Sundheds- og Ældreudvalget 2019-20
SUU Alm.del Bilag 595
Offentligt
2255197_0001.png
REDDE PÅ STANDARDSIDE
Veje til
flere hænder
Task force om social-
og sundhedsmedarbejdere
Maj 2020
SUU, Alm.del - 2019-20 - Bilag 595: Svar på udvalgets opfølgning og spørgsmål til KL’s Sundheds- og Ældreudvalg efter fællesmødet den 10. september 2020
Denne side er med vilje efterladt uden indhold.
SUU, Alm.del - 2019-20 - Bilag 595: Svar på udvalgets opfølgning og spørgsmål til KL’s Sundheds- og Ældreudvalg efter fællesmødet den 10. september 2020
2255197_0003.png
Veje til
flere hænder
Task force om social-
og sundhedsmedarbejdere
Maj 2020
· Finansministeriet
· Sundheds- og Ældreministeriet
· Børne- og Undervisningsministeriet
· Uddannelses- og Forskningsministeriet
· Beskæftigelsesministeriet
· KL
· Danske Regioner
SUU, Alm.del - 2019-20 - Bilag 595: Svar på udvalgets opfølgning og spørgsmål til KL’s Sundheds- og Ældreudvalg efter fællesmødet den 10. september 2020
2255197_0004.png
Veje til flere hænder − Task force om social- og sundhedsmedarbejdere
Maj 2020
I tabeller kan afrunding medføre,
at tallene ikke summer til totalen.
Omslag:
Tryk:
Oplag:
ISBN:
BGRAPHIC
Rosendahls
400
978-87-93531-86-4
Elektronisk publikation
ISBN: 978-87-93531-87-1
Publikationen kan hentes på
Finansministeriets
hjemmeside fm.dk
SUU, Alm.del - 2019-20 - Bilag 595: Svar på udvalgets opfølgning og spørgsmål til KL’s Sundheds- og Ældreudvalg efter fællesmødet den 10. september 2020
Indhold
1.
Sammenfatning ............................................................................................................ 5
1.1 Uddannelse af social- og sundhedsmedarbejdere .............................................. 8
1.2 Social- og sundhedsmedarbejdere på arbejdsmarkedet................................... 22
1.3 Fremtidens udbud af social- og sundhedsmedarbejdere .................................. 32
1.4 Veje til flere hænder........................................................................................... 37
1.5 Oversigt over rapportens indhold ...................................................................... 38
Veje til flere hænder ................................................................................................... 43
2.1 Styrket rekruttering og fastholdelse på social- og sundhedsuddannelserne .... 44
2.2 Bedre overgange mellem skole og praktik ........................................................ 46
2.3 Styrket kvalitet af praktikforløbene .................................................................... 48
2.4 God start og fastholdelse i faget ........................................................................ 49
2.5 Flere på fuld tid og mindre sygefravær .............................................................. 50
Uddannelsesoptag ..................................................................................................... 53
3.1 Kort om uddannelserne ..................................................................................... 54
3.2 Uddannelsesoptag og gennemførsel ................................................................ 57
Uddannelsesfrafald .................................................................................................... 69
4.1 Frafald på sygeplejerskeuddannelsen ............................................................... 70
4.2 Frafald på SOSU-uddannelserne ...................................................................... 76
Overgangen fra skole til praktik ................................................................................. 89
5.1 Introduktion til praktikforløb ............................................................................... 91
5.2 Facilitering og koordinering af praktikforløb ...................................................... 93
5.3 Tilrettelæggelse af vejledningsindsatsen .......................................................... 97
5.4 Fastholdelse af frafaldstruede studerende og elever ...................................... 100
Studerende og elevers baggrundskarakteristika ..................................................... 107
6.1 Studerende på sygeplejerskeuddannelsen ..................................................... 108
6.2 Elever på SOSU-uddannelserne ..................................................................... 113
Arbejdsstyrke, beskæftigelse og ledighed ............................................................... 121
7.1 Udvikling i arbejdsstyrken ................................................................................ 122
7.2 Udvikling i ledighed, beskæftigelse og arbejdstid ........................................... 126
7.3 Branche og sektor for social- og sundhedsmedarbejderes primære
beskæftigelse .................................................................................................. 129
7.4 Sygefravær ...................................................................................................... 133
7.5 Tilbagetrækning ............................................................................................... 134
Typiske veje på arbejdsmarkedet ............................................................................ 139
8.1 Social- og sundhedsmedarbejderes arbejdsmarkedsstatus ........................... 140
8.2 Sygeplejersker ................................................................................................. 141
8.3 SOSU-assistenter ............................................................................................ 144
8.4 SOSU-hjælpere ............................................................................................... 147
2.
3.
4.
5.
6.
7.
8.
SUU, Alm.del - 2019-20 - Bilag 595: Svar på udvalgets opfølgning og spørgsmål til KL’s Sundheds- og Ældreudvalg efter fællesmødet den 10. september 2020
9.
Arbejdstid ................................................................................................................. 153
9.1 Sygeplejersker ................................................................................................. 154
9.2 SOSU-assistenter ............................................................................................ 155
9.3 SOSU-hjælpere ............................................................................................... 156
9.4 Sammenligning af arbejdstid et år og fem år efter endt uddannelse .............. 157
9.5 Arbejdstid på det kommunale ældreområde ................................................... 159
10. Geografisk mobilitet ................................................................................................. 167
10.1 Mobilitets rolle for et velfungerende arbejdsmarked ....................................... 168
10.2 Job- og bopælsmobilitet mellem kommuner, landsdele og regioner ............... 168
11. Fremtidens udbud af social- og sundhedsmedarbejdere ........................................ 179
11.1 Efterspørgsel efter social- og sundhedsmedarbejdere ................................... 180
11.2 Fremskrivning af udbuddet af social- og sundhedsmedarbejdere .................. 182
12. Igangværende initiativer .......................................................................................... 191
12.1 Initiativer igangsat i kommunalt regi ............................................................... 191
12.2 Initiativer igangsat i regionalt regi .................................................................... 195
12.3 Initiativer på aftale om finansloven for 2020 .................................................... 197
12.4 Initiativer på aftale om finansloven for 2019 .................................................... 197
12.5 Initiativer på aftale om finansloven for 2018 .................................................... 198
12.6 Øvrige politiske aftaler ..................................................................................... 199
12.7 Øvrige initiativer ............................................................................................... 201
12.8 Rekrutteringskanaler til SOSU-uddannelserne ............................................... 203
Appendiks 4A. Årsager til frafald og studieskift for sygeplejerskestuderende ................ 211
Appendiks 4B. Trivselsmåling og virksomhedstilfredsmåling på
SOSU-uddannelserne ..................................................................................................... 215
Appendiks 5A. Formelle rammer for klinisk undervisning............................................... 219
Appendiks 5B. Formelle rammer for praktikforløb på SOSU-uddannelserne ................ 225
Appendiks 5C. Eksempler på samarbejds- og dialogfora............................................... 229
Appendiks 7A. Metode .................................................................................................... 233
Appendiks 8A. Uddybende om veje på arbejdsmarkedet............................................... 235
Appendiks 9A. Beregningsmetode af arbejdstid ............................................................. 245
Appendiks 10A. Beregningsmetode af geografisk mobilitet ........................................... 249
Appendiks 12A. Eksempler på rekrutteringsindsatser .................................................... 253
Redaktionen er afsluttet 29. maj 2020.
SUU, Alm.del - 2019-20 - Bilag 595: Svar på udvalgets opfølgning og spørgsmål til KL’s Sundheds- og Ældreudvalg efter fællesmødet den 10. september 2020
2255197_0007.png
1.
Nyt kapitel
Sammenfatning
Medarbejdere i regioner og kommuner på sundheds-, ældre- og socialområdet hjælper hver
dag tusindvis af borgere og patienter med pleje, støtte, medicin, personlig og praktisk hjælp.
Disse medarbejdere løfter et vigtigt ansvar og gør hver dag en stor forskel i borgere og pati-
enters liv.
Allerede i dag ses der udfordringer med at rekruttere social- og sundhedsmedarbejdere på
tværs af landet. Dertil kommer, at den demografiske udvikling tilsiger, at der frem mod 2030
vil være omkring 150.000 flere ældre over 80 år. Samtidig er sundheds-, ældre- og socialom-
rådet i hastig udvikling ikke mindst i det nære sundhedsvæsen, hvor der stilles stadig større
krav til kvalitet og behandling af borgere i eget hjem ikke mindst ift. behandling af et stigende
antal kronisk syge.
Flere ældre og kronisk syge, udviklingen i det nære sundhedsvæsen, færre ansøgere på
SOSU-uddannelserne samt et højt antal medarbejdere, som snart går på pension kræver et
fortsat og helhedsorienteret fokus på opgaveløsningen på sundheds-, ældre- og socialområ-
det. Udviklingen kræver endvidere et stærkt og koordineret samarbejde omkring uddannelse
og rekruttering på tværs af forskellige sektorer, uddannelsesinstitutioner, myndigheder og ar-
bejdsmarkedets parter mv.
Regeringen, KL og Danske Regioner blev med aftalen om kommunernes økonomi for 2020
og aftalen om regionernes økonomi for 2020 enige om at nedsætte en task force,
der fik til
opgave at drøfte
rekruttering af social- og sundhedsmedarbejdere, samt hvordan flere medar-
bejdere får mulighed for at gå op i tid, hvordan sygefravær nedbringes, og hvordan medarbej-
dernes kompetencer udnyttes bedst muligt.
Task forcen står på skuldrene af en lang række initiativer iværksat i forskelligt regi i løbet af
de seneste par år, som alle sigter mod at rekruttere flere social- og sundhedsmedarbejdere.
Det gælder initiativer iværksat nationalt og i politiske aftaler, men det gælder i særdeleshed
initiativer igangsat lokalt i kommuner og regioner og på uddannelsesinstitutioner, hvor dags-
ordenen længe har fyldt.
Task forcen har i sit arbejde fokuseret på sygeplejersker, SOSU-assistenter og SOSU-hjæl-
pere. Det skal dog understreges, at opgavevaretagelsen på sundheds-, ældre- og socialom-
rådet både i dag og i fremtiden varetages af en række forskellige personalegrupper, hvor for-
skellige grupper bidrager med hver deres særlige sæt af kompetencer til den samlede opga-
veløsning.
Task forcen har udarbejdet en række analyser af rekrutteringen og optaget på social- og
sundhedsuddannelserne samt social- og sundhedsmedarbejderes beskæftigelsesadfærd,
herunder af beskæftigelsesgrad, arbejdstid, sygefravær mv.
Disse analyser peger på en række positive tendenser.
Veje til flere hænder − Task force om social- og sundhedsmedarbejdere
Maj 2020
5
SUU, Alm.del - 2019-20 - Bilag 595: Svar på udvalgets opfølgning og spørgsmål til KL’s Sundheds- og Ældreudvalg efter fællesmødet den 10. september 2020
2255197_0008.png
Kapitel 1
Sammenfatning
Først og fremmest er arbejdsstyrken af social- og sundhedsmedarbejdere øget med omkring
40.000 personer fra 2000-2017. Dette skyldes bl.a., at der har været et stort fokus på rekrut-
teringen til social- og sundhedsuddannelserne. Således uddannes der generelt også flere sy-
geplejersker end før i takt med, at dimensioneringen af sygeplejerskeuddannelsen er blevet
øget.
Omend den samme positive historie ikke gør sig gældende for SOSU-uddannelserne, er der
dog etableret mange forskellige rekrutteringskanaler til og samarbejder omkring SOSU-ud-
dannelserne mhp. også at øge rekrutteringen til disse uddannelser. Det er derudover lykkes
at øge tilgangen til SOSU-uddannelserne blandt elever med udenlandsk herkomst.
Det er også positivt, at social- og sundhedsmedarbejdere generelt er kendetegnet ved en
meget lav grad af ledighed, og at flere social- og sundhedsmedarbejdere bliver længere på
arbejdsmarkedet end tidligere.
Endelig er der etableret mange gode formelle og uformelle samarbejder omkring de tre ud-
dannelser rundt omkring i landet. Således er det også en udbredt opfattelse blandt uddannel-
sesinstitutioner, kommunale og regionale aktører, at samarbejdet omkring den delte uddan-
nelsesopgave er kendetegnet ved et højt engagement og velvilje omkring planlægning, gen-
nemførsel og udvikling af uddannelserne.
Der kan dog også på baggrund af task forcens analyser peges på en række centrale udfor-
dringer på området, som er opsummeret i
boks 1.1.
6
Veje til flere hænder − Task force om social- og sundhedsmedarbejdere
Maj 2020
SUU, Alm.del - 2019-20 - Bilag 595: Svar på udvalgets opfølgning og spørgsmål til KL’s Sundheds- og Ældreudvalg efter fællesmødet den 10. september 2020
2255197_0009.png
Kapitel 1
Sammenfatning
Boks 1.1
Udfordringer relateret til rekrutteringen af social- og sundhedsmedarbejdere
Faldende tilgang til SOSU-uddannelserne:
Tilgangen til SOSU-uddannelserne er i løbet af de seneste
år faldet fra ca. 12.200 i 2015 til 9.200 i 2018. En del af den faldende tilgang kan tilskrives indførelsen af
adgangskrav på alle erhvervsuddannelser med erhvervsuddannelsesreformen fra 2015. Den faldende
tilgang skyldes med al sandsynlighed dog også øvrige mere generelle tendenser i samfundet som fx en
generel faldende tilgang til erhvervsuddannelserne. Faldet kan også skyldes omlægningen af den trin-
delte social- og sundhedsuddannelse til to selvstændige uddannelser i 2017.
Overgang mellem skole og praktik udgør en frafaldsrisiko:
Overgangen mellem uddannelsesperioder
på skole og praktik udgør en risiko for frafald både på sygeplejerske- og på SOSU-uddannelserne. Dog
indsamles der ikke systematiske data for frafaldsårsager fra centralt hold hverken på sygeplejerskeud-
dannelsen eller op SOSU-uddannelserne, hvilket i sig selv kan udfordre, at der sættes effektivt og retti-
digt ind med målrettede indsatser. Det kan også være en udfordring, at der ikke findes en automatisk og
systematisk løbende videndeling om fx frafaldstruede elever og studerende sted alle steder i landet. Dan-
ske SOSU-skoler og adspurgte kommuner peger på, at en række SOSU-elever ikke finder en praktik-
plads, fordi de af kommunen som ansættende myndighed vurderes at mangle grundlæggende kompeten-
cer.
Vejledningsopgaven under praktikforløb kan blive udfordret i det daglige:
Nogle af de adspurgte
kommuner og regionerne oplever, at mødet med praksis for nogle studerende og elever kan resultere i et
såkaldt ’praksischok’ eller ’ansvarschok’. Derudover peger nogle af de adspurgte kommuner samt Dan-
ske Professionshøjskoler og Danske SOSU-skoler på, at opgaver i tilknytning til pleje og behandling af
patienter nogle gange prioriteres før praktikvejledningsopgaven, og at det for nogle elever og studerende
kan opleves, som at vejledningen nedprioriteres. Regionerne og de adspurgte kommuner oplever en øget
uddannelsesopgave − både med hensyn til antal og i kompleksitet − og oplever i den forbindelse, at vej-
ledningsfunktionen tager mere og mere tid.
Mange social- og sundhedsmedarbejdere forlader faget efter en årrække:
Andelen af beskæftigede
sygeplejersker inden for det offentlige sundheds-, ældre- og socialområde falder fra i gennemsnit 85 pct.
til 72 pct. 10 år efter endt uddannelse. For SOSU-assistenter er faldet fra 80 pct. til 63 pct. og for SOSU-
hjælpere 68 pct. til 35 pct. Faldet for SOSU-assistenter og SOSU-hjælpere skal dog ses i lyset af, at
mange i denne medarbejdergruppe i stedet har videreuddannet sig inden for andre sundhedsuddannel-
ser
Mange social- og sundhedsmedarbejdere arbejder på deltid, og SOSU-personale har et relativt
højt sygefravær:
I gennemsnit er ca. halvdelen af sygeplejerskerne deltidsbeskæftigede et år efter endt
uddannelse og ca. 81 pct. af SOSU-assistenterne og 74 pct. af SOSU-hjælperne. Efter 5 år på arbejds-
markedet er andelene nogenlunde de samme. SOSU-personale har i gennemsnit et højere sygefravær
end sygeplejersker i både den kommunale og regionale sektor, herunder et højere sygefravær end med-
arbejdere i den kommunale og regionale sektor generelt.
Udfordringsbilledet samt de øvrige centrale fund fra task forcens arbejde er udfoldet på de
næste sider.
Veje til flere hænder − Task force om social- og sundhedsmedarbejdere
Maj 2020
7
SUU, Alm.del - 2019-20 - Bilag 595: Svar på udvalgets opfølgning og spørgsmål til KL’s Sundheds- og Ældreudvalg efter fællesmødet den 10. september 2020
2255197_0010.png
Kapitel 1
Sammenfatning
1.1 Uddannelse af social- og sundhedsmedarbejdere
En del af task forcens opdrag var at undersøge, hvor mange SOSU-assistenter, SOSU-
hjælpere og sygeplejersker, der uddannes og hvordan det kan understøttes, at flere
uddannes, hvis behov herfor.
Det er i den forbindelse relevant at kigge på uddannelsesoptag og uddannelsesfrafald på de
tre uddannelser.
Der uddannes generelt flere sygeplejersker end tidligere
Sygeplejerskeuddannelsen er en professionsbacheloruddannelse, som varer 3,5 år og udby
-
des af professionshøjskolerne. Sygeplejerskeuddannelsen veksler mellem teoretisk og klinisk
undervisning. Ca. 40 pct. af uddannelsen foregår på kliniske undervisningssteder (praktik) på
kommunale og regionale arbejdspladser.
Størrelsen på optaget på sygeplejerskeuddannelsen er dimensioneret, hvilket betyder, at an
-
tallet af pladser på uddannelsen fastsættes årligt forud for sommeroptaget af uddannelses-
og forskningsministeren. Det er de enkelte professionshøjskoler, der på baggrund af dialog
med kommuner og regioner, søger Uddannelses- og Forskningsministeriet om at få justeret
størrelsen på deres optag.
Antallet af pladser på sygeplejerskeuddannelsen (dimensioneringen) er hævet løbende over
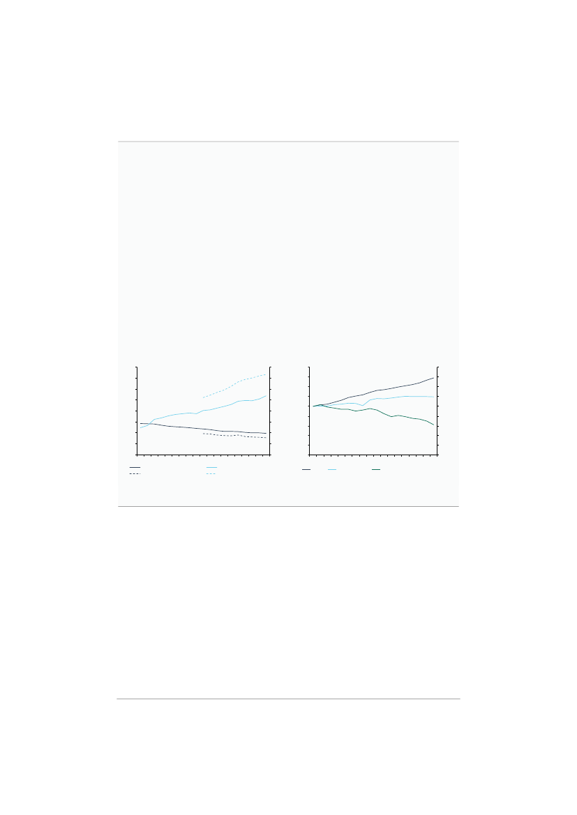
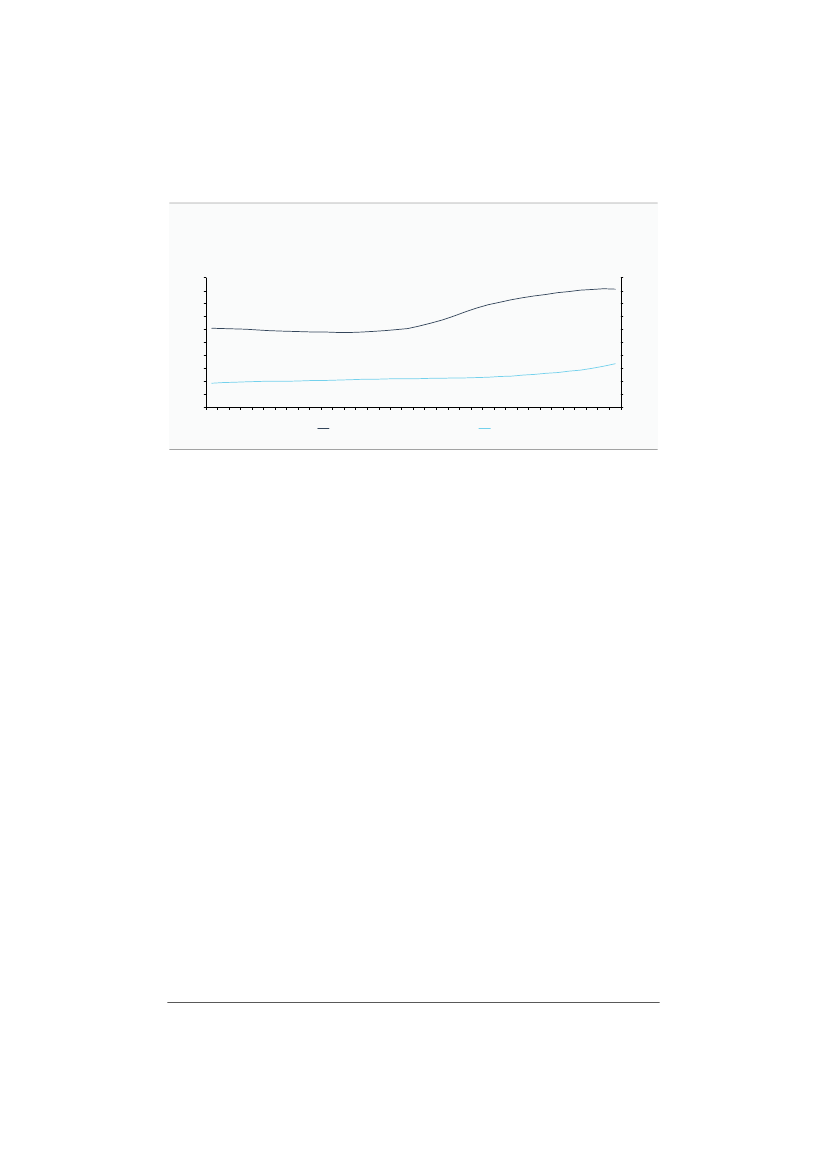
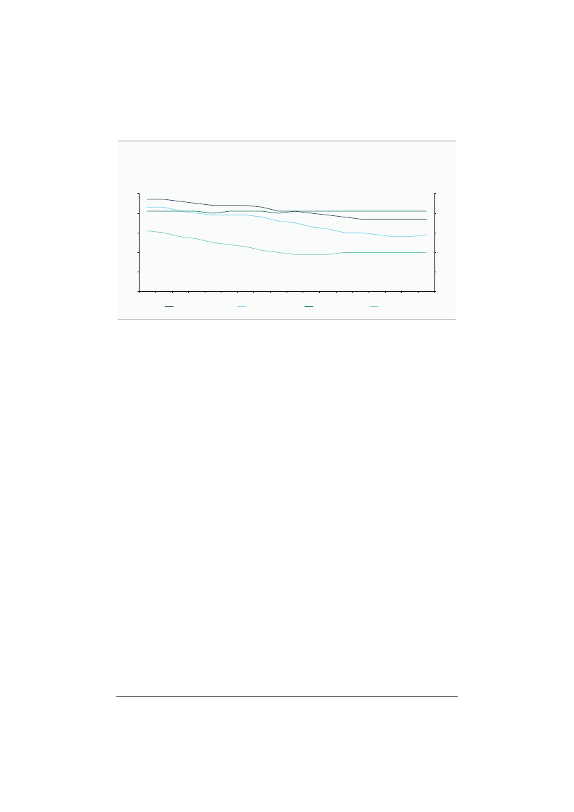
de seneste år, og tilgangen er samtidig steget fra ca. 3.000 studerende i 2009 til ca. 3.800 i
2018 svarende til en stigning på omkring 27 pct.,
jf. figur 1.1.
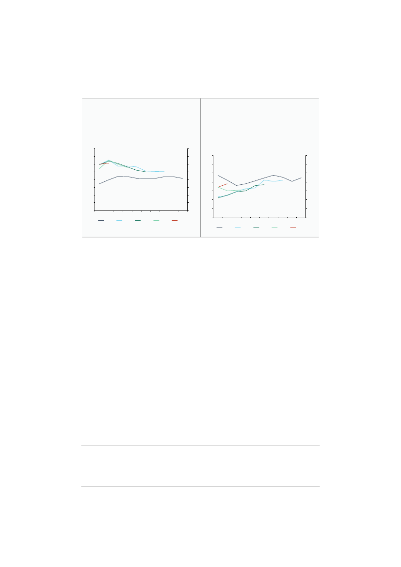
Figur 1.1
Dimensionering, tilgang og antal dimmittender på sygeplejerskeuddannelsen
1.000 personer
4,5
4,0
3,5
3,0
2,5
2,0
1,5
2013
2014
Dimensionering
2015
2016
Tilgang
2017
Fuldførte
2018
1.000 personer
1.000 personer
4,5
4,0
3,5
3,0
2,5
2,0
1,5
Kilde: Task force om social- og sundhedsmedarbejdere på baggrund af data fra Uddannelses- og
Forskningsministeriet og Danmarks Statistik.
8
Veje til flere hænder − Task force om social- og sundhedsmedarbejdere
Maj 2020
SUU, Alm.del - 2019-20 - Bilag 595: Svar på udvalgets opfølgning og spørgsmål til KL’s Sundheds- og Ældreudvalg efter fællesmødet den 10. september 2020
2255197_0011.png
Kapitel 1
Sammenfatning
Antallet af dimittender på sygeplejerskeuddannelsen er tilsvarende steget fra omkring 2.200 i
2009 til 2.600 i 2018. Antallet af dimittender forventes at stige yderligere i takt med, at de se-
neste års forhøjelser af dimensioneringen slår igennem på antallet af dimittender.
Der afvises relativt mange kvalificerede ansøgere på sygeplejerskeuddannelsen hvert år,
som ellers opfylder de formelle krav til uddannelsen, men hvor andre ansøgere enten havde
et højere karaktergennemsnit eller var mere kvalificerede i deres kvote 2-ansøgning. Antallet
af afviste kvalificerede ansøgere er også højt sammenlignet med øvrige velfærdsuddannelser
som fx pædagog- og folkeskolelæreruddannelsen.
Der er således ikke umiddelbart udfordringer med at fylde pladserne op på sygeplejerske-
uddannelsen. Dog har der været en faldende søgning af 1. prioritetsansøgere til syge-
plejerskeuddannelsen i de seneste år, hvilket kræver et fortsat fokus på rekruttering til
uddannelsen.
Yderligere fakta om tilgang, dimensionering og antal dimmittender på sygeplejerske-
uddannelsen er udfoldet i kapitel 3.
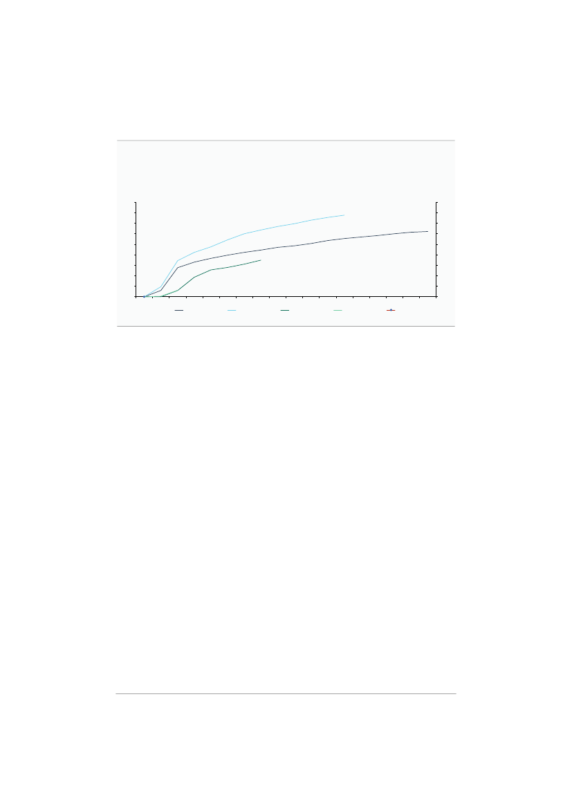
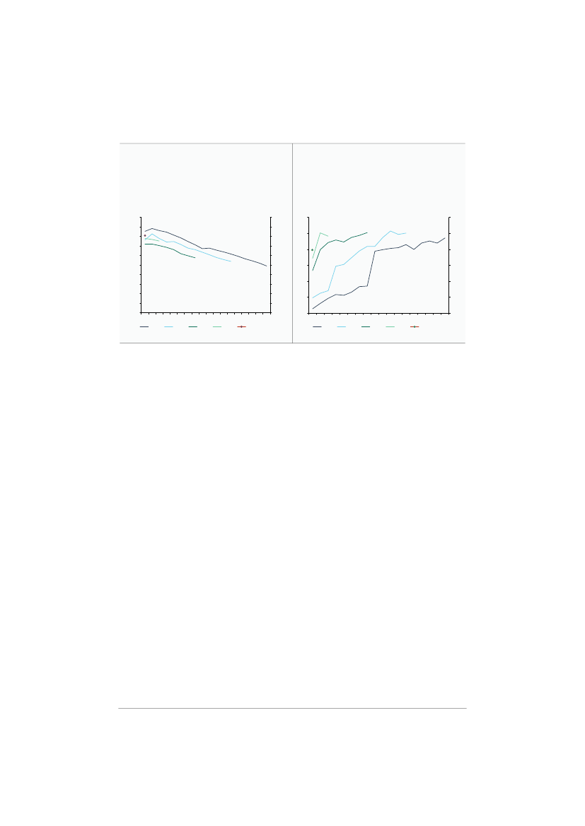
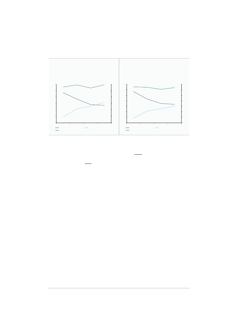
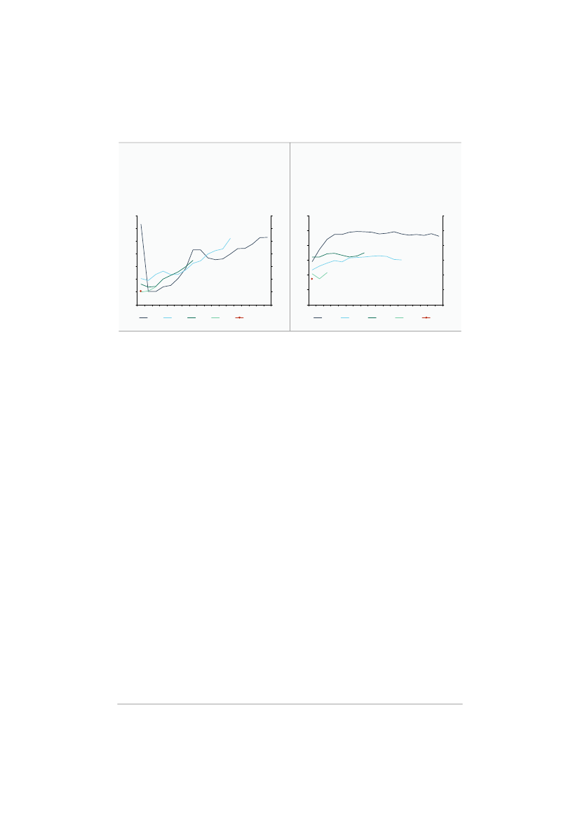
Hver fjerde sygeplejerskestuderende falder fra uddannelsen
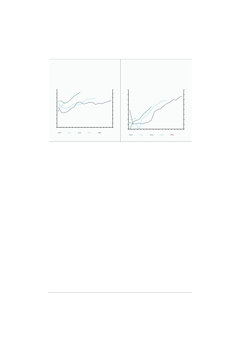
På sygeplejerskeuddannelsen er frafaldet i løbet af hele uddannelsen på omkring 24 pct.
Dette er dog stadig en smule lavere end gennemsnittet på de øvrige professionsbachelorud-
dannelser.
Størstedelen af frafaldet sker i løbet af første og andet studieår,
jf. figur 1.2.
Personer med
dansk herkomst har desuden et lavere førsteårsfrafald end efterkommere og indvandrere,
jf.
figur 1.3.
Figur 1.2
Frafald på sygeplejerskeuddannelsen
Pct.
30
25
20
15
10
5
0
08
09
10
11
Frafald 1 år efter
Frafald 3 år efter
12
13
14
15
16
17
Frafald 2 år efter
Frafald 4 år efter
Pct.
30
25
Figur 1.3
Førsteårsfrafaldet fordelt på herkomst
Pct.
20
18
16
20
15
10
5
0
Pct.
20
18
16
14
12
10
8
6
4
2
0
Dansk herkomst
Efterkommere
Indvandrere
14
12
10
8
6
4
2
0
Kilde: Task force om social- og sundhedsmedarbejdere på baggrund af data fra Danmarks Statistik.
Veje til flere hænder − Task force om social- og sundhedsmedarbejdere
Maj 2020
9
SUU, Alm.del - 2019-20 - Bilag 595: Svar på udvalgets opfølgning og spørgsmål til KL’s Sundheds- og Ældreudvalg efter fællesmødet den 10. september 2020
2255197_0012.png
Kapitel 1
Sammenfatning
Den hyppigst angivne årsag til, at sygeplejerskestuderende afbryder sygeplejerskeuddannel-
sen er, at de ikke kan se sig selv i jobbet som sygeplejerske (55 pct.). Det er en generel ten-
dens for studerende på professionshøjskoler, der afbryder deres uddannelse, at det er fordi
de ikke kan se sig selv i det efterfølgende job. Øvrige hyppige årsager for frafald blandt stu-
derende fra sygeplejerskeuddannelsen er personlige forhold uden for studiet (36 pct.) samt
uddannelsens faglige niveau (36 pct.), hvoraf 66 pct. vurderer det for højt og 34 pct. vurderer
det for lavt.
Det fremgår desuden af en analyse udarbejdet af Rambøll i 2018 om rekrutteringsudfordrin-
ger for social- og sundhedsmedarbejdere, at overgangen fra teori til praksis repræsenterer
den største risiko for frafald på sygeplejerskeuddannelsen.
1
De frafaldne sygeplejerskestuderende har en tendens til efterfølgende at påbegynde andre
professionsbacheloruddannelser efter frafaldet, såsom pædagoguddannelsen, men også er-
hvervsuddannelser som fx SOSU-uddannelserne.
Et illustrativt regneeksempel viser, at såfremt uddannelsesfrafaldet på sygeplejerskeuddan-
nelsen reduceres med ca. 5 pct.-point, øges udbuddet af beskæftigede sygeplejersker med
ca. 400 personer frem mod 2025. Dette skal ses i lyset af, at der i 2018 var ca. 2.600, der di-
mitterede fra sygeplejerskeuddannelsen.
En lille reduktion i uddannelsesfrafaldet kan altså bidrage positivt til udbuddet af beskæfti-
gede sygeplejersker. Det skal dog samtidig understreges, at der er tale om et illustrativt reg-
neeksempel, og at der i regneeksemplet således ikke er taget forbehold for evt. redskaber,
der vil skulle tages i brug for rent faktisk at reducere frafaldet. Dette skal endvidere ses i lyset
af, at reduktion af frafald længe har været et fokusområde, og at der ikke findes nogen lette
løsninger på at reducere uddannelsesfrafald.
Yderligere fakta om frafald på sygeplejerskeuddannelsen er udfoldet i kapitel 4.
Tilgangen til SOSU-uddannelserne er faldende
SOSU-assistentuddannelsen og SOSU-hjælperuddannelsen er erhvervsuddannelser, der va-
rer hhv. knap 3 år og 10 måneder og 2 år og 2 måneder (inkl. grundforløb) og udbydes af
SOSU-skoler.
2
På SOSU-uddannelserne har regeringen, KL, Danske Regioner og FOA siden 2007 indgået
såkaldte praktikpladsaftaler, der fastsætter en minimumsdimensionering, der forpligter kom-
muner og regioner til at stille et minimumsantal af praktikpladser til rådighed.
Før 2017 var SOSU-assistentuddannelsen og SOSU-hjælperuddannelsen én trindelt uddan-
nelse, hvor uddannelsen til hjælper var trin 1, som alle elever skulle igennem, hvorefter de,
der ønskede at blive assistenter, kunne gennemføre trin 2. Fra 2017 blev social- og sund-
hedsuddannelsen omlagt til to selvstændige uddannelser.
Rambøll (2018): Kortlægning: Rekruttering og fastholdelse af social- og sundhedspersonale og sygeplejersker i
kommuner og regioner.
2
ZBC udbyder også SOSU-uddannelser, selvom institutionen ikke teknisk set er en SOSU-skole. SOSU Sjælland
fusionerede med Selandia og ZBC i 2017.
1
10
Veje til flere hænder − Task force om social- og sundhedsmedarbejdere
Maj 2020
SUU, Alm.del - 2019-20 - Bilag 595: Svar på udvalgets opfølgning og spørgsmål til KL’s Sundheds- og Ældreudvalg efter fællesmødet den 10. september 2020
2255197_0013.png
Kapitel 1
Sammenfatning
Omlægningen af uddannelserne gør det vanskeligt at konkludere meningsfuldt på en udvik-
ling for minimumsdimensioneringen og udviklingen i antal uddannede SOSU-assistenter og
SOSU-hjælpere.
Førstnævnte fordi der i minimumsdimensioneringen af SOSU-hjælpere før 2017 var afsat
praktikpladser til, at alle SOSU-assistenter også først skulle have en uddannelsesaftale på
hjælperuddannelsen.
Sidstnævnte fordi SOSU-assistenter før omlægningen i 2017 optræder to gange i opgørelsen
af antal fuldførte, som hhv. fuldført SOSU-hjælper og fuldført SOSU-assistent. Før omlægnin-
gen fuldførte omkring 2.000-3.000 personer årligt uddannelsen til SOSU-hjælper og derefter
SOSU-assistentuddannelsen. Hertil kommer, at SOSU-assistentuddannelsen efter 2017 er
blevet forlænget, hvorfor SOSU-assistenteleverne i dag er længere tid undervejs end før om-
lægningen. Dette medfører en forskydning af fuldførelsen frem i tid. Samlet set medfører
dette forhold, at antallet af fuldførte før 2017 især på SOSU-hjælperuddannelsen ligger ”kun-
stigt højt” sammenlignet med i dag.
Antallet af fuldførte på SOSU-uddannelserne er i 2016 opgjort til ca. 8.200, altså før omlæg-
ningen, hvor SOSU-assistenters fuldførelse af hjælperuddannelsen også indgår i opgørelsen.
I 2018, efter omlægningen, er antallet af fuldførte opgjort til 3.500. Faldet i antallet af fuldførte
er dog som nævnt i høj grad forklaret ved strukturelle elementer i forlængelse af omlægnin-
gen af uddannelserne i 2017, og forskellen kan derfor ikke tolkes som et mærkbart lavere an-
tal fuldførte.
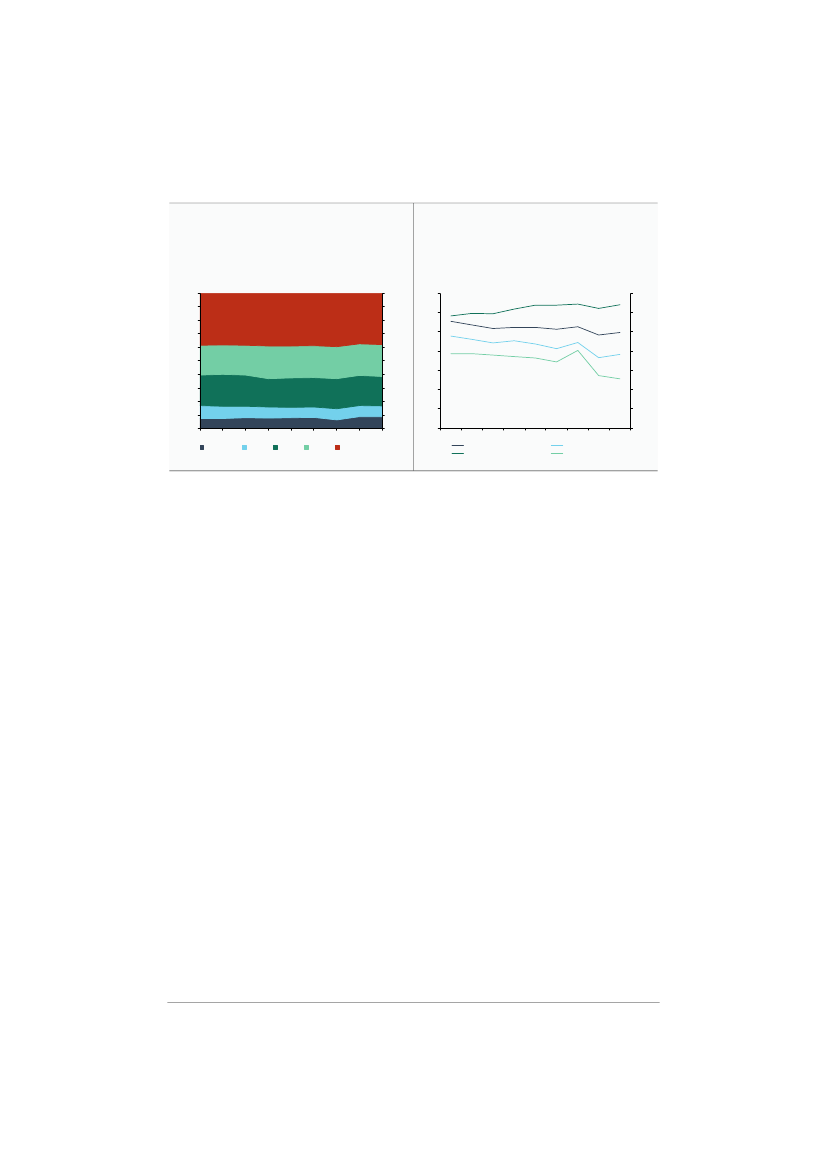
Dog kan udviklingen i tilgangen til uddannelserne godt meningsfuldt sammenlignes før og ef-
ter 2017, da eleverne kun optræder én gang i tilgangsdata. Tilgangen til SOSU-uddannel-
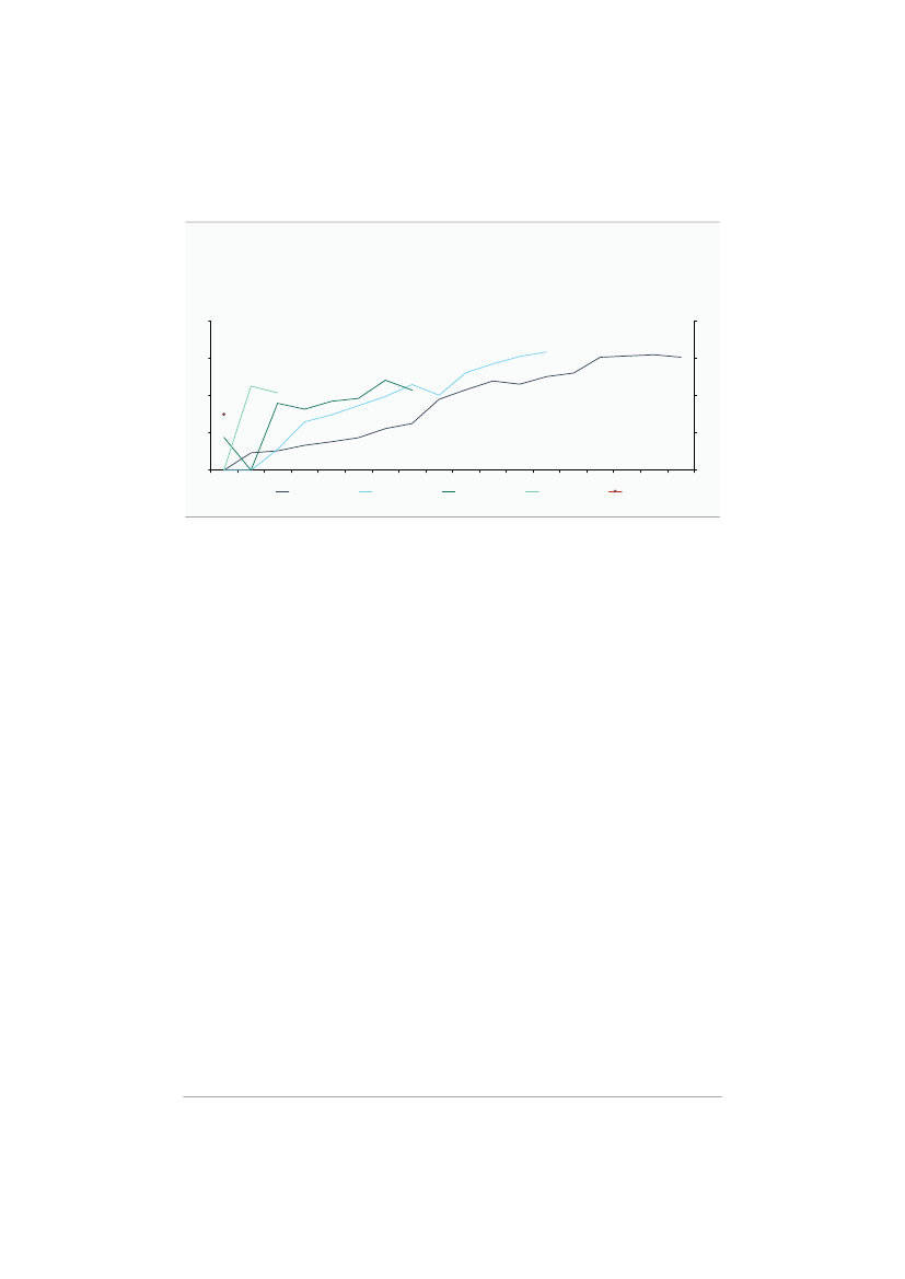
serne er faldet fra omkring 12.200 i 2015 til 9.200 i 2018,
jf. figur 1.4.
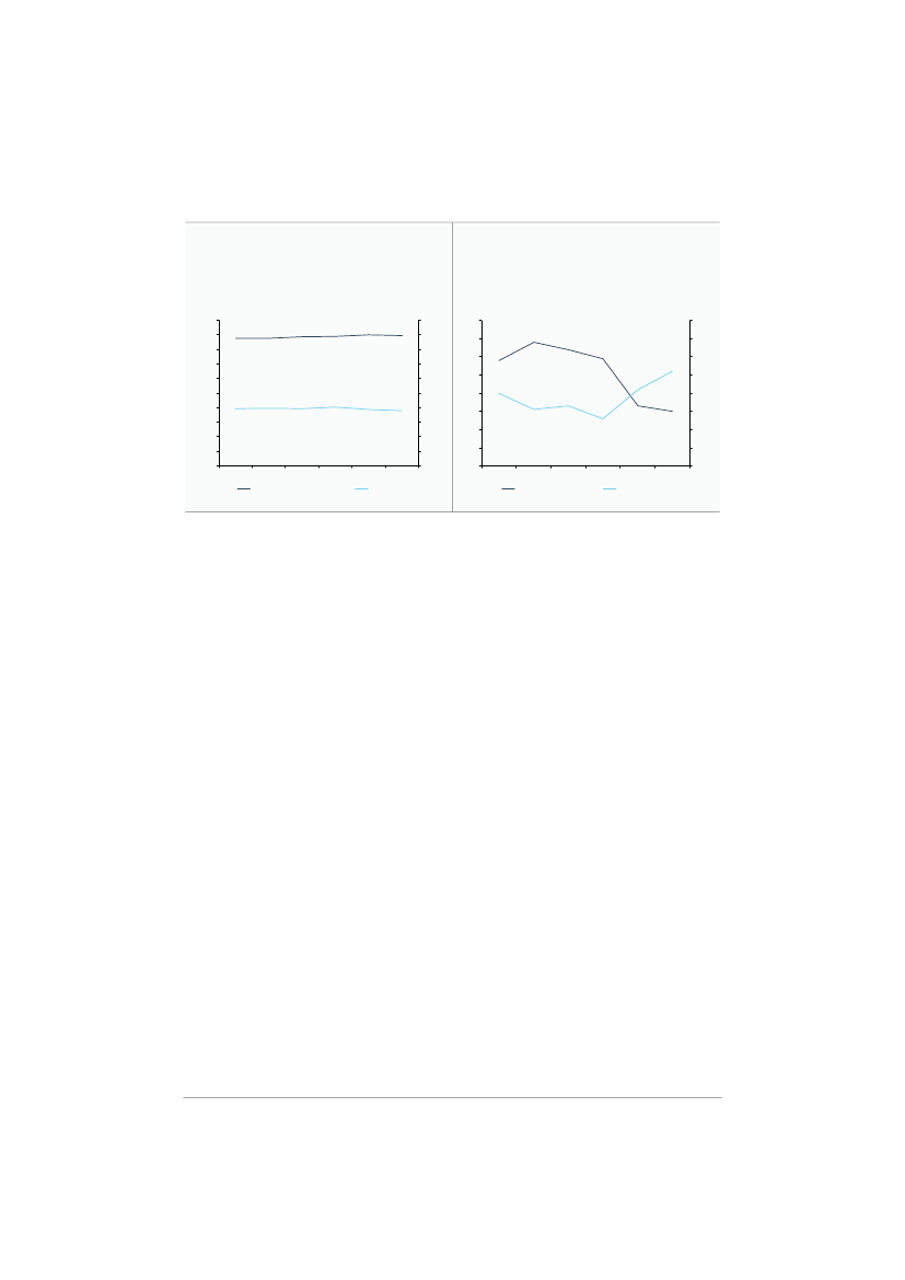
Figur 1.4
Tilgang til SOSU-uddannelserne
Figur 1.5
Minimumsdimensionering på
SOSU-uddannelserne
1.000 personer
14
12
10
8
6
4
2
1.000 personer
14
12
10
8
6
4
2
0
2013
2014
2015
2016
2017
1.000 personer
10
9
8
7
6
5
4
3
2
1
1.000 personer
10
9
8
7
6
5
4
3
2
1
0
0
2018
0
2017
2018
2019
2020
2021
Anm.: Tilgangen er opgjort som den samlede tilgang inkl. elever, som starter direkte på hovedforløbet eller
grundforløbets 2. del. Eleverne tælles kun med ved deres første tilgang til uddannelsen.
Kilde: Task force om social- og sundhedsmedarbejdere på baggrund af data fra Danmarks Statistik.
Veje til flere hænder − Task force om social- og sundhedsmedarbejdere
Maj 2020
11
SUU, Alm.del - 2019-20 - Bilag 595: Svar på udvalgets opfølgning og spørgsmål til KL’s Sundheds- og Ældreudvalg efter fællesmødet den 10. september 2020
2255197_0014.png
Kapitel 1
Sammenfatning
Faldet i tilgangen kan bl.a. tilskrives indførelsen af adgangskrav på alle erhvervsuddannelser
på 02 i dansk og matematik som følge af erhvervsuddannelsesreformen fra 2015. Formålet
med indførelsen af adgangskravet var at øge det faglige niveau på uddannelserne, hvilket
samtidig betød, at elever der førhen var blevet optaget med karakterer på under 02 i dansk
og matematik siden 2015 i udgangspunktet ikke længere er blevet optaget direkte. Udviklin-
gen skal dog højst sandsynligt også tilskrives andre tendenser i samfundet, herunder en ge-
nerel faldende søgning til erhvervsuddannelserne.
Dog er det værd at bemærke, at tilgangen af indvandrere og efterkommere på SOSU-uddan-
nelserne er steget betydeligt i løbet af de seneste par år. På SOSU-hjælperuddannelsen ud-
gjorde andelen af indvandrere således 32 pct. af den samlede tilgang i 2018, mens samme
tal for SOSU-assistentuddannelsen var 20 pct. Til sammenligning er andelen af indvandrere
på erhvervsuddannelserne i gennemsnit 10 pct.
På trods af en faldende tilgang er minimumsdimensioneringen blevet øget parallelt. I februar
2019 blev der således indgået en aftale om et løft i antallet af praktikpladser for 2020-2021 til
i alt 9.000 pladser, heraf 6.000 pladser på uddannelsen til SOSU-assistent og 3.000 pladser
på uddannelsen til SOSU-hjælper,
jf. figur 1.5 ovenfor.
Grunden til at tilgangen til SOSU-uddannelserne kan være højere end minimumsdimensione-
ringen er, at der er tale om en minimumsdimensionering, der forpligter regioner og kommuner
til at stille et minimumsantal af praktikpladser til rådighed. Skolerne kan således godt optage
kvalificerede elever ud over dette antal.
Yderligere fakta om dimensionering, tilgang og antal fuldførte på SOSU-uddannelserne er
udfoldet i kapitel 3.
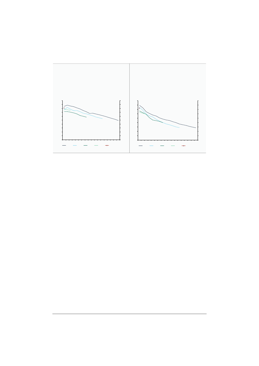
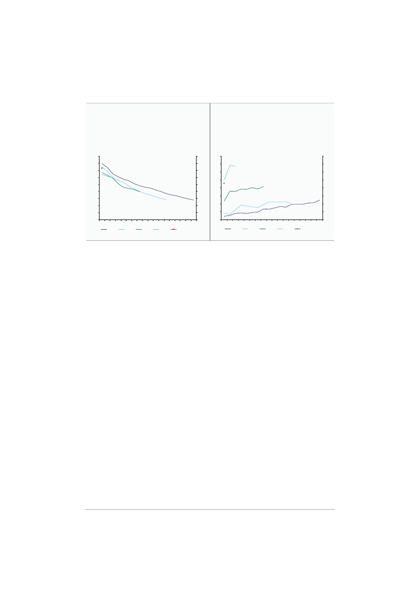
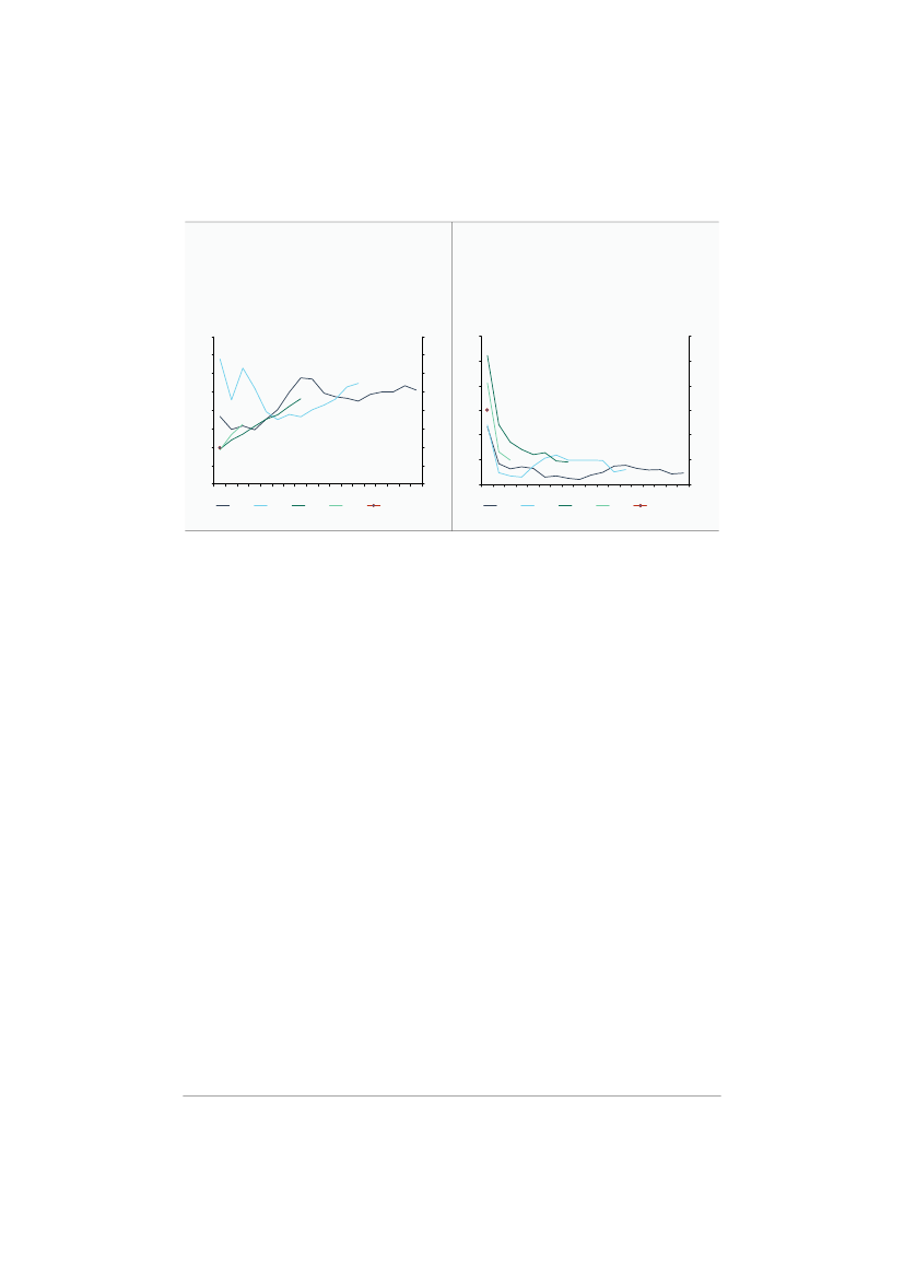
Hver tredje SOSU-elev falder fra i overgangen til hovedforløbet
Begge SOSU-uddannelser består af et grundforløb og et hovedforløb. Frafald kan derfor regi-
streres på grundforløbet, i overgangen mellem hovedforløb- og grundforløb samt på hoved-
forløbet.
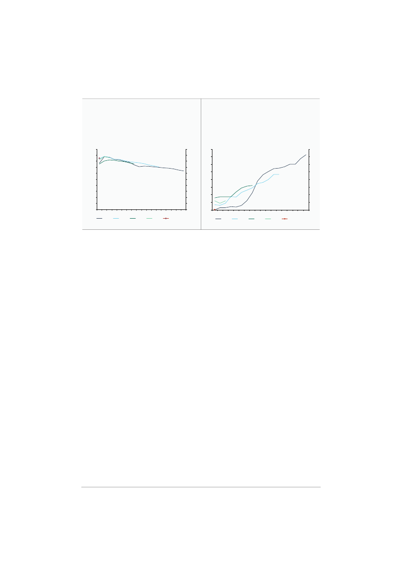
Ligesom det er tilfældet for de øvrige erhvervsuddannelser, er frafaldet på SOSU-uddannel-
serne særligt højt i overgangen mellem grund- og hovedforløb, hvor eleverne skal indgå en
uddannelsesaftale. Således falder ca. hver tredje SOSU-elev fra i denne overgang,
jf. figur
1.6.
12
Veje til flere hænder − Task force om social- og sundhedsmedarbejdere
Maj 2020
SUU, Alm.del - 2019-20 - Bilag 595: Svar på udvalgets opfølgning og spørgsmål til KL’s Sundheds- og Ældreudvalg efter fællesmødet den 10. september 2020
2255197_0015.png
Kapitel 1
Sammenfatning
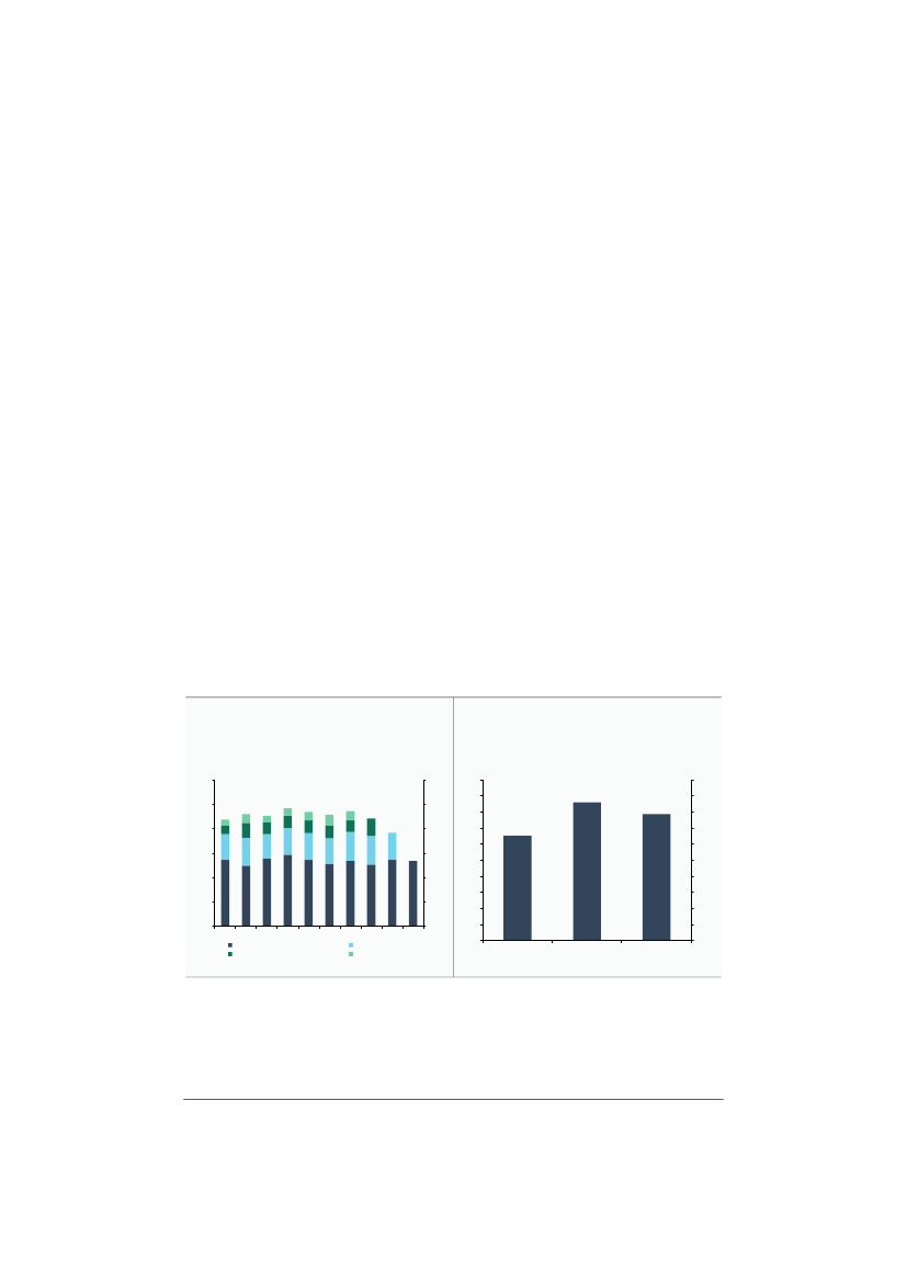
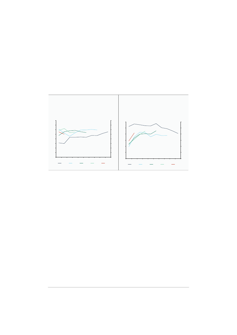
Figur 1.6
Frafald på SOSU-uddannelserne, 2018
Figur 1.7
Sammenhæng mellem frafald i overgang
mellem grund- og hovedforløb og
karakterergennemsnit fra 9. klasse, 2018
Pct.
40
35
30
25
20
15
10
5
0
Pct.
40
35
30
25
20
15
10
5
0
Frafald på
grundforløb
Gnst. eud
Frafald i overgang
mellem grund- og
hovedforløb
SOSU-assistenter
Frafald på
hovedforløb
SOSU-hjælpere
Pct.
45
40
35
30
25
20
15
10
5
0
Under 2
2-3
3-5
5-6
SOSU-assistenter
Over 6
SOSU-hjælpere
Pct.
45
40
35
30
25
20
15
10
5
0
Anm.: Frafaldet er opgjort 3 måneder efter elevers start på grundforløb/hovedforløb. Frafaldet i
overgangen mellem grund- og hovedforløb er opgjort 3 måneder efter afsluttet grundforløb.
Kilde: Task force om social- og sundhedsmedarbejdere på baggrund af data fra Danmarks Statistik.
Der indsamles ikke systematiske data for frafaldsårsager på SOSU-uddannelserne fra cen-
tralt hold, herunder hvor meget af frafaldet der skyldes praktikrelaterede problemstillinger, så-
som at eleverne ikke har kunnet finde en praktikplads. Der registreres frafaldsårsager for ele-
ven i SOSU-skolernes studieadministrative systemer, men afbrudsårsagskoderne egner sig
ikke til statistikformål, da de bliver brugt uensartet, og kategorierne er meget bredt defineret.
Det betyder, at der ikke kan konkluderes entydigt på årsagerne til uddannelsesfrafaldet på
SOSU-uddannelserne. Dog kan registeranalyser af eleverne, der falder fra, sige noget om,
hvem
det er, der falder fra, og om der er forskel på elever, der falder fra, og elever der over-
går til hovedforløbet.
Sådanne analyser viser, at der er en tendens til, at elever optaget på uddannelserne med la-
vere karaktergennemsnit i højere grad falder fra uddannelserne i overgangen mellem grund-
forløb og hovedforløb,
jf. figur 1.7.
Analyser viser også, at enlige forsørgere i højere grad fal-
der fra i ovegangen mellem grund- og hovedforløb.
Derudover har indvandrere både på SOSU-assistentuddannelsen og på SOSU-hjælperud-
dannelsen et generelt lavere frafald sammenlignet med både elever med dansk herkomst og
efterkommere.
Det er dog samtidig væsentligt at påpege, at det høje frafald i overgangen mellem grund- og
hovedforløbet skal ses i lyset af, at en tredjedel af de elever, der falder fra i overgangen er
indskrevet på hovedforløbet på en SOSU-uddannelse det efterfølgende år. En del af de fra-
faldne elever overgår således til hovedforløbet blot med en vis forsinkelse.
Veje til flere hænder − Task force om social- og sundhedsmedarbejdere
Maj 2020
13
SUU, Alm.del - 2019-20 - Bilag 595: Svar på udvalgets opfølgning og spørgsmål til KL’s Sundheds- og Ældreudvalg efter fællesmødet den 10. september 2020
2255197_0016.png
Kapitel 1
Sammenfatning
Der er dog samtidig omkring 13 pct. af SOSU-eleverne, der falder fra i løbet af hovedforløbet,
hvilket betyder, at det samlede frafald på SOSU-uddannelserne er nogenlunde konstant over
en periode på 12 måneder. På hovedforløbet er frafaldet på SOSU-uddannelserne ca. dob-
belt så højt som gennemsnitsfrafaldet på hovedforløbet på alle erhvervsuddannelser.
