Sundheds- og Ældreudvalget 2019-20
SUU Alm.del Bilag 69
Offentligt
2103730_0001.png
DANSK PSYKOLOG FORENINGS
UNDERSØGELSE AF
SPECIALPSYKOLOG-
UDDANNELSEN 2017
Rapport til Danske Regioners Psykiatri- og Socialudvalg 2017
SUU, Alm.del - 2019-20 - Bilag 69: Henvendelse af 7/11-19 fra Dansk Psykolog Forening vedr. opfølgning på foretræde om behandlingsansvar for specialpsykologer i psykiatrien
2103730_0002.png
Indhold
Sammenfatning og perspektiver ................................................................................................... 3
Baggrund og formål med undersøgelsen ...................................................................................... 3
Resumé af undersøgelsen ............................................................................................................. 3
Specialpsykologer i tal og rekrutteringspotentiale ....................................................................... 6
Specialpsykologer ......................................................................................................................... 7
Respondenter ................................................................................................................................ 7
Er specialpsykologerne færdiguddannede eller under uddannelse? ............................................. 7
Motivationen for at søge uddannelsesstillingen som specialpsykolog ......................................... 8
Overensstemmelse mellem positive forventninger og erfaringer ................................................. 9
Kendskab til specialpsykologuddannelsen blandt andre faggrupper .......................................... 12
Vigtige forhold for at fastholde psykologen som specialpsykolog i psykiatrien........................ 13
Forhold der spiller ind på overvejelser om at opsige specialpsykologstillingen, fravælge
psykiatrien efter endt uddannelse eller ikke at færdiggøre specialpsykologuddannelsen .......... 17
Oplevelser i forhold til varetagelse af ansvar og opgaver .......................................................... 19
Oplevelser med at få sat spørgsmålstegn ved sine beføjelser som specialpsykolog eller SPU .. 21
Fik specialpsykologerne tilbudt job indenfor egen region efter endt uddannelse? Hvor tilfredse
er de med arbejdet som specialpsykolog, og ville de anbefale uddannelsen til andre? .............. 24
Tilfredshed med arbejdet som specialpsykolog .......................................................................... 25
Anbefaling af specialpsykologuddannelsen ............................................................................... 25
De nyuddannede psykologer....................................................................................................... 27
Respondenter .............................................................................................................................. 27
Interesse i specialpsykologuddannelsen ..................................................................................... 27
Integration af specialpsykologuddannelsen i autorisation .......................................................... 27
Autoriserede psykologer i psykiatrien ........................................................................................ 30
Respondenter .............................................................................................................................. 30
Resultater .................................................................................................................................... 30
Positive og negative forhold ved uddannelse og arbejdet .......................................................... 32
1
SUU, Alm.del - 2019-20 - Bilag 69: Henvendelse af 7/11-19 fra Dansk Psykolog Forening vedr. opfølgning på foretræde om behandlingsansvar for specialpsykologer i psykiatrien
2103730_0003.png
Specialpsykologer udgør et uudnyttet potentiale i psykiatrien
Specialpsykologer er kvalificerede til at varetage ledelsesansvar, udrede, diagnosticere og
være behandlingsansvarlige. Der er lovhjemmel for, at de kan varetage funktionerne, og 79
procent af specialpsykologerne er motiveret af at få flere beføjelser og mere ansvar.
Specialpsykologernes kompetencer og beføjelser bliver dog på nuværende tidspunkt ikke
udnyttet til fulde, hvilket blandt andet skyldes lokale bespænd i form af retningslinjer, en
ekskluderende kultur, manglende opbakning fra ledelsen og for lidt viden om specialpsyko-
logernes kvalifikationer i psykiatrien.
o
Denne undersøgelse viser, at 44 procent af specialpsykologerne mener, at kollegaer
af andre faggrupper har intet eller et meget begrænset kendskab til specialpsykolog-
uddannelsen og de medfølgende kompetencer.
o
42 procent af specialpsykologerne har oplevet, at samarbejdspartnere har sat spørgs-
målstegn ved deres beføjelser.
o
40 procent føler ikke, at de juridiske rammer er på plads i forhold til behandlingsan-
svar, specialpsykologer som sundhedspersoner mv.
For at forløse specialpsykologernes potentiale til fulde, er der således behov for et større
kendskab til specialpsykologernes kompetencer og beføjelser, en administrativ og politisk
tydelig ledelse, udmelding og handling på området samt opdatering af lokale retningslinjer.
Rekrutteringspotentialet er stort, hvorfor specialpsykologer også i fremtiden vil være i stand
til at afhjælpe manglen på psykiatere og forbedre psykiatrien. Undersøgelsen viser, at 54
procent af de nyuddannede er interesseret i specialpsykologuddannelsen, og dette stiger til
64 procent, såfremt der bliver mulighed for at integrere specialpsykologuddannelsen med
autorisationen.
2
SUU, Alm.del - 2019-20 - Bilag 69: Henvendelse af 7/11-19 fra Dansk Psykolog Forening vedr. opfølgning på foretræde om behandlingsansvar for specialpsykologer i psykiatrien
2103730_0004.png
Sammenfatning og perspektiver
Baggrund og formål med undersøgelsen
Nærværende rapport er et uddrag af de undersøgelser som Dansk Psykolog Forening har gennemført
blandt sine medlemmer om specialpsykologuddannelsen. Bekendtgørelsen om specialuddannelsen af
psykologer i psykiatrien trådte i kraft pr. 1. december 2010, og den har således været gældende i 6 år.
De første psykologer, der har gennemført uddannelsen, er færdige, og det er derfor vigtigt at indhente
de gjorte erfaringerne for at opnå viden om uddannelsen og arbejdet som specialpsykolog. Den viden
vil gøre det muligt at blive klogere på, hvilke områder det er vigtige at ændre og forbedre i forhold
til rammer og indhold i specialpsykologernes uddannelse og arbejde. Formålet med undersøgelsen er
endvidere at afdække, hvor ressourcer kan optimeres og forhold forbedres i psykiatrien generelt - og
særligt i forhold til specialpsykologernes kompetencer og beføjelser.
På baggrund af dette har Dansk Psykolog Forening gennemført tre undersøgelser af specialpsykolog-
uddannelsen blandt foreningens medlemmer i februar 2017.
De tre undersøgelser omfatter følgende grupper:
1) Specialpsykologer under uddannelse, specialpsykologer og meritoverførte specialpsykologer.
Undersøgelsen har fokus på deres erfaringerne med uddannelsen og arbejdet som special-
psykolog.
2) De nyuddannede psykologer og deres kendskab til og motivation for at søge en specialpsyko-
loguddannelse. Fokus er særligt på rekrutteringspotentialet.
3) Autoriserede psykologer beskæftiget i psykiatrien. Der er fokus på deres kendskab til speci-
alpsykologuddannelsen og motivation eller mangel på samme for at søge en specialpsykolog-
uddannelse.
Resumé af undersøgelsen
I dette afsnit vil de mest centrale konklusioner i de tre undersøgelser blive præsenteret.
Specialpsykologerne og meritspecialpsykologerne
Specialpsykologerne blev i undersøgelsen spurgt ind til, hvad der motiverede dem til at søge uddan-
nelsen. Den vigtigste motivationsfaktor viste sig at være muligheden for flere beføjelser og ansvar
blandt andet i forhold til behandlingstilrettelæggelse og diagnosticering. Hele 79 procent af respon-
denterne svarede, at de fandt dette forhold motiverende, mens 78 procent blev motiveret af, at ar-
bejdsområdet interesserede dem. Færrest respondenter svarede, at god ledelse og godt kollegialt sam-
arbejde var motivationsfaktorer i deres valg af uddannelsen
kun 3 procent af respondenterne valgte
en af/begge disse kategorier.
Dette resultat er centralt, da en lang række af de adspurgte specialpsykologer oplever, at samarbejdet
med kollegaer og ledelse ikke er optimalt. Specialpsykologerne oplever et ekskluderende og konflikt-
fyldt arbejdsmiljø, hvor de ofte bliver underkendt af lægerne. Specialpsykologerne møder hyppigt
3
SUU, Alm.del - 2019-20 - Bilag 69: Henvendelse af 7/11-19 fra Dansk Psykolog Forening vedr. opfølgning på foretræde om behandlingsansvar for specialpsykologer i psykiatrien
modstand fra læger og ledelse, og de oplever, at de skal kæmpe for muligheden for at anvende deres
kompetencer og viden som specialpsykolog. De beskriver, at de beføjelser og det ansvar, de får, er
afhængig af den enkelte læges goodwill, og mange oplever endvidere, at der bliver spredt usandheder
om beføjelser og ansvarsfordeling. Hermed opstår der et uligeværdigt samarbejde, hvilket belaster
arbejdsmiljøet og det tværfaglige samarbejde.
Denne tendens til at specialpsykologernes kompetencer bliver underkendt var at finde flere steder i
undersøgelsen. 42 procent af specialpsykologerne har erfaret, at samarbejdspartnere har sat spørgs-
målstegn ved deres beføjelser som specialpsykologer i forhold til diagnosticering, underskrivelse af
epikriser, udarbejdelse af behandlingsplaner og varetagelse af behandlingsansvar. Indbygget i dette
spørgsmålstegn ligger en forvirring om, hvorvidt specialpsykologer er sundhedspersoner.
Den manglende viden fra specialpsykologernes kollegaer om deres beføjelser kan hænge sammen
med, at der generelt er et informationsunderskud om specialpsykologuddannelsen og de opnåede
kompetencer og beføjelser blandt de andre ansatte i psykiatrien. Undersøgelsen viste, at 44 procent
af specialpsykologerne har oplevet, at deres kollegaer af andre faggrupper har intet eller et meget
begrænset kendskab til specialpsykologuddannelsen. Dette informationsunderskud tydeliggør, at der
er behov for yderligere kommunikation om specialpsykologer og deres kompetencer
dette også fra
lederne på de enkelte afdelinger og klinikker.
Ud over manglende viden fra andre faggrupper oplever specialpsykologerne dog også, at der er
uklarhed om de juridiske rammer for deres arbejde som specialpsykologer. Dette gælder både i for-
hold til behandlingsansvar, psykologen som sundhedsperson og muligheden for selvstændigt at
stille diagnoser. Hele 40 procent af de adspurgte specialpsykologer udtrykker, at de ikke føler, at de
juridiske rammer er helt på plads.
Det er yderst centralt at være opmærksom på disse forhold, da specialpsykologerne bl.a. angiver an-
erkendelse og opbakning fra ledelse og et godt arbejdsmiljø som meget vigtige i forhold til at fast-
holde dem i psykiatrien. Omvendt er disse faktorer også nævnt som meget centrale i et eventuelt
fravalg af psykiatrien som arbejdsplads for specialpsykologerne.
Det juridiske grundlag
På baggrund af disse hovedresultater fra undersøgelsen er det derfor vigtigt at slå en række ting fast
omkring specialpsykologernes kompetencer og beføjelser.
