Uddannelses- og Forskningsudvalget 2019-20
UFU Alm.del Bilag 144
Offentligt
2220133_0001.png
Beretning for 2019
Vurdering og anerkendelse af udenlandske
uddannelseskvalifikationer m.v.
Juni 2020
UFU, Alm.del - 2019-20 - Bilag 144: Beretning for 2019 om vurdering og anerkendelse af udenlandske uddannelseskvalifikationer m.v., fra uddannelses- og forskningsministeren
Beretning for 2019
Udgivet af
Styrelsen for Forskning og Uddannelse
Haraldsgade 53
2100 København Ø
Tel.: 3544 6200
[email protected]
www.ufm.dk
Anders Trærup, AU Kommunikation
Foto
Publikationen kan hentes på ufm.dk/publikationer
ISSN (elektronisk publikation): 2245-9995
Styrelsen for Forskning og Uddannelse
2
UFU, Alm.del - 2019-20 - Bilag 144: Beretning for 2019 om vurdering og anerkendelse af udenlandske uddannelseskvalifikationer m.v., fra uddannelses- og forskningsministeren
Beretning for 2019
Indhold
1. Resumé
1.1 Anerkendelse til ikke-lovregulerede erhverv og uddannelse
1.2 Anerkendelse til lovregulerede erhverv
4
4
5
2. Anerkendelse til ikke-lovregulerede erhverv og uddannelse 7
2.1 Vurdering af udenlandske uddannelseskvalifikationer
2.2 Almindelige vurderinger
2.3 Vejledende udtalelser
2.4 Turbovurderinger for virksomheder
2.5 Ph.d.-kvikvurderinger
2.6 Hotline for kommuner og asylcentre
2.7 Vurdering af adgangsgivende eksaminer
2.8 SU til udlandet og udlandsstipendier
2.9 Information i forbindelse med ghettolisten
2.10 Anden information om udenlandske uddannelser m.v.
2.11 Kvalifikationsnævnet
2.12 Internationalt samarbejde om anerkendelse
2.13 Transparens og sammenlignelighed
7
9
15
15
16
16
16
18
18
19
19
22
26
3. Anerkendelse til lovregulerede erhverv
3.1 Introduktion
3.2 Åbningsskrivelse om implementering af anerkendelsesdirektivet
3.3 Brexit
3.4 Transparensinitiativet
3.5 Direktivet om proportionalitetstest
3.6 Informationssystemet for det Indre Marked (IMI)
3.7 Kvikskranke-samarbejdet
3.8 De kompetente myndigheders afgørelser om autorisation m.v.
3.9 Pligtmæssig vurdering
3.10 Tjenesteydere fra EU/EØS-lande
3.11 Det europæiske erhvervspas
3.12 Advarselssystemet
29
29
32
33
33
33
34
34
34
39
40
42
44
Styrelsen for Forskning og Uddannelse
3
UFU, Alm.del - 2019-20 - Bilag 144: Beretning for 2019 om vurdering og anerkendelse af udenlandske uddannelseskvalifikationer m.v., fra uddannelses- og forskningsministeren
2220133_0004.png
Beretning for 2019
1. Resumé
Uddannelseskvalifikationer vurderes og anerkendes i mange forskellige sammenhænge
– hos uddannelsesinstitutioner, virksomheder, a-kasser, myndigheder m.fl. For at sikre
en sammenhængende indsats for vurdering og anerkendelse af udenlandske uddannel-
seskvalifikationer fungerer Styrelsen for Forskning og Uddannelse som
vurderingsmyndighed for udenlandske uddannelseskvalifikationer
informations- og videncenter for vurdering og anerkendelse
koordinator og støttecenter i forhold til EU's anerkendelsesdirektiv vedrørende
lovregulerede erhverv.
1.1 Anerkendelse til ikke-lovregulerede erhverv og uddannelse
Styrelsen for Forskning og Uddannelse tilbyder vurderinger af afsluttede udenlandske
uddannelser og andre former for information og rådgivning om international anerken-
delse af kvalifikationer og kompetencer.
I 2019 leverede styrelsen i alt 3.898 vurderinger m.v. – 4 procent flere end året før. Sty-
relsen udstedte 2.600 almindelige vurderinger, som den enkelte kan bruge til at forklare
og dokumentere sine kvalifikationer over for en arbejdsgiver, en uddannelsesinstitution
m.v. Mens antallet af almindelige vurderinger var uændret, steg antallet af turbovurde-
ringer til virksomheder og vurderinger til brug for ph.d.-optag, og antallet af udtalelser til
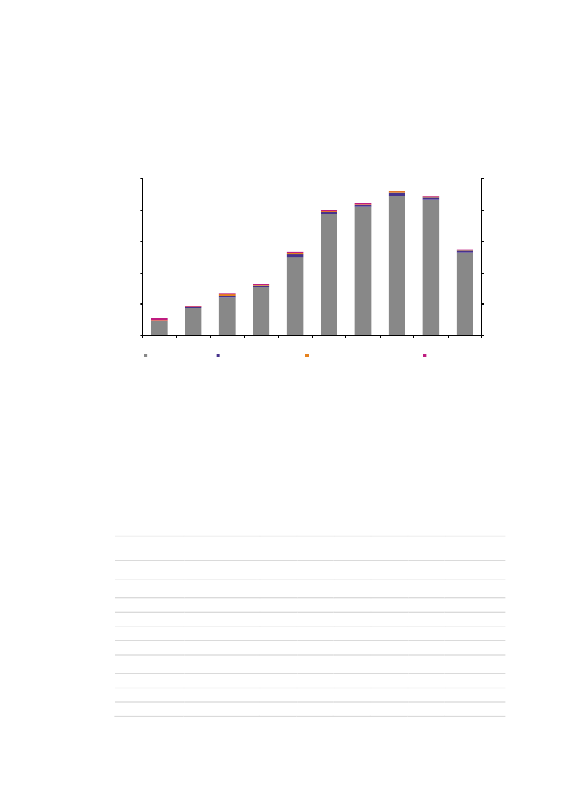
kommuner og uddannelsesinstitutioner faldt. Se udviklingen i figur 1.1. nedenfor.
Figur 1.1
Afsluttede vurderinger m.v. efter sagstype, antal, 2015-2019
Antal vurderinger m.v.
5.000
4.500
4.000
3.500
3.000
2.500
2.000
1.500
1.000
500
0
2015
Almindelige vurderinger
Turbovurderinger for virksomheder
Pligtmæssige vurderinger
Hotline-udtalelser Integration/Kommuner
2016
2017
2018
Hotline-besvarelser Studieadgang
Ph.d.-kvikvurderinger
Vejledende udtalelser
2019
Antal vurderinger m.v.
5.000
4.500
4.000
3.500
3.000
2.500
2.000
1.500
1.000
500
0
Styrelsen for Forskning og Uddannelse
4
UFU, Alm.del - 2019-20 - Bilag 144: Beretning for 2019 om vurdering og anerkendelse af udenlandske uddannelseskvalifikationer m.v., fra uddannelses- og forskningsministeren
Beretning for 2019
Flere danske statsborgere fik en almindelig vurdering i 2019: Deres andel steg fra 9 pro-
cent i 2018 til 13 procent i 2019. Det var fortsat især personer fra EU/EØS og Asien, der
fik en vurdering, men deres antal gik ned. Ser man på turbovurderingerne, udgjorde dan-
ske statsborgere ca. 30 procent af dem, hvis uddannelser blev vurderet.
Den gennemsnitlige sagsbehandlingstid for almindelige vurderinger var 33,7 dage netto i
2019, hvilket var 2,3 dage mindre end året før. 92 procent af vurderingerne blev i 2019
gennemført på mindre end 2 måneder mod 94 procent året før.
Kvalifikationsnævnet, der behandler klager over uddannelsesinstitutioners afgørelser
om merit og anerkendelse af realkompetence, modtog 43 klagesager i 2019 – en stig-
ning fra 25 sager året før. Blandt de klager, der førte til en indholdsmæssig afgørelse fra
nævnet, blev 36 procent helt eller delvist imødekommet. Klagesagerne vedrørte hoved-
sagelig merit som led i en professionsbacheloruddannelse.
Anerkendelsesarbejdet bygger på Lissabonkonventionens principper for fair anerken-
delse. Det betyder blandt andet, at myndigheder og institutioner skal anerkende en ud-
dannelseskvalifikation fra et andet land på linje med den tilsvarende kvalifikation i det
danske uddannelsessystem, medmindre de kan påvise væsentlige forskelle. I 2019 var
der møde i Lissabonkonventions-Komiteen, som har til opgave at monitorere og udvikle
implementeringen af Lissabonkonventionen i de 54 medlemslande. Mødet vedtog en re-
vision af det europæiske Diploma Supplement og et vejledende dokument om mini-
mumsstandarder for anerkendelseskontorers information til ansøgere, uddannelsesin-
stitutioner, arbejdsgivere og andre interessenter.
1.2 Anerkendelse til lovregulerede erhverv
Inden for de lovregulerede erhverv træffer de respektive ansvarlige danske myndigheder
afgørelser om anerkendelse af udenlandske erhvervsmæssige kvalifikationer i form af
autorisation eller lignende godkendelse. Styrelsen for Forskning og Uddannelse er dansk
koordinator og støttecenter for EU's anerkendelsesdirektiv og indhenter aktivitetstal
fra myndighederne.
I 2019 udstedte myndighederne i alt 2.708 afgørelser om anerkendelse med henblik på
etablering, dvs. erhvervsudøvelse på fast basis. Det var 8 procent flere end i 2018. Stig-
ningen i antallet af afgørelser vedrørte især uddannelser fra EU/EØS-lande, som lå til
grund for 74 procent af afgørelserne i 2019.
Langt de fleste afgørelser blev truffet af tre myndigheder: Styrelsen for Patientsikker-
hed, Arbejdstilsynet og Styrelsen for Forskning og Uddannelse.
Afgørelserne i 2019 var for 72 procents vedkommende positive, dvs. tildeling af adgang
til at udøve det pågældende erhverv i Danmark. 16 procent var betingede godkendelser,
og 12 procent var negative afgørelser, dvs. afslag. Af de positive afgørelser blev 95 pro-
cent truffet efter EU-regler.
Afgørelserne blev truffet inden for tre måneder i ca. 91 procent af EU/EØS-sagerne og i
ca. 63 procent af de øvrige sager. Tre måneder er den frist, der normalt gælder i de sa-
ger, der behandles efter EU-reglerne.
Styrelsen for Forskning og Uddannelse
5
UFU, Alm.del - 2019-20 - Bilag 144: Beretning for 2019 om vurdering og anerkendelse af udenlandske uddannelseskvalifikationer m.v., fra uddannelses- og forskningsministeren
2220133_0006.png
Beretning for 2019
Ud over ansøgninger vedrørende etablering modtog myndighederne 1.363 anmeldelser
fra EU/EØS-borgere, der ønskede at levere tjenesteydelser midlertidigt eller lejligheds-
vist. Dermed faldt antallet af anmeldelser med 38 procent fra året før, til det laveste an-
tal siden 2013. Langt de fleste anmeldelser ligger fortsat inden for Arbejdstilsynets om-
råde: 97 procent i 2019.
Om beretningen
Efter lov om vurdering af udenlandske uddannelseskvalifikationer m.v. afgiver ud-
dannelses- og forskningsministeren årligt en beretning til Folketinget om vurdering
og anerkendelse af udenlandske uddannelseskvalifikationer m.v. Beretningen om-
handler:
Anerkendelse med henblik på ikke-lovregulerede erhverv og uddannelse, her-
under Kvalifikationsnævnets behandling af klagesager vedrørende merit m.v.
(kapitel 2)
Anerkendelse med henblik på adgang til at udøve lovregulerede erhverv, her-
under samspillet mellem Styrelsen for Forskning og Uddannelse og de kompe-
tente myndigheder (kapitel 3).
I hvert kapitel gøres der dels statistisk rede for brugen af anerkendelsesordnin-
gerne, dels beskrives den kvalitative udvikling med vægt på, hvordan myndighe-
derne løbende arbejder på at forbedre adgangen til hurtig og fair anerkendelse.
Hvor der ikke er angivet anden kilde, stammer tallene fra Styrelsen for Forskning og
Uddannelses registre og beregninger. Procenttal er afrundet til nærmeste hele tal.
Flere oplysninger om vurdering og anerkendelse af udenlandske uddannelseskvalifi-
kationer kan findes på Uddannelses- og Forskningsministeriets hjemmeside:
www.ufm.dk/anerkendelse.
Styrelsen for Forskning og Uddannelse
6
UFU, Alm.del - 2019-20 - Bilag 144: Beretning for 2019 om vurdering og anerkendelse af udenlandske uddannelseskvalifikationer m.v., fra uddannelses- og forskningsministeren
2220133_0007.png
Beretning for 2019
2. Anerkendelse til
ikke-lovregulerede
erhverv og uddannelse
Dette kapitel beskriver vurdering af udenlandske uddannel-
seskvalifikationer, Kvalifikationsnævnets behandling af
klager over meritafgørelser m.v., internationalt samarbejde
om anerkendelse samt redskaber for transparens og sam-
menlignelighed.
Styrelsen for Forskning og Uddannelse er det centrale sted, hvor borgere, virksomheder,
institutioner, myndigheder m.fl. kan få vurderinger af udenlandske uddannelseskvalifika-
tioner og andre former for information og rådgivning om international anerkendelse af
kvalifikationer og kompetencer. Styrelsen varetager opgaverne som vurderingsmyndig-
hed og som informations- og videncenter for vurdering og anerkendelse på grundlag af
lov om vurdering af udenlandske uddannelseskvalifikationer m.v. og Lissabonkonventio-
nen.
1
2.1 Vurdering af udenlandske uddannelseskvalifikationer
Styrelsen for Forskning og Uddannelse udarbejder vurderinger og andre udtalelser om
udenlandske uddannelseskvalifikationer tilpasset brugernes behov:
2
Almindelige vurderinger, som kan benyttes på arbejdsmarkedet, i uddannelsessy-
stemet og til anden afklaring og vejledning (se side 9)
Vejledende udtalelser til brug for især de flygtninge, der ikke kan fremskaffe til-
strækkelig dokumentation til at få en vurdering (se side 15)
Turbovurderinger til virksomheder i forbindelse med ansættelse (side 15)
Vurderinger til universiteter i forbindelse med ph.d.-optag (side 16)
Hotline-udtalelser til kommuner og asylcentre (side 16)
Hotline-svar til uddannelsesinstitutioner i forbindelse med optag på videregående
uddannelser, erhvervsuddannelser m.v. (side 17)
Pligtmæssige vurderinger til brug for kompetente myndigheders afgørelser om
adgang til at udøve lovregulerede erhverv (side 39).
Se lovbekendtgørelse nr. 579 af 1. juni 2014 og bekendtgørelse af konvention af 11. april 1997 om anerkendelse af kva-
lifikationer inden for de videregående uddannelser i Europaregionen (BKI nr. 28 af 2. oktober 2003).
2
Styrelsens vurderings- og anerkendelsestilbud er nærmere beskrevet på www.ufm.dk/anerkendelse.
1
Styrelsen for Forskning og Uddannelse
7
UFU, Alm.del - 2019-20 - Bilag 144: Beretning for 2019 om vurdering og anerkendelse af udenlandske uddannelseskvalifikationer m.v., fra uddannelses- og forskningsministeren
2220133_0008.png
Beretning for 2019
I 2019 leverede styrelsen i alt 3.898 vurderinger m.v., hvilket var 4 procent flere end året
før. Mens antallet af almindelige vurderinger var stort set uændret, skete der en stigning
i antallet af turbovurderinger til virksomheder og vurderinger til brug for ph.d.-optag.
Samtidig skete der en nedgang i antallet af hotline-svar til kommuner og uddannelses-
institutioner. Se nærmere i figur 2.1 og tabel 2.1 nedenfor. Udviklingen inden for de en-
kelte sagstyper er nærmere beskrevet i de følgende afsnit.
Figur 2.1
Afsluttede vurderinger m.v. efter sagstype, antal, 2015-2019
Antal vurderinger m.v.
5.000
4.500
4.000
3.500
3.000
2.500
2.000
1.500
1.000
500
0
2015
Almindelige vurderinger
Turbovurderinger for virksomheder
Pligtmæssige vurderinger
Hotline-udtalelser Integration/Kommuner
2016
2017
2018
Hotline-besvarelser Studieadgang
Ph.d.-kvikvurderinger
Vejledende udtalelser
2019
Antal vurderinger m.v.
