økonomi sig i en moderat højkonjunktur, som forløb uden
opbygning af væsentlige ubalancer. Arbejdsmarkedet var i god fremgang, og der var ikke tegn på
uholdbar gældsopbygning. De negative konsekvenser for dansk økonomi af coronakrisen er blevet
modgået af omfattende hjælpepakker, fx lønkompensationsordningen, kompensation for faste om-
kostninger samt udskudte frister for momsindbetalinger, som også har holdt virksomhederne klar til at
genoptage aktiviteten. Det bidrog til, at tilbageslaget i Danmark, fx målt på BNP og beskæftigelse,
blev moderat i et internationalt perspektiv. Den igangværende genåbning af dansk økonomi ventes at
føre til en hurtig genstart af aktiviteten, ligesom det også var tilfældet efter genåbningen sidste forår.
I det følgende præsenteres forskellige scenarier, som illustrerer dansk økonomis følsomhed over for
ændrede forudsætninger i lyset af de krav, der stilles i Code of Conduct for EU-landenes Stabilitets-
og Konvergensprogrammer. Følsomheden illustreres ved, at konvergensprogrammets fremskrivning
sammenlignes med et scenarie, hvor EU-Kommissionens forudsætninger om den internationale øko-
nomi og finansielle forhold for 2021 og 2022 lægges til grund. Desuden sammenlignes med yderligere
to alternative scenarier for væksten på kort sigt, hvoraf ét er mere negativt og ét er mere positivt.
Afslutningsvis sammenlignes fremskrivningen af udvalgte nøgletal frem til 2025 i
Konvergensprogram
2021
med den mellemfristede fremskrivning i
DK2025 – en grøn, retfærdig og ansvarlig genopretning
af dansk økonomi,
august 2020. Normalt ville sammenligningen være med forrige udgave af Konver-
gensprogrammet, men
Danmarks Konvergensprogram 2020
indeholdt ikke en mellemfristet frem-
skrivning som følge af de særlige omstændigheder i foråret 2020.
Scenarie med EU-Kommissionens eksterne forudsætninger
Forudsætningerne i
Danmarks Konvergensprogram 2021
om den internationale økonomi og finan-
sielle forhold ligger i store træk på linje med EU-Kommissionens forudsætninger i deres forårsprog-
nose,
jf. tabel 4.1.
I konvergensprogrammet forudsættes noget lavere eksportmarkedsvækst og lidt
lavere oliepris i 2021 end i EU-Kommissionens forudsætninger, mens der i
Konvergensprogram 2021
forudsættes lidt højere oliepris og lidt lavere eksportmarkedsvækst i 2022. Forudsætningerne i
Kon-
vergensprogram 2021
er baseret på oplysninger frem til 6. april.
Et alternativt scenarie baseret på EU-Kommissionens eksterne forudsætninger indebærer samlet set
mere positive skøn for vækst, beskæftigelse, ledighed, offentlig saldo og offentlig gæld. BNP-væksten
skønnes i både 2021 og 2022 at være omtrent 0,5 pct.-point højere, mens beskæftigelsen er knap
Danmarks Konvergensprogram 2021
April 2021
61
EUU, Alm.del - 2020-21 - Bilag 494: Danmarks konvergensprogram 2021
2383311_0064.png
Kapitel 4
Følsomhedsanalyser og sammenligning med DK2025, august 2020
19.000 personer højere i 2022 ved anvendelse af EU-Kommissionens eksterne forudsætninger. Til-
svarende forbedres den offentlige saldo som andel af BNP med henholdsvis 0,2 og 0,4 pct.-point i
2021 og 2022, mens ØMU-gælden som andel af BNP reduceres med 0,4 og 1,0 pct. i de to år.
Tabel 4.1
Eksterne forudsætninger i Konvergensprogram 2021 og EU-Kommissionens forårsprognose
2020
KP21
Eksportmarkedsvækst, pct.
1)
Råoliepris, USD pr. tønde
Kort rente, pct.
2)
Lang rente, pct.
2)
-6,5
41,8
-0,6
-0,5
KP21
5,0
62,3
-0,5
-0,3
2021
EU
5,6
64,7
-0,5
-0,3
KP21
4,3
62,7
-0,5
-0,2
2022
EU
4,6
61,3
-0,5
-0,1
Anm.: De eksterne forudsætninger er baseret på EU-Kommissionens forårsprognose 2021 med undtagelse af
eksportmarkedsvæksten, som er baseret på en sammenvejning af EU-Kommissionens nyeste officielle skøn for
EU-landene samt BNP- og eksportmarkedsvækstskøn for resten af verden baseret på kommissionens foreløbige
eksterne forudsætninger til forårsprognosen. Sammenvejningen sker på baggrund af danske eksportvægte.
1)
Eksportmarkedsvæksten for industrivarer, realvæksten i pct.
2)
Tabellens tal refererer til europæiske renter. Niveauet for de tilsvarende danske renter er korrigeret, så spændet
til euroområdet er uændret i forhold til det forudsatte i Danmarks Konvergensprogram 2021.
Kilde: EU-Kommissionen og egne beregninger.
Alternative scenarier
Dansk økonomi er grundlæggende sund med velfungerende strukturer. Selv under coronakrisen har
økonomien udvist tegn på god dynamik, fx på arbejdsmarkedet. Der forventes solid vækst i de kom-
mende år, i takt med at coronapandemien aftager i lyset af vaccineudrulningen, inddæmningstiltag
bortfalder, og tilnærmelsesvis normal økonomisk aktivitet derfor kan genoptages.
Der er mulighed for en endnu større stigning i den indenlandske efterspørgsel end skønnet i progno-
sen. Husholdningerne har været tilbageholdende med forbrug under coronakrisen – blandt andet som
følge af begrænsede forbrugsmuligheder. Husholdningerne har på den baggrund et stort opsparings-
overskud, og forbrugskvoten er i grundforløbet fortsat lav i historisk perspektiv. Risikoen for et mere
negativt forløb vurderes i høj grad at komme fra smitteudviklingen, som i scenariet antages at kunne
påvirke forbruget af tjenesteydelser og turismen negativt på samme måde som i 2020.
Positivt scenarie:
Husholdningerne øger forbruget 0,5 pct.-point mere i 2021 og 2022.
I dette forløb øges væksten i BNP med omtrent 0,3 pct.-point i både 2021 og 2022, og beskæfti-
gelsen øges med godt 10.000 personer i 2022. Den faktiske offentlige saldo forbedres med ca.
0,2 pct. af BNP i 2021 og 0,3 pct. af BNP i 2022.
Negativt scenarie:
Som konsekvens af øget smitteudvikling og usikkerhed antages husholdnin-
gernes forbrug af tjenesteydelser samt turismeimport og -eksport i 2021 at forblive på det lave
2020-niveau. De negative effekter i dette alternative scenarie betyder, at BNP-væksten reduce-
62
Danmarks Konvergensprogram 2021
April 2021
EUU, Alm.del - 2020-21 - Bilag 494: Danmarks konvergensprogram 2021
2383311_0065.png
Kapitel 4
Følsomhedsanalyser og sammenligning med DK2025, august 2020
res med 0,3 pct.-point i 2021, mens væksten i 2022 kun reduceres meget begrænset. Beskæfti-
gelsen reduceres sammenlagt med 5.000 personer i 2022 i forhold til grundforløbet, mens den
offentlige saldo forværres med henholdsvis 0,1 og 0,2 pct. af BNP i 2021 og 2022.
Dansk økonomi er i en god udgangsposition, og et mere negativt vækstforløb vil ikke presse de of-
fentlige finanser væsentligt. I både grundforløbet og alternativscenarierne ligger underskuddet på den
faktiske offentlige saldo i 2021 lidt over grænsen på 3 pct. af BNP som følge af en række særlige en-
gangsudgifter,
jf. kapitel 3.
I 2022 vil Danmark i begge alternative scenarier fortsat overholde de nor-
male krav til offentlige underskud og ØMU-gæld i Stabilitets- og Vækstpagten med betydelig margen,
jf. tabel 4.2.
Andre scenarier end de, der fremgår her, kan selvsagt ikke udelukkes.
Tabel 4.2
Alternative forløb
2021
Konvergensprogram 2021, april 2021
BNP-vækst, pct.
Beskæftigelse, 1.000 personer
Ledighed, pct. af arbejdsstyrken
Offentlig saldo, pct. af BNP
ØMU-gæld, pct. af BNP
2,1
2.988
4,1
-3,3
40,7
3,8
3.025
3,9
-0,9
41,3
2022
Mere positivt scenarie
BNP-vækst, pct.
Beskæftigelse, 1.000 personer
Ledighed, pct. af arbejdsstyrken
Offentlig saldo, pct. af BNP
ØMU-gæld, pct. af BNP
2,4
2.992
4,0
-3,1
40,4
4,0
3.035
3,6
-0,5
40,5
Mere negativt scenarie
BNP-vækst, pct.
Beskæftigelse, 1.000 personer
Ledighed, pct. af arbejdsstyrken
Offentlig saldo, pct. af BNP
ØMU-gæld, pct. af BNP
1,9
2.984
4,2
-3,4
40,9
3,7
3.020
4,0
-1,0
41,7
Anm.: Tabellen viser den registrerede bruttoledighed. Beskæftigelsen er inkl. orlovspersoner.
Kilde: Egne beregninger på ADAM.
Danmarks Konvergensprogram 2021
April 2021
63
EUU, Alm.del - 2020-21 - Bilag 494: Danmarks konvergensprogram 2021
2383311_0066.png
Kapitel 4
Følsomhedsanalyser og sammenligning med DK2025, august 2020
4.2 Sammenligning med DK2025 – en grøn, retfærdig og
ansvarlig genopretning af dansk økonomi, august 2020
Forventningerne til den gennemsnitlige BNP-vækst i 2020-2025 er overordnet den samme i
Danmark
Konvergensprogram 2021
som i
DK2025,
august 2020,
jf. tabel 4.3.
Som følge af et mindre BNP-fald i 2020 og forventningen om en hurtig fremgang efter vinterens smit-
tebølge vurderes økonomien at være tilbage i en omtrent normal konjunktursituation i 2022 (mod for-
udsat 2024 i
DK2025, august 2020).
Der forudsættes et output- og beskæftigelsesgab på ca. 0 fra
2022 og frem.
Tabel 4.3
Ændringer i forhold til DK2025 – en grøn, retfærdig og ansvarlig genopretning af dansk økonomi
2020
Real BNP-vækst, årlig ændring i pct.
