Miljø- og Fødevareudvalget 2019-20
MOF Alm.del
Offentligt
2147346_0001.png
Regulativ for
Odense Å
Amtsvandløb nr. 01.00
Fyns Amt
Regulativ for Odense Å, marts 2004
MOF, Alm.del - 2019-20 - Endeligt svar på spørgsmål 397: Spm. om de gældende regulativer for Odense Å og Odense Fjord, til miljøministeren
2147346_0002.png
FORORD
Hedeselskabet har udarbejdet oplæg til det foreliggende
regulativ.
Hedeselskabet har foretaget opmåling af vandløbet i
1987-89 og foretaget hydrometriske undersøgelser til
fastlæggelse af vandløbets vandføringsevne. Hedeselska-
bet har i 1999-2000 opmålt vandløbet på strækningen st.
24.982 m - 53.991 m.
Regulativet er optaget til revision i 1999, jf. bestem-
melse i det hidtil gældende regulativ vedtaget af Tek-
nik- og Miljøudvalget den 20. december 1990. Revisionen
er sket på grundlag af dette regulativ og i henhold til
vandløbslovens bestemmelser.
Regulativ for Odense Å, marts 2004
MOF, Alm.del - 2019-20 - Endeligt svar på spørgsmål 397: Spm. om de gældende regulativer for Odense Å og Odense Fjord, til miljøministeren
2147346_0003.png
INDHOLDSFORTEGNELSE
1.
GRUNDLAGET FOR REGULATIVET............................... 1
1.1.
Lovgrundlag............................................. 1
1.2.
Klassifikation.......................................... 1
1.3.
Tidligere regulativer, landvæsensretskendelser m.m...... 1
1.4.
EF-habitatdirektiv...................................... 4
1.5.
Recipientkvalitetsplanlægning........................... 4
2.
BETEGNELSE AF VANDLØBET.................................. 5
3.
VANDLØBETS AFMÆRKNING, SKIKKELSE OG VANDFØRINGSEVNE...... 6
3.1.
Afmærkning og stationering.............................. 6
3.1.1. GI-fikspunkter ........................................ 6
3.2.
Skikkelse og vandføringsevne........................... 10
4.
BYGVÆRKER............................................... 11
4.1.
Broer og overkørsler................................... 11
4.3.
Stemmeværker og flodemål............................... 14
4.4.
Øvrige bygværker....................................... 15
4.5.
Placering af synlige drænudløb......................... 16
5.
ADMINISTRATIVE BESTEMMELSER............................. 17
6.
VEDLIGEHOLDELSESBESTEMMELSER............................ 18
6.1.
Generelle bestemmelser................................. 18
6.1.1. Grødeskæring ......................................... 18
6.1.2. Oprensning ........................................... 19
6.1.3. Bortskaffelse af grøde og oprenset materiale ......... 21
6.1.4. Andre forhold ........................................ 22
6.2.
Særlige bestemmelser................................... 23
6.2.1. Strækningen St. 0 - 2.467 ............................ 23
6.2.2. Strækningen St. 2.467 - 9.435 ........................ 23
6.2.3. Strækningen St. 9.435 - 16.207 ....................... 25
6.2.4. Strækningen St. 16.207 - 52.829 ...................... 25
6.2.5. Strækningen St. 52.829 - 53.758 ...................... 83
7.
BESTEMMELSER OM SEJLADS................................. 84
8.
BREDEJERFORHOLD......................................... 85
9.
TILSYN.................................................. 87
10.
REVISION................................................ 87
11.
REGULATIVETS IKRAFTTRÆDEN............................... 87
Regulativ for Odense Å, marts 2004
MOF, Alm.del - 2019-20 - Endeligt svar på spørgsmål 397: Spm. om de gældende regulativer for Odense Å og Odense Fjord, til miljøministeren
2147346_0004.png
BILAGSFORTEGNELSE
1.0.
1.1.
1.2.
1.3.
1.4.
1.5.
1.6.
1.7.
1.8.
1.9.
1.10.
1.11.
1.12.
1.13.
1.14.
2.0.1.
2.0.2.
2.1.
2.2.
2.3.
2.4.
2.5.
2.6.
2.7.
2.8.
2.9.
2.10.
2.11.
2.12.
2.13.
2.14.
2.15.
2.16.
2.17.
2.18.
2.19.
2.20.
2.21.
2.22.
2.23.
2.24.
2.25.
2.26.
2.27.
2.28.
2.29.
3.0.
3.1.
3.2.
4.0
5.0
6.0
7.0
Ordforklaring
Oversigtskort/matrikelkort
Oversigtskort/matrikelkort
Oversigtskort/matrikelkort
Oversigtskort/matrikelkort
Oversigtskort/matrikelkort
Oversigtskort/matrikelkort
Oversigtskort/matrikelkort
Oversigtskort/matrikelkort
Oversigtskort/matrikelkort
Oversigtskort/matrikelkort
Oversigtskort/matrikelkort
Oversigtskort/matrikelkort
Oversigtskort/matrikelkort
Oversigtskort/matrikelkort
Længdeprofil
Længdeprofil
Længdeprofil
Længdeprofil
Længdeprofil
Længdeprofil
Længdeprofil
Længdeprofil
Længdeprofil
Længdeprofil
Længdeprofil
Længdeprofil
Længdeprofil
Længdeprofil
Længdeprofil
Længdeprofil
Længdeprofil
Længdeprofil
Længdeprofil
Længdeprofil
Længdeprofil
Længdeprofil
Længdeprofil
Længdeprofil
Længdeprofil
Længdeprofil
Længdeprofil
Længdeprofil
Længdeprofil
Længdeprofil
Længdeprofil
1:100,
1:100,
1:50,
1:50,
1:50,
1:50,
1:50,
1:50,
1:50,
1:50,
1:50,
1:50,
1:50,
1:50,
1:50,
1:50,
1:50,
1:50,
1:50,
1:50,
1:50,
1:50,
1:50,
1:50,
1:50,
1:50,
1:50,
1:50,
1:50,
1:50,
1:50,
1:10.000
1: 2.000
1: 2.000
1: 2.000
1: 2.000
1: 2.000
1: 2.000
1: 4.000
1:10.000
1:10.000
1:10.000
1:10.000
1:10.000
1:10.000
St.
St.
St.
St.
St.
St.
St.
St.
St.
St.
St.
St.
St.
St.
0
7500
8900
10200
11500
12800
14200
15700
17800
24600
31600
38800
47200
42300
-
-
-
-
-
-
-
-
-
-
-
-
7500
8900
10200
11500
12800
14200
15700
17800
24600
31600
38800
47200
54000
46000
1:25.000
1:25.000
1:2.000,
1:2.000,
1:2.000,
1:2.000,
1:2.000,
1:2.000,
1:2.000,
1:2.000,
1:2.000,
1:2.000,
1:2.000,
1:2.000,
1:2.000,
1:2.000,
1:2.000,
1:2.000,
1:2.000,
1:2.000,
1:2.000,
1:2.000,
1:2.000,
1:2.000,
1:2.000,
1:2.000,
1:2.000,
1:2.000,
1:2.000,
1:2.000,
1:2.000,
St.
0-26000
St.26000-54000
St.
0- 2000
St. 2000- 4000
St. 4000- 6000
St. 6000- 8000
St. 8000-10000
St.10000-12000
St.12000-14000
St.14000-16000
St.16000-18000
St.18000-20000
St.20000-22000
St.22000-24000
St.24000-26000
St.26000-28000
St.28000-30000
St.30000-32000
St.32000-34000
St.34000-36000
St.36000-38000
St.38000-40000
St.40000-42000
St.42000-44000
St.44000-46000
St.46000-48000
St.48000-50000
St.50000-52000
St.52000-54000
St.42000-44000
St.44000-46000
Oplandskort, oversigt, 1:100.000
Oplandskort, nordlig del, 1:25.000
Oplandskort, sydlige del, 1:25.000
Generel beskrivelse af Odense Å
Tilløb, vandstandsskalaer, opland m.v.
Beplantning langs vandløbet
Redegørelse for regulativets grundlag og konsekvenser
Regulativ for Odense Å, marts 2004
MOF, Alm.del - 2019-20 - Endeligt svar på spørgsmål 397: Spm. om de gældende regulativer for Odense Å og Odense Fjord, til miljøministeren
2147346_0005.png
- 1 -
1.
1.1.
GRUNDLAGET FOR REGULATIVET
Lovgrundlag
Regulativet for Odense Å er udarbejdet i henhold til
kapitel 5 i lov om vandløb jf. Miljøministeriets lov-
bekendtgørelse nr. 404 af 19. maj 1992 med senere æn-
dringer bekendtgjort i lov nr. 402 af 14. juni 1995 og
lov nr. 301 af 24. april 1996 samt kapitel 4 i Miljø-
ministeriets bekendtgørelse nr. 49 af 15. februar
1985.
1.2.
Klassifikation
Vandløbet er optaget som amtsvandløb i Fyns Amt.
1.3.
Tidligere regulativer, landvæsensretskendelser m.m.
Regulativ for Odense Å i Svendborg Amt vedtaget af
Svendborg Amtsråd den 12. november 1857.
Tillæg til regulativ for Odense Å i Svendborg Amt ved-
taget af Svendborg Amtsråd den 23. marts 1864.
Regulativ for Odense Å på grænsen af og i Odense Amt
stadfæstet af Fyns Stiftamt den 30. april 1886.
Landvæsenskommissionskendelse af 7. maj 1913 vedrøren-
de omlægning af en åstrækning ved Dalum Papirfabrik.
Landvæsenskommissionskendelse af 26. januar 1924 vedr.
en sænkning af vandstanden i Arreskov Sø.
Skrivelse af 5. august 1924 fra Hedeselskabet vedr.
anbringelse af flodemål ved Arreskov Mølle.
Naturfredningsnævnets kendelse af 11. februar 1925 om
fredning af Odense Å med tilgrænsende arealer mellem
Dalum Papirfabrik og jernbanebroen ved Ejby Mølle.
Landvæsenskommissionskendelse af 12. november 1926 om
fastsættelse af flodemål ved Brobyværk Mølle.
Tilladelse af 29. august 1932 til motorbådssejlads på
Odense Å mellem slusen ved Ny Vestergade og Sorgen-
fribroen i Fruens Bøge.
Odense amtsråds tiltrædelse den 29. august 1939 vedr.
optagelse af Odense Å´s udløb i Seden Strand som amts-
vandløb.
Regulativ for Odense Å, marts 2004
MOF, Alm.del - 2019-20 - Endeligt svar på spørgsmål 397: Spm. om de gældende regulativer for Odense Å og Odense Fjord, til miljøministeren
2147346_0006.png
- 2 -
Landvæsenskommissionskendelse af 25. november 1946 om
forskellige sager vedrørende Odense Å fra Dalum Papir-
fabrik til udløbet i Seden Strand.
Landvæsenskommissionskendelse af 18. maj 1942 om regu-
lering af Odense Å m.v. ved Dalum Papirfabrik.
Skrivelse af 8. juli 1942 om flodemålsmærke i lande-
vejsbroen ved Dalum.
Tillæg til regulativet stadfæstet af Odense og Assens
amtsråd den 17. og 18. juni 1953 vedrørende søer og
mølledamme.
Regulativ godkendt af Fyns Stiftamt den 21. november
1953 for strækningen fra Ulvebæk´s tilløb til udløbet
i Seden Strand.
Regulativ godkendt af Svendborg amtsråd den 9. juli
1954 for strækningen fra Arreskov Vandmølle til Broby-
værk Vandmølle.
Fyns Stiftamts tilladelse af 24. august 1957 til mo-
torbådssejlads på Odense Å mellem Ny Vestergade og
Fruens Bøge.
Landvæsenskommissionskendelse af 2. maj 1961 vedr. ud-
ledning af kølevand fra Fynsværket til Odense gamle
kanal.
Deklaration af 8. januar 1962 om fredning af træbe-
voksning langs Odense Å ud for matr. Nr. 32 Åsum By,
Åsum.
Afvandingskommissionskendelse af 15. juni 1963 om åens
uddybning og regulering fra ca. 2 km nedstrøms Broby-
værk til Borreby.
Tillæg til regulativerne for amtsvandløbene i Svend-
borg og Odense amter af august og oktober 1963.
Odense kommunes brev af 23. september 1965 om samle-
kloakkens passage under Odense Å ved Fruens Bøge.
Fredningsnævnets kendelse af 19. november 1965 om
fredning af Odense Å og tilstødende arealer mellem
Sønder Broby og Allerup.
Landvæsensnævnsforlig af 25. januar 1966 om reduktion
af opstemningshøjden til kote 32,80 m ved Arreskov
Mølle.
Regulativ for Odense Å, marts 2004
MOF, Alm.del - 2019-20 - Endeligt svar på spørgsmål 397: Spm. om de gældende regulativer for Odense Å og Odense Fjord, til miljøministeren
2147346_0007.png
- 3 -
Landvæsenskommissionskendelse af 9. februar 1966 vedr.
udledning af kølevand til Odense gamle kanal.
Amtsvandinspektørens godkendelse af 8. maj 1967 vedr.
Dalum Papirfabriks kloakledninger under Odense Å i St.
ca. 17.000 m og 17.140 m.
Amtsrådets vejudvalgs godkendelse den 22. april 1968
af overenskomst om passagersejlads på Odense Å mellem
Ny Vestergade og Sorgenfri i Fruens Bøge.
Landvæsenskommissionskendelse af 12. januar 1976 vedr.
fisketrappe ved Ejby frisluse.
Landvæsenskommissionskendelse af 1. august 1978 vedr.
fisketrappe ved Dalum Papirfabriks sluse.
Overenskomst af 19. januar 1981 om motorbådssejlads på
Odense Å mellem Ny Vestergade og Sorgenfribroen.
Landvæsenskommissionens godkendelse af 20. maj 1983 af
overenskomst om træplantning langs Odense Å på matr.
Nr. 19a Fangel By, Fangel.
Landvæsenskommissionskendelse af 15. juli 1987 vedr.
etablering af fiskepassager ved stemmeværket ved Ny
Vestergade.
Fyns Amtsråds godkendelse af 28. september 1987 vedr.
ombygning af slusebroen og etablering af fiskepassage
ved Ny Vestergade.
Fyns Amtskommunes tilladelse af 16. marts 1988 til
sejlads med vandcykler på Odense Å mellem Brobyværk
Kro og Brobygårds Allé.
Regulativ vedtaget af Fyns Amtsråd den 20. december
1990.
Fyns Amtsråds tilladelse af 21. december 1993 til
etablering af et fri fiske- og faunapassabelt sten-
stryg ved stemmeværket ved Stora Papyrus, Dalum.
Fyns Amtsråds tilladelse af 5. juli 1999 til etable-
ring af fri fiske- og faunapassage i Odense Å ved
stemmeværket i Brobyværk, samt til ændring af flode-
målsbestemmelserne ved samme stemmeværk.
Fyns Amtsråds tilladelse af 5. december 2002 til etab-
lering af vådområdeprojekt langs Odense Å ved Tørringe
Bæk.
Regulativ for Odense Å, marts 2004
MOF, Alm.del - 2019-20 - Endeligt svar på spørgsmål 397: Spm. om de gældende regulativer for Odense Å og Odense Fjord, til miljøministeren
2147346_0008.png
- 4 -
Miljøministeriets udpegning af habitatområderne nr. 94
Odense Fjord og Nr. 98 Odense Å med Hågerup Å, Sallin-
ge Å og Lindved Å i 1998 og Europakommissionens efter-
følgende godkendelse.
I øvrigt henvises til Fyns Amts register over vand-
løbsretslige afgørelser, tilladelser m.v. vedr. om-
handlende vandløb.
1.4.
EF-habitatdirektiv
Direktivet giver medlemslandene en forpligtelse til at
beskytte vilde arter og deres levesteder inden for
grupperne planter, pattedyr, krybdyr, padder, fisk og
hvirvelløse dyr samt at bevare truede naturtyper.
Odense Å er i dag udpeget som EF-habitatområde fra be-
gyndelsen ved Arreskov sø og til Åsumbroen nedstrøms
Odense by og igen på strækningen fra Kertemindevejen
og til Odense Fjord.
Administrationsgrundlaget fremgår af Bekendtgørelse om
afgrænsning og administration af internationale natur-
beskyttelsesområder(EF-fuglebeskyttelsesområder, EF-
habitatområder og Ramsarområder),bekendtgørelse nr.
477 af 07/06/2003.
I øvrigt henvises til appendiks 1 og 2 i bilag 7.
1.5.
Recipientkvalitetsplanlægning
Recipientkvaliteten af Odense Å er målsat i recipient-
kvalitetsplanen, der er en del af Fyns Amts region-
plan. Regionplan 2001 - 2013 er vedtaget af Fyns Amts-
råd den 2. juli 2001.
Recipientmålsætningerne for Odense Å fremgår af afsnit
6.1.1. i øvrigt henvises til redegørelsen for regula-
tivets grundlag og konsekvenser i bilag 7.
Regulativ for Odense Å, marts 2004
MOF, Alm.del - 2019-20 - Endeligt svar på spørgsmål 397: Spm. om de gældende regulativer for Odense Å og Odense Fjord, til miljøministeren
2147346_0009.png
- 5 -
2.
BETEGNELSE AF VANDLØBET
Nærværende regulativ omfatter strækningen af Odense Å
fra Arreskov Vandmølles bagsluse ca. 450 m ØSØ for Ar-
reskov Slot til udløbet i Seden Strand ca. 500 m ØNØ
for Stige Kirke.
Vandløbet indgår i Odense Å vandløbssystem.
Vandløbet begynder ved udløbet af Arreskov Vandmølles
bagsluse ved matr. nr. 1b Arreskov Hovedgård, Øster
Hæsinge og forløber ca. 18 km mod nord og nordvest til
Nørre Broby og herfra ca. 36 km i overvejende nordøst-
lig retning til udløbet i Seden Strand ved nordspidsen
af matr. nr. 1a, Seden By, Seden.
Regulativet omfatter i alt 53.991 m i Fåborg, Ringe,
Broby, Tommerup og Odense Kommuner.
Vandløbet er åbent, bortset fra broer og overkørsler.
Vandløbets endepunkter har følgende UTM-koordinater og
bundkoter:
Øverste ende:
UTM 32 E 584.300 m N 6.113.990 m
Kote 30,2 m
UTM 32 E 590.230 m N.6.144.725 m
Kote -0,83 m
Nederste ende:
Med hensyn til vandløbets nærmere beliggenhed henvises
til vedlagte oversigtskort, Bilag 1.1 - 1.13 samt op-
landskort, Bilag 3.0 - 3.2, hvoraf vandløbets
UTM-koordinater og nedbørsområde fremgår.
Beliggenheden af den genslyngende strækning, regulativ
station 42.287 – 45.940, fremgår af vedlagte over-
sigtskort, Bilag 1.14.
Regulativ for Odense Å, marts 2004
MOF, Alm.del - 2019-20 - Endeligt svar på spørgsmål 397: Spm. om de gældende regulativer for Odense Å og Odense Fjord, til miljøministeren
2147346_0010.png
- 6 -
3.
