Sundheds- og Ældreudvalget 2019-20
SUU Alm.del
Offentligt
2220582_0001.png
Finansudvalget 2019-20
Aktstk. 233 endeligt svar på § 7 spørgsmål 5
Offentligt
Folketingets Finansudvalg
Christiansborg
24. juni 2020
Svar på Finansudvalgets spørgsmål nr. 5 (Aktstykke nr. 233) af
18. juni 2020
Spørgsmål
Vil ministeren oplyse stigningen i regionernes medicinudgifter fra 2020 til 2021
både tilskuds- og sygehusmedicin
efter regeringens skøn, jf. Regeringen & Dan-
ske Regioner ”Aftale om regionernes økonomi for 2021” af 29. maj 2020, og op-
lyse oplyse Danske Regioners skøn for stigningen i medicinudgifterne? I sit svar
bedes ministeren samtidig oplyse udgifterne til medicin i årene 2007-2020.
Svar
Det skal indledningsvis bemærkes, at regeringen og Danske Regioner med økono-
miaftalen aftaler én samlet ramme for regionernes udgifter til sundhedsområdet,
herunder til medicinudgifter. Der aftales derfor ikke en særskilt ramme for udvik-
lingen i udgifter på enkeltområder. Det er således regionernes opgave at prioritere
inden for den samlede regionale ramme til sundhedsområdet, hvis udgifterne på et
udgiftsområde stiger eller falder.
Med økonomiaftalen for 2021 løftes det regionale udgiftsniveau på sundhedsom-
rådet med godt 1,3 mia. kr. Endvidere er der med aftalen forudsat et regionalt tek-
nologibidrag på 400 mio. kr. i 2021, som regionerne frigør, og som prioriteres til
finansiering af øget behandlingskapacitet. Hertil kommer, at der er forudsat fri-
gjort 276 mio. kr. (21-pl) årligt frem mod 2025 gennem en bedre tilrettelæggelse af
patientbehandlingen til gavn for både patienterne og økonomi i de nye kvalitets-
fondsstøttede sygehusbyggerier. Halvdelen fastholdes i den enkelte region til øget
behandlingskapacitet. De resterende 138 mio. kr. i 2021 er med økonomiaftalen
for 2021 prioriteret til ny sygehusaktivitet. Gevinsterne ligger ud over det aftalte
teknologibidrag. Endelig fremgår det af aftalen, at regionerne kan reducere udgif-
terne til eksterne konsulenter med 100 mio. kr. årligt fra 2021. De frigjorte midler
anvendes til at styrke behandlingskapaciteten i sundhedsvæsenet.
Regeringen og Danske Regioner er enige om, at der med aftalen om regionernes
økonomi for 2021 sikres et løft til de medfølgende udgifter, når der som følge af
den demografiske udvikling kommer flere ældre patienter med et generelt øget be-
handlingsbehov i sundhedsvæsenet. Samtidig er der rum til at dække de stigende
medicinudgifter med udgangspunkt i statens skøn samt ansættelse af mere sund-
hedspersonale.
Finansministeriet · Christiansborg Slotsplads 1 · 1218 København K · T 33 92 33 33 · E [email protected] · www.fm.dk
1
SUU, Alm.del - 2019-20 - Endeligt svar på spørgsmål 862: MFU spm., om de samlede sundhedsudgifter for de foregående ti finansår, til sundheds- og ældreministeren
Side 2 af 3
Finansministeriet udarbejder ikke skøn over væksten i medicinudgifterne. Som en
del af forberedelserne til økonomiaftalen udarbejder Sundhedsdatastyrelsen og re-
gionernes indkøbsorganisations Amgros deres respektive skøn for væksten i medi-
cinudgifterne.
Sundhedsdatastyrelsen udarbejder både skøn over udgifterne for sygehusmedicin
og primærsektormedicin (medicintilskud). Amgros udarbejder et skøn for udgif-
terne for sygehusmedicin. Skønnet er baseret på udviklingen til og med marts
2020 samt kendskab til bl.a. patentudløb, nye lægemidler og indikationsudvidelser.
Det bemærkes, at skønnene er behæftet med betydelig usikkerhed, idet det er van-
skeligt at vurdere effekten af patentudløb, introduktionstidspunkt og priser for
nye lægemidler samt Medicinrådets vurderinger af ibrugtagen af ny medicin mv.