Undersøgelsen viser, at både specialpsykologerne selv og deres kollegaer er i tvivl om, hvorvidt spe-
cialpsykologerne kan betragtes som sundhedspersoner. De generelle krav til sundhedsvæsnet fastsæt-
tes i sundhedsloven, og her fremgår det, at sundhedspersoner er:
”Personer,
der er autoriserede i
henhold til særlig lovgivning til at varetage sundhedsfaglige opgaver og personer, der handler på
disses ansvar”.
Autoriserede psykologer - og dermed også specialpsykologer - ansat på offentlige
sygehuse er således sundhedspersoner i sundhedslovens forstand. Det er væsentligt at udrydde denne
4
SUU, Alm.del - 2019-20 - Bilag 69: Henvendelse af 7/11-19 fra Dansk Psykolog Forening vedr. opfølgning på foretræde om behandlingsansvar for specialpsykologer i psykiatrien
2103730_0006.png
tvivl om, hvorvidt specialpsykologer er sundhedspersoner, blandt både ledere, læger og psykologerne
selv.
Også i forhold til udredning, diagnosticering og behandlingsansvar må det nævnes, at det ikke er
lovgivningen, der står i vejen for, at specialpsykologerne påtager sig flere af disse arbejdsopgaver,
men derimod kulturen i praksis. Det må altså understreges, at der i sundhedsvæsenet ikke er noget
lovgivningsmæssigt, der indebærer, at det skal være læger, der er behandlingsansvarlige. Al behand-
ling både ambulant og på døgnafsnit kan varetages af kompetente sundhedspersoner, som specialpsy-
kologer i psykiatrien er.
Der er dog fortsat en række opgaver og ansvar, specialpsykologerne ikke har bemyndigelse til; me-
dicinering, ordinering af tvang og visse retspsykiatriske opgaver. Der er således på nuværende tids-
punkt ikke lovhjemmel til, at specialpsykologer kan ordinere medicin, men specialpsykologen kan på
delegation fra lægen varetage medicinsk behandling. Dette betyder eksempelvis, at specialpsykolo-
gen kan varetage behandling med et lægemiddel inden for den ramme, der er beskrevet ved lægens
ordination. Derudover kan der være aftalt en ramme, inden for hvilken specialpsykologen selv kan
justere den medicinske behandling. Specialpsykologer har aktuelt heller ikke bemyndigelse til at or-
dinere tvang eller have behandlingsansvar for patienter der har dom til behandling.
En lang række respondenter har i vores undersøgelse udtrykt ønsker om at få flere ledelsesbeføjelser,
og desuden beskrevet, at de på nuværende tidspunkt føler en modstand fra kollegaer imod dette. Lov-
grundlaget giver specialpsykologer mulighed for at varetage ledelsesfunktioner på linje med andre
faggrupper ift. både personale- og driftsmæssig ledelse. Specialpsykologerne opnår gennem special-
psykologuddannelsen kompetencer inden for ledelse
1
. Der er således ikke noget juridisk til hindre
for, at specialpsykologerne kan få yderligere ledelseskompetencer i psykiatrien.
Fremtidige arbejde
Til trods for et relativt klart lovgrundlag og tydelige beskrivelser af specialpsykologernes kompeten-
cer i forhold til at være sundhedspersoner, der kan varetage behandlingsansvar, udrede og diagnosti-
cere, og derudover agere som ledere på en psykiatrisk afdeling, er det fortsat tvivl om deres kompe-
tencer og beføjelser blandt ansatte og ledere i psykiatrien. Dansk Psykolog Forening vil arbejde for
at udrydde informationsunderskuddet og tvivlen blandt andet ved at udbrede resultaterne af denne
undersøgelse og lave en pjece om specialpsykologerne og deres kompetencer og beføjelser. Forenin-
gen håber dog, at Danske Regioner og de enkelte psykiatriske afdelinger vil hjælpe i dette arbejde.
Dette er nemlig nødvendigt for at udnytte det fulde potentiale af specialpsykologerne i psykiatrien og
dermed samtidigt afhjælpe manglen på psykiatere.
1
Se målbeskrivelse for uddannelse af specialpsykologer i psykiatri: http://www.specialpsykologuddannelsen.dk/siteas-
sets/2.-om-uddannelsen/malbeskrivelser/malbeskrivelse-for-specialpsykologuddannelsen-i-psykiatri-godkendt-
220311.pdf
5
SUU, Alm.del - 2019-20 - Bilag 69: Henvendelse af 7/11-19 fra Dansk Psykolog Forening vedr. opfølgning på foretræde om behandlingsansvar for specialpsykologer i psykiatrien
Specialpsykologer i tal og rekrutteringspotentiale
Den 1. august 2016 var der i alt 142 færdiguddannede specialpsykologer. 73 af disse er uddannet i
voksenpsykiatrien, heraf er 8 uddannet på et ordinært forløb. 69 er uddannet i børne- og ungdoms-
psykiatri, heraf 9 på et ordinært forløb.
På nuværende tidspunkt er 95 specialpsykologer ansat i de 5 regioner. Specialpsykologernes ansæt-
telse i regionerne fordeler sig således: 8 i Region Sjælland, 10 i Region Nordjylland, 18 i Region
Hovedstaden, 22 i Region Midtjylland og 38 i Region Syddanmark. Dansk Psykolog Forening har på
nuværende tidspunkt ikke tal på, hvorvidt disse specialpsykologer er ansat i vokenpsykiatri eller
børne- og ungdomspsykiatri.
Dansk Psykolog Forenings sekretariats estimat er, at der ved årsskiftet 2016/2017 var 160 special-
psykologer i alt. Heraf er 85 specialpsykologer formentlig i voksenpsykiatri, mens der forventes at
være 75 specialpsykologer i børne- og ungdomspsykiatri.
Hvert år bliver ca. 35 færdige med specialpsykologuddannelsen, hvoraf 23-27 uddannes i voksenpsy-
kiatri og 14-16 uddannes i børne- og ungdomspsykiatri. Der er med andre ord en årlig vækst på 35
specialpsykologer per år. Denne vækst vil føre til ca. 300-400 specialpsykologer om 10 år.
Undersøgelserne af de nyuddannede psykologer og autoriserede psykologer i psykiatrien viser, at der
er et stort rekrutteringspotentiale i forhold til specialpsykologuddannelsen. 54 procent af de nyuddan-
nede er interesseret i en uddannelse som specialpsykolog, mens hele 64 procent ville være interesse-
ret, hvis de havde mulighed for at integrere uddannelsen med deres autorisation. Hos de autoriserede
psykologer i psykiatrien er interessen for uddannelsen lidt lavere, da kun 21 procent af disse ønsker
en uddannelsesstilling i psykiatrien. Undersøgelsen viser dog, at det manglende ønske om en uddan-
nelse som specialpsykolog, primært skal findes i, at mange af de autoriserede psykologer har en anden
specialistuddannelse, primært ønsker at lave psykoterapi, ikke ønsker et jobskifte eller finder psyki-
atrien for at være en uattraktiv arbejdsplads.
For at både de kommende og nuværende specialpsykologers potentialer og kompetencer kan udnyttes
optimalt er der altså behov for at blive gjort op med den ekskluderende og ineffektive kultur, som
vores undersøgelse tegner et tydeligt billede af. Vi bør se på hvordan der kan skabes klare rammer og
tydelige politiske såvel som lokale instrukser omkring ledelse og anvendelse af flerfagligheder, der
gør det muligt at optimere udnyttelsen af ressourcer og de specialiserede kompetencer og viden i
opgavevaretagelsen i psykiatrien.
I Dansk Psykolog Forening er vi i gang med forberedelserne til OK18 (overenskomstforhandlingerne
mellem Dansk Psykolog Forening og Regionernes Løn og Takst nævn). Her foreslår vi at lønmodta-
ger og arbejdsgiver sammen laver et OK projekt der har fokus på rekruttering af psykologer til psy-
kiatrien. Der er en positiv vækst i psykologstanden i disse år og med den rigtige indsats vil det kunne
lykkes at rekruttere de nødvendige psykologer til hele landet. Et projekt kunne tage udgangspunkt i
hver enkelt regions udfordringer på området samt de landsdækkende tendenser der er ens. Projektet
6
SUU, Alm.del - 2019-20 - Bilag 69: Henvendelse af 7/11-19 fra Dansk Psykolog Forening vedr. opfølgning på foretræde om behandlingsansvar for specialpsykologer i psykiatrien
2103730_0008.png
skal handle om rekruttering til uddannelsesstillingerne samt have fokus på de nyuddannede der skal
autoriseres i psykiatrien. Dansk Psykolog Foreningen vil frem til OK18 forhandlingerne indledes i
januar 2018, mødes med de 5 regioner og sekretariatet i Danske Regioner for at folde projektet og
idéen bag mere ud.
Specialpsykologer
En af de tre undersøgelser af specialpsykologuddannelsen tog udgangspunkt i de færdiguddannede
specialpsykologer, specialpsykologerne under uddannelse
(SPU’er),
og meritspecialpsykologerne,
som er under uddannelse eller færdiguddannede. Denne undersøgelse havde særligt til formål at un-
dersøge erfaringerne med uddannelsen og arbejdet som specialpsykolog.
Respondenter
Undersøgelsen af specialpsykologuddannelsen blev udsendt til i alt 147 medlemmer, som står regi-
streret som
SPU’er, specialpsykologer
eller merit-specialpsykologer i Dansk Psykolog Forenings
medlemssystem. Ud af disse besvarede i alt 51 respondenter undersøgelsen, hvilket giver en gennem-
førselssvarprocent på 35 procent. 8 procent, svarende til 12 respondenter, angav en delvis besvarelse
på undersøgelsen. Da undersøgelsens respondentgrundlag er begrænset, er de 12 delvise besvarelser
inkluderet i analysen, og undersøgelsens samlede respondentgrundlag er derfor 63 respondenter, hvil-
ket svarer til en svarprocent 43 procent.
Er specialpsykologerne færdiguddannede eller under uddannelse?
Respondenterne blev bedt om at angive, om de var specialpsykologer, specialpsykologer under ud-
dannelse eller meritspecialpsykologer.
Tabel 2.1: Hvilken psykologgruppe tilhører du?
100%
80%
60%
40%
20%
0%
49%
10%
Specialpsykolog under uddannelse
(ordinært forløb)
Færdiguddannet specialpsykolog
(ordinært forløb)
Meritspecialpsykolog under
uddannelse/færdiguddannet
meritspecialpsykolog
41%
Det fremgår af tabel 2.1, at ud af de 63 respondenter, som har besvaret spørgsmålet, er 49 procent
svarende til 31 respondenter meritspecialpsykologer under uddannelse eller færdiguddannede me-
ritspecialpsykologer. 41 procent svarende til 26 respondenter er specialpsykologer under uddannelse
(ordinært forløb), og 10 procent svarende til 26 respondenter er færdiguddannede specialpsykologer
(ordinært forløb).
7
SUU, Alm.del - 2019-20 - Bilag 69: Henvendelse af 7/11-19 fra Dansk Psykolog Forening vedr. opfølgning på foretræde om behandlingsansvar for specialpsykologer i psykiatrien
2103730_0009.png
Motivationen for at søge uddannelsesstillingen som specialpsykolog
Respondenterne blev bedt om at angive, hvad der motiverede dem til at søge uddannelsesstillingen.