3.1.
VANDLØBETS AFMÆRKNING, SKIKKELSE OG VANDFØRINGSEVNE
Afmærkning og stationering
Vandløbet er stationeret fra den nederste ende ved ud-
løbet i Seden Strand til den øverste ende ved Arreskov
Vandmølles bagsluse.
Stationeringen svarer til afstanden i meter fra neder-
ste ende.
I 2003 er der gennemført et vådområdeprojekt langs
Odense Å fra et punkt ca. 435 m nedstrøms for tilløbet
af Sandholt Møllebæk og videre nedstrøms til tilløbet
af Tørringe Bæk, st. 42.287 – 45.940. Odense Å er på
denne strækning blevet genslynget, hvilket har forlæn-
get vandløbet med ca. 1172 m. I regulativet er statio-
neringen opstrøms og nedstrøms for den genslyngede
strækning bibeholdt.
Langs vandløbet er som afmærkning anbragt 133 skalapæ-
le.
Skalapælene er overvejende placeret langs vandløbets
venstre side set i strømretningen.
Skalapælenes stationering og 0-punktskoter fremgår af
den tabellariske oversigt over tilløb, vandstandsska-
laer, opland m.v., Bilag 5.
Skalapælenes placering er desuden vist på oversigts-
kortene, Bilag 1.1. - 1.14.
3.1.1.
GI-fikspunkter
De i regulativet med tilhørende bilag anvendte koter
er tilknyttet Dansk Normal Nul ved følgende GI-fiks-
punkter:
36-03-9071 - kote 2,46 m
- Bolt i S gavl af hus på
matr. nr. 32 Bågø Strand,
Østre Kanalvej 6.
- Bolt i S vange på bro for
Kertemindevej over Odense
Å.
- Bolt i SV hjørne af bro
for Åsumvej over Odense Å.
33-06-9137 - kote 3,17 m
K-38-9488
- kote 3,24 m
Regulativ for Odense Å, marts 2004
MOF, Alm.del - 2019-20 - Endeligt svar på spørgsmål 397: Spm. om de gældende regulativer for Odense Å og Odense Fjord, til miljøministeren
2147346_0011.png
- 7 -
K-38-9747
- kote 6,71 m
- Bolt N-ende af brovange i
Ø-side af bro for Ejbygade
over Odense Å.
- Plade i NØ fløjmur ved bro
over Odense Å mellem matr.
nr. 27a Skt. Jørgensmark
og 7b Ejby (Ejby Mølle
Kloakværk).
- Bolt i NV-ende af mur
langs trappe til sti ved
Odense Å i Ø-side af Pal-
natokesvej.
33-06-9111 - kote 4,48 m
K-38-9728
- kote 9,33 m
K-38-9715 -
kote
9,07 m - Bolt NØ støttemur til bro
for Albanigade over Odense
Å.
6,55 m - Plade i vestside af bro
for Klaregade over Odense
Å.
K-38-9422 -
kote
K-38-9189 -
kote 12,28 m - Bolt i sydlige facade af
hjørneejendom på matr. nr.
30ci,Vestermarken, Ansgar.
kote
9,26 m - Plade i NV frontmur på bro
for Skovalleen over Odense
Å.
K-38-9380 -
33-04-9060 - kote 12,08 m - Bolt i SV-side af bro for
Dalumvej over Odense Å.
33-04-9106 - kote 20,35 m - Bolt i NØ-side af SV bro-
søjle forDyrup sti over
motorvejen, km 162,5.
33-11-9017 - kote 28,09 m - Bolt i NØ facade af Skt.
Klemens Fjernvarmecentral,
Møllevej 22, matr. nr.
2cl, Stenløse.
33-01-9032 - kote 22,86 m - Bolt i Ø facade af servi-
cestation, Brogårdsvej 35
matr. Nr. 5bf og 5bg Bel-
linge.
33-01-9012 - kote 15,81 m - Bolt i vestside af Borre-
by Mølles udbygninger.
Regulativ for Odense Å, marts 2004
MOF, Alm.del - 2019-20 - Endeligt svar på spørgsmål 397: Spm. om de gældende regulativer for Odense Å og Odense Fjord, til miljøministeren
2147346_0012.png
- 8 -
33-05-9011 - kote 28,03 m - Bolt i N gavl af stuehus
til “Skovlygård”, matr.
nr. 17b, Fangel.
33-15-9037 - kote 19,01 m - Plade i NØ vange af bro
for Lundegårdsvej over
Odense Å.
44-18-9016 - kote 26,52 m - Bolt i S-side af skibet
til Nr. Broby Kirke.
44-21-9028 - kote 24,67 m - Bolt i nordside af bro for
Landevej 715 over Odense Å
i Sønder Broby.
44-12-815 - kote 26,70 m
- Universalkalot i skeldige
ca. 30 m syd for Landevej
602, Assensvej, ca. 1.700
m V for Gelskov og ca. 150
m ØSØ for skovfogedbolig.
- Universalkalot i skeldige
4,7 m NV for Hovedlandevej
213 og ca. 230 m SV for
Hillerslev Bro over Odense
Å.
44-19-807 - kote 34,59 m
44-28-9015 - kote 35,90 m - Bolt på SV-side af bro
for Arreskovvej over Oden-
se Å.
Disse fikspunkter er angivet på oversigtskortene, Bilag
1.1 - 1.13.
3.1.2.
Andre fikspunkter
Endvidere er der indnivelleret følgende faste punkter
langs vandløbet ved opmålingen i 1987-89, og nye fiks-
punkter i form af indstøbte stålbolte i følgende broer
og punkter i 2000:
Regulativ for Odense Å, marts 2004
MOF, Alm.del - 2019-20 - Endeligt svar på spørgsmål 397: Spm. om de gældende regulativer for Odense Å og Odense Fjord, til miljøministeren
2147346_0013.png
- 9 -
Station
[m]
Lokalitet
Placering
Bolt nr.
Kote
[m DNN]
2393
2493
2816
3983
4095
5582
7172
8256
8417
9445
9993
11016
11874
11883
12682
13368
15227
16202
16320
16882
17359
17803
19597
20145
22160
25420
25851
27788
28601
32837
36023
37719
39809
40268
43280
45900
47883
50102
50103
Frontmur over 50 cm
rørudløb fra højre
Bro, Kertemindevej
Frontmur over 80 cm
rørudløb fra højre
Frontmur over 50 cm
Rørudløb fra højre
Frontmur over 35 cm
Rørudløb fra venstre
Bro, Åsumvej
Frontmur over 40 cm
Rørudløb fra venstre
Frontmur over 40 cm
Rørudløb fra venstre
Bro, Ejbygade
NV-hjørne af bro for
Ejby Møllevej
Bro, Palnatokesvej
Bro, Albanigade
Bro, Allegade
Øverste flodemålsmærke
i SV-fløjmur ved sluse-
broen ved Ny Vestergade
Frontmur over 70 cm
rørudløb fra venstre
Bro, Tietgens Allé
Bro, Skovalleen
Jernbanebro
Bygning
Bro, Dalumvej
SV-hjørne af bro for
sti over Odense Å
Bro, Motorvej
Gang- og cykelbro
Overkant 60 cm rør-
udløb fra venstre
Bro, Brogårdsvej
Overkant 25 cm rør-
udløb fra venstre
Bro, Borrebyvej
Egepæl, venstre side
Frontmur over 60 cm
rørudløb fra højre
Bro, Lundegårdsvej
Bro, Vester Ågade
Egepæl, venstre side
Frontmur over 40 cm
rørudløb fra venstre
Bro, Marsk-Billesvej
Egepæl, venstre side
Transformator
Bro, Hovedlandevej 213
Egepæl, højre side
Top af cementpæl ved
NV-hjørne af gangbro
NØ-hjørne
102
0.70
3.00
1.49
1.00
1.17
3.52
2.12
1.86
5.95
5.98
6.74
7.44
7.43
NØ-hjørne
103
SØ-hjørne
104
NØ-hjørne
SØ-hjørne
SØ-hjørne
105
106
107
6.67
6.88
10.82
8.02
10.74
11.40
12.08
12.65
20.75
11.01
10.53
14.83
12.91
14.54
15.06
14.29
19.00
20.84
20.39
20.71
24.78
25.33
26.84
30.19
29.54
29.13
NØ-hjørne
SV-hjørne
NV-hjørne
NV-hjørne
NV-hjørne
108
109
110
111
112
NV-hjørne
SØ-hjørne
113
114
NV-hjørne
115
SØ-hjørne
Ved skalapæl 74
116
117
NØ-hjørne
SØ-hjørne
Ved skalapæl 96
118
119
120
NV-hjørne
Ved skalapæl 109
SØ-hjørne
NV-hjørne
Ved gangbro
121
122
123
124
125
Regulativ for Odense Å, marts 2004
MOF, Alm.del - 2019-20 - Endeligt svar på spørgsmål 397: Spm. om de gældende regulativer for Odense Å og Odense Fjord, til miljøministeren
2147346_0014.png
- 10 -
Station
[m]
Lokalitet
Placering
Bolt nr.
Kote
[m DNN]
52840
52884
Top af cementpæl i
højre side, ca. 11 m
opstrøms Silke Å´s
udløb.
Gl. stemmeværk
S-frontmur
126
30.71
30.90
3.2.
Skikkelse og vandføringsevne
Vandløbets skikkelse er registreret ved Hedeselskabets op-
måling i 1987-89 og 1999-2000. Længdeprofiler fremgår af
Bilag 2.0. og 2.1.-2.27.
Dimensionerne på den genslyngende strækning, regulativ
station 42.287 – 45.940, er udarbejdet i forbindelse med
et vådområdeprojekt i 2003. Længdeprofiler fremgår af Bi-
lag 2.28.-2.29.
Tværprofiler foreligger hos vandløbsmyndigheden.
I 1989 og 2000 blev vandløbets vandføringsevne bestemt på
grundlag af de udførte opmålinger, observationer af vand-
stand og vandføring ned gennem vandløbet samt beregninger
med Hedeselskabets stationære strømningsmodel VASPBER.
vandføringsevnen blev bestemt for 59 stationer ned gennem
vandløbet. Vandføringsevnen i 1988 og 2000 er beskrevet i
Bilag 7.
I 2000 var vandstanden påvirket af træer, der var væltet
ud i vandløbet ved stormen i december 1999. Der er derfor
udført nye målinger i 2002. Vandføringsevnen er ikke vur-
deret for målingerne i 2002.
Regulativ for Odense Å, marts 2004
MOF, Alm.del - 2019-20 - Endeligt svar på spørgsmål 397: Spm. om de gældende regulativer for Odense Å og Odense Fjord, til miljøministeren
2147346_0015.png
- 11 -
4.
4.1.
BYGVÆRKER
Broer og overkørsler
Over vandløbet fører følgende broer og overkørsler:
Station
[m]
2467 -
2966 -
5582 -
8417 -
8554 -
8765 -
8976 -
9076 -
9435 -
Beskrivelse
Dimensioner for
vandslug
[m]
8,10 + 10,50
8,25
4 x 5,00 +
2 x 3,80
3 x 7,60
23,00
24,00
17,80
4,05 + 3,55 +
3,65 + 3,75
15,60
9,65 + 9,00
23,00
Ejerforhold
Bemærkninger
2493 Betonbro
2970 Betonbro
5592 Betonbro
8451 Betonbro
8560 Betonbro
8776 Betonbro
8979 Betonbro
9081 Betonbro
9445 Betonbro
Landevej 536,
Kertemindevej
Odense Kommune Havegårdsvej
Odense Kommune Åsumvej
Fyns Amt
Odense Kommune
DSB
Odense Kommune
Odense Kommune
Odense Kommune
Landevej 556,
Ejbygade
Vej til civil-
forsvaret
Odense- Nyborg
jernbane
Vej for Ejby
kloakværk
Vej for Ejby
Kloakværk
Ejby Møllevej
Fyns Amt
9993 - 10009 Betonbro
10415 - 10417 Fodspang
Odense Kommune Palnatokesvej
Odense Kommune Off. gangbro
Odense Kommune Frederiksbroen
Odense Kommune Albanigade
Odense Kommune Off. gangbro
Odense Kommune Off. gangbro
10715 - 10725 Jern-/betonbro 13,80
11016 - 11040 Betonbro
11149 - 11152 Fodspang
11400 - 11402 Fodspang
11522 - 11536 Betonbro
11874 - 11883 Betonbro
12390 - 12401 Betonbro
12784 - 12789 Betonbro
13008 - 13011 Betonbro
13368 - 13394 Betonbro
13750
Fodspang
1,710
8,40 + 8,40
15,40
3 x 5,00
4,00 + 9,20 +
4,00
18,20
15,70
3,00 + 12,00 +
3,00
12,00 + 14,20 +
11,30
Odense Kommune Klaregade
Odense Kommune Slusebro, v. Ny
Vestergade
Odense Kommune Kastanievej
Odense Kommune Off. sti
Odense Kommune Off. Sti
Fyns Amt
Landevej 547,
Tietgens Allé
Odense Kommune Gangbro til Ti-
voli
Odense Kommune Erik Bøghs Sti
Odense Kommune Skovalléen
14451 - 14455 Betonbro
15216 - 15227 Betonbro
Regulativ for Odense Å, marts 2004
MOF, Alm.del - 2019-20 - Endeligt svar på spørgsmål 397: Spm. om de gældende regulativer for Odense Å og Odense Fjord, til miljøministeren
2147346_0016.png
- 12 -
Station
[m]
Beskrivelse
Dimensioner for
vandslug
[m]
Ejerforhold
Bemærkninger
15704 - 15709 Granitstensbro 15,30
15719 - 15724 Granitstensbro 15,70
16202 - 16207 Betonbro
16289
16298
Fodspang
Betonbro
15,00
7,80 + 7,80
DSB
DSB
Dalum Papir-
fabrik
Dalum Papir-
fabrik
Dalum Papir-
fabrik
Dalum Papri-
fabrik
Dalum Papir-
fabrik
Fyns Amt
Odense- Svend-
borg jernbane
Godsbane
Godsbane
Privat gangbro
Rør- og
kabelbro
Godsbane
Privat markbro
16404 - 16408 Betonbro
16433
Fodspang
16862 - 16882 Betonbro
17357 - 17359 Betonbro
17790 - 17803 Betonbro
8,50 + 8,30
25,00
Landevej 525,
Dalumvej
Odense Kommune Off. sti
17814 - 17828 Betonbro
19597 - 19600 Træbro
20597
22150
Fodspang
Fodspang
1,50 + 12,70 +
1,50
Hovedlandevej
40, Motorvejen
vest
Vejdirektora- Hovedlandevej
tet
40, Motorvejen
øst
Odense Kommune Off. sti
Odense Kommune Off. sti
Fyns Amt
Off. sti
Vejdirektora-
tet
22160 - 22168 Betonbro
25851 - 25858 Betonbro
32837 - 32849 Betonbro
35688
Fodspang
8,80 + 8,80
7,50 + 7,50
13,80
36011 - 36023 Betonbro
36251
Fodspang
9,80
Bellinge Bro,
Brogårdsvej
Odense og Tom- Borrebyvej
merup kommuner
Fyns Amt
Landevej 526,
Lundgårdsvej
17h, 29o
Privat gangbro
Nr. Broby
Broby Kommune Vesterågade
Nr. Broby
Privat gangsti
Borgerforening Vandstrædet
Fyns Amt
Regulativ for Odense Å, marts 2004
MOF, Alm.del - 2019-20 - Endeligt svar på spørgsmål 397: Spm. om de gældende regulativer for Odense Å og Odense Fjord, til miljøministeren
2147346_0017.png
- 13 -
Station
[m]
Beskrivelse
Dimensioner for
vandslug
[m]
17,30
Ejerforhold
Bemærkninger
36354 - 36364 Betonbro
Fyns Amt
Landevej 522,
Assensvej
Landevej 602,
Marsk Billesvej
Markvejsbro
40268 - 40280 Betonbro
47873 - 47877 Stålbro
8,50 + 8,50
Fyns Amt
5e Lyndelse,
Sandholt-
Lyndelse
Fyns Amt
47883 - 47895 Betonbro
10,30
50102
53242
Fodspang
Fodspang
27 Ø.Hæsinge
5g Hørup
1a, 1h Arre-
skov Hvgd.
Hovedlandevej
213, Odensevej,
Hillerslev Bro
Privat gangbro
Privat gangbro
Broer, overkørsler eller lignende må ikke anlægges el-
ler ændres uden vandløbsmyndighedens godkendelse, jf.
vandløbslovens § 47.
Regulativ for Odense Å, marts 2004
MOF, Alm.del - 2019-20 - Endeligt svar på spørgsmål 397: Spm. om de gældende regulativer for Odense Å og Odense Fjord, til miljøministeren
2147346_0018.png
- 14 -
4.2.
4.3.
Stemmeværker og flodemål
Ved vandløbet findes følgende stemmeværker:
Stati- Beskri-
on
velse
[m]
9435
Flodemål
Ejerforhold Dato for
Bemærkninger
kendelser/
godkend-
elser
Odense
13. april Ejby Mølles sluse.
Kommune
1993
Vandkraften udnyt-
tes ikke
15. maj
1854,
16. okt.
1860,
15. aug.
1862,
9. sept.
1868,
28. sept.
1987
Dalum
29. april
Papirfabrik 1876,
18. maj
1942,
21. dec.
1993
Brobyværk
5. juli
Vandmølle
1999
Slusen v. Ny Ve-
stergade. Vand-
kraften udnyttes
ikke
[m DNN]
Mekaniske 4,18 - 4,58
stigborde
11874
Mekaniske 6,51 i tiden
Odense
stigborde 22.- 30. juni
Kommune
og 1.- 8. sept.
Resten af året
6,67
16408
Manuelle 9,70 - 10,12
stigborde
Turbinedrift til
elproduktion
40283
Manuelle
stigbord
53758
Flodemål
gældende for
hele året:
Maksimumsflode-
mål: 23,06
Minimumsflode-
mål: 22,70
Manuelle 32,80
Arreskov
stigborde
Vandmølle
26. jan.
1924,
5. aug.
1924,
25. jan.
1966
Flodemålsmærket af-
sat i kote 33,064 m
jf. skrivelse af 5.
aug. 1924. Ved
landvæsensnævnsfor-
lig af 25. jan.
1966 er opstem-
ningshøjden reduce-
ret til kote 32,80
m.
Opstemningsanlæg eller andre anlæg, der kan hindre
vandets frie løb eller i øvrigt være til skade for
vandløbet, må ikke anlægges eller ændres, herunder
driftsmæssigt, uden vandløbsmyndighedens godkendelse,
jf. vandløbslovens § 48. Det bemærkes således, at ud-
nyttelse af et opstemningsanlæg til andet formål,
f.eks. overgang til udnyttelse af vandkraften til
energiproduktion kræver vandløbsmyndighedens godken-
delse.
