Erhvervsudvalget 2020-21
ERU Alm.del Bilag 421
Offentligt
2442304_0001.png
GRUND-
OG
NÆRHEDSNOTAT
FOLKETINGETS EUROPAUDVALG
TIL
30. august 2021
2021 - 11916
Forslag til forordning om krav til brug af alternative brændstoffer i
søfarten (FuelEU Maritime) KOM (2021) 0210
Nyt notat
1.
Resume
Som del af Kommissionen Fit-for-55-lovpakke (FF55) er der fremsat for-
slag til en forordning om krav til brug af alternative brændstoffer i søfarten
(FuelEU Maritime). Forslaget til forordningen har til formål at øge brugen
af alternative brændstoffer i søfarten med henblik på at reducere sektorens
drivhusgasemissioner.
Forslaget indeholder derfor krav til drivhusgasintensiteten i det brændstof,
som skibe sejler på. Kravene vil gælde fra 2025 og vil omfatte skibe med
en bruttotonnage på over 5.000, eksempelvis RoRo-, cruise- eller contai-
nerskibe, og som sejler mellem to EU havne samt 50 pct. af sejladsen til og
fra en EU-havn og en havn i et tredjeland. Endvidere stilles der med for-
slaget krav om, at større container- og passagerskibe skal tilkoble sig land-
strømanlæg, hvis det er tilgængeligt i havnene, eller anvende nulemissions-
teknologier, når de ligger til kaj.
Forslaget forventes at have lovgivningsmæssige konsekvenser, da der skal
sikres håndhævelse af forordningen over for skibe, der ligger til i danske
havne. Forslaget vurderes ikke umiddelbart at have væsentlige statsfinan-
sielle eller samfundsøkonomiske konsekvenser. Forslaget vurderes at have
væsentlige erhvervsøkonomiske konsekvenser, da kravet om brug af alter-
native brændstoffer pålægger søfartserhvervet nye omkostninger, idet al-
ternative brændstoffer og den tekniske anvendelse heraf er omkostnings-
tung. Som naturlig konsekvens heraf, må det også forventes, at det bliver
dyrere for virksomheder at købe fragtydelser.
Regeringen ser positivt på forslaget til forordning, da det har potentiale til
at fremme arbejdet for en klimaneutral søfartsindustri og bidrage væsent-
ligt til målsætningerne om at reducere søfartens drivhusgasudledninger.
Regeringen er i gang med at analysere forslaget med henblik på nærmere
stillingtagen.
ERU, Alm.del - 2020-21 - Bilag 421: Grund- og nærhedsnotat om brug af alternative brændstoffer i søfarten (FuelEU Maritime) KOM (2021) 0210, fra erhvervsministeren
2442304_0002.png
2/13
2.
Baggrund
Kommissionen har den 14. juli 2021 fremsat forslag til forordning om brug
af vedvarende og lavemissionsbrændstoffer i søfarten og om ændring af
direktiv 2009/16/EC. Forslaget er endnu ikke oversendt til Rådet i dansk
sprogversion. Forslaget er fremsendt med hjemmel i traktatens (TEUF) ar-
tikel 100(2) og skal behandles efter den almindelige lovgivningsprocedure
i TEUF artikel 294. Rådet træffer afgørelse med kvalificeret flertal.
Forslaget er en del af en
større lovpakke under navnet ”Fit-For-55” (FF55),
som har til hensigt at indfri målsætningerne fremsat i den Grønne Europæ-
iske Pagt (European Green Deal) om, at EU skal nedbringe drivhusgasud-
ledningerne med minimum 55 pct. i 2030 og være klimaneutralt i 2050.
FF55-pakken indeholder en række forslag, som samlet har til formål at
medvirke til
at reducere udledningerne og indfri EU’s klimamål, men sam-
tidig bevare den europæiske konkurrenceevne. Flere af disse forslag er re-
levante for den maritime sektor. Det gælder ud over forslaget om FuelEU
Maritime også ændring af Kvotehandelssystemet til at omfatte søfart, revi-
sion af Energibeskatningsdirektivet, revision af direktivet for Vedvarende
Energi, revision af forordningen for fremme af infrastruktur for alternative
brændstoffer (AFIR).
I forhold til FuelEU Maritime er det væsentligt at fremhæve to andre for-
slag i FF55-pakken, som har betydelig indflydelse på implementeringen
FuelEU Maritime, navnlig revision af direktiv for Vedvarende Energi (VE-
II) KOM (2021) 557 og revision af forordningen for fremme af infrastruk-
tur for alternative brændstoffer (AFIR) KOM (2021) 559. VE-II definerer
hvilke typer af brændstoffer, der kan defineres som bæredygtige, og er der-
for definerende for indholdet af FuelEU Maritime. Derudover skal AFIR
sikre, at infrastrukturen (bunker-stationer og landstrømsanlæg) for de alter-
native brændstoffer er tilstrækkelig på tværs af EU, således at kravene i
FuelEU Maritime kan indfries.