5.000
4.500
4.000
3.500
3.000
2.500
2.000
1.500
1.000
500
0
Tabel 2.1
Afsluttede vurderinger m.v. efter sagstype, 2015-2019
Sagstype
Almindelige vurderinger
Vejledende udtalelser
Pligtmæssige vurderinger
Turbovurderinger for virk-
somheder
Hotline-udtalelser – kom-
muner
Hotline-besvarelser – stu-
dieadgang
Ph.d.-kvikvurderinger
I alt
2015
(antal)
2.474
40
53
91
660
72
3.390
2016
(antal)
3.192
171
74
223
80
672
69
4.481
2017
(antal)
2.833
101
96
282
115
613
59
4.099
2018
(antal)
2.623
28
73
264
60
635
74
3.757
2019
(antal)
2.600
25
86
340
25
582
240
3.898
Ændring seneste år
(procent)
-1
-11
18
29
-58
-8
224
4
Styrelsen for Forskning og Uddannelse
8
UFU, Alm.del - 2019-20 - Bilag 144: Beretning for 2019 om vurdering og anerkendelse af udenlandske uddannelseskvalifikationer m.v., fra uddannelses- og forskningsministeren
2220133_0009.png
Beretning for 2019
Anm.: Indtil 2016 bidrog styrelsen desuden med vurderinger til udlændingemyndighedernes behandling af
ansøgninger om opholdstilladelse efter den daværende greencard-ordning.
Styrelsen vurderer i øvrigt udenlandske erhvervsmæssige kvalifikationer som led i sine
afgørelser om adgang til at udøve erhvervene som lærer i folkeskolen, lærer i de gymna-
siale uddannelser, pædagog i folkeskolen samt lærer i dansk for voksne udlændinge.
Disse afgørelser indgår i kapitel 3 om anerkendelse inden for de lovregulerede erhverv.
2.2 Almindelige vurderinger
En almindelig vurdering er et dokument, der angiver, hvilket dansk uddannelsesniveau
og så vidt muligt hvilket dansk uddannelsesområde en afsluttet udenlandsk uddannelse
svarer til.
I 2019 udstedte styrelsen 2.600 almindelige vurderinger af uddannelseskvalifikationer
tilhørende 2.200 personer.
3
Antallet af vurderinger var 1 procent lavere end i 2018. Tabel
2.2 nedenfor viser udviklingen i mængden og behandlingen af sager.
Tabel 2.2
Afsluttede almindelige vurderingssager efter resultat af behandling, 2015-2019
Status
Vurdering afsluttet
Besvaret ved informa-
tion/vejledning
Videresendt eller henvist
Behandling afvist
Ansøgning trukket tilbage
I alt
2015
(antal)
2.474
59
129
57
3
2.722
2016
(antal)
3.192
29
119
132
16
3.488
2017
(antal)
2.833
15
109
75
8
3.040
2018
(antal)
2.623
29
103
108
10
2.873
2019
(antal)
2.600
16
98
90
14
2.818
Ændring seneste år
(procent)
-1
-45
-5
-17
40
-2
Anm.: Tallene omfatter ikke sager, der er henlagt på grund af manglende dokumentation fra ansøgeren.
Nogle ansøgninger fører ikke til en vurdering. For eksempel videresendes eller henvises
ansøgninger, når ansøgerens ønske er adgang til at udøve et lovreguleret erhverv, som
en anden myndighed har ansvaret for. I andre sager afviser styrelsen at foretage en
vurdering, hvilket hovedsagelig sker i tilfælde, hvor uddannelsen ikke tilhører et lands or-
dinære uddannelsessystem eller ikke er afsluttet. I visse tilfælde afviser styrelsen at fo-
retage en vurdering på grund af problemer med dokumenternes ægthed, hvilket gjaldt 7
ud af de 90 afviste sager i 2019.
2.2.1 Vurderingernes sigte
Det vigtigste formål med at få en vurdering er ifølge ansøgningerne overvejende job-
søgning eller andre beskæftigelsesrelaterede formål. Beskæftigelsesformål var i fokus
for 55 procent af de oprettede sager i 2019 (mod 59 procent året før), mens et uddan-
nelsesformål var det primære i 43 procent af sagerne, og andre formål i 2 procent af sa-
gerne.
3
Når en ansøger sender flere, ikke sammenhængende uddannelser til vurdering, vurderes hver enkelt uddannelse. I disse
tilfælde registreres derfor flere vurderingssager for samme uddannelsesindehaver.
Styrelsen for Forskning og Uddannelse
9
UFU, Alm.del - 2019-20 - Bilag 144: Beretning for 2019 om vurdering og anerkendelse af udenlandske uddannelseskvalifikationer m.v., fra uddannelses- og forskningsministeren
2220133_0010.png
Beretning for 2019
Ved jobansøgning kan vurderingen vedlægges for at hjælpe en arbejdsgiver med at for-
stå uddannelsespapirerne i en dansk sammenhæng. Offentlige arbejdsgivere skal lægge
til grund, at ansøgeren har opnået det uddannelsesniveau, som er nævnt i vurderingen,
men naturligvis behandle ansøgningen inden for de regler og kollektive aftaler, der i øv-
rigt gælder.
Ved ansøgning om optagelse på en uddannelse er det op den enkelte uddannelsesinsti-
tution at afgøre, om ansøgeren kan optages. Uddannelsesinstitutionen skal dog lægge
til grund, at ansøgeren har opnået det uddannelsesniveau, der står i vurderingen, når
den tager stilling til, om de generelle adgangskrav er opfyldt.
På visse uddannelser såsom gymnasiale enkeltfag og almen voksenuddannelse er der
krav om betaling, hvis den uddannelsessøgende i forvejen har uddannelseskvalifikatio-
ner på et afsluttet videregående niveau. Et sådant betalingskrav gælder, uanset om den
uddannelsessøgende har fået en vurdering fra styrelsen eller ej.
2.2.2 Ansøgerne
Som regel er det uddannelsesindehaveren selv, der beder styrelsen om en vurdering. Det
gjaldt 99 procent af vurderingerne i 2019.
Arbejdsgivere får vurderinger i form af styrelsens såkaldte turbovurderinger (se side 15),
mens uddannelsesinstitutioner, der ønsker hjælp til at vurdere en uddannelse, benytter
styrelsens ph.d.-kvikvurderinger (side 16) eller hotline (side 17).
2.2.2.1 Nationalitet
Flere danske statsborgere valgte i 2019 at få en vurdering. Danskeres andel af uddan-
nelsesindehaverne i de almindelige vurderinger steg fra 9 procent i 2018 til 13 procent i
2019. Det var fortsat især personer fra EU/EØS og Asien, der fik en vurdering, men deres
antal gik ned. Samtidig steg antallet fra Syd- og Mellemamerika. Fordelingen på regio-
ner de sidste fem år ses i tabel 2.3 nedenfor.
Tabel 2.3
Personer, der har fået en almindelig vurdering, efter statsborgerskab (regioner), 2015-2019
Statsborgerskab
Danmark, Færøerne og Grønland
EU/EØS
Tredjelande
Europa i øvrigt
Afrika
Asien
Nordamerika
Oceanien
Syd- og Mellemamerika
Ikke oplyst
I alt
2015
(pct.)
10
29
61
11
5
39
1
0
4
1
100
2016
(pct.)
8
29
62
10
6
40
2
1
4
1
100
2017
(pct.)
9
32
59
10
6
36
1
1
4
1
100
2018
(pct.)
9
38
53
11
5
29
2
1
5
0
100
2019
(pct.)
13
36
50
11
5
25
2
1
7
0
100
2019
(antal)
290
796
1.105
249
118
543
36
12
147
9
2.200
Styrelsen for Forskning og Uddannelse
10
UFU, Alm.del - 2019-20 - Bilag 144: Beretning for 2019 om vurdering og anerkendelse af udenlandske uddannelseskvalifikationer m.v., fra uddannelses- og forskningsministeren
2220133_0011.png
Beretning for 2019
Danmark blev med en stigning på 41 procent den største nationalitet blandt indeha-
verne af de vurderede uddannelser, fulgt af Rumænien, Polen, Filippinerne, Ukraine. An-
tallet af uddannelsesindehavere fra Syrien faldt fortsat. Der var stigninger for visse
lande i Sydeuropa (Italien, Spanien) og Sydamerika (Brasilien, Argentina, Chile) samt
Pakistan. De hyppigst forekommende nationaliteter fremgår af figur 2.2 nedenfor.
Figur 2.2
Personer med almindelig vurdering, efter statsborgerskab, top 20 (2019), antal, 2015-2019
Antal personer
550
500
450
400
350
300
250
200
150
100
50
0
Antal personer
550
500
450
400
350
300
250
200
150
100
50
0
2015
2016
2017
2018
2019
2.2.2.2 Køn
Kvinder udgør fortsat et flertal blandt uddannelsesindehaverne i styrelsens vurderinger:
64 procent i 2019. I forhold til gennemsnittet er der en større andel kvinder blandt per-
soner fra Europa uden for EU/EØS (74 procent), mens andelen af kvinder er under gen-
nemsnittet for Afrikas vedkommende (44 procent). Blandt danske uddannelsesindeha-
vere faldt andelen af kvinder fra 72 procent i 2018 til 59 procent i 2019, idet der især
skete en stigning i antallet af mandlige ansøgere.
2.2.2.3 Alder
31 procent af de personer, hvis uddannelser blev vurderet i 2019, var under 30 år, mod
33 procent året før. 80 procent var under 40 år.
2.2.3 Uddannelsernes oprindelse
Styrelsen vurderede i 2019 uddannelser fra 126 lande. Omtrent som året før vedrørte 42
procent af vurderingerne uddannelser fra EU/EØS-lande, og 58 procent uddannelser fra
tredjelande, især i Asien. Se tabel 2.4 på næste side.
Styrelsen for Forskning og Uddannelse
11
UFU, Alm.del - 2019-20 - Bilag 144: Beretning for 2019 om vurdering og anerkendelse af udenlandske uddannelseskvalifikationer m.v., fra uddannelses- og forskningsministeren
2220133_0012.png
Beretning for 2019
Tabel 2.4
Almindelige vurderinger efter uddannelsernes oprindelse, 2015-2019
Region
Færøerne og Grønland
EU/EØS
Tredjelande
Europa i øvrigt
Asien
Afrika
Nordamerika
Syd- og Mellemamerika
Oceanien
I alt
2015 (pct.)
0
35
65
13
38
6
3
5
1
100
2016 (pct.)
0
34
66
12
39
5
3
5
1
100
2017 (pct.)
0
35
64
12
37
6
3
5
1
100
2018 (pct.)
0
41
59
12
30
5
4
5
2
100
2019 (pct.)
0
42
58
13
27
6
3
8
2
100
2019 (antal)
9
1.080
1.511
336
699
150
87
198
41
2.600
Figur 2.3 nedenfor viser de 20 hyppigst forekommende uddannelseslande i 2019. Rumæ-
nien, Polen og Filippinerne lå fortsat i top, om end med vigende antal. Storbritannien
blev det fjerde hyppigste uddannelsesland efter en stigning på 24 procent. Antallet af
vurderinger af syriske uddannelser fortsatte sit bratte fald fra højdepunktet i 2016.
Vurderinger af uddannelser fra Norden udgjorde 5 procent. Det var hovedsagelig og i
stigende grad uddannelser fra Sverige.
Figur 2.3
Almindelige vurderinger efter uddannelsesland, top 20 (2019), antal, 2015-2019
Antal vurderinger
600
500
400
300
200
100
0
Antal vurderinger
600
500
400
300
200
100
0
2015
2016
2017
2018
2019
2.2.4 Uddannelsernes niveau
63 procent af vurderingerne i 2019 pegede på et helt eller delvist niveau inden for vide-
regående uddannelse, og 36 procent inden for ungdomsuddannelse. I forhold til året før
var der færre med kort eller mellemlang videregående uddannelse og flere med ung-
domsuddannelse eller lang videregående uddannelse. Tabel 2.5 på næste side viser,
hvordan vurderingerne har fordelt sig efter nærmeste generelle niveau.
Styrelsen for Forskning og Uddannelse
12
UFU, Alm.del - 2019-20 - Bilag 144: Beretning for 2019 om vurdering og anerkendelse af udenlandske uddannelseskvalifikationer m.v., fra uddannelses- og forskningsministeren
2220133_0013.png
Beretning for 2019
Tabel 2.5
Almindelige vurderinger efter nærmeste generelle uddannelsesniveau, 2015-2019
Niveaubetegnelse
Grundskoleniveau – 7.-10. uddannelsesår
10. uddannelsesår
Ungdomsuddannelsesniveau – 11.-12. ud-
dannelsesår
Korte videregående uddannelser – 13.-14.
uddannelsesår
Mellemlange videregående uddannelser –
15.-16. udd.år
Lange videregående uddannelser – 17.-18.
uddannelsesår
Forskerniveau – 19.- uddannelsesår
I alt
2015
(pct.)
0
1
24
8
33
31
2
100
2016
(pct.)
1
1
29
9
32
26
1
100
2017
(pct.)
1
3
30
9
31
25
1
100
2018
(pct.)
1
4
28
9
30
27
1
100
2019
(pct.)
1
4
32
8
25
29
1
100
2019
(antal)
19
94
840
214
656
745
32
2.600
Uddannelserne svarede til et dansk bachelorniveau (inkl. professionsbachelor) i 25 pro-
cent af vurderingerne (mod 30 procent året før), til en bacheloruddannelse plus 1 års
kandidatstudier i 12 procent, til et fuldt kandidatniveau i 16 procent, og til en ph.d. i 1
procent af vurderingerne.
13 procent af vurderingerne angav et helt eller delvist niveau inden for erhvervsuddan-
nelse (heraf var de 5 procent på niveau med en lang, dvs. typisk fireårig erhvervsuddan-
nelse), mens 22 procent angav et helt eller delvist gymnasialt niveau (mod 17 procent
året før).
Det skal understreges, at vurderingerne ikke forholder sig til uafsluttede studier. Derfor
har en del ansøgere et højere uddannelsesniveau end, hvad der fremgår af tallene. Det
gælder i særdeleshed vurderinger af gymnasiale uddannelser, der er efterfulgt af uaf-
sluttede videregående studier.
2.2.5 Uddannelsernes faglige retning
Tabel 2.6 nedenfor viser, hvordan vurderingerne har fordelt sig efter uddannelsernes
faglige hovedområder. I 2019 udgjorde de tekniske områder (kode 50 til 58 i tabellen)
taget under ét 19 procent af vurderingerne, mens området erhvervsøkonomi, admini-
stration og jura udgjorde 17 procent, og social- og sundhedsområdet 10 procent.
Tabel 2.6
Almindelige vurderinger efter fagligt hovedområde ifølge vurdering, 2015-2019
Kode
Fagligt hovedområde
2015
(pct.)
0
14
3
9
0
2
7
20
2016
(pct.)
1
18
4
7
0
2
7
19
2017
(pct.)
1
19
4
8
1
2
7
17
2018
(pct.)
1
17
3
7
1
2
8
19
2019
(pct.)
1
21
3
6
0
3
8
17
2019
(antal)
22
556
84
159
11
74
205
437
10 Grundskole
12 Gymnasiale uddannelser
20 Undervisning og læring
25 Humanistisk
27
Audiovisuel teknik og mediepro-
duktion
30 Kunstnerisk
35 Samfundsvidenskab
40
Erhvervsøkonomi, administration
og jura
Styrelsen for Forskning og Uddannelse
13
UFU, Alm.del - 2019-20 - Bilag 144: Beretning for 2019 om vurdering og anerkendelse af udenlandske uddannelseskvalifikationer m.v., fra uddannelses- og forskningsministeren
2220133_0014.png
Beretning for 2019
Kode
Fagligt hovedområde
2015
(pct.)
8
4
12
4
3
2
8
2
0
0
100
2016
(pct.)
8
3
12
3
4
3
8
2
0
0
100
2017
(pct.)
7
3
10
3
4
3
9
2
0
0
100
2018
(pct.)
7
3
10
2
4
2
11
3
0
0
100
2019
(pct.)
7
3
10
2
4
2
10
2
0
0
100
2019
(antal)
189
66
257
64
94
56
249
61
4
12
2.600
45 Naturvidenskab
50
55
Informations- og kommunikations-
teknologi
Teknik, teknologi og industriel pro-
duktion
57 Mekanik, jern og metal
58 Bygge- og anlægsteknik
60 Jordbrug, skovbrug og fiskeri
65 Social og sundhed
70 Service
75 Forsvar, politi og sikkerhed
80 Transport
I alt
2.2.6 Uddannelsernes alder
Uddannelsen var mindre end 10 år gammel på vurderingstidspunktet i 54 procent af
vurderingerne i 2019, og den var mindre end 5 år gammel i 25 procent af vurderingerne.
Andelen af uddannelser under 10 år har været nedadgående de sidste fire år. Samtidig
er den gennemsnitlige uddannelsesalder steget fra 8,6 år i 2015 til 10,3 år i 2019.
2.2.7 Sagsbehandlingstid
Den gennemsnitlige sagsbehandlingstid for almindelige vurderinger var 33,7 dage netto i
2019, hvilket var 2,3 dage mindre end i året før.
