Transportudvalget 2019-20
TRU Alm.del Bilag 442
Offentligt
2233993_0001.png
August 2020 – Resumé
Forundersøgelse
Metrobetjening af
Lynetteholm
Transport- og Boligministeriet – Københavns Kommune – Frederiksberg Kommune
TRU, Alm.del - 2019-20 - Bilag 442: Orientering om resultater af forundersøgelse af Østlig Ringvej og Lynetteholm, fra transportministeren
2233993_0002.png
Tekst
Metroselskabet
Styregruppe
Metroselskabets ejere Københavns
Kommune (formand), Transport- og
Boligministeriet og Frederiksberg
Kommune. Derudover har Metroselskabet,
By og Havn og Vejdirektoratet indgået
i forundersøgelsens styregruppe.
Periode
januar 2019 - august 2020
Forside
Ditte Valente
Fotokreditering
Ditte Valente
Büro Jantzen
Dragør luftfoto
Tuala Hjarnø
Design og layout
e-Types
ISBN 978-87-92378-44-6
TRU, Alm.del - 2019-20 - Bilag 442: Orientering om resultater af forundersøgelse af Østlig Ringvej og Lynetteholm, fra transportministeren
2233993_0003.png
Indhold
1. Lynetteholm og metro
2. Blå linje – M4
– Fra Orientkaj til Kløverparken
3. Lilla linje – M5
– Fra København H til Østerport
4. Orange linje – M5 Vest
– Fra Lynetteholm til Prags Boulevard Øst
5. 4-vognstog på M1/M2
6. Metroens bidrag til en bæredygtig byudvikling
7. Proces og tidsplan for etablering af projektet
8. Øvrige tabeller og figurer
- Referencer til videre læsning
4
12
22
32
46
48
52
56
3
TRU, Alm.del - 2019-20 - Bilag 442: Orientering om resultater af forundersøgelse af Østlig Ringvej og Lynetteholm, fra transportministeren
2233993_0004.png
Fig. 1
Tre hovedforslag til metrobetjening
af Lynetteholm
v/Baltikakaj
v/Krydstogtkaj
Orientkaj
v/Lynetteholm N
v/Rigshospitalet
v/Lynetteholm S
Østerport
v/Refshaleøen
v/Stengade
Forum
v/Kløverparken
v/Prags Boulevard Øst
v/Prags Boulevard
København H
Islands Brygge
Amagerbro
Flere københavnere – og stigende boligpriser
Siden 1995 er der kommet
godt 30 pct. flere borgere til
Københavns Kommune og
befolkningstilvæksten ventes
at fortsætte. Ifølge Danmarks
Statistiks fremskrivning forven-
tes befolkningen i København
og Frederiksberg at stige med
yderligere 170.000 personer
frem mod 2045.
Den voksende befolkning har
sat boligmarkedet under pres,
hvor stigende boligpriser gør det
vanskeligt for unge at etablere
sig og presser lavindkomstfami-
lier ud af byen.
Lynetteholm vil øge bolig-
udbuddet for de mange men-
nesker, der ønsker at bo i de
centrale dele af Hovedstaden.
TRU, Alm.del - 2019-20 - Bilag 442: Orientering om resultater af forundersøgelse af Østlig Ringvej og Lynetteholm, fra transportministeren
2233993_0005.png
1. Lynetteholm
og metro
M4 – Blå linje
Orientkaj til Kløverparken
M5 – Lilla linje
København H til Østerport
M5 Vest – Orange linje
Lynetteholm til Prags Boulevard Øst
M4 – Lille spørgsmålstegn
Station
Metrobetjening til byens
nye bydele
I oktober 2018 indgik Københavns Kommune
og staten en principaftale om at anlægge
en ny ø, Lynetteholm, mellem Nordhavn og
Refshaleøen i Københavns Havn.
Lynetteholm skal huse omkring 35.000 bebo-
ere og et tilsvarende antal arbejdspladser. Det
gør bydelen større end eksempelvis Hillerød.
En metroforbindelse til Lynetteholm sikrer,
at bydelen bygges op omkring grøn kollektiv
trafik som rygrad i byudviklingen. Metroens
høje frekvens og korte rejsetider til byens
øvrige bydele i sammenhæng med den ek-
sisterende metro og den øvrige kollektive
trafik vil bidrage til, at Lynetteholm udvikles
bæredygtigt og bliver et attraktivt sted at bo.
De undersøgte metrolinjer i denne forun-
dersøgelse betjener ikke kun Lynetteholm,
men også byudviklingsområderne i Nord-
havn, på Refshaleøen og i Kløverparken.
Metroen skal således ikke kun betjene Ly-
netteholm, men - for at være fremtidssik-
ret - et samlet byudviklingsområde, der
planlægges at kunne rumme mere end ca.
66.000 indbyggere og 54.000 arbejdsplad-
ser i 2070, som er det år Lynetteholm ventes
færdigudbygget.
Lynetteholm
Lynetteholm bidrager med:
– Stormflodssikring af København
– Nye boligområder til en voksende befolkning
– Ny infrastruktur – metro og Østlig Ringvej
Metroen skal derfor ikke kun betjene en by-
del på størrelse med Hillerød – men en bydel,
der er næsten dobbelt så stor som Hillerød.
Det vil sige næsten lige så stor som Esbjerg
og lidt større end Randers, der er henholdsvis
Danmarks femte- og sjette største byer. Der
vil således også være rigtigt mange passage-
rer, der vil benytte metroen.
I 2070 vil stationerne på den længste af de
undersøgte metrolinjer - Orange linje M5
Vest - have 60,9 mio. passagerer om året.
Til sammenligning havde M1/M2 66,6 mio.
passagerer i 2019. De to stationer på Lynet-
teholm vil hver blive benyttet af ca. 25.000
daglige passagerer. Til sammenligning var
det på M1/M2 kun Nørreport, der havde flere
end 25.000 daglige passagerer i 2019.
5
TRU, Alm.del - 2019-20 - Bilag 442: Orientering om resultater af forundersøgelse af Østlig Ringvej og Lynetteholm, fra transportministeren
2233993_0006.png
Lynetteholm og metro
Stormflodssikring af byen
Klimaforandringer med flere ekstreme
vejrbegivenheder samt havvandstig-
ninger gør det nødvendigt at klimasikre
København.
Med Lynetteholms placering i den
nordlige ende af Københavns Havn, er
det muligt at sikre byen mod stormflod,
der bevæger sig mod byen fra nord og
potentielt vil kunne oversvømme store
dele af det centrale København.
Mobilitet i byen og
kapacitet i metroen
I fremtiden ventes markant større trængsel
i hovedstadsregionen i vejtrafikken og den
kollektive trafik.
Den skinnebårne trafik som metroen vil
således blive endnu vigtigere for mobilite-
ten for københavnerne og for pendlerne,
der hver dag skal til de centrale bydele og
byudviklingsområder.
En udvidelse af metronettet til Lynette-
holm betyder, at trafikknudepunkter som
f.eks. Østerport vil få en ny og større betyd-
ning, der kan sikre robusthed og nye rejse-
veje for passagererne i den kollektive trafik.
Der er undersøgt tre forskellige muligheder
for at metrobetjene Lynetteholm, og de øv-
rige byudviklingsområder i Nordhavn, Refs-
haleøen og Kløverparken, jf. figur 1.
I nogle linjeføringer indgår også metro-
stationer i etablerede dele af byen som v/
Rigshospitalet, v/Stengade (Indre Nørrebro)
og v/Prags Boulevard.
Et centralt element ved to af linjeføringerne
(den Lilla M5 og den Orange M5 Vest) er, at
der kommer en ekstra linje på tværs af hav-
nen mellem Amager og Sjælland.
Befolkningstilvæksten har også betydning
for den eksisterende linje M1/M2, hvor der i
fremtiden ikke vil være plads til alle passage-
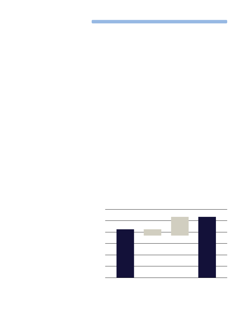
rer. Passagerudviklingen fremgår af figur 2.
Allerede i 2025 vil der være kapacitetsud-
fordringer i myldretiden, men i 2035 vil pas-
sagertallene være så store, at det kræver
enten en ny linje eller at M1/M2 ombygges
fra 3-vognstog til 4-vognstog.
Udover anskaffelse af nye 4-vognstog vil
det bl.a. også kræve ombygning af en række
stationer, og en længere periode, hvor me-
trodriften på M1/M2 (delvist) må afbrydes.
En analyse af implementering af 4-vognstog
har været gennemført i tilknytning til forun-
dersøgelsen, og omtales nærmere i afsnit 5.
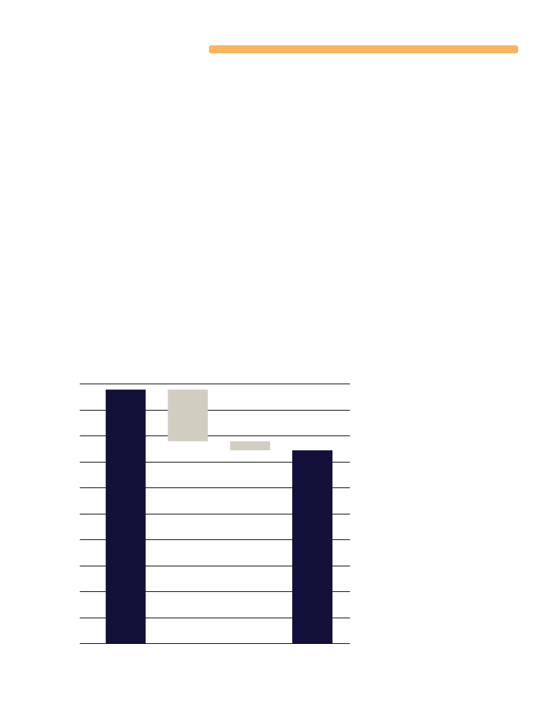
Fig. 2 Passagerudvikling på M1/M2
120
100
+12%
mio. påstigere årligt
80
+42%
60
40
20
*Figuren tager ikke højde for mangel
på kapacitet i metrotogene
0
2018
2035
2050
6
TRU, Alm.del - 2019-20 - Bilag 442: Orientering om resultater af forundersøgelse af Østlig Ringvej og Lynetteholm, fra transportministeren
2233993_0007.png
Lynetteholm og metro
Fig. 3 “Lille Spørgsmålstegn”
Før beslutningen om anlæg af Lynetteholm traf
Københavns Kommunes Borgerrepræsentation i
2016 principiel beslutning om videreudbygning
af metronettet i Nordhavn med linjen ”Lille
Spørgsmålstegn” med fire nye stationer i bydelen.
Løsning for Nordhavnstunnel
Lille spørgsmålstegn
Station
Metrobetjening af
Nordhavn – forskellige
hovedforslag med forskellige
basisforudsætninger.
Forundersøgelsen indeholder en analyse af
tre forskellige hovedforslag:
• Blå linje M4
fra Orientkaj til v/Kløverparken
• Lilla linje M5
fra København H til Østerport
• Orange linje M5 Vest
fra Lynetteholm til v/Prags Boulevard Øst
Linjerne fremgår af figur 1.
En direkte sammenligning af nøgletal for
de tre hovedforslag er ikke mulig.
Det skyldes linjeføringen “Lille Spørgs-
målstegn” i Nordhavn. I grundlaget for
beregningerne af Lilla linje - M5 samt Orange
linje - M5 Vest indgår, at ”Lille Spørgs-
målstegn” er etableret. I grundlaget for
Blå linje - M4 erstatter denne linje “Lille
Spørgsmålstegn”.
Når grundlagene er forskellige, har det be-
tydning for modelberegningerne, der vi-
ser hvor mange passagerer, der vil benytte
metroen.
Det er ikke muligt at isolere effekten af de
to forskellige grundlag, hvilket betyder, at
det ikke er muligt direkte at sammenligne
passagertal og dermed beregninger af bl.a.
restfinansiering og samfundsøkonomi.
Det er dog muligt at sammenligne Lilla
linje M5 og Orange linje M5 Vest, da de er
beregnet på det samme grundlag.
7
TRU, Alm.del - 2019-20 - Bilag 442: Orientering om resultater af forundersøgelse af Østlig Ringvej og Lynetteholm, fra transportministeren
2233993_0008.png
Lynetteholm og metro
Grundig screening – tre
undersøgte hovedforslag
I de følgende afsnit præsenteres de tre for-
slag til linjeføring. I disse indgår også mu-
lige etapedelinger og varianter.
Hovedforslagene er udvalgt efter en scree-
ning og en løbende proces, hvor en lang
række forskellige linjeføringer og koncep-
ter er blevet vurderet bl.a. på grundlag af en
række vurderingsparametre som restfinan-
siering, passagerpotentiale, kapacitet i me-
tronettet, robusthed og rejsetidsgevinster.
Derudover har der indgået linjeføringsfor-
slag pba. input fra Metroselskabets Review
Board, der består af forskere med speciale i
transportforhold eller byudvikling. Medlem-
merne af Review Board fremgår af afsnit 8.
Udgangspunktet er ”billigst muligt”,
når flere varianter er undersøgt
I hovedforslagene er undersøgt varianter
med forskellige placeringer af stationer på
København H, Islands Brygge og Amager-
bro. Derudover er der undersøgt løsninger,
hvor hele linjen er i tunnel frem for en kom-
bination af højbane og tunnel.
For Kontrol- og Vedligeholdelsescenter
(CMC) er også undersøgt varianter med bl.a.
overdækning og forskellige placeringer.
Udgangspunktet for de valg, der indgår i de
tre hovedforslag, er den billigste af de un-
dersøgte løsninger.
Øvrige centrale forudsætninger
I forundersøgelsen indgår en lang række for-
udsætninger for beregningerne af de trafi-
kale effekter. Som udgangspunkt er anvendt
fælles forudsætninger med forundersøgel-
sen af Østlig Ringvej. Forudsætningerne er
fastlagt af projektparterne.
Et centralt parameter er befolkningsudviklin-
gen. Denne er baseret på Danmarks Statistik
og Københavns og Frederiksberg Kommu-
ners fremskrivninger. En oversigt over forud-
sætningerne for antal beboere og arbejds-
pladser i byudviklingsområderne fremgår af
afsnit 8.
Kapacitetudfordringen for M1/M2
På tværs af havnen på M1/M2 forventes
fortsat stigende kapacitetsudfordringer.
Det vedrører stationerne Kongens Nytorv,
Christianshavn, Islands Brygge, Amager-
bro og Lergravsparken. Det forårsages af
forventning om fortsat stigende passagertal
på hele M1/M2.