3.
Formål og indhold
Formålet med FuelEU Maritime er at reducere skibes drivhusgasudlednin-
ger. Nærmere bestemt skal dette gøres ved at øge efterspørgslen efter
grønne alternative brændstoffer. Dette skal opnås gennem konkrete græn-
ser for drivhusgasintensiteten
1
i de brændstoffer, som det enkelte skib sejler
på. Herudover har forslaget også til formål at reducere skibes emissioner,
når de ligger til kaj, ved at sætte krav til brugen af landstrøm eller nul-
emissionsteknologi.
1
Drivhusgasintensiteten angiver hvor stor en mængde drivhusgasser, CO2 og lign., som der udledes
pr. mega joule energi brugt.
ERU, Alm.del - 2020-21 - Bilag 421: Grund- og nærhedsnotat om brug af alternative brændstoffer i søfarten (FuelEU Maritime) KOM (2021) 0210, fra erhvervsministeren
2442304_0003.png
3/13
Forslaget indeholder derfor krav til drivhusgasintensiteten i det brændstof,
som skibe sejler på. Kravene til skibes brændstof vil gælde fra 2025 og for
større skibe på over 5.000 bruttoton, som sejler mellem to EU havne samt
50 pct. sejladsen til og fra en EU-havn og en havn i et tredjeland. Kravene
gælder ikke for skibe og andre maritime aktiviteter, som ikke transporterer
gods eller passagerer. Dette gælder eksempelvis krigsskibe, skibe der an-
vendes til is-brydning, uddybning, rørlægning o. lign. Kommissionen an-
fører i den forbindelse, at selvom skibe på over 5.000 bruttoton alene svarer
til ca. 55 pct. af den europæiske flåde, vil forslaget alligevel omfatte sam-
menlagt 90 pct. af de samlede drivhusgasudledninger fra skibsfarten.
Med forslaget fremsættes endvidere nye krav til container- og passager-
skibe over 5.000 bruttoton om, at disse skal bruge landstrøm eller nul-emis-
sionsteknologi, når de lægger til kaj, mhp. at understøtte en nedbringelse af
udledningerne samt forbedre nærmiljøet ved havne. Der er i forslaget med-
taget enkelte praktiske undtagelser for, hvornår et skib ikke er forpligtet til
at tage landstrøm, eksempelvis hvis tiden ved kaj er på under to timer eller
hvis landstrøm ikke er tilgængeligt i havnen
Forslaget indeholder følgende centrale elementer, som uddybes nedenfor:
a.
b.
c.
d.
e.
Målbaseret tilgang
Fleksibilitetsmekanismer
Håndhævelse og Certificate of compliance
Valg af brændstoffer og LCA tilgang
Globale hensyn
a. Målbaseret tilgang
Med forslaget indføres et gennemsnitligt årligt mål for reduktion i drivhus-
gasintensiteten af den energi, der bruges på det enkelte skibe. Ved bereg-
ningen af den gennemsnitlige drivhusgasintensitet (gCO2eq/MJ) for det
enkelte skib, vil der blive taget udgangspunkt i MRV-data fra 2020. MRV-
data er de data om skibenes CO2-udledninger, som skibe (større end 5000
bruttoton), der sejler i samt til og fra EU, er forpligtet til at indrapportere
til EU-Kommissionen, jf. forordning (EU) 2015/757 om overvågning, rap-
portering og verifikation af CO2-emissioner fra søtransport. Beregningerne
foretages på en
”vugge-til-grav
basis (dvs. brændstoffets fulde livscyklus
tages med
fra produktion
forbrænding på skibet) og måles ud fra et
drivhusgaspotentiale på 100 (GWP100)
2
.
2
GWP100 = Drivhuspotentiale: et tal som angiver forholdet mellem hvor meget varmeenergi en
bestemt mængde af en bestemt drivhusgas gennem et bestemt tidsrum fastholder i atmosfæren, og
den varmeenergi som samme mængde kuldioxid gennem samme tidsrum fastholder
ERU, Alm.del - 2020-21 - Bilag 421: Grund- og nærhedsnotat om brug af alternative brændstoffer i søfarten (FuelEU Maritime) KOM (2021) 0210, fra erhvervsministeren
2442304_0004.png
4/13
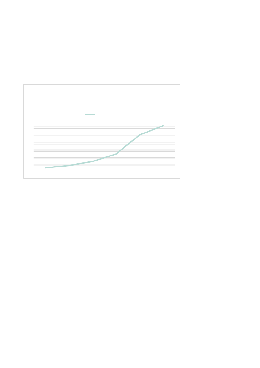
Drivhusgasintensiteten for det enkelte skib må med forslaget ikke overstige
de pågældende målsatser, som Kommissionen har defineret i forslagets ar-
tikel 4. Målsatserne for reduktion i drivhusgasintensiteten vil stige i 5-års
intervaller frem til år 2050. Figuren nedenfor opsummerer dette og viser de
procentvise reduktionskrav frem til 2050.
