Børne- og Undervisningsudvalget 2020-21
BUU Alm.del Bilag 277
Offentligt
2454935_0001.png
Bilag 1
Metodebilag
Dette metodebilag indeholder en detaljeret beskrivelse af evalueringens design, dataindsamling og data-
grundlag og skal læses i forlængelse af afsnit 2.3 og 2.4 i evalueringsrapporten. Evalueringen er designet
som en programevaluering, hvor hver evalueringsaktivitet afdækker flere forskellige undersøgelsesspørgs-
mål. Nedenstående oversigt præsenterer de undersøgelsesspørgsmål, som har været styrende for evalue-
ringens dataindsamlingsaktiviteter.
Tabel 1: Evalueringens undersøgelsesspørgsmål
Forsøget og
fagligheden
-
-
Hvordan harmonerer omfanget af indsatsen med målenes ambitionsniveau?
Udvikles ressourcer, materialer og didaktik, der understøtter skolerne og er an-
vendelige til at planlægge, gennemføre og evaluere undervisning af høj kvalitet i
teknologiforståelse, i overensstemmelse med beskrivelsen af faget hhv. faglig-
heden på de pågældende klassetrin?
Hvordan har konsortiets arbejde understøttet skolernes implementering af fag-
ligheden?
Hvordan omsættes mål og fagbeskrivelse for indsatsen til undervisning, og hvor-
dan svarer det til elevernes klassetrin?
Hvordan opbygger skolerne (og kommunerne) i forsøget kapacitet til at imple-
mentere teknologiforståelse i overensstemmelse med beskrivelsen af faget hhv.
fagligheden på de pågældende klassetrin?
Udvikler lærerne og det øvrige pædagogiske personale kompetencer til at under-
vise i teknologiforståelse i overensstemmelse med beskrivelsen af faget hhv.
fagligheden på de pågældende klassetrin?
I hvilken grad udvikler eleverne teknologiforståelse i overensstemmelse med be-
skrivelsen af fagligheden (som den er beskrevet i Fælles Mål, læseplanerne og
undervisningsvejledningerne) på de pågældende klassetrin?
Hvilke muligheder er der for at motivere forskellige elever (herunder drenge og
piger og elever med forskellige faglige udgangspunkter) for teknologiforståelse
gennem indsatsen?
Hvordan opleves muligheden for at skabe progression og sammenhæng i elever-
nes læring i teknologiforståelse inden for indsatsens tre år?
Hvordan spiller teknologiforståelsesfagligheden sammen med de fag, der indgår
i forsøget, og hvilke konsekvenser har det for teknologiforståelse og for fagene?
I hvilken grad er de fag, teknologiforståelse er integreret i, hensigtsmæssige, re-
levante og dækkende for det faglige indhold i teknologiforståelse?
Hvordan spiller faget teknologiforståelse evt. sammen med øvrige fag/er der be-
hov for suppleringer?
-
Undervisning i
teknologiforståelse
Ressourcer og ram-
mer på skolerne
-
-
-
Elevernes udvikling i
teknologiforståelse
-
-
-
Erfaringer med
forsøgsmodellerne
-
-
-
Tabellen nedenfor giver et overblik over, hvilke dataindsamlingsaktiviteter der er gennemført som led i eva-
lueringen, og hvordan de forskellige aktiviteter afdækker de fire overordnede kategorier af undersøgelses-
spørgsmål.
1
BUU, Alm.del - 2020-21 - Bilag 277: Erfaringerne fra forsøg med teknologiforståelse i folkeskolen, fra børne- og undervisningsministeren
2454935_0002.png
Tabel 2: Dataindsamlingsaktiviteter og afdækning af mål
Elevernes udvikling i
teknologiforståelse
Spørgeskema til pæda-
gogisk personale
Spørgeskema til elever
Casebesøg på skoler
Telefoninterviews med
ressourcepersoner
Dialogbaserede erfa-
ringsopsamlinger
Forsøget og
fagligheden
Undervisnin-
gen i teknolo-
giforståelse
Ressourcer og
rammer på sko-
lerne
Erfaringer med
forsøgsmodellerne
Som det fremgår af oversigten over dataindsamlingsaktiviteter i tabellen, er evalueringen gennemført med
afsæt i et mixed methods-design, der afdækker erfaringerne med og resultaterne af det samlede forsøgs-
program i såvel dybden som i bredden. Dette metodebilag beskriver for overblikkets skyld de enkelte data-
indsamlings- og analyseelementer særskilt. Rapportens samlede konklusioner tager dog afsæt i en data-
triangulering af ovenstående kvantitative og kvalitative datakilder og beror således ikke på én specifik da-
takilde. Afsnittet nedenfor kaster indledningsvist lys over den kvantitative breddeundersøgelse, hvorefter
der stilles skarpt på den kvalitative dybdeundersøgelse.
1.1
Kvantitativ breddeundersøgelse
Der er som led i denne evaluering gennemført en kvantitativ breddeundersøgelse i form af spørgeskema-
undersøgelser blandt pædagogisk personale og elever på de 46 folkeskoler, som deltager i
Forsøg med
teknologiforståelse.
Den kvantitative breddeundersøgelse består konkret af en før-, midtvejs- og slutmåling
blandt elever, ressourcepersoner og pædagogisk personale.
Spørgeskemaundersøgelsen rettet mod pædagogisk personale er gennemført i Q1 i 2019, 2020 og 2021
blandt
alle
lærere og pædagoger i forsøget. Spørgeskemaundersøgelsen rettet mod eleverne er gennemført
blandt elever på forsøgsskolerne, der gik i 1., 4. og 7. klasse i 2019. Disse elever har vi fulgt gennem hele
forsøgsperioden, så spørgeskemaundersøgelsen i Q1 i 2020 er gennemført blandt de samme elever i 2., 5.
og 8. klasse og igen i 2021, hvor eleverne gik i 3., 6. og 9. klasse. Det kombinerede kvantitative og kvalitative
telefoninterview rettet mod ressourcepersoner er gennemført i 2019, 2020 og 2021 blandt
alle
ressource-
personer i forsøget. Tabellen nedenfor angiver det samlede antal gennemførte besvarelser og svarprocen-
ter i de forskellige spørgeskemaundersøgelser.
2
BUU, Alm.del - 2020-21 - Bilag 277: Erfaringerne fra forsøg med teknologiforståelse i folkeskolen, fra børne- og undervisningsministeren
2454935_0003.png
Tabel 3: Det kvantitative datagrundlag i slutevalueringen
Svarprocent 2019 (n)
Pædagogisk personale
Elever
Ressourcepersoner
78 pct. (127)
82 pct. (2.264)
100 pct. (46)
Svarprocent 2020 (n)
84 pct. (231)
85 pct. (2.221)
100 pct. (46)
Svarprocent 2021 (n)
75 pct. (266)
77 pct. (1.912)
98 pct. (45)
Som det fremgår af tabellen, er evalueringen baseret på et relativt omfattende datamateriale fra spørge-
skemaundersøgelserne, hvor det igennem hele forsøgsperioden er lykkedes at tilvejebringe høje svarpro-
center. Det betyder, at der har været et relativt lavt frafald igennem dataindsamlingsperioden, hvilket styr-
ker robustheden af de kvantitative analyser i evalueringen.
Tabel 4 viser antallet af elever, som har gennemført spørgeskemaundersøgelsen på tværs af klassetrin og
delforsøg. Tabellen giver et overblik over, hvilket klassetrin eleverne går på, og hvornår de har gennemført
spørgeskemaundersøgelsen. Tabellen viser desuden antallet af elever, der har gennemført spørgeskemaet
alle tre gange.
Tabel 4: Datagrundlag i spørgeskemaundersøgelsen blandt elever
Alle elever, der har gennemført spørgeskemaet i forsøgsperioden
Elever, der har gennemført spørgeskemaet alle tre år
Klasse
1
2
3
4
5
6
7
8
9
Total
Måling
2019
2020
2021
2019
2020
2021
2019
2020
2021
I fag
388
420
386
351
298
240
316
313
241
2953
Som fag
248
256
239
335
334
294
302
280
241
2529
I alt
636
676
625
686
632
534
618
593
482
5482
I fag
264
264
264
163
163
163
183
183
183
1830
Som fag
185
185
185
198
198
198
158
158
158
1623
I alt
449
449
449
361
361
361
341
341
341
3453
Note: Tallene dækker over alle besvarelser fra elever, som har modtaget undervisning i teknologiforståelse. I
Forsøg med teknologiforståelse
indgår
der tre specialskoler, som er målrettet unge med særlige behov for støtte og hjælp. Disse elever er ofte mere udfordrede, ligesom der i mange
tilfælde vil være væsentligt flere lærere/pædagoger til stede i de enkelte klasser end på de deltagende skoler på almenområdet. Det betyder, at
eleverne ikke er tilstrækkeligt sammenlignelige med eleverne på de øvrige forsøgsskoler. Derfor indgår disse elever ikke i ovenstående tabel eller i
de kvantitative analyser i evalueringen.
Spørgeskemaundersøgelse blandt elever
Formålet med spørgeskemaundersøgelsen blandt eleverne er dels at undersøge, hvilke forudsætninger
eleverne har for at erhverve sig kompetencer inden for teknologiforståelse, dels at give indikationer på
udviklingen i elevernes kompetencer i teknologiforståelse i forsøgsperioden på tværs af delforsøg og klas-
setrin.
Der er udarbejdet tre forskellige spørgeskemaundersøgelser til elever; ét til indskolingen, ét til mellemtrin-
net og ét til udskolingen. Spørgsmålene i undersøgelsen er sprogligt og indholdsmæssigt tilpasset elever-
nes alder og abstraktionsniveau. Spørgeskemaet til indskolingen er fx billedbaseret, ligesom der for elever
i indskolingen er mulighed for højtlæsning af introtekst
1
og spørgsmål.
1
Der har også været mulighed for højtlæsning af introteksten for elever på mellemtrinnet i 2020 og 2021.
3
BUU, Alm.del - 2020-21 - Bilag 277: Erfaringerne fra forsøg med teknologiforståelse i folkeskolen, fra børne- og undervisningsministeren
2454935_0004.png
I den ene del af spørgeskemaundersøgelsen er elever på mellemtrinnet og i udskolingen blevet bedt om at
vurdere deres egne kompetencer i teknologiforståelse. Eleverne har vurderet deres egne kompetencer i
teknologiforståelse igennem 4-5 spørgsmål pr. kompetenceområde
2
. Disse spørgsmål er udviklet med af-
sæt i de videns- og færdighedsmål, der knytter sig til de fire kompetenceområder. Spørgsmålene er efter-
følgende samlet til et indeks for hvert kompetenceområde, hvor elevernes svar på spørgsmålene summe-
res og divideres med det samlede antal spørgsmål inden for det pågældende kompetenceområde. Tabel-
lerne nedenfor giver et overblik over, hvilke spørgsmål der indgår i de enkelte indeks for elevernes selvvur-
deringer på mellemtrinnet hhv. i udskolingen, samt Cronbach’s Alpha for indeksene.
Tabel 5: Indeks for elevernes selvvurderinger på mellemtrinnet
Indeks
Digital myndig-
gørelse
Spørgsmål til elever på mellemtrinnet
-
-
-
-
-
Digital design og
designprocesser
-
-
-
-
Computationel
tankegang
-
-
-
-
Teknologisk
handleevne
-
-
-
-
Jeg ved, hvad Google kan bruge data til, når de indsamler data om deres brugere
Jeg kan komme i tanke om flere grunde til, at der findes en app som snapchat
Jeg kan undersøge, hvordan mine klassekammerater bruger snapchat, og hvad de synes om app’en
(fx ved at lave spørgeskemaer eller interviewe dem)
Jeg tænker over, hvor meget jeg kigger på min mobiltelefon, når jeg er sammen med mine venner
Hvis min klassekammerat har lavet en app, kan jeg komme med forslag til, hvordan den kan forbedres,
når jeg har afprøvet den
Jeg ved, hvad forskellen er på et komplekst problem og en opgave
Jeg ved, hvilke teknikker man kan bruge til at komme på idéer i forskellige situationer
Ved at bruge digital teknologi (fx Micro:bit, Scratch, Lego Mindstorm, Excel) kan jeg udvikle et produkt,
som løser et problem
Når jeg har lavet et produkt (fx en app, et spil, en robot), kan jeg forklare min lærer og mine klasse-
kammerater, hvorfor jeg har gjort, som jeg har gjort
Jeg ved, hvordan man kan indsamle data (fx spørgeskemaundersøgelser)
Jeg ved, hvad en algoritme er, og hvad ord som sekvens, forgrening og gentagelse betyder
Jeg kan ved at analysere en datalogger selv lave et computerprogram, der kan det samme som data-
loggeren
Jeg kan præsentere data ved at lave forskellige diagrammer (fx klassediagram eller flowdiagram)
Hvis min computer opfører sig mærkeligt (fx går i stå eller er langsom), ved jeg, hvad jeg kan gøre for
selv at løse problemet
Jeg ved, hvad der sker, fra jeg sender en mail, til en anden person kan læse mailen på sin computer
Jeg ved, hvordan man programmerer ved at bruge blokke (fx i Scratch)
Jeg ved, hvad et digitalt fodspor er, og hvorfor man skal tænke over, hvilke digitale fodspor man ef-
terlader
Cronbach's
Alpha
0,6
0,7
0,8
0,9
Note:
Spørgsmålsformulering: ”I hvilken grad vil du vurdere, at du er i stand til følgende?” Der måles på en skala fra 1-5, hvor 1 er ”Slet ikke”, 2 er ”I
lav grad”, 3 er ”I nogen grad”, 4 er ”I høj grad” og 5 er ”I meget høj grad”.