Et illustrativt regneeksempel viser, at såfremt frafaldet på hovedforløbet på SOSU-uddannel-
serne reduceres med ca. 5 pct.-point, vil udbuddet af beskæftigede SOSU-hjælpere og
SOSU-assistenter øges med hhv. ca. 200 og 400 personer frem mod 2025. Dette skal ses i
lyset af, at der i 2018 var ca. 3.500, der fuldførte de to SOSU-uddannelser.
En relativt lille reduktion i uddannelsesfrafaldet kan altså bidrage positivt til udbuddet af be-
skæftiget SOSU-personale. Det skal dog også her understreges, at der er tale om et illustra-
tivt regneeksempel, og at der i regneeksemplet således ikke er taget forbehold for evt. red-
skaber, der vil skulle tages i brug for rent faktisk at reducere frafaldet. På SOSU-uddannel-
serne har reduktion af uddannelsesfrafaldet længe været et fokusområde, hvor der ikke fin-
des nogen lette løsninger.
Yderligere fakta om frafald på SOSU-uddannelserne er udfoldet i kapitel 4.
Sygeplejerskestuderende og SOSU-elever i praktik
Praktik er en integreret del af både sygeplejerskeuddannelsen samt SOSU-assistent- og
SOSU-hjælperuddannelsen. Det er i praktikken, at de studerende og eleverne møder praksis,
og hvor læringssituationer skabes i autentiske miljøer.
Ansvaret for at sikre vellykkede praktikforløb, herunder at studerende og elever er forberedt
på praktikken samt har en god overgang til praktikstedet, er delt mellem uddannelsesinstitu-
tion og praktiksted.
Det gør ansvaret lokalt, og det er således op til den enkelte uddannelsesinstitution og kom-
munale eller regionale praktiksted at samarbejde om at finde gode lokale løsninger ud fra lo-
kale prioriteringer og behov. Det indebærer variation på tværs af landet både ift., hvordan der
gås til opgaveløsningen i den enkelte kommune, region og uddannelsesinstitution og i samar-
bejdet imellem disse aktører.
Det lokale ansvar gør det vanskeligt at konkludere entydigt på et generelt billede af, hvordan
praktikforløb for hhv. SOSU-elever og sygeplejerskestuderende fungerer i praksis. På bag-
grund af dialog med Danske SOSU-skoler, Danske Professionshøjskoler, kommuner og regi-
onerne kan der dog peges på en række typiske erfaringer om, hvad der fylder lokalt ift. at fa-
cilitere praktikforløb for hhv. sygeplejerskestuderende og SOSU-elever.
Det er dog vigtigt at understrege, at for så vidt angår sygeplejerskestuderende og SOSU-ele-
ver er der tale om både forskellige uddannelser og målgrupper, ligesom at det kommunale og
regionale arbejdsmarked også adskiller sig fra hinanden.
Det skal hertil understreges, at erfaringerne er et udtryk for perspektiver fra bestemte ståste-
der og er således ikke nødvendigvis et udtryk for en generel opfattelse eller et udtømmende
billede af erfaringerne blandt alle aktører. Der kan være variationer på tværs af landet som
14
Veje til flere hænder − Task force om social- og sundhedsmedarbejdere
Maj 2020
SUU, Alm.del - 2019-20 - Bilag 595: Svar på udvalgets opfølgning og spørgsmål til KL’s Sundheds- og Ældreudvalg efter fællesmødet den 10. september 2020
2255197_0017.png
Kapitel 1
Sammenfatning
resultat af forskellige lokale tiltag og løsninger, ligesom oplevelserne kan variere alt afhængig
af perspektiv.
Perspektiverne er er kort opsummeret nedenfor og er derudover udfoldet i kapitel 5, hvor for-
skelle mellem SOSU-elever og sygeplejerskestuderende samt regionale og kommunale erfa-
ringer er udfoldet mere.
Det delte uddannelsesansvar kræver koordinering − særligt under praktikken
Der er mange aktører involveret i at facilitere praktikforløb både på sygeplejerskeuddannel-
sen og SOSU-uddannelserne. Oftest skal både kommunale og regionale aktører, SOSU-sko-
ler og professionshøjskoler koordinere med en lang række andre aktører.
Det er en udbredt opfattelse blandt både kommuner, regioner og uddannelsesinstitutioner, at
samarbejdet om den fælles uddannelsesopgave, herunder praktikforløb er kendetegnet ved
et højt engagement og velvilje om udvikling af uddannelserne.
Mange steder i landet er der etableret både formelle og uformelle samarbejds- og dialogfora,
hvor kommunale og regionale repræsentanter samt repræsentanter fra uddannelsesinstitutio-
ner koordinerer og drøfter opgaven, herunder fordeling af SOSU-elever og sygeplejerskestu-
derende på praktiksteder.
Boks 1.2
Eksempel på en lokal løsning for fordeling af de sygeplejerskestuderende
I Region Hovedstaden sker fordelingen af sygeplejerskestuderende mellem de fire akuthospitaler i regio-
nen og koordineres af Center for HR og Uddannelse (CHRU), som ud over fordeling af studerende også
varetager formidling af nye tiltag fra skole til klinik. Der er desuden nedsat en samarbejdsgruppe bestå-
ende af en regional uddannelseskonsulent, den koordinerende klinisk uddannelsesansvarlige sygeplejer-
ske fra Rigshospitalet samt klinisk koordinator og uddannelsesleder fra Københavns Professionshøjskole,
som drøfter problemstillinger som deadlines for indmelding, hensigtsmæssigplacering af studerende retur
fra orlov, studerende med særlige behov mv.
Kilde: Bidrag indhentet af Danske Regioner.
De adspurgte regioner oplever et generelt godt samarbejde mellem uddannelsesinstitutio-
nerne og de regionale praktiksteder.
Der er dog flere af de adspurgte kommuner, der efterspørger en øget interesse for den kom-
munale praktik og det kommunale sundheds- og ældreområde generelt fra de sygeplejerske-
studerende og fra professionshøjskolerne. Kommunerne peger i den forbindelse på, at et
øget fælles fokus herpå kunne være gavnligt for både de sygeplejerskestuderende og kom-
munale praktiksteder.
Det er ifølge Danske Professionshøjskoler et fokusområde på professionshøjskolerne at un-
derstøtte de sygeplejerskestuderendes viden og interesse om det nære sundhedsvæsen. Fx
understøttes den praksisnære undervisning ved, at de studerende præsenteres for ny forsk-
ning og viden om det nære sundhedsvæsen af bl.a. undervisere, som har praksiserfaring og
derfor kan inddrage realistiske cases og eksempler fra det nære sundhedsvæsen.
Veje til flere hænder − Task force om social- og sundhedsmedarbejdere
Maj 2020
15
SUU, Alm.del - 2019-20 - Bilag 595: Svar på udvalgets opfølgning og spørgsmål til KL’s Sundheds- og Ældreudvalg efter fællesmødet den 10. september 2020
2255197_0018.png
Kapitel 1
Sammenfatning
En række af de adspurgte kommuner, regionerne samt Danske SOSU-skoler og Danske Pro-
fessionshøjskoler peger desuden på, at manglende ensartethed i beslutnings- og arbejds-
gange på tværs af uddannelsesinstitutioner eller på tværs af kommuner og regioner kan ud-
fordre en smidig og effektiv opgaveløsning. Det kan fx være forskellige ansættelsestidspunk-
ter i kommunerne, der udfordrer planlægningen på uddannelsesinstitutionerne. Flere af de
adspurgte kommuner peger også på, at en højere grad af ensretning på uddannelsesinstituti-
onerne bl.a. ville gøre det mere fleksibelt for elever at skifte skole.
Endelig findes der ikke en systematisk og automatisk vidensdeling omkring de sygeplejerske-
studerende og SOSU-eleverne sted mellem praktiksted og uddannelsessted alle steder i
landet, herunder fx vidensdeling omkring frafaldstruede elever. Der er dog eksempler på
nogle kommuner, der har udviklet lokale værktøjer hertil,
jf. boks 1.3.
Boks 1.3
Eksempel på en lokal løsning for at spotte og fastholde frafaldstruede SOSU-elever
På baggrund af erfaringer fra Thisted kommune har KL udviklet værktøjet 'Trafiklys’, som er et hjælpeværk-
tøj til den uddannelsesansvarlige, hvis formål er at hjælpe med at holde overblikket over, hvor den enkelte
SOSU-elev er i sit forløb, således at eventuelle tegn på mistrivsel kan opfanges inden SOSU-eleven stop-
per sin uddannelse. Eleven får farven rød, gul eller grøn undervejs i praktikforløbet, afhængigt af, hvordan
elevens situation vurderes. Der kan også markeres med et ’X’ og notere særlige behov hos eleven.
Kilde: Bidrag indhentet af KL.
En del SOSU-elever finder ikke en praktikplads efter bestået grundforløb 2
I dag falder ca. hver tredje SOSU-elev fra i overgangen mellem grundforløb og hovedforløb −
dvs. når de skal påbegynde deres første praktikperiode. Der indsamles imidlertid ikke syste-
matiske data for frafaldsårsager fra centralt hold, herunder data for hvor meget af frafaldet
der skyldes, at eleverne får afslag på deres praktikpladsansøgninger og hvorfor,
jf. afsnit om
uddannelsesfrafald ovenfor.
Det betyder, at der ikke kan konkluderes entydigt på årsagerne til frafaldet i overgangen til
hovedforløbet på SOSU-uddannelserne. Det betyder også, at der ikke kan konkluderes enty-
digt på, hvor mange elever, der får afslag på deres praktikpladsansøgning og hvorfor.
Dog er det en udbredt oplevelse blandt Danske SOSU-skoler og de adspurgte kommuner, at
der er en række elever, der ikke finder en praktikplads efter grundforløbet på trods af, at
disse elever med et bestået grundforløb 2 formelt set opfylder kravene til en uddannelsesaf-
tale. Blandt de adspurgte kommuner og Danske SOSU-skoler peges der på, at disse elever
får afslag på deres praktikpladssøgning, fordi kommunen som ansættende myndighed vurde-
rer, at eleverne mangler grundlæggende kompetencer, herunder faglige, sociale, personlige
eller sproglige kompetencer.
Derudover peges der på, at manglende mobilitet også kan udgøre en udfordring for nogle
SOSU-elever i de tilfælde hvor de ledige praktiksteder ligger i en anden del af landet. De
praktikpladssøgende elever skal være mobile og i udgangspunktet søge praktikpladser alle
16
Veje til flere hænder − Task force om social- og sundhedsmedarbejdere
Maj 2020
SUU, Alm.del - 2019-20 - Bilag 595: Svar på udvalgets opfølgning og spørgsmål til KL’s Sundheds- og Ældreudvalg efter fællesmødet den 10. september 2020
2255197_0019.png
Kapitel 1
Sammenfatning
steder i landet. Dette kan dog være en udfordring for nogle elever, hvilket bl.a. skal ses i lyset
af, at en stor andel SOSU-elever typisk er ældre og allerede har børn ved uddannelsesstart.
Som beskrevet i forrige afsnit er der dog også en del af de SOSU-elever, der falder fra i over-
gangen, som er indskrevet på hovedforløbet på en SOSU-uddannelse det efterfølgende år.
En forklaring på dette kan være, at nogle kommuner, ifølge de adspurgte kommuner og Dan-
ske SOSU-skoler, vælger at ansætte elever med et afsluttet grundforløb 2 i ufaglærte stillin-
ger (dvs. uden en uddannelsesaftale) mhp. at disse elever kan udvikle sig og på sigt indgå en
uddannelsesaftale. Dette skal ses i lyset af, at registeranalyser også viser, at blandt de, der
ikke overgår direkte til hovedforløbet, er knap 40 pct. i beskæftigelse tre måneder efter.
Boks 1.4
Eksempel på en lokal løsning vedr. match mellem SOSU-elev og praktiksted
I Thisted Kommune arbejdes der med grundige elevansættelser, hvor der lægges vægt på at lære den
enkelte elev at kende, førend match melem praktiksted og elev finder sted. Det er erfaringen, at dette giver
en god basis for det gode praktikforløb og evt. fremtidig ansættelse. I Thisted Kommune gennemfører ca.
96 pct. af de elever, der har påbegyndt uddannelsen.
Kilde: Bidrag indhentet af KL.
Vejledningsopgaven af studerende og elever kan blive udfordret i det daglige
Det er en integreret del af det offentlige social- og sundhedsvæsen, at fx sygehuse, psykiatri-
ske institutioner, sociale bosteder, hjemmeplejen herunder plejehjem også varetager rollen
som uddannelsesinstitutioner ved at stille praktikpladser til rådighed for SOSU-elever og sy-
geplejerskestuderende.
Det er således op til det enkelte praktiksted i kommunen eller regionen at tilrettelægge de
bedst mulige rammer for denne opgaveløsning på praktikstedet, herunder ift. at prioritere res-
sourcer til vejledningsopgaven.
For de sygeplejerskestuderende er det et krav, at der skal være tilknyttet en klinisk vejleder,
som har ansvaret for den kontinuerlige kliniske undervisning og vejledning af de sygeplejer-
skestuderende på praktikstedet. Også SOSU-elever får tildelt en praktikvejleder, men der er
ingen krav til dennes uddannelsesbaggrund.
Vejledningsopgaven for både sygeplejerskestuderende og SOSU-elever er et lokalt ansvar
og tilrettelægges derfor også forskelligt. Nogle steder er vejledningen samlet på et større an-
tal medarbejdere, hvilket kan give stor fleksibilitet, da vejledningen kan tilpasses og priorite-
res løbende. Andre steder er vejledningen fordelt på et færre antal medarbejdere, hvilket kan
sætte et fokus på vejledningen samt give mulighed for at udvælge vejlederne ud fra særlige
kompetenceprofiler.
Derudover peger nogle af de adspurgte kommuner samt Danske Professionshøjskoler og
Danske SOSU-skoler på, at opgaver i tilknytning til pleje og behandling af borgere og patien-
ter nogle gange prioriteres før vejledningsopgaven, og at det for nogle elever og studerende
Veje til flere hænder − Task force om social- og sundhedsmedarbejdere
Maj 2020
17
SUU, Alm.del - 2019-20 - Bilag 595: Svar på udvalgets opfølgning og spørgsmål til KL’s Sundheds- og Ældreudvalg efter fællesmødet den 10. september 2020
2255197_0020.png
Kapitel 1
Sammenfatning
kan opleves, som at vejledningen nedprioriteres. Regionerne og de adspurgte kommuner op-
lever en øget uddannelsesopgave − både med hensyn til antal og i kompleksitet − og oplever
i den forbindelse, at vejledningsfunktionen tager mere og mere tid. Ifølge nogle af de ad-
spurgte kommuner kan en travl hverdag føre til en form for ”elevtræthed”.
Ifølge Rambølls analyse fra 2018 kan det i nogle tilfælde skabe tvivl samt frustration hos de
sygeplejerskestuderende, som oplever, at kvaliteten i vejledningen kan variere afhængig af
praktikstedernes prioritering af opgaven.
Fastholdelse af frafaldstruede sygeplejerskestuderende og SOSU-elever
Der er også eksempler på nogle kommuner og regioner, der oplever, at mødet med praksis
for særligt de sygeplejerskestuderende, men også for nogle SOSU-elever kan resultere i et
såkaldt ’praksischok’ eller ’ansvarschok’, hvor nogle studerende og elever ikke er tilstrække-
ligt indstillet eller forberedt på det at være i praksis, hvilket kan vanskeliggøre vejledningsop-
gaven for praktikstedet eller gøre vejledningen mere ressourcetung.
De adspurgte kommuner peger derudover på, at SOSU-elever med faglige udfordringer mv.
kræver et øget behov for individuelt tilrettelagte forløb samt særlige kompetencer hos praktik-
vejledere og et særligt fokus fra ledelsen og de øvrige kollegaer. Dette skal dog ses i lyset af,
at praktikstederne generelt er vant til at uddanne SOSU-elever med varierede forudsætnin-
ger.
Baggrundskarakteristika ved SOSU-elever og sygeplejerskestuderende gennemgås i næste
afsnit.
I praksis sker der en bredspektret indsats på at forberede og fastholde de sygeplejerskestu-
derende og SOSU-elever undervejs i deres praktikforløb. På professionshøjskolerne og
SOSU-skolerne arbejdes der på at forberede studerende og elever på den hverdag og de vil-
kår, de møder under praktikforløbet. Dette sker bl.a. ved brug af simulationstræning, hvor
SOSU-elever og sygeplejerskestuderende som del af den almindelige undervisning får mulig-
hed for at træne sundhedsfaglige kompetencer i praksis fx personlig pleje af fantomdukker i
praksisnære miljøer.
På praktikstederne i kommuner og regioner er der et tilsvarende og generelt fokus på at
spotte frafaldstruede elever. På nogle praktiksteder gennemføres fx faste og strukturerede
introduktionsforløb, hvor studerende og elever løbende introduceres for de relevante
arbejdsgange og opgaver.
18
Veje til flere hænder − Task force om social- og sundhedsmedarbejdere
Maj 2020
SUU, Alm.del - 2019-20 - Bilag 595: Svar på udvalgets opfølgning og spørgsmål til KL’s Sundheds- og Ældreudvalg efter fællesmødet den 10. september 2020
2255197_0021.png
Kapitel 1
Sammenfatning
Boks 1.5
Eksempler på lokal løsninger for tilrettelæggelse af vejledningsindsatsen
I Esbjerg Kommune blev elevvejledningen i 2018 omlagt fra at være fordelt på ca. 280 vejledere til i alt 10
fuldtidsstillinger, som blev slået op mhp. at få de bedst egnede medarbejdere til at forestå vejlednings-
opgaven og professionalisere opgaven generelt. Ligeledes gennemgik de udvalgte medarbejdere et
opkvalificeringsforløb i vejledning på akademiniveau. Endelig blev kommunens retningslinjer for praktik-
stederne indskærpet og antallet af arbejdspladser, der modtager elever reduceret. Resultaterne af om-
lægningen er 1,5 år efter en betydelig reduktion i frafaldet, fra 25,5 pct. til 7,1 pct. på SOSU-hjælper-
uddannelsen og fra 17,3 til 6,2 pct. på SOSU-assistentuddannelsen.
I Region Hovedstaden er der udviklet et tværprofessionelt kursus til håndtering af studerende/elever i
kliniske uddannelsesforløb med særlige behov (forkortet SKUB). Tiltaget hjælper de kliniske undervisere/
vejledere/uddannelsesansvarlige til bredere viden om diagnoser, at være særlig sårbar, samtaleteknik-
ker, pædagogiske metoder og samarbejde med uddannelsesinstitutioner omkring studerende/elever med
særlige behov.
Kilde: Bidrag indhentet af KL og Danske Regioner.
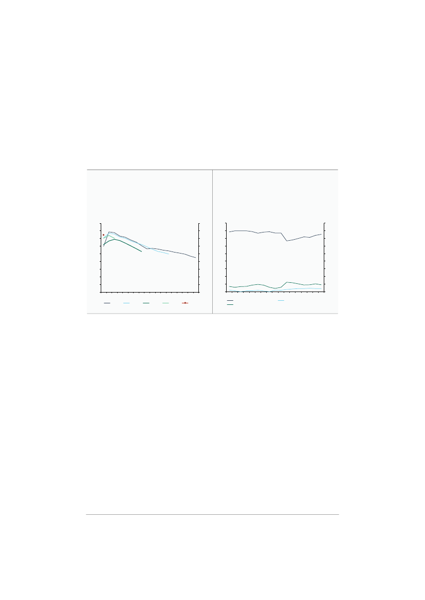
Baggrundskarakteristika for sygeplejerskestuderende
Studerende på sygeplejerskeuddannelsen er hovedsageligt kvinder. Således var 95 pct. af
de nyoptagne studerende på sygeplejerskeuddannelsen i 2018 kvinder. De studerende var i
gennemsnit knap 25 år ved studiestart, hvilket er på niveau med nyoptagne på professions-
bacheloruddannelserne.
Studerende på sygeplejerskeuddannelsen kommer generelt med gode faglige forudsætnin-
ger og får i deres afgangsprøve i grundskolen et karaktergennemsnit på niveau med lands-
gennemsnittet på omkring 7,
jf. figur 1.8.
Veje til flere hænder − Task force om social- og sundhedsmedarbejdere
Maj 2020
19
SUU, Alm.del - 2019-20 - Bilag 595: Svar på udvalgets opfølgning og spørgsmål til KL’s Sundheds- og Ældreudvalg efter fællesmødet den 10. september 2020
2255197_0022.png
Kapitel 1
Sammenfatning
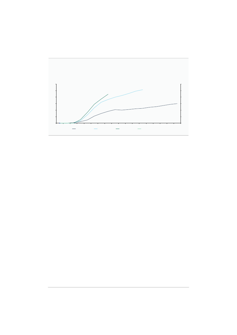
Figur 1.8
Karaktergennemsnit fra 9. klasse for senere
sygeplejerskestuderende samt på landsplan
Gns.
8
7
6
5
4
3
2
1
0
01/02
03/04
05/06
07/08
09/10
11/12
13/14
Sygeplejerskestuderende
Alle 9. klasser
Gns.
8
7
6
5
4
3
2
1
0
Figur 1.9
Forældres arbejdsmarkedstilknytning
blandt sygeplejerskestuderende (2018)
Pct.
100
90
80
70
60
50
40
30
20
10
0
Ingen forældre i Den ene forældre i Begge forældre i
beskæftigelse
beskæftigelse
beskæftigelse
Pct.
100
90
80
70
60
50
40
30
20
10
0
Anm.: Figur 1.8 går frem til skoleåret 2014/2015, fordi der endnu ikke er elever fra de senere årgange, der
er tilgået sygeplejerskeuddannelsen. I figur 1.9 indgår alene personer, hvor der er oplysninger om
begge forældre og deres arbejdsmarkedstilknytning, og hvor forældre ikke er på efterløn eller over 66
år. Personer i beskæftigelse omfatter fuld beskæftigelse, selvstændige, deltidsbeskæftigede og
delårsbeskæftigede. Personer uden for beskæftigelse omfatter ledige, uddannelsessøgende,
førtidspensionister m.fl. mellem 18 og 66 år.
Kilde: Task force om social- og sundhedsmedarbejdere på baggrund af data fra Danmarks Statistik.
En stor del af de sygeplejerskestuderende kommer fra uddannelsesvante hjem. Omkring 90
pct. af de studerende, der blev optaget i 2018, har således forældre med enten en erhvervs-
uddannelse eller en videregående uddannelse. Samtidig har størstedelen af de sygeplejer-
skestuderende forældre, som begge er i arbejde,
jf. figur 1.9.
Yderligere fakta om sygeplejerskestuderendes baggrundskarakteristika er udfoldet i kapitel 6.
Baggrundskarakteristika for SOSU-elever
På begge SOSU-uddannelser er størstedelen (90 pct.) af eleverne kvinder. Eleverne på
SOSU-uddannelserne er typisk ældre ved uddannelsesstart, herunder ca. 30 år på SOSU-
assistentuddannelsen og 32 år på SOSU-hjælperuddannelsen. Til sammenligning er elever
på erhvervsuddannelserne generelt ca. 24 år ved uddannelsesstart.
SOSU-elever færdiggør grundskolen med et markant lavere karaktergennemsnit end lands-
gennemsnittet,
jf. figur 1.10.
20
Veje til flere hænder − Task force om social- og sundhedsmedarbejdere
Maj 2020
SUU, Alm.del - 2019-20 - Bilag 595: Svar på udvalgets opfølgning og spørgsmål til KL’s Sundheds- og Ældreudvalg efter fællesmødet den 10. september 2020
2255197_0023.png
Kapitel 1
Sammenfatning
Figur 1.10
Karaktergennemsnit fra 9. klasse for
SOSU-elever samt på landsplan
Gns.
8
7,2
7
6
5
4
3
2
1
0
SOSU-assistenter
(tilgang 2018)
SOSU-hjælpere
(tilgang 2018)
Alle 9. klasser
(årgang 2015/2016)
4,5
3,8
7
6
5
4
3
2
1
0
Gns.
8
Figur 1.11
Forældres arbejdsmarkedstilknytning
blandt SOSU-elever (2018)
Pct.
100
90
80
70
60
50
40
30
20
10
0
Ingen forældre i Den ene forældre i Begge forældre i
beskæftigelse
beskæftigelse
beskæftigelse
SOSU-assistenter
SOSU-hjælpere
Pct.
100
90
80
70
60
50
40
30
20
10
0
Anm.: En stor andel nyoptagne SOSU-elever indgår ikke i opgørelsen, idet de bl.a. er fritaget fra lovbundne
prøver eller er ældre og derved ikke indgår i karakterregistret eller er indvandret efter afslutning på
deres grundskole (omkring halvdelen af tilgangen i 2018). I figuren 1.11 indgår alene personer, hvor
der er oplysninger om begge forældre og deres arbejdsmarkedstilknytning, og hvor forældre ikke er
på efterløn eller over 66 år. Personer i beskæftigelse omfatter fuld beskæftigelse, selvstændige,
deltidsbeskæftigede og delårsbeskæftigede. Personer uden for beskæftigelse omfatter ledige,
uddannelsessøgende, førtidspensionister m.fl. mellem 18 og 66 år.
Kilde: Task force om social- og sundhedsmedarbejdere på baggrund af data fra Danmarks Statistik.
Eleverne, der blev optaget på SOSU-hjælperuddannelsen i 2018 opnåede i gennemsnit 3,8
ved prøverne i 9. klasse, mens elever på SOSU-assistentuddannelsen havde et gennemsnit
på 4,5. Gennemsnittet på landsplan lå for samme årgang på omkring 7.
Det bemærkes hertil, at en væsentlig andel af SOSU-eleverne er blevet fritaget fra de lov-
bundne prøver, hvorfor de ikke indgår i ovenstående opgørelser. Prøvefritagelse kan i sig
selv være et udtryk for generelle indlæringsvanskeligheder, utilstrækkelige danskkundskaber
eller lignende.
En relativ stor andel af de nyoptagne SOSU-elever i 2018 har også modtaget specialunder-
visning i grundskolen. Således har knap hver femte af de nyoptagne elever på SOSU-
uddannelserne i 2018 modtaget specialundervisning i grundskolen.
Elever på SOSU-uddannelserne kommer generelt fra mindre uddannelsesvante hjem. Blandt
elever på SOSU-hjælperuddannelsen har 34 pct. forældre, der er ufaglærte, mens samme
andel blandt eleverne på SOSU-assistentuddannelsen er 26 pct. Forældrene har ligeledes en
relativt svag arbejdsmarkedstilknytning og hhv. 18 og 20 pct. af nye elever på SOSU-assi-
stent- og SOSU-hjælperuddannelsen har forældre, som begge ikke er i beskæftigelse,
jf. figur
1.11.
Yderligere fakta om SOSU-elevernes baggrundskarakteristika er udfoldet i kapitel 6.
Veje til flere hænder − Task force om social- og sundhedsmedarbejdere
Maj 2020
21
SUU, Alm.del - 2019-20 - Bilag 595: Svar på udvalgets opfølgning og spørgsmål til KL’s Sundheds- og Ældreudvalg efter fællesmødet den 10. september 2020
2255197_0024.png
Kapitel 1
Sammenfatning
1.2 Social- og sundhedsmedarbejdere på
arbejdsmarkedet
En anden del af task forcens opdrag var at undersøge, hvordan der kan ansættes flere
social- og sundhedsmedarbejdere, hvordan flere social- og sundhedsmedarbejdere
fastholdes inden for faget samt hvordan flere medarbejdere får mulighed for at gå op i tid, og
at sygefravær nedbringes samt at medarbejdernes kompetencer udnyttes bedst muligt.
Der er i den forbindelse en række relevante parametre, der er interessante at undersøge, og
som på forskellig vis udtrykker, hvor mange hænder der er på sundheds-, ældre- og social-
området, herunder tal for arbejdsstyrke, beskæftigelse, erhvervsfrekvens, tilbagetrækning,
ledighed, arbejdstid, sygefravær, typiske veje på arbejdsmarkedet og endelig geografisk mo-
bilitet.
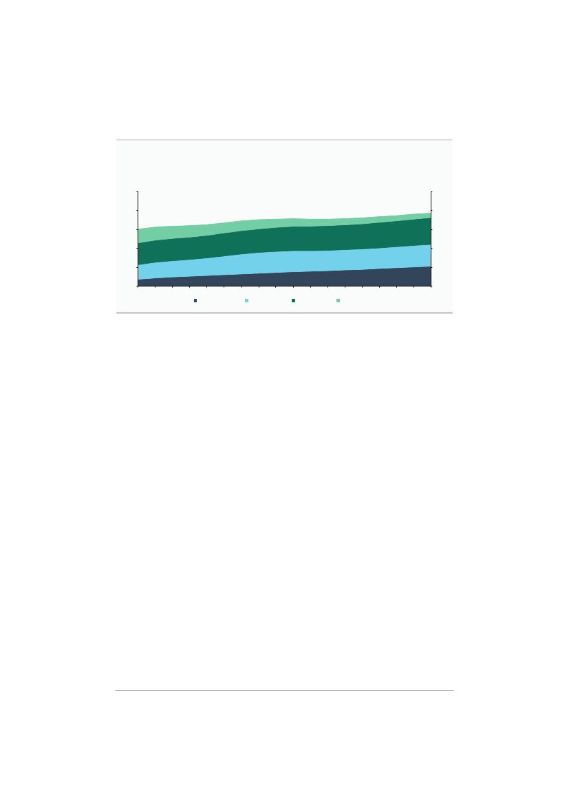
Arbejdsstyrken af social- og sundhedsmedarbejdere er vokset
Arbejdsstyrken er den del af social- og sundhedsmedarbejderne, hvis arbejdskraft er til rådig-
hed for arbejdsmarkedet, og som enten er i beskæftigelse eller er ledige.
Arbejdsstyrken af social- og sundhedsmedarbejdere er øget med omkring 40.000 personer
fra 2000-2017. Arbejdsstyrken af sygeplejersker er vokset med ca. 800 personer eller 1,2 pct.
årligt, mens arbejdsstyrken af SOSU-assistenter og SOSU-hjælpere (SOSU-personale) samt
øvrigt plejepersonale er vokset med ca. 1.800 personer om året svarende til en årlig vækst
på 1,7 pct.,
jf. figur 1.12.
22
Veje til flere hænder − Task force om social- og sundhedsmedarbejdere
Maj 2020
SUU, Alm.del - 2019-20 - Bilag 595: Svar på udvalgets opfølgning og spørgsmål til KL’s Sundheds- og Ældreudvalg efter fællesmødet den 10. september 2020
2255197_0025.png
Kapitel 1
Sammenfatning
Figur 1.12
Arbejdsstyrken af social- og sundhedsuddannede efter uddannelsesgruppe
1.000 personer
250
1.000 personer
1.000 personer
250
200
200
150
150
100
100
50
50
0
00
01
02
03
04
SOSU-assistenter
05
06
07
SOSU-hjælpere
08
09
10
11
Sygeplejersker
12
13
14
Øvrige plejere
15
16
17
0
Anm.: Figuren omfatter personer, der er uddannet til SOSU-assistenter, SOSU-hjælpere (SOSU-personale),
sygeplejerske samt øvrige plejere. Øvrige plejere består af beskæftigelsesvejledere, plejere,
plejehjemsassistenter og sygehjælpere. Disse uddannelser ophørte i 1990, og arbejdstyrken af disse
uddannelsesgrupper vil derfor falde fremadrettet i takt med, at personernetrækker sig tilbage fra
arbejdsmarkedet eller videreuddanner sig. Der er afgrænset til personer, der indgår i arbejdsstyrken.
Det bemærkes, at der er databrud for arbejdsmarkedsoplysninger mellem 2007 og 2008.
Kilde: Task force om social- og sundhedsmedarbejdere på baggrund af data fra Bevægelsesregistret, Sund
-
hedsdatastyrelsen og Danmarks Statistik.
Udviklingen indebærer, at der har været en generel stigning i antallet af social- og sundheds
-
medarbejdere pr. indbygger. Således var der 29 social- og sundhedsmedarbejdere pr. 1.000
indbyggere i 2000 mod 34 medarbejdere pr. 1.000 indbyggere i 2017.
Ses der isoleret på antallet af social- og sundhedsmedarbejdere pr. ældre over 80 år, er an
-
tallet steget fra 737 social- og sundhedsmedarbejdere pr. 1.000 indbyggere over 80 år i 2000
til 792 medarbejdere pr. 1.000 indbyggere over 80 år i 2017.
Beskæftigelsen er steget, mens erhvervsfrekvensen er faldet for
SOSU-personale
Den voksende arbejdsstyrke viser sig ligeledes, når der ses på udviklingen i beskæftigede
social- og sundhedsmedarbejdere. Den samlede beskæftigelse af social- og sundhedsmed
-
arbejdere er således steget med omkring 40.000 personer. Stigningen svarer omtrent til ud
-
viklingen i arbejdsstyrken. Denne udvikling skal dog ses i lyset af, at en stor del af social- og
sundhedsmedarbejderne arbejder deltid.
Erhvervsfrekvensen (dvs. andelen af de 18-64-årige social- og sundhedsuddannede i ar
-
bejdsstyrken) er steget en smule blandt sygeplejersker, mens den er faldet med hhv. 9 pct.-
point for SOSU-assistenter og 12 pct.-point for SOSU-hjælpere,
jf. figur 1.13.
Både blandt
SOSU-assistenter og SOSU-hjælpere sker faldet fra et relativt højt niveau.
Veje til flere hænder − Task force om social- og sundhedsmedarbejdere
Maj 2020
23
SUU, Alm.del - 2019-20 - Bilag 595: Svar på udvalgets opfølgning og spørgsmål til KL’s Sundheds- og Ældreudvalg efter fællesmødet den 10. september 2020
2255197_0026.png
Kapitel 1
Sammenfatning
Figur 1.13
Erhvervsfrekvens blandt social- og sundhedsuddannede efter uddannelsesgruppe
Pct.
100
Pct.
Pct.
100
90
90
80
80
70
70
60
60
50
00
01
02
03
04
05
06
07
08
09
10
11
12
13
14
15
16
17
SOSU-assistenter
SOSU-hjælpere
Sygeplejersker
Øvrige plejere
50
Anm.: Figuren omfatter personer, der er uddannet til SOSU-assistenter, SOSU-hjælpere, sygeplejersker og
øvrige plejere. Øvrige plejere består af beskæftigelsesvejledere, plejere, plejehjemsassistenter og
sygehjælpere. Disse uddannelser ophørte i 1990, og arbejdstyrken af disse uddannelsesgrupper vil
derfor falde fremadrettet i takt med, at personerne trækker sig tilbage fra arbejdsmarkedet eller
videreuddanner sig. Der er afgrænset til personer, der indgår i arbejdsstyrken. Det bemærkes, at der
er databrud for arbejdsmarkedsoplysninger mellem 2007 og 2008.
Kilde: Task force om social- og sundhedsmedarbejdere på baggrund af data fra Bevægelsesregistret, Sund
-
hedsdatastyrelsen og Danmarks Statistik.
Ledigheden blandt social- og sundhedsmedarbejdere er lav
Der er generelt lav ledighed blandt social- og sundhedsmedarbejdere, herunder særligt
blandt sygeplejersker. Ledigheden for de SOSU-uddannede er generelt mere konjunkturaf
-
hængig end ledigheden blandt de sygeplejerskeuddannede.
I perioden 2000-2017 har sygeplejersker den laveste ledighed, der kun i 2011 oversteg 1
pct., mens SOSU-hjælpere har den højeste ledighed, der fluktuerer mellem 2 og 7 pct. i peri
-
oden,
jf. figur 1.14.
24
Veje til flere hænder − Task force om social- og sundhedsmedarbejdere
Maj 2020
SUU, Alm.del - 2019-20 - Bilag 595: Svar på udvalgets opfølgning og spørgsmål til KL’s Sundheds- og Ældreudvalg efter fællesmødet den 10. september 2020
2255197_0027.png
Kapitel 1
Sammenfatning
Figur 1.14
Andel
ledige social- og sundhedsmedarbejdere
i arbejdsstyrken efter uddannelsesgruppe
Pct.
Pct.
Pct.
7
6
5
4
3
2
1
0
7
6
5
4
3
2
1
0
00
01
02
03
04
05
06
07
08
09
10
11
12
13
14
15
16
17
SOSU-assistenter
SOSU-hjælpere
Sygeplejersker
Øvrige plejere
Anm.: Figuren omfatter personer, der er uddannet til SOSU-assistenter, SOSU-hjælpere sygeplejersker og
øvrige plejere. Øvrige plejere består af beskæftigelsesvejledere, plejere, plejehjemsassistenter og
sygehjælpere. Disse uddannelser ophørte i 1990, og arbejdstyrken af disse uddannelsesgrupper vil
derfor falde fremadrettet i takt med, at personernetrækker sig tilbage fra arbejdsmarkedet eller
videreuddanner sig. Der er afgrænset til personer, i arbejdsstyrken, som er ledige. Det bemærkes, at
der er databrud for arbejdsmarkedsoplysninger mellem 2007 og 2008.
Kilde: Task force om social- og sundhedsmedarbejdere på baggrund af data fra Bevægelsesregistret, Sund
-
hedsdatastyrelsen og Danmarks Statistik.
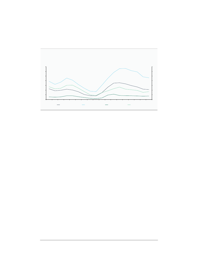
For alle grupper ses, at ledigheden var lavest omkring 2007-2008, hvorefter den steg frem til
2011-2012. I perioden herefter er ledigheden faldet, således at den i 2017 var ca. 1 pct. for
sygeplejersker, 2 pct. for SOSU-assistenter samt 5 pct. for SOSU-hjælpere.
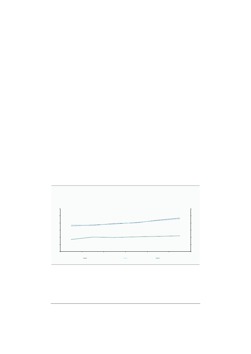
SOSU-personale har generelt et højere sygefravær end sygeplejersker
SOSU-assistenter og SOSU-hjælpere (SOSU-personale) har i gennemsnit et højere sygefra
-
vær end sygeplejersker i både den kommunale og regionale sektor samt ift. medarbejdere i
den kommunale og regionale sektor generelt,
jf. figur 1.15
og
1.16.
Veje til flere hænder − Task force om social- og sundhedsmedarbejdere
Maj 2020
25
SUU, Alm.del - 2019-20 - Bilag 595: Svar på udvalgets opfølgning og spørgsmål til KL’s Sundheds- og Ældreudvalg efter fællesmødet den 10. september 2020
2255197_0028.png
Kapitel 1
Sammenfatning
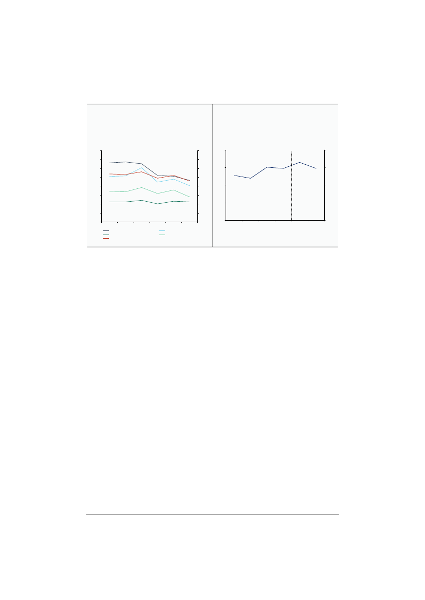
Figur 1.15
Sygefravær i den kommunale sektor
Fraværsdage
20
18
16
14
12
10
8
6
4
2
0
07
08 09 10 11
I alt
SOSU-hjælpere
12
13
14
15 16 17 18
SOSU-assistenter
Sygeplejersker
Fraværsdage
20
18
16
14
12
10
8
6
4
2
0
Figur 1.16
Sygefravær i den regionale sektor
Fraværsdage
20
18
16
14
12
10
8
6
4
2
0
07
08
I alt
09
10
11
12
13
14
15
16
17
18
SOSU-assistenter
Sygeplejersker
Fraværsdage
20
18
16
14
12
10
8
6
4
2
0
Anm.: Fraværsdage pr. fuldtidsbeskæftigede, dagsværk. Den regionale sektor gør i mindre grad brug af
SOSU-hjælpere, hvorfor disse ikke er medtaget i opgørelsen af det regionale sygefravær.
Kilde: Task force om social- og sundhedsmedarbejdere på baggrund af data fra kommunernes og
regionernes løndatakontor (KRL).
I den kommunale sektor har sygefraværet blandt SOSU-assistenter været stabilt på omkring
16 dage årligt, mens det for SOSU-hjælperne er faldet fra knap 20 dage om året i 2007 til
samme niveau som for SOSU-assistenterne fra 2012 og fremefter. Til sammenligning har sy-
gefraværet blandt sygeplejersker været omkring 12 dage om året, hvilket er på niveau med
sygefraværet i den kommunale sektor generelt,
jf. figur 1.15.
I den regionale sektor er relativt få SOSU-hjælpere beskæftigede, hvorfor der ikke indgår sy-
gefraværsdata for denne gruppe,
jf. figur 1.16.
Sygefraværet for SOSU-assistenter er i perio-
den fra 2007 til 2013 faldet fra godt 18 dage om året til 16 dage og har herefter været stabilt.
Til sammenligning er sygeplejersker i den regionale sektor syge ca. 12 dage om året, hvilket
er en anelse højere end niveauet blandt medarbejdere i den regionale sektor generelt.
Et illustrativt regneeksempel viser, at såfremt sygefraværet reduceres med ca. 10 pct. for den
samlede gruppe af sygeplejersker, SOSU-assistenter og SOSU-hjælpere vil det øge udbud-
det svarende til ca. 300 personer for hver af de to SOSU-grupper frem mod 2025 samt ca.
400 personer for sygeplejerskerne. Det skal understreges, at der er tale om et illustrativt reg-
neeksempel, og at der i regneeksemplet således ikke er taget forbehold evt. redskaber, der
vil skulle tages i brug for rent faktisk at nedbringe sygefraværet.
Tilbagetrækningsalderen blandt social- og sundhedsmedarbejdere er
faldet
Udviklingen i arbejdsstyrken afspejler bl.a. en senere tilbagetrækning blandt social- og sund-
hedsmedarbejdere. Siden 2009 er andelen af 60-64-årige i arbejdsstyrken steget,
jf. figur
1.17,
hvilket bl.a. afspejler regelændringer vedr. tilbagetrækning i perioden. I aldersgruppen
på 65-69 år er andelen, der indgår i arbejdsstyrken, dog faldet for SOSU-assistenter og
SOSU-hjælpere,
jf. figur 1.18.
26
Veje til flere hænder − Task force om social- og sundhedsmedarbejdere
Maj 2020
SUU, Alm.del - 2019-20 - Bilag 595: Svar på udvalgets opfølgning og spørgsmål til KL’s Sundheds- og Ældreudvalg efter fællesmødet den 10. september 2020
2255197_0029.png
Kapitel 1
Sammenfatning
Figur 1.17
Andel af social- og sundhedsmedarbejdere
som er en del af arbejdsstyrken, 60-64 årige
Figur 1.18
Andel af social- og sundhedsmedarbejdere
som er en del af arbejdsstyrken, 65-69 årige
Pct.
80
70
60
50
40
30
20
10
0
Sygeplejersker
SOSU-assistenter
2009
2017
SOSU-hjælpere
48
45
67
63
68
60
Pct.
80
70
60
50
Pct.
35
30
25
21
20
19
14
20
15
29
Pct.
35
30
25
20
15
10
5
0
Sygeplejersker
SOSU-assistenter
2009
2017
SOSU-hjælpere
40
15
30
20
10
0
10
5
0
Anm.: Figuren omfatter personer, der er uddannet til sygeplejerske, SOSU-assistent eller SOSU-hjælper og
som er mellem hhv. 60-64 år eller 65-69 år.
Kilde: Task force om social- og sundhedsmedarbejdere på baggrund af data fra Bevægelsesregisteret 2017,
Sundhedsdatastyrelsen og Danmarks Statistik.
Yderligere fakta om centrale nøgletal for social- og sundhedsmedarbejdere er udfoldet i kapi-
tel 7.
Social- og sundhedsmedarbejdere starter deres karriere inden for den
offentlige sektor, men forlader den løbende
En vej til at sikre flere social- og sundhedsmedarbejdere er bl.a. at understøtte, at flere so-
cial- og sundhedsmedarbejdere bliver fastholdt inden for faget. Det gælder både medarbej-
dere, der er nye i arbejdsstyrken, og medarbejdere der har været længere tid på arbejdsmar-
kedet.
Det er derfor relevant at undersøge de typiske veje på arbejdsmarkedet for social- og sund-
hedsmedarbejdere, herunder om og hvornår social- og sundhedsmedarbejdere forlader fa-
get.
Størstedelen af social- og sundhedsmedarbejdere starter deres karriere inden for det offent-
lige sundheds-, ældre- og socialområde. Andelen af social- og sundhedsmedarbejdere ansat
i det offentlige falder dog løbende i takt med, at social- og sundhedsmedarbejdere har været
på arbejdsmarkedet i et stykke tid.
3
3
Uddannelsesårgangene fra år 2000-2017 følges i årene efter de afsluttede deres uddannelse og så mange år frem
som muligt givet datagrundlaget, som strækker sig over perioden 2000-2017. Social- og sundhedsmedarbejderne
følges over tid, uanset om de er en del af arbejdsstyrken eller ej. Det betyder, at selvom nogle fx er udvandret el-
ler er uden for arbejdsstyrken, vil de fortsat betragtes som en del af den relevante uddannelsesårgang og derfor
indgå i opgørelsen.
Veje til flere hænder − Task force om social- og sundhedsmedarbejdere
Maj 2020
27
SUU, Alm.del - 2019-20 - Bilag 595: Svar på udvalgets opfølgning og spørgsmål til KL’s Sundheds- og Ældreudvalg efter fællesmødet den 10. september 2020
2255197_0030.png
Kapitel 1
Sammenfatning
I første år efter endt uddannelse var i gennemsnit 85 pct. af sygeplejersker fra uddannelses
-
årgangene 2000-2016 beskæftiget inden for det offentlige sundheds-, ældre- og socialom
-
råde. Efter 10 år på arbejdsmarkedet var andelen faldet til 72 pct. Der er altså en tendens til,
at sygeplejersker forlader det offentlige sundheds-, ældre- og socialområde desto længere
tid, de har været på arbejdsmarkedet,
jf. figur 1.19.
Figur 1.19
Andel af sygeplejersker beskæftiget inden for det offentlige sundheds-, ældre- og
socialområde i årene efter endt uddannelse
Pct.
100
90
80
70
60
50
40
30
20
10
0
0
1
2
2000
3
4
5
2005
6
7
8
2010
9
10
11
2015
12
13
14
2017
15
16
17
Pct.
Pct.
100
90
80
70
60
50
40
30
20
10
0
Anm.: Sundhedsområdet består af sygehuse, sundhedsplejen, hjemmesygeplejen, alment praktiserende
læger mv., mens ældreområdet og socialområdet består af plejehjem og hjemmeplejen samt
døgninstitutioner for personer med fysiske eller psykiske handicap. Populationen for sygeplejersker
er afgrænset til personer med en sygeplejerskeuddannelse uddannet i perioden 2000-2017. Data er
fra perioden 2000-2017. Det bemærkes, at der er databrud for arbejdsmarkedsoplysninger mellem
2007 og 2008.
Kilde: Task force om social- og sundhedsmedarbejdere på baggrund af data fra Bevægelsesregistret.
For sygeplejersker skyldes faldet dels, at sygeplejersker, som har været flere år på arbejds
-
markedet, forlader den offentlige sektor til fordel for den private sektor, og dels at nogle helt
forlader sundheds-, ældre- og socialområdet.
Billedet for SOSU-assistenterne og SOSU-hjælperne ligner i høj grad billedet for sygeplejer
-
skerne. Således var 80 pct. af SOSU-assistenterne fra uddannelsesårgangene 2000-2016
beskæftiget inden for det offentlige sundheds-, ældre- og socialområde første år efter endt
uddannelse,
jf. figur 1.20.
Andelen falder dog ligeledes støt i årene efter endt uddannelse og
udgør i gennemsnit 63 pct. for de SOSU-assistenter, der har været 10 år på arbejdsmarke
-
det.
Blandt SOSU-hjælpere var 68 pct. af nyuddannede fra uddannelsesårgangene 2000-2016
beskæftiget inden for det offentlige sundheds-, ældre- og socialområde første år efter endt
uddannelse. Efter 10 år på arbejdsmarkedet var andelen 35 pct.,
jf. figur 1.21.
28
Veje til flere hænder − Task force om social- og sundhedsmedarbejdere
Maj 2020
SUU, Alm.del - 2019-20 - Bilag 595: Svar på udvalgets opfølgning og spørgsmål til KL’s Sundheds- og Ældreudvalg efter fællesmødet den 10. september 2020
2255197_0031.png
Kapitel 1
Sammenfatning
Figur 1.20
Andel af SOSU-assistenter beskæftiget
inden for det offentlige sundheds-,
ældre- og socialområde i årene efter endt
uddannelse
Pct.
100
90
80
70
60
50
40
30
20
10
0
0 1 2 3 4 5 6 7 8 9 10 11 12 13 14 15 16 17
2000
2005
2010
2015
2017
Pct.
100
90
80
70
60
50
40
30
20
10
0
Figur 1.21
Andel af SOSU-hjælpere beskæftiget inden
for det offentlige sundheds-, ældre- og
socialområde i årene efter endt uddannelse
Pct.
90
80
70
60
50
40
30
20
10
0
0 1 2 3 4 5 6 7 8 9 10 11 12 13 14 15 16 17
2000
2005
2010
2015
2017
Pct.
90
80
70
60
50
40
30
20
10
0
Anm.: Sundhedsområdet består af sygehuse, sundhedsplejen, hjemmesygeplejen, alment praktiserende
læger mv., mens ældreområdet og socialområdet består af plejehjem og hjemmeplejen samt og
døgninstitutioner for personer med fysiske eller psykiske handicap. Populationen for SOSU-
personale er afgrænset til personer, der færdiggør en SOSU-uddannelse i perioden 2000-2017. Data
er fra perioden 2000-2017. Det bemærkes, at der er databrud for arbejdsmarkedsoplysninger mellem
2007 og 2008.
Kilde: Task force om social- og sundhedsmedarbejdere på baggrund af data fra Bevægelsesregistret.
Faldet for SOSU-assistenter og SOSU-hjælpere skal dog ses i lyset af, at mange i denne
medarbejdergruppe i stedet har videreuddannet sig inden for andre sundhedsuddannelser fx
SOSU-hjælpere, der har videreuddannet sig til SOSU-assistenter, eller SOSU-assistenter,
der har videreuddannet sig til sygeplejersker. Fx havde ca. 12 pct. af nyoptagede syge-
plejerskestuderende i perioden 2014-2018 tidligere gennemført SOSU-assistentuddannelsen,
jf. kapitel 6 om baggrundskarakteristika for studerende og elever.
Et illustrativt regneeksempel viser, at såfremt ca. 10 pct. af social- og sundhedsmedarbej-
derne, der i dag er beskæftiget uden for social- og sundhedsfaget, overgår til beskæftigelse
inden for faget, vil beskæftigelsen af hhv. SOSU-hjælpere, SOSU-assistenter samt sygeple-
jersker inden for social- og sundhedsfaget hver især øges med ca. 700 personer i 2025. Det
skal også her understreges, at der er tale om et illustrativt regneeksempel, og at der i regne-
eksemplet således ikke er taget forbehold for evt. redskaber, der vil skulle tages i brug for at
understøtte, at flere rent faktisk vender tilbage til beskæftigelse inden for faget.
Yderligere fakta om typiske veje på arbejdsmarkedet for social- og sundhedsmedarbejdere er
udfoldet i kapitel 8.
Mange social- og sundhedsmedarbejdere arbejder på deltid
Social- og sundhedsmedarbejdernes arbejdstid har indflydelse på de reelle arbejdskraftres-
sourcer inden for sundheds-, ældre- og socialområdet.
Veje til flere hænder − Task force om social- og sundhedsmedarbejdere
Maj 2020
29
SUU, Alm.del - 2019-20 - Bilag 595: Svar på udvalgets opfølgning og spørgsmål til KL’s Sundheds- og Ældreudvalg efter fællesmødet den 10. september 2020
2255197_0032.png
Kapitel 1
Sammenfatning
Det er særligt kendetegnende for social- og sundhedsmedarbejdere, at mange arbejder del
-
tid, og at størstedelen af social- og sundhedsmedarbejdere begynder deres arbejdsliv som
deltidsbeskæftigede og dermed arbejder mindre end 37 timer om ugen.
I gennemsnit er 50 pct. af de beskæftigede sygeplejersker fra uddannelsesårgangene 2008-
2016 deltidsbeskæftigede et år efter endt uddannelse.
4
Efter 5 år på arbejdsmarkedet var an
-
delen 51 pct.,
jf. figur 1.22.
Figur 1.22
Andel af beskæftigede sygeplejersker fra uddannelsesårgangene 2008-2016, der arbejder
deltid i årene efter endt uddannelse
Pct
.
Pct
Pct.
70
60
70
60
50
50
40
30
20
10
0
1. år efter endt uddannelse
5. år efter endt uddannelse
51
50
40
30
20
10
0
Anm.: Populationen er afgrænset til personer med en sygeplejerskeuddannelse uddannet i perioden 2008-
2016 og data er fra perioden 2008-2017. Det er således ikke alle årgange, som indgår fem år efter
endt uddannelse. Fx vil årgangene efter 2013 kun indgå 1 år efter endt uddannelse. Arbejdstid er op
-
gjort for alle beskæftigede (ekskl. midlertidigt fraværende fx pga. barselsorlov). Deltid er defineret
som mindre end 37 timer om ugen.
Kilde: Task force om social- og sundhedsmedarbejdere på baggrund af data fra Bevægelsesregistret.
Deltidsbeskæftigelse er i endnu højere grad udbredt blandt SOSU-assistenter og SOSU-hjæl
-
pere i samme periode. Et år efter endt uddannelse er i gennemsnit 81 pct. af SOSU-assisten
-
ter deltidsbeskæftigede, mens det gælder for 74 pct. af SOSU-hjælperne,
jf. figur 1.23 og
1.24.
Efter fem år var andelen 74 pct. for SOSU-assistenter og 77 pct. for SOSU-hjælpere.
4
Beskæftigede social- og sundhedsmedarbejdere (ekskl. personer på fx barsel- og sygeorlov) fra uddannelsesår
-
gangene fra 2008-2017 indgår i opgørelsen. Data dækker perioden 2008-2017. Det er således ikke alle beskæfti
-
gede fra disse uddannelsesårgange, der vil have haft mulighed for at have været lige mange år på arbejdsmarkedet.
Personer der er ledige, uden for arbejdsstyrken mv. indgår ikke i opgørelsen af arbejdstid.
30
Veje til flere hænder − Task force om social- og sundhedsmedarbejdere
Maj 2020
SUU, Alm.del - 2019-20 - Bilag 595: Svar på udvalgets opfølgning og spørgsmål til KL’s Sundheds- og Ældreudvalg efter fællesmødet den 10. september 2020
2255197_0033.png
Kapitel 1
Sammenfatning
Figur 1.23
Andel af beskæftigede SOSU-assistenter
fra uddannelsesårgangene 2008-2016, der
arbejder deltid i årene efter endt uddannelse
Pct.
90
81
80
70
60
50
40
30
20
10
0
1. år efter endt uddannelse
5. år efter endt uddannelse
74
80
70
60
50
40
30
20
10
0
Pct.
90
Figur 1.24
Andel af beskæftigede SOSU-hjælpere fra
uddannelsesårgangene 2008-2016, der
arbejder deltid i årene efter endt uddannelse
Pct.
90
80
70
60
50
40
30
20
10
0
1. år efter endt uddannelse
5. år efter endt uddannelse
74
77
Pct.
90
80
70
60
50
40
30
20
10
0
Anm.: Populationen afgrænset til personer med en SOSU-uddannelse uddannet i perioden 2008-2016 og data
er fra perioden 2008-2017. Det er således ikke alle årgange som indgår fem år efter endt uddannelse.
Fx vil årgangene efter 2013 kun indgå 1 år efter endt uddannelse. Arbejdstid er opgjort for alle be-
skæftigede (ekskl. midlertidigt fraværende fx pga. barselsorlov). Deltid er defineret som mindre end
37 timer om ugen.
Kilde: Task force om social- og sundhedsmedarbejdere på baggrund af data fra Bevægelsesregistret.
Den relativt store andel af social- og sundhedsmedarbejdere på deltid ses ligeledes i deres
gennemsnitlige arbejdstid. Blandt sygeplejersker fra uddannelsesårgangene 2008-2016 var
den gennemsnitlige arbejdstid knap 34 timer om ugen første år efter endt uddannelse. For
både SOSU-assistenter og SOSU-hjælpere var arbejdstiden omkring 30 timer om ugen første
år efter endt uddannelse.
Der ses desuden en vis sammenhæng mellem social- og sundhedsmedarbejderes arbejdstid
i deres første beskæftigelse efter endt uddannelse og deres arbejdstid senere i arbejdslivet.
Således er mange social- og sundhedsmedarbejdere, der begynder deres arbejdsliv som del-
tidsbeskæftigede også på deltid fem år efter de trådte ind på arbejdsmarkedet. Omvendt er
der ligeledes større sandsynlighed for, at social- og sundhedsmedarbejdere, der begynder
deres karriere på fuld tid, også er på fuld tid fem år efter.
En analyse fra Social- og Indenrigsministeriets Benchmarkingenhed (2020) om arbejdstiden
blandt SOSU-personale på det kommunale ældreområde konkluderer på linje hermed, at an-
delen af ansatte på deltid er særligt høj.
5
Det gælder også i en sammenligning på tværs af
andre kommunale overenskomstgrupper som lærere og pædagogisk personale.
Benchmarkingenhedens analyse indikerer desuden, at medarbejdere og arbejdsgivere ikke
altid har samme opfattelse af muligheden for at øge medarbejderens timetal, og at dette kan
5
Social- og Indenrigsministeriets Benchmarkingenhed, Arbejdstid blandt social- og sundhedspersonalet på det
kommunale ældreområde (2020).
Veje til flere hænder − Task force om social- og sundhedsmedarbejdere
Maj 2020
31
SUU, Alm.del - 2019-20 - Bilag 595: Svar på udvalgets opfølgning og spørgsmål til KL’s Sundheds- og Ældreudvalg efter fællesmødet den 10. september 2020
2255197_0034.png
Kapitel 1
Sammenfatning
udgøre en barriere for at øge den gennemsnitlige beskæftigelsesgrad blandt SOSU-perso-
nale.
Et illustrativt regneeksempel viser, at såfremt ca. 10 pct. af de deltidsbeskæftigede overgår til
fuldtidsbeskæftigelse, medfører det, at udbuddet af hhv. SOSU-hjælpere, SOSU-assistenter
og sygeplejersker hver især øges svarende til en stigning i beskæftigelsen på 1.300 personer
i alt. Det skal også her understreges, at der er tale om et illustrativt regneeksempel, og at der
i regneeksemplet således ikke er taget forbehold for evt. redskaber, der vil skulle tages i brug
for rent faktisk at realisere, at flere overgår til fuld tid.
Yderligere fakta om social- og sundhedsmedarbejderes arbejdstid er udfoldet i kapitel 9.
Den geografiske mobilitet falder med alderen for både sygeplejersker
og SOSU-personale
Geografisk jobmobilitet er et centralt nøgletal, hvis arbejdskraften skal fordeles effektivt på
tværs af landet, herunder ift. at undgå regionale og lokale flaskehalsproblemer.
Social- og sundhedsmedarbejdere er en smule mindre geografisk mobile end den samlede
sundhedsfaglige arbejdsstyrke og SOSU-personale er en smule mindre mobile end sygeple-
jersker. Den højere jobmobilitet blandt den sundhedsfaglige arbejdsstyrke kan dog hænge
sammen med, at den sundhedsfaglige arbejdsstyrke inkluderer læger, hvis uddannelsesfor-
løb, såvel klinisk basisuddannelse (KBU) som hoveduddannelse, kan indebære skift mellem
forskellige sygehuse rundt i landet.
Derudover falder den geografiske mobilitet med alderen for både sygeplejersker og SOSU-
personale. Det gælder generelt for den samlede sundhedsfaglige arbejdsstyrke.
Der er imidlertid forgæves rekruttering de fleste steder i landet, jf. næste afsnit, hvilket bety-
der, at geografisk mobilitet ikke alene vil kunne afhjælpe udfordringerne med mangel på ar-
bejdskraft af social- og sundhedsmedarbejdere.
Yderligere fakta om social- og sundhedsmedarbejderes geografiske bopæls- og jobmobilitet
er udfoldet i kapitel 10.
1.3 Fremtidens udbud af social- og
sundhedsmedarbejdere
Social- og sundhedsmedarbejdere varetager en lang række kerneopgaver i ældreplejen og i
det offentlige sundhedssystem. Efterspørgslen efter social- og sundhedsmedarbejdere af-
hænger således af hvor mange borgere, der har brug for sundhedsydelser, herunder bl.a. æl-
dre borgere.
Frem mod 2025 er det forventningen, at der vil være et stigende antal ældre, herunder en
stigning i ældre over 80 år,
jf. figur 1.25.
32
Veje til flere hænder − Task force om social- og sundhedsmedarbejdere
Maj 2020
SUU, Alm.del - 2019-20 - Bilag 595: Svar på udvalgets opfølgning og spørgsmål til KL’s Sundheds- og Ældreudvalg efter fællesmødet den 10. september 2020
2255197_0035.png
Kapitel 1
Sammenfatning
Figur 1.25
Stigning i antal ældre frem mod 2025
1.000 personer
1.000
900
800
700
600
500
400
300
200
100
0
90 91 92 93 94 95 96 97 98 99 00 01 02 03 04 05 06 07 08 09 10 11 12 13 14 15 16 17 18 19 20 21 22 23 24 25
65-80 årige
80+ år
1.000 personer
1.000 personer
1.000
900
800
700
600
500
400
300
200
100
0
Kilde: Task force om social- og sundhedsmedarbejdere på baggrund af data fra Danmarks Statistik.
Stigningen i antallet af ældre medfører alt andet lige et øget demografisk træk og bidrager til
en forventet efterspørgsel efter flere hænder på sundheds-, ældre- og socialområdet. For at
imødekomme den stigende efterspørgsel er et tilstrækkeligt udbud af social- og sundheds
-
medarbejdere nødvendigt.
Derudover er udviklingen i omfanget af forgæves rekrutteringer også en måde at anskue ef
-
terspørgslen efter en bestemt faggruppe. Hvad angår social- og sundhedsmedarbejdere er
der forgæves rekrutteringer i alle dele af landet for sygeplejersker, SOSU-assistenter og
SOSU-hjælpere.
For sygeplejersker er den forgæves rekrutteringsrate særligt markant i Region Sjælland på
43 pct.,
jf. figur 1.26.
Den forgæves rekrutteringsrate blandt SOSU-assistenter er generelt hø
-
jere end for sygeplejersker og udgør 37 pct. og 39 pct. i hhv. Region Hovedstaden og Region
Østjylland,
jf. figur 1.27.
Blandt SOSU-hjælpere er den forgæves rekrutteringsrate endnu hø
-
jere og udgør mellem 23-48 pct. på tværs af landet.
Rekrutteringsraterne er dog opgjort for efteråret 2019, dvs. før COVID-19 pandemien og ta
-
ger derfor ikke højde for potentielle ændringer i rekrutteringssituationen fremadrettet som
følge heraf.
Veje til flere hænder − Task force om social- og sundhedsmedarbejdere
Maj 2020
33
SUU, Alm.del - 2019-20 - Bilag 595: Svar på udvalgets opfølgning og spørgsmål til KL’s Sundheds- og Ældreudvalg efter fællesmødet den 10. september 2020
2255197_0036.png
Kapitel 1
Sammenfatning
Figur 1.26
Forgæves rekrutteringer for sygeplejersker
på tværs af landet
Figur 1.27
Forgæves rekrutteringer for
SOSU-assistenter på tværs af landet
Anm.: Den forgæves rekrutteringsrate viser andelen af virksomhedernes rekrutteringsforsøg, som var
forgæves. Der er tale om en forgæves rekruttering, hvis virksomheden ikke får besat stillingen, eller
hvis stillingen er blevet besat af en medarbejder, der ikke havde de efterspurgte kvalifikationer.
Kilde: Task force om social- og sundhedsmedarbejdere på baggrund af data fra Styrelsen for
Arbejdsmarked og Rekruttering, rekrutteringssurvey fra december 2019.
Task forcen har foretaget en fremskrivning af udbuddet af hhv. sygeplejersker samt SOSU-
assistenter og SOSU-hjælpere frem mod 2025. Fremskrivningerne af udbuddet er foretaget
som mekaniske fremskrivninger, der bygger på nuværende adfærd samt en række antagel-
ser. Fremskrivningerne er derfor forbundet med stor usikkerhed og er ikke udtryk for progno-
ser.
Analysen bygger således på en alt-andet-lige betragtning, der estimerer udviklingen i udbud-
det af arbejdskraft på sundheds-, ældre- og socialområdet. Fremskrivningerne er derudover
alene foretaget af sygeplejersker, SOSU-assistenter og SOSU-hjælpere og tager således
ikke højde for øvrige personalegrupper, der i dag og i fremtiden ellers måtte være med til at
løfte opgavevaretagelsen på sundheds-, ældre- og socialområdet. Hertil bemærkes, at udbud
og efterspørgsel efter arbejdskraft på det øvrige arbejdsmarked, også kan have betydning
for, hvor stor en del af de kommende ungdomsgenerationer, der rekrutteres til sundheds-, æl-
dre- og socialområdet.
Derudover skal udbuddet af fremtidens social- og sundhedsmedarbejdere ses i lyset af at
størrelsen på ungdomsårgangene frem mod 2030 vil falde fra ca 68.000 16-årige til ca.
60.000. Dette kan have betydning for optaget på de enkelte uddannelser og er ikke indregnet
i de mekaniske udbudsfremskrivninger. Ungdomsårgangene vil dog stige igen efter 2030 og
toppe i 2045 med ca. 75.000 16-årige.
34
Veje til flere hænder − Task force om social- og sundhedsmedarbejdere
Maj 2020
SUU, Alm.del - 2019-20 - Bilag 595: Svar på udvalgets opfølgning og spørgsmål til KL’s Sundheds- og Ældreudvalg efter fællesmødet den 10. september 2020
2255197_0037.png
Kapitel 1
Sammenfatning
Endelig skal det bemærkes, at der i de mekaniske fremskrivninger heller ikke er taget højde
for, at den økonomiske krise, der forventes at følge i kølvandet på COVID-19 pandemien ge
-
nerelt, kan mindske rekrutteringsudfordringerne i den offentlige sektor og øge søgningen til
social- og sundhedsuddannelserne.
