Sundheds- og Ældreudvalget 2019-20
SUU Alm.del Bilag 595
Offentligt
2255198_0001.png
KL’S UDSPIL OM SUNDHEDSFREMME OG FOREBYGGELSE
JANUAR 2018
KL-UDSPIL
FOREBYGGELSE
FOR FREMTIDEN
SUU, Alm.del - 2019-20 - Bilag 595: Svar på udvalgets opfølgning og spørgsmål til KL’s Sundheds- og Ældreudvalg efter fællesmødet den 10. september 2020
2255198_0002.png
2
6 pejlemærker for fremtidens forebyggelse
Forebyggelse for fremtiden
Forebyggelse for fremtiden
© KL
1. udgave, 1. oplag 2018
Produktion: KL’s Trykkeri
Design: e-Types
Tryk: Rosendahls a/s
Foto: Ingemann/Ørnstrup, Rafael Zajac og Bibi Weissman
KL
Weidekampsgade 10
2300 København S
Tlf. 3370 3370
[email protected]
www.kl.dk
@kommunerne
facebook.com/kommunerne
Produktionsnr. 830292
ISBN 878-87-93668-06-5
ISBN 878-87-93668-07-2-pdf
SUU, Alm.del - 2019-20 - Bilag 595: Svar på udvalgets opfølgning og spørgsmål til KL’s Sundheds- og Ældreudvalg efter fællesmødet den 10. september 2020
Indhold
Forebyggelse for fremtiden
3
INDHOLD
FOREBYGGELSE FOR FREMTIDEN ......................................................... 4
6 PEJLEMÆRKER FOR FREMTIDENS FOREBYGGELSE ........................ 6
FOREBYGGELSE AF KRONISK SYGDOM OG TIDLIG DØD
– HVAD SKAL VI PRIORITERE? .......................................................... 8
PEJLEMÆRKE 1: ALLE SKAL HAVE MULIGHED FOR ET SUNDT
LIV – FÆLLES ANSVAR OG KVALITET I INDSATSEN .......................11
PEJLEMÆRKE 2: ALLE BØRN SKAL HAVE EN SUND START
PÅ LIVET, DER FREMMER DERES TRIVSEL, UDVIKLING
OG LÆRING .......................................................................................17
PEJLEMÆRKE 3: ALLE UNGE SKAL HAVE PLADS I
FÆLLESSKABET OG KOMME GODT PÅ VEJ I
UDDANNELSE OG JOB .....................................................................23
PEJLEMÆRKE 4: FLERE SKAL VÆLGE ET RØGFRIT LIV,
OG INGEN BØRN OG UNGE SKAL BEGYNDE AT RYGE.................29
PEJLEMÆRKE 5: FLERE SKAL DRIKKE MINDRE, OG INGEN
BØRN OG UNGES LIV MÅ SKADES AF ALKOHOL .........................33
PEJLEMÆRKE 6: FLERE SKAL LEVE ET LIV MED BEDRE
MENTAL SUNDHED OG TRIVSEL ....................................................39
SUU, Alm.del - 2019-20 - Bilag 595: Svar på udvalgets opfølgning og spørgsmål til KL’s Sundheds- og Ældreudvalg efter fællesmødet den 10. september 2020
2255198_0004.png
4
Forord
Forebyggelse for fremtiden
FOREBYGGELSE
FOR FREMTIDEN
Sundhed er en forudsætning for, at borgerne kan leve det liv, de
ønsker. For at det lille barn leger og lærer. For at den unge kommer
godt på vej med uddannelse og arbejde. For at den voksne danner
familie og tager del i arbejdsmarkedet og samfundslivet. Og for at
den ældre lever længst muligt i eget liv.
Omvendt kan et dårligt helbred være en hindring for at gøre det,
som giver bedst mening for den enkelte. Og danskernes sundhed
er en af de helt store samfundsudfordringer. Mange lever med fy-
sisk og mental sygdom. Det er en udfordring både for den enkelte
borger og for vores velfærdssamfund, som sættes under pres af
stadigt stigende udgifter til behandling, pleje og omsorg samt til
sygefravær og overførselsindkomster. Især når vi ved, at en stor del
kan forebygges.
I de sidste mange år har det nationale politiske fokus været på syg-
dom og behandling på højt specialiserede sygehuse. Nu er tiden
kommet til at fokusere på at forebygge – og det kræver prioritering
fra alle aktører. Vi har slet ikke råd til at fortsætte med at behandle
os ud af udfordringerne. I stedet skal vi styrke danskernes mulighe-
der for et godt og sundt liv. Det kræver, at vi sætter tidligt ind og tør
investere i forebyggelse for fremtiden.
Borgernes sundhed er et fælles ansvar. Men kommunerne er den
vigtigste offentlige aktør, når vi taler om sundhedsfremme og
forebyggelse i borgerens nærmiljø. Alle borgere er på forskellige
tidspunkter af deres liv i kontakt med kommunen – fx i sundheds-
plejen, dagtilbud, skoler, jobcentre og i ældreplejen. Og alle borgere
færdes i byrummet, i naturen og lever deres liv i vores fælles sam-
SUU, Alm.del - 2019-20 - Bilag 595: Svar på udvalgets opfølgning og spørgsmål til KL’s Sundheds- og Ældreudvalg efter fællesmødet den 10. september 2020
2255198_0005.png
Forord
Forebyggelse for fremtiden
5
fund. Kommunerne har derfor nogle helt unikke muligheder for at
arbejde sundhedsfremmende i den brede – og helt nære – kontakt
til borgerne.
De muligheder har vi udnyttet. Siden kommunerne i 2007 fik ansva-
ret for forebyggelse, har vi i den grad løftet området med indsatser
i hele kommunen baseret på faglige anbefalinger om, hvad der har
størst effekt for borgernes sundhed. Men det er for tidligt at hvile
på laurbærrene. Vi er langt fra i mål.
Med dette udspil ønsker KL at sætte en fælles retning for kommu-
nernes fortsatte arbejde med at styrke forebyggelsen. Udspillet ind-
byder til en politisk drøftelse i kommunalbestyrelserne om, hvor-
dan den enkelte kommune fremadrettet kan skabe endnu mere
systematik og bedre kvalitet i forebyggelsesindsatsen på tværs af
fagområder.
Samtidig ønsker vi at markere, at kommunerne sammen med sta-
ten, regionerne og civilsamfundet har et fælles ansvar for en samlet
forebyggelsesindsats. Ligesom individet naturligvis har ansvar for
egen sundhed.
God læselyst og god arbejdslyst!
Martin Damm
Kristian Wendelboe
SUU, Alm.del - 2019-20 - Bilag 595: Svar på udvalgets opfølgning og spørgsmål til KL’s Sundheds- og Ældreudvalg efter fællesmødet den 10. september 2020
6
6 pejlemærker for fremtidens forebyggelse
Forebyggelse for fremtiden
6 PEJLEMÆRKER
FOR FREMTIDENS
FOREBYGGELSE
Det går den rigtige vej med danskerens sundhed. Vi lever længere
og har flere gode leveår end for 20 år siden. Men den positive ud-
vikling går for langsomt. I dag er middellevetiden i Danmark lavere
end i de lande, vi normalt sammenligner os med. Stadig flere bor-
gere lever med kroniske sygdomme som diabetes, kræft, hjertekar
og KOL, og vi oplever en stigende social ulighed i sundhed. Samtidig
ser vi en bekymrende udvikling inden for den mentale sundhed,
hvor stadig flere mistrives, er ensomme, har stress eller lider af
angst og depression.
Langt de fleste børn og unge trives og har et godt helbred. Forsk-
ning viser dog, at udviklingen særligt hos nogle grupper af børn
og unge går den forkerte vej – både hvad angår den fysiske og den
mentale sundhed. Der er i dag – sammenlignet med for 10-15 år –
siden færre børn og unge, som oplever, at de har et rigtig godt hel-
bred, og flere har symptomer på dårlig mental sundhed. Samtidig
tager mange børn og unge usunde vaner med sig ind i voksenlivet.
De er derfor i risiko for at udvikle kronisk sygdom, når de bliver
ældre.
De kroniske sygdomme kan i vid udstrækning forebygges – ikke
mindst ved ændringer i vores livsstil. Der er derfor behov for, at
forebyggelsesindsatsen i Danmark kommer op i et endnu højere
gear, så fremtidens generationer kan se frem til flere gode leveår.
KL foreslår derfor seks pejlemærker for forebyggelse for fremtiden.
Pejlemærkerne sætter en fælles retning for, hvordan kommunerne
kan gøre en mærkbar forskel for borgernes sundhed og er en invita-
tion til lokalt og nationalt at drøfte, hvordan vi i fællesskab investe-
rer i forebyggelsen og tager et medansvar som borger, civilsamfund,
erhvervsliv, stat, region og – ikke mindst – kommuner.
Samspil med KL’s øvrige politiske udspil
Enhver prioritering indebærer fravalg. Med udspillet er det priorite-
ret at sætte fokus på børn og unge samt tobak, alkohol og mental
sundhed. Det er helt centrale målgrupper og livsstilsfaktorer for
kommunernes sundhedsfremme- og forebyggelsesindsats. Det
betyder ikke, at andre områder, som fx forebyggelsestilbud til bor-
gere med kronisk sygdom eller fysisk aktivitet, ikke også er vigtige.
Udspillet skal således ses i sammenhæng med KL’s øvrige udspil
om det nære sundhedsvæsen, socialområdet, kultur og fritid samt
beskæftigelse, der dækker nogle af de områder, som ikke er i fokus i
”Forebyggelse for fremtiden”.
SUU, Alm.del - 2019-20 - Bilag 595: Svar på udvalgets opfølgning og spørgsmål til KL’s Sundheds- og Ældreudvalg efter fællesmødet den 10. september 2020
2255198_0007.png
6 pejlemærker for fremtidens forebyggelse
Forebyggelse for fremtiden
7
KL’S 6 PEJLEMÆRKER:
1. Alle skal have mulighed for et sundt liv – fælles ansvar og kvalitet i indsatsen
2. Alle børn skal have en sund start på livet, der fremmer deres trivsel, udvikling og læring
3. Alle unge skal have plads i fællesskabet og komme godt på vej i uddannelse og job
4. Flere skal vælge et røgfrit liv, og ingen børn og unge skal begynde at ryge
5. Flere skal drikke mindre, og ingen børn og unges liv må skades af alkohol
6. Flere skal leve et liv med bedre mental sundhed og trivsel
SUU, Alm.del - 2019-20 - Bilag 595: Svar på udvalgets opfølgning og spørgsmål til KL’s Sundheds- og Ældreudvalg efter fællesmødet den 10. september 2020
2255198_0008.png
8
Forebyggelse af kronisk sygdom og tidlig død – hvad skal vi prioritere?
Forebyggelse for fremtiden
FOREBYGGELSE AF
KRONISK SYGDOM OG
TIDLIG DØD – HVAD
SKAL VI PRIORITERE?
Hvad dør vi af – og hvad lever vi med?
Cirka 1,7 millioner danskere – hver tredje af
os – lever i dag med en eller flere kroniske
sygdomme. Blandt ældre har op mod halv-
delen kronisk sygdom og hver fjerde lider af
mere end én kronisk sygdom.
De sygdomme, som befolkningen hyppigst
dør af, er hjertekarsygdom, lungesygdom,
kræft, diabetes og demenssygdom.
De sygdomme, som flest lider af, er muskel-
skeletlidelser, migræne og mentale sund-
hedsudfordringer, og det er disse sygdom-
me, der er årsag til flest sygedage.
Der er stor social ulighed i sygdom. Borgere
med kort uddannelse dør cirka seks år tidli-
gere end dem med lang uddannelse. De får
langt oftere lungesygdom, diabetes og hjer-
tekarsygdom og rammes oftere af misbrug
og leversygdom. De har også betydelig
oftere muskelskeletlidelser og mentale li-
delser end den øvrige befolkning. Op imod
2/3 af den sociale ulighed i dødelighed kan
tilskrives tobak og alkohol.
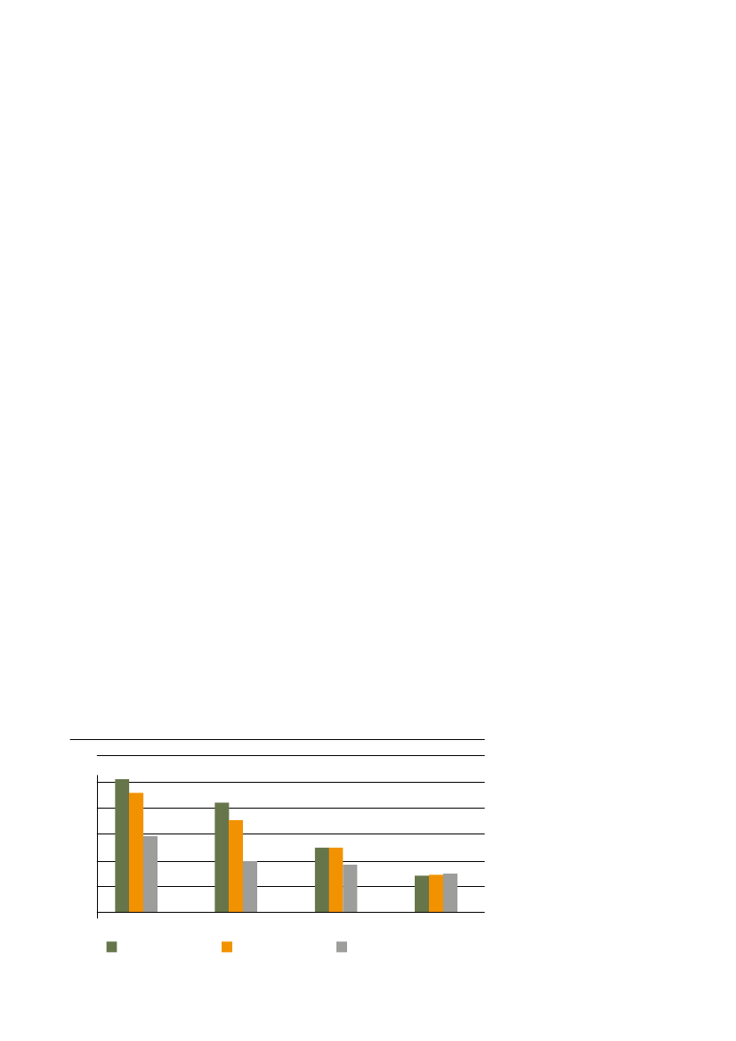
› Sygedage i Danmark på grund af udvalgte sygdomme (antal sygedage pr. år).