Målsatser for reduktion i GHG-
intensiteten frem til 2050
GHG-intensitet
80
70
60
50
40
30
20
10
0
75
59
26
13
2
2025
6
2030
2035
2040
2045
2050
Kommissionen begrunder indførelsen af krav for brændstoffernes drivhus-
gasintensitet med, at dette vil sikre større efterspørgsel efter alternative og
mindre udledende brændstoffer og bæredygtige energikilder, så som PtX-
brændstoffer, landstrøm, elektrisk drift m.m. samt sende et signal til mar-
kedet om at investere i nye grønne teknologier og skibe. Med de foreslåede
målsatser for reduktion af GHG-intensiteten vil det, i den første tid efter
forslaget er implementeret, være tilstrækkeligt for skibe at tanke (bunkre)
en mindre mængde alternative brændstoffer for at nå målene. Jo nærmere
2050 man kommer, jo større mængder renere (mindre drivhusgastunge)
brændstoffer vil der skulle bruges for at overholde kravene i forordningen.
a. Fleksibilitetsmekanismer
Forslaget indeholder et sæt fleksibilitetsmekanismer, som bl.a. har til for-
mål at belønne
frontløbere.
Forslaget giver virksomheder mulighed for at
’pulje’ deres overholdelse
af reglerne på tværs af skibe samt gemme deres
overskud eller dække deres underskud til året efter.
Med forslaget etableres en mekanisme, der gør det muligt for det enkelte
skib at gemme ("sætte i banken”) dets eventuelle overskud to år frem, eller,
i tilfælde af et underskud, indhente dets eventuelle underskud året efter.
Skibet må dog ikke være i underskud to år i træk.
ERU, Alm.del - 2020-21 - Bilag 421: Grund- og nærhedsnotat om brug af alternative brændstoffer i søfarten (FuelEU Maritime) KOM (2021) 0210, fra erhvervsministeren
2442304_0005.png
5/13
Der indføres med forslaget også en anden fleksibilitetsmekanisme, som gi-
ver skibe mulighed for at ”pulje” deres overholdelse
af reglerne mellem
flere skibe. Det betyder i praksis, at hvis et skib overimplementerer kra-
vene, så kan skibene dele eventuelle overskud med andre skibe inden for
den oprettede pulje både inden for samme rederi eller med andre rederier.
b. Håndhævelse og Certificate of compliance
Det pålægges det enkelte skib at redegøre for drivhusgasintensiteten i de
anvendte brændstoffer og hvilken metode, der har været brugt til at beregne
denne. En handlingsplan for det enkelte skibs brug af brændstof skal frem-
sendes til virksomhedens uafhængige verifikator. En verifikator er en juri-
disk enhed, der er akkrediteret af et nationalt akkrediteringsorgan i henhold
til forordning (EU) 765/2008, og som kan verificere rederiernes handlings-
planer og bekræfte, at et skib har overholdt FuelEU Maritime i en given
afrapporteringsperiode.
Herefter udstedes et FuelEU Maritime certifikat af verifikatoren, som ski-
bet skal kunne fremvise ved havnestatskontrol. Skibe, der ikke overholder
kravene i forordningen, vil blive pålagt en bøde, som skal være proportio-
nal med de udgifter, som rederen ikke har betalt for at omstille det pågæl-
dende skib til klimavenligt brændstof, og dermed mindskes incitamentet
for at omgå reglerne. Ultimativt kan et skib forbydes at sejle til en EU havn,
såfremt skibet gentagende gange ikke overholder kravene i forordningen
og har modtaget flere anmærkninger herom og bøder herfor.
Bøderne som skibsejerne skal betale i forbindelse med brud på kravene fo-
reslås at tilgå EU's Innovations Fond og allokeres til investeringer i omstil-
lingen til brændstoffer med en lavere drivhusgasintensitet.
c. Valg af brændstoffer og LCA tilgang
Forslaget baseres på et livcyklusprincip dvs.
en ”vugge til grav”-tilgang
for
brændstoffer. Det betyder, at brændstoffets samlede drivhusgasudledninger
i hele dets livscyklus tages i betragtning
fra produktion og transport til
endelig brug og udledning om bord på
skibet. Med denne ”vugge til grav”-
tilgang vil Kommissionen sikre, at alle brændstoffets udledninger i hele le-
vetiden inkluderes. Det mindsker risikoen for brug af alternative brænd-
stoffer, der kan have en utilsigtet klimaeffekt i andre sektorer, hvis man ser
på hele dets livstid, fx hvis brændstoffet i forbindelses med dets produktion
udleder store mængder drivhusgasudledninger. Forslaget vil således tage
højde for udledningerne fra søfartens brændstoffer over hele livscyklussen,
målt samlet i CO2-ækvivalent
3
, herunder kuldioxid (CO2), metan (CH4)
og kvælstofilter fx lattergas m.m..