Konvergensprogram 2021, april 2021
DK2025, august 2020
Ændring
-2,7
-4,5
1,7
2,1
4,2
-2,1
3,8
2,9
0,8
2,3
2,3
-0,0
1,3
2,1
-0,8
1,3
1,3
-0,1
2021
2022
2023
2024
2025
Outputgab, pct. af BNP
Konvergensprogram 2021, april 2021
DK2025, august 2020
Ændring
-1,8
-3,1
1,2
-0,8
-1,1
0,3
0,2
-0,6
0,8
0,0
-0,3
0,3
0,0
0,0
0,0
0,0
0,0
0,0
Offentlig saldo, pct. af BNP
Konvergensprogram 2021, april 2021
DK2025, august 2020
Ændring
-1,1
-3,9
2,8
-3,3
-2,4
-0,9
-0,9
-2,1
1,3
-0,7
-1,4
0,7
-0,6
-0,9
0,2
-0,0
-0,0
-0,0
Offentlig ØMU-gæld, pct. af BNP
Konvergensprogram 2021, april 2021
DK2025, august 2020
Ændring
42,2
46,3
-4,1
40,7
41,9
-1,2
41,3
44,5
-3,3
41,6
45,4
-3,9
41,3
45,7
-4,4
39,7
44,6
-5,0
Kilde:
DK2025 – en grøn, retfærdig og ansvarlig genopretning af dansk økonomi
og egne beregninger.
64
Danmarks Konvergensprogram 2021
April 2021
EUU, Alm.del - 2020-21 - Bilag 494: Danmarks konvergensprogram 2021
2383311_0067.png
Kapitel 4
Følsomhedsanalyser og sammenligning med DK2025, august 2020
Forventningerne til den faktiske offentlige saldo er generelt opjusteret i
Danmark Konvergensprogram
2021
sammenlignet med
DK2025,
august 2020, dog med et større skønnet offentligt underskud i
2021. Forbedringen af den faktiske offentlige saldo i 2020 sammenlignet med skønnet fra
DK2025,
august 2020 kan især henføres til, at de regnskabsførte udgifter til kompensationsordninger til er-
hvervslivet mv. i 2020 er væsentligt lavere end forventet i august. Hertil kommer blandt andet, at de
regnskabsførte indtægter fra pensionsafkastskat og selskabsskat er højere end skønnet i august.
ØMU-gælden skønnes i
Danmark Konvergensprogram 2021
i alle år frem mod 2025 at være stabilt
under 45 pct., dvs. med god margin til 60 pct.-grænsen i EU’s Stabilitets- og Vækstpagt. Dette er for-
bedret i forhold til det forudsatte i
DK2025,
august 2020, hvor ØMU-gælden i 2022-2025 blev anslået
til i omegnen af 45 pct. af BNP.
Danmarks Konvergensprogram 2021
April 2021
65
EUU, Alm.del - 2020-21 - Bilag 494: Danmarks konvergensprogram 2021
2383311_0068.png
Kapitel 5
Perioden efter 2025 og langsigtet holdbarhed
66
Danmarks Konvergensprogram 2021
April 2021
EUU, Alm.del - 2020-21 - Bilag 494: Danmarks konvergensprogram 2021
2383311_0069.png
5. Perioden efter 2025 og
langsigtet holdbarhed
5.1 Udviklingen efter 2025
Finanspolitikken frem mod 2025 tilrettelægges inden for et overordnet finanspolitisk mål om strukturel
balance i 2025, og at finanspolitikken skal være holdbar. I årene efter 2025 bygger fremskrivningen
på beregningstekniske principper og forudsætninger,
jf. afsnit 5.3.
Sigtet er at vurdere de langsigtede
udsigter for de offentlige finanser givet den forudsatte finanspolitik i den mellemfristede planlægnings-
horisont.
På baggrund af den opdaterede 2025-fremskrivning og allerede vedtagne reformer, herunder de gæl-
dende regler for levetidsindeksering af efterløns- og folkepensionsalderen mv., er der fortsat udsigt til
en positiv holdbarhedsindikator – svarende til, at den finanspolitik, der er planlagt frem mod 2025, kan
videreføres efterfølgende uden uholdbare gældsstigninger givet øvrig besluttet politik og fremskriv-
ningsprincipper i øvrigt.
Den positive holdbarhedsindikator skal dog samtidig ses i sammenhæng med, at der efter 2025 er
udsigt til en forværring af den offentlige saldo i en længere årrække, hvorefter saldoen i det bereg-
ningstekniske forløb forbedres efter midten af århundredet. Det er den såkaldte hængekøjeudfordring,
jf. figur 5.1,
som er udtryk for en længere periode med demografisk pres, som på sigt genoprettes og
modgås i takt med den aftalte levetidsindeksering af tilbagetrækningsaldrene,
jf. nedenfor.
Figur 5.1
Strukturel saldo
Pct. af BNP
4,0
3,0
2,0
1,0
0,0
-1,0
-2,0
-3,0
-4,0
00 05 10 15 20 25 30 35 40 45 50 55 60
Pct. af BNP
4,0
3,0
2,0
1,0
0,0
-1,0
-2,0
-3,0
-4,0
Figur 5.2
ØMU-gæld og nettogæld
Pct. af BNP
80
70
60
50
40
30
20
10
0
-10
-20
10
15
20
25
30
35
40
45
50
55
60
ØMU-gæld
Nettogæld
Grænse for ØMU-gæld i
Stabilitets- og Vækstpagten
Pct. af BNP
80
70
60
50
40
30
20
10
0
-10
-20
Kilde: Danmarks Statistik og egne beregninger.
Danmarks Konvergensprogram 2021
April 2021
67
EUU, Alm.del - 2020-21 - Bilag 494: Danmarks konvergensprogram 2021
2383311_0070.png
Kapitel 5
Perioden efter 2025 og langsigtet holdbarhed
I det beregningstekniske forløb efter 2025 er der udsigt til en moderat offentlig nettogæld, som holder
sig under 15-20 pct. af BNP i hele forløbet. Den offentlige nettogæld opgøres som forskellen mellem
de samlede offentlige passiver og aktiver og er dermed et udtryk for det offentliges samlede nettostil-
ling. Nettogælden er det centrale gældsbegreb i forhold til finanspolitisk holdbarhed. Stigningen i den
offentlige nettogæld i den langsigtede fremskrivning afspejler de underskud, der er udsigt til i hænge-
køjeårene.
I forbindelse med EU's budgetregler er den såkaldte ØMU-gæld det centrale gældsbegreb. I perioden
efter 2025 og frem til 2050 vokser ØMU-gælden beregningsteknisk til lige knap 60 pct. af BNP for der-
efter at aftage igen,
jf. figur 5.2.
ØMU-gælden er modsat nettogælden en bruttostørrelse – dvs. den
påvirkes udover saldoen på de offentlige finanser også af fx parallelle ændringer i statens aktiver og
passiver.
1
Stigningen i ØMU-gælden frem mod 2050-2060 afspejler således også, at aftalen om boligskat (2017)
og aftalen om ny model for finansiering af almene boliger (2017) medfører en forøgelse af både sta-
tens aktiver og passiver – dvs. en såkaldt balanceoppustning i en årrække frem. Dermed øges ØMU-
gælden, uden at det er udtryk for en forværring af den offentlige nettoformue. Hertil kommer håndte-
ringen af udbetalingen de indefrosne feriepenge, hvor LD-fonden, der administrerer de indefrosne fe-
riemidler, kan optage lån direkte fra staten til at foretage den førtidige udbetaling af feriemidlerne,
som derefter afdrages i takt med arbejdsgivernes indbetalinger.
Figur 5.3
Fuldtidsbeskæftigelse som andel af den
samlede befolkning
Pct. af befolkningen
47
46
45
44
43
42
41
00
05
10
15
20
25
30
35
40
45
50
55
60
Demografisk
modvind
Figur 5.4
Udvikling i middellevetid og pensionsalder
Pct. af befolkningen
47
46
45
44
Alder
95
90
85
80
75
2000:
13�½ år
2020:
18 år
2040:
16�½ år
2070:
15�½ år
Alder
95
90
85
80
75
70
65
43
42
41
70
65
60
60
2000 2010 2020 2030 2040 2050 2060 2070 2080
Folkepensionsalder
Middellevetid for 60-årige
Kilde: Danmarks Statistik og egne beregninger.
1
ØMU-gælden afhænger således blandt andet af, hvor mange aktiver staten og kommunerne vælger at holde (ud over akti-
ver, som modregnes i ØMU-gælden). De forudsatte aktiver i 2050 består bl.a. af offentlige ejerandele i helt eller delvist of-
fentligt ejede selskaber samt genudlån mv. Disse er i forløbet i Konvergensprogrammet beregningsteknisk sat til et basisni-
veau på ca. 40 pct. af BNP sammenholdt med 35 pct. af BNP i forløbet i august. Basisforløbet er sat ud fra et historisk ni-
veau, herunder med inddragelse af den nyeste udvikling (2020).
68
Danmarks Konvergensprogram 2021
April 2021
EUU, Alm.del - 2020-21 - Bilag 494: Danmarks konvergensprogram 2021
2383311_0071.png
Kapitel 5
Perioden efter 2025 og langsigtet holdbarhed
Hængekøjeudfordringen afspejler i høj grad, at der er udsigt til, at de beskæftigede vil udgøre en fal-
dende andel af den samlede befolkning fra omkring 2025 til 2040,
jf. figur 5.3,
sideløbende med et
øget demografisk pres på udgifter til ældrepleje og sundhed. Udsigten til en periode med en faldende
andel af beskæftigede skyldes dels, at de generationer, som træder ind i arbejdsstyrken mellem 2025
og 2040, vil være mindre end de årgange, der går på pension. Og dels, at de generationer, der går på
pension i de kommende år, i gennemsnit har en længere pensionsperiode end både tidligere og se-
nere generationer,
jf. figur 5.4.
Det skal ses i sammenhæng med, at levetiden er steget relativt hurtigt siden 1995 – og hurtigere end
ventet, da velfærdsaftalen blev forhandlet i 2006 – samt at levetidsindekseringen af folkepensionsal-
deren indeholder en stigningsbegrænsning, således at folkepensionsalderen højst kan stige ét år
hvert femte år. Med den forudsatte regulering af tilbagetrækningsaldrene stiger andelen af beskæfti-
gede igen efter 2040, ligesom væksten i det demografiske pres på udgifter til sundhed og ældrepleje
mv. aftager igen. På langt sigt er levetidsindekseringen afgørende for, at beskæftigelsesandelen gen-
oprettes, og finansieringsgrundlaget for de offentlige udgifter dermed styrkes,
jf. afsnit 5.2.
Figur 5.5
Nordsøprovenu falder gradvist bort på langt
sigt
Figur 5.6
Provenu fra registreringsafgiften reduceres alt
andet lige i takt med udbredelsen af
lavemmissionsbiler
Pct. af BNP
1,2
1,0
0,8
Strukturelt
niveau i 2020
Pct. af BNP
2,0
Pct. af BNP
2,0
Pct. af BNP
1,2
1,0
0,8
0,6
0,4
0,2
0,0
1,5
1,5
1,0
1,0
0,6
0,5
0,5
0,4
0,0
0,0
0,2
0,0
10
15
20
25
30
35
40
45
50
55
60
-0,5
00 04 08 12 16 20 24 28 32 36 40 44 48 52 56 60
KP21
DK2025, august 2020
-0,5
Anm.: Figur 5.5 angiver den strukturelle udvikling i statens indtægter fra Nordsøen.