Lænderygsmerter
Nakkesmerter
Migræne
Slidgigt
Angst
Depression
Misbrug
Diabetes
Iskæmisk
hjertesygdom
Apopleksi
Astma
KOL
Lungekræft
0
1 mio.
2 mio.
3 mio.
4 mio.
5 mio.
6 mio.
Kilde: Sygdomsbyrden i Danmark - Sygdomme. Statens Institut for Folkesundhed og Sund-
hedsstyrelsen, 2015.
SUU, Alm.del - 2019-20 - Bilag 595: Svar på udvalgets opfølgning og spørgsmål til KL’s Sundheds- og Ældreudvalg efter fællesmødet den 10. september 2020
2255198_0009.png
Forebyggelse af kronisk sygdom og tidlig død – hvad skal vi prioritere?
Forebyggelse for fremtiden
9
Hvad har betydning for, at kronisk
sygdom udvikles?
Vi lever generelt længere, og det har stor
betydning for, at stadig flere får kroniske
sygdomme. Sygdommene kan dog i vid
udstrækning forebygges – ikke mindst ved
ændringer i vores livsstil. Rygning er den
enkeltfaktor, der har størst negativ betyd-
ning for folkesundheden, men også fysisk
inaktivitet og for meget alkohol har stor
betydning for, om borgerne dør for tidligt.
Desuden kan en betydelig del af musket-
skeletlidelser forebygges ved at undgå fy-
sisk inaktivitet, overvægt og rygning.
Det er vanskeligt at pege på konkrete en-
keltstående faktorer, der kan forebygge
mentale lidelser som angst og depression
samt demenssygdomme. Forebyggelse er
her knyttet til sikring af gode opvækstvilkår,
gode sociale relationer, gode vilkår i ar-
bejdslivet, mulighed for støtte i livets kriser,
forebyggelse af alkohol- og stofmisbrug og
fokus på fysisk aktivitet.
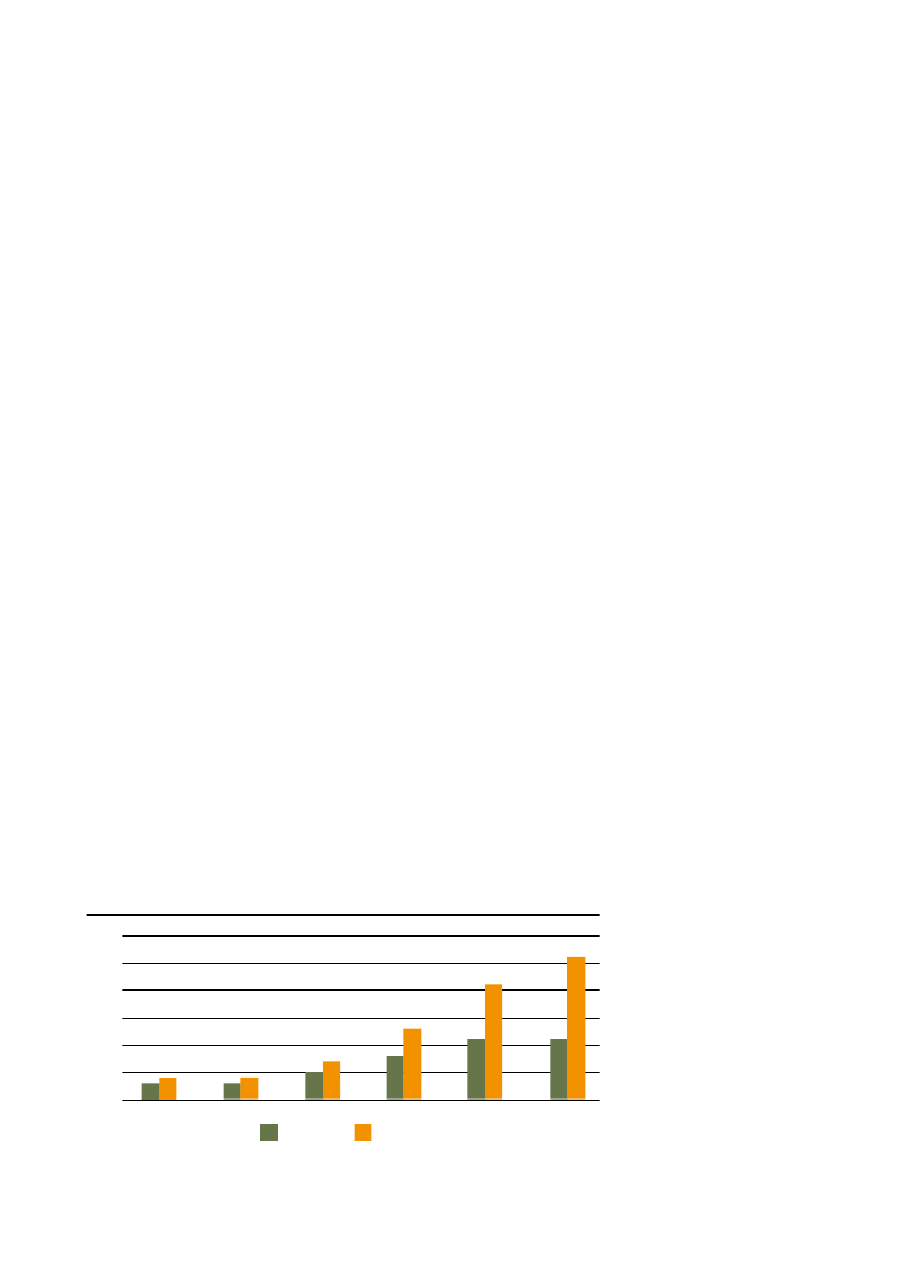
› Betydningen af forskellige risikofaktorer for tab i middellevetid blandt kvinder og
mænd (måneder). Justeret for rygning, alkohol, fysisk inaktivitet og BMI
Rygning
Fysisk inaktivitet
Alkohol
Dårlig mental
sundhed
Stofmisbrug
Ensomhed
Svær overvægt
0
5
10
15
20
25
30
35
40
45
Kvinder
Mænd
Kilde: Sygdomsbyrden i Danmark - risikofaktorer. Statens Institut for Folkesundhed, SDU og
Sundhedsstyrelsen, 2016.
Hvad skal vi prioritere i forebyggelsen?
Kommunerne kan bidrage væsentligt til
at fremme folkesundheden, dvs. fremme
trivsel og sundhed og forebygge sygdom
og for tidlig død. Indsatsen bør prioriteres i
forhold til de væsentligste risikofaktorer og
lidelser:
Rygning
For meget alkohol
Fysisk inaktivitet
Overvægt
Dårlig mental sundhed
Muskelskeletlidelser
Forebyggelsesindsatsen i kommunerne
› Etablere sunde rammer for borgernes liv
› Arbejde sundhedsfremmende i alle kontakter med borgerne
› Implementere forebyggelsestilbud til borgere med særlige behov
SUU, Alm.del - 2019-20 - Bilag 595: Svar på udvalgets opfølgning og spørgsmål til KL’s Sundheds- og Ældreudvalg efter fællesmødet den 10. september 2020
2255198_0010.png
10
Pejlemærke 1: Alle skal have mulighed for et sundt liv – fælles ansvar og kvalitet i indsatsen
Forebyggelse for fremtiden
Når man har et sundt liv, hvor
man spiser sundt og dyrker motion,
har man meget mere overskud. Man
er meget gladere, man sover bedre,
man har mere sex – man kan bare alt
bedre” - Claes, 43 år
SUU, Alm.del - 2019-20 - Bilag 595: Svar på udvalgets opfølgning og spørgsmål til KL’s Sundheds- og Ældreudvalg efter fællesmødet den 10. september 2020
2255198_0011.png
Pejlemærke 1: Alle skal have mulighed for et sundt liv – fælles ansvar og kvalitet i indsatsen
Forebyggelse for fremtiden
11
01 /
ALLE SKAL HAVE MULIGHED
FOR ET SUNDT LIV
– FÆLLES ANSVAR OG
KVALITET I INDSATSEN
Mange har et ønske om et sundere liv. Men det kan være svært at realisere ambitionerne om at
være mere fysisk aktiv, spise sundere, drikke mindre alkohol og stoppe med at ryge. Og når det
kommer til den mentale sundhed, lever mange danskere med stress, angst og depression. Med
pejlemærke 1 sættes fokus på, at alle aktører skal forene kræfterne og prioritere investeringer i
sundhedsfremme og forebyggelse. Kun derigennem kan vi sikre, at flere får en god livskvalitet, og
at færre skal leve med kronisk sygdom i fremtiden.
Vores sundhed er påvirket af mange for-
hold: Alder, køn og arvelige faktorer, vores
relationer til andre mennesker samt over-
ordnede samfundsforhold og levevilkår så
som boligforhold, uddannelse og arbejds-
miljø. Endelig – og ikke mindst – har vores
livsstil stor betydning.
Fordi livsstil spiller en så stor rolle, kan
vi ved at leve sundere forebygge, at så
mange bliver syge fremover. Det er dog
ikke altid let at leve sundt. Vores livsstil er
påvirket af hverdagslivets indretning og
de mennesker, vi er omgivet af. Og nogle
grupper i befolkningen har bedre helbred
og flere ressourcer end andre til at leve
sundt.
Kommunen kan medvirke til at reducere
den sociale ulighed i sundhed. Dels ved
at sikre sunde rammer for alle og derved
fremme sundheden i hele befolkningen.
Dels ved at have fokus på, at nogle bor-
gere har brug for lidt mere end andre, hvis
der skal være lige muligheder for alle. Den
brede indsats i forhold til tobak, alkohol og
mental sundhed vil medvirke betydeligt til
at fremme sundheden – også hos grupper
med færre ressourcer – mens opsøgende
rekruttering og målrettede forebyggelsestil-
bud tæt på borgerne vil understøtte sund-
heden hos dem, der har særlig behov.
Borgerne som aktive medskabere af en
sundere hverdag
Det er først og fremmest det enkelte
menneske, der har ansvar for eget liv og
sundhed. Borgerne er en vigtig samarbejds-
partner til at finde løsninger, der kan skabe
sunde rammer for hverdagslivet. Borgernes
deltagelse i kulturliv og foreninger og som
frivillige kan være med til at skabe mening
i den enkeltes liv og sammenhængskraft i
› Social ulighed i rygning, overvægt og dårlig mental sundhed blandt 25+ årige opgjort i
forhold til længde af uddannelse (%)
30
25
20
15
10
5
0
Grundskole
Daglig rygning
Kort uddannelse
Svær overvægt
Mellemlang
uddannelse
Lang uddannelse
Dårligt mentalt helbred
Kilde: Den Nationale Sundhedsprofil, 2013.
SUU, Alm.del - 2019-20 - Bilag 595: Svar på udvalgets opfølgning og spørgsmål til KL’s Sundheds- og Ældreudvalg efter fællesmødet den 10. september 2020
2255198_0012.png
12
Pejlemærke 1: Alle skal have mulighed for et sundt liv – fælles ansvar og kvalitet i indsatsen
Forebyggelse for fremtiden
lokalsamfundene. Og borgernes involve-
ring i indretningen af kommunens boligom-
råder og landskab samt i kommunale råd
og bestyrelser har betydning for, hvordan
kommunen kan bidrage til at styrke bor-
gernes sundhed. Aktivt medborgerskab og
borgerinddragelse er derfor centralt i kom-
munernes arbejde for at fremme borgenes
sundhed.
NÆSTEN TRE UD AF FIRE KOMMUNER
BEDER BORGERE OM HJÆLP OG INSPIRA-
TION, NÅR DER SKAL TRÆFFES BESLUT-
NINGER PÅ ALLE POLITIKOMRÅDER LIGE
FRA BYUDVIKLING OVER ÆLDREPOLITIK
TIL BØRN OG UNGE.
KILDE: ALTINGET OG
MANDAG MORGEN, 2017.
Fælles ansvar for flere sunde leveår
Mange andre aktører spiller også en vigtig
rolle i borgernes sundhed. Med de natio-
nale mål for sundhedsområdet har vi sam-
men en fælles forpligtelse til at skabe flere
sunde leveår.
Hvis vi for alvor skal fremme folkesundhe-
den, skal staten i højere grad anvende struk-
turelle tiltag via lovgivning og afgifter; tiltag
som forskning peger på som virksomme.
Derudover skal Sundhedsstyrelsen – og
andre relevante styrelser – fortsat gennem-
føre kampagner og samle og formidle faglig
viden om folkesundheden, risikofaktorer
og virkningsfulde indsatser. Regionerne har
ansvaret for en del af den patientrettede
forebyggelse, og almen praksis er en vigtig
medspiller for kommunerne i det forebyg-
gende arbejde i det nære sundhedsvæsen.
Der er behov for, at almen praksis og syge-
huse i højere grad henviser relevante bor-
gere til de kommunale forebyggelsestilbud
og sammen med kommunerne sikrer et
sammenhængende forløb for borgere, der
er blevet syge.
En lang række aktører i civilsamfundet spil-
ler også en vigtig rolle. Foreningslivet giver
borgerne muligheder for at dyrke motion
eller andre interesser sammen med andre.
Patientforeninger og NGO’er arbejder med
sundhedsfremme og sygdomsforebyggelse
og er vigtige samarbejdspartnere både
lokalt og nationalt. Desuden kan erhvervsli-
vet bidrage til at promovere sunde vaner og
begrænse udbuddet af fastfood, slik, soda-
vand, tobak og alkohol.
› Danskernes holdning til at det er det offentliges ansvar at fremme sund livsførelse (%)
Uenig
Enig
0
10
20
30
40
50
60
70
Kilde: Mellem Broccoli og Bajere – forebyggelse ifølge danskerne, Mandag Morgen og TrygFon-
den, 2017.
Bedre samarbejde på tværs i kommunen
Sundhed er en forudsætning for, at borger-
ne kan leve det liv, de ønsker. God sundhed
fremmer børns udvikling og læring, unges
vej i uddannelse og job, voksnes arbejds-
markedsparathed og ældres funktionsevne.
Sundhed er derfor også et middel til at løse
kerneopgaven på tværs af fagområder i
kommunen. Og borgernes sundhed påvir-
kes af den indsats, der foregår i hele kom-
munen.
Sundhedsfremme og forebyggelse er der-
for en opgave, som kun kan løses, hvis den
integreres i hele den kommunale opgaveva-
retagelse. Alle fagområder har et ansvar.
Samtidig er kommunen også en stor ar-
bejdsplads. Også her er der et potentiale
i, at medarbejdere og ledere i kommunen
finder løsninger for at styrke den fysiske og
mentale sundhed på arbejdspladsen.