Regulativ for Odense Å, marts 2004
MOF, Alm.del - 2019-20 - Endeligt svar på spørgsmål 397: Spm. om de gældende regulativer for Odense Å og Odense Fjord, til miljøministeren
2147346_0019.png
- 15 -
4.4.
Øvrige bygværker
Ved vandløbet findes foruden de under 4.1. og 4.2.
nævnte bygværker følgende stryg m.v.:
Station
[m]
8567
Beskrivelse
Ejerforhold
Bemærkninger
Hydrometrisk
målestation
Stenstryg
Stenstryg
Fiskepas af
DMU, Fagdatacen-
ter for Hydrometri
Fyns Amt
Fyns Amt
Odense Kommune
Godkendt 13/4 1993
Godkendt 20/9 1993
LVK-kendelse af 15/7 1987
og Fyns Amts godkendelse
af 28/9 1987
9331 - 9600
11670 - 11810
11874
beton (bassin-
type)
16200 - 16555
22350
Stenstryg
Hydrometrisk
målestation
Sandfang
Hydrometrisk
målestation
Betonstyrt
Betonstyrt
Betonstyrt
Betonstyrt
Betonstryg med
styrt
Betonstryg
Stenstryg ved Brobyværk
Stenstryg
Hydrometrisk
målestation
Stenstryg
Fyns Amt
DMU, Fagdatacen-
ter for Hydrometri
Udgør en del af vandløbet
Udgør en del af vandløbet
Udgør en del af vandløbet
Udgør en del af vandløbet
Udgør en del af vandløbet
Fyns Amt
Fyns Amt
Godkendt 21/12 1993
26000 - 26400
35793
Udgør en del af vandløbet
35741
35757
35770
35783
37663 - 37705
38054 - 38101
40200 - 40420
52869 - 52884
53531
Udgør en del af vandløbet
Udgør en del af vandløbet
Udgør en del af vandløbet
53722 - 53727
Udgør en del af vandløbet
Regulativ for Odense Å, marts 2004
MOF, Alm.del - 2019-20 - Endeligt svar på spørgsmål 397: Spm. om de gældende regulativer for Odense Å og Odense Fjord, til miljøministeren
2147346_0020.png
- 16 -
4.5.
Placering af synlige drænudløb
Placering af de ved opmålingen registrerede drænudløb
fremgår af tabellariske oversigt over tilløb, vand-
standsskalaer, opland m.v., Bilag 5.
Vedrørende placering af nye drænudløb, se endvidere
afsnit om bredejerforhold, Pkt. 8.6 og 8.11.
Regulativ for Odense Å, marts 2004
MOF, Alm.del - 2019-20 - Endeligt svar på spørgsmål 397: Spm. om de gældende regulativer for Odense Å og Odense Fjord, til miljøministeren
2147346_0021.png
- 17 -
5.
ADMINISTRATIVE BESTEMMELSER
Vandløbet administreres af Fyns Amt, der er vandløbs-
myndighed.
5.1.
Vandløbets vedligeholdelse påhviler Fyns Amt. Vedlige-
holdelsen udføres i det omfang og til de tidsterminer,
der er fastlagt i afsnit 6.
Vandløbet med bygværker skal vedligeholdes som fastsat
i regulativets afsnit 6 om vedligeholdelse. Vandfø-
ringsevnen skal bibeholdes samtidig med, at de miljø-
mæssige krav til vandløbets fysiske tilstand sikres.
Bygværker, såsom styrt, stryg og skråningssikringer
m.v., der er udført af hensyn til vandløbet, vedlige-
holdes som dele af vandløbet.
Vedligeholdelsen af øvrige bygværker - broer, stemme-
værker, private diger, overkørsler, stensætninger,
støttemure og vandingsanlæg m.v. - påhviler de respek-
tive ejere eller brugere. Ejerne eller brugerne har
pligt til at optage slam, grene og grøde m.v., der
samler sig i og ved bygværker, jf. vandløbslovens §
27, stk. 4.
5.4.
Beplantningen langs vandløbet skal bevares af hensyn
til dens grødebegrænsende virkning ved skyggegivning.
Bestemmelsen omfatter beplantning på 2,0 m brede ban-
ketter langs vandløbets øverste kant, jf. Bredejerfor-
hold, Afsnit 8.1.
Eventuel vedligeholdelse af beplantningen kan foreta-
ges af amtet, jf. Afsnit 6.1.4.
5.5.
Amtet kan i relevant omfang foretage beplantning langs
vandløbet samt foretage miljøforbedrende foranstalt-
ninger.
5.2.
5.3.
Regulativ for Odense Å, marts 2004
MOF, Alm.del - 2019-20 - Endeligt svar på spørgsmål 397: Spm. om de gældende regulativer for Odense Å og Odense Fjord, til miljøministeren
2147346_0022.png
- 18 -
6.
6.1.
VEDLIGEHOLDELSESBESTEMMELSER
Generelle bestemmelser
Vandløbet foranstaltes vedligeholdt af Fyns Amt. Amtet
afgør, om vedligeholdelsen skal udføres i entreprise
eller ved egen foranstaltning.
Vandløbet vedligeholdes på grund af jordbrugets afvan-
dingsinteresser. Vedligeholdelsens omfang er fastlagt
af vandløbsmyndigheden ud fra en afvejning af miljøin-
teresser og afvandingsinteresser. Således er der ingen
grund til vedligeholdelse, hvis der ingen afvandingsin-
teresser er, eller afvandingsinteresserne i forvejen er
tilgodeset.
Vandløbet er i recipientkvalitetsplanen, der er en del
af Regionplan 2001-2013, målsat således:
St. 0 m - 8.770 m:
Fiskevand til lyst- og/eller erhvervsfiskeri.
St. 8.770 m - 52.829 m:
Gyde- og/eller opvækstområde for laksefisk.
St. 52.829 m - 53.758 m:
Fiskevand til lyst- og/eller erhvervsfiskeri.
Vedligeholdelsen af de enkelte vandløbsstrækninger skal
udføres således, at vandløbets fysiske tilstand er i
overensstemmelse med de krav, recipientkvalitetsmålsæt-
ningen stiller hertil.
Kravene til sikring af den fastlagte vandføringsevne
opfyldes ved de i det følgende anførte vedligeholdel-
sesprincipper (Generelle bestemmelser, afsnit 6.1.1 -
6.1.4 samt Særlige bestemmelser, afsnit 6.2.1 - 6.2.5).
6.1.1.
Grødeskæring
Vandføringsevnen om sommeren sikres ved grødeskæring.
Der er fastsat krav til hvornår samt hvor meget grøde,
der skal bortskæres i vandløbet. Amtet forbeholder sig
dog ret til at ændre de enkelte grødeskæringsterminer
af hensyn til vedligeholdelsesarbejdets tilrettelæggel-
se samt til at efterlade så megen grøde i vandløbet, at
der opretholdes en rimelig vanddybde af hensyn til
vandløbsfaunaen.
Regulativ for Odense Å, marts 2004
MOF, Alm.del - 2019-20 - Endeligt svar på spørgsmål 397: Spm. om de gældende regulativer for Odense Å og Odense Fjord, til miljøministeren
2147346_0023.png
- 19 -
Eventuel grødeskæring foretages som hovedregel manuelt.
Bortskæring af grøde sker ved skæring af en eller flere
strømrender med en samlet bredde, der er angivet i af-
snit 6.2. Vandløbets grøde fjernes aldrig fuldstændig,
idet der mindst efterlades grøde svarende til 1/5 del
af vandspejlsbredden.
Bortskæring af grøde foretages overvejende, hvor vand-
løbet er dybest. I tilfælde, hvor en strømrende ikke
umiddelbart kan erkendes, etableres en grødefri strøm-
rende med en bølgelængde på ca. 10 x vandløbsbredden
(b), jf. nedenstående figur:
6.1.2.
Oprensning
Såfremt vandløbet ikke opfylder de fastsatte krav til
vandføringsevnen, der er fastlagt i afsnit 6.2., fore-
tages oprensning af vandløbet. Oprensningen skal nor-
malt ske i perioden fra 1. september til 31. oktober.
Oprensningen udføres efter miljøvenlige principper, jf.
nedenstående bestemmelser. Evt. oprensning omfatter
Regulativ for Odense Å, marts 2004
MOF, Alm.del - 2019-20 - Endeligt svar på spørgsmål 397: Spm. om de gældende regulativer for Odense Å og Odense Fjord, til miljøministeren
2147346_0024.png
- 20 -
normalt kun fjernelse af sand og mudderbanker, hvorimod
grus og sten normalt ikke må fjernes.
Såfremt fjernelse af sand og mudderbanker ikke kan gen-
skabe den kravfastlagte vandføringsevne, kan følgende
yderligere tiltag komme på tale i prioriteret række-
følge:
a.
Fjernelse/begrænsning af dele af kant- og bred-
vegetationen.
Vedligeholdelse af vandløbsprofilet.
b.
Vedligeholdelsen skal i givet fald understøtte det ak-
tuelle forløb af vandløbets strømrende samt tilstræbe
et naturligt vandløbsprofil. Det skal endvidere sikres,
at der ved lave vandføringer om sommeren kan oprethol-
des en rimelig vanddybde af hensyn til vandløbsfaunaen.
Ovenstående hensyn til vandløbsprofilets form ved en
evt. profilvedligeholdelse vil som regel kunne tilgode-
ses, hvis vedligeholdelsen tilstræber et vandløbspro-
fil, som på nedenstående figur. Profilet varierer i
takt med forløbet af vandløbets strømrende.
Ovenstående foranstaltninger skal ske under størst mu-
lig hensyntagen til miljøet i og omkring vandløbet. Op-
rensning må ikke foretages med henblik på at forbedre
vandføringsevnen, udover hvad der er bestemt i afsnit
6.2.
Regulativ for Odense Å, marts 2004
MOF, Alm.del - 2019-20 - Endeligt svar på spørgsmål 397: Spm. om de gældende regulativer for Odense Å og Odense Fjord, til miljøministeren
2147346_0025.png
- 21 -
6.1.3.
Bortskaffelse af grøde og oprenset materiale
Grøde
Afskåret grøde mv. opsamles så vidt muligt umiddelbart
efter afskæring, hvor den som hovedregel lægges op på
vandløbets banketter. På strækninger, hvor det ikke er
muligt at opsamle grøden, kan grøden drive frit med
strømmen og opsamles på hensigtsmæssige opsamlings-
steder.
Afskåret grøde er ejeren eller brugeren af de tilstø-
dende jorder pligtig at fjerne mindst 2 m fra vandløbs-
kanten.
Det påhviler den enkelte ejer eller bruger selv at un-
dersøge, om der er oplagt grøde m.v., som skal fjernes
eller spredes. Undlader en ejer eller bruger at fjerne
grøden, kan amtet efter 2 ugers skriftligt varsel til
ejeren eller brugeren lade arbejdet udføre på den på-
gældendes bekostning.
Afskåret grøde m.v. må ikke udlægges/spredes i mere end
10 cm tykkelse af hensyn til faren for ensilering med
efterfølgende udvaskning til vandløbet.
Oprenset materiale
Alle for vandløbet fremmede emner, såsom plastic, sæk-
ke, flasker og lignende, opsamles fra vandløbet og op-
lægges på vandløbsbanketten, hvorfra det fjernes af
lodsejeren /brugeren.
Oprenset fyld, der fremkommer ved vandløbets regulativ-
mæssige vedligeholdelse, lægges uden for 2 m banketten,
jf. Afsnit 8.1. Ejerne eller brugerne af de tilstødende
jorder er pligtige til at fjerne eller sprede fylden
hvert år inden 1. maj.
Opgravning og bortskaffelse af store mængder fyld fra
naturlige eller anlagte sandfang aftales med de berørte
lodsejere.
Det påhviler den enkelte ejer eller bruger selv at un-
dersøge, om der er oplagt fyld, som skal fjernes eller
spredes. Undlader en ejer eller bruger at fjerne eller
sprede fylden, kan amtet med 2 ugers skriftligt varsel
til ejeren eller brugeren lade arbejdet udføre på den
pågældendes bekostning.
Regulativ for Odense Å, marts 2004
MOF, Alm.del - 2019-20 - Endeligt svar på spørgsmål 397: Spm. om de gældende regulativer for Odense Å og Odense Fjord, til miljøministeren
2147346_0026.png
- 22 -
6.1.4.
Andre forhold
Afbrækkede grene, væltede træer og udskredne brinker,
der er af afgørende betydning for vandføringsevnen,
fjernes fra vandløbet.
Vedligeholdelse og pleje af vegetation langs vandløbet
kan foretages af amtet i en afstand af indtil 2 m fra
vandløbskanterne.
Ved gennemførelsen af vedligeholdelsesarbejdet skal
ulemper, som ejere og brugere skal tåle, søges fordelt
på begge bredder af vandløbet. Ensidig oplægning af
fyld m.v. kan dog forekomme, hvor beplantning m.v. fo-
rekommer på modstående bred, eller hvis terrænforhold
eller andet gør det påkrævet.
Lodsejere - eller andre med interesse i vandløbet - der
måtte finde vandløbets vedligeholdelsestilstand eller
specielle forhold vedrørende vandløbet utilfredsstil-
lende, kan rette henvendelse herom til amtet.
Regulativ for Odense Å, marts 2004
MOF, Alm.del - 2019-20 - Endeligt svar på spørgsmål 397: Spm. om de gældende regulativer for Odense Å og Odense Fjord, til miljøministeren
2147346_0027.png
- 23 -
6.2.
6.2.1.
Særlige bestemmelser
Strækningen St. 0 - 2.467
Vandløbet gennemgås 1 gang årligt, hvor affald mv. op-
samles fra vandløbet. Yderligere vedligeholdelse fore-
tages normalt ikke.
6.2.2.
Strækningen St. 2.467 - 9.435
Grødeskæring
Vandløbsstrækningen gennemgås 2 gange, og der udføres
om nødvendigt grødeskæring:
1. gang:
2. gang:
Uge 22 - 27
Uge 31 - 40
Grødeskæringen foretages i følgende bredde:
St. 2.467 – 9.435
6,0 - 10,0 m
Oprensning
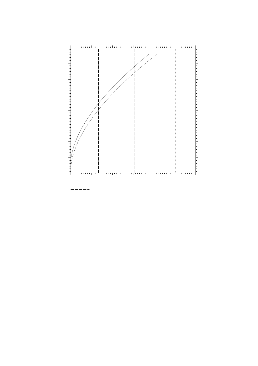
På denne strækning er der et krav til vandføringsevnen
om vinteren. Kravet er angivet i form af en kravkurve
og en vedligeholdelseskurve, der udtrykker en sammen-
hæng mellem vandstandskote i m og vandføring i m
3
/s.
Kravkurven angiver den vandføringsevne, der mindst skal
være til stede, mens vedligeholdelseskurven angiver
grænsen for, hvor stor vandføringsevnen må være efter
en eventuel oprensning.
Vandføringsevnen kontrolleres mindst én gang hvert 5.
år. Kontrollen gennemføres normalt i perioden 1. febru-
ar til 31. marts.
Overskrides kravet til vandføringsevnen foretages op-
rensning følgende efterår.
Krav- og vedligeholdelseskurver er fastlagt for følgen-
de station:
8.567 m
Regulativ for Odense Å, marts 2004
MOF, Alm.del - 2019-20 - Endeligt svar på spørgsmål 397: Spm. om de gældende regulativer for Odense Å og Odense Fjord, til miljøministeren
2147346_0028.png
- 24 -
H(m)
3.2
Oversvømmelsesgrænse
3.0
2.8
2.6
2.4
2.2
2.0
1.8
ODENSE Å, ST. 8567
Sommer 2 år
Sommer 10 år
1.6
Sommer 5 år
1.4
1.2
1.0
0
5
10
15
20
25
Vinter 2 år
30
35
40
Q(m³/s)
Vedligeholdelseskurve
Kravkurve
Krav-
kurve
Vandføring
(m³/s)
13.917
14.978
16.070
17.194
18.349
19.534
20.749
21.994
23.268
24.571
25.903
27.263
28.652
30.068
31.513
32.985
34.484
Vandspejlskote
(m DNN)
2.25
2.30
2.35
2.40
2.45
2.50
2.55
2.60
2.65
2.70
2.75
2.80
2.85
2.90
2.95
3.00
3.05
Vedligeholdelses-
kurve
Vandspejlskote
(m DNN)
2.15
2.20
2.25
2.30
2.35
2.40
2.45
2.50
2.55
2.60
2.65
2.70
2.75
2.80
2.85
2.90
2.95
Regulativ for Odense Å, marts 2004
Vinter 10 år
Vinter 5 år
MOF, Alm.del - 2019-20 - Endeligt svar på spørgsmål 397: Spm. om de gældende regulativer for Odense Å og Odense Fjord, til miljøministeren
2147346_0029.png
- 25 -
6.2.3.
Strækningen St. 9.435 - 16.207
Vandløbet gennemgås 1 gang årligt, normalt i uge 24 -
25, hvor affald mv. opsamles fra vandløbet.
6.2.4.
Strækningen St. 16.207 - 52.829
Grødeskæring
Vandløbsstrækningen gennemgås 2 gange, og der udføres
om nødvendigt grødeskæring:
1. gang:
2. gang:
Uge 22 - 27
Uge 31 – 40
På den genslyngede strækning st. 42.287 – 45.940, gen-
nemgås strækningen 1 gang årligt, og om nødvendigt fo-
retages der grødeskæring.
Grødeskæringen foretages i følgende bredder:
St. 16.207 - 28.336
St. 28.336 – 42.287
St. 45.940 - 52.829
6,0 - 10,0 m
5,0 - 8,0 m
3,0 - 5,0 m
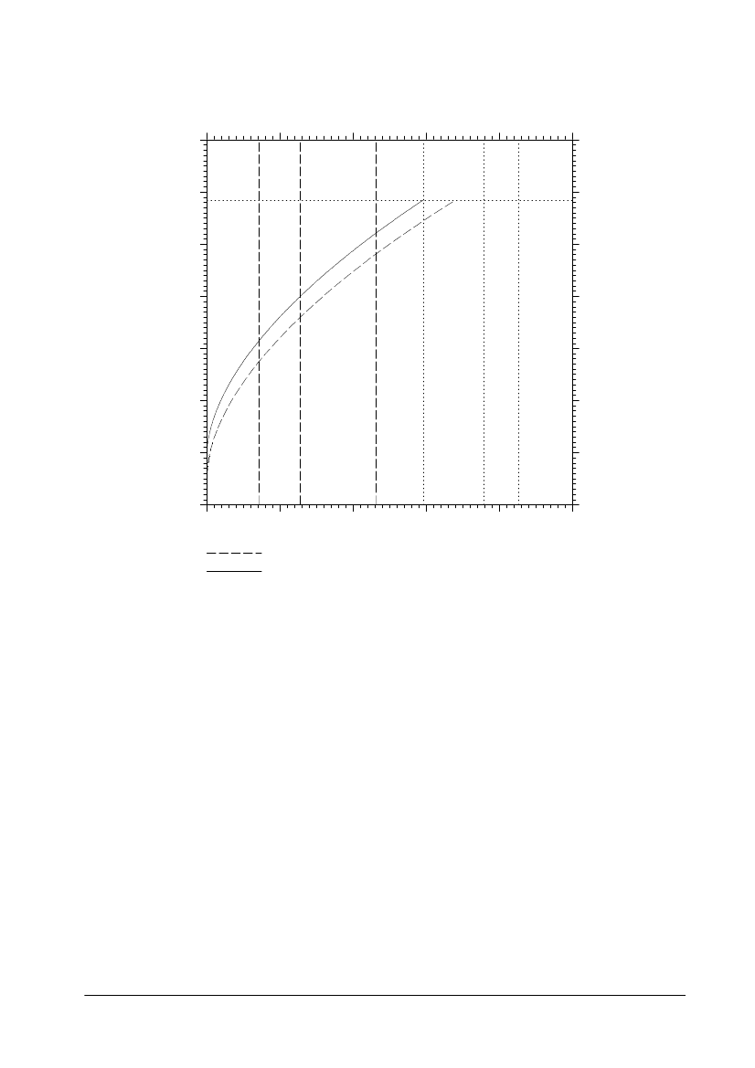
Oprensning
På denne strækning er der krav til vandføringsevnen om
vinteren. Kravene er angivet i form af kravkurver og
vedligeholdelseskurver, der udtrykker en sammenhæng
mellem vandstandskote i m og vandføring i m
3
/s. Krav-
kurverne angiver den vandføringsevne, der mindst skal
være til stede, mens vedligeholdelseskurverne angiver
grænsen for, hvor stor vandføringsevnen må være efter
en eventuel oprensning.