Metroselskabet implementerer frem til 2025
en række tiltag, der øger kapaciteten. Det
indebærer bl.a. ændret sædeopsætning i
eksisterende tog for at øge kapaciteten i
togene og indkøb af ekstra tog med henblik
på at øge antallet af afgange i myldretiden.
Disse tiltag forventes at øge kapaciteten
med 35-40 pct. og dermed at kunne imødegå
kapacitetsudfordringerne i en årrække efter
2025.
Imidlertid peger analyser af kapacitets-
udfordringerne på, at kapaciteten i årene
omkring 2035 – som følge af en forventet
fortsat vækst i metroens passagertal - igen
udfordres på ovennævnte stationer. Det
vurderes derfor, at der vil være behov for at
implementere kapacitetsudvidende tiltag
med virkning fra omkring 2035 for at imø-
dekomme dette behov. Dette vil kunne ske
gennem en yderligere udvidelse af kapaci-
teten i M1/M2, f.eks. gennem en ombygning
til 4-vognstog eller gennem etablering af en
ny metrolinje på tværs af havnen.
8
TRU, Alm.del - 2019-20 - Bilag 442: Orientering om resultater af forundersøgelse af Østlig Ringvej og Lynetteholm, fra transportministeren
2233993_0009.png
Lynetteholm og metro
Principaftalen af 5. oktober 2018
Principaftalen om anlæg af Lynetteholm
mellem VLAK-regeringen og Køben-
havns Kommune v/ overborgmesteren
fra 5. oktober 2018 fik efterfølgende
opbakning fra brede flertal i Folketinget
og Københavns Kommunes Borger-
repræsentation. Desuden har Frede-
riksberg Kommune tilsluttet sig aftalen
under forudsætning af, at mulighederne
for at forlænge metroen fra Ny Ellebjerg
ikke forringes. I principaftalen indgår
forundersøgelse af metrobetjening af
området og etablering af Østlig Ringvej.
Coronasituationen 2020
Coronakrisen, der i foråret 2020
reducerede metroens passagertal
med 70-80 pct., er vurderet at have en
effekt på passagertallet frem til 2025,
hvorefter det forventes at være tilbage
på den udviklingslinje før coronasi-
tuationen, som er udgangspunktet for
vurderingen af kapacitetsudfordringen
på længere sigt. Denne vurdering er
uddybet i udredningsrapportens bilag
vedr. betydning af corona for metroens
passagertal.
For de økonomiske beregninger gælder, at
de er tilføjet en korrektionsreserve på 30
pct., bl.a. på baggrund af nye markedspriser
fra M3 Cityringen og M4 Nordhavns- og Syd-
havnsmetroen. Reserven skal dækker evt.
fordyrelser eller uforudsete udgifter i projek-
tet. For enkelte vanskelige dele af projektet,
eks. etablering af en gangtunnel ved Køben-
havn H, er tilføjet en korrektionsreserve på
50 pct. Ud af den samlede anlægssum er det
dog kun 2-4 pct., afhængigt af hovedforslag,
der er tillagt 50 pct. i stedet for 30 pct. På Lilla
linje M5 er på et lavere detaljeringsniveau
undersøgt en forlængelse fra København H
til Forum. Denne strækning er ligeledes til-
lagt en korrektionsreserve på 50 pct.
De økonomiske beregninger, der indgår i
denne resumérapport, er uden såkaldt dob-
beltfaktor, der i dag indgår i fordelingen af
indtægterne fra den kollektive trafik mel-
lem DSB, Movia og Metroselskabet. I den
bagvedliggende udredningsrapport til resu-
mérapporten fremgår beregningerne både
med og uden dobbeltfaktor.
Forundersøgelsen er blevet eksternt kvali-
tetssikret af Deloitte.
9
TRU, Alm.del - 2019-20 - Bilag 442: Orientering om resultater af forundersøgelse af Østlig Ringvej og Lynetteholm, fra transportministeren
2233993_0010.png
Lynetteholm
TRU, Alm.del - 2019-20 - Bilag 442: Orientering om resultater af forundersøgelse af Østlig Ringvej og Lynetteholm, fra transportministeren
2233993_0011.png
TRU, Alm.del - 2019-20 - Bilag 442: Orientering om resultater af forundersøgelse af Østlig Ringvej og Lynetteholm, fra transportministeren
2233993_0012.png
Fig. 4
Blå linje - M4 fra Orientkaj til v/Kløverparken
v/Baltikakaj
v/Krydstogtkaj
Stationstype
Højbanestation
Undergrundsstation
Orientkaj
Forlængelse af
eksisterende linje
v/Lynetteholm N
Stationsnærhed
Banetype
Højbane
Tunnel
Rampe
v/Lynetteholm S
Østerport
v/Refshaleøen
Kongens Nytorv
v/Kløverparken
København H
CMC på eksisterende
anlæg på Vasbygade
TRU, Alm.del - 2019-20 - Bilag 442: Orientering om resultater af forundersøgelse af Østlig Ringvej og Lynetteholm, fra transportministeren
2233993_0013.png
Afsnit 2
2. M4
Blå linje
57.000
Daglige merpåstigere
i metrosystemet i 2050*
Rejsetid fra v/ Lynetteholm
Syd til:
Frekvens i myldretiden
Mål betjenes i 2035*
Østerport
København H
Lufthavn m. skift
9m
in.
185 sek.
er tidsrummet mellem hvert tog. Den maksimale fre-
kvens på M4, det vil sige den tættest mulige afstand
mellem hvert tog, er 185 sekunder. Til sammenligning
er frekvensen i myldretiden på M1/M2 i dag mellem
Vanløse og Christianshavn på 106 sekunder.
27.000
nye mål betjenes i 2035 (M4 dækker nye mål
i Nordhavn, som for M5 og M5 Vest allerede er
dækket i deres basisscenarier.)
Restfinansiering*
1
7
min
Anlægsoverslag
28
min.
5,3-7,2
mia.
(2020-priser inkl. 30 pct. korrektionsreserve)
6,6
mia.
(2020-priser inkl. 30 pct. korrektionsreserve)
*Nøgletal kan ikke sammenlignes direkte med Orange linje M5 og Lilla linje M5 Vest pga. forskellige basisforudsætninger
.
13
TRU, Alm.del - 2019-20 - Bilag 442: Orientering om resultater af forundersøgelse af Østlig Ringvej og Lynetteholm, fra transportministeren
2233993_0014.png
Blå linje
M4 fra Orientkaj til v/Kløverparken
Den Blå linje er en forlængelse af M4, der kører mellem
Sydhavn og Nordhavn. Forlængelsen har seks nye
stationer – to i Nordhavn, to på Lynetteholm samt
stationer i byudviklingsområderne på Refshaleøen og
i Kløverparken.
Den samfundsøkonomiske analyse af lin-
jeføringen giver et resultat på mellem
2 og 4 pct. i intern rente. Hvis der indregnes
bredere økonomiske effekter* stiger den in-
terne rente fra 4 pct. til 4,7 pct. Den interne
rente på 4 pct. samt den interne rente inkl.
bredere økonomiske effekter på 4,7 pct.
skønnes ikke at være realistisk pga. kapaci-
tetsbegrænsningerne i metroen.
Linjen vil i 2050 bidrage med ca. 57.000
daglige merpåstigere i det samlede me-
trosystem (M1/M2/M3/M4). Den vil i 2035
betjene ca. 27.200 nye mål i form af beboere,
arbejdspladser eller studiepladser, der med
linjen bliver stationsnære i 2035. En oversigt
over antal mål, præsenteret som såkaldte
prikkort, kan findes i afsnit 8.
M4 er en afgrening på M3 (Cityringen). Det
betyder, at der ikke kan køre lige så mange
tog på M4, som på en selvstændig linje, da de
skal flette ind med de tog, der kører på M3.
Det giver begrænsninger på M4, hvor den
tættest mulige afstand mellem hvert tog, dvs.
den maksimale frekvens, er på 185 sekunder.
En frekvens på 185 sekunder giver ikke me-
get kapacitet i lyset af, at linjen skal betjene
store byudviklingsområder på Lynetteholm,
Refshaleøen og Kløverparken, der tilsammen
planlægges at kunne rumme 66.000 beboere
og 54.000 arbejdspladser i 2070. Derudover
er der byudvikling i Nordhavn.
Begrænsningerne i frekvens og det store
antal beboere og arbejdspladser, har såle-
des afgørende betydning for kapaciteten i
metrolinjen og restfinansieringen som an-
ført ovenfor. Der vil således allerede i 2050
være et stort antal efterladte passagerer, og
store og betydelige kapacitetsudfordringer
på strækningen fra Orientkaj til Østerport.
Kapacitetsproblemerne på denne strækning
vil være betydeligt større kun 15 år efter åb-
ning af linjen, end de udfordringer der er på
M1/M2 i 2035. I myldretiden i 2070 vil der
Linjen har i alt 6 nye stationer:
v/Baltikakaj
/ Højbanestation
v/Krydstogtkaj
/ Undergrundsstation
v/Lynetteholm N
/ Højbanestation
v/Lynetteholm S
/ Højbanestation
v/Refshaleøen
/ Højbanestation
v/Kløverparken
/ Højbanestation
Det er beregnet at linjen vil koste 6,6 mia.
kr. (2020-priser) at anlægge inkl. 30 pct.
korrektionsreserve.
Restfinansieringen, det vil sige når passager-
indtægterne er trukket fra, og omkostnin-
gerne til drift, reinvesteringer m.m er lagt til,
er beregnet til 5,3 mia. kr. Denne beregning
tager dog ikke højde for, at der er kapaci-
tetsbegrænsninger i metroen, hvorfor der
reelt ikke vil være plads til det antal passage-
rer, som trafikmodelberegningerne (OTM)
angiver. Der er derfor yderligere beregnet
restfinansiering i scenarier, hvor hhv. 50 pct.
og 66 pct. af antallet af merpåstigere i 2070
fravælger metroen. I situationen hvor 50 pct.
fravælger metroen realiseres det maksimale
antal merpåstigere i 2049. Restfinansierings-
beregningerne stiger til 6,4 mia. kr. såfremt
50 pct. af merpåstigerne fravælger metroen,
og 7,2 mia. kr. såfremt 66 pct. af merpåsti-
gerne fravælger metroen.
* Bredere økonomiske effekter er effekter,
der ikke indgår i den traditionelle samfunds-
økonomiske analyse, men som ofte beregnes
som et særskilt tillæg. I de bredere effekter
indgår effekter på vare- og servicemarkederne
og agglomerationseffekter. Effekterne og den
samlede samfundsøkonomiske analyse er
beskrevet i en selvstændig rapport knyttet
til forundersøgelsens udredningsrapport.
14
TRU, Alm.del - 2019-20 - Bilag 442: Orientering om resultater af forundersøgelse af Østlig Ringvej og Lynetteholm, fra transportministeren
2233993_0015.png
Blå linje
M4 fra Orientkaj til v/Kløverparken
Hvad er en efterladt passager og
hvordan efterlades passagerer
Hvad er en efterladt passager?
En efterladt passager er en passager,
som ikke kommer med det første tog
som følge af manglende kapacitet.
En efterladt passager er ikke defineret
ud fra ventetiden. Man kan sagtens
vente mere end 1�½ minut uden at
være efterladt (toget kan f.eks. være
forsinket). En efterladt kan også sagtens
vente mere end 3 min.
Hvordan efterlades en passager?
Passagerer kan blive efterladt som
følge af én af to årsager. Enten bliver
toget helt fyldt inden alle påstigere er
kommet på toget. Eller også kan alle
påstigere ikke nå at komme med toget
fordi holdetiden ikke tillader den nød-
vendige udveksling. Der er et potentiale
for at nedbringe antallet af efterladte
ved at justere holdetid på stationer,
hvor den nødvendige udveksling ikke
er mulig. Men en øget holdetid på
én station påvirker resten af driften i
systemet og øger dertil rejsetiden for
resten af passagererne. Der er behov for
grundige analyser førend potentialet
kan klarlægges.
være dobbelt så mange, der vil med toget,
som der er kapacitet til. Dette uddybes i af-
snittene om kapacitet på side 18.
I de økonomiske beregninger for linjen er
ikke indregnet en besparelse på 1,9 mia. kr.
(2016-priser) ved at “Lille Spørgsmålstegn”
ikke etableres.
Linjeføringen betyder, at der vil skulle an-
lægges en rampe for at linjen kan krydse
Kronløbet mellem Nordhavn og Lynet-
teholm. Rampen er på ca. 150-200 meter.
Rampen og linjeføringen i Nordhavn er il-
lustreret i figur nr. 5.
Ud over rampen i Nordhavn vil der skulle
etableres en rampe på Lynetteholm.
Linjeføring i Nordhavn
Linjeføringen vil erstatte ”Lille Spørgsmåls-
tegn”, som hidtil har været planlægnings-
grundlaget for udbygning af metro i Nord-
havn jf. figur 4.
Linjeføringen har to stationer i Nordhavn,
som erstatter “Lille Spørgsmålstegns” fire
stationer. Dermed bliver der også et område i
Ydre Nordhavn, som ikke bliver stationsnært.
Det vil sige, at det ikke er inden for 600 meter
fra en station, hvilket er betegnelsen for stati-
onsnærhed i tæt bebyggede områder.
15
TRU, Alm.del - 2019-20 - Bilag 442: Orientering om resultater af forundersøgelse af Østlig Ringvej og Lynetteholm, fra transportministeren
2233993_0016.png
Blå linje
M4 fra Orientkaj til v/Kløverparken
Fig.5
Skitse af højbane og rampe (med orange) i
Nordhavn tilføjet den eksisterende masterplan.
Masterplanen vil skulle tilpasses de nye
stationsplaceringer og linjeføring, hvis Blå Linje
M4 skal anlægges. Den skitserede rampe for
Østlig Ringvej er foreløbigt placeret.
Orientkaj station
Nordhavnstunnel og
Østlig Ringvej ramper
Ny station
v/ Baltikakaj
Metro rampe
Ny undergrundsstation
v/ Krydstogtskaj
Fig. 6
v/Baltikakaj
1. etape
v/Lynetteholm N
Varianter og etaper
Fra Nordhavn føres linjen under Kronløbet
til Lynetteholm. Da Lynetteholm anlægges
sydfra, vil det kunne vanskeliggøre etable-
ringen af linjen i 2035.
2. etape
Der er således set på en etapedeling, hvor 1.
etape dækker den centrale del af Nordhavn,
der må forventes at være bebygget før Ly-
netteholm er færdiganlagt. Etapedelingen
fremgår af figur 6.
Den 2. etape betjener Lynetteholm med de
to stationer v/ Lynetteholm Nord og v/ Ly-
netteholm Syd samt de to stationer v/ Refs-
haleøen og v/ Kløverparken.