Stigende udbud af sygeplejersker frem mod 2025
En mekanisk fremskrivning af udbuddet af beskæftigede sygeplejersker peger på, at
udbuddet vil stige med 3.700 personer frem mod 2025,
jf. figur 1.28.
Figur 1.28
Ændring i udbud af beskæftigede sygeplejersker ift. 2019
Personer
4.000
3.500
3.000
2.500
2.000
1.500
1.000
500
0
2020
2021
2022
2023
2024
2025
Personer
Personer
4.000
3.500
3.000
2.500
2.000
1.500
1.000
500
0
Anm.: Fremskrivningen er en mekanisk fremskrivning, hvor udgangspunktet for fremskrivningen er
seneste uddannelsesaktivitet samt forventninger til fremtidig beskæftigelsesfrekvenser.
Fremskrivningerne skal således ikke tolkes som prognoser, men alene mekaniske fremskrvninger,
der bygger på nuværende adfærd og en række antagelser.
Kilde: Task force om social- og sundhedsmedarbejdere på baggrund af data fra Danmarks Statistik.
Stigningen i udbuddet af sygeplejersker er bl.a. et resultat af, at antallet af pladser på syge
-
plejerskeuddannelsen (dimensioneringen) er øget løbende over de seneste år, og at tilgan
-
gen til uddannelsen tilsvarende er steget. Antallet af dimittender forventes derfor, alt andet
lige, at stige i de næste år, hvilket er med til at øge udbuddet af beskæftigede sygeplejersker.
Dertil kommer, at en stigende efterløns- og folkepensionsalder øger beskæftigelsesfrekven
-
serne for de berørte aldersgrupper, idet flere generelt vælger at blive på arbejdsmarkedet i
længere tid. Dette ses også blandt sygeplejersker, som i højere grad er blevet på arbejds
-
markedet i takt med den stigende efterlønsalder. Forventningen til den højere
tilbagetrækningsalder øger alene det samlede udbud med ca. 1.800 personer.
Ændringen af udbuddet af sygeplejersker skal ses i lyset af, at der i 2017 var ca. 71.000
uddannede sygeplejersker i beskæftigelse.
Veje til flere hænder − Task force om social- og sundhedsmedarbejdere
Maj 2020
35
SUU, Alm.del - 2019-20 - Bilag 595: Svar på udvalgets opfølgning og spørgsmål til KL’s Sundheds- og Ældreudvalg efter fællesmødet den 10. september 2020
2255197_0038.png
Kapitel 1
Sammenfatning
Udbud af SOSU-assistenter er stabilt, mens udbuddet af
SOSU-hjælpere falder frem mod 2025
Fremskrivninger af antallet af fuldførte elever fra SOSU-uddannelserne, og dermed ændrin-
ger i udbuddet i de kommende år, er behæftet med væsentlig usikkerhed. Det skyldes bl.a.,
omlægningen af SOSU-uddannelserne i 2017, og at det er usikkert, hvor stort gennemslag
de seneste års aftaler om løft i antal praktikpladser på hhv. 1.300 og 800 for SOSU-assistent-
og SOSU-hjælperuddannelsen får på antallet, der fuldfører uddannelsen, særligt i lyset af at
der hidtil har været udfordringer med at rekruttere et tilstrækkeligt antal elever til SOSU-ud-
dannelserne.
De mekaniske fremskrivninger af udbuddet af SOSU-assistenter og SOSU-hjælpere vises
derfor i to beregningstekniske scenarier:
a) Antal fuldførte fremskrives på baggrund af tilgangen til hovedforløbet, mens uddannelses-
tid og fuldførelsesprocent antages at svare til niveauet for fuldførte i 2018.
b) Udover ovenstående (a) antages, at aftalen omkring løft i antallet af praktikpladser med-
fører en tilsvarende stigning i antal fuldførte. Antallet af praktikpladser fastholdes i frem-
skrivningen på det forhøjede niveau fra 2020.
Baseret på scenarie (a) peger en mekanisk fremskrivning på et omtrent uændret udbud af
beskæftigede SOSU-assistenter frem mod 2025, mens en fremskrivning baseret på scenarie
(b) peger på en stigning på ca. 1.200 personer i udbuddet af SOSU-assistenter,
jf. figur 1.29.
Figur 1.29
Ændring i udbud af beskæftigede
SOSU-assistenter ift. 2019
1.000 personer
3
1.000 personer
3
Figur 1.30
Ændring i udbud af beskæftigede
SOSU-hjælpere ift. 2019
1.000 personer
0
2020
-1
2021
2022
2023
2024
2025
-1
-2
-3
-4
-5
-6
-7
Scenarie a (ekskl. aftale om løft i antal praktikpladser)
Scenarie b (inkl. aftale om løft i antal praktikpladser)
1.000 personer
0
2
2
-2
1
1
-3
-4
-5
0
2020
-1
2021
2022
2023
2024
2025
0
-1
-6
-2
Scenarie a (ekskl. aftale om løft i antal praktikpladser)
Scenarie b (inkl. aftale om løft i antal praktikpladser)
-2
-7
Anm.: Fremskrvningen er en mekanisk fremskrivning, hvor udgangspunktet for fremskrivningen er seneste
uddannelsesaktivitet samt forventninger til fremtidig beskæftigelsesfrekvenser. Fremskrivningerne er
således ikke prognoser, men alene mekaniske fremskrvninger, der bygger på nuværende adfærd og
en række antagelser.
Kilde: Task force om social- og sundhedsmedarbejdere på baggrund af data fra Danmarks Statistik.
36
Veje til flere hænder − Task force om social- og sundhedsmedarbejdere
Maj 2020
SUU, Alm.del - 2019-20 - Bilag 595: Svar på udvalgets opfølgning og spørgsmål til KL’s Sundheds- og Ældreudvalg efter fællesmødet den 10. september 2020
2255197_0039.png
Kapitel 1
Sammenfatning
Den mekaniske fremskrivning skal ses i lyset af, at der i 2017 var ca. 52.200 SOSU-
assistenter i beskæftigelse.
Baseret på scenarie (a) for SOSU-hjælpere indebærer en mekanisk fremskrivning et fald i ud-
buddet på ca. 4.600 personer frem mod 2025, mens en fremskrivning baseret på scenarie (b)
indebærer, at udbuddet af SOSU-hjælpere i beskæftigelse falder med ca. 3.200 personer,
altså ca. 1.400 færre personer end i scenarie (a),
jf. figur 1.30.
Den mekaniske fremskrivning skal ses i lyset af, at der i 2017 var ca. 58.000 SOSU-hjælpere
i beskæftigelse.
Den mekaniske fremskrivning er bl.a. foretaget på baggrund af den historiske tilgang til
uddannelsen, som i disse år er særligt påvirket af omlægningen af uddannelserne i 2017.
Fremskrivningen af SOSU-hjælperne skal på den baggrund tolkes varsomt. Fremskrivnin-
gerne og antagelserne bag er udfoldet i kapitel 11.
1.4 Veje til flere hænder
Task forcen har fået til opgave at drøfte vejene til, at der uddannes og ansættes flere social-
og sundhedsmedarbejdere, at flere medarbejdere får mulighed for at gå op i tid, og at syge-
fravær nedbringes, samt at medarbejdernes kompetencer udnyttes bedst muligt.
Task forcen om social- og sundhedsmedarbejdere skal i den forbindelse ses i lyset af, at der i
løbet af den seneste årrække er blevet igangsat en lang række forskellige initiativer, som alle
sigter mod at sikre flere hænder på sundheds-, ældre- og socialområdet. Det gælder initiati-
ver iværksat nationalt, men det gælder i særdeleshed initiativer igangsat lokalt, hvor dagsor-
denen længe har fyldt meget.
Forskellige initiativer og indsatser er og bliver iværksat løbende, hvorfor effekten af de for-
skellige tiltag endnu ikke kendes. Det skal ovenstående analysefund ses i lyset af. I kapitel 12
gives der et overblik over de mange initiativer, som er blevet iværksat i løbet af de sidste par
år.
På baggrund af de gennemførte analyser opstiller task forcen derudover i alt 23 anbefalinger,
der skal understøtte, at der er tilstrækkeligt med hænder på sundheds-, ældre- og socialom-
rådet de kommende år. Anbefalingerne er udfoldet i kapitel 2 og er opsummeret i
boks 1.6.
Veje til flere hænder − Task force om social- og sundhedsmedarbejdere
Maj 2020
37
SUU, Alm.del - 2019-20 - Bilag 595: Svar på udvalgets opfølgning og spørgsmål til KL’s Sundheds- og Ældreudvalg efter fællesmødet den 10. september 2020
2255197_0040.png
Kapitel 1
Sammenfatning
Boks 1.6
Opsummering af anbefalinger fra task force om social- og sundhedsmedarbejdere
Styrket rekruttering og fastholdelse på social- og sundhedsuddannelserne:
Task forcen anbefaler,
at der fastholdes et fokus på rekruttering til uddannelserne, herunder bl.a. ved at anvende de eksiste-
rende rekrutteringskanaler og ordninger til SOSU-uddannelserne, hvor fx SOSU-elever kan indgå en ud-
dannelsesaftale og dermed få løn allerede på grundforløbet. Task forcen anbefaler, at indsatsen over for
elever med særlige behov understøttes yderligere på tværs af myndigheder fx i form af sprog-, kultur- og
læringsstøtte før og under praktikken.
Bedre overgange mellem skole og praktik:
Task forcen anbefaler, at der i regi af det faglige udvalg
sker en fælles forventningsafstemning mellem SOSU-skoler og arbejdsgivere (kommuner/regioner) om-
kring, hvad elever skal kunne efter et afsluttet grundforløb 2. Task forcen anbefaler desuden, at ansæt-
telsesprocedurer for grundforløbselever fremrykkes mhp. øget fastholdelse. Hertil at man for begge ud-
dannelser undersøger muligheden for etablering af et fælles videns- og datagrundlag for bl.a. at følge
frafald, herunder at muligheden for at etablere et centralt registreringsværktøj for frafaldsårsager afsø-
ges.
Styrket kvalitet i praktikforløbene:
Task forcen anbefaler, at der lokalt etableres formaliserede rammer
for samarbejde og deling af information om den enkelte studerende og elev, så at tiltag for at reducere
frafald mv. igangsættes pr. automatik. Hertil anbefaler task forcen, at uddannelsesinstitutioner oprethol-
der et fokus på at gøre den studerende/eleven klar til praktik og praktikstedet i kommunen/regionen på at
sikre en høj kvalitet i praktikken, herunder en høj kvalitet af den vejledning kliniske vejledere, øvrige prak-
tikvejledere og medarbejdere med kontakt til de studerende og elever forestår.
God start og fastholdelse i faget:
Task forcen anbefaler, at der lokalt arbejdes videre med strukture-
rede introforløb og seniorpolitikker, og at karriere- og videre uddannelsesmuligheder synliggøres.
Flere på fuld tid og mindre sygefravær:
Task forcen anbefaler, af regionerne og kommunerne fortsæt-
ter arbejdet med at sikre, at flere medarbejdere går på fuld tid, og at sygefraværet mindskes.
1.5 Oversigt over rapportens indhold
Task forcen om social- og sundhedsmedarbejdere består af repræsentanter fra Sundheds-
og Ældreministeriet, Børne- og Undervisningsministeriet, Uddannelses- og Forskningsmini-
steriet, Beskæftigelsesministeriet, Finansministeriet (formand) samt KL og Danske Regioner.
Derudover har task forcen løbende inddraget relevante interessenter, herunder Danske Pro-
fessionshøjskoler, Danske SOSU-skoler, Dansk Sygeplejeråd og FOA.
Task forcen bygger desuden videre på kortlægningen af rekrutteringsudfordringer for social-
og sundhedspersonale og sygeplejersker i kommuner og regioner, der blev foretaget i 2018.
Indeværende rapport er en afrapportering af task forcens arbejde, som er gennemført i føl-
gende dele:
38
Veje til flere hænder − Task force om social- og sundhedsmedarbejdere
Maj 2020
SUU, Alm.del - 2019-20 - Bilag 595: Svar på udvalgets opfølgning og spørgsmål til KL’s Sundheds- og Ældreudvalg efter fællesmødet den 10. september 2020
2255197_0041.png
Kapitel 1
Sammenfatning
Kapitel 2 − Veje til flere hænder:
Indeholder task forcens anbefalinger til at sikre flere
hænder på social- og ældre- og sundhedsområdet.
Kapitel 3 − Uddannelsesoptag:
Redegør for uddannelsesoptaget på hhv. sygeplejer-
skeuddannelsen samt SOSU-assistentuddannelsen og SOSU-hjælperuddannelsen, her-
under ift. dimensionering, tilgang, antal fuldførte og uddannelsesudbuddet på tværs af
landet.
Kapitel 4 − Uddannelsesfrafald:
Giver et deskriptivt overblik over frafaldet på hhv. sy-
geplejerskeuddannelsen samt SOSU-assistentuddannelsen og SOSU-hjælperuddannel-
sen, herunder hvem der falder fra, hvornår de falder fra og hvad de laver efter frafaldet.
Kapitel 5 − Overgangen fra skole til praktik:
Skitserer en række erfaringer for, hvad
der fylder lokalt i opgaven med at facilitere praktikforløb for sygeplejerskestuderende og
SOSU-elever.
Kapitel 6 − Studerende og elevers baggrundskarakteristika:
Giver et deskriptivt
overblik over relevante baggrundkarakteristika ved sygeplejerskestuderende og SOSU-
elever, herunder ift. socioøkonomisk baggrund og faglige forudsætninger mv.
Kapitel 7 − Arbejdsstyrke, beskæftigelse og ledighed:
Kortlægger en række centrale
og overordnede nøgletal for social- og sundhedsmedarbejdere i arbejdsstyrken, herun-
der udvikling i beskæftigelsen, ledighed, tilbagetrækning og sygefravær.
Kapitel 8 − Typiske veje på arbejdsmarkedet:
Giver et overblik over de typiske veje
på arbejdsmarkedet efter endt uddannelse for social- og sundhedsmedarbejdere, herun-
der typiske ansættelsessteder og hvornår social- og sundhedsmedarbejdere forlader
sundheds-, ældre- og socialområdet.
Kapitel 9 − Arbejdstid:
Beskriver arbejdstiden for nyuddannede social- og sundheds-
medarbejdere, herunder omfanget af deltidsbeskæftigelse, deres gennemsnitlige ugent-
lige arbejdstid og evt. sammenhæng mellem arbejdstiden i en social- og sundhedsmed-
arbejders første ansættelse og arbejdstiden senere i arbejdslivet.
Kapitel 10 − Geografisk mobilitet:
Belyser den geografiske bopæls- og jobmobilitet
blandt social- og sundhedsmedarbejdere, herunder udviklingen i mobiliteten over tid, og
hvordan mobiliteten varierer på tværs af aldersgrupper og geografiske områder.
Kapitel 11 − Fremtidens udbud af social- og sundhedsmedarbejdere:
Indeholder en
mekanisk fremskrivning af udbuddet af beskæftigede sygeplejersker, SOSU-assistenter
og SOSU-hjælpere med udgangspunkt i den nuværende uddannelsesaktivitet på de re-
spektive uddannelser og graden af videreuddannelse samt forventninger til fremtidige
beskæftigelsesfrekvenser.
Kapitel 12 − Igangværende initiativer:
Giver et overblik over de mange indsatser og
tiltag, der i løbet af de sidste par år er igangsat mhp. at øge antallet af social- og sund-
hedsmedarbejdere.
Veje til flere hænder − Task force om social- og sundhedsmedarbejdere
Maj 2020
39
SUU, Alm.del - 2019-20 - Bilag 595: Svar på udvalgets opfølgning og spørgsmål til KL’s Sundheds- og Ældreudvalg efter fællesmødet den 10. september 2020
2255197_0042.png
Kapitel 1
Sammenfatning
Task forcens medlemmer er:
Rikke Margrethe Friis, forhandlingsdirektør i Danske Regioner
Ole Lund Jensen, forhandlingschef i Danske Regioner
Kristian Heunicke, direktør i KL
Charlotte Hougaard Clifford, kontorchef i KL
Hanne Agerbak, kontorchef i KL (afløser i en periode for Charlotte Hougaard Clifford)
Annemarie Lauritsen, afdelingschef i Sundheds- og Ældreministeriet
Søren Heldgaard Olesen, kontorchef i Sundheds- og Ældreministeriet
Jesper Nielsen, afdelingschef i Børne- og Undervisningsministeriet
Signe Tychsen Philip, kontorchef i Børne- og Undervisningsministeriet
Nils Agerhus, afdelingschef i Uddannelses- og Forskningsministeriet
Dina Bloch, kontorchef i Uddannelses- og Forskningsministeriet
Jens Erik Zebis, afdelingschef i Beskæftigelsesministeriet
Pernille Harden, kontorchef i Beskæftigelsesministeriet
Julie Vig Albertsen, afdelingschef i Finansministeriet
Simon Gravers Jacobsen, kontorchef i Finansministeriet
Søren Lund, kontorchef i Finansministeriet
40
Veje til flere hænder − Task force om social- og sundhedsmedarbejdere
Maj 2020
SUU, Alm.del - 2019-20 - Bilag 595: Svar på udvalgets opfølgning og spørgsmål til KL’s Sundheds- og Ældreudvalg efter fællesmødet den 10. september 2020
Denne side er med vilje efterladt uden indhold.
SUU, Alm.del - 2019-20 - Bilag 595: Svar på udvalgets opfølgning og spørgsmål til KL’s Sundheds- og Ældreudvalg efter fællesmødet den 10. september 2020
2255197_0044.png
Denne side er med vilje efterladt uden indhold.
Sammenfatning
Fejl! Ingen tekst med den anførte typografi i dokumentet.
Fejl! Ingen tekst med den anførte typografi i
dokumentet.
41
SUU, Alm.del - 2019-20 - Bilag 595: Svar på udvalgets opfølgning og spørgsmål til KL’s Sundheds- og Ældreudvalg efter fællesmødet den 10. september 2020
2255197_0045.png
Kapitel 2
2.
Nyt kapitel
Veje til flere hænder
Task forcen peger på en række overordnede anbefalinger, der skal sikre flere
hænder på sundheds-, ældre- og socialområdet.
På baggrund af de gennemførte analyser opstiller task forcen i alt 23 anbefalinger til at un-
derstøtte, at der er tilstrækkeligt med hænder på sundheds-, ældre- og socialområdet i de
kommende år. En opsummering af anbefalingerne fremgår af
boks 2.1.
Boks 2.1
Opsummering af anbefalinger fra task force om social- og sundhedsmedarbejdere
Styrket rekruttering og fastholdelse på social- og sundhedsuddannelserne:
Task forcen anbefaler,
at der fastholdes et fokus på rekruttering til uddannelserne, herunder bl.a. ved at anvende de eksiste-
rende rekrutteringskanaler og ordninger til SOSU-uddannelserne, hvor fx SOSU-elever kan indgå en ud-
dannelsesaftale og dermed få løn allerede på grundforløbet. Task forcen anbefaler, at indsatsen over for
elever med særlige behov understøttes yderligere på tværs af myndigheder fx i form af sprog-, kultur- og
læringsstøtte før og under praktikken.
Bedre overgange mellem skole og praktik:
Task forcen anbefaler, at der i regi af det faglige udvalg
sker en fælles forventningsafstemning mellem SOSU-skoler og arbejdsgivere (kommuner/regioner) om-
kring, hvad elever skal kunne efter et afsluttet grundforløb 2. Task forcen anbefaler desuden, at ansættel-
sesprocedurer for grundforløbselever fremrykkes mhp. øget fastholdelse. Hertil at man for begge uddan-
nelser undersøger muligheden for etablering af et fælles videns- og datagrundlag for bl.a. at følge frafald,
herunder at muligheden for at etablere et centralt registreringsværktøj for frafaldsårsager afsøges.
Styrket kvalitet i praktikforløbene:
Task forcen anbefaler, at der lokalt etableres formaliserede rammer
for samarbejde og deling af information om den enkelte studerende og elev, så at tiltag for at reducere
frafald mv. igangsættes pr. automatik. Hertil anbefaler task forcen, at uddannelsesinstitutioner oprethol-
der et fokus på at gøre den studerende/eleven klar til praktik og praktikstedet i kommunen/regionen på at
sikre en høj kvalitet i praktikken, herunder en høj kvalitet af den vejledning kliniske vejledere, øvrige prak-
tikvejledere og medarbejdere med kontakt til de studerende og elever forestår.
God start og fastholdelse i faget:
Task forcen anbefaler, at der lokalt arbejdes videre med strukture-
rede introforløb og seniorpolitikker, og at karriere- og videre uddannelsesmuligheder synliggøres.
Flere på fuld tid og mindre sygefravær:
Task forcen anbefaler, af regionerne og kommunerne fortsæt-
ter arbejdet med at sikre, at flere medarbejdere går på fuld tid, og at sygefraværet mindskes.
Veje til flere hænder − Task force om social- og sundhedsmedarbejdere
Maj 2020
43
SUU, Alm.del - 2019-20 - Bilag 595: Svar på udvalgets opfølgning og spørgsmål til KL’s Sundheds- og Ældreudvalg efter fællesmødet den 10. september 2020
2255197_0046.png
Kapitel 2
Veje til flere hænder
2.1 Styrket rekruttering og fastholdelse på social- og
sundhedsuddannelserne
En del af task forcens opdrag var bl.a. at undersøge, hvor mange SOSU-assistenter, SOSU-
hjælpere og sygeplejersker, der uddannes, herunder hvordan det kan understøttes, at flere
uddannes, hvis behov herfor.
Rekruttering og fastholdelse på SOSU-uddannelserne
I februar 2019 indgik den daværende regering, KL, Danske Regioner og FOA en aftale om at
forhøje antallet af praktikpladser for 2020 og 2021 med 30 pct.
Tilgangen til SOSU-uddannelserne har imidlertid været faldende i løbet af de sidste år fra ca.
12.200 i 2015 til 9.200 i 2018. En del af den faldende tilgang skyldes indførelsen af adgangs-
krav på 02 i dansk og matematik på alle erhvervsuddannelser med erhvervsuddannelsesre-
formen fra 2015. Den faldende tilgang skyldes med al sandsynlighed også øvrige mere gene-
relle tendenser i samfundet som fx en generel faldende søgning mod erhvervsuddannel-
serne.
Rekrutterings- og fastholdelsestiltag på SOSU-uddannelserne skal tage højde for målgrup-
pen på uddannelserne. Eleverne på SOSU-uddannelserne er typisk voksne kvinder med en
gennemsnitsalder på hhv. 32 år for SOSU-hjælpere og 30 år for SOSU-assistenter. Derud-
over har en høj andel af eleverne på begge uddannelser indvandrerbaggrund − særligt på
SOSU-hjælperuddannelsen, hvor hver tredje nye elev i 2018 var indvandrer. Dertil kommer,
at over halvdelen af SOSU-eleverne har børn ved uddannelsesstart. Dette kan gøre det van-
skeligt for mange i denne målgruppe at vende tilbage til skolebænken og SU som forsørgel-
sesgrundlag.
At indgå en uddannelsesaftale, der omfatter grundforløbet, hvormed SOSU-eleven modtager
løn i stedet for SU under grundforløbet, kan være en måde at rekruttere fra denne mål-
gruppe. Dog afsluttes grundforløbets anden del (GF2) for elever, der påbegynder GF2 i ja-
nuar/februar, op til en længere ferie (sommerferien), mens hovedforløbet først starter efter
ferien. Da kommuner og regioner ikke kan få refusion for lønudgifter via Arbejdsgivernes Ud-
dannelsesbidrag (AUB) i sommerferieperioden, kan det mindske incitamentet for kommuner
og regioner til at indgå en uddannelsesaftale, som omfatter GF2 og dermed en evt. sommer-
ferieperiode.
1. Task forcen anbefaler,
at der fastholdes et fokus på rekruttering til SOSU-uddannelserne,
herunder bl.a. ved at anvende de eksisterende rekrutteringskanaler og ordninger til SOSU-
uddannelserne, der tager højde for SOSU-uddannelsernes målgrupper. Det gælder fx, ad-
gangskurser, grundforløb plus (GF+) og eux-forløb samt øvrige understøttende indsatser i
beskæftigelsessystemet, integrationsgrunduddannelsen (igu) og samarbejder mellem SOSU-
skoler, VUC- og FGU-institutioner. Task forcen anbefaler desuden, at der foretages en fælles
og systematisk indsats for at tiltrække flere mænd til SOSU-uddannelserne.
2. Task forcen anbefaler
i den forbindelse, at arbejdsgiverne i højere grad benytter mulighe-
den for at indgå uddannelsesaftaler med SOSU-elever, der omfatter grundforløbet mhp. at
44
Veje til flere hænder − Task force om social- og sundhedsmedarbejdere
Maj 2020
SUU, Alm.del - 2019-20 - Bilag 595: Svar på udvalgets opfølgning og spørgsmål til KL’s Sundheds- og Ældreudvalg efter fællesmødet den 10. september 2020
2255197_0047.png
Kapitel 2
Veje til flere hænder
rekruttere flere voksne SOSU-elever. For at understøtte dette anbefaler task forcen, at det
bliver muligt for arbejdsgiverne at søge om kompensation fra AUB for lønudgifter i forbindelse
med afholdt løn i ferieperioder mellem grundforløb og hovedforløb, i de tilfælde hvor arbejds-
giverne indgår uddannelsesaftaler med elever, der omfatter grundforløbet.
3. Task forcen anbefaler,
at der fortsat foretages drøftelser om minimumsdimensionering på
SOSU-uddannelserne, herunder ift. at sikre at skoleoptag og antallet af praktikpladser mat-
cher regionalt og kommunalt behov − og at dimensioneringen af SOSU-uddannelserne i øv-
rigt ses i relation til den samlede opgaveløsning og det samlede sæt af kompetencer, der ef-
terspørges på sundheds-, ældre- og socialområdet.
4.Task forcen anbefaler,
at AMU i endnu højere grad bidrager til, at flere bliver opkvalificeret
til SOSU-hjælpere og SOSU-assistenter, og at de allerede aftalte meritmuligheder i VEU-Tre-
part synliggøres og underbygges. Endvidere anbefales, at det relevante faglige udvalg og ef-
teruddannelsesudvalg gennemgår meritbilagene, evt. kombineret med nyudvikling af kurser,
mhp. at flere fleksibelt bliver opkvalificeret til SOSU-hjælpere og SOSU-assistenter.
5. Task forcen anbefaler,
at der arbejdes videre med de mange initiativer, der er iværksat
lokalt mhp. at modvirke uddannelsesfrafald på SOSU-uddannelserne.
6. Task forcen anbefaler
i den forbindelse, at indsatsen over for elever med særlige behov
understøttes yderligere på tværs af myndigheder fx i form af sprog-, kultur- og læringsstøtte
før og under praktikken fx ved brug af mentorer.
Rekruttering og fastholdelse på sygeplejerskeuddannelsen
Rekruttering til sygeplejerskeuddannelsen er en mindre akut udfordring, da tilgangen er ste-
get fra ca. 3.000 studerende i 2009 til ca. 3.800 i 2018 parallelt med at antallet af pladser (di-
mensioneringen) er hævet løbende over de seneste år. Stigningen afspejles endvidere i an-
tallet af dimittender, der er steget fra omkring 2.200 i 2009 til 2.600 i 2018 og forventes at
stige yderligere, i takt med at de seneste års forhøjelser af dimensioneringen slår igennem på
antallet.
Det er dog fortsat vigtigt med et fokus på at tiltrække nye studerende også på sygeplejerske-
uddannelsen.
7. Task forcen anbefaler,
at fortsatte løft af dimensioneringen af sygeplejerskeuddannelsen
drøftes, bl.a. mhp. at understøtte aftalen om 1.000 flere sygeplejersker i 2021. Task forcen
anbefaler i den forbindelse, at dimensioneringen af sygeplejerskeuddannelsen sker under
hensyn til, at målet er dygtige sygeplejersker, hvorfor der fortsat skal være fokus på at sikre
en høj kvalitet af uddannelsen både den teoretiske og kliniske del, kvalificerede ansøgere, og
at uddannelsesfrafaldet reduceres − og at dimensioneringen af sygeplejerskeuddannelsen i
øvrigt ses i relation til den samlede opgaveløsning og det samlede sæt af kompetencer, der
efterspørges på social- sundheds- og ældreområdet. I den forbindelse anbefales det, at pro-
fessionshøjskoler, kommuner og regioner i dialog fortsat afsøger muligheden for flere praktik-
pladser i andre dele af sundhedsvæsenet som f.eks. almen praksis.
8. Task forcen anbefaler
hertil, at der fortsat fokuseres på rekrutteringen til sygeplejerskeud-
dannelsen. Der kan fx foretages en fælles og systematisk indsats for at tiltrække flere mænd
Veje til flere hænder − Task force om social- og sundhedsmedarbejdere
Maj 2020
45
SUU, Alm.del - 2019-20 - Bilag 595: Svar på udvalgets opfølgning og spørgsmål til KL’s Sundheds- og Ældreudvalg efter fællesmødet den 10. september 2020
2255197_0048.png
Kapitel 2
Veje til flere hænder
til sygeplejerskeuddannelsen, da studerende på sygeplejerskeuddannelsen hovedsageligt er
kvinder.
9. Task forcen anbefaler,
at der arbejdes videre med de mange initiativer, der er iværksat
lokalt mhp. at modvirke uddannelsesfrafald på sygeplejerskeuddannelsen, herunder at pro-
fessionshøjskolerne fortsat fokuserer på at tilbyde faglige relevante studiestartskurser til sy-
geplejerskestuderende bl.a. mhp. at styrke de studerendes matematiske kompetencer, såle-
des at de i højere grad fastholdes på studiet.
2.2 Bedre overgange mellem skole og praktik
Praktik og overgangen mellem undervisning på uddannelsesinstitutionen og praktik er en af
flere faktorer, der kan øge risikoen for frafald, hvilket kræver et fælles fokus på at understøtte
så gode overgange som muligt.
Overgang til praktik på SOSU-uddannelserne
I dag falder ca. hver tredje SOSU-elev fra i overgangen mellem grundforløb og hovedforløb −
dvs. inden eleverne skal påbegynde deres første praktikperiode.
Mens der findes data for, hvor mange elever der falder fra mellem grund- og hovedforløb ind-
samles der imidlertid ikke systematiske kvantitative data fra centralt hold for, hvor meget af
frafaldet der skyldes praktikrelaterede problemstillinger, herunder fx hvor mange elever, der
får afslag på deres praktikpladsansøgninger og hvorfor. Der er derfor behov for et centralt re-
gistreringsværktøj, som understøtter simpel og ensartet registrering af frafald, da viden om
frafaldsårsager er en afgørende forudsætning for, at både skoler, praktiksteder og øvrige re-
levante parter kan handle forebyggende og tilrettelægge målrettede indsatser mhp. at redu-
cere frafaldet.
Dette var bl.a. også årsagen til, at aftaleparterne bag dimensioneringsaftalen fra 2019 blev
enige om at udarbejde en koordinerende arbejdsplan, der bl.a. skal indeholde et fælles vi-
dens- og datagrundlag i samarbejde med SOSU-skolerne.
De adspurgte kommuner og Danske SOSU-skoler peger dog også på, at der er en række
SOSU-elever, der ikke indgår en uddannelsesaftale, fordi kommunen som ansættende myn-
dighed vurderer, at eleven mangler grundlæggende kompetencer, herunder faglige, sociale,
personlige eller sproglige kompetencer. Dette på trods af at disse elever har bestået grund-
forløb 2 og dermed formelt set opfylder kravene til optagelse på hovedforløbet.
Det kan i den forbindelse være en udfordring, at SOSU-skolerne først har det fulde overblik
over, hvem der har en uddannelsesaftale eller ej, når grundforløbet er slut, da der er praksis
for, at langt de fleste kommuner først indgår uddannelsesaftaler med elever i slutningen af
eller umiddelbart efter, at elever har bestået grundforløbet. Således har kun ca. hver fjerde
SOSU-elev en uddannelsesaftale otte uger før, praktikperioden starter.
10. Task forcen anbefaler,
at der foretages en klar forventningsafstemning i regi af det fag-
lige udvalg PASS mellem SOSU-skoler og kommuner/regioner om, hvad eleverne skal kunne
46
Veje til flere hænder − Task force om social- og sundhedsmedarbejdere
Maj 2020
SUU, Alm.del - 2019-20 - Bilag 595: Svar på udvalgets opfølgning og spørgsmål til KL’s Sundheds- og Ældreudvalg efter fællesmødet den 10. september 2020
2255197_0049.png
Kapitel 2
Veje til flere hænder
efter et afsluttet grundforløb 2, således at alle elever med bestået grundforløb kan have en
berettiget forventning om at være kvalificeret til en praktikplads.
11. Task forcen anbefaler,
at arbejdsgiverne i højere grad benytter muligheden for at frem-
rykke ansættelsesprocedurer for indgåelse af uddannelsesaftaler med SOSU-elever på
grundforløbet, så SOSU-elever i god tid har vished om, at de har en uddannelsesaftale mhp.
at modvirke frafald, og at SOSU-skolerne derved kan koncentrere deres praktikpladsopsø-
gende indsats mod elever uden aftale i grundforløbets afsluttende fase.
1
12. Task forcen anbefaler,
at muligheden for at sikre et fælles videns- og datagrundlag for
SOSU-skoler, kommuner og regioner med tidstro og valide data afsøges mhp. at kunne følge
frafald, effekter af igangsatte indsatser og kvalificering af nye indsatser i adressering af frafal-
det i overgangen mellem grund- og hovedforløb og på hovedforløbet, herunder at mulighe-
den for at etablere et centralt registreringsværktøj for frafaldsårsager, som både praktiksteder
og SOSU-skoler skal anvende afsøges.
Overgang til praktik på sygeplejerskeuddannelsen
På sygeplejerskeuddannelsen er frafaldet i løbet af hele uddannelsen på omkring 24 pct.
Størstedelen af dette frafald sker i løbet af første og andet studieår. Dette er en smule lavere
end gennemsnittet på de øvrige professionsbacheloruddannelser, hvorfor der ikke vurderes
at være en akut udfordring på samme måde her som på SOSU-uddannelserne.
På sygeplejerskeuddannelsen indsamles der imidlertid ikke systematisk data for, hvorvidt de
studerende falder fra i overgangen til praktik, hvorfor der ikke kan konkluderes entydigt på
dette.
Dog er det i sagens natur vigtigt med fokus på overgangen til praktik også sygeplejerskeud-
dannelsen, da overgange er en af flere faktorer, der kan være udslagsgivende ift. frafald.
Rambølls analyse fra 2018 finder desuden også, at en del af frafaldet på sygeplejerskeud-
dannelsen sker i overgangen til praktikforløb.
13. Task forcen anbefaler,
at professionshøjskoler, kommuner og regioner fortsat fokuserer
på at understøtte gode overgange mellem uddannelse og praktik på sygeplejerskeuddannel-
sen.
14. Task forcen anbefaler,
at det også på sygeplejerskeuddannelsen undersøges, hvordan
der kan skabes et fælles videns- og datagrundlag for professionshøjskoler, kommuner og re-
gioner for bl.a. at kunne følge frafald, effekter af igangsatte indsatser og kvalificering af nye
indsatser, herunder at muligheden for at etablere et centralt registreringsværktøj for frafalds-
årsager, som både praktiksteder og professionshøjskoler skal anvende afsøges.
15. Task forcen anbefaler,
at der i takt med udviklingen af det nære sundhedsvæsen og
professionerne heri sikres et fortsat og styrket fokus på den kommunale sygepleje samt itale-
sættelsen heraf som led i rekrutteringen til uddannelsen. Task forcen anbefaler i tillæg hertil,
1
Det bemærkes, at anbefalingen går på at fremrykke ansættelsesprocedure, så eleven får vished om, at vedkom-
mende har en uddannelsesaftale på sigt − ikke at eleven får udbetalt løn under grundforløbet, som det er tilfældet
i anbefaling 2.
Veje til flere hænder − Task force om social- og sundhedsmedarbejdere
Maj 2020
47
SUU, Alm.del - 2019-20 - Bilag 595: Svar på udvalgets opfølgning og spørgsmål til KL’s Sundheds- og Ældreudvalg efter fællesmødet den 10. september 2020
2255197_0050.png
Kapitel 2
Veje til flere hænder
at der etableres et partnerskab mellem kommuner og professionshøjskoler som bl.a. kan
drøfte, hvordan man fortsat kan have et øget fokus på det nære sundhedsvæsen i tilrettelæg-
gelsen af sygeplejerskeuddannelsen og rekruttering hertil, herunder ift. at skabe synlighed og
motivation for det nære sundhedsvæsen samt at sikre attraktive praktikpladser inden for om-
rådet.
2.3 Styrket kvalitet af praktikforløbene
Kvalitet af praktikforløb på både SOSU-uddannelserne og sygeplejerskeuddannelsen er al-
pha omega ift. at understøtte, at færdiguddannede er arbejdsmarkedsparate og forberedte på
at løfte professionens opgaver på egen hånd og i samarbejde med andre. Kvalitet af praktik-
forløb er også afgørende ift. at modvirke frafald i løbet af praktikperioden.
På SOSU-uddannelserne falder dobbelt så mange SOSU-elever fra på hovedforløbet (målt
tre måneder efter påbegyndt hovedforløb) sammenlignet med de øvrige elever på erhvervs-
uddannelserne. Frafaldet er særligt højt i den første praktik.
På sygeplejerskeuddannelsen opgøres frafaldet ikke i relation til praktikken, jf. ovenfor, men
den hyppigst angivne årsag til, at sygeplejerskestuderende afbryder sygeplejerskeuddannel-
sen (55 pct.), er, at de ikke kan se sig selv i jobbet som sygeplejerske efter endt uddannelse.
Opgaven med at sikre vellykkede praktikforløb er et delt ansvar mellem uddannelsesinstitu-
tion og kommune og region. Mange steder i landet er der som resultat heraf etableret for-
melle og uformelle samarbejds- og dialogfora omkring den fælles uddannelsesopgave.
Kommuner, regioner, Danske SOSU-skoler og Danske Professionshøjskoler peger dog også
på en række udfordringer relateret til praktikken,
jf. kapitel 5.
Der er fx nogle kommuner og regioner, der oplever, at mødet med praksis for nogle stude-
rende og elever kan resultere i et såkaldt ’praksischok’ eller ’ansvarschok’, hvor studerende
og elever ikke er tilstrækkeligt indstillet eller forberedt på det at indgå i et uddannelsesforløb i
praksis.
Derudover peger nogle af de adspurgte kommuner samt Danske Professionshøjskoler og
Danske SOSU-skoler på, at opgaver i tilknytning til pleje og behandling af patienter nogle
gange prioriteres før vejledningsopgaven, og at det for nogle elever og studerende kan ople-
ves, som at vejledningen nedprioriteres. Regionerne og de adspurgte kommuner oplever en
øget uddannelsesopgave − både med hensyn til antal og i kompleksitet − og oplever i den
forbindelse, at vejledningsfunktionen tager mere og mere tid.
16. Task forcen anbefaler,
at der
alle
steder i landet lokalt etableres formaliserede og struk-
turerede samarbejder omkring elever og studerende, så at rammerne omkring den enkelte
studerende og elev er robuste, og at der er formaliserede rammer for deling af information
om den enkelte studerende og elev, så at tiltag for at reducere frafald igangsættes pr. auto-
matik, hvorved ingen studerende og elever falder mellem to stole.
48
Veje til flere hænder − Task force om social- og sundhedsmedarbejdere
Maj 2020
SUU, Alm.del - 2019-20 - Bilag 595: Svar på udvalgets opfølgning og spørgsmål til KL’s Sundheds- og Ældreudvalg efter fællesmødet den 10. september 2020
2255197_0051.png
Kapitel 2
Veje til flere hænder
17. Task forcen anbefaler,
at professionshøjskolerne og SOSU-skolerne i tæt samarbejde
med de lokale aftagere og praktikansvarlige opretholder et skærpet fokus på at forberede de
sygeplejerskestuderende og SOSU-eleverne på praktikperioderne, og den virkelighed de mø-
der her.
18. Task forcen anbefaler
i tillæg hertil, at der gøres endnu mere brug af simulationstræning
i undervisningen, hvor SOSU-elever og sygeplejerskestuderende som del af den almindelige
undervisning i højere grad får mulighed for at træne sundhedsfaglige praksiskompetencer på
fantomdukker i praksisnære miljøer, og hvor det giver mening i samarbejde mellem SOSU-
skoler, professionshøjskoler og praktiksteder.
19. Task forcen anbefaler,
at regioner og kommuner opretholder et skærpet fokus på at
sikre praktikforløb og praktikvejledning af høj kvalitet, herunder ift. at sikre en høj kvalitet af
den vejledning kliniske vejledere, øvrige praktikvejledere og medarbejdere med kontakt til de
studerende og elever forestår, og at den studerende og eleven modtager en god introduktion
til arbejdspladsen og arbejdsopgaverne.
Task forcen vurderer samlet set, at der ligger et potentiale for at sikre flere social- og sund-
hedsmedarbejdere, hvis frafaldet på uddannelserne mindskes, herunder både når stude-
rende og elever har undervisning på uddannelsesinstitutionen, er i praktikforløb samt i over-
gangen imellem. Det skal dog samtidig understreges, at der ikke findes nogen lette løsninger
på frafaldsproblematikker, der ofte er sammensatte, ligesom at indsatsen mod frafald har væ-
ret et fokusområde i lang tid.
2.4 God start og fastholdelse i faget
En vej til at sikre flere social- og sundhedsmedarbejdere er bl.a. at understøtte, at flere so-
cial- og sundhedsmedarbejdere bliver fastholdt inden for sundheds-, ældre- og socialområ-
det. Det gælder både medarbejdere, der er nye i arbejdsstyrken, samt medarbejdere der har
været længere tid på arbejdsmarkedet, herunder seniorer.
I dag forlader mange social- og sundhedsmedarbejdere det offentlige sundheds-, ældre- og
socialområde efter en årrække. Således faldt andelen af beskæftigede sygeplejersker inden
for det offentlige sundheds-, ældre- og socialområde fra i gennemsnit 85 pct. til 72 pct. 10 år
efter endt uddannelse. For SOSU-assistenter var faldet fra 80 pct. til 63 pct. og for SOSU-
hjælpere 68 pct. til 35 pct.
Der er igangsat en lang række lokale tiltag, der dels skal sikre en god start for nyuddannede
og sikre attraktive vilkår for social- og sundhedsmedarbejdere, der har været i arbejdsstyrken
i en årrække.
20. Task forcen anbefaler,
at der lokalt arbejdes med strukturerede introforløb for nyuddan-
nede og andre tiltag, der gør det attraktivt at arbejde inden for sundheds-, ældre- og social-
området.
Veje til flere hænder − Task force om social- og sundhedsmedarbejdere
Maj 2020
49
SUU, Alm.del - 2019-20 - Bilag 595: Svar på udvalgets opfølgning og spørgsmål til KL’s Sundheds- og Ældreudvalg efter fællesmødet den 10. september 2020
2255197_0052.png
Kapitel 2
Veje til flere hænder
21. Task forcen anbefaler,
at der lokalt arbejdes på, at flere seniormedarbejdere er motive-
rede for at blive på sundheds-, ældre- og socialområdet, herunder via seniorpolitikker der un-
derstøtter den enkelte medarbejders ressourcer, kompetencer, udviklingsbehov og ønsker.
22. Task forcen anbefaler
i tillæg hertil, at karrieremuligheder og videre uddannelsesmulig-
heder synliggøres både for at gøre det attraktivt for medarbejdere at blive i faget, og som
middel til at få flere af de social- og sundhedsmedarbejdere, som har forladt faget til at vende
tilbage.
Task forcens vurderer samlet set, at der er et potentiale for at sikre flere hænder inden for fa-
get, hvis flere social- og sundhedsmedarbejdere fastholdes eller vender tilbage til faget.
2.5 Flere på fuld tid og mindre sygefravær
Det er særligt kendetegnende for social- og sundhedsmedarbejdere, at mange arbejder del-
tid, og at størstedelen af social- og sundhedsmedarbejdere begynder deres arbejdsliv som
deltidsbeskæftigede og dermed arbejder mindre end 37 timer om ugen.
I gennemsnit er ca. halvdelen af sygeplejerskerne deltidsbeskæftigede et år efter endt uddan-
nelse. Et år efter endt uddannelse er i gennemsnit 81 pct. af SOSU-assistenter deltidsbe-
skæftigede, mens det gælder for 74 pct. af SOSU-hjælperne. Efter fem år på arbejdsmarke-
det er andelene nogenlunde de samme.
Et højt sygefravær kan også udfordre, at der er tilstrækkeligt med hænder på sundheds-, æl-
dre- og socialområdet. SOSU-assistenter og SOSU-hjælpere (SOSU-personale) har i gen-
nemsnit et højere sygefravær end sygeplejersker i både den kommunale og regionale sektor,
herunder et højere sygefravær end medarbejdere i den kommunale og regionale sektor ge-
nerelt.
Task forcen har noteret sig, at der er igangsat en række projekter bl.a. i regioner og kommu-
ner, der sigter mod at flere medarbejdere skal gå op i fuld tid samt projekter, der sigter mod
at nedbringe sygefraværet.
23. Task forcen anbefaler
i den forbindelse, at der arbejdes videre med denne dagsorden i
regi af de igangsatte projekter.
Task vurderer samlet set, at der ligger et potentiale i at sikre flere hænder inden for social- og
sundhedsfaget, hvis flere deltidsansatte øger deres arbejdstid fx ved at gå op i fuld tid, og at
sygefraværet mindskes.
50
Veje til flere hænder − Task force om social- og sundhedsmedarbejdere
Maj 2020
SUU, Alm.del - 2019-20 - Bilag 595: Svar på udvalgets opfølgning og spørgsmål til KL’s Sundheds- og Ældreudvalg efter fællesmødet den 10. september 2020
Denne side er med vilje efterladt uden indhold.
SUU, Alm.del - 2019-20 - Bilag 595: Svar på udvalgets opfølgning og spørgsmål til KL’s Sundheds- og Ældreudvalg efter fællesmødet den 10. september 2020
2255197_0054.png
Denne side er med vilje efterladt uden indhold.
Kapitel 2
Veje til flere hænder
Veje til flere hænder − Task force om social- og sundhedsmedarbejdere
Maj 2020
51
SUU, Alm.del - 2019-20 - Bilag 595: Svar på udvalgets opfølgning og spørgsmål til KL’s Sundheds- og Ældreudvalg efter fællesmødet den 10. september 2020
2255197_0055.png
Kapitel 3
3.
Nyt kapitel
Uddannelsesoptag
På sygeplejerskeuddannelsen er dimensioneringen af antallet af pladser blevet
hævet løbende, og både tilgang og antal dimittender er tilsvarende steget. På
SOSU-uddannelserne er minimumsdimensioneringen af antallet af praktikplad-
ser også blevet hævet, men tilgangen til uddannelserne har været faldende.
I dette kapitel redegøres for uddannelsesoptaget på hhv. sygeplejerskeuddannelsen samt
SOSU-assistentuddannelsen og SOSU-hjælperuddannelsen (SOSU-uddannelserne), herun-
der ift. dimensionering, faktisk aktivitet, antal fuldførte og fordeling af uddannelsesudbuddet i
landet. Kapitlets hovedkonklusioner fremgår af
boks 3.1.
Boks 3.1
Kapitlets hovedkonklusioner
Sygeplejerskeuddannelsen
Antallet af pladser på sygeplejerskeuddannelsen (dimensioneringen) er hævet løbende over de seneste
år, og tilgangen er samtidig steget fra ca. 3.000 studerende i 2009 til ca. 3.800 i 2018. Herudover er an-
tallet af ansøgere med sygeplejerskeuddannelsen som 1. prioritet steget fra knap 2.900 i 2009 til knap
5.000 personer i 2019. Dog er der de seneste år sket et mindre fald i søgningen til sygeplejerskeuddan-
nelsen blandt 1. prioritetsansøgere.
Antallet af dimittender på sygeplejerskeuddannelsen er tilsvarende steget fra omkring 2.200 i 2009 til
2.600 i 2018.
Udbuddet af sygeplejerskeuddannelsen er bredt geografisk forankret i 22 byer*. Ca. halvdelen af nye sy-
geplejerskestuderende læste i 2018 på en institution uden for de fire største større byer i Danmark.
SOSU-uddannelserne
Antallet af praktikpladser for SOSU-elever (minimumsdimensioneringen) for 2020-2021 blev hævet i
2019. Tilgangen er imidlertid faldet fra omkring 12.200 i 2015 til 9.200 i 2018. Dette skal bl.a. ses i lyset
af, at der med erhvervsuddannelsesreformen fra 2015 blev indført adgangskrav på alle erhvervsuddan-
nelser.
Antallet af fuldførte på SOSU-uddannelserne er faldet fra omkring 8.200 i 2016 til 3.500 i 2018. Faldet de
senere år skyldes imidlertid bl.a. omlægningen fra en trindelt uddannelse til to selvstændige uddannelser
i 2017 og skal derfor tolkes varsomt.
Der findes 13 SOSU-skoler, som samlet har omkring 44 udbudssteder fordelt rundt i landet. Andelen af
tilgangen til uddannelserne uden for de fire største byer har ligget nogenlunde stabilt på omkring 74 pct.
over de seneste år.
Anm.: * Frederiksberg og København tæller i denne opgørelse som én by.
Veje til flere hænder − Task force om social- og sundhedsmedarbejdere
Maj 2020
53
SUU, Alm.del - 2019-20 - Bilag 595: Svar på udvalgets opfølgning og spørgsmål til KL’s Sundheds- og Ældreudvalg efter fællesmødet den 10. september 2020
2255197_0056.png
Kapitel 3
Uddannelsesoptag
3.1 Kort om uddannelserne
Nedenfor gives en kort introduktion til hhv. sygeplejerskeuddannelsen samt SOSU-assistent-
og SOSU-hjælperuddannelsen (SOSU-uddannelserne).
Sygeplejerskeuddannelsen
Sygeplejerskeuddannelsen er en professionsbacheloruddannelse, som varer 3,5 år og er
normeret til 210 ECTS-point. Uddannelsen udbydes af professionshøjskolerne. Sygeplejer-
skeuddannelsen veksler mellem teoretisk og klinisk undervisning (herefter praktik).
Uddannelsen består af en fællesdel og en institutionsspecifik del. Fællesdelen strækker sig
over uddannelsens første fire semestre, hvor det overordnede indhold er ens på tværs af
alle de uddannelsesinstitutioner, der udbyder uddannelsen til sygeplejerske.
Indholdet i fællesdelen dækker over følgende fire temaer, der hver udgør 30 ECTS-point:
1. Observation og vurdering af patient og borgers sundhedsudfordringer og sygdomssam-
menhænge.
2. Klinisk beslutningstagen i stabile og komplekse pleje- og behandlingsforløb.
3. Klinisk lederskab af patient- og borgerforløb.
4. Situationsbestemt kommunikation i samspil med patient og borger, pårørende og fagpro-
fessionelle i og på tværs af sektorer.
Den institutionsspecifikke del strækker sig over tre semestre og tilrettelægges forskelligt på
hver uddannelsesinstitution.
90 ECTS svarende til ca. 40 pct. af sygeplejerskeuddannelsen foregår i praktik, som i samspil
med uddannelsens teoretiske dele skal styrke den studerendes læring og bidrage til opfyl-
delse af uddannelsens mål for læringsudbytte.
Adgangskrav til sygeplejerskeuddannelsen
Følgende uddannelser giver adgang til at søge om optagelse:
Gymnasial eksamen (stx, hf, hhx, htx eller eux) eller særligt hf-forløb for fremmedspro-
gede (GIF).
En tilsvarende udenlandsk eller international eksamen.
En erhvervsuddannelse som SOSU-assistent (trin 2, hvis tidligere trindelt social- og sund-
hedsuddannelse) eller ambulancebehandler/redder (speciale: ambulanceassistent) samt
dansk C, naturfag C og engelsk D.
Anden adgang med 9 måneders erhvervserfaring og 4 gymnasiale enkeltfag: dansk A og
engelsk B samt enten matematik B, fysik B, geovidenskab A, kemi B, biologi B eller bio-
teknologi A. Desuden enten samfundsfag C eller psykologi C. Hvert enkeltfag skal være
afsluttet, dvs. der skal være udstedt et prøvebevis, jf. eksamensbekendtgørelsens be-
stemmelser, og karakteren for enkeltfaget skal være mindst 02. Derudover 9 måneders
erhvervserfaring.
54
Veje til flere hænder − Task force om social- og sundhedsmedarbejdere
Maj 2020
SUU, Alm.del - 2019-20 - Bilag 595: Svar på udvalgets opfølgning og spørgsmål til KL’s Sundheds- og Ældreudvalg efter fællesmødet den 10. september 2020
2255197_0057.png
Kapitel 3
Uddannelsesoptag
De specifikke adgangskrav skal være bestået. Opfylder man ikke kravene, kan de fag eller
niveauer, der mangler, tages som supplering. Hvis man har en gymnasial eksamen, kan man
søge både via kvote 1 og kvote 2. Har man en erhvervsuddannelse eller de 4 gymnasiale en-
keltfag, kan man kun søge via kvote 2.
SOSU-assistentuddannelsen
SOSU-assistentuddannelsen er en erhvervsuddannelse, som består af et grund- og et ho-
vedforløb, der tilsammen varer knap 3 år og 10 måneder, hvoraf skoleundervisningen på ho-
vedforløbet udgør 48 uger fordelt på minimum fire skoleperioder.
Før 2017 var SOSU-assistentuddannelsen og SOSU-hjælperuddannelsen én trindelt uddan-
nelse, hvor uddannelsen til SOSU-hjælper var trin 1, som alle elever skulle igennem, hvoref-
ter de, der ønskede at blive SOSU-assistenter, kunne tage trin 2. Fra 2017 blev social- og
sundhedsuddannelsen omlagt til to selvstændige uddannelser.
Det gælder for begge SOSU-uddannelser, som for alle erhvervsuddannelser i øvrigt, at de er
kendetegnet ved, at arbejdsmarkedets parter i regi af de faglige udvalg fastlægger de kon-
krete mål for erhvervsuddannelserne og rammerne for undervisningens indhold, så de afspej-
ler det arbejdsmarked, som eleverne uddannes til.
Indholdet, herunder fordelingen af praktikforløb, i de nuværende SOSU-uddannelser er såle-
des i vid udstrækning baseret på arbejdsmarkedets parters vurdering af kompetencebehovet
på arbejdsmarkedet. Efter afslutningen af uddannelsen, kræver det en autorisation at benytte
titlen som SOSU-assistent.
Adgangs- og overgangskrav på SOSU-assistentuddannelsen
Der er adgangskrav til uddannelsens grundforløb og overgangskrav til uddannelses hovedfor-
løb.
Elever, der kommer direkte fra 9. og 10. klasse, vil blive optaget på grundforløb 1 (GF1), så-
fremt de har et karaktergennemsnit på mindst 02 i dansk og matematik samt er blevet vurde-
ret uddannelsesparate. Alternativt kan de optages, hvis de har en uddannelsesaftale med en
virksomhed, som omfatter grundforløbet.
Elever, der er gået ud af 9. eller 10. klasse for mere end to år siden, optages på grundforløb
2 (GF2), såfremt de har et karaktergennemsnit på mindst 02 i dansk og matematik, og den
ansøgte erhvervsskole på baggrund af en samtale vurderer, at eleven kan gennemføre en
erhvervsuddannelse. Alternativt kan de optages, hvis de har en uddannelsesaftale med en
virksomhed, som omfatter grundforløbet. Voksne over 25 år optages på GF2 eller direkte på
hovedforløbet alt afhængig af konkret erfaring.
For at begynde på en erhvervsuddannelses grundforløb skal eleven enten have bestået fol-
keskolens afgangseksamen eller en tilsvarende prøve og have mindst 02 i dansk og matema-
tik. Elever, der kommer direkte fra 9. eller 10. klasse, skal desuden være vurderet uddannel-
sesparat, mens elever, der har en uddannelsesaftale med en virksomhed, automatisk opfyl-
der adgangskravene til en erhvervsuddannelse. Dog skal eleven have opfyldt sin undervis-
ningspligt.
Veje til flere hænder − Task force om social- og sundhedsmedarbejdere
Maj 2020
55
SUU, Alm.del - 2019-20 - Bilag 595: Svar på udvalgets opfølgning og spørgsmål til KL’s Sundheds- og Ældreudvalg efter fællesmødet den 10. september 2020
2255197_0058.png
Kapitel 3
Uddannelsesoptag
For at starte på uddannelsens hovedforløb skal eleven indgå en uddannelsesaftale. Elever,
der har gennemført grundforløbet til SOSU-hjælperuddannelsen, har desuden adgang til ho-
vedforløbet til SOSU-assistentuddannelsen, såfremt de har en uddannelsesaftale. For at op-
fylde overgangskravene til hovedforløbet skal eleverne have bestået:
Dansk niveau D.
Naturfag niveau E.
Gennemført elementær brandbekæmpelse og 1. hjælp.
Grundforløbsprøven, der er en prøve i det uddannelsesspecifikke fag.
I
figur 3.1
er uddannelsesforløbet og de forskellige indgangsveje for SOSU-assistentuddan-
nelsen skitseret.
Figur 3.1
Indgangsveje og uddannelsesforløb for SOSU-assistentuddannelsen
Euv med mindst 2 års erhvervserfaring (mindst 25 år)
Hovedforløb evt. med beskæftigelse
Euv med erhvervserfaring (mindst 25 år)
GF2
Hovedforløb
Valg af uddannelse
Grundforløbsprøve
Euv uden erhvervserfaring (mindst 25 år)
GF2
Hovedforløb
Eud (forlod 9. eller 10. klasse for mindst 2 år siden)
GF2
Hovedforløb
Eud (forlod 9. eller 10. klasse for højest 2 år siden)
GF1
GF2
Hovedforløb
Grundforløb
Muligt grundforløb
Hovedforløb
Hovedforløb evt. med beskæftigelse
Anm.: Euv dækker over erhvervsuddannelser for voksne over 25 år.
Kilde: Task force om social- og sundhedsmedarbejdere på baggrund af data fra Børne- og
Undervisningsministeriet.
SOSU-hjælperuddannelsen
SOSU-hjælperuddannelsen er en erhvervsuddannelse, der består af et grund- og hovedfor-
løb, som tilsammen varer 2 år og 2 måneder. Den normerede varighed på hovedforløbet er 1
år og 2 måneder. Heraf udgør skoleundervisningen på hovedforløbet 17 uger fordelt på mini-
mum tre skoleperioder, mens den samlede praktiktid udgør ca. 10 måneder.
Adgangs- og overgangskrav på SOSU-hjælperuddannelsen
Der gælder de samme adgangs- og overgangskrav på SOSU-hjælperuddannelsen som på
SOSU-assistentuddannelsen, ligesom der er flere veje ind i uddannelsen afhængig af mål-
gruppe,
jf. ovenfor.
I
figur 3.2
er uddannelsesforløbet og de forskellige indgangsveje for SOSU-hjælperuddannel-
sen skitseret.
56
Veje til flere hænder − Task force om social- og sundhedsmedarbejdere
Maj 2020
SUU, Alm.del - 2019-20 - Bilag 595: Svar på udvalgets opfølgning og spørgsmål til KL’s Sundheds- og Ældreudvalg efter fællesmødet den 10. september 2020
2255197_0059.png
Kapitel 3
Uddannelsesoptag
Figur 3.2
Indgangsveje og uddannelsesforløb for SOSU-hjælperuddannelsen
Euv med mindst 2 års erhvervserfaring (mindst 25 år)
Hovedforløb
Euv med erhvervserfaring (mindst 25 år)
GF2
Hovedforløb
Valg af uddannelse
Grundforløbsprøve
Euv uden erhvervserfaring (mindst 25 år)
GF2
Hovedforløb
Eud (forlod 9. eller 10. klasse for mindst 2 år siden)
GF2
Hovedforløb
Eud (forlod 9. eller 10. klasse for højest 2 år siden)
GF1
GF2
Hovedforløb
Grundforløb
Muligt grundforløb
Hovedforløb
Hovedforløb evt. med beskæftigelse
Anm.: Euv dækker over erhvervsuddannelser for voksne over 25 år.
Kilde: Task force om social- og sundhedsmedarbejdere på baggrund af data fra Børne- og Undervisnings-
ministeriet.
3.2 Uddannelsesoptag og gennemførsel
I det følgende redegøres for dimensionering, tilgang og antal fuldførte på hhv. sygeplejerske-
uddannelsen samt SOSU-assistent- og SOSU-hjælperuddannelsen.
Dimensionering af sygeplejerskeuddannelsen
Sygeplejerskeuddannelsen er den næststørste videregående uddannelse i Danmark målt på
antal optagede studerende, kun overgået af pædagoguddannelsen.
Sygeplejerskeuddannelsen er underlagt såkaldt uddannelsesspecifik dimensionering, hvor
antallet af pladser på uddannelsen fastsættes årligt forud for sommeroptaget af uddannelses-
og forskningsministeren. Det er de enkelte professionshøjskoler, der på baggrund af dialog
med kommuner og regioner, søger Uddannelses- og Forskningsministeriet om at få justeret
størrelsen på deres optag.
Dimensioneringen af sygeplejerskeuddannelsen er øget løbende over de seneste år,
jf. tabel
3.1.
Senest er dimensioneringen fra 2018 til 2019 øget med i alt 230 pladser.
Veje til flere hænder − Task force om social- og sundhedsmedarbejdere
Maj 2020
57
SUU, Alm.del - 2019-20 - Bilag 595: Svar på udvalgets opfølgning og spørgsmål til KL’s Sundheds- og Ældreudvalg efter fællesmødet den 10. september 2020
2255197_0060.png
Kapitel 3
Uddannelsesoptag
Tabel 3.1
Dimensionering af sygeplejerskeuddannelsen
2013
Professionshøjskolen Absalon
University College Nordjylland
VIA University College
UC Syddanmark
UCL Erhvervsakademi og professions-
højskole
Københavns professionshøjskole*
Bornholms Sundheds- og Sygeplejeskole
I alt
426
323
751
240
475
1.079
36
3.330
2014
426
323
751
240
475
1.079
36
3.330
2015
431
323
801
240
475
1.149
36
3.455
2016
481
346
778
240
475
1.149
40
3.509
2017
581
357
778
240
475
1.221
40
3.692
2018
581
367
778
260
597
1.221
40
3.844
2019
611
367
898
280
597
1.271
50
4.074
Anm.: Københavns Professionshøjskole blev dannet pr. 1. marts 2018 ved fusion mellem Professionshøj-
skolen Metropol og Professionshøjskolen UCC. De enkelte professionshøjskoler kan have flere ud-
bud af sygeplejerskeuddannelsen. Fx har professionshøjskolen Absalon uddannelsesudbud i Ros-
kilde, Holbæk, Slagelse, Nykøbing Falster og Næstved.
Kilde: Task force om social- og sundhedsmedarbejdere på baggrund af data fra Uddannelses- og
Forskningsministeriet.
58
Veje til flere hænder − Task force om social- og sundhedsmedarbejdere
Maj 2020
SUU, Alm.del - 2019-20 - Bilag 595: Svar på udvalgets opfølgning og spørgsmål til KL’s Sundheds- og Ældreudvalg efter fællesmødet den 10. september 2020
2255197_0061.png
Kapitel 3
Uddannelsesoptag
Tilgang og antal fuldførte på sygeplejerskeuddannelsen
Fra 2009 til 2019 er antallet af ansøgere med sygeplejerskeuddannelsen som 1. prioritet ste-
get fra knap 2.900 til knap 5.000 personer,
jf. figur 3.3.
Figur 3.3
Antal 1. prioritetsansøgere og tilgang til
sygeplejerskeuddannelsen
1.000 personer
7
6
5
4
3
2
1
0
09
10
11
12
13
14
15
16
17
18
19
1. prioritets ansøgninger
Tilgang
1.000 personer
7
6
5
Figur 3.4
Afviste kvalificerede ansøgere til
sygeplejerskeuddannelsen
Personer
1.800
1.600
1.400
1.200
4
3
2
1
0
Personer
1.800
1.600
1.400
1.200
1.000
800
600
400
200
0
2016
2017
2018
2019
1.000
800
600
400
200
0
Anm.:
Figur 3.3
viser udviklingen i hhv. antallet af ansøgere til sygeplejerskeuddannelsen og tilgangen til ud-
dannelsen.
Figur 3.4
viser antallet af kvalificerede afviste ansøgere til sygeplejerskeuddannelsen i peri-
oden 2016 til 2019. Afviste kvalificerede ansøgere personer som har søgt og er blevet afvist på en
sygeplejerskeuddannelse, og som ikke er kommet ind på eventuelle højere prioriterede uddannelser.
Afviste ansøgere inkluderer
ikke
studerende, som har fået tilbudt en standby plads, hvor de er sikret
optagelse senest det efterfølgende år.
Kilde: Task force om social- og sundhedsmedarbejdere på baggrund af data fra Uddannelses- og
Forskningsministeriets tal fra Den Koordinerede Tilmelding (KOT).
Antallet af ansøgere toppede senest i 2015 med knap 6.000 ansøgere, mens der over de se-
neste år er sket et mindre fald. Den samlede tilgang til sygeplejerskeuddannelsen er steget
fra ca. 3.000 i 2009 til ca. 3.800 i 2018, svarende til en stigning på ca. 27 pct.
Der er relativt mange kvalificerede ansøgere på sygeplejerskeuddannelsen, som afvises
hvert år, herunder særligt sammenlignet med de øvrige velfærdsuddannelser som fx pæda-
goguddannelsen og læreruddannelsen. En kvalificeret ansøger er en ansøger, der opfylder
de formelle adgangskrav til uddannelsen. Kvalificerede ansøgere kan blive afvist, hvis der er
flere kvalificerede ansøgere til uddannelsen end studiepladser. I kvote 1 fordeles pladserne
baseret på adgangsgivende karaktergennemsnit fra de gymnasiale ungdomsuddannelser,
mens kvote 2 også inddrager andre kriterier.
Antallet af afviste ansøgere er faldet de seneste år, hvilket både skal ses i lyset af, at antallet
af pladser på uddannelsen er hævet, samt at antallet af 1. prioritetsansøgere er faldet.
Seks udbud ud af i alt 38 udbud havde ledige pladser efter den koordinerede tilmelding i
2019, mens 32 udbud havde afvist kvalificerede ansøgere,
jf. tabel 3.2.