Vandføringsevnen kontrolleres mindst én gang hvert 5.
år ved alle kravkurvestationer. Kontrollen gennemføres
normalt i perioden 1. februar til 31. marts.
Overskrides kravet til vandføringsevnen foretages op-
rensning følgende efterår.
Regulativ for Odense Å, marts 2004
MOF, Alm.del - 2019-20 - Endeligt svar på spørgsmål 397: Spm. om de gældende regulativer for Odense Å og Odense Fjord, til miljøministeren
2147346_0030.png
- 26 -
Krav- og vedligeholdelseskurver er fastlagt for følgen-
de stationer:
21.431
23.790
26.278
28.795
31.289
33.797
36.338
38.572
44.669
47.869
50.402
52.813
m,
m,
m,
m,
m,
m,
m,
m,
m,
m,
m,
m.
21.831
24.186
26.686
29.283
31.796
34.294
36.791
38.976
45.232
48.396
50.908
m,
m,
m,
m,
m,
m,
m,
m,
m,
m,
m,
22.352
24.599
27.285
29.782
32.286
34.793
37.305
39.463
46.277
48.898
51.391
m,
m,
m,
m,
m,
m,
m,
m,
m,
m,
m,
22.977
25.214
27.788
30.286
32.793
35.198
37.642
40.066
46.798
49.402
51.880
m,
m,
m,
m,
m,
m,
m,
m,
m,
m,
m,
23.382
25.814
28.336
30.792
33.308
35.698
38.026
44.075
47.398
49.891
52.395
m,
m,
m,
m,
m,
m,
m,
m,
m,
m,
m,
Regulativ for Odense Å, marts 2004
MOF, Alm.del - 2019-20 - Endeligt svar på spørgsmål 397: Spm. om de gældende regulativer for Odense Å og Odense Fjord, til miljøministeren
2147346_0031.png
- 27 -
H(m)
11.4
11.3
11.2
11.1
11.0
10.9
10.8
10.7
10.6
10.5
ODENSE Å, ST. 21431
Oversvømmelsesgrænse
Sommer 2 år
Sommer 5 år
10.3
10.2
10.1
0
5
10
15
20
25
30
Vedligeholdelseskurve
Kravkurve
Krav-
kurve
Vandføring
(m³/s)
0.703
0.956
1.239
1.550
1.889
2.253
2.643
3.056
3.494
3.954
4.436
4.940
5.466
6.012
6.579
7.165
7.772
Vandspejlskote
(m DNN)
10.45
10.50
10.55
10.60
10.65
10.70
10.75
10.80
10.85
10.90
10.95
11.00
11.05
11.10
11.15
11.20
11.25
Vedligeholdelses-
kurve
Vandspejlskote
(m DNN)
10.35
10.40
10.45
10.50
10.55
10.60
10.65
10.70
10.75
10.80
10.85
10.90
10.95
11.00
11.05
11.10
11.15
Regulativ for Odense Å, marts 2004
Vinter 10 år
35
40
Q(m³/s)
10.4
Sommer 10 år
Vinter 2 år
Vinter 5 år
MOF, Alm.del - 2019-20 - Endeligt svar på spørgsmål 397: Spm. om de gældende regulativer for Odense Å og Odense Fjord, til miljøministeren
2147346_0032.png
- 28 -
H(m)
11.8
11.7
11.6
11.5
11.4
11.3
11.2
11.1
11.0
10.9
10.8
ODENSE Å, ST. 21831
Oversvømmelsesgrænse
Sommer 2 år
Sommer 5 år
10.6
10.5
10.4
0
5
10
15
20
25
30
Vedligeholdelseskurve
Kravkurve
Krav-
kurve
Vandføring
(m³/s)
1.185
1.583
2.004
2.447
2.908
3.386
3.879
4.387
4.909
5.443
5.989
6.546
7.114
7.692
8.280
8.878
9.485
Vandspejlskote
(m DNN)
10.70
10.75
10.80
10.85
10.90
10.95
11.00
11.05
11.10
11.15
11.20
11.25
11.30
11.35
11.40
11.45
11.50
Vedligeholdelses-
kurve
Vandspejlskote
(m DNN)
10.60
10.65
10.70
10.75
10.80
10.85
10.90
10.95
11.00
11.05
11.10
11.15
11.20
11.25
11.30
11.35
11.40
Regulativ for Odense Å, marts 2004
Vinter 10 år
35
40
Q(m³/s)
10.7
Sommer 10 år
Vinter 2 år
Vinter 5 år
MOF, Alm.del - 2019-20 - Endeligt svar på spørgsmål 397: Spm. om de gældende regulativer for Odense Å og Odense Fjord, til miljøministeren
2147346_0033.png
- 29 -
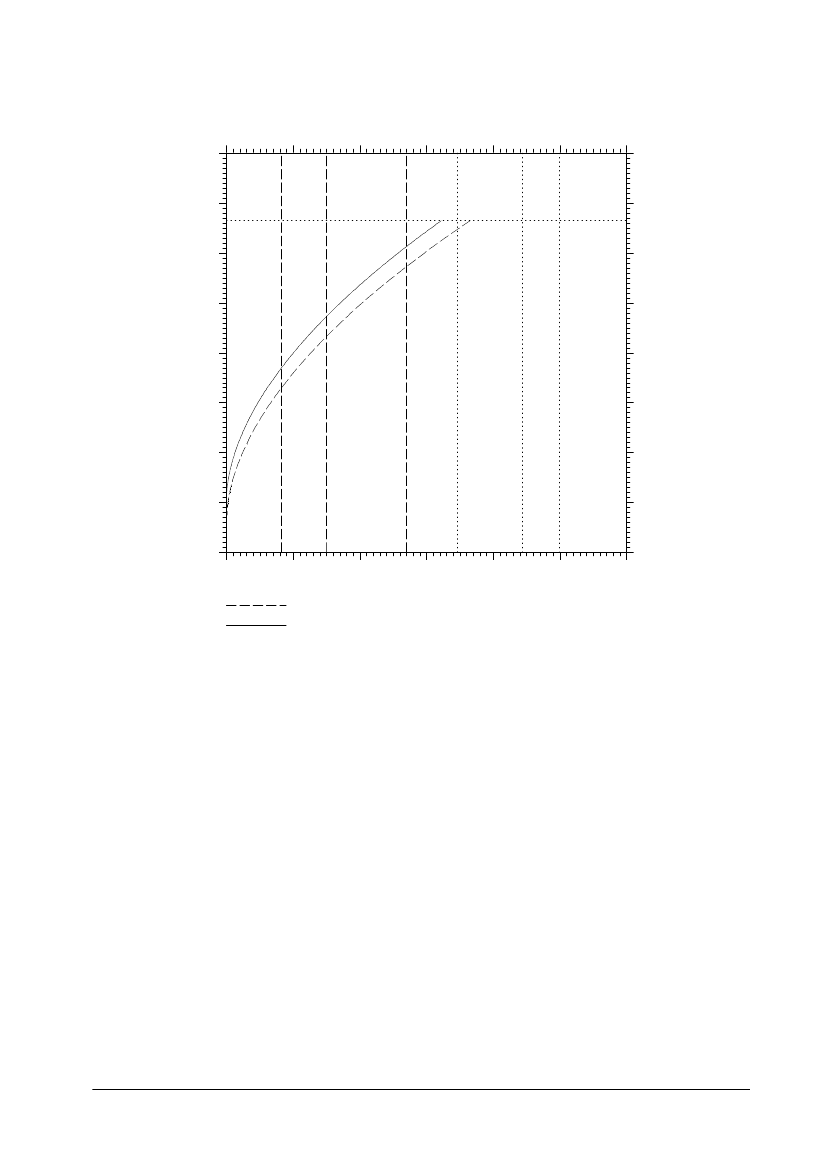
H(m)
11.7
11.6
11.5
11.4
11.3
11.2
11.1
11.0
ODENSE Å, ST. 22352
Oversvømmelsesgrænse
10.8
10.7
0
5
10
15
20
25
30
Vedligeholdelseskurve
Kravkurve
Krav-
kurve
Vandføring
(m³/s)
0.037
0.205
0.452
0.761
1.123
1.532
1.985
2.478
3.008
3.573
4.172
4.804
5.466
6.158
6.879
Vandspejlskote
(m DNN)
10.85
10.90
10.95
11.00
11.05
11.10
11.15
11.20
11.25
11.30
11.35
11.40
11.45
11.50
11.55
Vedligeholdelses-
kurve
Vandspejlskote
(m DNN)
10.75
10.80
10.85
10.90
10.95
11.00
11.05
11.10
11.15
11.20
11.25
11.30
11.35
11.40
11.45
Regulativ for Odense Å, marts 2004
Vinter 10 år
35
40
Q(m³/s)
Vinter 2 år
Vinter 5 år
10.9
Sommer 10 år
Sommer 2 år
Sommer 5 år
MOF, Alm.del - 2019-20 - Endeligt svar på spørgsmål 397: Spm. om de gældende regulativer for Odense Å og Odense Fjord, til miljøministeren
2147346_0034.png
- 30 -
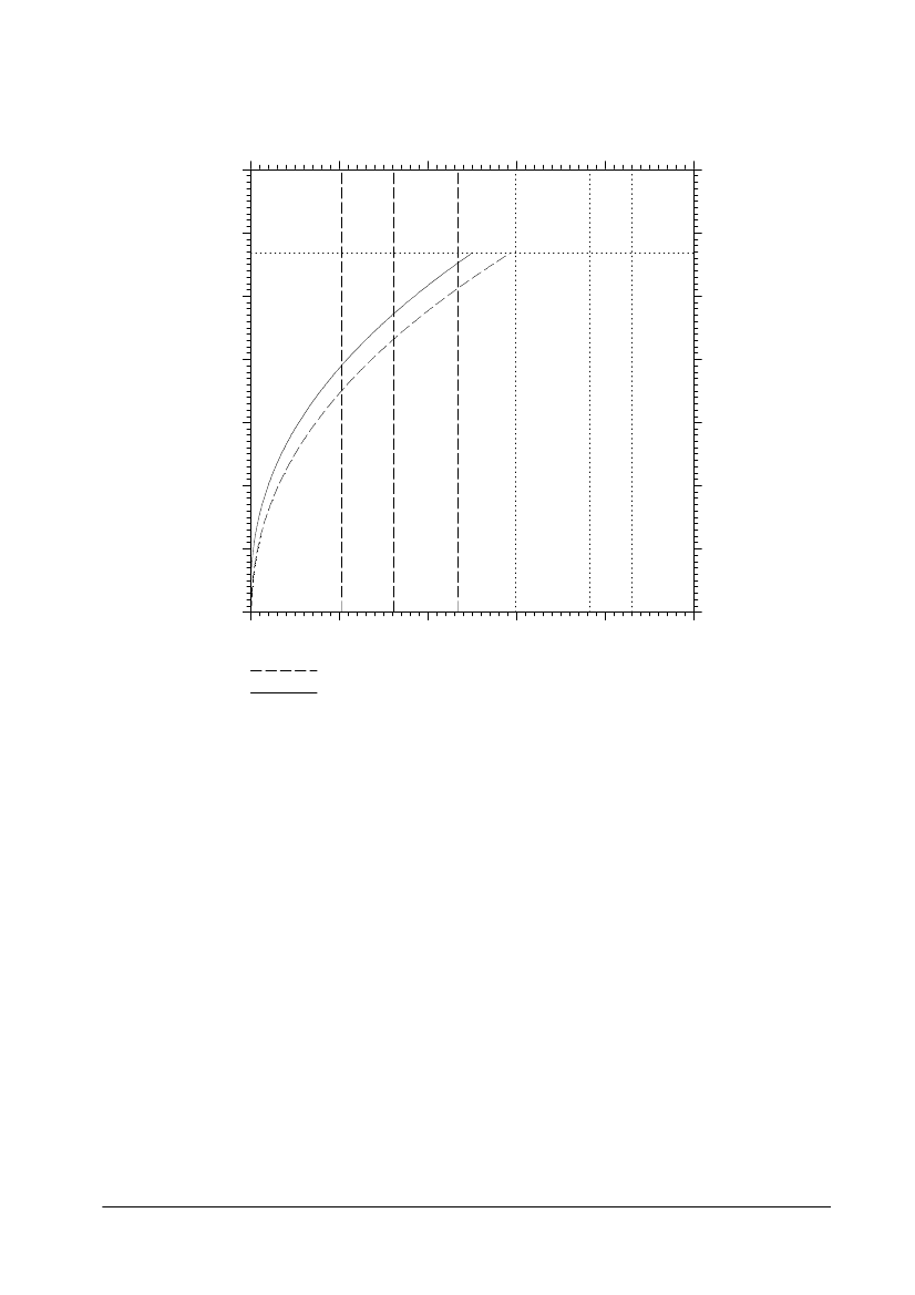
H(m)
12.1
Oversvømmelsesgrænse
12.0
11.9
11.8
11.7
11.6
11.5
11.4
11.3
ODENSE Å, ST. 22977
Sommer 10 år
Sommer 2 år
Sommer 5 år
11.2
11.1
11.0
10.9
0
5
10
15
20
25
30
Vedligeholdelseskurve
Kravkurve
Krav-
kurve
Vandføring
(m³/s)
0.739
1.009
1.308
1.636
1.991
2.371
2.776
3.204
3.654
4.127
4.620
5.134
5.668
6.222
6.795
7.387
7.997
Vandspejlskote
(m DNN)
11.20
11.25
11.30
11.35
11.40
11.45
11.50
11.55
11.60
11.65
11.70
11.75
11.80
11.85
11.90
11.95
12.00
Vedligeholdelses-
kurve
Vandspejlskote
(m DNN)
11.10
11.15
11.20
11.25
11.30
11.35
11.40
11.45
11.50
11.55
11.60
11.65
11.70
11.75
11.80
11.85
11.90
Regulativ for Odense Å, marts 2004
Vinter 10 år
35
40
Q(m³/s)
Vinter 2 år
Vinter 5 år
MOF, Alm.del - 2019-20 - Endeligt svar på spørgsmål 397: Spm. om de gældende regulativer for Odense Å og Odense Fjord, til miljøministeren
2147346_0035.png
- 31 -
H(m)
12.2
Oversvømmelsesgrænse
12.1
12.0
11.9
11.8
11.7
11.6
11.5
ODENSE Å, ST. 23382
Sommer 10 år
Sommer 2 år
Sommer 5 år
11.3
11.2
0
5
10
15
20
Vinter 2 år
25
30
Vinter 5 år
11.4
Vedligeholdelseskurve
Kravkurve
Krav-
kurve
Vandføring
(m³/s)
0.039
0.137
0.279
0.458
0.669
0.912
1.184
1.483
1.809
2.159
2.534
2.932
3.353
3.796
4.261
4.747
Vandspejlskote
(m DNN)
11.35
11.40
11.45
11.50
11.55
11.60
11.65
11.70
11.75
11.80
11.85
11.90
11.95
12.00
12.05
12.10
Vedligeholdelses-
kurve
Vandspejlskote
(m DNN)
11.25
11.30
11.35
11.40
11.45
11.50
11.55
11.60
11.65
11.70
11.75
11.80
11.85
11.90
11.95
12.00
Regulativ for Odense Å, marts 2004
Vinter 10 år
35
40
Q(m³/s)
MOF, Alm.del - 2019-20 - Endeligt svar på spørgsmål 397: Spm. om de gældende regulativer for Odense Å og Odense Fjord, til miljøministeren
2147346_0036.png
- 32 -
H(m)
12.7
12.6
12.5
12.4
12.3
12.2
12.1
12.0
11.9
ODENSE Å, ST. 23790
Oversvømmelsesgrænse
Sommer 10 år
Sommer 2 år
Sommer 5 år
11.8
11.7
11.6
11.5
0
5
10
15
20
25
30
Vedligeholdelseskurve
Kravkurve
Krav-
kurve
Vandføring
(m³/s)
0.501
0.743
1.017
1.321
1.652
2.008
2.389
2.794
3.220
3.667
4.135
4.623
5.130
5.655
6.199
6.760
7.339
Vandspejlskote
(m DNN)
11.75
11.80
11.85
11.90
11.95
12.00
12.05
12.10
12.15
12.20
12.25
12.30
12.35
12.40
12.45
12.50
12.55
Vedligeholdelses-
kurve
Vandspejlskote
(m DNN)
11.65
11.70
11.75
11.80
11.85
11.90
11.95
12.00
12.05
12.10
12.15
12.20
12.25
12.30
12.35
12.40
12.45
Regulativ for Odense Å, marts 2004
Vinter 10 år
35
40
Q(m³/s)
Vinter 2 år
Vinter 5 år
MOF, Alm.del - 2019-20 - Endeligt svar på spørgsmål 397: Spm. om de gældende regulativer for Odense Å og Odense Fjord, til miljøministeren
2147346_0037.png
- 33 -
H(m)
12.8
12.7
12.6
12.5
12.4
12.3
12.2
12.1
ODENSE Å, ST. 24186
Oversvømmelsesgrænse
Sommer 10 år
12.0
Sommer 2 år
Sommer 5 år
11.9
11.8
11.7
0
5
10
15
20
Vinter 2 år
25
30
Vedligeholdelseskurve
Kravkurve
Krav-
kurve
Vandføring
(m³/s)
0.064
0.165
0.306
0.485
0.701
0.953
1.239
1.559
1.911
2.296
2.712
3.160
3.639
4.147
4.686
5.255
5.852
Vandspejlskote
(m DNN)
11.85
11.90
11.95
12.00
12.05
12.10
12.15
12.20
12.25
12.30
12.35
12.40
12.45
12.50
12.55
12.60
12.65
Vedligeholdelses-
kurve
Vandspejlskote
(m DNN)
11.75
11.80
11.85
11.90
11.95
12.00
12.05
12.10
12.15
12.20
12.25
12.30
12.35
12.40
12.45
12.50
12.55
Regulativ for Odense Å, marts 2004
Vinter 10 år
35
40
Q(m³/s)
Vinter 5 år
MOF, Alm.del - 2019-20 - Endeligt svar på spørgsmål 397: Spm. om de gældende regulativer for Odense Å og Odense Fjord, til miljøministeren
2147346_0038.png
- 34 -
H(m)
13.2
13.1
13.0
12.9
12.8
12.7
12.6
12.5
12.4
ODENSE Å, ST. 24599
Oversvømmelsesgrænse
Sommer 10 år
Sommer 2 år
Sommer 5 år
12.3
12.2
12.1
12.0
0
5
10
15
20
25
30
Vedligeholdelseskurve
Kravkurve
Krav-
kurve
Vandføring
(m³/s)
0.757
1.044
1.360
1.705
2.075
2.470
2.889
3.329
3.790
4.272
4.773
5.293
5.831
6.387
6.961
7.551
8.157
Vandspejlskote
(m DNN)
12.30
12.35
12.40
12.45
12.50
12.55
12.60
12.65
12.70
12.75
12.80
12.85
12.90
12.95
13.00
13.05
13.10
Vedligeholdelses-
kurve
Vandspejlskote
(m DNN)
12.20
12.25
12.30
12.35
12.40
12.45
12.50
12.55
12.60
12.65
12.70
12.75
12.80
12.85
12.90
12.95
13.00
Regulativ for Odense Å, marts 2004
Vinter 10 år
35
40
Q(m³/s)
Vinter 2 år
Vinter 5 år
MOF, Alm.del - 2019-20 - Endeligt svar på spørgsmål 397: Spm. om de gældende regulativer for Odense Å og Odense Fjord, til miljøministeren
2147346_0039.png
- 35 -
H(m)
13.5
ODENSE Å, ST. 25214
13.4 Oversvømmelsesgrænse
13.3
13.2
13.1
13.0
12.9
12.8
12.7
Sommer 10 år
Sommer 2 år
Sommer 5 år
12.6
12.5
12.4
12.3
0
5
Vinter 10 år
35
40
Q(m³/s)
12.50
12.55
12.60
12.65
12.70
12.75
12.80
12.85
12.90
12.95
13.00
13.05
13.10
13.15
13.20
13.25
13.30
Vinter 2 år
10
15
20
25
30
Vedligeholdelseskurve
Kravkurve
Krav-
kurve
Vandføring
(m³/s)
0.443
0.726
1.058
1.434
1.852
2.308
2.801
3.328
3.888
4.481
5.104
5.758
6.440
7.150
7.888
8.652
9.442
Vandspejlskote
(m DNN)
12.60
12.65
12.70
12.75
12.80
12.85
12.90
12.95
13.00
13.05
13.10
13.15
13.20
13.25
13.30
13.35
13.40
Vedligeholdelses-
kurve
Vandspejlskote
(m DNN)
Regulativ for Odense Å, marts 2004
Vinter 5 år
MOF, Alm.del - 2019-20 - Endeligt svar på spørgsmål 397: Spm. om de gældende regulativer for Odense Å og Odense Fjord, til miljøministeren
2147346_0040.png
- 36 -
H(m)
13.6
ODENSE Å, ST. 25814
13.5 Oversvømmelsesgrænse
13.4
13.3
13.2
13.1
13.0
12.9
12.8
12.7
Sommer 2 år
Sommer 5 år
Vinter 10 år
35
40
Q(m³/s)
12.55
12.60
12.65
12.70
12.75
12.80
12.85
12.90
12.95
13.00
13.05
13.10
13.15
13.20
13.25
13.30
13.35
12.6
12.5
12.4
12.3
0
5
Sommer 10 år
Vinter 2 år
Vinter 5 år
30
10
15
20
25
Vedligeholdelseskurve
Kravkurve
Krav-
kurve
Vandføring
(m³/s)
0.659
0.923
1.223
1.560
1.930
2.334
2.770
3.238
3.737
4.267
4.826
5.414
6.031
6.676
7.349
8.050
8.778
Vandspejlskote
(m DNN)
12.65
12.70
12.75
12.80
12.85
12.90
12.95
13.00
13.05
13.10
13.15
13.20
13.25
13.30
13.35
13.40
13.45
Vedligeholdelses-
kurve
Vandspejlskote
(m DNN)
Regulativ for Odense Å, marts 2004
MOF, Alm.del - 2019-20 - Endeligt svar på spørgsmål 397: Spm. om de gældende regulativer for Odense Å og Odense Fjord, til miljøministeren
2147346_0041.png
- 37 -
H(m)
14.25
14.00
13.75
13.50
13.25
13.00
12.75
12.50
12.25
ODENSE Å, ST. 26278
Oversvømmelsesgrænse
Sommer 10 år
Sommer 2 år
Sommer 5 år
0
5
10
15
20
25
Vinter 10 år
30
Vinter 2 år
Vinter 5 år
35
40
Q(m³/s)
Vedligeholdelseskurve
Kravkurve
Krav-
kurve
Vandføring
(m³/s)
3.811
4.333
4.882
5.457
6.058
6.684
7.334
8.009
8.708
9.430
10.176
10.944
11.735
12.548
13.383
14.239
15.117
Vandspejlskote
(m DNN)
13.30
13.35
13.40
13.45
13.50
13.55
13.60
13.65
13.70
13.75
13.80
13.85
13.90
13.95
14.00
14.05
14.10
Vedligeholdelses-
kurve
Vandspejlskote
(m DNN)
13.20
13.25
13.30
13.35
13.40
13.45
13.50
13.55
13.60
13.65
13.70
13.75
13.80
13.85
13.90
13.95
14.00
Regulativ for Odense Å, marts 2004
MOF, Alm.del - 2019-20 - Endeligt svar på spørgsmål 397: Spm. om de gældende regulativer for Odense Å og Odense Fjord, til miljøministeren
2147346_0042.png
- 38 -
H(m)
14.25
Oversvømmelsesgrænse
14.00
13.75
13.50
13.25
13.00
12.75
12.50
12.25
ODENSE Å, ST. 26686
Sommer 10 år
Sommer 2 år
Sommer 5 år
0
5
10
15
20
25
Vinter 10 år
30
Vinter 2 år
Vinter 5 år
35
40
Q(m³/s)
Vedligeholdelseskurve
Kravkurve
Krav-
kurve
Vandføring
(m³/s)
2.829
3.280
3.760
4.268
4.803
5.366
5.955
6.570
7.212
7.879
8.571
9.289
10.031
10.797
11.588
12.403
13.242
Vandspejlskote
(m DNN)
13.30
13.35
13.40
13.45
13.50
13.55
13.60
13.65
13.70
13.75
13.80
13.85
13.90
13.95
14.00
14.05
14.10
Vedligeholdelses-
kurve
Vandspejlskote
(m DNN)
13.20
13.25
13.30
13.35
13.40
13.45
13.50
13.55
13.60
13.65
13.70
13.75
13.80
13.85
13.90
13.95
14.00
Regulativ for Odense Å, marts 2004