Den tværgående opgave med sundheds-
fremme og forebyggelse i kommunen har
nogle steder været udfordret af store refor-
mer, pres på driften og andre forandringer
inden for de enkelte fagområder. Det er
› Kommuner, der vurderer, at mental sundhed og fysisk aktivitet i stor udstrækning
indgår som en integreret del af indsatsen i de forskellige fagområder (%)
Beskæftigelse
Ældre
Kultur og fritid
Skole
Dagtilbud
Sundhedsplejen
10
20
Mental sundhed
40
60
Fysisk altivitet
80
Kilde: Monitoreringen af kommunernes forebyggelsesindsats. Statens Institut for Folkesund-
hed, Syddansk Universitet, 2017.
SUU, Alm.del - 2019-20 - Bilag 595: Svar på udvalgets opfølgning og spørgsmål til KL’s Sundheds- og Ældreudvalg efter fællesmødet den 10. september 2020
2255198_0013.png
Pejlemærke 1: Alle skal have mulighed for et sundt liv – fælles ansvar og kvalitet i indsatsen
Forebyggelse for fremtiden
13
derfor vigtigt med politisk og ledelsesmæs-
sigt fokus samt de nødvendige ressourcer
til opgaven.
Brug af bedste viden og systematik i
indsatsen
Vi ved, hvad der gør danskerne syge, og
sundhedsprofilundersøgelsen, der gen-
nemføres hver fjerde år, giver viden om
kommunens egne borgeres livsstil og sund-
hedsudfordringer. Fordi forebyggelsesind-
satsen ofte er integreret som en del af op-
gaveløsningen på tværs af kommunen, og
effekten af indsatsen ofte først kan forven-
tes efter en årrække, er det vigtigt at basere
arbejdet på viden om, hvilke indsatser der
har positiv effekt for borgernes sundhed.
Her er Sundhedsstyrelsens forebyggelses-
pakker et værdifuldt redskab. Det er oplagt,
at bruge dette solide vidensgrundlag til at
sætte retningen for, hvordan kommunen
fremmer borgernes sundhed.
Mange kommuner har tilpasset indsatsen
i forlængelse af de faglige anbefalinger.
Der er dog behov for at styrke indsatsen
yderligere med et kritisk blik på, om der er
tilstrækkelig kvalitet i implementeringen
af indsatserne. Herunder at indsatserne
implementeres systematisk i alle relevante
fagområder og institutioner, og at ledelse
og medarbejdere har kompetencer til at
kunne løfte opgaven, så indsatsen når de
rette borgere.
Behov for nationale standarder og
videndeling
Kommunerne har stor gavn af at dele er-
faringer om, hvordan vidensbaserede ind-
satser bedst bliver implementeret i driften.
Over halvdelen af kommunerne er medlem
af Sund by Netværket og deler erfaringer
i netværkets temagrupper. KL understøt-
ter vidensdeling på tværs af kommuner og
fagområder via Center for Forebyggelse i
praksis.
Fordi sundhedsfremme og forebyggelse er
integreret i indsatser i hele kommunen, er
der behov for at kunne dele og bruge data
på tværs af fagområder. Der bør nationalt
udvikles værktøjer, der kan understøtte en
ensartet datadrevet forebyggelse og sund-
hedsfremme i kommunerne med fokus
på effekt. Samtidig vil nationalt udviklede
standarder for monitorering og indikatorer
for effekt af indsatserne forbedre mulighe-
derne for at følge indsatser over tid og dele
erfaringer kommuner imellem.
› Kommuner, der vurderer, at de i høj eller nogen grad lever op til anbefalingerne i
Sundhedsstyrelsens forebyggelsespakker i henholdsvis 2013 og 2017 (%)
100
90
80
70
60
50
40
30
20
10
0
Mental
sundhed
Mad og
måltider
2013
Alkohol
2017
Fysisk
aktivitet
Tobak
Kilde: Monitoreringen af kommunernes forebyggelsesindsats. Statens Institut for Folkesund-
hed, Syddansk Universitet, 2017
SUU, Alm.del - 2019-20 - Bilag 595: Svar på udvalgets opfølgning og spørgsmål til KL’s Sundheds- og Ældreudvalg efter fællesmødet den 10. september 2020
2255198_0014.png
14
Pejlemærke 1: Alle skal have mulighed for et sundt liv – fælles ansvar og kvalitet i indsatsen
Forebyggelse for fremtiden
Samarbejde mellem sundhed og be-
skæftigelse for mere lighed i sundhed
› I Aalborg Kommune samarbejder sund-
heds- og beskæftigelsesområdet om
indsatser, der styrker sundhed og arbejds-
markedsparathed hos borgere uden for
arbejdsmarkedet. Fremskudte medarbej-
dere fra Aalborg Sundhedscenter, Center
for Mental sundhed og misbrugscenteret
er placeret fysisk i jobcenteret. Her taler
de med borgerne om deres fysiske og
mentale sundhed samt eventuelle mis-
brugsproblemer. Hvis borgeren har brug
for mere hjælp, bliver de henvist til rele-
vante tilbud i kommunen.
Sundhed som del af den boligsociale
helhedsplan
› Silkeborg Kommune samarbejder med
to boligforeninger om en boligsocial hel-
hedsplan. Planen fremmer udviklende
fællesskaber, den almene sundhed, inklu-
sion i samfundet, og bidrager til at bebo-
ere bliver mere selvhjulpne. Aktiviteterne
sker i et samarbejde mellem beboerne
selv, frivillige i området, lokale institutio-
ner, boligorganisationerne og kommunen.
Erfaringerne er, at aktiviteterne styrker det
sociale samvær i boligområdet og har en
positiv betydning for beboernes oplevel-
se af deres nærmiljø.
Klimatilpasning i Kokkedal øger mulig-
heder for fysisk aktivitet
› Fredensborg Kommune kombinerer regn-
vandsopsamling med borgernes mulighe-
der for at være fysisk aktive i grønne områ-
der og attraktiv arkitektur. Regnvandstekni-
ske løsninger tænkes sammen med bedre
adgang til grønne ådalsområder og aktive
byrum omkring kommunale bygninger og
i en række lokale boligområder. Eksempel-
vis kan pladser omkring skoler aflede regn-
vand og samtidig fungere som et attraktivt
uderum for leg og undervisning.
KL ANBEFALER
TIL KOMMUNERNE:
at kommunalbestyrelsen tager stilling til, hvordan kommunen kan fremme alle borgeres mulighed for et sundt liv samt skabe mere
lighed i sundhed (pejlemærke 1)
at kommunen systematisk integrerer sundhedsfremme og forebyggelse på tværs af opgaveløsningen i hele kommunen og sikrer
den nødvendige ledelsesmæssige opbakning og ressourcer hertil
at kommunen prioriterer indsatser, hvor der eksisterer solid viden om effekt og sikrer høj kvalitet i implementeringen
at kommunen styrker muligheder for sikker deling og brug af relevante data på tværs af fagområder.
TIL ANDRE AKTØRER:
at staten i højere grad anvender strukturelle forebyggelsestiltag i arbejdet med at forbedre folkesundheden, herunder at skabe lov-
givningsmæssige rammer for at gøre det sunde valg lettere
at staten og forskningsmiljøerne tilvejebringer ny viden om virksomme forebyggelsesindsatser og indsatsernes implementering i
praksis
at der nationalt udvikles standarder for monitorering og indikatorer for effekt af sundhedsfremme og forebyggelse
at sygehuse og almen praksis i højere grad henviser til de kommunale forebyggelsestilbud og sammen med kommunerne sikrer
et sammenhængende forløb for borgere, der er blevet syge.
SUU, Alm.del - 2019-20 - Bilag 595: Svar på udvalgets opfølgning og spørgsmål til KL’s Sundheds- og Ældreudvalg efter fællesmødet den 10. september 2020
2255198_0015.png
Pejlemærke 1: Alle skal have mulighed for et sundt liv – fælles ansvar og kvalitet i indsatsen
Forebyggelse for fremtiden
15
SUU, Alm.del - 2019-20 - Bilag 595: Svar på udvalgets opfølgning og spørgsmål til KL’s Sundheds- og Ældreudvalg efter fællesmødet den 10. september 2020
2255198_0016.png
16
Pejlemærke 2: Alle børn skal have en sund start på livet, der fremmer deres trivsel, udvikling og læring
Forebyggelse for fremtiden
I vores klasse er der tit mange,
der er meget urolige, så bliver der
larm og støj, og folk begynder at rejse
sig op, fordi de er meget ukoncentre-
rede. Men når man så har bevæget
sig, så er der meget mere arbejdsro, og
så lærer man mere” - Anthon 9 år
SUU, Alm.del - 2019-20 - Bilag 595: Svar på udvalgets opfølgning og spørgsmål til KL’s Sundheds- og Ældreudvalg efter fællesmødet den 10. september 2020
2255198_0017.png
Pejlemærke 2: Alle børn skal have en sund start på livet, der fremmer deres trivsel, udvikling og læring
Forebyggelse for fremtiden
17
02 /
ALLE BØRN SKAL HAVE EN
SUND START PÅ LIVET, DER
FREMMER DERES TRIVSEL,
UDVIKLING OG LÆRING
Barndommen er afgørende for, hvordan vi lykkes senere i livet. Det er vigtigt, at vi som samfund in-
vesterer i fremtidens generationer – og det kræver en tidlig og forebyggende indsats. Kommunerne
er i tæt berøring med børn og familiers liv og hverdag. Det gælder lige fra det første besøg af sund-
hedsplejen og gennem årene i dagtilbud og folkeskole. Derfor har pejlemærke 2 fokus på, hvordan vi
bruger denne mulighed på den rigtige måde i forhold til at fremme alle børns sundhed, udvikling og
læring.
Forældrene spiller hovedrollen i børns mu-
ligheder for at trives, udvikle sig og lære.
Kommunen kan med børne- og sundheds-
politikker medvirke til at fremme familier-
nes muligheder for et sundt og aktivt liv.
Særligt for sårbare familier har også social-
og beskæftigelsespolitikken betydning
for, at disse børn får lige muligheder for en
sund opvækst, og at familierne får den rette
støtte inden problemerne udvikler sig.
De lokale politiske målsætninger danner
rammen for samarbejdet mellem kommu-
nens fagprofessionelle og forældrene. En
vigtig del af det gode forældresamarbejde
er, at medarbejdere i dagtilbud og skole har
kompetencer til at gå i dialog om, hvilken
betydning familiens prioriteringer og vaner
har for barnets fremadrettede trivsel og
sundhed.
Sundhedsudfordringer hos børn i
indskolingen
› 12% bliver mobbet eller drillet
› 10% har ikke en alderssvarende mo-
torik
› Hos 5% er der en bekymring i forhold
til forældre-barn-relationen
› 12% er udsat for passiv rygning i
hjemmet
Kilde: Databasen Børns Sundhed. Data
på børn i indskolingen 2015/16 fra
sundhedsplejen i 13 kommuner. Statens
Institut for Folkesundhed, 2017.
ligheder for at udvikle sig fysisk, mentalt og
kognitivt. Igennem hele barndommen er
det vigtigt, at sårbare og udsatte børn er en
del af almenfællesskabet. De fagprofessio-
nelle som er omkring barnet skal sammen
med forældrene have et fælles ambitions-
niveau og fokus på barnets sundhed, læring
og trivsel.
Der er i højere grad behov for at investere
i indsatser i den tidlige barndom, frem for
først at tilbyde hjælp, når problemer har
udviklet sig igennem opvæksten. Kommu-
nen kan igennem sundhedspleje og dagtil-
bud samarbejde med sårbare familier om
at fremme familiernes muligheder for et
sundt liv. Et godt tværfagligt samarbejde er
vigtigt i en tidlig indsats til børn, der mistri-
ves. Samtidig har almen praksis og jorde-
mødre en central betydning for at støtte op
om sårbare og udsatte familiers sundhed.
Der er behov for en styrket koordinering af
indsatserne mellem sektorerne – allerede
under graviditeten.
Betydningen af social baggrund skal
mindskes
Det er veldokumenteret, at social ulighed
i sundhed har betydning allerede under
graviditeten og i de tidlige år for børns mu-
SUU, Alm.del - 2019-20 - Bilag 595: Svar på udvalgets opfølgning og spørgsmål til KL’s Sundheds- og Ældreudvalg efter fællesmødet den 10. september 2020
2255198_0018.png
18
Pejlemærke 2: Alle børn skal have en sund start på livet, der fremmer deres trivsel, udvikling og læring
Forebyggelse for fremtiden
Min sundhedsplejer-
ske gav mig ekstra støtte
og opbakning. Jeg havde
tillid til hende og jeg kunne
læne mig 100 procent op
ad hende. Hun hjalp mig
med at sætte hverdagen
i system, og hun gav mig
troen på, at jeg gjorde det
godt nok som mor. Mine
børn har fået et meget sta-
bilt liv takket være den
støtte, jeg fik i de år”
- Maja, 32 år
De sundhedsprofessionelles viden skal
bedre i spil på tværs
Alle børnefamilier får igennem kommunens
sundhedspleje og tandpleje en aktiv støtte
og vejledning til børnenes sundhed. En ind-
sats, der har stor betydning for at fremme
børnenes sundhed her og nu og for at etab-
lere sunde vaner for resten af livet.
Kommunerne kan blive bedre til at an-
vende de sundhedsprofessionelles viden,
kompetencer og data på tværs af fagom-
råder for at støtte op om familierne. Sund-
hedsfaglige kompetencer kan bidrage til
at fremme børnenes sundhed og trivsel i
dagtilbud og skole. Der er behov for øget
deling af viden og samarbejde mellem
sundhedspleje, tandpleje, dagtilbud, skole
og det sociale område.
Fremme af børns tro på sig selv og
robusthed til at klare livet
God mental sundhed er vigtig for at trives
i hverdagen og være godt rustet til at over-
komme livets udfordringer. Børn opbygger
deres mentale sundhed ved at opleve at
være en del af fællesskaber, hvor de bliver
anerkendt for dem, de er, og hvor de kan
udfolde og udvikle deres evner socialt, fy-
sisk og kognitivt. Samtidig er det vigtigt, at
barnet er omgivet af et godt netværk med
familie og venner, hvor de kan have det
sjovt og har nogle at betro sig til, når livet
er svært.
Kommunen kan i dagtilbud og skoler støtte
op om børns mentale sundhed med inklu-
derende udviklings- og læringsfællesskaber,
hvor barnets selvværd og sociale kompe-
tencer styrkes. Data fra sundhedsplejen og
de nationale trivselsmålinger i folkeskolen
kan med fordel anvendes til en mere syste-
matisk tilgang til børns trivsel.
Børns trivsel i skolen
› To ud af tre elever har en god trivsel,
et godt fællesskab med de andre ele-
ver og lærerne og oplever: at være in-
volveret, at lære mere, at være kom-
petente og være uden smerte.
