Finansudvalget 2019-20
FIU Alm.del
Offentligt
2259467_0001.png
Folketingets Finansudvalg
Christiansborg
8. oktober 2020
Svar på Finansudvalgets spørgsmål nr. 361 (Alm. del) af 11.
september 2020
Spørgsmål
Vil ministeren oplyse hhv. hvor mange personer, helårspersoner og fuldtidsbe-
skæftigede, der hvert år har været på beløbsordningen og fasttrack ordningens be-
løbsspor fra 2008 til i dag?
Svar
Der er på nuværende tidspunkt ikke et egentligt statistikgrundlag til rådighed til
opgørelse af en tidsserie for udviklingen i antal personer og helårspersoner på be-
løbsordningen og fast-track ordningens beløbsspor. En sådan opgørelse vil være
mulig at lave, når Danmarks Statistik offentliggør statusopgørelsen for indvandre-
res opholdsgrundlag. I besvarelsen af Finansudvalgets spørgsmål nr. 356 af 11.
september 2020 redegøres for opgørelsen af antal helårspersoner på beløbsord-
ningen og fast-track ordningens beløbsspor, som det indgår i den økonomiske
analyse
Indvandreres nettobidrag til de offentlige finanser i 2017.
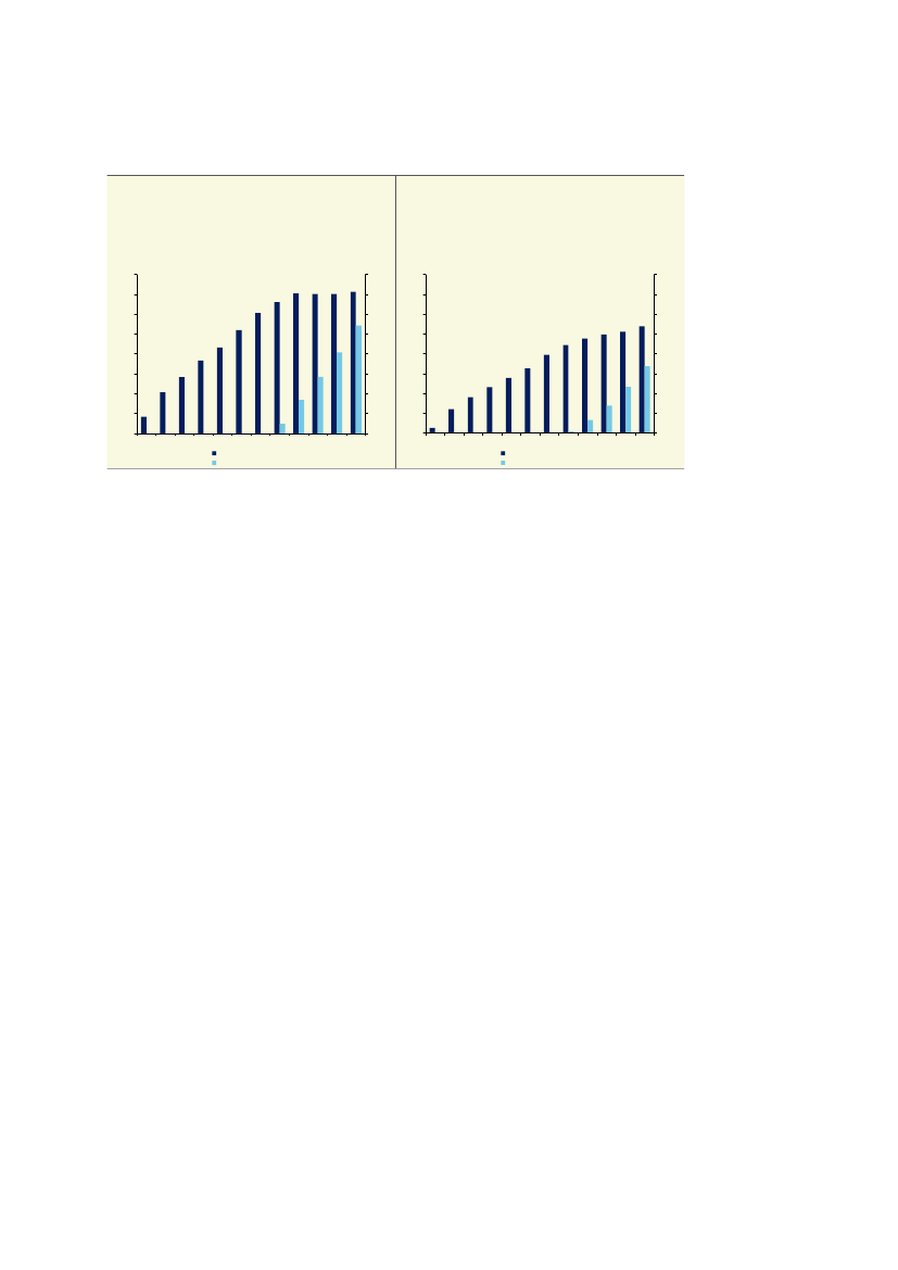
Af data fra jobindsats.dk fremgår det, at der er sket en stigning i antal beskæfti-
gede samt fuldtidsbeskæftigede på beløbsordningen fra 2008 frem til 2016. Herfra
ses en stigning i antal beskæftigede og fuldtidsbeskæftigede på fast-track ordnin-
gen.
Der gøres opmærksom på, at fast-track ordningen i denne opgørelse omfatter alle
fire spor i ordningen (beløbssporet, forskersporet, uddannelsessporet og korttids-
sporet), hvorfor der vil være afvigelser ift. opgørelser alene på beløbssporet,
jf. fi-
gur 1 og 2.
Det er ikke muligt at opgøre udviklingen i antal personer og helårspersoner på
baggrund af data fra jobindsats.dk.
Finansministeriet · Christiansborg Slotsplads 1 · 1218 København K · T 33 92 33 33 · E [email protected] · www.fm.dk
FIU, Alm.del - 2019-20 - Endeligt svar på spørgsmål 361: Spm. om, hvor mange personer, helårspersoner og fuldtidsbeskæftigede, der hvert år har været på beløbsordningen og fast-track ordningens beløbsspor fra 2008 til i dag, til finansministeren
2259467_0002.png
Side 2 af 2
Figur 1
Antal beskæftige på beløbsordningen og fast-
track ordningen
1.000 personer
8
7
Figur 2
Antal fuldtidsbeskæftigede på
beløbsordningen og fast-track ordningen
1.000 personer
8
1.000 personer
8
1.000 personer
8
7
7
6
5
7
6
5
6
5
4
3
2
1
0
2008
2010
2012
2014
2016
Beløbsordningen
Fast-track ordningen
2018
6
5
4
3
2
1
0
4
3
2
4
3
2
1
0
2008
2010
2012
2014
2016
Beløbsordningen
Fast-track ordningen
2018
1
0
Anm.: Fast-track ordningen omfatter hele denne ordning og ikke kun fast-track ordningens beløbsspor.
Kilde: Jobindsats.dk
Med venlig hilsen
Nicolai Wammen
Finansminister