Veje til flere hænder − Task force om social- og sundhedsmedarbejdere
Maj 2020
59
SUU, Alm.del - 2019-20 - Bilag 595: Svar på udvalgets opfølgning og spørgsmål til KL’s Sundheds- og Ældreudvalg efter fællesmødet den 10. september 2020
2255197_0062.png
Kapitel 3
Uddannelsesoptag
Tabel 3.2
Uddannelsesudbud med hhv. adgangsbegrænsning og ledige pladser i 2019
Antal udbud i alt
Antal udbud med adgangsbegrænsning
Antal udbud med ledige pladser
Udbud med ledige pladser
Hillerød, vinterstart
Rønne, sommerstart
Rønne, vinterstart
Slagelse, vinterstart
Slagelse, E-læring, vinterstart
Nykøbing F., vinterstart
38
32
6
Anm.: Udbud med ledige pladser betegner udbud, som har færre kvalificerede ansøgere end pladser, og
derfor udbyder ledige pladser i efteroptagelsen eller vinteroptagelsen. Udbud med ledige kan derfor
være blevet fyldt op i forbindelse med efter- eller vinteroptagelsen Udbud med adgangsbegrænsning
betegner udbud, som har afvist en eller flere kvalificerede ansøgere, fordi der var flere kvalificerede
ansøgere end pladser. I opgørelsen af udbudssteder indgår vinterstart, sommerstart og e-læring som
særskilte udbud. De 38 udbud dækker over i alt 22 udbudsbyer.
Kilde: Task force om social- og sundhedsmedarbejdere på baggrund af data fra Uddannelses- og
Forskningsministeriets tal fra Den Koordinerede Tilmelding (KOT).
Antallet af dimittender på sygeplejerskeuddannelsen er tilsvarende steget fra omkring 2.200 i
2009 til 2.600 i 2018,
jf. figur 3.5.
Antallet af dimittender forventes at stige yderligere, i takt
med at de seneste års forhøjelser af dimensioneringen slår igennem på antallet.
Figur 3.5
Antal dimittender fra sygeplejerskeuddannelsen
Personer
2.900
2.700
2.500
2.300
2.100
1.900
1.700
1.500
2009
2010
2011
2012
2013
2014
2015
2016
2017
2018
Personer
2.900
2.700
2.500
2.300
2.100
1.900
1.700
1.500
Kilde: Task force om social- og sundhedsmedarbejdere på baggrund af data fra Uddannelses- og
Forskningsministeriet.
60
Veje til flere hænder − Task force om social- og sundhedsmedarbejdere
Maj 2020
SUU, Alm.del - 2019-20 - Bilag 595: Svar på udvalgets opfølgning og spørgsmål til KL’s Sundheds- og Ældreudvalg efter fællesmødet den 10. september 2020
2255197_0063.png
Kapitel 3
Uddannelsesoptag
Det geografiske udbud af sygeplejerskeuddannelsen
Der er udbud af sygeplejerskeuddannelsen i 22 byer, og udbuddene er relativt bredt
geografisk fordelt,
jf. figur 3.6.
Der er således få områder i Danmark, hvor der er mere end 30
km til sygeplejerskeuddannelsen.
Figur 3.6
Udbud af sygeplejerskeuddannelsen og 30
km’s radius
Figur 3.7
Andel af tilgang til
sygeplejerskeuddannelsen uden for de fire
største byer
Pct.
60
Pct.
60
55
55
50
50
45
45
40
08
09
10
11
12
13
14
15
16
17
18
40
Anm.:
Figur 3.6
viser placeringen af uddannelsesudbud angivet med 30 km radius. I figuren er den røde cir-
kel Professionshøjskolen VIA University College nye uddannelsesstation i Herning, som oprettes fra
2020. I
figur 3.7
er placering af uddannelsesudbud opgjort på baggrund af institutionskommune. De
fire største byer er defineret som følgende kommuner: Ballerup, Frederiksberg, Gentofte, Gladsaxe,
Herlev, Ishøj, København, Lyngby-Taarbæk, Odense, Tårnby, Aalborg og Aarhus.
Kilde: Task force om social- og sundhedsmedarbejdere på baggrund af data fra Danmarks Statistik,
Uddannelses- og Forskningsministeriet og kortforsyningen.
Ca. halvdelen (55 pct.) af nye studerende, der startede på sygeplejerskeuddannelsen i 2018,
læste på en institution uden for de fire største byer i Danmark, og andelen har været stigende
over de seneste år,
jf. figur 3.7.
Minimumsdimensionering på SOSU-uddannelserne
I det følgende behandles SOSU-hjælperuddannelsen og SOSU-assistentuddannelsen under
ét.
SOSU-uddannelserne har siden 2007 været omfattet af praktikpladsaftaler mellem regerin-
gen og KL, Danske Regioner og FOA. Aftalerne fastsætter en minimumsdimensionering, der
forpligter kommuner og regioner til at stille et minimumsantal af praktikpladser til rådighed.
I februar 2019 blev der indgået en aftale om et løft i antallet af praktikpladser for 2020-2021
med 1.300 og 800 pladser for hhv. SOSU-assistent og SOSU-hjælper. Hermed er der samlet
Veje til flere hænder − Task force om social- og sundhedsmedarbejdere
Maj 2020
61
SUU, Alm.del - 2019-20 - Bilag 595: Svar på udvalgets opfølgning og spørgsmål til KL’s Sundheds- og Ældreudvalg efter fællesmødet den 10. september 2020
2255197_0064.png
Kapitel 3
Uddannelsesoptag
9.000 pladser, heraf 6.000 pladser på uddannelsen til SOSU-assistent og 3.000 pladser på
uddannelsen til SOSU-hjælper,
jf. tabel 3.3.
Tabel 3.3
Minimumsdimensionering for praktikpladser på SOSU-uddannelserne
2017
SOSU-assistenter
SOSU-hjælpere
I alt
4.700
2.200
6.900
2018
4.700
2.200
6.900
2019
4.700
2.200
6.900
2020
6.000
3.000
9.000
2021
6.000
3.000
9.000
Kilde: Task force om social- og sundhedsmedarbejdere på baggrund af data fra Børne- og Undervisnings-
ministeriet.
Figur 3.8
viser udviklingen i minimumsdimensioneringen på SOSU-uddannelserne i perioden
2010-2021. Det realiserede antal praktikpladsaftaler kan afvige fra minimumsdimensionerin-
gen og har i nogle år ligget under dimensioneringen, mens det i andre år har ligget over.
Omlægningen af SOSU-uddannelsen til to separate uddannelser fra 2017 medfører, at udvik-
lingen af dimensioneringen af uddannelserne ikke meningsfuldt kan sammenlignes før og ef-
ter 2017.
Før 2017 skulle alle elever således indgå en praktikpladsaftale på SOSU-hjælperuddannel-
sen, inden de havde mulighed for at indgå en uddannelsesaftale og påbegynde SOSU-assi-
stentuddannelsen, mens eleverne i dag starter direkte på SOSU-assistentuddannelsen. Der
er med den nye struktur for uddannelserne dermed ikke behov for et tilsvarende antal praktik-
pladser på SOSU-hjælperuddannelsen.
62
Veje til flere hænder − Task force om social- og sundhedsmedarbejdere
Maj 2020
SUU, Alm.del - 2019-20 - Bilag 595: Svar på udvalgets opfølgning og spørgsmål til KL’s Sundheds- og Ældreudvalg efter fællesmødet den 10. september 2020
2255197_0065.png
Kapitel 3
Uddannelsesoptag
Figur 3.8
Minimumsdimensionering på social- og sundhedsuddannelserne
1.000 personer
9
8
7
6
5
4
3
2
1
0
2010
2011
2012
2013
2014
SOSU-hjælpere
2015
2016
2017
2018
2019
2020
2021
SOSU-assistenter
1.000 personer
9
8
7
6
5
4
3
2
1
0
Anm.: Den stiplede linje angiver databrudet mellem 2016 og 2017 ifm. omlægningen af SOSU-området til
to seperate uddannelser.
Kilde: Task force om social- og sundhedsmedarbejdere på baggrund af data fra Børne- og Undervisnings-
ministeriet.
Tilgang og antal fuldførte på SOSU-uddannelserne
Udviklingen i tilgangen til SOSU-uddannelserne kan godt meningsfuldt sammenlignes før og
efter uddannelsesomlægningen i 2017, da eleverne kun optræder i data ved deres første
start på uddannelsen. Det betyder, at en elev som starter på SOSU-assistentuddannelsen ef-
ter at være blevet SOSU-hjælper kun indgår i tilgangsstatistikken ved deres start på SOSU-
hjælperuddannelsen.
Således er tilgangen til SOSU-uddannelsen faldet fra omkring 12.200 i 2015 til 9.200 i 2018,
jf. figur 3.9.
Den samlede tilgang har i 2017 og 2018 således oversteget minimumsdimensio-
neringen med hhv. omkring 3.600 og 2.300 elever. Årsagen til dette er, at der er tale om en
minimumsdimensionering på hovedforløbet, der forpligter regioner og kommuner til at stille et
minimumsantal af praktikpladser til rådighed. Skolerne kan således godt optage kvalificerede
elever ud over dette antal.
Veje til flere hænder − Task force om social- og sundhedsmedarbejdere
Maj 2020
63
SUU, Alm.del - 2019-20 - Bilag 595: Svar på udvalgets opfølgning og spørgsmål til KL’s Sundheds- og Ældreudvalg efter fællesmødet den 10. september 2020
2255197_0066.png
Kapitel 3
Uddannelsesoptag
Figur 3.9
Samlet tilgang til SOSU-uddannelserne
1.000 personer
14
12
10
8
6
4
2
0
2013
2014
2015
2016
2017
2018
SOSU-uddannelsen
SOSU-assistenter
SOSU-hjælpere
1.000 personer
14
12
10
Figur 3.10
Antal fuldførte fra SOSU-uddannelserne
1.000 personer
10
9
8
7
8
6
4
2
0
1.000 personer
10
9
8
7
6
5
4
3
2
1
0
6
5
4
3
2
1
0
2013
2014
2015
2016
2017
2018
Anm.:
Figur 3.9
viser udviklingen i tilgangen til SOSU-uddannelserne fra skoleåret 2013 til 2018. Figuren
viser den samlede tilgang inklusiv elever, som starter direkte på hovedforløbet eller grundforløbets
anden del. Eleverne tælles kun med ved deres første tilgang til uddannelsen.
Figur 3.10
viser udviklin-
gen i antallet af fuldførte på SOSU-uddannelserne. Den stiplede linje angiver databrudet mellem
2016 og 2017 ifm. omlægningen af SOSU-området til to seperate uddannelser.
Kilde: Task force om social- og sundhedsmedarbejdere på baggrund af data fra Børne- og Undervisnings-
ministeriet.
En del af den faldende tilgang skyldes bl.a. indførelsen af adgangskrav på 02 i dansk og ma-
tematik på alle erhvervsuddannelser med erhvervsuddannelsesreformen fra 2015. Den fal-
dende tilgang skyldes med al sandsynlighed dog også øvrige mere generelle tendenser i
samfundet som fx en generel faldende søgning mod erhvervsuddannelserne.
Antallet af fuldførte kan derimod ikke sammenlignes meningsfuldt før og efter 2017, fordi
SOSU-assistenter før 2017 optræder to gange i opgørelsen af antal fuldførte, som hhv. fuld-
ført SOSU-hjælper og fuldført SOSU-assistent. Før reformen fuldførte omkring 2.000-3.000
personer årligt uddannelsen til SOSU-hjælper og derefter SOSU-assistentuddannelsen. Hertil
kommer, at SOSU-assistentuddannelsen efter 2017 er blevet forlænget, hvorfor SOSU-assi-
stenteleverne i dag er længere tid undervejs end førhen. Dette medfører, at antallet af fuld-
førte før 2017 ligger ’kunstigt’ højt sammenlignet med i dag.
Antallet af fuldførte er faldet fra omkring 8.200 i 2016 til 3.500 i 2018,
jf. figur 3.10.
Faldet de
senere år skyldes delvist omlægningen fra en trindelt uddannelse til to selvstændige uddan-
nelser i 2017 og skal således tolkes varsomt.
Det geografiske udbud af SOSU-uddannelserne
Der findes 13 SOSU-skoler i Damark med omkring 44 udbudssteder, som er relativt jævnt
geografisk fordelt i landet,
jf. figur 3.11 og 3.12.
64
Veje til flere hænder − Task force om social- og sundhedsmedarbejdere
Maj 2020
SUU, Alm.del - 2019-20 - Bilag 595: Svar på udvalgets opfølgning og spørgsmål til KL’s Sundheds- og Ældreudvalg efter fællesmødet den 10. september 2020
2255197_0067.png
Kapitel 3
Uddannelsesoptag
Figur 3.11
Geografisk udbud af SOSU-skoler
(institutionsniveau)
Figur 3.12
Geografisk udbud af SOSU-udbud
(afdelingsniveau)
Anm.: Cirklerne viser en afstand på 30 km fra institutionen eller afdelingen.
Kilde: Task force om social- og sundhedsmedarbejdere på baggrund af data fra Børne- og
Undervisningsministeret samt bidrag fra Danske SOSU-skoler.
Figur 3.13
viser udviklingen i tilgangen SOSU-uddannelserne fordelt på de fem regioner.
Faldet i tilgangen har været størst i hovedstaden, hvor tilgangen er faldet med knap 30 pct. i
perioden.
Andelen af tilgangen til SOSU-uddannelserne uden for de fire største byer har ligget
nogenlunde stabilt på omkring 74 pct. over de seneste år,
jf. figur 3.14.
Veje til flere hænder − Task force om social- og sundhedsmedarbejdere
Maj 2020
65
SUU, Alm.del - 2019-20 - Bilag 595: Svar på udvalgets opfølgning og spørgsmål til KL’s Sundheds- og Ældreudvalg efter fællesmødet den 10. september 2020
2255197_0068.png
Kapitel 3
Uddannelsesoptag
Figur 3.13
Tilgang til SOSU-uddannelserne fordelt på
regioner
1.000 personer
4,0
3,5
3,0
2,5
2,0
1,5
1,0
0,5
0,0
2013
2014
2015
Region Hovedstaden
Region Nordjylland
Region Syddanmark
2016
2017
2018
Region Midtjylland
Region Sjælland
1.000 personer
4,0
3,5
3,0
2,5
2,0
1,5
1,0
0,5
0,0
Figur 3.14
Andel af tilgang til SOSU-uddannelserne
uden for de fire største byer
Pct.
80
Pct.
80
75
75
70
70
65
65
60
2013
2014
2015
2016
2017
2018
60
Anm.: De fire største byer er afgrænset på baggrund af følgende kommuner: Ballerup, Frederiksberg,
Gentofte, Gladsaxe, Herlev, Ishøj, København, Lyngby-Taarbæk, Odense, Tårnby, Aalborg, Aarhus.
Den stiplede linje angiver databrudet fra 2016 og 2017 ifm. omlægningen af uddannelsen til to
selvstændige uddannelser.
Kilde: Task force om social- og sundhedsmedarbejdere på baggrund af data fra Børne- og Undervisnings-
ministeriet.
66
Veje til flere hænder − Task force om social- og sundhedsmedarbejdere
Maj 2020
SUU, Alm.del - 2019-20 - Bilag 595: Svar på udvalgets opfølgning og spørgsmål til KL’s Sundheds- og Ældreudvalg efter fællesmødet den 10. september 2020
Denne side er med vilje efterladt uden indhold.
SUU, Alm.del - 2019-20 - Bilag 595: Svar på udvalgets opfølgning og spørgsmål til KL’s Sundheds- og Ældreudvalg efter fællesmødet den 10. september 2020
2255197_0070.png
Denne side er med vilje efterladt uden indhold.
Kapitel 3
Uddannelsesoptag
Veje til flere hænder − Task force om social- og sundhedsmedarbejdere
Maj 2020
67
SUU, Alm.del - 2019-20 - Bilag 595: Svar på udvalgets opfølgning og spørgsmål til KL’s Sundheds- og Ældreudvalg efter fællesmødet den 10. september 2020
2255197_0071.png
Kapitel 4
4.
Nyt kapitel
Uddannelsesfrafald
På sygeplejerskeuddannelsen er frafaldet 24 pct., hvilket er lavere end gen-
nemsnittet på de øvrige professionsbacheloruddannelser. På SOSU-uddannel-
serne falder hver tredje elev fra i overgangen mellem grund- og hovedforløb.
Frafaldet på hovedforløbet på SOSU-uddannelserne er 13 pct., hvilket er dob-
belt så højt som hovedforløbsfrafaldet på erhvervsuddannelserne generelt.
I dette kapitel gives et deskriptivt overblik over frafaldet på sygeplejerskeuddannelsen samt
på SOSU-hjælper- og SOSU-assistentuddannelsen. Kapitlets hovedkonklusioner fremgår af
boks 4.1.
Boks 4.1
Kapitlets hovedkonklusioner
Sygeplejerskeuddannelsen
Frafaldet på sygeplejerskeuddannelsen er lidt lavere end gennemsnittet på de øvrige professionsbache-
loruddannelser (24 pct. mod 27 pct. på tværs af professionsbacheloruddannelserne i gennemsnit).
Førsteårsfrafaldet på sygeplejerskeuddannelsen var i 2017 højest blandt de yngste studerende. Sygeple-
jerskestuderende med dansk herkomst har et frafald på 13 pct. i løbet af første år, hvilket er lavere end
frafaldet blandt indvandrere og efterkommere, som er på hhv. 16 og 17 pct.
Den hyppigst angivne årsag til at afbryde sygeplejerskeuddannelsen blandt de studerende selv er, at de
ikke kan se sig selv i jobbet som sygeplejerske. Halvdelen af de frafaldne starter ikke på en ny uddan-
nelse inden for et år, mens knap hver femte påbegynder en anden professionsbachelor. Det fremgår
desuden af Rambølls analyse fra 2018, at overgangen fra teori til praksis udgør den største risiko for fra-
fald blandt sygeplejerskestuderende.
SOSU-uddannelserne
Frafadet på hovedforløbet på begge uddannelser er dobbelt som højt som det gennemsnitlige frafald på
hovedforløbet på erhvervsuddannelserne (13 pct. mod 7 pct. på erhvervsuddannelserne i gennemsnit).
Ca. hver tredje SOSU-elev falder fra i overgangen til hovedforløbet, hvor eleverne skal starte i praktik.
Enlige forsørgere og elever med lavere karaktergennemsnit falder i højere grad fra i denne overgang.
Ca. en tredjedel af de elever, der falder fra i den direkte overgang mellem grund- og hovedforløb er dog
indskrevet på en SOSU-uddannelse det efterfølgende år. Disse elever overgår således til hovedforløbet
blot på et senere tidspunkt, herunder særligt fra at have været i beskæftigelse eller på offentlig forsør-
gelse i den mellemliggende periode.
På begge SOSU-uddannelser er frafaldet blandt indvandrere lavere end frafaldet blandt elever med
dansk herkomst og efterkommere.
Veje til flere hænder − Task force om social- og sundhedsmedarbejdere
Maj 2020
69
SUU, Alm.del - 2019-20 - Bilag 595: Svar på udvalgets opfølgning og spørgsmål til KL’s Sundheds- og Ældreudvalg efter fællesmødet den 10. september 2020
2255197_0072.png
Kapitel 4
Uddannelsesfrafald
4.1 Frafald på sygeplejerskeuddannelsen
Frafaldet på sygeplejerskeuddannelsen har ligget nogenlunde stabilt over de seneste år på
ca. 22-24 pct. Dette er lidt lavere end det gennemsnitlige frafald på tværs af alle
professionsbacheloruddannelserne på ca. 25-27 pct. over de seneste år.
Trods dette, er det væsentligt fortsat at have fokus på frafaldsniveauet. Et illustrativt regneek-
sempel viser, at såfremt uddannelsesfrafaldet på sygeplejerskeuddannelsen reduceres med
ca. 5 pct.-point, øges udbuddet af beskæftigede sygeplejersker med ca. 400 personer frem
mod 2025. Dette skal ses i lyset af, at der i 2018 var ca. 2.600, der dimitterede fra sygeplejer-
skeuddannelsen.
En relativt lille reduktion i uddannelsesfrafaldet kan altså bidrage til udbuddet af beskæfti-
gede sygeplejersker. Det skal understreges, at der er tale om et illustrativt regneeksempel,
og at der i regneeksemplet således ikke er taget forbehold for evt. redskaber, der vil skulle
tages i brug for rent faktisk at realisere en reduktion i frafaldet. Dette skal endvidere ses i ly-
set af, at reduktion af uddannelsesfrafald længe har været et fokusområde på sygeplejerske-
uddannelsen såvel som øvrige professionsbacheloruddannelser, og at der ikke findes nogen
lette løsninger på at reducere uddannelsesfrafald.
Det følgende afsnit har til formål at give et overblik over frafaldet på sygeplejerskeuddannel-
sen, herunder ift. hvad der kendetegner studerende, der frafalder uddannelsen.
Det generelle frafald
Hovedparten af frafaldet på sygeplejerskeuddannelsen sker inden for de første to år efter
påbegyndt uddannelse,
jf. figur 4.1.
Således er ca. 13-15 pct. faldet fra inden for første
studieår og 18-20 pct. inden for det første og andet studieår. I 2017 var frafaldet inden for det
første år højest på UC Nordjylland (ca. 19 pct.), og lavest på UC Syddanmark (ca. 10 pct.),
jf.
figur 4.2.
70
Veje til flere hænder − Task force om social- og sundhedsmedarbejdere
Maj 2020
SUU, Alm.del - 2019-20 - Bilag 595: Svar på udvalgets opfølgning og spørgsmål til KL’s Sundheds- og Ældreudvalg efter fællesmødet den 10. september 2020
2255197_0073.png
Kapitel 4
Uddannelsesfrafald
Figur 4.1
Akkumuleret frafald på
sygeplejerskeuddannelsen, 1.-4. år efter
studiestart
Pct.
30
25
20
15
10
5
0
08
09
10
11
Frafald 1 år efter
Frafald 3 år efter
12
13
14
15
16
17
Frafald 2 år efter
Frafald 4 år efter
Pct.
30
25
20
15
10
5
0
Figur 4.2
Førsteårsfrafald for
sygeplejerskeuddannelsen, fordelt på
institutioner, 2017
I alt
UCL Erhvervsakademi og
Professionshøjskole
VIA University College
UC Nordjylland
UC Syddanmark
Professionshøjskolen Absalon
Københavns
Professionshøjskole
0
5
10
15
20
25
Pct.
Anm.:
Figur 4.1
viser det kummulerede frafald på sygeplejerskeuddannelsen hhv. et, to, tre og fire år efter
studiestart.
Figur 4.2
viser frafaldet i 2017 på første år af sygeplejerskeuddannelsen på tværs af
institutioner.
Kilde.: Task force om social- og sundhedsmedarbejdere på baggrund af data fra Uddannelses- og
Forskningsministeriet og Danmarks Statistik.
Førsteårsfrafaldet er størst blandt de 18-19 årige (21 pct.),
jf. figur 4.3.
Det er dog en generel
tendens for de fleste uddannelser. Frafaldet falder for de ældre studerende og er lavest for
personer fra 30 til 34 år. For studerende mellem 35-44 år stiger frafaldet dog en smule.
Personer med dansk herkomst har desuden lavere førsteårsfrafald end efterkommere og ind-
vandrere,
jf. figur 4.4.
Veje til flere hænder − Task force om social- og sundhedsmedarbejdere
Maj 2020
71
SUU, Alm.del - 2019-20 - Bilag 595: Svar på udvalgets opfølgning og spørgsmål til KL’s Sundheds- og Ældreudvalg efter fællesmødet den 10. september 2020
2255197_0074.png
Kapitel 4
Uddannelsesfrafald
Figur 4.3
Førsteårsfrafaldet på
sygeplejerskeuddannelsen for studerende
der startede i 2017 fordelt på alder
Pct.
25
Pct.
25
Figur 4.4
Førsteårsfrafaldet på
sygeplejerskeuddannelsen for studerende
der startede i 2017 fordelt på herkomst
Pct.
20
18
Pct.
20
18
16
14
12
10
8
6
4
2
0
Dansk herkomst
Efterkommere
Indvandrere
20
20
16
14
15
15
12
10
10
10
8
6
5
5
4
2
0
18-19
20-24
25-29
30-34
35-39
40-44
0
0
Anm.:
Figur 4.3
viser førsteårsfrafaldet for sygeplejerskestuderende, der startede i 2017 fordelt på alder.
Opgørelsen viser studerende, der tilgår uddannelsen i 2017. Alder er opgjort på tilgangstidspunktet.
Alder er vist for udvalgte relevante kategorier.
Kilde.: Task force om social- og sundhedsmedarbejdere på baggrund af data fra Uddannelses- og
Forskningsministeriet og Danmarks Statistik.
Baggrundskarakteristika for studerende der falder fra
Frafaldet på tværs af de sygeplejerskestuderendes uddannelsesbaggrund varierer på mellem
10 og 20 pct. og er lavest for studerende med en erhvervsuddannelse,
jf. figur 4.5.
Dette skal ses i lyset af, at en stor andel af disse studerende har en baggrund som SOSU-
assistent, hvormed de kan have en erfaringsmæssig fordel og generelt være mere motive-
rede for studiet.
72
Veje til flere hænder − Task force om social- og sundhedsmedarbejdere
Maj 2020
SUU, Alm.del - 2019-20 - Bilag 595: Svar på udvalgets opfølgning og spørgsmål til KL’s Sundheds- og Ældreudvalg efter fællesmødet den 10. september 2020
2255197_0075.png
Kapitel 4
Uddannelsesfrafald
Figur 4.5
Førsteårsfrafald på sygeplejerskeuddannelsen for studerende der startede uddannelsen i
2017, fordelt på højest fuldførte uddannelse
Pct.
25
Pct.
Pct.
25
20
20
15
15
10
10
5
5
0
9. eller 10. klasse
eud, hovedforløb
Gym (ordinær)
Gym (øvrig)
Bachelor
0
Anm.:
Figur 4.5
viser førsteårsfrafaldet fordelt på de studerendes højest fuldførte uddannelse på tilgangs
-
tidspunktet. Opgørelsen viser studerende, der tilgår uddannelsen i 2017. Personer som har 9. eller
10. klasse som højest fuldførte uddannelse kan være personer, som søger ind med HF-enkeltfag, da
de ikke opgøres som en fuld uddannelse. Det kan også være personer, som har taget en ungdoms
-
uddannelse i udlandet, og derfor ikke har deres adgangsgivende uddannelse i registrene.
Kilde: Task force om social- og sundhedsmedarbejdere på baggrund af data fra Uddannelses- og Forsk
-
ningsministeriet og Danmarks Statistik.
I perioderne 2007-2010 og 2011-2014 er frafaldet størst blandt studerende med et karakter
-
gennemsnit på under 4,5,
jf. figur 4.6.
Veje til flere hænder − Task force om social- og sundhedsmedarbejdere
Maj 2020
73
SUU, Alm.del - 2019-20 - Bilag 595: Svar på udvalgets opfølgning og spørgsmål til KL’s Sundheds- og Ældreudvalg efter fællesmødet den 10. september 2020
2255197_0076.png
Kapitel 4
Uddannelsesfrafald
Figur 4.6
Førsteårsfrafald på sygeplejerskeuddannelsen, fordelt på adgangsgivende karakter og
tilgangsår
Pct.
25
Pct.
Pct.
25
20
20
15
15
10
10
5
5
0
2-2,5
2,5-3,5
3,5-4,5
4,5-5,5
2007-2010
5,5-6,5
6,5-7,5
2011-2014
7,5-8,5
8,5-9,5
2015-2017
9,5-10,5
10,5-11,5
Over 11,5
0
Anm.:
Figur 4.6
viser førsteårsfrafaldet for sygeplejersker fordelt på adgangsgivende gymnasiekarakterer.
Opgørelsen fra 2015-2017 dækker over et år mindre end de øvrige perioder.
Kilde: Task force om social- og sundhedsmedarbejdere på baggrund af data fra Uddannelses- og Forsk
-
ningsministeriet og Danmarks Statistik.
I perioden 2015-2017 falder frafaldet dog væsentligt for disse grupper af studerende. Dette
skal ses i lyset af, at der er markant færre studerende med under 4,5 i snit fra 2015 til 2017
sammenlignet med de tidligere perioder bl.a. som følge af adgangsbegrænsning på flere ud
-
dannelsesudbud af sygeplejerskestudiet. Frafaldsprocenten for denne gruppe skal derfor ta
-
ges med forbehold. Adgangsbegrænsningen har yderligere medført, at en del af de stude
-
rende, som er optaget med lave karaktergennemsnit, er optaget via kvote 2, hvorfor de kan
være mere motiverede for deres valg af uddannelse samt evt. have andre forudsætninger,
der reducerer sandsynligheden for, at de afbryder uddannelsen.
Der er ikke markante tendenser på tværs af de øvrige dele af karakterspændet.
Årsager til frafald på sygeplejerskeuddannelsen
Den hyppigst angivne årsag til at afbryde sygeplejerskeuddannelsen blandt de studerende
selv er, at de studerende ikke kan se sig selv i jobbet som sygeplejerske. Det gælder desu
-
den for studerende på professionshøjskoler generelt. Hhv. 55 pct. af de frafaldne studerende
fra sygeplejerskeuddannelsen, og 49 pct. af de studerende på tværs af professionshøjsko
-
lerne angiver således, at de i høj eller nogen grad har afbrudt deres uddannelse på baggrund
heraf.
Øvrige hyppige årsager til frafald blandt studerende fra sygeplejerskeuddannelsen er person
-
lige forhold uden for studiet (36 pct.) samt uddannelsens faglige niveau (36 pct.), mens syge
-
plejerskestuderende i mindre grad end øvrige professionsbachelorstuderende fremhæver
hhv. kvaliteten af undervisningen og kontakten med underviserne, som afgørende for deres
frafald.
74
Veje til flere hænder − Task force om social- og sundhedsmedarbejdere
Maj 2020
SUU, Alm.del - 2019-20 - Bilag 595: Svar på udvalgets opfølgning og spørgsmål til KL’s Sundheds- og Ældreudvalg efter fællesmødet den 10. september 2020
2255197_0077.png
Kapitel 4
Uddannelsesfrafald
De studerende, der har svaret, at uddannelsens faglige niveau i nogen eller høj grad havde
betydning for at afbryde uddannelsen, er efterfølgende blevet stillet spørgsmålet, om ni-
veauet var for højt eller lavt. Blandt de frafaldne studerende fra sygeplejerskeuddannelsen,
angiver 66 pct., at det faglige niveau var for højt, mod 55 pct. af de studerende fra en uddan-
nelse på en professionshøjskole,
jf. tabel 4.1.
Tabel 4.1
Frafaldne studerendes vurdering af det faglige niveau (pct.)
Sygeplejerskestuderende
Det faglige niveau var for højt
Det faglige niveau var for lavt
66
34
Studerende på professionshøjskoler
55
45
Anm.: Populationen for sygeplejerskestuderende er 85 personer, og populationen for studerende på profes-
sionshøjskoler er 273 personer. Fordeling blandt respondenter, der har svaret "i mindre grad", ”i no-
gen grad” eller ”i høj grad” på spørgsmålet, omhandlede i hvilken grad uddannelsens faglige niveau
havde betydning for at forlade uddannelsen.
Kilde: Task force om social- og sundhedsmedarbejdere på baggrund af data fra Uddannelses- og
Forskningsministeriet og Epinion, 2017.
Som en del af kortlægningen af rekrutteringsudfordringer for social- og sundhedspersonale
og sygeplejersker i kommuner og regioner fra 2018 foretog Rambøll Management Consulting
en række ’deep dives’ i henholdsvis Nord-, Syd- og Østdanmark i form af 82 interviews og fo-
kusgruppeinterviews med i alt 120 interviewpersoner.
1
Denne analyse viser, at overgangen
fra teori til praksis udgør den største risiko for frafald blandt sygeplejerskestuderende.
I appendiks 3A er inkluderet et overblik over de studerendes besvarelser vedr. årsager til fra-
fald på baggrund af Uddannelses- og Forskningsministeriet rapport ’Frafald og studieskift’. I
appendiks fremgår desuden de sygeplejerskestuderendes vurdering af læringsmiljøet på de-
res uddannelser og deres egen tilgang til læring, hvortil det kan bemærkes, at denne vurde-
ring ikke adskiller sig betydeligt fra studerende på de øvrige velfærds- og professionsbache-
loruddannelser.
Aktivitet efter frafald på sygeplejerskeuddannelsen
Knap halvdelen af de frafaldne sygeplejerskestuderende er ikke påbegyndt en ny uddannelse
inden for et år. Størstedelen af studerende, der afbryder sygeplejerskeuddannelsen og starter
på en ny uddannelse under et år efter, går direkte videre til en anden professionsbachelorud-
dannelse eller en erhvervsuddannelse,
jf. figur 4.7.
I alt 18 pct. (svarende til 771) af de studerende, der har afbrudt en sygeplejerskeuddannelse i
perioden 2013-2017, starter på en anden professionsbacheloruddannelse under et år efter.
1
Kortlægning af rekrutteringsudfordringer for social- og sundhedspersonale og sygeplejersker i kommuner og
regioner, 2. del: Kortlægning − Rekruttering og fastholdelse af social- og sundhedspersonale og sygeplejersker i
kommuner og regioner, Rambøll Management Consulting (2018).
Veje til flere hænder − Task force om social- og sundhedsmedarbejdere
Maj 2020
75
SUU, Alm.del - 2019-20 - Bilag 595: Svar på udvalgets opfølgning og spørgsmål til KL’s Sundheds- og Ældreudvalg efter fællesmødet den 10. september 2020
2255197_0078.png
Kapitel 4
Uddannelsesfrafald
Næstflest (18 pct., svarende til 745 studerende) går direkte videre til et grundforløb eller ho-
vedforløb på en erhvervsuddannelse. I alt 47 pct. (svarende til 1.976 studerende) er endnu
ikke påbegyndt en ny uddannelse et år efter frafaldet.
Pædagog, prof. bach. er den uddannelse, i perioden 2013-2017, som flest starter på inden
for et år efter, at de har afbrudt sygeplejerskeuddannelsen,
jf. tabel 4.2
(7 pct. svarende til
304 studerende). I perioden går også 7 pct. (svarende til 299 studerende) direkte videre til en
erhvervsuddannelse inden for omsorg, sundhed og pædagogik (eksempelvis en af SOSU-
uddannelserne).
Figur 4.7
Direkte overgange i første år efter afbrudt
sygeplejerskeuddannelse, 2013-2017
Pct.
50
45
40
35
30
25
20
15
10
5
0
Prof.bach.
eud
Bachelor
EA
Ikke
påbegyndt
Pct.
50
45
40
35
30
25
20
15
10
5
0
Tabel 4.2
De fem mest typiske overgange i første år
efter afbrudt sygeplejerskeudddannelse,
2013-2017
Uddannelse
1. Pædagog (prof. bach.)
2. Omsorg, sundhed og pædagogik (eud)
3. Kontor, handel og forretningsservice
(eud)
4. Lærer (prof. bach.)
5. Økonomiskmerkantile områder (eud)
Pct.
7
7
4
2
2
Anm.:
Figur 4.7
og
tabel 4.2
viser antal studerende, der har afbrudt sygeplejerskeuddannelsen og er startet
direkte på en efterfølgende ny uddannelse under et år efter. Kun uddannelsestyper med flere end 50
studerende i alt for perioden fremgår af figuren.
Kilde: Task force om social- og sundhedsmedarbejdere på baggrund af data fra Uddannelses- og Forsk-
ningsministeriets datavarehus.
4.2 Frafald på SOSU-uddannelserne
Begge SOSU-uddannelser består af et grundforløb og et hovedforløb. For at kunne starte på
hovedforløbet skal eleven indgå en uddannelsesaftale med et praktiksted. Hvis eleven ikke
opnår en uddannelsesaftale, kan det resultere i et frafald.
Frafald kan derfor registreres på grundforløbet, i overgangen mellem hovedforløb- og grund-
forløb samt på hovedforløbet.
Et illustrativt regneeksempel viser, at såfremt frafaldet på hovedforløbet på SOSU-uddannel-
serne reduceres med ca. 5 pct.-point vil udbuddet af beskæftigede SOSU-hjælpere og
SOSU-assistenter øges med hhv. ca. 200 og 400 personer frem mod 2025.
76
Veje til flere hænder − Task force om social- og sundhedsmedarbejdere
Maj 2020
SUU, Alm.del - 2019-20 - Bilag 595: Svar på udvalgets opfølgning og spørgsmål til KL’s Sundheds- og Ældreudvalg efter fællesmødet den 10. september 2020
2255197_0079.png
Kapitel 4
Uddannelsesfrafald
Dette skal ses i lyset af, at der i 2018 var ca. 3.500, der fuldførte de to SOSU-uddannelser.
En relativt lille reduktion i uddannelsesfrafaldet kan altså bidrage til udbuddet af beskæftiget
SOSU-personale. Det skal dog understreges, at der er tale om et illustrativt regneeksempel,
og at der i regneeksemplet således ikke er taget forbehold for evt. redskaber, der vil skulle
tages i brug for rent faktisk at realisere en reduktion i frafaldet. Også på SOSU-uddannel
-
serne har reduktion af uddannelsesfrafald såvel som på erhvervsuddannelserne generelt
længe været et fokusområde, hvor der ikke findes nogen lette løsninger.
I det følgende afsnit belyses de overordnede frafaldsniveauer på de tre tidspunkter i uddan
-
nelsen, hvorefter der ses nærmere på sammenhængen mellem forskellige baggrundskarak
-
teristika og andelen af elever der falder fra, herunder frafald ift. elevernes alder, herkomst,
faglige forudsætninger og familieforhold.
Det generelle frafald
På linje med det gennemsnitlige frafald på de øvrige erhvervsuddannelser, er frafaldet på
grundforløbet omkring 10 pct. Frafaldet er højest i overgangen mellem grund- og hovedforlø
-
bet både på SOSU-uddannelserne og på erhvervsuddannelserne generelt, herunder ca. 29
pct. for SOSU-hjælpere og omkring 33 pct. for SOSU-assistenter. Frafaldet på hovedforløbet
er dobbelt så højt på SOSU-uddannelserne som på erhvervsuddannelser generelt,
jf. figur
4.8.
Figur 4.8
Frafald
på SOSU-uddannelserne, 2018
Pct.
40
35
30
25
20
15
10
5
0
Frafald på grundforløb
Gnst. eud
Frafald i overgang mellem grund- og
hovedforløb
SOSU-assistenter
Frafald på hovedforløb
13
13
11
11
7
10
5
0
13
34
33
29
Pct.
Pct.
40
35
30
25
20
15
SOSU-hjælpere
Anm.: Figuren viser frafaldet på SOSU-uddannelserne og det gennemsnitlige frafald på erhvervsuddannel
-
serne på hhv. grundforløb, hovedløb og overgangen mellem grund- og hovedforløb. Frafaldet er
opgjort 3 måneder efter elevers start på grundforløb/hovedforløb. Frafaldet i overgangen mellem
grund- og hovedforløb er opgjort 3 måneder efter afsluttet grundforløb.
Kilde: Task force om social- og sundhedsmedarbejdere på baggrund af data fra Danmarks Statistiks
befolkningsregister og Børne- og Undervisningsministeriets elevregister.
På tværs af de fem regioner varierer frafaldet på grundforløbet mellem 9 og 11 pct., mens
frafaldet på hovedforløbet varierer mellem 11 og 15 pct. Frafaldet i overgangen er væsentligt
Veje til flere hænder − Task force om social- og sundhedsmedarbejdere
Maj 2020
77
SUU, Alm.del - 2019-20 - Bilag 595: Svar på udvalgets opfølgning og spørgsmål til KL’s Sundheds- og Ældreudvalg efter fællesmødet den 10. september 2020
2255197_0080.png
Kapitel 4
Uddannelsesfrafald
højere på tværs af alle regioner og varierer mellem 24 og 38 pct. Frafaldet er højest i Region
Sjælland og lavest i Region Hovedstaden,
jf. figur 4.9.
Figur 4.9
Frafald på SOSU-uddannelserne fordelt på regioner, 2018
Pct.
40
35
30
25
20
15
10
5
0
Region Hovedstaden
Region Midtjylland
Region Nordjylland
Region Sjælland
Region Syddanmark
Frafald på grundforløbet
Frafald i overgang mellem grund- og hovedforløb
Frafald på hovedforløbet
10
15
9
13
12
13
13
13
11
11
24
35
31
32
Pct.
38
40
35
30
25
20
15
10
5
0
Anm.: Frafaldet er opgjort 3 måneder efter elevers start på grundforløb/hovedforløb. Frafaldet i
overgangen mellem grund- og hovedforløb er opgjort 3 måneder efter afsluttet grundforløb.
Kilde: Task force om social- og sundhedsmedarbejdere på baggrund af data fra Danmarks Statistiks
befolkningsregister og Børne- og Undervisningsministeriets elevregister.
På tværs af kommuner er der ligeledes forskelle i frafaldet mellem grund- og hovedforløb,
jf.
figur 4.10.
Overgangsfrafaldet er generelt højt på Fyn og Vestsjælland og lavt i Vest- og
Sønderjylland.
78
Veje til flere hænder − Task force om social- og sundhedsmedarbejdere
Maj 2020
SUU, Alm.del - 2019-20 - Bilag 595: Svar på udvalgets opfølgning og spørgsmål til KL’s Sundheds- og Ældreudvalg efter fællesmødet den 10. september 2020
2255197_0081.png
Kapitel 4
Uddannelsesfrafald
Figur 4.10
Geografisk spredning af elever, der ikke overgår direkte til hovedforløbet efter grundforløb 2
(i pct.)
Under 25 pct.
Mellem 25 og 35 pct.
Over 35 pct.
Anm.: Figuren viser andelen, der
ikke er
overgået til et hovedforløb 3 måneder efter afsluttet grundforløb 2
i 2018.
Kilde: Task force om social- og sundhedsmedarbejdere på baggrund af data fra Danmarks Statistik.
Baggrundskarakteristika for elever der falder fra
I følgende afsnit beskrives sammenhængen mellem en række baggrundskarakteristika og an-
delen af SOSU-elever, der falder fra på grundforløbet og i overgangen mellem grund- og ho-
vedforløb. Der ses bl.a. på sammenhængen mellem frafald og alder, herkomst, faglige forud-
sætninger samt familieforhold.
Alder
Frafaldet mellem grund- og hovedforløb på SOSU-hjælperuddannelsen er ca. 30 pct. på
tværs af samtlige aldersgrupper,
jf. ovenfor.
Frafaldet, særligt på grund- og hovedforløb, er
højest for de yngre elever, mens tendensen er mindre klar, når det kommer til frafaldet mel-
lem grund-og hovedforløb, omend det ser ud til, at også de yngre elever har højere frafald
her,
jf. figur 4.11.
Veje til flere hænder − Task force om social- og sundhedsmedarbejdere
Maj 2020
79
SUU, Alm.del - 2019-20 - Bilag 595: Svar på udvalgets opfølgning og spørgsmål til KL’s Sundheds- og Ældreudvalg efter fællesmødet den 10. september 2020
2255197_0082.png
Kapitel 4
Uddannelsesfrafald
Figur 4.11
Frafald på SOSU-hjælperuddannelsen i 2018
fordelt på alder
Pct.
35
30
25
20
15
10
5
0
16-19
20-24
25-29
30-34
35-39
40-44
45+
Hovedforløb
Grundforløb
Mellem grund- og hovedforløb
Pct.
35
30
25
20
15
10
5
0
Figur 4.12
Frafald på SOSU-assistentuddannelsen i
2018 fordelt på alder
Pct.
45
40
35
30
25
20
15
10
5
0
16-19
20-24
25-29
30-34
35-39
40-44
45+
Grundforløb
Mellem grund- og hovedforløb
Hovedforløb
Pct.
45
40
35
30
25
20
15
10
5
0
Kilde: Task force om social- og sundhedsmedarbejdere på baggrund af data fra Danmarks Statistiks
befolkningsregister og Børne- og Undervisningsministeriets elevregister.
På SOSU-assistentuddannelsen gør et lignende billede sig gældende, omend frafaldet gene-
relt er højere for flere aldersgrupper,
jf. figur 4.12.
Fra aldersgruppen 16-19 år frem til 30-34
år sker desuden et fald i frafaldet på både grundforløbet og hovedforløbet, mens frafaldet i
overgangen mellem grund- og hovedforløbet stiger. En relativt større andel af de ældre ele-
ver falder altså fra mellem grund- og hovedforløbet end blandt de yngre elever, mens de æl-
dre elever dog har et lavere frafald på grund- og hovedforløb end de yngre elever.
2
Herkomst
På tværs af herkomst er frafaldet på grund- og hovedforløbet på begge SOSU-uddannelser
lavere blandt indvandrere end blandt både efterkommere og elever med dansk herkomst.
I overgangen mellem grund- og hovedforløb er frafaldet nogenlunde ens på tværs af elever
med dansk herkomst, efterkommere og indvandrere for elever på SOSU-assistentuddannel-
sen, mens det på SOSU-hjælperuddannelsen er lavest blandt indvandrere
jf. figur 4.13 og
4.14.
De ældre elever, der gennemfører et grundforløb på SOSU er en selekteret gruppe, idet elever over 25 år med
relevant erhvervserfaring eller tidligere gennemført uddannelse kan påbegynde et hovedforløb direkte.
2
80
Veje til flere hænder − Task force om social- og sundhedsmedarbejdere
Maj 2020
SUU, Alm.del - 2019-20 - Bilag 595: Svar på udvalgets opfølgning og spørgsmål til KL’s Sundheds- og Ældreudvalg efter fællesmødet den 10. september 2020
2255197_0083.png
Kapitel 4
Uddannelsesfrafald
Figur 4.13
Frafald på SOSU-assistentuddannelsen i
2018 fordelt på herkomst
Pct.
35
30
25
20
15
10
5
0
Grundforløb
Dansk
Mellem grund- og
hovedforløb
Efterkommer
Hovedforløb
Indvandrer
Pct.
35
30
25
20
15
10
5
0
Figur 4.14
Frafald på SOSU-hjælperuddannelsen i 2018
fordelt på herkomst
Pct.
35
30
25
20
15
10
5
0
Grundforløb
Dansk
Mellem grund- og
hovedforløb
Efterkommer
Hovedforløb
Indvandrer
Pct.
35
30
25
20
15
10
5
0
Anm.: Figurerne viser frafaldet på hhv. SOSU-assistent- og hjælperuddannelserne fordelt på elevernes her-
komst. Andelen af indvandrere og efterkommere udgør hhv. 20 pct. og 6 pct. af den samlede tilgang
på SOSU-assistentuddannelsen i 2018 og hhv. 32 pct. og 5 pct. af den samlede tilgang på SOSU-
hjælperuddannelsen.
Kilde: Task force om social- og sundhedsmedarbejdere på baggrund af data fra Danmarks Statistiks
befolkningsregister og Børne- og Undervisningsministeriets elevregister.
Faglige forudsætninger
Der er en tendens til, at en større andel af elever, der falder fra grundforløbet, har et lavere
karaktergennemsnit fra 9. klasse,
jf. figur 4.15.
Således var 22 pct. af SOSU-eleverne i 2018
med et karaktergennemsnit på mellem 2 og 3 frafaldet grundforløbet 6 mdr. efter start, mens
samme tal for SOSU-elever med et karaktergennemsnit på over 6 var 17 pct.
Betragtes frafaldet mellem grund- og hovedforløb er tendensen tydeligere,
jf. figur 4.16.
Blandt elever på hhv. SOSU-hjælper- og SOSU-assistentuddannelsen med et karaktergen-
nemsnit på over 6 faldt således omkring 23 og 25 pct. fra, mens samme tal for elever med et
karaktergennemsnit på under 2 var hhv. 38 og 37 pct.
Det bemærkes hertil, at en stor andel elever på SOSU-uddannelserne mangler at aflægge en
eller flere prøver (10 pct.) eller er slet ikke opført i karakterregistreret (50 pct.) grundet fx de-
res alder, eller at de er indvandret til Danmark. For førstnævnte gruppe er overgangsfrafaldet
hhv. 33 og 32 pct. på SOSU-hjælper og SOSU-assistentuddannelsen, mens frafaldet for
sidstnævnte gruppe er hhv. 26 og 36 pct.
Veje til flere hænder − Task force om social- og sundhedsmedarbejdere
Maj 2020
81
SUU, Alm.del - 2019-20 - Bilag 595: Svar på udvalgets opfølgning og spørgsmål til KL’s Sundheds- og Ældreudvalg efter fællesmødet den 10. september 2020
2255197_0084.png
Kapitel 4
Uddannelsesfrafald
Figur 4.15
Sammenhæng mellem frafald på
grundforløb og karaktergennemsnit fra
9. klasse, 2018
Pct.
25
Pct.
25
Figur 4.16
Sammenhæng mellem frafald mellem
grund- og hovedforløb og
karaktergennemsnit fra 9. klasse, 2018
Pct.
45
40
Pct.
45
40
35
30
25
20
15
10
5
0
Under 2
2-3
3-5
5-6
SOSU-assistenter
Over 6
SOSU-hjælpere
20
20
35
30
15
15
25
20
15
10
10
5
5
10
5
0
Under 2
2-3
3-5
5-6
Over 6
6. mdr. efter start på grundforløb
0
0
Anm.:
Figur 4.15
opgør frafald 3 og 6 måneder efter start på grundforløb i 2018 fordelt på karakterer ved
lovundne prøver i 9. klasser. Karaktergennemsnittet er beregnet som et vægtet gennemsnit af disse.
Figur 4.16
opgør frafald mellem grund- og hovedforløb i 2018, ligeledes fordelt på karakterer i
lovbundne prøvefag ved afslutning af 9. klasse. Frafaldet er opgjort 3 mdr. efter afslutning på
grundforløb.
Kilde: Task force om social- og sundhedsmedarbejdere på baggrund af data fra Danmarks Statistiks
befolkningsregister, Børne- og Undervisningsministeriets adgangsregister og elevregister.
Familieforhold
Omkring halvdelen af eleverne på SOSU-uddannelserne har børn ved uddannelsesstart,
jf.
kapitel 6 om elevernes baggrundskarakteristika.
Det gør det interessant at belyse, hvorvidt
der er en sammenhæng mellem frafald og det at have børn, herunder evt. som enlig
forsørger.
Betragtes frafaldet på grundforløbet har elever uden hjemmeboende børn samt elever som er
enlige forsørgere et frafald på 22 pct., mens elever med hjemmeboende børn har et lavere
frafald, herunder på 17 pct,
jf. figur 4.17.
82
Veje til flere hænder − Task force om social- og sundhedsmedarbejdere
Maj 2020
SUU, Alm.del - 2019-20 - Bilag 595: Svar på udvalgets opfølgning og spørgsmål til KL’s Sundheds- og Ældreudvalg efter fællesmødet den 10. september 2020
2255197_0085.png
Kapitel 4
Uddannelsesfrafald
Figur 4.17
Sammenhæng mellem frafald på
grundforløb og familieforhold, 2018
Pct.
25
20
15
10
5
0
Uden
hjemmeboende
børn
Med
hjemmeboende
børn
Enlige forsørgere
Pct.
25
20
15
10
5
0
Figur 4.18
Sammenhæng mellem overgangsfrafald og
familieforhold, 2018
Pct.
50
45
40
35
30
25
20
15
10
5
0
Ingen
hjemmeboende
børn
Hjemmeboende
børn
Enlige forsørgere
Pct.
50
45
40
35
30
25
20
15
10
5
0
6. mdr. efter start på grundforlæb
SOSU-hjælper
SOSU-assistent
Anm.: Frafald på grundforløbet er opgjort 3 mdr. efter start, mens frafald i overgangen er opgjort 3 mdr.
efter afslutning på grundforløb. Enlige forsørgere er en delmængde af hjemmeboende børn.
Kilde: Task force om social- og sundhedsmedarbejdere på baggrund af data fra Danmarks Statistiks
befolkningsregister og Børne- og Undervisningsministeriets elevregister.
Mellem grund- og hovedforløb er der en tendens til, at en højere andel af SOSU-assistenter
med børn falder fra uddannelsen,
jf. figur 4.18.
Således var frafaldet blandt elever uden børn
31 pct., mens samme tal for hhv. elever med hjemmeboende børn samt enlige forsørgere var
36 og 45 pct. Dvs. knapt halvdelen af de enlige forsøgere faldt fra SOSU-
assistentuddannelsen. For SOSU-hjælpere er frafaldet blandt elever uden børn samt for
elever med hjemmeboende børn ca. 28 pct., mens det for enlige forsørgere er 33 pct.
Familieforhold, herunder børn kan påvirke SOSU-elevernes mobilitet og gøre det vanskeligt
at tage imod eller søge en praktikplads, hvor transport eller andre forhold giver logistiske
udfordringer ift. det at have en familie. Dette kan være en årsag til, at frafraldet i overgangen
mellem grund- og hovedforløb er særlig højt for enlige forsørgere.
Aktivitet efter frafald på SOSU-uddannelserne
Blandt de elever, der falder fra i overgangen mellem grund- og hovedforløb, viser det sig, at
omkring 30 pct. på et senere tidspunkt alligevel overgår til hovedforløbet på en af SOSU-
uddannelserne. De er således blot blevet forsinkede i deres uddannelse og har altså ikke haft
direkte
overgang til hovedforløbet.
For at komme tættere på at kunne forklare denne forsinkelse, er det interessant at belyse,
hvad denne gruppe laver i den mellemliggende periode, hvor de har afsluttet deres
grundforløb, men endnu ikke startet på et hovedforløb. Ligeledes er det interessant at
undersøge, om der er forskel på denne gruppe og gruppen, der har direkte overgang ift. en
række baggrundskarakteristika som alder, herkomst, faglige forudsætninger og
familieforhold.
Veje til flere hænder − Task force om social- og sundhedsmedarbejdere
Maj 2020
83
SUU, Alm.del - 2019-20 - Bilag 595: Svar på udvalgets opfølgning og spørgsmål til KL’s Sundheds- og Ældreudvalg efter fællesmødet den 10. september 2020
2255197_0086.png
Kapitel 4
Uddannelsesfrafald
Betragtes gruppen af elever, der ikke overgår direkte til hovedforløbet, hhv. 3, 6, 9 og 12
måneder efter endt grundforløb, ses det, at den største andel efter 3 måneder er i
beskæftigelse, mens den største andel efter 12 måneder er startet hovedforløb på en SOSU-
uddannelsen,
jf. figur 4.19.
Figur 4.19
Aktivitet efter frafald i overgangen til hovedforløbet, 2017-2018
Pct.
100
90
80
70
60
50
40
30
20
10
0
3 mdr.
Hovedforløb på SOSU
Beskæftigelse
6 mdr.
Hovedforløb på anden eud
Overførselsindkomst
9 mdr.
Grundforløb på eud
Ukendt/selvforsørgende
12 mdr.
Øvrig uddannelse
Pct.
Pct.
100
90
80
70
60
50
40
30
20
10
0
Anm.: Aktivitet er opgjort hhv. 3, 6, 9 og 12 måneder efter afsluttet grundforløb. Populationen er afgrænset
som elever, der afsluttede et grundforløb på SOSU i 2017, og som 2 måneder efter ikke var overgået
til hovedforløbet. Elever, der er overgået og falder fra inden for 2 måneder, er ikke en del af
populationen. Der er 1.804 elever i populationen.
Kilde: Task force om social- og sundhedsmedarbejdere på baggrund af data fra Danmarks Statistiks
befolkningsregister og Børne- og Undervisningsministeriets elevregister.
Blandt de, der ikke overgår direkte til hovedforløbet, er størstedelen efter tre måneder i
beskæftigelse, herunder 39 pct., mens 23 pct. er på offentlig forsørgelse, og 16 pct. har
startet øvrig uddannelse. Over tid sker der særligt en bevægelse for den samlede gruppe fra
at have været i beskæftigelse til at være indskrevet på et hovedforløb på SOSU-
uddannelserne. Andelen af elever, der er på overførselsindkomst eller er selvforsørgende
falder ligeledes over tid.
Dette kan tyde på, at der er en del elever, der ikke opnår en uddannelsesaftale ved afslutning
af grundforløbet og derfor ikke kan overgå til hovedforløbet. I perioden, indtil eleverne indgår
en uddannelsesaftale, er disse således enten i beskæftigelse, selvforsørgende eller på
overførselsindkomst.
Billedet af at flere overgår senere til hovedforløbet grundet manglende uddannelsesaftale un
-
derstøttes, når udviklingen i frafaldet betragtes for samme perioder, altså 3, 6, 9 og 12 måne
-
der efter afsluttet
grundforløb, jf. figur 4.20
og
figur 4.21.
Figurerne opgør ligeledes andelene,
der har enten har en uddannelsesaftale eller ikke har en uddannelsesaftale.
84
Veje til flere hænder − Task force om social- og sundhedsmedarbejdere
Maj 2020
SUU, Alm.del - 2019-20 - Bilag 595: Svar på udvalgets opfølgning og spørgsmål til KL’s Sundheds- og Ældreudvalg efter fællesmødet den 10. september 2020
2255197_0087.png
Kapitel 4
Uddannelsesfrafald
Figur 4.20
Frafald efter afslutningen af grundforløbet,
SOSU-hjælper, 2018
Pct.
30
25
20
15
10
5
0
3 mdr.
6 mdr.
Ingen uddannelsesaftale
Frafald i alt
9 mdr.
12 mdr.
Afbrudt uddannelsesaftale
Pct.
30
25
20
15
Figur 4.21
Frafald efter afslutning af grundforløbet,
SOSU-assistent, 2018
Pct.
35
30
25
20
15
10
5
0
10
5
0
3 mdr.
6 mdr.
Ingen uddannelsesaftale
Frafald i alt
9 mdr.
12 mdr.
Afbrudt uddannelsesaftale
Pct.
35
30
25
20
15
10
5
0
Kilde: Task force om social- og sundhedsmedarbejdere på baggrund af data fra Børne- og Undervisnings-
ministeriets elevregister.
Af figurerne fremgår det, at fsva. de elever der starter ud uden en uddannelsesaftale falder
denne andel i perioden. Der er altså elever, der løbende indgår en uddannelsesaftale. Fsva.
de elever der starter ud med en uddannelsesaftale, falder denne andel også i perioden. Der
er altså også elever, der mister eller opsiger deres uddannelsesaftale i perioden.
Der er således tale om to modsatrettede bevægelser, der betyder at det samlede frafald er
nogenlunde konstant over perioden på hhv. 29 pct. for SOSU-hjælperne og 32 pct. for
SOSU-assistenterne.
Efter en periode på 12 måneder er der desuden hhv. 14 pct. af SOSU-hjælperne og 17 pct.
SOSU-assistenterne, der aldrig har haft en uddannelsesaftale,
jf. figur 4.20 og figur 4.21.
Betragtes gruppen af elever med forsinket overgang ift. gruppen med direkte overgang samt
gruppen uden overgang til hovedforløbet, er der ikke markant forskel på de tre grupper på
tværs af hhv. herkomst og køn. Der er heller ikke markante forskelle på tværs af karakterer
fra 9. klasse samt familieforhold.
Ses på alder, bemærkes det dog, at gruppen med forsinket overgang er underrepræsen-
terede blandt aldersgrupperne 15-19 år samt 20-24 år, mens de er overrepræsenterede
blandt aldersgrupperne 30 år og opefter,
jf. figur 4.22.
Veje til flere hænder − Task force om social- og sundhedsmedarbejdere
Maj 2020
85
SUU, Alm.del - 2019-20 - Bilag 595: Svar på udvalgets opfølgning og spørgsmål til KL’s Sundheds- og Ældreudvalg efter fællesmødet den 10. september 2020
2255197_0088.png
Kapitel 4
Uddannelsesfrafald
Figur 4.22
Alder for SOSU-elever med og uden overgang til hovedforløb, 2018
Pct.
Pct.
Pct.
30
25
20
15
10
5
0
30
25
20
15
10
5
0
15-19 år
20-24 år
25-29 år
30-34 år
35-39 år
40+år
Direkte overgang til hovedforløb
Forsinket overgang til hovedforløb
Ingen overgang til hovedforløb
Anm.: Direkte overgang er elever, der to måneder efter afslutning af grundforløbet havde underskrevet en
uddannelsesaftale. Sen overgang er elever, der underskrev en aftale mellem 2 og 12 måneder efter
afsluttet grundforløb, mens ingen overgang er elever, der afsluttede grundforløbet, men ikke
underskrev en aftale inden for 12 måneder.
Kilde: Task force om social- og sundhedsmedarbejdere på baggrund af data fra Børne- og Undervisnings
-
ministeriets elevregister.
Der er således en tendens til, at elever med direkte overgang eller uden overgang overhove
-
det er blandt den yngre andel af SOSU-eleverne, mens elever med forsinket overgang i hø
-
jere grad udgør SOSU-elever over 30 år.
Det skal slutteligt bemærkes, at mens der findes data for, hvor stor en andel der falder fra
uddannelserne, samt hvad der kendetegner disse elever,
jf. ovenfor,
findes der ikke
systematisk indsamlet data for frafaldsårsager fra centralt hold.
Det betyder, at der ikke kan konkluderes entydigt på årsagerne til den manglende overgang
til hovedforløbet på SOSU-uddannelserne via kvantitative data, herunder om årsagen bunder
i evt. praktikrelaterede problemstillinger.
Dog peger en række af de adspurgte kommuner og Danske SOSU-skoler på en række
forhold, der kan forklare mulige årsager til overgangsfrafaldet,
jf. kapitel 5 om overgangen
mellem skole og praktik.
86
Veje til flere hænder − Task force om social- og sundhedsmedarbejdere
Maj 2020
SUU, Alm.del - 2019-20 - Bilag 595: Svar på udvalgets opfølgning og spørgsmål til KL’s Sundheds- og Ældreudvalg efter fællesmødet den 10. september 2020
Denne side er med vilje efterladt uden indhold.
SUU, Alm.del - 2019-20 - Bilag 595: Svar på udvalgets opfølgning og spørgsmål til KL’s Sundheds- og Ældreudvalg efter fællesmødet den 10. september 2020
2255197_0090.png
Denne side er med vilje efterladt uden indhold.
Kapitel 4
Uddannelsesfrafald
Veje til flere hænder − Task force om social- og sundhedsmedarbejdere
Maj 2020
87
SUU, Alm.del - 2019-20 - Bilag 595: Svar på udvalgets opfølgning og spørgsmål til KL’s Sundheds- og Ældreudvalg efter fællesmødet den 10. september 2020
2255197_0091.png
Kapitel 5
Overgangen fra skole til praktik
5.
Overgangen fra skole til
praktik
Praktikforløb udgør en væsentlig del af både sygeplejerskeuddannelsen og
SOSU-uddannelserne. Det er et delt ansvar mellem uddannelsesinstitution og
det kommunale eller regionale praktiksted at sikre en god forberedelse på og
overgang til praktikken, samt at den studerende og eleven fastholdes undervejs
og får et højt udbytte af praktikken. Det stiller store krav til, at hver part løfter sit
ansvar og til den løbende koordinering og vidensdeling parterne imellem.
I dette kapitel skitseres de temaer, der fylder lokalt ift. at understøtte praktikforløb på sygeple-
jerske- og SOSU-uddannelserne. Kapitlets hovedkonklusioner er opsummeret i
boks 5.1.
Boks 5.1
Kapitlets hovedkonklusioner
Opgaven med at sikre gode praktikforløb for sygeplejerskestuderende og SOSU-elever er omfattende og
involverer mange aktører, hvilket stiller store krav til den løbende koordinering og videndeling. Der ople
-
ves fra alle parter generelt at være et godt samarbejde. Nogle af de adspurgte kommuner efterspørger
dog et øget fælles fokus og interesse for den kommunale praktik og det nære sundhedsvæsen fra pro
-
fessionshøjskoler og sygeplejerskestuderende.
Hver tredje SOSU-elev falder fra i overgangen til hovedforløbet, dvs. inden eleven skal i praktik. Danske
SOSU-skoler og de adspurgte kommuner peger på, at en del af frafaldet kan tilskrives, at nogle elever får
afslag på deres praktikpladsansøgning, fordi kommunen som ansættende myndighed vurderer, at eleven
mangler faglige eller personlige kompetencer. De peger i den forbindelse på, at nogle af disse elever i
stedet ansættes i ufaglærte stillinger mhp. at modnes og på sigt få en uddannelsesaftale.
Der indsamles ikke systematiske data for frafaldsårsager på SOSU-uddannelserne og på sygeplejerske
-
uddannelsen fra centralt hold, hvorfor der ikke kan konkluderes entydigt på sammenhængen mellem ud
-
dannelsesfrafald og praktikrelaterede problemstillinger. Omend der er iværksat mange fastholdelsesiniti
-
ativer lokalt, kan manglen på systematisk data udgøre en udfordring ift. at tilrettelægge målrettede ind
-
satser, hvilket i særlig grad vurderes at være en udfordring på SOSU-uddannelserne.
Nogle af de adspurgte kommuner samt Danske Professionshøjskoler og Danske SOSU-skoler peger på,
at opgaver i tilknytning til pleje og behandling af patienter nogle gange prioriteres før vejledningsopga
-
ven, og at det for nogle SOSU-elever og sygeplejerskestuderende kan opleves, som at vejledningen ned
-
prioriteres.
De adspurgte kommuner og regionerne anfører, at særligt sygeplejerskestuderende, men også nogle
SOSU-elever får et ’praksis’- eller ’ansvarschok’ i første møde med praksis under praktikken.
Veje til flere hænder − Task force om social- og sundhedsmedarbejdere
Maj 2020
89
SUU, Alm.del - 2019-20 - Bilag 595: Svar på udvalgets opfølgning og spørgsmål til KL’s Sundheds- og Ældreudvalg efter fællesmødet den 10. september 2020
2255197_0092.png
Kapitel 5
Overgangen fra skole til praktik
Ansvaret for at sikre vellykkede praktikforløb er delt mellem uddannelsesinstitution (SOSU-
skole eller professionshøjskole) og det kommunale eller regionale praktiksted. Derudover har
den enkelte sygeplejerskestuderende og SOSU-elev tilsvarende også et ansvar for at tage
deres uddannelse alvorligt, møde til tiden og gå engageret og motiveret til opgaverne.
Professionshøjskolerne og SOSU-skolerne skal forberede de sygeplejerskestuderende og
SOSU-eleverne på praktikperioderne og den virkelighed de møder i praktikken samt under-
vise i den teori, der skal omsættes til praksis.
Regioner og kommuner skal stille egnede praktiksteder til rådighed, herunder tilknyttede vej-
ledere, som både har tid og ressourcer til at varetage vejlederopgaven, så at de studerende
og eleverne understøttes i at tilegne sig de faglige og praksisnære kompetencer.
Da tilrettelæggelsen af praktikforløbet er lokalt forankret, er det således op til den enkelte ud-
dannelsesinstitution og kommunale eller regionale praktiksted at samarbejde om at finde
gode lokale løsninger ud fra lokale prioriteringer og behov. Det indebærer variation på tværs
af landet både ift., hvordan der gås til opgaveløsningen i den enkelte kommune, region og
uddannelsesinstitution og i samarbejdet herimellem.
Det er en udbredt opfattelse blandt både kommuner, regioner og uddannelsesinstitutioner, at
samarbejdet om den fælles uddannelsesopgave, herunder praktikforløb er kendetegnet ved
et højt engagement og velvilje om udvikling af uddannelserne.