Respondenterne havde her mulighed for at vælge flere svarkategorier.
Tabel 2.2: Tænk tilbage på dengang, du søgte din uddannelsesstilling. Hvad var det, som moti-
verede dig til at søge uddannelsesstillingen? OBS. Respondenterne havde mulighed for at vælge
flere svarkategorier.
Muligheden for at få flere beføjelser og større ansvar (fx
større indflydelse på behandlingstilrettelæggelse og
diagnosticering)
Arbejdet/arbejdsområdet interesserede mig
79%
78%
Muligheden for at få en betalt videreuddannelse
59%
Løn
Jeg havde hørt godt om specialpsykologuddannelsen
og/eller arbejdsforholdene
Andet
43%
22%
17%
Muligheden for at arbejde med andre faggrupper
10%
Godt arbejdsmiljø/gode forhold
5%
Geografisk afstand mellem hjem og arbejde
5%
God ledelse
3%
Godt kollegialt samarbejde
3%
0% 10% 20% 30% 40% 50% 60% 70% 80% 90% 100%
Tabel 2.2 viser, at ud af de i alt 63 respondenter, som svarede på spørgsmålet, angav størstedelen,
nemlig 79 og 78 procent svarende til 50 og 49 respondenter, at hhv. muligheden for at få flere befø-
jelser og større ansvar (fx større indflydelse på behandlingstilrettelæggelse og diagnosticering) og
det, at arbejdet eller arbejdsområdet interesserede dem, motiverede dem til at søge uddannelsesstil-
lingen. 59 procent svarende til 37 respondenter angav, at muligheden for at få betalt videreuddannelse
motiverede dem til at søge uddannelsestillingen. 43 procent svarende til 27 respondenter angav, at
muligheden for at få betalt videreuddannelse motiverede dem til at søge uddannelsestillingen. 22
8
SUU, Alm.del - 2019-20 - Bilag 69: Henvendelse af 7/11-19 fra Dansk Psykolog Forening vedr. opfølgning på foretræde om behandlingsansvar for specialpsykologer i psykiatrien
2103730_0010.png
procent svarende til 14 respondenter angav, at det, at de havde hørt godt om specialpsykologuddan-
nelsen og/eller arbejdsforholdene, motiverede dem til at søge uddannelsestillingen. 10 procent sva-
rende til 6 respondenter angav, at muligheden for at arbejde med andre faggrupper motiverede dem
til at søge uddannelsestillingen.
Kun få nævnte godt kollegialt samarbejde, god ledelse, geografisk afstand mellem hjem og arbejde
og godt arbejdsmiljø/gode arbejdsforhold, som motivationen bag, at de søgte uddannelsesstillingen.
5 procent svarende til 3 respondenter angav, at det var godt arbejdsmiljø/gode forhold, der motiverede
dem til at søge uddannelsestillingen. 5 procent svarende til 3 respondenter angav, at det var den geo-
grafiske afstand mellem hjem og arbejde, der motiverede dem til at søge uddannelsestillingen. 3 pro-
cent svarende til 2 respondenter angav, at det var god ledelse, der motiverede dem til at søge uddan-
nelsestillingen. 3 procent svarende til 2 respondenter angav, at et godt kollegialt samarbejde motive-
rede dem til at søge uddannelsestillingen.
En række respondenter svarede, at det var noget andet, som motiverede dem til at søge uddannelse-
stillingen. Nogle af disse forklarerede deres svar med, at de ikke har søgt en uddannelsesstilling, men
i stedet er blevet meritgodkendt. En række af de andre respondenters udsagn fremstilles nedenfor.
Motivation for at søge en uddannelsesstilling
”Muligheden
for at bruge specialpsykologuddannelsen i andet regi”
”Min
chef anbefalede det, da jeg opfyldte kriterierne”
”Det
gav en konkret arbejdsmulighed i min organisation”
”Evaluering
i uddannelsen, så det bliver mere uddannelse og ikke blot kurser, som skal
gennemføres.”
”Jeg
søgte merit, fordi det som chefpsykolog er vigtigt at kunne fungere som uddannelsesansvarlig
specialpsykolog”
Overensstemmelse mellem positive forventninger og erfaringer
Respondenterne blev bedt om at vurdere, i hvor høj grad deres positive forventninger, som de i sin
tid havde til uddannelsen og arbejdet som specialpsykolog, stemmer overens med deres erfaringer fra
uddannelsen og arbejdet som specialpsykolog. Respondenterne blev bedt om at vurdere overensstem-
melsen på en skala fra 1
til 5, hvor 1 er ”i meget lav grad”, 2 er ”i lav grad”, 3 er ”hverken/eller”, 4
er ”i høj grad” og 5 er ”i meget høj grad”.
9
SUU, Alm.del - 2019-20 - Bilag 69: Henvendelse af 7/11-19 fra Dansk Psykolog Forening vedr. opfølgning på foretræde om behandlingsansvar for specialpsykologer i psykiatrien
2103730_0011.png
Tabel 2.2.1: I hvor høj grad stemmer dine erfaringer overens med de positive forventninger, du
i sin tid havde til uddannelsen og arbejdet?
100%
80%
60%
40%
20%
0%
1
2
3
4
5
5%
11%
27%
33%
24%
Tabel 2.2.1 viser, at ud af de 63 respondenter angav størstedelen på 57 procent svarende til 36 re-
spondenter, at deres erfaringer som specialpsykolog eller SPU i høj grad eller i meget høj grad stem-
mer overens med de positive forventninger, som respondenterne i sin tid havde til både uddannelsen
og arbejdet. En langt mindre andel på 16 procent svarende til 10 respondenter angav, at deres erfa-
ringer i meget lav grad eller lav grad stemmer overens med de positive forventninger, som de i sin tid
havde til uddannelsen og arbejdet som specialpsykolog eller SPU. 27 procent svarende til 17 respon-
denter ligger sig i midten og vurderer overensstemmelsen mellem deres positive forventninger til og
erfaringer fra uddannelsen og arbejdet som specialpsykolog til at være 3.
I den følgende tabel 2.2.2 regionsopdeles respondenternes angivelse af overensstemmelsen mellem
deres erfaringer fra uddannelsen og arbejdet med de positive forventninger, som de i sin tid havde til
deres uddannelse og arbejde.
Tabel 2.2.2: I hvor høj grad stemmer dine erfaringer overens med de positive forventninger, du
i sin tid havde til uddannelsen og arbejdet? Regionsopdelt.
Region Syd
Region Sjælland
Region N
Region M
Region H
10%
13%
11%
5%
0%
11%
10%
20%
17%
25%
30%
25%
17%
37%
30%
1
40%
2
3
50%
4
5
38%
33%
16%
60%
70%
32%
80%
90%
100%
50%
50%
25%
22%
25%
10%
Tabel 2.2.2 viser fordelingen af de 63 respondenter på svarkategorierne 1-5 indenfor hver region på
spørgsmålet om, i hvor høj grad deres erfaringer stemmer overens med de positive forventninger, de
i sin tid havde til uddannelsen og arbejdet.
10
SUU, Alm.del - 2019-20 - Bilag 69: Henvendelse af 7/11-19 fra Dansk Psykolog Forening vedr. opfølgning på foretræde om behandlingsansvar for specialpsykologer i psykiatrien
2103730_0012.png
Sammenlignes respondenternes svar på tværs af regionerne, ses det, at respondenternes erfaringer i
størst omfang stemmer overens med de positive forventninger, som de i sin tid havde til uddannelsen
og arbejdet i Region Syddanmark, hvor ingen har angivet svarkategorierne 1 og 2. Hele 75 procent
af respondenterne i Region Syddanmark har angivet svarkategorierne 4 og 5, hvilket indikerer en høj
grad af overensstemmelse mellem erfaringer og positive forventninger til uddannelsen og arbejdet
som specialpsykolog. I Region Midtjylland og Region Hovedstaden findes den laveste grad af over-
ensstemmelse mellem erfaringer og tidligere tiders positive forventninger til uddannelsen og arbejdet.
I Region Midtjylland har 28 procent af respondenterne angivet svarkategorierne 1 og 2, mens 16
procent af respondenterne har angivet svarkategorierne 1 og 2 i Region Hovedstaden.
Kvalitative udsagn
Respondenterne fik mulighed for at beskrive, hvad der har overrasket dem enten positivt eller negativt
ved uddannelsen og arbejdet. Udsagnene deler sig op i enten at omhandle uddannelsen eller det ef-
terfølgende arbejdsliv
her fokuseres på arbejdet. Udsagnene kan bruges som en nuancering af det
billede, der tegner sig ved undersøgelsens kvantitative resultater.
I forhold til arbejdslivet og
–opgaverne
udtrykker en lang række af respondenterne en frygt for at
miste mere traditionelle opgaver som psykoterapi og dermed ende som
”mini-læger”,
hvilket neden-
stående er et eksempel på.
For lidt psykoterapi
”Det er en uddannelse til reservelæge minus medicin og somatik. Der er intet psykoterapi og ingen test-
oplæring. ”
”Der er ikke længere tid til psykoterapi. ”
”Vi
skal være bedre psykoterapeutisk end lægerne qua vores grunduddannelse, ellers bliver vi bare små
læger, som kritikken har peget på. ”
Flere respondenter udtrykker, at de oplever et hårdt arbejdsmiljø i psykiatrien.
Hårdt arbejdsmiljø
”Super uddannelse, men voldsomt hårdt og stressende arbejdsmiljø i ambulatorierne. ”
”Det har overrasket mig, hvor hårdt arbejdsmiljøet er, og hvor uigennemsigtigt regionens prioriteringer
på området er. ”
”Det er mere krævende. Konflikter med læger. Helt andet
arbejde end vanligt klinisk psykologarbejde,
hvilket er spændende men svært i begyndelsen. En ny rolle i organisationen. ”
11
SUU, Alm.del - 2019-20 - Bilag 69: Henvendelse af 7/11-19 fra Dansk Psykolog Forening vedr. opfølgning på foretræde om behandlingsansvar for specialpsykologer i psykiatrien
2103730_0013.png
Udover et presset og hårdt arbejdsmiljø, fortæller nogle respondenter, at de er overrasket over den
modstand, de møder fra læger, overlæger, ledelse og i nogle tilfælde fra andre psykologer. Dette
forhold komplicerer hverdagen, og påvirker dermed deres arbejdsliv i en negativ retning.
Det har overrasket mig negativt
”At der stadig skal kæmpes med speciallægerne om muligheden for at anvende sine kompetencer som
specialpsykolog”
”At de beføjelser, jeg får, er så afhængige af de enkelte læges goodwill”
”Speciallægernes modstand mod saglig drøftelse af uddannelsen samt potentialer for tværfagligt samar-
bejde”
”Det store arbejde og ind
imellem ignorance fra min nærmeste ledelse på at gøre opmærksom på at jeg
kan noget andet/mere end en "almindelig" psykolog”
”At det er vanskeligt at forklare læger og nogle psykologer, hvilket selvstændigt behandlingsansvar spe-
cialpsykologer kan have. De tror ikke på det, vil ikke eller glemmer det hurtigt. Topledelse gør intet for
det. Og lægerne fylder deres egne med løgn om ansvarsfordeling - der er brug for oplysning til lægerne
om specialpsykologansvar”
Nogle respondenter udtrykker dog også, at de har oplevet respekt og anerkendelse hos læger og le-
delse.