Restfinansieringsbehovet for de to etaper er
beregnet til hhv. 3,4 mia. kr. for 1. etape og 1,5
mia. kr. for 2. etape Det vil sige 4,9 mia. kr. i alt.
Restfinansieringsberegningen på 5,3 mia.
kr. tager dog ikke højde for kapacitetsbe-
grænsningen i metroen. Der er ikke bereg-
net restfinansieringsbehov med etapede-
ling, hvor 50 pct. eller 66 pct. af antallet af
merpåstigere fravælger metroen jf. ovenfor.
Besparelsen skønnes dog at være i samme
størrelsesorden, dvs. 0,4 mia. kr., som uden
kapacitetsbegrænsninger.
Årsagen til besparelsen er bl.a., at der i pe-
rioden 2035-2045 er begrænset byudvikling
på Lynetteholm. I beregningerne er der ikke
taget højde for grundsalgsværdier mm.,
hvis metroen først er etableret i 2045.
Der er også undersøgt en variant, hvor linjen
fortsætter som tunnel efter Kronløbet. Tun-
nel er en dyrere løsning, men vil frigøre areal
til byudvikling eller rekreative områder. Det
vil medføre en merudgift i anlægsudgifterne
på ca. 2 mia. kr. (inkl. 30 pct. korrektions-
reserve), hvis denne strækning anlægges i
tunnel. Restfinansieringen stiger tilsvarende
med ca. 2 mia. kr. Hovedforslaget og varian-
ten i tunnel er illustreret i figur 7.
v/Kløverparken
Blå linje M4
restfinansieringsbehov
Mia. kr. ekskl. dobbeltfaktor, 2020-priser,
tilbagediskonteret til 2025, inkl. 30 pct.
korrektionsreserve
Anlagt i ét stræk
Etapeopdelt
Etape 1
3,4
5,3
4,9
Etape 2
1,5
Da restfinansieringsbehovet for hele linjen i
et stræk er beregnet til 5,3 mia. kr. vil der så-
ledes være en besparelse på 0,4 mia. kr. ved
at anlægge i etaper og udskyde 2. etape.
16
TRU, Alm.del - 2019-20 - Bilag 442: Orientering om resultater af forundersøgelse af Østlig Ringvej og Lynetteholm, fra transportministeren
2233993_0017.png
Blå linje
M4 fra Orientkaj til v/Kløverparken
Togsystem og Kontrol-
og Vedligeholdelsescenter
(CMC)
Den blå linje er en forlængelse af M4, der er
en afgrening på M3 (Cityringen). Den tekni-
ske løsning for den blå linje vil derfor være
identisk med løsningen på M3 og M4. Samme
tog, kørestrøm, signalsystem m.m. Af samme
grund skal linjen også benytte samme Kon-
trol- og Vedligeholdscenter (CMC) i Vasby-
gade, som allerede benyttes af M3 og M4.
CMC’et i Vasbygade er oprindeligt dimen-
sioneret til kun at servicere M3. Senere er
afgreningerne til Syd- og Nordhavn kom-
met til. Disse linjer skal også serviceres af
CMC’et på Vasbygade, der dermed har nået
kapacitetsgrænsen på 39 tog. En forlæn-
gelse af M4 fra Nordhavn til v/ Kløverparken
forudsætter derfor en udbygning af kapaci-
teten på CMC’et i Vasbygade til ekstra tog.
I forundersøgelsen er der medtaget om-
kostninger til ekstra opstillingsspor, der en-
ten kan placeres langs strækningen eller på
CMC. Omkostninger til udbygning af værk-
sted, vaskefaciliteter mm. forudsætter ana-
lyser af flow- og arbejdsprocesser på CMC
Vasbygade, og er ikke medtaget i forun-
dersøgelsen. En udbygning af faciliteterne
skønnes at ville koste omkring 600 mio. kr
(inkl 50 pct.), men indgår ikke i anlægsover-
slaget. I dette skøn indgår, at faciliteterne
udbygges til maksimalt 54 tog, selvom det
ikke i første omgang vil være nødvendigt af
hensyn til M4. Det forudsættes dog af hen-
syn til driften på M3/M4, at der kun kan ske
ombygning af CMC én gang, hvorfor en fuld
udbygning antages.
Udvidelsen kan bruges til forlængelse af
M4 til Kløverparken. Derudover vil der, for-
udsat at CMC’et udvides til 54 tog, være mu-
lighed for at CMC kan betjene forlængelser
af M4 fra Ny Ellebjerg mod Hvidovre eller
mod Bispebjerg via Frederiksberg. Såfremt
togantallet samlet bliver højere end 54 vil
supplerende faciliteter skulle etableres
andetsteds.
Udvidelsen af M4 kan således ske uden at
det udelukker en senere udvidelse fra Ny
Ellebjerg, jf. Frederiksberg Kommunes for-
udsætning for tilslutning til principaftalen.
Udvidelsen af CMC Vasbygade til i alt 54 tog
kan medføre flaskehalsproblemer på forbin-
delsen mellem CMC og M3/M4. En præci-
sering af dette problem forudsætter mere
detaljerede driftssimuleringer baseret på
længere tids driftserfaringer fra M3/M4.
Fig. 7 Blå Linje M4 med hovedforslag og variant med tunnelløsning
Hovedforslag
Variant
Kronløbet
V/Baltikakaj
V/Krydstogtkaj
V/Lynetteholm N
V/Lynetteholm S
Magretheholm
Havn
V/Refshaleøen
V/Kløverparken
17
TRU, Alm.del - 2019-20 - Bilag 442: Orientering om resultater af forundersøgelse af Østlig Ringvej og Lynetteholm, fra transportministeren
2233993_0018.png
Blå linje
M4 fra Orientkaj til v/Kløverparken
Kapacitetsudfordringen på Blå linje M4
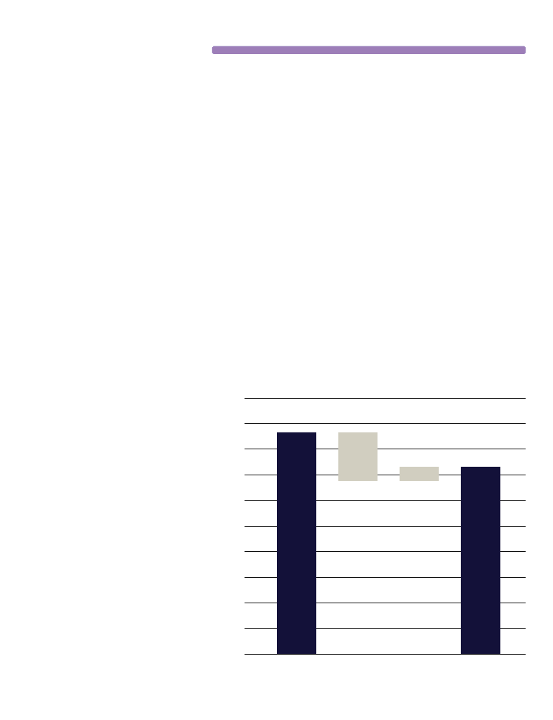
Som anført ovenfor forventes linjen at få
store kapacitetsudfordringer. Det er således
beregnet, at hele dagen i 2070 vil antallet af
passagerer være tæt på eller over eller langt
over den maksimale kapacitet.
Resultater fra trafikmodelberegninger tager
ikke højde for kapacitetsbegrænsninger i
metroen. Hvis alle de passagerer, som øn-
sker at tage med metroen skulle gøre det, så
ville de skulle ”stille sig i kø”. Teoretisk set,
vil der ved 7.30 tiden stå flere tilbage på per-
ronerne, end der er kapacitet til i ét tog. Teo-
retisk set er der først plads til alle i det første
tog, der kommer til en station, ved 12-tiden,
jf. figur 8 nedenfor. Reelt set må det dog for-
ventes, at folk finder andre rejseveje.
En metrobetjening af Lynetteholm med Blå
linje M4 med de givne forudsætninger for
beboere og arbejdspladser, vil således ikke
være en langtidssikret løsning – eller en løs-
ning, der vil kunne stå alene.
Det eksisterende metrosystem - både M1/
M2 og M3/M4 - betjenes med 3-vognstog.
Det er som udgangspunkt teknisk muligt at
ændre dette til 4-vognsstog. 4-vognstog på
Blå linje M4 ville øge kapaciteten med ca.
1/3. Dette er dog ikke tilstrækkeligt til at
reducere udfordringen markant. En omlæg-
ning til 4-vognstog på M4 er ikke undersøgt
nærmere, men det må forventes at være en
større investering med stor betydning også
for M3, CMC og evt. ombygning af stationer.
Kapacitet i det samlede metrosystem
Figur 9 viser den samlede kapacitet i me-
trosystemet med Blå linje M4 i de tre bereg-
ningsår for den travleste time.
Det fremgår, at der i 2035 er kapacitetspro-
blemer på tværs af havnen på M1/M2, mens
byudviklingen på Lynetteholm ikke reelt er
kommet i gang. Allerede i 2050 vil der dog
være store og betydelige kapacitetsudfor-
dringer på strækningen fra Orientkaj til
Østerport i myldretiden, som er betydeligt
større end de udfordringer, der er på M1/
M2 i 2035. Dette er illustreret med "dob-
belt sort" på kortene i figur 9, der betyder
at udfordringen er endnu større end "sort"
i kapacitetsvurderingen.
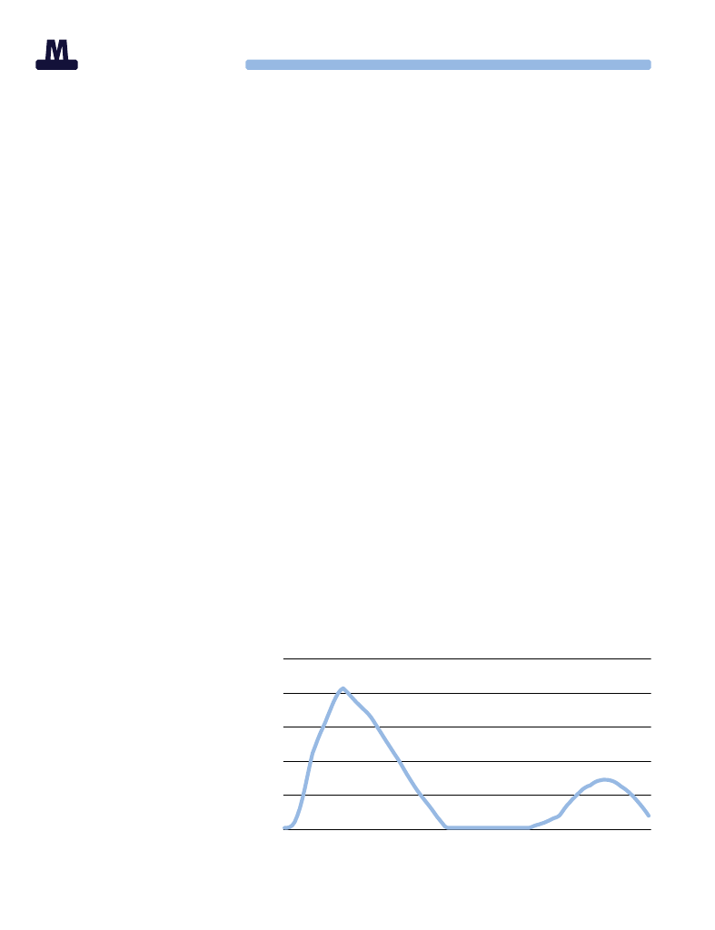
Fig. 8 Kødannelse på Blå linje M4 i 2070 fra og efter
Orientkaj i retning mod Østerport
Antal personer
10.000
8.000
6.000
4.000
2.000
0
07:00
07:30
08:00
08:30
09:00
09:30
10:00
10:30
11:00
11:30
12:00
12:30
13:00
13:30
14:00
14:30
15:00
15:30
16:00
16:30
17:00
17:30
18:00
18:30
18
TRU, Alm.del - 2019-20 - Bilag 442: Orientering om resultater af forundersøgelse af Østlig Ringvej og Lynetteholm, fra transportministeren
2233993_0019.png
Blå linje
M4 fra Orientkaj til v/Kløverparken
Fig. 9
Kapacitet belyst gennem
oversigtskort
– travleste time i 2035, 2050 og 2070 med
185 sekunders frekvens
Travleste time 2035
Kapacitetsvurdering
Ingen kapacitetsproblemer
Begyndende kapacitetsproblemer
Kapacitetsproblemer
Store og betydelige kapacitetsproblemer
Travleste time 2050
Travleste time 2070
19
TRU, Alm.del - 2019-20 - Bilag 442: Orientering om resultater af forundersøgelse af Østlig Ringvej og Lynetteholm, fra transportministeren
2233993_0020.png
Blå linje
M4 fra Orientkaj til v/Kløverparken
Fig. 10
Strækningsbelastning og
stationsstørrelser for hele
metronettet inkl. forlængelse
af M4 i 2035 og 2070
M4 Stationsstørrelser
2035
0-3.000
26.000-73.000
Strækningsbelastning – M4
0-19.000
113.000-190.000
Strækningsbelastning – eksisterende linjeføringer
0-19.000
113.000-190.000
2070
*Figuren tager ikke højde for mangel
på kapacitet i metrotogene
20
TRU, Alm.del - 2019-20 - Bilag 442: Orientering om resultater af forundersøgelse af Østlig Ringvej og Lynetteholm, fra transportministeren
2233993_0021.png
Blå linje
M4 fra Orientkaj til v/Kløverparken
Stationer og strækninger
Den begrænsede udbygning af byudvik-
lingsområderne i 2035 kan også ses på fi-
gur 10, der viser stationsstørrelser og om-
fanget af passagerer i metronettet opgjort
på døgnniveau.
I 2070 er byudviklingsområderne fuldt ud-
byggede og stationsstørrelser og stræk-
ningsbelastninger er derfor større end ek-
sempelvis de ydre dele af M1/M2.
Beregningerne for 2070 tager dog ikke
højde for, at der ikke forventes at være plads
til alle passagerer, som beskrevet ovenfor.
som ovenfor, baseret på, at alle passagerer
kan være i metroen, hvilket vurderes ikke at
være tilfældet.
Forlængelsen af M4 medfører flere passa-
gerer på den øvrige del af M3/M4. Det er i
2070 beregnet til 33.000 påstigere pr. hver-
dag. Det er særligt stationerne Østerport,
Kongens Nytorv og København H, der får
flere passagerer. Dette skyldes bl.a. flere
omstigninger mellem M4 og M3 eller andre
kollektive transportmidler.
I basisscenariet benytter passagererne sig
af busforbindelse til/fra Lynetteholm og
Refshaleøen, som forbindes til metronettet
på Christianshavn på M1/M2. Dette er årsa-
gen til at M1/M2 får 11.000 færre påstigere
som følge af forlængelsen.