Tabel 6: Indeks for elevernes selvvurderinger i udskolingen
Indeks
Digital myndig-
gørelse
Spørgsmål til elever i udskolingen
-
-
-
-
-
Digital design og
designprocesser
-
-
Jeg ved, hvordan man kan analysere input-, outputteknologi og brugerfladen i en app som MobilePay
Jeg kan undersøge, hvilken værdi app’en MobilePay har for mig, for vennegrupper og for
samfundet
som helhed
Jeg kender til flere måder, man kan undersøge, hvordan forskellige mennesker bruger app’en Mobile-
Pay, hvor ofte de bruger den og hvad de synes om den
Jeg kan komme i tanke om både positive og negative konsekvenser, app’en MobilePay har
haft på
vores samfund
Jeg kan komme i tanke om forskellige egenskaber, man kunne forbedre ved app’en MobilePay
Når jeg skal undersøge problemstillingen, ved jeg, hvordan jeg udvælger gode teknikker til det
Når jeg har forskellige idéer til løsninger, kender jeg metoder til at udvælge den bedste idé
Cronbach's
Alpha
0,6
0,6
2
Forsøgsfagligheden teknologiforståelse består af fire kompetenceområder. Disse fire kompetenceområder er digital myndiggørelse, digital design og designprocesser, computationel tanke-
gang og teknologisk handleevne.
4
BUU, Alm.del - 2020-21 - Bilag 277: Erfaringerne fra forsøg med teknologiforståelse i folkeskolen, fra børne- og undervisningsministeren
2454935_0005.png
-
-
Computationel
tankegang
-
-
-
Jeg kan omsætte en idé til et digitalt produkt (fx en app eller en hjemmeside)
Jeg kan både argumentere for de valg og fravalg, jeg har truffet i en designproces
Når jeg arbejder med data, som er indsamlet fra virkeligheden, kan jeg vurdere kvaliteten af den data
Jeg kender til forskellige måder, man kan afprøve en algoritme og kan gennemskue, hvis der er en fejl
i algoritmen
Når jeg skal programmere en løsning på et komplekst problem (fx hvordan man styrer vand og varme
digitalt i et drivhus i løbet af et år), kan jeg nedbryde det til flere simple problemer og koble dem
sammen
Jeg kan tilpasse modeller (fx økonomiske modeller eller klima- eller miljømodeller) i et computerpro-
gram (Fx Regneark eller NetLogo)
Jeg kan gennemskue, hvilke muligheder og begrænsninger der er ved forskellige computersystemer
indbygget i fx tv, køleskabe, termostater, biler mv.
Jeg kan gennemskue, hvilken sikkerhedsrisiko der kan være forbundet med at udveksle data gennem
digitale netværk
Jeg kan læse og forstå programmer skrevet i tekstbaseret programmeringssprog
Jeg kender principperne bag kryptering
0,7
-
Teknologisk
handleevne
-
-
-
-
0,8
Note: Spørgsmålsformulering: ”I hvilken grad vil du vurdere, at du er i stand til følgende?” Der måles på en skala fra 1-5, hvor 1 er ”Slet ikke”, 2 er ”I
lav grad”, 3 er ”I nogen grad”, 4 er ”I høj grad” og 5 er ”I meget høj grad”.
Vi har ikke bedt indskolingseleverne om at vurdere deres egne kompetencer i teknologiforståelse i spørge-
skemaundersøgelsen som følge af elevernes alder og abstraktionsniveau.
Den anden del af spørgeskemaundersøgelsen består af en række opgaver relateret til de fire kompetence-
områder i Fælles Mål, som er udviklet med henblik på at give en indikation på elevernes kompetencer i
teknologiforståelse (samtlige opgaver fremgår af bilag 3). Alle eleverne, dvs. i både indskolingen, på mel-
lemtrinnet og i udskolingen, har besvaret opgaver i spørgeskemaundersøgelsen, men opgaverne er tilpas-
set elevernes alder og abstraktionsniveau samt Fælles Mål, læseplaner og undervisningsvejledninger for
de enkelte klassetrin.
Opgaverne er udviklet i et samarbejde mellem Rambøll, Læremiddel.dk og Ole Caprani, lektor ved Institut
for Datalogi på Aarhus Universitet. Ambitionen med opgaverne har været at undersøge elevernes kompe-
tencer inden for udvalgte dele af teknologiforståelsesfagligheden. Den opgavebaserede tilgang er valgt for
at understøtte aktualitet og genkendelighed for eleverne, så deres viden og forståelse undersøges i en
kontekst, der afspejler elevernes hverdag. Med henblik på at gennemføre analyser af udviklingen i elevernes
point i opgaverne i spørgeskemaundersøgelsen er opgaveformuleringer, opgavelogik og svarkategorier
fastholdt på tværs af før-, midtvejs- og slutmålingen. Eleverne er dermed blevet stillet de samme opgaver
i alle tre evalueringsrunder. Eleverne har ikke på noget tidspunkt fået kendskab til, om de har svaret rigtigt
eller forkert på opgaverne, og de har derfor ikke kunne anvende denne viden i besvarelsen af opgaverne i
det følgende års spørgeskemaundersøgelse. Der skal dog alligevel tages forbehold for, at det kan have
skabt positive bias i resultaterne, at de samme opgaver er anvendt i spørgeskemaundersøgelsen alle tre
år. Den positive bias kan fx opstå, hvis eleverne hurtigere kan læse og forstå opgaven som følge af, at de
har set den før, og at de derved har et større overskud til at løse opgaven. En anden risiko er, at ressource-
personerne på skolerne har fortalt eleverne, hvilke svar der er korrekte, med afsæt i deres viden fra de
skolerapporter, som hvert år er gjort tilgængelige for skolerne. Dette forventes dog er være relativt usand-
synligt, da ressourcepersonerne har været opmærksomme på formålet med spørgeskemaundersøgelsen
blandt eleverne og eksplicit er instrueret i ikke at hjælpe eleverne.
5
BUU, Alm.del - 2020-21 - Bilag 277: Erfaringerne fra forsøg med teknologiforståelse i folkeskolen, fra børne- og undervisningsministeren
2454935_0006.png
Med sparring fra Læremiddel.dk har Rambøll udviklet et pointsystem på baggrund af opgaverne, så det er
muligt at følge udviklingen i elevernes point i opgaverne i spørgeskemaundersøgelsen over tid. Pointsyste-
met er udviklet, så eleverne inden for hver af de fire kompetenceområder har kunne opnå mellem 0 og 25
point, hvor 25 er et udtryk for det højst mulige antal point for eleverne på de enkelte kompetenceområder,
mens 0 modsat angiver det lavest mulige antal point for eleverne på de enkelte kompetenceområder. Med
dette pointsystem fylder de enkelte kompetenceområder det samme i elevernes samlede pointscore. Ele-
verne har således maksimalt kunne opnå 100 point i opgaverne i spørgeskemaundersøgelsen.
Det er vigtigt at understrege, at opgaverne på tværs af klassetrin
ikke
har karakter af standardiserede test,
ligesom der er forskellige antal opgaver på tværs af både kompetenceområder og klassetrin. Der er ikke
anvendt standardiserede tests i evalueringen, da disse ikke er udviklet på nuværende tidspunkt. Endelig
skal resultaterne læses med det forbehold, at opgaverne kun dækker over en lille del af den samlede fag-
lighed. Det betyder, at det ikke er meningsfuldt at sammenligne elevernes point på tværs af årgange og
elevernes point inden for de enkelte kompetenceområder.
Opgaverne er udviklet i samarbejde med eksperter på feltet. Det er dog vigtigt at understrege, at der ikke
er foretaget yderligere test eller validitetsanalyser af opgaverne i spørgeskemaundersøgelsen, da det ligger
uden for opdraget af denne evaluering. Vi har dog gennemført en analyse af, om der er sammenhæng
mellem elevernes selvvurderinger og deres point i opgaverne i spørgeskemaundersøgelsen for at under-
søge, om de to tilgange umiddelbart måler noget af det samme og kan supplere hinanden og det kvalitative
datamateriale i analysen af udviklingen i elevernes kompetencer i teknologiforståelse.
Konkret er analysen gennemført ved lineære regressionsmodeller (OLS), hvor udviklingen i elevernes point
fra opgaverne sammenholdes med den tilsvarende udvikling i indeks for elevernes selvvurderinger. Den
estimererede sammenhæng er her antaget at være lineær. For at undersøge om sammenhængen mellem
udviklingen i point fra opgaver og udviklingen i point fra selvvurdering rent faktisk er lineær, er der konstru-
eret
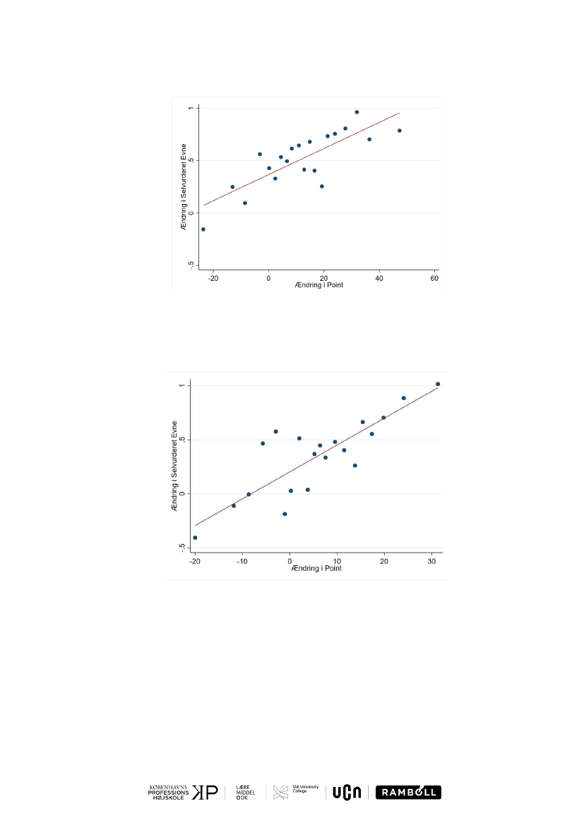
grupperede scatterplots.
Dette er en specifik type af ikke-parametrisk regression, og resultaterne er
angivet i figur 1 og 2. De grupperede scatterplots gør det muligt at undersøge, om sammenhængen er mere
eller mindre stærk for de elever, som har haft en lav udvikling i antal point i opgaverne end for de elever,
som har en høj udvikling i antal point.
I nedenstående figurer angives udviklingen i elevernes point i opgaverne fra 2019 til 2021 ud af 1. aksen,
mens udviklingen i elevernes selvvurderinger fra 2019 til 2021 er angivet op ad 2. aksen. Hvert punkt viser
sammenhængen mellem ændringerne i elevernes point i opgaverne og ændringerne i deres selvvurderin-
ger. Punkterne er konstrueret ved at inddele eleverne i 20 lige store grupper (ventiler) rangeret efter æn-
dringer i elevernes point i opgaverne over tid, hvor den gennemsnitlige ændring i elevernes antal point
udregnes inden for hver af disse 20 grupper. Disse gennemsnit kan aflæses ud af 1. aksen. Dernæst er de
gennemsnitlige ændringer i elevernes selvvurderinger udregnet inden for hver af de 20 grupper. På denne
måde kan det ses, om den lineære sammenhæng, der er antaget i OLS-modellen, er meningsfuld eller ej.
Linjen i figurerne angiver den lineære sammenhæng fra en OLS-model.
Figur 1: Sammenhæng mellem ændringen i elevernes selvvurderinger og ændringen i deres point i opgaverne i spør-
geskemaundersøgelsen på mellemtrinnet
6
BUU, Alm.del - 2020-21 - Bilag 277: Erfaringerne fra forsøg med teknologiforståelse i folkeskolen, fra børne- og undervisningsministeren
2454935_0007.png
Note: Grupperet scatterplot (se tekst for beskrivelse) samt angivelsen af den lineære sammenhæng (OLS). Koefficienten, der angiver sammen-
hængen, er 0,012 (se=0,002).
Figur 2: Sammenhæng mellem ændringen i elevernes selvvurderinger og ændringen i deres point i opgaverne i spør-
geskemaundersøgelsen i udskolingen
Note: Grupperet scatterplot (se tekst for beskrivelse) samt angivelsen af den lineære sammenhæng (OLS). Koefficienten, der angiver sammen-
hængen, er 0,024 (se=0,004).
Figur 1 viser sammenhængen mellem ændringen i elevernes point i opgaverne og ændringen i elevernes
selvvurderinger for mellemtrinnet, og figur 2 viser sammenhængen for udskolingen. Analyser viser, at der
er en statistisk signifikant sammenhæng
3
mellem ændringen i elevernes selvvurderinger og ændringen i
deres point i opgaverne i spørgeskemaundersøgelsen. Den positive sammenhæng er tydelig på tværs af
hele fordelingen. Vi finder altså indikationer på, at opgaverne og selvvurderingerne måler samme forhold.
Elevernes selvvurderinger og den opgavebaserede tilgang kan derfor bruges til at supplere hinanden i ana-
lysen af udviklingen i elevernes kompetencer i teknologiforståelse.
3
Linien fra OLS regressionen har en positiv hældning på 2,4%; med en standardfejl på 0,04%. Dette er signifikant forskelligt fra 0
7
BUU, Alm.del - 2020-21 - Bilag 277: Erfaringerne fra forsøg med teknologiforståelse i folkeskolen, fra børne- og undervisningsministeren
2454935_0008.png
For at sikre en solid analyse af udviklingen i elevernes selvvurderinger samt udviklingen i elevernes point i
opgaverne over tid, medtager vi kun besvarelser for elever, der har deltaget i alle tre runder af spørgeske-
maundersøgelsen. Dette sikrer, at det er den samme population af elever, der indgår i før-, midtvejs- og
slutmålingen, hvilket giver en række metodiske fordele. Ved at begrænse os til elever, der har deltaget i alle
tre målinger, kan vi undersøge udviklingen i elevernes selvvurderinger og deres point i opgaverne fra første
til sidste år af undersøgelsen, og det giver os et ensartet datagrundlag at gennemføre analyser på. Det er
vigtigt, da en eventuel positiv udvikling i elevernes selvvurderinger eller point i opgaverne i spørgeskema-
undersøgelsen ellers ville kunne tilskrives systematisk frafald af respondenter. Tabel 7 viser førmålingska-
rakteristika for de elever, som har besvaret alle tre runder af spørgeskemaet, og sammenligner deres før-
målingskarakteristika med de elever, der ikke har besvaret alle tre målinger. Forskelle, der er signifikante
på et 5 pct. signifikansniveau, er markeret med en *. Generelt ser vi, at elevernes motivation for og enga-
gement i skolen er højere blandt de elever, der har gennemført spørgeskemaet alle tre år. Der er dog tale
om relativt små forskelle mellem de to elevgrupper, hvilket taler for, at udviklingen i elevernes point og
selvvurderinger på tværs af de tre målinger ikke skyldes centrale karakteristika ved eller selektion i elever,
som har gennemført alle tre spørgeskemaundersøgelser.