3
CO2 equivalent’ means
the metric measure used to compute the emissions from CO2, CH4 and
N2Oon the basis of their global-warming potential, by converting amounts of CH4 and N2O to the
equivalent amount of carbon dioxide with the same global warming potential.
ERU, Alm.del - 2020-21 - Bilag 421: Grund- og nærhedsnotat om brug af alternative brændstoffer i søfarten (FuelEU Maritime) KOM (2021) 0210, fra erhvervsministeren
2442304_0006.png
6/13
d. Globale hensyn
Kommissionen påpeger i forslaget, at søfarten er et globalt erhverv, som
med fordel kan reguleres på globalt plan med henblik på at sikre den største
klimaeffekt.
Derfor anførers det også i forslaget, at såfremt FN’s Søfarts-
organisation, IMO, udarbejder og implementerer regler lignende dem i
FuelEU Maritime, bør den europæiske regulering lov evt. justeres og til-
passes de globale regler.
4.
Europa-Parlamentets udtalelser
Europa-Parlamentet er i henhold til den almindelige lovgivningsprocedure
(TEUF art. 294) medlovgiver. Europa-Parlamentets holdning til forslaget
foreligger endnu ikke. Det er på tidspunktet for oversendelse af grund- og
nærhedsnotatet til Folketingets Europaudvalg ikke besluttet, hvilket af Eu-
ropa-Parlamentets udvalg forslaget vil blive behandlet i.
5.
Nærhedsprincippet
Kommissionen har vurderet, at nærhedsprincippet er overholdt. I vurderin-
gen heraf henviser Kommissionen til, at den maritime sektor af natur er
international. Det vurderes, at formålet med forordningen ikke i tilstrække-
lig grad kan opnås alene ved national lovgivning, da søfarten i høj grad er
et internationalt anliggende.
Den maritime sektor er grænseoverskridende, hvorfor regeringen finder, at
regulering på EU-niveau har klare fordele frem for selvstændig regulering
i de enkelte medlemslande. Regeringen kan tilslutte sig Kommissionens
vurdering og anser således, at nærhedsprincippet er overholdt.
6.
Gældende dansk ret
Der findes for nuværende ingen regler i dansk ret som pålægger krav om
brugen af alternative brændstoffer eller landstrøm i den maritime sektor.
7.
Konsekvenser
Lovgivningsmæssige konsekvenser
Forslaget ventes at have lovgivningsmæssige konsekvenser, da der skal
sikres håndhævelse af forordningen i danske havne ved allerede eksiste-
rende havnestatskontroller, der udføres af Søfartsstyrelsen.
Økonomiske konsekvenser
Der forventes ikke væsentlige statsfinansielle konsekvenser, da der ikke vil
komme nye statsfinansielle indtægter eller udgifter direkte foranlediget af
forslaget.
ERU, Alm.del - 2020-21 - Bilag 421: Grund- og nærhedsnotat om brug af alternative brændstoffer i søfarten (FuelEU Maritime) KOM (2021) 0210, fra erhvervsministeren
2442304_0007.png
7/13
Det forventes, at forslaget vil have positive konsekvenser for udviklingen
og produktionen af alternative brændstoffer såsom Power-to-X, hvor dan-
ske producenter er i front, da forslaget har til formål at sikre større efter-
spørgsel efter netop disse grønnere alternative brændstoffer.
Det forventes dog, at forslaget om krav til alternative brændstoffer kan in-
debære erhvervsøkonomiske konsekvenser, da erhvervet bliver pålagt nye
omkostninger i dyrere brændstoffer. Særligt på sigt, når kravene til brug af
alternative brændstoffer stiger markant, vil rederierne skulle investere i nye
eller retrofittede motorer og teknologi, så skibet kan anvende de alternative
brændstoffer, herunder også teknologi til brug for landstrøm. Derudover er
alternative brændstoffer på nuværende tidspunkt betydeligt dyrere end fos-
sile brændstoffer, hvilket øger omkostningerne for rederierne. Dog forven-
tes det i starten af indfasningsperioden ikke at blive en betydelig udgift, da
der er tale om mindre mængder af alternativt brændstof, som skal iblandes
den nuværende fossile brændstof.