4
92 procent af vurderingerne blev i 2019 gennemført på mindre end to måneder (mod 94
procent året før). Tabel 2.7 nedenfor viser, hvordan vurderingerne har fordelt sig efter
sagsbehandlingstiden i antal måneder.
Tabel 2.7
Almindelige vurderinger efter sagsbehandlingstid i måneder, 2015-2019
Sagsbehandlingstid
Mindre end 1 måned
Mellem 1 og 2 mdr.
Mellem 2 og 3 mdr.
Mellem 3 og 4 mdr.
Mellem 4 og 5 mdr.
Mellem 5 og 6 mdr.
Over 6 mdr.
I alt
2015 (pct.)
38
52
9
1
0
0
0
100
2016 (pct.)
21
56
21
1
0
0
0
100
2017 (pct.)
23
53
23
1
0
0
0
100
2018 (pct.)
36
58
5
1
0
0
0
100
2019 (pct.)
41
51
7
0
0
0
0
100
2019 (antal)
1.074
1.329
186
7
3
0
1
2.600
4
Sagsbehandlingstiden for vurderingssager er den tid, der går fra modtagelsen af de nødvendige dokumenter og oplys-
ninger fra ansøgeren til afgivelsen af en vurdering. Ifølge den henstilling om kriterier og procedurer for vurdering, der er
vedtaget under Lissabonkonventionen, bør sagsbehandlingstiden ikke overstige fire måneder.
Styrelsen for Forskning og Uddannelse
14
UFU, Alm.del - 2019-20 - Bilag 144: Beretning for 2019 om vurdering og anerkendelse af udenlandske uddannelseskvalifikationer m.v., fra uddannelses- og forskningsministeren
2220133_0015.png
Beretning for 2019
2.2.8 Brugertilfredshed
Styrelsen for Forskning og Uddannelse måler løbende tilfredsheden blandt de borgere,
der har fået en vurdering. Det sker ved hjælp af et spørgeskema, som i 2019 blev besva-
ret af ca. 53 procent. Generelt viser besvarelserne en høj grad af tilfredshed. 95 procent
var alt i alt meget tilfredse (60 procent) eller ret tilfredse (35 procent) med vurderingen
af deres uddannelse. Når det gælder ansøgningsprocessen, angav 94 procent, at de ikke
havde oplevet vanskeligheder med at ansøge om vurderingen. Information og service
blev også bedømt positivt af langt de fleste, med over 95 procent meget eller ret til-
fredse blandt dem, der havde brugt hjemmesiden, søgt svar før ansøgningen eller kon-
taktet styrelsen om deres sag. 90 procent var meget eller ret tilfredse med sagsbe-
handlingstiden.
Styrelsen samler regelmæssigt op på undersøgelsens resultater og søger at forbedre
vurderinger, ansøgningsproces, information og service på baggrund af brugernes be-
mærkninger.
2.3 Vejledende udtalelser
En vejledende udtalelse er et baggrundspapir, der tilbydes flygtninge og andre, der er
forhindrede i at fremskaffe tilstrækkelig dokumentation til at få en egentlig vurdering af
deres udenlandske uddannelse. Tilbuddet har til formål at gøre det lettere for den en-
kelte at forklare sine kvalifikationer, når han eller hun undersøger mulighederne for at
søge arbejde eller læse videre i Danmark.
Udtalelsen oplyser, hvordan Styrelsen for Forskning og Uddannelse normalt vurderer en
lignende uddannelse, når den er tilstrækkeligt dokumenteret. Ansøgerens uddannelses-
baggrund beskrives på grundlag af ansøgerens egne oplysninger og dokumenter sam-
menholdt med styrelsens viden om uddannelser fra det pågældende land.
5
I 2019 udstedte styrelsen 25 vejledende udtalelser. Antallet har ligget lavt det sidste par
år sammenlignet med årene 2016-2017, hvor der havde været en tilgang af flygtninge
fra Syrien og Eritrea. Sagsbehandlingstiden for vejledende udtalelser var i 2019 på 22
kalenderdage i gennemsnit mod 27 dage året før.
2.4 Turbovurderinger for virksomheder
Arbejdsgivere tilbydes en turbovurdering, dvs. en vurdering, som Styrelsen for Forskning
og Uddannelse leverer per e-mail i løbet af højst fem arbejdsdage med henblik på at
kunne understøtte udvælgelsen af ansøgere til jobsamtaler.
6
I 2019 steg antallet med 29 procent til 340 turbovurderinger. 86 procent af vurderin-
gerne var bestilt af offentlige arbejdsgivere, og 14 procent af private arbejdsgivere.
94 procent af vurderingerne pegede på et helt eller delvist niveau inden for videregå-
ende uddannelse.
5
6
Vejledende udtalelser er nærmere beskrevet på www.ufm.dk/anerkendelse/vu.
Læs mere om turbovurderinger på www.ufm.dk/anerkendelse/turbo.
Styrelsen for Forskning og Uddannelse
15
UFU, Alm.del - 2019-20 - Bilag 144: Beretning for 2019 om vurdering og anerkendelse af udenlandske uddannelseskvalifikationer m.v., fra uddannelses- og forskningsministeren
Beretning for 2019
Ca. 30 procent af uddannelsesindehaverne var danske statsborgere, og ca. 43 procent
var statsborgere fra andre EU/EØS-lande.
Vurderingerne vedrørte hovedsagelig uddannelser fra lande i EU/EØS (67 procent). Stor-
britannien var det hyppigste forekommende land (19 procent), fulgt af Sverige (13 pro-
cent) og USA (8 procent).
Turbovurderingerne blev leveret på 2,4 arbejdsdage i gennemsnit, og 94 procent blev le-
veret inden for 5 arbejdsdage.
2.5 Ph.d.-kvikvurderinger
Universiteterne kan hos Styrelsen for Forskning og Uddannelse indhente såkaldte ph.d.-
kvikvurderinger til brug for deres afgørelser om optagelse af ph.d.-studerende.
Antallet af disse vurderinger blev mere end tredoblet til 240 i 2019. To universiteter
stod for langt hovedparten: Aarhus Universitet, som bestilte to tredjedele af vurderin-
gerne, og Danmarks Tekniske Universitet, som bestilte knap en fjerdedel.
Vurderingerne vedrørte hovedsagelig uddannelser fra EU/EØS-lande og Asien med 36
procent hver. Andelen af uddannelser fra Kina steg til at udgøre 13 procent, samme an-
del som Storbritannien.
Det tog i gennemsnit 4,2 kalenderdage at få en ph.d.-kvikvurdering i 2019 mod 3,9 dage
året før. 89 procent blev leveret inden for 1 uge, og 99 procent inden for 2 uger.
2.6 Hotline for kommuner og asylcentre
Styrelsen for Forskning og Uddannelse tilbyder kommuner og asylcentre hurtig rådgiv-
ning og udtalelser om borgeres medbragte uddannelser i form af en hotline. Hotlinen
blev oprindelig oprettet i 2016 for at understøtte kommunernes arbejde med integration
af flygtninge og familiesammenførte.
Styrelsen besvarede i 2019 i alt 38 henvendelser, heraf 25 i form af udtalelser og 13 i
form af råd og vejledning. Det var en halvering fra året før. Henvendelserne kom fra 22
forskellige kommuner mod 37 året før. 8 af henvendelserne vedrørte uddannelser fra Sy-
rien (mod 33 året før), mens resten fordelte sig på 21 lande. Udtalelserne blev leveret på
4,2 kalenderdage i gennemsnit mod 1,9 dage året før. 40 procent af udtalelserne blev
givet samme dag som henvendelsen, og 48 procent inden for to dage.
2.7 Vurdering af adgangsgivende eksaminer
Styrelsen for Forskning og Uddannelse hjælper uddannelsesinstitutionerne med råd og
retningslinjer om udenlandske eksamensdokumenter i forbindelse med behandlingen af
ansøgninger om optagelse. Det sker gennem information på internettet, besvarelse af
henvendelser og afholdelse af informationsaktiviteter for medarbejdere ved de videre-
gående uddannelsesinstitutioner.
I januar 2019 afholdt styrelsen et kursus for nye studieadministrative medarbejdere,
blandt andet om adgangsgivende eksaminer fra Norge, Sverige, Island, Polen og Storbri-
Styrelsen for Forskning og Uddannelse
16
UFU, Alm.del - 2019-20 - Bilag 144: Beretning for 2019 om vurdering og anerkendelse af udenlandske uddannelseskvalifikationer m.v., fra uddannelses- og forskningsministeren
2220133_0017.png
Beretning for 2019
tannien. Kurset omhandlede blandt andet omregning af eksamensgennemsnit for at un-
derstøtte, at institutionerne foretager en korrekt omregning af udenlandske eksaminer.
Styrelsen har desuden offentliggjort "regnemaskiner" for 10 til 12 lande for at gøre det
nemmere og mere sikkert at omregne et udenlandsk eksamensgennemsnit til et dansk.
Regnemaskinerne er tilgængelige for uddannelsesinstitutionerne på kot.dk.
2.7.1 Eksamenshåndbog
Eksamenshåndbogen på Uddannelses- og Forskningsministeriets netsted beskriver ad-
gangsgivende eksaminer fra 134 lande samt 18 regioner/provinser og 5 internationale
studentereksaminer. For hvert land kan man finde en oversigt over de eksaminer, der er
adgangsgivende i Danmark, oplysninger til brug for karakteromregning og fagniveau-
vurdering samt en beskrivelse af uddannelsessystemet. Eksamenshåndbogen stilles til
rådighed for uddannelsesinstitutioner og uddannelsessøgende. Se www.ufm.dk/ehb.
2.7.2 Hotline for studieadministrative medarbejdere
Uddannelsesinstitutionerne kan hos styrelsen få hjælp til at vurdere, om et eksamens-
bevis er adgangsgivende til videregående uddannelse eller erhvervsuddannelse i Dan-
mark, og til at tage stilling til behovet for ægthedskontrol. Erhvervsskolerne kan få bag-
grundsoplysninger om udenlandske uddannelsessystemer og karaktersystemer med
henblik på at afgøre, om 2,0-kravet i matematik og dansk/modersmål er opfyldt.
I 2019 besvarede styrelsens hotline 582 skriftlige henvendelser, hvor uddannelsesinsti-
tutioner ønskede vurdering af et konkret uddannelsesbevis. Det var 8 procent færre end
året før. 64 procent af henvendelserne vedrørte optagelse på videregående uddannel-
ser, mens 28 procent vedrørte optagelse på erhvervsuddannelser.
53 procent af henvendelserne vedrørte uddannelser fra EU/EØS-lande, 14 procent ud-
dannelser fra Asien. Der blev spurgt til International Baccalaureate og andre internatio-
nale eksaminer i 7 procent af henvendelserne. De hyppigst forekommende lande i 2019
var USA, Island, Sverige, Norge, Tyskland og Storbritannien – se figur 2.4 nedenfor.
Figur 2.4
Hotline-besvarelser efter uddannelsesland, top 20 (2019), antal, 2015-2019
Antal besvarelser
70
60
50
40
30
20
10
0
Antal besvarelser
70
60
50
40
30
20
10
0
2015
2016
2017
2018
2019
Styrelsen for Forskning og Uddannelse
17
UFU, Alm.del - 2019-20 - Bilag 144: Beretning for 2019 om vurdering og anerkendelse af udenlandske uddannelseskvalifikationer m.v., fra uddannelses- og forskningsministeren
2220133_0018.png
Beretning for 2019
Set i forhold til den internationale søgning til danske videregående uddannelser
7
modta-
ger styrelsen relativt mange henvendelser vedrørende USA, Island og Storbritannien, og
relativt få henvendelser vedrørende Norge, Rumænien, Polen, Slovakiet m.fl. Forklaringen
kan være, at de førstnævnte eksaminer kan give vanskeligheder ved omregning og for-
tolkning af eksamensresultatet. Desuden kan institutionerne modtage en del ansøgere
fra lande som Rumænien, Polen og Slovakiet via deres samarbejde med agenter i de på-
gældende lande.
Hotlinehenvendelserne besvares i gennemsnit på 2 kalenderdage. 92 procent af henven-
delserne i 2019 blev besvaret på højst 3 dage, 80 procent samme dag som henvendel-
sen.
Styrelsen giver desuden borgere og institutioner anden rådgivning, telefonisk såvel som
skriftlig. Det er blandt andet henvendelser fra danske forældre, som ønsker at rejse til
udlandet med deres store børn eller vender tilbage til Danmark, hvor deres børn skal be-
gynde på en uddannelse. Henvendt til disse forældre tilbyder styrelsen også en vejled-
ning: "Valg af gymnasieskole i udlandet og studiestart i Danmark".
8
2.8 SU til udlandet og udlandsstipendier
I henhold til SU-bekendtgørelsen bevilges uddannelsesstøtte til uddannelse i udlandet
og udlandsstipendium blandt andet på betingelse af, at uddannelsen og uddannelsesin-
stitutionen er offentligt anerkendte i studielandet. Styrelsen for Institutioner og Uddan-
nelsesstøtte fører en fast track-liste over godkendte uddannelser og indhenter udta-
lelse fra Styrelsen for Forskning og Uddannelse, når en uddannelse ikke er godkendt in-
den for de sidste fire år. I 2019 udarbejdede Styrelsen for Forskning og Uddannelse ca.
2.700 sådanne udtalelser mod ca. 2.500 året før. Disse udtalelser er ikke medregnet i
opgørelsen af styrelsens vurderinger m.v. i afsnit 2.1.
2.9 Information i forbindelse med ghettolisten
I 2019 begyndte Styrelsen for Forskning og Uddannelse at modtage ansøgninger og
henvendelser, hvor formålet vedrører bolig. I 2018 havde Folketinget besluttet at ændre
de såkaldte ghettokriterier i forbindelse med indsatsen mod parallelsamfund. Uddannel-
seskriteriet blev justeret således, at kun de uddannelser, som er taget eller godkendt i
Danmark, bliver medregnet, når det skal gøres op, om et boligområde skal indgå på
ghettolisten.
Styrelsen har fået flere henvendelser fra boligselskaber og kommuner, som har boligom-
råder på ghettolisten, eller som er i risiko for at komme det. De har ønsket at dokumen-
tere, at beboere og tilflyttere har en udenlandsk uddannelse over dansk grundskoleni-
veau. Styrelsen har derfor udarbejdet en vejledning til kommuner og boligselskaber.
En borgers uddannelsesniveau har desuden fået betydning for, hvor borgeren kan
komme i betragtning til en almen bolig. Styrelsen har derfor også fået vurderingsansøg-
ninger fra enkelte borgere, som har fået tilbudt en bolig på betingelse af, at han eller hun
dokumenterer uddannelse over grundskoleniveau.
7
8
Ifølge tal fra den Koordinerede Tilmelding vedrørende ansøgere i 2019.
Vejledningen kan findes via www.ufm.dk/anerkendelse.
Styrelsen for Forskning og Uddannelse
18
UFU, Alm.del - 2019-20 - Bilag 144: Beretning for 2019 om vurdering og anerkendelse af udenlandske uddannelseskvalifikationer m.v., fra uddannelses- og forskningsministeren
2220133_0019.png
Beretning for 2019
2.10 Anden information om udenlandske uddannelser m.v.
På Uddannelses- og Forskningsministeriets hjemmeside tilbydes en række selvbetje-
ningsredskaber. De gør det muligt for borgere, virksomheder, uddannelsesinstitutioner
og myndigheder selv at finde vej til de ønskede oplysninger og erstatter dermed i en del
tilfælde en henvendelse om vurdering. Det drejer det sig navnlig om følgende:
Eksamenshåndbogen, som er omtalt ovenfor i afsnit 2.7.1., blev i 2019 åbnet ca.
41.000 gange af ca. 13.000 brugere. En forenklet opslagsside på engelsk blev åb-
net ca. 31.000 gange af ca. 15.000 brugere.
Landehåndbogen oplyser om styrelsens generelle vurderinger af gængse uddan-
nelser fra udvalgte lande og beskriver deres uddannelsessystemer
(www.ufm.dk/lhb). Den danske udgave blev åbnet ca. 10.000 gange af ca. 5.000
brugere, mens en kortfattet udgave på engelsk blev åbnet ca. 12.000 gange af ca.
7.000 brugere.
Vurderingsdatabasen viser mange af styrelsens konkrete vurderinger af uden-
landske uddannelser (www.ufm.dk/vdb). Den blev i alt åbnet knap 15.000 gange af
ca. 7.000 brugere.
Foruden de forskellige vurderingstilbud, hotlines og selvbetjeningssider besvarer Styrel-
sen for Forskning og Uddannelse telefon- og e-mailhenvendelser om vurdering og aner-
kendelse af udenlandske og danske uddannelseskvalifikationer fra privatpersoner og
andre brugere.