Det er dog væsentligt at bemærke, at selv om
det samlede påstigertal på M1/M2 falder i for-
hold til basissituation i 2070, så får stationerne
på tværs af havnen (Amagerbro, Islands
Brygge, Christianshavn og Kongens Nytorv)
flere passagerer, hvorfor den samlede kapa-
citetsbelastning på tværs af havnen vokser.
Påstigere i metroen
Antallet af påstigere pr. hverdagsdøgn i det
samlede metrosystem er vist i figur 11. Sta-
tionerne på Blå linje M4 forventes at få knap
13.000 påstigere i 2035, 53.000 påstigere i
2050 og 85.000 i 2070, hvilket svarer til et
årligt påstigertal på hhv. 4,0 mio., 16,5 mio.
og 26,3 mio. for de tre prognoseår på sta-
tionerne på forlængelsen. Disse tal er dog,
Fig. 11 Blå linje M4, påstigere pr. hverdag, 2070
120.000
100.000
33.000
107.000
80.000
85.000
-11.000
60.000
40.000
20.000
0
*Figuren tager ikke højde for mangel
på kapacitet i metrotogene
Blå linje M4-forlængelsen
M1/M2
M3/M4
(ekskl. M4 forlængelsen)
Total
21
TRU, Alm.del - 2019-20 - Bilag 442: Orientering om resultater af forundersøgelse af Østlig Ringvej og Lynetteholm, fra transportministeren
2233993_0022.png
Fig. 12
Lilla linje – M5 fra København H til Østerport
Stationstype
Højbanestation
Undergrundsstation
Dyb
undergrundsstation
Stationsnærhed
v/Lynetteholm N
Banetype
Højbane
Tunnel
v/Lynetteholm S
Rampe
Østerport
v/Refshaleøen
CMC på Prøvestenen
v/Kløverparken
København H
v/Prags Boulevard
Islands Brygge
Amagerbro
TRU, Alm.del - 2019-20 - Bilag 442: Orientering om resultater af forundersøgelse af Østlig Ringvej og Lynetteholm, fra transportministeren
2233993_0023.png
Afsnit 3
3. M5
Lilla linje
83.000
Daglige merpåstigere
i metrosystemet i 2050
Rejsetid fra v/ Lynetteholm
Syd til:
Frekvens i myldretiden
Mål betjenes i 2035
Østerport
København H
Lufthavn m. skift
4m
180 sek.
er tidsrummet mellem hvert tog
26.500
nye mål betjenes i 2035
i
n.
9m
in
.
Restfinansiering
Anlægsoverslag
18,8
mia.
(2020-priser inkl. 30 pct. korrektionsreserve)
20,5
mia.
(2020-priser inkl. 30 pct. korrektionsreserve)
19
m
n.
i
23
TRU, Alm.del - 2019-20 - Bilag 442: Orientering om resultater af forundersøgelse af Østlig Ringvej og Lynetteholm, fra transportministeren
2233993_0024.png
Lilla linje
M5 fra København H til Østerport
Lilla linje M5 er en ny selvstændig metrolinje.
Den forbinder Lynetteholm med knudepunkterne
Østerport og København H og sikrer derudover
sammenhæng og robusthed i metronettet med
nye omstigningsstationer på Amagerbro og Islands
Brygge. Linjen aflaster på tværs af havnen, og løser
dermed kapacitetsudfordringen på M1/M2.
Linjen er i tunnel bortset fra strækningen
mellem v/ Kløverparken og v/ Lynetteholm
Nord, som er på højbane.
Linjen har i alt 9 stationer:
• København H/Undergrundsstation
(Mulighed for omstigning mellem M5 og
M3/M4 via fælles concourseniveau til S-
tog, Re-tog og fjerntog via gangtunnel)
• Islands Brygge
/ Dyb undergrunds-
station (Mulighed for omstigning
mellem M1 og M5 via gangforbindelse)
• Amagerbro
/ Undergrundsstation
(Mulighed for omstigning mellem
M2 og M5 via gangtunnel)
• v/Prags Boulevard
/
Undergrundsstation
• v/Kløverparken
/ Højbanestation
• v/Refshaleøen
/ Højbanestation
• v/Lynetteholm S
/ Højbanestation
• v/Lynetteholm N
/ Højbanestation
• Østerport
/ Undergrundsstation
(Mulighed for omstigning mellem
M5 og M3/M4 via fælles concourse-
niveau til S-tog, Re-tog og fjerntog)
Det er beregnet at Lilla Linje M5 vil koste
20,5 mia. kr. (2020-priser) at anlægge inkl.
30 pct. korrektionsreserve.
24
Restfinansieringen, det vil sige, når alle om-
kostningerne som drift og reinvesteringer
er trukket fra og passagerindtægterne er
lagt til, er beregnet til 18,8 mia.kr. Ved an-
læg af linjen sker en direkte aflastning på
M1/M2. Hermed afhjælpes kapacitetspro-
blemerne i M1/M2, hvilket muliggør en pas-
sagerstigning med en nettonutidsværdi på
ca. 3 mia. kr., som kan anvendes til at ned-
bringe restfinansieringen. Dette er uddybet
i afsnittet om kapacitet i det samlede me-
trosystem på side 29.
Ved en opdeling af restfinansieringen på
strækninger kan omkostningerne i store træk
fordeles på følgende vis:
• CMC
2,6 mia. kr.
CMC inkl. forbindelse og afgrening til
CMC*
• Østerport til
v/ Refshaleøen
6,3 mia. kr.
(inkl. station v/ Refshaleøen)
• v/ Refshaleøen
til Amagerbro
3,3 mia. kr.
(ekskl. Amagerbro station)
• Amagerbro til København H
(inkl. begge stationer)
6,6 mia. kr.
TRU, Alm.del - 2019-20 - Bilag 442: Orientering om resultater af forundersøgelse af Østlig Ringvej og Lynetteholm, fra transportministeren
2233993_0025.png
Lilla linje
M5 fra København H til Østerport
Passagerer
20.000
vil skifte dagligt mellem S-tog og lilla linje
M5 på København H i 2050.
Den samfundsøkonomiske analyse af linjefø-
ringen giver et resultat på knap 1,5 pct. i in-
tern rente. Med bredere økonomiske effekter,
jf. note side 14, er den interne rente 1,9 pct.
Linjen vil i 2050 bidrage med ca. 83.000 dag-
lige merpåstigere i metrosystemet.Der vil
være ca. 26.500 nye mål i form af beboere,
arbejdspladser, studiepladser, der med lin-
jen bliver stationsnære i 2035.
På side 26 er vist et eksempel på station på
København H. Stationen er placeret i Re-
ventlowsgade, hvilket er den løsning, der
indgår i hovedforslaget. En station i Re-
ventlowsgade giver den bedste forbindelse
til M3/M4 samt bedste skiftemuligheder
til S-tog. Der er også undersøgt en mulig
placering af stationen i Bernstorffsgade,
hvilket dog er en dyrere løsning og giver
længere omstigning mellem de to metro-
systemer. Anlægsoverslaget for en station i
Bernstorffsgade er ca. 180 mio. kr. dyrere end
i Reventlowsgade.
Trafikmodelberegninger viser, at der dagligt
vil være ca. 20.000 passagerer, der vil skifte
mellem S-tog og Lilla linje M5 på Køben-
havn H i 2050. Metrostationen på Køben-
havn H er kompliceret og omkostningstung
at anlægge, men den er en central station
på M5 for aflastningen af M1/M2.
Ud over to varianter af placeringen på Kø-
benhavn H er der undersøgt forskellige
placeringer og typer af stationer på Islands
Brygge og Amagerbro. Varianterne på Is-
lands Brygge er uddybet i forundersøgelsens
udredningsrapport. Varianterne på Amager-
bro er præsenteret i afsnit 4 om Orange linje
M5 Vest.
Lilla linje M5 og Orange linje M5 Vest har
den samme linjeføring på strækningen Kø-
benhavn H – Amagerbro. De undersøgte
varianter af stationsplaceringen på Køben-
havn H, Islands Brygge og Amagerbro vil så-
ledes kunne vælges på begge linjeføringer.
Udgangspunktet for det valg, der indgår i
hovedforslaget, er den som udgangspunkt
billigste løsning af de undersøgte varianter.
* Omkostninger til CMC udløses ved den første strækning på linjen uanset længde.
25
TRU, Alm.del - 2019-20 - Bilag 442: Orientering om resultater af forundersøgelse af Østlig Ringvej og Lynetteholm, fra transportministeren
2233993_0026.png
Lilla linje
M5 fra København H til Østerport
Varianter og etaper
København H - Forum:
Der er på screeningsniveau undersøgt en
variant af linjeføringen, hvor linjen forlæn-
ges fra København H til Forum. Merprisen
for denne forlængelse er beregnet at ville
koste ca. 2 mia. kr. inkl. 50 pct. korrektions-
reserve, hvis den anlægges samtidig med
etapen København H - Prags Boulevard.
Forlængelsen medfører forholdsvis få mer-
påstigere, men bidrager med en ekstra om-
stigningsmulighed til M1/M2 og en ekstra
aflastende effekt på tværs af havnen. Sta-
tionen på Forum indgår også i linjeføringen
Orange M5 Vest og er illustreret på side 38.
Tunnel på hele strækningen:
Der er også undersøgt en løsning, hvor hele
linjeføringen er i tunnel. Tunnel er en dyrere
løsning, men vil frigøre areal til byudvikling
eller rekreative områder. Det vil medføre en
merudgift i anlægsudgifterne på 2,5 mia. kr.
(inkl. 30 pct. korrektionsreserve), hvis Lynet-
teholm til Kløverparken anlægges i tunnel.
Restfinansieringen stiger tilsvarende. Ho-
vedforslaget og varianten i tunnel er illustre-
ret i figur 14.
Etapevis udbygning:
For bl.a. at give et billede af befolknings-
udviklingens betydning for anlæggelsen af
Lilla linje M5, er der undersøgt forskellige
teoretiske opdelinger af linjen i etaper. De
undersøgte etaper er vist i figur 13. En eta-
pevis udbygning kræver kun mindre æn-
dringer i anlæggene sammenlignet med
konstruktionen på én gang. Det er bereg-
net at restfinansieringen i konstruktion af
en første etape fra København H til v/Prags
Boulevard vil koste 13,9 mia. kr. inkl. 30 pct.
korrektionsreserve. Dette beløb er inkl. CMC
og forbindelse til CMC. Den forholdsvis høje
restfinansiering skyldes, at linjen ikke bidra-
ger med mange nye merpåstigere, da den
primært aflaster M1/M2 på tværs af hav-
nen. Det er beregnet, at etape 2 bidrager
med 440 mio. kr. til restfinansieringen, mens
Eksempel på station på København H. Stationen
er placeret i Reventlowsgade, hvilket giver den
bedste forbindelse til M3/M4.
26
TRU, Alm.del - 2019-20 - Bilag 442: Orientering om resultater af forundersøgelse af Østlig Ringvej og Lynetteholm, fra transportministeren
2233993_0027.png
Lilla linje
M5 fra København H til Østerport
Fig. 13
Etapedeling af M5
3. etape
V/Lynetteholm N
Lilla linje M5
restfinansieringsbehov
Mia. kr. ekskl. dobbeltfaktor, 2020-priser,
tilbagediskonteret til 2025, inkl. 30 pct.
korrektionsreserve
Anlagt i ét stræk
Østerport
Etapeopdelt
Etape 1 Etape 2 Etape 3
2. etape
18,8
13,9
-0,4
15,8*
2,4
*Afrunding betyder at totalsummen afviger
fra summen af de tre etaper
København H
1. etape
restfinansieringen for den sidste strækning
under havnen til Østerport er beregnet til 2,4
mia. kr. Det vil sige i alt 15,8 mia. kr.
Da restfinansieringen for hele linjen er be-
regnet til 18,8 mia. kr. vil der på samme måde
som for Blå linje M4, i princippet også være
en besparelse ved at udskyde etape 2 og
etape 3 på i alt ca. 3 mia. kr. Årsagen er, at der
i perioden 2035-2045 er begrænset byudvik-
ling på Lynetteholm. Beregningen tager dog
ikke højde for planerne for byudvikling og
grundsalgsværdier.
Fig. 14 Lilla linje M5 hovedforslag og variant med tunnelløsning
Hovedforslag
Variant
Havn
V/Lynetteholm N
V/Lynetteholm S
Margretheholm
Havn
v/Prags Boulevard
Havn
V/Kløverparken
Islands Brygge
V/Refshaleøen
København H
Amagerbro
Østerport
27
TRU, Alm.del - 2019-20 - Bilag 442: Orientering om resultater af forundersøgelse af Østlig Ringvej og Lynetteholm, fra transportministeren
2233993_0028.png
Lilla linje
M5 fra København H til Østerport
Fig. 15
CMC for M5 placeres på Prøvestenen.
Togsystem og Kontrol- og
vedligeholdelsescenter
Togsystem
Lilla linje M5 er en ny selvstændig linje, der
ikke er knyttet sammen med M3/M4. Det
betyder, at linjen kan etableres uden en
række af de tekniske bindinger, der er gæl-
dende for M3/M4. Det kan f.eks. gælde to-
genes længde og bredde. For at kunne sam-
menligne de forskellige løsninger er der
dog taget udgangspunkt i en teknisk løs-
ning, der er baseret på M3/M4. Eneste for-
skel er tophastigheden for togene, der på
M5 er sat til 100 km/t frem for de 90 km/t,
der er gældende på M3/M4. Tophastighe-
den kan udnyttes på de dele af M5, hvor der
er relativt langt mellem stationerne.
Kontrol- og vedligeholdelsescenter (CMC)
Da M5 er en selvstændig linje, kan den ikke
benytte M3/M4’s kontrol- og vedligehol-
delsescenter ved Vasbygade. I stedet etab-
leres en afgrening på strækningen mellem
v/ Kløverparken og v/ Prags Boulevard. Her
forbindes Lilla linje M5 med et nyt kontrol-
og vedligeholdelsescenter i den sydlige
ende af Prøvestenen, hvilket fremgår af fi-
gur 15. Det er forudsat, at der vederlagsfrit
overdrages brugbart areal til CMC.
Placeringen på Prøvestenen følger ikke
princippet om billigst muligt. Det ville ud fra
en anlægsmæssig betragtning være billi-
gere at placere CMC tæt op ad linjen på eks.
Lynetteholm, hvilket er udgangspunktet for
Orange Linje M5 Vest. Forbindelsen mellem
linjeføring og CMC medfører således en
merudgift. Hvis Lilla linje M5 skal anlægges
i etaper, vil det være nødvendigt med et
CMC knyttet til 1. etape, hvilket er grundla-
get for placeringen af CMC på Prøvestenen.
Placeringen af CMC på Lilla linje M5 og
Orange Linje M5 Vest vil dog kunne ændres
afhængigt af valg af linje og evt. etaper,
hvilket vil kunne fastlægges i en senere fase.