Kilde: Danmarks Statistik,
DK2025,
august 2020, og egne beregninger.
Den langsigtede fremskrivning påvirkes også blandt andet af udviklingen i indtægterne fra statens ak-
tiviteter i Nordsøen,
jf. figur 5.5.
Indtægterne herfra ventes med de aktuelle forudsætninger om pro-
duktion mv. at være nogenlunde stabile fra 2025 og frem mod 2035-40, hvorefter de falder bort og
ventes at være tæt på nul fra omkring 2045. Sammenlignes der med seneste fremskrivning fra august
2020, er indtægterne fra statens aktiviteter i Nordsøen reduceret – særligt i perioden 2035-2045. Det
skal ses i sammenhæng med
Aftale om fremtiden for olie- og gasindvinding i Nordsøen
(2020), som
er indregnet i forbindelse med indeværende fremskrivning. Aftalen indebærer en aflysning af 8. ud-
budsrunde samt en slutdato for olie- og gasindvinding i Nordsøen i 2050. Aftalens påvirkning af den
finanspolitiske holdbarhed er fuldt finansieret.
Danmarks Konvergensprogram 2021
April 2021
69
EUU, Alm.del - 2020-21 - Bilag 494: Danmarks konvergensprogram 2021
2383311_0072.png
Kapitel 5
Perioden efter 2025 og langsigtet holdbarhed
Tilsvarende kan klimaomstilling, ændret adfærd og teknologisk udvikling have betydning for blandt
andet den fremtidige udvikling i det offentlige indtægtsgrundlag baseret på uændret politik. For så vidt
angår provenuet fra registreringsafgift er fremskrivningen af den strukturelle udvikling i indtægterne
opdateret for årene frem mod 2030, herunder på baggrund af omlægningen af registreringsafgiften i
forbindelse med
Aftale om grøn omstilling af vejtransport
(2020). I indeværende fremskrivning skøn-
nes provenuet gradvist at aftage fra knap 0,8 pct. af BNP i 2021 til godt 0,6 pct. af BNP i 2030.
For perioden efter 2030 er det beregningsteknisk lagt til grund, at det forudsatte provenu i 2030 fast-
holdes i pct. af BNP. Et generelt skifte fra konventionelle til nulemissionsbiler, udover hvad der er lagt
til grund i fremskrivningsgrundlaget, vil ved uændrede regler medføre et afgiftstab for staten i forhold
til det forudsatte.
5.2 Betydning af levetidsindeksering af pensionsaldre
At finanspolitikken er holdbar skal først og fremmest ses i sammenhæng med, at der med tilbage-
trækningsreformerne – velfærdsaftalen fra 2006 og tilbagetrækningsreformen fra 2011 – er skabt en
mekanisme, som sikrer, at stigende levetid også fører til flere aktive år og en mere stabil balance mel-
lem den del af befolkningen, der er på arbejdsmarkedet, og den del, der ikke er. Uden en sådan me-
kanisme ville der – i takt med at levetiden stiger – være en større og større del af befolkningen, som
ville stå uden for arbejdsmarkedet og modtage offentlige pensioner mv.
Virkningen af den aftalte gradvise stigning i tilbagetrækningsalderen, som følge af princippet for leve-
tidsindeksering i velfærdsaftalen (2006) og tilbagetrækningsreformen (2011), har således afgørende
betydning for fremskrivningen. Principperne bag levetidsindekseringen er fastsat ved lov – og betrag-
tes derfor i Finansministeriets fremskrivninger som vedtaget politik. De konkrete forhøjelser skal imid-
lertid vedtages hvert femte år i Folketinget, således at varselsperioden for justeringer i folkepensions-
alderen er 15 år.
Folketinget bekræftede i 2020 en forhøjelse af efterlønsalderen til 66 år i 2032 og folkepensionsalde-
ren til 69 år i 2035 i overensstemmelse med den levetidsindeksering, der er fastlagt i lovgivningen.
Den næstkommende indeksering vil med de aktuelle forudsætninger om levetidsindekseringen svare
til en forhøjelse af folkepensionsalderen til 70 år i 2040.
Hvis pensionsalderen ikke indekseres som forudsat på baggrund af lovgivningen, vil det indebære, at
de generationer som går på pension i de kommende år vil have udsigt til en markant stigning i antallet
af år på pension sammenholdt med tidligere generationer,
jf. figur 5.8.
Hvis pensionsalderen fasthol-
des på 69 år, vil den forventede pensionsperiode i 2080 således være 21�½ år. Til sammenligning er
den forventede pensionsperiode i 2035 ca. 17 år.
I figur 5.9 og 5.10 er til illustration vist en beregning af, hvordan den offentlige saldo og gæld ville ud-
vikle sig på langt sigt, hvis folkepensionsalderen (og tilsvarende for efterlønsalderen mv.) holdes kon-
stant efter den allerede lovgivne forhøjelse til 69 år i 2035.
70
Danmarks Konvergensprogram 2021
April 2021
EUU, Alm.del - 2020-21 - Bilag 494: Danmarks konvergensprogram 2021
2383311_0073.png
Kapitel 5
Perioden efter 2025 og langsigtet holdbarhed
Figur 5.7
Den forventede middellevetid for en 60-årig
samt pensionalder med og uden indeksering af
pensionsalder, 2020-2080
Alder
95
90
85
80
75
70
65
60
20
25
30
35
40
45
50
55
60
65
70
75
80
Levetidsindeksering
Middellevetid for 60-årige
Fastholdt på 69 år
Alder
95
90
85
80
75
70
65
60
Figur 5.8
Forventet antal år på pension med og uden
indeksering af pensionsalder, 2020-2080
Antal år
23
22
21
20
19
18
17
16
15
14
20
25
30
35
40
45
50
55
60
65
70
75
Antal år
23
22
21
20
19
18
17
16
15
14
80
Levetidsindeksering
Fastholdt på 69 år
Kilde: Danmarks Statistik og egne beregninger.
Der er i et sådant scenarie tale om en markant svækkelse af de offentlige finanser, hvor udviklingen
ikke er holdbar, og gælden således stiger uholdbart og vedvarende. Hvis pensionsalderen fastholdes
på 69 år, vil finanspolitikken skulle strammes med en årlig saldovirkning på ca. 26 mia. kr. – svarende
til 1,1 pct. af BNP – for at være holdbar.
Figur 5.9
Den offentlige saldo med og uden indeksering
af pensionsalder, 2020-2080
Pct. af BNP
2
1
0
-1
-2
-3
-4
-5
20
25
30
35
40
45
50
55
60
65
70
75
80
Levetidsindeksering
Fastholdt på 69 år
Pct. af BNP
2
1
0
Figur 5.10
ØMU-gælden med og uden indeksering af
pensionsalder, 2020-2080
Pct. af BNP
120
100
80
-1
Pct. af BNP
120
100
80
60
40
20
0
60
-2
-3
-4
-5
40
20
0
20 25 30 35 40 45 50 55 60 65 70 75 80
Levetidsindeksering
Fastholdt på 69 år
Anm.: De stiplede linjer i figur 5.9 og 5.10 angiver hhv. underskudsgrænsen på �½ pct. af BNP i budgetloven og
grænsen for ØMU-gæld i Stabilitets- og Vækstpagten.
Kilde: Danmarks Statistik og egne beregninger.
Danmarks Konvergensprogram 2021
April 2021
71
EUU, Alm.del - 2020-21 - Bilag 494: Danmarks konvergensprogram 2021
2383311_0074.png
Kapitel 5
Perioden efter 2025 og langsigtet holdbarhed
Forløbet uden indeksering af pensionsaldrene i figur 5.9 og 5.10 illustrerer således også, at den
grundlæggende mekanisme, hvor øget levetid også indebærer flere aktive år på arbejdsmarkedet er
central for de offentlige finansers langsigtede sammenhængskraft. Regeringen og forligspartierne bag
Aftale om ret til seniorpension for nedslidte
har i august 2020 nedsat en kommission om tilbagetræk-
ning og nedslidning. Det fremgår blandt andet af kommissoriet, at:
"Et centralt element i det danske pensionssystem er princippet om at regulere folkepensionsalderen i
takt med levetiden (levetidsindeksering). Det er vigtigt for holdbarheden af de offentlige finanser, da
det bidrager til øget arbejdsudbud og skatteindtægter samtidig med, at det reducerer de offentlige ud-
gifter til pension. For at sikre fortsat bred opbakning til en stigende folkepensionsalder, og i lyset af
undersøgelserne af sammenhængen mellem levetid og raske leveår, kan det være relevant at se på
de langsigtede virkninger af princippet om levetidsindeksering".
Fremskrivningen i Konvergensprogrammet indeholder virkningen af Aftale
om ny ret til tidlig pension
(oktober 2020). Med aftalen indføres en ny ret til tidlig pension, som særligt er målrettet personer med
mange år på arbejdsmarkedet. Retten til tidlig pension afhænger bl.a. af antal års anciennitet således
at personer som har været på arbejdsmarkedet i 42-44 år (målt seks år inden folkepensionsalderen)
har ret til tidlig pension hhv. 1-3 år inden folkepensionsalderen. Opgørelsesalder og anciennitetskrav
fastholdes til og med 2025, hvorefter opgørelsesalder og anciennitetskrav øges med ét år gældende
til og med 2030. Fra 2030 og frem vil opgørelsesalder og anciennitetskrav blive indekseret i forhold til
den til enhver tid gældende folkepensionsalder. Det bemærkes i den forbindelse, at aftalepartierne
har forpligtet sig til "senest
i 2030 at genbesøge modellen med henblik på at vurdere, om udviklingen
på arbejdsmarkedet har ændret forudsætningerne for ordningen, og om ordningen omfatter de perso-
ner, den er tiltænkt".
5.3 Udgangspunktet for de langsigtede fremskrivninger
– centrale forudsætninger og fremskrivningsprincipper
Den langsigtede fremskrivning tager udgangspunkt i et forløb, hvor der planlægges efter strukturel
balance i 2025. I årene efter 2025 bygger fremskrivningen på beregningstekniske principper og forud-
sætninger, herunder Danmarks Statistik og DREAM’s befolkningsprognose og Energistyrelsens prog-
nose for produktionen og den gradvise udtømning af de danske olie- og gasreserver i Nordsøen.
Sigtet er at vurdere de langsigtede udsigter for de offentlige finanser, herunder om den økonomiske
politik kan fastholdes efter planlægningshorisonten uden en uholdbar og vedvarende stigning i den
offentlige gæld. I forløbet er der strukturel balance i 2025, og holdbarhedsindikatoren er – med de for-
udsætninger der lægges til grund om blandt andet udviklingen i levetiden og pensionsalderen – posi-
tiv svarende til i størrelsesordenen godt 1 pct. af BNP.
Holdbarheden vurderes ved en uændret skatte- og afgiftsbelastning efter 2025 samt beregningstekni-
ske antagelser om de offentlige udgifter, hvor fx forbrugsudgifterne pr. person i en given alder følger
den generelle lønudvikling.