Det lokale ansvar gør det imidlertid vanskeligt at konkludere entydigt på et generelt billede af,
hvordan praktikforløb for hhv. SOSU-elever og sygeplejerskestuderende fungerer i praksis.
På baggrund af dialog med Danske SOSU-skoler, Danske Professionshøjskoler, kommuner
og regioner kan der dog peges på en række typiske erfaringer omkring, hvad der fylder lokalt
ift. at facilitere praktikforløb for hhv. sygeplejerskestuderende og SOSU-elever.
Erfaringerne er et udtryk for perspektiver fra bestemte ståsteder og er således ikke nødven-
digvis et udtryk for en generel opfattelse eller et udtømmende billede af erfaringerne blandt
alle aktører. Der kan dels være variationer på tværs af landet som resultat af forskellige lo-
kale tiltag og løsninger, ligesom oplevelserne kan variere alt afhængig af perspektiv.
Det skal samtidig understreges, at der i løbet af de sidste mange år har været et fokus både
lokalt og fra centralt hold på at understøtte gode overgange til praktik. Forskellige initiativer er
og bliver iværksat løbende, hvorfor effekten af disse endnu ikke kendes. Nedenstående skit-
seren af typiske erfaringer skal ses i lyset heraf.
90
Veje til flere hænder − Task force om social- og sundhedsmedarbejdere
Maj 2020
SUU, Alm.del - 2019-20 - Bilag 595: Svar på udvalgets opfølgning og spørgsmål til KL’s Sundheds- og Ældreudvalg efter fællesmødet den 10. september 2020
2255197_0093.png
Kapitel 5
Overgangen fra skole til praktik
Som en del af kortlægningen af rekrutteringsudfordringer for social- og sundhedspersonale
og sygeplejersker i kommuner og regioner fra 2018 foretog Rambøll Management Consulting
en række ’deep dives’ i henholdsvis Nord-, Syd- og Østdanmark i form af 82 interviews og fo-
kusgruppeinterviews med i alt 120 interviewpersoner.
1
Relevante fund herfra vil også indgå
nedenfor.
5.1 Introduktion til praktikforløb
Både sygeplejerske- og SOSU-uddannelserne er såkaldte vekseluddannelser, hvor uddan-
nelserne er tilrettelagt som en løbende vekselvirkning mellem skoleophold/undervisning på
uddannelsesinstitutionen og praktikophold/klinisk undervisning.
Det er i mødet med praksis, at den studerende og eleven lærer at omsætte den lærte teori og
de lærte værktøjer til praksis i autentiske miljøer. Praktikken har således til formål at være
med til at sikre, at færdiguddannede er arbejdsmarkedsparate og velkvalificerede sundheds-
medarbejdere samt forberedte på at løfte professionens opgaver på egen hånd og i samar-
bejde med kollegaer.
Nedenfor gives en kort introduktion til praktikforløb på hhv. sygeplejerskeuddannelsen,
SOSU-assistent og SOSU-hjælperuddannelsen. I appendiks 5A og 5B er de mere formelle
rammer omkring afviklingen af praktikforløb på de tre uddannelser udfoldet.
Klinisk undervisning på sygeplejerskeuddannelsen
På sygeplejerskeuddannelsen foregår ca. 40 pct. (90 ECTS ud af 210 ECTS) af uddannelsen
i praktik (også kaldet klinisk undervisning), der er fordelt over uddannelsens syv semestre.
Praktik på sygeplejerskeuddannelsen finder hovedsageligt sted i de tre sektorer: de somati-
ske hospitaler, psykiatrien og det kommunale sundhedsvæsen. Den studerende skal i løbet
af sin studietid i praktik i alle tre sektorer. Praktikken kan også være på private institutioner. I
Nordjylland har man fx etableret enkelte praktikaftaler med almen praksis.
Professionshøjskolerne har som uddannelsesinstitution ansvaret for at indgå aftaler med
praktiksteder, samt sikre at der er tilstrækkeligt med praktikpladser til de studerende.
Professionshøjskolen godkender også det enkelte praktiksted.
Praktik på SOSU-uddannelserne
Modsat for sygeplejerskeuddannelsen spiller arbejdsmarkedets parter en central rolle i styrin-
gen og udviklingen af SOSU-uddannelserne som alle øvrige erhvervsuddannelser ikke
mindst i regi af det faglige udvalg, der er sammensat af arbejdsgivere og arbejdstagere fra
det pågældende jobområde, som uddannelsen uddanner til.
1
Kortlægning af rekrutteringsudfordringer for social- og sundhedspersonale og sygeplejersker i kommuner og
regioner, 2. del: Kortlægning − Rekruttering og fastholdelse af social- og sundhedspersonale og sygeplejersker i
kommuner og regioner, Rambøll Management Consulting (2018).
Veje til flere hænder − Task force om social- og sundhedsmedarbejdere
Maj 2020
91
SUU, Alm.del - 2019-20 - Bilag 595: Svar på udvalgets opfølgning og spørgsmål til KL’s Sundheds- og Ældreudvalg efter fællesmødet den 10. september 2020
2255197_0094.png
Kapitel 5
Overgangen fra skole til praktik
Det faglige udvalg for SOSU-uddannelserne PASS (Det faglige udvalg for pædagogisk assi-
stentuddannelse og social- og sundhedsuddannelsen) fastlægger uddannelsernes varighed
og struktur, herunder fordelingen af skoleundervisning og praktikuddannelse på de forskellige
uddannelser. De faglige udvalg fastlægger også uddannelsens mål og eventuelle øvrige ram-
mer for undervisningens indhold, fx eventuelle niveaukrav og bestemmer indholdet i reglerne
for praktikuddannelsen
.
SOSU-skolerne har opgaven med at formidle praktikpladser til elever. SOSU-skolerne skal
desuden samarbejde indbyrdes om formidling af praktikpladser til praktikpladssøgende.
Praktik på SOSU-hjælperuddannelsen er tilrettelagt, så eleven har mindst to praktikperioder
inden for det primærkommunale område. Praktikken foregår i hjemmeplejen og på plejecen-
tre. Varigheden af den samlede praktiktid på hovedforløbet på hjælperuddannelsen svarer til
ca. 10 måneder ud af hovedforløbets samlede længde på 1 år og 2 måneder. Tilrettelæggel-
sen sker i et samarbejde mellem skoler og de lokale praktikvirksomheder, og herved ligner
praktikuddannelsen for SOSU-hjælperelever de øvrige erhvervsuddannelser.
Praktik på SOSU-assistentuddannelsen er fordelt på tre områder. Varigheden og rækkeføl-
gen for praktikperiodernes placering er fastlagt af det faglige udvalg,
jf. tabel 5.1.
Tabel 5.1
Praktikuddannelsen på SOSU-assistentuddannelsen
Praktikperiode
1. Sygepleje, sundhedsfremme og rehabilitering i det nære sundhedsvæsen
2. Psykiatrisk sygepleje og rehabilitering i det sammenhængende sundhedsvæsen
3. Somatisk sygepleje og rehabilitering i det sammenhængende sundhedsvæsen
Varighed
40 uger
18 uger
40 uger
I 2017 blev SOSU-uddannelserne omlagt fra at være én trindelt uddannelse til to selvstæn-
dige uddannelser. Omlægningen har bl.a. betydet, at kommunale praktiksteder, som tidligere
modtog praktikelever i deres afsluttende praktik, i dag modtager elever i deres første praktik-
forløb.
Siden 2007 har regeringen, KL, Danske Regioner og FOA indgået såkaldte praktikpladsafta-
ler, der fastsætter en minimumsdimensionering, der forpligter kommuner og regioner til at
stille et minimumsantal af praktikpladser til rådighed. Det er ikke et lovkrav, at antallet af prak-
tikpladser skal aftales parterne i mellem. Det er alene et lovkrav, at kommuner og regioner
uddanner tilstrækkelig til at dække arbejdskraftbehovet i kommuner og regioner. Kommuner
og regioner kan derudover oprette flere praktikpladser end minimumsantallet.
Senest indgik FOA, kommunerne, regionerne og regeringen i 2019 en praktikpladsaftale, der
skal sikre 3.000 flere SOSU-elever de næste to år. Med aftalen har kommunerne desuden
overtaget arbejdsgiveransvaret pr. 1. januar 2020. Det betyder, at SOSU-assistentelever fra
2020 kun kan søge ansættelse i en kommune og ikke længere kan søge ansættelse i en re-
gion, som det var tilfældet indtil udgangen af 2019. Indholdsmæssigt ændrer det ikke på
92
Veje til flere hænder − Task force om social- og sundhedsmedarbejdere
Maj 2020
SUU, Alm.del - 2019-20 - Bilag 595: Svar på udvalgets opfølgning og spørgsmål til KL’s Sundheds- og Ældreudvalg efter fællesmødet den 10. september 2020
2255197_0095.png
Kapitel 5
Overgangen fra skole til praktik
praktikken, som fortsat både foregår på sygehuse i regionerne og i kommunerne. Regionen
har fx fortsat uddannelsesansvaret for den del af praktikuddannelsen, der foregår i somatik-
ken og i psykiatrien for så vidt, at det er muligt at sikre psykiatriske praktikpladser i regionen.
5.2 Facilitering og koordinering af praktikforløb
Facilitering af praktikforløb er en omfattende logistisk opgave, da der er mange sygeplejer-
skestuderende og SOSU-elever, der skal i praktik. Det er en opgave, der kræver en høj grad
af løbende koordinering og dialog. Fx skal de fleste praktiksteder i regionerne og i nogle kom-
muner i dag samarbejde med mere end én professionshøjskole og med mere end én SOSU-
skole, ligesom de fleste professionshøjskoler og SOSU-skoler oftest skal samarbejde med
flere kommuner.
At samarbejde med en lang række forskellige aktører, der har forskellige beslutningsgange
og processer stiller krav om gode rammer og faste strukturer for samarbejdet for at håndtere
de logistiske udfordringer og sikre en smidig og løbende vidensdeling. Langt de fleste steder i
landet er der etableret både formelle og uformelle samarbejds- og dialogfora, hvor kommu-
nale og regionale repræsentanter samt repræsentanter fra professionshøjskoler og SOSU-
skoler kan koordinere og drøfte uddannelsesopgaven.
En række kommuner, regioner og SOSU-skoler peger dog også på, at manglende ensartet-
hed i arbejdsgangene på tværs kan komplicere opgaven. Det kan fx være forskellige ansæt-
telsestidspunkter på praktikstederne i kommunerne eller SOSU-skoler, der har forskellige
starttidspunkter, hvilket fx vanskeliggør, at elever kan skifte skole.
Specifikt vedr. facilitering af praktikforløb for sygeplejerskestuderende
I de forskellige samarbejdsfora på sygeplejerskeuddannelsen fastsættes bl.a. lokale forde-
lingsnøgler for fordelingen af de studerende. Disse fora anvendes også til, at de forskellige
aktører kan drøfte gode løsninger ift. at matche studerende med praktiksteder, herunder fx ift.
hensigtsmæssig placering af studerende med særlige behov,
jf. boks 5.2.
Veje til flere hænder − Task force om social- og sundhedsmedarbejdere
Maj 2020
93
SUU, Alm.del - 2019-20 - Bilag 595: Svar på udvalgets opfølgning og spørgsmål til KL’s Sundheds- og Ældreudvalg efter fællesmødet den 10. september 2020
2255197_0096.png
Kapitel 5
Overgangen fra skole til praktik
Boks 5.2
Eksempler på lokale løsninger for fordeling af sygeplejerskestuderende
Region Hovedstad
I Region Hovedstaden sker fordelingen af sygeplejerskestuderende mellem de fire akuthospitaler i Region
Hovedstaden og koordineres af Center for HR og Uddannelse (CHRU), som ud over fordeling af studerende
også varetager formidling af nye tiltag fra skole til klinik. Der er desuden nedsat en samarbejdsgruppe
bestående af en regional uddannelseskonsulent, koordinerende klinisk uddannelsesansvarlig sygeplejerske
fra Rigshospitalet samt klinisk koordinator og uddannelsesleder fra Københavns Professionshøjskole, som
drøfter problemstillinger som f.eks. deadlines for indmelding, hensigtsmæssig placering af studerende retur
fra orlov, studerende med særlige behov mv.
Region Midtjylland
Region Midtjylland har et generelt fordelingsprincip for fordeling af uddannelsessøgende, som skal i klinisk
uddannelse/praktik. På baggrund af antallet af færdiguddannede medarbejdere på de enkelte enheder,
beregnes inden for hver faggruppe en fordelingsnøgle. Fordelingsnøglen er udgangspunktet for fordelingen,
men der er mulighed for justeringer. Det kan fx være behovet for samarbejde med så få uddannelses-
institutioner som muligt eller ved en gradvis indfasning af organisatoriske ændringer. Det tilstræbes, at der
både er sygeplejersker og SOSU-assistenter ansat på afdelingen, og at elever og studerende i praktik har
andre studerende og elever at sparre med undervejs.
Kilde: Bidrag indhentet af Danske Regioner.
De regionale og kommunale praktiksteder oplever sjældent et forkert match mellem den sy-
geplejerskestuderende og det kliniske undervisningssted, da det generelt er oplevelsen, at
praktikforløbene fungerer godt. Hvis det forekommer, er der fokus på at finde en løsning i
samarbejde med den studerende og uddannelsesinstitutionen. I sjældne tilfælde kan det
være nødvendigt at finde et nyt kliniksted, hvilket vil ske i samarbejde mellem praktikstedet
og professionshøjskolen.
De adspurgte regioner oplever desuden et generelt godt samarbejde mellem uddannelsesin-
stitutionerne og de regionale praktiksteder.
Der er dog flere af de adspurgte kommuner, der efterspørger en øget interesse for den kom-
munale praktik og det kommunale sundheds- og ældreområde fra de sygeplejerskestude-
rende og fra professionshøjskolerne. Det er de adspurgte kommuners oplevelse, at mangel
på introduktion til det nære sundhedsvæsen i kommunerne på nogle professionshøjskoler
spiller en rolle for de studerendes motivation og interesse for det nære sundhedsvæsen samt
oplevelse af nedprioritering af ressourcer i det nære sundhedsvæsen. Dette skal ses i lyset af
udviklingen af det nære og sammenhængende sundhedsvæsen, hvor sygeplejersker forven-
tes at skulle spille en endnu større rolle på det kommunale arbejdsmarked i fremtiden.
Kommunerne peger i den forbindelse på, at et øget fælles fokus omkring hvad det kommu-
nale sundheds- og ældreområde er, og hvad det kan tilbyde som praktiksted kunne være
gavnligt for både de sygeplejerskestuderende og de kommunale praktiksteder.
94
Veje til flere hænder − Task force om social- og sundhedsmedarbejdere
Maj 2020
SUU, Alm.del - 2019-20 - Bilag 595: Svar på udvalgets opfølgning og spørgsmål til KL’s Sundheds- og Ældreudvalg efter fællesmødet den 10. september 2020
2255197_0097.png
Kapitel 5
Overgangen fra skole til praktik
En række af de adspurgte kommuner fremhæver i den forbindelse, at der er uudnyttet uddan-
nelseskapacitet i form af kliniske uddannelsespladser for sygeplejerskerne i nogle yderkom-
muner. Der peges bl.a. på, at det også kan skyldes logistik- og transportudfordringer, der
vanskeliggør, at pladserne udnyttes.
Det er ifølge Danske Professionshøjskoler et fokusområde på professionshøjskolerne at un-
derstøtte de sygeplejerskestuderendes viden og interesse om det nære sundhedsvæsen.
F.eks. præsenteres de studerende ifølge Danske Professionshøjskoler i undervisningen for,
hvordan kommuner og regioner arbejder sammen om at udvikle det nære sundhedsvæsen
på tværs af professioner. Ligeledes varetages relevante lektioner på sygeplejerskeuddannel-
sen af underviser med praksis erfaring mhp. at give de studerende en opdateret viden om
praksis og realistiske cases fra bl.a. det nære sundhedsvæsen.
Danske Professionshøjskoler påpeger desuden, at der er en generel udfordring med at sikre
tilstrækkelige og relevante praktiksteder, hvor vejledning kan foregå med høj kvalitet ved vej-
ledere med relevant efteruddannelse. Det er en udfordring, da der er flere studerende i prak-
tik bl.a. som følge af øget optag.
Specifikt vedr. facilitering af praktikforløb for SOSU-elever
På SOSU-uddannelserne er der etableret en række samarbejds- og dialogfora på forskellige
niveauer. I regionerne drejer det sig først og fremmest om de lokale uddannelsesudvalg
(LUU), som er beskrevet i hovedbekendtgørelsen om erhvervsuddannelser.
Herudover er der etableret mere uformelle fora − arbejdsgivernetværk og skolepraktik fora.
Der er både kommunale og regionale repræsentanter i alle disse fora sammen med repræ-
sentanter fra SOSU-skolerne.
KL påpeger i den forbindelse, at der er et generelt godt ejerskab og momentum i samarbejdet
omkring SOSU-uddannelserne med fokus på aktørernes forskellige roller og ansvar. Styrket
samarbejde mellem kommunerne og SOSU-skolerne er desuden et væsentligt element i KL’s
rekrutteringshandleplan. KL har bl.a. fulgt op både på politisk-, sekretariatsniveau og i regi af
PASS med et styrket, løbende og tæt samarbejde med SOSU-skolernes formandskab og be-
styrelsesforening omkring rekrutteringsdagsordenen og adresseringen heraf. Ligeledes har
KL fokus på at understøtte kommunerne i deres bestyrelsesarbejde på skolerne.
Specifikt vedr. SOSU-elever der ikke finder en praktikplads
Der er en række SOSU-elever, som ikke finder praktikplads i overgangen til hovedforløbet.
Dette skal ses i lyset af, at ca. hver tredje SOSU-elev falder fra i overgangen mellem grund-
forløbet og hovedforløb − dvs. lige inden eleven skal påbegynde deres første praktikperiode,
jf. kapitel 4.
Der indsamles ikke systematiske data for frafaldsårsager på SOSU-uddannelserne fra cen-
tralt hold, herunder fx sammenlignelige data for, hvor mange elever, der får afslag på deres
praktikpladsansøgninger og hvorfor.
Veje til flere hænder − Task force om social- og sundhedsmedarbejdere
Maj 2020
95
SUU, Alm.del - 2019-20 - Bilag 595: Svar på udvalgets opfølgning og spørgsmål til KL’s Sundheds- og Ældreudvalg efter fællesmødet den 10. september 2020
2255197_0098.png
Kapitel 5
Overgangen fra skole til praktik
Der registreres frafaldsårsager for elever i SOSU-skolernes studieadministrative systemer,
men afbrudsårsagskoderne egner sig ikke til statistikformål, da de bliver brugt uensartet, og
kategorierne er meget bredt defineret.
Det betyder, at der ikke kan konkluderes entydigt på årsagerne til den manglende overgang
til hovedforløbet på SOSU-uddannelserne. Det betyder også, at der heller ikke kan konklude-
res entydigt på, hvor mange elever, der får afslag på deres praktikpladsansøgning og hvorfor.
Dog peger både Danske SOSU-skoler og de adspurgte kommuner på, at der er en række
SOSU-elever, der ikke finder en praktikplads på trods af, at disse elever med et bestået
grundforløb 2 formelt set opfylder kravene til en uddannelsesaftale.
De adspurgte kommuner samt Danske SOSU-skoler peger i den forbindelse på, at der er en
række SOSU-elever, der får afslag på deres praktikpladssøgning, fordi kommunen vurderer,
at de mangler grundlæggende faglige, sociale, personlige eller sproglige kompetencer. Det
kan være SOSU-hjælpere, der får afslag på deres ansøgning til en hjælperplads, eller det
kan også være SOSU-assistenter, der får afslag på en assistentplads og i stedet tilbydes en
hjælperplads, som de ikke er interesserede i.
Flere af de adspurgte kommuner påpeger i den forbindelse, at det på grund af for få kvalifice-
rede ansøgere er vanskeligt at udnytte den samlede uddannelseskapacitet optimalt på
SOSU-hjælperuddannelsen. I en række kommuner er det med andre ord således oplevelsen,
at der ikke er nok ”egnede elever” til at fylde antallet af dimensionerede praktikpladser.
Derudover peges der på, at manglende mobilitet også kan udgøre en udfordring for nogle
SOSU-elever i de tilfælde hvor de ledige praktiksteder ligger i en anden del af landet. De
praktikpladssøgende elever skal være mobile og i udgangspunktet søge praktikpladser alle
steder i landet. Dette kan dog være en udfordring for nogle elever, hvilket bl.a. skal ses i lyset
af, at en stor andel SOSU-elever typisk er ældre og allerede har børn ved uddannelsesstart,
jf. kapitel 6.
Det kan i den forbindelse være en udfordring, at SOSU-skolerne ifølge Danske SOSU-skoler
først har det fulde overblik over, hvem der har en uddannelsesaftale eller ej, når grundforlø-
bet er slut, hvilket skyldes, at der er praksis for, at langt de fleste kommuner først indgår ud-
dannelsesaftaler med elever i slutningen af eller umiddelbart efter, at elever har bestået
grundforløbets anden del. Således har kun ca. hver fjerde SOSU-elev en uddannelsesaftale
otte uger før, praktikperioden starter.
Endelig bemærkes, at grundforløbets andel del på nogle SOSU-skoler afsluttes op til en læn-
gere ferie (ofte sommerferien), mens hovedforløbet først starter op efter ferien. Da kommuner
og regioner ikke kan få refusion for lønudgifter via Arbejdsgivernes Uddannelsesbidrag (AUB)
i sommerferieperioden, kan det mindske incitamentet for kommuner og regioner til at indgå
en uddannelsesaftale, som omfatter grundforløbets anden del og dermed en evt. sommerfe-
rieperiode. Elever med en uddannelsesaftale vil dog kunne modtage SU i sommerferien mel-
lem grund- og hovedforløb.
Det er dog samtidig væsentligt at påpege, at ovenstående samt det høje frafald i overgangen
mellem grund- og hovedforløbet skal ses i lyset af, at en tredjedel af eleverne, der falder fra i
96
Veje til flere hænder − Task force om social- og sundhedsmedarbejdere
Maj 2020
SUU, Alm.del - 2019-20 - Bilag 595: Svar på udvalgets opfølgning og spørgsmål til KL’s Sundheds- og Ældreudvalg efter fællesmødet den 10. september 2020
2255197_0099.png
Kapitel 5
Overgangen fra skole til praktik
overgangen er indskrevet på hovedforløbet på en SOSU-uddannelse det efterfølgende år. En
del af de frafaldne elever overgår således til hovedforløbet blot med en vis forsinkelse,
jf. ka-
pitel 4.
En række af de adspurgte kommuner samt Danske SOSU-skoler peger i den forbindelse på,
at nogle kommuner vælger at ansætte elever med et afsluttet grundforløb 2 i ufaglærte stillin-
ger (dvs. uden en uddannelsesaftale) mhp. at disse elever kan udvikle sig for på sigt at indgå
en uddannelsesaftale. Dette kan således være en forklaring på, hvorfor en række af de fra-
faldne elever optræder på et senere tidspunkt på et hovedforløb.
Hertil påpeger Danske SOSU-skoler, at en række elever vælger at afvente kommunens næ-
ste optag og arbejder andetsteds, og at andre elever vælger at holde sommerferie mellem af-
slutning af grundforløb og start på hovedforløb. Danske SOSU-skoler gør i den forbindelse
opmærksom på, at en del elever, der er tæt på at fylde 25 år eller som er fyldt 25 år tager et
års arbejde som ufaglært på grundlag af deres grundforløbskompetencer mhp. at kvalificere
sig til ansættelse som voksenelever, det netop kræver minimum et års erfaring, men som
samtidig giver et bedre forsørgelsesgrundlag.
Boks 5.3
Eksempler på lokale løsninger vedr. match mellem SOSU-elev og praktiksted
I Thisted Kommune arbejdes der med grundige elevansættelser, hvor der lægges vægt på at lære den
enkelte elev at kende førend match melem praktiksted og elev finder sted. Det er erfaringen, at dette
giver en god basis for det gode praktikforløb og evt. fremtidig ansættelse. I Thisted Kommune
gennemfører ca. 96 pct. af de elever, der har påbegyndt uddannelsen.
I en anden kommune afholder uddannelseskoordinatorer et oplæg for elever på grundforløbet forud for
ansøgningsfristen om praktikpladser mhp. at skabe gennemsigtighed om processen for praktikplads-
søgning og forventningsafstemme omkring praktikken i forbindelse med. praktikpladssøgning.
SOSU Nord har indgået et samarbejde med de omkringliggende kommuner ift. at finde nye veje til
rekruttering og har i den forbindelse et særligt fokus på overgangen fra grundforløb til hovedforløb. I
dette samarbejde er nedsat en arbejdsgruppe, der har fokus på at synliggøre for eleverne, hvad det
betyder at være ansat under uddannelse. Det handler bl.a. om at hjælpe eleverne til at forstå, hvad et
ansættelsesforhold betyder, og hvordan man finder ind i rollen som medarbejder under uddannelse.
Kilde: Bidrag indhentet af KL.
5.3 Tilrettelæggelse af vejledningsindsatsen
Det er en integreret del af det offentlige social- og sundhedsvæsen, at fx sygehuse, psykiatri-
ske institutioner, sociale bosteder, hjemmeplejen herunder plejehjem også varetager rollen
som uddannelsesinstitutioner ved at stille praktikpladser til rådighed.
Det er op til det enkelte praktiksted i kommunen eller regionen at tilrettelægge de bedst mu-
lige rammer for denne opgaveløsning på praktikstedet, herunder ift. at oplære de sygeplejer-
skestuderende og SOSU-elever i et fagligt funderet praksisfællesskab.
Veje til flere hænder − Task force om social- og sundhedsmedarbejdere
Maj 2020
97
SUU, Alm.del - 2019-20 - Bilag 595: Svar på udvalgets opfølgning og spørgsmål til KL’s Sundheds- og Ældreudvalg efter fællesmødet den 10. september 2020
2255197_0100.png
Kapitel 5
Overgangen fra skole til praktik
Der kan i den forbindelse peges på to generelle tendenser for, hvordan vejledningen er
organiseret på tværs af landets kommuner.
I den ene model er vejledningen fordelt på en stor gruppe medarbejdere, som hver har et
mindre antal elever/studerende pr. år. Denne model opleves at give stor fleksibilitet, da
vejledningsopgaven kan tilpasses og prioriteres efter løbende lokale behov. Omvendt kan der
også være en risiko for, at ejerskabet af rollen og opgaven som vejleder over for den
studerende og eleven ikke er entydigt placeret, og at der opstår store individuelle variationer,
hvilket også i visse tilfælde kan afspejle sig i selve vejledningen og kvaliteten heri.
I den anden model er vejledningen fordelt på et mindre antal medarbejdere, som primært
løser opgaver knyttet til vejledning og i mindre grad opgaver knyttet til det sundhedsfaglige
område. Denne model opleves at give mulighed for, at vejlederne er udvalgt ud fra særlige
kompetenceprofiler, vejlederuddannet mhp. at sikre både elevens faglige progression
gennem motivation og støtte og sikre prioritering af faglig kvalitet i vejledningsopgaven. Det
ses bl.a. på nogle praktiksteder, hvor man fritager en vejleder fra driften en dag om ugen,
hvor vedkommende kan følge med 3-4 studerende eller elever rundt på praktikstedet og
holde samtaler med dem mv.
I Rambølls analyse fra 2018 peger respondenterne på, at på den ene side skaber fuldtidsvej-
ledere et fokus på og en prioritering af vejledningen, men på den anden side risikerer man, at
vejledningen bliver løsrevet fra praksismiljøet, hvor det at tage med sin vejleder ud til bor-
gerne og observere i praksis ikke er en mulighed med en fuldtidsvejleder. Andre responden-
ter påpeger i den forbindelse, at social- og sundhedsfagene er et håndelagsfag, som derfor
kræver praksisrollemodeller
.
Derudover peger nogle af de adspurgte kommuner samt Danske Professionshøjskoler og
Danske SOSU-skoler på, at opgaver i tilknytning til pleje og behandling af patienter nogle
gange prioriteres før vejledningsopgaven, og at det for nogle elever og studerende kan ople-
ves, som at vejledningen nedprioriteres. Denne udfordring følges oftest med en oplevelse af,
at der er begrænset tid til at vejlede og vurdere de studerende og eleverne individuelt, fordi
andre opgaver presser sig på. Hertil bemærkes, at de adspurgte kommuner og regionerne
oplever en øget uddannelsesopgave både med hensyn til antal og i kompleksitet − og ople-
ver desuden, at vejledningsfunktionen tager mere og mere tid.
En række af de adspurgte kommuner udtaler i den forbindelse, at et højt antal sygeplejerske-
studerende og SOSU-elever i en travl hverdag kan opleves som en ”ekstra” opgave/belast-
ning blandt medarbejdere og kan ifølge de adspurgte kommuner føre til en form for ”elevtræt-
hed”.
Den lokale variation i tilrettelæggelsen af vejledningen kan, ifølge Rambølls analyse fra 2018,
i nogle tilfælde skabe tvivl samt frustration hos de studerende, som oplever, at kvaliteten i
vejledningen kan variere afhængig af praktikstedernes prioritering af opgaven.
98
Veje til flere hænder − Task force om social- og sundhedsmedarbejdere
Maj 2020
SUU, Alm.del - 2019-20 - Bilag 595: Svar på udvalgets opfølgning og spørgsmål til KL’s Sundheds- og Ældreudvalg efter fællesmødet den 10. september 2020
2255197_0101.png
Kapitel 5
Overgangen fra skole til praktik
Boks 5.4
Eksempel på en lokal løsning for vejledningsindsatsen af sygeplejerskestuderende og
SOSU-elever
I Gladsaxe Kommune er der, udover de daglige vejledere, uddannet såkaldte læringsvejledere i
kommunens hjemmepleje. Læringsvejledere understøtter det overordnede læringsmiljø, og i det daglige
støtter de op om de daglige vejlederes arbejde og elevernes læreprocesser. Læring ift. professionel
omsorgs-, pleje- og behandling indebærer at kunne håndtere reaktioner, adfærd og sprog samt andre
relationelle reaktioner. Det kræver bl.a., at vejledere og kollegaer har indsigt i andres og egne psykiske og
sociale reaktionsmønstre, hvilket er en del af læringsvejlederuddannelsen. Uddannelsen har foregået i
kommunens eget regi, og læringsvejlederne indgår i det løbende kvalitets- og udviklingsarbejde, der skal
understøtte gode praktikforløb for elever i Gladsaxe Kommune.
Kilde: Bidrag indhentet af KL.
Specifikt vedr. vejledning af sygeplejerskestuderende
På sygeplejerskeuddannelsen er det et formelt krav, at der skal være tilknyttet en klinisk vej-
leder, som har ansvaret for den kontinuerlige kliniske undervisning og vejledning af de stude-
rende på et praktiksted. Den kliniske vejleder skal være en sygeplejerske ansat på
praktikstedet med minimum 10 ECTS svarende til en 1/6 af en sundhedsfaglig
diplomuddannelse (modulet klinisk vejleder i sundhedsfaglige professionsuddannelser).
Ifølge de adspurgte kommuner og regionerne er den samlede uddannelsesopgave i praktik-
ken en integreret del af det daglige arbejde på de enkelte praktiksteder, og der kan være et
stort antal medarbejdere, der varetager den daglige vejledning og oplæring af studerende,
selvom disse ikke nødvendigvis har titel af klinisk vejleder eller praktikvejleder.
Antallet af kliniske vejledere og praktikvejledere kan således ikke alene ses som et mål for,
hvor mange ressourcer, der anvendes på uddannelsesopgaven på et praktiksted. I nogle
kommuner varetager fx SOSU-assistenter afgrænsede og konkrete oplæringsopgaver mhp.
at sikre bedst mulig udnyttelse af de sundhedsfaglige kompetencer i kommunerne.
Det er Danske Professionshøjskolers vurdering, at et vellykket praktikforløb forudsætter et
vedvarende fokus på faglig sparing, herunder afsættelse af tid og ressourcer til vejlederopga-
ven mhp. at fastholde læringsperspektivet i praktikforløbet.
Ifølge Danske Professionshøjskoler er der nogle steder, hvor de kunne ønske, at der var flere
kliniske vejledere til de sygeplejerskestuderende mhp. at sikre en høj kvalitet af vejledningen.
Ifølge Danske Professionshøjskoler handler det dog ikke alene om antallet af kliniske vejle-
dere, men også om antallet af medarbejdere med én professionsfaglig baggrund som syge-
plejerske. I den forbindelse peger de på, at fx på plejecentre er der ofte ikke mange uddan-
nede sygeplejersker ansat.
Respondenter i Rambølls analyse fra 2018 påpeger, at manglende ressourcer og kompeten-
cer hos vejlederne kan udfordre, at vejledningen er af høj kvalitet. Det fremgår desuden af
Rambølls analyse, at praktik og overgange mellem studie- og praktikperioder udgør den stør-
ste risiko for, at sygeplejerskestuderende afbryder deres uddannelse.
Veje til flere hænder − Task force om social- og sundhedsmedarbejdere
Maj 2020
99
SUU, Alm.del - 2019-20 - Bilag 595: Svar på udvalgets opfølgning og spørgsmål til KL’s Sundheds- og Ældreudvalg efter fællesmødet den 10. september 2020
2255197_0102.png
Kapitel 5
Overgangen fra skole til praktik
Specifikt vedr. vejledning af SOSU-elever
På praktikstedet får SOSU-eleven tilknyttet en praktikvejleder, som er ansvarlig for, at eleven
har mulighed for at arbejde kvalificeret og målrettet med praktikmålene i den enkelte praktik-
periode. Der er ikke specifikke krav til vejlederens uddannelsesbaggrund, som det er tilfældet
for de kliniske vejledere på sygeplejerskeuddannelsen.
Der peges på blandt de adspurgte kommuner, at skiftende bekendtgørelser og strukturer i
opbygningen af SOSU-uddannelserne kan være udfordrende for praktikvejledere i praksis at
omstille sig til, herunder senest omlægningen af den trindelte uddannelse til to selvstændige
uddannelser i 2017.
Rambølls analyse fra 2018 er inde på det samme forhold idet de beskriver, at medarbejderne
ikke altid har forudsætninger for at forstå, hvad SOSU-eleverne kommer med efter omlægnin-
gen af uddannelserne i 2017, herunder hvilke mål de skal indfri, mens de er i praktikken.
Den manglende gensidige forståelse mellem eleven og medarbejderne kan ifølge Rambølls
analyse være med til at gøre mødet med praksis vanskeligt. Udfordringen kan især være ak-
tuel i modtagelsen af de helt unge SOSU-elever på arbejdspladser, hvor en stor del af med-
arbejderne har mange års erfaring og er vant til at arbejde på en særlig måde.
Boks 5.5
Eksempel på en lokal løsning ift. vejledningsindsatsen for SOSU-elever
I Esbjerg Kommune blev elevvejledningen i 2018 omlagt fra at være fordelt på ca. 280 vejledere til i alt 10
fuldtidsstillinger. De 10 stillinger blev slået op mhp. at få de bedst egnede medarbejdere til at forestå
vejledningsopgaven og professionalisere opgaven generelt. Ligeledes gennemgik de udvalgte med-
arbejdere et opkvalificeringsforløb i vejledning på akademiniveau. Endelig blev kommunens retningslinjer
for praktikstederne indskærpet og antallet af arbejdspladser, der modtager elever reduceret. Resultaterne af
omlægningen er 1,5 år efter en betydelig reduktion i frafaldet. På SOSU-hjælperuddannelsen er frafaldet
reduceret fra 25,5 til 7,1 pct. mens det på SOSU-assistentuddannelsen gik fra 17,3 til 6,2 pct.
Kilde: Bidrag indhentet af KL.
Tilrettelæggelsen af vejledningen for SOSU-elever skal desuden ses i sammenhæng med
oplevelsen blandt de adspurgte kommuner af, at mange SOSU-elever kommer med
varierende forudsætninger,
jf. nedenfor.
5.4 Fastholdelse af frafaldstruede studerende og elever
De adspurgte kommuner og regionerne peger på, at varierende forudsætninger iblandt mål-
gruppen af sygeplejerskestuderende og SOSU-elever også udgør en risiko for frafald, herun-
der fx ift. et såkaldt ’praksischok’,
jf. nedenfor.
100
Veje til flere hænder − Task force om social- og sundhedsmedarbejdere
Maj 2020
SUU, Alm.del - 2019-20 - Bilag 595: Svar på udvalgets opfølgning og spørgsmål til KL’s Sundheds- og Ældreudvalg efter fællesmødet den 10. september 2020
2255197_0103.png
Kapitel 5
Overgangen fra skole til praktik
De sygeplejerskestuderende
De sygeplejerskestuderende har generelt gode faglige forudsætninger, når de skal i klinisk
undervisning ifølge de adspurgte kommuner og regionerne. Det er dog også oplevelsen, at
der har været en lille stigning i sygeplejerskestuderende med særlige behov.
Studerende vurderer ifølge Danske Professionshøjskoler samtidig, at praktikforløb sætter ud-
dannelsens fagområder i perspektiv, herunder at praktikforløb er relevante ift. uddannelsen,
ligesom de øger den enkelte studerendes faglighed.
Praktikperioden er dog også i mange tilfælde de studerendes første møde med en arbejds-
plads i sundhedssektoren, hvilket bl.a. skal ses i lyset af, at de sygeplejerskestuderende skal
i praktik allerede fra første semester.
De adspurgte kommuner og regionerne peger i den forbindelse på, at mødet med praksis for
nogle studerende kan resultere i et såkaldt ’praksischok’, hvor den studerende ikke er til-
strækkeligt indstillet eller forberedt på dét at være i praksis, herunder ift. hvad der forventes
af arbejdsgiver på praktikstedet.
Nogle af de adspurgte kommuner anvender også begrebet ’ansvarschok’ om de studerende,
der fx kan komme til udtryk som en tøven eller en utryghed ved opgaveansvaret fx det at
være alene med ansvaret over for ’rigtige patienter’.
Ifølge de adspurgte kommuner, regionerne og nogle professionshøjskoler kan et ’praksis-
chok’ eller ’ansvarschok’ være
afklarende
for de sygeplejerskestuderende, som i praktikken
finder ud af, at de har valgt en forkert uddannelsesvej og derfor vælger at afbryde deres ud-
dannelse. For andre kan mødet med praksis og det evt. ’praksischok’, det afstedkommer,
imidlertid føre til frafald, selvom de studerende har potentiale for at blive gode sygeplejersker
på sigt.
Det er et fokusområde både på praktikstederne og professionshøjskolerne at minimere ’prak-
sis/ansvarschokket’ mhp. at mindske frafaldet.
På professionshøjskolerne er der ifølge Danske Professionshøjskoler de fleste steder afsat
undervisningslektioner til forberedelse af praktikken. Fokus i disse undervisningslektioner
varierer i takt med progression i uddannelsen og indhold i praktikken. På nogle professions-
højskoler er praktikvejledere fra praktikstedet inviteret med til at svare på spørgsmål til den
kommende praktikperiode, mens det andre steder er praktikkoordinator, studievejledere eller
ældre sygeplejerskestuderende.
Derudover anvendes også i stigende grad simulationstræning, hvor de sygeplejerskestude-
rende som del af den almindelige undervisning får mulighed for at træne sundhedsfaglige
kompetencer i praksis fx personlig pleje af fantomdukker i praksisnære miljøer.
På praktikstederne er der fokus på at spotte frafaldstruede sygeplejerskestuderende. Nogle
steder gennemføres fx faste og strukturerede introduktionsforløb, hvor studerende løbende
introduceres for de relevante arbejdsgange og opgaver. Formålet hermed er at sikre, at
studerende klædes ordentligt på i deres møde med praksis.
Veje til flere hænder − Task force om social- og sundhedsmedarbejdere
Maj 2020
101
SUU, Alm.del - 2019-20 - Bilag 595: Svar på udvalgets opfølgning og spørgsmål til KL’s Sundheds- og Ældreudvalg efter fællesmødet den 10. september 2020
2255197_0104.png
Kapitel 5
Overgangen fra skole til praktik
Dette skal ses i lyset af, at Rambølls analyse fra 2018 peger på, potentiale for at arbejde
yderligere med overgange mellem studie- og praktikperioder, så de studerende i højere grad
er forberedte ift. deres roller og ansvar i praktikken samt i mødet med praksis generelt. Desu-
den peger Rambølls analyse på, at det er betydningsfuldt for studerendes oplevelse af det
samlede uddannelsesforløb, at der fokuseres på at skabe en klar sammenhæng mellem teori
og praksis.
Boks 5.6
Eksempler på lokale løsninger ift. at fastholde de sygeplejerskestuderende under
praktikforløbet
I
Region Hovedstaden
laves fælles undervisning i regi af Center for HR og Uddannelse (CHRU) for 6.
semesters sygeplejestuderende og 2. semesters kandidatstuderende på medicin, hvor det tværfaglige
samarbejde med patienten trænes. Formålet med kurset er at give medicin- og sygeplejestuderende
basale forudsætninger inden for tværfaglig kommunikation og samarbejde således, at de kan tage
professionelt ansvar og andel i en tværfaglig patientsamtale, mere specifikt en udskrivelsessamtale
foretaget ved stuegang. Undervisere er læger og kliniske undervisere fra regionens hospitaler.
Nordsjællands Hospital i Frederikssund
er man i færd med at etablere Uddannelseshospitalet, som
indeholder et sengeafsnit, som skal afspejle praksis med dag-, aften- og nattevagter. Det overordnede
formål er at skabe et læringsmiljø, der skaber gode tværprofessionelle og tværsektorielle læringsforløb
for studerende samt gode patientforløb, der kommer borgere til gode. De studerende skal på sigt være
fra flere uddannelser på forskellige semestre, og vejledere vil både være kliniske vejledere/undervisere
fra hospitalet og undervisere fra Københavns Professionshøjskole.
I
Region Hovedstaden
er der udviklet et tværprofessionelt kursus: Håndtering af studerende/elever i
kliniske uddannelsesforløb med særlige behov (forkortet SKUB). Tiltaget hjælper de kliniske under-
visere/vejledere/uddannelsesansvarlige til bredere viden om diagnoser, at være særlig sårbar, samtale-
teknikker, pædagogiske metoder og samarbejde med uddannelsesinstitutioner omkring studerende/ele-
ver med særlige behov. Målet er at skabe plads, støtte og vejledning til alle studerende/elever i klinisk
uddannelse i Region Hovedstaden. Kurset har særligt fokus på mental trivsel og er udarbejdet i sam-
arbejde med Psykiatrifonden.
Kilde: Bidrag indhentet af Danske Regioner.
SOSU-eleverne
Ligesom det er tilfældet for de sygeplejerskestuderende anvendes begrebet ’praksischok’
også om SOSU-elever bandt de adspurgte kommuner og regionerne.
Ifølge Danske SOSU-skoler italesatte man ved overgangen til de nye uddannelser pr. 1. ja-
nuar 2017 et ’dobbelt praksischok. Dels elevernes og dels praktikstedernes, idet SOSU-assi-
stenterne ikke længere kom med praksiserfaring fra hjælperuddannelsen, som det var tilfæl-
det førhen, hvilket har krævet en omstilling på praktikstederne.
På SOSU-skolerne forsøges ’praksischokket’ afhjulpet ved, at der forud for praktikperioderne
indgår praktikforberedende læringsaktiviteter i undervisningen. Organisering og indholdet i
læringsaktiviteterne varierer fra SOSU-skole til SOSU-skole, men er beskrevet i den lokale
undervisningsplan, så det er kendt for såvel eleven som praktikstedet.
102
Veje til flere hænder − Task force om social- og sundhedsmedarbejdere
Maj 2020
SUU, Alm.del - 2019-20 - Bilag 595: Svar på udvalgets opfølgning og spørgsmål til KL’s Sundheds- og Ældreudvalg efter fællesmødet den 10. september 2020
2255197_0105.png
Kapitel 5
Overgangen fra skole til praktik
Danske SOSU-skoler påpeger desuden, at der er flere steder, hvor der er igangsat forskellige
initiativer til at give eleverne en fællesrum for deling af oplevelser i deres første praktiktid. Det
kan enten være faciliteret af kommunen eller af SOSU-skolen.
Derudover indeholder SOSU-uddannelserne ofte en snusepraktik i slutningen af grundforløb
2, hvor elever for en kortere periode ”går med” uddannede på potentielle praktiksteder, tilret-
telagte virksomhedsbesøg i grupper eller individuelt, ligesom hovedforløbet på SOSU-assi-
stentuddannelsen indledes med fem ugers skoleundervisning med fokus på introduktion til
praktikken. Ved ændringen af uddannelserne den 1. januar 2017 indførtes bl.a. et øget fokus
på farmakologi og medicinhåndtering, hvor eleverne i første skoleperiode får opgaver, som
de skal arbejde med i deres efterfølgende praktikperiode for herefter at arbejde videre med
dem på næste skoleperiode.
De fleste steder er der ifølge Danske SOSU-skoler desuden gæstelærerbesøg fra praktikste-
der og andre former for kobling mellem praktiksteder og SOSU-skolerne. Endelig arbejdes
der også med simulationstræning på SOSU-skolerne, som det er tilfældet på professionshøj-
skolerne,
jf. ovenfor.
På praktikstederne er der som ovenfor nævnt fokus på at spotte frafaldstruede elever via fx
faste og strukturerede introduktionsforløb.
Ifølge Danske SOSU-skoler har alle SOSU-elever desuden en uddannelsesbog, der kan
være elektronisk, som indeholder kommunikation mellem forskellige praktiksteder og skolen.
Der finder dog ikke en systematisk og automatisk datadeling omkring eleverne sted mellem
praktiksted og uddannelsessted alle steder i landet fx en datadeling omkring frafaldstruede
elever. Dette skal bl.a. ses i lyset af, at SOSU-skolen alene har pligt til at registrere fravær i
skoleperioderne.
Endelig påpeger de adspurgte kommuner, at der er mange SOSU-elever der har varierende
forudsætninger, hvilket til tider kræver, at forløbene tilrettelægges individuelt samt særlige
kompetencer hos praktikvejledere og et særligt fokus fra ledelsen og de øvrige kollegaer.
Ifølge nogle af de adspurgte kommuner kan dette være en ressourcetung opgave. Dette skal
dog ses i lyset af, at praktikstederne generelt er vant til at uddanne elever med varierede for-
udsætninger.
De varierende forudsætninger dækker ifølge de adspurgte kommuner over en række forskel-
lige udfordringer.
De
faglige udfordringer
går ifølge de adspurgte kommuner særligt på sproglige og lærings-
mæssige udfordringer, hvor det er oplevelsen, at nogle elever har vanskeligt ved at lære ge-
nerelt.
Fsva. de
sociale udfordringer,
siger de adspurgte kommuner, at nogle af eleverne er udfor-
drede ift. at indgå socialt på en arbejdsplads og skabe relationer, hvilket er en central kerne-
kompetence i sundheds- og omsorgsarbejdet med borgerne.
Veje til flere hænder − Task force om social- og sundhedsmedarbejdere
Maj 2020
103
SUU, Alm.del - 2019-20 - Bilag 595: Svar på udvalgets opfølgning og spørgsmål til KL’s Sundheds- og Ældreudvalg efter fællesmødet den 10. september 2020
2255197_0106.png
Kapitel 5
Overgangen fra skole til praktik
De
personlige udfordringer
er ifølge de adspurgte kommuner en oplevet stigning i antallet af
elever med psykiske problemer samt et højt fravær, som både kan knytte an til psykiske og
fysiske problemer, sociale udfordringer og ”uro i eget bagland”. Dette kan fx ifølge de ad-
spurgte kommuner komme til udtryk ved et højt fravær under praktikken. Det kan bl.a. være
manglende mødestabilitet, at eleverne har drypvis fravær, eller at de ikke giver besked ved
sygdom. Nogle kommuner peger i den forbindelse på, at et højt fravær ofte giver afledte fag-
lige vanskeligheder, da eleverne har svært ved at følge med, hvilket øger risikoen for, at de
afbryder uddannelsen.
Baggrundskarakteristika ved SOSU-elever gennemgås i næste kapitel.
I
boks 5.7
gives en række eksempler på lokale tiltag, der skal støtte SOSU-elever og mod-
virke frafald.
Boks 5.7
Eksempler på lokale løsninger ift. at fastholde SOSU-elever under praktikforløb
I en kommune har man oprettet en læringsgruppe, hvor eleverne har mulighed for bl.a. at reflektere
over praktikken. Det skaber rum til, at eleverne kan sparre internt og med en uddannelsesansvarlig.
Det har bl.a. medvirket til øget fokus på understøttelse af både elever, studerende, kollegaer og vej-
leder ift. den komplekse oplæringsopgave, som både vejledere og kollegaer ofte står i, i praksis. Det
giver mulighed for, at særlig elever med læringsudfordringer har mulighed for at udvikle sig i et
passende tempo, som på den måde kan mindske, at eleverne falder fra.
På baggrund af erfaringer fra Thisted kommune har KL udviklet værktøjet ”Trafiklys”, som er et hjælpe-
værktøj til den uddannelsesansvarlige, hvis formål er at hjælpe med at holde overblikket over, hvor den
enkelte elev er i sit forløb, således at eventuelle tegn på mistrivsel kan opfanges inden eleven stopper
sin uddannelse. Eleven får farven rød, gul eller grøn undervejs i praktikforløbet, afhængigt af, hvordan
elevens situation vurderes. Der kan også markeres med et ’X’ og notere særlige behov hos eleven.
Kilde: Bidrag indhentet af KL.
104
Veje til flere hænder − Task force om social- og sundhedsmedarbejdere
Maj 2020
SUU, Alm.del - 2019-20 - Bilag 595: Svar på udvalgets opfølgning og spørgsmål til KL’s Sundheds- og Ældreudvalg efter fællesmødet den 10. september 2020
Denne side er med vilje efterladt uden indhold.
SUU, Alm.del - 2019-20 - Bilag 595: Svar på udvalgets opfølgning og spørgsmål til KL’s Sundheds- og Ældreudvalg efter fællesmødet den 10. september 2020
2255197_0108.png
Denne side er med vilje efterladt uden indhold.
Kapitel 5
Overgangen fra skole til praktik
Veje til flere hænder − Task force om social- og sundhedsmedarbejdere
Maj 2020
105
SUU, Alm.del - 2019-20 - Bilag 595: Svar på udvalgets opfølgning og spørgsmål til KL’s Sundheds- og Ældreudvalg efter fællesmødet den 10. september 2020
2255197_0109.png
Kapitel 6
6.
Studerende og elevers
baggrundskarakteristika
Nyt kapitel
Sygeplejerskestuderende kommer typisk fra relativt uddannelsesvante hjem og
har karakterer fra grundskolen, som ligger i middelområdet. SOSU-eleverne
kommer typisk med lave faglige forudsætninger, samt fra hjem hvor en større
andel af forældrene er ufaglærte og står uden for arbejdsmarkedet.
Indeværende kapitel har til formål at afdække, hvad der kendetegner studerende og elever,
der optages på hhv. sygeplejerske- og SOSU-uddannelserne ift. en række baggrundskarak-
teristika som socioøkonomisk baggrund og faglige forudsætninger. Kapitlets hovedkonklusio-
ner er opsummeret i
boks 6.1.
Boks 6.1
Kapitlets hovedkonklusioner
Sygeplejerskestuderende
95 pct. af de sygeplejerskestuderende er kvinder og har en gennemsnitsalder på knap 25 år.
Sygeplejerskestuderende kommer fra relativt uddannelsesvante hjem. Omkring 90 pct. af de studerende,
der blev optaget i 2018, har således forældre, der enten er faglærte eller har en videregående uddan-
nelse. Størstedelen af forældrene er begge i beskæftigelse (71 pct.), mens en mindre andel har forældre,
hvor ingen er i beskæftigelse (6 pct.)
Sygeplejerskestudiet rekrutterer generelt studerende, der befinder sig i middelområdet for så vidt angår
karakterer i grundskolen.
SOSU-elever
90 pct. af SOSU-eleverne er kvinder med en gennemsnitsalder på hhv. 32 år for SOSU-hjælpere og 30
år for SOSU-assistenter. Over halvdelen af eleverne har børn ved uddannelsesstart. Begge uddannelser
har en høj andel af indvandrere − særligt på hjælperuddannelsen, hvor hver tredje ny elev i 2018 var ind-
vandrer.
SOSU-elever kommer fra mindre uddannelsesvante hjem. Blandt elever på SOSU-hjælperuddannelsen
har 34 pct. forældre, der er ufaglærte, mens samme andel blandt eleverne på assistentuddannelsen er
26 pct. Forældrene har ligeledes en svagere arbejdsmarkedstilknytning og hhv. 20 og 18 pct. af hjælpere
og assistenter har forældre, som begge ikke er i beskæftigelse. En relativ høj andel på knap 20 pct. har
desuden modtaget forebyggende foranstaltninger som fx en kontaktperson eller været anbragt som barn.
SOSU-elever kommer generelt med svagere faglige forudsætninger for grundskolen sammenlignet med
landsgennemsnittet. Eleverne, der blev optaget på hhv. SOSU-hjælper og -assistentuddannelsen i 2018
opnåede i gennemsnit 3,8 og 4,5 ved prøverne i 9. klasse. Gennemsnittet på landsplan lå for samme år-
gange på omkring 7. Knap hver femte SOSU-elev modtog specialundervisning i grundskolen.
Veje til flere hænder − Task force om social- og sundhedsmedarbejdere
Maj 2020
107
SUU, Alm.del - 2019-20 - Bilag 595: Svar på udvalgets opfølgning og spørgsmål til KL’s Sundheds- og Ældreudvalg efter fællesmødet den 10. september 2020
2255197_0110.png
Kapitel 6
Studerende og elevers baggrundskarakteristika
6.1 Studerende på sygeplejerskeuddannelsen
Indeværende afsnit giver et overblik over, hvad der kendetegner studerende, der optages på
sygeplejerskeuddannelsen. Det gælder en række baggrundskarakteristika som køn, alder og
uddannelsesbaggrund, men også socioøkonomisk baggrund i form af forældres uddannelse
og arbejdsmarkedstilknytning samt de studerendes faglige forudsætninger i form af karakte-
rer fra afsluttede uddannelser.
Køn, alder og baggrund
Studerende på sygeplejerskestudiet består hovedsageligt af kvinder, som udgør ca. 95 pct. af
de studerende,
jf. figur 6.1.
Gennemsnitsalderen for studerende, som tilgik uddannelsen har
været forholdsvist stabil over tid og var i 2018 på 24,8 år,
jf. figur 6.2.
Figur 6.1
Andel kvinder på sygeplejerskestudiet
Figur 6.2
Gennemsnitsalder for tilgang til
sygeplejerskeuddannelsen for de 18-35
årige
Pct.
100
90
80
70
60
50
40
30
20
10
0
Alder
30
29
28
27
26
25
24
23
22
21
20
08
09
10
11
12
13
14
15
16
17
18
Alder
30
29
28
27
26
25
24
23
22
21
20
Pct.
100
90
80
70
60
50
40
30
20
10
0
08
09
10
11
12
13
14
15
16
17
18
Kilde: Task force om social- og sundhedsmedarbejdere på baggrund af data fra Uddannelses- og
Forskningsministeriet og Danmarks Statistik.
De sygeplejerskestuderende har oftest en gymnasial baggrund, men kommer også fra andre
steder i uddannelsessystemet,
jf. figur 6.3 og tabel 6.1.
Hver femte af de sygeplejerskestuderende har således en erhvervsuddannelse bag sig,
hvoraf SOSU-assistenterne udgør ca. 60 pct. Knap 5 pct. af de nyoptagne sygeplejerske-
studerende har færdiggjort en anden videregående uddannelse, mens ca. 3 pct. har
grundskolen som højeste færdiggjorte uddannelse
1
.
1
En del af disse vil fx have taget en hf-fagpakke bestående af fire hf-enkeltfag. En sådan pakke i kombination
med 9 måneders erhvervserfaring giver adgang til at søge sygeplejerskeuddannelsen. Enkeltfag udgør ikke en
egentlig gennemført uddannelse, hvorfor den ikke indgår i
højest gennemførte uddannelse.
En fuld hf-eksamen består
af 12 eksamener.
108
Veje til flere hænder − Task force om social- og sundhedsmedarbejdere
Maj 2020
SUU, Alm.del - 2019-20 - Bilag 595: Svar på udvalgets opfølgning og spørgsmål til KL’s Sundheds- og Ældreudvalg efter fællesmødet den 10. september 2020
2255197_0111.png
Kapitel 6
Studerende og elevers baggrundskarakteristika
Figur 6.3
Sygeplejerskestuderendes
uddannelsesbaggrund, 2014-2018
Pct.
80
70
60
50
40
71,2
30
21,0
20
12,4
10
3,0
0
Grundskole
Gym. udd.
eud
Anden udd.
8,6
0
Heraf SOSU-
asssitent
Tabel 6.1
Nyoptagne sygeplejerskestuderende fordelt
efter uddannelsesbaggrund, 2014-2018
Pct.
80
70
60
50
40
30
20
10
Antal
Optagne i alt
Grundskole
Gymnasial udd.
Videregående udd.
Eud
- Heraf SOSU-
assistenter
17.613
535
12.537
835
3.706
2.192
Pct.
100
3,0
71,2
4,7
21,0
12,4
4,7
Anm.:
Figur 6.3
og
tabel 6.1
omfatter nyoptagne sygeplejerskestuderende i perioden 2014-2018 fordelt efter
højest gennemførte uddannelse forud for start på sygeplejerskeuddannelsen. Eud er opgjort med
SOSU-asssistentuddannelsen som en delmængde.
Kilde: Task force om social- og sundhedsmedarbejdere på baggrund af data fra Danmarks Statistik.
Inden de sygeplejerskestuderende starter på uddannelsen har de fleste af dem været i
beskæftigelse,
jf. figur 6.4.
Figur 6.4
Aktivitet 3 måneder inden påbegyndt sygeplejerskeuddannelse i 2018
Pct.
100
90
80
70
60
50
40
30
20
10
0
Sygeplejerske
Uddannelse
Beskæftigelse
Overførselsindkomst
Ukendt/selvforsørgende
Pct.
100
90
80
70
60
50
40
30
20
10
0
Anm: I opgørelsesmetoden rangerer beskæftigelse over uddannelse, hvilket betyder, at ersoner som
kommer fra gymnasiet, men som har haft fritidsjob, kan indgå som beskæftigede og ikke som
uddannelse. Opgørelsen overvurderer dermed andelen, der kommer fra beskæftigelse, og
undervurderer andelen, som kommer fra uddannelse.
Kilde: Task force om social- og sundhedsmedarbejdere på baggrund af Danmarks Statistiks elevregister,
SU-registret samt beskæftigelses- og ydelsesoplysninger fra DREAM.
Veje til flere hænder − Task force om social- og sundhedsmedarbejdere
Maj 2020
109
SUU, Alm.del - 2019-20 - Bilag 595: Svar på udvalgets opfølgning og spørgsmål til KL’s Sundheds- og Ældreudvalg efter fællesmødet den 10. september 2020
2255197_0112.png
Kapitel 6
Studerende og elevers baggrundskarakteristika
I lyset af de sygeplejerskestuderendes alder, kan det skyldes, at en stor del af de studerende
med en gymnasial uddannelsesbaggrund har afholdt et eller flere sabbatår før deres start på
sygeplejerskestudiet. En del uddannelsessteder har desuden vinterstart, hvorfor der vil være
en overgangsperiode fra afsluttet ungdomsuddannelse til start på sygeplejerskestudiet for
disse personer. Omkring 20 pct. kommer direkte fra uddannelse, mens knap 10 pct. kommer
fra offentlig forsørgelse.
Opgørelsesmetoden rangerer dog beskæftigelse over uddannelse, hvilket betyder, at
personer som kommer fra gymnasiet, men som har haft fritidsjob, kan indgå som
beskæftigede og ikke som uddannelse. Opgørelsen overvurderer dermed andelen, der
kommer fra beskæftigelse, og undervurderer andelen, som kommer fra uddannelse.
Socioøkonomisk baggrund
Nyoptagne studerende på sygeplejerskestudiet i 2018 kommer generelt fra uddannelses-
vante hjem, og hvor begge forældre har fast tilknytning til arbejdsmarkedet,
jf. figur 6.5 og
6.6.
Figur 6.5
Forældrenes højeste uddannelsesniveau
Pct.
50
Pct.
50
Figur 6.6
Forældrenes arbejdsmarkedstilknytning
Pct.
100
90
Pct.
100
90
80
70
60
50
40
30
20
10
0
Ingen forældre i Den ene forældre i Begge forældre i
beskæftigelse
beskæftigelse
beskæftigelse
40
40
80
70
30
30
60
50
20
20
40
30
10
10
20
10
0
Ufaglært
Faglært
Videregående
uddannelse
0
0
Anm.: Forældrenes uddannelsesstatus og arbejdsmarkedstilknytning er opgjort i år 2017. Personer, hvor
forældreoplysninger er ukendt, indgår ikke. I figur 5.6 indgår alene personer, hvor der er oplysninger
om begge forældre og deres arbejdsmarkedstilknytning. Personer i beskæftigelse omfatter fuldt
beskæftigelse, selvstændige, deltidsbeskæftigede og delårsbeskæftigede. Personer uden for
beskæftigelse omfatter ledige, uddannelsessøgende, førtidspensionister m.fl. mellem 18 og 66 år.
Kilde: Task force om social- og sundhedsmedarbejdere på baggrund af data fra Danmarks Statistik.
Blandt de nyoptagne sygeplejerskestuderende har 47 pct. faglærte forældre, mens 43 pct.
har forældre med en videregående uddannelse. Kun 10 pct. har forældre, som er ufaglærte.
Betragtes forældres tilknytning til arbejdsmarkedet, har 71 pct. af de studerende forældre, der
begge er i arbejde, mens 23 pct. har forældre, hvor den ene er i arbejde. For ca. 6 pct. af de
studerende på sygeplejerskestudiet, er ingen af forældrene i arbejde.
110
Veje til flere hænder − Task force om social- og sundhedsmedarbejdere
Maj 2020
SUU, Alm.del - 2019-20 - Bilag 595: Svar på udvalgets opfølgning og spørgsmål til KL’s Sundheds- og Ældreudvalg efter fællesmødet den 10. september 2020
2255197_0113.png
Kapitel 6
Studerende og elevers baggrundskarakteristika
Arbejdsmarkedstilknytningen blandt forældre til sygeplejerskestuderende er således umiddel
-
bart på niveau med den generelle arbejdsmarkedstilknytning blandt forældre, hvor under 5
pct. har forældre, hvor ingen er i beskæftigelse.
2
Faglige forudsætninger
Sygeplejerskestuderende består af studerende med forskellige uddannelsesmæssige bag
-
grunde,
jf. ovenfor.
Indeværende afsnit betragter de studerendes faglige forudsætninger målt
på bl.a. karaktergennemsnit fra 9. klasse, karaktergennemsnit fra gymnasial uddannelse,
samt andelen af elever, der har modtaget specialundervisning i grundskolen.
Karakterer fra 9. klasse
Nyoptagne sygeplejerskestuderende opnår et gennemsnit i grundskolen, der er en smule hø
-
jere end 9. klasser generelt,
jf. figur 6.7.
Figur 6.7
Karaktergennemsnit fra 9. klasse for senere sygeplejerskestuderende samt på landsplan
Gns.
Gns.
Gns.
8
7
6
5
4
3
2
1
0
8
7
6
5
4
3
2
1
0
01/02
02/03
03/04
04/05
05/06
06/07
07/08
08/09
09/10
10/11
11/12
12/13
13/14
14/15
Sygeplejerskestuderende
Alle 9. klasser
Anm.: Karaktergennemsnit for 9. klasse er beregnet som et vejet gennemsnit af prøvekarakterne for dansk
og matematik i 9. klasse. Figuren går frem til skoleåret 2014/2015, fordi der endnu ikke er elever fra
de senere årgange, der er tilgået sygeplejerskeuddannelsen.
Kilde: Task force om social- og sundhedsmedarbejdere på baggrund af data fra Danmarks Statistik.
Således fik sygeplejerskestuderende et karaktergennemsnit i 9. klasse på omkring 7 i skole
-
årene 01/02 til 14/15, mens gennemsnittet blandt alle 9. klasser lå en anelse lavere i samme
periode. I gennemsnit har sygeplejerskestuderende altså fået karakterer i middelområdet på
linje med 9. klasser generelt. Der er en tendens til, at det i forvejen lille spænd mellem de to
gennemsnitskarakterer reduceres mod slutningen af perioden.
Karakterer fra gymnasial uddannelse
Sygeplejerskestuderende med en gymnasial uddannelsesbaggrund har et karaktergennem
-
snit, der ligger lavere end landsgennemsnittet. Sygeplejerskeuddannelsen har dog samtidig
Opgjort for 15-årige for årgang 1992-1996 i alt samt alene opgjort for personer med dansk oprindelse eller ef
-
terkommere. Uden for beskæftigelse tæller her også efterlønnere samt andre over 66 år.
2
Veje til flere hænder − Task force om social- og sundhedsmedarbejdere
Maj 2020
111
SUU, Alm.del - 2019-20 - Bilag 595: Svar på udvalgets opfølgning og spørgsmål til KL’s Sundheds- og Ældreudvalg efter fællesmødet den 10. september 2020
2255197_0114.png
Kapitel 6
Studerende og elevers baggrundskarakteristika
siden slut 00’erne rekrutteret studerende med bedre karakterer fra gymnasial uddannelse
end tidligere,
jf. figur 6.8.
Sammenhæng mellem faglige forudsætninger og frafald er belyst nærmere i kapitel 4, der
vedrører det generelle uddannelsesfrafald.
Figur 6.8
Udvikingen i karaktergennemsnit fra gymnasial uddannelse for studenter og senere
sygeplejerskestuderende
Gns.
7,5
7,0
6,5
6,0
5,5
5,0
4,5
92
93
94
95
96
97
98
99
00
01
02
03
04
05
06
07
08
09
10
11
12
13
14
15
16
Alle studenter
Senere sygeplejerskestuderende
Gns.
Gns.
7,5
7,0
6,5
6,0
5,5
5,0
4,5
Anm.: Alle karakterer er omregnet til 7-trinsskalaen jf. optagelse.dk. Der indgår ikke data for studerende
med HF kombineret som enkeltfag, internationale gymnasiale uddannelser samt en række adgangs
-
givende eksaminer og kurser. Gennemsnittet er opgjort på baggrund af senere sygeplejerskestu
-
derendes afgangsår fra gymnasial uddannelse. Der tages altså udgangpunkt i, hvornår vedkommende
er blevet student, og ikke i hvornår vedkommende er startet på sygeplejerskeuddannelsen. Karakter
-
gennemsnittet for senere sygeplejerskestuderende kan derfor ændre sig i takt med, at tidligere
studenterårgange søger ind på uddannelsen efter et eller flere års studiepause. Af samme årsag går
figuren kun frem til 2016, da relativt få studenter endnu er blevet optaget på sygeplejerske-
uddannelsen.
Kilde: Task force om social- og sundhedsmedarbejdere på baggrund af data fra Danmarks Statistik.