Tabel 7: Førmålingskarakteristik for elever opdelt efter, om de har besvaret alle runder af spørgeskemaer
Indskoling (N=636)
Svaret alle runder
Point fra opgaver (2019)
Selvvurdering (2019)
Elevernes motivation og engagement
Flair for teknologi
44,06
-
4,44
.
Andre
46,70
-
4,26
-
Forskel
-2,65
-
0,18*
-
STEM-fag som yndlingsfag
Pige
Som fag
-
0,48
0,41
-
0,46
0,34
Mellemtrin (N=686)
-
0,02
0,08
Point fra opgaver (2019)
Selvvurdering (2019)
Elevernes motivation og engagement
Flair for teknologi
37,68
2,39
3,96
4,04
36,32
2,35
3,79
3,92
1,36
0,04
0,17*
0,12
STEM-fag som yndlingsfag
Pige
0,13
0,51
0,19
0,54
-0,07*
-0,03
8
BUU, Alm.del - 2020-21 - Bilag 277: Erfaringerne fra forsøg med teknologiforståelse i folkeskolen, fra børne- og undervisningsministeren
2454935_0009.png
Som fag
0,55
0,42
Udskoling (N=618)
0,13*
Point fra opgaver (2019)
Selvvurdering (2019)
Elevernes motivation og engagement
Flair for teknologi
44,88
2,53
3,75
3,78
43,40
2,49
3,59
3,70
1,48
0,04
0,16*
0,08
STEM-fag som yndlingsfag
Pige
Som fag
0,21
0,53
0,46
0,12
0,52
0,52
0,09*
0,01
-0,06
Note: Elevkarakteristika i førmålingen for elever, som har svaret på alle tre runder af spørgeskema (første kolonne), og dem som har besvaret færre
end tre runder af spørgeskemaet (anden kolonne). Tredje kolonne angiver forskellen imellem de to foregående kolonner, og * indikerer signifikant
forskel på et 5 pct. signifikans-niveau. De variable der undersøges, er præsenteret i tabel 10.
Vi har gennemført en bred vifte af statistiske analyser med afsæt i datagrundlaget fra spørgeskemaunder-
søgelsen blandt elever. Disse analyser beskrives nedenfor. Det skal dog først understreges, at datagrund-
laget i denne evaluering
ikke
tillader, at der kan drages konklusioner om
effekten
af selve forsøget på ele-
vernes faglige udvikling. Vi kan derfor ikke konkludere, om eleverne er blevet dygtigere til teknologiforstå-
else
som følge
af forsøgsprogrammet, da udviklingen i elevernes kompetencer i teknologiforståelse også
kan skyldes andre forhold, som vi ikke har mulighed for at kontrollere for i denne evaluering (fx at eleverne
bliver ældre og i stigende omfang får adgang til og erfaring med digitale teknologier). Evalueringen kan dog
give indikationer på elevernes udvikling i teknologiforståelse, ligesom evalueringen kvalitativt kan kaste lys
over det pædagogiske personale samt elevernes egen oplevelse af, hvilket udbytte de har fået af undervis-
ningen i teknologiforståelse. Nedenfor beskrives de analyser, som er gennemført med afsæt i spørgeske-
maundersøgelsen blandt elever.
For det første har er der gennemført analyser med henblik på at måle, om der sker en udvikling i elevernes
egne vurderinger af deres kompetencer i teknologiforståelse (selvvurderinger) over tid, og om der tilsva-
rende sker en udvikling i elevernes point i opgaverne over tid. Konkret har vi estimeret udviklingen ved hjælp
af OLS-regressionsmodeller. Med udgangspunkt i gruppen af elever, der har besvaret alle tre spørgeske-
maer, er der altså tre observationer pr. elev, der for hvert år 2019-2021 indeholder information om udfalds-
målene i form af elevernes selvvurderinger og deres point i opgaverne i spørgeskemaundersøgelsen
både
samlet og for hvert enkelt kompetenceområde. Enkeltvis for disse udfaldsmål er følgende model estimeret:
����
��������
angiver udfaldet af interesse (fx samlet antal point i opgaverne i spørgeskemaundersøgelsen eller sam-
let score for elevernes selvvurderinger) for elev
i
i survey-år
t.
Der estimeres altså separate modeller for
alle udfald, som der laves analyser for. er modellens konstantled og kan fortolkes som gennemsnitssco-
ren i førmålingen i 2019.
er en indikator-variabel for måling i år 2020, og koefficienten skal fortol-
kes som forskellen mellem 2019 og 2020. Ligeledes er
en indikator-variabel for måling i år 2021, og
9
����
��������
=
+
+
+
��������
BUU, Alm.del - 2020-21 - Bilag 277: Erfaringerne fra forsøg med teknologiforståelse i folkeskolen, fra børne- og undervisningsministeren
2454935_0010.png
koefficienten skal fortolkes som forskellen mellem 2019 og 2021. Ved hjælp af
t-test
kan det testes, om
og er statistisk signifikant forskellige fra hinanden og fra .
��������
er det statistiske fejlled. Da eleverne
på én skole eksponeres for de samme skolespecifikke faktorer (fx gennemsnitlig læreranciennitet), forven-
tes det, at deres udfald (fx point fra opgaver) ikke vil være uafhængigt fordelt. Da der optræder 43 skoler i
data (de tre specialskoler er udeladt af analysen, jf. ovenfor), ville det være oplagt at tage højde for disse
intraskole-korrelationer i estimationen af standardfejl ved at anvende klyngerobuste standardfejl på skole-
niveau. Desværre er det ikke muligt at gennemføre analyserne på tværs af skoletrin, da der for hver årgang
i forsøget (fx indskolingen) kun deltager 15 eller 16 skoler. Dette er for få skoler til, at der overbevisende
kan argumenteres for, at den klyngerobuste varians-estimators asymptotiske egenskaber er opfyldt. Derfor
estimeres klassiske Huber-White robuste standardfejl. Konsekvensen af dette er, at der ikke kan tages
højde for intraskole korrelationer i regressionsmodellernes fejlled, hvilket kan føre til, at størrelsen på stan-
dardfejlene underestimeres.
Alle modeller estimeres separat for hver årgang, da det ikke er meningsfuldt at sammenligne elevernes
selvvurderinger eller point i opgaverne i spørgeskemaundersøgelsen på tværs af årgange (jf. tidligere be-
skrivelse af opgaverne). Vi undersøger også udviklingen for elever, der har haft teknologiforståelse hhv.
som fag og i fag. Disse udviklinger undersøges ved at estimere separate versioner af ovenstående regres-
sion for gruppen af elever, som har modtaget undervisning i fag hhv. som fag.
For det andet har vi gennemført analyser med henblik på at undersøge, om der er forskelle i elevernes
udvikling på tværs af de to delforsøg i teknologiforståelse. Tabel 8 viser førmålingskarakteristika for elever
i indskoling, på mellemtrin og i udskoling, alt efter hvilket delforsøg eleverne har deltaget i.
Tabel 8: Førmålingskarakteristika for elever, der besvarer alle runder af spørgeskemaet
Indskoling (N=449)
Som fag
Point fra opgaver
Selvvurdering
Elevernes motivation og engagement
Flair for teknologi
39,43
-
4,51
-
I fag
47,30
-
4,39
-
Forskel
-7,87*
-
0,12
-
STEM-fag som yndlingsfag
-
-
-
Pige
0,54
0,44
Mellemtrin (N=361)
0,09
Point fra opgaver
Selvvurdering
Elevernes motivation og engagement
37,50
2,40
3,97
37,90
2,38
3,95
-0,40
0,02
0,02
10
BUU, Alm.del - 2020-21 - Bilag 277: Erfaringerne fra forsøg med teknologiforståelse i folkeskolen, fra børne- og undervisningsministeren
2454935_0011.png
Flair for teknologi
4,02
4,06
-0,05
STEM-fag som yndlingsfag
0,14
0,12
0,02
Pige
0,55
0,47
Udskoling (N=341)
0,08
Point fra opgaver
Selvvurdering
Elevernes motivation og engagement
Flair for teknologi
47,70
2,66
3,73
3,70
42,45
2,41
3,77
3,85
5,25*
0,26*
-0,03
-0,15
STEM-fag som yndlingsfag
0,24
0,19
0,05
Pige
0,53
0,53
0,00
Note: Førmålingskarakteristika af elever som har gennemført spørgeskemaundersøgelse alle tre år og som har modtaget undervisning i teknolo-
giforståelse
som fag
(første kolonne) og teknologiforståelse
i fag
(anden kolonne). Tredje kolonne angiver forskellen imellem de to foregående
kolonner, og * indikerer signifikant forskel på et 5 pct. signifikans-niveau. De variable der undersøges, er præsenteret i nedenstående tabel 10.
Tabellen viser, at der er en statistisk signifikant forskel på tværs af de to delforsøg i elevernes point i op-
gaverne i førmålingen for indskolingen og udskolingen. Derfor er det nødvendigt at tage højde for, at ele-
vernes udgangspunkt er forskelligt på tværs af delforsøgene for at kunne sammenligne udviklingen på
tværs af delforsøg. Vi starter med at udregne forskellen i udfald mellem 2019 og 2021 for hvert udfald. Vi
̃
kalder den
����
����
= ����
− ����
9
. Her angiver
����
udfaldet af interesse (point fra selvvurdering og point fra
opgaver for alle kompetenceområder) i 2020, og
����
9
angiver førmålingen for udfaldet. Derefter estimeres
følgende type af model med OLS:
hvor
����
er en indikatorvariabel, der angiver, om individet har haft teknologiforståelse som fag, og
����
9
er
resultatet fra førmålingen.
����
måler forskellen i pointændring eller ændring i selvvurderinger mellem elever,
der har haft teknologiforståelse
som fag
og
i fag.
Ved at inkludere
����
9
tages højde for forskelle i førmå-
lingsscoren mellem gruppen, der modtager undervisning i teknologiforståelse
som fag,
og gruppen, der
modtager undervisningen
i fag.
����
����
er det statistiske fejlled. Fejlledet er estimeret robust for heteroskeda-
sticitet. Inklusionen af
����
9
sørger altså for, at grupperne, der har haft teknologiforståelse
som fag,
bliver
gjort sammenlignelige med dem, som har modtaget teknologiforståelse integreret
i fag,
når der måles på
elevernes selvvurderinger eller point i opgaverne.
4
I den ovenstående regression er
����
9
inkluderet som en lineær uafhængig variabel. For at teste resulta-
ternes robusthed til denne parametriske antagelse benytter vi en ikke-parametrisk metode kaldet
nearest-
4
̃
����
����
=
+ ����
����
+ ���� ����
9
+ ����
����
,
Alternativ kunne regression være estimeret på følgende måde:
����
mens
=
+ ����
. Det er altså kun estimatet på førmålingsscoren, som bliver påvirket af, om den afhængige variabel er udtrykt i ændringer eller i niveau.
= ���� +
����
+
����
9
+ ����
����
. I dette tilfælde vil
= ����
og stadig udtrykke forskellen i udvikling mellem de to grupper,
11
BUU, Alm.del - 2020-21 - Bilag 277: Erfaringerne fra forsøg med teknologiforståelse i folkeskolen, fra børne- og undervisningsministeren
2454935_0012.png
neighbour-matching.
Denne metode finder for hver elev, der har modtaget teknologiforståelse
som fag,
den
elev, der har den mest sammenlignelige førmålingsscore blandt de elever, som har modtaget undervisning
i teknologiforståelse integreret
i fag.
På samme måde matches der
”den anden vej” for hver af eleverne,
der har modtaget undervisningen i teknologiforståelse integreret
i fag.
På denne måde får man et data-
grundlag, hvor der ikke er nogen forskel på
����
9
på tværs af grupperne, der har modtaget undervisning i
teknologiforståelse
i fag
eller
som fag.
Nearest-neighbour-matching-estimatet findes herefter ved at ud-
regne simple gennemsnit i de ”matchede” grupper og trække dem fra
hinanden:
̂
��������
=
����
��������
����
��������
����=
̂
Hvor
��������
er estimatet på forskellen mellem dem, der har modtaget teknologiforståelse
som fag
(
����
=
), og dem, der har modtaget teknologiforståelse
i fag
(
����
=
). Indikatorfunktionen
[ ]
angiver, at når
udtrykket inden for klammerne er sandt, er funktionen lig 1, ellers 0. Altså vil faktoren
[
����
= ]
være lig
1, hvis elev
i
har modtaget teknologiforståelse
som fag,
og være lig 0, hvis det ikke er tilfældet.
����
��������
er
antallet i den matchede gruppe af elever, der har modtaget undervisningen
som fag,
mens
����
��������
er antallet i
̂
den matchede gruppe af elever, der har teknologiforståelse
i fag.
��������
er en alternativ måde at estimere
forskellen i elevernes udvikling mellem de elever, der har modtaget undervisningen
i fag
og
som fag,
og kan
sammenlignes med OLS-estimatet
����̂
fra regressionen ovenfor.
∑ [
����
= ]����
����
����
��������
∑ [
����=
����
��������
����
= ]����
����
,
I tabel 9 præsenteres resultaterne fra nearest-neighbour-matchingen for elevernes selvvurderinger og de-
res point i opgaverne i spørgeskemaundersøgelsen. Vi præsenterer også estimater for forskellen i udvik-
lingen mellem delforsøg fra OLS-regressioner, hvor vi kontrollerer for førmålingsscoren. I de to første ko-
lonner fremgår den estimerede forskel i elevernes udvikling i point fra opgaverne mellem delforsøgene. De
to næste kolonner viser den estimerede forskel i elevernes udvikling i selvvurderingerne mellem delforsø-
gene. Forskellene i kolonne 1 og 3 er estimeret ved lineære regressionsmodeller, hvor der er kontrolleret
for førmålingsscore. Forskellene i kolonne 2 og 4 er estimeret ved nearest-neighbour-matching på elever-
nes førmålingsscore. Eksempelvis viser tabellen, at hvis vi estimerer forskellen i udviklingen i elevernes
point i opgaverne med OLS, har elever, der har modtaget undervisning i teknologiforståelse
som fag,
udvik-
let sig (ikke statistisk signifikant) 2,4 point mere end dem, der har modtaget undervisningen integreret
i
fag.