Der er også regnet på, hvad det ville koste,
hvis CMC skulle anlægges med en over-
dækning til eks. rekreative formål eller til
bygninger, jf. figur 16. Uden mulighed for
bygninger oven på CMC vil merprisen for
anlægget være ca. 1,4 mia. kr. (2020-priser)
Hvis anlægget skal forberedes til at kunne
Fig. 16
Eksempel på overdækket CMC. Det vil også være
muligt at lave lignende overdækning til CMC på
Orange Linje M5 Vest, hvor CMC er placeret på
Lynetteholm.
28
TRU, Alm.del - 2019-20 - Bilag 442: Orientering om resultater af forundersøgelse af Østlig Ringvej og Lynetteholm, fra transportministeren
2233993_0029.png
Lilla linje
M5 fra København H til Østerport
bære bygninger, vil merprisen være ca. 1,8
mia. kr. (2020-priser).
Begge anlægsoverslag er inkl. 30 pct. kor-
rektionsreserve. I overslagene indgår ikke
værdien af arealet over CMC.
Omfanget vurderes således at være tilstræk-
keligt til at kunne imødekomme kapacitets-
udfordringer på M1/M2.
Ved anlæg af linjen sker en direkte aflast-
ning på M1/M2. Hermed afhjælpes kapaci-
tetsproblemerne i M1/M2.
En forholdsvis enkel løsning på udfordrin-
gen vil være at øge frekvensen på linjen fra
de 180 sekunder, der er forudsat i bereg-
ningerne, til eks. 90-100 sekunder. En øget
frekvens vil dog også medføre højere drifts-
og vedligeholdelsesudgifter samt kræve
indkøb af ekstra tog. Denne mulighed for at
øge frekvensen markant og sikre kapacite-
ten på langt sigt, kan lade sig gøre fordi der,
modsat Blå linje M4, er tale om en ny selv-
stændig linje.
Kapacitet i det samlede
metrosystem
I figur 17 er vist kapacitet i metrosystemet
med Lilla linje M5 i 2050 og 2070 for den
travleste time. Kapacitetskortene viser,
at der i 2050 og 2070 er kapacitetsudfor-
dringer mellem Amagerbro og Christians-
havn. Dette skal imidlertid ses i lyset af, at
OTM-modellen ikke fordeler passagerer på
alternative rejseveje, når der optræder ka-
pacitetsudfordringer. Ved anlæg af M5 må
det forventes, at flere af passagerne på M1/
M2 vil benytte M5. Samlet vurderes det,
at der er tilstrækkelig højfrekvent kapaci-
tet på tværs af havnen, når M5 anlægges.
Fig. 17
Kapacitet belyst gennem
oversigtskort
– travleste time 2050 og 2070 med
180 sekunders frekvens
Kapacitetsvurdering
Ingen kapacitetsproblemer
Begyndende kapacitetsproblemer
Kapacitetsproblemer
Store og betydelige kapacitetsproblemer
Travleste time 2050
Travleste time 2070
29
TRU, Alm.del - 2019-20 - Bilag 442: Orientering om resultater af forundersøgelse af Østlig Ringvej og Lynetteholm, fra transportministeren
2233993_0030.png
Lilla linje
M5 fra København H til Østerport
Fig. 18
Strækningsbelastning og
stationsstørrelser for hele
metronettet inkl. forlængelse
af M5 i 2035 og 2070
2035
M5 Stationsstørrelser
0-3.000
26.000-73.000
Strækningsbelastning – M5
0-19.000
113.000-190.000
Strækningsbelastning – eksisterende linjeføringer
0-19.000
113.000-190.000
2070
*Figuren tager ikke højde for mangel
på kapacitet i metrotogene
30
TRU, Alm.del - 2019-20 - Bilag 442: Orientering om resultater af forundersøgelse af Østlig Ringvej og Lynetteholm, fra transportministeren
2233993_0031.png
Lilla linje
M5 fra København H til Østerport
Stationer og strækninger
Som det fremgår af figur 18, er der i 2035
forholdsvis få påstigere på stationer og
strækninger på M5, hvilket skyldes, at byud-
viklingsområderne kun i begrænset omfang
er udbygget på dette tidspunkt. På tværs af
havnen på M5 er strækningsbelastningen
større end på de øvrige dele af M5, hvilket
skyldes M5’s aflastende funktion ift. M1/M2.
I 2070 er byudviklingsområderne fuldt ud-
byggede, hvilket betyder at strækningsbe-
lastninger og stationsstørrelser er større
end på de ydre dele af M1/M2.
De største stationer på M5 er sammenlig-
nelige med stationerne på de centrale dele
af M3/M4
Påstigere i metroen
Antallet af påstigere pr. hverdagsdøgn i det
samlede metrosystem er vist i figur 19. Sta-
tionerne på M5 forventes af få godt 48.000
påstigere i 2035, 109.000 i 2050 og 173.000
i 2070, hvilket svarer til et årligt påstigertal
på hhv. 14,9 mio., 33,8 mio. og 53,6 mio. for
de tre prognoseår. Til sammenligning var
der i 2019 66,6 mio. passagerer i M1/M2.
M5 har flere påstigere end vækst i antal
påstigere for det samlede metronet. Dette
skyldes, at M5 har en aflastende effekt på
M1/M2 på tværs af havnen. Udbygning
med M5 medfører samtidig en vækst i påsti-
gertallet for M3/M4, hvilket hovedsageligt
skyldes omstigere på stationerne Østerport
og København H.
Fig. 19 M5, påstigere pr. hverdag, 2070
200.000
180.000
173.000
160.000
-38.000
140.000
11.000
146.000
120.000
100.000
80.000
60.000
40.000
20.000
*Figuren tager ikke højde for mangel
på kapacitet i metrotogene
0
M5
M1/M2
M3/M4
Total
31
TRU, Alm.del - 2019-20 - Bilag 442: Orientering om resultater af forundersøgelse af Østlig Ringvej og Lynetteholm, fra transportministeren
2233993_0032.png
Fig. 20
Orange linje – M5 Vest fra v/Prags Boulevard Øst
til Lynetteholm
Stationstype
CMC på Lynetteholm
Højbanestation
Undergrundsstation
Dyb
undergrundsstation
v/Lynetteholm N
Stationsnærhed
Banetype
Højbane
Tunnel
v/Lynetteholm S
Rampe
v/Rigshospitalet
Østerport
v/Refshaleøen
v/Stengade
Forum
København H
v/Prags Boulevard Øst
Islands Brygge
Amagerbro
TRU, Alm.del - 2019-20 - Bilag 442: Orientering om resultater af forundersøgelse af Østlig Ringvej og Lynetteholm, fra transportministeren
2233993_0033.png
Kapitel 4
4. M5 Vest
Orange linje
96.000
Daglige merpåstigere
i metrosystemet i 2050
Rejsetid fra v/ Lynetteholm
Syd til:
Frekvens i myldretiden
Mål betjenes i 2035
Østerport
København H
Lufthavn m. skift
180 sek.
3m
i
n.
er tidsrummet mellem hvert tog
78.000
nye mål betjenes i 2035
9m
in
.
Restfinansiering
Anlægsoverslag
2
6
mi
n.
20,4
mia.
(2020-priser inkl. 30 pct. korrektionsreserve)
22,8
mia.
(2020-priser inkl. 30 pct. korrektionsreserve)
33
TRU, Alm.del - 2019-20 - Bilag 442: Orientering om resultater af forundersøgelse af Østlig Ringvej og Lynetteholm, fra transportministeren
2233993_0034.png
Orange linje
M5 Vest fra Lynetteholm til Prags Boulevard Øst
Orange linje M5 Vest er som M5 planlagt som en
ny selvstændig metrolinje. Den forbinder også
Lynetteholm med knudepunkterne Østerport
og København H og fortsætter til Amager. Linjen
aflaster dermed på tværs af havnen, og løser
kapacitetsudfordringen på M1/M2.
Sammenlignet med Lilla linje M5 betjener
Orange linje M5 Vest etablerede byområ-
der fra starten, herunder Rigshospitalet.
Med en station på Forum bidrager den også
yderligere til mulighederne for omstigning
og robusthed i metrosystemet.
Linjen har i alt 11 stationer:
v/Lynetteholm N
/ Højbanestation
v/Lynetteholm S
/ Højbanestation
v/Refshaleøen
/ Højbanestation
Østerport
/ Undergrundsstation
(Mulighed for omstigning mellem M5
og M3/M4 via fælles concourseniveau
til S-tog, Re-tog og fjerntog)
v/Rigshospitalet
/
Dyb undergrundsstation
v/Stengade
/ Undergrundsstation
Forum
/ Undergrundsstation
(Mulighed for omstigning mellem M1/
M2 og M5 via fælles concourseniveau)
København H
(Mulighed for omstig-
ning mellem M5 og M3/M4 via fælles
concourseniveau til S-tog, Re-tog og
fjerntog via gangtunnel)
Islands Brygge
/Dyb undergrundssta-
tion (Mulighed for omstigning mellem
M1 og M5 via gangforbindelse.)
• Amagerbro
/ Undergrundsstation
(Mulighed for omstigning mellem M2
og M5 via gangtunnel)
• v/Prags Boulevard Øst
/
Undergrundsstation
Strækningen fra v/Prags Boulevard Øst til
Østerport og under havnen bliver anlagt i
en boret tunnelstrækning. På Refshaleøen
kommer linjen op via en rampe og fortsæt-
ter på højbane til Lynetteholm.
Det er beregnet, at Orange Linje M5 Vest vil
koste 22,8 mia. kr. (2020-priser) at anlægge
inkl. 30 pct. korrektionsreserve.
Restfinansieringen, det vil sige, når alle om-
kostningerne som drift og reinvesteringer er
trukket fra og passagerindtægterne er lagt
til, er beregnet til 20,4 mia. kr. Ved anlæg af
linjen sker en direkte aflastning på M1/M2.
Hermed afhjælpes kapacitetsproblemerne
i M1/M2, hvilket muliggør en passagerstig-
ning med en nettonutidsværdi på ca. 3 mia.
kr., som kan anvendes til at nedbringe rest-
finansieringen. Dette er uddybet i afsnittet
om kapacitet i det samlede metrosystem på
side 41.
34
TRU, Alm.del - 2019-20 - Bilag 442: Orientering om resultater af forundersøgelse af Østlig Ringvej og Lynetteholm, fra transportministeren
2233993_0035.png
Orange linje
M5 Vest fra Lynetteholm til Prags Boulevard Øst
Ved en opdeling af restfinansieringen på
strækninger kan omkostningerne i store
træk fordeles på følgende vis:
• CMC
0,9 mia. kr.
inkl. forbindelse og afgrening til CMC*
• v/ Lynetteholm Nord
til Østerport
• Østerport til Forum
(ekskl. Forum station)
• Forum til København H
(ekskl. København H)
• København H
til Amagerbro
(inkl. Amagerbro station)
• Amagerbro til
Prags Boulevard Øst
5,3 mia. kr.
3,6 mia. kr.
2,1 mia. kr.
endestation. Om en linje stopper ved Ama-
gerbro eller føres til Prags Boulevard Øst
eller Kløverparken afhænger blandt andet
af det fremtidige passagergrundlag og
finansieringsmuligheder.
Den samfundsøkonomiske analyse af linje-
føringen giver et resultat på 1,6 pct. i intern
rente. Med bredere økonomiske effekter, jf.
note side 14, er den interne rente 2,0 pct.
Linjen vil i 2050 bidrage med ca. 96.000
daglige merpåstigere i metrosystemet.
Der vil være ca. 78.000 nye mål i form bebo-
ere, arbejdspladser, studiepladser, der med
linjen bliver stationsnære i 2035. Orange
linje M5 Vest vil således betjene mere end
50.000 flere mål end Lilla linje M5 i 2035.
Dette stemmer godt overens med, at op-
landet er betydeligt i de centrale bydele
allerede i 2035, og at M5 Vest dertil har en
aflastende effekt på tværs af havnen.
6,0 mia. kr.
2,5 mia. kr.
I denne opdeling er der taget udgangs-
punkt i at hele linjen anlægges i ét stræk.
Det vil dog også være muligt at anlægge
en kortere linje eksempelvis ved at stoppe
linjen ved Amagerbro og undlade at fort-
sætte til Prags Boulevard Øst. Besparel-
sen ved denne løsning vil dog ikke være
2,5 mia. kr., da der vil være en meromkost-
ning ved at forberede Amagerbro som en
* Omkostninger til CMC udløses ved den første strækning på linjen uanset længde.
35
TRU, Alm.del - 2019-20 - Bilag 442: Orientering om resultater af forundersøgelse af Østlig Ringvej og Lynetteholm, fra transportministeren
2233993_0036.png
Orange linje
M5 Vest fra Lynetteholm til Prags Boulevard Øst
Som på Lilla linje M5 er der undersøgt
forskellige varianter af stationsplacering
på Islands Brygge og Amagerbro.
På Amagerbro indgår i hovedforslaget,
at stationen er placeret i Brysselgade.
Der er dog tre muligheder:
NO
RD
LA
ND
SG
AD
E
HA
NN
OV
ER
GA
DE
GE
IS
LE
RS
H
SK
GA
I Brysselgade
Ved placering af stationen i Brysselgade går forbindelsen til M2
via en gangtunnel. Afstanden mellem de to stationer vil være ca.
200 m. Afstanden er ca. 3 gange så lang, som mellem M1/M2 og
M3 på Kongens Nytorv. Den relativt dårligere omstigning end
ved de øvrige placeringer har betydning for, hvor mange passa-
gerer, der vil benytte stationen. Et evt. rullende fortorv vil kunne
bidrage til en bedre omstigning. Dette er dog ikke undersøgt
nærmere, men vil være en dyrere løsning, da tunnelen vil skulle
være større. Anlægsoverslaget for denne station er ca. 650 mio.
kr. (inkl. 30 pct.).