De forskellige beregningstekniske antagelser mv., der anvendes i Finansministeriets langsigtede
fremskrivninger og således i vurderingen af den finanspolitiske holdbarhedsindikator, er beskrevet
nærmere i boks 5.1.
72
Danmarks Konvergensprogram 2021
April 2021
EUU, Alm.del - 2020-21 - Bilag 494: Danmarks konvergensprogram 2021
2383311_0075.png
Kapitel 5
Perioden efter 2025 og langsigtet holdbarhed
Boks 5.1
Principper for fremskrivningen efter 2025
De principper, der lægges til grund for fremskrivningen efter 2025, afspejler overordnet en fremskrivning af
strukturerne i økonomien, som de ser ud i 2025. Hertil kommer virkningerne af besluttede initiativer, der rækker
længere frem i tid.
De nominelle udgifter til offentligt forbrug fremskrives ud fra et princip om, at udgifterne pr. bruger følger lønud-
viklingen, og at brugergrundlaget følger det beregnede demografiske træk på den offentlige service mv., inkl. en
korrektion for delvis sund aldring. De offentlige lønninger vokser i takt med de private lønninger, og de offentlige
lønudgifter udgør en fast andel af det offentlige forbrug.
Satserne for offentlige overførselsindkomster følger gældende regler, herunder virkningen af
Aftalen om ny regu-
lering af folkepensionen og indførelse af obligatorisk opsparing for overførselsmodtagere
(november 2018) frem
til 2030, som er den periode, hvor der gradvist opbygges obligatorisk opsparing med den indgåede aftale. Efter
2030 er satserne beregningsteknisk forudsat at følge lønstigningen i den private sektor, så kompensationsgra-
derne ved ledighed og sygdom mv. overordnet set er konstante.
Erhvervsfrekvenser og befolkningsandele på diverse overførselsordninger opdelt på alder, køn og herkomst er
som udgangspunkt konstante. Andelene reguleres dog for de forventede virkninger af øget uddannelsesniveau,
opholdstid for indvandrere samt vedtagne reformer, herunder virkninger af vedtagne reformer, som øger ar-
bejdsudbuddet over tid med en gradvis stigning i tilbagetrækningsalderen som følge af reglerne for levetidsin-
deksering i velfærdsaftalen (2006) og tilbagetrækningsreformen (2011).
De offentlige bruttoinvesteringer fremskrives, så væksten i den nominelle offentlige kapitalbeholdning (netto,
ikke-effektivitetskorrigeret) er lig med fremgangen i en sammenvejet udvikling i bruttoværditilvæksten i den of-
fentlige og private sektor. I sammenvejningen vægter offentlig BVT 70 pct. og privat BVT 30 pct. Den private
andel afspejler de offentlige investeringer, der er rettet mod infrastruktur mv., og som dermed understøtter pro-
duktionen i den private sektor.
Offentlige subsidier og overførsler (netto) til udlandet udgør en konstant andel af BNP.
Bortset fra virkninger af vedtagen skattepolitik er der indregnet uændret skattebelastning efter 2025. Skatte- og
afgiftssatser i procent fastholdes, og punktafgifter mv. fastsat i kronebeløb antages beregningsteknisk at følge
med prisudviklingen.
Ejendomsbeskatningen fremskrives med udgangspunkt i de besluttede regler fra
Tryghed om boligbeskatningen
(maj 2017). I fremskrivningen er der taget højde for udskydelsen af udsendelsen af nye ejendomsvurderinger,
aftalen om
Kompensation til boligejerne og fortsat tryghed om boligbeskatningen
(maj 2020) og øvrige nye op-
lysninger.
Provenuet fra beskatningen af aktiviteterne i Nordsøen tager udgangspunkt i Energistyrelsens langsigtede prog-
nose for produktionen af olie og gas og virkningen af
Aftale om fremtiden for olie- og gasindvinding i Nordsøen
(2020). Olieprisforudsætningerne er beskrevet i kapitel 2 og baseres på markedsforventninger og Det Internatio-
nale Energiagenturs (IEA) nyeste fremskrivning (Stated Policies Scenarie i World Energi Outlook, oktober 2020).
Frem mod 2030 er indregnet en udvikling i energiforbrug mv., der flugter med Energistyrelsens Basisfremskriv-
ning 2020, herunder klimaaftalen (2020). Efter 2030 er der beregningsteknisk forudsat et gradvist fald i energi-
intensiteterne i forbrug og produktion, som afspejler løbende effektivitetsforbedringer i energiforbruget.
Der er antaget en gradvis normalisering af renterne. Den 10-årige rente på statsobligationer forudsættes således
at stige til 0,8 pct. i 2025 og derefter gradvist yderligere til 4 pct. i 2050 for derefter at være uændret.
Danmarks Konvergensprogram 2021
April 2021
73
EUU, Alm.del - 2020-21 - Bilag 494: Danmarks konvergensprogram 2021
2383311_0076.png
Kapitel 5
Perioden efter 2025 og langsigtet holdbarhed
Bilag 5.1 Udvikling i strukturel saldo og gæld sammenlignet
med den seneste fremskrivning fra august 2020
Finanspolitikken tilrettelægges inden for et mål om strukturel balance på de offentlige finanser og in-
den for målsætningen om, at finanspolitikken skal være holdbar.
I
DK2025 – en grøn, retfærdig og ansvarlig genopretning af dansk økonomi
(august 2020) blev den
strukturelle saldo i overensstemmelse hermed skønnet til at være i balance i 2025, mens holdbar-
hedsindikatoren (HBI) udgjorde knap 1 pct. af BNP. I fremskrivningen til Konvergensprogram 2021
indgår en underliggende forbedring af den strukturelle saldo i 2025, hvilket særligt afspejler lavere
skønnede nettorenteudgifter sammenlignet med augustfremskrivningen. Den underliggende forbed-
ring er udmøntet i den opdaterede fremskrivning inden for målet om strukturel balance,
jf. kapitel 3.
Holdbarhedsindikatoren for forløbet i konvergensprogrammet er positiv svarende til godt 1 pct. af
BNP. Den positive finanspolitiske holdbarhed skal – som i forløbet fra august – ses i sammenhæng
med den forudsatte langsigtede genopretning af de offentlige finanser efter midten af århundredet.
Sammenlignes der med den seneste fremskrivning fra august 2020, er der udsigt til en lidt dybere
hængekøjeudfordring,
jf. bilagsfigur 5.1.
Det skal bl.a. ses i sammenhæng med den opdaterede ud-
vikling i de strukturelle indtægter fra statens aktiviteter i Nordsøen, herunder som følge af
Aftale om
fremtiden for olie- og gasindvinding i Nordsøen
(2020).
Bilagsfigur 5.1
Strukturel saldo
Pct. af BNP
4,0
3,0
2,0
1,0
0,0
-1,0
-2,0
-3,0
-4,0
00 05 10 15 20 25 30 35 40 45 50 55 60
KP21
DK2025, august 2020
Pct. af BNP
4,0
3,0
2,0
1,0
0,0
-1,0
-2,0
-3,0
-4,0
Bilagsfigur 5.2
ØMU-gæld og nettogæld
Pct. af BNP
80
70
60
50
40
30
20
10
0
-10
-20
10
15
20
25
30
35
40
45
50
55
60
ØMU-gæld
Nettogæld
Grænse for ØMU-gæld i
Stabilitets- og Vækstpagten
Pct. af BNP
80
70
60
50
40
30
20
10
0
-10
-20
Anm.: De stiplede linjer i bilagsfigur 5.2 afspejler ØMU- og nettogælden i
DK2025,
august 2020.
Kilde: Danmarks Statistik,
DK2025,
august 2020, og egne beregninger.
Den offentlige nettogæld udgjorde ved udgangen af 2020 ca. -11 pct. af BNP, dvs. det offentlige
havde en finansiel nettoformue på ca. 11 pct. af BNP. Den offentlige nettoformue er dermed godt 8
pct. af BNP højere end ventet i august-vurderingen. Ændringen, som skyldes en bedre end ventet of-
fentlig saldo i 2020 samt kursændringer på de offentlige aktiver og passiver, afspejles også i et lavere
gældsniveau de efterfølgende år,
jf. bilagsfigur 5.2.
I 2025 skønnes nettoformuen at udgøre ca. 4 pct.
af BNP.
74
Danmarks Konvergensprogram 2021
April 2021
EUU, Alm.del - 2020-21 - Bilag 494: Danmarks konvergensprogram 2021
2383311_0077.png
Kapitel 5
Perioden efter 2025 og langsigtet holdbarhed
I fremskrivningen til Konvergensprogram 2021 udgør ØMU-gælden knap 40 pct. af BNP i 2025, hvil-
ket er ca. 5 pct. af BNP lavere end i august-fremskrivningen. ØMU-gælden påvirkes også af balance-
ændringer – dvs. parallelle ændringer i statens aktiver og passiver – herunder i forbindelse med
håndteringen af udbetalingen af de sidste to ugers feriepenge i foråret 2021. Det indebærer isoleret
set en forøgelse af ØMU-gælden i 2021, som gradvist aftager igen over tid.
Danmarks Konvergensprogram 2021
April 2021
75
EUU, Alm.del - 2020-21 - Bilag 494: Danmarks konvergensprogram 2021
2383311_0078.png
Kapitel 6
Offentlige finanser og institutionelle rammer
76
Danmarks Konvergensprogram 2021
April 2021
EUU, Alm.del - 2020-21 - Bilag 494: Danmarks konvergensprogram 2021
2383311_0079.png
6. Offentlige finanser og
institutionelle rammer
6.1 Institutionelle rammer
Den økonomiske politik planlægges inden for de overordnede rammer, der følger af budgetloven og
regeringens 2025-ramme samt Stabilitets- og Vækstpagten. Rammerne sætter konkrete mål for den
offentlige økonomi i form af finanspolitisk holdbarhed og balance på den strukturelle saldo i 2025.
Målene understøttes af flerårige udgiftslofter, idet der løbende fastsættes udgiftslofter for en fireårig
fremadrettet periode for stat, kommuner og regioner. Udgiftslofterne fastsættes på baggrund af en
mellemfristet fremskrivning, som i tråd med budgetlovens forsigtighedsprincip kun indregner virknin-
ger af reformer og tiltag, der er fundet flertal for i Folketinget. Udgiftslofterne er underlagt løbende vur-
deringer og kontrol med henblik på at sikre overholdelse. Overholdelsen af udgiftslofterne understøt-
tes af sanktionsmekanismer, og budgetoverholdelsen er styrket siden indførelsen af budgetloven.
Med budgetloven fra 2012 er der indført en årlig underskudsgrænse for den strukturelle offentlige
saldo, og den strukturelle saldos rolle som centralt finanspolitisk styringsmål er dermed lovfæstet.