Hvis vi bruger nearest-neighbour-matching er den samme forskel 2,29, og denne er heller ikke statistisk
signifikant. Uanset hvilken estimationsmetode vi bruger, er konklusionerne altså den samme. Den eneste
undtagelse er udviklingen i elevernes point i opgaverne på mellemtrin, som bliver marginalt mindre præcist
estimeret.
Tabel 9: Forskelle i udvikling på tværs af delforsøg for indskolingen
Udvikling i point fra opgaver
Indskoling
2,40
Som fag
(1,70)
Model
N
OLS
449
(1,91)
NN
-
OLS
449
-
NN
2,29
-
-
Udvikling i selvvurdering
12
BUU, Alm.del - 2020-21 - Bilag 277: Erfaringerne fra forsøg med teknologiforståelse i folkeskolen, fra børne- og undervisningsministeren
2454935_0013.png
Mellemtrin
3,85*
Som fag
(1,57)
Model
N
OLS
361
Udskoling
3,10*
Som fag
(1.22)
Model
N
OLS
341
(1,34)
NN
(0,07)
OLS
341
(0,07)
NN
3,30*
0,16*
0,17*
(2,01)
NN
(0,07)
OLS
361
(0,07)
NN
3,11
0,03
-0,03
Note: Tabellen viser forskellen i udviklingen i point og selvvurdering for elever, som har modtaget undervisningen i teknologiforståelse
som fag
i
forhold til
i fag.
De to første kolonner estimerer forskellen i udvikling i point fra opgaverne mellem delforsøgene. De to næste kolonner estimerer
forskellen i udvikling i elevernes selvvurdering. Forskellene i kolonne 1 og 3 er estimeret ved lineære regressionsmodeller, hvor der er kontrolleret
for førmålingsscore. Forskellene i kolonne 2 og 4 er estimeret ved
nearest-neighbour matching
på førmålingsscore. Standardfejl er robuste for
heteroskedasticitet. * indikerer signifikans på 5% point niveau.
For det tredje har vi gennemført analyser med henblik på at undersøge, om forskellige faktorer (fx elevernes
motivation for og engagement i skolen og elevernes køn) har betydning for elevernes udvikling i selvvurde-
ringer og point fra opgaver. Til dette formål er også benyttet lineære regressionsanalyser. Først er der
konstrueret variable for de fire faktorer, vi ønsker at inkludere i analysen. Spørgsmålene fremgår af tabel
10. Variablen for elevernes motivation og engagement i skolen samt deres egen oplevelse af flair for tek-
nologi består af flere underspørgsmål, der er samlet til et indeks, hvor elevernes svar på spørgsmålene
summeres og divideres med det samlede antal spørgsmål. Konkret estimeres følgende model med OLS:
̃
����
����
=
+ ����
����
����
hvor
��������
er den
k’te elevfaktor.
Der estimeres altså fire separate OLS-modeller
en for hver elevfaktor:
Motivation og engagement, flair for teknologi, køn og matematisk/naturfagligt yndlingsfag. Fejlledet,
����
����
, er
estimeret robust for heteroskedasticitet.
Tabel 10: Overblik over indeks i regressionsanalyser
Variabel
Elevernes motivation og engage-
ment
Spørgsmål
-
-
-
-
Elevernes flair for teknologi (kun
mellemtrin og udskoling)
-
-
-
-
Kan du lide at gå i skole? (Kun indskoling)
Jeg synes de emner og opgaver, vi arbejder med, er spændende (kun mellemtrin
og udskoling)
Jeg har lyst til at deltage aktivt i timerne (fx række hånden op) (kun mellemtrin og
udskoling)
Jeg kan for det meste finde ud af det, vi skal lave i timerne (kun mellemtrin og ud-
skoling)
Jeg kan godt lide, når jeg skal lære at bruge et nyt program (fx en app) på min
computer eller telefon
Det er sjovere at lave mit arbejde med en computer/tablet end uden en compu-
ter/tablet
Jeg kan hjælpe andre, når de har problemer med deres computer/tablet
Jeg kan installere programmer eller apps på en computer/tablet
+ ���� ����
9
+ ����
����
,
13
BUU, Alm.del - 2020-21 - Bilag 277: Erfaringerne fra forsøg med teknologiforståelse i folkeskolen, fra børne- og undervisningsministeren
2454935_0014.png
Køn (dreng eller pige)
Yndlingsfag (STEM-fag eller ikke
STEM-fag)
-
-
Elevernes CPR-nummer
Hvilket fag kan du bedst lide? (kun mellemtrin og udskoling)
Note: Spørgsmålsformulering for udsagnene
i de to øverste variable er: ”Hvor
enig eller uenig er du i følgende udsagn?”.
I disse udsagn måles der
på en skala fra 1-5,
hvor 1 er ”Helt
uenig”,
2 er ”Nærmest
uenig”,
3 er ”Hverken
enig eller uenig”,
4 er ”
Nærmest enig”
og 5 er ”
Helt enig”. STEM-fag
dækker over matematik og natur/teknologi på mellemtrinnet samt matematik, fysik/kemi, biologi og geografi i udskolingen.
I midtvejsevalueringen inkluderede vi også data fra spørgeskemaundersøgelsen blandt pædagogisk perso-
nale med henblik på at undersøge, om faktorer på skoleniveau (fx ledelsesopbakningen på skolen) og læ-
rerniveau (fx det pædagogiske personales kompetencer og motivation) havde betydning for elevernes ud-
vikling. Der er imidlertid en række udfordringer ved at sammenkoble disse forskellige datakilder, hvorfor vi
har valgt
ikke
at gennemføre disse analyser i slutevalueringen. Udfordringen består for det første i det
praktiske element, at flere klasser ikke kan matches til deres lærere, da det ikke er alle lærere, som har
gennemført spørgeskemaet til det pædagogiske personale. Det introducerer en klar selektionsproblematik,
da de klasser, som vi observerer lærerkarakteristika for, er fundamentalt forskellige fra dem, hvor vi ikke
gør. Eksempelvis kan vi observere et højere gennemsnitligt antal point i opgaverne i førmålingen blandt de
klasser, som vi kan matche med deres lærere. Dertil kommer, at flere af klasserne bliver undervist af flere
lærere. Da vi ikke ved, hvordan undervisningsopgaverne og -timerne har været fordelt mellem lærerne, men
kun kan se, at læreren er angivet som primært tilknyttet til klassen, er det vanskeligt at vurdere, hvor meget
den enkelte undervisers karakteristika (fx lærernes motivation og kompetencer) skal fylde i analysen rela-
tivt til de øvrige lærere, der også underviser de pågældende elever i teknologiforståelse.
Forskelle mellem indsats- og sammenligningselever
Som et led i den kvantitative dataindsamling er spørgeskemaundersøgelsen blevet gennemført blandt alle
elever i parallelklasserne til elever i forsøget for at etablere en indsats- og en sammenligningsgruppe. For-
målet med at etablere indsats- og sammenligningsgrupper som led i analyserne af elevernes udvikling i
teknologiforståelse har været at isolere elevernes udbytte af forsøgsprogrammet fra den naturlige udvikling
i teknologiforståelse, der må forventes som følge af, at eleverne bliver ældre og i stigende omfang får
adgang til og erfaring med teknologier. I forbindelse med analysen af data fra dataindsamlingen i 2021 har
der imidlertid vist sig en række substantielle metodiske udfordringer ved etableringen af sammenlignings-
grupper, hvorfor vi i slutevalueringen har valgt
ikke
at gennemføre disse analyser af forskelle i elevernes
udvikling i point fra opgaver og selvvurderinger mellem indsats- og sammenligningsgrupperne.
De metodiske udfordringer ved etablering og anvendelsen af sammenligningsgrupper relaterer sig til an-
tallet af elever, som indgår i henholdsvis indsats- og sammenligningsgrupperne. Skolerne i forsøgspro-
grammet har fået relativt frie rammer til at gennemføre teknologiforståelsesundervisningen på den måde,
som de har fundet mest hensigtsmæssig. I forbindelse med dataindsamlingen i 2020 blev det således
tydeligt, at langt størstedelen af forsøgsskolerne har fundet det mest hensigtsmæssigt at afprøve teknolo-
giforståelse i alle klasser på de årgange, skolen deltager i forsøget med. En konsekvens heraf er, at det kun
var muligt at etablere sammenligningsgrupper på syv ud af 46 forsøgsskoler som led i midtvejsevaluerin-
gen. I 2021 har yderligere to skoler valgt at sammenlægge deres klasser, så der nu kun kan etableres sam-
menligningsgrupper på fem ud af 46 forsøgsskoler. Fordi antallet af elever i indsats- og sammenlignings-
grupperne er mindsket yderligere, medfører det, at den statistiske styrke af analyserne reduceres betyde-
ligt. Det indebærer, at det ikke er muligt at konkludere, om undervisningen i teknologiforståelse har haft en
isoleret virkning på elevernes kompetencer i teknologiforståelse, fordi både negative og positive resultater
14
BUU, Alm.del - 2020-21 - Bilag 277: Erfaringerne fra forsøg med teknologiforståelse i folkeskolen, fra børne- og undervisningsministeren
2454935_0015.png
vil være behæftet med stor usikkerhed. Desuden vil analyserne af forskellene mellem indsats- og sammen-
ligningsklasserne forventeligt ikke være repræsentative for den samlede elevgruppe i forsøget, hvorfor re-
sultater af disse analyser ikke vil være generaliserbare til alle skoler i forsøget.
På baggrund af den betydelige statistiske usikkerhed forbundet med analyserne i udviklingen i elevernes
kompetencer i teknologiforståelse mellem sammenlignings- og indsatsgrupperne og den manglende ge-
neraliserbarhed af analyserne, har vi valgt at udelade disse analyser i slutevalueringen af forsøg med tek-
nologiforståelse. Denne udeladelse har betydning for de konklusioner, som kan drages om elevernes ud-
bytte af forsøg med teknologiforståelse i slutevalueringen. På baggrund af de kvantitative analyser er det
således ikke muligt at konkludere, om eleverne er blevet dygtigere til teknologiforståelse
som følge
af for-
søgsprogrammet, da det ikke er muligt at isolere virkningerne af forsøgsprogrammet fra den naturlige ud-
vikling, som kan forventes i takt med, at eleverne bliver ældre og i stigende grad får adgang til og erfaring
med teknologi (fx lempeligere iPad-regler derhjemme, øget brug af sociale medier mv.).
Spørgeskemaundersøgelse blandt pædagogiske personale
Formålet med spørgeskemaundersøgelsen blandt det pædagogiske personale er at afdække, hvilke forud-
sætninger det pædagogiske personale har for at implementere teknologiforståelse, at undersøge det pæ-
dagogiske personales udbytte af at deltage i forsøget og at indsamle deres vurderinger af, hvordan mål og
fagbeskrivelse omsættes til og svarer til elevernes klassetrin. Endelig er det pædagogiske personale også
blevet bedt om at vurdere elevernes kompetencer i teknologiforståelse.
Vi har gennemført følgende analyser med afsæt i data fra spørgeskemaundersøgelserne blandt det pæda-
gogiske personale på forsøgsskolerne:
Deskriptive frekvensanalyser af besvarelser fra det pædagogiske personale i slutmålingen.
Analyser af, om der er signifikante forskelle i det pædagogiske personales besvarelser på tværs af
de to delforsøg.
Analyser af, om der er signifikante forskelle mellem pædagogisk personale, som har deltaget i
forsøget i alle tre år, og pædagogisk personale, som
ikke
har deltaget i forsøget i alle tre år.
Analyser af, om der er sket en signifikant udvikling i det pædagogiske personales besvarelser fra
førmålingen til midtvejsmålingen og fra førmålingen til slutmålingen.
Sidstnævnte analyser er alene baseret på besvarelser fra pædagogisk personale, som har deltaget i både
før-, og midtvejs- og slutmålingen. Det sikrer os et ensartet datagrundlag at gennemføre analyser på, så en
eventuel ændring i lærernes svar over tid fx ikke kan tilskrives et frafald af respondenter. De øvrige analyser
inkluderer svar fra alle lærere, der har gennemført spørgeskemaet i 2021 (dvs. slutmålingen).
Med undtagelse af de deskriptive frekvensanalyser er analyserne ovenfor gennemført via
t-test,
der under-
søger, om gennemsnittet mellem to grupper eller to målinger er signifikant forskellige fra hinanden. Disse
resultater beskrives som signifikante, når forskellen i gennemsnittet mellem to grupper eller to målinger er
signifikante ved minimum 5
pct. signifikansniveau (α ≤ 0,05).
15
BUU, Alm.del - 2020-21 - Bilag 277: Erfaringerne fra forsøg med teknologiforståelse i folkeskolen, fra børne- og undervisningsministeren
2454935_0016.png
Som tidligere beskrevet er det pædagogiske personale er også blevet bedt om at vurdere elevernes kom-
petencer i teknologiforståelse. I analysen af det pædagogiske personales vurderinger af elevernes kompe-
tencer i teknologiforståelse medtager vi kun besvarelser fra de lærere, som i 2019 har undervist eleverne i
henholdsvis 1., 4. og 7. klasse, samt de lærere, der i 2020 har undervist eleverne i henholdsvis 2., 5. og 8
klasse, og de lærere, der i 2021 har undervist eleverne i henholdsvis 3., 6. og 9. klasse. I disse analyser
indgår der med andre ord kun besvarelser fra pædagogisk personale, som underviser netop den gruppe af
forsøgselever, som evalueringen følger.