2.11 Kvalifikationsnævnet
Kvalifikationsnævnet behandler klager over danske uddannelsesinstitutioners afgørel-
ser om merit på baggrund af danske og udenlandske uddannelseskvalifikationer, om
forhåndsmerit og om anerkendelse af realkompetence. Inden for universitetsuddannel-
serne kan der dog kun klages til Kvalifikationsnævnet over afgørelser om merit på bag-
grund af udenlandsk uddannelse. For universitetsstuderende gælder, at afgørelser om
merit på baggrund af dansk uddannelse og afgørelser om forhåndsmerit skal påklages
til det pågældende universitets eget meritankenævn.
Kvalifikationsnævnet består af nævnets formand og en række medlemmer, som tilsam-
men har sagkundskab inden for alle de uddannelsesområder, der hører under Uddannel-
ses- og Forskningsministeriet, Børne- og Undervisningsministeriet samt Kulturministe-
riet. I hver enkelt klagesag består nævnet af formanden og mindst to sagkyndige med-
lemmer, som således udvælges fra sag til sag.
9
Kvalifikationsnævnet tager udgangspunkt i Lissabonkonventionen, hvis bærende prin-
cip er, at en udenlandsk uddannelse eller studieperiode skal anerkendes, medmindre der
kan påvises væsentlige forskelle i forhold til den tilsvarende uddannelse eller studieperi-
ode i værtslandet. Kvalifikationsnævnet sekretariatsbetjenes af Styrelsen for Forskning
og Uddannelse.
9
Læs mere om Kvalifikationsnævnet og dets lovgrundlag på www.ufm.dk/kn.
Styrelsen for Forskning og Uddannelse
19
UFU, Alm.del - 2019-20 - Bilag 144: Beretning for 2019 om vurdering og anerkendelse af udenlandske uddannelseskvalifikationer m.v., fra uddannelses- og forskningsministeren
2220133_0020.png
Beretning for 2019
2.11.1 Modtagne og behandlede klagesager
Kvalifikationsnævnet modtog 43 klagesager i 2019 – en stigning fra 25 sager året før.
Stigningen kan skyldes, at Kvalifikationsnævnet i juni 2018 foretog en informations-
kampagne rettet mod studerende og uddannelsesinstitutioner om nævnets virke og
klagemuligheder.
Klagerne har i de senere år hovedsagelig handlet om afgørelser om merit på baggrund
af uddannelsesaktiviteter i Danmark, og denne type sager udgjorde hele 86 procent af
sagerne i 2019. Der er få sager om merit på baggrund af udenlandsk uddannelse, hvilket
for danske studerendes vedkommende skyldes, at de fleste får forhåndsgodkendt merit,
inden de tager på studieophold i udlandet. Udviklingen de sidste ti år og fordelingen på
sagstyper fremgår af figur 2.5 nedenfor.
Figur 2.5
Sager modtaget af Kvalifikationsnævnet efter sagstype og år, antal, 2010-2019
Antal sager
50
45
40
35
30
25
20
15
10
5
0
2010
2011
2012
2013
2014
2015
2016
2017
2018
2019
Anerkendelse af realkompetence
Merit på baggrund af dansk uddannelse
Merit på baggrund af udenlandsk uddannelse
Antal sager
50
45
40
35
30
25
20
15
10
5
0
I tabel 2.8 nedenfor er det seneste års sager opdelt efter deres type og udfald.
Tabel 2.8
Sager modtaget af Kvalifikationsnævnet efter type og udfald, antal, 2019
Behandling
Afvist af formelle årsager
Ikke imødekommet
Delvist imødekommet
Imødekommet
Frafaldet af klager
Modtaget i alt
Anerkendelse af
realkompetence
0
3
0
0
0
3
Merit på baggrund af
dansk uddannelse
5
18
2
10
2
37
Merit på baggrund af
udenlandsk uddannelse
0
2
0
1
0
3
I alt
5
23
2
11
2
43
Kvalifikationsnævnet har truffet indholdsmæssige afgørelser i 36 af de 43 sager, der
blev indgivet i 2019, idet 2 sager er frafaldet af klager og 5 er afvist af formelle årsager,
såsom at klagefristen på 4 uger er overskredet uden en tilstrækkelig begrundelse. Ud af
Styrelsen for Forskning og Uddannelse
20
UFU, Alm.del - 2019-20 - Bilag 144: Beretning for 2019 om vurdering og anerkendelse af udenlandske uddannelseskvalifikationer m.v., fra uddannelses- og forskningsministeren
2220133_0021.png
Beretning for 2019
de 36 sager blev 11 fuldt ud imødekommet, dvs. 31 procent. Andelen af helt eller delvist
imødekomne klager var 36 procent i 2019 mod 23 procent året før. Se udviklingen i sa-
gernes udfald gennem de sidste ti år i figur 2.6 nedenfor.
Figur 2.6
Modtagne sager afsluttet med indholdsmæssig afgørelse, efter år og udfald, pct., 2010-2019
Procent af afgørelser
100%
90%
80%
70%
60%
50%
40%
30%
20%
10%
0%
2010
Imødekommet
2011
2012
2013
2014
2015
2016
2017
2018
2019
Delvist imødekommet
Ikke imødekommet
Procent af afgørelser
100%
90%
80%
70%
60%
50%
40%
30%
20%
10%
0%
De påklagede afgørelser var i 2019 truffet af 13 institutioner, heriblandt 6 professions-
højskoler og 4 universiteter. Klagerne har i de senere år overvejende drejet sig om at
opnå merit ind i en professionsbacheloruddannelse. I 2019 blev disse sagers antal næ-
sten fordoblet og udgjorde 63 procent af alle sagerne (mod 56 procent året før), mens
21 procent af sagerne drejede sig om diplomuddannelser. Alle sager på nær én vedrørte
videregående uddannelser. Udviklingen fremgår af figur 2.7 nedenfor.
Figur 2.7
Sager modtaget af Kvalifikationsnævnet efter uddannelsestype og år, antal, 2010-2019
Antal sager
50
45
40
35
30
25
20
15
10
5
0
2010
2011
2012
2013
2014
2015
2016
2017
2018
2019
Antal sager
50
45
40
35
30
25
20
15
10
5
0
Gymnasiale uddannelser
Akademiuddannelser
Universitetsuddannelser
Erhvervsuddannelser m.v.
Professionsbacheloruddannelser
Kunstneriske uddannelser
Erhvervsakademiuddannelser
Diplomuddannelser
Andre uddannelser
Styrelsen for Forskning og Uddannelse
21
UFU, Alm.del - 2019-20 - Bilag 144: Beretning for 2019 om vurdering og anerkendelse af udenlandske uddannelseskvalifikationer m.v., fra uddannelses- og forskningsministeren
2220133_0022.png
Beretning for 2019
De berørte professionsbacheloruddannelser var i høj grad læreruddannelser, som ud-
gjorde 14 af sagerne i 2019. 8 af disse sager førte til indholdsmæssige afgørelser: 2 kla-
ger blev imødekommet, 1 blev delvist imødekommet, og 5 blev ikke imødekommet. Den
typiske meritsag inden for læreruddannelsen drejede sig indholdsmæssigt om, hvorvidt
man kan få merit for erhvervsarbejde som ansat på en skole. Generelt er der de seneste
år sket et fald i antallet af imødekomne sager inden for læreruddannelsen, hvilket viser,
at uddannelsesinstitutionernes og nævnets meritafgørelser i højere grad er på linje.
2.11.2 Information om Kvalifikationsnævnet
Som sekretariat for Kvalifikationsnævnet informerer Styrelsen for Forskning og Uddan-
nelse om nævnet på Uddannelses- og Forskningsministeriets hjemmeside.
10
For at
skabe kendskab til Kvalifikationsnævnet og dets praksis offentliggør styrelsen løbende
oplysninger om alle modtagne sager i en database på hjemmesiden. Databasen inde-
holder for hver sag informationer om indholdet af klagen, hvilken type uddannelse og in-
stitution klagen drejer sig om, om der er givet medhold eller ej, samt hvilke sagkyndige
der har deltaget i behandlingen af sagen. Man finder desuden afgørelsen i dens helhed.
Databasen indeholder ikke personlige oplysninger om de studerende, der har klaget.
2.12 Internationalt samarbejde om anerkendelse
Danmark har et omfattende samarbejde med andre landes myndigheder og organisati-
oner med henblik på at lette anerkendelsen af udenlandske uddannelseskvalifikationer i
Danmark og anerkendelsen af danske uddannelseskvalifikationer i udlandet.
2.12.1 ENIC/NARIC-samarbejdet
Styrelsen for Forskning og Uddannelse samarbejder med andre nationale kontorer gen-
nem to internationale netværk:
ENIC-netværket, som hører under Europarådet og UNESCO, består af europæiske
lande samt Australien, New Zealand, Israel, Canada og USA.
NARIC-netværket, der hører under Europa-Kommissionen, omfatter alle EU- og
EØS-lande.
ENIC- og NARIC-netværkene arbejder på grundlag af Lissabonkonventionen for at
højne kvaliteten i anerkendelsesarbejdet.
11
I regi af netværkene afholdes årlige konfe-
rencer, seminarer og peer learning activities, og der udveksles løbende informationer om
udenlandske uddannelser til brug for vurderingen af konkrete uddannelser.
12
Der afholdes et årligt møde for alle 53 ENIC/NARIC-kontorer, hvor der drøftes aktuelle
emner og udveksles erfaringer om arbejdsmetoder, principper og procedurer. I 2019 af-
holdtes det årlige møde i Køln, og der var særligt fokus på implementering af automa-
tisk anerkendelse og på informationsformidling til borgere, uddannelsesinstitutioner og
arbejdsgivere. Det danske kontor bidrog blandt andet med workshops om anerkendelse
af korte videregående uddannelser og om samarbejde mellem anerkendelseskontor og
uddannelsesinstitutioner.
Se www.ufm.dk/kn.
Danmark ratificerede Lissabonkonventionen i 2003. Læs mere om den på www.ufm.dk/anerkendelse/lk.
12
Læs mere på ENIC/NARIC-hjemmesiden: www.enic-naric.net.
10
11
Styrelsen for Forskning og Uddannelse
22
UFU, Alm.del - 2019-20 - Bilag 144: Beretning for 2019 om vurdering og anerkendelse af udenlandske uddannelseskvalifikationer m.v., fra uddannelses- og forskningsministeren
Beretning for 2019
En vigtig del af samarbejdet mellem ENIC/NARIC-kontorerne er en mailingliste, hvor
sagsbehandlere udveksler informationer om forskellige landes uddannelsesinstitutioner
og om konkrete uddannelseskvalifikationer. Således bidrager videnudveksling mellem
anerkendelseskontorerne direkte til kontorernes daglige arbejde med at udarbejde af-
gørelser om anerkendelse af ansøgeres uddannelseskvalifikationer.
2.12.2 Deltagelse i NARIC-projekter
Styrelsen for Forskning og Uddannelse deltager i NARIC-projekter, der gennemføres i
forbindelse med EU-programmet ERASMUS+. Projekterne hjælper styrelsen med at
holde sig opdateret om udviklinger inden for international uddannelse. Den viden, som
styrelsen opnår gennem projekterne, er med til at sikre kvalitet og relevans i styrelsens
egne vurderinger af udenlandske uddannelser, udvikle styrelsens anerkendelsesmetodik
samt dens rådgivning af danske uddannelsesinstitutioner.
Tre igangværende projekter med dansk deltagelse forventes afsluttet i 2020:
E-Valuate: Projektet skal give et overblik over udbud af uddannelser og nye læ-
ringsformer samt komme med anbefalinger til institutionerne om principper og
procedurer for fair anerkendelse af kvalifikationer fra de nye typer af læringsud-
bud. Det drejer sig blandt andet om Massive Open Online Courses, micro creden-
tials og mini-MBA'er. Projektet har særlig bevågenhed fra Europa-Kommissionen,
som har anerkendelse af micro credentials som et indsatsområde i forbindelse
med dagsordenen om livslang læring. Resultaterne fra projektet vil blive formidlet
til danske institutioner.
AR-Net: Projektet søger at komme med konkrete anbefalinger om automatisk an-
erkendelse som opfølgning på den Bologna-ministeranbefaling, der omtales i af-
snit 2.12.4 nedenfor.
Fraudscan: Projektet har til formål at etablere en database, hvor ENIC/NARIC-
kontorerne kan advare hinanden om forfalskede uddannelsesdokumenter og vur-
deringsbreve. Dette er en opfølgning på de tidligere projekter FRAUDOC og
SCAN-D2.
2.12.3 Lissabonkonventions-Komiteen
Lissabonkonventions-Komiteen har til opgave at monitorere implementeringen af Lis-
sabonkonventionen i de 54 medlemslande samt at udvikle og opdatere selve konventio-
nen og de underliggende tekster, således at konventionsteksterne tager højde for ud-
viklingen inden for de videregående uddannelser i hele konventionsområdet.
Der afholdes konventionsmøde mindst hvert tredje år, og i 2019 blev konventionsmødet
afholdt i UNESCO's hovedkvarter i Paris.
Mødet vedtog et vejledende dokument om minimumsstandarder for anerkendelseskon-
torers informationsindsats over for ansøgere, uddannelsesinstitutioner, arbejdsgivere
og andre interessenter. Informationsforpligtelsen fremgår af selve Lissabonkonventio-
nen, der blandt andet forpligter medlemslandene til at sikre alle borgere ret til fair aner-
kendelse af deres udenlandske uddannelseskvalifikationer, til at give ansøgere informa-
tion om anerkendelsesprocedurer og -principper og til at stille information om landets
eget uddannelsessystem og offentligt anerkendte uddannelsesinstitutioner til rådighed
for udenlandske anerkendelsesmyndigheder.
Styrelsen for Forskning og Uddannelse
23
UFU, Alm.del - 2019-20 - Bilag 144: Beretning for 2019 om vurdering og anerkendelse af udenlandske uddannelseskvalifikationer m.v., fra uddannelses- og forskningsministeren
2220133_0024.png
Beretning for 2019
På konventionsmødet vedtog man også endeligt en revision af Diploma Supplement,
som var blevet udarbejdet i regi af en arbejdsgruppe under Bologna-processen. Diploma
Supplement er et fælles transparensdokument for Europarådet, UNESCO og Europa-
Kommissionen. Diploma Supplement skal udstedes automatisk, gratis og på et hoved-
sprog som tillæg til eksamensbeviset og beskriver uddannelseskvalifikationens status,
normering, læringsudbytte m.v. Tillægget fungerer således som en vigtig informations-
kilde i arbejdet med anerkendelse af udenlandske uddannelseskvalifikationer.
Revisionen af Diploma Supplement byder ikke på store forandringer i et velfungerende
dokument. Vejledningen til uddannelsesinstitutionerne, der skal udstede dokumentet, er
gjort tydeligere, idet det var konstateret, at dokumentet blev udstedt uensartet i med-
lemslandene, og at Diploma Supplement i en række lande ikke var implementeret fuldt
ud.
Konventionsmødet behandlede også en status på Lissabonkonventionens artikel VII,
som forpligter landene til at forsøge at anerkende flygtninge og internt fordrevnes ud-
dannelseskvalifikationer, også når de af gode grunde ikke kan fremvise dokumentation.
Et middel hertil er at udarbejde et såkaldt baggrundspapir (background
document)
om
den enkeltes uddannelsesforløb. Konventions-bureauet kunne ud fra en undersøgelse
blandt alle medlemslandene konstatere, at der var gjort væsentlige fremskridt i lande-
nes arbejde med baggrundspapirer siden 2016. Man kunne dog samtidig konstatere, at
der stadig er en del lande, der mangler et beredskab til anerkendelse af flygtninges ud-
dannelser, når disse ikke kan dokumenteres. Det danske anerkendelseskontor har siden
2003 tilbudt et baggrundspapir i form af en vejledende udtalelse, når ansøgere ikke har
kunnet dokumentere deres uddannelseskvalifikationer.
En repræsentant for Styrelsen for Forskning og Uddannelse blev genvalgt til Lissabon-
konventions-Komiteen.
2.12.4 Bologna-processen
Ministrene for videregående uddannelse i 48 lande samarbejder i det Europæiske Om-
råde for Videregående Uddannelse (European Higher Education Area, EHEA), også
kendt som Bologna-processen. Samarbejdet koordineres i Bologna Follow-Up Group
(BFUG).
13
Der har i de senere år været stærkt politisk fokus på anerkendelse i Bologna-samarbej-
det med henvisning til, at fair anerkendelse er en nødvendighed for opbygningen af et
fælles europæisk område for videregående uddannelser.
Ved den seneste ministerkonference, der blev afholdt i Paris i maj 2018, blev det vedta-
get at arbejde hen imod implementering af automatisk anerkendelse af videregående
uddannelser. Det betyder, at man skal sikre fuld anerkendelse af alle EHEA-uddannelser
og sikre studerendes ret til at søge optagelse på næste uddannelsesniveau i andre
EHEA-lande.