På sigt kan der være økonomiske konsekvenser for forbrugere, som kan
forvente en relativ lille prisstigning som følge af prisstigninger på fragten
af de varer, der bliver købt og sejlet til EU og Danmark. Ud over økonomi-
ske konsekvenser for den almene borger som forbruger vil virksomhederne
forventeligt også komme til at opleve prisstigninger på de produkter, de
anvender i deres produktion, samt på fragtydelserne. Da forslaget også
dækker transport til tyndtbefolkede områder, som Grønland og Færøerne,
kan de risikere at blive ramt mere af dette forslag. Det er områder som i
dag modtager en stor del af deres fragt gennem Danmark og EU. For de
områder vil øget krav om brug af alternative brændstoffer og øgede fragt-
omkostninger have en større indvirkning, da der er mindre fragtmængder
og tyndere forsyningslinjer, som merudgiften kan spredes ud på.
Andre konsekvenser og beskyttelsesniveauet
Det forventes, at FuelEU Maritime vil have en positiv klimaeffekt, idet for-
ordningen vil bidrage til, at søfarten omstiller sig og løbende anvender
større andel af alternative brændstoffer, som udleder færre drivhusgasser.
8.
Høring
Forslaget har været sendt parallelt i høring i skibsfartspolitisk specialud-
valg, specialudvalget for konkurrenceevne, vækst og forbrugerspørgsmål
og specialudvalget for klima, energi og forsyning med frist den 13. august
2021. Der er ved fristens udløb indkommet høringsvar fra Brintbranchen,
Dansk Erhverv, Danske Havne, Dansk Industri, Danske Maritime, Danske
Rederier, Drivkraft Danmark, Rådet for Grøn Omstilling og Wind Den-
mark.
ERU, Alm.del - 2020-21 - Bilag 421: Grund- og nærhedsnotat om brug af alternative brændstoffer i søfarten (FuelEU Maritime) KOM (2021) 0210, fra erhvervsministeren
8/13
Brintbranchen
hilser FuelEU-forslaget velkommen, da brint har en afgø-
rende rolle i den grønne økonomi, især i de sektorer som er sværest at de-
karbonisere (bl.a. søfart). Samtidig bidrager brintproduktion via elektrolyse
til at optimere fremtidens energisystem.
Brintbranchen bemærker, at målene i forslaget er baseret på emissionsre-
duktioner imod en referenceværdi som udestår (jf. artikel 4(2) - vises som
X gCO2e/MJ). Brintbranchen finder det derfor svært at kommentere på
selve ambitionsniveauet i forslaget, og organisationens bemærkninger fo-
kuserer derfor på andre tiltag, som bidrager enten positivt eller negativt til
den overordnede målopfyldelse.
Brintbranchen anser det for positivt, at søfart er inkluderet i Fit-for-55-pak-
ken, og er tilfredse med den kombination af tiltag som pakken indeholder
(Kvotehandelssystem, FuelEU, osv.), da dette vil sikre, at grønne brændsler
for alvor tages i brug i sektoren. Brintbranchen understreger dog, at på trods
af de gode emner i Fit-for-55 pakken generelt, og herunder FuelEU Mari-
time, vil det, på den korte bane, fortsat være billigere for rederne at bruge
fossile brændstoffer, hvorfor det er afgørende, at alle indtægter forbundet
med manglende efterlevelse af kravene allokeres til EU's Innovations Fond.
Brintbranchen er bekymret for,
at forslaget vil medføre en ”lock-in” af
LNG som det primære brændstof i den kommende periode og mener derfor,
at FuelEU i højere grad bør fokusere på syntetiske brændsler (dvs. brint og
brint-baserede brændsler). Brintbranchen foreslår, at dette kan opnås enten
ved at introducere specifikke mål for disse brændstoffer eller ved brug af
multiplikatorer der stiller dem bedre sammenlignet med andre vedvarende
og især såkaldte ”kulstoffattige” brændstoffer.
Dansk Erhverv
hilser Fit-for-55-pakken velkommen og understreger, at i
det der er tale om en pakke af forslag, er det vigtigt at vurdere effekterne
og konsekvenserne for erhvervslivet ved alle forslagene i en sammenhæng.
I forlængelse heraf vurderes det positivt, at forslagene vil gøre sig gældende
på tværs af hele EU, og dermed mindske risikoen for forvride konkurrencen
internt i EU.
Dansk Erhverv fremhæver, at en central del af den forslåede forordning, er
søtransportens adgang til alternative og grønne energikilder, herunder land-
strømsanlæg. Samtidig understreger Dansk Erhverv, at der kan være bety-
delige meromkostninger for erhvervslivet ved investeringer i grøn tekno-
logi, hvilket som en naturlig konsekvens af FuelEU, vil være en større ef-
terspørgsel efter. Fordi søtransport også omfattes af beskatning gennem
Kommissionens revision af bl.a. energibeskatningsdirektivet, RED II, ETS
m.v., er der sammenlagt en fare for, at øgede priser vil skade den europæi-
ske søtransports mulighed for at konkurrere globalt. Danske Erhverv mener
ERU, Alm.del - 2020-21 - Bilag 421: Grund- og nærhedsnotat om brug af alternative brændstoffer i søfarten (FuelEU Maritime) KOM (2021) 0210, fra erhvervsministeren
9/13
derfor, at det er afgørende,
at EU’s institutioner og medlemslande under-
støtter udviklingen og etableringen af grøn teknologi, så det bliver tilgæn-
geligt på markedet til konkurrencedygtige priser. Dansk Erhverv opfordrer
ligeledes EU’s institutioner
til at arbejde for, at forordningens principper
gøres til en global standard.