› Hver 7. elev oplever en lav grad af
trivsel og fællesskab med de øvrige
elever og lærerne. Disse elever føler
sig typisk ikke som del af timerne, fri-
kvarterne og festerne og er i høj risiko
for mistrivsel og social isolation.
Kilde: Elevernes fællesskab og trivsel i
skolen – Analyser af Den Nationale Triv-
selsmåling. Dansk Center for Undervis-
ningsmiljø, 2017.
SUU, Alm.del - 2019-20 - Bilag 595: Svar på udvalgets opfølgning og spørgsmål til KL’s Sundheds- og Ældreudvalg efter fællesmødet den 10. september 2020
2255198_0019.png
Pejlemærke 2: Alle børn skal have en sund start på livet, der fremmer deres trivsel, udvikling og læring
Forebyggelse for fremtiden
19
› Overvægt hos skolebørn opgjort efter forældrenes socialgruppe (%)
16
14
12
10
8
6
4
2
0
Socialgruppe I og II
Socialgruppe III og IV
Socialgruppe V og VI
I stort set alle kommuner er der et sund-
hedstilbud til børn med overvægt og deres
familier, men det svært at tage ved lære af
overvægtstilbud på tværs af kommuner.
Det skyldes at der findes mange forskellige
metoder til at evaluere effekten. Nationalt
er der derfor behov for at udvikle fælles in-
dikatorer for evaluering og for at prioritere
forskning i virkningsfulde kommunale over-
vægtstilbud til børn. Yderligere mangler der
en afklaring af, hvordan ansvaret for be-
handling af børn med svær overvægt skal
fordeles mellem sygehuse, almen praksis
og kommuner.
En aktiv fritid for alle børn
Kommunen spiller en vigtig rolle i at støtte
op om et varieret og inkluderende for-
eningsliv, hvor alle børn kan dyrke deres
fritidsinteresser i fællesskab med andre.
Desværre er der en stigende polarisering i,
hvem der deltager i foreningslivet. Her har
faktorer som forældrenes uddannelses-
niveau og tilknytning til arbejdsmarkedet
betydning. Der er behov for, at kommuner-
ne sammen med foreninger bliver bedre til
give sårbare børn og deres familier mulig-
hed for blive en del af foreningslivet.
Kilde: Skolebørnsundersøgelsen, Statens Institut for Folkesundhed, 2015. Socialgruppe er opgjort
efter forældrenes erhverv og tilknytning til arbejdsmarkedet.
Sunde vaner til resten af livet skal
opbygges tidligt
Tiden i dagtilbud og skole er et godt læ-
ringsrum for, at børn opbygger sunde vaner.
Børn i dagtilbud får appetit på sundheden
gennem leg og hverdagsaktiviteter, der
udfordrer motorikken og deres smagsløg.
Til brug i skolen findes velafprøvede under-
visningsmaterialer, der kan anvendes til at
styrke elevernes sundhedskompetencer,
madkundskab og mod til at sige fra over for
gruppepres i forhold til tobak, alkohol, rus-
midler og mobning.
Folkeskolereformen har udvidet kravet om,
at fysisk aktivitet skal integreres som del af
skoledagen, så børnene bruger deres krop
og får pulsen op i løbet af dagen. Reformen
lægger også vægt på at åbne skolen mod
lokalsamfundet. Her har mange skoler
gode erfaringer med at invitere fx lokale
idrætsforeninger ind som del af undervis-
ningen for at vække elevernes interesse for
fysisk aktivitet og foreningslivet.
En tidlig indsats for overvægt
Omkring hvert sjette skolebarn er over-
vægtig. Børn med overvægt oplever oftere
mobning. Fagprofessionelle i skoler og
dagtilbud spiller en vigtig rolle for at mod-
arbejde denne stigmatisering. Samtidig har
overvægt en tendens til at hænge ved hele
livet og øge risikoen for kroniske sygdom-
me. Det er derfor vigtigt at prioritere fore-
byggelse af, at overvægt opstår. En måde er
at arbejde med familiernes vaner og skabe
gode rammer for sund mad og bevægelse,
der hvor kommunen møder børnene.
› Skolebørn der henholdsvis er fysisk aktive mindst fire timer om ugen og ser mindst 4
timers tv, video eller youtube på hverdage opgjort efter forældrenes socialgruppe (%)
60
50
40
30
20
10
0
Socialgruppe I og II
Socialgruppe III og IV
Socialgruppe V og VI
Udfører hård fysisk aktivitet mindst 4 timer om ugen i fritiden
Ser mindst 4 timers tv, video, youtube mv på hverdage
Kilde: Skolebørnsundersøgelsen, Statens Institut for Folkesundhed, 2015. Socialgruppe er opgjort
efter forældrenes erhverv og tilknytning til arbejdsmarkedet.
SUU, Alm.del - 2019-20 - Bilag 595: Svar på udvalgets opfølgning og spørgsmål til KL’s Sundheds- og Ældreudvalg efter fællesmødet den 10. september 2020
2255198_0020.png
20
Pejlemærke 2: Alle børn skal have en sund start på livet, der fremmer deres trivsel, udvikling og læring
Forebyggelse for fremtiden
Data om børns sundhed og trivsel som
strategisk styringsværktøj
› Odense Kommune anvender sundheds-
og trivselsdata på flere niveauer til at
fremme børn og unges sundhed og triv-
sel. Data indsamles via skolesundhed.dk,
som alle skoler anvender. Sundhedsplejen
bruger informationerne i samtalerne med
elever og forældre. Skolerne anvender in-
formationerne i anonymiseret form til at
igangsætte initiativer i forhold til fx fysisk
aktivitet, mobning og rygning i de enkelte
klasser og for hele skolen. På ledelses-
niveau bliver sundheds- og trivselsdata
anvendt både administrativt og i politiske
udvalg.
Fremme af sund livsstil igennem
skolen
› Lolland og Guldborgsund kommuner
samarbejder om at gøre folkeskolen til
et sundt sted af være og lære. Indsatsen
består af aktiviteter om motion, rygning,
kost og mental sundhed. Ved at have flere
sundhedsindsatser på samme skole og på
flere skoler på samme tid, er der kommet
et større fokus og en bedre forankring.
Desuden har inddragelsen af foreningsli-
vet været positivt. Evalueringen viser, at
eleverne har fået større viden om sund-
hed, bevæger sig mere og trives bedre.
Fritidspas giver udsatte børn og unge
adgang til foreningslivet
› Sønderborg Kommune er én af de kom-
muner, der anvender fritidspasordningen
til at øge udsatte børn og unges deltagel-
se i fritidsaktiviteter sammen med andre
børn. Fritidspasset giver økonomisk støt-
te til kontingent og udstyr i forbindelse
med organiserede fritidsaktiviteter. En
del af ordningen er også hjælp til at finde
den rigtige aktivitet, og hvis der er behov
en ”følgeven”, som støtter til en god start
og modtagelse de første gange med ak-
tiviteten.
KL ANBEFALER
TIL KOMMUNERNE:
at kommunalbestyrelsen tager stilling til, hvordan kommunen vil investere i fremtidens generationer igennem indsatser, der
giver alle børn en sund start på livet, som fremmer deres trivsel, udvikling og læring (pejlemærke 2)
at kommunen leverer en sammenhængende og tidlig indsats til børn i sårbare eller udsatte familier tæt på barnets hverdagsliv
og på tværs af fagområder
at kommunen prioriterer den kommunale sundhedspleje og tandpleje og sikrer alle børn almene sundhedstilbud af høj faglig
kvalitet, der støtter familierne i at etablere sunde vaner
at den kommunale sundhedspleje har et tæt samarbejde med almen praksis og jordemoder allerede under graviditeten og i
barnets første leveår for at sikre barnets tidlige udvikling og sundhed
at kommunen i alle dagtilbud og skoler samarbejder med forældrene om, at børnene er sunde og trives i hverdagen samt op-
bygger kompetencer til at tage vare på egen og andres sundhed
at kommunen i samarbejde med foreningerne arbejder for at fremme et varieret og inkluderende fritidsliv, så flest mulige børn
deltager i fritidsaktiviteter.
TIL ANDRE AKTØRER:
at der nationalt sættes fokus på at fremme mulighederne for mere lighed i børns sundhed, så alle børn får optimale muligheder
for at trives, udvikle sig og lære
at metoder til at fremme sundhed og trivsel i højere grad integreres som del af uddannelserne til pædagog og lærer
at der nationalt skabes mere viden om effektive kommunale forebyggelsestilbud til børn med moderat overvægt.
SUU, Alm.del - 2019-20 - Bilag 595: Svar på udvalgets opfølgning og spørgsmål til KL’s Sundheds- og Ældreudvalg efter fællesmødet den 10. september 2020
2255198_0021.png
Pejlemærke 2: Alle børn skal have en sund start på livet, der fremmer deres trivsel, udvikling og læring
Forebyggelse for fremtiden
21
SUU, Alm.del - 2019-20 - Bilag 595: Svar på udvalgets opfølgning og spørgsmål til KL’s Sundheds- og Ældreudvalg efter fællesmødet den 10. september 2020
2255198_0022.png
22
Pejlemærke 3: Alle unge skal have plads i fællesskabet og komme godt på vej i uddannelse og job
Forebyggelse for fremtiden
Der er krav om, hvordan man
skal være, hvordan man skal se ud,
og hvordan man skal opføre sig. Man
skal helst kunne sige de rigtige ting
og lave de rigtige ting, før man bliver
taget ind i gruppen. Det er enormt
stressende” - Laura, 19 år
SUU, Alm.del - 2019-20 - Bilag 595: Svar på udvalgets opfølgning og spørgsmål til KL’s Sundheds- og Ældreudvalg efter fællesmødet den 10. september 2020
2255198_0023.png
Pejlemærke 3: Alle unge skal have plads i fællesskabet og komme godt på vej i uddannelse og job
Forebyggelse for fremtiden
23
03 /
ALLE UNGE SKAL HAVE
PLADS I FÆLLESSKABET OG
KOMME GODT PÅ VEJ I
UDDANNELSE OG JOB
Ungdomslivet byder på år med frihed og valg, der leder hen mod voksenlivet. Ungelivet leves med
vennerne på ungdomsuddannelserne, i fritiden, i nattelivet og på de sociale medier. Forældrene
har stadig stor betydning, som støtte i en god overgang fra ung til voksen. Pejlemærke 3 fokuserer
på, hvordan kommunen kan samarbejde med aktører fra de arenaer, hvor de unge færdes, om at
understøtte et ungdomsliv med sundhed og trivsel, så flest muligt kan komme godt på vej i livet
med uddannelse og arbejde.
Langt de fleste unge i Danmark lever et
godt ungdomsliv fyldt med muligheder.
Men de seneste år har der været en stigning
i andelen af unge, som oplever nervøsitet,
stress og angst. I dag er det hver 4. kvinde
og hver 10. mand mellem 16 og 24 år, der
ofte føler sig stresset – hvor især stigningen
hos de unge kvinder er bekymrende.
Årsagerne til denne udvikling er ikke klare,
men noget tyder på, at samfundets store
fokusering på den enkeltes valg og præ-
stationer har betydning. Ligesom sociale
medier er med til at forstærke presset på
de unge for hele tiden at være perfekte, se
godt ud, få det højeste karaktergennem-
snit, have den sjoveste fest og være den
bedste veninde, den skønneste kæreste
osv.
De unge har naturligvis selv et ansvar for et
godt ungdomsliv, ligesom støtte fra foræl-
dre og andre betydningsfulde voksne har
stor betydning. Men der er også behov for,
at vi som samfund sætter det gode ungeliv
til debat.
Vi skal skabe sunde fællesskaber til alle
unge
Langt de fleste unge lever deres liv uden
direkte kontakt til kommunens medarbej-
dere, efter de har afsluttet grundskolen.
Kommunen har dog stadig en rolle og kan
via samarbejde med ungdomsuddannelser,
erhvervsliv, foreninger og boligområder
skabe sundhedsfremmende miljøer for de
unge.
Særligt i forhold til ungdomsuddannelserne
kan der være behov for tværkommunalt
samarbejde, da unge ofte vælger uddan-
nelse uden for bopælskommunen. Den
sundhedsfremmende indsats i samarbejde
med ungdomsuddannelserne kan med
fordel kombinere indsatser for at fremme
› Unge kvinder og mænd mellem 16 år og 24 år, der ofte føler sig stressede (%)
30
25
20
15
10
5
0
1987
1994
2000
Mænd
2005
Kvinder
2010
2013
Kilde: Sundhed og sygelighed i Danmark 2000 og 2005 og Sundhedsprofilen 2010 og 2013.
Statens Institut for Folkesundhed, Syddansk Universitet. Bemærk ændring i spørgsmålsformu-
lering i 2005.
SUU, Alm.del - 2019-20 - Bilag 595: Svar på udvalgets opfølgning og spørgsmål til KL’s Sundheds- og Ældreudvalg efter fællesmødet den 10. september 2020
2255198_0024.png
24
Pejlemærke 3: Alle unge skal have plads i fællesskabet og komme godt på vej i uddannelse og job
Forebyggelse for fremtiden
› Andel unge (16- 24 år), der er storrygere, har svær overvægt og dårlig mental sundhed
(%). Opgjort efter om den unge er i uddannelse, i arbejde eller hverken i uddannelse
eller arbejde.
25
20
15
10
5
0
Storryger
I uddannelse
Svær overvægt
I arbejde
Dårlig mental sundhed
Hverken i uddannelse eller
arbejde
tilbud til de unge, så den unge kan bevare
tilknytningen til uddannelsen. Her er det
en hjælp, at kommunens tilbud til frafalds-
truede unge er synlige og nemme for ung-
domsuddannelserne at få et overblik over
og henvise til. For unge, der ikke er i ud-
dannelse eller job, er der brug for, at kom-
munerne på tværs af social-, sundheds- og
beskæftigelsesområdet sikrer et sammen-
hængende forløb med fokus på den unges
samlede livssituation.
Hash og andre stoffer
I ungdomsårene begynder en del at ekspe-
rimentere med hash, og nogle unge stifter
også bekendtskab med andre euforise-
rende stoffer. Mistrivsel, stressende begi-
venheder, psykiske lidelser og en belastet
opvækst øger risikoen for, at den unge
udvikler afhængighed. Omvendt kan god
trivsel, en negativ opfattelse af stoffer hos
familie og venner, gode sociale relationer
og tilknytning til uddannelse eller arbejds-
marked virke forebyggende mod at udvikle
et problematisk forbrug. Det har desuden
betydning at stofferne er svært tilgænge-
lige.