Tre tematiske arbejdsgrupper blev derefter nedsat: en om anerkendelse, en om kvali-
tetssikring og en om implementering af Bologna-gradsstrukturen, kvalifikationsrammer
og ECTS. Temagrupperne skal fremlægge rapporter og forslag til den næste minister-
konference, som skal finde sted i Italien i november 2020.
13
Læs mere om Bologna-processen på www.bologna.dk.
Styrelsen for Forskning og Uddannelse
24
UFU, Alm.del - 2019-20 - Bilag 144: Beretning for 2019 om vurdering og anerkendelse af udenlandske uddannelseskvalifikationer m.v., fra uddannelses- og forskningsministeren
2220133_0025.png
Beretning for 2019
Styrelsen for Forskning og Uddannelse deltager i temagruppen om anerkendelse. Arbej-
det har i 2019 taget form af arbejdsseminarer og -konferencer, hvor lande med god im-
plementering af eksempelvis automatisk anerkendelse og realkompetencesystemer har
bidraget med deres viden og metoder med henblik at udveksle erfaringer og forbedre
anerkendelsesvirksomheden i de lande, som har behov for det. Arbejdsgruppen skal i
foråret 2020 fremlægge en rapport om sit arbejde med anbefalinger om yderligere til-
tag til at styrke det europæiske samarbejde om anerkendelse og de enkelte landes im-
plementering af fair anerkendelse.
2.12.5 Nordisk samarbejde
Det nordiske netværk for anerkendelse af videregående uddannelser, NORRIC-netvær-
ket, omfatter de fem nordiske ENIC/NARIC-kontorer. Gennem et online-forum og te-
matiske møder udveksler kontorerne informationer og erfaringer for at understøtte kva-
liteten i vurderingsarbejdet. Hertil kommer kvartalsvise møder mellem lederne af de nor-
diske ENIC/NARIC-kontorer, hvor også de mere overordnede og strategiske sigtelinjer
for samarbejdet drøftes.
14
De nordiske kontorer har de seneste år især samarbejdet om vurdering af kvalifikationer
fra Afrika, Latinamerika, Rumænien, Balkan og de arabiske lande med særlig vægt på
Syrien samt bestemte typer af kvalifikationer: erhvervsuddannelser, ingeniøruddannel-
ser og lærerkvalifikationer.
I 2018 blev der nedsat en arbejdsgruppe i regi af Nordisk Ministerråd, som har haft til
opgave at komme med anbefalinger om mere smidig og automatiseret anerkendelse af
uddannelseskvalifikationer mellem de nordiske lande. Det skete med udgangspunkt i
den reviderede Reykjavik-deklaration fra 2016 og som opfølgning på en konsulentrap-
port udarbejdet af Rambøll. Arbejdsgruppen har i december 2019 aflagt rapport til Nor-
disk Ministerråds Embedsmandskomité for Uddannelse og Forskning.
Arbejdsgruppen konstaterer, at videregående uddannelseskvalifikationer generelt får
fuld anerkendelse på tværs af landegrænser inden for Norden, dog med enkelte undta-
gelser. På den baggrund vurderer arbejdsgruppen, at der ikke eksisterer et praktisk be-
hov for en juridisk bindende nordisk aftale om automatisk anerkendelse.
Der er enkelte videregående uddannelseskvalifikationer inden for Norden, som på grund
af deres længde er svære at give automatisk anerkendelse i andre nordiske lande, men
det er arbejdsgruppens vurdering, at denne problemstilling formentlig vil være svær at
løfte i en juridisk bindende aftale. I det internationale samarbejde om anerkendelse af
uddannelseskvalifikationer indebærer automatisk anerkendelse af en uddannelseskvali-
fikation, at den automatisk giver generel adgang til næste uddannelsesniveau. Således
skal en bachelorgrad automatisk anerkendes som opfyldende niveaukravet for adgang
til master-/kandidatuddannelse. Samtidig skal anerkendelsen ske hurtigt og uden unø-
digt bureaukrati. Automatisk anerkendelse handler ikke om automatisk anerkendelse af
en uddannelses indhold, f.eks. at en bacheloruddannelse i fysik fra ét land automatisk
skulle anerkendes som en bacheloruddannelse i fysik i andre lande.
Arbejdsgruppen om automatisk anerkendelse har desuden anbefalet, at der arbejdes vi-
dere med at inddrage Færøerne, Grønland og Ålandsøerne i det fællesnordiske arbejde
14
Læs mere om NORRIC på www.norric.org.
Styrelsen for Forskning og Uddannelse
25
UFU, Alm.del - 2019-20 - Bilag 144: Beretning for 2019 om vurdering og anerkendelse af udenlandske uddannelseskvalifikationer m.v., fra uddannelses- og forskningsministeren
2220133_0026.png
Beretning for 2019
med automatisk anerkendelse. Færøerne, Grønland og Ålandsøerne var ikke repræsen-
terede i arbejdsgruppen.
Som opfølgning på arbejdsgruppens arbejde er det planlagt at informere de videregå-
ende uddannelsesinstitutioner om automatisk anerkendelse. Der planlægges desuden
afholdelse af et seminar om smidigere og mere automatiseret anerkendelse i Norden i
samarbejde med en arbejdsgruppe om brugen af digitalisering i anerkendelse af uddan-
nelseskvalifikationer inden for Norden. Denne arbejdsgruppe er også nedsat af Nordisk
Ministerråd og har aflagt rapport i starten af 2020.
2.13 Transparens og sammenlignelighed
Anerkendelse af uddannelseskvalifikationer og kompetencer på tværs af grænserne sø-
ges fremmet ved hjælp af redskaber, som gør det lettere at dokumentere, forstå og
sammenligne de pågældende kvalifikationer og kompetencer. De vigtigste redskaber er
nationale og europæiske kvalifikationsrammer, ECTS, Europass og ECVET.
2.13.1 Kvalifikationsrammer
Den Danske Kvalifikationsramme for Livslang Læring omfatter alle uddannelserne i det
danske formelle uddannelsessystem og er koblet til den Europæiske Kvalifikations-
ramme, EQF. EQF er en referenceramme, som er udviklet i EU-regi for at gøre det lettere
at forstå, sammenligne og anerkende alle typer kvalifikationer på tværs af lande og sy-
stemer i Europa. Desuden findes en Kvalifikationsramme for det Europæiske Område for
Videregående Uddannelse, EHEA-rammen.
15
Akkrediteringsloven fra 2017 bemyndigede Danmarks Akkrediteringsinstitution til i
samarbejde med Uddannelses- og Forskningsministeriet, Børne- og Undervisningsmini-
steriet samt Kulturministeriet at udvikle kriterier og procedurer for at optage andre ud-
dannelser i kvalifikationsrammen, nærmere bestemt private uddannelser og offentlige
uddannelser, som ikke er under tilsyn af for Uddannelses- og Forskningsministeriet,
Børne- og Undervisningsministeriet eller Kulturministeriet. Arbejdet koordineres i det
tværministerielle Koordinationsudvalg for Kvalifikationsrammen.
Inklusionen af ikke-formelle uddannelser i rammen spiller tæt sammen med den euro-
pæiske dagsorden om at etablere et mere sammenhængende system for livslang læring
og den nationale dagsorden om, at studerende skal have bedre muligheder for at
komme igennem deres uddannelser. Hensigten er at gøre studerendes læringsudbytte
mere transparent, at forbedre grundlaget for optag og merit ind i de formelle uddannel-
ser samt at give forbrugerne en bedre beskyttelse og vished for, at udbydere af ikke-
formelle uddannelser lever op til bestemte standarder.
I foråret 2019 blev der afholdt et tværministeriet høringsmøde for udbydere af ikke-for-
melle uddannelser, og på baggrund af høringssvar fra interessenter blev principperne og
procedurerne for indplacering i kvalifikationsrammen endeligt fastsat.
Ansøgningsprocessen forløber i to faser. I første fase undersøger Akkrediteringsinstitu-
tionen, om den ansøgende uddannelse lever op til i alt seks krav. Kravene omhandler ud-
dannelsens formål, hvor der skal være en tydelig beskrivelse af uddannelsens formål og
15
Læs mere om kvalifikationsrammerne på www.kvalifikationsramme.dk. Se også Europa-Kommissionens portal "Lear-
ning Opportunities and Qualifications in Europe" på https://ec.europa.eu/ploteus.
Styrelsen for Forskning og Uddannelse
26
UFU, Alm.del - 2019-20 - Bilag 144: Beretning for 2019 om vurdering og anerkendelse af udenlandske uddannelseskvalifikationer m.v., fra uddannelses- og forskningsministeren
2220133_0027.png
Beretning for 2019
relevans i forhold til arbejdsmarkedet og/eller kultur- og fritidsområdet, og at uddannel-
sen ikke er politisk eller konfessionelt baseret, om uddannelsen er beskrevet i lærings-
mål, om uddannelsen har haft et bestemt antal gennemløb, om der foregår undervis-
ningsevaluering, om der foregår en evaluering af de studerende, og om der udstedes et
bevis ved det afsluttede uddannelsesforløb.
Lever den ansøgende uddannelse op til kriterierne, går man videre til næste fase. Her
evaluerer Akkrediteringsinstitutionen uddannelsens læringsudbytte i forhold til niveau-
erne i kvalifikationsrammen, undervisernes faglige kvalifikationer evalueres, og det un-
dersøges, hvorvidt den måde, uddannelsen gennemfører og anvender undervisningseva-
lueringer på, understøtter de studerendes muligheder for at opnå uddannelsens samlede
mål for læringsudbytte.
Første ansøgningsrunde var i oktober 2019. Her blev i alt 5 af de ikke-formelle uddan-
nelser indplaceret i kvalifikationsrammen, mens 3 ikke levede op til kravene.
Ansøgningsprocessen finansieres af ansøgerne selv. En indplacering i kvalifikations-
rammen medfører ikke formelle rettigheder, men er udelukkende en niveauindplacering,
der signalerer et vurderet og opnået læringsudbytte. Dette kan bidrage til arbejdsgive-
res vurdering af en jobansøgers samlede kvalifikationer og til en uddannelsesinstituti-
ons afgørelse om optagelse og eventuel merit.
Styrelsen for Forskning og Uddannelse deltager i internationale netværk med henblik på
at udveksle erfaringer om opbygning og videreudvikling af kvalifikationsrammer og
fremme en læringsudbytteorienteret tilgang til uddannelsessystemet. I det nordiske
netværk om EQF mødes alle kontaktpunkter for EQF to gange årligt i henholdsvis Kø-
benhavn og Reykjavik. På møderne i 2019 er der fokuseret på realkompetencevurderin-
ger og landenes erfaringer med og holdninger til tilknytning af ikke-formelle kvalifikati-
oner til de nationale kvalifikationsrammer samt på de nordiske landes udarbejdelse af
databaser og registre over de udbudte uddannelser.
2.13.2 ECTS
Det europæiske meritoverførsels- og meritakkumuleringssystem (European Credit
Transfer and Accumulation System, ECTS) danner grundlag for, at den studerende kan
få godskrevet kursus- og uddannelseselementer fra én institution ved en anden, herun-
der også internationalt mellem de institutioner, der benytter systemet. Vejledningen
vedrørende brug af ECTS tager højde for den seneste udvikling i Bologna-processen,
herunder det øgede fokus på læringsudbytte, og indeholder bl.a. et afsnit om ECTS-sy-
stemets understøttelse af mobilitet og meritoverførsel med henvisning til Lissabonkon-
ventionen og relevante dokumenter på grundlag af konventionen.
16
2.13.3 ECVET
European Credit system for Vocational Education and Training (ECVET) er et europæ-
isk meritoverførselssystem for de erhvervsrettede uddannelser. Størstedelen af de dan-
ske erhvervsskoler, der tilbyder transnational mobilitet for deres elever, anvender
ECVET-systemet ved kvalitetssikringen af læringsindholdet for elevernes ophold i ud-
landet. For at understøtte den praktiske implementering af systemet har Europa-Kom-
missionen etableret et netværk af eksperter, som formidler viden om ECVET og giver
16
Nærmere oplysninger om ECTS og link til brugervejledningen kan findes på www.ufm.dk/uddannelse-og-
institutioner/anerkendelse-og-dokumentation/dokumentation/ects.
Styrelsen for Forskning og Uddannelse
27
UFU, Alm.del - 2019-20 - Bilag 144: Beretning for 2019 om vurdering og anerkendelse af udenlandske uddannelseskvalifikationer m.v., fra uddannelses- og forskningsministeren
2220133_0028.png
Beretning for 2019
praktiske råd og vejledning til de relevante aktører. Styrelsen for Forskning og Uddan-
nelse er sekretariat for de danske ECVET-eksperter.
17
2.13.4 Europass
Europass omfatter fem dokumenter, som udarbejdes efter fælles europæiske skabelo-
ner og bruges til at dokumentere den enkeltes kvalifikationer og kompetencer:
Diploma Supplement, som er et tillæg til eksamensbeviser for videregående ud-
dannelse
Certificate Supplement, som er et tillæg til uddannelsesbeviser og svendebreve
inden for erhvervsuddannelse og arbejdsmarkedsuddannelse
Europass Mobilitetsbevis, som dokumenterer læringsophold i udlandet
Europass CV, der sammenfatter den enkeltes kompetencer
Europass Sprogpas, der beskriver sprogkundskaber.
EU-landene besluttede i 2018 at revidere Europass. Som led i forberedelsen af det nye
Europass er der i 2019 taget skridt til at etablere en platform for digitale eksamensbe-
viser: Digitally Signed Credentials, som afprøves i et pilotprojekt med deltagelse af 18
europæiske lande.
18
Diploma Supplement er et fælles redskab i regi af Europa-Kommissionen, Europarådet
og UNESCO. Dokumentskabelonen har de sidste to år været under revision, bl.a. med
henblik på at forbedre vejledningen til institutionerne og øge fokus på læringsudbytte.
Det reviderede dokument blev endeligt vedtaget ved Lissabonkonventions-mødet i Pa-
ris i 2019. Styrelsen for Forskning og Uddannelse har herefter informeret uddannelsesin-
stitutionerne om det reviderede Diploma Supplement og stillet skabelonen til rådighed
på ministeriets hjemmeside. Se i øvrigt afsnit 2.12.3 om Lissabonkonventions-Komiteen.
17
18
Nærmere oplysninger om ECVET og ECVET-eksperterne kan findes via www.ufm.dk/ecvet.
Læs mere om Europass på www.europass.dk.
Styrelsen for Forskning og Uddannelse
28
UFU, Alm.del - 2019-20 - Bilag 144: Beretning for 2019 om vurdering og anerkendelse af udenlandske uddannelseskvalifikationer m.v., fra uddannelses- og forskningsministeren
2220133_0029.png
Beretning for 2019
3. Anerkendelse til
lovregulerede erhverv
Dette kapitel beskriver anerkendelse af udenlandske er-
hvervsmæssige kvalifikationer til brug for adgang til at ud-
øve lovregulerede erhverv, EU’s anerkendelsesdirektiv og
samspillet mellem Styrelsen for Forskning og Uddannelse
og de myndigheder, der har ansvaret for de enkelte erhverv.
3.1 Introduktion
For at få adgang til at udøve et lovreguleret erhverv (også kaldet autorisationserhverv)
skal man typisk have bestemte erhvervsmæssige kvalifikationer ifølge lovgivningen.
For erhvervsudøvere med udenlandske kvalifikationer betyder reguleringen blandt an-
det, at man skal have anerkendt sine udenlandske kvalifikationer for at kunne etablere
sig.
Ansvaret for adgangen til udøvelse af de enkelte lovregulerede erhverv er forankret hos
de kompetente danske myndigheder, som har ansvaret for de enkelte lovregulerede er-
hverv og den sektorspecifikke lovgivning.
3.1.1 Regler for anerkendelse på det lovregulerede område
Reglerne for anerkendelse på det lovregulerede område er hovedsagelig nedfældet i lov
om anerkendelse af visse uddannelses- og erhvervsmæssige kvalifikationer (anerken-
delsesloven) og den tilhørende bekendtgørelse
19
samt i lovgivningen for de enkelte er-
hvervsområder.
Der skelnes overordnet mellem tre slags sager:
Sager, der er omfattet af EU’s direktiv om anerkendelse af erhvervsmæssige kva-
lifikationer (anerkendelsesdirektivet)
Sager, der er omfattet af andre EU-regler og/eller internationale konventioner og
aftaler
Øvrige autorisationssager, der udelukkende behandles efter de danske autorisati-
onsregler.
19
Lov nr. 1871 af 29. december 2015 om anerkendelse af visse uddannelses- og erhvervsmæssige kvalifikationer
(www.retsinformation.dk/Forms/R0710.aspx?id=176805) og bekendtgørelse nr. 53 af 14. januar 2016 om anerkendelse
af visse uddannelses- og erhvervsmæssige kvalifikationer m.v.
(www.retsinformation.dk/Forms/R0710.aspx?id=177086).