Budgetloven gennemfører finanspagtens balancekrav. Det årlige strukturelle underskud ved fremsæt-
telse af finanslovforslaget må højst udgøre �½ pct. af BNP, svarende til Danmarks nationalt fastsatte
mellemfristede finanspolitiske målsætning (MTO). Samtidig er der med budgetloven indført bindende
og flerårige udgiftslofter for stat, kommuner og regioner med virkning fra 2014. Budgetlovens hoved-
elementer fremgår af boks 6.1.
Det samlede rammeværk tillader, at det i særlige situationer er muligt at fravige de almindelige ram-
mer om finans- og udgiftspolitikken. Der har således været en væsentlig grad af fleksibilitet inden for
de styringsmæssige rammer til håndtering af COVID-19-pandemien,
jf. afsnit 6.2.
Boks 6.1
Hovedelementer i budgetloven
Inden for rammerne af en holdbar finanspolitik er der opstillet et balancekrav til de samlede offentlige finanser.
Den strukturelle saldo må højst udvise årlige underskud på �½ pct. af BNP ved fremlæggelsen af finanslovforsla-
get for et givet år, medmindre der foreligger ekstraordinære omstændigheder. Der gælder en automatisk korrekti-
onsmekanisme i tilfælde af væsentlige skønnede afvigelser fra balancekravet.
Udgiftslofter understøtter, at de overordnede finanspolitiske mål indfries. Lofterne sætter bindende rammer for
udgifterne i stat, kommuner og regioner. Udgiftslofterne vedtages i Folketinget og dækker en løbende 4-årig peri-
ode. Tiltag til forbedringer af økonomistyringen og økonomiske sanktioner understøtter overholdelse af lofterne.
De Økonomiske Råd vurderer løbende (årligt) holdbarheden i de langsigtede offentlige finanser og den mellemfri-
stede udvikling i den offentlige saldo, og om udgiftslofterne overholdes og er afstemt med de mellemfristede mål.
Danmarks Konvergensprogram 2021
April 2021
77
EUU, Alm.del - 2020-21 - Bilag 494: Danmarks konvergensprogram 2021
2383311_0080.png
Kapitel 6
Offentlige finanser og institutionelle rammer
De centrale pejlemærker for den samlede økonomiske politik – fastkurspolitikken og en stabilitetsori-
enteret finanspolitik – er følgende:
Danmark har siden 1982 ført
fastkurspolitik
over for først D-mark og siden 1999 over for euroen. Med
fastkurspolitikken er pengepolitikken alene indrettet efter at holde en stabil kronekurs over for euro.
Den økonomiske politik bidrager med en ansvarlig og stabilitetsorienteret linje til at sikre troværdighed
om fastkurspolitikken, hvilket understøtter et fortsat lavt renteniveau.
Finanspolitikken
planlægges med henblik på, at de årlige strukturelle underskud ikke overstiger �½ pct.
af BNP, og at målet om strukturel balance på den offentlige saldo i 2025 indfries,
jf. DK2025 – En
grøn, retfærdig og ansvarlig finanspolitik, august 2020.
I de aktuelle år tilrettelægges finanspolitikken
ekspansivt inden for rammerne af budgetloven for at understøtte den økonomiske aktivitet efter coro-
nakrisen.
Finanspolitikken fastlægges under hensyntagen til, at de offentlige finanser skal være holdbare på
lang sigt (holdbarhedsindikator på mindst nul). Finanspolitikken er med budgetloven underlagt et for-
sigtighedsprincip, som indebærer, at den planlagte udvikling i de offentlige udgifter udelukkende kan
tage afsæt i de reformer og tiltag, der er fundet flertal for i Folketinget.
Udgiftspolitikken
understøtter overholdelsen af de finanspolitiske målsætninger. Det sker især gen-
nem fastsættelsen af udgiftslofter for stat, kommuner og regioner, der normalvis dækker ca. ¾ af de
samlede offentlige udgifter. Udgiftslofterne understøtter, at de offentlige udgifter udvikler sig i over-
ensstemmelse med de fastsatte målsætninger og prioriteringer i de mellemfristede planer.
Regeringens udgangspunkt for
skattepolitikken
er, at skatten ikke skal stige for almindelige danskere.
Herudover er skattepolitikken baseret på indgåede aftaler. Siden fremskrivningen i
DK2025
er der
bl.a. indgået
Aftale om en grøn skattereform,
hvor afgifterne på virksomhedernes forbrug af fossile
brændstoffer hæves frem mod 2025. Samtidig gives en række midlertidige skattelempelser i særligt
de nærmest kommende år, som giver virksomheder bedre mulighed for at omstille sig til grønnere
produktion samt større incitament til at investere i forskning og udvikling. Hertil kommer
Aftale om en
ny ret til tidlig pension,
hvori det bl.a. er besluttet at indføre en særlig skat på den finansielle sektors
overskud og en løbende beskatning af selskabers ejendomsavance mv. Endvidere er der som led i
Aftale om stimuli og grøn genopretning
besluttet en midlertidig lempelse af BoligJob-ordningen samt
muligheden for at give skattefri arbejdsgiverbetalte gavekort til oplevelsesøkonomi.
6.2 Fleksibilitet i institutionelle rammer i lyset af COVID-19
Den ekstraordinære situation med udbruddet af COVID-19 og nedlukningen af landet i foråret 2020 i
lyset af sundhedssituationen medførte helt usædvanlige og akutte behov for at gennemføre nye tiltag
i udgifts- og finanspolitikken for at håndtere dels sundhedskrisen og dels det betydelige økonomiske
tilbageslag, som coronakrisen medførte ikke bare i Danmark, men i store dele af verden.
I Danmark blev der som følge heraf blandt andet gennemført betydelige sundhedsmæssige indsatser,
økonomiske kompensationsordninger for erhvervslivet samt midlertidige lempelser af den økonomi-
78
Danmarks Konvergensprogram 2021
April 2021
EUU, Alm.del - 2020-21 - Bilag 494: Danmarks konvergensprogram 2021
2383311_0081.png
Kapitel 6
Offentlige finanser og institutionelle rammer
ske politik for at understøtte aktiviteten i dansk økonomi i kølvandet på coronakrisen. Situationen kræ-
vede således et manøvrerum i udgiftspolitikken, der rakte væsentligt ud over de udgiftsrammer, der i
normale konjunkturudsving var fastlagt i henhold til budgetloven og den mellemfristede planlægning.
Det samlede rammeværk i budgetloven tager dog hensyn til, at der kan opstå situationer, hvor der vil
være behov for at kunne fravige de almindelige rammer for udgifts- og finanspolitikken.
I forbindelse med coronakrisen har følgende elementer i budgetloven været centrale for så vidt angår
muligheden for øget fleksibilitet i tilrettelæggelsen af udgifts- og finanspolitikken:
Mulighed for at fravige budgetlovens underskudsgrænse under exceptionelle omstændigheder
(budgetlovens § 2 stk. 5-6)
Mulighed for at fastsætte nærmere regler om sammensætningen af udgiftslofterne (budgetlovens
§ 12)
Exceptionelle omstændigheder kan generelt tolkes som tilfælde af enkeltstående og forholdsvis sjæl-
den karakter. De kan blandt andet omfatte en dyb lavkonjunktur i EU-landene eller exceptionelle for-
hold som fx coronapandemien. Fleksibiliteten i lyset af exceptionelle omstændigheder er blandt andet
vigtig i forhold til at sikre, at finanspolitikken kan mindske de negative – og i værste tilfælde langvarige
– konsekvenser, som dybe lavkonjunkturer eller exceptionelle hændelser kan have for såvel borgere
og virksomheder.
I forbindelse med coronakrisen har fleksibiliteten i forhold til den danske budgetlov således givet sig
udslag i, at der har været en mulighed at gennemføre diskretionære lempelser ud over budgetlovens
grænse i lyset af et betydeligt tilbageslag med negativ BNP-vækst i 2020. Hertil kommer yderligere
fleksibilitet som følge af, at en række af udgifterne direkte relateret til inddæmning og afbødning af
COVID-19 under budgetlovens metode vurderes at have karakter af engangsforhold, og dermed er
neutrale i opgørelsen af den strukturelle saldo. I det følgende redegøres der nærmere for fleksibilite-
ten inden for de styringsmæssige rammer af budgetloven under coronakrisen.
Aktivering af EU’s generelle undtagelsesklausul og mulighed for at fravige
budgetlovens underskudsgrænse
I 2020 medførte udbruddet af COVID-19 en ekstraordinær situation, der ud over den sundhedsmæs-
sige krise affødte et alvorligt økonomisk tilbageslag både i Danmark og EU.
I forbindelse med udbruddet af COVID-19 aktiverede EU-Kommissionen i marts 2020 den såkaldte
”generelle undtagelsesklausul” med henvisning til, at EU var ramt af et alvorligt økonomisk tilbage-
slag. Med den generelle undtagelsesklausul refereres der til den fleksibilitet i EU’s fælles finanspoliti-
ske regler i Stabilitets- og Vækstpagten, der overordnet indebærer, at der kan tages højde for alvor-
lige økonomiske tilbageslag i EU eller euroområdet i forbindelse med vurderinger af EU-landenes fi-
nanspolitik. EU’s finansministre delte Kommissionens vurdering og bakkede op om anvendelsen af
fleksibiliteten i Stabilitets- og Vækstpagten.
På linje hermed var det også den danske regerings vurdering, at COVID-19 krisen i 2020 udgjorde en
ekstraordinær omstændighed i henhold til budgetloven, der gav mulighed for at fravige budgetlovens
underskudsgrænse.
Danmarks Konvergensprogram 2021
April 2021
79
EUU, Alm.del - 2020-21 - Bilag 494: Danmarks konvergensprogram 2021
2383311_0082.png
Kapitel 6
Offentlige finanser og institutionelle rammer
I lyset af tilbageslaget og behovet for håndtering af COVID-19 blev der planlagt en midlertidig lem-
pelse af den diskretionære finanspolitik i forbindelse med
DK2025 – en grøn, retfærdig og ansvarlig
genopretning af dansk økonomi (august 2020),
som ligger ud over stabiliseringspotentialet fra de au-
tomatiske stabilisatorer, som er betydelige i Danmark.
Udgifts- og finanspolitikken blev således lempet helt til budgetlovens underskudsgrænse for den
strukturelle saldo på -0,5 pct. af BNP i 2021, hvilket – sammen med nye tiltag finansieret fra EU’s
genopretningsfond – bidrager til en markant finanspolitisk indsats, som vurderes at være afstemt med
konjunktursituationen. For årene efter 2021 er der også planlagt en mere lempelig finanspolitik end
lagt til grund før coronakrisen, men med gradvist aftagende strukturelle underskud og med et fast-
holdt mål om strukturel balance i 2025.