MOF, Alm.del - 2019-20 - Endeligt svar på spørgsmål 397: Spm. om de gældende regulativer for Odense Å og Odense Fjord, til miljøministeren
2147346_0043.png
- 39 -
H(m)
14.50
Oversvømmelsesgrænse
14.25
14.00
13.75
13.50
13.25
13.00
12.75
12.50
ODENSE Å, ST. 27285
Sommer 10 år
Sommer 2 år
Sommer 5 år
0
5
10
15
20
25
Vinter 10 år
30
Vinter 2 år
Vinter 5 år
35
40
Q(m³/s)
Vedligeholdelseskurve
Kravkurve
Krav-
kurve
Vandføring
(m³/s)
3.781
4.275
4.797
5.345
5.919
6.520
7.147
7.799
8.477
9.181
9.909
10.662
11.441
12.243
13.070
13.922
14.797
Vandspejlskote
(m DNN)
13.55
13.60
13.65
13.70
13.75
13.80
13.85
13.90
13.95
14.00
14.05
14.10
14.15
14.20
14.25
14.30
14.35
Vedligeholdelses-
kurve
Vandspejlskote
(m DNN)
13.45
13.50
13.55
13.60
13.65
13.70
13.75
13.80
13.85
13.90
13.95
14.00
14.05
14.10
14.15
14.20
14.25
Regulativ for Odense Å, marts 2004
MOF, Alm.del - 2019-20 - Endeligt svar på spørgsmål 397: Spm. om de gældende regulativer for Odense Å og Odense Fjord, til miljøministeren
2147346_0044.png
- 40 -
H(m)
14.50
Oversvømmelsesgrænse
14.25
14.00
13.75
13.50
13.25
13.00
12.75
12.50
ODENSE Å, ST. 27788
Sommer 10 år
Sommer 2 år
Sommer 5 år
0
5
10
15
20
25
Vedligeholdelseskurve
Kravkurve
Krav-
kurve
Vandføring
(m³/s)
2.830
3.259
3.714
4.197
4.706
5.241
5.802
6.390
7.002
7.640
8.303
8.991
9.704
10.441
11.203
11.989
12.799
Vandspejlskote
(m DNN)
13.55
13.60
13.65
13.70
13.75
13.80
13.85
13.90
13.95
14.00
14.05
14.10
14.15
14.20
14.25
14.30
14.35
Vedligeholdelses-
kurve
Vandspejlskote
(m DNN)
13.45
13.50
13.55
13.60
13.65
13.70
13.75
13.80
13.85
13.90
13.95
14.00
14.05
14.10
14.15
14.20
14.25
Regulativ for Odense Å, marts 2004
Vinter 10 år
30
35
Q(m³/s)
Vinter 2 år
Vinter 5 år
MOF, Alm.del - 2019-20 - Endeligt svar på spørgsmål 397: Spm. om de gældende regulativer for Odense Å og Odense Fjord, til miljøministeren
2147346_0045.png
- 41 -
H(m)
14.75
Oversvømmelsesgrænse
14.50
14.25
14.00
13.75
13.50
13.25
13.00
12.75
ODENSE Å, ST. 28336
Sommer 10 år
Sommer 2 år
Sommer 5 år
0
5
10
15
20
25
30
Q(m³/s)
Vedligeholdelseskurve
Kravkurve
Krav-
kurve
Vandføring
(m³/s)
4.206
4.694
5.207
5.743
6.304
6.889
7.497
8.129
8.784
9.462
10.163
10.888
11.635
12.404
13.197
14.011
14.848
Vandspejlskote
(m DNN)
13.85
13.90
13.95
14.00
14.05
14.10
14.15
14.20
14.25
14.30
14.35
14.40
14.45
14.50
14.55
14.60
14.65
Vedligeholdelses-
kurve
Vandspejlskote
(m DNN)
13.75
13.80
13.85
13.90
13.95
14.00
14.05
14.10
14.15
14.20
14.25
14.30
14.35
14.40
14.45
14.50
14.55
Regulativ for Odense Å, marts 2004
Vinter 10 år
Vinter 2 år
Vinter 5 år
MOF, Alm.del - 2019-20 - Endeligt svar på spørgsmål 397: Spm. om de gældende regulativer for Odense Å og Odense Fjord, til miljøministeren
2147346_0046.png
- 42 -
H(m)
15.25
15.00
14.75
14.50
14.25
14.00
13.75
13.50
ODENSE Å, ST. 28795
Oversvømmelsesgrænse
Sommer 10 år
Sommer 2 år
Sommer 5 år
Vinter 2 år
13.00
12.75
0
5
10
15
20
Vinter 5 år
25
13.25
30
Q(m³/s)
Vedligeholdelseskurve
Kravkurve
Krav-
kurve
Vandføring
(m³/s)
5.319
5.863
6.431
7.022
7.636
8.273
8.932
9.614
10.318
11.044
11.792
12.562
13.353
14.166
15.000
15.856
16.732
Vandspejlskote
(m DNN)
14.10
14.15
14.20
14.25
14.30
14.35
14.40
14.45
14.50
14.55
14.60
14.65
14.70
14.75
14.80
14.85
14.90
Vedligeholdelses-
kurve
Vandspejlskote
(m DNN)
14.00
14.05
14.10
14.15
14.20
14.25
14.30
14.35
14.40
14.45
14.50
14.55
14.60
14.65
14.70
14.75
14.80
Regulativ for Odense Å, marts 2004
Vinter 10 år
MOF, Alm.del - 2019-20 - Endeligt svar på spørgsmål 397: Spm. om de gældende regulativer for Odense Å og Odense Fjord, til miljøministeren
2147346_0047.png
- 43 -
H(m)
15.25
Oversvømmelsesgrænse
15.00
14.75
14.50
14.25
14.00
13.75
13.50
13.25
ODENSE Å, ST. 29283
Sommer 10 år
Sommer 2 år
Sommer 5 år
0
5
10
15
20
25
30
Q(m³/s)
Vedligeholdelseskurve
Kravkurve
Krav-
kurve
Vandføring
(m³/s)
6.556
7.165
7.796
8.449
9.124
9.821
10.539
11.278
12.037
12.817
13.618
14.438
15.278
16.138
17.018
17.917
18.835
Vandspejlskote
(m DNN)
14.35
14.40
14.45
14.50
14.55
14.60
14.65
14.70
14.75
14.80
14.85
14.90
14.95
15.00
15.05
15.10
15.15
Vedligeholdelses-
kurve
Vandspejlskote
(m DNN)
14.25
14.30
14.35
14.40
14.45
14.50
14.55
14.60
14.65
14.70
14.75
14.80
14.85
14.90
14.95
15.00
15.05
Regulativ for Odense Å, marts 2004
Vinter 10 år
Vinter 2 år
Vinter 5 år
MOF, Alm.del - 2019-20 - Endeligt svar på spørgsmål 397: Spm. om de gældende regulativer for Odense Å og Odense Fjord, til miljøministeren
2147346_0048.png
- 44 -
H(m)
15.25
15.00
14.75
14.50
14.25
14.00
13.75
13.50
13.25
ODENSE Å, ST. 29782
Oversvømmelsesgrænse
Sommer 10 år
Sommer 2 år
Sommer 5 år
0
5
10
15
20
25
30
Q(m³/s)
Vedligeholdelseskurve
Kravkurve
Krav-
kurve
Vandføring
(m³/s)
1.536
1.865
2.223
2.607
3.019
3.457
3.921
4.411
4.926
5.466
6.031
6.620
7.233
7.870
8.531
9.216
9.923
Vandspejlskote
(m DNN)
14.05
14.10
14.15
14.20
14.25
14.30
14.35
14.40
14.45
14.50
14.55
14.60
14.65
14.70
14.75
14.80
14.85
Vedligeholdelses-
kurve
Vandspejlskote
(m DNN)
13.95
14.00
14.05
14.10
14.15
14.20
14.25
14.30
14.35
14.40
14.45
14.50
14.55
14.60
14.65
14.70
14.75
Regulativ for Odense Å, marts 2004
Vinter 10 år
Vinter 2 år
Vinter 5 år
MOF, Alm.del - 2019-20 - Endeligt svar på spørgsmål 397: Spm. om de gældende regulativer for Odense Å og Odense Fjord, til miljøministeren
2147346_0049.png
- 45 -
H(m)
15.50
15.25
15.00
14.75
14.50
14.25
14.00
ODENSE Å, ST. 30286
Oversvømmelsesgrænse
Sommer 2 år
Sommer 5 år
13.50
13.25
0
5
10
15
20
25
30
Q(m³/s)
Vedligeholdelseskurve
Kravkurve
Krav-
kurve
Vandføring
(m³/s)
2.199
2.577
2.982
3.413
3.870
4.352
4.860
5.392
5.948
6.529
7.133
7.762
8.414
9.089
9.787
10.509
11.253
Vandspejlskote
(m DNN)
14.35
14.40
14.45
14.50
14.55
14.60
14.65
14.70
14.75
14.80
14.85
14.90
14.95
15.00
15.05
15.10
15.15
Vedligeholdelses-
kurve
Vandspejlskote
(m DNN)
14.25
14.30
14.35
14.40
14.45
14.50
14.55
14.60
14.65
14.70
14.75
14.80
14.85
14.90
14.95
15.00
15.05
Regulativ for Odense Å, marts 2004
Vinter 10 år
Vinter 2 år
Vinter 5 år
13.75
Sommer 10 år
MOF, Alm.del - 2019-20 - Endeligt svar på spørgsmål 397: Spm. om de gældende regulativer for Odense Å og Odense Fjord, til miljøministeren
2147346_0050.png
- 46 -
H(m)
16.00
15.75
15.50
15.25
15.00
14.75
14.50
14.25
ODENSE Å, ST. 30792
Oversvømmelsesgrænse
Sommer 10 år
Sommer 2 år
Sommer 5 år
Vinter 2 år
13.75
13.50
0
5
10
15
20
Vinter 5 år
25
14.00
30
Q(m³/s)
Vedligeholdelseskurve
Kravkurve
Krav-
kurve
Vandføring
(m³/s)
5.344
5.897
6.473
7.073
7.696
8.343
9.013
9.706
10.422
11.160
11.920
12.703
13.508
14.335
15.183
16.054
16.945
Vandspejlskote
(m DNN)
14.90
14.95
15.00
15.05
15.10
15.15
15.20
15.25
15.30
15.35
15.40
15.45
15.50
15.55
15.60
15.65
15.70
Vedligeholdelses-
kurve
Vandspejlskote
(m DNN)
14.80
14.85
14.90
14.95
15.00
15.05
15.10
15.15
15.20
15.25
15.30
15.35
15.40
15.45
15.50
15.55
15.60
Regulativ for Odense Å, marts 2004
Vinter 10 år
MOF, Alm.del - 2019-20 - Endeligt svar på spørgsmål 397: Spm. om de gældende regulativer for Odense Å og Odense Fjord, til miljøministeren
2147346_0051.png
- 47 -
H(m)
16.25
16.00
15.75
15.50
15.25
15.00
14.75
14.50
ODENSE Å, ST. 31289
Oversvømmelsesgrænse
Sommer 10 år
14.25
Sommer 2 år
Sommer 5 år
14.00
13.75
13.50
0
5
10
15
20
25
30
Q(m³/s)
Vedligeholdelseskurve
Kravkurve
Krav-
kurve
Vandføring
(m³/s)
6.008
6.590
7.195
7.824
8.476
9.150
9.847
10.567
11.309
12.072
12.858
13.665
14.494
15.344
16.216
17.108
18.022
Vandspejlskote
(m DNN)
15.15
15.20
15.25
15.30
15.35
15.40
15.45
15.50
15.55
15.60
15.65
15.70
15.75
15.80
15.85
15.90
15.95
Vedligeholdelses-
kurve
Vandspejlskote
(m DNN)
15.05
15.10
15.15
15.20
15.25
15.30
15.35
15.40
15.45
15.50
15.55
15.60
15.65
15.70
15.75
15.80
15.85
Regulativ for Odense Å, marts 2004
Vinter 10 år
Vinter 2 år
Vinter 5 år
MOF, Alm.del - 2019-20 - Endeligt svar på spørgsmål 397: Spm. om de gældende regulativer for Odense Å og Odense Fjord, til miljøministeren
2147346_0052.png
- 48 -
H(m)
16.75
Oversvømmelsesgrænse
16.50
16.25
16.00
15.75
15.50
15.25
15.00
ODENSE Å, ST. 31796
Sommer 10 år
14.75
Sommer 2 år
Sommer 5 år
14.50
14.25
14.00
0
5
10
15
20
25
30
Q(m³/s)
Vedligeholdelseskurve
Kravkurve
Krav-
kurve
Vandføring
(m³/s)
10.215
10.936
11.679
12.446
13.234
14.046
14.879
15.735
16.613
17.514
18.436
19.380
20.346
21.334
22.344
23.375
24.428
Vandspejlskote
(m DNN)
15.75
15.80
15.85
15.90
15.95
16.00
16.05
16.10
16.15
16.20
16.25
16.30
16.35
16.40
16.45
16.50
16.55
Vedligeholdelses-
kurve
Vandspejlskote
(m DNN)
15.65
15.70
15.75
15.80
15.85
15.90
15.95
16.00
16.05
16.10
16.15
16.20
16.25
16.30
16.35
16.40
16.45
Regulativ for Odense Å, marts 2004
Vinter 10 år
Vinter 2 år
Vinter 5 år
MOF, Alm.del - 2019-20 - Endeligt svar på spørgsmål 397: Spm. om de gældende regulativer for Odense Å og Odense Fjord, til miljøministeren
2147346_0053.png
- 49 -
H(m)
16.75
16.50
16.25
16.00
15.75
15.50
15.25
15.00
ODENSE Å, ST. 32286
Oversvømmelsesgrænse
Sommer 10 år
Sommer 2 år
Sommer 5 år
Vinter 2 år
14.50
14.25
0
5
10
15
20
Vinter 5 år
25
14.75
30
Q(m³/s)
Vedligeholdelseskurve
Kravkurve
Krav-
kurve
Vandføring
(m³/s)
6.203
6.783
7.385
8.009
8.654
9.320
10.008
10.716
11.444
12.193
12.962
13.751
14.560
15.389
16.237
17.104
17.990
Vandspejlskote
(m DNN)
15.55
15.60
15.65
15.70
15.75
15.80
15.85
15.90
15.95
16.00
16.05
16.10
16.15
16.20
16.25
16.30
16.35
Vedligeholdelses-
kurve
Vandspejlskote
(m DNN)
15.45
15.50
15.55
15.60
15.65
15.70
15.75
15.80
15.85
15.90
15.95
16.00
16.05
16.10
16.15
16.20
16.25
Regulativ for Odense Å, marts 2004
Vinter 10 år
MOF, Alm.del - 2019-20 - Endeligt svar på spørgsmål 397: Spm. om de gældende regulativer for Odense Å og Odense Fjord, til miljøministeren
2147346_0054.png
- 50 -
H(m)
17.00
16.75
16.50
16.25
16.00
15.75
15.50
15.25
ODENSE Å, ST. 32793
Oversvømmelsesgrænse
Sommer 10 år
15.00
Sommer 2 år
Sommer 5 år
14.75
14.50
14.25
0
5
10
15
20
Vinter 10 år
25
30
Q(m³/s)
Vedligeholdelses-
kurve
Vandspejlskote
(m DNN)
15.70
15.75
15.80
15.85
15.90
15.95
16.00
16.05
16.10
16.15
16.20
16.25
16.30
16.35
16.40
16.45
16.50
Vinter 2 år
Vedligeholdelseskurve
Kravkurve
Krav-
kurve
Vandføring
(m³/s)
5.849
6.380
6.930
7.499
8.088
8.695
9.321
9.966
10.629
11.310
12.010
12.727
13.462
14.214
14.984
15.772
16.576
Vandspejlskote
(m DNN)
15.80
15.85
15.90
15.95
16.00
16.05
16.10
16.15
16.20
16.25
16.30
16.35
16.40
16.45
16.50
16.55
16.60
Regulativ for Odense Å, marts 2004
Vinter 5 år
MOF, Alm.del - 2019-20 - Endeligt svar på spørgsmål 397: Spm. om de gældende regulativer for Odense Å og Odense Fjord, til miljøministeren
2147346_0055.png
- 51 -
H(m)
17.00
16.75
16.50
16.25
16.00
15.75
15.50
15.25
ODENSE Å, ST. 33308
Oversvømmelsesgrænse
Sommer 10 år
Sommer 2 år
Sommer 5 år
Vinter 2 år
14.75
14.50
0
5
10
15
Vinter 5 år
20
15.00
Vedligeholdelseskurve
Kravkurve
Krav-
kurve
Vandføring
(m³/s)
4.566
5.036
5.524
6.030
6.554
7.095
7.653
8.228
8.819
9.426
10.049
10.688
11.343
12.013
12.698
13.399
14.114
Vandspejlskote
(m DNN)
15.85
15.90
15.95
16.00
16.05
16.10
16.15
16.20
16.25
16.30
16.35
16.40
16.45
16.50
16.55
16.60
16.65
Vedligeholdelses-
kurve
Vandspejlskote
(m DNN)
15.75
15.80
15.85
15.90
15.95
16.00
16.05
16.10
16.15
16.20
16.25
16.30
16.35
16.40
16.45
16.50
16.55
Regulativ for Odense Å, marts 2004
Vinter 10 år
25
Q(m³/s)
MOF, Alm.del - 2019-20 - Endeligt svar på spørgsmål 397: Spm. om de gældende regulativer for Odense Å og Odense Fjord, til miljøministeren
2147346_0056.png
- 52 -
H(m)
17.00
16.75
16.50
16.25
16.00
15.75
15.50
ODENSE Å, ST. 33797
Oversvømmelsesgrænse
Sommer 2 år
Sommer 5 år