Styrelsen for Forskning og Uddannelse
29
UFU, Alm.del - 2019-20 - Bilag 144: Beretning for 2019 om vurdering og anerkendelse af udenlandske uddannelseskvalifikationer m.v., fra uddannelses- og forskningsministeren
2220133_0030.png
Beretning for 2019
3.1.1.1 EU-regler: anerkendelsesdirektivet
Fri bevægelighed for personer og tjenesteydelser er et af EU’s mål i traktatens artikel 3,
stk. 1, litra c. Dette indebærer, at EU-borgere har ret til at udøve et erhverv som selv-
stændig eller lønmodtager i en anden medlemsstat end den, hvor de har erhvervet deres
erhvervsmæssige kvalifikationer. For at gennemføre rettighederne har Europa-Parla-
mentet og Rådet vedtaget direktiv 2005/36/EF om anerkendelse af erhvervsmæssige
kvalifikationer.
I 2016 blev anerkendelsesdirektivet
20
udvidet med et europæisk erhvervspas (EPC), et
fælleseuropæisk advarselssystem
21
, mulighed for delvis anerkendelse, gennemgang af
omfanget og grundlaget for regulering af erhverv i medlemsstaterne (transparensinitia-
tivet) samt hurtigere procedurer med kortere sagsbehandlingsfrister m.v.
Man har krav på at blive behandlet efter EU's anerkendelsesdirektiv, hvis man er stats-
borger i et EU/EØS-land eller et land, som EU har indgået aftale med herom, (f.eks.
Schweiz) og har sine erhvervsmæssige kvalifikationer fra et af disse lande.
På grund af det danske retsforbehold
22
finder anerkendelsesdirektivet i Danmark kun
anvendelse for personer, der har statsborgerskab i et EU/EØS-land eller et land, som EU
har indgået aftale med herom, og for statsborgere i tredjelande, som er omfattet af op-
holdsdirektivet.
23
Inden for EU-sagerne skelnes der mellem ansøgninger om etablering (varigt arbejde) og
levering af tjenesteydelser (midlertidigt og lejlighedsvist arbejde).
3.1.1.2 Andre EU-regler og internationale regler
På nogle erhvervsområder såsom revisorområdet og advokatområdet gælder der sek-
torspecifikke EU-regler, og anerkendelsesdirektivet gælder subsidiært. For maritime er-
hverv, der har tilknytning til handelsflåden, gælder der specifikke EU-direktiver om mini-
mumsuddannelseskrav for søfarende, hvorfor anerkendelsesdirektivet ikke finder an-
vendelse. Inden for visse søfartserhverv gælder der desuden særlige internationale kon-
ventioner, som har fortrinsret i forhold til andre retsregler. Anerkendelsesdirektivet gæl-
der kun i begrænset omfang for visse maritime erhverv, der har tilknytning til handels-
flåden og inden for fiskeri.
Konsolideret udgave af det reviderede direktiv 2005/36/EF om anerkendelse af erhvervsmæssige kvalifikationer:
http://eur-lex.europa.eu/legal-content/DA/TXT/PDF/?uri=CELEX:02005L0036-20140117 og forordning (EU) nr.
1024/2012 om det administrative samarbejde ved hjælp af informationssystemet for det indre marked ("IMI-forord-
ningen"): http://eur-lex.europa.eu/legal-content/DA/TXT/?uri=celex:32012R1024.
21
Til brug for behandling af det europæiske erhvervspas og advarsler har Europa-Kommissionen udstedt en gennemfø-
relsesforordning om de procedurer, der knytter sig til disse emner: http://eur-lex.europa.eu/legal-con-
tent/DA/TXT/PDF/?uri=CELEX:32015R0983
22
Der er tale om den del af det retlige samarbejde i EU, der vedrører visum, asyl, indvandring og andre politikker i forbin-
delse med den fri bevægelighed for personer (afsnit IV i EF-traktaten, artikel 61-69).
23
Tredjelandsborgere, der har opnået ophold her i landet på baggrund af det såkaldte opholdsdirektiv (2004/38/EF),
kan udnytte de rettigheder og garantier, som anerkendelsesdirektivet giver, hvis de opfylder de specifikke krav i aner-
kendelsesdirektivet.
20
Styrelsen for Forskning og Uddannelse
30
UFU, Alm.del - 2019-20 - Bilag 144: Beretning for 2019 om vurdering og anerkendelse af udenlandske uddannelseskvalifikationer m.v., fra uddannelses- og forskningsministeren
2220133_0031.png
Beretning for 2019
3.1.1.3 Nordiske overenskomster
Danmark, Finland, Island, Norge og Sverige har indgået en række overenskomster på ar-
bejdsmarkedsområdet, inden for undervisningserhverv og visse sundheds- og veteri-
nære erhverv
24
. Disse aftaler er af stor betydning for nordiske borgeres adgang til det
nordiske arbejdsmarked inden for en række arbejdsområder, som de nordiske lande re-
gulerer, og hvor de uddannelses- og erhvervsmæssige kvalifikationer i de fleste tilfælde
er ligeværdige. I praksis betyder overenskomsterne, at nordiske statsborgere med nor-
diske erhvervsmæssige kvalifikationer inden for disse erhverv har ret til automatisk an-
erkendelse med henblik på adgang til erhvervsudøvelse.
25
3.1.1.4 Øvrige regler
Ansøgninger om adgang til udøvelse af lovregulerede erhverv på baggrund af udenland-
ske kvalifikationer, der ikke er omfattet af nogen af de ovennævnte regler, behandles i
overensstemmelse med de danske retsregler, der gælder for det enkelte erhverv.
3.1.2 Funktioner i forbindelse med anerkendelsesdirektivet
Styrelsen for Forskning og Uddannelse varetager funktionerne som dansk koordinator
for direktivet, som støttecenter og som medlem af EU's såkaldte artikel 58-udvalg. Op-
gaverne er lovfæstet i anerkendelsesdirektivet og gennemført i anerkendelsesloven.
3.1.2.1 Koordinatorfunktionen
Som dansk koordinator medvirker Styrelsen for Forskning og Uddannelse til udarbej-
delse og gennemførelse af EU's regler om anerkendelse af erhvervsmæssige kvalifikati-
oner. Styrelsen repræsenterer Danmark i koordinationsgruppen under Europa-Kommis-
sionens generaldirektorat for det Indre Marked, Erhvervspolitik, Iværksætteri og SMV'er
(GROW)
26
og har ansvaret for at varetage de danske interesser på området i EU.
Styrelsen koordinerer og overvåger de danske kompetente myndigheders administra-
tion af direktivet. Det indebærer, at styrelsen formidler Europa-Kommissionens ret-
ningslinjer til de relevante myndigheder, driver et netværk med embedsmænd fra de el-
leve berørte ministerier, fortolker direktivets regler og vejleder danske myndigheder om
anvendelsen af direktivet på de enkelte erhvervsområder. Desuden indberetter styrel-
sen til Europa-Kommissionen om den nationale lovgivning, betingelserne for adgang til
erhvervsudøvelse og anvendelsen af direktivet, herunder eventuelle problemer med an-
vendelsen af direktivet.
Styrelsen sørger for løbende opdatering af direktivets bilag V vedrørende danske ud-
dannelser til læge, speciallæge, tandlæge, specialtandlæge, farmaceut, sygeplejerske
med ansvar for almen sygepleje, jordemoder, dyrlæge og arkitekt. Inden for de nævnte
Nordiske overenskomster kan findes via https://ufm.dk/uddannelse/anerkendelse-og-dokumentation/mere-om-an-
erkendelse/internationalt/nordisk.
25
Aftale om fælles arbejdsmarked for faglærere, lærere i praktisk-æstetiske fag og speciallærere i grundskolen, over-
enskomst mellem Danmark, Finland Island, Norge og Sverige om et fælles nordisk arbejdsmarked for lærere i folkesko-
len samt aftale om fælles arbejdsmarked for faglærere og lærere i praktisk-æstetiske fag i gymnasieskolen (gymna-
siet og erhvervsskolerne) og overenskomst om fælles nordisk arbejdsmarked for visse personalegrupper inden for
sundhedsvæsenet og veterinærvæsenet.
26
Europa-Kommissionens generaldirektorat for Indre Marked, Erhvervspolitik, Iværksætteri og SMV'er (GROW):
http://ec.europa.eu/growth/single-market/services/free-movement-professionals/index_en.htm.
24
Styrelsen for Forskning og Uddannelse
31
UFU, Alm.del - 2019-20 - Bilag 144: Beretning for 2019 om vurdering og anerkendelse af udenlandske uddannelseskvalifikationer m.v., fra uddannelses- og forskningsministeren
2220133_0032.png
Beretning for 2019
erhverv sker der efter direktivet automatisk anerkendelse på grundlag af koordinerede
mindstekrav til uddannelserne.
Som koordinator varetager styrelsen også interesser for visse erhvervsområder, der ikke
er regulerede her i landet, men som på grund af regulering i andre EU-lande har brug for
teknisk støtte, f.eks. ingeniører og arkitekter. Endelig deltager styrelsen i udviklingen og
gennemførelsen af politiske initiativer, der har til formål at fjerne barrierer for arbejds-
kraftens frie bevægelighed i Norden og i EU.
3.1.2.2 Støttecenterfunktionen
Styrelsen for Forskning og Uddannelse varetager funktionen som støttecenter for aner-
kendelse af erhvervsmæssige kvalifikationer. Støttecentret skal give udenlandske bor-
gere og virksomheder, koordinatorer, støttecentre, faglige organisationer m.fl. i de øv-
rige medlemsstater alle de nødvendige oplysninger om betingelserne for adgang til udø-
velse af lovregulerede erhverv i Danmark.
Styrelsen driver en webportal for de lovregulerede erhverv, hvorigennem der informeres
om adgangen til at udøve de enkelte erhverv.
27
Informationerne er henvendt til såvel
EU/EØS-borgere som tredjelandsborgere, og de findes på både engelsk og dansk.
Som støttecenter behandler styrelsen henvendelser fra borgere, virksomheder og myn-
digheder i ind- og udland. Det danske støttecenter har også til opgave at bistå danske
borgere, som ønsker at få deres kvalifikationer anerkendt i andre EU/EØS-lande eller
Schweiz med henblik på etablering eller levering af tjenesteydelser dér.
Som led i støttecenter- og koordinatorfunktionerne bistår styrelsen det danske SOL-
VIT-center
28
ved behandlingen af klagesager indgivet af EU-erhvervsudøvere, som har
oplevet hindringer for adgang til at udøve et lovreguleret erhverv i Danmark.
3.1.2.3 Artikel 58-udvalget
Kommissionen bistås af et udvalg vedrørende anerkendelse af erhvervsmæssige kvali-
fikationer. Udvalget behandler sager og træffer med kvalificeret flertal beslutninger om
Kommissionens forslag i sager, hvor Kommissionen ikke har beføjelse til at vedtage de-
legerende retsakter, eksempelvis opdatering af dele af direktivet, der ikke er af teknisk
karakter. Udvalget vedtager Kommissionens forslag efter den såkaldte undersøgelses-
procedure, jf. forordning 182/2011. Udvalget har ikke behandlet sådanne sager i 2019.
3.2 Åbningsskrivelse om implementering af
anerkendelsesdirektivet
Danmark modtog i 2018 en åbningsskrivelse (nr. 2018/2167), hvor Europa-Kommissio-
nen henviste til, at visse bestemmelser i dansk ret om gennemførelsen af anerkendel-
sesdirektivet ikke var korrekte. Den danske regering besvarede åbningsskrivelsen den
19. september 2018.
27
28
Se www.ufm.dk/le.
SOLVIT-netværket: http://ec.europa.eu/solvit/index_da.htm
Styrelsen for Forskning og Uddannelse
32
UFU, Alm.del - 2019-20 - Bilag 144: Beretning for 2019 om vurdering og anerkendelse af udenlandske uddannelseskvalifikationer m.v., fra uddannelses- og forskningsministeren
2220133_0033.png
Beretning for 2019
Som svar på indholdet i åbningsskrivelsen har regeringen den 31. marts 2020 fremsat et
lovforslag, som bl.a. omhandler udvidet klageadgang i forbindelse med advarselssyste-
met. Advarselssystemet er omtalt i afsnit 3.12.
3.3 Brexit
Storbritannien forlod EU den 31. januar 2020. Ved udtrædelsen trådte en overgangspe-
riode i kraft. Den gælder til udgangen af 2020, medmindre den forlænges. I overgangs-
perioden gælder alle EU’s regler fortsat for britiske borgere og virksomheder, og forhold
og rettigheder i øvrigt er uændrede. Samtidig vil man forhandle om, hvordan det fremti-
dige forhold mellem EU og Storbritannien skal se ud.
Styrelsen for Forskning og Uddannelse har bidraget til regeringens beredskab vedrø-
rende britisk udtrædelse af EU på anerkendelsesområdet. Styrelsen har informeret dan-
ske og britiske borgere og virksomheder om konsekvenser af Brexit via Uddannelses-
og Forskningsministeriets og Udenrigsministeriets hjemmesider.
29
3.4 Transparensinitiativet
Transparensinitiativet, som indgår i det reviderede anerkendelsesdirektiv, stiller krav til
medlemsstaterne om at undersøge begrundelserne for og omfanget af lovregulerede er-
hverv. Formålet er at sikre større gennemsigtighed og berettigelse for de regulerede er-
hverv i medlemsstaterne og derigennem styrke vækst og mobilitet i EU.
Som led i transparensinitiativet redegør medlemsstaterne for anvendelsen af proportio-
nalitetsprincippet ved lovregulering af det enkelte erhverv. Det gør de ved hjælp af Eu-
ropa-Kommissionens database over lovregulerede erhverv, REGPROF.
30
3.5 Direktivet om proportionalitetstest
Transparensinitiativet blev i 2018 suppleret af det nye direktiv om proportionalitetstest
forud for vedtagelse af ny regulering af erhverv.
31
Direktivet har til formål at forbedre
gennemsigtigheden af måden, hvorpå visse erhverv reguleres i medlemsstaterne. Det
skal sikre, at nationale foranstaltninger er forholdsmæssige og ikke unødigt begrænser
adgangen til erhverv eller skaber urimelige byrder på det indre marked. I forbindelse med
reguleringen af erhverv vil medlemsstaterne skulle foretage en vurdering af berettigel-
sen af alle de nye eller ændrede regler, så deres indvirkning på interesserede parter og
virksomheder kan vurderes.
Den danske regering fremsatte 31. marts 2020 et lovforslag, som implementerer propor-
tionalitetstestdirektivet i Danmark.
Informationer om Brexit er givet på Uddannelses- og Forskningsministeriets hjemmeside:
www.ufm.dk/uddannelse/anerkendelse-og-dokumentation/lovregulerede-erhverv/brexit og hos Udenrigsministeriet:
http://um.dk/da/Udenrigspolitik/brexit/hvad-betyder-forhandlingerne-for-din-virksomhed/.
30
REGPROF indeholder offentligt tilgængelige oplysninger om de lovregulerede erhverv, landenes støttecentre og
kompetente myndigheder, statistik over migrerende arbejdskraft i lovregulerede erhverv m.v. Se
http://ec.europa.eu/growth/tools-databases/regprof
31
Europa-Parlamentets og Rådets direktiv (EU) 2018/958 af 28. juni 2018 om en proportionalitetstest forud for vedta-
gelse af ny regulering af erhverv: https://eur-lex.europa.eu/legal-content/DA/TXT/?uri=CELEX:32018L0958.
29
Styrelsen for Forskning og Uddannelse
33
UFU, Alm.del - 2019-20 - Bilag 144: Beretning for 2019 om vurdering og anerkendelse af udenlandske uddannelseskvalifikationer m.v., fra uddannelses- og forskningsministeren
2220133_0034.png
Beretning for 2019
3.6 Informationssystemet for det Indre Marked (IMI)
Informationssystemet for det Indre Marked (IMI)
32
er udviklet i fællesskab af Kommissi-
onen og de nationale myndigheder. IMI-systemet muliggør blandt andet sikker udveks-
ling af personfølsomme oplysninger mellem myndighederne i forbindelse med behand-
lingen af konkrete sager om anerkendelse eller udstedelse af erhvervspas efter aner-
kendelsesdirektivet. Gennem IMI-systemet sendes og modtages desuden meddelelser i
forbindelse med advarselssystemet (se afsnit 3.12).
Som støttecenter for anerkendelsesdirektivet besvarer Styrelsen for Forskning og Ud-
dannelse gennem IMI-systemet forespørgsler fra andre medlemsstaters kompetente
myndigheder. Det gælder også, når erhvervet ikke er lovreguleret i Danmark, f.eks. for
arkitekterhvervet og for det europæiske erhvervspas for danske bjergguider.
IMI-systemets overordnede nationale koordinator i Danmark er Erhvervsstyrelsen. Sty-
relsen for Forskning og Uddannelse er koordinator for anerkendelsesdirektivets regel-
område i IMI (såkaldt LIMIC), og styrelsen har derfor et tæt samarbejde med Erhvervs-
styrelsen og alle kompetente myndigheder på dette område.