Specialundervisning
Modtagelse af specialundervisning kan ud over karaktergennemsnit være en måde at anskue
faglige forudsætninger på.
En relativ lille andel blandt de nyoptagne sygeplejerskestuderende i 2018 modtog specialun
-
dervisning i grundskolen. Således modtog 3 pct. af de nyoptagne studerende på sygeplejer
-
skeuddannelsen i 2018 specialundervisning i grundskolen,
jf. tabel 6.2.
112
Veje til flere hænder − Task force om social- og sundhedsmedarbejdere
Maj 2020
SUU, Alm.del - 2019-20 - Bilag 595: Svar på udvalgets opfølgning og spørgsmål til KL’s Sundheds- og Ældreudvalg efter fællesmødet den 10. september 2020
2255197_0115.png
Kapitel 6
Studerende og elevers baggrundskarakteristika
Tabel 6.2
Andel nyoptagne sygeplejerskestuderende i 2018, der har modtaget specialundervisning i
grundskolen
Andel nyoptagne sygeplejerskestuderende i 2018, der har modtaget specialundervisning i løbet af deres
grundskoletid
3,0 pct.
Anm.: Tabellen opgør det akkumulerede specialundervisningsomfang blandt nyoptagne sygeplejerske-
studerende i 2018, dvs. hvorvidt de studerende har modtaget specialundervisning i de år, de fremgår
af specialundervisningsregistret, som går tilbage til skoleåret 2010/2011.
Kilde: Task force om social- og sundhedsmedarbejdere på baggrund af data fra Danmarks Statistik.
Til sammenligning modtog 4,8 pct. af eleverne i gundskolen specialundervisning i skoleåret
17/18. Det er således vurderingen, at sygeplejerskestuderende har modtaget specialunder-
visning i et omfang, der er på niveau eller under specialundervisningsomfanget blandt elever
generelt.
6.2 Elever på SOSU-uddannelserne
Frem til 2017 var indgangen til SOSU-uddannelserne samlet, således at alle elever først gen-
nemførte SOSU-hjælperuddannelsen (trin 1) og efterfølgende kunne tage assistentuddannel-
sen (trin 2). I 2017 blev uddannelserne opdelt til to selvstændige uddannelser, hvormed ele-
ver, der fra start ønsker at blive assistenter, kun tilgår denne uddannelse og ikke længere
starter på hjælperuddannelsen.
Det medfører, at det frem til 2017 kun er muligt at se på den samlede tilgang til SOSU-uddan-
nelserne under ét, hvorefter den særskilte tilgang til hhv. SOSU-hjælperuddannelsen og
SOSU-assistentuddannelsen kan betragtes hver for sig.
I det følgende betragtes først en række baggrundskarakteristika som køn, alder og uddannel-
sesbaggrund for elever på SOSU-uddannelserne. Herefter opgøres elevernes socioøkono-
misk baggrund og faglige forudsætninger i form af hhv. forældres uddannelse og arbejdsmar-
kedstilknytning samt elevernes karakterer fra grundskolen.
Køn, alder og baggrund
Andelen af kvinder på SOSU-området er markant højere end på de øvrige erhvervsuddannel-
ser og har ligget stabilt på omkring 90 pct. gennem hele perioden,
jf. figur 6.9.
Veje til flere hænder − Task force om social- og sundhedsmedarbejdere
Maj 2020
113
SUU, Alm.del - 2019-20 - Bilag 595: Svar på udvalgets opfølgning og spørgsmål til KL’s Sundheds- og Ældreudvalg efter fællesmødet den 10. september 2020
2255197_0116.png
Kapitel 6
Studerende og elevers baggrundskarakteristika
Figur 6.9
Andel kvinder i tilgangen på
SOSU-uddannelserne og
eud
i gennemsnit
Pct.
100
90
80
70
60
50
40
30
20
10
0
2013
2014
2015
2016
2017
2018
SOSU-uddannelserne
Øvrig eud
Pct.
100
90
80
70
60
50
40
30
20
10
0
Figur 6.10
Gennemsnitsalder ved indgåelse af
uddannelsesaftaler
Alder
35
34
33
32
31
30
29
28
27
2013
2014
2015
2016
2017
2018
SOSU-assistenter
SOSU-hjælpere
Alder
35
34
33
32
31
30
29
28
27
Anm.:
Figur 5.9
viser andelen af kvinder på SOSU-uddannelserne i perioden 2013-2018.
Figur 5.10
viser
udviklingen i den gennemsnitlige alder ved indgåelse af uddannelsesaftale på SOSU-assistent-
uddannelsen. Alle ordinære uddannelsesaftaler er modtaget, og der er taget udgangspunkt i aftalernes
underskriftsdato.
Kilde: Task force om social- og sundhedsmedarbejdere på baggrund af data fra Børne- og Undervisnings-
ministeriet.
SOSU-assistenternes gennemsnitsalder er faldet fra omkring 33 år i 2016 til 30 år i 2018,
jf.
figur 6.10.
SOSU-hjælpere er derimod blevet ældre og havde i 2018 en gennemsnitsalder på
omkring 32 år. Dette skal ses i lyset af omlægningen af uddannelsen i 2017, hvor elever i dag
kan starte på assistentuddannelsen uden først at have gennemført hjælperuddannelsen.
Inden de påbegynder SOSU-uddannelserne har de fleste af eleverne været under anden ud-
dannelse eller i beskæftigelse,
jf. figur 6.11.
En stor del af eleverne kommer desuden fra at
have været på overførselsindkomst.
114
Veje til flere hænder − Task force om social- og sundhedsmedarbejdere
Maj 2020
SUU, Alm.del - 2019-20 - Bilag 595: Svar på udvalgets opfølgning og spørgsmål til KL’s Sundheds- og Ældreudvalg efter fællesmødet den 10. september 2020
2255197_0117.png
Kapitel 6
Studerende og elevers baggrundskarakteristika
Figur 6.11
Aktivitet 3 måneder inden påbegyndt SOSU-uddannelse, 2018
Pct.
100
90
80
70
60
50
40
30
20
10
0
SOSU-hjælpere
Uddannelse
Beskæftigelse
Overførselsindkomst
SOSU-assistenter
Ukendt/selvforsørgende
Pct.
Pct.
100
90
80
70
60
50
40
30
20
10
0
Anm: I opgørelsesmetoden rangerer beskæftigelse over uddannelse, hvilket betyder, at ersoner som
kommer fra gymnasiet, men som har haft fritidsjob, kan indgå som beskæftigede og ikke som
uddannelse. Opgørelsen overvurderer dermed andelen, der kommer fra beskæftigelse, og under
-
vurderer andelen, som kommer fra uddannelse.
Kilde.: Task force om social- og sundhedsmedarbejdere på baggrund af Danmarks Statistiks elevregister,
SU-registret samt beskæftigelses- og ydelsesoplysninger fra DREAM.
Således var 22 pct. af dem, der påbegyndte SOSU-hjælperuddannelsen i 2018, i beskæfti
-
gelse forinden, mens 40 pct. var under uddannelse og 27 pct. på overførselsindkomst. Ca. 44
pct. af de elever, der påbegyndte SOSU-assistentuddannelsen i 2018 var i beskæftigelse tre
måneder inden, de begyndte på uddannelsen. 23 pct. var under uddannelse og 21 pct. var
på overførselsindkomst.
Elever med indvandrerbaggrund udgør − særligt på SOSU-hjælperuddannelsen - en relativt
stor andel af den samlede tilgang til uddannelsen i 2018,
jf. figur 6.12.
På hjælperuddannel
-
sen udgjorde andelen af indvandrere således 32 pct. af den samlede tilgang i 2018, mens
samme tal for assistentuddannelsen var 20 pct. Dette skal ses i lyset af, at andelen af indvan
-
drere på EUD generelt er 10 pct.
Over halvdelen af eleverne desuden børn ved deres uddannelsesstart, hvilket bl.a. skal ses i
lyset af deres høje gennemsnitsalder ved uddannelsesstart,
jf. figur 6.13.
Veje til flere hænder − Task force om social- og sundhedsmedarbejdere
Maj 2020
115
SUU, Alm.del - 2019-20 - Bilag 595: Svar på udvalgets opfølgning og spørgsmål til KL’s Sundheds- og Ældreudvalg efter fællesmødet den 10. september 2020
2255197_0118.png
Kapitel 6
Studerende og elevers baggrundskarakteristika
Figur 6.12
Andel indvandrere og efterkommere blandt
nyoptagne SOSU-elever i 2018
Pct.
35
30
25
20
15
10
5
0
Indvandrere
SOSU-assistenter
Efterkommere
SOSU-hjælpere
Pct.
35
30
25
20
15
10
5
0
Figur 6.13
Andel nyoptagne SOSU-elever med børn i
2018
Pct.
70
60
50
40
30
20
10
0
SOSU-assistenter
SOSU-hjælpere
Pct.
70
60
50
40
30
20
10
0
Anm.: Nyoptagne SOSU-elever inkluderer SOSU-asssitenter og SOSU-hjælpere optaget på enten
grundforløb 2 eller hovedforløbet. Der er taget udgangspunkt i elevens første start på specifikke
uddannelsesforløb.
Kilde: Task force om social- og sundhedsmedarbejdere på baggrund af data fra Danmarks Statistik.
Socioøkonomisk baggrund
Nyoptagne elever på SOSU-uddannelserne i 2018 kommer generelt fra mindre uddannelses-
vante hjem,
jf. figur 6.14.
Blandt de nyoptagne elever på SOSU-hjælperuddannelsen har 34 pct. ufaglærte forældre,
mens 49 pct. har faglærte forældre og 17 pct. har forældre med en videregående uddan-
nelse. For elever på SOSU-assistentuddannelsen har 26 pct. ufaglærte forældre, mens 53
pct. har faglærte forældre og 21 pct. har forældre med en videregående uddannelse.
Betragtes forældres tilknytning til arbejdsmarkedet har en stor andel af eleverne på SOSU-
uddannelserne forældre, som ikke er i beskæftigelse,
jf. figur 6.15.
På SOSU-hjælperuddannelsen gælder det, at 20 pct. af eleverne har forældre, hvor ingen er i
arbejde, mens 36 pct. har forældre, hvor den ene er i arbejde og 43 pct. har forældre, som
begge er i arbejde. Blandt eleverne på SOSU-assistentuddannelsen har 18 pct. af eleverne
forældre, hvor ingen er i arbejde, mens 33 pct. har forældre, hvor den ene er i arbejde og 49
pct. har forældre, hvor begge er i arbejde.
På landsplan har under 5 pct. af forældre, hvor ingen er i arbejde, mens knap 80 pct. har for-
ældre, som begge er i arbejde.
3
Opgjort for 15-årige for årgang 1992-1996 i alt samt alene opgjort for personer med dansk oprindelse eller ef-
terkommere. Uden for beskæftigelse tæller her også efterlønnere samt andre over 66 år.
3
116
Veje til flere hænder − Task force om social- og sundhedsmedarbejdere
Maj 2020
SUU, Alm.del - 2019-20 - Bilag 595: Svar på udvalgets opfølgning og spørgsmål til KL’s Sundheds- og Ældreudvalg efter fællesmødet den 10. september 2020
2255197_0119.png
Kapitel 6
Studerende og elevers baggrundskarakteristika
Figur 6.14
Forældrenes højeste uddannelsesniveau
Pct.
60
50
40
30
20
10
0
Ufaglært
Faglært
Videregående
uddannelse
SOSU-hjælpere
Pct.
60
50
40
30
20
10
0
Figur 6.15
Forældres arbejdsmarkedstilknytning
Pct.
100
90
80
70
60
50
40
30
20
10
0
Ingen forældre i Den ene forældre i Begge forældre i
beskæftigelse
beskæftigelse
beskæftigelse
SOSU-assistenter
SOSU-hjælpere
Pct.
100
90
80
70
60
50
40
30
20
10
0
SOSU-assistenter
Anm.: Forældrenes uddannelsesstatus og arbejdsmarkedstilknytning er opgjort i år 2017. I figuren til højre
indgår alene personer, hvor der er oplysninger om begge forældre og deres arbejdsmarkeds-
tilknytning, og hvor forældre ikke er på efterløn eller over 66 år. Personer i beskæftigelse omfatter
fuldt beskæftigelse, selvstændige, deltidsbeskæftigede og delårsbeskæftigede. Personer uden for
beskæftigelse omfatter ledige, uddannelsessøgende, førtidspensionister m.fl. mellem 18 og 66 år.
Kilde: Task force om social- og sundhedsmedarbejdere på baggrund af data fra Danmarks Statistik.
En relativ stor andel SOSU-elever har desuden modtaget personrettede forebyggende foran-
staltninger i løbet af deres liv, herunder fx haft tilknyttet en kontaktperson eller været anbragt
som barn. Det gælder 18,4 pct. af de 18-30-årige nyoptagne elever i 2018,
jf. tabel 6.3.
Tabel 6.3
Andel nyoptagne SOSU-elever i 2018, der har modtaget forebyggende foranstaltninger eller
været anbragt
Andel 18-30-årige nyoptagne SOSU-elever i 2018, der har modtaget forebyggende foranstaltninger eller
været anbragt
18,4 pct.
Anm.: Tabellen betragter det akkumulerede omfang af personrettede forebyggende foranstaltninger og
anbringelser for nyoptagne SOSU-elever i 2018, dvs. hvorvidt de på et tidspunkt har modtaget
personrettede forebyggende foranstaltninger eller været anbragt inden 2018.
Økonomisk støtte til kost-
og efterskole
er frasorteret. Der tages udgangspunkt i de 18-30-årige for at kunne lave en repræsentativ
sammenligning med befolkningen og med sygeplejerskestuderende. Resultatet for SOSU-elever er
robust for den samlede population af nye SOSU-elever i 2018.
Kilde: Task force om social- og sundhedsmedarbejdere på baggrund af data fra Danmarks Statistik.
Til sammenligning havde 7,2 pct. af de 18-30-årige samme år modtaget forebyggende
personrettede foranstaltninger i løbet af deres liv eller været anbragt, men samme tal for de
sygeplejerskestuderende er 4,2 pct.
Veje til flere hænder − Task force om social- og sundhedsmedarbejdere
Maj 2020
117
SUU, Alm.del - 2019-20 - Bilag 595: Svar på udvalgets opfølgning og spørgsmål til KL’s Sundheds- og Ældreudvalg efter fællesmødet den 10. september 2020
2255197_0120.png
Kapitel 6
Studerende og elevers baggrundskarakteristika
Faglige forudsætninger
Indeværende afsnit betragter SOSU-elevernes faglige forudsætninger målt på karaktergen
-
nemsnit fra grundskolen, samt andel af elever der har modtaget specialundervisning i grund
-
skolen.
Karakterer fra 9. klasse
Nyoptagne SOSU-elever opnår et gennemsnit i grundskolen, der er væsentligt lavere end 9.
klasser generelt,
jf. figur 6.16.
Således opnår SOSU-elever i gennemsnit karakterer omkring
5, mens elever i 9. klasse generelt opnår et karaktergennemsnit på omkring 7. Det bemær
-
kes, at der er en tendens til, at karakterspændet er voksende i perioden i og med, at gennem
-
snittet på landsplan er steget en anelse, mens det blandt SOSU-elever ligeledes er faldet en
anelse.
Figur 6.16
Karaktergennemsnit fra 9. klasse for senere SOSU-elever
samt på landsplan
Gns.
8
7
6
5
4
3
2
1
0
01/02
02/03
03/04
04/05
05/06
06/07
07/08
08/09
09/10
10/11
11/12
12/13
13/14
14/15
15/16
16/17
SOSU-elever
Alle 9. klasser
Gns.
Gns.
8
7
6
5
4
3
2
1
0
Anm.: Karaktergennemsnit for 9. klasse er beregnet som et vejet gennemsnit af prøvekarakterne for dansk
og matematik i 9. klasse. Figuren går frem til skoleåret 2016/17, fordi der endnu ikke er et
tilstrækkeligt antal elever fra de senere årgange, der er tilgået SOSU-uddannelserne. Det bemærkes,
at en større andel af SOSU-eleverne ikke fremgår af karakterregistret grundet høj alder eller fordi de
er indvandret efter afslutningen af deres grundskoleuddannelse.
Kilde: Task force om social- og sundhedsmedarbejdere på baggrund af data fra Danmarks Statistik.
På tværs af SOSU-assistent- og SOSU-hjælperuddannelsen ses det, at elever på SOSU-as
-
sistentuddannelsen har bedre karaktergennemsnit fra 9. klasse end elever på SOSU-hjælper
-
uddannelsen,
jf. figur 6.17 og 6.18.
118
Veje til flere hænder − Task force om social- og sundhedsmedarbejdere
Maj 2020
SUU, Alm.del - 2019-20 - Bilag 595: Svar på udvalgets opfølgning og spørgsmål til KL’s Sundheds- og Ældreudvalg efter fællesmødet den 10. september 2020
2255197_0121.png
Kapitel 6
Studerende og elevers baggrundskarakteristika
Figur 6.17
Karaktergennemsnit for 9. klasses
afgangsprøve for nyoptagne SOSU-elever i
2018 samt 9. klasse årgang 15/16
Gns.
8
7,2
7
6
5
4
3
2
1
0
SOSU-assistenter
(tilgang 2018)
SOSU-hjælpere
(tilgang 2018)
Alle 9. klasser
(årgang 2015/2016)
4,5
3,8
7
6
5
4
3
2
1
0
Gns.
8
Figur 6.18
Karaktergennemsnit for 9. klasses
afgangsprøve for nyoptagne SOSU-elever i
2018 fordelt efter 9. klasses afgangsår
Gns.
8
7
6
5
4
3
2
1
0
06/07
08/09
10/11
12/13
14/15
16/17
Alle
SOSU-assistenter (2018)
SOSU-hjælpere (2018)
Gns.
8
7
6
5
4
3
2
1
0
Anm.: Nyoptagne SOSU-elever inkluderer SOSU-elever optaget på hovedforløbet på social- og
sunndhedsuddannelsen (før 2017) samt SOSU-asssitenter og SOSU-hjælpere optaget på enten
grundforløb 2 eller hovedforløb (efter 2017). Der er taget udgangspunkt i elevens første start på
specifikke uddannelsesforløb. Karaktergennemsnit for 9. klasse er beregnet som et vejet gennemsnit
af karakterne for dansk og matematik i 9. klasse. Det bemærkes desuden, at en stor andel nyoptagne
SOSU- elever ikke indgår i opgørelsen grundet manglende observationer svarende til omkring
halvdelen af tilgangen i 2018.
Kilde: Task force om social- og sundhedsmedarbejdere på baggrund af data fra Danmarks Statistik.
Specialundervisning
En relativ stor andel af de nyoptagne SOSU-elever i 2018 modtog specialundervisning i
grundskolen. Således modtog 18,7 pct. af de nyoptagne elever på SOSU-uddannelserne i
2018 specialundervisning i grundskolen,
jf. tabel 6.4.
Tabel 6.4
Andel nyoptagne SOSU-elever i 2018, der har modtaget specialundervisning i grundskolen
(i pct.)
Andel nyoptagne SOSU-elever i 2018, der har modtaget specialundervisning i løbet af deres
grundskoletid
18,7
Anm.: For nyoptagne SOSU-elever i 2018 betragtes det akkumulerede specialundervisningsomfang, dvs.
hvorvidt eleverne har modtaget specialundervisning i de år, de fremgår af specialundervisnings-
registret, som går tilbage til skoleåret 2010/2011.
Kilde: Task force om social- og sundhedsmedarbejdere på baggrund af Danmarks Statistiks registerdata.
Til sammenligning modtog 4,8 pct. af eleverne i grundskolen specialundervisning i skoleåret
17/18. Det er således vurderingen, at SOSU-elever har modtaget specialundervisning i et
relativt højt omfang.
Veje til flere hænder − Task force om social- og sundhedsmedarbejdere
Maj 2020
119
SUU, Alm.del - 2019-20 - Bilag 595: Svar på udvalgets opfølgning og spørgsmål til KL’s Sundheds- og Ældreudvalg efter fællesmødet den 10. september 2020
2255197_0122.png
Denne side er med vilje efterladt uden indhold.
Kapitel 6
Studerende og elevers baggrundskarakteristika
120
Veje til flere hænder − Task force om social- og sundhedsmedarbejdere
Maj 2020
SUU, Alm.del - 2019-20 - Bilag 595: Svar på udvalgets opfølgning og spørgsmål til KL’s Sundheds- og Ældreudvalg efter fællesmødet den 10. september 2020
2255197_0123.png
Kapitel 7
7.
Arbejdsstyrke,
beskæftigelse og ledighed
Nyt kapitel
Arbejdsstyrken af social- og sundhedsmedarbejdere er steget. Der har dertil
været en generel stigning i antallet af social- og sundhedsmedarbejdere pr. ind-
bygger. Der er generel lav ledighed blandt social- og sundhedsmedarbejdere,
særligt for sygeplejersker, der også generelt har et lavere sygefravær end
SOSU-assistenter og SOSU-hjælpere.
Dette kapitel kortlægger en række centrale nøgletal for social- og sundhedsmedarbejdere.
Kapitlet bygger på en analyse af social- og sundhedsmedarbejdere foretaget af Sundhedsda-
tastyrelsen.
1
Kapitlets hovedkonklusioner fremgår af
boks 7.1.
Boks 7.1
Kapitlets hovedkonklusioner
Arbejdsstyrken af social- og sundhedsmedarbejdere er øget med omkring 40.000 personer fra 2000-
2017. Der har været en generel stigning i antallet af social- og sundhedsmedarbejdet pr. indbygger, såle-
des at der var 29 social- og sundhedsmedarbejdere pr. 1.000 indbyggere i 2000 mod 34 medarbejdere i
2017. Ses kun ift. antallet af ældre over 80 år er tallet steget fra 737 social- og sundhedsmedarbejdere
pr. 1.000 indbyggere over 80 år i 2000 til 792 medarbejdere i 2017.
Udviklingen i arbejdsstyrken afspejler bl.a. senere tilbagetrækning blandt social- og sundhedsmedarbej-
dere. Siden 2009 er andelen af 60-64-årige i arbejdsstyrken steget, hvilket bl.a. afspejler regelændringer
vedr. tilbagetrækning i perioden. I aldersgrupperne på 65 år eller derover er andelen, der indgår i ar-
bejdsstyrken, faldet i perioden.
Erhvervsfrekvensen (dvs. andelen af 16-64-årige i arbejdsstyrken) er fra 2000 til 2017 faldet omkring 10
pct.-point for både SOSU-assistenter og -hjælpere til hhv. 87 og 79 pct. Blandt sygeplejersker har er-
hvervsfrekvensen ligget nogenlunde stabilt på omkring 91 pct.
Der er generelt lav ledighed blandt social- og sundhedsmedarbejdere, herunder særligt blandt sygeple-
jersker.
Hovedparten af social- og sundhedsmedarbejderne har deres primære beskæftigelse inden for sund-
heds-, ældre- og socialområdet. Ca. 10 pct. af sygeplejerskerne og SOSU-assistenterne og 20 pct. af
SOSU-hjælperne er beskæftiget uden for deres primære fagområde.
SOSU- og sygeplejerskeuddannede i Danmark 2000-2017 − Arbejdsstyrke, beskæftigelse og tilbagetrækning,
Sundhedsdatastyrelsen, 2020. Den fulde rapport kan findes på hjemmesiden www.sundhedsdatastyrelsen.dk.
1
Veje til flere hænder − Task force om social- og sundhedsmedarbejdere
Maj 2020
121
SUU, Alm.del - 2019-20 - Bilag 595: Svar på udvalgets opfølgning og spørgsmål til KL’s Sundheds- og Ældreudvalg efter fællesmødet den 10. september 2020
2255197_0124.png
Kapitel 7
Arbejdsstyrke, beskæftigelse og ledighed
Kapitlet beskæftiger sig primært med sygeplejersker, SOSU-assistenter samt SOSU-hjæl
-
pere, men inkluderer også kategorierne øvrige plejere samt læger i enkelte opgørelser.
2
Kapitlet giver først et overblik over udviklingen i arbejdsstyrken, hvorefter nøgletal inden for
beskæftigelse, ledighed, arbejdstid, tilbagetrækning og sygefravær beskrives. Analysernes
metode er udfoldet i appendiks 7A.
7.1 Udvikling i arbejdsstyrken
Fra 2000 til 2017 er der sket en stigning i arbejdsstyrken af alle uddannelsesgrupper af
SOSU- og sygeplejerskeuddannede med undtagelse af øvrige plejere,
jf. figur 7.1.
Figur
7.1
Arbejdsstyrken af social- og sundhedsuddannede efter uddannelsesgruppe
1.000 personer
250
1.000 personer
1.000 personer
250
200
200
150
150
100
100
50
50
0
00
01
02
03
04
SOSU-assistenter
05
06
07
SOSU-hjælpere
08
09
10
11
Sygeplejersker
12
13
14
Øvrige plejere
15
16
17
0
Anm.: Figuren omfatter personer, der er uddannet til SOSU-assistenter, SOSU-hjælpere, sygeplejersker
samt øvrige plejere. Der er afgrænset til personer, der ingår i arbejdsstyrken. Det bemærkes, at der er
databrud for arbejdsmarkedsoplysninger mellem 2007 og 2008.
Kilde: Task force om social- og sundhedsmedarbejdere på baggrund af data fra Bevægelsesregisteret 2017,
Sundhedsdatastyrelsen og Danmarks Statistik.
Den samlede arbejdsstyrke af social- og sundhedsuddannede er vokset fra omkring 154.000
personer i 2000 til omkring 197.000 personer i 2017, svarende til en samlet stigning på ca.
40.000 personer. Arbejdsstyrken af sygeplejersker er vokset med ca. 800 sygeplejersker eller
1,2 pct. om året, mens arbejdsstyrken af SOSU-assistenter og SOSU-hjælpere samt øvrigt
plejepersonale er vokset med ca. 1.800 personer om året svarende til en årlig vækst på 1,7
pct.
I 2017 er der omkring 71.300 sygeplejersker, 60.800 SOSU-hjælpere og 53.300 SOSU-assi
-
stenter i arbejdsstyrken. Herudover er der omkring 12.400 øvrige plejere.
2
Øvrige plejere består af beskæftigelsesvejledere, plejere, plejehjemsassistenter og sygehjælpere. Disse uddannel
-
ser ophørte i 1990, og arbejdstyrken af disse uddannelsesgrupper vil derfor falde fremadrettet i takt med, at per
-
sonerne trækker sig tilbage fra arbejdsmarkedet eller videreuddanner sig.
122
Veje til flere hænder − Task force om social- og sundhedsmedarbejdere
Maj 2020
SUU, Alm.del - 2019-20 - Bilag 595: Svar på udvalgets opfølgning og spørgsmål til KL’s Sundheds- og Ældreudvalg efter fællesmødet den 10. september 2020
2255197_0125.png
Kapitel 7
Arbejdsstyrke, beskæftigelse og ledighed
Samlet set er stigningen i arbejdsstyrken større end den generelle befolkningsudvikling fra
2000-2017, særligt som følge af vækst i perioden 2000-2009,
jf. figur 7.2.
I 2000 var der 29
social- og sundhedsmedarbejdere pr. 1.000 indbyggere, mens der er 34 sundhedsmedarbej-
dere pr. 1.000 indbyggere i 2017.
Sammenholdt med antallet af borgere på 80 år eller derover er antallet i arbejdsstyrken lige-
ledes steget fra 2000-2017,
jf. figur 7.3.
I 2000 var der 737 social- og sundhedsuddannede
pr. 1.000 borgere over 80 år, mens tallet i 2017 var 792. Antallet er dog faldet en smule siden
2009.
Figur 7.2
Arbejdsstyrke af social- og
sundhedsuddannede pr. 1000 indbygger
Figur 7.3
Arbejdsstyrke af social- og
sundhedsuddannede pr. 1000 indbygger
over 80 år
Pr. 1000 indbygger over 80 år
900
800
700
600
500
400
300
200
100
0
Pr. 1000 indbygger over 80 år
737
800 792
Pr. 1.000 indbygger
40
35
30
25
20
15
10
5
0
3
7
9
7
10 11
12
11 12
7
4
2
Pr. 1.000 indbygger
33 34
29
40
35
30
25
20
15
10
5
0
170
89
213
254 243
190
278 284 285
181
92
50
900
800
700
600
500
400
300
200
100
0
Sygeplejersker
I alt
SOSU-hjælpere
SOSU-hjælpere
Sygeplejersker
SOSU-assistenter
SOSU-assistenter
Øvrige plejere
2000
2009
2017
2000
2009
2017
Anm.: Figuren omfatter personer, der er uddannet til SOSU-assistenter, SOSU-hjælpere, sygeplejerske og
øvrige plejer. Der er afgrænset til personer, der ingår i arbejdsstyrken. Det bemærkes, at der er
databrud for arbejdsmarkedsoplysninger mellem 2007 og 2008.
Kilde: Task force om social- og sundhedsmedarbejdere på baggrund af data fra Bevægelsesregisteret 2017,
Sundhedsdatastyrelsen og Danmarks Statistik.
Erhvervsfrekvens for social- og sundhedsuddannede
Erhvervsfrekvensen (dvs. andelen af de 18-64-årige social- og sundhedsuddannede i ar-
bejdsstyrken) har været stort set konstant for sygeplejersker fra 2000-2017, mens den er fal-
det med hhv. 10 pct.-point for SOSU-assistenter og 14 pct.-point for SOSU-hjælpere,
jf. figur
7.4.
Både blandt SOSU-assistenter og SOSU-hjælpere sker faldet fra et relativt højt niveau, og
kan bl.a. skyldes sammensætningseffekter. Da uddannelserne til SOSU-assistent og −hjæl-
per er oprettet i 1990 har fx alderssammensætningen ændret sig en del for disse faggrupper.
Veje til flere hænder − Task force om social- og sundhedsmedarbejdere
Maj 2020
Øvrige plejere
I alt
123
SUU, Alm.del - 2019-20 - Bilag 595: Svar på udvalgets opfølgning og spørgsmål til KL’s Sundheds- og Ældreudvalg efter fællesmødet den 10. september 2020
2255197_0126.png
Kapitel 7
Arbejdsstyrke, beskæftigelse og ledighed
Figur 7.4
Erhvervsfrekvens blandt 18-64-årige social- og sundhedsuddannede efter
uddannelsesgruppe
Pct.
100
Pct.
Pct.
100
90
90
80
80
70
70
60
60
50
00
01
02
03
04
05
06
07
08
09
10
11
12
13
14
15
16
17
SOSU-assistenter
SOSU-hjælpere
Sygeplejersker
Øvrige plejere
50
Anm.: Figuren angiver erhvervsfrekvens, dvs. andel SOSU-uddannede personer i den arbejdsdygtige alder
(18-64 år), der er en del af arbejdsstyrken. Figuren omfatter personer, der er uddannet til SOSU-
assistenter, SOSU-hjælpere, øvrige plejere og sygeplejersker. Der er afgrænset til personer, der
ingår i arbejdsstyrken. Det bemærkes, at der er databrud for arbejdsmarkedsoplysninger mellem
2007 og 2008.
Kilde: Task force om social- og sundhedsmedarbejdere på baggrund af data fra Bevægelsesregisteret
2017, Sundhedsdatastyrelsen og Danmarks Statistik.
Faldet i erhvervsfrekvensen mellem 2000-2017 for SOSU-personale og øvrige plejere ses på
tværs af alle aldersgrupper med undtagelse af 55-64 årige, hvor erhvervsfrekvensen er ste-
get pga. senere tilbagetrækning,
jf. figur 7.5.
Tendensen til en højere erhvervsfrekvens blandt
de ældre aldersgrupper fra 2000-2017 ses også for sygeplejersker,
jf. figur 7.6.
124
Veje til flere hænder − Task force om social- og sundhedsmedarbejdere
Maj 2020
SUU, Alm.del - 2019-20 - Bilag 595: Svar på udvalgets opfølgning og spørgsmål til KL’s Sundheds- og Ældreudvalg efter fællesmødet den 10. september 2020
2255197_0127.png
Kapitel 7
Arbejdsstyrke, beskæftigelse og ledighed
Figur 7.5
Gns. erhvervsfrekvens blandt
SOSU-assistenter, -hjælpere og øvrige
plejere fordelt på alder
Pct.
100
90
80
70
60
50
40
30
20
10
0
Under 35-39
35
40-44
2000
45-49
50-54
55-59
2017
60-64
Pct.
100
90
80
70
60
50
40
30
20
10
0
Figur 7.6
Gns. erhvervsfrekvens blandt
sygeplejersker fordelt på alder
Pct.
100
90
80
70
60
50
40
30
20
10
0
Under 35-39
35
40-44
2000
45-49
50-54
55-59
2017
60-64
Pct.
100
90
80
70
60
50
40
30
20
10
0
Anm.: Figuren angiver erhvervsfrekvens, dvs. andel SOSU- og sygeplejerskeuddannede personer i den
arbejdsdygtige alder (18-64 år), der er en del af arbejdsstyrken. Det bemærkes, at der er databrud for
arbejdsmarkedsoplysninger mellem 2007 og 2008.
Kilde: Task force om social- og sundhedsmedarbejdere på baggrund af data fra Bevægelsesregisteret 2017,
Sundhedsdatastyrelsen og Danmarks Statistik.
Den faldende erhvervsfrekvens kan ikke forklares med, at en større andel af SOSU-assisten-
ter og SOSU-hjælpere har indvandrer- eller efterkommerbaggrund,
jf. boks 7.2.
SOSU- og sy-
geplejerskeuddannede med baggrund som indvandrere og efterkommer har høj erhvervsfre-
kvens som er på niveau eller over niveauet for uddannede med dansk oprindelse.
Veje til flere hænder − Task force om social- og sundhedsmedarbejdere
Maj 2020
125
SUU, Alm.del - 2019-20 - Bilag 595: Svar på udvalgets opfølgning og spørgsmål til KL’s Sundheds- og Ældreudvalg efter fællesmødet den 10. september 2020
2255197_0128.png
Kapitel 7
Arbejdsstyrke, beskæftigelse og ledighed
Boks 7.2
Herkomst og erhvervsfrekvens for SOSU- og sygeplejerskeuddannede
Indvandrere og efterkommere udgør en stigende andel af SOSU- og sygeplejerskeuddannede,
jf. figur a.
Det ses især blandt SOSU-hjælpere, hvor andelen af indvandrere og efterkommere udgjorde 12 pct. i 2017
ift. en andel på 5 pct. i 2000. Ligeledes ses en stigende andel blandt SOSU-assistenter fra knap 3 pct. i
2000 til 8 pct. i 2017. Blandt sygeplejersker og øvrige plejere ses ikke samme udvikling, men derimod om-
trent uændret andel.
Den gennemsnitlige erhvervsfrekvens for SOSU- og sygeplejerskeuddannede med baggrund som indvan-
drer og efterkommer er generelt på niveau med uddannede med dansk herkomst,
jf. figur b.
Figur a
Andel indvandrere og efterkommere blandt
SOSU- og sygeplejerskeuddannede
Pct.
18
16
14
12
10
8
6
4
2
0
00
02
04
06
SOSU-assistenter
Sygeplejersker
08
10
12
14
16
SOSU-hjælpere
Øvrige plejere
Pct.
18
16
14
12
10
8
6
4
2
0
Figur b
Erhvervsfrekvens SOSU- og
sygeplejerskeuddannede efter herkomst
Pct.
100
90
80
70
60
50
40
30
20
10
0
SOSU-assistenter SOSU-hjælpere
Dansk
Indvandrere
Sygeplejersker
Efterkommere
87 88 85
79 80 81
92 89 91
Pct.
100
90
80
70
60
50
40
30
20
10
0
Anm: Erhvervsfrekvensen er ikke opgjort for øvrige plejere, da der er få observationer i denne gruppe.
Kilde: Task force om social- og sundhedsmedarbejdere på baggrund af data fra Bevægelsesregisteret 2017,
Sundhedsdatastyrelsen og Danmarks Statistik.
7.2 Udvikling i ledighed, beskæftigelse og arbejdstid
Arbejdsstyrken udgøres af hhv. ledige og beskæftigede. I dette afsnit redegøres først for ud-
viklingen i ledigheden blandt social- og sundhedsuddannede og derefter for udviklingen i be-
skæftigelsen samt arbejdstiden blandt de beskæftigede.
Ledighed blandt social- og sundhedsuddannede
Udviklingen i ledigheden blandt social- og sundhedsmedarbejdere følger den generelle ledig-
hedsudvikling. Ledigheden er dog generelt lav blandt social- og sundhedsmedarbejderne,
men med forskelle mellem uddannelsesgrupperne.
126
Veje til flere hænder − Task force om social- og sundhedsmedarbejdere
Maj 2020
SUU, Alm.del - 2019-20 - Bilag 595: Svar på udvalgets opfølgning og spørgsmål til KL’s Sundheds- og Ældreudvalg efter fællesmødet den 10. september 2020
2255197_0129.png
Kapitel 7
Arbejdsstyrke, beskæftigelse og ledighed
I perioden 2000-2017 er ledigheden lavest blandt sygeplejersker på omkring 1 pct., og for
SOSU- assistenter, SOSU-hjælpere og øvrigt plejepersonale plejepersonalet er ledigheden
mellem 2-7 pct.,
jf. figur 7.7.
For alle grupper ses, at ledigheden var lavest omkring 2007-2008, hvorefter den steg i årene
efter krisen, særligt for SOSU-hjælpere. I årene efter 2011-2012 er ledigheden igen faldet,
således at den i 2017 var ca. 1 pct. for sygeplejersker, 2 pct. for SOSU-assistenter samt 5
pct. for SOSU-hjælpere.
Figur 7.7
Andel ledige social- og sundhedsmedarbejere i arbejdsstyrken efter uddannelsesgruppe,
2000-2017
Pct.
Pct.
Pct.
7
6
5
4
3
2
1
0
7
6
5
4
3
2
1
0
00
01
02
03
04
05
06
07
08
09
10
11
12
13
14
15
16
17
SOSU-assistenter
SOSU-hjælpere
Sygeplejersker
Øvrige plejere
Anm.: Figuren omfatter personer, der er uddannet til SOSU-assistenter, SOSU-hjælpere, sygeplejerske og
øvrige plejer. Der er afgrænset til personer i arbejdsstyrken, som er ledige. Det bemærkes, at der er
databrud for arbejdsmarkedsoplysninger mellem 2007 og 2008.
Kilde: Task force om social- og sundhedsmedarbejdere på baggrund af data fra Bevægelsesregisteret 2017,
Sundhedsdatastyrelsen og Danmarks Statistik.
Beskæftigelse blandt social- og sundhedsuddannede
Når der ses på udviklingen i beskæftigelse, er mønsteret nogenlunde det samme som for ud
-
viklingen i arbejdsstyrken af social- og sundhedsmedarbejdere. Den samlede beskæftigelse
af social- og sundhedsmedarbejdere er således også steget med omkring 40.000 personer,
jf. figur 7.8.
Stigningen afspejler, at beskæftigelsen af sygeplejersker er steget med ca. 750
personer årligt, mens beskæftigelsen blandt det resterende plejepersonale er steget med
1.750 personer årligt.
3
3
Plejepersonale består af SOSU-assistenter, SOSU-hjælpere samt øvrige plejere. Udviklingen opgøres samlet for
at tage hensyn til, at der ikke er tilgang til gruppen af øvrige plejere, da uddannelserne herunder blev erstattet af
SOSU-uddannelserne i 1990,
jf. fodnote 2.
Veje til flere hænder − Task force om social- og sundhedsmedarbejdere
Maj 2020
127
SUU, Alm.del - 2019-20 - Bilag 595: Svar på udvalgets opfølgning og spørgsmål til KL’s Sundheds- og Ældreudvalg efter fællesmødet den 10. september 2020
2255197_0130.png
Kapitel 7
Arbejdsstyrke, beskæftigelse og ledighed
Figur 7.8
Beskæftigede social- og sundhedsudddannede i arbejdsstyrken efter uddannelsesgruppe
1.000 personer
250
1.000 personer
1.000 personer
250
200
200
150
150
100
100
50
50
0
00
01
02
03
04
05
06
07
08
09
10
11
12
13
14
15
16
17
SOSU-assistenter
SOSU-hjælpere
Sygeplejersker
Øvrige plejere
0
Anm.: Figuren omfatter personer, der er uddannet til SOSU-sassistenter, SOSU-hjælpere, sygeplejerske og
øvrige plejer. Beskæftigelsen er opgjort inkl. orlov. Det bemærkes, at der er databrud for arbejds
-
markedsoplysninger mellem 2007 og 2008.
Kilde: Task force om social- og sundhedsmedarbejdere på baggrund af data fra Bevægelsesregisteret 2017,
Sundhedsdatastyrelsen og Danmarks Statistik.
Arbejdstid blandt social- og sundhedsuddannede
Deltidsbeskæftigelse er udbredt blandt de beskæftigede social- og sundhedsmedarbejdere,
og fra 2009-2017 er det kun omkring 40 pct. der arbejder 37 timer eller derover om ugen,
jf.
figur 7.9.
Sygeplejersker har den længste gennemsnitlige arbejdstid på ca. 34 timer om ugen i 2017
mens SOSU-assistenter og SOSU-hjælpere har en arbejdstid på hhv. 33 og 32 timer om
ugen. Øvrige plejere har den laveste arbejdstid med 31 timer om ugen,
jf. figur 7.10.
Social- og sundhedsmedarbejderes arbejdstid udfoldes yderligere i kapitel 9.
128
Veje til flere hænder − Task force om social- og sundhedsmedarbejdere
Maj 2020
SUU, Alm.del - 2019-20 - Bilag 595: Svar på udvalgets opfølgning og spørgsmål til KL’s Sundheds- og Ældreudvalg efter fællesmødet den 10. september 2020
2255197_0131.png
Kapitel 7
Arbejdsstyrke, beskæftigelse og ledighed
Figur 7.9
Social- og sundhedsuddannede efter
ugentlig arbejdstid
Pct.
100
90
80
70
60
50
40
30
20
10
0
09
10
11
12
13
Under 19
20-27
28-31
14
15
16
17
32-36
37 og derover
Pct.
100
90
80
70
60
50
40
30
20
10
0
Figur 7.10
Gennemsnitlig ugentlig arbejdstid efter
uddannelsesgruppe
Timer pr. uge
35
34
33
32
31
30
29
28
09
10
11
12
SOSU-assistenter
Sygeplejersker
13
14
15
16
17
SOSU-hjælpere
Øvrige plejere
Timer pr. uge
35
34
33
32
31
30
29
28
Anm.: Figuren omfatter personer, der er uddannet til SOSU-assistenter, SOSU-hjælpere, sygeplejersker og
øvrige plejere. Arbejdstiden er summen af den primære og sekundære beskæftigelse. Der er afgræn-
set til personer i beskæftigelse uanset branche. Opgørelsen indeholder ikke personer, der ved
opgørelsestidspunktet er fraværende fra beskæftigelse pga. sygdom, barsels- eller børnepasnings-
orlov. Fuldtidsperson er defineret som en arbejdsuge på 37 timer.
Kilde: Task force om social- og sundhedsmedarbejdere på baggrund af data fra Bevægelsesregisteret 2017,
Sundhedsdatastyrelsen og Danmarks Statistik.
7.3 Branche og sektor for social- og
sundhedsmedarbejderes primære beskæftigelse
Hovedparten af de beskæftigede social- og sundhedsmedarbejdere har deres primære be-
skæftigelse inden for sundheds-, ældre- og socialområdet,
jf. figur 7.11.
Blandt sygeplejer-
sker og SOSU-assistenter gælder det for ca. 90 pct. af de beskæftigede, og det er en omtrent
uændret andel i perioden fra 2000-2017.
Blandt SOSU-hjælpere og øvrige plejere er det en lidt lavere andel på hhv. knap 80 og 70
pct. i 2017, som er beskæftiget inden for sundheds-, ældre- og socialområdet, og andelen har
været aftagende siden 2000.
For alle grupper af SOSU- og sygeplejerskeuddannede er det en aftagende andel som er be-
skæftiget i det offentlige inden for sundheds-, ældre- og socialområdet, og en stigende andel
er beskæftiget i den private sektor,
jf. figur 7.12.
Denne tendens ses især blandt SOSU-assi-
stenter og -hjælpere samt øvrige plejere og i mindre grad blandt sygeplejersker.
Veje til flere hænder − Task force om social- og sundhedsmedarbejdere
Maj 2020
129
SUU, Alm.del - 2019-20 - Bilag 595: Svar på udvalgets opfølgning og spørgsmål til KL’s Sundheds- og Ældreudvalg efter fællesmødet den 10. september 2020
2255197_0132.png
Kapitel 7
Arbejdsstyrke, beskæftigelse og ledighed
Figur 7.11
Andel SOSU- og sygeplejerskeuddannede
beskæftiget inden for sundheds-, ældre- og
socialområdet
Pct.
100
95
90
85
80
75
70
65
60
55
50
00 01 02 03 04 05 06 07 08 09 10 11 12 13 14 15 16 17
SOSU-assistenter
SOSU-hjælpere
Sygeplejersker
Øvrige plejere
Pct.
100
95
90
85
80
75
70
65
60
55
50
Figur 7.12
Andel SOSU- og sygeplejerskeuddannede
beskæftiget inden for det private sundheds-,
ældre- og socialområde
Pct.
8
7
6
5
4
3
2
1
0
00 01 02 03 04 05 06 07 08 09 10 11 12 13 14 15 16 17
SOSU-assistenter
SOSU-hjælpere
Sygeplejersker
Øvrige plejere
Pct
.
8
7
6
5
4
3
2
1
0
Anm.: Figuren viser branche- og sektorfordeling baseret på primær beskæftigelse. Der er afgrænset til
personer, der er beskæftiget i Danmark. Personer, der er beskæftiget i udlandet eller uoplyst sektor,
indgår ikke. De udgør et lille antal af de beskæftigede. Vikarbureauer indgår under øvrige brancher,
som i Danmarks Statistiks branchefordeling ligger uden for sundheds-, ældre- og socialområdet.
Kilde: Task force om social- og sundhedsmedarbejdere på baggrund af data fra Bevægelsesregisteret 2017,
Sundhedsdatastyrelsen og Danmarks Statistik.
Sygeplejerskerne er primært beskæftiget på sygehusene inden for sundhedsområdet, mens
størstedelen af SOSU-assistenter, SOSU-hjælpere og øvrige plejere er beskæftiget inden for
ældre- og socialområdet,
jf. figur 7.13-7.16.
4
Det er også en stigende andel af sygeplejerskerne, som finde beskæftigelse uden for syge-
husene i det øvrige sundhedsvæsen, hovedsageligt inden for den almene praksis.
4
SOSU-personale og sygeplejersker kan også være beskæftiget i vikarbureauer, som branchemæssigt er placeret
uden for sundheds-, ældre- og socialområdet, men som dog også kan dække over sundheds- og socialplejefagligt
arbejde fx vikarer, som løser opgaver i hjemmeplejen og på sygehusene. I 2017 er det er dog blot mellem 1-3 pct.
af sygeplejersker samt SOSU-assistenter og −hjælpere, som har primær beskæftigelse som vikarer.
130
Veje til flere hænder − Task force om social- og sundhedsmedarbejdere
Maj 2020
SUU, Alm.del - 2019-20 - Bilag 595: Svar på udvalgets opfølgning og spørgsmål til KL’s Sundheds- og Ældreudvalg efter fællesmødet den 10. september 2020
2255197_0133.png
Kapitel 7
Arbejdsstyrke, beskæftigelse og ledighed
Figur 7.13
Branche for primær beskæftigelse
(SOSU-assistenter)
Pct.
100
90
80
70
60
50
40
30
20
10
0
00 01 02 03 04 05 06 07 08 09 10 11 12 13 14 15 16 17
Ældre- og socialområdet
Sygehuse
Øvrig sundhedsområde
Vikarbureauer
Øvrige brancher
Pct.
100
90
80
70
60
50
40
30
20
10
0
Figur 7.14
Branche for primær beskæftigelse
(SOSU-hjælpere)
Pct
.
100
90
80
70
60
50
40
30
20
10
0
00 01 02 03 04 05 06 07 08 09 10 11 12 13 14 15 16 17
Ældre- og socialsektoren
Øvrig sundhedsområde
Øvrige brancher
Sygehuse
Vikarbureauer
Pct.
100
90
80
70
60
50
40
30
20
10
0
Figur 7.15
Branche for primær beskæftigelse
(sygeplejersker)
Pct
.
100
90
80
70
60
50
40
30
20
10
0
00 01 02 03 04 05 06 07 08 09 10 11 12 13 14 15 16 17
Ældre- og socialområdet
Øvrig sundhedsområde
Øvrige brancher
Sygehuse
Vikarbureauer
Pct
.
100
90
80
70
60
50
40
30
20
10
0
Figur
7.16
Branche for primær beskæftigelse
(Øvrige plejere)
Pct
.
100
90
80
70
60
50
40
30
20
10
0
00 01 02 03 04 05 06 07 08 09 10 11 12 13 14 15 16 17
Ældre- og socialområdet
Øvrig sundhedsområde
Øvrige brancher
Sygehuse
Vikarbureauer
Pct.
100
90
80
70
60
50
40
30
20
10
0
Anm.: Figuren omfatter personer, der er uddannet til SOSU-assistenter, SOSU-hjælpere, sygeplejersker og
øvrige plejere. Figuren viser branchefordeling baseret på primær beskæftigelse. Vikarbureauer indgår
under øvrige brancher. Det bemærkers, at der er databrud for arbejdsmarkedsoplysninger mellem
2007 og 2008.
Kilde: Task force om social- og sundhedsmedarbejdere på baggrund af data fra Bevægelsesregisteret 2017,
Sundhedsdatastyrelsen og Danmarks Statistik.
Social- og sundhedsmedarbejderes typiske veje på arbejdsmarkedet udfoldes yderligere i ka-
pitel 8.
Veje til flere hænder − Task force om social- og sundhedsmedarbejdere
Maj 2020
131
SUU, Alm.del - 2019-20 - Bilag 595: Svar på udvalgets opfølgning og spørgsmål til KL’s Sundheds- og Ældreudvalg efter fællesmødet den 10. september 2020
2255197_0134.png
Kapitel 7
Arbejdsstyrke, beskæftigelse og ledighed
Bibeskæftigelse blandt SOSU- og sygeplejerskeuddannede
Den udbredte deltidsbeskæftigelse blandt de SOSU- og sygeplejerskeuddannede i deres pri-
mære beskæftigelse kan afspejle, at de beskæftigede har flere jobs fx primær beskæftigelse i
en kommune på deltid samtidig med sekundær beskæftigelse i et privat vikarbureau.
Mellem 9-12 pct. af de beskæftigede har en sekundær beskæftigelse enten inden for sund-
heds-, ældre- og socialområdet eller i vikarbureauer eller øvrige brancher,
jf. figur 7.17.
Det
ses dog især blandt øvrige brancher uden for sundheds-, ældre- og socialområdet.
Beskæftigede som har såvel primær som sekundær beskæftigelse har væsentlig højere gen-
nemsnitlig arbejdstid sammenlignet med beskæftigede, som kun har primær beskæftigelse,
jf. figur 7.18.
5
Den sekundære beskæftigelse blandt social- og sundhedsmedarbejdere er for-
bundet med en øget ugentlig arbejdstid på omkring én time pr. uge ift. en situation, hvor fuld-
tidsbeskæftigelsen kun opgøres ud fra den primære beskæftigelse blandt social- og sund-
hedsmedarbejdere. Når der tages højde for både den primære og den sekundære beskæfti-
gelse løftes fuldtidsbeskæftigelsen svarende til ca. 5.700 fuldtidspersoner ift. en situation,
hvor kun den primære beskæftigelse medregnes.
Figur 7.17
Andel beskæftiget inden for sundheds-,
ældre- og socialområdet, som har sekundær
beskæftigelse, 2017
Pct.
14
12
10
8
6
4
2
0
Pct
.
14
12
10
8
6
4
2
0
Figur 7.18
Gennemsnitlig ugentlig arbejdstid med og
uden sekundær beskæftigelse, 2017
Timer pr. uge
32
31
30
29
28
27
26
SOSU-hjælpere
Sygeplejersker
SOSU-assistenter
30,5
29,7
29,2
28,6
28,7
31,7
30,8
Timer
pr
. uge
32
31
29,7
30
29
28
27
26
Øvrige plejere
SOSU-hjælpere
Sygeplejersker
SOSU-assistenter
Øvrige plejere
Vikarbureauer
Sundheds-, ældre- og socialområdet
Øvrgie brancher
Kun primære beskæftigelse
Samlede beskæftigelse
Anm.: Figuren omfatter personer, der er uddannet til SOSU-assistenter, SOSU-hjælpere, sygeplejersker og
øvrige plejere. Opgørelsen af arbejdstid indeholder ikke personer, der ved opgørelsestidspunktet er
fraværende fra beskæftigelse pga. sygdom, barsels- eller børnepasningsorlov.
Kilde: Task force om social- og sundhedsmedarbejdere på baggrund af data fra Bevægelsesregisteret 2017,
Sundhedsdatastyrelsen og Danmarks Statistik.
For beskæftigede social- og sundhedsmedarbejdere med både en primær og sekundær beskæftigelse svare ar-
bejdstiden til ca. 39,5 timer om ugen dvs. mere end fuldtid.
5
132
Veje til flere hænder − Task force om social- og sundhedsmedarbejdere
Maj 2020
SUU, Alm.del - 2019-20 - Bilag 595: Svar på udvalgets opfølgning og spørgsmål til KL’s Sundheds- og Ældreudvalg efter fællesmødet den 10. september 2020
2255197_0135.png
Kapitel 7
Arbejdsstyrke, beskæftigelse og ledighed
7.4 Sygefravær
Lavt sygefravær spiller en væsentlig rolle i at øge antallet af hænder på social-, sundheds- og
ældreområdet. Et illustrativt regneeksempel viser, at såfremt sygefraværet reduceres med 10
pct. for den samlede gruppe af sygeplejesker, SOSU-assistenter og SOSU-hjælpere vil det
øge udbuddet svarende til ca. 300 personer for hver af de to SOSU-grupper frem mod 2025
samt ca. 400 personer for sygeplejerskerne.
Det skal understreges, at der er tale om et illustrativt regneeksempel, og at der i regneeksem-
plet således ikke er taget for evt. redskaber, der vil skulle tages i brug for rent faktisk at ned-
bringe sygefraværet.
Det følgende afsnit giver et overblik over sygefraværet i hhv. den kommunale sektor og regio-
nale sektor for hhv. sygeplejerskearbejde samt SOSU-arbejde i perioden 2007-2018 samt for
kommuner og regioner i alt.
SOSU-personale har i gennemsnit et højere sygefravær end sygeplejersker i både den kom-
munale og regionale sektor samt end medarbejdere i den kommunale og regionale sektor ge-
nerelt,
jf. figur 7.19 og 7.20.
Figur 7.19
Sygefravær i den kommunale sektor
Fraværsdage
20
18
16
14
12
10
8
6
4
2
0
07
08 09 10 11
I alt
SOSU-hjælpere
12
13
14
15 16 17 18
SOSU-assistenter
Sygeplejersker
Fraværsdage
20
18
16
14
12
10
8
6
4
2
0
Figur 7.20
Sygefravær i den regionale sektor
Fraværsdage
20
18
16
14
12
10
8
6
4
2
0
07
08
I alt
09
10
11
12
13
14
15
16
17
18
SOSU-assistenter
Sygeplejersker
Fraværsdage
20
18
16
14
12
10
8
6
4
2
0
Anm.: Fraværsdage pr. fuldtidsbeskæftigede, dagsværk.
Kilde: Task force om social- og sundhedsmedarbejdere på baggrund af data fra kommunernes og
regionernes løndatakontor (KRL).
I den kommunale sektor har SOSU-hjælpere og SOSU-assistenter et gennemsnitligt fravær
på godt 16 dage om året pr. fuldtidsbeskæftigede. For assistenterne har dette niveau været
stabilt over hele perioden, mens det for hjælperne er faldet fra 19 dage i 2007 til omkring det
nuværende niveau fra 2012. Niveauet for sygeplejersker ligger for hele perioden et stykke un-
der på omkring 12 dage, hvilket er på niveau med det generelle sygefravær i den kommunale
sektor.
Veje til flere hænder − Task force om social- og sundhedsmedarbejdere
Maj 2020
133
SUU, Alm.del - 2019-20 - Bilag 595: Svar på udvalgets opfølgning og spørgsmål til KL’s Sundheds- og Ældreudvalg efter fællesmødet den 10. september 2020
2255197_0136.png
Kapitel 7
Arbejdsstyrke, beskæftigelse og ledighed
Betragtes den regionale sektor, går dette billede igen, og siden 2012 har SOSU-assisten-
terne haft et gennemsnitligt fravær på omkring 16 dage om året pr. fuldtidsbeskæftigede. Ni-
veauet for sygeplejersker er på samme vis omkring 12 dage. Den regionale sektor gør i min-
dre grad brug af SOSU-hjælpere, hvorfor disse er udelukket fra opgørelsen.
Der er således marginale forskelle på fraværet blandt samme personalegrupper på tværs af
hhv. kommunal og regional sektor,
jf. figur 7.21 og 7.22.
Generelt er sygefraværet for SOSU-
personale (herunder SOSU-assistenter) et stykke over sygefraværet for sygeplejersker.
Figur 7.21
Sygefravær blandt SOSU-assistenter
Fraværsdage
20
18
16
14
12
10
8
6
4
2
0
07
08
09
10
11
12
13
14
15
16
17
18
Regioner
Kommuner
Fraværsdage
20
18
16
14
12
10
8
6
4
2
0
Figur 7.22
Sygefravær blandt sygeplejersker
Fraværsdage
20
18
16
14
12
10
8
6
4
2
0
07
08
09
10
11
12
13
14
15
16
17
18
Regioner
Kommuner
Fraværsdage
20
18
16
14
12
10
8
6
4
2
0
Anm.: Fraværsdage pr. fuldtidsbeskæftigede, dagsværk.
Kilde: Task force om social- og sundhedsmedarbejdere på baggrund af data fra kommunernes og
regionernes løndatakontor (KRL).
7.5 Tilbagetrækning
Fra 2009 til 2016 er der sket en stigning i andelen af 60-64-årige, der fortsat er i arbejdsstyr-
ken for de fire uddannelsesgrupper. Dette stemmer overens med den generelle tendens for
de 60-64-årige.
For SOSU-assistenter var 63 pct. af de 60-64-årige i arbejdsstyrken i 2009, mens samme tal i
2017 var 68 pct.,
jf. figur 7.23 og 7.24.
En mindre andel er på efterløn eller folkepension i
2017, mens en større andel end i 2009 er uden for arbejdsstyrken.
For de 65-69-årige er andelen dog faldet, således at 21 pct. i 2017 var en del af arbejdsstyr-
ken mod 29 pct. i 2009. En højere andel er her gået på efterløn i 2017 end i 2009.
134
Veje til flere hænder − Task force om social- og sundhedsmedarbejdere
Maj 2020
SUU, Alm.del - 2019-20 - Bilag 595: Svar på udvalgets opfølgning og spørgsmål til KL’s Sundheds- og Ældreudvalg efter fællesmødet den 10. september 2020
2255197_0137.png
Kapitel 7
Arbejdsstyrke, beskæftigelse og ledighed
Figur 7.23
Tilknytning til arbejdsmarkedet blandt
60-69-årige SOSU-assistenter, 2009
Pct.
100
90
80
70
60
50
40
30
20
10
0
60-64 år
65-69 år
Uden for arbejdsstyrken (ej efterløn/pension)
På efterløn eller folkepension
I arbejdsstyrken
Pct.
100
90
80
70
60
50
40
30
20
10
0
Figur 7.24
Tilknytning til arbejdsmarkedet blandt
60-69-årige SOSU-assistenter, 2017
Pct
.
100
90
80
70
60
50
40
30
20
10
0
60-64 år
65-69 år
Uden for arbejdsstyrken (ej efterløn/pension)
På efterløn eller folkepension
I arbejdsstyrken
Pct.
100
90
80
70
60
50
40
30
20
10
0
Anm.: Figuren omfatter personer, der er uddannet til SOSU-assistenter. For SOSU-asssistenter er der
afgrænset til personer på 60-69 år frem for 60-74 år. Det skyldes, at der er for få individer i
aldersintervallet 70-74 år for denne gruppe.
Kilde: Task force om social- og sundhedsmedarbejdere på baggrund af data fra Bevægelsesregisteret 2017,
Sundhedsdatastyrelsen og Danmarks Statistik.
For SOSU-hjælpere ses en lignende udvikling for hhv. 60-64-årige og 65-69-årige,
jf. figur
7.25 og 7.26.
For de 60-64 årige stiger andelen i arbejdsstyrken fra 45 pct. i 2009 til 60 pct. i
2017, mens andelen falder for de 65-69-årige fra 20 pct. i 2009 til 15 pct. i 2017. Yderligere
findes data for de 70-74-årige, hvor beskæftigelsen falder fra 7 til 6 pct. i samme periode.
Veje til flere hænder − Task force om social- og sundhedsmedarbejdere
Maj 2020
135
SUU, Alm.del - 2019-20 - Bilag 595: Svar på udvalgets opfølgning og spørgsmål til KL’s Sundheds- og Ældreudvalg efter fællesmødet den 10. september 2020
2255197_0138.png
Kapitel 7
Arbejdsstyrke, beskæftigelse og ledighed
Figur 7.25
Tilknytning til arbejdsmarkedet blandt
60-74-årige SOSU-hjælpere, 2009
Pct.
100
90
80
70
60
50
40
30
20
10
0
60-64 år
65-69 år
70-74 år
Uden for arbejdsstyrken (ej efterløn/pension)
På efterløn eller folkepension
I arbejdsstyrken
Pct
.
100
90
80
70
60
50
40
30
20
10
0
Figur 7.26
Tilknytning til arbejdsmarkedet blandt
60-74-årige SOSU-hjælere, 2017
Pct.
100
90
80
70
60
50
40
30
20
10
0
60-64 år
65-69 år
70-74 år
Uden for arbejdsstyrken (ej efterløn/pension)
På efterløn eller folkepension
I arbejdsstyrken
Pct.
100
90
80
70
60
50
40
30
20
10
0
Anm.: Figuren omfatter personer, der er uddannet til SOSU-hjælpere.
Kilde: Task force om social- og sundhedsmedarbejdere på baggrund af data fra Bevægelsesregisteret 2017,
Sundhedsdatastyrelsen og Danmarks Statistik.
Tilknytningen til arbejdsmarkedet blandt sygeplejersker er ligeledes stigende i perioden 2009
til 2017 for de 60-64-årige, men også for de 65-69-årige, mens den er omkring samme niveau
for de 70-74-årige,
jf. figur 7.27 og 7.28.
For de 60-64-årige stiger andelen i arbejdsstyrken
fra 48 pct. i 2009 til 67 pct. i 2017, mens den for de 65-69-årige stiger fra hhv. 14 pct. til 19
pct. i samme periode. For de 70-74-årige udgør andelen i arbejdsstyrken 8 pct. i 2009 og 10
pct. i 2017.
Figur 7.27
Tilknytning til arbejdsmarkedet blandt
60-74-årige sygeplejersker, 2009
Pct
.
100
90
80
70
60
50
40
30
20
10
0
60-64 år
65-69 år
70-74 år
Uden for arbejdsstyrken (ej efterløn/pension)
På efterløn eller folkepension
I arbejdsstyrken
Pct
.
100
90
80
70
60
50
40
30
20
10
0
Figur 7.28
Tilknytning til arbejdsmarkedet blandt
60-74-årige sygeplejerske, 2017
Pct
.
100
90
80
70
60
50
40
30
20
10
0
60-64 år
65-69 år
70-74 år
Uden for arbejdsstyrken (ej efterløn/pension)
På efterløn eller folkepension
I arbejdsstyrken
Pct
.
100
90
80
70
60
50
40
30
20
10
0
Anm.: Figuren omfatter personer, der er uddannet til sygeplejersker.
Kilde: Task force om social- og sundhedsmedarbejdere på baggrund af data fra Bevægelsesregisteret 2017,
Sundhedsdatastyrelsen og Danmarks Statistik.
136
Veje til flere hænder − Task force om social- og sundhedsmedarbejdere
Maj 2020
SUU, Alm.del - 2019-20 - Bilag 595: Svar på udvalgets opfølgning og spørgsmål til KL’s Sundheds- og Ældreudvalg efter fællesmødet den 10. september 2020
Denne side er med vilje efterladt uden indhold.
SUU, Alm.del - 2019-20 - Bilag 595: Svar på udvalgets opfølgning og spørgsmål til KL’s Sundheds- og Ældreudvalg efter fællesmødet den 10. september 2020
2255197_0140.png
Denne side er med vilje efterladt uden indhold.
Kapitel 7
Arbejdsstyrke, beskæftigelse og ledighed
Veje til flere hænder − Task force om social- og sundhedsmedarbejdere
Maj 2020
137
SUU, Alm.del - 2019-20 - Bilag 595: Svar på udvalgets opfølgning og spørgsmål til KL’s Sundheds- og Ældreudvalg efter fællesmødet den 10. september 2020
2255197_0141.png
Kapitel 8
Typiske veje på arbejdsmarkedet
8.
Typiske veje på
arbejdsmarkedet
Nyt kapitel
Størstedelen af sygeplejersker samt SOSU-assistenter og SOSU-hjælpere
starter deres karriere inden for det offentlige sundheds-, ældre-, og socialom-
råde. Andelen falder dog løbende i takt med, at social- og sundhedsmedarbej-
dere har været nogle år på arbejdsmarkedet. For både SOSU-assistenter og
SOSU-hjælpere skyldes en del af dette fald dog, at de i stedet videreuddanner
sig inden for andre sundhedsuddannelser.
I dette kapitel gives et overblik over den typiske arbejdsmarkeds- og branchetilknytning i
årene efter endt uddannelse for sygeplejersker, SOSU-assistenter samt SOSU-hjælpere.
Kapitlets hovedkonklusioner fremgår af
boks 8.1.
Boks 8.1
Kapitlets hovedkonklusioner
Sygeplejersker
I gennemsnit var 85 pct. af nyuddannede sygeplejersker fra uddannelsesårgangene 2000-2016 beskæfti-
get inden for det offentlige sundheds-, ældre- og socialområde første år efter endt uddannelse. Blandt
dem, der havde været 10 år på arbejdsmarkedet, var andelen 72 pct.
Faldet skyldes dels, at sygeplejersker, som har været flere år på arbejdsmarkedet, forlader den offentlige
sektor, og dels at nogle helt forlader sundheds-, ældre- og socialområdet.
SOSU-assistenter
I gennemsnit var 80 pct. af nyuddannede SOSU-assistenter fra uddannelsesårgangene 2000-2016 be-
skæftiget inden for det offentlige sundheds-, ældre-, og socialområde første år efter endt uddannelse.
Blandt dem, der havde været 10 år på arbejdsmarkedet, var andelen 62 pct.
En del af dette fald skyldes dog, at mange SOSU-assistenter videreuddanner sig inden for andre sund-
hedsuddannelser og derved ikke længere indgår i arbejdsstyrken af SOSU-assistenter.