15.00
14.75
0
5
10
15
20
Vedligeholdelseskurve
Kravkurve
Krav-
kurve
Vandføring
(m³/s)
4.044
4.503
4.982
5.481
6.000
6.539
7.096
7.672
8.266
8.879
9.510
10.159
10.825
11.509
12.210
12.929
13.664
Vandspejlskote
(m DNN)
16.00
16.05
16.10
16.15
16.20
16.25
16.30
16.35
16.40
16.45
16.50
16.55
16.60
16.65
16.70
16.75
16.80
Vedligeholdelses-
kurve
Vandspejlskote
(m DNN)
15.90
15.95
16.00
16.05
16.10
16.15
16.20
16.25
16.30
16.35
16.40
16.45
16.50
16.55
16.60
16.65
16.70
Regulativ for Odense Å, marts 2004
Vinter 10 år
25
Q(m³/s)
Vinter 2 år
Vinter 5 år
15.25
Sommer 10 år
MOF, Alm.del - 2019-20 - Endeligt svar på spørgsmål 397: Spm. om de gældende regulativer for Odense Å og Odense Fjord, til miljøministeren
2147346_0057.png
- 53 -
H(m)
17.50
17.25
ODENSE Å, ST. 34294
Oversvømmelsesgrænse
17.00
16.75
16.50
16.25
16.00
15.75
Sommer 10 år
Sommer 2 år
Sommer 5 år
Vinter 2 år
Vinter 5 år
20
15.50
15.25
15.00
Vinter 10 år
25
Q(m³/s)
16.15
16.20
16.25
16.30
16.35
16.40
16.45
16.50
16.55
16.60
16.65
16.70
16.75
16.80
16.85
16.90
16.95
0
5
10
15
Vedligeholdelseskurve
Kravkurve
Krav-
kurve
Vandføring
(m³/s)
4.394
4.870
5.367
5.885
6.423
6.981
7.558
8.156
8.773
9.409
10.064
10.738
11.431
12.142
12.872
13.619
14.385
Vandspejlskote
(m DNN)
16.25
16.30
16.35
16.40
16.45
16.50
16.55
16.60
16.65
16.70
16.75
16.80
16.85
16.90
16.95
17.00
17.05
Vedligeholdelses-
kurve
Vandspejlskote
(m DNN)
Regulativ for Odense Å, marts 2004
MOF, Alm.del - 2019-20 - Endeligt svar på spørgsmål 397: Spm. om de gældende regulativer for Odense Å og Odense Fjord, til miljøministeren
2147346_0058.png
- 54 -
H(m)
18.00
17.75
17.50
17.25
17.00
16.75
16.50
16.25
16.00
ODENSE Å, ST. 34793
Sommer 10 år
Sommer 2 år
Sommer 5 år
15.75
15.50
15.25
15.00
0
5
10
15
20
Vedligeholdelseskurve
Kravkurve
Krav-
kurve
Vandføring
(m³/s)
11.025
11.729
12.450
13.187
13.942
14.714
15.502
16.307
17.128
17.965
18.818
19.687
20.572
21.472
22.388
23.319
24.265
Vandspejlskote
(m DNN)
16.95
17.00
17.05
17.10
17.15
17.20
17.25
17.30
17.35
17.40
17.45
17.50
17.55
17.60
17.65
17.70
17.75
Vedligeholdelses-
kurve
Vandspejlskote
(m DNN)
16.85
16.90
16.95
17.00
17.05
17.10
17.15
17.20
17.25
17.30
17.35
17.40
17.45
17.50
17.55
17.60
17.65
Regulativ for Odense Å, marts 2004
Vinter 10 år
25
Q(m³/s)
Vinter 2 år
Vinter 5 år
MOF, Alm.del - 2019-20 - Endeligt svar på spørgsmål 397: Spm. om de gældende regulativer for Odense Å og Odense Fjord, til miljøministeren
2147346_0059.png
- 55 -
H(m)
17.50
Oversvømmelsesgrænse
17.25
17.00
16.75
16.50
16.25
16.00
Sommer 2 år
Sommer 5 år
ODENSE Å, ST. 35198
15.50
15.25
0
5
10
15
20
Vedligeholdelseskurve
Kravkurve
Krav-
kurve
Vandføring
(m³/s)
4.243
4.733
5.245
5.778
6.333
6.909
7.505
8.122
8.759
9.417
10.093
10.789
11.505
12.239
12.993
13.765
14.555
Vandspejlskote
(m DNN)
16.55
16.60
16.65
16.70
16.75
16.80
16.85
16.90
16.95
17.00
17.05
17.10
17.15
17.20
17.25
17.30
17.35
Vedligeholdelses-
kurve
Vandspejlskote
(m DNN)
16.45
16.50
16.55
16.60
16.65
16.70
16.75
16.80
16.85
16.90
16.95
17.00
17.05
17.10
17.15
17.20
17.25
Regulativ for Odense Å, marts 2004
Vinter 10 år
25
Q(m³/s)
Vinter 2 år
Vinter 5 år
15.75
Sommer 10 år
MOF, Alm.del - 2019-20 - Endeligt svar på spørgsmål 397: Spm. om de gældende regulativer for Odense Å og Odense Fjord, til miljøministeren
2147346_0060.png
- 56 -
H(m)
17.75
17.50
17.25
17.00
16.75
16.50
16.25
ODENSE Å, ST. 35698
Oversvømmelsesgrænse
Sommer 2 år
Sommer 5 år
15.75
15.50
0
5
10
15
20
Vedligeholdelseskurve
Kravkurve
Krav-
kurve
Vandføring
(m³/s)
2.645
3.058
3.495
3.956
4.441
4.948
5.478
6.030
6.604
7.200
7.816
8.454
9.112
9.790
10.488
11.206
11.944
Vandspejlskote
(m DNN)
16.55
16.60
16.65
16.70
16.75
16.80
16.85
16.90
16.95
17.00
17.05
17.10
17.15
17.20
17.25
17.30
17.35
Vedligeholdelses-
kurve
Vandspejlskote
(m DNN)
16.45
16.50
16.55
16.60
16.65
16.70
16.75
16.80
16.85
16.90
16.95
17.00
17.05
17.10
17.15
17.20
17.25
Regulativ for Odense Å, marts 2004
Vinter 10 år
25
Q(m³/s)
Vinter 2 år
Vinter 5 år
16.00
Sommer 10 år
MOF, Alm.del - 2019-20 - Endeligt svar på spørgsmål 397: Spm. om de gældende regulativer for Odense Å og Odense Fjord, til miljøministeren
2147346_0061.png
- 57 -
H(m)
19.00
18.75
18.50
18.25
18.00
17.75
17.50
17.25
17.00
ODENSE Å, ST. 36338
Oversvømmelsesgrænse
Sommer 10 år
Sommer 2 år
Sommer 5 år
0
5
10
15
20
Vedligeholdelseskurve
Kravkurve
Krav-
kurve
Vandføring
(m³/s)
3.006
3.467
3.960
4.487
5.047
5.640
6.266
6.926
7.619
8.345
9.104
9.897
10.723
11.582
12.475
13.401
14.361
Vandspejlskote
(m DNN)
17.80
17.85
17.90
17.95
18.00
18.05
18.10
18.15
18.20
18.25
18.30
18.35
18.40
18.45
18.50
18.55
18.60
Vedligeholdelses-
kurve
Vandspejlskote
(m DNN)
17.70
17.75
17.80
17.85
17.90
17.95
18.00
18.05
18.10
18.15
18.20
18.25
18.30
18.35
18.40
18.45
18.50
Regulativ for Odense Å, marts 2004
Vinter 10 år
25
Q(m³/s)
Vinter 2 år
Vinter 5 år
MOF, Alm.del - 2019-20 - Endeligt svar på spørgsmål 397: Spm. om de gældende regulativer for Odense Å og Odense Fjord, til miljøministeren
2147346_0062.png
- 58 -
H(m)
19.00
18.75
18.50
18.25
18.00
17.75
17.50
17.25
17.00
ODENSE Å, ST. 36791
Oversvømmelsesgrænse
Sommer 10 år
Sommer 2 år
Sommer 5 år
0
5
10
15
20
Vedligeholdelseskurve
Kravkurve
Krav-
kurve
Vandføring
(m³/s)
2.560
2.978
3.425
3.902
4.408
4.943
5.507
6.100
6.721
7.370
8.047
8.753
9.486
10.247
11.036
11.852
12.696
Vandspejlskote
(m DNN)
17.90
17.95
18.00
18.05
18.10
18.15
18.20
18.25
18.30
18.35
18.40
18.45
18.50
18.55
18.60
18.65
18.70
Vedligeholdelses-
kurve
Vandspejlskote
(m DNN)
17.80
17.85
17.90
17.95
18.00
18.05
18.10
18.15
18.20
18.25
18.30
18.35
18.40
18.45
18.50
18.55
18.60
Regulativ for Odense Å, marts 2004
Vinter 10 år
25
Q(m³/s)
Vinter 2 år
Vinter 5 år
MOF, Alm.del - 2019-20 - Endeligt svar på spørgsmål 397: Spm. om de gældende regulativer for Odense Å og Odense Fjord, til miljøministeren
2147346_0063.png
- 59 -
H(m)
19.25
19.00
18.75
18.50
18.25
18.00
17.75
17.50
17.25
ODENSE Å, ST. 37305
Oversvømmelsesgrænse
Sommer 10 år
Sommer 2 år
Sommer 5 år
0
5
10
15
20
Vinter 10 år
25
Q(m³/s)
18.10
18.15
18.20
18.25
18.30
18.35
18.40
18.45
18.50
18.55
18.60
18.65
18.70
18.75
18.80
18.85
18.90
Vinter 2 år
Vedligeholdelseskurve
Kravkurve
Krav-
kurve
Vandføring
(m³/s)
3.477
3.954
4.459
4.990
5.548
6.132
6.741
7.377
8.038
8.724
9.436
10.172
10.932
11.717
12.527
13.360
14.217
Vandspejlskote
(m DNN)
18.20
18.25
18.30
18.35
18.40
18.45
18.50
18.55
18.60
18.65
18.70
18.75
18.80
18.85
18.90
18.95
19.00
Vedligeholdelses-
kurve
Vandspejlskote
(m DNN)
Regulativ for Odense Å, marts 2004
Vinter 5 år
MOF, Alm.del - 2019-20 - Endeligt svar på spørgsmål 397: Spm. om de gældende regulativer for Odense Å og Odense Fjord, til miljøministeren
2147346_0064.png
- 60 -
H(m)
19.25
19.00
18.75
18.50
18.25
18.00
17.75
17.50
17.25
ODENSE Å, ST. 37642
Oversvømmelsesgrænse
Sommer 10 år
Sommer 2 år
Sommer 5 år
0
5
10
15
20
Vinter 10 år
25
Q(m³/s)
18.15
18.20
18.25
18.30
18.35
18.40
18.45
18.50
18.55
18.60
18.65
18.70
18.75
18.80
18.85
18.90
18.95
Vinter 2 år
Vedligeholdelseskurve
Kravkurve
Krav-
kurve
Vandføring
(m³/s)
2.765
3.200
3.662
4.152
4.668
5.211
5.780
6.374
6.995
7.640
8.310
9.005
9.725
10.469
11.236
12.028
12.843
Vandspejlskote
(m DNN)
18.25
18.30
18.35
18.40
18.45
18.50
18.55
18.60
18.65
18.70
18.75
18.80
18.85
18.90
18.95
19.00
19.05
Vedligeholdelses-
kurve
Vandspejlskote
(m DNN)
Regulativ for Odense Å, marts 2004
Vinter 5 år
MOF, Alm.del - 2019-20 - Endeligt svar på spørgsmål 397: Spm. om de gældende regulativer for Odense Å og Odense Fjord, til miljøministeren
2147346_0065.png
- 61 -
H(m)
20.00
ODENSE Å, ST. 38026
19.75
Oversvømmelsesgrænse
19.50
19.25
19.00
18.75
Sommer 10 år
Sommer 2 år
Sommer 5 år
Vinter 10 år
20
25
Q(m³/s)
18.75
18.80
18.85
18.90
18.95
19.00
19.05
19.10
19.15
19.20
19.25
19.30
19.35
19.40
19.45
19.50
19.55
Vinter 2 år
Vinter 5 år
18.50
18.25
0
5
10
15
Vedligeholdelseskurve
Kravkurve
Krav-
kurve
Vandføring
(m³/s)
1.568
1.913
2.298
2.722
3.186
3.691
4.237
4.826
5.457
6.132
6.850
7.613
8.420
9.273
10.172
11.117
12.109
Vandspejlskote
(m DNN)
18.85
18.90
18.95
19.00
19.05
19.10
19.15
19.20
19.25
19.30
19.35
19.40
19.45
19.50
19.55
19.60
19.65
Vedligeholdelses-
kurve
Vandspejlskote
(m DNN)
Regulativ for Odense Å, marts 2004
MOF, Alm.del - 2019-20 - Endeligt svar på spørgsmål 397: Spm. om de gældende regulativer for Odense Å og Odense Fjord, til miljøministeren
2147346_0066.png
- 62 -
H(m)
20.25
ODENSE Å, ST. 38572
Oversvømmelsesgrænse
20.00
19.75
19.50
19.25
Sommer 10 år
Sommer 2 år
Sommer 5 år
Vinter 10 år
20
25
Q(m³/s)
19.10
19.15
19.20
19.25
19.30
19.35
19.40
19.45
19.50
19.55
19.60
19.65
19.70
19.75
19.80
19.85
19.90
Vinter 2 år
19.00
18.75
0
5
10
15
Vedligeholdelseskurve
Kravkurve
Krav-
kurve
Vandføring
(m³/s)
0.445
0.635
0.848
1.085
1.342
1.619
1.915
2.230
2.561
2.910
3.276
3.657
4.054
4.466
4.892
5.333
5.788
Vandspejlskote
(m DNN)
19.20
19.25
19.30
19.35
19.40
19.45
19.50
19.55
19.60
19.65
19.70
19.75
19.80
19.85
19.90
19.95
20.00
Vedligeholdelses-
kurve
Vandspejlskote
(m DNN)
Regulativ for Odense Å, marts 2004
Vinter 5 år
MOF, Alm.del - 2019-20 - Endeligt svar på spørgsmål 397: Spm. om de gældende regulativer for Odense Å og Odense Fjord, til miljøministeren
2147346_0067.png
- 63 -
H(m)
20.75
ODENSE Å, ST. 38976
Oversvømmelsesgrænse
20.50
20.25
20.00
19.75
19.50
Sommer 10 år
Sommer 2 år
Sommer 5 år
Vinter 10 år
20
25
Q(m³/s)
Vandspejlskote
(m DNN)
19.65
19.70
19.75
19.80
19.85
19.90
19.95
20.00
20.05
20.10
20.15
20.20
20.25
20.30
20.35
20.40
20.45
Vinter 2 år
Vinter 5 år
19.25
19.00
0
5
10
15
Vedligeholdelseskurve
Kravkurve
Krav-
kurve
Vandføring
(m³/s)
1.265
1.468
1.686
1.920
2.170
2.436
2.719
3.018
3.333
3.665
4.014
4.380
4.762
5.162
5.578
6.012
6.462
Vandspejlskote
(m DNN)
19.75
19.80
19.85
19.90
19.95
20.00
20.05
20.10
20.15
20.20
20.25
20.30
20.35
20.40
20.45
20.50
20.55
Vedligeholdelses-
kurve
Regulativ for Odense Å, marts 2004
MOF, Alm.del - 2019-20 - Endeligt svar på spørgsmål 397: Spm. om de gældende regulativer for Odense Å og Odense Fjord, til miljøministeren
2147346_0068.png
- 64 -
H(m)
21.00
20.75
ODENSE Å, ST. 39463
Oversvømmelsesgrænse
20.50
20.25
20.00
19.75
19.50
19.25
19.00
Sommer 10 år
Sommer 2 år
Sommer 5 år
0
5
10
15
20
Vinter 10 år
25
Q(m³/s)
Vandspejlskote
(m DNN)
19.70
19.75
19.80
19.85
19.90
19.95
20.00
20.05
20.10
20.15
20.20
20.25
20.30
20.35
20.40
20.45
20.50
Vinter 2 år
Vedligeholdelseskurve
Kravkurve
Krav-
kurve
Vandføring
(m³/s)
0.817
0.955
1.104
1.265
1.438
1.623
1.820
2.030
2.251
2.484
2.730
2.989
3.260
3.543
3.839
4.148
4.470
Vandspejlskote
(m DNN)
19.80
19.85
19.90
19.95
20.00
20.05
20.10
20.15
20.20
20.25
20.30
20.35
20.40
20.45
20.50
20.55
20.60
Vedligeholdelses-
kurve
Regulativ for Odense Å, marts 2004
Vinter 5 år
MOF, Alm.del - 2019-20 - Endeligt svar på spørgsmål 397: Spm. om de gældende regulativer for Odense Å og Odense Fjord, til miljøministeren
2147346_0069.png
- 65 -
H(m)
21.25
ODENSE Å, ST. 40066
21.00
Oversvømmelsesgrænse
20.75
20.50
20.25
20.00
Sommer 10 år
Sommer 2 år
Sommer 5 år
Vinter 10 år
20
25
Q(m³/s)
Vandspejlskote
(m DNN)
19.85
19.90
19.95
20.00
20.05
20.10
20.15
20.20
20.25
20.30
20.35
20.40
20.45
20.50
20.55
20.60
20.65
Vinter 2 år
Vinter 5 år
19.75
19.50
0
5
10
15
Vedligeholdelseskurve
Kravkurve
Krav-
kurve
Vandføring
(m³/s)
0.130
0.179
0.239
0.310
0.392
0.486
0.593
0.712
0.846
0.994
1.156
1.334
1.527
1.737
1.963
2.206
2.466
Vandspejlskote
(m DNN)
20.15
20.20
20.25
20.30
20.35
20.40
20.45
20.50
20.55