Gennem IMI-systemet screener og godkender styrelsen danske notifikationer med hen-
blik på opdatering af direktivets bilag V og sender dem til Kommissionen og de andre
medlemsstater (jf. afsnit 3.1.2.1). De danske kompetente myndigheder og Styrelsen for
Forskning og Uddannelse modtager på samme vis andre medlemsstaters notifikationer,
som lægges til grund for optagelse i direktivets bilag V.
3.7 Kvikskranke-samarbejdet
Ifølge servicedirektivet
33
er hver medlemsstat forpligtet til at drive en kvikskranke (Po-
int of Single Contact), hvor borgere og virksomheder fra andre EU/EØS-lande kan få in-
formation om regler og vilkår for at udøve deres servicevirksomhed.
34
Den danske kvik-
skranke, Business in Denmark, drives af Erhvervsstyrelsen. Herigennem kan borgere fra
andre EU/EØS-lande elektronisk sende ansøgninger om anerkendelse af erhvervsmæs-
sige kvalifikationer og anmeldelser m.v. for alle lovregulerede erhverv, som er omfattet
af anerkendelsesdirektivet, jf. direktivets artikel 57.
35
3.8 De kompetente myndigheders afgørelser om autorisation m.v.
Dette afsnit giver et overblik over de kompetente danske myndigheders behandling af
ansøgninger om autorisation og lignende godkendelse. Tallene bygger på de kompe-
tente myndigheders statistiske indberetninger til Styrelsen for Forskning og Uddan-
nelse. Loven om anerkendelse af visse uddannelses- og erhvervsmæssige kvalifikatio-
ner finder aktuelt anvendelse på 129 lovregulerede erhverv i Danmark samt en række
medicinske specialer, og ansvaret for adgangen til at udøve erhvervene fordeler sig på
21 kompetente myndigheder.
36
Læs mere om IMI på Kommissionens hjemmeside: http://ec.europa.eu/internal_market/imi-net/index_da.htm
Direktiv 2006/123/EF, artikel 6.
34
Alle kvikskranker: https://ec.europa.eu/growth/single-market/services/services-directive/in-practice/contact_en
35
Business in Denmark på Erhvervsstyrelsens hjemmeside indeholder oplysninger om erhvervene på engelsk:
https://danishbusinessauthority.dk/Permits-licenses-authorisations. Oplysninger om erhvervene på dansk samt
oversigter på dansk og engelsk findes på Uddannelses- og Forskningsministeriets hjemmeside: www.ufm.dk/le.
36
De seneste oplysninger om erhvervene og deres kompetente myndigheder findes på Uddannelses- og Forskningsmi-
nisteriets hjemmeside:
www.ufm.dk/le.
32
33
Styrelsen for Forskning og Uddannelse
34
UFU, Alm.del - 2019-20 - Bilag 144: Beretning for 2019 om vurdering og anerkendelse af udenlandske uddannelseskvalifikationer m.v., fra uddannelses- og forskningsministeren
2220133_0035.png
Beretning for 2019
I 2019 traf myndighederne i alt 2.708 afgørelser eller 8 procent flere end året før. Antal-
let af afgørelser har de seneste tre år ligget på et relativt højt niveau, som det fremgår
af figur 3.1 nedenfor.
Figur 3.1
Afgørelser efter år og regelsæt, antal, 2010-2019
Antal afgørelser
3.500
3.000
2.500
2.000
1.500
1.000
500
0
2010
2011
2012
EU/EØS
2013
2014
2015
2016
Øvrige
2017
2018
2019
Antal afgørelser
3.500
3.000
2.500
2.000
1.500
1.000
500
0
Stigningen i antallet af afgørelser vedrørte især uddannelser fra EU/EØS-medlemssta-
ter, som steg med 18 procent og i 2019 lå til grund for 74 procent af afgørelserne mod
68 procent året før. Der var en nedgang i afgørelser vedrørende uddannelser fra lande i
Asien (15 procent af afgørelserne) og Europa uden for EU/EØS (5 procent af afgørel-
serne). Polen var med 26 procent fortsat det klart største uddannelsesland. Figur 3.ne-
denfor viser tal for de 20 hyppigst forekommende uddannelseslande i 2019.
Figur 3.2
Afgørelser efter uddannelsesland, top 20 (2019), antal, 2017-2019
Antal afgørelser
800
700
600
500
400
300
200
100
0
Antal afgørelser
800
700
600
500
400
300
200
100
0
2017
2018
2019
Styrelsen for Forskning og Uddannelse
35
UFU, Alm.del - 2019-20 - Bilag 144: Beretning for 2019 om vurdering og anerkendelse af udenlandske uddannelseskvalifikationer m.v., fra uddannelses- og forskningsministeren
2220133_0036.png
Beretning for 2019
Afgørelserne i 2019 var for 72 procents vedkommende positive, dvs. tildeling af adgang
til at udøve det pågældende erhverv. 16 procent var betingede godkendelser, og 12 pro-
cent var negative afgørelser, dvs. afslag.
Af i alt 1.948 positive afgørelser blev 1.855 (95 procent) truffet efter EU-reglerne. I af-
gørelserne efter EU-regler ses der ligesom tidligere år en høj andel af positive afgørel-
ser: I 2019 var 92 procent af afgørelserne efter EU-regler positive (herunder 2 procent
delvis anerkendelse), 4 procent betingede, og knap 5 procent negative. Blandt øvrige
afgørelser, dvs. afgørelser vedrørende personer med statsborgerskab i og/eller uddan-
nelse fra tredjelande, er positive afgørelser langt mindre almindelige: I 2019 blev der gi-
vet 14 procent positive afgørelser, mens 53 procent var betingede
37
, og 33 procent ne-
gative.
Langt de fleste afgørelser blev truffet af Styrelsen for Patientsikkerhed (43 procent),
Arbejdstilsynet (38 procent) og Styrelsen for Forskning og Uddannelse (12 procent). Ta-
bel 3.1 nedenfor viser, hvordan de enkelte myndigheders afgørelser fordelte sig i 2019
efter myndighed og afgørelsernes art, og ændringerne i antallet af afgørelser i forhold til
året før.
Tabel 3.1
Afgørelser efter myndighed og afgørelsens art, 2019
Myndighed
Styrelsen for Patientsikkerhed
Arbejdstilsynet
Styrelsen for Forskning og Uddannelse
Psykolognævnet
Fødevarestyrelsen
Lægemiddelstyrelsen
Sikkerhedsstyrelsen
Miljøstyrelsen
Søfartsstyrelsen
Sundhedsstyrelsen
Erhvervsstyrelsen
Færdselsstyrelsen
Civilstyrelsen
Rigspolitiet
Landbrugsstyrelsen
Geodatastyrelsen
Alle myndigheder
Positive*
(pct.)
57
100
46
70
67
14
84
100
100
60
-
-
100
-
-
-
72
Betingede
(pct.)
23
-
38
11
-
86
-
-
-
20
-
100
-
-
-
100
16
Negative
(pct.)
20
0
16
19
33
-
16
-
-
20
100
-
-
100
100
-
12
I alt
(antal)
1.171
1.020
338
47
36
35
19
14
13
5
2
2
2
2
1
1
2.708
Ændring sene-
ste år (pct.)
8
7
-3
96
64
-10
73
75
550
150
100
-
100
100
-
-
8
Anm.: I tabellen optræder kun de myndigheder, der har truffet afgørelser på området i 2019.
Der kan være flere afgørelser for hver fagperson. F.eks. udløser en ansøgning om autorisation som
speciallæge typisk også en afgørelse om autorisation som læge, og lærere kan få afgørelser om
undervisningskompetence på flere områder.
* Tallene for positive afgørelser inkluderer i alt 36 tildelinger af delvis adgang til erhvervsudøvelse.
37
Betingede afgørelser er ikke det samme i sager efter EU-reglerne som i øvrige sager: Efter EU-reglerne kan der kun
stilles krav om at bestå en egnethedsprøve eller gennemgå en prøvetid (efter ansøgerens eget valg), eller i visse til-
fælde om at dokumentere erhvervserfaring. I øvrige sager følges danske retsregler, og her kan betingede afgørelser
også indebære krav om at gennemføre supplerende uddannelse.
Styrelsen for Forskning og Uddannelse
36
UFU, Alm.del - 2019-20 - Bilag 144: Beretning for 2019 om vurdering og anerkendelse af udenlandske uddannelseskvalifikationer m.v., fra uddannelses- og forskningsministeren
2220133_0037.png
Beretning for 2019
3.8.1 Udviklingen inden for de enkelte erhvervsområder
Antallet af afgørelser for de enkelte erhverv og deres fordeling efter afgørelsernes art
fremgår af tabel 3.2 nedenfor.
38
Tabel 3.2
Afgørelser efter erhverv og afgørelsens art, 2019
Erhverv
Advokat
Ambulancebehandler
Ambulancebehandler med særlig kompetence
(paramediciner)
Arbejde med asbest (uddannelse i nedrivning af
asbest) (offshore)
Asbestnedrivning
Bioanalytiker
Ansvarlig for boreoperationer (brøndkontrolkur-
sus) (offshore)
Brøndborer
Lærer i dansk for voksne udlændinge
Dyrlæge
Dørmand i virksomheder med alkoholbevilling
Fagligt ansvarlig på elinstallationsområdet (elin-
stallatør)
Ergoterapeut
Erhvervsdykker
Farmaceut
Farmakonom
Fodterapeut
Folkeskolelærer
Fysioterapeut
Fører af gaffelstabler
Dyrker af genetisk modificerede afgrøder
Lærer i de gymnasiale uddannelser
Jordemoder
Kedelpasser
Kiropraktor
Klinisk diætist
Klinisk tandtekniker
Kranfører
Kørelærer
Landinspektør
Læge
Maskinmester i fiskeskibe
Optometrist
Positive*
(antal)
2
17
13
2
209
13
0
1
0
22
0
14
4
5
5
0
0
89
42
78
0
52
13
1
1
3
0
109
0
0
185
5
4
Betingede
(antal)
0
0
0
0
0
3
0
0
0
0
0
0
1
0
9
21
0
92
12
0
0
36
2
0
1
1
0
0
2
1
142
0
1
Negative
(antal)
0
0
0
0
0
15
1
0
1
9
2
2
1
0
0
0
1
16
16
0
1
27
9
0
0
4
3
0
0
0
38
0
3
I alt
(antal)
2
17
13
2
209
31
1
1
1
31
2
16
6
5
14
21
1
197
70
78
1
115
24
1
2
8
3
109
2
1
365
5
8
Ændring
seneste
år (pct.)
100
240
18
-
186
72
0
-50
-50
48
100
78
0
-
-18
-5
-
-9
84
10
-
10
85
0
-50
300
200
-36
-
-
-17
150
-20
38
Mere detaljeret statistik for sager, der er behandlet efter anerkendelsesdirektivet, kan findes i Europa-Kommissio-
nens database over lovregulerede erhverv: http://ec.europa.eu/growth/tools-databases/regprof.
Styrelsen for Forskning og Uddannelse
37
UFU, Alm.del - 2019-20 - Bilag 144: Beretning for 2019 om vurdering og anerkendelse af udenlandske uddannelseskvalifikationer m.v., fra uddannelses- og forskningsministeren
2220133_0038.png
Beretning for 2019
Erhverv
Osteopat
Psykolog
Radiograf
Koordinator på byggepladser
Pædagog i folkeskolens børnehaveklasse og
1.- 3. klassetrin
Social- og sundhedsassistent
Speciallæge
Specialsygeplejerske
Specialtandlæge
Erhvervsmæssig anvendelse af godkendelses-
pligtige kemiske bekæmpelsesmidler til beskyt-
telse, bekæmpelse og regulering af plante-
vækst (Sprøjtecertifikat)
Statsautoriseret revisor
Stilladsopstiller
Styrmand
Arbejde med svejsning
Sygeplejerske
Tandlæge
Tandplejer
Fører af teleskoplæsser, kran over 8 tm
Fører af teleskoplæsser
Arbejde som gaffeltruckfører (offshore)
Fører af gaffeltruck
Veterinærsygeplejerske
Fagligt ansvarlig inden for gas-, vand- og af-
løbsinstallationer (vvs-installatør)
I alt
Positive*
(antal)
49
33
2
1
13
7
130
3
3
13
0
30
3
24
115
61
5
14
91
5
453
2
2
1.948
Betingede
(antal)
0
5
2
0
1
11
0
1
0
0
0
0
0
0
45
50
2
0
0
0
0
0
0
441
Negative
(antal)
0
9
10
0
11
23
0
1
0
0
2
0
0
0
56
49
3
0
0
0
2
3
1
319
I alt
(antal)
49
47
14
1
25
41
130
5
3
13
2
30
3
24
216
160
10
14
91
5
455
5
3
2.708
Ændring
seneste
år (pct.)
-
96
56
0
-4
-11
-18
150
50
160
100
-69
-
9
12
31
150
-
-1
-
11
400
50
8
Anm.: I tabellen optræder kun de erhverv, for hvilke der er truffet afgørelser i 2019.
Der kan være flere afgørelser for hver fagperson. F.eks. udløser en ansøgning om autorisation som
speciallæge typisk også en afgørelse om autorisation som læge, og lærere kan få afgørelser om
undervisningskompetence på flere områder.
* Tallene for positive afgørelser inkluderer 36 tildelinger af delvis adgang til erhvervsudøvelse.
3.8.2 Sagsbehandlingstid
De kompetente myndigheder traf afgørelse på under tre måneder i ca. 91 procent af
EU/EØS-sagerne (mod ca. 95 procent året før) og i ca. 63 procent af de øvrige sager
(mod 80 procent året før). Tabel 3.3 på næste side viser den omtrentlige fordeling af sa-
gerne efter antal måneders sagsbehandlingstid.
39
I afgørelser efter EU’s anerkendelsesdirektiv er fristen som udgangspunkt tre måneder.
Der er dog mulighed for i særligt vanskelige tilfælde at forlænge fristen med en måned,
39
Tallene for sagsbehandlingstid oplyses med forbehold for forskelle i opgørelsesmetoder og manglende indberetning
af sagsbehandlingstider for en mindre del af sagerne, da der for visse erhverv ikke måles sagsbehandlingstid.
Styrelsen for Forskning og Uddannelse
38
UFU, Alm.del - 2019-20 - Bilag 144: Beretning for 2019 om vurdering og anerkendelse af udenlandske uddannelseskvalifikationer m.v., fra uddannelses- og forskningsministeren
2220133_0039.png
Beretning for 2019
med undtagelse af de erhverv, der er omfattet af anerkendelsesdirektivets bestemmel-
ser om automatisk anerkendelse på baggrund af fælles minimumsuddannelseskrav
(læge, tandlæge, sygeplejerske, jordemoder, farmaceut, dyrlæge) eller af direktivets be-
stemmelser om automatisk anerkendelse på baggrund af relevant erhvervserfaring
(lovregulerede erhverv under Sikkerhedsstyrelsens ansvar).
Tabel 3.3
Afgørelser efter sagsbehandlingstid i måneder, procent, 2019
Sagsbehandlingstid
Mindre end 1 måned
Mellem 1 og 2 mdr.
Mellem 2 og 3 mdr.
Mellem 3 og 4 mdr.
Mellem 4 og 5 mdr.
Mellem 5 og 6 mdr.
Over 6 mdr.
I alt
40
EU/EØS-sager
80
7
5
2
1
1
5
100
Øvrige sager
35
17
12
3
3
3
28
100
I alt
69
9
6
2
2
1
11
100
Styrelsen for Patientsikkerhed oplyser, at styrelsens sagsbehandlingstid er steget fra
2018 til 2019 for både EU/EØS-ansøgere og øvrige ansøgere. Dog er sagsbehandlings-
tiden faldet for erhvervene fysioterapeut og jordemoder. Stigningen i sagsbehandlings-
tiden for visse erhverv skal ses på baggrund af flere forhold:
1.
Styrelsen har haft et stigende antal ansøgninger fra EU-ansøgere, og den største
stigning ses for sager, der skal behandles efter den generelle ordning. Dette har
medført et større ressourcetræk og dermed en øget sagsbehandlingstid.
Styrelsen har i 2019 implementeret en række nye it-systemer, hvilket har med-
ført et træk på de ressourcer, som behandler nye ansøgninger.
Styrelsen er i gang med en oprydning i gamle sager, hvor styrelsen ikke har mod-
taget den fornødne dokumentation for at kunne vurdere ansøgningen. Når disse
sager afsluttes i forbindelse med oprydning, bliver der truffet afgørelse på det
foreliggende og utilstrækkeligt dokumenterede grundlag, og sagen får anført en
afgørelsesdato. Denne oprydning, hvor gamle sager lukkes, kan have medført hø-
jere tal for sagsbehandlingstid sammenlignet med tidligere år.
2.
3.