Det har overrasket mig positivt
”At der er respekt
blandt læger for uddannelsen”
”At der er
et godt samarbejde med lægerne”
”At specialpsykologerne så hurtigt har opnået anerkendelse hos ledelserne og blandt mange
speciallæger
i psykiatri”
”At jeg har lært så meget og arbejdet sammen med så mange dygtige læger, som gerne lærer fra sig”
”Jeg er som SPU blevet taget godt imod af andre fagligheder herunder også psykiatriske læger, der har
kunnet se værdien af SPU'ens indsats”
Kendskab til specialpsykologuddannelsen blandt andre faggrupper
Respondenterne blev bedt om at vurdere, i hvor høj grad deres kollegaer fra andre faggrupper havde
kendskab til uddannelsen som specialpsykolog. Respondenterne vurderede dette på en skala fra 1-5,
hvor 1 er ”i meget lav grad”, og hvor 5 er ”i meget høj grad”.
12
SUU, Alm.del - 2019-20 - Bilag 69: Henvendelse af 7/11-19 fra Dansk Psykolog Forening vedr. opfølgning på foretræde om behandlingsansvar for specialpsykologer i psykiatrien
2103730_0014.png
Tabel 2.3: I hvor høj grad oplever du, at dine kollegaer af andre faggrupper har kendskab til
uddannelsen som specialpsykolog?
100%
80%
60%
40%
20%
0%
29%
15%
36%
18%
2%
1
2
3
4
5
Tabel 2.3 viser, at ud af de i alt 55 respondenter, angav 2 procent svarende til 1 respondent, at han
eller hun i meget høj grad oplever, at kollegaer fra andre faggrupper har kendskab til uddannelsen
som specialpsykolog. 18 procent svarende til 10 respondenter angav, at de i høj grad oplever, at deres
kollegaer fra andre faggrupper har kendskab til uddannelsen som specialpsykolog. 36 procent sva-
rende til 20 respondenter angav svarkategorien 3, som indikerer ”hverken/eller” til spørgsmålet. 29
procent svarende til 16 respondenter angav, at de i lav grad oplever, at kollegaer fra andre faggrupper
har kendskab til uddannelsen som specialpsykolog. 15 procent svarende til 8 respondenter angav, at
de i meget lav grad oplever, at kollegaer fra andre faggrupper har kendskab til uddannelsen som
specialpsykolog.
Opsummering på kendskab til specialpsykologuddannelsen
Det fremgår af tabel 2.3, at det i alt kun er 20 procent af respondenterne, der i høj eller i meget høj
grad oplever, at deres kollegaer fra andre faggrupper har kendskab til specialpsykologuddannelsen.
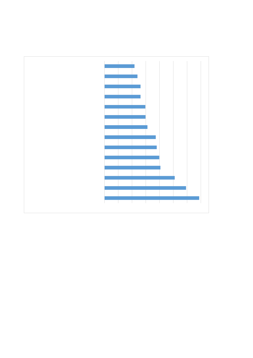
Vigtige forhold for at fastholde psykologen som specialpsykolog i psykiatrien
Respondenterne blev bedt om at vurdere, hvilke forhold der er vigtige for at fastholde dem som spe-
cialpsykolog i psykiatrien efter endt uddannelse eller for fortsat at blive i psykiatrien som specialpsy-
kolog fremover. Respondenterne blev bedt om at rangere 14 forhold i en prioriteret rækkefølge fra 1-
14. Det vigtigste forhold blev tildelt 1 point, som det laveste tal, mens det mindst vigtige forhold blev
tildelt 14 point, som det højeste tal.
Nedenstående tabel 2.4 viser respondenternes gennemsnitlige vurdering af vigtigheden af de forskel-
lige forhold.
13
SUU, Alm.del - 2019-20 - Bilag 69: Henvendelse af 7/11-19 fra Dansk Psykolog Forening vedr. opfølgning på foretræde om behandlingsansvar for specialpsykologer i psykiatrien
2103730_0015.png
Tabel 2.4: Hvilke forhold vurderer du, er vigtige for at fastholde dig som specialpsykolog i psy-
kiatrien efter endt uddannelse/fortsat at blive i psykiatrien som specialpsykolog fremover?
Løn
Anerkendelse og opbakning fra ledelsen
Et godt arbejdsmiljø
Passende arbejdsmængde/tempo
Udsigt til at få bredere beføjelser og ansvar
At jeg arbejder i et miljø med høj faglighed
Muligheden for ledelsesansvar (fx i form af
tea lederstilli ger eller…
Geografisk afstand
Muligheden for at arbejde bredt inden for dit
fagområde
Et velfungerende tværfagligt samarbejde
Anerkendelse af psykologfagligheden fra andre
faggrupper
Kendskab fra mine kollegaer til
specialpsykologuddannelsen
Udsigt til at få lov til at indgå i vagtordningen
Andet
0,0
2,0
4,0
4,4
4,8
5,3
5,3
6,0
6,0
6,3
7,5
7,6
8,0
8,1
10,2
11,9
13,8
6,0
8,0
10,0
12,0
14,0
Tabel 2.4 viser de 54 respondenters rangering af ovenstående 14 forhold ud fra deres vigtighed i
forhold til at fastholde dem som specialpsykologer i psykiatrien fremover eller efter endt uddannelse.
Det fremgår, at løn med en gennemsnitlig vurdering på 4,4 er det vigtigste forhold ift. at fastholde
psykologerne som specialpsykologer i psykiatrien fremover eller efter endt uddannelse, da dette for-
hold har den laveste værdi sammenlignet med alle andre forhold.
Kvalitative udsagn om hvilke beføjelser og ansvar psykologerne ønsker sig
I et fritekstfelt har respondenterne haft mulighed for at angive, hvilke beføjelser og ansvar de ønsker
sig. Disse kommentarer er taget med i undersøgelsen for at få skabt mere viden om og nuancere,
hvilke arbejdsopgaver specialpsykologerne ønsker at påtage sig og hvilke, de helst vil undgå.
En lang række af respondenterne besvarer, at de ønsker ledelsesansvar. Nedenfor er samlet en række
af kommentarerne, der udtrykker dette ønske.
14
SUU, Alm.del - 2019-20 - Bilag 69: Henvendelse af 7/11-19 fra Dansk Psykolog Forening vedr. opfølgning på foretræde om behandlingsansvar for specialpsykologer i psykiatrien
2103730_0016.png
Ledelsesansvar
”Ledelsesansvar
på så højt niveau som muligt.”
”Ligelig
adgang til at søge de aktuelle ledelsespositioner indenfor psykiatrien, herunder sikring
af deltagelse i ledelseskurser svarende til positionerne.”
”Et
større ansvar i form af deltagelse i ledelsesgruppen, eget budget og personaleansvar. Så det
er muligt at gennemføre de faglige visioner.”
”Faglig
ledelse. Jeg HAR beføjelse som fagligt leder, NÅR overlægen er væk. Det er fint. Jeg
kunne sagtens også have ledelsesansvar, men det har sygeplejersker traditionelt. Det ville jeg
være mindst lige så kvalificeret til.”
”Konferenceledelse,
teamledelse, undervisning - på baggrund af antagelse om, at vi som special-
psykologer bør have den mest opdaterede viden på området.”
Lovgrundlaget giver på nuværende tidspunkt specialpsykologer mulighed for at varetage ledelses-
funktioner på linje med andre faggrupper. Ledelseskompetencerne, de er i stand til at varetage, er på
flere forskellige organisatoriske niveauer i forhold til både personale- og driftsmæssig ledelse. Ifølge
målbeskrivelsen for specialpsykologuddannelsen, opnår specialpsykologerne kompetencer inden for
ledelse, og de kan påtage sig ledelsesopgaver afhængig af interesser og kompetencer samt organisa-
tionens behov. På tilsvarende vis som øvrige faggrupper kan specialpsykologerne dog have behov for
yderligere ledelsesudvikling og kurser. Der er således ikke noget juridisk til hindre for, at specialpsy-
kologerne får yderligere ledelseskompetencer på de psykiatriske afdelinger.
Mange respondenter udtrykker et ønske om at få flere beføjelser i forhold til udredning, diagnostice-
ring og behandlingsansvar, hvilket ses nedenfor.
Udredning, diagnosticering og behandlingsansvar
”Behandlingsansvar
for ambulante patienter.”
”Varetage
selvstændige behandlingsforløb fra start til slut.”
”Mulighed
for at kunne blive behandlingsansvarlig leder. Mulighed for at kunne have ansvar for
udviklingsopgaver indenfor behandling (psykoterapi, miljøterapi). Mulighed for at træffe beslut-
ninger omkring tvang i den stationære psykiatri”
I forbindelse med dette ønske om flere beføjelser til at udrede, diagnosticere og være behandlingsan-
svarlige er det værd at nævne, at lovgivningen heller ikke her står i vejen for, at specialpsykologerne
påtager sig flere at disse arbejdsopgaver. På nuværende tidspunkt er der i sundhedsvæsenet ikke noget
15
SUU, Alm.del - 2019-20 - Bilag 69: Henvendelse af 7/11-19 fra Dansk Psykolog Forening vedr. opfølgning på foretræde om behandlingsansvar for specialpsykologer i psykiatrien
2103730_0017.png
lovmæssigt begreb, der medfører, at det er læger, der skal være behandlingsansvarlige. Al behand-
ling
2
både ambulant og på døgnafsnit kan varetages af kompetente sundhedspersoner, hvilket speci-
alpsykologer er at betragte som. Der er således allerede lovhjemmel for alle de ovennævnte ønsker
på nær et: Tvang. Ifølge psykiatriloven er der for læger delegationsforbud ift. tvang. Det er kun læger,
som må træffe beslutninger om iværksættelse, efterprøvelse mv. af tvangsforanstaltninger. Såfremt
specialpsykologerne skal opnå beføjelser til at ordinere tvang, vil det kræve en lovændring.
En række respondenter giver udtryk for, at de ønsker at være sidestillet med læger og overlæger i
forhold til ønsket om yderligere kompetencer og behandlingsansvar.
Sidestillet med læger og overlæger
”Behandlingsansvarlig.
Selvstændigt at kunne lave behandlingsplaner, som vægter på linje med
lægens, således at de ikke
’overrules’ uden faglig begrundelse.”
”På
specialpsykologernes vegne kunne jeg tænke mig at beføjelserne og ansvaret svarede til
speciallægernes.”
”Sidestillet med læger ift.
muligheder for lederstillinger. Det er fortsat en lokal kultur, der er af-
gørende for muligheder.”