36
ÅN
EG
AD
Ø
DE
ÅL
AN
E
DS
GA
DE
O
BR
ER
AG ORV
AM T
TO
V
R
KG
AD
E
AMAGER CENTRET
FRA
RB
AN
EG
AD
JA
C
OB
HO
LM
S
D
GA
RE
BE
E
BR
S
YS
EL
GA
DE
NKR
I
E
BR
S
YS
EL
GA
DE
RE
BE
RB
AN
LA
N
D
SG
A
D
E
EG
AD
AM
AG
ER
BR
E
IE
N
SG
AD
E
OG
AD
E
TRU, Alm.del - 2019-20 - Bilag 442: Orientering om resultater af forundersøgelse af Østlig Ringvej og Lynetteholm, fra transportministeren
2233993_0037.png
Orange linje
M5 Vest fra Lynetteholm til Prags Boulevard Øst
L
HO
MB
LA
DS
GA
DE
SK
ÅN
EG
AD
E
H
M
OL
BLA
DS
GA
DE
SK
ÅN
EG
AD
E
HA
L
HO
MB
LA
DS
GA
DE
NO
HA
NN
NN
NO
RD
LA
ND
SG
AD
OV
OV
ER
GA
DE
ER
RD
LA
ND
SG
GA
DE
SK
E
B
K
LE
SK
AD
ÅN
E
IN
ÅN
ÅL
AN
E
EG
GE
EG
AD
AD
DS
GA
E
GA
E
DE
DE
O
BR
ER V
AG R
M TO
A
BL
I
EK
NG
EG
AD
E
O
BR
ER
AG ORV
AM T
AM
AG
ER
BR
OG
AD
E
TO
Æ
VV
RK
GA
DE
AMAGER CENTRET
AD
E
J
VE
AM
AG
ER
BR
OG
AD
BR
IG
AD
EV
EJ
BR
IG
TO
Æ
VV
RK
GA
DE
RE
BE
RB
AN
AMAGERCENTR
E
EG
AD
E
ØS
EL
SG
E
AD
JA
CO
B
H
M
OL
S
GA
DE
BR
S
YS
EL
GA
DE
HO
LM
S
GA
DE
B
RE
BE
RB
AN
EG
AD
E
SG
A
DE
C
JA
OB
GA
E
ØS
EL
DE
Under Amagercentret
En bedre placering i forhold til omstigning til M2 ville være un-
der den nordlige del af Amagercentret. Anlægget af metrosta-
tionen her vil i sig selv være den billigste station, hvis der ikke
tages højde for nødvendig ekspropriation af dele af centret. En
mulighed ville dog kunne være, at der efter anlæggelsen af sta-
tionen bygges en større bygning over stationen. Der er ikke be-
hov for ekspropriation, hvis stationerne placeres i Brysselgade
eller Blekingegade. Anlægsoverslaget er ca. 570 mio. kr. (inkl 30
pct.). I dette beløb indgår dog ikke betydelige omkostninger til
ekspropriation.
I Blekingegade
En tredje løsning er at placere stationen i Blekingegade. Denne
løsning er anlægsmæssigt den dyreste løsning af de tre. I forbin-
delse med anlæggelsen af denne station vil byggepladsen des-
uden komme tæt på naboerne. Omstigningsforholdene vil dog
være betydeligt bedre end med løsningen i Brysselgade. An-
lægsoverslag for de to varianter på Amagerbro inkluderer ikke
ændringer i tunnellængde, sporlængde osv., hvis stationen flyt-
tes fra Brysselgade til en af de andre placeringer. Der vil således
kunne komme mindre ændringer til overslaget, hvis det besluttes
at vælge én af varianterne. Anlægsoverslaget for denne station er
ca. 670 mio. kr. (inkl. 30 pct.).
37
TRU, Alm.del - 2019-20 - Bilag 442: Orientering om resultater af forundersøgelse af Østlig Ringvej og Lynetteholm, fra transportministeren
2233993_0038.png
Orange linje
M5 Vest fra Lynetteholm til Prags Boulevard Øst
DET KONGELIGE DANSKE
M U S I K KO N S E R V ATO R I U M
RO
På Orange linje M5 Vest er der tilsvarende
mulighed for at placere stationen ved Kø-
benhavn H i enten Reventlowsgade eller
Bernstorffsgade, som på Lilla Linje M5. For
beskrivelse heraf se afsnit 3.
Som en del af hovedforslaget indgår en sta-
tion ved Forum. Stationen er placeret sydøst
for den eksisterende station på M1/M2. Pla-
ceringen af stationen fremgår af den røde
markering på kortet til venstre.
R
SE
RN
S A
LL
E
Varianter og etaper
LE
FORUM
Tunnel på hele strækningen
Der er også undersøgt en løsning, hvor hele
linjeføringen er i tunnel. Tunnel er en dyrere
løsning, men vil frigøre areal til byudvikling
eller rekreative områder. Det vil medføre en
merudgift i anlægsudgifterne på 1,7 mia. kr.
(inkl. 30 pct. korrektionsreserve), hvis denne
strækning anlægges i tunnel. Hovedforslaget
og varianten i tunnel er illustreret i figur 22.
Etapevis udbygning
For bl.a. at give et billede af befolkningsudvik-
lingens betydning for anlæggelsen af Orange
linje M5 Vest, er der undersøgt forskellige te-
oretiske opdelinger af linjen i etaper.
Der er undersøgt en etapevis udbygning i to
forskellige løsninger, som er vist på Figur 21.
Da der er tale om en ny linje, vil det være nød-
vendigt med et nyt CMC, selvom den første
etape er kort som eksempelvis etape 1 i løs-
ning 1 mellem Østerport og v/ Refshaleøen.
Restfinansieringsbehovet i nedenstående
etaper er i løsning 1 beregnet til hhv. 5,6
mia. kr. for etape 1, 160 mio kr. for etape 2
og 12,7 mia. kr. for etape 3. Det vil sige i alt
18,5 mia. kr. Alle beløb er inkl. 30 pct. kor-
rektionsreserve og i 2020-priser.
For løsning 2 er restfinansieringsbehovet
beregnet til hhv. 10,8 mia. kr. for etape 1, 110
mio. kr. for etape 2 og 7,8 mia. kr. for etape 3
ST E
SA
NK
EN
ST R
T M
AR
K
UP
S A
L
US
AL
LE
38
TRU, Alm.del - 2019-20 - Bilag 442: Orientering om resultater af forundersøgelse af Østlig Ringvej og Lynetteholm, fra transportministeren
2233993_0039.png
Orange linje
M5 Vest fra Lynetteholm til Prags Boulevard Øst
Fig. 21
Etapedeling
af Orange
linje M5 Vest
– løsning 1 og løsning 2
Løsning 1
v/Lynetteholm N
Orange linje M5 Vest
restfinansieringsbehov
2. etape
Mia. kr. ekskl. dobbeltfaktor, 2020-priser,
tilbagediskonteret til 2025, inkl. 30 pct.
korrektionsreserve
Løsning 1
1. etape
v/Prags Boulevard Øst
Anlagt i ét stræk
Etapeopdelt
Etape 1 Etape 2 Etape 3
5,6
0,16
18,5
12,7
3. etape
København H
Løsning 2
20,4
Anlagt i ét stræk
Løsning 2
v/Lynetteholm N
Etapeopdelt
Etape 1 Etape 2 Etape 3
2. etape
10,8
20,4
0,11
18,8*
7,8
*Afrunding betyder at totalsummen afviger
fra summen af de tre etaper
1. etape
v/Prags Boulevard Øst
inkl. 30 pct. korrektionsreserve og i 2020-pri-
ser. I alt for løsning 2 bliver det 18,8 mia. kr.
For begge løsninger er der således en lavere
restfinansiering ved at opdele anlægget
i etaper og udskyde etape 2 og 3. For løs-
ning nr. 1 vil besparelsen være ca. 1,9 mia.
kr. og og for løsning 2 ca. 1,6 mia. kr. Årsagen
er, at der i perioden 2035-2045 er begrænset
København H
3. etape
Fig. 22
Orange linje M5 Vest hovedforslag og variant med tunnelløsning
Hovedforslag
Variant
V/Lynetteholm S
V/Prags Boulevard Øst
Havneløb
V/Lynetteholm N
v/Rigshospitalet
Havn
Islands Brygge
V/Refshaleøen
Københavns H
v/Stengade
Amagerbro
Østerport
Forum
39
TRU, Alm.del - 2019-20 - Bilag 442: Orientering om resultater af forundersøgelse af Østlig Ringvej og Lynetteholm, fra transportministeren
2233993_0040.png
Orange linje
M5 Vest fra Lynetteholm til Prags Boulevard Øst
Fig. 23
Underjordisk CMC
byudvikling på Lynetteholm. Opdelingen og
udsættelsen af etableringen af metro tager
ikke højde for planerne for byudvikling og
grundsalgsværdier. Det skal bemærkes, at for
begge løsninger vil 1. etape ikke løse kapaci-
tetsudfordringen på tværs af havnen på M1/
M2.
Togsystem
M5 Vest er en ny selvstændig linje, der ikke
er knyttet sammen med M3/M4. Det bety-
der, at linjen kan etableres uden en række
af de tekniske bindinger, der er gældende
for M3/M4. Det kan f.eks. gælde togenes
længde og bredde. For at kunne sammen-
ligne de forskellige løsninger er der dog ta-
get udgangspunkt i en teknisk løsning, der
er baseret på M3/M4. Eneste forskel er top-
hastigheden for togene, der på M5 Vest er
sat til 100 km/t frem for de 90 km/t, der er
gældende på M3/M4. Tophastigheden kan
udnyttes på de dele af M5 Vest, hvor der er
relativt langt mellem stationerne.
Kontrol- og vedligeholdelsescenter
Da M5 Vest er en selvstændig linje, kan den
ikke benytte M3/M4’s kontrol- og vedlige-
holdelsescenter ved Vasbygade. I stedet
etableres en afgrening på M5 Vest på Lynet-
teholm, hvor M5 Vest forbindes med et nyt
kontrol- og vedligeholdelsescenter (CMC).
Placeringen på Lynetteholm kræver, at om-
rådet er fyldt op, når det skal anlægges. Det
vil dog også være muligt at etablere kontrol-
og vedligeholdelsescentret på Prøvestenen,
som i hovedforslaget Lilla linje M5, hvis lin-
jen anlægges i et stræk eller eksempelvis
etape 1 og 3. Dette vil dog fordyre anlægget.
Det er forudsat, at der vederlagsfrit overdra-
ges brugbart areal til CMC.
Fig. 24
CMC for M5 Vest kan placeres
på Lynetteholm.
40
TRU, Alm.del - 2019-20 - Bilag 442: Orientering om resultater af forundersøgelse af Østlig Ringvej og Lynetteholm, fra transportministeren
2233993_0041.png
Orange linje
M5 Vest fra Lynetteholm til Prags Boulevard Øst
Travleste time 2050
Fig. 25
Kapacitet belyst gennem
oversigtskort
– travleste time 2050 og 2070 med
180 sekunders frekvens
Kapacitetsvurdering
Ingen kapacitetsproblemer
Begyndende kapacitetsproblemer
Kapacitetsproblemer
Store og betydelige kapacitetsproblemer
For begge forslag til CMC vil det være muligt
at forberede at overdække CMC’et, så det
kan anvendes rekreativt, eller der kan byg-
ges oven på jf. beskrivelsen af CMC for Lilla
linje M5. For placeringen af CMC på Lynette-
holm er der yderligere undersøgt, at CMC’et
er underjordisk. Merprisen for et underjor-
disk CMC er beregnet til 2,8 mia. kr. inkl. 30
pct. korrektionsreserve (2020-priser). Dette
er illustreret i figur 23.
Ved en placering på Lynetteholm som illu-
streret på figur 24, vil stationsnære arealer
ikke kunne anvendes til byggeri, med mindre
CMC er overdækket. Den anførte placering
vil ligeledes skulle koordineres med valget af
linjeføring for Østlig Ringvej.
Det skal således understreges, at den nær-
mere placering af stationer, linjeføring og
CMC’et vil skulle undersøges nærmere og
fastlægges i en senere fase, herunder hen-
syntagen til den fremtidige planlægning af
byudviklingen. Placeringen af CMC, som
fremgår af figur 24, er “billigst muligt” ud fra
en anlægsmæssig betragtning.
Travleste time 2070
Kapacitet i det samlede
metrosystem
Kapacitetskort i figur 25 for 2050 viser, at
der ikke er udfordringer på M5 Vest. Sam-
tidig er udfordringer på M1/M2 på tværs
af havnen begrænsede, hvilket skyldes M5
Vests aflastende effekt.
41
TRU, Alm.del - 2019-20 - Bilag 442: Orientering om resultater af forundersøgelse af Østlig Ringvej og Lynetteholm, fra transportministeren
2233993_0042.png
Orange linje
M5 Vest fra Lynetteholm til Prags Boulevard Øst
Fig. 26
Strækningsbelastning og
stationsstørrelser for hele
metronettet inkl. forlængelse
af M5 Vest i 2035 og 2070
2035
M5 Vest Stationsstørrelser
0-3.000
26.000-73.000
Strækningsbelastning – M5 Vest
0-19.000
113.000-190.000
Strækningsbelastning – eksisterende linjeføringer
0-19.000
113.000-190.000
2070
*Figuren tager ikke højde for mangel
på kapacitet i metrotogene
42
TRU, Alm.del - 2019-20 - Bilag 442: Orientering om resultater af forundersøgelse af Østlig Ringvej og Lynetteholm, fra transportministeren
2233993_0043.png
Orange linje
M5 Vest fra Lynetteholm til Prags Boulevard Øst
Ved anlæg af linjen sker en direkte aflast-
ning på M1/M2. Hermed afhjælpes – lige-
som på Lilla linje M5 - kapacitetsproble-
merne i M1/M2.
I 2070 er byudviklingsområderne fuldt ud-
byggede. Her beregnes der kapacitetsudfor-
dringer på M5 Vest på strækningen mellem v/
Lynetteholm Syd og Rigshospitalet. Dette vur-
deres at kunne imødekommes ved at øge fre-
kvensen på M5 Vest. Frekvensen, som ligger
til grund for trafikmodelberegninger og kapa-
citetsvurderinger, er 180 sek. Det er muligt at
øge frekvensen på M5 Vest i udgangspunktet
op til 90 sekunder. Dette vil dog kræve en in-
vestering i yderligere togsæt samt øge drifts-
og vedligeholdelsesomkostningerne.
Stationer og strækninger
Som det fremgår af figur 26, er der allerede
i 2035 dele af M5 Vest, som har en del pas-
sagerer på strækninger og påstigere på sta-
tioner. Det drejer sig om den del af M5 Vest,
som betjener centrale bydele og det nord-
lige Amager.
I 2070 er byudviklingsområderne fuldt ud-
byggede, hvilket betyder, at stationsstørrel-
ser og strækningsbelastninger er på niveau
med de større stationer og strækninger på
det øvrige metronet.
Påstigere i metroen
Antallet af påstigere pr. hverdagsdøgn i det
samlede metrosystem er vist i figur 27. Sta-
tionerne på M5 Vest forventes at få knap
79.000 påstigere i 2035, 139.000 påstigere
i 2050 og 196.000 i 2070, hvilket svarer til et
årligt påstigertal på hhv. 24,4 mio., 43,1 mio.
og 60,9 mio. for de tre prognoseår på statio-
nerne på den nye linje. Til sammenligning
var der i 2019 66,6 mio. passagerer i M1/M2.