Disse lærere er blevet bedt om at vurdere, i hvilken grad forsøgseleverne er i stand til det, som fremgår af
hvert enkelt færdighedsmål i teknologiforståelse
som fag
eller integreret
i det fag,
de underviser i. Disse
spørgsmål er efterfølgende samlet til et indeks for hvert kompetenceområde (besvarelser fra lærere, der
underviser i teknologiforståelse
som selvstændigt fag)
eller for hvert fag (besvarelser fra lærere, der under-
viser i teknologiforståelse
integreret i fag)
på en given årgang, hvor lærernes svar på spørgsmålene sum-
meres og divideres med det samlede antal spørgsmål. Tabellerne nedenfor giver et overblik over de spørgs-
mål, som det pædagogiske personale i de forskellige fag har svaret på.
Tabel 0.11: Vurderinger af elevernes kompetencer. Teknologiforståelse som
selvstændigt fag
i indskolingen.
Indeks
Digital myndiggørelse
Spørgsmål til pædagogisk personale i indskolingen
-
-
-
-
-
-
-
-
-
Computationel tanke-
gang
-
-
-
-
Teknologisk handle-
evne
-
-
-
-
Eleven kan benævne forskellige typer af digitale artefakters funktionalitet og grænseflade
Eleven kan beskrive forskellige typer af digitale artefakters formål i hverdagen
Eleven kan undersøge brug af digitale artefakter i sin hverdag
Eleven kan beskrive fordele og ulemper ved anvendelse af egne og andres digitale artefakter
Eleven kan formulere og modtage feedback med henblik på forbedring af egne og andres digitale artefakter
Eleven kan deltage i at rammesætte problemstillinger og foretage tilrettelagte undersøgelser i forhold til et pro-
blemfelt
Eleven kan anvende udvalgte idégenereringsteknikker og eksternalisere egne idéer
Eleven kan med digitale teknologier konstruere artefakter, der udtrykker egne idéer
Eleven kan føre en simpel argumentation for enkelte designvalg og samtale om egen designkompetence
Eleven kan beskrive fænomener i omverdenen, der kan repræsenteres som data
Eleven kan identificere og formulere simple algoritmer på uformel form relateret til situationer i hverdagen samt
forudsige simple algoritmers opførsel
Eleven kan beskrive procedurer fra hverdagen ved hjælp af rækkefølger, forgreninger og gentagelser
Eleven kan beskrive den virkelighed, en model repræsenterer og justere modellen til nye behov
Eleven kan betjene en computer og herunder gøre rede for det grundlæggende samspil mellem hardware og
software samt beskrive fejl, når de opstår
Eleven kan skelne mellem lokale og globale digitale netværk samt logge på og navigere på digitale netværk
Eleven kan følge og tilrette simple programmer i mindst et blokbaseret program
Eleven kan identificere risikoadfærd i forbindelse med brug af digitale teknologier
Digital design og de-
signprocesser
Note: Spørgsmålsformulering: ”I hvilken grad vurderer du, at den gennemsnitlige gruppe af elever i din klasse er i stand til
følgende på nuværende
tidspunkt?” Der måles på en skala fra 1-5, hvor 1 er ”Slet ikke”, 2 er ”I lav grad”, 3 er ”I nogen grad”, 4 er ”I høj grad” og 5 er ”I meget høj grad”.
Lærerne har modtaget en række ordforklaringer, der forklarer udvalgte ord fra fagligheden
(fx hvad et ”digitalt artefakt” eller en ”algoritme” er).
Tabel 0.12: Vurderinger af elevernes kompetencer. Teknologiforståelse som
selvstændigt fag
på mellemtrinnet.
Indeks
Digital myndiggørelse
Spørgsmål til pædagogisk personale på mellemtrinnet
-
-
-
-
Eleven kan identificere forskellige typer af digitale artefakters funktionalitet og analysere sammenhængen mel-
lem funktion og grænseflade
Eleven kan identificere og analysere sammenhænge mellem digitale artefakters formål, intentionaliteter og an-
vendelsesmuligheder i konkrete situationer
Eleven kan observere og identificere brugeres oplevelser og brugsmønstre for digitale artefakter i konkrete situ-
ationer
Eleven kan kritisk reflektere over digitale artefakters betydning for egen og fælles praksis i konkrete situationer
16
BUU, Alm.del - 2020-21 - Bilag 277: Erfaringerne fra forsøg med teknologiforståelse i folkeskolen, fra børne- og undervisningsministeren
2454935_0017.png
-
Digital design og de-
signprocesser
-
-
-
-
Computationel tanke-
gang
-
-
-
-
Teknologisk handle-
evne
-
-
-
-
Eleven kan argumentere for redesign af egne og andres digitale artefakter på baggrund af brugsmønstre og
konsekvensvurdering
Eleven kan skelne mellem komplekse og ikke-komplekse problemfelter og udføre relevante handlinger for at
undersøge dette
Eleven kan anvende og argumentere for idégenererings- og eksternaliseringsteknikker for en konkret problem-
stilling
Eleven kan med digitale teknologier konstruere artefakter, som udtrykker en idé, og kan reflektere over artefak-
tets anvendelse
Eleven kan argumentere for sammenhænge mellem rammesætning, idégenerering og konstruktion og kan for-
holde sig til egen designkompetence
Eleven kan indsamle, lagre og visualisere data
Eleven kan genkende og tilrette algoritmer i forskellige sammenhænge og redegøre for deres funktion
Eleven kan anvende mønstre i strukturering af data og dataprocesser med udgangspunkt i konkrete problem-
stillinger
Eleven kan anvende digitale modeller i forskellige faglige sammenhænge og i arbejdet med konkrete problem-
stillinger
Eleven kan benytte en computer i samspil med eksterne digitale enheder og kan fejlsøge og handle på forskellige
typiske situationer, hvor computeren ikke fungerer efter hensigten
Eleven kan udveksle indhold i digitale netværk
Eleven kan beskrive, tilrette og konstruere programmer i blokbaserede programmeringssprog samt foretage
systematisk afprøvning og fejlretning af egne og andres programmer
Eleven kan forholde sig til sikker adfærd ved brug af computere og netværk i konkrete situationer
Note: Spørgsmålsformulering: ”I hvilken grad vurderer du, at den gennemsnitlige gruppe af elever i din klasse er i stand til
følgende på nuværende
tidspunkt?”
Der måles på en skala fra 1-5, hvor 1 er ”Slet ikke”, 2 er ”I lav grad”, 3 er ”I nogen grad”, 4 er ”I høj grad” og 5 er ”I meget høj grad”.
Lærerne har modtaget en række ordforklaringer, der forklarer udvalgte ord fra fagligheden (fx hvad et ”digitalt artefakt” eller en ”algoritme” er).
Tabel 0.13: Vurderinger af elevernes kompetencer. Teknologiforståelse som
selvstændigt fag
i udskolingen.
Indeks
Digital myndiggørelse
Spørgsmål til pædagogisk personale i udskolingen
-
-
-
-
-
-
-
-
-
Computationel tanke-
gang
-
-
-
-
Teknologisk handle-
evne
-
-
-
-
Eleven kan vurdere egne og andres digitale artefakter i forhold til artefaktets komposition
Eleven kan vurdere digitale artefakter gennem afkodning af et artefakts formål og intentionalitet
Eleven kan gennemføre enkle undersøgelser af brugeres perspektiver på og anvendelse af digitale artefakter
Eleven kan kritisk reflektere over digitale artefakters betydning for individ, fællesskab og samfund
Eleven kan, på baggrund af kritisk analyse og vurdering, udvikle konkrete forslag til redesign af digitale artefakter
og de situationer, artefaktet indgår i
Eleven kan gennem konvergente og divergente processer undersøge og analysere komplekse problemfelter og
derigennem rammesætte problemstillinger
Eleven kan generere, udvælge og kvalificere idéer, der imødekommer en problemstilling
Eleven kan med digitale teknologier konstruere digitale artefakter, der manifesterer en idé i digitalt materiale
Eleven kan, ved hjælp af et nuanceret sprog, argumentere for egne valg og fravalg i en designproces og reflektere
over egen designkompetence
Eleven kan behandle, vurdere og visualisere data reflekteret ved hjælp af digital teknologi
Eleven kan vurdere forskellige algoritmers anvendelighed og kan benytte forskellige metoder til at afprøve algo-
ritmer
Eleven kan strukturere fænomener og begreber i et problemfelt og i computationelle modeller
Eleven kan konstruere digitale modeller af virkeligheden og ud fra dem lave forudsigelser og følgeslutninger og
vurdere begrænsninger i modellen
Eleven kan vurdere forskellige computersystemers muligheder og begrænsninger
Eleven kan vurdere muligheder og begrænsninger ved udveksling af data i digitale netværk
Eleven kan læse og forstå programmer skrevet i et tekstbaseret programmeringssprog samt anvende et sådant
til systematisk modifikation og konstruktion af programmer ud fra en problemspecifikation
Eleven kan handle sikkert og hensigtsmæssigt i interaktionen med digitale teknologier og digitale artefakter
Digital design og de-
signprocesser
Note: Spørgsmålsformulering: ”I hvilken grad vurderer du, at
den gennemsnitlige gruppe af elever i din klasse er i stand til følgende på nuværende
tidspunkt?” Der måles på en skala fra 1-5, hvor 1 er ”Slet ikke”, 2 er ”I lav grad”, 3 er ”I nogen grad”, 4 er ”I høj grad” og 5 er ”I meget høj grad”.
Lærerne har modtaget
en række ordforklaringer, der forklarer udvalgte ord fra fagligheden (fx hvad et ”digitalt artefakt” eller en ”algoritme” er).
Tabel 0.14: Vurderinger af elevernes kompetencer. Teknologiforståelse
integreret
i billedkunst
Indeks
Spørgsmål til pædagogisk personale
17
BUU, Alm.del - 2020-21 - Bilag 277: Erfaringerne fra forsøg med teknologiforståelse i folkeskolen, fra børne- og undervisningsministeren
2454935_0018.png
1.-2. klasse
-
-
-
Eleven kan via programmerbare teknologier udtrykke sig æstetisk
Eleven kan benævne funktionaliteter og beskrive sammenhænge mellem funktion og grænseflader i digitale
artefakter fra kunsten og visuelle kulturer
Eleven kan undersøge brug af digitale artefakter og teknologier i udstillingssammenhænge
Eleven kan eksperimentere med programmerbare teknologier til at udtrykke sig æstetisk
Eleven kan identificere og analysere sammenhænge mellem digitale artefakters æstetik, formål, intentionaliteter
og anvendelsesmuligheder i konkrete situationer
Eleven kan observere og identificere brugeres oplevelser og brugsmønstre i interaktive udstillinger, der inddra-
ger digitale artefakter og teknologier
3.-5. klasse
-
-
-
Note: Spørgsmålsformulering: ”I hvilken grad vurderer du, at den gennemsnitlige gruppe af elever i din klasse er i stand til
følgende på nuværende
tidspunkt?” Der måles
på en skala fra 1-5,
hvor 1 er ”Slet ikke”, 2 er ”I lav grad”, 3 er ”I nogen grad”, 4 er ”I høj grad” og 5 er ”I meget høj grad”.
Lærerne har modtaget en række ordforklaringer, der forklarer udvalgte ord fra fagligheden (fx hvad et ”digitalt artefakt” eller en ”algoritme” er).
Tabel 0.15: Vurderinger af elevernes kompetencer. Teknologiforståelse
integreret
i dansk
Indeks
1.-2. klasse
Spørgsmål til pædagogisk personale
-
-
-
-
-
-
-
-
-
-
-
-
-
7.-9. klasse
-
-
-
-
-
-
-
Eleven kan benævne forskellige typer af digitale artefakters funktionalitet og grænseflade
Eleven kan beskrive forskellige typer af digitale artefakters formål i hverdagen
Eleven kan deltage i at rammesætte problemstillinger og foretage tilrettelagte undersøgelser i forhold til et pro-
blemfelt
Eleven kan fremstille digitale artefakter, der udtrykker egne ideer
Eleven kan argumentere for enkelte designvalg og samtale om egen designkompetence
Eleven kan undersøge brug af digitale artefakter i sin hverdag
Eleven kan beskrive fordele og ulemper ved anvendelse af egne og andres digitale artefakter
Eleven kan identificere risikoadfærd i forbindelse med brug af digitale teknologier
Eleven kan undersøge komplekse problemfelter med relevante undersøgelser
Eleven kan anvende ide genererings teknikker til eksternalisering af idéer og kan udtrykke en idé i fremstillingen
af digitale artefakter
Eleven kan identificere og analysere sammen hænge mellem digitale artefakters formål, intentionaliteter og an-
vendelsesmuligheder i konkrete situationer
Eleven kan argumentere for redesign af egne og andres digitale artefakter på baggrund af brugsmønstre og
konsekvensvurderinger
Eleven kan forholde sig til sikker adfærd ved brug af computere og netværk i konkrete situationer
Eleven kan gennem konvergente og divergente processer undersøge og analysere komplekse problemfelter og
derigennem rammesætte problemstillinger
Eleven kan med digitale teknologier fremstille digitale artefakter, der passer til genre og situation
Eleven kan argumentere for egne valg og fravalg i en designproces og reflektere over egen designkompetence
Eleven kan vurdere egne og andres digitale artefakter i forhold til artefaktets komposition
Eleven kan kritisk reflektere over digitale artefakters betydning for individ og samfund
Eleven kan, på baggrund af kritisk analyse og vurdering, udvikle konkrete forslag til redesign af digitale artefakter
og de situationer, artefaktet indgår i
Eleven kan handle sikkert og hensigtsmæssigt i interaktionen med digitale teknologier
3.-4. klasse
5.-6. klasse
Note: Spørgsmålsformulering:
”I hvilken grad vurderer du, at den gennemsnitlige gruppe af elever i din klasse er i stand til følgende på
nuværende
tidspunkt?” Der måles på en skala fra 1-5, hvor 1 er ”Slet ikke”, 2 er ”I lav grad”, 3 er ”I nogen grad”, 4 er ”I høj grad” og 5 er ”I meget høj grad”.
Lærerne har modtaget en række ordforklaringer, der forklarer udvalgte ord fra fagligheden (fx hvad et ”digitalt artefakt” eller en ”algoritme” er).