Danske Havne
byder Fit-for-55-pakken velkommen og støtter op om, at
også søfarten er inkluderet i flere af forslagene, herunder FuelEU Maritime.
Danske Havne understreger, at det er vigtigt, at pakken og dens forslag ikke
underminerer den europæiske konkurrenceevne, samt ikke pålægger hav-
nene store administrative byrder på vejene af søfarten. I forlængelse heraf
understreges det, at pakken skal tilskynde teknologi neutrale løsninger og
give de enkelte havne og skibe mulighed for at bruge forskellige løsninger
til at opnå klimamålsætningerne. Danske Havne er enige i, at det er nød-
vendigt, at skibe også pålægges at omstille sig til grønne brændsler, herun-
der at kunne modtage og aftage landstrøm, hvis det pålægges havne at til-
byde denne infrastruktur.
Danske Havne finder ikke, at det skal være havnene, der skal kontrollere
om et skib opfylder en undtagelse for forordningens bestemmelser, jf. arti-
kel 5, stk. 5. Det må påhvile en offentlig myndighed som eksempelvis Sø-
fartsstyrelsen.
Dansk Industri
hilser den samlede Fit-for-55-pakke velkommen og ud-
trykker tilfredshed med pakkens samlede indhold. Dansk Industri under-
streger, at et vigtigt pejlemærke er, at den samlede pakke designes omkost-
ningseffektivt, administrativt håndterbart for virksomhederne, adresserer
kritiske barrierer og over tid bliver mere markedsbaseret og velfungerende
på tværs af EU’s landegrænser.
Dansk Industri støtter op om forslaget i sine grundtræk, da forordningen
henholder sig til MRV-forordningen og elementerne heri, hvilket vurderes
fornuftigt.
Danske Maritime
støtter overordnet op om forslaget, men fremhæver en-
kelte elementer heri som med fordel kan korrigeres for at opnå den ønskede
klimaeffekt. Derudover påpeger Danske Maritime, at for at lykkes med om-
stillingen til en mere klimaneutral søfartssektor og sikre de rette investerin-
ger hertil, er det afgørende, at reguleringerne er sammenhængende, forud-
sigelige samt konsistente på tværs af EU og IMO.
Danske Maritime fremhæver, at for at indfri målsætningerne i forslaget om
at reducere skibes brændstofs drivhusgasintensitet, burde enkelte elementer
korrigeres, således at det bliver mere rentabelt for virksomheder at fravælge
ERU, Alm.del - 2020-21 - Bilag 421: Grund- og nærhedsnotat om brug af alternative brændstoffer i søfarten (FuelEU Maritime) KOM (2021) 0210, fra erhvervsministeren
10/13
alternative brændstoffer fra fossile kilder (eksempelvis fossil LNG). Dan-
ske Maritime er bekymrede over, at FuelEU Maritime forslaget i sin nuvæ-
rende udformning vil gøre fossil LNG og biobrændstoffer (fra fx brugt
madolie eller landbrugsprodukter) til det mest omkostningseffektive
brændsel på kort og mellemlang sigt, selv om LNG og biobrændstoffer ikke
er de mest klimamæssigt bæredygtige løsninger i længden. Danske Mari-
time påpeger derfor bl.a. muligheden for at give fornybare brændstoffer en
fordel i form af en benefit-faktor (multiplier) i beregningen af udslip.
Danske Maritime
støtter oprettelsen af en ‘Maritime Fund’ på tværs af
EU’s Kvotehandelssystem og FuelEU Maritime initiativerne, hvis midler
kan anvendes til forskning, udvikling samt udbredelsen af ny klimavenlig
maritim teknologi.
Danske Rederier
hilser forslaget velkomment og understreger samtidig, at
det er afgørende, at forslaget kan understøtte en global regulering på sigt
og i den mellemliggende periode ikke pålægger uforholdsmæssige admini-
strative byrder med hensyn til bl.a. monitorering og afrapportering. Af den
grund henviser Danske Rederier til den nuværende MRV-forordning, som
i videst muligt omfang bør danne grundlag for afrapportering, så der ikke
skal initieres nye forretningsgange og metoder m.v.
Danske Rederier støtter en målbaseret tilgang for reduktion af drivhusgas-
intensiteten. I forlængelse heraf undrer Danske Rederier sig dog over rati-
onalet for at have et mål på 75% i 2050, når EU har et mål om at være
klimaneutral i 2050.