”Diagnostiske
vurderinger, visitation, deltagelse i afsnit ledelsesteamet. Deltagelse i fora der be-
slutter uddannelse, supervision og opkvalificering. I det hele taget at blive repræsenteret på linje
med overlæger og teamledere - at være med der, hvor kommunikation med centerledelsen og
beslutninger foregår.”
Som ovenfor nævnt er der allerede lovhjemmel til, at specialpsykologer kan udrede, diagnosticere og
behandle. De kan dog fortsat ikke ordinere medicin eller foretage somatisk diagnosticering og udred-
ning. Ud over de helt praktiske arbejdsopgaver, som specialpsykologerne ønsker, udtrykker disse
kommentarer også, at mange specialpsykologer ofte føler, at deres kompetencer og kvalifikationer
bliver underkendt af lægerne, hvorfor der opstår et uligeværdigt samarbejde.
Én respondent udtrykker et ønske om at kunne medicinere.
Medicinering
”Mulighed
for at ordinere medicin samt regulere i medicinsk behandling. Evt. behandlingsan-
svar, hvis der reguleres i lovgivning så det bliver muligt
2
Al behandling på nær de få undtagelser, hvor loven specifikt har taget stilling: Anvendelse af tvang i psykiatriloven og
ansvaret for retspsykiatriske patienter.
16
SUU, Alm.del - 2019-20 - Bilag 69: Henvendelse af 7/11-19 fra Dansk Psykolog Forening vedr. opfølgning på foretræde om behandlingsansvar for specialpsykologer i psykiatrien
Der er på nuværende tidspunkt ikke lovhjemmel til, at specialpsykologer kan ordinere medicin, men
specialpsykologen kan på delegation fra lægen varetage medicinsk behandling. Dette betyder eksem-
pelvis, at specialpsykologen kan varetage behandling med et lægemiddel inden for den ramme, der
er beskrevet ved lægens ordination. Derudover kan der være aftalt en ramme, indenfor hvilken spe-
cialpsykologen selv kan justere den medicinske behandling.
Kun en lille del af respondenterne udtrykker tilfredshed med det nuværende niveau af beføjelser og
ansvar, og ønsker således ikke hverken flere eller færre. Derfor må det konstateres, at specialpsyko-
logerne overordnet ønsker flere arbejdsopgaver og yderligere beføjelser især i forhold til diagnosti-
cering, behandling og ledelse.
Forhold der spiller ind på overvejelser om at opsige specialpsykologstillingen, fravælge psy-
kiatrien efter endt uddannelse eller ikke at færdiggøre specialpsykologuddannelsen
Respondenterne blev bedt om at vurdere, hvilke forhold der spiller ind på deres overvejelser om at
opsige deres specialpsykologstilling, fravælge psykiatrien efter endt uddannelse eller ikke at færdig-
gøre specialpsykologuddannelsen. De blev bedt om at rangere 15 forhold i en prioriteret rækkefølge
fra 1-15. Det vigtigste forhold blev tildelt 1 point, som det laveste tal, mens det mindst vigtige forhold
blev tildelt 15 point, som det højeste tal. Nedenstående tabel 2.5 viser respondenternes gennemsnitlige
vurdering af i hvor høj grad de 15 forhold spiller ind på deres overvejelser.
17
SUU, Alm.del - 2019-20 - Bilag 69: Henvendelse af 7/11-19 fra Dansk Psykolog Forening vedr. opfølgning på foretræde om behandlingsansvar for specialpsykologer i psykiatrien
2103730_0019.png
Tabel 2.5: Hvilke forhold er relevante for dig i forhold til overvejelser om evt. at opsige din
stilling som specialpsykolog, fravælge psykiatrien efter endt uddannelse eller ikke at færdiggøre
din uddannelse?
Dårligt arbejdsmiljø
Løn
For høj arbejdstempo/pres
Mangel på anerkendelse og opbakning fra ledelsen
Geografisk afstand - jeg ønsker ikke at pendle til arbejdet
Timeantal/manglende mulighed for at gå på deltid
Det tværfaglige samarbejde fungerer ikke
En oplevelse af at psykologfagligheden ikke bliver anerkendt
af andre faggrupper
Psykoterapi fylder ikke nok i arbejdet som specialpsykolog
Risikoen for ubehagelige episoder/deciderede overfald fra
patienter
Manglende kendskab fra mine kollegaer til
specialpsykologuddannelsen
Uddannelsen har et lavt fagligt niveau/jeg oplever, jeg
arbejder i et miljø med lav faglighed
Udsigt til at få bredere beføjelser og ansvar
Udsigt til at få lov til at indgå i vagtordningen
Andet
0,0
2,0
4,0
6,0
8,0
10,0
12,0
14,0
4,5
4,6
4,7
5,9
6,4
7,4
7,5
7,7
7,7
8,4
8,5
9,4
11,5
11,7
14,2
16,0
Tabel 2.5 viser de 54 respondenters rangering af ovenstående 15 forhold ud fra deres relevans i for-
hold til deres overvejelser om evt. at opsige deres stilling som specialpsykolog, fravælge psykiatrien
efter endt uddannelse eller ikke at færdiggøre deres uddannelse.
Det fremgår af tabel 2.5, at de tre mest relevante forhold ift. respondenternes overvejelser om at op-
sige deres stilling som specialpsykolog, fravælge psykiatrien efter endt uddannelse eller ikke at fær-
diggøre deres uddannelse er: 1. Dårligt arbejdsmiljø, 2. Løn og 3. For højt arbejdstempo/pres.
De tre mindst relevante forhold ift. respondenternes overvejelser om at opsige deres stilling som spe-
cialpsykolog, fravælge psykiatrien efter endt uddannelse eller ikke at færdiggøre deres uddannelse
18
SUU, Alm.del - 2019-20 - Bilag 69: Henvendelse af 7/11-19 fra Dansk Psykolog Forening vedr. opfølgning på foretræde om behandlingsansvar for specialpsykologer i psykiatrien
2103730_0020.png
er: 13. Udsigten til at få bredere beføjelser og ansvar, 14. Udsigt til at få lov til at indgå i vagtordnin-
gen og derudover 15. andre forhold, som ikke er omfattet af opstillede kategorier.
Oplevelser i forhold til varetagelse af ansvar og opgaver
Tabel 2.6: Jeg oplever, at...
100%
80%
60%
40%
20%
0%
Helt enig
Enig
Hverken enig
eller uenig
Uenig
Helt uenig
Ved ikke
Ikke relevant
28%
17%
24% 24%
21% 21%
21% 21%
14%
7% 3%
Jeg får lov til at varetage det ansvar og de opgaver, som jeg er kvalificeret til qua min uddannelse som
specialpsykolog
Jeg efter at være blevet færdiguddannet specialpsykolog, har fået andre arbejdsopgaver og funktioner end
forud for uddannelsen
Tabel 2.6 viser, at ud af de i alt 29 færdiguddannede respondenter
3
, som besvarede spørgsmålet, var
28 procent svarende til 8 respondenter helt enige i, at de får lov til at varetage det ansvar og de opga-
ver, som de er kvalificeret til qua deres uddannelse som specialpsykolog. 24 procent svarende til 7
respondenter er enige. 21 procent svarende til 6 respondenter er hverken uenige eller enige. 21 procent
svarende til 6 respondenter er uenige. 7 procent svarende til 2 respondenter angav, at spørgsmålet
ikke var relevant for dem.
17 procent svarende til 5 respondenter var helt enige i, at de, efter at være blevet færdiguddannet
specialpsykolog, har fået andre arbejdsopgaver og funktioner end forud for uddannelsen. 24 procent
svarende til 7 respondenter er enige. 21 procent svarende til 6 respondenter er hverken uenige eller
enige. 21 procent svarende til 6 respondenter er uenige. 14 procent svarende til 4 respondenter er helt
uenige. 3 procent svarende til 1 respondent angav, at spørgsmålet ikke var relevant.
3
Bemærk, at der blandt de færdiguddannede, som besvarede spørgsmålet også var meritspecialpsykologer under uddan-
nelse.
19
SUU, Alm.del - 2019-20 - Bilag 69: Henvendelse af 7/11-19 fra Dansk Psykolog Forening vedr. opfølgning på foretræde om behandlingsansvar for specialpsykologer i psykiatrien
2103730_0021.png
Tabel 2.7: I mit daglige arbejde erfarer jeg til tider, at samarbejdspartnere (egen og andre
faggrupper) har sat spørgsmålstegn ved mine beføjelser som specialpsykolog/specialpsykolog
under uddannelse i forhold til diagnosticering, underskrivning af fx epikriser, udarbejdelse af
behandlingsplaner og/eller varetagelse af selvstændigt behandlingsansvar med den begrun-
delse, at jeg ikke er sundhedsperson.
100%
80%
60%
40%
20%
0%
Helt enig
Enig
Hverken enig
eller uenig
Uenig
Helt uenig
Ved ikke
17%
25%
11%
30%
17%
0%
Tabel 2.7 viser, at ud af de 53 respondenter er 42 procent enten helt enige eller enige i, at de i deres
daglige arbejde til tider erfarer, at samarbejdspartnere (egen og andre faggrupper) har sat spørgsmåls-
tegn ved deres beføjelser som specialpsykolog/specialpsykolog under uddannelse i forhold til diag-
nosticering, underskrivning af fx epikriser, udarbejdelse af behandlingsplaner og/eller varetagelse af
selvstændigt behandlingsansvar med den begrundelse, at de ikke er sundhedspersoner.
17 procent svarende til 9 respondenter er helt enige i udsagnet. 25 procent svarende til 13 respondenter
er enige. 11 procent svarende til 6 respondenter er hverken uenige eller enige. 17 procent svarende til
9 respondenter er uenige. 30 procent svarende til 16 respondenter er helt uenige i, at der er blevet sat
spørgsmålstegn ved deres kompetencer og beføjelser.
Tabel 2.7: Jeg oplever, at de juridiske rammer for mit arbejde som specialpsykolog/specialpsy-
kolog under uddannelse er på plads (fx afklaring om behandlingsansvar, psykologen som sund-
hedsperson, mulighed for selvstændigt at stille diagnoser osv.)
100%
80%
60%
40%
20%
0%
Helt enig
Enig
Hverken enig
eller uenig
Uenig
Helt uenig
Ved ikke
8%
32%
17%
6%
4%
34%
Tabel 2.7 viser, at ud af de 53 respondenter er 40 procent enten helt enige eller enige i, at de oplever,
at de juridiske rammer for deres arbejde som specialpsykolog/specialpsykolog under uddannelse er
på plads. 8 procent svarende til 4 respondenter var helt enige i udsagnet. 32 procent svarende til 17
respondenter er enige. 17 procent svarende til 9 respondenter er hverken uenige eller enige. 17 procent
20
SUU, Alm.del - 2019-20 - Bilag 69: Henvendelse af 7/11-19 fra Dansk Psykolog Forening vedr. opfølgning på foretræde om behandlingsansvar for specialpsykologer i psykiatrien
2103730_0022.png
svarende til 9 respondenter er uenige. 34 procent svarende til 18 respondenter er helt uenige. 4 procent
svarende til 2 respondenter angav ”ved ikke”.