20.60
20.65
20.70
20.75
20.80
20.85
20.90
20.95
Vedligeholdelses-
kurve
Regulativ for Odense Å, marts 2004
MOF, Alm.del - 2019-20 - Endeligt svar på spørgsmål 397: Spm. om de gældende regulativer for Odense Å og Odense Fjord, til miljøministeren
2147346_0070.png
- 66 -
H(m)
25.00
ODENSE Å, ST. 44075 m
24.75
Oversvømmelsesgrænse
24.50
24.25
24.00
Sommer 10 år
Sommer 2 år
Sommer 5 år
Vinter 2 år
23.50
0
5
10
15
Vinter 5 år
23.75
20
Q(m³/s)
Vedligeholdelseskurve
Kravkurve
Krav-
kurve
Vandføring
(m³/s)
0.244
0.371
0.523
0.702
0.905
1.134
1.388
1.667
1.971
2.300
2.654
3.033
3.436
3.864
4.316
4.793
5.294
Vandspejlskote
(m DNN)
23.95
24.00
24.05
24.10
24.15
24.20
24.25
24.30
24.35
24.40
24.45
24.50
24.55
24.60
24.65
24.70
24.75
Vedligeholdelses-
kurve
Vandspejlskote
(m DNN)
23.65
23.70
23.75
23.80
23.85
23.90
23.95
24.00
24.05
24.10
24.15
24.20
24.25
24.30
24.35
24.40
24.45
Regulativ for Odense Å, marts 2004
Vinter 10 år
MOF, Alm.del - 2019-20 - Endeligt svar på spørgsmål 397: Spm. om de gældende regulativer for Odense Å og Odense Fjord, til miljøministeren
2147346_0071.png
- 67 -
H(m)
26.00
ODENSE Å, ST. 44669
25.75 Oversvømmelsesgrænse
25.50
25.25
25.00
24.75
24.50
Sommer 10 år
24.25
24.00
23.75
Sommer 2 år
Sommer 5 år
0
5
10
15
20
Q(m³/s)
Vedligeholdelseskurve
Kravkurve
Krav-
kurve
Vandføring
(m³/s)
3.095
3.490
3.909
4.353
4.821
5.315
5.833
6.376
6.945
7.538
8.157
8.801
9.470
10.165
10.885
11.630
12.401
Vandspejlskote
(m DNN)
24.85
24.90
24.95
25.00
25.05
25.10
25.15
25.20
25.25
25.30
25.35
25.40
25.45
25.50
25.55
25.60
25.65
Vedligeholdelses-
kurve
Vandspejlskote
(m DNN)
24.55
24.60
24.65
24.70
24.75
24.80
24.85
24.90
24.95
25.00
25.05
25.10
25.15
25.20
25.25
25.30
25.35
Regulativ for Odense Å, marts 2004
Vinter 10 år
Vinter 2 år
Vinter 5 år
MOF, Alm.del - 2019-20 - Endeligt svar på spørgsmål 397: Spm. om de gældende regulativer for Odense Å og Odense Fjord, til miljøministeren
2147346_0072.png
- 68 -
H(m)
26.00
ODENSE Å, ST. 45232
25.75 Oversvømmelsesgrænse
25.50
25.25
25.00
24.75
24.50
Sommer 10 år
24.25
24.00
23.75
Sommer 2 år
Sommer 5 år
0
5
10
15
20
Q(m³/s)
Vedligeholdelseskurve
Kravkurve
Krav-
kurve
Vandføring
(m³/s)
1.748
2.033
2.339
2.666
3.015
3.385
3.775
4.187
4.621
5.075
5.550
6.047
6.564
7.103
7.662
8.243
8.844
Vandspejlskote
(m DNN)
24.85
24.90
24.95
25.00
25.05
25.10
25.15
25.20
25.25
25.30
25.35
25.40
25.45
25.50
25.55
25.60
25.65
Vedligeholdelses-
kurve
Vandspejlskote
(m DNN)
24.55
24.60
24.65
24.70
24.75
24.80
24.85
24.90
24.95
25.00
25.05
25.10
25.15
25.20
25.25
25.30
25.35
Regulativ for Odense Å, marts 2004
Vinter 10 år
Vinter 2 år
Vinter 5 år
MOF, Alm.del - 2019-20 - Endeligt svar på spørgsmål 397: Spm. om de gældende regulativer for Odense Å og Odense Fjord, til miljøministeren
2147346_0073.png
- 69 -
H(m)
26.50
26.25
26.00
25.75
25.50
25.25
25.00
Sommer 2 år
ODENSE Å, ST. 46277
Oversvømmelsesgrænse
Sommer 10 år
Sommer 5 år
24.75
24.50
0.0
2.5
5.0
7.5
10.0
Vinter 10 år
12.5
15.0
Q(m³/s)
Vandspejlskote
(m DNN)
25.25
25.30
25.35
25.40
25.45
25.50
25.55
25.60
25.65
25.70
25.75
25.80
25.85
25.90
25.95
26.00
26.05
Vinter 2 år
Vedligeholdelseskurve
Kravkurve
Krav-
kurve
Vandføring
(m³/s)
1.669
1.936
2.220
2.521
2.840
3.176
3.529
3.899
4.286
4.688
5.108
5.543
5.995
6.462
6.945
7.445
7.959
Vandspejlskote
(m DNN)
25.35
25.40
25.45
25.50
25.55
25.60
25.65
25.70
25.75
25.80
25.85
25.90
25.95
26.00
26.05
26.10
26.15
Vedligeholdelses-
kurve
Regulativ for Odense Å, marts 2004
Vinter 5 år
MOF, Alm.del - 2019-20 - Endeligt svar på spørgsmål 397: Spm. om de gældende regulativer for Odense Å og Odense Fjord, til miljøministeren
2147346_0074.png
- 70 -
H(m)
26.75
26.50
26.25
26.00
25.75
25.50
25.25
Sommer 2 år
ODENSE Å, ST. 46798
Oversvømmelsesgrænse
Sommer 10 år
Sommer 5 år
25.00
24.75
0.0
2.5
5.0
7.5
10.0
12.5
Q(m³/s)
Vedligeholdelseskurve
Kravkurve
Krav-
kurve
Vandføring
(m³/s)
1.125
1.368
1.631
1.913
2.213
2.531
2.866
3.218
3.587
3.972
4.374
4.792
5.225
5.673
6.137
6.615
7.109
Vandspejlskote
(m DNN)
25.55
25.60
25.65
25.70
25.75
25.80
25.85
25.90
25.95
26.00
26.05
26.10
26.15
26.20
26.25
26.30
26.35
Vedligeholdelses-
kurve
Vandspejlskote
(m DNN)
25.45
25.50
25.55
25.60
25.65
25.70
25.75
25.80
25.85
25.90
25.95
26.00
26.05
26.10
26.15
26.20
26.25
Regulativ for Odense Å, marts 2004
Vinter 10 år
Vinter 2 år
Vinter 5 år
MOF, Alm.del - 2019-20 - Endeligt svar på spørgsmål 397: Spm. om de gældende regulativer for Odense Å og Odense Fjord, til miljøministeren
2147346_0075.png
- 71 -
H(m)
27.00
26.75
26.50
26.25
26.00
25.75
25.50
Sommer 2 år
ODENSE Å, ST. 47398
Oversvømmelsesgrænse
Sommer 10 år
Sommer 5 år
25.25
25.00
0.0
2.5
5.0
7.5
10.0
12.5
Q(m³/s)
Vedligeholdelseskurve
Kravkurve
Krav-
kurve
Vandføring
(m³/s)
1.024
1.233
1.461
1.708
1.973
2.256
2.558
2.877
3.215
3.571
3.944
4.336
4.745
5.172
5.616
6.078
6.558
Vandspejlskote
(m DNN)
26.00
26.05
26.10
26.15
26.20
26.25
26.30
26.35
26.40
26.45
26.50
26.55
26.60
26.65
26.70
26.75
26.80
Vedligeholdelses-
kurve
Vandspejlskote
(m DNN)
25.90
25.95
26.00
26.05
26.10
26.15
26.20
26.25
26.30
26.35
26.40
26.45
26.50
26.55
26.60
26.65
26.70
Regulativ for Odense Å, marts 2004
Vinter 10 år
Vinter 2 år
Vinter 5 år
MOF, Alm.del - 2019-20 - Endeligt svar på spørgsmål 397: Spm. om de gældende regulativer for Odense Å og Odense Fjord, til miljøministeren
2147346_0076.png
- 72 -
H(m)
27.00
Oversvømmelsesgrænse
26.75
ODENSE Å, ST. 47869
26.50
26.25
26.00
25.75
Sommer 10 år
Sommer 2 år
Sommer 5 år
Vinter 10 år
12.5
Q(m³/s)
25.95
26.00
26.05
26.10
26.15
26.20
26.25
26.30
26.35
26.40
26.45
26.50
26.55
26.60
26.65
26.70
26.75
Vinter 2 år
Vinter 5 år
10.0
25.50
25.25
0.0
2.5
5.0
7.5
Vedligeholdelseskurve
Kravkurve
Krav-
kurve
Vandføring
(m³/s)
0.335
0.466
0.617
0.787
0.976
1.183
1.409
1.652
1.912
2.191
2.486
2.798
3.127
3.473
3.835
4.214
4.609
Vandspejlskote
(m DNN)
26.05
26.10
26.15
26.20
26.25
26.30
26.35
26.40
26.45
26.50
26.55
26.60
26.65
26.70
26.75
26.80
26.85
Vedligeholdelses-
kurve
Vandspejlskote
(m DNN)
Regulativ for Odense Å, marts 2004
MOF, Alm.del - 2019-20 - Endeligt svar på spørgsmål 397: Spm. om de gældende regulativer for Odense Å og Odense Fjord, til miljøministeren
2147346_0077.png
- 73 -
H(m)
27.75
27.50
27.25
27.00
26.75
26.50
26.25
Sommer 2 år
ODENSE Å, ST. 48396
Oversvømmelsesgrænse
Sommer 10 år
Sommer 5 år
26.00
25.75
0.0
2.5
5.0
7.5
10.0
Vedligeholdelseskurve
Kravkurve
Krav-
kurve
Vandføring
(m³/s)
0.939
1.146
1.372
1.616
1.878
2.158
2.455
2.769
3.100
3.448
3.813
4.194
4.591
5.005
5.434
5.880
6.341
Vandspejlskote
(m DNN)
26.55
26.60
26.65
26.70
26.75
26.80
26.85
26.90
26.95
27.00
27.05
27.10
27.15
27.20
27.25
27.30
27.35
Vedligeholdelses-
kurve
Vandspejlskote
(m DNN)
26.45
26.50
26.55
26.60
26.65
26.70
26.75
26.80
26.85
26.90
26.95
27.00
27.05
27.10
27.15
27.20
27.25
Regulativ for Odense Å, marts 2004
Vinter 10 år
12.5
Q(m³/s)
Vinter 2 år
Vinter 5 år
MOF, Alm.del - 2019-20 - Endeligt svar på spørgsmål 397: Spm. om de gældende regulativer for Odense Å og Odense Fjord, til miljøministeren
2147346_0078.png
- 74 -
H(m)
28.00
ODENSE Å, ST. 48898
27.75 Oversvømmelsesgrænse
27.50
27.25
27.00
26.75
26.50
Sommer 2 år
Sommer 2 år
26.25
26.00
0.0
Sommer 2 år
5.0
2.5
7.5
10.0
12.5
Q(m³/s)
Vedligeholdelseskurve
Kravkurve
Krav-
kurve
Vandføring
(m³/s)
1.090
1.306
1.539
1.789
2.057
2.341
2.643
2.960
3.294
3.644
4.010
4.393
4.790
5.204
5.633
6.077
6.537
Vandspejlskote
(m DNN)
26.90
26.95
27.00
27.05
27.10
27.15
27.20
27.25
27.30
27.35
27.40
27.45
27.50
27.55
27.60
27.65
27.70
Vedligeholdelses-
kurve
Vandspejlskote
(m DNN)
26.80
26.85
26.90
26.95
27.00
27.05
27.10
27.15
27.20
27.25
27.30
27.35
27.40
27.45
27.50
27.55
27.60
Regulativ for Odense Å, marts 2004
MOF, Alm.del - 2019-20 - Endeligt svar på spørgsmål 397: Spm. om de gældende regulativer for Odense Å og Odense Fjord, til miljøministeren
2147346_0079.png
- 75 -
H(m)
28.25
ODENSE Å, ST. 49402
28.00 Oversvømmelsesgrænse
27.75
27.50
27.25
27.00
26.75
Sommer 2 år
Sommer 5 år
26.50
26.25
0.0
Sommer 10 år
2.5
5.0
7.5
10.0
Vinter 10 år
12.5
Q(m³/s)
27.05
27.10
27.15
27.20
27.25
27.30
27.35
27.40
27.45
27.50
27.55
27.60
27.65
27.70
27.75
27.80
27.85
Vinter 2 år
Vedligeholdelseskurve
Kravkurve
Krav-
kurve
Vandføring
(m³/s)
0.892
1.091
1.308
1.544
1.797
2.067
2.354
2.659
2.980
3.318
3.672
4.043
4.430
4.833
5.251
5.686
6.136
Vandspejlskote
(m DNN)
27.15
27.20
27.25
27.30
27.35
27.40
27.45
27.50
27.55
27.60
27.65
27.70
27.75
27.80
27.85
27.90
27.95
Vedligeholdelses-
kurve
Vandspejlskote
(m DNN)
Regulativ for Odense Å, marts 2004
Vinter 5 år
MOF, Alm.del - 2019-20 - Endeligt svar på spørgsmål 397: Spm. om de gældende regulativer for Odense Å og Odense Fjord, til miljøministeren
2147346_0080.png
- 76 -
H(m)
28.50
ODENSE Å, ST. 49891
28.25
Oversvømmelsesgrænse
28.00
27.75
27.50
27.25
Sommer 10 år
Sommer 2 år
Sommer 5 år
Vinter 10 år
10.0
12.5
Q(m³/s)
27.35
27.40
27.45
27.50
27.55
27.60
27.65
27.70
27.75
27.80
27.85
27.90
27.95
28.00
28.05
28.10
28.15
Vinter 2 år
Vinter 5 år
27.00
26.75
0.0
2.5
5.0
7.5
Vedligeholdelseskurve
Kravkurve
Krav-
kurve
Vandføring
(m³/s)
0.886
1.082
1.297
1.528
1.777
2.043
2.327
2.626
2.943
3.276
3.625
3.990
4.372
4.769
5.182
5.611
6.055
Vandspejlskote
(m DNN)
27.45
27.50
27.55
27.60
27.65
27.70
27.75
27.80
27.85
27.90
27.95
28.00
28.05
28.10
28.15
28.20
28.25
Vedligeholdelses-
kurve
Vandspejlskote
(m DNN)
Regulativ for Odense Å, marts 2004
MOF, Alm.del - 2019-20 - Endeligt svar på spørgsmål 397: Spm. om de gældende regulativer for Odense Å og Odense Fjord, til miljøministeren
2147346_0081.png
- 77 -
H(m)
28.50
ODENSE Å, ST. 50402
Oversvømmelsesgrænse
28.25
28.00
27.75
27.50
Sommer 10 år
Sommer 2 år
Sommer 5 år
Vinter 2 år
27.00
0.0
2.5
5.0
7.5
Vinter 5 år
27.25
10.0
Vinter 10 år
12.5
Q(m³/s)
27.40
27.45
27.50
27.55
27.60
27.65
27.70
27.75
27.80
27.85
27.90
27.95
28.00
28.05
28.10
28.15
28.20
Vedligeholdelseskurve
Kravkurve
Krav-
kurve
Vandføring
(m³/s)
0.204
0.320
0.459
0.619
0.800
1.000
1.219
1.457
1.713
1.987
2.279
2.588
2.913
3.256
3.615
3.990
4.381
Vandspejlskote
(m DNN)
27.50
27.55
27.60
27.65
27.70
27.75
27.80
27.85
27.90
27.95
28.00
28.05
28.10
28.15
28.20
28.25
28.30
Vedligeholdelses-
kurve
Vandspejlskote
(m DNN)
Regulativ for Odense Å, marts 2004
MOF, Alm.del - 2019-20 - Endeligt svar på spørgsmål 397: Spm. om de gældende regulativer for Odense Å og Odense Fjord, til miljøministeren
2147346_0082.png
- 78 -
H(m)
29.25
ODENSE Å, ST. 50908
29.00 Oversvømmelsesgrænse
28.75
28.50
28.25
28.00
Sommer 10 år
Sommer 2 år
Sommer 5 år
Vinter 10 år
10.0
12.5
Q(m³/s)
28.05
28.10
28.15
28.20
28.25
28.30
28.35
28.40
28.45
28.50
28.55
28.60
28.65
28.70
28.75
28.80
28.85
Vinter 2 år
Vinter 5 år
27.75
27.50
0.0
2.5
5.0
7.5
Vedligeholdelseskurve
Kravkurve
Krav-
kurve
Vandføring
(m³/s)
1.074
1.317
1.581
1.865
2.170
2.495
2.839
3.202
3.585
3.985
4.404
4.841
5.296
5.769
6.259
6.766
7.290
Vandspejlskote
(m DNN)
28.15
28.20
28.25
28.30
28.35
28.40
28.45
28.50
28.55
28.60
28.65
28.70
28.75
28.80
28.85
28.90
28.95
Vedligeholdelses-
kurve
Vandspejlskote
(m DNN)
Regulativ for Odense Å, marts 2004
MOF, Alm.del - 2019-20 - Endeligt svar på spørgsmål 397: Spm. om de gældende regulativer for Odense Å og Odense Fjord, til miljøministeren
2147346_0083.png
- 79 -
H(m)
29.0
28.9
28.8
28.7
28.6
28.5
28.4
28.3
Sommer 2 år
ODENSE Å, ST. 51391
Oversvømmelsesgrænse
Sommer 5 år
28.1
28.0
0.0
2.5
5.0
7.5
10.0
Vinter 10 år
12.5
Q(m³/s)
28.10
28.15
28.20
28.25
28.30
28.35
28.40
28.45