SOSU-hjælpere
I gennemsnit var 68 pct. af nyuddannede SOSU-hjælpere fra uddannelsesårgangene 2000-2016 be-
skæftiget inden for det offentlige sundheds-, ældre-, og socialområde første år efter endt uddannelse.
Blandt dem, der havde været 10 år på arbejdsmarkedet var andelen 35 pct.
En stor del af dette fald skyldes dog, at relativt mange SOSU-hjælpere videreuddanner sig inden for de
øvrige sundhedsuddannelser og derved ikke længere indgår i arbejdsstyrken af SOSU-hjælpere. Dette
skal ses i lyset af, at SOSU-uddannelserne i 2017 blev omlagt fra en trindelt social- og sundhedsuddan-
nelse til to selvstændige uddannelser, hhv. SOSU-assistentuddannelsen samt SOSU-hjælperuddannel-
sen.
Veje til flere hænder − Task force om social- og sundhedsmedarbejdere
Maj 2020
139
SUU, Alm.del - 2019-20 - Bilag 595: Svar på udvalgets opfølgning og spørgsmål til KL’s Sundheds- og Ældreudvalg efter fællesmødet den 10. september 2020
2255197_0142.png
Kapitel 8
Typiske veje på arbejdsmarkedet
8.1 Social- og sundhedsmedarbejderes
arbejdsmarkedsstatus
Et illustrativt regneeksempel viser, at såfremt 10 pct. af social- og sundhedsmedarbejderne,
der i dag er beskæftiget uden for social- og sundhedsfaget, overgår til beskæftigelse inden
for faget, vil beskæftigelsen af hhv. SOSU-hjælpere, SOSU-assistenter samt sygeplejersker
inden for social- og sundhedsfaget hver især øges med ca. 700 personer i 2025.
Det er således væsentligt at have fokus på at fastholde medarbejdere i faget. Det skal dog
samtidig understreges, at der er tale om et illustrativt regneeksempel, og at der i regneek-
semplet således ikke er taget forbehold for evt. redskaber, der vil skulle tages i brug for at un-
derstøtte at social- og sundhedsmedarbejdere rent faktisk vender tilbage til faget.
Følgende opgørelser omfatter social- og sundhedsmedarbejdere, uanset om de er en del af
arbejdsmarkedet eller ej. Det betyder, at selvom nogle fx er udvandret eller uden for arbejds-
styrken, vil de fortsat betragtes som en del af den relevante uddannelsesårgang og derfor
indgå i opgørelsen. Data er fra perioden 2000-2017 og det er således ikke alle uddannelses-
årgange, der vil have haft mulighed for at have været lige mange år på arbejdsmarkedet. Ud-
dannelsesårgangene af social- og sundhedsmedarbejdere følges i årene efter endt uddan-
nelse og så mange år frem som muligt. Metoden er udfoldet i appendiks 8A. Social- og sund-
hedsmedarbejdernes arbejdsmarkedsstatus opgøres i en række kategorier,
jf. boks 8.2
Boks 8.2
Oversigt over social- og sundhedsmedarbejderes arbejdsmarkedsstatus
Social- og sundhedsmedarbejderne vil enten være en del af arbejdsstyrken (dvs. beskæftigede eller
ledige), uden for arbejdsstyrken eller forlade arbejdsstyrken for en given faggruppe ved at videre-
uddanne sig eller udvandre. Herudover underopdeles beskæftigede i tre kategorier afhængig af
branche og sektor:
Beskæftiget inden for det offentlige sundheds-, ældre- og socialområde, fx:
-
Offentlige sygehuse, sundhedspleje, hjemmesygepleje mv.
-
Offentlige plejehjem og hjemmepleje
-
Offentlige døgninstitutioner for personer med fysiske eller psykiske handicap
Beskæftiget inden for det private sundheds-, ældre- og socialområde, fx:
-
Private sygehuse, sundhedspleje, hjemmesygepleje mv.
-
Alment praktiserende læger og praktiserende speciallæger
-
Friplejehjem og privat hjemmepleje
-
Private døgninstitutioner for personer med fysiske eller psykiske handicap
Beskæftiget i brancher uden for sundheds-, ældre- og socialområde, fx:
-
Vikarbureau
-
Øvrige brancher
Opdelingen af beskæftigelsen i tre kategorier gør det muligt både at skildre de nyuddannede social-
og sundhedsmedarbejderes tilknytning til deres primære fagområde, dvs. sundheds, ældre- og
socialområdet samt at undersøge nyuddannedes tilknytning til hhv. det offentlige og private
arbejdsmarked.
140
Veje til flere hænder − Task force om social- og sundhedsmedarbejdere
Maj 2020
SUU, Alm.del - 2019-20 - Bilag 595: Svar på udvalgets opfølgning og spørgsmål til KL’s Sundheds- og Ældreudvalg efter fællesmødet den 10. september 2020
2255197_0143.png
Kapitel 8
Typiske veje på arbejdsmarkedet
Størstedelen af de nyuddannede social- og sundhedsmedarbejdere fra uddannelsesårgan-
gen fra 2016 var beskæftiget inden for det offentlige sundheds-, ældre- og socialområde,
jf.
tabel 8.1.
Tabel 8.1
Arbejdsmarkedsstatus første år efter endt uddannelse for uddannelsesårgang 2016, pct.
Sygeplejersker
I arbejdsstyrken
Beskæftiget i det offentlige sundheds-,
ældre- og socialområde
Beskæftiget i det private sundheds-,
ældre- og socialområde
Beskæftiget i brancher uden for
sundheds-, ældre- og socialområdet
Ledig
Uden for arbejdsstyrken
Forladt arbejdsstyrken
Udvandret
Videreuddannet
92
88
1
3
1
4
4
4
0
SOSU-assistenter
92
79
5
6
3
7
2
2
0
SOSU-hjælpere
87
65
7
9
7
9
3
2
1
Anm.: Kolonnerne summer ikke nødvendigvis til 100 grundet afrunding.
Kilde: Task force om social- og sundhedsmedarbejdere på baggrund af data fra Bevægelsesregistret.
Nedenfor undersøges den typiske arbejdsmarkeds- og branchetilknytning for hhv. sygeplejer-
sker, SOSU-assistenter samt SOSU-hjælpere i årene efter endt uddannelse.
8.2 Sygeplejersker
Størstedelen af de nyuddannede sygeplejersker finder beskæftigelse i det offentlige inden for
sundheds-, ældre- og socialområdet i årene umiddelbart efter de har afsluttet deres uddan-
nelse,
jf. figur 8.1.
Andelen falder dog gradvist i takt med, at nyuddannede sygeplejersker har
været flere år på arbejdsmarkedet.
I første år efter endt uddannelse var i gennemsnit 85 pct. af sygeplejersker beskæftiget inden
for det offentlige sundheds-, ældre- og socialområde blandt uddannelsesårgangene 2000-
2016. Efter 10 år på arbejdsmarkedet var andelen omkring 72 pct. Der er altså en tendens til,
at sygeplejersker forlader beskæftigelse i det offentlige inden for sundheds-, ældre- og social-
området jo længere tid, de har været på arbejdsmarkedet.
En mindre del af de sygeplejersker, som forlader det offentlige, vedbliver dog med at arbejde
inden for sundheds-, ældre- og socialområdet, men skifter til den private sektor,
jf. figur 8.2.
Blandt uddannelsesårgangene 2000-2016 var andelen beskæftiget i det private inden for
sundheds-, ældre- og socialområdet første år efter endt uddannelse i gennemsnit 1 pct.
Blandt dem, der havde været 10 år på arbejdsmarkedet, var andelen 4 pct.
Veje til flere hænder − Task force om social- og sundhedsmedarbejdere
Maj 2020
141
SUU, Alm.del - 2019-20 - Bilag 595: Svar på udvalgets opfølgning og spørgsmål til KL’s Sundheds- og Ældreudvalg efter fællesmødet den 10. september 2020
2255197_0144.png
Kapitel 8
Typiske veje på arbejdsmarkedet
Figur 8.1
Andel af sygeplejersker beskæftiget i det
offentlige sundheds-, ældre- og
socialområde i årene efter endt uddannelse
Pct.
100
90
80
70
60
50
40
30
20
10
0
0 1 2 3 4 5 6 7 8 9 10 11 12 13 14 15 16 17
2000
2005
2010
2015
2017
Pct.
100
90
80
70
60
50
40
30
20
10
0
Figur 8.2
Andel af sygeplejersker beskæftiget i det
private sundheds-, ældre- og socialområde i
årene efter endt uddannelse
Pct.
8
7
6
5
4
3
2
1
0
0
1
2 3
2000
4
5 6
2005
7
8 9 10 11 12 13 14 15 16 17
2010
2015
2017
Pct.
8
7
6
5
4
3
2
1
0
Anm.: Sundhedsområdet består af sygehuse, sundhedsplejen, hjemmesygeplejen, alment praktiserende
læger mv., mens ældreområdet og socialområdet består af plejehjem og hjemmeplejen samt og
døgninstitutioner for personer med fysiske eller psykiske handicap. Populationen er afgrænset til
personer med en sygeplejerskeuddannelse uddannet i perioden 2000-2017. Data er fra perioden
2000-2017. Det bemærkers, at der er databrud for arbejdsmarkedsoplysninger mellem 2007 og 2008.
Kilde: Task force om social- og sundhedsmedarbejdere på baggrund af data fra Bevægelsesregistret.
Udviklingen i beskæftigelsen i af sygeplejersker i hhv. offentlig og privat beskæftigelse er un-
der indflydelse af den generelle arbejdsmarkedssituation,
jf. figur 8.3.
Under højkonjunkturen
i midten af 2000’erne ses en markant stigning i beskæftigelsen af sygeplejersker i den private
sektor, mens den offentlige beskæftigelse af sygeplejersker faldt. Efter krisen i 2008 ses kun
et fald i beskæftigelsen af sygeplejersker i den private sektor, hvorimod beskæftigelsen i den
offentlige sektor steg ret markant. Siden 2009 har væksten i beskæftigelsen af sygeplejersker
primært fundet sted i den offentlige sektor, men fra 2014 ses en stigende vækst i den private
beskæftigelse af sygeplejersker.
142
Veje til flere hænder − Task force om social- og sundhedsmedarbejdere
Maj 2020
SUU, Alm.del - 2019-20 - Bilag 595: Svar på udvalgets opfølgning og spørgsmål til KL’s Sundheds- og Ældreudvalg efter fællesmødet den 10. september 2020
2255197_0145.png
Kapitel 8
Typiske veje på arbejdsmarkedet
Figur 8.3
Ændring i privat og offentlig beskæftigelse af sygeplejersker
Personer
2.000
1.500
1.000
500
0
-500
-1.000
00
02
04
06
Offentlig
08
10
Privat
12
14
16
Personer
Personer
2.000
1.500
1.000
500
0
-500
-1.000
Kilde: Task force om social- og sundhedsmedarbejdere på baggrund af data fra Bevægelsesregisteret.
Foruden at en del sygeplejersker skifter fra det offentlige til det private, er der også flere, som
helt forlader sundheds-, ældre- og socialområdet,
jf. figur 8.4.
Blandt uddannelsesårgangene
2000-2016 er andelen beskæftiget uden for sundheds-, ældre- og socialområdet det første år
efter endt uddannelse i gennemsnit 3 pct. Blandt dem, der har været 10 år på arbejdsmarke
-
det var andelen 8 pct.
Der er ligeledes en forholdsvist stor andel af sygeplejersker, der udvandrer i årene efter af
-
sluttet uddannelse,
jf. figur 8.5.
I gennemsnit var 6 pct. af uddannelsesårgangene fra 2000 til
2016 udvandret første år efter de afsluttede deres uddannelse. Den relativt høje andel ud
-
vandrede blandt de nyuddannede sygeplejersker skyldes til dels, at sygeplejersker, der auto
-
riseres i Danmark, men ikke har en dansk uddannelse, også indgår i opgørelserne,
jf. appen
-
diks 8A.
Blandt sygeplejersker med en dansk uddannelse udvandrer i gennemsnit under 4
pct. første år efter afsluttet uddannelse.
Veje til flere hænder − Task force om social- og sundhedsmedarbejdere
Maj 2020
143
SUU, Alm.del - 2019-20 - Bilag 595: Svar på udvalgets opfølgning og spørgsmål til KL’s Sundheds- og Ældreudvalg efter fællesmødet den 10. september 2020
2255197_0146.png
Kapitel 8
Typiske veje på arbejdsmarkedet
Figur 8.4
Andel af sygeplejersker beskæftiget uden
for sundheds-, ældre- og socialområdet i
årene efter endt uddannelse
Pct.
14
12
10
8
6
4
2
0
0 1 2 3 4 5 6 7 8 9 10 11 12 13 14 15 16 17
2000
2005
2010
2015
2017
Pct.
14
12
10
8
Figur 8.5
Andel af sygeplejersker som udvandrer i
årene efter endt uddannelse
Pct.
12
10
8
6
Pct.
12
10
8
6
4
2
0
0 1 2 3 4 5 6 7 8 9 10 11 12 13 14 15 16 17
2000
2005
2010
2015
2017
6
4
2
0
4
2
0
Anm.: Sundhedsområdet består af sygehuse, sundhedsplejen, hjemmesygeplejen, alment praktiserende
læger mv., mens ældreområdet og socialområdet består af plejehjem og hjemmeplejen samt og
døgninstitutioner for personer med fysiske eller psykiske handicap. Populationen er afgrænset til
personer med en sygeplejerskeuddannelse uddannet i perioden 2000-2017. Data er fra perioden
2000-2017. Den store andel beskæftiget uden for sundheds-, ældre- og socialområdet for
uddannelsesårgangen 2000 skyldes formegentlig, at sygeplejersker under uddannelse indtil år 2001
fik et praktikvederlag det sidste ¾ år af deres uddannelse. Det bemærkers, at der er databrud for
arbejdsmarkedsoplysninger mellem 2007 og 2008.
Kilde: Task force om social- og sundhedsmedarbejdere på baggrund af data fra Bevægelsesregistret.
8.3 SOSU-assistenter
Billedet for SOSU-assistenterne er i høj grad det samme som for sygeplejerskerne. Omkring
80 pct. af SOSU-assistenterne begynder deres arbejdsliv inden for det offentlige sundheds-,
ældre- og socialområde,
jf. figur 8.6.
Andelen falder dog ligeledes støt i årene efter endt ud-
dannelse og udgør i gennemsnit 62 pct. for de SOSU-assistenter, der har været 10 år på ar-
bejdsmarkedet. Ligesom for sygeplejersker er der således en tendens til, at SOSU-assisten-
ter forlader beskæftigelse i det offentlige inden for sundheds-, ældre- og socialområdet, desto
længere tid de har været på arbejdsmarkedet.
Der sker ligeledes en stigning i andelen af SOSU-assistenter, som er beskæftiget inden for
sundheds-, ældre- og socialområdet i det private i årene efter endt uddannelse,
jf. figur 8.7.
Derudover ses en tendens til, at flere af de nyere uddannelsesårgange begynder deres ar-
bejdsliv i det private. Denne stigning kan bl.a. skyldes, at fonde, herunder selvejende instituti-
oner og andre private leverandører, fra 2007 har haft adgang til at etablere og drive fripleje-
hjem i konkurrence med de kommunale plejeboligtilbud. I 2019 var der ca. 1.300 pladser på
friplejehjem svarende til ca. 3 pct. af de samlede plejehjemspladser.
144
Veje til flere hænder − Task force om social- og sundhedsmedarbejdere
Maj 2020
SUU, Alm.del - 2019-20 - Bilag 595: Svar på udvalgets opfølgning og spørgsmål til KL’s Sundheds- og Ældreudvalg efter fællesmødet den 10. september 2020
2255197_0147.png
Kapitel 8
Typiske veje på arbejdsmarkedet
Figur 8.6
Andel af SOSU-assistenter beskæftiget i
det offentlige sundheds-, ældre- og
socialområde i årene efter endt uddannelse
Pct.
100
90
80
70
60
50
40
30
20
10
0
0 1 2 3 4 5 6 7 8 9 10 11 12 13 14 15 16 17
2000
2005
2010
2015
2017
Pct.
100
90
80
70
60
50
40
30
20
10
0
Figur 8.7
Andel af SOSU-assistenter beskæftiget i
det private sundheds-, ældre- og
socialområde i årene efter endt uddannelse
Pct.
6
5
4
3
2
1
0
0 1 2 3 4 5 6 7 8 9 10 11 12 13 14 15 16 17
2000
2005
2010
2015
2017
Pct.
6
5
4
3
2
1
0
Anm.: Sundhedsområdet består af sygehuse, sundhedsplejen, hjemmesygeplejen, alment praktiserende
læger mv., mens ældreområdet og socialområdet består af plejehjem og hjemmeplejen samt og
døgninstitutioner for personer med fysiske eller psykiske handicap. Populationen er afgrænset til
personer, der færdiggør en SOSU-assistentuddannelse i perioden 2000-2017. Data er fra perioden
2000-2017. Det bemærkers, at der er databrud for arbejdsmarkedsoplysninger mellem 2007 og 2008.
Kilde: Task force om social- og sundhedsmedarbejdere på baggrund af data fra Bevægelsesregistret.
Andelen af SOSU-assistenter fra uddannelsesårgangene fra 2000-2016, der er beskæftiget
uden for sundheds-, ældre- og socialområdet er i gennemsnit godt 6 pct. det første år efter
endt uddannelse,
jf. figur 8.8.
Blandt de SOSU-assistenter, som har været 10 år på arbejds-
markedet, er andelen 9 pct.
Ledigheden blandt de nyuddannede SOSU-assistenter fra uddannelsesårgangene 2000-
2016 er generelt lav og ligger mellem 1-5 pct. i årene efter endt uddannelse,
jf. figur 8.9.
Le-
digheden de første år efter endt uddannelse er højere blandt SOSU-assistenter, der færdig-
gjorde deres uddannelse efter 2009, end blandt tidligere uddannelsesårgange.
Veje til flere hænder − Task force om social- og sundhedsmedarbejdere
Maj 2020
145
SUU, Alm.del - 2019-20 - Bilag 595: Svar på udvalgets opfølgning og spørgsmål til KL’s Sundheds- og Ældreudvalg efter fællesmødet den 10. september 2020
2255197_0148.png
Kapitel 8
Typiske veje på arbejdsmarkedet
Figur 8.8
SOSU-assistenter beskæftiget uden for
sundheds-, ældre- og socialområdet i årene
efter endt uddannelse
Pct.
16
14
12
10
8
6
4
2
0
0 1 2 3 4 5 6 7 8 9 10 11 12 13 14 15 16 17
2000
2005
2010
2015
2017
Pct.
16
14
12
10
8
6
4
2
0
Figur 8.9
Andel af ledige SOSU-assistenter i årene
efter endt uddannelse
Pct.
12
10
8
6
4
2
0
0 1 2 3 4 5 6 7 8 9 10 11 12 13 14 15 16 17
2000
2005
2010
2015
2017
Pct.
12
10
8
6
4
2
0
Anm.: Sundhedsområdet består af sygehuse, sundhedsplejen, hjemmesygeplejen, alment praktiserende
læger mv., mens ældreområdet og socialområdet består af plejehjem og hjemmeplejen samt og
døgninstitutioner for personer med fysiske eller psykiske handicap. Populationen er afgrænset til
personer, der færdiggør en SOSU-asssistentuddannelse i perioden 2000-2017. Data er fra perioden
2000-2017. Det bemærkers, at der er databrud for arbejdsmarkedsoplysninger mellem 2007 og 2008.
Kilde: Task force om social- og sundhedsmedarbejdere på baggrund af data fra Bevægelsesregistret.
En del af faldet i andelen af SOSU-assistenter, som arbejder inden for sundheds-, ældre- og
socialområdet i årene efter endt uddannelse, skyldes at nogle SOSU-assistenter videreud-
danner sig inden for de øvrige sundhedsuddannelser og får en ny autorisation i takt med, at
de har været længere tid på arbejdsmarkedet,
jf. figur 8.10.
De nyere uddannelsesårgange
videreuddanner sig i højere grad end tidligere uddannelsesårgange.
I gennemsnit har omkring 7 pct. af de SOSU-assistenter, der har været på arbejdsmarkedet i
10 år taget en ny sundhedsuddannelse. Heraf har i gennemsnit ca. 80 pct. uddannet sig til
sygeplejersker, mens omkring 4 pct. har uddannet sig til ergoterapeuter, 3 pct. til fodterapeu-
ter og godt 2 pct. til fysioterapeuter. I gennemsnit arbejder mere end 80 pct. stadig inden for
sundheds-, ældre- og socialområdet.
146
Veje til flere hænder − Task force om social- og sundhedsmedarbejdere
Maj 2020
SUU, Alm.del - 2019-20 - Bilag 595: Svar på udvalgets opfølgning og spørgsmål til KL’s Sundheds- og Ældreudvalg efter fællesmødet den 10. september 2020
2255197_0149.png
Kapitel 8
Typiske veje på arbejdsmarkedet
Figur 8.10
Andel af SOSU-assistenter, der videreuddanner sig inden for de øvrige sundhedsuddannelser
i årene efter endt uddannelse
Pct.
12
10
8
6
4
2
0
0
1
2
3
2000
4
5
6
2005
7
8
9
2010
10
11
12
2015
13
14
15
16
2017
17
Pct.
12
10
8
6
4
2
0
Anm.: Videreuddannelse er defineret som videreuddannelse inden for sundhedsuddannelserne.
Populationen er afgrænset til personer med en SOSU-assistentuddannelse i perioden 2000-2017.
Data er fra perioden 2000-2017. Det bemærkers, at der er databrud for arbejdsmarkedsoplysninger
mellem 2007 og 2008.
Kilde: Task force om social- og sundhedsmedarbejdere på
baggrund af
Bevægelsesregistret.
8.4 SOSU-hjælpere
Ligesom blandt sygeplejersker og SOSU-assistenter begynder størstedelen af SOSU-hjæl-
perne deres karriere i det offentlige inden for sundheds-, ældre- og socialområdet efter endt
uddannelse,
jf. figur 8.11.
Det fremgår dog også, at en stor del af SOSU-hjælperne ligeledes
forlader faget i det offentlige. I gennemsnit var 68 pct. af SOSU-hjælpere uddannet i perioden
2000-2016 beskæftiget i det offentlige sundheds-, ældre- og socialområde det første år efter
endt uddannelse. Blandt de SOSU-hjælpere, der havde været 10 år på arbejdsmarkedet, var
andelen faldet til 35 pct. Dette skal bl.a. ses i lyset af, at mange SOSU-hjælpere videreud-
danner sig inden for de øvrige sundhedsuddannelser.
Det fremgår af
figur 8.12,
at andelen af SOSU-hjælpere beskæftiget i det private inden for
sundheds-, ældre- og socialområdet stiger i årene efter endt uddannelse. Endvidere er de
yngre uddannelsesårgange i højere grad beskæftiget i det private end de ældre årgange. For
uddannelsesårgangene 2000 og 2005 er det mindre end 1 pct., som er ansat inden for faget i
det private året efter endt uddannelse, mens det for uddannelsesårgangene 2010 og 2015 er
hhv. knap 4 og 7 pct.
Stigningen kan bl.a. skyldes, at fonde, herunder selvejende institutioner og andre private le-
verandører, fra 2007 har haft adgang til at etablere og drive friplejehjem i konkurrence med
de kommunale plejeboligtilbud. I 2019 var der ca. 1.300 pladser på friplejehjem svarende til
ca. 3 pct. af de samlede plejehjemspladser.
Veje til flere hænder − Task force om social- og sundhedsmedarbejdere
Maj 2020
147
SUU, Alm.del - 2019-20 - Bilag 595: Svar på udvalgets opfølgning og spørgsmål til KL’s Sundheds- og Ældreudvalg efter fællesmødet den 10. september 2020
2255197_0150.png
Kapitel 8
Typiske veje på arbejdsmarkedet
Figur 8.11
Andel af SOSU-hjælpere beskæftiget i det
offentlige sundheds-, ældre- og
socialområdet
i
årene
efter endt uddannelse
Pct.
90
80
70
60
50
40
30
20
10
0
0 1 2 3 4 5 6 7 8 9 10 11 12 13 14 15 16 17
2015
2017
2000
2005
2010
Pct.
90
80
70
60
50
Figur 8.12
Andel af SOSU-hjælpere
beskæftiget i det
private sundheds-,
ældre-
og socialområdet
i årene efter
endt uddannelse
Pct.
8
7
6
5
4
Pct.
8
7
6
5
4
3
2
1
0
0
1
2 3
2000
4
5 6
2005
7
8 9 10 11 12 13 14 15 16 17
2010
2015
2017
40
30
20
10
0
3
2
1
0
Anm.: Sundhedsområdet består af sygehuse, sundhedsplejen, hjemmesygeplejen, alment praktiserende
læger mv., mens ældreområdet og socialområdet består af plejehjem og hjemmeplejen samt og
døgninstitutioner for personer med fysiske eller psykiske handicap. Populationen er afgrænset til
personer, der færdiggør en SOSU-hjælperuddannelse i perioden 2000-2017. Data er fra perioden
2000-2017. Det bemærkers, at der er databrud for arbejdsmarkedsoplysninger mellem 2007 og 2008.
Kilde: Task force om social- og sundhedsmedarbejdere på baggrund af data fra Bevægelsesregistret.
Der er en tendens til, at de nyere uddannelsesårgange blandt SOSU-hjælpere i mindre grad
er beskæftiget uden for sundheds-, ældre- og socialområdet i begyndelsen af deres arbejds
-
liv,
jf. figur 8.13.
Således er omkring hhv. 13 og 18 pct. af uddannelsesårgangene 2000 og
2005 beskæftiget uden for sundheds-, ældre- og socialområdet året efter endt uddannelse,
mens det blot gør sig gældende for omkring 9 pct. for uddannelsesårgangen fra 2010 og
2015. Andelen af SOSU-hjælpere beskæftiget uden for sundheds-, ældre- og socialområdet
10 år efter endt uddannelse er i gennemsnit omkring 9 pct.
Der ses ligeledes, at de nyere uddannelsesårgange har en højere ledighed efter endt uddan
-
nelse end de ældre årgange,
figur 8.14.
For alle årgange falder ledigheden dog med antallet
af år efter endt uddannelse.
148
Veje til flere hænder − Task force om social- og sundhedsmedarbejdere
Maj 2020
SUU, Alm.del - 2019-20 - Bilag 595: Svar på udvalgets opfølgning og spørgsmål til KL’s Sundheds- og Ældreudvalg efter fællesmødet den 10. september 2020
2255197_0151.png
Kapitel 8
Typiske veje på arbejdsmarkedet
Figur 8.13
Andel af SOSU-hjælpere beskæftiget uden
for sundheds-, ældre- og socialområdet i
årene efter endt uddannelse
Pct.
20
18
16
14
12
10
8
6
4
2
0
0 1 2 3 4 5 6 7 8 9 10 11 12 13 14 15 16 17
2000
2005
2010
2015
2017
Pct.
20
18
16
14
12
10
8
6
4
2
0
Figur 8.14
Andel af ledige SOSU-hjælpere i årene efter
endt uddannelse
Pct.
16
14
12
10
8
6
4
2
0
0 1 2 3 4 5 6 7 8 9 10 11 12 13 14 15 16 17
2000
2005
2010
2015
2017
Pct.
16
14
12
10
8
6
4
2
0
Anm.: Sundhedsområdet består af sygehuse, sundhedsplejen, hjemmesygeplejen, alment praktiserende
læger mv., mens ældreområdet og socialområdet består af plejehjem og hjemmeplejen samt og
døgninstitutioner for personer med fysiske eller psykiske handicap. Populationen er afgrænset til
personer, der færdiggør en social- og sundhedshjælperuddannelse i perioden 2000-2017. Data er fra
perioden 2000-2017. Det bemærkers, at der er databrud for arbejdsmarkedsoplysninger mellem 2007
og 2008.
Kilde: Task force om social- og sundhedsmedarbejdere på baggrund af data fra Bevægelsesregistret.
Ligesom for SOSU-assistenterne er en del af forklaringen på det store fald i andelen, som ar-
bejder i det offentlige inden for sundheds-, ældre- og socialområdet, at en stor del af SOSU-
hjælperne videreuddanner sig inden for de øvrige sundhedsuddannelser og derved opnår ny
autorisation,
jf. figur 8.15.
Dette skal ses i lyset af, at SOSU-uddannelserne i 2017 blev om-
lagt fra en tidligere trindelt social- og sundhedsuddannelse til to selvstændige uddannelser,
hhv. SOSU-assistentuddannelsen samt SOSU-hjælperuddannelsen,
jf. kapitel 3.
I gennemsnit havde 33 pct. af dem, der færdiggjorde deres uddannelse som SOSU-hjælpere
for 10 år siden, videreuddannet sig. Heraf uddannede mere end 85 pct. sig til SOSU-assi-
stenter, mens knap 9 pct. uddannede sig til sygeplejersker. I gennemsnit arbejdede 75 pct.
fortsat inden for sundheds-, ældre- og socialområdet.
Veje til flere hænder − Task force om social- og sundhedsmedarbejdere
Maj 2020
149
SUU, Alm.del - 2019-20 - Bilag 595: Svar på udvalgets opfølgning og spørgsmål til KL’s Sundheds- og Ældreudvalg efter fællesmødet den 10. september 2020
2255197_0152.png
Kapitel 8
Typiske veje på arbejdsmarkedet
Figur 8.15
Andel af SOSU-hjælpere, der er videreuddannet inden for de øvrige sundhedsuddannelser i
årene efter endt uddannelse
Pct.
45
40
35
30
25
20
15
10
5
0
0
1
2
3
2000
4
5
6
2005
7
8
9
2010
10
11
12
13
2015
14
15
16
2017
17
Pct.
45
40
35
30
25
20
15
10
5
0
Anm.: Videreuddannelse er defineret som videreuddannelse inden for sundhedsuddannelserne.
Populationen afgrænset til personer med en SOSU-hjælperuddannelse uddannet i perioden 2000-
2017. Data er fra perioden 2000-2017. Det bemærkers, at der er databrud for
arbejdsmarkedsoplysninger mellem 2007 og 2008.
Kilde: Task force om social- og sundhedsmedarbejdere på baggrund af data fra Bevægelsesregistret.
150
Veje til flere hænder − Task force om social- og sundhedsmedarbejdere
Maj 2020
SUU, Alm.del - 2019-20 - Bilag 595: Svar på udvalgets opfølgning og spørgsmål til KL’s Sundheds- og Ældreudvalg efter fællesmødet den 10. september 2020
Denne side er med vilje efterladt uden indhold.
SUU, Alm.del - 2019-20 - Bilag 595: Svar på udvalgets opfølgning og spørgsmål til KL’s Sundheds- og Ældreudvalg efter fællesmødet den 10. september 2020
2255197_0154.png
Denne side er med vilje efterladt uden indhold.
Kapitel 8
Typiske veje på arbejdsmarkedet
Veje til flere hænder − Task force om social- og sundhedsmedarbejdere
Maj 2020
151
SUU, Alm.del - 2019-20 - Bilag 595: Svar på udvalgets opfølgning og spørgsmål til KL’s Sundheds- og Ældreudvalg efter fællesmødet den 10. september 2020
2255197_0155.png
Kapitel 9
9.
Nyt kapitel
Arbejdstid
Omkring halvdelen af sygeplejerskerne arbejder deltid, mens det for SOSU-as-
sistenter og SOSU-hjælpere gør sig gældende for hhv. mellem 70 og 80 pct.
Den gennemsnitlige ugentlige arbejdstid blandt social- og sundhedsmedarbej-
dere er tilsvarende relativt lav på knap 34 timer for sygeplejersker og 30 timer
for SOSU-assistenter og SOSU-hjælpere. Der ses desuden en sammenhæng
mellem social- og sundhedsmedarbejderes arbejdstid første år efter endt ud-
dannelse og deres arbejdstid senere hen i arbejdslivet.
Kapitlet undersøger arbejdstiden blandt social- og sundhedsmedarbejdere efter de har fær-
diggjort deres uddannelse. Herudover undersøges det, hvorvidt der er en sammenhæng mel-
lem arbejdstiden i social- og sundhedsmedarbejderes første år på arbejdsmarkedet og ar-
bejdstiden senere i arbejdslivet. Kapitlets hovedkonklusioner fremgår af
boks 9.1.
Boks 9.1
Kapitlets hovedkonklusioner
Deltidsbeskæftigelse
I gennemsnit er 50 pct. af sygeplejersker fra uddannelsesårgangene 2008-2016 deltidsbeskæftigede et
år efter endt uddannelse. Udviklingen i andelen af deltidsbeskæftigelse er nogenlunde konstant de første
fem år efter endt uddannelse.
Deltidsbeskæftigelse er i endnu højere grad udbredt blandt SOSU-assistenter og SOSU-hjælpere i
samme periode. Et år efter endt uddannelse er i gennemsnit 81 pct. af SOSU-assistenter deltidsbeskæf-
tigede, mens det gælder for 74 pct. af SOSU-hjælpere.
Gennemsnitlig arbejdstid
Den relativt store andel af social- og sundhedsmedarbejdere på deltid ses ligeledes i deres gennemsnit-
lige arbejdstid. Blandt sygeplejersker fra uddannelsesårgangene 2008-2016 var den gennemsnitlige ar-
bejdstid knap 34 timer om ugen første år efter endt uddannelse.
For både SOSU-assistenter og SOSU-hjælpere er arbejdstiden omkring 30 timer om ugen første år efter
endt uddannelse.
Sammenhæng mellem arbejdstid i første beskæftigelse og arbejdstid senere i arbejdslivet
I gennemsnit arbejdede omkring 65 pct. af de sygeplejersker, der arbejder fuld tid et år efter endt uddan-
nelse, ligeledes fuld tid efter fem år. Det gælder for hhv. 54 og 46 pct. af SOSU-assistenter og SOSU-
hjælpere.
Omvendt fremgår det, at omkring 63 pct. de sygeplejersker, der arbejder deltid et år efter endt uddan-
nelse, også var deltidsbeskæftigede efter fem år. Dette gælder for omkring 80 pct. af SOSU-assistenter
og SOSU-hjælpere.
Veje til flere hænder − Task force om social- og sundhedsmedarbejdere
Maj 2020
153
SUU, Alm.del - 2019-20 - Bilag 595: Svar på udvalgets opfølgning og spørgsmål til KL’s Sundheds- og Ældreudvalg efter fællesmødet den 10. september 2020
2255197_0156.png
Kapitel 9
Arbejdstid
Et illustrativt regneeksempel viser, at såfremt 10 pct. af de deltidsbeskæftigede overgår til
fuldtidsbeskæftigelse, medfører det, at udbuddet af hhv. SOSU-hjælpere, SOSU-assistenter
og sygeplejersker hver især øges svarende til en stigning i beskæftigelsen på 1.300 personer
i alt. En relativ lille bevægelse fra deltid til fuldtid kan altså bidrage væsentligt til beskæftigel-
sen. Det skal dog samtidig understreges, at der er tale om et illustrativt regneeksempel, og at
der i regneeksemplet således ikke er taget forbehold for evt. redskaber, der vil skulle tages i
brug for rent faktisk, at realisere at flere medarbejdere går op i tid.
I følgende analyse undersøges, hvordan arbejdstiden blandt beskæftigede social- og sund-
hedsmedarbejdere fordeler sig på tværs af forskellige uddannelsesårgange i det første år ef-
ter afsluttet uddannelse og så mange år frem som muligt.
Opgørelsen indeholder beskæftigede social- og sundhedsmedarbejdere ekskl. personer på fx
barsel- og sygeorlov og dækker perioden 2008-2017. Det er således ikke alle beskæftigede
fra disse uddannelsesårgange, der vil have haft mulighed for at have været lige mange år på
arbejdsmarkedet. Metoden er udfoldet i appendiks 9A.
9.1 Sygeplejersker
I gennemsnit begynder omkring 50 pct. af de nyuddannede sygeplejersker deres arbejdsliv
som deltidsbeskæftigede ét år efter endt uddannelse,
jf. figur 9.1.
Således fylder deltid meget
allerede fra starten af en sygeplejerskes karriere. Efter 5 år på arbejdsmarkedet er andelen
som er deltidsbeskæftiget fortsat omkring 50 pct. Opgørelsen af arbejdstid vedrører den pri-
mære beskæftigelse. Dog ændrer billedet sig ikke, hvis man tager højde for at flere de nyud-
dannede sygeplejersker har mere en ét job
1
.
Der er dog nogen variation mellem uddannelsesårgangene. Blandt sygeplejersker uddannet i
2008 var ca. 45 pct. i deltidsbeskæftigede første år efter afsluttet uddannelse, mens det var
omkring 55 pct. af sygeplejerskerne blandt uddannelsesårgangen fra 2012. Allerede i de før-
ste år efter endt uddannelse udlignes forskellene mellem årgangene imidlertid, hvilket indike-
rer, at variationen mellem uddannelsesårgangene påvirkes af midlertidige forhold, som knyt-
ter sig til det specifikke år, de nyuddannede afslutter uddannelsen, mere end forhold knyttet
til de specifikke årgange.
I gennemsnit har ca. 10 pct. af de beskæftigede sygeplejersker fra uddannelsesårgangene 2008-2016 mere end ét
job første år efter de afsluttede deres uddannelse. Hvis man tager højde for dette og indregner arbejdstid fra den
sekundære beskæftigelse, var ca. 48 pct. af sygeplejerskerne deltidsbeskæftigede første år efter de afsluttede deres
uddannelse.
1
154
Veje til flere hænder − Task force om social- og sundhedsmedarbejdere
Maj 2020
SUU, Alm.del - 2019-20 - Bilag 595: Svar på udvalgets opfølgning og spørgsmål til KL’s Sundheds- og Ældreudvalg efter fællesmødet den 10. september 2020
2255197_0157.png
Kapitel 9
Arbejdstid
Figur 9.1
Andel af beskæftigede sygeplejersker, der
arbejder deltid i årene efter endt uddannelse
Figur 9.2
Ugenlig arbejdstid for beskæftigede
sygeplejersker i årene efter endt
uddannelse
Timer
35
Timer
35
Pct.
70
60
50
40
30
20
10
0
0
1
2008
2
3
2010
4
5
2012
6
7
2014
8
9
2016
Pct.
70
60
50
40
34
34
33
33
30
20
10
0
31
0
1
2008
2
3
2010
4
5
2012
6
7
2014
8
9
2016
31
32
32
Anm.: Populationen er afgrænset til personer med en sygeplejerskeuddannelse uddannet i perioden 2008-
2016. Data er fra perioden 2008-2017. Arbejdstid er opgjort for alle beskæftigede (ekskl. midlertidigt
fraværende fx pga. barselsorlov). Deltid er defineret som mindre end 37 timer om ugen.
Kilde: Task force om social- og sundhedsmedarbejdere på baggrund af data fra Bevægelsesregistret.
Den relativt høje andel på deltid afspejles også i den gennemsnitlige arbejdstid for beskæfti-
gede sygeplejersker i årene efter endt uddannelse, hvor arbejdstiden varierer mellem 32 og
34 timer ugentligt,
jf. figur 9.2.
Forskellene mellem årgangene udlignes dog forholdsvist hur-
tigt, hvorefter den gennemsnitlige arbejdstid er knap 34 timer om ugen på tværs af årgan-
gene.
9.2 SOSU-assistenter
Tendensen for sygeplejersker gør sig ligeledes gældende for SOSU-assistenter, hvor i gen-
nemsnit 81 pct. af de beskæftigede fra uddannelsesårgangene 2008-2016 var deltidsbeskæf-
tigede første år efter endt uddannelse,
jf. figur 9.3.
Som tidligere nævnt vedrører opgørelsen
af arbejdstid den primære beskæftigelse. Billedet er dog det samme, hvis man tager højde for
at flere af de nyuddannede har mere end ét job.
2
Der er dog nogen variation mellem de forskellige uddannelsesårgange. For årgangen, der di-
mitterede i 2008 var det ca. 70 pct., som var ansat på deltid, mens det for årgangen, der di-
mitterede i 2010 var ca. 83 pct. Forskellene kan afspejle forhold knyttet til det specifikke år,
hvor uddannelsesårgangene træder ud på arbejdsmarkedet.
2
I gennemsnit havde knap hver femte SOSU-assistent fra uddannelsesårgangene 2008-2016 mere end ét job før-
ste år efter de afsluttede deres uddannelse. Hvis man indregner denne sekundære beskæftigelse i arbejdstiden var
ca. 75 pct. af SOSU-assistenterne deltidsbeskæftigede første år efter de afsluttede deres uddannelse.
Veje til flere hænder − Task force om social- og sundhedsmedarbejdere
Maj 2020
155
SUU, Alm.del - 2019-20 - Bilag 595: Svar på udvalgets opfølgning og spørgsmål til KL’s Sundheds- og Ældreudvalg efter fællesmødet den 10. september 2020
2255197_0158.png
Kapitel 9
Arbejdstid
Figur 9.3
Andel af beskæftigede SOSU-assistenter,
der arbejder deltid i årene efter endt
uddannelse
Pct.
90
85
80
75
70
65
60
55
50
0
1
2008
2
3
2010
4
5
2012
6
7
2014
8
9
2016
Pct.
90
85
80
75
70
65
Figur 9.4
Arbejdstid for beskæftigede
SOSU-assistenter i årene efter endt
uddannelse
Timer
34
33
32
31
30
Timer
34
33
32
31
30
29
28
27
0
1
2008
2
3
2010
4
5
2012
6
7
2014
8
9
2016
60
55
50
29
28
27
Anm.: Populationen er afgrænset til personer med en SOSU-assistentuddannelse uddannet i perioden 2008-
2016. Data er fra perioden 2008-2017. Arbejdstid er opgjort for alle beskæftigede (ekskl. midlertidigt
fraværende fx pga. barselsorlov). Deltid er defineret som mindre end 37 timer om ugen.
Kilde: Task force om social- og sundhedsmedarbejdere på baggrund af data fra Bevægelsesregistret.
Den relativt store andel deltidsbeskæftigede giver også udslag i en relativt lav gennemsnitlig
ugentlig arbejdstid blandt SOSU-assistenter ift. sygeplejersker,
jf. figur 9.4.
I gennemsnit ar-
bejdede SOSU-assistenter fra uddannelsesårgangene 2008-2016 knap 30 timer om ugen
første år efter endt uddannelse. Arbejdstiden er således omkring 4 timer lavere ugentligt end
for sygeplejersker. Der er dog også her en vis variation mellem uddannelsesårgangene. Et år
efter endt uddannelse har 2008-årgangen en ugentlig arbejdstid på knap 31 timer, mens
2010- og 2012-årgangene arbejder omkring 29 timer. Forskellene i arbejdstiden mindskes
dog i årene efter. Efter fem år på arbejdsmarkedet arbejder SOSU-assistenter i gennemsnit
knap 31 timer om ugen. Dette billede ses også, hvis der tages hensyn til, at SOSU-assisten-
ter i højere grad end sygeplejersker har mere end ét job.
9.3 SOSU-hjælpere
Ligesom blandt sygeplejersker og SOSU-assistenter begynder en stor del af SOSU-hjæl-
perne deres arbejdsliv som deltidsbeskæftigede. I gennemsnit arbejdede 74 pct. af de be-
skæftigede SOSU-hjælpere fra uddannelsesårgangene 2008-2016 deltid et år efter de afslut-
tede deres uddannelse,
jf. figur 9.5.
Fem år efter endt uddannelse er andelen af deltidsbe-
skæftigede i gennemsnit steget til 77 pct.
3
3
I gennemsnit har ca. 18 pct. af de beskæftigede SOSU-hjælpere fra uddannelsesårgangene 2008-2016 mere end
ét job første år efter de afsluttede deres uddannelse. Hvis man tager højde for dette og indregner arbejdstid fra
den sekundære beskæftigelse, var ca. 70 pct. af SOSU-hjælperne deltidsbeskæftigede første år efter de afsluttede
deres uddannelse.
156
Veje til flere hænder − Task force om social- og sundhedsmedarbejdere
Maj 2020
SUU, Alm.del - 2019-20 - Bilag 595: Svar på udvalgets opfølgning og spørgsmål til KL’s Sundheds- og Ældreudvalg efter fællesmødet den 10. september 2020
2255197_0159.png
Kapitel 9
Arbejdstid
Der er således en stor andel af SOSU-hjælperne, som begynder deres arbejdsliv som del-
tidsbeskæftigede.
Andelen af deltidsbeskæftigede et år efter endt uddannelse er dog noget mindre blandt 2008-
årgangen end for de senere uddannelsesårgange. For uddannelsesårgangen fra 2008 arbej-
dede ca. 65 pct. deltid et år efter endt uddannelse, mens det samme gjorde sig gældende for
76 pct. fra 2010-årgangen.
Figur 9.5
Andel af beskæftigede SOSU-hjælpere, der
arbejder deltid i årene efter endt uddannelse
Pct.
90
85
80
75
70
65
60
55
50
0
1
2008
2
3
2010
4
5
2012
6
7
2014
8
9
2016
Pct.
90
85
80
75
70
65
60
55
50
Figur 9.6
Arbejdstid for beskæftigede SOSU-hjælpere
i årene efter endt uddannelse
Timer
32
31
30
29
28
27
26
0
1
2008
2
3
2010
4
5
2012
6
7
2014
8
9
2016
Timer
32
31
30
29
28
27
26
Anm.: Populationen afgrænset til personer med en SOSU-hjælperuddannelse uddannet i perioden 2008-
2016. Data er fra perioden 2008-2017. Arbejdstid er opgjort for alle beskæftigede (ekskl. midlertidigt
fraværende fx pga. barselsorlov). Deltid er defineret som mindre end 37 timer om ugen.
Kilde: Task force om social- og sundhedsmedarbejdere på baggrund af data fra Bevægelsesregistret.
Der ses en lignende variation mellem uddannelsesårgangene med hensyn til den gennem-
snitlige ugentlige arbejdstid,
jf. figur 9.6.
Den gennemsnitlige arbejdstid blandt SOSU-hjæl-
perne fra 2008-årgangen er højere end for de øvrige årgange i alle årene efter endt uddan-
nelse. Den ugentlige arbejdstid for uddannelsesårgangen 2008 er omkring 32 timer et år efter
endt uddannelse, mens det er omkring 30 timer for de øvrige årgange.
9.4 Sammenligning af arbejdstid et år og fem år efter
endt uddannelse
Der ses indikationer på, at arbejdstiden under den første beskæftigelse efter endt uddannelse
har indflydelse på arbejdstiden under senere beskæftigelse for både sygeplejersker, SOSU-
assistenter og SOSU-hjælpere,
jf. figur 9.7.
I gennemsnit er 63 pct. af de beskæftigede sygeplejersker fra uddannelsesårgangene, der
begyndte deres arbejdsliv som deltidsbeskæftigede også deltidsbeskæftigede efter fem år.
Veje til flere hænder − Task force om social- og sundhedsmedarbejdere
Maj 2020
157
SUU, Alm.del - 2019-20 - Bilag 595: Svar på udvalgets opfølgning og spørgsmål til KL’s Sundheds- og Ældreudvalg efter fællesmødet den 10. september 2020
2255197_0160.png
Kapitel 9
Arbejdstid
Blandt de sygeplejersker, der begyndte deres arbejdsliv på fuldtid var det 65 pct., som også
var fuldtidsbeskæftigede efter fem år på arbejdsmarkedet.
Blandt SOSU-assistenter fra uddannelsesårgangene 2008-2011 var det i gennemsnit 81 pct.
af dem, der var deltidsbeskæftigede et år efter endt uddannelse, som også var på deltid efter
fem år på arbejdsmarkedet. I gennemsnit var 54 pct. af de SOSU-assistenter, der begyndte
deres arbejdsliv på fuldtid også på fuldtid et år efter endt uddannelse.
En lignende tendens ses blandt SOSU-hjælperne, hvor i gennemsnit 83 pct. blandt uddannel
-
sesårgangene fra 2008-2011, der arbejdede deltid første år efter end uddannelse også arbej
-
dede deltid fem år efter. Blandt dem, der begyndte deres karriere på fuld tid var ca. 46 pct.
også fuldtidsbeskæftigede efter fem år.
Figur 9.5
Social og sundhedsmedarbejderes arbejdstid første år efter endt uddannelse og fem år
senere
Pct.
90
80
70
60
50
40
30
20
10
0
Deltid første år
Fuld tid første år
Deltid første år
Fuld tid første år
Deltid første år
Fuld tid første år
Sygeplejersker
SOSU-assistenter
Deltid efter 5 år
Fuld tid efter 5 år
SOSU-hjælpere
20
17
36
32
45
64
68
55
49
51
80
Pct.
83
Pct.
90
80
70
60
50
40
30
20
10
0
Anm.: Populationen er afgrænset til beskæftigede, med en social- og sundhedsmedarbejderuddannelse ud
-
dannet i perioden 2008-2011. Kun personer, som både var beskæftigede et år efter endt uddannelse
og fem år efter uddannelse indgår i opgørelserne. Data er fra perioden 2008-2017. Arbejdstid er op
-
gjort for alle beskæftigede (ekskl. midlertidigt fraværende fx pga. barselsorlov). Deltid er defineret som
mindre end 37 timer om ugen.
Kilde: Task force om social- og sundhedsmedarbejdere på baggrund af data fra Bevægelsesregisteret.
Det bemærkes, at det på baggrund af ovenstående ikke er muligt at udlede effekten af at
starte på hhv. deltid eller fuldtid. Der kan være mange årsager til, at en person vælger at tage
en deltidsstilling. Tallene giver dog et grundlæggende overblik over den overordnede sam
-
menhæng mellem arbejdstiden i den første beskæftigelse og arbejdstiden senere hen i ar
-
bejdslivet.
158
Veje til flere hænder − Task force om social- og sundhedsmedarbejdere
Maj 2020
SUU, Alm.del - 2019-20 - Bilag 595: Svar på udvalgets opfølgning og spørgsmål til KL’s Sundheds- og Ældreudvalg efter fællesmødet den 10. september 2020
2255197_0161.png
Kapitel 9
Arbejdstid
9.5 Arbejdstid på det kommunale ældreområde
Sideløbende med analysearbejdet til denne task force har Benchmarkingenheden under So
-
cial- og Indenrigsministeriet udarbejdet en analyse om arbejdstid blandt SOSU-personale på
det kommunale ældreområde.
Analysen blev offentliggjort primo maj 2020 og dykker ned i en delgruppe af social- og sund
-
hedsmedarbejderne, nemlig SOSU-personale i den kommunale ældrepleje. Analysen supple
-
rer dermed de øvrige arbejdstidsanalyser samt udbygger analyserne med et kvalitativt analy
-
searbejde, der søger at afdække de mønstre, den registerbaserede analysedel finder.
4
Et udsnit af analysens hovedkonklusioner præsenteres i det følgende afsnit.
Omfang af fuldtid, deltid og timeansættelser blandt SOSU-personale
På linje med de øvrige analyser om arbejdstid, finder Benchmarkingenheden, at en stor andel
af SOSU-personale i den kommunale sektor er ansatte på deltid,
jf. figur 9.8.
Figur 9.6
Andelen af ansatte på fuldtid, deltid og timeansat, 2019
Pct.
100
Pct.
Pct.
100
80
80
60
60
40
40
20
20
0
Social- og sundhedspersonale
Fuldtid
Lærere
Deltid
Timeansat
Pædagogisk personale
0
Anm.: Populationerne i figuren er afgrænset på overenskomstgruppeniveau. SOSU-personale er afgrænset
til overenskomstgruppen ”Social- og sundhedspersonale, KL” på ældreområdet, ekskl. elevstillinger.
Kilde: Benchmarkingenheden (2020): ”Arbejdstid blandt social- og sundhedspersonalet på det kommunale
ældreområde.”
På tværs af de største kommunale overenskomstgrupper, er SOSU-personale den gruppe af
ansatte, hvor færrest er på fuldtid og flest er på deltid. I 2019 er 72 pct. på deltid, 10 pct. på
fuldtid, mens 18 pct. var timeansatte. Til sammenligning er der blandt lærerne og det pæda
-
gogiske personale hhv. 69 og 40 pct. på fuldtid. Derudover er timeansatte også mindre ud
-
bredt i de andre store overenskomstgrupper.
Af de knap 80.000 personer, der er ansat som SOSU-personale på det kommunale ældreom
-
råde, er størstedelen ansat som enten SOSU-hjælpere eller −assistenter (75 pct.), mens den
4
Benchmarkingenhedens fulde afrapportering kan findes på deres hjemmeside, www.simb.dk.
Veje til flere hænder − Task force om social- og sundhedsmedarbejdere
Maj 2020
159
SUU, Alm.del - 2019-20 - Bilag 595: Svar på udvalgets opfølgning og spørgsmål til KL’s Sundheds- og Ældreudvalg efter fællesmødet den 10. september 2020
2255197_0162.png
Kapitel 9
Arbejdstid
resterende gruppe udgøres af ikke-uddannet personale samt øvrige grupper, herunder luk-
kede uddannelsesgrupper uden ny tilgang som fx hjemmehjælper.
SOSU-hjælpere er i mindre grad på fuldtid og i højere grad på deltid eller timeansatte sam-
menlignet med SOSU-assistenter,
jf. figur 9.9.
Blandt SOSU-hjælperne er 10 pct. således på
fuldtid, 83 pct. på deltid og 7 pct. er timeansatte, mens samme tal for SOSU-assistenterne er
hhv. 16, 78 og 6 pct.
Figur 9.7
Andel af SOSU-personale på fuldtid, deltid
og timeansat, 2019
Pct.
100
90
80
70
60
50
40
30
20
10
0
SOSU-assistenter
Fuldtid
Deltid
16
10
SOSU-hjælpere
Timeansatte
78
83
6
7
Pct.
100
90
80
70
60
50
40
30
20
10
0
Figur 9.8
Andel af SOSU-personale på fuld, deltid
og timeansat fordelt på arbejdssted, 2019
Pct.
100
90
80
70
60
50
40
30
20
10
0
Hjemmepleje
Fuldtid
Deltid
13
8
Plejebolig
Timeansat
73
70
14
22
Pct.
100
90
80
70
60
50
40
30
20
10
0
Anm.: Populationen SOSU-personale er afgrænset til overenskomstgruppen ”Social- og sundheds-
personale, KL” på ældreområdet, ekskl. elevstillinger.
Kilde: Benchmarkingenheden (2020): ”Arbejdstid blandt social- og sundhedspersonalet på det kommunale
ældreområde.”
Hovedparten af de ansatte i den kommunale ældrepleje arbejder enten i hjemmeplejen eller i
plejebolig. En større andel af SOSU-personalet i hjemmeplejen er på fuldtid sammenlignet med
ansatte i plejeboliger. I hjemmeplejen er 13 pct. på fuldtid, mens det er 8 pct. for plejeboliger,
jf. figur 9.10.
Uafhængigt af stillingsbetegnelse, er der generelt flere på fuldtid i hjemmeplejen.
Det tyder på, at forskelle i arbejdstid i højere grad er drevet af arbejdssted frem for stillingska-
tegori, herunder fx arbejdsopgaver, rekruttering mv.
Arbejdstiden blandt SOSU-personale
Andelen af SOSU-personale på fuld tid, deltid og timeansatte giver ikke det fulde billede af
beskæftigelsen, idet arbejdstiden blandt særligt de deltids- og timeansatte kan variere meget.
Betragtes arbejdstiden blandt deltidsansatte i 2019, arbejder SOSU-assistenter generelt
mere end både SOSU-hjælpere og de øvrige ansatte,
jf. figur 9.11.
Omvendt gælder det, hvis
man betragter de timeansattes arbejdstid, hvor SOSU-assistenternes arbejdstid er på 9,4 ti-
mer, mens hjælpere og øvrige ansatte har en arbejdstid på hhv. 11,0 og 12,5 timer,
jf. figur
9.12.
160
Veje til flere hænder − Task force om social- og sundhedsmedarbejdere
Maj 2020
SUU, Alm.del - 2019-20 - Bilag 595: Svar på udvalgets opfølgning og spørgsmål til KL’s Sundheds- og Ældreudvalg efter fællesmødet den 10. september 2020
2255197_0163.png
Kapitel 9
Arbejdstid
Figur 9.9
Arbejdstid blandt deltidsansatte
SOSU-personale, 2019
Timer pr. uge
35
30
25
20
15
10
5
0
29,3
30,7
30,1
23,7
Timer pr. uge
35
30
25
20
15
10
5
0
Figur 9.10
Arbejdstid blandt timeansatte
SOSU-personale, 2019
Timer pr. uge
14
12
10
8
6
4
2
0
0
11,9
9,4
11,0
Timer pr. uge
12,5
14
12
10
8
6
4
2
0
I alt
SOSU-hjælpere
Øvrige
I alt
SOSU-assistenter
Anm.: Kategorien i alt er det vægtede gennemsnit af de tre grupper. Populationen SOSU-personale er
afgrænset til overenskomstgruppen ”Social- og sundhedspersonale, KL” på ældreområdet, ekskl.
elevstillinger.
Kilde: Benchmarkingenheden (2020): ”Arbejdstid blandt social- og sundhedspersonalet på det kommunale
ældreområde.”
På tværs af kommunerne er der ikke en tendens til, at arbejdstiden blandt de deltidsansatte
SOSU-assistenter og SOSU-hjælpere fx er lavere, fordi der er en høj andel fuldtidsansatte
eller en stor andel ikke-uddannede.
De umiddelbare potentialer, der kunne være, hvis man udelukkende ser på den faste ugent-
lige arbejdstid, begrænses dog af, at merarbejde i høj grad er udbredt blandt SOSU-hjælpere
og SOSU-assistenter. Merarbejde opgøres som timer ud over medarbejderens faste timer op
til 37 timer, mens arbejdstid over 37 timer udgør overarbejde.
Ud over de faste timer, har 48 pct. af alle deltidsansatte SOSU-personale merarbejde i 2019,
jf. figur 9.13.
Blandt SOSU-assistenter har 48 pct. merarbejde, imens det hos SOSU-hjæl-
perne gør sig gældende for 46 pct. Det gennemsnitlige merarbejde varierer fra 1,2 timer om
ugen blandt SOSU-assistenter, der har merarbejde, til næsten 4 timer om ugen for SOSU-
personalet under de øvrige grupper,
jf. figur 9.14.
Veje til flere hænder − Task force om social- og sundhedsmedarbejdere
Maj 2020
SOSU-assistenter
SOSU-hjælpere
Øvrige
161
SUU, Alm.del - 2019-20 - Bilag 595: Svar på udvalgets opfølgning og spørgsmål til KL’s Sundheds- og Ældreudvalg efter fællesmødet den 10. september 2020
2255197_0164.png
Kapitel 9
Arbejdstid
Figur 9.11
Andel deltidsansatte SOSU-personale med
merarbejde, 2019
Pct.
60
50
40
30
20
10
0
47,7
48,2
46,4
50,9
50
40
30
20
10
0
Pct.
60
Figur 9.12
Gnst. merarbejde blandt SOSU-personale
med merarbejde, 2019
Timer pr. uge
5
4
3
2
1
0
1,8
1,2
1,4
3,9
Timer pr. uge
5
4
3
2
1
0
I alt
SOSU-assistenter
SOSU-hjælpere
Øvrige
I alt
Anm.: Andelen med merarbejde samt det gennemsnitlige merarbejde er kun opgjort blandt deltidsansatte,
idet kun disse pr. definition kan have merarbejde. Bibeskæftigelse er opgjort som mere end ét
lønmodtagerjob i september 2019. Population af SOSU-personale er afgrænset til
overenskomstgruppen `Social- og sundhedspersonale, KL´ på ældreområdet, ekskl. elevstillinger.
Kilde: Benchmarkingenheden (2020): ”Arbejdstid blandt social- og sundhedspersonalet på det kommunale
ældreområde.”
Andelen med merarbejde og det gennemsnitlige merarbejde skal ses i relation til de faste ti-
mer, idet merarbejde opgøres som timer ud over medarbejderens faste timer op til 37 timer.
Derfor er det ikke overraskende, at de øvrige ansatte i gennemsnit har flere merarbejdstimer,
og at en større andel har merarbejde, idet de har færre faste timer relativt til SOSU-assisten-
terne og hjælperne.
Der ser ud til at være en form for substitution mellem en højere arbejdstid blandt deltidsan-
satte og omfanget af merarbejde. Der er således en tendens til, at kommuner med en høj an-
del ansatte med merarbejde har en lavere arbejdstid blandt de deltidsansatte ift. kommuner
med en lav andel ansatte med merarbejde.
Resultater på kommuneniveau
Ser man på SOSU-assistenternes og SOSU-hjælpernes arbejdstid på kommuneniveau, så
varierer andelen af fuldtidsansatte mellem 1 til 44 pct., mens arbejdstid varierer mellem 25,7
og 33,4 timer om ugen i 2019,
jf. figur 9.15.
75 ud af 98 kommuner placerer sig dog inden for
+/ 1 time af landsgennemsnittet.
162
Veje til flere hænder − Task force om social- og sundhedsmedarbejdere
Maj 2020
SOSU-assistenter
SOSU-hjælpere
Øvrige
SUU, Alm.del - 2019-20 - Bilag 595: Svar på udvalgets opfølgning og spørgsmål til KL’s Sundheds- og Ældreudvalg efter fællesmødet den 10. september 2020
2255197_0165.png
Kapitel 9
Arbejdstid
Figur 9.13
Arbejdstid blandt assistenter og hjælpere i kommunerne, 2019
Timer pr. uge
40
35
30
25
20
15
10
5
0
Timer pr. uge
Timer pr. uge
40
35
30
25
20
15
10
5
0
Anm.: Hver sølje angiver en kommune. Den sorte linje betegner det vægtede landsgennemsnit.
Arbejdstiden er opgjort for både månedsansatte og timelønnede SOSU-assistenter og SOSU-
hjælpere.
Kilde: Benchmarkingenheden (2020): ”Arbejdstid blandt social- og sundhedspersonalet på det kommunale
ældreområde.”
I perioden 2015 til 2019 har hele 85 kommuner øget deres gennemsnitlige arbejdstid med i
gennemsnit 0,9 timer pr. uge.
Barrierer for at øge arbejdstiden
Analyserne af SOSU-personale i den kommunale ældrepleje viser grundlæggende, at medar
-
bejderne har en relativ lav arbejdstid, og at SOSU-personale er én af de personalegrupper,
hvor færrest er på fuld tid, og flest er på deltid.
For at uddybe og kvalificere disse fund har Social- og Indenrigsministeriets Benchmarkingen
-
hed også gennemført en kvalitativ analyse af arbejdstiden blandt SOSU-personale på det
kommunale ældreområde mhp. at kortlægge udbredelsen af de barrierer, der kan være for at
øge arbejdstiden, undersøge indikationer på mulige potentialer samt identificere eksempler
på kommunale initiativer, som har til hensigt at øge arbejdstiden blandt SOSU-personalet.
5
I tidligere undersøgelser er der identificeret en række barrierer, der kan stå i vejen for at øge
social- og sundhedspersonalets beskæftigelsesgrad. Udvalgte af disse hypoteser fremgår af
tabel 9.1.
Den kvalitative analyse er udarbejdet af Epinion på vegne af Social- og Indenrigsministeriets Benchmarkingenhed
og er baseret på interviews i 10 kommuner blandt både leder- og medarbejderrepræsentanter, spørgeskemaunder
-
søgelser blandt ældrechefer (63 besvarelser), institutionsledere (330 besvarelser) og medarbejdere i otte kommuner
(1279 besvarelser) samt en analyse af 1.188 jobopslag.
5
Veje til flere hænder − Task force om social- og sundhedsmedarbejdere
Maj 2020
163
SUU, Alm.del - 2019-20 - Bilag 595: Svar på udvalgets opfølgning og spørgsmål til KL’s Sundheds- og Ældreudvalg efter fællesmødet den 10. september 2020
2255197_0166.png
Kapitel 9
Arbejdstid
Tabel 9.1
Udvalgte hypoteser om barrierer
Medarbejdersiden
Foretrækker at være på deltid af personlige
årsager.
Ønsker ikke flere timer, hvis de ligger i ydertimer.
Ønsker fleksibilitet og egenindflydelse og kan få
merarbejde, hvis de vil.
Kender ikke nødvendigvis muligheden for at få flere
faste timer.
Anser det fysiske og psykiske arbejdsmiljø som
værende hårdt.
Arbejdsgiversiden
Deltidsansatte skaber fleksibilitet ift.
vagtplanlægning, vikardækning og økonomi.
Lederne tror ikke, at medarbejderne ønsker flere
faste timer.
Det kan være sværere at rekruttere medarbejder til
fuldtid fx pga. konkurrence og medarbejdernes
præferencer.
Ny stillinger slås oftest op på deltid eller fleksibel
arbejdstid.
Anm.: Den fulde oversigt over barrierer for at øge SOSU-personalets arbejdstid fremgår af kapitel 2 i
Epinions rapport (2020).
Kilde: Benchmarkingenheden (2020): ”Arbejdstid blandt social- og sundhedspersonalet på det kommunale
ældreområde.”
Overordnet set indikerer resultaterne af den kvalitative analyse, at det kan være en barriere
for at øge den gennemsnitlige beskæftigesesgrad blandt SOSU-personale, at arbejdsgiverne
og medarbejderne ikke altid har samme opfattelse af muligheden for at øge medarbejderens
timetal.
Boks 9.2
gennemgår nogle af de væsentlige resultater fra den kvalitative analyse fra
hhv. et medarbejder- og arbejdsgiverperspektiv.
164
Veje til flere hænder − Task force om social- og sundhedsmedarbejdere
Maj 2020
SUU, Alm.del - 2019-20 - Bilag 595: Svar på udvalgets opfølgning og spørgsmål til KL’s Sundheds- og Ældreudvalg efter fællesmødet den 10. september 2020
2255197_0167.png
Kapitel 9
Arbejdstid
Boks 9.2
Barrierer for at øge den gennemsnitlige beskæftigelsesgrad blandt SOSU-personale
Barrierer set fra et medarbejderperspektiv
59 pct. af de deltidsansatte SOSU-personale er på deltid efter eget valg, mens 34 pct. omvendt er af den
opfattelse, at det ikke var deres eget valg at komme på deltid i deres nuværende stilling.
82 pct. af SOSU-personale er i dag glade for at være på deltid, mens kun 12 pct. ikke er tilfreds med at
være på deltid. Der er dermed en gruppe medarbejdere, der i udgangspunktet ikke selv valgte deltid, der
dog er glade for at være på deltid i dag.
De mest udbredte begrundelser for at være på deltid er arbejdsbelastning, mens næsten lige så mange
peger på, at ønske om mere tid til familieliv er en vigtig eller meget vigtig begrundelse for dem for at være
på deltid.
Barrierer set fra et arbejdsgiverperspektiv
Den mest udbredte barriere for at få SOSU-personale til at øge deres arbejdstid er ifølge både
institutionsledere og ældrechefer, at medarbejderne typisk ikke ønsker at gå op i tid.