EU-Kommissionen udmeldte i september 2020, at den generelle undtagelsesklausul ligeledes vil
være aktiveret i 2021. Det indebærer i praksis, at EU's finanspolitiske regler
de facto
er sat ud af kraft
også i 2021. I forhold til den danske budgetlov er det regeringens udgangspunkt, at rammerne om fi-
nanspolitikken i 2021 i Danmark skal vurderes ud fra de konkrete udsigter for dansk økonomi. Med de
aktuelle skøn er der hverken udsigt til et forventet årligt fald i BNP i 2021 eller et output- og beskæfti-
gelsesgab, der i historisk lys er ekstraordinært stort. I det lys er finanspolitikken for Danmark i 2021
planlagt med udgangspunkt i budgetlovens rammer. Det skal blandt andet ses i sammenhæng med,
at dansk økonomi på nuværende tidspunkt står bedre end euroområdet som helhed, og at der er til-
rettelagt en ekspansiv finanspolitik med et strukturelt underskud på -0,5 pct. af BNP i 2021.
I forbindelse med COVID-19 krisen har der således været mulighed for at tilrettelægge en markant og
ekspansiv finanspolitik – der omfatter både hjælpepakker til erhvervslivet og stimuli-tiltag – for at un-
derstøtte økonomien bedst muligt. Hertil kommer, at COVID-19 tiltag, der har karakter af engangsfor-
hold, ikke påvirker den strukturelle saldo efter den danske opgørelse under budgetloven.
Undtagelse af ekstraordinære COVID-19 udgifter fra udgiftslofterne
I forbindelse med COVID-19-krisen er der gennemført en lang række udgiftstiltag som reaktion på
den direkte sundhedsmæssige krise og de afledte konsekvenser på økonomien mv.
En stor del af merudgifterne vedrører ekstraordinære myndighedsindsatser (fx indkøb af værnemidler,
smitteopsporing og test, vaccineindkøb mv.) samt kompensationsordninger mv. til erhvervslivet, som i
udgangspunktet er omfattet af udgiftslofterne og således under normale omstændigheder vil skulle
afholdes inden for de fastsatte udgiftsrammer for stat, kommuner og regioner.
For at understøtte fleksibiliteten til at håndtere COVID-19 krisen er der således både for så vidt angår
2020 og 2021 ekstraordinært udstedt en bekendtgørelse, der undtager COVID-19 relaterede merud-
gifter fra udgiftslofterne i stat, kommuner og regioner. Bekendtgørelserne er udstedt i henhold til bud-
getlovens § 12, der giver Finansministeren bemyndigelse til at fastsætte nærmere regler om sam-
mensætningen af de statslige, kommunale og regionale udgiftslofter.
I både 2020 og 2021 behandles en række COVID-19 relaterede merudgifter således særskilt uden for
udgiftslofterne. COVID-19 udgifter, der er undtaget fra udgiftslofterne, indgår dermed ikke som en del
af den løbende statslige udgiftskontrol i henhold til budgetlovens § 13-17. De statslige udgiftskontrol-
ler gennemføres fortsat for udgifter, der indgår som en del af den (almindelige) tilrettelæggelse af ud-
giftspolitikken inden for rammerne af udgiftslofterne.
80
Danmarks Konvergensprogram 2021
April 2021
EUU, Alm.del - 2020-21 - Bilag 494: Danmarks konvergensprogram 2021 EUU, Alm.del - 2020-21 - Bilag 494: Danmarks konvergensprogram 2021
2383311_0084.png
Bilagstabeller i henhold til EUs ”Code of Conduct”
82
Danmarks Konvergensprogram 2021
April 2021
EUU, Alm.del - 2020-21 - Bilag 494: Danmarks konvergensprogram 2021
2383311_0085.png
Bilagstabeller i henhold til EUs
”Code of Conduct”
Tabel 1a
Makroøkonomiske nøgletal
2020
Mia. kr.
Realt BNP
Nominelt BNP
2.095
1)
2.324
-2,7
-0,5
2,1
2,7
2020
2021
2022
2023
2024
2025
Årlig realvækst i pct.
3,8
4,6
2,3
3,7
1,3
3,0
1,3
3,0
Vækstkomponenter
Privatforbrug
Offentligt forbrug
1)
Faste bruttoinvesteringer
Lagerændringer
2)
Eksport
Import
1.176
1.060
963
527
471
-1,9
-0,1
2,1
-0,2
-7,7
-4,8
2,4
3,2
1,3
-0,0
4,2
4,8
4,4
0,1
4,0
-0,0
6,7
5,8
2,4
1,2
4,2
0,0
2,6
3,2
2,3
0,9
2,4
-0,0
2,2
3,4
2,2
1,1
2,1
-0,0
1,7
2,8
Bidrag til BNP-vækst
Indenlandsk efterspørgsel
Lagerændringer
Nettoeksport
-0,5
-0,2
-2,1
2,2
-0,0
-0,0
Pct.-point
2,9
-0,0
0,8
2,4
0,0
-0,1
1,8
-0,0
-0,5
1,8
-0,0
-0,5
1)
Det offentlige forbrug er i tabel 1a opgjort inkl. afskrivninger. Den offentlige forbrugsvækst i 2020 er opgjort ved
outputmetoden. Opgjort ved inputmetoden inkl. afskrivninger udgør den offentlige forbrugsvækst 0,6 pct. i 2020.
Den skønnede offentlige forbrugsvækst fra 2021 og frem er beregningsteknisk forudsat ens ved hhv. input- og
outputmetoden.
2)
Ændringer angiver bidrag til BNP-vækst i pct.-point.
Kilde: Danmarks Statistik og egne beregninger.
Danmarks Konvergensprogram 2021
April 2021
83
EUU, Alm.del - 2020-21 - Bilag 494: Danmarks konvergensprogram 2021
2383311_0086.png
Bilagstabeller i henhold til EUs ”Code of Conduct”
Tabel 1b
Priser
2020
Indeks
BNP-deflator
Privat forbrugs-deflator
Forbrugerprisindeks
HICP-indeks
Nettoprisindeks
Offentlig forbrugs-deflator
Investeringspriser
Eksportpriser
Importpriser
110,9
110,0
110,8
109,5
110,8
109,3
111,9
107,4
105,0
2,3
0,3
0,4
0,3
0,3
3,5
0,8
0,5
-1,9
0,6
1,1
1,1
1,1
1,6
0,8
1,3
1,4
2,5
2020
2021
2022
2023
2024
2025
Årlig ændring i pct.
0,8
1,5
1,5
1,5
2,0
1,1
0,3
1,0
1,6
1,3
1,7
2,0
2,0
1,7
2,1
1,1
0,8
1,3
1,7
1,8
2,0
1,9
2,1
2,3
1,3
1,2
1,4
1,7
2,0
2,2
2,1
2,2
2,5
1,5
1,3
1,8
Anm.: For alle prisindeks gælder at 2010=100.
Kilde: Danmarks Statistik og egne beregninger.
Tabel 1c
Arbejdsmarked
2020
2020
2021
2022
2023
2024
2025
Årlig ændring i pct.
Beskæftigelse (1.000 personer)
Udførte arbejdstimer
(mio. timer)
Ledighed (pct.), harmoniseret
EU-definition
1)
Mandeproduktivitet (1.000 kr.)
2)
Timeproduktivitet (kr.)
2)
Aflønning af ansatte (mia. kr.)
3)
Aflønning pr. beskæftiget
4)
2.981
4.014
-0,7
-3,2
0,2
0,9
1,2
2,9
Pct.
5,8
5,4
5,1
4,9
4,8
4,8
0,5
0,4
0,1
0,2
0,3
0,3
Årlig ændring i pct.
605
449
1.199
443
-2,3
0,3
0,8
1,6
1,6
1,0
2,7
2,4
2,5
0,8
3,7
2,5
1,3
1,4
3,2
2,6
1,2
1,1
3,0
2,9
1,1
1,1
3,3
2,9
Tallet svarer til den EU-harmoniserede ledighed i pct. af arbejdsstyrken, som bygger på Danmarks Statistiks
arbejdskraftsundersøgelse (AKU).
2)
Produktivitet er opgjort som BVT.
3)
Opgjort i årets priser, dvs. der er tale om nominelle vækstrater i lønsummen.
4)
Opgjort som aflønning af ansatte pr. beskæftiget lønmodtager.
Kilde: Danmarks Statistik og egne beregninger.
1)
84
Danmarks Konvergensprogram 2021
April 2021
EUU, Alm.del - 2020-21 - Bilag 494: Danmarks konvergensprogram 2021
2383311_0087.png
Bilagstabeller i henhold til EUs ”Code of Conduct”
Tabel 1d
Sektorbalancer
2020
2021
2022
2023
2024
2025
Pct. af BNP
Betalingsbalancen
Heraf:
- Vare og tjenestebalance
- Løbende overførsler og formueindkomster
- Kapitalposter
Privat finansiel opsparing
Offentlig finansiel opsparing
Statistisk diskrepans
6,5
1,3
-0,0
9,0
-1,1
0,0
5,8
1,2
-0,0
10,3
-3,3
0,0
6,1
1,2
-0,0
8,2
-0,9
0,0
5,6
1,2
-0,0
7,5
-0,7
0,0
4,9
1,5
-0,0
7,0
-0,6
0,0
4,1
1,4
-0,0
5,5
-0,0
0,0
7,8
7,0
7,3
6,8
6,3
5,5
Kilde: Danmarks Statistik og egne beregninger.
Danmarks Konvergensprogram 2021
April 2021
85
EUU, Alm.del - 2020-21 - Bilag 494: Danmarks konvergensprogram 2021
2383311_0088.png
Bilagstabeller i henhold til EUs ”Code of Conduct”
Tabel 2a
Offentlige finanser
2020
Mia. kr.
Nettofordringserhvervelse
i delsektorer
Samlet offentlig sektor
Statslig sektor
Kommunal sektor
Sociale kasser og fonde
-26,7
-29,3
2,4
0,2
-1,1
-1,3
0,1
0,0
-3,3
-3,3
0,0
0,0
-0,9
-0,9
0,0
0,0
-0,7
-0,7
0,0
0,0
-0,6
-0,6
0,0
0,0
0,0
0,0
0,0
0,0
2020
2021
2022
2023
2024
2025
Pct. af BNP
Offentlige finanser
Samlede indtægter
Samlede udgifter
Samlet offentlig saldo
Renteudgifter
Primær saldo, EU-definition
1)
Ekstraordinære poster/one-off
2)
1.202
1.229
-26,7
11,9
-14,8
-18,8
51,7
52,9
-1,1
0,5
-0,6
-0,8
49,8
53,0
-3,3
0,7
-2,6
-2,4
49,0
49,9
-0,9
0,5
-0,4
-0,7
48,7
49,4
-0,7
0,7
0,0
-0,6
48,5
49,1
-0,6
0,6
0,0
-0,6
49,0
49,0
0,0
0,6
0,6
0,0
Offentlige indtægter
Samlede skatter og afgifter
3)
Produktions- og importskatter
Løbende indkomst- og
formueskatter
Kapitalskatter
Obligatoriske sociale bidrag
4)
Renteindtægter mv.