Oplevelser med at få sat spørgsmålstegn ved sine beføjelser som specialpsykolog eller SPU
Nogle psykologer oplever i deres daglige arbejde, at der bliver sat spørgsmålstegn ved deres beføjel-
ser som specialpsykolog eller SPU’er med den begrundelse,
at psykologen ikke er sundhedsperson.
Det kan være i forhold til diagnosticering, underskrivning af fx epikriser, udarbejdelse af behand-
lingsplaner og/eller varetagelse af selvstændigt behandlingsansvar.
I undersøgelsen blev respondenterne bedt om at bidrage med konkrete eksempler, såfremt de har
oplevet, at samarbejdspartnere har sat spørgsmålstegn ved deres beføjelser som specialpsykolog. En
lang række respondenter besvarede spørgsmålet, og det fremgår, at mange specialpsykologer har haft
uheldige oplevelser med læger i forhold til deres kompetencer og beføjelser samt juraen på området.
Nedenfor er udvalgt en række kommentarer til at illustrere dette.
Samarbejde med læger
”Yngre
læger kender ikke til mine beføjelser.”
”Ny
læge i teamet, hvor jeg er ansat som teamleder med overordnet ansvar for patientbehandlin-
gen, der siger; "det er mig, der er læge, det er mig der diagnosticerer". Han er ikke blevet oriente-
ret om min funktion, eller hvis han er, ignorerer han det.”
”Læger
oplever behov for at diagnosticere forfra når de skal tage stilling til medicinsk behandling
på baggrund af min diagnostiske udredning og vurdering. Generelt vurderer læger, at læger er
bedre til diagnosticering end specialpsykologer - også relativt unge og uerfarne uddannelseslæger
- og jeg er 49 år og har 15 års anciennitet i psykiatrien og er nyuddannet specialpsykolog med or-
dinært forløb. Mine epikriser skal godkendes af overlægen, efter de er sendt.”
”Jeg har oplevet at
blive afvist fra en opgave med henvisning til at lægen ligeså godt selv kan
gøre det, når nu SPU ikke kan have selvstændigt ansvar, samme ift. epikriser osv.”
”I
én afdeling (distriktspsykiatri) mente man stadig, at overlægen skulle underskrive og godkende
alle mine behandlingsplaner. På et stationært afsnit ytrede min overlæge, at hun ikke vidste, hvad
en psykolog skulle i behandling af patienter, der ikke havde behov for psykoterapi.”
”Spørgsmål
om hvorvidt jeg må diagnosticere (dog er dette længe siden), udskrive, gennemgå
osv. Det er typisk i begyndelsen af et samarbejde, og jeg har ikke oplevet det som mistillid, blot
manglede viden om hvad vi faktisk kan og må.”
”Jeg
er blevet bedt om at være mere ydmyg over for overlægen og stille færre spørgsmål ved kon-
ferencer.”
21
SUU, Alm.del - 2019-20 - Bilag 69: Henvendelse af 7/11-19 fra Dansk Psykolog Forening vedr. opfølgning på foretræde om behandlingsansvar for specialpsykologer i psykiatrien
2103730_0023.png
Andre har oplevet manglende viden fra andre faggrupper, hvilket blandt andet kan ses i nedenstående
citat, hvor en specialpsykolog beskriver, at sekretæren grundet manglende viden ikke vil godkende
arbejdet.
” Sekretærer tror igen og igen, at mit arbejdes skal godkendes af overlæge
- fx epikrise, diagno-
ser mv.”
Spørgsmålet om hvorvidt psykologer i psykiatrien er sundhedspersoner eller ej fylder ligeledes meget
for specialpsykologerne i deres samarbejde med andre.
Sundhedspersoner
”Generelt betragtes vi ikke som sundhedspersoner
i hospitalsvæsnet, også af psykiatriens andre
faggrupper.”
”Jeg
forestiller mig, at en del af udfordringerne for os i det daglige arbejde kunne blødes op,
hvis vi automatisk blev anerkendt som sundhedspersoner enten som autoriserede psykologer el-
ler specialpsykologer.”
Det er interessant, at respondenterne beskriver, at de ikke betragtes som sundhedspersoner af de andre
faggrupper, og at den ene af respondenterne selv betvivler, at de er sundhedspersoner. De generelle
krav til sundhedsvæsnet fastsættes i sundhedsloven, og her fremgår det, at sundhedspersoner er: ”Per-
soner, der er autoriserede i henhold til særlig lovgivning til at varetage sundhedsfaglige opgaver og
personer, der handler på disses ansvar.”
Autoriserede psykologer
- og dermed også specialpsykolo-
ger - ansat på offentlige sygehuse er således sundhedspersoner i sundhedslovens forstand. Det er
væsentligt at udrydde denne tvivl, om hvorvidt specialpsykologer er sundhedspersoner, blandt både
ledere, læger og psykologerne selv.
Respondenterne fik ligeledes mulighed for at beskrive og uddybe, hvis de havde oplevet, at de juri-
diske rammer for arbejdet som specialpsykolog ikke var på plads. 41 procent havde i undersøgelsen
erklæret, at de ikke følte, at de juridiske rammer var på plads, hvilket også afspejles i kommentarerne
i det åbnetekstfelt.
En række respondenter beskriver, at det juridiske spørgsmål om sundhedsperson og specialpsykolo-
gers beføjelser har fyldt meget.
22
SUU, Alm.del - 2019-20 - Bilag 69: Henvendelse af 7/11-19 fra Dansk Psykolog Forening vedr. opfølgning på foretræde om behandlingsansvar for specialpsykologer i psykiatrien
2103730_0024.png
Uklarhed om beføjelser
”Der
er fortsat i psykiatrien usikkerhed fra alle om, hvilke beføjelser specialpsykologer har.”
”Det
er ofte uklart, og der bliver hyppigt stillet spørgsmålstegn ved, hvilke beføjelser man har
som specialpsykolog, og hvor selvstændigt man kan arbejde i et ambulatorium.”
”Tvivl
om fx epikrise/behandlingsplan/status skal godkendes af overlæge. Nogle overlæger me-
ner ikke, andre synes at det skal.”
”Uklarhed
ift. ledelsens udmeldinger, samt det tværfaglige personales forventninger til diagno-
sticering og behandleransvar hos specialpsykologer. Det betyder, at det tværfaglige personale
ofte forventer, at en læge skal involveres
men det er
unødvendigt.”
”Det tager en krig at gøre forståeligt, at det er helt ok at varetage en given opgave.”
Det fremgår ligeledes af kommentarerne, at der er stor forskel fra region til region samt blot fra afde-
ling til afdeling eller overlæge til overlæge i forhold til hvilke arbejdsopgaver og hvor meget ansvar
specialpsykologer får lov til at varetage.
Store forskelle
”Jeg har indtryk af at forskellene mellem de forskellige regioner er kæmpestore. Ville ønsker, at
den ikke var så stor.”
”Vi
er to klinikker. Og to specialpsykologer. I den ene klinik får specialpsykologen lov at have
semi-lederopgaver, og jeg i den anden bliver gang på gang fortalt, at det er funktionsledelsen
(mellemledere henholdsvis overlæge og sygeplejerske), der udfører opgaver som at lede en be-
handlingskonferene eller tale med behandlerne om at tilrettelægge et behandlingsforløb. Så reelt
set laver jeg i den klinik ikke andet end en autoriseret psykolog kunne lave.”
”Min
leder kender mig godt og har ikke haft problemer med at give mig ansvar. Men det er per-
sonafhængigt - andre kollegaer får ikke lov til så meget.”
”Min
hverdag fungerer godt for det meste, det har dog været afhængigt af den overlæge, som
har haft det overordnede behandlingsansvar, hvorvidt jeg har kunnet arbejde selvstændigt.”
”Det
er min oplevelse, at anerkendelsen og respekten for ens arbejder stiger med tiden - man
skal først ses an og bevise sit værd.”
I forlængelse af dette efterspørges mere klarhed og information om, hvilke opgaver og beføjelser
specialpsykologer kan varetage.
23
SUU, Alm.del - 2019-20 - Bilag 69: Henvendelse af 7/11-19 fra Dansk Psykolog Forening vedr. opfølgning på foretræde om behandlingsansvar for specialpsykologer i psykiatrien
2103730_0025.png
Behov for mere information
”Der mangler generelt kendskab
til de beføjelser specialpsykologer har, hos de andre faggrup-
per.”
”Viden
om, hvad vi må og ikke må, skal synliggøres”
”Det
har bestemt hjulpet ift. rammer, opgaver og ansvar, at der blev udarbejdet et tværregionalt
dokument omkring det juridiske grundlag for specialpsykologers virke i ambulant psykiatri og
hospitalspsykiatrien. Positivt i den forstand, at det fx fastslås at psykologer/specialpsykologer
har kompetencer til at udrede og diagnosticere.”
Fik specialpsykologerne tilbudt job indenfor egen region efter endt uddannelse? Hvor til-
fredse er de med arbejdet som specialpsykolog, og ville de anbefale uddannelsen til andre?
Respondenterne blev spurgt, om de blev tilbudt job indenfor deres egen region efter endt uddannelse.
Dertil blev de bedt om at angive deres tilfredshed med deres arbejde som specialpsykolog, og spurgte
om de ville anbefale andre uddannelsen som specialpsykolog.
Bemærk at kun 28 respondenter har angivet deres tilfredshed med arbejdet som specialpsykolog,
hvilket er væsentligt færre end ved undersøgelsens indledende spørgsmål. Det noget lavere respon-
denttal ved dette spørgsmål sammenlignet med de øvrige skyldes, at spørgsmålet kun blev givet til
de respondenter, som i undersøgelsens indledende spørgsmål havde angivet, at de var færdiguddannet
specialpsykolog, meritspecialpsykologer under uddannelse eller færdiguddannede meritspecialpsy-
kologer.
Tabel 2.8: Blev du i forbindelse med færdiggørelse af din uddannelse tilbudt arbejde i din re-
gion?
100%
54%
50%
0%
Ja
Nej
Ikke relevant
21%
25%
Ud af de i alt 28 færdiguddannede respondenter
4
, som besvarede spørgsmålet, svarede over halvdelen
54 procent svarende til 15 respondenter, at de blev tilbudt arbejde i deres region i forbindelse med
færdiggørelsen af deres uddannelse. 21 procent svarende til 6 respondenter blev ikke tilbudt arbejde
i deres region i forbindelse med færdiggørelsen af deres uddannelse. 25 procent svarende til 7 respon-
denter svarede, at spørgsmålet ikke var relevant.
4
Bemærk, at der blandt de færdiguddannede, som besvarede spørgsmålet også var meritspecialpsykologer under uddan-
nelse.
24
SUU, Alm.del - 2019-20 - Bilag 69: Henvendelse af 7/11-19 fra Dansk Psykolog Forening vedr. opfølgning på foretræde om behandlingsansvar for specialpsykologer i psykiatrien
2103730_0026.png
Tilfredshed med arbejdet som specialpsykolog
Vi bad respondenterne om at angive deres tilfredshed med deres arbejde som specialpsykolog.