HVER 5. UNG UNDER 25 ÅR OPLYSER, AT
DE HAR BRUGT HASH INDEN FOR DET SE-
NESTE ÅR, MENS HVER 16. ANGIVER, AT
DE HAR BRUGT ANDRE ILLEGALE STOF-
FER SOM FX AMFETAMIN, KOKAIN OG
ECSTASY.
Kilde: Narkotikasituationen i Dan-
mark. Sundhedsstyrelsen, 2017.
Kilde: Den Nationale Sundhedsprofil, 2013
de unges trivsel og mentale sundhed med
indsatser i forhold til tobak, alkohol, hash
og andre rusmidler.
Kommunen kan skabe rammer for inklu-
derende fællesskaber i fx ungdomsklub-
ber og inviterende byrum, hvor unge kan
dyrke venskaber og deres interesser. Det
er vigtigt at inddrage de unges egne ideer
og holdninger i arbejdet med at skabe
sundhedsfremmende miljøer, hvor alkohol,
tobak, hash og andre rusmidler ikke spiller
hovedrollen.
Fokus på de unges samlede livssituation
bringer dem videre
Uddannelse og arbejde er for langt de fle-
ste to grundlæggende forudsætninger for
at kunne deltage aktivt i samfundet. I dag
står næsten 50.000 unge under 25 år uden
uddannelse eller job, og udviklingen er i en
årrække gået i den forkerte retning. Der er
grund til bekymring for disse unge.
Fysisk og mental sundhed er vigtige forud-
sætninger for at trives på en ungdomsud-
dannelse, i fællesskabet og i ungdomslivet.
Der kan være mange årsager til, at man som
ung ikke trives og formår at gennemføre en
ungdomsuddannelse. Ofte vil det være en
kombination af flere ting, herunder svigt fra
forældre, misbrug af hash, psykiske proble-
mer, hjemløshed og dårlig økonomi. Disse
unge har behov for en sammenhængende
indsats, der tager udgangspunkt i den en-
keltes livssituation og sundhedsudfordrin-
ger. Det er vigtigt, at medarbejdere, som er
i kontakt med unge, har de rette kompe-
tencer til at opspore unge, som ikke trives,
og at den unge kan få den rette hjælp. Et
skub i den rigtige retning kan gøre forskel-
len for nogle unge, mens andre har brug for
mere langsigtede og helhedsorienterede
indsatser.
For frafaldstruede unge er der behov for
et tæt samarbejde med ungdomsuddan-
nelserne og en åbenhed for at samarbejde
på tværs af kommunegrænser om konkrete
› Andel unge, der gentagne gange er fraværende fra skole/arbejde på grund af deres
hashforbrug (%). Opgjort for 15-18-årige og 19-24-årige samt hyppighed af forbrug af
hash (dage pr. måned).
60
50
36,1
56,5
40
30
20
13,6
19,7
14,7
10
0
1,2
1,3
11,2
1-3 dage
4-9 dage
15-18-årige
10-19 dage
19-24-årige
20+ dage
Kilde: Cannabis og sundhed. Vidensråd for Forebyggelse, 2015
SUU, Alm.del - 2019-20 - Bilag 595: Svar på udvalgets opfølgning og spørgsmål til KL’s Sundheds- og Ældreudvalg efter fællesmødet den 10. september 2020
2255198_0025.png
Pejlemærke 3: Alle unge skal have plads i fællesskabet og komme godt på vej i uddannelse og job
Forebyggelse for fremtiden
25
Hash kan forstærke en i forvejen ustabil livs-
situation. For en teenager kan et forbrug
medføre varige nedsatte kognitive funk-
tioner. Hash er en medvirkende årsag til, at
unge kan have svært ved at gennemføre en
uddannelse. Unge, der ryger hash næsten
dagligt, har oftere et højt fravær fra uddan-
nelse og job. Der er en skævvridning i for-
bruget af hash, hvor unge, der er i gang med
en erhvervsuddannelse, har ni gange større
sandsynlighed for at være daglig bruger
sammenlignet med unge på en gymnasial
uddannelse.
Kommunen kan sammen med uddannel-
sesinstitutioner og et tæt samarbejde med
civilsamfund påvirke unges opfattelse og
forbrug af hash og andre euforiserende
stoffer. For unge, der er på vej ud i et proble-
matisk forbrug af rusmidler, er det vigtigt, at
de fagprofessionelle, som den unge møder
på uddannelserne, italesætter deres be-
kymring, samt at den unge kan få professio-
nel hjælp med en rådgivende samtale uden
at blive smidt ud af uddannelsen.
Her står de ikke med løftede pegefingre, hvis man
kommer til at ryge en joint eller tage nogle stoffer i week-
enden. De ved, hvordan de skal håndtere unge mennesker.
Det var superfedt, og det hjalp mig rigtig meget. I dag er jeg
i gang med en uddannelse. Det havde jeg aldrig været, hvis
jeg ikke var kommet ud af mit misbrug” - Camilla, 18 år
SUU, Alm.del - 2019-20 - Bilag 595: Svar på udvalgets opfølgning og spørgsmål til KL’s Sundheds- og Ældreudvalg efter fællesmødet den 10. september 2020
2255198_0026.png
26
Pejlemærke 3: Alle unge skal have plads i fællesskabet og komme godt på vej i uddannelse og job
Forebyggelse for fremtiden
Samarbejde med ungdomsuddannelser
om trivsel og rusmidler
› Kalundborg, Odsherred og Holbæk kom-
muner har et tværkommunalt samarbejde
med ungdomsuddannelserne. Der er
udviklet en fælles rusmiddelpolitik, og i
forhold til mental sundhed, har der været
fokus på at sikre en vellykket koordinering
af tilbud til unge, der er frafaldstruede. I
indsatsen er der også udviklet undervis-
ningsmaterialer om rusmidler og mental
sundhed samt en opmærksomhedsguide,
der hjælper lærerne til at få øje på unge,
der mistrives. Til frafaldstruede unge med
psykiske, personlige eller sociale udfordrin-
ger er der tilbud om gratis psykologhjælp.
Helhedsorienteret indsats for at få unge
godt på vej i uddannelse og job
› Brønderslev Kommune har en helheds-
orienteret indsats til unge i alderen 15-29
år. Indsatsen går på tværs af lovgivninger
indenfor beskæftigelses-, social- og sund-
hedsområdet. Det betyder, at unge med
udfordringer i forhold til uddannelse, rus-
midler, psykisk- eller fysisk sundhed har
én indgang til at få hjælp af kommunen.
Centerets erfaring er, at det er vigtig, at
der er en primær kontaktperson, og at
der opbygges en god relation. Desuden
får de unge hurtigere hjælp til at få løst
deres problemer, når alle fagområder er
samlet under samme tag.
Hus med nye sociale rum og måder at
organisere velfærdsløsninger
› I Roskilde Kommune ligger ’INSP’, som
er en forening og socialøkonomisk virk-
somhed, der drives i et netværk af både
brugere, frivillige, medarbejdere og part-
nerorganisationer, herunder kommunen.
Visionen er det ikke-definerede rum,
hvor alt kan ske og mennesker skaber
muligheder for sig selv og andre. De unge
løber foran og udvikler hele tiden nye
aktiviteter, som involverer både stærke
og sårbare unge. INSP bygger også bro til
lokalsamfundet og udvikler nye velfærds-
løsninger indenfor social-, sundheds- og
beskæftigelsesområdet.
KL ANBEFALER
TIL KOMMUNERNE:
at kommunalbestyrelsen tager stilling til, hvordan kommunen vil understøtte det gode ungeliv med sundhedsfremmende miljøer,
der hjælper alle unge godt på vej i uddannelse og job (pejlemærke 3)
at kommunen samarbejder med ungdomsuddannelserne om indsatser, der kan forebygge frafald, mistrivsel og rusmiddelbrug
at kommunen i tæt samarbejde med ungdomsuddannelserne skaber helhedsorienterede forløb for frafaldstruede unge, der tager
udgangspunkt i den unges livssituation og sundhed
at kommunen i samarbejde med relevante aktører prioriterer den forebyggende indsats i forhold til unges forbrug af hash og andre
stoffer og har øget fokus på, at unge, der allerede har udviklet et problematisk forbrug, får rette hjælp
TIL ANDRE AKTØRER:
at vi som samfund sætter det gode ungeliv til debat og handler på den stigende mistrivsel som nutidens unge oplever
at der skabes inkluderende ungdomsuddannelser og et arbejdsmarked, som alle unge kan bidrage til og være en del af.
SUU, Alm.del - 2019-20 - Bilag 595: Svar på udvalgets opfølgning og spørgsmål til KL’s Sundheds- og Ældreudvalg efter fællesmødet den 10. september 2020
2255198_0027.png
Pejlemærke 3: Alle unge skal have plads i fællesskabet og komme godt på vej i uddannelse og job
Forebyggelse for fremtiden
27
SUU, Alm.del - 2019-20 - Bilag 595: Svar på udvalgets opfølgning og spørgsmål til KL’s Sundheds- og Ældreudvalg efter fællesmødet den 10. september 2020
2255198_0028.png
28
Pejlemærke 4: Flere skal vælge et røgfrit liv, og ingen børn og unge skal begynde at ryge
Forebyggelse for fremtiden
Det er en del af kulturen, at man
ryger. Jeg tror, halvdelen af eleverne
på skolen ryger. Så det er i pauserne,
når man står udenfor med en smøg,
at man er social og får talt godt sam-
men” - Nathaniel, 19 år
SUU, Alm.del - 2019-20 - Bilag 595: Svar på udvalgets opfølgning og spørgsmål til KL’s Sundheds- og Ældreudvalg efter fællesmødet den 10. september 2020
2255198_0029.png
Pejlemærke 4: Flere skal vælge et røgfrit liv, og ingen børn og unge skal begynde at ryge
Forebyggelse for fremtiden
29
04 /
FLERE SKAL VÆLGE ET RØGFRIT
LIV, OG INGEN BØRN OG UNGE
SKAL BEGYNDE AT RYGE
Tobaksrygning er den livsstilsfaktor, der har størst negativ betydning for vores sundhed. Der er
sket meget på området i løbet af de seneste år, og kommunerne er nået langt med tobaksforebyg-
gelsen. Men der er fortsat behov for at prioritere indsatsen både lokalt og nationalt. Derfor har
pejlemærke 4 fokus på det særlige forebyggelsespotentiale, der ligger på tobaksområdet, for at
begrænse omfanget af tobaksrelateret sygdom og død i Danmark og for at mindske den sociale
ulighed i sundhed, der kan tilskrives tobaksrygning.
Næsten hver femte dansker ryger. Hver
anden ryger vil dø af det. Rygning er den
enkeltfaktor, der har størst betydning for
borgernes sygelighed og dødelighed, og
som medfører flest udgifter til behandling
og pleje og det største produktionstab for
samfundet. Samtidig er rygning den væsent-
ligste årsag til den stigende sociale ulighed
i sundhed. Børn af mødre med kort uddan-
nelse er oftere udsat for passiv rygning,
væsentlig flere unge på erhvervsskoler ryger
sammenlignet med unge på gymnasierne,
og blandt de voksne er der langt flere rygere
blandt arbejdsløse og kortuddannede.
baksrelaterede sygdomme, er det centralt,
at der fra alle sider sættes markant ind på tre
niveauer: Forebyggelse af rygestart, fremme
af røgfrie miljøer og fremme af rygestop.
Forebyggelse af rygestart for røgfri
generationer
Tobak er stærkt afhængighedsskabende for
særligt børn og unge. Forebyggelse af ryge-
start blandt børn og unge vil medvirke til,
at færre bliver ramt af sygdom i fremtiden,
og modvirke den stigende sociale ulighed
i sundhed. KL er en del af partnerskabet
Røgfri Fremtid, hvor ambitionen er, at ingen
børn og unge ryger i 2030. Målet er bl.a., at
partnerskabet ændrer kulturen blandt børn
og unge og er en løftestang for forebyg-
gelsesarbejdet de kommende år, herunder
kommunernes indsats på området.
HVER ENESTE DAG BEGYNDER 40 BØRN
OG UNGE UNDER 18 ÅR AT RYGE.
Kilde:
Røgfri Fremtid, Kræftens Bekæmpelse og
TrygFonden
Kommunerne har en vigtig rolle i at være
med til at forebygge dels, at børn og unge
begynder at ryge, dels at de unge, som i
dag ryger lejlighedsvis, bliver dagligrygere
senere i livet. Kommunerne skal fortsat pri-
oritere en systematisk tobaksforebyggende
indsats over for børn og unge fx gennem
rygeforebyggende undervisning. Samtidig
er der behov for et styrket samarbejde med
forældre, skoler, ungdomsuddannelser
samt fritids- og foreningsliv.
Foruden indsatser lokalt i kommunerne,
er der behov for, at der sættes ind med
strukturelle forebyggelsestiltag på lands-
plan. Øget afgift på tobak og begrænset
tilgængelighed af tobaksvarer er tiltag, som
forskningen viser har særlig stor effekt på
børn og unge. Derudover er det centralt, at
detailhandlen tager ansvar for en effektiv
håndhævelse af aldersgrænsen på 18 år for
køb af tobak.
Fremme af røgfrie miljøer
I dag er der forbud mod at ryge på institu-
tionens område i daginstitutioner, skoler og
gymnasiale ungdomsuddannelser, mens
det er tilladt at ryge på øvrige ungdomsud-
dannelser som fx erhvervsuddannelser og
produktionsskoler. For at mindske den so-
ciale ulighed i rygning, bør regeringen der-
for søge Folketinget om opbakning til en
ændring af loven, så alle ungdomsuddan-
nelser med optag af børn og unge under 18
år bliver røgfrit område.
De samlede kommunale merom-
kostninger til dagligrygere sam-
menlignet med aldrig rygere opgø-
res til i alt 57 mio. kr. årligt for en
gennemsnitskommune på 50.000
indbyggere.
Kilde: KORA, 2016.
Hvis vi for alvor skal gøre noget ved folke-
sundheden og vende udviklingen i de to-
SUU, Alm.del - 2019-20 - Bilag 595: Svar på udvalgets opfølgning og spørgsmål til KL’s Sundheds- og Ældreudvalg efter fællesmødet den 10. september 2020
2255198_0030.png
30
Pejlemærke 4: Flere skal vælge et røgfrit liv, og ingen børn og unge skal begynde at ryge
Forebyggelse for fremtiden
Røgfri Fremtid
› Røgfri Fremtid er et partnerskab,
hvor alle partnere arbejder sammen
om, at ingen børn og unge og færre
end 5 pct. af alle voksne ryger i 2030.
Partnerskabet blev etableret i 2016
af Kræftens Bekæmpelse og TrygFon-
den. Siden lanceringen har en række
partnere tilsluttet sig Røgfri Fremtid,
herunder en lang række kommuner
og KL.