28.50
28.55
28.60
28.65
28.70
28.75
28.80
28.2
Sommer 10 år
Vinter 2 år
Vedligeholdelseskurve
Kravkurve
Krav-
kurve
Vandføring
(m³/s)
0.010
0.051
0.121
0.216
0.337
0.481
0.649
0.840
1.053
1.288
1.545
1.822
2.121
2.440
2.780
Vandspejlskote
(m DNN)
28.20
28.25
28.30
28.35
28.40
28.45
28.50
28.55
28.60
28.65
28.70
28.75
28.80
28.85
28.90
Regulativ for Odense Å, marts 2004
Vinter 5 år
Vedligeholdelses-
kurve
Vandspejlskote
(m DNN)
MOF, Alm.del - 2019-20 - Endeligt svar på spørgsmål 397: Spm. om de gældende regulativer for Odense Å og Odense Fjord, til miljøministeren
2147346_0084.png
- 80 -
H(m)
29.6
ODENSE Å, ST. 51880
29.5 Oversvømmelsesgrænse
29.4
29.3
29.2
29.1
29.0
28.9
28.8
28.7
28.6
Sommer 10 år
Sommer 2 år
Sommer 5 år
28.5
28.4
28.3
28.2
0
Vinter 10 år
5
Q(m³/s)
Vinter 2 år
Vinter 5 år
4
28.55
28.60
28.65
28.70
28.75
28.80
28.85
28.90
28.95
29.00
29.05
29.10
29.15
29.20
29.25
29.30
29.35
1
2
3
Vedligeholdelseskurve
Kravkurve
Krav-
kurve
Vandføring
(m³/s)
0.195
0.267
0.350
0.442
0.545
0.658
0.780
0.912
1.053
1.203
1.363
1.531
1.709
1.895
2.090
2.294
2.507
Vandspejlskote
(m DNN)
28.65
28.70
28.75
28.80
28.85
28.90
28.95
29.00
29.05
29.10
29.15
29.20
29.25
29.30
29.35
29.40
29.45
Vedligeholdelses-
kurve
Vandspejlskote
(m DNN)
Regulativ for Odense Å, marts 2004
MOF, Alm.del - 2019-20 - Endeligt svar på spørgsmål 397: Spm. om de gældende regulativer for Odense Å og Odense Fjord, til miljøministeren
2147346_0085.png
- 81 -
H(m)
29.9
29.7
29.6
29.5
29.4
29.3
29.2
29.1
29.0
28.9
28.8
28.7
28.6
28.5
28.4
0
ODENSE Å, ST. 52395
29.8 Oversvømmelsesgrænse
Sommer 10 år
Sommer 2 år
Sommer 5 år
1
2
3
4
5
Q(m³/s)
Vedligeholdelseskurve
Kravkurve
Krav-
kurve
Vandføring
(m³/s)
0.562
0.676
0.799
0.931
1.073
1.225
1.385
1.554
1.732
1.919
2.114
2.318
2.531
2.752
2.982
3.220
3.466
Vandspejlskote
(m DNN)
28.95
29.00
29.05
29.10
29.15
29.20
29.25
29.30
29.35
29.40
29.45
29.50
29.55
29.60
29.65
29.70
29.75
Vedligeholdelses-
kurve
Vandspejlskote
(m DNN)
28.85
28.90
28.95
29.00
29.05
29.10
29.15
29.20
29.25
29.30
29.35
29.40
29.45
29.50
29.55
29.60
29.65
Regulativ for Odense Å, marts 2004
Vinter 10 år
Vinter 2 år
Vinter 5 år
MOF, Alm.del - 2019-20 - Endeligt svar på spørgsmål 397: Spm. om de gældende regulativer for Odense Å og Odense Fjord, til miljøministeren
2147346_0086.png
- 82 -
H(m)
30.0
29.8
29.7
29.6
29.5
29.4
29.3
29.2
29.1
29.0
28.9
Sommer 2 år
28.8
28.7
28.6
28.5
0
ODENSE Å, ST. 52813
29.9 Oversvømmelsesgrænse
Sommer 10 år
Sommer 5 år
1
2
3
4
5
Q(m³/s)
Vedligeholdelseskurve
Kravkurve
Krav-
kurve
Vandføring
(m³/s)
0.612
0.731
0.859
0.997
1.144
1.299
1.464
1.638
1.820
2.011
2.210
2.418
2.634
2.858
3.091
3.331
3.580
Vandspejlskote
(m DNN)
29.05
29.10
29.15
29.20
29.25
29.30
29.35
29.40
29.45
29.50
29.55
29.60
29.65
29.70
29.75
29.80
29.85
Vedligeholdelses-
kurve
Vandspejlskote
(m DNN)
28.95
29.00
29.05
29.10
29.15
29.20
29.25
29.30
29.35
29.40
29.45
29.50
29.55
29.60
29.65
29.70
29.75
Regulativ for Odense Å, marts 2004
Vinter 10 år
Vinter 2 år
Vinter 5 år
MOF, Alm.del - 2019-20 - Endeligt svar på spørgsmål 397: Spm. om de gældende regulativer for Odense Å og Odense Fjord, til miljøministeren
2147346_0087.png
- 83 -
6.2.5.
Strækningen St. 52.829 - 53.758
Vandløbet gennemgås 1 gang årligt, hvor affald mv. op-
samles fra vandløbet. Yderligere vedligeholdelse fore-
tages normalt ikke.
Regulativ for Odense Å, marts 2004
MOF, Alm.del - 2019-20 - Endeligt svar på spørgsmål 397: Spm. om de gældende regulativer for Odense Å og Odense Fjord, til miljøministeren
2147346_0088.png
- 84 -
7.
BESTEMMELSER OM SEJLADS
Det er forbudt at sejle på vandløbet med følgende und-
tagelser:
1. Det er tilladt at sejle, herunder med motor, fra ud-
løbet i Seden Strand og op til Kertemindevejen. Ha-
stigheden må ikke overstige 3 knob.
2. FDF/FPF´s åregatta kan efter forudgående meddelelse
til Fyns Amt afvikles 1 dag hvert år i august måned
på strækningen fra Ny Vestergade og til Skovsøens
nordlige side. Deltagerantallet må ikke overstige
200 både.
3. Odense Åfart, “O.K.L. af 30. september 1978 ApS”,
fortsætter passagersejladsen i henhold til overens-
komst underskrevet af teknik- og miljøudvalget den
19. januar 1981. Anpartsselskabet må udleje robåde
og 15 vandcykler til sejlads på strækningen fra an-
løbsbroen ved Ny Vestergade og til Erik Bøghs Sti.
4. I perioden 1. juni - 1. april må der sejles med ro-
både, kanoer og kajakker på strækningen fra Erik
Bøghs Sti op til Bellinge Bro. Amtet kan i særlige
tilfælde og i begrænset omfang meddele tilladelse
til sejlads på strækningen udenfor denne periode.
I perioden 1. november - 1. april må der sejles med
robåde, kanoer og kajakker på strækningen fra Bel-
linge Bro op til gangbro ved Nørre Broby (st. 35,7
km).
5. Dalum Papirfabrik må sejle på vandløbet gennem fa-
briksarealet som led i tilsyn og vedligeholdelse af
tekniske anlæg.
6. Der må sejles med robåde, kanoer og kajakker på
strækningen fra Erik Bøghs Sti og til udløbet i Se-
den Strand.
7. Brobyværk Handels- og Håndværkerforening må udleje
og sejle med 2 vandcykler på strækningen fra Broby-
værk Kro og til Brobygårds Allé.
8. Erhvervsmæssig udlejning af fartøjer kan ikke finde
sted uden forudgående tilladelse fra amtet. Amtet
kan udarbejde nærmere regler for mærkning af fartø-
jer, maksimalt antal fartøjer og sejladstidspunkter
på året og døgnet.
Regulativ for Odense Å, marts 2004
MOF, Alm.del - 2019-20 - Endeligt svar på spørgsmål 397: Spm. om de gældende regulativer for Odense Å og Odense Fjord, til miljøministeren
2147346_0089.png
- 85 -
8.
8.1.
BREDEJERFORHOLD
Dyrkning, jordbehandling, plantning, jf. dog vandløbs-
lovens § 34, terrænændring, anbringelse af faste hegn,
jf. dog vandløbslovens § 29, og opførelse af bygværker
må i landzone ikke foretages i en bræmme på 2 meter
langs vandløbet.
Ejere og brugere af ejendomme langs vandløbet er i øv-
rigt pligtige at tåle det fornødne vedligeholdelsesar-
bejde, herunder transport af materialer og maskiner
og disses arbejde langs vandløbets bredder. Det be-
mærkes, at arbejdsbæltet normalt ikke bliver over 8 m
bredt. Bygninger, bygværker, faste hegn, nye beplant-
ninger, udgravninger og lignende anlæg af blivende art
må ikke uden amtets tilladelse anbringes øverste vand-
løbskant nærmere end 8 m.
Anvendes de tilgrænsende arealer til løsdrift, opsættes
og vedligeholdes et forsvarligt hegn langs med og
mindst 1 m fra øverste vandløbskant. Sådanne hegn er
ejerne pligtige at fjerne inden 2 uger efter tilsynets
meddelelse, såfremt dette er nødvendigt af hensyn til
maskinel udførelse af vedligeholdelsesarbejdet. Amtet
kan dog - uden varsel - på amtets bekostning foretage
midlertidig flytning af hegn.
Tværgående hegn og lignende, der er til hinder for ma-
skiners arbejde og transport langs vandløbet, skal
lodsejerne forsyne med passende passage for gennem-
kørsel.
I henhold til vandløbslovens § 6 må ingen bortlede van-
det fra vandløbet eller foranledige, at vandstanden i
vandløbet forandres, eller at vandets frie løb hindres.
Regulering af vandløbet, samt etablering af broer og
overkørsler må kun finde sted efter vandløbsmyndighe-
dens forudgående godkendelse. I det hele taget må ingen
uden tilladelse fra vandløbsmyndigheden foretage foran-
staltninger ved vandløbet med anlæg, hvorved tilstanden
ved disse kommer i strid med bestemmelserne i dette re-
gulativ eller vandløbsloven.
8.6.
Vandløbet, herunder sideskråninger og banketter, må ik-
ke uden forudgående godkendelse fra kommunen/amtet til-
føres faste stoffer, haveaffald, spildevand eller andre
væsker, der foranlediger aflejringer i vandløbet eller
forurener dets vand, jf. miljøbeskyttelseslovens be-
stemmelser.
8.2.
8.3.
8.4.
8.5.
Regulativ for Odense Å, marts 2004
MOF, Alm.del - 2019-20 - Endeligt svar på spørgsmål 397: Spm. om de gældende regulativer for Odense Å og Odense Fjord, til miljøministeren
2147346_0090.png
- 86 -
Ved etablering af drænudløb skal der foretages foran-
staltninger til sikring mod tilførsel af sand m.m. til
vandløbet.
8.7.
Bredejere kan uden tilladelse opsætte mulepumpe eller
vindpumpe, der forsyner kreaturer med vand fra vandlø-
bet. Amtet kan meddele tilladelse til indretning af
egentlige vandingssteder, der da skal udgraves uden for
vandløbets profil og indhegnes således, at kreaturer
ikke kan træde ud i vandløbet, samt sikres således, at
udtrædning af jord i strømløbet ikke finder sted. Anden
vandindtagning må ikke finde sted uden tilladelse, jf.
vandforsyningslovens bestemmelser.
Opmærksomheden henledes på, at åvandet er spildevands-
belastet og derfor kan indeholde bakterier, der gør det
uegnet som drikkevand for kreaturer.
8.8.
Nye tilløb, og tilløb der reguleres, skal så vidt mu-
ligt forsynes med en overkørsel med 5 m ovenbredde ved
udløbet til brug for transport af materiel, der anven-
des ved vandløbets vedligeholdelse.
Den ved vandløbet værende afmærkning med statione-
ringspæle og vandstandsskalaer må ikke beskadiges eller
fjernes. Sker dette, er den for beskadigelsen eller
fjernelsen ansvarlige pligtig at bekoste retableringen.
Beskadiges vandløb, sideskråninger, faskiner, bygværker
eller andre anlæg ved vandløbet, eller foretages der
foranstaltninger i strid med vandløbsloven eller be-
stemmelserne i dette regulativ, kan amtet meddele påbud
om genoprettelse af den tidligere tilstand.
Er et påbud ikke efterkommet inden udløbet af den fast-
satte frist, kan amtet foretage det fornødne på den
forpligtedes regning, jf. vandløbslovens §54.
Er der fare for, at betydelig skade kan ske på grund af
usædvanlige nedbørsforhold eller andre udefra kommende
usædvanlige begivenheder, kan amtet foretage det for-
nødne uden påbud og på den forpligtedes regning, jf.
vandløbslovens § 55.
8.l1.
Udløb fra drænledninger skal udføres og vedligeholdes
således, at de ikke gør skade på vandløbets skråninger.
Udførelse af andre rørledninger og lægning af kabler,
rørledninger o. lign. under vandløbet må kun ske efter
forud indhentet tilladelse fra vandløbsmyndigheden.
Overtrædelse af bestemmelserne i regulativet straffes
med bøde, jf. vandløbslovens §85.
8.9.
8.l0.
8.12.
Regulativ for Odense Å, marts 2004
MOF, Alm.del - 2019-20 - Endeligt svar på spørgsmål 397: Spm. om de gældende regulativer for Odense Å og Odense Fjord, til miljøministeren
2147346_0091.png
- 87 -
9.
9.1.
9.2.
TILSYN
Tilsynet med vandløbet udføres af Fyns Amt.
Amtet foretager normalt syn af vandløbet én gang årligt
i september eller oktober måned. Lodsejerne og andre
med interesse i vandløbet, der har ønske om at deltage
i synet, kan træffe nærmere aftale herom med Fyns Amt,
Natur- og Vandmiljøafdelingen.
REVISION
Dette regulativ skal senest optages til revision i år
2015. Tilladelsen til sejlads er dog tidsbegrænset ind-
til 1. januar 2010, således at sejladsbestemmelserne
herefter skal indgå i en kommende Natura 2000-plan.
11.
REGULATIVETS IKRAFTTRÆDEN
Regulativet har været bekendtgjort og fremlagt til gen-
nemsyn i 8 uger med adgang til at indgive evt. indsi-
gelser og ændringsforslag inden den 15. oktober 2004.
Regulativet er herefter endelig vedtaget på Fyns Amts-
råds vegne af Trafik- og Miljøudvalget på mødet den
13. april 2005. Samtidig ophæves regulativet for Odense
Å vedtaget 20. december 1990.
Fyns Amt, Natur- og Vandmiljøafdelingen, den
10.
Sten Nørskov Laursen
Direktør
Jørgen Dan Petersen
Vicedirektør
Regulativet træder i kraft fra datoen for dets endelige
vedtagelse.
Regulativ for Odense Å, marts 2004