Tabel 2.8.1: Hvor tilfreds er du alt i alt med dit arbejde som specialpsykolog?
100%
80%
60%
40%
20%
0%
Meget tilfreds
Tilfreds
Hverken
tilfreds eller
utilfreds
Utilfreds
Meget
utilfreds
Ikke relevant
29%
21%
21%
4%
11%
14%
Tabel 2.8.1 viser, at halvdelen af de i alt 28 respondenter svarede, at de alt i alt var meget tilfredse
eller tilfredse med deres arbejde som specialpsykolog. Til sammenligning svarede 15 procent af re-
spondenterne, at de var utilfredse eller meget utilfredse med deres arbejde som specialpsykolog.
29 procent svarende til 8 respondenter angav, at de var meget tilfredse med deres arbejde som speci-
alpsykolog. 21 procent svarende til 6 respondenter angav, at de var tilfredse med deres arbejde som
specialpsykolog. 21 procent svarende til 6 respondenter angav, at de var hverken tilfreds eller utilfreds
med deres arbejde som specialpsykolog. 4 procent svarende til 1 respondent angav, at han eller hun
var utilfreds med sit arbejde som specialpsykolog. 11 procent svarende til 3 respondenter angav, at
de var meget utilfredse med deres arbejde som specialpsykolog.
En relativ høj andel på 14 procent svarende til 4 respondenter angav, at spørgsmålet ikke var relevant
for dem. Det skal muligvis ses i lyset af, at spørgsmålet - udover at være blevet givet til færdiguddan-
nede specialpsykologer og meritspecialpsykologer
også blev givet til meritspecialpsykologer under
uddannelse, for hvem spørgsmålet ikke er relevant, da de fortsat er under uddannelse.
Anbefaling af specialpsykologuddannelsen
Respondenterne blev bedt om at angive, om de ville anbefale andre at tage uddannelsen som special-
psykolog.
Tabel 2.8.2: Vil du anbefale andre at tage uddannelsen som specialpsykolog?
100%
80%
60%
40%
20%
0%
Ja
Nej
Ved ikke
12%
0%
88%
25
SUU, Alm.del - 2019-20 - Bilag 69: Henvendelse af 7/11-19 fra Dansk Psykolog Forening vedr. opfølgning på foretræde om behandlingsansvar for specialpsykologer i psykiatrien
Det fremgår af tabel 2.8.2, at ud af de i alt 51 respondenter vil størstedelen anbefale andre at tage
uddannelsen som specialpsykolog. Helt præcist svarer 88 procent svarende til 45 respondenter at de
ville anbefale andre at tage uddannelsen, mens
12 procent svarende til 6 respondenter svarer ”ved
ikke”,
og ingen svarer, at de ikke vil anbefale andre at tage uddannelsen som specialpsykolog.
26
SUU, Alm.del - 2019-20 - Bilag 69: Henvendelse af 7/11-19 fra Dansk Psykolog Forening vedr. opfølgning på foretræde om behandlingsansvar for specialpsykologer i psykiatrien
2103730_0028.png
De nyuddannede psykologer
En af de tre undersøgelser af specialpsykologuddannelsen undersøgte specifikt de nyuddannede psy-
kologers kendskab, interesse for og motivation til at søge specialpsykologuddannelsen.
Respondenter
Undersøgelsen af de nyuddannede psykologers syn på specialpsykologuddannelsen blev udsendt til i
alt 267 respondenter. Ud af disse har i alt 68 besvaret hele spørgeskemaet, mens 10 personer har
besvaret dele af det. I alt 111 har slet ikke indgivet en besvarelse. 29 procent af respondenterne har
således besvaret dele eller hele spørgeskemaet, mens 71 procent ikke har besvaret det.
Interesse i specialpsykologuddannelsen
De nyuddannede psykologer blev bedt om at tilkendegive deres interesse i specialpsykologuddannel-
sen efter deres autorisation.
Tabel 3.1: Er du på nuværende tidspunkt interesseret i en uddannelse som specialpsykolog i
psykiatrien efter din autorisation?
100%
80%
60%
40%
20%
0%
54%
26%
21%
Ja
Nej
Ved ikke
Tabel 3.1 viser, at 54 procent af i alt 77 nyuddannede psykologer, som besvarede spørgsmålet, sva-
rerende til 42 respondenter svarede, at de på nuværende tidspunkt er interesserede i en uddannelse
som specialpsykolog. 26 procent svarende til 20 respondenter angav, at de ikke på nuværende tids-
punkt er interesserede. 21 procent svarende til 21 respondenter angav ”ved ikke” til spørgsmålet.
Integration af specialpsykologuddannelsen i autorisation
I spørgeskemaet blev respondenterne ligeledes spurgt ind til, om det ville øge deres interesse i en
uddannelse som specialpsykolog, hvis de havde mulighed for at integrere uddannelsen med autorisa-
tionen. Hele 45 procent af respondenterne svarede, at det i meget høj grad ville øge deres interesse,
mens 20 procent svarede, at det i høj grad ville øge deres interesse i uddannelsen som specialspyko-
log. Kun 6 procent svarede, at det i meget lav grad ville øge deres interesse, og 8 procent svarede i
lav grad. 21 procent valgte den neutrale svarkategori svarende til, at det ikke ville gøre en forskel for
dem. På baggrund af dette spørgsmål kan det altså konkluderes, at 65 procent af de nyuddannede ville
være interesserede i en uddannelse som specialpsykolog, hvis de havde mulighed for at integrere
uddannelsen med autorisationen. Der er 11 procent flere respondenter, som er interesseret i en ud-
dannelse som specialpsykolog, hvis den er integreret med autorisationen fremfor hvis den ikke er.
27
SUU, Alm.del - 2019-20 - Bilag 69: Henvendelse af 7/11-19 fra Dansk Psykolog Forening vedr. opfølgning på foretræde om behandlingsansvar for specialpsykologer i psykiatrien
2103730_0029.png
I spørgeskemaet blev respondenterne desuden spurgt om, hvilke forhold der er vigtige for dem i for-
bindelse med at vælge specialpsykologuddannelsen efter endt autorisation. 87 procent af responden-
terne svarer, at det er vigtigt for dem, at arbejdsområdet interesserer dem. 80 procent af
respondenterne vurderer, at muligheden for at få en betalt videreuddannelse er noget af det vigtigste.
Mellem 66-67 procent fortæller, at et godt arbejdsmiljø/gode arbejdsforhold, et godt kollegialt
samarbejde og et udfordrende arbejde er vigtigt for et evt. valg af specialpsykologuddannelsen.
Omkring halvdelen af respondenterne, nemlig 56-57 procent svarende til 39-40 respondenter mener,
at lønnen og det at arbejde i et miljø med høj faglighed er vigtigst. 41 procent svarende til 29
respondenter angiver, at den geografiske afstand mellem hjem og arbejde er vigtigt for deres valg af
specialpsykologuddannelsen.
Lidt færre respondenter har angivet, at det er vigtigt for dem, at der er god ledelse (39 procent),
mulighed for at arbejde sammen med andre faggrupper (29 procent), eller at de har hørt om eller fået
anbefalet specialpsykologuddannelsen (21 procent).
Kun 3 procent af respondenterne, svarende til 2 respondenter har angivet, at andre forhold end de
opstillede kategorier, betyder noget i deres eventuelle valg af specialpsykologuddannelsen. Dermed
må det antages, at de ovennævnte kategorier i høj grad belyser de forhold, som er vigtige for de
nyuddannede psykologer i forhold til at vælge specialpsykologuddannelsen.
Kvalitative udsagn
De nyuddannede psykologer fik i spørgeskemaundersøgelsen mulighed for at uddybe, hvilke ting der
er vigtige i forhold til at vælge specialpsykologuddannelsen, samt hvilke gode ting de har hørt om
den. Det fremgår af kommentarerne, at de nyuddannede respondenter lægger stor vægt på, at speci-
alpsykologuddannelsen skulle være en god uddannelse med høj faglighed, hvilket nedenstående illu-
strerer.
Høj faglighed
”Kurser af høj kvalitet, variation i arbejdsopgaver og mulighed for at arbejde på forskellige afsnit”
”At det er en rigtig spændende og udfordrende uddannelse”
”Faglige og personlige videreudvikling samt specialisering og opkvalificering af ens faglige grundlag”
”At psykopatologidelen skulle være rigtig god og at uddannelsen muligvis er fremtiden, hvis jeg vil ar-
bejde
indenfor psykiatrien”
Andre respondenter lægger større vægt på, hvilke kompetencer de kan varetage efter endt uddannelse.
Heriblandt hvordan de kan være med til at forme fremtidens psykiatri.
28
SUU, Alm.del - 2019-20 - Bilag 69: Henvendelse af 7/11-19 fra Dansk Psykolog Forening vedr. opfølgning på foretræde om behandlingsansvar for specialpsykologer i psykiatrien
2103730_0030.png
Forbedre psykiatrien
”Jeg synes,
det er et spændende og vigtig tiltag i psykiatrisk arbejde som psykolog, og med den
store psykiatermangen vi har, tænker jeg, at specialpsykologerne vil varetage nogle af de ar-
bejdsopgaver, som psykiateren har”
”At man sidestilles med psykiaterne og dermed
kan være med til at præge psykiatriens forståelse
af mennesket med samme autoritet som psykiateren”
29
SUU, Alm.del - 2019-20 - Bilag 69: Henvendelse af 7/11-19 fra Dansk Psykolog Forening vedr. opfølgning på foretræde om behandlingsansvar for specialpsykologer i psykiatrien
2103730_0031.png
Autoriserede psykologer i psykiatrien
Formålet med denne del af undersøgelsen var at undersøge rekrutteringspotentialet blandt autorise-
rede psykologer, hvorfor autoriserede psykologer var målgruppe for dette spørgeskema.
Respondenter
Undersøgelsen af autoriserede psykologer i psykiatriens syn på uddannelsen og arbejdet som speci-
alpsykolog blev udsendt til de i alt 887 respondenter, der står registreret i foreningens system som
autoriserede psykologer i psykiatrien. Spørgeskemaet blev besvaret af 165 respondenter, hvilket sva-
rer til 19 procent.
Resultater
I dette afsnit fremstilles resultaterne fra spørgeskemaundersøgelsen af autoriserede psykologer i psy-
kiatriens syn på uddannelsen og arbejdet som specialpsykolog.
Tabel 4.1: Er du interesseret i en uddannelsesstilling som specialpsykolog i psykiatrien?
100%
90%
80%
70%
60%
50%
40%
30%
20%
10%
0%
Ja
Nej
Ved ikke
21%
18%
61%
Ovenstående tabel er besvaret af 160 respondenter. Ud af disse respondenter har 61 procent, svarende
til 98 respondenter, besvaret, at de ikke er interesseret i en uddannelsesstilling som specialpsykolog i
psykiatrien. 21 procent er derimod interesseret i en uddannelsesstilling, hvilket svarer til 33 respon-
denter. 18 procent, eller 29 respondenter, svarer, at de ikke ved, om de er interesserede i en uddan-
nelsesstilling.