3.9 Pligtmæssig vurdering
De kompetente myndigheder er i en del tilfælde forpligtede til at indhente en vurdering
af udenlandske uddannelseskvalifikationer fra Styrelsen for Forskning og Uddannelse,
inden de træffer afgørelse om anerkendelse af en ansøgers samlede erhvervsmæssige
kvalifikationer. Denne såkaldte pligtmæssige vurdering har til formål at understøtte de
kompetente myndigheders sagsbehandling og sikre, at vurderingen af udenlandske ud-
dannelseskvalifikationer lever op til gældende standarder.
41
40
Tallene for sagsbehandlingstid bygger på 95 procent af afgørelserne, hovedsagelig fordi Styrelsen for Patientsikker-
hed for en del af sine afgørelser ikke har opgjort sagsbehandlingstiden, herunder sager med afslag begrundet i mang-
lende dokumentation.
41
Den pligtmæssige vurdering følger af § 2a i lov om vurdering af udenlandske uddannelseskvalifikationer (lovbekendt-
gørelse nr. 579 af 1. juni 2014).
Styrelsen for Forskning og Uddannelse
39
UFU, Alm.del - 2019-20 - Bilag 144: Beretning for 2019 om vurdering og anerkendelse af udenlandske uddannelseskvalifikationer m.v., fra uddannelses- og forskningsministeren
2220133_0040.png
Beretning for 2019
I 2019 modtog Styrelsen for Forskning og Uddannelse 94 anmodninger om pligtmæssig
vurdering fra de kompetente myndigheder, hvilket var 32 procent flere end året før.
Stigningen skyldes udsving i antallet af sager vedrørende psykologerhvervet.
Alle på nær 6 anmodninger kom fra tre myndigheder: Psykolognævnet (psykologer), Læ-
gemiddelstyrelsen (farmakonomer og farmaceuter) og Fødevarestyrelsen (dyrlæger).
Sådan fungerer pligtmæssig vurdering
Den enkelte kompetente myndighed skal som udgangspunkt indhente en vurdering
af uddannelseskvalifikationerne fra Styrelsen for Forskning og Uddannelse, når
myndigheden ikke på det foreliggende grundlag kan anerkende ansøgerens uden-
landske erhvervsmæssige kvalifikationer fuldt ud. Det gælder dog ikke ansøgninger,
der behandles efter anerkendelsesdirektivets regler om automatisk anerkendelse af
kvalifikationer, og myndigheder, der har opnået fritagelse.
Styrelsen undersøger, om de udenlandske uddannelseskvalifikationer er opnået ved
en uddannelsesinstitution, der er offentligt anerkendt i uddannelseslandet. Desuden
indhenter styrelsen fra en relevant dansk uddannelsesinstitution en indholdsmæs-
sig vurdering af den udenlandske uddannelse, herunder om de udenlandske kvalifi-
kationer i det væsentligste kan sidestilles med indholdet af den tilsvarende danske
uddannelse, og hvis de ikke kan, hvilken faglig supplering der er påkrævet. Styrelsen
sender derefter den kompetente myndighed sin samlede vurdering, som er bin-
dende for myndighedens afgørelse, for så vidt angår ansøgerens uddannelseskvali-
fikationer.
Styrelsen for Patientsikkerhed, Sundhedsstyrelsen og Søfartsstyrelsen har en generel
fritagelse for den pligtmæssige vurdering på grundlag af redegørelser for deres proce-
durer, kriterier og praksis i forhold til vurdering og anerkendelse af udenlandske uddan-
nelseskvalifikationer. Der er ikke i 2019 indgivet anmodninger om nye fritagelser.
Sagsbehandlingstiden for pligtmæssige vurderinger var i 2019 på 54 kalenderdage i
gennemsnit (det samme som året før). Sagsbehandlingstiden beregnes fra den dato,
hvor en sag er fuldt oplyst, og inkluderer den tid, der går med at høre en relevant uddan-
nelsesinstitution.
3.10 Tjenesteydere fra EU/EØS-lande
Hvis man er statsborger og etableret som erhvervsudøver i et andet EU/EØS-land, har
man efter EU’s anerkendelsesdirektiv ret til at udøve sit erhverv midlertidigt og lejlig-
hedsvist i Danmark. Inden for visse erhverv er det fastsat i den sektorspecifikke lovgiv-
ning, at tjenesteyderen, før tjenesteydelsen leveres første gang, sender en skriftlig an-
meldelse til den kompetente myndighed. Er der ikke et hjemlet krav til anmeldelse, kan
erhvervet udøves frit og uden forudgående anmeldelse.
I 2019 blev der indgivet 1.363 anmeldelser om levering af tjenesteydelser ifølge de kom-
petente myndigheders årlige indberetninger. Dermed faldt antallet af anmeldelser med
Styrelsen for Forskning og Uddannelse
40
UFU, Alm.del - 2019-20 - Bilag 144: Beretning for 2019 om vurdering og anerkendelse af udenlandske uddannelseskvalifikationer m.v., fra uddannelses- og forskningsministeren
2220133_0041.png
Beretning for 2019
38 procent fra året før, til det laveste antal siden 2013. Langt de fleste anmeldelser lig-
ger fortsat inden for Arbejdstilsynets område: 97 procent i 2019. Udviklingen de seneste
ti år fremgår af figur 3.3 nedenfor.
Figur 3.3
Tjenesteyderes forudgående anmeldelser efter myndighed, antal, 2010-2019
Antal anmeldelser
2.500
Antal anmeldelser
2.500
2.000
2.000
1.500
1.500
1.000
1.000
500
500
0
2010
2011
2012
2013
2014
2015
2016
2017
2018
Andre
2019
Arbejdstilsynet
Sikkerhedsstyrelsen
Styrelsen for Patientsikkerhed
0
90 procent af anmeldelserne blev i 2019 behandlet med kontrol af tjenesteyderens kva-
lifikationer. Kun 4 anmeldelser førte til afslag på adgang til at levere tjenesteydelser.
Anmeldelserne vedrørte hovedsagelig førere af gaffeltruck og gaffelstabler (34 pro-
cent), svejsere (24 procent), stilladsopstillere (14 procent), førere af teleskoplæsser (16
procent) og kranførere (9 procent). Udviklingen de seneste fem år fremgår af tabel 3.4
nedenfor.
Tabel 3.4
Tjenesteyderes anmeldelser efter myndighed og erhverv, 2015-2019
Myndighed
Erhverv
Fører af gaffeltruck
og gaffelstabler
Arbejde med svejs-
ning
Fører af teleskop-
læsser
Kranfører
Stilladsopstiller
Arbejde med asbest
Kølemontør
Arbejde med epoxy
og isocyanater
Elevatormontør
Arbejde med styren
Kedelpasser
2015
(antal)
625
479
204
268
148
153
15
18
0
2
0
2016
(antal)
704
379
227
254
299
151
1
5
6
0
1
2017
(antal)
779
450
353
282
280
54
10
8
7
1
1
2018
(antal)
708
632
211
201
302
52
3
36
0
0
1
2019 Ændring sene-
(antal)
ste år (pct.)
465
331
216
126
78
59
1
37
0
0
0
-34
-48
2
-37
-74
13
-67
3
-100
Arbejdstilsynet
Arbejdstilsynet
Arbejdstilsynet
Arbejdstilsynet
Arbejdstilsynet
Arbejdstilsynet
Arbejdstilsynet
Arbejdstilsynet
Arbejdstilsynet
Arbejdstilsynet
Arbejdstilsynet
Styrelsen for Forskning og Uddannelse
41
UFU, Alm.del - 2019-20 - Bilag 144: Beretning for 2019 om vurdering og anerkendelse af udenlandske uddannelseskvalifikationer m.v., fra uddannelses- og forskningsministeren
2220133_0042.png
Beretning for 2019
Myndighed
Arbejdstilsynet
Erhverv
2015
(antal)
20
1
0
16
0
0
2
24
7
2
3
0
11
1.998
2016
(antal)
24
0
1
11
1
1
0
13
5
7
2
0
16
2.108
2017
(antal)
3
1
0
3
0
0
1
32
6
5
3
0
12
2.291
2018
(antal)
13
1
0
2
1
0
0
32
7
0
2
0
4
2.208
2019 Ændring sene-
(antal)
ste år (pct.)
9
0
1
3
0
0
0
22
7
2
0
2
4
1.363
-31
-100
50
-100
-31
0
-100
0
-38
Koordinator på byg-
gepladser
Statsautoriseret re-
Erhvervsstyrelsen
visor
Fødevarestyrel-
Dyrlæge
sen
Miljøstyrelsen
Naturstyrelsen
Psykolognævnet
Rigspolitiet
Sikkerhedsstyrel-
sen
Sikkerhedsstyrel-
sen
Sikkerhedsstyrel-
sen
Sikkerhedsstyrel-
sen
Sikkerhedsstyrel-
sen
Styrelsen for Pati-
entsikkerhed
I alt
Brøndborer
Rottebekæmper
Psykolog
Vagtvirksomhed
Elinstallatør
VVS-installatør
Festfyrværker
Kloakinstallatør
Gasinstallatør
Læge
Ser man på, hvor tjenesteyderne er etablerede, blev antallet fra Polen, Tjekkiet og Slo-
vakiet omtrent halveret i 2019. Polen var fortsat det største oprindelsesland med 35
procent i 2019, efterfulgt af Tyskland (11 procent), Italien (8 procent) og Slovakiet (7
procent).
3.11 Det europæiske erhvervspas
Det europæiske erhvervspas (European Professional Card, EPC) er en elektronisk proce-
dure til at få sine erhvervsmæssige kvalifikationer anerkendt i andre EU-lande.
42
EPC
indføres på udvalgte erhvervsområder og gælder indtil videre erhvervene sygeplejerske,
fysioterapeut, farmaceut, ejendomsmægler og bjergfører.
Erhvervspasset er lettere og hurtigere at benytte end traditionel anerkendelse af kvali-
fikationer, og man kan følge sin ansøgning online og genbruge dokumenter, der er uplo-
adet, ved nye ansøgninger i alle EU-lande. Erhvervspasset fremmer også informations-
udvekslingen mellem erhvervsudøverens værtsmedlemsstat og hjemlandet, hvad enten
erhvervsudøveren ønsker at etablere sig eller at levere tjenesteydelser midlertidigt og
lejlighedsvist. Den kompetente myndighed i hjemlandet kontrollerer gyldigheden og
ægtheden af de dokumenter, ansøgeren har indsendt via Informationssystemet for det
Indre Marked (IMI). Derefter opretter myndigheden et erhvervspas, som den via IMI sen-
der til værtsmedlemsstaten som en ansøgning om anerkendelse. Myndighederne i
værtsmedlemsstaten får en fuldt oplyst sag fra hjemlandet og skal derfor ikke bruge
ressourcer på at verificere de oplysninger, som allerede er undersøgt af hjemlandet.
Fristerne for udstedelse af EPC i værtslandet er derfor også kortere end efter den sæd-
vanlige procedure. Hvis fristerne for anmodning om anerkendelse ikke overholdes, ind-
træder stiltiende accept, og EPC udstedes automatisk. Personer, der ønsker at levere
42
Ansøgerne finder EPC under "Dit Europa" på Europa-Kommissionens hjemmeside: http://europa.eu/youreurope/citi-
zens/work/professional-qualifications/european-professional-card/index_da.htm.
Styrelsen for Forskning og Uddannelse
42
UFU, Alm.del - 2019-20 - Bilag 144: Beretning for 2019 om vurdering og anerkendelse af udenlandske uddannelseskvalifikationer m.v., fra uddannelses- og forskningsministeren
2220133_0043.png
Beretning for 2019
tjenesteydelser midlertidigt og lejlighedsvist, har desuden mulighed for at bruge et EPC
til at arbejde i flere EU-lande i 18 måneder. Denne periode er efter den almindelige pro-
cedure begrænset til 12 måneder.
Her i landet administreres EPC af de kompetente myndigheder for de berørte lovregule-
rede erhverv. Styrelsen for Forskning og Uddannelse fungerer som kompetent myndig-
hed for erhverv, der ikke er lovregulerede her i landet, (p.t. bjergfører) og som dansk
EPC-koordinator.
Der blev i 2019 udstedt 14 EPC'er vedrørende erhvervsudøvelse i Danmark, en stigning
fra 11 året før. Halvdelen vedrørte fysioterapeuterhvervet. Tabel 3.5 nedenfor giver et
overblik over EPC-sager med Danmark som værtsland.
Tabel 3.5
EPC-sager med Danmark som værtsland, antal, 2019
Erhverv
Fysioterapeut
Farmaceut
Sygeplejerske
Ejendomsmægler
I alt
Ansøgninger
11
1
5
0
17
Udstedte EPC'er
7 (2)
5
2
0
14
Afslag
0 (2)
0
1
0
1 (3)
Anm.: Forskellen mellem antal ansøgninger og antal afgørelser skyldes hovedsagelig, at ansøgere i en del
tilfælde starter processen, men ikke uploader de nødvendige dokumenter.
Tal i parentes angiver for udstedte EPC'er antallet af EPC'er, der er suspenderet eller tilbagekaldt
efter udstedelse. For afslag inkluderer tal i parentes antallet af afvisninger samt suspenderede el-
ler tilbagekaldte EPC'er.
Kilde: Europa-Kommissionen
Antallet af erhvervsudøvere fra Danmark, som fik udstedt EPC steg fra 6 i 2018 til 21 i
2019. Det var hovedsagelig fysioterapeuter og sygeplejersker, der fik EPC. Tabel 3.6 ne-
denfor viser tallene for EPC-sager med Danmark som hjemland.
Tabel 3.6
EPC-sager med Danmark som hjemland, antal, 2019
Erhverv
Fysioterapeut
Farmaceut
Sygeplejerske
Bjergfører
Ejendomsmægler
I alt
Ansøgninger
12
2
7
2
0
23
Udstedte EPC
7 (2)
0
7 (1)
6
1
21
Afslag
0 (2)
0
0 (1)
0
0
0 (3)
Anm.: Forskellen mellem antal ansøgninger og antal afgørelser skyldes hovedsagelig, at ansøgere i en del
tilfælde starter processen, men ikke uploader de nødvendige dokumenter.
Tal i parentes angiver for udstedte EPC'er antallet af EPC'er, der er suspenderet eller tilbagekaldt
efter udstedelse. For afslag inkluderer tal i parentes antallet af afvisninger samt suspenderede el-
ler tilbagekaldte EPC'er.
Kilde: Europa-Kommissionen
Styrelsen for Forskning og Uddannelse
43
UFU, Alm.del - 2019-20 - Bilag 144: Beretning for 2019 om vurdering og anerkendelse af udenlandske uddannelseskvalifikationer m.v., fra uddannelses- og forskningsministeren
2220133_0044.png
Beretning for 2019
3.12 Advarselssystemet
EU’s advarselssystem skal på bestemte erhvervsområder forebygge, at personer, der er
frakendt retten til at udøve erhvervet i én medlemsstat, fortsætter med at udøve det i
andre medlemsstater.
Hvis en person, som er beskæftiget inden for sundhedsområdet, dyrlægeerhvervet eller
området for uddannelse eller pasning af mindreårige, har fået begrænset retten til at
udøve sit erhverv af en offentlig myndighed eller en domstol, underretter den kompe-
tente myndighed i den pågældende medlemsstat via Informationssystemet for det In-
dre Marked (IMI) de øvrige medlemsstater om identiteten af den pågældende erhvervs-
udøver.
Hvis en person er dømt for at have anvendt forfalsket dokumentation ved ansøgning
om anerkendelse af erhvervsmæssige kvalifikationer, uanset hvilket lovreguleret er-
hverv der er tale om, skal den kompetente myndighed i den pågældende medlemsstat
tilsvarende underrette de øvrige medlemsstater om identiteten af den dømte.
Advarslerne behandles i overensstemmelse med Europa-Kommissionens gennemførel-
sesforordning om emnet. Direktivbestemmelserne om advarselssystemet er gennemført
i anerkendelsesloven, og Styrelsen for Forskning og Uddannelse fungerer som advar-
selskoordinator i IMI-systemet.
Danmark afsendte i 2019 i alt 236 advarsler (4 procent flere end året før). Danmark
modtog 11.733 advarsler fra andre EU-lande (9 procent flere end året før). Omfanget af
advarsler sendt fra og modtaget af Danmark i 2019 fremgår af tabel 3.7 nedenfor.
Tabel 3.7
Ud- og indgående advarsler i EU's advarselssystem efter erhvervsområde m.v., antal, 2019
Erhverv
Læge
Sygeplejerske
Andre sundhedsfaglige erhverv
Dyrlæge
Arbejde med mindreårige
Dokumentfalsk
I alt
Kilde: Europa-Kommissionen
Sendt fra Danmark
72
51
112
0
1
0
236
Modtaget fra andre EU-lande
2.885
5.151
3.235
64
396
2
11.733
Styrelsen for Forskning og Uddannelse
44