5)
Øvrige (residual)
6)
Samlede indtægter
p.m.: Skattetryk
7)
1.090
367
714
6,7
1,4
21,3
91,3
1.203
1.093
46,9
15,8
30,7
0,3
0,1
0,9
3,9
51,7
47,0
44,6
15,8
28,5
0,2
0,0
1,0
4,1
49,8
44,8
44,0
15,5
28,3
0,2
0,0
1,0
4,1
49,0
44,1
43,6
15,5
27,8
0,2
0,0
1,0
4,1
48,7
43,7
43,4
15,3
27,8
0,2
0,0
0,9
4,1
48,5
43,5
43,9
15,3
28,4
0,2
0,0
0,8
4,2
49,0
44,1
86
Danmarks Konvergensprogram 2021
April 2021
EUU, Alm.del - 2020-21 - Bilag 494: Danmarks konvergensprogram 2021
2383311_0089.png
Bilagstabeller i henhold til EUs ”Code of Conduct”
Tabel 2a (fortsat)
Offentlige finanser
2020
Mia. kr.
Offentlige udgifter
Lønsum og forbrug i
produktionen
- Lønsum
- Forbrug i produktionen
Samlede sociale overførsler
- Sociale overførsler i
naturalier
6)
- Indkomstoverførsler
Renteudgifter
Subsidier
Faste bruttoinvesteringer
Kapitaloverførsler
Øvrige (residual)
6)
Samlede udgifter
p.m.: Offentligt forbrug
566
357
209
418
32,3
392
11,9
68,7
80,1
29,4
49,2
1.229
576
24,4
15,4
9,0
18,0
1,4
16,9
0,5
3,0
3,4
1,3
2,1
52,9
24,8
24,6
15,2
9,4
17,8
1,4
16,6
0,7
2,9
3,6
1,2
2,0
53,0
25,1
23,8
14,9
8,9
17,2
1,4
16,1
0,5
1,6
3,6
1,1
1,9
49,9
24,3
23,6
14,8
8,9
17,0
1,3
16,0
0,7
1,5
3,7
0,5
2,0
49,4
24,2
23,7
14,8
8,9
17,1
1,3
16,0
0,6
1,4
3,5
0,5
2,0
49,1
24,2
23,8
14,9
8,9
17,2
1,3
16,0
0,6
1,4
3,4
0,4
2,0
49,0
24,4
2020
2021
2022
2023
2024
2025
Pct. af BNP
1)
2)
Defineret som EDP-definition af offentlig saldo plus EDP-definition af renteudgifter.
De ekstraordinære poster er baseret på beregningen af den strukturelle saldo og inkluderer blandt andet
midlertidige udsving i provenuerne fra pensionsafkastskatten, Nordsøen, nettorenter, selskabsskatter, andre
særlige poster og deciderede engangsforhold.
3)
Defineret som summen af produktions- og importskatter, løbende indkomst- og formueskatter samt
kapitalskatter. Posten indeholder med andre ord ikke obligatoriske sociale bidrag, der traditionelt indgår i
skattetrykket.
4)
Indeholder ikke frivillige og imputerede sociale bidrag, idet disse ikke indgår i skattetrykket.
5)
Indeholder renteindtægter samt udbytter og jordrente mv.
6)
Danmarks Statistik offentliggør ikke tal for alle undergrupperne (P.11+P.12+P.131+D.39+D.7+D.9 (ekskl.
D.91), D.6311, D.63121, D.63131, D.29+D.4 (ekskl. D.41)+D.5+D.7+D.9+P.52+P.53+K.2+D.8), og der
udarbejdes ikke skøn i fremskrivningerne for disse enkeltkomponenter.
7)
Defineret som summen af produktions- og importskatter (inkl. EU-ordninger), løbende indkomst- og
formueskatter, kapitalskatter og obligatoriske sociale bidrag.
Kilde: Danmarks Statistik og egne beregninger.
Danmarks Konvergensprogram 2021
April 2021
87
EUU, Alm.del - 2020-21 - Bilag 494: Danmarks konvergensprogram 2021
2383311_0090.png
Bilagstabeller i henhold til EUs ”Code of Conduct”
Tabel 2b
Indtægter og udgifter ved uændret politik
2020
Mia. kr.
Samlede indtægter ved uændret politik
Samlede udgifter ved uændret politik
1.203
1.229
51,7
52,9
49,6
52,8
2020
2021
2022
2023
2024
2025
Pct. af BNP
48,9
51,2
48,5
51,1
48,5
51,3
49,0
51,6
Anm.: Opgørelsen af de samlede udgifter ved uændret politik skal særligt ses i sammenhæng med de midlertidige
kompensationsordninger mv. vedr. COVID-19.
Kilde: Danmarks Statistik og egne beregninger.
Tabel 2c
Korrektioner til offentlig udgiftsvækst i henhold til EU’s udgiftsregel
2020
Mia. kr.
Udgifter til EU-programmet fuldt mod-
svaret af indtægter fra EU-midler
- Heraf: Investeringer fuldt modsvaret
af indtægter fra EU-midler
Konjunkturbetingede udgifter til
arbejdsløshedsunderstøttelse
Diskretionære indtægtsforanstaltninger
Lovbestemte indtægtsforøgelser
0,0
0,0
25,0
-5,3
0,0
0,0
0,0
1,1
-0,2
0,0
0,0
0,0
0,9
0,2
0,0
2020
2021
2022
2023
2024
2025
Pct. af BNP
0,0
0,0
0,9
0,0
0,0
0,0
0,0
0,8
0,0
0,0
0,0
0,0
0,7
-0,3
0,0
0,0
0,0
0,7
0,0
0,0
Anm.: De konjunkturbetingede udgifter til ledighed består af udgifterne til a-dagpenge samt til ledige med kontanthjælp
(begge dele opgjort ekskl. udgifter til aktiverede).
Kilde: Danmarks Statistik og egne beregninger.
88
Danmarks Konvergensprogram 2021
April 2021
EUU, Alm.del - 2020-21 - Bilag 494: Danmarks konvergensprogram 2021
2383311_0091.png
Bilagstabeller i henhold til EUs ”Code of Conduct”
Tabel 3
Funktionel fordeling af offentlige udgifter
COFOG
2019
Pct. af BNP
Generelle offentlige tjenester
Forsvar
Offentlig orden og sikkerhed
Økonomiske anliggender
Miljøbeskyttelse
Boliger og offentlige faciliteter
Sundhedsvæsen
Fritid, kultur og religion
Undervisning
Social beskyttelse
Samlede offentlige udgifter
1)
1
2
3
4
5
6
7
8
9
10
TE
6,0
1,1
1,0
3,1
0,4
0,2
8,2
1,6
6,3
21,4
48,2
-
-
-
-
-
-
-
-
-
-
49,1
2024
Anm: Der udarbejdes ikke prognoser og fremskrivninger af den funktionelle fordeling af de offentlige udgifter.
Prognoserne og fremskrivningerne fokuserer på den realøkonomiske fordeling af de offentlige udgifter.
1)
Opgørelsen af det samlede offentlige udgiftstryk i Danmarks Statistiks opgørelse afviger fra opgørelsen i tabel 2a
grundet definitoriske forskelle i opgørelsemetode (i tabel 2a indregnes imputerede udgifter i form af
afskrivninger og indtægter i form af salg af varer og tjenester på udgiftssiden, hvilket ikke er tilfældet i Danmarks
Statistik opgørelse).
Kilde: Danmarks Statistik og egne beregninger.
Danmarks Konvergensprogram 2021
April 2021
89
EUU, Alm.del - 2020-21 - Bilag 494: Danmarks konvergensprogram 2021
2383311_0092.png
Bilagstabeller i henhold til EUs ”Code of Conduct”
Tabel 4
Dekomponering af offentlig ØMU-gæld
2020
2021
2022
2023
2024
2025
Pct. af BNP
Offentlig gæld
Ændring i offentlig gældskvote
1)
Ændring i offentlig gæld
2)
42,2
8,9
8,7
40,7
-1,5
-0,4
41,3
0,5
2,3
41,6
0,3
1,8
41,3
-0,3
1,0
39,7
-1,7
-0,5
Bidrag til ændring i offentlig gæld
Primær balance
3)
Renteudgifter
4)
-0,6
0,5
8,9
1,5
-2,6
0,7
1,5
1,6
-0,4
0,5
2,1
1,4
0,0
0,7
1,1
1,7
0,0
0,6
0,3
1,6
0,6
0,6
-1,8
1,6
Øvrige forhold (residual)
5)
p.m. Implicit rente af gæld
6)
Andre relevante gældsbegreber
Statens konto i Nationalbanken
Offentlig nettogæld
7)
5,8
-11,0
-10,9
2,4
-7,4
-7,4
0,2
-6,2
-6,2
1,0
-5,1
-5,1
2,0
-4,2
-4,2
4,0
-4,1
-4,0
Nettogæld i stat og kommuner
7)
Ændringen i gældskvoten er defineret som Gt/BNPt – Gt-1/BNPt-1, hvor G angiver den offentlige gæld målt i
kroner.
2)
Ændringen i gælden er defineret som Gt/BNPt – Gt-1/BNPt, hvor G angiver den offentlige gæld målt i kroner.
3)
Som defineret i tabel 2a.
4)
Som defineret i tabel 2a.
5)
Der foreligger pt. ikke oplysninger, der muliggør en opdeling i undergrupper.
6)
Approksimeret ved renteudgifter divideret med den offentlige gæld i det foregående år.
7)
I opgørelsen af den offentlige nettogæld og nettogælden i stat og kommuner fratrækkes ud over statens
indestående likvider i Nationalbanken også statens øvrige aktiver.
Kilde: Danmarks Statistik og egne beregninger.
1)
90
Danmarks Konvergensprogram 2021
April 2021
EUU, Alm.del - 2020-21 - Bilag 494: Danmarks konvergensprogram 2021
2383311_0093.png
Bilagstabeller i henhold til EUs ”Code of Conduct”
Tabel 5
Konjunkturrensning af offentlig saldo
2020
2021
2022
Pct.
Real BNP-vækst
-2,7
2,1
3,8
Pct. af BNP
Offentlig saldo
Renteudgifter
1)
2023
2024
2025
2,3
1,3
1,3
-1,1
0,5
-0,8
2,1
-2,9
-3,3
0,7
-2,4
0,1
-2,5
-0,9
0,5
-0,7
-0,3
-0,5
Pct.
-0,7
0,7
-0,6
-0,6
0,0
-0,6
0,6
-0,6
-0,5
0,0
0,0
0,6
0,0
0,0
0,0
Ekstraordinære poster/one-off
- Heraf indtægter
- Heraf udgifter
Potentiel BNP-vækst
2)
0,6
1,4
2,2
Pct.-point
1,8
1,3
1,4
Heraf bidrag fra:
- Beskæftigelse
- Kapitalapparat
- Totalfaktorproduktivitet
0,2
0,7
-0,3
0,2
0,7
0,6
0,5
0,7
1,0
Pct. af BNP
Outputgab
Konjunkturbidrag
3)
Strukturel saldo
4)
Primær strukturel saldo
4)
0,4
0,8
0,7
0,1
0,8
0,4
0,2
0,8
0,4
-1,8
-0,7
0,3
0,0
-0,8
-0,4
-0,5
-0,8
0,2
0,1
-0,3
-0,5
0,0
0,0
-0,1
-0,4
0,0
0,0
-0,1
-0,3
0,0
0,0
0,0
-0,1
Som defineret i tabel 2a.