Det fremgår dermed af tabellen, at langt størstedelen af respondenterne, som er specialpsykologer i
psykiatrien, ikke er interesserede i en uddannelsesstilling som specialpsykolog i psykiatrien.
Respondenterne havde i et åbent tekstfelt mulighed for at begrunde og uddybe deres svar. Det er
vigtigt at bemærke, at de kvalitative udsagn ikke kan ses som udtryk for et generelt billede, men er
30
SUU, Alm.del - 2019-20 - Bilag 69: Henvendelse af 7/11-19 fra Dansk Psykolog Forening vedr. opfølgning på foretræde om behandlingsansvar for specialpsykologer i psykiatrien
2103730_0032.png
taget med for at komme et skridt nærmere respondenternes overvejelser omkring at søge specialpsy-
kologuddannelsen.
Flere respondenter fortæller i det åbne tekstfelt, at de er interesseret i et andet specialiseringsfelt,
hvorfor specialpsykologuddannelsen ikke er ønskværdig for dem.
Interesseret i et andet felt
”Jeg
vil hellere specialisere mig i psykoterapi.”
”Jeg
er primært interesseret i psykoterapi, hvilket ikke er fokus i specialpsykologuddannelsen.”
”Jeg er
i gang med specialistuddannelse i børneneuropsykologi - så aktuelt ikke interesseret”
”Jeg er
ved at færdiggøre et PhD forløb. Ønsker at fokusere på det, jeg har specialistviden om,
fremfor en bredere uddannelse.”
En række respondenter forklarer, at de ikke ønsker uddannelsesstillingen, da de er tilfredse med deres
nuværende job, og dermed ikke ønsker at forlade det.
Ønsker ikke jobskifte
”Arbejder
i ledelsesstilling jeg ikke er interesseret i at forlade. Arbejder intenst med specialpsy-
kolog implementering.”
ӯnsker
ikke jobskifte. Det, jeg har, kan vist ikke bliver bedre.”
”Har
fast job! Hvis
ikke, var jeg interesseret.”
Andre autoriserede psykologer forklarer i det frie tekstfelt, at de anser psykiatrien for at være en
uattraktiv arbejdsplads. Dette skyldes blandt andet, at de føler, at der er dårlige arbejdsforhold, og at
der fokuseres mere på kvantitet i behandling fremfor kvalitet.
31
SUU, Alm.del - 2019-20 - Bilag 69: Henvendelse af 7/11-19 fra Dansk Psykolog Forening vedr. opfølgning på foretræde om behandlingsansvar for specialpsykologer i psykiatrien
2103730_0033.png
Psykiatrien er en uattraktiv arbejdsplads
”Psykiatrien
er på mange måder ikke en attraktiv arbejdsplads.”
”Som
psykiatrien ser ud i dag er det jo et håbløst arbejdsområde.”
”Ikke
interesseret lige nu pga. arbejdsvilkårene i psykiatrien.”
”Med
mindre politisk- og DJØF ledelse i psykiatrien begynder at fokusere på kvalitet i stedet for
uforholdsmæssig stor fokus på kvantitet i behandlingen af patienterne, er det ikke interessant el-
ler holdbart at vedblive at arbejde i psykiatrien!”
En lang række respondenter udtrykker, at de ikke ønsker en uddannelsesstilling, da de er bekymrede
for, at der hverken er nok psykoterapi i selve uddannelsen eller i det efterfølgende arbejdsliv. Derud-
over beskriver nogle, at der er for meget fokus på de lægefaglige opgaver, herunder medicinering.
Sidstnævnte er ikke korrekt, da specialpsykologer ikke må ordinere medicin
5
.
For lidt psykoterapi
”Jeg synes selve uddannelsen lyder ret spændende (primært kurserne), men arbejdsopgaverne,
primært ved sengeafsnit, i PAM etc. er ikke så interessante for mig, der interesserer mig for psy-
koterapi.”
”Der er for lidt fokus på psykoterapeutiske kompetencer og for meget fokus på lægefaglige op-
gaver.”
”Bekymrer
mig
for ikke at lave nok psykoterapi og mere udredning.”
”Der
er ikke plads til terapeutisk arbejde. Primært diagnosticering
og medicin.”
Positive og negative forhold ved uddannelse og arbejdet
Dette afsnit af undersøgelsen fokuserer på positive og negative aspekter ved specialpsykologuddan-
nelsen og arbejdet som specialpsykolog set med de autoriserede psykologer i psykiatriens øjne. I
spørgeskemaet blev respondenterne først spurgt ind til, hvilke gode ting, de havde hørt om special-
psykologuddannelsen og/eller arbejdsforholdene. Dernæst blev respondenterne spurgt til hvilke dår-
lige ting, de har hørt om specialpsykologuddannelsen og/eller arbejdsforholdene. Resultaterne af de-
res svar præsenteres i dette afsnit.
5
Der er på nuværende tidspunkt ikke lovhjemmel til, at specialpsykologer kan ordinere medicin, men specialpsykolo-
gen kan på delegation fra lægen varetage medicinsk behandling. Dette betyder eksempelvis, at specialpsykologen kan
varetage behandling med et lægemiddel inden for den ramme, der er beskrevet ved lægens ordination. Derudover kan
der være aftalt en ramme, inden for hvilken specialpsykologen selv kan justere den medicinske behandling.
32
SUU, Alm.del - 2019-20 - Bilag 69: Henvendelse af 7/11-19 fra Dansk Psykolog Forening vedr. opfølgning på foretræde om behandlingsansvar for specialpsykologer i psykiatrien
2103730_0034.png
Tabel 4.2: Hvilke gode ting har du hørt om specialpsykologuddannelsen og/eller arbejdsfor-
holdene? (sæt gerne flere krydser)
Uddannelsen har et højt fagligt niveau
Psykologfagligheden bliver anerkendt
Der er
ulighed for at arbejde bredt i de for sit…
Det tværfaglige samarbejde fungerer godt
Der er godt arbejdsmiljø
Der er passende arbejdsmængde/tempo
Andet
God ledelse
0%
21%
21%
17%
13%
10% 20% 30% 40% 50% 60% 70% 80% 90% 100%
33%
58%
71%
83%
Som nævnt ovenfor baserer tabel 4.2 sig på besvarelser fra 24 respondenter, hver respondent har
dog kunnet afgive flere svar, og der er i alt afkrydset 76 svar.
Tabellen viser at lidt over en tredjedel af respondenterne har hørt, at det tværfaglige samarbejde
fungerer godt i psykiatrien. Lidt færre respondenter har hørt godt om arbejdsmiljøet og arbejds-
mængden/-tempo
mere præcist har 21 procent valgt hver svarkategori. 13 procent har hørt, at der
er god ledelse i psykiatrien. Det er altså få af respondenterne, som har hørt, at der er god ledelse el-
ler et godt arbejdsmiljø for specialpsykologer. Ligeledes har en mindre del af respondenterne opfat-
telsen af, at der er et passende arbejdstempo. Disse kvantitative resultater stemmer godt overens
med svarene fra det indledende kvalitative spørgsmål, der viste, at mange af de autoriserede psyko-
loger i psykiatrien ikke har lyst til at tage specialpsykologuddannelsen, da psykiatrien betragtes som
et uattraktivt arbejdsmiljø.
Tabel 4.3: Hvilke dårlige ting har du hørt om specialpsykologuddannelsen og/eller arbejdsfor-
holdene? (sæt gerne flere krydser)
Der kan være dårligt arbejdsmiljø
Psykoterapi fylder ikke nok i arbejdet som specialpsykolog
Psykologfagligheden bliver ikke anerkendt
Mangel på anerkendelse og opbakning fra ledelsen
Der er for stort arbejdstempo/pres
Det tværfaglige samarbejde fungerer ikke
Uddannelsen har et lavt fagligt niveau
Andet
6%
0% 10% 20% 30% 40% 50% 60% 70% 80% 90% 100%
17%
43%
63%
60%
57%
57%
71%
33
SUU, Alm.del - 2019-20 - Bilag 69: Henvendelse af 7/11-19 fra Dansk Psykolog Forening vedr. opfølgning på foretræde om behandlingsansvar for specialpsykologer i psykiatrien
2103730_0035.png
Som nævnt ovenfor baserer tabel 4.3 sig på besvarelser fra 35 respondenter, hver respondent har dog
kunnet afgive flere svar, og der er i alt afkrydset 131 svar.
Tabel 4.3 viser, at 71 procent, svarende til 25 respondenter, har hørt, at der kan være et dårligt ar-
bejdsmiljø som specialpsykolog. Lidt færre respondenter, nemlig 63 procent og 22 respondenter, sva-
rer, at de har hørt, at psykoterapi ikke fylder nok i arbejdet som specialpsykolog. 60 procent har hørt,
at psykologfagligheden ikke bliver anerkendt, det svarer til 21 af respondenterne. 57 procent, sva-
rende til 20 respondenter, har hørt, at der er mangel på anerkendelse og opbakning fra ledelsen til
specialpsykologer i psykiatrien. Lige så stor andel af respondenterne svarer, at de har hørt, at der er
et for højt arbejdstempo og et for stort arbejdspres. 43 procent, svarende til 15 respondenter og altså
lige under halvdelen, svarer, at de har hørt, at det tværfaglige samarbejde ikke fungerer. Kun 17 pro-
cent og dermed 6 respondenter afkrydser svarmuligheden ”uddannelsen har et lavt fagligt niveau”.
Endnu færre, nemlig 6 procent og 2 respondenter, svarer ”andet”.
En lang række af respondenterne skriver, at de har hørt om og frygter problemer med manglende
anerkendelse og indflydelse.
Manglende anerkendelse og indflydelse
”Min
oplevelse er, at psykiatere generelt ser ned på uddannelsen og ikke anerkender den, og slet
ikke hvis den tager noget af deres område.”
”Læger
og sygeplejersker dominerer stadig hospitalsverdenen. Det er en underlig rolle, man får
som specialpsykolog, "de små læger" bliver de kaldt rundt omkring. Hverken psykolog eller
læge.”
”Man
er fortsat ansvarlig for en overlæge - så jeg oplever det som pseudomagt man tildeles. På
bekostning af reel behandlende kontakt med patienterne”
”Hører
ofte, at man bliver sat til opgaver lægerne ikke "gider", men samtidigt ikke bliver aner-
kendt, f.eks. til morgenkonferencer. Man bliver en slags assistent for lægen/overlægen, og ens
faglige inputs bliver ofte ignoreret.”
Andre respondenter har en stor bekymring i forhold til, hvordan specialpsykologuddannelsen og spe-
cialpsykologerne påvirker de andre psykologer, deres anerkendelse, arbejdsforhold og løn.
En enkel respondent slår dog fast, at vedkommende tror, at specialpsykologuddannelsen og special-
psykologerne er løsningen på en presset psykiatri bl.a. præget af lægemangel.
Specialpsykologer er løsningen
”Jeg arbejder
selv som leder i dag og har godt kendskab til manglende rekruttering af læger i
psykiatrien. Specialpsykologfunktionen er helt central at få kørt i stilling som løsnings på læge-
manglen men også i forhold til ledelsesrekruttering.”
34