Tabel 0.16: Vurderinger af elevernes kompetencer. Teknologiforståelse
integreret
i fysik/kemi
Indeks
7.-9. klasse
Spørgsmål til pædagogisk personale
-
-
-
-
Eleven kan gennem designprocesser skabe digitale artefakter, som understøtter elevens fysiske, kemiske og
teknologiske undersøgelser
Eleven kan konstruere og vurdere digitale modeller af den fysiske, kemiske og teknologiske omverden
Eleven kan vurdere digitale teknologier og handle med overblik med digitale teknologier i naturfaglige sammen-
hænge
Eleven kan argumentere for egne valg og fravalgs indflydelse i design processer
Note: Spørgsmålsformulering: ”I hvilken grad vurderer du, at den gennemsnitlige gruppe af elever i din klasse er i stand til
følgende på nuværende
tidspunkt?” Der måles på en skala fra 1-5, hvor 1 er ”Slet ikke”, 2 er ”I lav grad”, 3 er ”I nogen grad”, 4 er ”I høj grad” og 5 er ”I meget høj grad”.
Lærerne har modtaget en række ordforklaringer, der forklarer udvalgte ord fra fagligheden (fx hvad et ”digitalt artefakt” eller en ”algoritme” er).
Tabel 0.17: Vurderinger af elevernes kompetencer. Teknologiforståelse
integreret
i håndværk og design
18
BUU, Alm.del - 2020-21 - Bilag 277: Erfaringerne fra forsøg med teknologiforståelse i folkeskolen, fra børne- og undervisningsministeren
2454935_0019.png
Indeks
4.-6. klasse
Spørgsmål til pædagogisk personale
-
-
-
-
Eleven kan identificere et problemfelt og kan skelne mellem komplekse og ikke-komplekse problemfelter og
udføre relevante handlinger for at undersøge dette
Eleven kan anvende og reflektere over idegenereringsteknikker til eksternalisering af ideer, der er relevante for
problemstillingen
Eleven kan med digitale teknologier konstruere artefakter som udtryk ker en ide og kan reflektere over artefak-
tets anvendelse
Eleven kan argumentere for sammenhænge mellem rammesætning, idegenerering og konstruktion og kan for-
holde sig til egen designkompetence
Note: Spørgsmålsformulering:
”I hvilken grad vurderer du, at den gennemsnitlige gruppe af elever i din klasse er i stand til følgende på nuværende
tidspunkt?” Der måles på en skala fra 1-5, hvor 1 er ”Slet ikke”, 2 er ”I lav grad”, 3 er ”I nogen grad”, 4 er ”I høj grad” og 5 er ”I meget høj grad”.
Lærerne har modtaget en række ordforklaringer, der forklarer udvalgte ord fra fagligheden (fx hvad et ”digitalt artefakt” eller en ”algoritme” er).
Tabel 0.18: Vurderinger af elevernes kompetencer. Teknologiforståelse
integreret
i matematik
Indeks
1.-3. klasse
Spørgsmål til pædagogisk personale
-
-
-
-
4.-6. klasse
-
-
-
-
-
7.-9. klasse
-
-
-
-
-
-
Eleven kan deltage i at rammesætte problemstillinger fra konkrete situationer og ideudvikle på løsninger hen
imod konkrete produkter
Eleven kan beskrive den virkelighed, en model repræsenterer
Eleven kan følge og tilrette simple programmer
Eleven kan lave undersøgelser af brug af digitale artefakter i sin hverdag og konkludere på undersøgelserne
Eleven kan identificere et problemfelt og rammesætte en designproces med henblik på design af digitale arte-
fakter til gavn for individ og fællesskab
Eleven kan anvende digitale modeller i faglige sammenhænge og justere dem til nye behov
Eleven kan modificere, konstruere og fejlrette programmer
Eleven kan identificere situationer i hverdagen, der kan oversættes til data og beskrive enkle situationer og pro-
cedurer fra hverdagen som algoritmer, rækkefølger og forgreninger
Eleven kan observere og identificere brugeres oplevelser og brugsmønstre for digitale artefakter i konkrete situ-
ationer med henblik på redesign
Eleven kan designe digitale artefakter gen nem en iterativ designproces til gavn for individ, fællesskab og sam-
fund
Eleven kan konstruere og handle på digitale modeller af virkeligheden og vurdere modellens rækkevidde
Eleven kan modificere og konstruere programmer til løsning af en given opgave
Eleven kan genkende og anvende mønstre i strukturering af data og algoritmer med udgangspunkt i konkrete
problemstillinger
Eleven kan planlægge og gennemføre undersøgelser af brugeres perspektiver på og anvendelse af digitale arte-
fakter
Eleven kan vurdere forskellige computersystemers muligheder og begrænsninger
Note: Spørgsmålsformulering:
”I hvilken grad vurderer du, at den gennemsnitlige
gruppe af elever i din klasse er i stand til følgende på nuværende
tidspunkt?” Der måles på en skala fra 1-5, hvor 1 er ”Slet ikke”, 2 er ”I lav grad”, 3 er ”I nogen grad”, 4 er ”I høj grad” og 5 er ”I meget høj grad”.
Lærerne har modtaget en række ordforklaringer,
der forklarer udvalgte ord fra fagligheden (fx hvad et ”digitalt artefakt” eller en ”algoritme” er).
Tabel 0.19: Vurderinger af elevernes kompetencer. Teknologiforståelse
integreret
i natur/teknologi
Indeks
1.-3. klasse
4.-6. klasse
Spørgsmål til pædagogisk personale
-
-
-
-
-
Eleven kan deltage i designprocesser i et natur/teknologifagligt problemfelt
Eleven kan konstruere simple digitale artefakter, der udtrykker egne ideer i forhold til et natur/teknologifagligt
problemfelt
Eleven kan anvende data og algoritmer til at beskrive velkendte og afgrænsede forhold inden for naturfag og
teknologi
Eleven kan relatere digitale teknologier fra natur/ teknologi, til teknologier de møder i hverdagen
Eleven kan samtale med simpel argumentation om designvalg
Note: Spørgsmålsformulering: ”I hvilken grad vurderer du, at den gennemsnitlige gruppe af elever i din klasse er i stand til
følgende på nuværende
tidspunkt?” Der måles på en skala fra 1-5, hvor 1 er ”Slet ikke”, 2 er ”I lav grad”, 3 er ”I nogen grad”, 4 er ”I høj grad” og 5 er ”I meget høj grad”.
Lærerne har modtaget en række ordforklaringer, der forklarer udvalgte ord fra fagligheden (fx hvad et ”digitalt artefakt” eller en ”algoritme” er).
Tabel 0.20: Vurderinger af elevernes kompetencer. Teknologiforståelse
integreret
i samfundsfag
Indeks
Spørgsmål til pædagogisk personale
19
BUU, Alm.del - 2020-21 - Bilag 277: Erfaringerne fra forsøg med teknologiforståelse i folkeskolen, fra børne- og undervisningsministeren
2454935_0020.png
8.-9. klasse
-
-
-
-
-
-
Eleven kan diskutere og konsekvens vurdere aktørers brug af medier og digitale teknologier til at påvirke den
politiske dagsorden og beslutninger
Eleven kan vurdere digitale artefakter eller teknologier i forhold til samfundets udvikling
Eleven kan vurdere digitale artefakter eller teknologiers formål og intentionalitet i forhold til samfundets udvik-
ling
Eleven kan undersøge anvendelsen af digitale artefakter og teknologier ud fra et brugerperspektiv og i en sam-
fundsmæssig kontekst
Eleven kan diskutere og tage stilling til digitale artefakters eller teknologiers betydning for samfundets udvikling
Eleven kan udvikle konkrete forslag til redesign af digitale artefakter
Note: Spørgsmålsformulering: ”I hvilken grad vurderer du, at den gennemsnitlige gruppe af elever i din klasse er i stand til
følgende på nuværende
tidspunkt?” Der måles
på en skala fra 1-5,
hvor 1 er ”Slet ikke”, 2 er ”I lav grad”, 3 er ”I nogen grad”, 4 er ”I høj grad” og 5 er ”I meget høj grad”.
Lærerne har modtaget en række ordforklaringer, der forklarer udvalgte ord fra fagligheden (fx hvad et ”digitalt artefakt” eller en ”algoritme” er).
Der en række udfordringer, som skal fremhæves i forhold til at anvende det pædagogiske personales vur-
deringer af elevernes kompetencer i teknologiforståelse. For det første er der flere lærere, som i spørge-
skemaet giver udtryk for, at de har vanskeligt ved at vurdere elevernes kompetencer i teknologiforståelse.
En fjerdedel af det pædagogiske personale (24 pct.) angiver således, at det i lav grad eller slet ikke er nemt
at vurdere elevernes kompetencer. Halvdelen af det pædagogiske personale (51 pct.) svarer, at det i nogen
grad er nemt, mens den sidste fjerdedel angiver, at de i høj eller meget høj grad har nemt ved at vurdere
elevernes kompetencer.
For det andet har der i førmålingen været en opsætningsfejl i spørgeskemaet, som betyder, at det pæda-
gogiske personale kun har haft mulighed for at vælge ét fag, som de underviser i i teknologiforståelse. Der
er imidlertid flere lærere, som underviser i mere end et fag i teknologiforståelse integreret
i fag
(fx lærere,
der både underviser i dansk og billedkunst). Det betyder, at der har været færre lærere inden for de enkelte
fag, som har haft mulighed for at vurdere elevernes kompetencer i teknologiforståelse integreret
i fag.
Denne opsætningsfejl er dog blevet rettet forud for midtvejsmålingen. Analyserne af det pædagogiske per-
sonales vurdering af elevernes kompetencer skal dog helt generelt fortolkes med forsigtighed, da der sam-
menlagt er meget få lærere i forsøget, der på en given årgang underviser i de enkelte fag i teknologiforstå-
else
5
. Disse analyser er med andre ord baseret på meget få besvarelser.
Endelig har det kun været muligt at undersøge, om der er sket en udvikling i det pædagogiske personales
vurdering af elevernes kompetencer fra før- til midtvejsmåling i henholdsvis billedkunst og dansk i indsko-
lingen, ligesom det i dansk på mellemtrinnet og i samfundsfag i udskolingen kun har været muligt at un-
dersøge, om der er sket en udvikling i vurderingerne af elevernes kompetencer fra midtvejs- til slutmålin-
gen. Det skyldes, at spørgsmålene i spørgeskemaet til det pædagogiske personale afspejler Fælles Mål.
Fælles Mål i indskolingen for teknologiforståelse integreret i billedkunst og dansk fokuserer på, hvad ele-
verne skal blive i stand til efter 2. klassetrin, hvorfor det pædagogiske personale ikke er blevet bedt om at
vurdere indskolingselevernes kompetencer i skoleåret 2020/2021, hvor de relevante forsøgselever gik i 3
klasse. I 3. klasse er der andre mål for eleverne
og dermed andre spørgsmål til det pædagogiske perso-
nale
hvorfor det ikke er muligt at måle udviklingen på de samme spørgsmål. Fælles Mål på mellemtrinnet
for teknologiforståelse integreret i dansk går på tværs af indskoling og mellemtrin (henholdsvis Fælles Mål
i dansk for 3.-4. klasse og Fælles Mål i dansk for 5.-6. klasse). Det har derfor ikke været muligt at måle
udviklingen på de samme spørgsmål, hvorfor det pædagogiske personales vurdering af elevernes kompe-
tencer i dansk i 4. klasse (førmålingen) ikke indgår i analysen. Endelig har eleverne først samfundsfag i 8.
5
Der er fx kun otte skoler, der deltager i teknologiforståelse integreret i fag i indskolingen. Her er der fx typisk kun én lærer på en given skole, der underviser de relevante forsøgselever i na-
tur/teknologi, hvorfor der sammenlagt er meget få lærere, der kan vurdere elevernes kompetencer i teknologiforståelse integreret i natur/teknologi i indskolingen.
20
BUU, Alm.del - 2020-21 - Bilag 277: Erfaringerne fra forsøg med teknologiforståelse i folkeskolen, fra børne- og undervisningsministeren
2454935_0021.png
klasse, hvorfor det pædagogiske personale ikke er blevet bedt om at vurdere elevernes kompetencer i tek-
nologiforståelse integreret i samfundsfag i førmålingen, da de relevante forsøgselever gik i 7. klasse på
dette tidspunkt. Det har derfor kun været muligt at undersøge, om der er sket en udvikling i vurderingerne
af elevernes kompetencer i samfundsfag fra midtvejs- til slutmålingen.
Kombinerede kvalitative og kvantitative telefoninterviews blandt ressourcepersoner
Der er endelig gennemført kombinerede kvalitative og kvantitative telefoninterviews blandt ressourceper-
soner på de 46 forsøgsskoler i foråret 2019, 2020 og 2021, hvor ressourcepersonerne dels har besvaret en
række lukkede spørgsmål på en fempunkts Likert-skala (fra
”Slet ikke”
til
”I meget
høj grad”), dels har haft
mulighed for efterfølgende at uddybe deres svar kvalitativt.
Formålet med disse strukturerede telefoninterviews blandt ressourcepersoner er dels at undersøge skoler-
nes arbejde med at afprøve teknologiforståelse som fag og faglighed i praksis, dels at afdække variationer
i skolernes kapacitet, fidelitet, organisatoriske rammer og implementering. Der er gennemført følgende
kvantitative analyser af besvarelser fra ressourcepersonerne:
Deskriptive frekvensanalyser af besvarelser fra ressourcepersonerne i slutmålingen.
Analyser af, om der er signifikante forskelle i ressourcepersonenes besvarelser på tværs af de to
delforsøg.
Analyser af, om der er sket en signifikant udvikling i ressourcepersonenes besvarelser fra førmå-
lingen til slutmålingen.
Med undtagelse af de deskriptive frekvensanalyser er analyserne ovenfor gennemført via
t-test,
der under-
søger, om gennemsnittet mellem to grupper eller to målinger er signifikant forskellige fra hinanden. Disse
resultater beskrives som signifikante, når forskellen i gennemsnittet mellem to grupper eller to målinger er
signifikante ved minimum 5
pct. signifikansniveau (α ≤ 0,05).
De kvalitative svar er kodet og kondenseret struktureret med henblik på dels at identificere dominerende
tendenser og variationer, dels sikre at alle nuancer indgår i det samlede overblik.