I forbindelse med økonomiaftalen for 2021 har Sundhedsdatastyrelsen skønnet, at
udgifterne til sygehusmedicin vil stige med ca. 250 mio. kr. fra 2020 til 2021, mens
Amgros skønner en stigning på ca. 400 mio. kr. Sundhedsdatastyrelsen skønner
endvidere, at udgifterne til medicintilskud vil stige med ca. 400 mio. kr. fra 2020 til
2021.
Det bemærkes, at Sundhedsdatastyrelsen i forbindelse med økonomiaftalerne lige-
ledes udarbejder et opdateret skøn for indeværende år. Det opdaterede skøn forud
for økonomiaftalen for 2021 viser, at medicinudgifterne er samlet set nå niveau i
2020 med skønnet i forbindelse med økonomiaftalen for 2020. Det opdaterede
skøn tilsiger, at medicinudgifterne i 2020 vil ligge på niveau med regionernes bud-
getter for medicin.
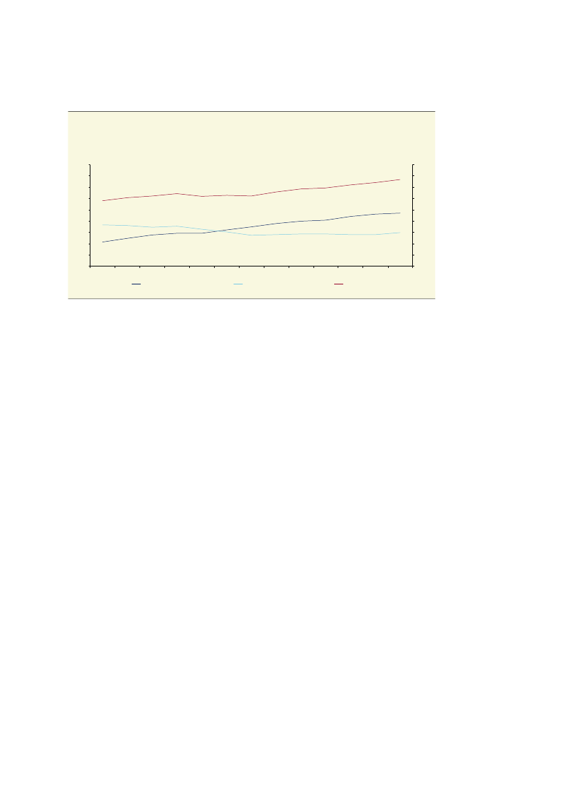
Siden 2007 er udgifterne til sygehusmedicin steget fra ca. 4,3 mia. kr. til ca. 9,4
mia. kr. i 2019, mens udgifter til tilskudsmedicin i samme periode er faldet fra ca.
7,3 mia. kr. til ca. 5,9 mia. kr.,
jf. figur 1.
Fra 2007 til 2013 var udgiftsstigningen til sygehusmedicin delvist modsvaret af et
fald i udgifterne til medicintilskuddet i den primære sundhedssektor. Faldet i ud-
gifterne til medicintilskuddet har siden 2014 ligget på et stabilt niveau.
Udviklingen siden fra 2013 til 2019 har indebåret at udgifterne i gennemsnit er
steget med knap 0,5 mia. kr. årligt.
2
SUU, Alm.del - 2019-20 - Endeligt svar på spørgsmål 862: MFU spm., om de samlede sundhedsudgifter for de foregående ti finansår, til sundheds- og ældreministeren
2220582_0003.png
Side 3 af 3
Figur 1
Regionale udgifter til medicin, 2007-2019, årets priser
Mia. kr.
18
16
14
12
10
8
6
4
2
0
07
08
09
10
11
12
13
14
15
16
17
Medicin i alt
18
19
Sygehusmedicin
Tilskudsmedicin
Mia. kr.
18
16
14
12
10
8
6
4
2
0
Anm.: I henhold til praksis pris- og lønreguleres medicinudgifterne ikke grundet tekniske årsager. Der er korrigeret
for, at en region ikke har indberettet udgifter til sygehusmedicin i 2007.
Kilde: Danmarks Statistik og egne beregninger.
Med venlig hilsen
Nicolai Wammen
Finansminister
3