Læs mere her www.roegfrifremtid.dk
› Social ulighed i daglig rygning. Andel der ryger dagligt blandt borgere, 25+ år, med
forskellige længde af uddannelse (%)
30
25
20
15
10
5
0
Grundskole
Kort uddannelse
ANDELEN AF DAGLIGRYGERE PÅ ER-
HVERVSUDDANNELSER ER 37 PCT, MENS
DEN PÅ GYMNASIER ER 12 PCT.
Kilde: Sta-
tens Institut for Folkesundhed, 2017
Kommunerne kan aktivt medvirke til at
fremme røgfri miljøer. Det gælder både på
kommunernes egne arbejdspladser, på sko-
ler, klubber og botilbud samt i fritidslivet.
Røgfri skoletid – hvor hele skoletiden og
ikke kun matriklen gøres røgfri – er et af de
mest effektive redskaber til at forebygge
rygestart hos eleverne. For at skabe røgfri
miljøer for voksne har cirka hver femte af
landets kommuner indført røgfri arbejdstid
på nogle af deres arbejdspladser.
74 PCT. AF DANSKERNE STØTTER, AT
POLITIKERNE LOVGIVER OM RØGFRI
SKOLETID. 81 PCT. AF DE 16-25-ÅRIGE
BAKKER OP OM RØGFRI SKOLETID PÅ
GRUNDSKOLER.
Kilde: YouGov og Epinion
for Kræftens Bekæmpelse, 2016.
Flere skal stoppe med at ryge
Rygere, der ønsker at stoppe med at ryge,
skal tilbydes et kommunalt rygestoptilbud
af høj faglig kvalitet. Det indebærer, at kom-
munerne prioriterer tilbud, som er fleksible
og lettilgængelige. Samtidig skal almen
praksis og sygehuse blive bedre til at henvi-
se til kommunale rygestopforløb. Indsatsen
kan fra statslig side understøttes af tilskud
til rygestopmedicin, som har vist sig at have
god effekt på rygestop blandt storrygere.
19 PCT. AF VOKSNE RYGER DAGLIGT OG
AF DISSE VIL 7 UD AF 10 GERNE HOLDE
OP MED AT RYGE.
Kilde: Den Nationale
Sundhedsprofil, 2013.
Kort og mellemlang
videregående
uddannelse
Lang videregående
uddannelse
Kilde: Den Nationale Sundhedsprofil, 2013.
Et godt pejlemærke for kommunens ind-
sats er, at mindst fem procent af borgerne,
der ryger, hvert år modtager tilbud om ry-
gestop – enten via kommunale tilbud eller
de nationale rygestoptilbud. Kommunerne
kan gratis tilmelde sig rygestopbasen, der
skaber overblik over, hvor mange der gen-
nemfører rygestopkurser, og om deltagerne
bliver røgfri.
Jeg har før prøvet at stoppe med at ryge ved bare at
tage en kold tyrker. Men det var først, da jeg kom på ryge-
stop-kurset og fik konkret rådgivning om, hvordan jeg
skulle gribe mit rygestop an, at det lykkedes mig at blive
røgfri. Nu har jeg været røgfri i fem måneder” - Allan, 57 år
SUU, Alm.del - 2019-20 - Bilag 595: Svar på udvalgets opfølgning og spørgsmål til KL’s Sundheds- og Ældreudvalg efter fællesmødet den 10. september 2020
2255198_0031.png
Pejlemærke 4: Flere skal vælge et røgfrit liv, og ingen børn og unge skal begynde at ryge
Forebyggelse for fremtiden
31
En forstærket hjælp til storrygere på
tværs af kommuner og sektorer
› Seks kommuner i Vestjylland samarbej-
der med sygehus og almen praksis om
at tilbyde hjælp til storrygere. I kontakten
med sygehus og almen praksis bliver bor-
gerne systematisk spurgt til om de ryger
og tilbudt hjælp af kommunerne med en
kombination af et rygestoptilbud og til-
skud til rygestopmedicin. Indsatsen har
betydet, at langt flere storrygere henvises
til og modtager rygestopforløb i kom-
munen, og efter et halvt år er halvdelen
stadig røgfri.
Tværsektorielt partnerskab om tobaks-
forebyggelse
› Ni kommuner på Københavns Vestegn og
Sydamager er gået sammen om en stor
satsning på tobaksområdet. Samarbejdet
indebærer blandt andet fælles dialog
med ungdomsuddannelser, apoteker,
læger og sygehuse i nærområdet, og at
borgerne kan deltage i rygestoptilbud
på tværs af kommunegrænser. Kommu-
nerne indgår fælles i partnerskabet Røgfri
Fremtid med projektet ”Bliv en vinder
uden tobak”.
Røgfri skoletid og røgfri
arbejdstid
› Gladsaxe Kommune sætter baren højere
for kommunens fælles rygepolitik end
påkrævet i lov om røgfrie miljøer fra 2012.
Kommunen har derfor indført røgfri ar-
bejdstid i 2015 og røgfri skoletid i 2017.
Kommunens medarbejdere må ikke ryge
under arbejdet eller i lønnede pauser. Med
røgfri skoletid har Gladsaxe Kommune øn-
sket at fremme en røgfri kultur på kommu-
nens skoler og forebygge rygestart blandt
eleverne. Kommunen tilbyder hjælp til ry-
gestop til de medarbejdere og elever, der
ønsker hjælp til at blive røgfri.
KL ANBEFALER
TIL KOMMUNERNE:
› at kommunalbestyrelsen tager stilling til, hvordan kommunen understøtter at flere vælger et røgfrit liv, og ingen børn og unge
begynder at ryge (pejlemærke 4)
› at kommunen tager stilling til ambitionerne i Røgfri Fremtid og muligheden for at deltage i partnerskabet
› at kommunen tager stilling til at indføre røgfri skoletid for elever på alle kommunens grundskoler, så røgfrihed gælder i hele skoleti-
den også uden for skolens matrikel
› at kommunen fortsat prioriterer en systematisk tobaksforebyggende indsats med brug af velafprøvede metoder over for børn og
unge i skolen
› at kommunen og ungdomsuddannelserne sammen arbejder for at indføre røgfri matrikel eller røgfri skoletid på alle uddannelses-
institutioner med optag af unge under 18 år
› at kommunen arbejder for at udbrede røgfri miljøer via samarbejde med fritidsliv, foreninger og erhvervsliv
› at kommunen tager stilling til at indføre røgfri arbejdstid for kommunens medarbejdere
› at kommunen fortsat prioriterer tilbud om hjælp til rygestop til borgere, der ønsker at stoppe med at ryge og monitorerer indsatsen
ved brug af Den Nationale Rygestopbase.
TIL ANDRE AKTØRER:
› at rygeloven ændres, så alle uddannelsesinstitutioner med optag af børn og unge under 18 år bliver røgfrit område
› at staten og erhvervslivet tager fælles ansvar for en effektiv håndhævelse af reglerne om salg af tobak og begrænser tilgængelig
heden af tobaksvarer for børn og unge
› at almen praksis og sygehusene sikrer, at flere rygere, der ønsker hjælp til rygestop, henvises til de kommunale rygestoptilbud.
SUU, Alm.del - 2019-20 - Bilag 595: Svar på udvalgets opfølgning og spørgsmål til KL’s Sundheds- og Ældreudvalg efter fællesmødet den 10. september 2020
2255198_0032.png
32
Pejlemærke 5: Flere skal drikke mindre, og ingen børn og unges liv må skades af alkohol
Forebyggelse for fremtiden
Min far drak og var depressiv,
så jeg var ofte nødt til at være den
voksne, der skulle trøste ham, selvom
jeg var meget lille. Det var meget
utrygt, og der var ikke nogen forud-
sigelighed i hverdagen. Det påvirker
mig stadig: Jeg er nogle gange angst,
og jeg kan være usikker og have svært
ved at træffe beslutninger og holde
fokus” - Mathilde, 28 år
SUU, Alm.del - 2019-20 - Bilag 595: Svar på udvalgets opfølgning og spørgsmål til KL’s Sundheds- og Ældreudvalg efter fællesmødet den 10. september 2020
2255198_0033.png
Pejlemærke 5: Flere skal drikke mindre, og ingen børn og unges liv må skades af alkohol
Forebyggelse for fremtiden
33
05 /
FLERE SKAL DRIKKE MINDRE,
OG INGEN BØRN OG UNGES LIV
MÅ SKADES AF ALKOHOL
Alt for mange danskere har et skadeligt forbrug af alkohol, der fører til udvikling af kronisk syg-
dom og for tidlig død. Samtidig har alkoholoverforbrug store sociale konsekvenser – ikke mindst
for børn og unge. Alkoholforbrug opfattes dog stadig som en meget privat sag. Pejlemærke 5 har
fokus på, hvordan kommuner og andre aktører kan arbejde med at forebygge overforbrug af alko-
hol og undgå, at børn og unges liv bliver skadet af alkohol.
De fleste danskere drikker jævnligt alko-
hol. For mange er det en del af den danske
’hyggekultur’, og der bliver drukket alkohol
både til hverdag og fest.
Samtidig er der en gruppe danskere, for
hvem alkohol er blevet et misbrug. Det
har store og alvorlige konsekvenser både
for den enkelte og i særdeleshed for deres
børn.
Et for stort alkoholforbrug har væsentlig be-
tydning for udvikling af en række sygdom-
me, herunder kræft. Blandt de 35-54 årige
mænd er cirka hvert tredje dødsfald alko-
holrelateret, og blandt kvinder er det cirka
hvert femte. Et stort forbrug af alkohol kan
også medføre psykiske problemer og selv-
mord, og alkoholoverforbrug har desuden
store sociale konsekvenser for den enkelte
og for familien foruden det øger risikoen
for trafikulykker, vold, seksuelle overgreb og
omsorgssvigt.
› Antal danskere, som er berørt af et for højt alkoholforbrug
Alkoholstorforbrug 850.000
20% af 16+ årige
Skadeligt alkoholforbrug 620.000
14% af 16+ årige
Alkoholafhængige 147.000
3% af 16+ årige
I kommunal
alkoholbehandling
ca. 14.000
Kilde: Alkohol, brug, konsekvenser og behandling. Becker & Tholstrup (red.) 2016. Bemærk at
der desuden er borgere i medicinsk alkoholbehandling i primærsektoren (Ikke vist i figuren).
SUU, Alm.del - 2019-20 - Bilag 595: Svar på udvalgets opfølgning og spørgsmål til KL’s Sundheds- og Ældreudvalg efter fællesmødet den 10. september 2020
2255198_0034.png
34
Pejlemærke 5: Flere skal drikke mindre, og ingen børn og unges liv må skades af alkohol
Forebyggelse for fremtiden
Kommunale omkostninger ved
alkohol
› Meromkostningerne forbundet
med et alkoholoverforbrug er 31
mio. kr. årligt for en gennemsnits-
kommune med 50.000 borgere
Kilde: Sundhedsstyrelsen, 2016. Tallet
omfatter overførselsindkomster (2/3
af meromkostningerne), personlig
og praktisk hjælp, kommunal medfi-
nansiering af sundhedsydelser samt
anbringelser og andre hjælpeforan-
staltninger til børn og unge.
alkoholiske. Mange har sikkert også prøvet
at blive mødt med kække bemærkninger,
hvis man takker nej til alkohol.
Kommunen har mulighed for at påvirke
alkoholkulturen ved at begrænse alkohol
i byrummet. Det kan være igennem bevil-
lingsnævnets beslutninger om placering
og åbningstider for udskænkningssteder
samt lejlighedstilladelser for alkoholud-
skænkning til arrangementer i sportsklub-
ber, foreninger og til byfester. Desuden kan
kommunen sætte rammer for indtagelse af
alkohol i kommunens institutioner fx til fæl-
lesspisninger i dagtilbud og skole samt ved
leje af kommunens lokaler.
Danske unge drikker stadig for meget
Alkohol er særligt skadeligt for børn og
unge, da deres hjerner endnu ikke er fær-
digudviklede. De unge kan have svært ved
at vurdere risiko og mulige konsekvenser af
deres handlinger. Alkohol nedsætter oftere
end hos voksne denne evne yderligere, og
derfor fører de unges alkoholindtag alt for
ofte til skænderier, vold, uønsket sex og
ulykker.
Kommunerne har igennem de sidste ti år
arbejdet målrettet med en alkoholfore-
byggende indsats i skolen. Undervisning i
virkningen af alkohol, flertalsmisforståelser
om andre unges alkoholforbrug samt et
tæt samarbejde med forældrene om klare
aftaler vedrørende alkohol er eksempler på
dette. Noget tyder på, at indsatsen har vir-
ket, for de unge skoleelever drikker mindre
i dag, end de gjorde for 5-10 år siden. Det er
en positiv udvikling, men der er stadig brug
for en indsats.
Danske unge drikker stadig langt mere al-
kohol og drikker sig oftere fulde end unge i
resten af Europa. Hos både drenge og piger
stiger alkoholforbruget drastisk, når de er
omkring 16-18 år, hvor mange begynder på
en ungdomsuddannelse. Forskning peger
på, at strukturelle forebyggelsestiltag, der
reducerer tilgængeligheden, vil være særlig
effektive i forhold til at nedbringe alkohol-
forbruget blandt unge. Det kan fx være at
hæve aldersgrænsen for køb af alkohol og
sikre en bedre håndhævelse af lovgivnin-
gen både for køb og udskænkning alkohol.
Disse tiltag vil ramme bredt blandt alle
unge og dermed have en generel effekt på
unges alkoholkultur.
Kommunen kan på særligt to områder
påvirke unges alkoholkultur i det lokale.
Dels ved at samarbejde med ungdomsud-
dannelserne om en fælles alkoholpolitik,
som også elevrepræsentanter er med til
at fastlægge. Dels kan kommunen samar-
bejde med udskænkningssteder, politi og
detailhandel for at reducere unges indtag af
alkohol og fremme et trygt natteliv i lokal-
området.
MERE END HALVDELEN (56 PCT.) AF 18-
25-ÅRIGE ER ENIGE I UDSAGNET ’DET ER
SVÆRT AT VÆRE EN DEL AF DET SOCIALE
FÆLLESSKAB PÅ EN UDDANNELSE, HVIS
MAN IKKE DRIKKER ALKOHOL’
Kilde: Mel-
lem Broccoli og bajere - Forebyggelse ifølge
danskerne. Mandag Morgen og TrygFonden,
2017.
En mere hensigtsmæssig alkoholkultur
En reduktion af danskernes alkoholover-
forbrug vil have stor betydning for folke-
sundheden. Det vil betyde, at færre får et
alkoholmisbrug og oplever de skadelige
konsekvenser af alkohol.