Inkl. et bidrag fra reale indirekte afgifter.
Konjunkturbidraget er beregnet på baggrund af et konjunkturgab, der er sammenvejet af outputgab og
beskæftigelsesgab.
4)
Der foreligger ikke beregninger af den strukturelle saldo, der tager afsæt i de offentlige finanser opgjort på EDP-
form. Beregningerne af den strukturelle saldo tager således udgangspunkt i de offentlige finanser opgjort ifølge
nationalregnskabet. Den primære strukturelle saldo tager endvidere udgangspunkt i en faktisk primær saldo
defineret ud fra netterenteudgifterne og ikke bruttorenteudgifterne.
Kilde: Danmarks Statistik og egne beregninger.
1)
2)
3)
Danmarks Konvergensprogram 2021
April 2021
91
EUU, Alm.del - 2020-21 - Bilag 494: Danmarks konvergensprogram 2021
2383311_0094.png
Bilagstabeller i henhold til EUs ”Code of Conduct”
Tabel 6
Ændringer i forhold til DK2025, august 2020
2020
2021
2022
2023
2024
2025
Årlig ændring i pct.
Real BNP-vækst
DK2025, august 2020
KP21
Ændring
-4,5
-2,7
1,7
4,2
2,1
-2,1
2,9
3,8
0,8
Pct. af BNP
Outputgab (pct. af BVT)
DK2025, august 2020
KP21
Ændring
-3,1
-1,8
1,2
-1,1
-0,8
0,3
-0,6
0,2
0,8
-0,3
0,0
0,3
0,0
0,0
0,0
0,0
0,0
0,0
2,3
2,3
0,0
2,1
1,3
-0,8
1,3
1,3
-0,1
Offentlig saldo
DK2025, august 2020
KP21
Ændring
-3,9
-1,1
2,8
-2,4
-3,3
-0,9
-2,1
-0,9
1,3
-1,4
-0,7
0,7
-0,9
-0,6
0,2
0,0
0,0
0,0
Offentlig ØMU-gæld
DK2025, august 2020
KP21
Ændring
46,3
42,2
-4,1
41,9
40,7
-1,2
44,5
41,3
-3,3
45,4
41,6
-3,9
45,7
41,3
-4,4
44,6
39,7
-5,0
Kilde: Egne beregninger.
92
Danmarks Konvergensprogram 2021
April 2021
EUU, Alm.del - 2020-21 - Bilag 494: Danmarks konvergensprogram 2021
2383311_0095.png
Bilagstabeller i henhold til EUs ”Code of Conduct”
Tabel 7
Offentlige finansers langsigtede holdbarhed
2007
2010
2020
2030
Pct. af BNP
Samlede udgifter
Heraf:
Alders-relaterede udgifter
Offentlige pensioner
- Efterløn, folke- og tjenestemandspension
- Førtidspension
- Tidlig pension
Offentligt betalte arbejdsmarkeds-
pensioner
Udgifter til sundhedsvæsen
1)
Udgifter til pleje
1)
Udgifter til uddannelse
Øvrige alders-relaterede udgifter
Renteudgifter
26,5
9,1
7,1
2,0
0,0
-
5,6
2,7
4,8
4,4
1,6
30,0
10,0
7,8
2,2
0,0
-
6,3
3,0
5,5
5,2
1,9
28,5
9,7
7,8
1,9
0,0
-
6,1
2,7
5,3
4,7
0,5
28,0
9,5
7,4
2,0
0,1
-
6,1
3,2
4,8
4,6
0,8
28,7
9,2
7,0
2,1
0,1
-
6,4
3,7
5,0
4,5
1,6
27,8
8,3
6,1
2,1
0,1
-
6,3
4,0
5,0
4,3
2,5
26,4
7,3
5,0
2,2
0,1
-
6,1
4,2
4,8
4,1
2,4
48,9
55,5
52,9
49,7
51,7
51,5
49,6
2040
2050
2060
Samlede indtægter
Heraf:
- Renteindtægter
2)
- Provenu fra nettopensionsudbetalinger
Pensionsformue i alt
Heraf:
Sociale kasser og fondes formue
53,9
52,8
51,7
49,2
50,3
50,6
49,9
2,4
-1,3
124,2
2,4
-0,9
139,3
0,9
-0,5
193,2
0,9
-0,2
185,6
1,2
0,2
195,4
1,6
0,3
195,5
1,6
0,2
196,2
0,1
0,0
0,1
0,0
-0,1
-0,3
-0,4
Danmarks Konvergensprogram 2021
April 2021
93
EUU, Alm.del - 2020-21 - Bilag 494: Danmarks konvergensprogram 2021
2383311_0096.png
Bilagstabeller i henhold til EUs ”Code of Conduct”
Tabel 7 (fortsat)
Offentlige finansers langsigtede holdbarhed
2007
2010
2020
2030
Pct.
Antagelser
Vækst i arbejdsproduktivitet
Real BNP-vækst
3)
Erhvervsfrekvens, mænd (20-64 år)
Erhvervsfrekvens, kvinder (20-64 år)
Erhvervsfrekvens, i alt (20-64 år)
Ledighed (national definition)
4)
2040
2050
2060
-1,7
0,9
82,9
73,9
78,4
3,5
4,8
843
4,3
1,9
80,1
72,6
76,4
5,8
4,6
917
-2,3
-2,7
81,7
74,5
78,1
4,4
4,1
1.165
1,2
1,5
81,5
74,9
78,2
3,6
3,6
1.383
0,8
1,4
82,1
75,5
78,8
3,6
3,6
1.548
1,0
1,7
82,3
76,1
79,2
3,6
3,6
1.549
1,0
1,4
82,6
76,2
79,4
3,6
3,6
1.596
Strukturel ledighed (national definition)
4)
Befolkningen over 65 år (1.000 personer)
1)
2)
3)
Udgifterne til plejehjem indgår i pleje frem for i sundhed.
Indeholder offentlige indtægter fra renter og udbytter.
BNP-væksten er i nogle år efter 2025 påvirket af reguleringen af efterløns- og folkepensionsalderen i takt med
levetiden.
4)
Bruttoledighed, pct. af arbejdsstyrken.
Kilde: Danmarks Statistik og egne beregninger.
Tabel 7a
Eventualforpligtelser
2020
Pct. af BNP
Offentlige garantier
Heraf nye national garantitiltag ift. COVID-19 i alt
- heraf lån til små, mellemstore og store virksomheder
- heraf Rejsegarantifonden
- heraf garanti til SAS
- heraf matchfinansiering i regi af Vækstfonden
- heraf garantier for virksomheders handel og eksport
25,9
3,6
2,0
0,1
0,0
0,2
1,3
-
-
-
-
-
-
-
2021
Anm.: Indeholder ikke indskydergaranti. Offentlige garantier består af statsforskrivninger, garanter vedrørende lån samt
andre garantier.
Kilde: Statsregnskabet for 2020.
94
Danmarks Konvergensprogram 2021
April 2021
EUU, Alm.del - 2020-21 - Bilag 494: Danmarks konvergensprogram 2021
2383311_0097.png
Bilagstabeller i henhold til EUs ”Code of Conduct”
Tabel 8
Grundlæggende forudsætninger
2020
Kort rente (årsgennemsnit)
Lang rente (årsgennemsnit)
Valutakurs EUR/USD (årsgennemsnit)
Effektiv kronekurs (1980=100)
BNP-vækst, verden ekskl. EU
BNP-vækst, EU
1)
Eksportmarkedsvækst
1) 2)
Importvækst, verden ekskl. EU
Oliepris (Brent, USD/tønde)
1)
1)
2021
-0,2
-0,1
120,2
104,5
6,2
3,5
5,0
9,2
62,3
2022
-0,2
0,1
118,3
104,2
4,5
3,2
4,3
6,7
62,7
2023
-0,2
0,3
118,4
104,2
3,6
2,3
3,7
4,1
63,6
2024
-0,1
0,6
118,5
104,2
3,5
1,9
3,3
3,8
64,8
2025
0,1
0,8
119,0
104,2
3,4
1,6
3,1
3,6
66,2
-0,2
-0,4
113,9
102,9
-3,1
-6,1
-6,5
-8,9
41,8
1)
2)
Opgjort på baggrund af IMFs World Economic Outlook april 2021.
Opgjort som et vægtet gennemsnit af importvæksten hos Danmarks 36 vigtigste samhandelspartnere, hvor
vægtene afspejler landets betydning for dansk industrieksport i 2020.
Kilde: Danmarks Statistik, EU-Kommissionens efterårsprognose november 2020, IMFs World Economic Outlook
april 2021, OECDs Economic Outlook oktober 2020, Macrobond, Nordea Markets og egne beregninger.
Danmarks Konvergensprogram 2021
April 2021
95
EUU, Alm.del - 2020-21 - Bilag 494: Danmarks konvergensprogram 2021
2383311_0098.png
Bilagstabeller i henhold til EUs ”Code of Conduct”
Tabel 9a
Virkning af forventet hjemtag af midler fra EUs Genopretningsfacilitet (RRF)
2021
2022
2023
Pct. af BNP
Indtægter fra RRF-midler
1. Inkluderet i fremskrivning af indtægter
2. Udbetalinger af RRF-midler fra EU
Udgifter finansieret af midler fra RRF
3. Aktuelle udgifter i alt
4. Kapitaludgifter i alt
- Faste bruttoinvesteringer
- Kapitaloverførsler
Andre omkostninger finansieret af midler fra RRF
5. Reduktion i skatteindtægter
6. Andre omkostninger med virkning på indtægtssiden
7. Finansielle transaktioner
0,0
0,0
0,0
0,1
0,0
0,0
0,0
0,0
0,0
0,0
0,0
0,0
0,0
0,0
0,0
0,1
0,0
0,0
0,0
0,0
0,0
0,0
0,0
0,0
0,0
0,0
0,0
0,0
0,0
0,0
0,0
0,0
0,0
0,0
0,0
0,2
0,2
0,2
0,2
0,1
0,1
0,1
0,1
0,0
0,0
2024
2025
Kilde: Egne beregninger.
96
Danmarks Konvergensprogram 2021
April 2021
EUU, Alm.del - 2020-21 - Bilag 494: Danmarks konvergensprogram 2021
April 2021
Finansministeriet
Christiansborg Slotsplads 1
1218 København K
Tlf. : +45 33 92 33 33
E-mail: [email protected]
ISBN 978-87-93823-52-5 (digital version)
2020/21:8
Layout: Finansministeriet
Publikationen kan hentes på
www.fm.dk og www.regeringen.dk
EUU, Alm.del - 2020-21 - Bilag 494: Danmarks konvergensprogram 2021
2383311_0100.png
Finansministeriet
Christiansborg Slotsplads 1
1218 København K
Tlf. : +45 33 92 33 33
E-mail: [email protected]