M5 Vest har en aflastende effekt på særligt
M1/M2. Det medfører især et fald i antal
påstigere ved Nørreport, Kongens Nytorv,
Christianshavn og Amagerbro, idet M5 Vest
aflaster M1/M2 på tværs af havnen. Eksem-
pelvis vil nogle passagerer fra det nordøst-
lige Amager foretrække M5 Vest fremfor
M2 til/fra Indre By. En del af påstigerne på
M5 Vest er derfor ikke nye påstigere i me-
trosystemet men passagerer, som tidligere
benyttede M1/M2, og som nu får en kortere
rejsetid ved at benytte M5 Vest.
M5 Vest har igennem den centrale del af Kø-
benhavn et vist overlap i opland med M3/
M4, som derfor beregnes at opleve et min-
dre fald i påstigertal.
*Figuren tager ikke højde for mangel
på kapacitet i metrotogene
Fig. 27 M5 Vest, påstigere pr. hverdag, 2070
200.000
196.000
180.000
-40.000
160.000
-7.000
140.000
149.000
120.000
100.000
80.000
60.000
40.000
20.000
0
M5 Vest
M1/M2
M3/M4
Total
43
TRU, Alm.del - 2019-20 - Bilag 442: Orientering om resultater af forundersøgelse af Østlig Ringvej og Lynetteholm, fra transportministeren
2233993_0044.png
TRU, Alm.del - 2019-20 - Bilag 442: Orientering om resultater af forundersøgelse af Østlig Ringvej og Lynetteholm, fra transportministeren
2233993_0045.png
TRU, Alm.del - 2019-20 - Bilag 442: Orientering om resultater af forundersøgelse af Østlig Ringvej og Lynetteholm, fra transportministeren
2233993_0046.png
4-vognstog i M1/M2
5. 4-vognstog
på M1/M2
Den øgede befolkningsudvikling, som tid-
ligere er beskrevet, har en direkte effekt på
metroens passagertal.
Stigningen i antal passagerer udfordrer ka-
paciteten i metrosystemet på M1/M2, hvilket
bl.a. fremgår af kapacitetskortet for Blå linje
M4 i afsnit 2.
Der vil således i 2035 være kapacitetspro-
blemer i myldretiden på tværs af havnen
trods de kapacitetsfremmende tiltag, som
er iværksat jf. beskrivelsen af kapacitetsud-
fordringen i afsnit 1.
Én løsning er en ny linje på tværs af havnen.
Dette vil blive opnået med Lilla linje M5 og
Orange linje M5 Vest. En anden løsning er
indførelse 4-vognstog på M1/M2, hvilket er
undersøgt i en tilknyttet udredning.
4-vognstog er teknisk muligt
Hovedresultatet af undersøgelserne er, at
det er teknisk muligt at indføre 4-vognstog
på M1/M2. Ud over anskaffelse af 4-vogns-
tog i stedet for 3-vognstog forudsætter ind-
førelsen af 4-vognstog udskiftning af styresy-
stemet forberedt for 4-vognstog, opsætning
af ekstra perrondøre på alle stationer, samt
mindre ombygninger af de halvdybe statio-
ner og højbanestationerne. Hertil kommer
udvidelse af flugttrapperne på Christians-
havns og Amagerbro stationer, udvidelse af
forbindelsestunnelen på Nørreport Station
og udvidelse af Kongens Nytorv Station.
Ombygningen af stationerne på Christians-
havn, Amagerbro, Nørreport og Kongens
46
Nytorv er større ombygninger, der kræver
længevarende lukninger af nogle centrale
stationer og af de to tunneler på skift. Ende-
lig vil der skulle foretages mindre ændringer
af infrastrukturen, herunder ombygning af
kontrol- og vedligeholdelsescentret (CMC),
forstærket strømforsyning m.v., ligesom der
skal gennemføres testkørsel og sikkerheds-
godkendelse. Samlet set vil disse ombygnin-
ger betyde, at Kongens Nytorv Station lukkes
i godt 3 år og at der samtidig på denne stræk-
ning kun køres i én af tunnelerne.
Ombygning af 4 kritiske stationer
Årsagen til ombygning af Christianshavns og
Amagerbro stationer henholdsvis udvidelse
af Nørreport og Kongens Nytorv stationer er,
at den gennemførte og påtænkte forøgelse af
togkapaciteten udfordrer stationskapacite-
ten på disse fire stationer. I forhold til den op-
rindelige forudsætning i 1995 om mulighed
for indførelse af 4-vognstog er betingelserne
således ændret betydeligt. Dels er befolk-
ningsvæksten øget markant, dels er Kongens
Nytorv Station - som følge af etableringen af
M3 Cityringen og M4 - blevet den vigtigste
skiftestation på metronettet, hvor alle 4 linjer
mødes. Endelig planlægges togkapaciteten
øget gennem ændret togindretning.
For Christianshavns og Amagerbro stationer
vil evakueringskravene således ikke kunne
opfyldes, mens kapaciteten på Kongens Ny-
torv og Nørreport stationer herudover vil
medføre sikkerhedsmæssigt uacceptabelt
passagerstrømme på de travle tidspunkter.
TRU, Alm.del - 2019-20 - Bilag 442: Orientering om resultater af forundersøgelse af Østlig Ringvej og Lynetteholm, fra transportministeren
2233993_0047.png
4-vognstog i M1/M2
Anlægsomkostninger for
indførelse af 4-vognstog
Anlægsomkostningerne for ændringerne af
transportsystemet og de nødvendige ombyg-
ninger/udvidelser vil være på ca. 1,8 mia. kr.
Heraf udgør ekstraomkostningerne til anskaf-
felse af 4-vognstog i stedet for 3-vognstog ca.
1,0 mia. kr., mens anlægsomkostningerne til
ombygning af de fire kritiske stationer udgør ca.
0,8 mia. kr. Det er herved blandt andet forudsat,
at styresystemet (ATC-systemet) er udskiftet
med et system, der er forberedt for overgang
til 4-vognstog, og at indførelsen af 4-vognstog
sker som led i en nødvendig udskiftning af de
eksisterende 3-vognstog pga. alder.
Lukning af stationer og driftsmæssige
omkostninger
Gennemførelse af 4-vognstogprojektet vil in-
debære kortere lukninger af alle stationer og
enkeltsporsdrift på varierende strækninger
under installationen af ekstra perrondøre.
Ombygningen af de 4 kritiske stationer kræ-
ver lang tids lukninger. Christianshavns og
Amagerbro stationer vil hver skulle lukkes i
ca. 15 måneder, mens Nørreport Station vil
have begrænset funktionalitet i ca. 2 �½ år.
Ingen af disse tre ombygningsprojekter for-
ventes at have væsentlig indflydelse på tog-
driften. Udvidelse af Kongens Nytorv Station
vil indebære lukning af denne station i ca. 3
år og 3 måneder samt en skiftevis lukning af
de to tunneller i samlet ca. 3 år med enkelt-
sporsdrift til følge. De to former for enkelt-
sporsdrift vil kunne koordineres og optime-
res, således at den samlede enkeltsporsdrift
forventes at vare i godt 3 år.
Lukning af stationer og især enkeltsporsdrift
vil medføre betydelige gener for passage-
rerne. Med henblik på at vurdere omfanget
er der udarbejdet et driftsscenarie for den
samlede enkeltsporsdrift. På dette grundlag
er generne for passagererne vurderet, og det
afledte tab af passagerindtægter beregnet på
grundlag af en særlig OTM-prognosekørsel.
Passagertabet vurderes på dette grundlag i
den godt 3-årige periode at ligge på 250 mio.
passagerer. Samlet vurderes tabet af passa-
gerindtægter at udgøre 3,5-4 mia. kr.
Ved omlægning til 4-vognstog sker en kapa-
citetsudvidelse af M1/M2. Hermed afhjæl-
pes – ligesom på Lilla linje M5 og Orange
linje M5 Vest - kapacitetsproblemerne i M1/
M2, hvilket muliggør en passagerstigning
svarende til en nutidsværdi af passagerind-
tægterne på ca. 3 mia. kroner, som kan an-
vendes til at nedbringe finansieringen.
Samlede økonomiske
konsekvenser af indførelsen
af 4-vognstog
De samlede økonomiske konsekvenser af ind-
førelse af 4-vognstog på M1/M2 er opstillet i
tabel 1 til venstre for denne tekst. De samlede
omkostninger ved indførelsen af 4-vognstog
er således en merudgift på 5,6 – 6,2 mia. kr.
Hertil kommer, at indførelsen af 4-vognstog
forudsætter udskiftning af 3-vognstogene og
af det nuværende styresystem, som dog vil
skulle gennemføres under alle omstændighe-
der. Samlet indebærer dette anlægsomkost-
ninger på 3,8 mia.kr. Af disse omkostninger
er udskiftning af styresystemet på ca. 1 mia.
kr. forudsat finansieret inden for Metrosel-
skabets Investeringsbudget. De resterende
2,8 mia. kr. til udskiftning af 3-vognstogene
er ufinansierede. Ud over de økonomiske om-
kostninger skal de betydelige gener for pas-
sagererne tages i betragtning. Indførelsen af
4-vognstog medfører således en væsentlig
reduktion af driften på M1/M2 og lukning af
blandt andet Kongens Nytorv Station i en pe-
riode på 3-4 år.
Tabel 1
De samlede økonomiske
konsekvenser af indførelsen
af 4-vognstog
mia. kr.
(2019-priser)
Direkte anlægsomkostninger til
4-vognstog
(1 mia. kr. til transportsystemet*
og 0,8 mia. kr. til ombygning af
stationer**)
1,8
Ekstra driftsomkostninger
i anlægsperioden
0,3-0,4
Indtægtstab i anlægsperioden
3,5-4,0
* Inkl. 30 pct. korrektionsreserve
** Inkl. 50 pct korrektionsreserve
47
TRU, Alm.del - 2019-20 - Bilag 442: Orientering om resultater af forundersøgelse af Østlig Ringvej og Lynetteholm, fra transportministeren
2233993_0048.png
Bæredygtig byudvikling
6. Metroens
bidrag til
en bæredygtig
byudvikling
I forundersøgelsen af metro til Lynetteholm
er det et hensyn at bidrage til en bæredygtig
byudvikling i en by, der vokser – i tråd med
FN’s Verdensmål. En ny metrolinje bidrager
til Verdensmål 11 om at gøre byer og lokal-
samfund inkluderende, robuste og bære-
dygtige og verdensmål 9 om at bygge robust
infrastruktur. Det sker bl.a. ved at bidrage til
en bæredygtig byudvikling og en mere kli-
mavenlig transport.
Reduceret trængsel
Som tidligere anført vil behovet for transport
stige markant i fremtiden.
Ekspertgruppen Mobilitet for Fremtiden ned-
sat af transportministeren pegede i 2018
på, at trafik, trængsel og presset på byernes
arealer generelt forventes at stige væsent-
ligt, og at skinnebåren transport med stor
kapacitet kan skabe fremkommelighed og
bidrage til at aflaste vejnettet.
Fig. 28
Kapacitet i de
forskellige transport-
former pr. time og
retning
Figuren er udarbejdet af Movia og
COWI.
Personer
45000
40000
35000
30000
25000
20000
15000
10000
5000
0
Bus
+Way
4-sporet ringvej
(ikke Østlig Ringvej)
4-sporet
motorvej
Letbane
Metro
S-tog
48
TRU, Alm.del - 2019-20 - Bilag 442: Orientering om resultater af forundersøgelse af Østlig Ringvej og Lynetteholm, fra transportministeren
2233993_0049.png
Bæredygtig byudvikling
Metroen i København har en passagerkapa-
citet på 10.000-15.000 pr. time i hver retning,
mens traditionelle bybusser har en kapacitet
på op til 2.000, og letbaner har en kapacitet
på omkring 3.000-7.500 passagerer per time
i hver retning. Kapaciteten afhænger af fre-
kvens, valg af materiel og fyldningsgrad. Til
sammenligning er den beregnede kapacitet
på 4-sporet ringvej eller 4-sporet motor-
vej 4.000-6.000 biler i timen i hver retning.
Transportformernes kapacitet er illustreret
i figur 28.
Bæredygtig byudvikling
Stationsnær byudvikling, dvs. lokalisering
af boliger, arbejdspladser og studiepladser
indenfor maksimalt 600 m fra en station,
har vist sig at have en markant effekt på, at
pendlere vælger kollektiv transport frem for
egen bil.
Ser man på byudviklingens betydning for
CO2-udledningen, så viser analyser fra Vejdi-
rektoratet af data fra Transportvaneundersø-
gelsen, at der er en sammenhæng mellem bo-
liglokalisering og beboernes CO2-udledning
fra transport.
Fig. 29
Udledning af gram CO2 pr. personkm.
fra fremdriften af forskellige transportformer i 2019 med angivelse af forskelle i opgørelsesmetoder
Metro
Letbane
S-tog
Movia, fossilbus
Movia, elbus
Elbil
Benzinbil
Dieselbil
8g
26 g
12 g
92 g
0 g*
25 g
172 g
140 g
* Movia har valgt at tilskrive CO2-udledningen til selve
el-produktionen og ikke til fremdriften af elbusser
og opgør derforudledning fra fremdrift af elbusser til
0. De øvrige eldrevne transportmidler (s-tog, metro,
letbane og elbil) opgør udledningen forbundet med
produktionen af elforbruget som en del af fremdrift.
Kilder:
For de kollektive transportformer baserer de angivne
udledninger sig på transportformernes egen
opgørelser fra 2019. For el- og fossildrevne biler er der
brugt opgørelser fra trafikøkonomiske enhedspriser
(DTU 2019), som er omregnet til CO2-udledning pr.
personkm. med en belægningsgrad på 1,34, som
er den gennemsnitlige belægning for personbiler i
hovedstadsområdet ifølge OTM.
49
TRU, Alm.del - 2019-20 - Bilag 442: Orientering om resultater af forundersøgelse af Østlig Ringvej og Lynetteholm, fra transportministeren
2233993_0050.png
Koncept for højbanestation delvist i træ
50
TRU, Alm.del - 2019-20 - Bilag 442: Orientering om resultater af forundersøgelse af Østlig Ringvej og Lynetteholm, fra transportministeren
2233993_0051.png
Bæredygtig byudvikling
Når der kontrolleres for de typiske forhold, der
påvirker transportadfærden, har en beboer i det
centralt beliggende Nordhavn en årlig udledning
af CO
2
fra bilkørsel og offentlig transport på ca.
600 kg. Tilsvarende er den årlige CO
2
-udledning for
beboere i Vinge og Ringsted/Slagelse, der ligger
længere ude i regionen, i størrelsesordenen 1300-
1500 kg.