Danske Rederier støtter op om de angivede fleksibilitetsmekanismer i for-
slaget, som sikrer fleksibilitet ift. investeringerne, som bl.a. kan målrettes
innovative og skalerbare løsninger frem for urentable tiltag grundet bun-
dende lovkrav. Samtidig tilskynder særligt pooling-mekanismen til, at der
søsættes nye skibe, der udelukkende sejler på nye brændstoffer, der redu-
cerer udledningen af drivhusgasser. Danske Rederier mener, at det er afgø-
rende, at særligt denne mekanisme fastholdes.
Danske Rederier er endvidere meget positive overfor, at forslaget inddrager
well-to-wake emissionsfaktorer og CO2-ækvivalenter og mener, at disse
må anses som centrale for forslaget og bør som følge fastholdes. Danske
Rederier bemærker dog enkelte udfordringer i forslaget ift. hhv. beregnin-
gerne for metan udslip som synes at være misvisende (bilag 2, tabel 1,
LNG, kolonne 9) samt den målestok som brændstofferne måles ud fra (Glo-
bal Warming Potential (GWP)), hvilken de mener både skal omfatte
GWP100 og GWP20. Dette begrundes med, at der er væsentlig forskel på
de forskellige drivhusgassers effekt på kort og langt sigt, hvilket kun kan
illustreres ved inkl. af både GWP100 og GWP20.
ERU, Alm.del - 2020-21 - Bilag 421: Grund- og nærhedsnotat om brug af alternative brændstoffer i søfarten (FuelEU Maritime) KOM (2021) 0210, fra erhvervsministeren
11/13
Danske Rederier er positive overfor, at forslaget adresserer effektiv hånd-
hævelse af reglerne herunder, at skibsejeren pålægges det juridiske ansvar.
Dog påpeger Danske Rederier, at metoden for sanktionering kan forenkles.
Danske Rederier foreslår, at kravene i forordningen opdeles i faser, således
at disse indledningsvist kun omfatter EU-intra rejser og efterfølgende ud-
vides med rejser til og fra EU.
Slutteligt forudser Danske Rederier et behov for et større harmoniserings-
arbejde i forhold til kravene relateret til landstrøm, da det enkelte skibs el-
system ikke nødvendigvis er kompatibelt med strømforsyningen fra land.
Dette kompliceres yderligere ved, at forskellige standarder findes på tværs
af kontinenter.
Drivkraft Danmark
hilser forslaget velkomment i sin helhed, men be-
mærker, at forslaget ikke burde begrænses til kun at omfatte skibe over
5.000 bruttoton, men derimod omfatte alle motordrevne fartøjer.
Rådet for Grøn Omstilling (RGO)
finder det grundlæggende positivt, at
EU nu tager fat på omstillingen af skibsbrændstoffer. RGO bemærker, at
det er langt fra ligegyldigt, hvilke drivmiddel-skift lovgivningen giver mu-
lighed for, da forkerte valg både kan blive økonomisk dyrt og dyrt for kli-
maet. Af den grund mener RGO, at forslaget bør inkludere supplerende
virkemidler, der fremmer produktion og brug af e-fuels (ammoniak, meta-
nol, brint) og samtidig udelukker muligheden for at anvende fossil LNG.
Slutteligt bemærker RGO, at det sikres i det videre arbejde med forslaget,
at det ikke er økonomisk eller praktisk opportunt at undlade at leve op til
kravene i reguleringen hvorfor effektiv håndhævelse og sanktionering er
afgørende.
Wind Denmark
hilser overordnet forslaget velkomment, dog med forbe-
hold for enkelte elementer. Wind Denmark bemærker, at det er vanskeligt
at vurdere, hvorvidt målsætningerne for reduktionskravene for drivhusgas-
intensiteten i forslaget er høje nok, idet referenceværdien for disse udestår.
Det er således vanskeligt at vurdere, hvorvidt de procentvise reduktions-
krav vil være tilstrækkelige til, at skibsfarten omstilles til de dyrere og til
stadighed umodne e-fuels (fx brint, ammoniak og metanol), der reelt er de
eneste typer brændstoffer, der kan leveres i tilstrækkelig stor skala til at
omstille hele skibsfarten mod netto nul i 2050. I forlængelse heraf bemær-
ker Wind Denmark, at det er særligt vigtigt, at reduktionskravene sættes
tilpas højt, så skibsfarten ikke blot kan indfri reduktionskravene ved at
skifte til et andet fossilt brændstof som f.eks. LNG, men derimod sikrer
ERU, Alm.del - 2020-21 - Bilag 421: Grund- og nærhedsnotat om brug af alternative brændstoffer i søfarten (FuelEU Maritime) KOM (2021) 0210, fra erhvervsministeren
12/13
efterspørgslen efter renere brændstoffer med en lavere drivhusgasintensi-
tet.