Et mere hensigtsmæssigt alkoholforbrug i
hele befolkningen kræver et fælles kritisk
blik på vores alkoholkultur i Danmark. Det
er langt fra altid – hverken i private eller
andre sammenhænge – at der bliver serve-
ret ikke-alkoholiske drikke sammen med de
› Danske unges, 15-16 år, alkoholvaner sammenlignet med det gennemsnitlige forbrug
blandt unge i Europa (%)
Europæisk
gennemsnit
Danmark
0
20
40
60
80
100
Har været fuld i den sidste måned
Har drukket alkohol den sidste måned
Kilde: European School Survey Project on Alcohol and Other Drugs.
Sundhedsstyrelsen, 2016.
Særligt fokus på børn og unge, der vokser
op i familier med alkoholmisbrug
Det er ikke for alle tilstrækkeligt med en
generel forebyggende indsats i forhold til
alkoholoverforbrug. I Danmark skønnes
det, at 122.000 børn og unge vokser op i en
familie, der er belastet af alkohol. Det har
store konsekvenser for trivslen i barndom-
men, og det kan sætte negative spor langt
op i voksenlivet. Børn og unge, der vokser
SUU, Alm.del - 2019-20 - Bilag 595: Svar på udvalgets opfølgning og spørgsmål til KL’s Sundheds- og Ældreudvalg efter fællesmødet den 10. september 2020
2255198_0035.png
Pejlemærke 5: Flere skal drikke mindre, og ingen børn og unges liv må skades af alkohol
Forebyggelse for fremtiden
35
op med forældre med alkoholproblemer,
har oftere lavt selvværd, psykiske vanskelig-
heder, er ensomme og oplever manglende
tillid og støtte fra forældrene. De har også
en højere risiko for senere i livet at udvikle
psykisk sygdom og forsøge selvmord, lige-
som risikoen for selv at udvikle et misbrug
er væsentligt forhøjet. At hjælpe disse børn
er derfor et vigtigt indsatsområde.
ALKOHOLPROBLEMER ER EN VÆSENT-
LIG MEDVIRKENDE ÅRSAG TIL NÆSTEN
HALVDELEN AF ALLE ANBRINGELSER AF
BØRN UDEN FOR HJEMMET.
Kilde: SFI –
Socialforskningsinstituttet, 2004.
Alkoholproblemer er ofte tabubelagt. Det
kan være vanskeligt for både børn og for-
ældre at tale om, hvordan alkohol påvirker
familien. Tavsheden betyder, at fagprofes-
sionelle i kommunen, i almen praksis og på
sygehus skal have kompetencer til at afkode
tegn på alkoholproblemer. Således familien
kan få den rette hjælp så tidligt som muligt,
inden alkoholproblematikkerne får alvorlige
konsekvenser.
Kommunen kan fremme, at børn og fami-
lier tilbydes den rette hjælp i tide. Medar-
bejdere, der møder børn og deres familier
i dagtilbud og skole, skal være opmærk-
somme på alkoholproblematikker og vide,
hvordan de skal handle, hvis de er bekym-
rede. Sundhedsplejen, der kommer i hjem-
mene, spiller også en vigtig rolle i forhold til
at spørge systematisk ind til alkoholvaner
i familien. For at følge op på eventuelle
problemer skal der i kommunen være mu-
lighed for at få en samtale med en uddan-
net rådgiver, der kan afdække problemet
og vurdere, om der er behov for at tilbyde
behandling. Alkoholbehandlingen skal være
særlig opmærksom på de følgevirkninger,
der kan være for børn og unge grundet for-
ældrenes alkoholforbrug, og der skal samar-
bejdes med andre fagområder i kommunen
og med behandlingstilbud specifikt rettet
mod børn og unge for at tilbyde den rette
hjælp og støtte.
SUU, Alm.del - 2019-20 - Bilag 595: Svar på udvalgets opfølgning og spørgsmål til KL’s Sundheds- og Ældreudvalg efter fællesmødet den 10. september 2020
2255198_0036.png
36
Pejlemærke 5: Flere skal drikke mindre, og ingen børn og unges liv må skades af alkohol
Forebyggelse for fremtiden
Bedre muligheder for hjælp til alkohol-
problemer
Flere med behov skal i alkoholbehandling,
og der er behov for tidlig opsporing. I gen-
nemsnit går der 11 år, før borgere med et
alkoholoverforbrug søger hjælp. Der er
behov for at nedbryde tabuiseringen af
alkoholproblemer og øge borgernes viden
om, at det er gratis at henvende sig og
eventuelt få behandling i kommunens rus-
middelcenter. Samtidig er der behov for en
systematisk tidlig opsporing, dér hvor kom-
munens medarbejdere møder borgerne,
ligesom almen praksis og sygehus i højere
grad skal henvise borgere med alkoholpro-
blemer til kommunen.
Det er afgørende, at kommunerne har til-
strækkelig kapacitet i alkoholbehandlingen,
så borgerne ikke venter unødigt, når de er
parate til at modtage hjælp. Det gælder ikke
mindst efter en styrket tidlig opsporing i
kommunen og i det regionale sundheds-
væsen, hvor presset på alkoholbehandlin-
gen alt andet lige vil stige. Samtidig må det
sikres, at der er en høj kvalitet i alkoholbe-
handlingen, og at tilbuddene varieres, så de
matcher målgrupperne, herunder børn og
familier.
Der er særlige udfordringer i forhold til
både rekruttering og målretning af tilbud til
socialt udsatte borgere. Disse borgere har
ofte mange andre sociale og helbredsmæs-
sige udfordringer udover alkoholmisbrug.
Ligeledes er der særlige udfordringer i rela-
tion til borgere, der både lider af et misbrug
og en psykisk sygdom, hvor der er behov
for særlige tilbud og ofte også et tæt sam-
arbejde med psykiatrien.
Jeg var bange for, at folk skulle opdage, at jeg drak.
At de ikke kunne lide mig, og at jeg ville blive fyret. Hvis
man havde en mere åben kultur, hvor man kunne tale
om, at en alkoholiker ikke kun er manden på bænken,
så ville det være lettere at acceptere, at man selv er alko-
holiker. Og lettere at søge hjælp” - Lene, 49 år
SUU, Alm.del - 2019-20 - Bilag 595: Svar på udvalgets opfølgning og spørgsmål til KL’s Sundheds- og Ældreudvalg efter fællesmødet den 10. september 2020
2255198_0037.png
Pejlemærke 5: Flere skal drikke mindre, og ingen børn og unges liv må skades af alkohol
Forebyggelse for fremtiden
37
Et tryg natteliv igennem samarbejde på
tværs
› Holstebro Kommune har i over 10 år ar-
bejdet med at skabe trygge rammer for
især de 18-25-årige i nattelivet. Indsatsen
sker i et samarbejde med restauratører,
dørmænd, bartendere, taxachauffører,
Natteravne og politi. Kommunens SSP
koordinerer indsatsen i samarbejde med
lokalpolitiet og den indeholder blandt
andet kurser for alle restauratører, dør-
mandsnetværk og en aftale om, at efter
kl. 24 må der ikke være unge under 18 år
tilstede. Der er en tæt dialog med bevil-
lingsnævnet om, hvad der sker i byen
samt en opmærksomhed på at placere
ansvar for de unges sikkerhed hos de
unge selv og deres forældre.
Tværkommunalt samarbejde om
familier med rusmiddelproblemer
› I Midtjylland er 11 kommuner gået sam-
men i et partnerskabet ’BRUS’ for at styrke
børn og unge i at håndtere de udfordrin-
ger, som følger af en opvækst præget
af rusmiddelproblemer. Målgruppen er
0-24-årige børn og unge, men indsatsen
omfatter hele familien. Indsatsen er for-
ankret lokalt i de kommunale rusmiddel-
centre, og der er et tæt samarbejde med
familiecentre, sundhedspleje, dagtilbud
og skoler. På tværs af kommunerne er der
en fælles kompetenceudvikling, faglig
supervision, metodeudvikling, informa-
tionsmateriale og et korps af unge erfa-
ringskonsulenter, der selv er vokset op i
familier med rusmiddelproblemer.
Hjælp til børn og unge der har forældre
med et alkoholmisbrug
› Århus Kommune samarbejder med TUBA
om terapi til børn og unge mellem 14 og
34 år, der vokser op hos forældre med
et alkoholmisbrug. Hos børnene har be-
handlingen fokus på at mindske fysiske,
psykiske og sociale konsekvenser af for-
ældrenes svigt og forebygge at proble-
merne eskalerer. For unge voksne er det
primære fokus at bearbejde senfølgerne
af en opvækst med forældre med alko-
holmisbrug. Behandlingen i TUBA sker
i tæt samarbejde og koordination med
kommunens egen indsats og tilbud.
KL ANBEFALER
TIL KOMMUNERNE:
at kommunalbestyrelsen tager stilling til, hvordan kommunen kan understøtte en mere hensigtsmæssig alkoholkultur blandt
borgerne og forebygge, at børn og unges liv skades af alkohol (pejlemærke 5)
at kommunen fremmer en mere hensigtsmæssig festkultur hos de unge samt et trygt natteliv via aftaler med bevillingsnævnet
og i samarbejde med ungdomsuddannelserne og relevante lokale aktører
at kommunen prioriterer en systematisk alkoholforebyggende indsats i skolen, så den positive udvikling i de helt unges alkohol-
vaner fortsætter
at kommunen sikrer en systematisk tidlig opsporing af og indsats til børn og unge, der vokser op i familier med et skadeligt al-
koholforbrug, herunder at fagprofessionelle undervises i at opdage børn og unge fra familier med et alkoholmisbrug
at kommunen prioriterer opsporing af borgere med alkoholoverforbrug og tilbyder borgerne relevant alkoholrådgivning eller
-behandling
at kommunen sikrer kvalitet i de differentierede alkoholbehandlingstilbud og i tilbud til børn og unge fra familier med et alkohol-
misbrug ved brug af veldokumenterede metoder.
ANDRE AKTØRER:
at aldersgrænserne for køb af alkohol i detailhandlen samles, så aldersgrænsen for køb af alle former for alkohol er 18 år
at staten og erhvervslivet tager større fælles ansvar for en effektiv håndhævelse af reglerne om salg af alkohol og begrænser til-
gængeligheden af alkohol for børn og unge
at Sundhedsstyrelsen formidler viden om veldokumenterede metoder til at sikre kvalitet i den kommunale behandling af alko-
holafhængighed
at almen praksis og sygehuse sikrer, at der systematisk henvises til den kommunale alkoholrådgivning.
SUU, Alm.del - 2019-20 - Bilag 595: Svar på udvalgets opfølgning og spørgsmål til KL’s Sundheds- og Ældreudvalg efter fællesmødet den 10. september 2020
2255198_0038.png
38
Pejlemærke 6: Flere skal leve et liv med bedre mental sundhed og trivsel
Forebyggelse for fremtiden
Min frygt for at blive ensom, når
jeg skal på efterløn, er forsvundet.
Nu ses jeg med de andre mænd fra
foreningen en eller to gange om ugen.
Jeg bliver glad af samværet med de
andre, og det at opleve at man plud-
selig kan snakke sammen. Det må jeg
indrømme”- Henning, 62 år
SUU, Alm.del - 2019-20 - Bilag 595: Svar på udvalgets opfølgning og spørgsmål til KL’s Sundheds- og Ældreudvalg efter fællesmødet den 10. september 2020
2255198_0039.png
Pejlemærke 6: Flere skal leve et liv med bedre mental sundhed og trivsel
Forebyggelse for fremtiden
39
06 /
FLERE SKAL LEVE ET LIV
MED BEDRE MENTAL
SUNDHED OG TRIVSEL
I kommunerne møder vi i stigende grad både børn og voksne, der har en dårlig mental sundhed
eller psykiske lidelser. Som forebyggelsesområde er mental sundhed et udviklingsfelt med fortsat
stort behov for viden om årsager og risikofaktorer, og med behov for at udvikle nye metoder og
virkningsfulde indsatser. Pejlemærke 6 fokuserer derfor på, hvordan kommunernes indsatser kan
bygge på den bedste viden og sætte ind i forhold til den stigende dårlige mentale sundhed.
Mental sundhed kaldes i daglig tale trivsel.
Mental sundhed er et spørgsmål om at
kunne udfolde sine evner, håndtere dag-
ligdagens udfordringer og pres og bidrage
til positive sociale fællesskaber med andre
mennesker samt generelt at være tilfreds
med livet. Når mennesker mistrives, går
det derfor ud over deres overskud i dag-
ligdagen og deres muligheder for at indgå
i og bevare sociale relationer og deltage i
fællesskaber.
God mental sundhed er en beskyttelsesfak-
tor i forhold til at udvikle psykiske lidelser
som depression og angst, men der er kun i
begrænset omfang viden om de processer,
som fører til psykiske sygdomme.
Kommunale udgifter ved
dårlig mental sundhed
› Merudgifterne for en gennemsnits-
kommune til borgere med dårlig
mental sundhed er 35 mio. kr. årligt i
medfinansiering af sundhedsydelser
og udgifter til personlig og praktisk
hjælp. Det vurderes, at udgifterne
til behandling udgør ca. 10% af de
samlede udgifter, mens hovedparten
skyldes langvarigt sygefravær og ned-
sat arbejdsevne.
Kilder: Juel K. Statens Institut for Folke-
sundhed, SDU, 2017. Justeret for ryg-
ning, alkohol, fysisk inaktivitet og svær
overvægt. Tallet omfatter ikke overfør-
selsindkomster og eventuelle udgifter
til kommunale tilbud mv.
samt Psykiatrifonden 2015
Dårlig mental sundhed er en betydelig
sundhedsudfordring både hos børn og
voksne. Stadig flere borgere får mentale
sundhedsudfordringer som stress, angst og
depression. Der er markant social ulighed i
mental sundhed, idet der er en højere fore-
komst i mistrivsel, stress og psykisk sygdom
blandt borgere med kort uddannelse og
blandt dem der er uden for arbejdsmarke-
det.
› Mentale udfordringer blandt borgere i og udenfor arbejde, 25-64 år (%)
70
60
50
40
30
20
10
0
I arbejde
Ensomhed
Arbejdsløs
Dårlig mental sundhed
Førtidspension
Andre uden for
arbejdsmarkedet
Ængstelse, nervøsitet, angst
Kilde: Den Nationale Sundhedsprofil, 2013.