Vejdirektoratet, 2019
"Betydningen af boliglokalisering for CO
2
udledninger fra transport”
Fokus på klima og miljøpåvirkning
fra metroen
Metroen er et energieffektivt transportmid-
del. Siden 2011 er metroens CO2-udledning
pr. personkilometer fra den samlede drift
reduceret med ca. 70 %. Det skyldes særligt
en stigning i antal passagerer og et redu-
ceret strømforbrug til drift af stationer, og
i mindre grad et reduceret strømforbrug til
fremdrift. Ligeledes er emissionsfaktoren
for produktion af el i Danmark faldet mar-
kant i perioden. Omlægningen til mere ved-
varende energi i elproduktionen i Danmark
fortsætter i de kommende år, og klimapå-
virkningen fra metrodriften vil tilsvarende
falde.
Alle transportformer er udover energi til frem-
driften afhængige af en eller anden form for
infrastruktur og produktion og vedligehold
heraf. En bil og en bus skal produceres, ved-
ligeholdes og udskiftes med mellemrum,
og der skal anlægges og vedligeholdes veje,
broer mm. at køre på. Togdrift er afhængig af
produktion og vedligehold af både tog, skin-
ner og stationer. Ved etablering af en ny me-
trolinje er det derfor naturligt at fokusere på
klimapåvirkningen fra selve infrastrukturen.
I tråd med verdensmål 12 om at sikre bæ-
redygtigt forbrug og produktionsformer
er der for metrolinjen som anlægsprojekt
sat en målsætning om at bygge ressource-
bevidst og begrænse klimapåvirkningen.
Metroanlæg bygges til at kunne fungere i
mindst 100 år, og rundt om i verden er der
eksempler på metroanlæg med betydeligt
længere levetid. Som eksempel på mulighe-
derne i de kommende faser er det på kon-
ceptniveau vurderet, hvordan en højbane
metrostation kunne udformes med delvis
anvendelse af træ frem for udelukkende
at anvende beton jf. billede. De foreløbige
overvejelser tyder på, at dette kunne være
en mulighed, sommed fordel kan undersø-
ges nærmere i en senere fase af projektet.
Herudover forventes der at være et poten-
tiale i at se på anlægsprocesser og metoder,
som fx fossilfri og mindre drikkevandsforbru-
gende byggepladser og mulighed for at an-
vende præfabrikerede elementer i byggeriet.
Der er udviklet en klimamodel til at vurdere
og følge, hvordan anlægsfasens forventede
klimapåvirkning reduceres over de kom-
mende faser.
51
TRU, Alm.del - 2019-20 - Bilag 442: Orientering om resultater af forundersøgelse af Østlig Ringvej og Lynetteholm, fra transportministeren
2233993_0052.png
Proces og tidsplan
7. Proces og
tidsplan
– for etablering af projektet
Fig. 30
Forventet videre process for Lynetteholm, Østlig Ringvej og metro, pba. principaftalen fra oktober 2018
2019-2020
2021-2023
2024-2035
Undersøgelser
VVM-undersøgelse af
jordopfyld
Forundersøgelse af Østlig
Ringvej
Forundersøgelse af
metrobetjening
VVM og Anlægslov
Anlægslov for jordopfyld, der
efterfølgende igangsættes
VVM-undersøgelse af Østlig
Ringvej og herefter anlægslov
VVM-undersøgelse af metro-
betjening og herefter anlægslov
Anlægsfase
Fortsat jordopfyld (Lynetteholm)
Udbud, projektering og anlæg af
Østlig Ringvej
Udbud, projektering og anlæg af
metrobetjening
52
TRU, Alm.del - 2019-20 - Bilag 442: Orientering om resultater af forundersøgelse af Østlig Ringvej og Lynetteholm, fra transportministeren
2233993_0053.png
Proces og tidsplan
Forundersøgelsen af metro til Lynetteholm
og en beslutning om etablering af anlægget
er tæt knyttet til en række andre undersø-
gelse, herunder VVM-undersøgelse af jord-
opfyld og forundersøgelse af Østlig Ringvej.
Processen for etablering af Lynetteholm
blev præsenteret i forbindelse med prin-
cipaftalen om anlæg af Lynetteholm fra ok-
tober 2018 jf. figur 30.
Efter politisk behandling af forundersø-
gelsen af metro til Lynetteholm og de øv-
rige undersøgelser, vil der i den næste fase
skulle udarbejdes en VVM-redegørelse.
VVM står for Vurdering af Virkninger på
Miljøet.
En del af grundlaget for gennemførelsen af
VVM-redegørelsen vil almindeligvis være
et udarbejdet dispositionsforslag, påbe-
gyndt udbudsprojektering og geotekniske
undersøgelser, som gennemføres parallelt
med udarbejdelse af VVM-redegørelsen.
Disse opgaver kræver gennemførelse af
rådgiverudbud.
Det vil skulle indgå i tilrettelæggelsen og i
indholdet af forløbet, i hvilken rækkefølge
Østlig Ringvej, Lynetteholm og metropro-
jektet besluttes gennemført, således at
anlægsarbejdernes gennemførelse dels på
bedst mulig måde kan bidrage til hensigts-
mæssige forhold ved anlæg af de øvrige
projekter og dels kan nyttiggøre hidtidige
erfaringer med gennemførte projekter og
kontraktstrukturer.
En række af de centrale forhold, som i forun-
dersøgelsen kun er overordnet berørt eller
ikke detaljeret udredt, vil få en central pla-
cering i VVM-redegørelsen. Det drejer sig
eksempelvis om naboer til byggepladser og
støj i den forbindelse. Ligeledes drejer det
sig om trafikafvikling, tunnelarbejdsplad-
ser og jordkørsel. Placering af skakte, det vil
sige arbejdspladser og anlæg, hvor der ikke
efterfølgende etableres en station, er også
vigtige i forhold i eks. nabokommunikation.
Derudover indgår der som standard i VVM-
redegørelsen en lang række undersøgel-
ser om naturpåvirkning, luftforurening og
klima, arkæologi, vibrationer, grundvand
mm. I denne fase vil grænseflader til øv-
rige projekter som Østlig Ringvej og Nord-
havnstunnellen skulle afklares, ligesom
grænseflader til andre større forsynings-
anlæg, eks. HOFOR’s anlæg og ledninger,
vil skulle afklares.
2035-2070
Jordopfyld og byudvikling
Fortsat jordopfyld
Byudvikling mv.
53
TRU, Alm.del - 2019-20 - Bilag 442: Orientering om resultater af forundersøgelse af Østlig Ringvej og Lynetteholm, fra transportministeren
2233993_0054.png
TRU, Alm.del - 2019-20 - Bilag 442: Orientering om resultater af forundersøgelse af Østlig Ringvej og Lynetteholm, fra transportministeren
2233993_0055.png
TRU, Alm.del - 2019-20 - Bilag 442: Orientering om resultater af forundersøgelse af Østlig Ringvej og Lynetteholm, fra transportministeren
2233993_0056.png
Øvrige tabeller og figurer
8. Øvrige tabeller
og figurer
– og referencer til videre læsning
Fig. 31
Antal nye mål - Blå linje M4
Stationsnærhed i 2035
Prikkort
100 borgere
100 studiepladser
100 arbejdspladser
56
TRU, Alm.del - 2019-20 - Bilag 442: Orientering om resultater af forundersøgelse af Østlig Ringvej og Lynetteholm, fra transportministeren
2233993_0057.png
Øvrige tabeller og figurer
I dette afsnit præsenteres en række tabeller
og figurer, der primært viser forhold knyttet
til bidrag til byudvikling og mobilitet, eller
på anden vis er knyttet til forundersøgelsen.
De fleste tabeller og figurer, ligesom de øv-
rige tabeller og figurer i denne resumérap-
port, kan genfindes i den samlede udred-
ningsrapport (dokumentationsrapport) for
forundersøgelsen.
Til udredningsrapporten er der knyttet en
lang række tekniske tegninger samt selv-
stændige bilag og rapporter. De selvstændige
rapporter indeholder bl.a. en samfundsøko-
nomisk analyse samt en bystrategisk kort-
lægning. En samlet oversigt over tekniske
tegninger, selvstændige bilag og rapporter
fremgår af udredningsrapporten.
Fig. 32
Antal nye mål - Lilla linje M5
Stationsnærhed i 2035
Prikkort
100 borgere
100 studiepladser
100 arbejdspladser
57
TRU, Alm.del - 2019-20 - Bilag 442: Orientering om resultater af forundersøgelse af Østlig Ringvej og Lynetteholm, fra transportministeren
2233993_0058.png
Øvrige tabeller og figurer
Tabel. 2
Antal nye mål der betjenes*
(beboere, arbejdspladser, studiepladser,
der bliver stationsnære i 2035)
Blå linje M4**
Lilla linje M5
Orange linje M5 Vest
Beboere
Arbejdspladser
Studiepladser
Samlet
16.000
10.200
1.000
27.200
14.600
10.400
1.500
26.500
33.400
28.700
16.300
78.400
* Nye mål er opgjort som forskellen mellem stationsnære mål i hhv. basisscenarie og projektscenarie
** M4 dækker nye mål i Nordhavn, som for M5 og M5 Vest allerede er dækket i deres basisscenarie.
Fig. 33
Antal nye mål
- Orange linje M5 Vest
Stationsnærhed i 2035
Prikkort
100 borgere
100 studiepladser
100 arbejdspladser
58
TRU, Alm.del - 2019-20 - Bilag 442: Orientering om resultater af forundersøgelse af Østlig Ringvej og Lynetteholm, fra transportministeren
2233993_0059.png
Øvrige tabeller og figurer
Basisscenariet
Hovedscenarie Blå linje M4
– forskel fra basisscenarie
Østerbro
3.000
Nørrebro
3.000
Nordhavn
5.100
Nørrebro
0
Østerbro
0
Nordhavn
-2.900
Centrum
Frederiksberg
15.000
Lynetteholm/
Refshaleøen
0
Frederiksberg
0
Centrum
Lynetteholm/
Refshaleøen
+2.900
Vesterbro/SV
8.800
Amager
6.000
Vesterbro/SV
0
Amager
0
Hovedscenarie Lilla linje M5
– forskel fra basisscenarie
Hovedscenarie Orange linje M5 Vest
– forskel fra basisscenarie
Østerbro
0
Nørrebro
0
Nordhavn
0
Nørrebro
+8.000
Østerbro
+8.000
Nordhavn
0
Centrum
Frederiksberg
0
Lynetteholm/
Refshaleøen
+24.000
Frederiksberg
+8.000
Centrum
Lynetteholm/
Refshaleøen
+12.000
Vesterbro/SV
0
Amager
+24.000
Vesterbro/SV
0
Amager
+12.000
Fig. 34 Kapacitetspotentiale
Der beregnes kapacitet fra bydele til centrum. Centrum udgøres af stationerne
Østerport, Kgs. Nytorv og København H.
Overordnet beregnes hvor mange som kan transporteres fra en bydel til én af de
tre stationer (uden skift) på én time. For alle linjer er taget udgangspunkt i højeste
frekvens som er vurderet mulig. Frekvens er omregnet til kapacitet per time ud
fra at der kan være 300 passagerer i et metrotog.
59
TRU, Alm.del - 2019-20 - Bilag 442: Orientering om resultater af forundersøgelse af Østlig Ringvej og Lynetteholm, fra transportministeren
2233993_0060.png
Fig. 35
Kortlægning af byfunktioner i 2020
Kortlægning af byfunktioner i 2020. Kortet viser de byfunktioner, som
i 2020 kan findes langs de undersøgte linjeføringer. Det fremgår bl.a.
af kortet, at M5 Vest betjener en række funktioner omkring Indre
Nørrebro samt Rigshospitalet, som ikke betjenes af de andre linjer.
Som anført ovenfor er der udarbejdet en selvstændig rapport med
bystrategisk kortlægning af de bydele, som linjerne betjener.
Nordhavn
Lynetteholm
Rigshospitalet og
Nørre Campus
Refshaløen
Indre
Nørrebro
Østerport
Forum
kvarteret
Indre Vesterbro
Kløvermarks
kvarteret
Njalsgadekvarteret
Amagerbro
Universiteter
Gymnasier
Skoler
Svømmehal
Havnebad
Biblioteker
Kulturhuse
Sygehus
Idrætsfaciliteter
Udsatte boligområder
Byudviklingsområder
Perspektivområder
Detailhandel
Bykvarterer
TRU, Alm.del - 2019-20 - Bilag 442: Orientering om resultater af forundersøgelse af Østlig Ringvej og Lynetteholm, fra transportministeren
2233993_0061.png
Øvrige tabeller og figurer
Tabel 3
Robusthed
Tabellen viser hovedforslagenes forbindelse til anden
højklasset trafik samt forbindelse over havnen og antal
adgangsveje med metro til Lynetteholm.
Blå linje M4
Lilla linje M5
Orange linje
M5 Vest
2
2
5
2
1
Østerport,
Forum,
København H,
Islands Brygge,
Amagerbro
Nye skiftepunkter, S-tog
Nye skiftepunkter,
Regionaltog
Nye skiftepunkter, Metro
Nye forbindelser over
havnen
Veje ud af Lynetteholm
Knudepunkter på linje
direkte fra Lynetteholm
0
0
0
1
1
Nordhavn,
Østerport,
København H,
Ny Ellebjerg
2
2
4
2
2
Østerport,
Amagerbro,
Islands Brygge,
København H
Tabel 4
Forudsætninger for
trafikmodelberegninger
– i byudviklingsområder i 2070 (2035++).
Der er ens byplansforudsætninger
for alle linjeføringer.
Bydel
Beboere
Arbejdspladser
Lynetteholm
Refshaleøen
Kløverparken
I alt Østhavnen
(Lynetteholm, Refshaleøen og Kløverparken)
Nordhavn
Ørestad
35.000
23.000
8.000
66.000
33.600
33.000
35.000
13.500
5.800
54.300
21.300
30.200
Tabel 5
Review Board
Metroselskabets og Hovedstadens Letbanes Review Board
Otto Anker Nielsen
Jens Kvorning
Niels Buus Kristensen
Peter Hartoft-Nielsen
Harry Lahrmann
Per Homann Jespersen
Ole B. Jensen
DTU
Kunstakademiets Arkitektskole
Transportøkonomisk Institut i Oslo
Aalborg Universitet, København
Aalborg Universitet
Roskilde Universitet
Aalborg Universitet
61
TRU, Alm.del - 2019-20 - Bilag 442: Orientering om resultater af forundersøgelse af Østlig Ringvej og Lynetteholm, fra transportministeren
2233993_0062.png
TRU, Alm.del - 2019-20 - Bilag 442: Orientering om resultater af forundersøgelse af Østlig Ringvej og Lynetteholm, fra transportministeren
2233993_0063.png
TRU, Alm.del - 2019-20 - Bilag 442: Orientering om resultater af forundersøgelse af Østlig Ringvej og Lynetteholm, fra transportministeren
2233993_0064.png