Wind Denmark foreslår, at forpligtelsen til at anvende landstrømforsyning
eller nulemissionsteknologi indføres langt tidligere, f.eks. allerede i 2025,
da den direkte elektrificering af skibe, der ligger til kaj, er en lavt hængende
frugt og en omkostningseffektiv omstilling af fossilt energiforbrug.
9.
Generelle forventninger til andre landes holdninger
Der er endnu ikke kendskab til andre landes specifikke holdning til forsla-
get. Det forventes, at en række klimaambitiøse lande vil forholde sig posi-
tivt til forslaget, da det ses som en vigtig brik i at nedbringe udledninger
fra søfarten og udbrede brugen af alternative brændstoffer. Det forventes
også, at en række større sydlige søfartsnationer i EU vil forholde sig skep-
tisk til forslaget, da det vil skabe nye regionale krav til søfartsbranchen og
kan øge omkostningerne for de mest energitunge skibe og rederier og der-
med mindske deres konkurrenceevne.
10. Regeringens generelle holdning
Regeringen hilser Kommissionens FF55 pakke velkommen. Regeringen
ønsker en ambitiøs og omkostningseffektiv klimaindsats i EU, der kan re-
alisere EU’s klimamål for 2030 på mindst 55 pct. reduktioner i forhold til
1990-niveauet samt drive den grønne omstilling både i Danmark og hele
EU mod klimaneutralitet i senest 2050.
FuelEU Maritime forslaget indgår i den samlede FF55 pakke, hvorfor re-
geringen på tværs af forslagene i FF55 pakken vil anlægge en holistisk til-
gang til klimaindsatsen i EU.
Regeringen forholder sig positivt til forslaget og ser det som et potentielt
vigtigt skridt i bestræbelserne for en klimaneutral søfartsindustri. Det er
derfor vigtigt, at forslaget sikrer ambitiøse klimatiltag og samtidig hermed,
opretholder en stærk europæisk konkurrenceevne i den global søfartssek-
tor.
Det vurderes også positivt, at forslaget indeholder bemærkninger om, at
såfremt lignende globale tiltag (fx i FN's Søfartsorganisation (IMO)) for
søfarten introduceres, som har til formål at regulere hvilket brændstof ski-
bene skal sejle på, vil den nuværende forordning skulle revideres og tilpas-
ses sådanne globale regler. Regeringen finder det centralt, at forslaget, ved
at omfatte alle skibe over 5000 bruttoton uanset indregistreret land (flag-
stat), sikrer lige konkurrencevilkår.
ERU, Alm.del - 2020-21 - Bilag 421: Grund- og nærhedsnotat om brug af alternative brændstoffer i søfarten (FuelEU Maritime) KOM (2021) 0210, fra erhvervsministeren
13/13
Yderligere finder regeringen det vigtigt, at forslaget indeholder en flådeba-
seret tilgang, da dette kan støtte frontløbere i at overgå helt til klimaneutral
sejlads, fordi rederierne derved vil kunne bruge det, de har overpræsteret
med på ét skib til at dække det, de evt. måtte have underpræsteret med på
et af deres andre skibe.
Endvidere bakker regeringen op om, at forslaget inddrager hele brændstof-
fets livscyklus, fra ”vugge til grav”, da regeringen mener, at dette giver et
reelt helhedsbillede af det pågældende brændstofs klimaaftryk, samt tager
højde for fremtidige e-brændstoffer, der er klimaneutrale set over hele vær-
dikæden. I forlængelse heraf, er det også positivt, at forslaget ser på en
række drivhusgasser (CO
2
, CH
4
og N
2
O) m.m., fremfor kun at begrænse
sig til CO
2
, da der også er stor klimapåvirkning fra CH
4
og N
2
O m.fl., og
dermed er med til at fremme forskellige klimaneutrale brændstoffer frem
for eksempelvis flydende naturgas, LNG.
Endelig vurderes det positivt, at forslaget introducerer krav til skibes brug
af landstrøm eller anden nulemissionsteknologi, når de ligger til kaj i hav-
nene, da dette vil sikre både drivhusgasreduktioner og forbedre luftkvalite-
ten i havnebyer og havnenære regioner. Regeringen vil i den forbindelse
sikre en tæt koordination mellem FuelEU Maritime-forslaget og forslaget
til revision af direktiv for Vedvarende Energi (VE-II) samt forslaget til re-
vision af forordningen for fremme af infrastruktur for alternative brænd-
stoffer (AFIR).
Regeringen er i gang med at analysere forslaget med henblik på nærmere
stillingtagen.
1.
Tidligere forelæggelse for Folketingets Europaudvalg
Sagen har ikke tidligere været forelagt for Folketingets Europaudvalg.