SUU, Alm.del - 2019-20 - Bilag 595: Svar på udvalgets opfølgning og spørgsmål til KL’s Sundheds- og Ældreudvalg efter fællesmødet den 10. september 2020
2255198_0040.png
40
Pejlemærke 6: Flere skal leve et liv med bedre mental sundhed og trivsel
Forebyggelse for fremtiden
Mentale sundhedsudfordringer
› Cirka hver 10. voksne dansker vurde-
rer, at de har en dårlig mental sund-
hed. I løbet af en 14 dages periode
oplever hver fjerde nedtrykthed eller
ængstelse, nervøsitet, uro eller angst.
› Borgere med mentale sundhedsud-
fordringer har ofte også fysiske smer-
ter og sygdom, og mentale sund-
hedsudfordringer er årsag til halvde-
len af alle langtidssygemeldinger.
› WHO forudsiger, at halvdelen af alle
sygdomme vil have rod i mentale
sundhedsproblemer i 2020.
Kilde: Den Nationale Sundhedsprofil,
2013 og WHO.
takt til venner og familie, har man markant
mindre risiko for at blive ensom, udvikle
depression og angst. Herudover nedsættes
risikoen for at få hukommelsestab, koncen-
trationsbesvær og andre mentale funkti-
onsnedsættelser.
Kommunerne kan bidrage til at fremme den
mentale sundhed blandt borgerne ved at
skabe alsidige og inkluderende fællesskaber
i de sammenhænge, hvor medarbejderne
møder borgeren i fx dagtilbud, skole, jobcen-
ter og på social- og ældreområdet, men også
på bibliotekerne og i kulturlivet. Boligområ-
derne, byrummet og naturen kan indrettes,
så der skabes gode muligheder for, at bor-
gerne kan færdes trygt og være aktive, så der
kan dyrkes og opstå fællesskaber.
Alle kommuner samarbejder med for-
enings- og frivilligområdet for at under-
støtte deres indsats, men samarbejdet kan
styrkes yderligere. Der er i højere grad brug
for at skabe fællesskaber, der inkluderer de
borgere, der ikke normalt kommer af sig
selv. Stadig mere forskning viser, at fysisk
aktivitet har positiv effekt på vores mentale
sundhed, og det er derfor nærliggende at
samtænke indsatser, der skaber gode ram-
mer for fysisk aktivitet med indsatsen for at
fremme mental sundhed.
Kommunerne hverken kan eller skal løfte
disse opgaver alene. Vi har alle et medan-
svar som stat, region, erhvervsliv, forening
og som familie, ven eller kollega. Det gæl-
der også i forhold til at afstigmatisere og
skabe større åbenhed om ensomhed, stress
og psykisk sygdom, som stadig er tabuis-
erede emner i samfundet.
Forebyggelse i den tidlige barndom skal
prioriteres
Skal samfundet for alvor gøre noget ved
mistrivsel og psykisk sygdom, skal vi starte
med forebyggelse hos børn og unge. Sund-
hedsplejens tilbud til alle nye familier udgør
en helt unik mulighed for at understøtte
omsorg for barnet og tilknytning til for-
ældrene og dermed forebygge mistrivsel.
Børn, der vokser op i familier med misbrug,
psykisk sygdom, omsorgssvigt eller over-
greb, er i særlig risiko for at udvikle psykisk
sårbarhed. En investering i en tidlig og sy-
stematisk indsats forbedrer sårbare og ud-
satte børns robusthed og vil komme dem
til gavn resten af deres liv.
Et rummeligt samfund, hvor alle er aktive
i meningsfulde fællesskaber
Det, vi ved, er, at det er muligt at styrke
vores mentale sundhed gennem menings-
fulde aktiviteter, som vi deltager i sammen
med andre. Har man et liv med aktiviteter
sammen med andre og regelmæssig kon-
SUU, Alm.del - 2019-20 - Bilag 595: Svar på udvalgets opfølgning og spørgsmål til KL’s Sundheds- og Ældreudvalg efter fællesmødet den 10. september 2020
2255198_0041.png
Pejlemærke 6: Flere skal leve et liv med bedre mental sundhed og trivsel
Forebyggelse for fremtiden
41
Kommunerne har en opgave i at identifice-
re børn i sårbare familier allerede i den tid-
lige barndom og støtte familierne igennem
sundhedsplejen, dagtilbud og eventuelt
socialområdet. Mental trivsel hos barnet er
en kerneopgave i disse indsatser. Samtidig
har almen praksis en vigtig rolle i forhold til
at underrette kommunen, hvis de er i kon-
takt med forældre med psykisk sygdom,
misbrug eller andre sundhedsmæssige eller
sociale forhold, der kan have betydning for
barnets sundhed og trivsel.
Fokus på indsatser i skoler og på
ungdomsuddannelser
I skolerne har børn og unge, der mistrives,
oftere indlæringsproblemer og sværere ved
at gennemføre deres skolegang og uddan-
nelsesforløb. Forskning har vist, at elever-
nes trivsel forbedres, når skolen har et ved-
varende fokus herpå og målrettet arbejder
med, at alle børnene har et tilhørsforhold til
skolen, ikke bliver mobbet og oplever, at de
bidrager med noget til fællesskabet.
Kommunernes indsats i forhold til forebyg-
gelse af mentale sundhedsudfordringer
hos børn og unge handler i vid udstrækning
om, at medarbejderne omkring barnet
og den unge er opmærksomme på tidlige
tegn på psykisk mistrivsel og kan handle
på en eventuel bekymring. Det gælder ikke
mindst i overgangene mellem daginstituti-
on, skole og ungdomsuddannelse. En syste-
matisk indsats for at øge medarbejdernes
opmærksomhed på tidlige tegn forudsæt-
ter, at medarbejderne har den nødvendige
viden og kompetencer. Der skal desuden
være klarhed over, hvordan medarbejderne
skal handle, hvis de er bekymrede. I kom-
munerne er der mulighed for at inddrage
ressourcepersoner med særlig viden om at
fremme børns trivsel. Disse er enten knyt-
tet direkte til dagtilbuddet eller skolen eller
er ansatte med specialviden i fagforvalt-
ningen.
Nogle kommuner har særlige psykologba-
serede tilbud til børn og unge, der har ud-
viklet psykisk mistrivsel, eksempelvis stress,
angst og depression. Da der er begrænset
viden om effekten af forskellige typer af
tilbud på dette område, er det væsentligt,
at nye tilbud følges nøje, gerne i forsknings-
samarbejde, for at fastslå, om indsatsen står
mål med resultaterne.
Mulighed for forebyggelsestilbud til
voksne med psykisk mistrivsel
Arbejdsløshed eller et belastende arbejds-
miljø, belastede boligområder, ensomhed
og dårlig fysisk sundhed er blandt de fak-
torer, der har negativ indflydelse på men-
neskers mentale trivsel. Da disse faktorer er
socialt skævt fordelt, rammer psykiske lidel-
ser som fx angst og depression også nogle
befolkningsgrupper hårdere end andre.
Kommunen kan med fordel i højere grad in-
tegrere mental sundhed i eksisterende ind-
satser, herunder i beskæftigelsesindsatsen
og i sundhedscentrenes tilbud til borgere
med kronisk sygdom. En række indsatser,
eksempelvis de forebyggende hjemme-
besøg for ældre samt socialfaglige tilbud,
væresteder mv., har mental sundhed som
et hovedfokus.
Mange kommuner har specifikke tilbud
til borgere, der i perioder af deres liv har
mentale sundhedsudfordringer. To ud af tre
kommuner tilbyder mestringskurset ’Lær
at tackle angst og depression’, der har vist
gode effekter, og som nu også afprøves
blandt unge. Derudover har nogle kommu-
ner forebyggelsestilbud til borgere, der er
sygemeldte med stress, mens andre afprø-
ver særlige kulturtilbud til borgere udenfor
arbejdsmarkedet. Som ved nye tilbud til
børn og unge med psykisk mistrivsel er det
væsentligt, at effekten af sådanne tilbud
undersøges.
Dårlig mental sundhed hos børn
og unge
› Blandt børn og unge har cirka hver
femte dagligt flere tegn på dårlig
mental sundhed; de er kede af det,
nervøse, føler sig uden for eller er
pressede af skolearbejdet. Cirka hver
syvende har været i behandling for
en psykisk lidelse, inden de fylder
18 år.
› Børn og unge med mentale proble-
mer har oftere indlæringsproblemer
og sværere ved at gennemføre sko-
legang og uddannelsesforløb, og
mentale helbredsproblemer er år-
sagen til over halvdelen af frafald på
ungdomsuddannelser. Børn, der ikke
trives har en større risiko for at ud-
vikle alvorlige psykiske symptomer
og sygdomme, der kan vedvare som
ung og senere som voksen.
Kilder: Den nationale sundhedsprofil
2013, Psykiatrifonden ”Tal til psyken”
og Sundhedsstyrelsen ”Forebyggelses-
pakke Mental Sundhed”.
Jeg var meget langt
nede og kunne ikke se,
hvordan jeg skulle komme
op. På kurset fik jeg nogle
konkrete redskaber til at
arbejde med min angst og
depression, og jeg mødte
andre, som var i samme
situation. Det rykkede mig
meget, og det har givet mig
et håb for fremtiden og en
tro på, at jeg kan komme i
gang med at arbejde igen”
- Katja, 45 år
Det nødvendige samarbejde
Samarbejdet på tværs af kommunen er
helt essentielt i forhold til forebyggelse af
psykisk mistrivsel. Det skyldes ikke mindst,
at borgere, der har mentale sundhedsudfor-
dringer ofte har flere problemer samtidig.
Ikke blot fysisk smerte og sygdom, men
også misbrugsproblemer, sociale proble-
mer, langvarigt sygefravær, arbejdsløshed
mv.
I tilknytning til de kommunale tilbud til
borgere med dårlig mental sundhed er der
ofte behov for et tæt samarbejde med det
regionale sundhedsvæsen, som har ansva-
ret for udredning og behandling. Ligeledes
er der behov for tæt samarbejde om den
gruppe af borgere, der har det dårligst, og
som har behov for tilbud i den regionale
psykiatri og samtidig har en række sociale,
fysiske og andre psykiske udfordringer.
SUU, Alm.del - 2019-20 - Bilag 595: Svar på udvalgets opfølgning og spørgsmål til KL’s Sundheds- og Ældreudvalg efter fællesmødet den 10. september 2020
2255198_0042.png
42
Pejlemærke 6: Flere skal leve et liv med bedre mental sundhed og trivsel
Forebyggelse for fremtiden
Fremme af mental sundhed igennem
aktive fællesskaber
› Læsø Kommune arbejder for at fremme
alle borgeres mentale sundhed igennem
partnerskabet ABC for mental sundhed.
Indsatsen er forskningsbaseret og bygger
på, at mennesker fremmer deres men-
tale sundhed ved at gøre noget aktivt og
meningsfuldt sammen med andre. Akti-
viteterne sker i samarbejde mellem kom-
munen, lokale institutioner og frivillige
organisationer. Partnerskabet er støttet af
NordeaFonden og foruden syv kommu-
ner deltager blandt andre Statens Institut
for Folkesundhed, Det Danske Spejder-
korps, DGI og Psykiatrifonden.
Samarbejde med socialt netværk om
rådgivning af børn og unge
› Esbjerg Kommune samarbejder med
det sociale netværk Headspace om et
anonymt og gratis rådgivningstilbud til
børn og unge i alderen 12-25 år. Her kan
børn og unge få hjælp til små og store
problemer. Det kan være alt lige fra angst,
ensomhed, kærestesorg, job og uddan-
nelse. Mere end 450 frivillige over hele
landet er tilknyttet Headspace, der støt-
tes af satspuljen og forskellige fonde.
Headspace arbejder tæt sammen med 13
kommuner.
Tilbud om håndtering af stress målret-
tet arbejdsløse
› Københavns Kommune samarbejder
med lokale jobcentre om et stressfore-
byggelsestilbud til arbejdsløse. Tilbuddet
er en del af kommunens psykologbase-
rede tilbud ”Åben og Rolig”, hvor andre
borgere med længerevarende stress også
kan deltage efter henvisning fra egen
læge. Forskning viser positive effekter af
tilbuddet både i forhold til deltagernes
sundhed og deres tilknytning til arbejds-
markedet. Aalborg Kommune tilbyder
også ”Åben og Rolig”.
KL ANBEFALER
TIL KOMMUNERNE:
at kommunalbestyrelsen tager stilling til, hvordan kommunen kan fremme mental sundhed og forebygge udvikling af psykisk
mistrivsel, så flere kan leve et liv med bedre mental sundhed (pejlemærke 6)
at kommunen fremmer inkluderende fællesskaber i egne institutioner og indsatser samt igennem samarbejde med civilsamfundet
at kommunens medarbejdere styrker opmærksomheden på børn og unges tidlige tegn på psykisk mistrivsel og risikofaktorerne
herfor og har kompetencer og viden til at handle på bekymringer
at kommunen i eksisterende sundhedsindsatser sikrer, at borgerne får støtte til at tackle også mentale udfordringer
at kommunen drøfter muligheden for at etablere forebyggelsestilbud til borgere med tegn på psykisk mistrivsel og sikrer opfølg-
ning på tilbuddets effekt.
TIL ANDRE AKTØRER:
at der nationalt sættes fokus på mental sundhed i befolkningen og skabes styrkede rammebetingelser for inkluderende fællesskaber
at staten, set i lyset af den stigende gruppe af børn og unge med svær psykisk mistrivsel, skal opprioritere forebyggende og tidlige
indsatser i kommunalt regi
at Sundhedsstyrelsen og andre nationale aktører fortsat gennemfører kampagneaktiviteter om mental sundhed og bidrager til at
afstigmatisere mentale sundhedsudfordringer og psykisk sygdom
at forskningen styrkes, så der skabes øget viden om årsager til mentale sundhedsudfordringer og om, hvilke indsatser, der kan frem-
me mental sundhed og forebygge psykisk sygdom.
SUU, Alm.del - 2019-20 - Bilag 595: Svar på udvalgets opfølgning og spørgsmål til KL’s Sundheds- og Ældreudvalg efter fællesmødet den 10. september 2020
2255198_0043.png
Noter
Forebyggelse for fremtiden
43
SUU, Alm.del - 2019-20 - Bilag 595: Svar på udvalgets opfølgning og spørgsmål til KL’s Sundheds- og Ældreudvalg efter fællesmødet den 10. september 2020
2255198_0044.png
44
6 pejlemærker for fremtidens forebyggelse
Forebyggelse for fremtiden
Forebyggelse for fremtiden
KL
Weidekampsgade 10
2300 København S
Tlf. 3370 3370
[email protected]
www.kl.dk
@kommunerne
facebook.com/kommunerne
Produktionsnr. 830292
ISBN 878-87-93668-06-5
ISBN 878-87-93668-07-2-pdf