Specialskoler
I forsøg med teknologiforståelse indgår der tre specialskoler, som er målrettet unge med særlige behov for
støtte og hjælp. Disse elever er ofte mere udfordrede personligt, socialt og/eller fagligt, ligesom der i mange
tilfælde vil være væsentligt flere lærere/pædagoger til stede i de enkelte klasser end på de deltagende
skoler på almenområdet. Der eksisterer med andre ord nogle karakteristika og forudsætninger i disse spe-
cialskoler, som betyder, at de ikke er tilstrækkeligt sammenlignelige med de øvrige deltagende forsøgssko-
ler. Besvarelser fra elever, ressourcepersoner og det pædagogiske personale på disse specialskoler indgår
derfor ikke i denne evaluering.
21
BUU, Alm.del - 2020-21 - Bilag 277: Erfaringerne fra forsøg med teknologiforståelse i folkeskolen, fra børne- og undervisningsministeren
2454935_0022.png
1.2
Kvalitativ dybdeundersøgelse
Den kvalitative dybdeundersøgelse består af årlige casebesøg på 16 forsøgsskoler samt dialogbaserede
erfaringsopsamlinger på tre faglige netværk. Indsamlingen og analyserne af det kvalitative datamateriale
beskrives nedenfor.
Casebesøg
I den samlede evaluering er der gennemført tre runder casebesøg på 16 skoler. Casebesøgene er gennem-
ført som heldagsbesøg i efteråret 2019, i efteråret 2020 og i foråret 2021
6
. Den kvalitative dybdeundersø-
gelse er blandt andet anvendt til at indsamle viden om skolernes erfaringer med at implementere teknolo-
giforståelse som fag og faglighed, herunder bl.a. drivkræfter og barrierer for implementeringen, hvordan
teknologiforståelse fungerer i de fag, der indgår i forsøget, og hvordan lærerne vurderer, at de gennemførte
undervisningsforløb matcher ambitionsniveauet i Fælles Mål for teknologiforståelse. Den kvalitative dyb-
deundersøgelse har også haft til formål at bidrage til den samlede vurdering af elevernes faglige, personlige
og sociale udvikling, herunder pædagogisk personales og elevers egne oplevelser af faget og fagligheden
samt egen læring.
De 16 skoler, som er udvalgt til casebesøg, er indgået i evalueringen som panelskoler. Det indebærer, at de
samme skoler er besøgt i efteråret 2019, efteråret 2020 og i foråret 2021. Hensigten med at danne et
kvalitativt panel af forsøgsskoler har været at følge udviklingen i disse skolers arbejde med forsøget på en
systematisk og dybdegående måde over tid. Caseskolerne er strategisk udvalgt på baggrund af følgende
parametre:
Delforsøg (delforsøg 1 og delforsøg 2)
Klassetrin (indskoling, mellemtrin, udskoling)
Selvangivet erfaring med at undervise i teknologiforståelse (ingen eller mindre grad af erfaring,
nogen eller høj grad af erfaring).
Derudover er der sikret en generel spredning i forhold til geografisk placering (region) og skolestørrelse
(antal elever). Det har blandt andet været væsentligt at sikre, at skolerne sorterer under forskellige kommu-
ner, idet kommunerne har forskellige dagsordener, som kan påvirke skolernes arbejde med forsøget. Sam-
tidig forventes skolestørrelsen potentielt at have påvirket skolernes afprøvning af forsøget som følge af
forskellige ressourcemæssige og organisatoriske rammer. Endelig er én specialskole udvalgt for også at
sikre inddragelse af indsigter om og erfaringer med afprøvningen af forsøget i denne skolekontekst. De
mange udvælgelseskriterier har bidraget til at sikre, at casebesøgene i højest mulig grad afspejler variatio-
nen i den samlede gruppe af forsøgsskoler. Det har dog også den ulempe, at antallet af skoler i de forskel-
lige ’puljer’ er mere begrænset. Der indgår konkret 10 skoler, som har afprøvet teknologiforståelse
integre-
ret i fag,
mens 6 af de udvalgte panelskoler har afprøvet teknologiforståelse
som selvstændigt fag,
og disse
skoler har ydermere afprøvet teknologiforståelse på forskellige klassetrin. Af nedenstående tabel fremgår
en oversigt over fordelingen af panelskoler på tværs af forsøgsmodeller og klassetrin.
Tabel 21: Udvælgelse af klasser til observationer
Case
Forsøgsindsats / fag
Klassetrin
6
I efteråret 2020 blev syv ud af 16 casebesøg gennemført virtuelt grundet COVID-19-restriktioner.
22
BUU, Alm.del - 2020-21 - Bilag 277: Erfaringerne fra forsøg med teknologiforståelse i folkeskolen, fra børne- og undervisningsministeren
2454935_0023.png
1
2
3
4
5
6
7
8
9
10
11
12
13
14
15
16
Som selvstændigt fag
Som selvstændigt fag
Integreret i fag
Integreret i fag
Som selvstændigt fag
Som selvstændigt fag
Integreret i fag
Integreret i fag
Integreret i fag
Integreret i fag
Som selvstændigt fag
Som selvstændigt fag
Integreret i fag
Integreret i fag
Integreret i fag
Integreret i fag
Indskoling
Indskoling
Indskoling
Indskoling
Mellemtrin
Mellemtrin
Mellemtrin
Mellemtrin
Mellemtrin
Mellemtrin
Udskoling
Udskoling
Udskoling
Udskoling
Udskoling
Udskoling
I 2019 og 2020 har casebesøgene bestået af heldagsbesøg, hvor der er gennemført interviews med skole-
ledelse, forvaltningsrepræsentanter, ressourcepersoner, pædagogisk personale og elever. Som led i case-
besøgene de første to år er undervisningen observeret og videofilmet. I den forbindelse er pædagogisk
personale blevet bedt om at sende en rammesætning af det forløb, som skulle observeres. Observationerne
har dels dannet afsæt for reflekterende interviews med elever og lærere, dels har de bidraget til at vurdere
elevernes udvikling i teknologiforståelse (kodningen af videoerne beskrives senere). Nedenfor fremgår ek-
sempel på et program for casebesøgene i 2019 og 2020.
Tabel 22: Eksempel på program for casebesøg i 2019 og 2020
Tidspunkt
08.30-09.30
09.30-11.00
11.00-12.00
12.00-12.30
12.30-13.00
13.30-15.00
15.00-16.00
Aktivitet
Interview med skoleleder og forvaltningsrepræsentant
Observation af undervisning i udvalgt fag
Reflekterende gruppeinterview med elever i udvalgt fag
Reflekterende interview med observeret lærer i udvalgt fag
Pause
Gruppeinterview med deltagende lærere på tværs af fag
Interview med ressourceperson
De reflekterende interviews med elever og lærere har haft til formål at drøfte elementer fra den undervis-
ning, der er observeret. I elevinterviewene er der fx spurgt til de produkter, eleverne har fremlagt, og hvordan
eleverne har udviklet produkterne, hvilke overvejelser de har gjort sig undervejs, og hvad der har været
svært, spændende og motiverende ved processen. Spørgsmålene har taget afsæt i observationerne, så
interviewene er blevet mere konkrete og håndgribelige for eleverne. Den samme strategi er anvendt i de
reflekterende interviews med den lærer, hvis undervisning der er observeret. Her har der dels været fokus
på at spørge om, hvordan lærerne har rammesat de enkelte forløb, og hvilke forventninger læreren har haft
til elevernes udbytte af undervisningen, dels er der spurgt om, hvilke refleksioner elevfremlæggelserne
igangsætter hos lærerne, hvad de særligt hæfter sig ved, og om undervisningsforløbet har bidraget til det
forventede læringsudbytte blandt eleverne.
23
BUU, Alm.del - 2020-21 - Bilag 277: Erfaringerne fra forsøg med teknologiforståelse i folkeskolen, fra børne- og undervisningsministeren
2454935_0024.png
Klasserne, som er observeret, er udvalgt, så observationerne samlet set omfatter begge forsøgsmodeller,
forskellige typer af fag og forskellige elevgrupper (indskoling, mellemtrin og udskoling). Der er observeret
undervisning i teknologiforståelse som selvstændigt fag og integreret i naturfag/teknologi, dansk, mate-
matik, håndværk og design samt samfundsfag. Den konkrete udvælgelse af fag er foretaget med henblik
på at sikre bredde og variation. Nedenfor fremgår fordelingen af klasser til observation på tværs af klasse-
trin, erfaring og forsøgsmodel.
Tabel 23: Udvælgelse af klasser til observationer
Case
1
2
3
4
5
6
7
8
9
10
11
12
13
14
15
16
Erfaring
Med tidligere erfaring
Uden tidligere erfaring
Med tidligere erfaring
Uden tidligere erfaring
Med tidligere erfaring
Uden tidligere erfaring
Med tidligere erfaring
Uden tidligere erfaring
Med tidligere erfaring
Uden tidligere erfaring
Med tidligere erfaring
Uden tidligere erfaring
Med tidligere erfaring
Uden tidligere erfaring
Med tidligere erfaring
Uden tidligere erfaring
Forsøgsindsats / fag
Som selvstændigt fag
Som selvstændigt fag
Integreret i natur/teknologi
Integreret i natur/teknologi
Som selvstændigt fag
Som selvstændigt fag
Integreret i dansk
Integreret i dansk
Integreret i håndværk og design
Integreret i håndværk og design
Som selvstændigt fag
Som selvstændigt fag
Integreret i matematik
Integreret i matematik
Integreret i samfundsfag
Integreret i samfundsfag
Klassetrin
Indskoling
Indskoling
Indskoling
Indskoling
Mellemtrin
Mellemtrin
Mellemtrin
Mellemtrin
Mellemtrin
Mellemtrin
Udskoling
Udskoling
Udskoling
Udskoling
Udskoling
Udskoling
Observationerne af undervisningslektionerne er så vidt muligt tilrettelagt, så de finder sted i den lektion,
hvor eleverne fremlægger produkter (outrofasen), som udvikles som led i det konkrete undervisningsforløb.
Dette har imidlertid ikke været muligt på alle skoler, hvilket dels skyldes uforudsete hændelser såsom syg-
dom eller COVID-19-restriktioner, dels tidspres, som har medført, at fremlæggelserne er blevet udskudt til
en senere lektion. Sammenlagt er der observeret elevfremlæggelser på 11 ud af 16 caseskoler i 2019; i
2020 er der observeret elevfremlæggelser på otte ud af 16 casebesøg. På de resterende skoler, hvor ele-
verne ikke har fremlagt i den observerede lektion, er undervisningen fortsat videofilmet med henblik på så
vidt muligt at få indblik i elevernes arbejdsprocesser og udbytte.
Videoerne fra undervisningslektionerne er efterfølgende blevet analyseret ved hjælp af et kodningsark
7
,
som er udviklet med sparring fra faglige eksperter ved Læremiddel.dk. Kodningsarket består af tre hoved-
dele, som sætter fokus på henholdsvis lærerens rammesætning af elevernes fremlæggelser, elevernes
fremlæggelser og lærerens feedback på elevernes fremlæggelser. Kodningsarket er desuden udarbejdet,
så indsigter fra reflekterende interviews med elever, reflekterende interviews med lærere, videooptagel-
serne og lærernes forudgående rammesætning sammenholdes. Formålet med dette har været at skabe et
7
Kodelisten kan rekvireres ved henvendelse til Rambøll Management Consulting.
24
BUU, Alm.del - 2020-21 - Bilag 277: Erfaringerne fra forsøg med teknologiforståelse i folkeskolen, fra børne- og undervisningsministeren
2454935_0025.png
helhedsindtryk af elevernes udbytte af undervisningen på baggrund af det kvalitative datamateriale. Erfa-
ringerne fra casebesøgene har været, at eleverne kun i mindre omfang gennemfører fremlæggelser, som
afspejler deres metakognitive processer. Fremlæggelserne har i højere grad indeholdt overvejelser om,
hvad
de har gjort frem for
hvorfor
og
hvordan.
For at sikre et så fyldestgørende billede af indholdet af og
erfaringerne med det konkrete undervisningsforløb og elevernes udbytte er alle datakilder omhandlende
det konkrete undervisningsforløb derfor kodet og analyseret samlet i kodningsarket.
I 2021 er indholdet af casebesøgene justeret med henblik på at sikre størst muligt vidensudbytte af case-
besøgene givet restriktionerne i forbindelse med COVID-19. COVID-19-restriktioner har medført, at omfan-
get af undervisningen i teknologiforståelse i efteråret 2020 og foråret 2021 er gennemført i begrænset
omfang, ligesom en større del af undervisningsforløbene er gennemført virtuelt. Derfor blev det vurderet
mere hensigtsmæssigt at gennemføre længerevarende interviews med elever og pædagogisk personale,
som ser tilbage på erfaringer på tværs af undervisningsforløb og udviklingen i blandt andet elevernes og
lærernes motivation og kompetencer, den ledelsesmæssige understøttelse og de organisatoriske rammer
inden for den samlede forsøgsperiode, frem for observationer, som kan bidrage til at vurdere udviklingen
fra efteråret 2020 til foråret 2021. Konkret har dette resulteret i, at casebesøgene i 2021 er tilrettelagt ud
fra nedenstående program.
Tabel 24: Eksempel på program for casebesøg i 2021
Tidspunkt
08.30-09.15
09.15-09.45
09.45-11.15
11.15-11.45
11.45-13.45
Aktivitet
Interview med skoleleder
Interview med forvaltningsrepræsentant
Workshopbaseret fokusgruppeinterview med elever, som er observeret tidligere år
Pause
Workshopbaseret fokusgruppeinterview med lærere og ressourceperson
Interviewene med elever og pædagogisk personale er gennemført workshopbaseret, hvilket indebærer, at
elever og pædagogisk personale har deltaget i en række aktiviteter som led i interviewet. Disse aktiviteter
har haft til formål at afdække 1) elevernes læring og motivation i undervisningen i teknologiforståelse, 2)
fordele og ulemper ved forskellige undervisningsforløb, herunder hvilke undervisningsforløb som i særlig
grad har fremmet elevernes læring og motivation, og hvilke der i mindre grad har gjort det, 3) lærernes
udvikling i kompetencer og motivation gennem forsøgsperioden og 4) perspektiver på, hvordan skolerne
fremadrettet ønsker at implementere teknologiforståelse.
De workshopbaserede interviews med elever har indebåret en brainstorming-øvelse, hvor eleverne har skul-
let nævne så meget som muligt fra undervisningen i teknologiforståelse, og en efterfølgende refleksions-
øvelse, hvor eleverne har vurderet, hvornår de har oplevet, at undervisningen har været god og mindre god.
Workshoppen er blevet
afsluttet med et ’Fremtidsværksted’, hvor eleverne har gjort sig forestillinger om
den fremtidige undervisning i teknologiforståelse. De workshopbaserede interviews med pædagogisk per-
sonale har indebåret en kategoriseringsøvelse, hvor det pædagogiske personale har grupperet gennem-
førte undervisningsforløb (prototyper) ud fra nogle bestemte kriterier og reflekteret over deres placering.
Derudover har det pædagogiske personale arbejdet med elevernes udvikling i forløbet og deres egen ud-
viklingsrejse i forsøgsperioden.
25
BUU, Alm.del - 2020-21 - Bilag 277: Erfaringerne fra forsøg med teknologiforståelse i folkeskolen, fra børne- og undervisningsministeren
2454935_0026.png
Casebesøgene har desuden haft til formål at afdække rammerne, organiseringen og den ledelsesmæssige
tilgang til arbejdet med teknologiforståelse på skolerne, herunder lederes og forvaltningers perspektiver på
arbejdet med teknologiforståelse. Nedenfor fremgår en samlet oversigt over antallet af interviews og ob-
servationer, der er gennemført i løbet af de tre år.
Tabel 25: Samlet antal dataindsamlingsaktiviteter
Dataindsamlingsaktivitet
Interviews med 1-2 skoleledere og 1
forvaltningsrepræsentant samlet
Interviews med 1-2 skoleledere
Interviews med 1 forvaltningsrepræ-
sentant
Interviews med 3-4 elever
Interviews med 5-6 lærere
Interviews med 1-2 ressourcepersoner
Observation af undervisning i én klasse
Antal aktiviteter
32
(16 interviews i henholdsvis 2019 og 2020)
16 interviews i 2021
16 interviews i 2021
48 interviews
48 interviews
32 (16 interviews i henholdsvis 2019 og 2020)
19 observationer af fremlæggelser
Referaterne fra casebesøgene i 2019, 2020 og 2021 er transskriberet og efterfølgende kodet systematisk
ud fra tematikkerne i de enkelte interviewguides. Der er således anvendt én type kodeark i 2019 og 2020
og et andet kodeark i 2021, da tematikkerne som følge af ændringen af interviewguides ændrede sig. Kon-
kret er der gennemført en struktureret kodning, som indebærer, at der forud for kodningen er udarbejdet
en startkodeliste
8
. Startkodelisten er udarbejdet med afsæt i evalueringsundersøgelsesspørgsmål og de
konkrete tematikker i fokus, men har samtidig efterladt plads til nye perspektiver, herunder uforudsete nu-
ancer og pointer. Herefter er citater fra interviewreferater kategoriseret under de enkelte koder. Citaterne
er samtidig grupperet efter, hvilke aktører der har udtalt sig, hvilke klassetrin skolerne har afprøvet forsøget
på, og hvilken forsøgsmodel de har afprøvet, således at det har været muligt at udlede centrale tendenser,
som går på tværs af undergrupper af fag, klasser og skoler. Den strukturerede kodning er mundet ud i en
efterfølgende kondensering af hovedpointer under de enkelte koder. I analysen og rapporten har hovedfo-
kus været på centrale tendenser, dvs. de erfaringer, som går igen på tværs af de besøgte skoler, og centrale
variationer i skolernes erfaringer og oplevelser, når disse adskiller sig væsentligt. Der er dog også medtaget
pointer i rapporten, som stammer fra et fåtal af skoler, hvis disse pointer bidrager med væsentlige nuancer.
I rapporten er det ekspliciteret, hvorvidt pointerne er fremhævet af hovedparten af informanterne, en større
eller mindre gruppe af informanter eller et fåtal af informanter. Af nedenstående tabel fremgår de centrale
temaer for de kvalitative interviews på skolerne.
Tabel 26: Temaer for de kvalitative interviews på caseskolerne
Dataindsamlingsaktivitet
Interviews med skoleledere og forvalt-
ningsrepræsentanter samlet (i 2019 og
2020)
Temaer
Skolens baggrund for at deltage i forsøget
Motivationen på skolen på givne tidspunkter
Samarbejde mellem skole og forvaltning i forsøget
8
Kodelisterne kan rekvireres ved henvendelse til Rambøll Management Consulting.
26
BUU, Alm.del - 2020-21 - Bilag 277: Erfaringerne fra forsøg med teknologiforståelse i folkeskolen, fra børne- og undervisningsministeren
2454935_0027.png
Interviews med skoleledere (i 2021)
Interviews med forvaltningsrepræsen-
tanter (i 2021)
Reflekterende interview med elever (i
2019 og 2020)
Interviews med elever, som er observe-
ret tidligere år (i 2021)
Reflekterende interview med observe-
ret lærer (i 2019 og 2020)
Interviews med lærere på skolen, som
har deltaget i forsøget med et eller
flere fag (i 2019 og 2020)
Drivkræfter og barrierer for arbejde med teknologiforståelse på
skolen
Organisatorisk forankring af forsøget på skolen
Oplevelse af forsøgets aktiviteter
Fremadrettede fokuspunkter
Prioritering af teknologiforståelse i løbet af forsøgsperioden
Skolelederens rolle i forsøget
Samarbejde med forvaltningen
Organisatoriske rammer på skolen
Personalets motivation og kompetencer
Betydningen af COVID-19
Overvejelser i forhold til fremtiden
Gode råd til fremtidigt arbejde med teknologiforståelse
Kommunernes politiske fokus og prioritering i løbet af forsøgsperi-
oden
Forvaltningens rolle i forsøget
Arbejdet med at forankre og udbrede erfaringer fra forsøget
Fremmende og hæmmende faktorer for arbejde med teknologifor-
ståelse
Fremtidige perspektiver på teknologiforståelse
Gode råd til fremtidigt arbejde med teknologiforståelse
Generel oplevelse af faget
Motivation i undervisningsforløbet
Arbejdsproces i undervisningsforløb og overvejelser omkring kon-
kret produkt
Udbytte og læring i forløbet
Udbytte og læring af forskellige forløb (herunder emner, arbejds-
metoder mv.)
Motivation og interesse i forskellige forløb (herunder emner, ar-
bejdsmetoder mv.)
Ønsker til rammer, roller og indhold af undervisningen i fremtiden
Rammesætning af det konkrete undervisningsforløb
Elevernes forudgående kompetencer og lærers ambitioner og mål
med undervisningsforløbet
Lærerens krav til elevernes proces, produkter, fremlæggelser
Vurdering af elevernes arbejde i proces
Vurdering af elevernes udbytte af konkret undervisningsforløb
Drivkræfter/barrierer i undervisningsforløbet
Vurdering af elevernes motivation i undervisningsforløbet
Oplevelse af integration af faglighed i undervisningen
Oplevelse af fagligheden og integrationen af teknologiforståelse i
fag
Tilrettelæggelse af undervisningen (herunder organisering på sko-
len, planlægning af undervisningen, omsætning af forløb i under-
visningen, omsætning af mål i undervisningen).
27
BUU, Alm.del - 2020-21 - Bilag 277: Erfaringerne fra forsøg med teknologiforståelse i folkeskolen, fra børne- og undervisningsministeren
2454935_0028.png
Interviews med lærere på skolen, som
har deltaget i forsøget med et eller
flere fag (2021)
Interviews med ressourcepersoner (i
2019 og 2020)
Elevernes udbytte af undervisningen og forskelle på tværs af elev-
grupper
Kompetencer til at undervise i teknologiforståelse
Motivation for at undervise i teknologiforståelse
Drivkræfter og barrierer for at styrke kvaliteten af undervisningen
Refleksion over forskellige undervisningsforløb, herunder hvornår
elevernes motivation og faglige udbytte har været særligt højt/min-
dre højt
Drivkræfter og barrierer for at styrke kvaliteten af undervisningen
Elevernes udbytte af undervisningen og forskelle på tværs af elev-
grupper
Kompetencer til at undervise i teknologiforståelse
Motivation for at undervise i teknologiforståelse
Rammer med betydning for undervisningen
Ressourcepersonens rolle, forudsætninger og ansvar
Organisering af afprøvningen på skolen
Arbejde med omsætning af fagligheden på skolen
Drivkræfter og barrierer i afprøvningen af forsøget
Oplevelse af forsøgets aktiviteter
Oplevelse af fagligheden
Motivation og kompetencer for at arbejde med teknologiforståelse
Dialogbaserede erfaringsopsamlinger
Som en del af forsøgets aktiviteter er der afholdt halvårlige faglige netværksmøder, hvor alle deltagende
skoler (lærere og ressourcepersoner) og fagudviklere er repræsenteret. De faglige netværksmøder afvikles
som heldagsmøder og har i august 2020 og januar 2021 været afholdt virtuelt. Som en integreret del af
netværksmøderne i januar 2020, august 2020 og januar 2021 har Rambøll faciliteret dialogbaserede erfa-
ringsopsamlinger med henblik på at indsamle skolernes erfaringer med at implementere teknologiforstå-
else som fag og faglighed i grundskolens praksis. Hensigten med denne dataindsamling har været at opnå
en større bredde i evalueringens kvalitative data, idet vi herigennem indsamler data fra alle deltagende
skoler i forsøgsprogrammet.
Den dialogbaserede erfaringsopsamling i
januar 2020
blev stilladseret ved hjælp af strukturerede samtale-
skabeloner, der var tilrettelagt dels med afsæt i evalueringens fokusområder (jf. tabel 1), dels med afsæt i
tentative analyser af data fra casebesøgene. For målrettet at supplere datagrundlaget fra den kvalitative
dybdeundersøgelse fokuseredes den dialogbaserede erfaringsopsamling på ressourcepersonernes og det
pædagogiske personales 1) erfaringer med de to forsøgsmodeller og 2) oplevelser af elevernes udbytte af
undervisningen. Dialogerne blev faciliteret ved hjælp af en række skabeloner, hvor ressourcepersoner og
pædagogisk personale noterede deres erfaringer med forsøgsmodellerne og oplevelser af elevernes ud-
bytte. Konkret modtog Rambøll 34 skabeloner med noter fra gruppedrøftelserne. Skabelonerne er efterføl-
gende kodet struktureret og analyseret af Rambøll med henblik på dels at kondensere indsigterne struktu-
reret, så dominerende tendenser står frem, dels sikre at alle nuancer indgår i det samlede overblik.
28
BUU, Alm.del - 2020-21 - Bilag 277: Erfaringerne fra forsøg med teknologiforståelse i folkeskolen, fra børne- og undervisningsministeren
2454935_0029.png
I
august 2020
blev den dialogbaserede erfaringsopsamling gennemført virtuelt. Erfaringsopsamlingen blev
således introduceret virtuelt af konsulenter fra Rambøll, inkl. en kort præsentation af centrale fund fra midt-
vejsevalueringen, hvorefter skolerne drøftede en række spørgsmål skolevist. Svarene på disse spørgsmål
blev noteret i online noteark, som blev delt mellem skolerne og Rambøll. Erfaringsopsamlingen fokuserede
på emnerne: 1) opfattelse af Fælles Mål, 2) rammer og organisering af undervisningen på skolerne og 3)
COVID-19-restriktioners betydning for undervisningen i teknologiforståelse. Dette skulle dels bidrage med
nuancering og validering af foreløbige indsigter fra midtvejsevalueringen, dels give indblik i den aktuelle
afprøvning på skolerne. Konkret modtog alle skoler spørgsmål om afprøvningen af forsøget under COVID-
19, mens den ene halvdel af skolerne modtog spørgsmål om omsætningen af Fælles Mål i undervisningen
og den anden halvdel af skolerne modtog spørgsmål om organiseringen på skolerne. Af de 23 skoler, som
modtog spørgsmål om organiseringen af samarbejdet på skolen, indsendte 17 skoler svar på spørgsmå-
lene. Af de 23 skoler, som modtog spørgsmål om omsætningen af Fælles Mål, indsendte 17 skoler svar på
spørgsmålene. Disse besvarelser er ligeledes kodet og analyseret struktureret i et oversigtsark med henblik
på at udlede centrale konklusioner og nuancer af skolernes svar på spørgsmålene.
I
januar 2021
blev den dialogbaserede erfaringsopsamling ligeledes gennemført virtuelt. Fokus var i den
forbindelse på emnerne: 1) fordele og ulemper ved de to forsøgsmodeller, 2) perspektiver på mulige mo-
deller for implementering af teknologiforståelse i folkeskolens obligatoriske undervisning og 3) gode råd til
andre skoler, som potentielt skal arbejde med teknologiforståelse. Erfaringsopsamlingen blev gennemført
ved hjælp af redskabet Mentimeter, hvor pædagogisk personale blev bedt om at svare på en række spørgs-
mål ved hjælp af deres mobiltelefon. På det faglige netværk deltog det pædagogiske personale og ressour-
cepersonerne fra forsøgsskolerne. Nedenfor fremgår en oversigt over antallet af besvarelser til de enkelte
emner.
Tabel 27: Besvarelser på fagligt netværk i januar 2021
Spørgsmål
Fordele/ulemper ved teknologiforstå-
else som fag
Fordele/ulemper ved teknologiforstå-
else integreret i fag
Hvordan kunne en kombinationsmodel
se ud og hvorfor
Gode råd til andre skoler
Besvarelser
91 besvarelser
78 besvarelser
60 besvarelser
135 besvarelser
Indsigterne fra ovenstående spørgsmål er ligesom for de foregående faglige netværk kodet og kondense-
ret med henblik på at udlede generelle tendenser, mens de enkelte besvarelser ligeledes er inddraget i
analysen for at sikre nuanceringer i indsigterne og tendenserne.
29