Dernæst handler de mest udbredte barierer om organistoriske og planlægningsmæssige hensyn. Et
flertal svarer, at der er lettere at få deltidsansatte til at vikardække for hinanden, og at deltid passer bedre
end fuldtid til arbejdsopgaverne på deres arbejdslads ift. fx vagtplanlægning, der er påvirket af
spidsbelastningsperioder, hvor mange arbejdsopgaver skal løses i samme tidsrum.
39 pct. af de adspurgte ældrechefer har fokus på at øge arbejdstiden blandt de deltidsansatte, og 34 pct.
af ældrecheferne ønsker at øge andelen af fuldtidsansatte. Analysen viser dermed også, at det langt fra
gør sig gældende i alle kommuner.
Kommunerne ser ud til at have fokus på at skabe gode rammer for medarbejderne ved at udvise
fleksibilitet i relation til arbejdstid. De interviewede kommuner peger alle på, at ønsket om fleksibilitet i
relation til arbejdstid udspringer af, at man ønsker at kunne fastholde og tiltrække gode medarbejdere
med de rette kompetencer. Der er øget arbejdstid tilsyneladende ikke førsteprioritet for kommunerne.
Kilde: Benchmarkingenheden (2020): ”Arbejdstid blandt social- og sundhedspersonalet på det kommunale
ældreområde.”
Selvom analysen viser, at en andel af medarbejderne på deltid enten gerne vil have flere ti-
mer nu eller inden for de næste to år, så er det ikke muligt at konkludere noget om størrelsen
på potentialet. Det skyldes bl.a. at andre medarbejdere ønsker at gå ned i tid. Hertil kommer,
at en større andel af SOSU-personalet har merarbejde og bibeskæftigelse, som kan blive er-
stattet af flere faste timer.
Nogle af de initiativer, de interviewede kommuner har igangsat på området, handler om at
kortlægge potentialet for flere timer blandt medarbejderne, have en løbende dialog om ar-
bejdstid og etablere en strategi for, hvordan kommunen vil arbejde med at øge den gennem-
snitlige arbejdstid fremadrettet. Derudover arbejder enkelte kommuner med at slå deres stil-
linger op på fuldtid som udgangspunkt, hvor der dog fortsat kan forhandles om timetallet i den
enkelte rekrutteringssituation. Det går imod den udbredte praksis, da en analyse af kommu-
nernes jobopslag viser, at kun 6 pct. af alle jobopslag målrettes SOSU-personale på fuldtid.
Veje til flere hænder − Task force om social- og sundhedsmedarbejdere
Maj 2020
165
SUU, Alm.del - 2019-20 - Bilag 595: Svar på udvalgets opfølgning og spørgsmål til KL’s Sundheds- og Ældreudvalg efter fællesmødet den 10. september 2020
2255197_0168.png
Denne side er med vilje efterladt uden indhold.
Kapitel 9
Arbejdstid
166
Veje til flere hænder − Task force om social- og sundhedsmedarbejdere
Maj 2020
SUU, Alm.del - 2019-20 - Bilag 595: Svar på udvalgets opfølgning og spørgsmål til KL’s Sundheds- og Ældreudvalg efter fællesmødet den 10. september 2020
2255197_0169.png
Kapitel 10
10.
Nyt kapitel
Geografisk mobilitet
Social- og sundhedsmedarbejdere er en smule mindre geografisk mobile end
den samlede sundhedsfaglige arbejdsstyrke. SOSU-personale er en smule
mindre mobile end sygeplejersker. Mobiliteten har været stabil siden 2000 med
undtagelse af en kraftig stigning i årene 2007 og 2008 og efterfølgende fald i
2009 i forbindelse med finanskrisen. Geografisk jobmobilitet kan imidlertid ikke
alene afhjælpe udfordringer med rekruttering af social- og sundhedsmedarbej-
dere, da der er forgæves rekrutteringer efter social- og sundhedsmedarbejdere
i alle dele af landet.
I dette kapitel belyses den geografiske bopæls- og jobmobilitet blandt social- og sundheds-
medarbejdere, dog med primært fokus på jobmobiliteten. Derudover belyses udviklingen i
mobiliteten over tid, og hvordan mobiliteten varierer på tværs af aldersgrupper og geografiske
områder. Kapitlets hovedkonklusioner fremgår af
boks 10.1.
Boks 10.1
Kapitlets hovedkonklusioner
Social- og sundhedsmedarbejdere er mindre geografisk mobile end den samlede sundhedsfaglige
arbejdsstyrke, dvs. også inklusiv læger, fysioterapeuter mv. Den højere jobmobilitet blandt den
sundhedsfaglige arbejdsstyrke kan hænge sammen med, at den sundhedsfaglige arbejdsstyrke
inkluderer læger, hvis uddannelsesforløb, såvel klinisk basisuddannelse (KBU) som hoveduddannelse,
kan indebære skift mellem forskellige sygehuse rundt i landet.
SOSU-personale er mindre mobile end sygeplejersker. Det gælder både for den geografiske bopæls- og
jobmobilitet.
Tilbøjeligheden til at flytte bopæl eller arbejdssted afhænger af arbejdstagernes alder. Unge er som regel
mere mobile end ældre, og det gælder også for social- og sundhedsmedarbejdere og den samlede
sundhedsfaglige arbejdsstyrke.
Den geografiske jobmobilitet på tværs af kommuner, landsdele og regioner er på samme niveau i dag
som i 2000, og der er samlet set hverken tegn på større eller mindre mobilitet. Det dækker over nogle
underliggende forskelle. Fx er yngre sygeplejersker blevet lidt mindre jobmobile, mens ældre er blevet
mere mobile.
Den geografiske mobilitet steg kraftigt for social- og sundhedsmedarbejdere i årene 2007 og 2008 og
faldt kraftigt i 2009 i forbindelse med finanskrisen. Således ligner social- og sundhedsmedarbejdere det
øvrige arbejdsmarkedet, hvor mobiliteten typisk er stigende i opgangstider og faldende i nedgangstider.
Veje til flere hænder − Task force om social- og sundhedsmedarbejdere
Maj 2020
167
SUU, Alm.del - 2019-20 - Bilag 595: Svar på udvalgets opfølgning og spørgsmål til KL’s Sundheds- og Ældreudvalg efter fællesmødet den 10. september 2020
2255197_0170.png
Kapitel 10
Geografisk mobilitet
10.1 Mobilitets rolle for et velfungerende
arbejdsmarked
Det er vigtigt for et velfungerende arbejdsmarked, at arbejdstagere er geografisk mobile og
kan tilpasse sig geografiske ændringer i efterspørgslen efter arbejdskraft for at undgå ubalan-
cer i form af rekrutteringsudfordringer og ledighed.
Det er særligt vigtigt på de dele af det sundhedsfaglige arbejdsmarked, hvor det kræver auto-
risation at arbejde i Danmark. Det er således i mange tilfælde ikke en mulighed at ansætte
andre faggrupper med lignende kvalifikationer, hvis de ønskede faggrupper er vanskelige at
rekruttere.
Strukturer, som begrænser mobiliteten, kan over tid bidrage til en manglende sammenhæng
mellem efterspørgslen efter arbejdskraft og udbuddet. Det kan fx føre til, at der nogle steder i
landet er problemer med at rekruttere medarbejdere samtidig med, at der andre steder i lan-
det er overskud af arbejdskraft, som søger mod andre brancher eller er ledige.
Som det fremgår af kapitel 11 er der dog forgæves rekrutteringer efter social- og sundheds-
medarbejdere i hele landet, hvilket betyder, at geografisk mobilitet ikke alene vil kunne af-
hjælpe udfordringerne med mangel på arbejdskraft af social- og sundhedsmedarbejdere.
Det er samtidig vigtigt at være opmærksom på, at lav mobilitet kan dække over længereva-
rende ansættelsesforhold, som kan være gavnlig for kvaliteten af opgaveløsningen fx konti-
nuitet i patient-plejer forholdet eller ift. kompetenceopbygning. Derudover kan den geografi-
ske mobilitet være begrænset af personlige forhold.
10.2 Job- og bopælsmobilitet mellem kommuner,
landsdele og regioner
Job- og bopælsmobiliteten opgøres som andelen af beskæftigede, som skifter hhv. arbejds-
sted eller bopæl på tværs af hhv. kommunegrænser, landsdele og regionsgrænser ift. året
før.
1
Den geografiske bopælsmobilitet er væsentlig lavere end jobmobiliteten. Forskellen er størst
for mobilitet på tværs af kommuner, hvor jobmobiliteten er tre gange så høj som bopælsmobi-
liteten, mens den kun er omkring to gange så høj for mobilitet på tværs af regioner,
jf. figur
10.1 og 10.2.
1
Metode uddybes i appendiks 10A.
168
Veje til flere hænder − Task force om social- og sundhedsmedarbejdere
Maj 2020
SUU, Alm.del - 2019-20 - Bilag 595: Svar på udvalgets opfølgning og spørgsmål til KL’s Sundheds- og Ældreudvalg efter fællesmødet den 10. september 2020
2255197_0171.png
Kapitel 10
Geografisk mobilitet
Figur 10.1
Andel social- og sundhedsmedarbejdere,
som flytter arbejdssted (jobmobilitet)
Pct.
12
10
8
6
4
2
0
Kommune
Landsdel
Region
Sygeplejesker
SOSU-personale
Sundhedsfaglig arbejdsstyrke
Pct.
12
10
8
6
4
2
Figur 10.2
Andel social- og sundhedsmedarbejdere,
som flytter bopæl (bopælsmobilitet)
Pct.
4,0
3,5
3,0
2,5
2,0
1,5
1,0
0,5
0
0,0
Kommune
Landsdel
Region
Sygeplejesker
SOSU-personale
Sundhedsfaglig arbejdsstyrke
Pct.
4,0
3,5
3,0
2,5
2,0
1,5
1,0
0,5
0,0
Anm: Job- og bopælsmobilitet opgøres som andelen af beskæftigede, som skifter hhv. arbejdssted eller bo-
pæl på tværs af hhv. kommunegrænser, landsdele og regionsgrænser ift. året før. Landsdele følger
Danmarks Statistiks definition af landsdele.
Kilde: Task force om social- og sundhedsmedarbejdere på baggrund af data fra Bevægelsesregisteret.
Det fremgår endvidere, at både job- og bopælsmobiliteten er større på tværs af kortere geo-
grafiske afstande. Således ses en højere mobilitet på tværs af kommunegrænser end på
tværs af landsdele og regioner. Det bør dog bemærkes, at der også er forskel i den geografi-
ske afstand mellem kommuner, hvorfor der også er forskel på mobiliteten på tværs af kom-
muner alt efter kommunestørrelsen. Et skift til en arbejdsplads i en anden kommune kan fx
være forbundet med relativ større afstand mellem bopæl og arbejdssted i Region Nordjylland
sammenlignet med i Region Hovedstaden.
Social- og sundhedsmedarbejdere er mindre jobmobile end den sundhedsfaglige arbejds-
styrke generelt,
jf. figur 10.1.
Det gælder især for SOSU-personale, som har den laveste mo-
bilitet. Den højere jobmobilitet blandt den sundhedsfaglige arbejdsstyrke kan hænge sammen
med, at den sundhedsfaglige arbejdsstyrke inkluderer læger, hvis uddannelsesforløb, såvel
klinisk basisuddannelse (KBU) som hoveduddannelse, kan indebære skift mellem forskellige
sygehuse rundt i landet.
Billedet er mindre entydigt for bopælsmobiliteten, hvor sygeplejersker har omtrent samme
mobilitet, som den samlede sundhedsfaglige arbejdsstyrke,
jf. figur 10.2.
SOSU-personale
har dog også her den laveste mobilitet. Der ses ikke væsentlige forskelle på SOSU-assisten-
ter og SOSU-hjælpere.
Forskelle mellem faggrupper kan skyldes forskelle i alder og køn, ligesom faggruppens typi-
ske branchebeskæftigelse også kan spille en rolle. Fx er der som regel større mobilitet blandt
yngre aldersgrupper. Faggrupper, såsom sygeplejersker, som i højere er beskæftiget på sy-
gehusene, som er regionalt forankret, vil ofte skulle bevæge sig over større afstande geogra-
fisk i tilfælde af skift af arbejdssted end faggrupper beskæftiget i kommunerne.
Veje til flere hænder − Task force om social- og sundhedsmedarbejdere
Maj 2020
169
SUU, Alm.del - 2019-20 - Bilag 595: Svar på udvalgets opfølgning og spørgsmål til KL’s Sundheds- og Ældreudvalg efter fællesmødet den 10. september 2020
2255197_0172.png
Kapitel 10
Geografisk mobilitet
Udvikling i jobmobiliteten over tid
Den geografiske jobmobilitet blandt social- og sundhedsmedarbejdere er på omtrent samme
niveau i 2017 som i 2000,
jf. figur 10.3.
Figur 10.3
Andel social- og sundhedsmedarbejdere og personale i den sundhedsfaglige arbejdsstyrke,
som flytter arbejdssted mellem kommuner
Pct.
Pct.
Pct.
18
16
14
12
10
8
6
4
2
0
18
16
14
12
10
8
6
4
2
0
00
01
02
03
04
05
06
07
08
09
10
11
12
13
14
15
16
17
Sygeplejesker
SOSU-personale
Sundhedsfaglig arbejdsstyrke
Anm: Jobmobilitet opgøres som andelen af beskæftigede, som skifter arbejdssted på tværs af kommune
-
grænser ift. året før. Kommunegrænser er i årene 2000-2006 før Strukturreformen inddelt i 98 kom
-
muner på linje med afgrænsningen efter Strukturreformen i 2007.
Kilde: Task force om social- og sundhedsmedarbejdere på baggrund af data fra Bevægelsesregisteret.
Det er et velkendt faktum, at jobmobiliteten typisk er stigende i konjunkturopgange og afta
-
gende i konjunkturnedgange.
2
Dette skal bl.a. ses i sammenhæng med, at der er et højere
jobudbud i opgangstider, hvilket fører til flere jobskifte. Den samme tendens ses blandt so
-
cial- og sundhedsmedarbejdere, som ellers adskiller sig fra den samlede arbejdsstyrke ved
overvejende at være offentligt beskæftigede, og i mindre grad privat beskæftigede, som kan
være mere udsatte over for konjunkturudsving.
Mobiliteten stiger således frem mod 2007-2008, hvorefter der sker et stort fald i jobmobilite
-
ten på omkring 5 pct.-point i 2009. Det sker samtidig med, at den økonomiske krise for alvor
indtræffer. Denne udvikling ses for alle faggrupper såvel social- og sundhedsmedarbejdere,
som hele den sundhedsfaglige arbejdsstyrke. Siden 2009 er jobmobilteten steget en smule
igen til omtrent samme niveau som i årene før 2007.
I begyndelsen af perioden er jobmobiliteten højere blandt SOSU-personale end blandt de øv
-
rige grupper. Dette kan hænge sammen med alderssammensætningen, idet uddannelserne
til SOSU-assistent og SOSU−hjælper først blev oprettet i 1990, hvorfor denne arbejdsstyrke
må forventes at være yngre.
2
Kristoffersen, M. S. (2016): ”Geografisk jobmobilitet og lønfleksibilitet”, Danmarks Nationalbank kvartalsover
-
sigt, 3. kvartal.
170
Veje til flere hænder − Task force om social- og sundhedsmedarbejdere
Maj 2020
SUU, Alm.del - 2019-20 - Bilag 595: Svar på udvalgets opfølgning og spørgsmål til KL’s Sundheds- og Ældreudvalg efter fællesmødet den 10. september 2020
2255197_0173.png
Kapitel 10
Geografisk mobilitet
Samme udviklingstendenser gør sig overordnet gældende for jobmobiliteten på tværs af
landsdele og regioner,
jf. figur 10.4 og 10.5.
Dog ses en tendens til et lille fald i jobmobiliteten
over regionsgrænser blandt sygeplejersker. SOSU-personale er i hele perioden mindre tilbø-
jelige til at skifte job over landsdele og regioner end både sygeplejersker og den samlede
sundhedsfaglige arbejdsstyrke. Det fremgår desuden, at jobmobiliteten på tværs af landsdele
og regioner stiger langsommere blandt SOSU-personale efter 2009.
Figur 10.4
Andel social- og sundhedsmedarbejdere og
personer i den sundhedsfaglige
arbejdsstyrke, som flytter arbejdssted
mellem landsdele
Pct.
8
7
6
5
4
3
2
1
0
00
02
04
06
08
10
12
14
Sygeplejesker
SOSU-personale
Sundhedsfaglig arbejdsstyrke
16
Pct.
8
7
6
5
4
3
2
1
0
Figur 10.5
Andel social- og sundhedsmedarbejdere og
personer i den sundhedsfaglige
arbejdsstyrke, som flytter arbejdssted
mellem regioner
Pct.
4,0
3,5
3,0
2,5
2,0
1,5
1,0
0,5
0,0
00
02
04
06
08
10
12
14
Sygeplejesker
SOSU-personale
Sundhedsfaglig arbejdsstyrke
16
Pct.
4,0
3,5
3,0
2,5
2,0
1,5
1,0
0,5
0,0
Anm: Jobmobilitet opgøres som andelen af beskæftigede, som skifter arbejdssted på tværs af hhv. lands-
dele og regionsgrænser ift. året før. Landsdele følger Danmarks Statistiks definition af landsdele.
Regionsgrænser er i årene 2000-2006 før Strukturreformen inddelt i 5 regioner på linje med afgræns-
ningen efter Strukturreformen i 2007.
Kilde: Task force om social- og sundhedsmedarbejdere på baggrund af data fra Bevægelsesregisteret.
Jobmobilitet på tværs af aldersgrupper
Tilbøjeligheden til at flytte arbejdssted afhænger bl.a. af arbejdstagernes alder. Unge er som
regel mere fleksible og mobile end ældre, og det gælder også for både sygeplejersker og
SOSU-personale såvel som den samlede sundhedsfaglige arbejdsstyrke,
jf. figur 10.6.
Veje til flere hænder − Task force om social- og sundhedsmedarbejdere
Maj 2020
171
SUU, Alm.del - 2019-20 - Bilag 595: Svar på udvalgets opfølgning og spørgsmål til KL’s Sundheds- og Ældreudvalg efter fællesmødet den 10. september 2020
2255197_0174.png
Kapitel 10
Geografisk mobilitet
Figur 10.6
Andel af sygeplejersker, SOSU-personale og den sundhedsfaglige arbejdsstyrke som flytter
arbejdssted mellem kommuner fordelt på alder, 2017
Pct.
25
Pct.
Pct.
25
20
20
15
15
10
10
5
5
0
25
30
35
Sygeplejersker
40
45
SOSU-personale
50
55
60
Sundhedsfaglig
arbejdsstyrke
65
0
Anm: Jobmobilitet opgøres som andelen af beskæftigede, som skifter arbejdssted på tværs af kommune
-
grænser ift. året før. Kommunegrænser er i årene 2000-2006 før Strukturreformen inddelt i 98 kom
-
muner på linje med afgrænsningen efter Strukturreformen i 2007.
Kilde: Task force om social- og sundhedsmedarbejdere på baggrund af data fra Bevægelsesregisteret.
Andelen af social- og sundhedsmedarbejdere, som flytter arbejdssted mellem kommuner i
2017, er 15-20 pct. blandt de 20-30 årige. Herefter falder flyttefrekvensen gradvist frem til 60-
årsalderen, hvorefter flyttefrekvensen ligger forholdsvis stabilt på 5 pct.
Forskellen i jobmobiliteten mellem social- og sundhedsmedarbejdere og hele den sundheds
-
faglige arbejdsstyrke ses især for aldersgruppen 25-40 år, hvor social- og sundhedsmedar
-
bejdere har lavere jobmobilitet end den samlede sundhedsfaglige arbejdsstyrke. Dette kan
som tidligere nævnt bl.a. hænge sammen med, at læger, som led i deres uddannelsesforløb,
vil skulle skifte mellem forskellige sygehuse rundt i landet. For de ældre aldersgrupper har
social- og sundhedsmedarbejdere ca. samme jobmobilitet, som den samlede sundhedsfag
-
lige arbejdsstyrke.
Siden 2000 er yngre sygeplejersker under 30 år blevet mindre jobmobile, mens der er en
mindre stigning i mobiliteten mellem kommuner blandt øvrige aldersgrupper af sygeplejer
-
sker,
jf. figur 10.7.
Andelen af SOSU-personale, der flytter arbejdssted mellem kommuner er nogenlunde kon
-
stant fra 2000 til 2017 på trods af større udsving i løbet af perioden særligt omkring 2009,
jf.
figur 10.8.
172
Veje til flere hænder − Task force om social- og sundhedsmedarbejdere
Maj 2020
SUU, Alm.del - 2019-20 - Bilag 595: Svar på udvalgets opfølgning og spørgsmål til KL’s Sundheds- og Ældreudvalg efter fællesmødet den 10. september 2020
2255197_0175.png
Kapitel 10
Geografisk mobilitet
Figur 10.7
Andel sygeplejersker som flytter
arbejdssted mellem kommuner fordelt på
aldersgrupper
Pct.
25
Pct.
25
Figur 10.8
Andel SOSU-personale som flytter
arbejdssted mellem kommuner fordelt på
aldersgrupper
Pct.
30
25
20
Pct.
30
25
20
15
10
5
0
00
02
04
06
08
10
12
14
16
Over 50
Under 30
Mellem 30 og 50
20
20
15
15
15
10
10
10
5
5
5
0
0
00
02
04
06
08
10
12
14
16
Over 50
Under 30
Mellem 30 og 50
0
Anm: Jobmobilitet opgøres som andelen af beskæftigede, som skifter arbejdssted på tværs af kommune-
grænser ift. året før. Kommunegrænser er i årene 2000-2006 før Strukturreformen inddelt i 98 kom-
muner på linje med afgrænsningen efter Strukturreformen i 2007.
Kilde: Task force om social- og sundhedsmedarbejdere på baggrund af data fra Bevægelsesregisteret.
Generelt er der blandt de yngre social- og sundhedsmedarbejdere større udsving i jobmobili-
teten over tid end blandt de ældre aldersgrupper. Det ses især i 2009, hvor faldet i jobmobili-
teten blandt yngre sygeplejersker og SOSU-personale er mere markant end blandt de ældre
aldersgrupper.
Karakteristika for social- og sundhedsmedarbejdere og den sundheds-
faglige arbejdsstyrke
Forskellen i jobmobiliteten blandt sygeplejersker, SOSU-personale og den sundhedsfaglige
arbejdsstyrke kan blandt andet hænge samme med deres baggrundkarakteristika, såsom
køn, alder og branche.
Der er ikke nævneværdig forskel i andelen af faggrupperne, der er 50 år eller derover,
jf. figur
10.9.
En større andel af social- og sundhedsmedarbejderne er kvinder, mens SOSU-personalet of-
tere er beskæftiget inden for ældre- og socialområdet, som bl.a. omfatter hjemmepleje og
plejehjem, mens sygeplejersker oftere er beskæftiget på hospitalerne i regionerne, hvilket
gør, at jobskifte vil skulle foregå over større geografiske afstande.
Veje til flere hænder − Task force om social- og sundhedsmedarbejdere
Maj 2020
173
SUU, Alm.del - 2019-20 - Bilag 595: Svar på udvalgets opfølgning og spørgsmål til KL’s Sundheds- og Ældreudvalg efter fællesmødet den 10. september 2020
2255197_0176.png
Kapitel 10
Geografisk mobilitet
Figur 10.9
Karakteristika for social- og sundhedsmedarbejdere og den sundhedsfaglige arbejdsstyrke,
2017
Pct.
80
70
60
50
40
30
20
10
0
69
56
41
40
41
34
12
15
8
28
Pct.
80
70
60
50
40
30
20
10
0
4
7
Sygeplejersker
Sygeplejersker
Sygeplejersker
Sundhedsfaglig
arb.styrke
Sundhedsfaglig
arb.styrke
Sundhedsfaglig
arb.styrke
Sygeplejersker
SOSU-personale
SOSU-personale
SOSU-personale
50 år el. over
Mænd
Beskæftiget inden for ældre- og
socialområdet
Beskæftiget på hospitaler
Anm: Afgrænset til social- og sundhedsmedarbejdere i beskæftigelse.
Kilde: Task force om social- og sundhedsmedarbejdere på baggrund af data fra Bevægelsesregistret.
Regionale forskelle
Social- og sundhedsmedarbejdere bosat i Region Hovedstaden er mere geografisk jobmobile
end social- og sundhedsmedarbejdere i resten af landet,
jf. figur 10.10 og 10.11.
Mobiliteten
er lavest i Region Nordjylland.
Figur 10.10
Andel sygeplejersker som flytter
arbejdssted mellem kommuner fordelt på
regioner
Pct.
20
Pct.
20
Figur 10.11
Andel SOSU-personale som flytter
arbejdssted mellem kommuner fordelt på
regioner
Pct.
25
Pct.
25
SOSU-personale
Sundhedsfaglig
arb.styrke
20
15
10
5
0
14
16
Syddanmark
20
15
15
15
10
10
10
5
5
5
0
00
02
04
06
Nordjylland
Hovedstaden
08
10
Midtjylland
Sjælland
12
14
16
Syddanmark
0
0
00
02
04
06
Nordjylland
Hovedstaden
08
10
Midtjylland
Sjælland
12
Anm.: Jobmobilitet opgøres som andelen af beskæftigede, som skifter arbejdssted på tværs af kommune-
grænser ift. året før. Kommune og regionsgrænser er i årene 2000-2006 før Strukturreformen inddelt
i 98 kommuner og 5 regioner på linje med afgrænsningen efter Strukturreformen i 2007.
Kilde: Task force om social- og sundhedsmedarbejdere på baggrund af data fra Bevægelsesregisteret.
174
Veje til flere hænder − Task force om social- og sundhedsmedarbejdere
Maj 2020
SUU, Alm.del - 2019-20 - Bilag 595: Svar på udvalgets opfølgning og spørgsmål til KL’s Sundheds- og Ældreudvalg efter fællesmødet den 10. september 2020
2255197_0177.png
Kapitel 10
Geografisk mobilitet
Forskellene skal formentlig ses i lyset af, at den geografiske afstand mellem kommuner er
større i Region Nordjylland end i Region Hovedstaden. Skift til en arbejdsplads i en anden
kommune kan være forbundet med relativ større afstand mellem bopæl og arbejdssted i Re-
gion Nordjylland sammenlignet med i Region Hovedstaden, herunder større afstande til soci-
ale netværk og omgangskreds.
Sammenhæng mellem bopæl og arbejdssted
Geografisk mobilitet og fleksibilitet handler også om arbejdsstyrkens villighed til at bevæge
sig over større afstande for at arbejde uden nødvendigvis at flytte bopæl, dvs. pendlingsaf-
stand. I det følgende belyses andelen af beskæftigede social- og sundhedsmedarbejdere,
som arbejder i en anden region eller landsdel end den som de har bopæl i, som kan være en
indikator på arbejdstyrkens omfang af pendlingsafstand.
3
Der ses større sammenhæng mellem bopælsregion og arbejdsstedsregion for sygeplejersker
og SOSU-personale sammenlignet med den samlede sundhedsfaglige arbejdsstyrke,
jf. tabel
10.1-10.3.
Herudover, er SOSU-personale lidt mere tilbøjelige til at bo og arbejde i samme
region eller landsdel end sygeplejersker, men der ses ikke store forskelle.
Tabel 10.1
Beskæftiget SOSU-personale efter bopæls- og arbejdsregion i 2017, pct.
Arbejdsregion
Nordjylland
Nordjylland
Midtjylland
Bopælsregion
Syddanmark
Hovedstaden
Sjælland
97,5
2,3
0,1
0,1
0,1
Midtjylland Syddanmark
1,3
97,0
1,5
0,1
0,1
.
1,5
98,3
0,1
0,1
Hovedstaden
0,1
0,3
0,5
93,0
6,1
Sjælland
.
0,1
0,3
3,4
96,1
Kilde: Task force om social- og sundhedsmedarbejdere på baggrund af data fra Bevægelsesregisteret.
3
Der skal dog udvises forbehold for denne tilgang. Et mere retvisende mål ville være kørselsafstand eller tidsfor-
bruget mellem bopæl og arbejdssted.
Veje til flere hænder − Task force om social- og sundhedsmedarbejdere
Maj 2020
175
SUU, Alm.del - 2019-20 - Bilag 595: Svar på udvalgets opfølgning og spørgsmål til KL’s Sundheds- og Ældreudvalg efter fællesmødet den 10. september 2020
2255197_0178.png
Kapitel 10
Geografisk mobilitet
Tabel 10.2
Beskæftigede sygeplejersker efter bopæls- og arbejdsregion, 2017
Arbejdsregion
Nordjylland
Nordjylland
Midtjylland
Bopælsregion
Syddanmark
Hovedstaden
Sjælland
97,0
2,8
0,1
0,1
.
Midtjylland Syddanmark
1,6
96,8
1,4
0,2
.
0,1
3,1
96,1
0,3
0,4
Hovedstaden
0,4
1,0
1,0
91,0
6,7
Sjælland
0,1
0,2
0,5
6,3
92,9
Kilde: Task force om social- og sundhedsmedarbejdere på baggrund af data fra Bevægelsesregisteret.
Tabel 10.3
Beskæftiget sundhedsfaglig arbejdsstyrke efter bopæls- og arbejdsregion, 2017
Arbejdsregion
Nordjylland
Nordjylland
Midtjylland
Bopælsregion
Syddanmark
Hovedstaden
Sjælland
91,8
7,3
0,3
0,6
0,1
Midtjylland Syddanmark
1,8
95,2
2,3
0,5
0,1
0,1
4,4
93,9
1,1
0,5
Hovedstaden
0,3
0,8
0,9
90,6
7,4
Sjælland
0,1
0,3
1,3
17,8
80,5
Kilde: Task force om social- og sundhedsmedarbejdere på baggrund af data fra Bevægelsesregisteret.
176
Veje til flere hænder − Task force om social- og sundhedsmedarbejdere
Maj 2020
SUU, Alm.del - 2019-20 - Bilag 595: Svar på udvalgets opfølgning og spørgsmål til KL’s Sundheds- og Ældreudvalg efter fællesmødet den 10. september 2020
Denne side er med vilje efterladt uden indhold.
SUU, Alm.del - 2019-20 - Bilag 595: Svar på udvalgets opfølgning og spørgsmål til KL’s Sundheds- og Ældreudvalg efter fællesmødet den 10. september 2020
2255197_0180.png
Denne side er med vilje efterladt uden indhold.
Kapitel 10
Geografisk mobilitet
Veje til flere hænder − Task force om social- og sundhedsmedarbejdere
Maj 2020
177
SUU, Alm.del - 2019-20 - Bilag 595: Svar på udvalgets opfølgning og spørgsmål til KL’s Sundheds- og Ældreudvalg efter fællesmødet den 10. september 2020
2255197_0181.png
Kapitel 11
Fremtidens udbud af social- og sundhedsmedarbejdere
11.
Fremtidens
udbud af social- og
sundhedsmedarbejdere
I takt med at der kommer flere ældre borgere frem mod 2025, vil behovet for
social- og sundhedsmedarbejdere stige. En fremskrivning peger på et stigende
udbud af sygeplejersker. En fremskrivning af SOSU-assistenter peger på et
stigende eller neutralt udbud, mens en fremskrivning af SOSU-hjælpere peger
på et faldende udbud. Fremskrivninger af udbuddet er behæftet med usikker-
hed, herunder særligt udbuddet af SOSU-personale som følge af omlægningen
af SOSU-uddannelserne i 2017 og skal således ikke tolkes som prognoser.
I dette kapitel foretages en mekanisk fremskrivning af udbuddet af hhv. sygeplejersker,
SOSU-assistenter og SOSU-hjælpere. Kapitlets hovedkonklusioner fremgår af
boks 11.1.
Boks 11.1
Kapitlets hovedkonklusioner
Sygeplejersker
Det stigende optag af studerende på sygeplejerskeuddannelsen samt forventninger til senere tilbage-
trækning fra arbejdsmarkedet peger på, at udbuddet af beskæftigede sygeplejersker stiger med 3.700
personer frem mod 2025. Forventningen til den højere tilbagetrækningsalder øger alene det samlede udbud
med ca. 1.800 personer.
SOSU-assistenter
En stigende andel af SOSU-assistenter er over 60 år. Udbuddet påvirkes derfor i højere grad af tilbage-
trækningsadfærden. En mekanisk fremskrivning, hvor aftale om løft i antal praktikpladser på 1.300 med-
regnes, indebærer en stigning i udbuddet af beskæftigede SOSU-assistenter på ca. 1.200 personer frem
mod 2025. Medregnes løft i antal praktikpladser ikke, vil udbuddet være omtrent uændret.
SOSU-hjælpere
Blandt SOSU-hjælpere er der fortsat stor variation i aldersfordelingen, hvorfor udbuddet frem mod 2025 i
mindre grad påvirkes af tilbagetrækningsadfærden. En mekanisk fremskrivning, hvor aftale om løft i praktik-
pladser på 800 medregnes, indebærer et fald i udbuddet af beskæftigede SOSU-hjælpere med ca. 3.200
personer. Dette er særligt pga. den faldende tilgang til hovedforløbet på uddannelsen i de senere år. Med-
regnes løft i antal praktikpladser ikke, vil udbuddet falde med yderligere ca. 1.400 personer.
Veje til flere hænder − Task force om social- og sundhedsmedarbejdere
Maj 2020
179
SUU, Alm.del - 2019-20 - Bilag 595: Svar på udvalgets opfølgning og spørgsmål til KL’s Sundheds- og Ældreudvalg efter fællesmødet den 10. september 2020
2255197_0182.png
Kapitel 11
Fremtidens udbud af social- og sundhedsmedarbejdere
11.1 Efterspørgsel efter social- og
sundhedsmedarbejdere
Efterspørgslen efter sygeplejersker samt social- og sundhedspersonale drives bl.a. af udvik-
lingen i antallet af ældre borgere i befolkningen. Frem mod 2025 forventes et stigende antal
ældre, herunder især en stigning i ældre over 80 år,
jf. figur 11.1.
Figur 11.1
Udviklingen i antal ældre
1.000 personer
1.000
900
800
700
600
500
400
300
200
100
0
90 91 92 93 94 95 96 97 98 99 00 01 02 03 04 05 06 07 08 09 10 11 12 13 14 15 16 17 18 19 20 21 22 23 24 25
65-80 årige
80+ år
1.000 personer
1.000
900
800
700
600
500
400
300
200
100
0
Kilde: Task force om social- og sundhedsmedarbejdere på baggrund af data fra Danmarks Statistik.
Stigningen i antallet af ældre medfører, alt andet lige, et øget demografisk træk på sundheds-
og plejeområdet og bidrager til en forventet efterspørgsel efter flere hænder på sundheds-,
ældre- og socialområdet. For at imødekomme den stigende efterspørgsel er et tilstrækkeligt
udbud af sundhedspersonale nødvendigt.
Forgæves rekrutteringer
Udviklingen i omfanget af forgæves rekrutteringer kan også være en måde at anskue efter-
spørgsel efter en bestemt faggruppe.
En opgørelse af rekrutteringssituationen i december 2019 viser, at der er regionale forskelle i
rekrutteringssituationen af social- og sundhedsmedarbejdere på tværs af geografiske områ-
der. For SOSU-hjælpere er den forgæves rekrutteringsrate på over 40 pct. i region Vestjyl-
land og Østjylland,
jf. figur 11.2.
Den forgæves rekrutteringsrate blandt SOSU-assistenter er
generelt mindre end for SOSU-hjælperne, men stadigvæk 37 pct. og 39 pct. i hhv. region Ho-
vedstaden og Østjylland,
jf. figur 11.3.
180
Veje til flere hænder − Task force om social- og sundhedsmedarbejdere
Maj 2020
SUU, Alm.del - 2019-20 - Bilag 595: Svar på udvalgets opfølgning og spørgsmål til KL’s Sundheds- og Ældreudvalg efter fællesmødet den 10. september 2020
2255197_0183.png
Kapitel 11
Fremtidens udbud af social- og sundhedsmedarbejdere
Figur 11.2
Forgæves rekrutteringer for SOSU-hjælpere
på tværs af landet
Figur 11.3
Forgæves rekrutteringer for
SOSU-assistenter på tværs af landet
Anm.: Den forgæves rekrutteringsrate viser andelen af virksomhedernes rekrutteringsforsøg, som var
forgæves. Der er tale om en forgæves rekruttering, hvis virksomheden ikke får besat stillingen, eller
hvis stillingen er blevet besat med en medarbejder, der ikke havde de efterspurgte kvalifikationer.
Kilde: Task force om social- og sundhedsmedarbjdere på baggrund af data fra Styrelsen for Arbejdsmarked
og Rekruttering (STAR), rekrutteringssurvey fra december 2019.
Blandt sygeplejersker er der især en høj forgæves rekrutteringsrate i region Hovedstaden på
43 pct., mens det i Sydjylland blot er 11 pct.,
jf. figur 11.4.
Den forgæves rekrutteringsrate for
social- og sundhedsmedarbejdere er generelt højere end den forgæves rekruttering for alle
brancher. På tværs af alle brancher er den forgæves rekrutteringsrate mellem 18-26 pct.,
jf.
figur 11.5.
Rekrutteringsraterne er opgjort for efteråret 2019, dvs. før COVID-19 pandemien og tager
derfor ikke højde for potentielle ændringer i rekrutteringssituationen som følge heraf.
Veje til flere hænder − Task force om social- og sundhedsmedarbejdere
Maj 2020
181
SUU, Alm.del - 2019-20 - Bilag 595: Svar på udvalgets opfølgning og spørgsmål til KL’s Sundheds- og Ældreudvalg efter fællesmødet den 10. september 2020
2255197_0184.png
Kapitel 11
Fremtidens udbud af social- og sundhedsmedarbejdere
Figur 11.4
Forgæves rekrutteringer for sygeplejersker
på tværs af landet
Figur 11.5
Forgæves rekrutteringer for alle brancher
på tværs af landet
Anm.: Den forgæves rekrutteringsrate viser andelen af virksomhedernes rekrutteringsforsøg, som var
forgæves. Der er tale om en forgæves rekruttering, hvis virksomheden ikke får besat stillingen, eller
hvis stillingen er blevet besat med en medarbejder, der ikke havde de efterspurgte kvalifikationer.
Gennemsnittet for alle opslåede stillinger viser forgæves rekrutteringsforsøg på tværs af alle
brancher.
Kilde: Task force om social- og sundhedsmedarbjdere på baggrund af data fra Styrelsen for Arbejdsmarked
og Rekruttering (STAR), rekrutteringssurvey fra december 2019.
11.2 Fremskrivning af udbuddet af social- og
sundhedsmedarbejdere
I det følgende foretages en mekanisk fremskrivning af hhv. udbuddet af sygeplejersker samt
udbuddet af SOSU-assistenter og SOSU-hjælpere frem mod 2025.
Fremskrivning af udbud er foretaget som en mekanisk fremskrivning, hvor udgangspunktet
for fremskrivningen er den seneste uddannelsesaktivitet på de respektive uddannelser, her-
under graden af videreuddannelse, samt forventninger til fremtidige beskæftigelsesfrekven-
ser. Fremskrivningerne skal således ikke tolkes som prognoser, men alene som mekaniske
fremskrivninger, der bygger på nuværende adfærd og en række antagelser. Den fremtidige
udvikling er forbundet med stor usikkerhed og vil afhænge af en række faktorer, som ikke
nødvendigvis er medtaget.
182
Veje til flere hænder − Task force om social- og sundhedsmedarbejdere
Maj 2020
SUU, Alm.del - 2019-20 - Bilag 595: Svar på udvalgets opfølgning og spørgsmål til KL’s Sundheds- og Ældreudvalg efter fællesmødet den 10. september 2020
2255197_0185.png
Kapitel 11
Fremtidens udbud af social- og sundhedsmedarbejdere
Der er i de mekaniske fremskrivninger ikke taget højde for, at erfaringer peger på, at den
økonomiske krise, der ventes i kølvandet på COVID-19 pandemien, generelt kan mindske
rekrutteringsudfordringerne i den offentlige sektor og øge søgningen til uddannelser.
Fremskrivningerne er derudover alene foretaget af sygeplejersker, SOSU-assistenter og
SOSU-hjælpere og tager således ikke højde for øvrige personalegrupper, der i dag og i frem-
tiden ellers måtte være med til at løfte opgavevaretagelsen på sundheds-, ældre- og social-
området.
Endelig skal udbuddet af fremtidens social- og sundhedsmedarbejdere ses i lyset af at
størrelsen på ungdomsårgangene frem mod 2030 vil falde fra ca 68.000 16-årige til ca.
60.000. Dette kan have betydning for optaget på de enkelte uddannelser og er ikke indregnet
i de mekaniske udbudsfremskrivninger. Ungdomsårgangene vil dog stige igen efter 2030 og
toppe i 2045 med ca. 75.000 16-årige.
Udvikling i udbuddet af sygeplejersker
Udbuddet af pladser på sygeplejerskeuddannelsen (dimensioneringen) er øget løbende over
de seneste år, og tilgangen til uddannelsen er samtidig steget. Antallet af dimittender forven-
tes derfor, alt andet lige, at stige i de næste år, hvilket er med til at øge udbuddet af beskæfti-
gede sygeplejersker. Det bemærkes dog, at der inden for de par seneste år er sket et fald i
søgningen til sygeplejerskeuddannelsen.
Stigende efterløns- og folkepensionsalder har øget beskæftigelsesfrekvenserne for berørte
aldersgrupper, idet flere vælger at blive på arbejdsmarkedet. Dette ses blandt sygeplejersker,
som i højere grad er blevet på arbejdsmarkedet i takt med den stigende efterlønsalder,
jf. fi-
gur 11.6 nedenfor.
Et stigende antal dimittender samt senere tilbagetrækning fra arbejdsmarkedet har betydning
for udbuddet af beskæftigede sygeplejersker. En mekanisk fremskrivning baseret på et sce-
narie med den nuværende dimensionering samt forventninger til senere tilbagetrækningsal-
der peger på, at udbuddet af beskæftigede sygeplejersker kan øges med ca. 3.700 personer
frem mod 2025,
jf. figur 11.7.
Heraf bidrager den stigende tilbagetrækningsalder isoleret set
til at øge udbuddet med ca. 1.800 personer.
Ændringen i udbuddet af sygeplejersker skal ses i lyset af, at der i 2017 var ca. 71.000 ud-
dannede sygeplejersker i beskæftigelse.
Veje til flere hænder − Task force om social- og sundhedsmedarbejdere
Maj 2020
183
SUU, Alm.del - 2019-20 - Bilag 595: Svar på udvalgets opfølgning og spørgsmål til KL’s Sundheds- og Ældreudvalg efter fællesmødet den 10. september 2020
2255197_0186.png
Kapitel 11
Fremtidens udbud af social- og sundhedsmedarbejdere
Figur 11.6
Beskæftigelsesfrekvens for alle
sygeplejersker på udvalgte årgange
omkring efterlønsalderen
Pct.
100
90
80
70
60
50
40
30
Figur 11.7
Ændring i udbud af beskæftigede
sygeplejersker ift. 2019
Højere efterlønsalder
Pct.
100
90
80
70
60
50
40
30
1.000 personer
4
1.000 personer
4
3
3
2
2
1
1
59 år 59�½ 60 år 60�½ 61 år 61�½ 62 år 62�½ 63 år
år
år
år
år
Jan 53 (efterløn 60 år)
Jan 54 (efterløn 60�½ år)
Jul 54 (efterløn 61 år)
Jan 55 (efterløn 61�½ år)
Jul 55 (efterløn 62 år)
Jan 56 (efterløn 62�½ år)
Jul 56 (efterløn 63 år)
0
2020
2021
2022
2023
2024
2025
0
Anm.: Figur 11.6 viser beskæftigelsesfrekvensen for udvalgte årgange, som har oplevet en forøgelse af
efterlønsalderen. Opgørelsen inkluderer uddannede sygeplejersker og tager således ikke højde for,
om de er beskæftigede som sygeplejersker eller andet. Beskæftigelsesfrekvensen er opgjort som
andelen i aldersgruppen (dvs. alle personer, uanset om de er medlem af efterlønsordningen), der er
beskæftigede som lønmodtagere juni 2019. De stiplede linjer angiver efterlønsalderen for de
forskellige aldersgrupper. Opgørelsen er baseret på antal hoveder, og er således ikke korrigeret for,
om personerne arbejder på nedsat tid frem til efterlønsalderen.
Kilde: Task force om social- og sundhedsmedarbedjdere på baggrund af data fra Danmarks Statistik.
Den mekaniske fremskrivning er baseret på en række antagelser,
jf. boks 11.2.
184
Veje til flere hænder − Task force om social- og sundhedsmedarbejdere
Maj 2020
SUU, Alm.del - 2019-20 - Bilag 595: Svar på udvalgets opfølgning og spørgsmål til KL’s Sundheds- og Ældreudvalg efter fællesmødet den 10. september 2020
2255197_0187.png
Kapitel 11
Fremtidens udbud af social- og sundhedsmedarbejdere
Boks 11.2
Metode: Mekanisk fremskrivning af udbuddet af sygeplejersker
Fremskrivning af udbuddet af sygeplejersker foretages i to trin. Først fremskrives antal uddannede personer
(opdelt på alder). Dernæst fremskrives beskæftigelsen ud fra antagelser om udviklingen i de uddannedes
beskæftigelsesfrekvenser.
Trin 1: Fremskrivning af antal sygeplejersker
Grundprincippet i fremskrivningen af antal uddannede sygeplejersker er, at der med udgangspunkt i det al-
dersfordelte antal uddannede i udgangsåret 2018 gradvist fremskrives ét år ad gangen ved at indregne al-
dersfordelt tilgang (nyuddannede og nyindvandrede med den givne uddannelse) og aldersfordelt afgang (til
anden uddannelse, udvandring eller død).
I fremskrivningen af nyuddannede sygeplejersker antages, at tilgangen til uddannelsen fastholdes på ni-
veauet for dimensioneringen i 2019, samt at studietid og fuldførelsesprocent svarer til gennemsnittet for de
seneste fire år.
Den aldersfordelte afgangsfrekvens fra den uddannede befolkning antages at svare til gennemsnittet for de
seneste fire år.
Den uddannede befolkning er afgrænset på baggrund af højest fuldførte uddannelse og kun personer op til
70 år indgår i fremskrivningen. Personer, der videreuddanner sig og opnår en anden højest fuldførte uddan-
nelse, indgår ikke i udbudsfremskrivningen. Dvs., at sygeplejersker, der videreuddanner sig og fx tager en
kandidatuddannelse, således ikke indgår i fremskrivningen.
Trin 2: Fremskrivning af beskæftigelsen blandt sygeplejersker
I fremskrivningen for sygeplejerskers beskæftigelse tages udgangspunkt i den køns- og aldersfordelte be-
skæftigelsesfrekvens for sygeplejersker i november 2017. Denne fremskrives med udviklingen i beskæfti-
gelsesfrekvensen for personer med en mellemlang videregående uddannelse i Finansministeriets mellemfri-
stede fremskrivninger. Heri er de forventede stigninger i beskæftigelsesfrekvenserne som følge af forhø-
jelse af efterløns- og folkepensionsalder indregnet.
Udvikling i udbuddet af SOSU-personale
Uddannelserne til SOSU-assistent og SOSU-hjælper bestod indtil 2017 af den trindelte so-
cial- og sundhedsuddannelse. Alle startede således på hjælperuddannelsen og kunne efter-
følgende vælge at forsætte på assistentuddannelsen. I 2017 blev uddannelsen omlagt til to
selvstændige uddannelser, så man i dag kan blive SOSU-assistent uden først at gennemføre
hjælperuddannelsen. Konsekvenserne af omlægningen er endnu ikke slået fuldt igennem på
antallet af fuldførte elever fra SOSU-uddannelserne.
SOSU-uddannelserne er endvidere omfattet af dimensioneringsaftaler mellem regeringen,
KL, Danske Regioner og FOA, som fastsætter et minimumsantal af praktikpladser. I februar
2019 blev der indgået aftale om et løft i antallet af praktikpladser for 2020 og 2021 på hhv.
1.300 pladser på assistentuddannelsen og 800 pladser på hjælperuddannelsen, svarende til
et samlet løft på 30 pct. flere praktikpladser. Det er dog usikkert, hvor stort gennemslag løftet
i praktikpladser får på antallet, der fuldfører uddannelsen, særligt i lyset af, at der hidtil har
været udfordringer med at rekruttere et tilstrækkeligt antal elever til SOSU-uddannelserne.
Ovenstående betyder, alt andet lige, at fremskrivninger af antallet af fuldførte elever fra
SOSU-uddannelserne, og dermed ændringer i udbuddet i de kommende år, er behæftet med
væsentlig usikkerhed. Fremskrivning af udbuddet af SOSU-assistenter og SOSU-hjælpere
vises derfor i to beregningstekniske scenarier:
Veje til flere hænder − Task force om social- og sundhedsmedarbejdere
Maj 2020
185
SUU, Alm.del - 2019-20 - Bilag 595: Svar på udvalgets opfølgning og spørgsmål til KL’s Sundheds- og Ældreudvalg efter fællesmødet den 10. september 2020
2255197_0188.png
Kapitel 11
Fremtidens udbud af social- og sundhedsmedarbejdere
a)
Antal fuldførte fremskrives på baggrund af tilgangen til hovedforløbet, mens uddannel-
sestid og fuldførelsesprocent antages at svare til niveauet for fuldførte i 2018.
Udover ovenstående (a) antages, at aftalen omkring løft i antallet af praktikpladser
medfører en tilsvarende stigning i antal fuldførte. Antallet af praktikpladser fastholdes i
fremskrivningen på det forhøjede niveau fra 2020.
b)
Ligesom for sygeplejerskerne forventes også for SOSU-uddannede, alt andet lige, stigende
beskæftigelsesfrekvenser for en given alder,
jf. figur 11.8 og figur 11.9,
som viser beskæfti-
gelsesfrekvenser for udvalgte årgange omkring efterlønsalderen.
Figur 11.8
Beskæftigelsesfrekvens for alle
SOSU-assistenter på udvalgte årgange
omkring efterlønsalderen
Pct.
90
80
70
60
50
40
30
Figur 11.9
Beskæftigelsesfrekvens for alle
SOSU-hjælpere for udvalgte årgange
omkring efterlønsalderen
Pct.
90
80
70
60
50
40
Pct.
90
80
70
60
50
40
30
Højere efterlønsalder
Højere efterlønsalder
Pct.
90
80
70
60
50
40
30
59 år 59�½ 60 år 60�½ 61 år 61�½ 62 år 62�½ 63 år
år
år
år
år
Jan 53 (efterløn 60 år)
Jan 54 (efterløn 60�½ år)
Jul 54 (efterløn 61 år)
Jan 55 (efterløn 61�½ år)
Jul 55 (efterløn 62 år)
Jan 56 (efterløn 62�½ år)
Jul 56 (efterløn 63 år)
30
59 år 59�½ 60 år 60�½ 61 år 61�½ 62 år 62�½ 63 år
år
år
år
år
Jan 53 (efterløn 60 år)
Jan 54 (efterløn 60�½ år)
Jul 54 (efterløn 61 år)
Jan 55 (efterløn 61�½ år)
Jul 55 (efterløn 62 år)
Jan 56 (efterløn 62�½ år)
Jul 56 (efterløn 63 år)
Anm.: Opgørelsen inkluderer uddannede SOSU-hjælpere og SOSU-assistenter og tager således ikke højde
for, om de er beskæftiget som SOSU-personale eller andet. Beskæftigelsesfrekvensen er opgjort som
andelen i aldersgruppen (dvs. alle personer, uanset om de er medlem af efterlønsordningen), der er
beskæftigede som lønmodtagere juni 2019. De stiplede linjer angiver efterlønsalderen for de
forskellige aldersgrupper. Opgørelsen er baseret på antal hoveder, og er således ikke korrigeret for,
om personerne arbejder på nedsat tid frem til efterlønsalderen.
Kilde: Task force om social- og sundhedsmedarbedjdere på baggrund af data fra Danmarks Statistik.
En mekanisk fremskrivning, hvor stigningen i tilgangen til assistentuddannelsen i de senere
år slår igennem på antal fuldførte SOSU-elever fremadrettet (scenarie a), peger på at det
samlede udbud af beskæftigede SOSU-assistenter i 2025 er omtrent uændret,
jf. figur 11.10.
Indregnes yderligere fuldt gennemslag af stigningen i antal praktikpladser på antal fuldførte
elever (scenarie b), således at antallet af dimittender stiger med ca. 30 pct. i 2023, stiger ud-
buddet af SOSU-assistenter med 1.200 frem mod 2025. Ændringen i udbuddet af SOSU-as-
sistenter skal ses i lyset af, at der i 2017 var ca. 52.200 SOSU-assistenter i beskæftigelse.
Blandt SOSU-assistenter udgør uddannede over 60 år en stadigt stigende andel. Udbuddet
af SOSU-assistenter påvirkes derfor i højere grad af tilbagetrækningsadfærden, end det er
186
Veje til flere hænder − Task force om social- og sundhedsmedarbejdere
Maj 2020
SUU, Alm.del - 2019-20 - Bilag 595: Svar på udvalgets opfølgning og spørgsmål til KL’s Sundheds- og Ældreudvalg efter fællesmødet den 10. september 2020
2255197_0189.png
Kapitel 11
Fremtidens udbud af social- og sundhedsmedarbejdere
tilfældet for SOSU-hjælpere. Således øges det samlede udbud af beskæftigede SOSU-assi-
stenter med ca. 1.700 personer som følge af senere tilbagetrækning sammenlignet med et
forløb, hvor de alders- og kønsspecifikke beskæftigelsesfrekvenser fastholdes på 2018-ni-
veau.
Figur 11.10
Ændring i udbud af beskæftigede
SOSU-assistenter ift. 2019
1.000 personer
3
1.000 personer
3
Figur 11.11
Ændring i udbud af beskæftigede
SOSU-hjælpere ift. 2019
1.000 personer
0
2020
-1
2021
2022
2023
2024
2025
-1
-2
-3
-4
-5
-6
-7
Scenarie a (ekskl. aftale om løft i antal praktikpladser)
Scenarie b (inkl. aftale om løft i antal praktikpladser)
1.000 personer
0
2
2
-2
1
1
-3
-4
-5
0
2020
-1
2021
2022
2023
2024
2025
0
-1
-6
-2
Scenarie a (ekskl. aftale om løft i antal praktikpladser)
Scenarie b (inkl. aftale om løft i antal praktikpladser)
-2
-7
Kilde: Task force om social- og sundhedsmedarbedjdere på baggrund af data fra Danmarks Statistik.
Baseret på scenarie (a) peger en mekanisk fremskrivning på et fald i udbuddet af beskæfti-
gede SOSU-hjælpere på ca. 4.600 personer frem mod 2025,
jf. figur 11.11.
Faldet ses bl.a.
som følge af en faldende tilgang til hovedforløbet på uddannelsen i de senere år. Der er stor
variation i aldersfordelingen blandt beskæftigede SOSU-hjælpere, og udbuddet frem mod
2025 påvirkes derfor i mindre grad af tilbagetrækningsadfærd. Forventningen til stigninger i
beskæftigelsesfrekvenserne, som følge af forhøjelse af efterløns- og folkepensionsalderen,
reducerer faldet i udbuddet af SOSU-hjælpere med ca. 1.100 personer.
Indregnes fuldt gennemslag af den aftalte stigning i antal praktikpladser på antal fuldførte
SOSU-elever,
jf. scenarie b,
således at antallet af dimittender i 2021 stiger med ca. 35 pct.,
peger fremskrivningen på et fald i udbuddet af SOSU-hjælpere med ca. 3.200 personer.
Ændringen i udbuddet af SOSU-hjælpere skal ses i lyset af, at der i 2017 var ca. 58.000
SOSU-hjælpere i beskæftigelse.
Fremskrivningen er lavet ud fra bl.a. den historiske tilgang til uddannelsen, som i disse år er
særligt påvirket af reformen af uddannelsen i 2017. Fremskrivningen skal på den baggrund
tolkes varsomt.
Antagelserne bag den mekaniske fremskrivning er uddybet i
boks 11.3.
Veje til flere hænder − Task force om social- og sundhedsmedarbejdere
Maj 2020
187
SUU, Alm.del - 2019-20 - Bilag 595: Svar på udvalgets opfølgning og spørgsmål til KL’s Sundheds- og Ældreudvalg efter fællesmødet den 10. september 2020
2255197_0190.png
Kapitel 11
Fremtidens udbud af social- og sundhedsmedarbejdere
Boks 11.3
Metode: Mekanisk fremskrivning af udbuddet af SOSU-assistenter og SOSU-hjælpere
Fremskrivning af udbuddet af SOSU-assistenter og SOSU-hjælpere foretages i to trin − først fremskrives
antal uddannede personer (opdelt på alder) og dernæst fremskrives beskæftigelsen ud fra antagelser om
udviklingen i de uddannedes beskæftigelsesfrekvenser.
Trin 1: Fremskrivning af antal SOSU-assistenter og SOSU-hjælpere
Grundprincippet i fremskrivningen af antal SOSU-uddannede er, at der med udgangspunkt i det alders-
fordelte antal uddannede i udgangsåret 2018 gradvist fremskrives ét år ad gangen ved at indregne
aldersfordelt tilgang (nyuddannede og nyindvandrede med den givne uddannelse) og aldersfordelt afgang
(til anden uddannelse, udvandring eller død)
Antal nyuddannede fremskrives på baggrund af tilgangen til hovedforløbet under antagelse af samme
studietidsfordeling og (implicitte) fuldførelsesprocent som for nyuddannede i 2018. På grund af faldende
tilgang til hovedforløbet op til 2018 indebærer denne metode bl.a., at antallet af nyuddannede SOSU-
hjælpere i fremskrivningen vil være lidt lavere end i 2018. Det antages, at tilgangen til hovedforløbet på hhv.
hjælper- og assistentuddannelsen i hele fremskrivningsperioden fastholdes på niveauet i 2018.
Den aldersfordelte afgang fastlægges ved i hele fremskrivningsperioden at fastholde de aldersspecifikke
afgangsfrekvenser fra den uddannede befolkning svarende til gennemsnittet for de seneste tre år. SOSU-
uddannelserne blev i 2017 omlagt fra en tidligere trindelt social- og sundhedsuddannelse til to selvstændige
uddannelser, hhv. SOSU-assistentuddannelsen samt SOSU-hjælperuddannelsen. Det forventes derfor, at
andelen af SOSU-hjælpere, der læser videre til SOSU-assistenter, vil være lavere fremadrettet. Som følge
heraf differentieres der i fremskrivningen af SOSU-hjælpere mellem afgangsfrekvenserne for uddannede før
og efter 2018. For SOSU-hjælpere uddannet før 2018 benyttes den gennemsnitlige afgangsfrekvens for
SOSU-hjælpere over de seneste tre år, mens der for SOSU-hjælpere uddannet fra 2018 og frem frem-
skrives med den gennemsnitlige aldersfordelte afgangsfrekvens for SOSU-assistenter. Det er derved
beregningsteknisk antaget, at SOSU-hjælpere videreuddanner sig i samme grad som SOSU-assistenter.
Den uddannede befolkning er afgrænset på baggrund af højest fuldførte uddannelse, og kun personer op til
70 år indgår i fremskrivningen. Personer, der videreuddanner sig og opnår en anden højest fuldførte
uddannelse, indgår ikke i udbudsfremskrivningen. Dog vil SOSU-hjælpere, der videreuddanner sig til
SOSU-assistenter indgå i udbuddet af SOSU-assistenter.
Trin 2: Fremskrivning af beskæftigelsen blandt SOSU-assistenter og SOSU-hjælpere
I fremskrivningen af SOSU-assistenters og SOSU-hjælperes beskæftigelse tages udgangspunkt i den køns-
og aldersfordelte beskæftigelsesfrekvens for hhv. SOSU-assistenter og SOSU-hjælpere i november 2017.
Denne fremskrives med ændringerne i beskæftigelsesfrekvenser for personer med en erhvervsuddannelse i
Finansministeriets mellemfristede fremskrivninger. Heri er de forventede stigninger i beskæftigelses-
frekvenserne som følge af forhøjelse af efterløns- og folkepensionsalder indregnet.
To scenarier for fremskrivning af antal nyuddannede
Ud over omlægning af SOSU-uddannelserne blev der i 2019 indgået aftale om løft i antallet af praktisk-
pladser for 2020 og 2021 på hhv. 1.300 pladser på assistentuddannelse samt 800 pladser på hjælper-
uddannelsen, svarende til et løft på ca. 30 pct. Alt i alt betyder dette, at fremskrivninger af antallet af
fuldførte elever fra SOSU-uddannelserne og dermed ændringer i udbuddet er behæftet med væsentlig
usikkerhed.
Fremskrivningen af hhv. uddannede SOSU-assistenter og SOSU-hjælpere vises derfor i to
beregningstekniske scenarier:
a)
Antal fuldførte fremskrives på baggrund af tilgangen til hovedforløbet, mens uddannelsestid og
fuldførelsesprocent antages at svare til niveauet for fuldførte i 2018.
Udover ovenstående (a) antages, at aftalen omkring løft i antallet af praktikpladser vil medføre en
tilsvarende stigning i antallet af fuldførte. Antallet af praktikpladser fastholdes i fremskrivningen på det
forhøjede niveau fra 2020.
b)
188
Veje til flere hænder − Task force om social- og sundhedsmedarbejdere
Maj 2020
SUU, Alm.del - 2019-20 - Bilag 595: Svar på udvalgets opfølgning og spørgsmål til KL’s Sundheds- og Ældreudvalg efter fællesmødet den 10. september 2020
Denne side er med vilje efterladt uden indhold.
SUU, Alm.del - 2019-20 - Bilag 595: Svar på udvalgets opfølgning og spørgsmål til KL’s Sundheds- og Ældreudvalg efter fællesmødet den 10. september 2020
2255197_0192.png
Denne side er med vilje efterladt uden indhold.
Kapitel 11
Fremtidens udbud af social- og sundhedsmedarbejdere
Veje til flere hænder − Task force om social- og sundhedsmedarbejdere
Maj 2020
189
SUU, Alm.del - 2019-20 - Bilag 595: Svar på udvalgets opfølgning og spørgsmål til KL’s Sundheds- og Ældreudvalg efter fællesmødet den 10. september 2020
2255197_0193.png
Kapitel 12
12.
Nyt kapitel
Igangværende initiativer
Task forcen om social- og sundhedsmedarbejdere står på skuldrene af en lang
række forskellige initiativer, der er blevet iværksat i løbet af de seneste par år,
og som sigter mod at sikre flere social- og sundhedsmedarbejdere. Det gælder
fx initiativer som er aftalt i forbindelse med finanslovsaftaler og øvrige politiske
aftaler samt initiativer igangsat i kommunalt eller regionalt regi.
Der er i løbet af de sidste par år igangsat en lang række initiativer, der på forskellig vis søger
at øge antallet af social- og sundhedsmedarbejdere både gennem uddannelsesrelaterede til-
tag og gennem arbejdsmarkedsrelaterede tiltag. I dette kapitel gives et overblik over de for-
skellige indsatser og tiltag.
12.1 Initiativer igangsat i kommunalt regi
Der er igangsat en række initiativer af KL eller i kommunalt regi, som søger at understøtte
flere social- og sundhedsmedarbejdere.
KL’s handleplan ’Flere hænder i ældre- og sundhedssektoren’
I oktober 2018 lancerede KL en handlingsplan for øget rekruttering til ældre- og sundheds-
sektoren i kommunerne med 38 konkrete initiativer. Handlingsplanen er en opfølgning på
OK18, hvor KL afsatte over �½ mia. kr. af den samlede lønsum til rekrutteringsindsatsen for
SOSU-personale og erfarne sygeplejersker. De 38 initiativer og anbefalinger er et bud på,
hvordan kommuner, stat m.fl. kan sikre, at der i de kommende år er hænder nok på ældre- og
sundhedsområdet.
Frafald
I januar 2019 lancerede KL en materialepakke med virksomme initiativer rettet mod frafald,
der indeholder konkrete redskaber til, hvordan kommunerne kan arbejde med at reducere fra-
faldet på social- og sundhedsuddannelserne. Materialerne består af to film, en podcast og fire
skriftlige materialer.
Målgruppen er ledere og praktikvejledere på ældre- og sundhedsområdet i kommunerne. De
to film fokuserer på vigtige faktorer i et godt praktikforløb, og at ledelsesfokus og opbakning
blandt kollegaerne skaber motiverede elever, der gennemfører deres uddannelse. I filmene
vises det ligeledes, hvordan der arbejdes med at "spotte" frafaldstruede elever mhp. at sikre
en høj gennemførelse. Podcasten er målrettet ledere og praktikvejledere og handler om re-
kruttering og fastholdelse. De medvirkende er ledere og direktører fra Esbjerg Kommune,
som er lykkes med at reducere frafaldet på uddannelserne til en tredjedel af, hvad det var tid-
ligere.
Veje til flere hænder − Task force om social- og sundhedsmedarbejdere
Maj 2020
191
SUU, Alm.del - 2019-20 - Bilag 595: Svar på udvalgets opfølgning og spørgsmål til KL’s Sundheds- og Ældreudvalg efter fællesmødet den 10. september 2020
2255197_0194.png
Kapitel 12
Igangværende initiativer
Øget dimensionering af praktikpladskapacitet
I 2020 arbejder kommunerne med to af de centrale anbefalinger fra KL’s handleplan ’Flere
hænder i ældre- og sundhedssektoren’. Det handler om at øge praktikpladskapaciteten, så
den svarer til den øgede dimensionering på de to SOSU-uddannelser samt at implementere
det fulde arbejdsgiveransvar for SOSU-assistenterne fra regionerne,
jf. dimensioneringsaftale
for SOSU-uddannelserne i 2020 og 2021, som gennemgås nedenfor.
Overtagelse af arbejdsgiveransvar
I februar 2019 blev der indgået en aftale om et løft i antallet af praktikpladser for 2020-2021 til
i alt 9.000 pladser, heraf 6.000 pladser på uddannelsen til SOSU-assistent og 3.000 pladser
på uddannelsen til SOSU-hjælper.
Med aftalen har kommunerne derudover overtaget arbejdsgiveransvaret for SOSU-elever pr.
1. januar 2020. Overtagelsen af arbejdsgiveransvaret indebærer, at kommunerne fremadret-
tet (fra 2020) ansætter alle SOSU-elever, mens regionerne fremadrettet alene vil stille prak-
tikpladser til rådighed for eleverne. For eleverne betyder det en entydig placering af arbejds-
giveransvaret, og at ansøgningsprocedurerne forhåbentlig bliver enklere.
Vejledning og strategi til kommuner ift. SOSU-skolernes bestyrelser
I 2020 vil KL lancere en vejledning og en overordnet strategi for kommunerne i deres arbejde
med SOSU-skolerne særlig målrettet de kommunale repræsentanter i SOSU-skolernes be-
styrelser. Dette er ligeledes et initiativ i KL’s handleplan
Flere hænder i ældre- og sundheds-
sektoren.
Seniorpolitik
KL lancerede i efteråret 2019 en ny seniorpolitik, der indeholder 22 konkrete anbefalinger til,
hvordan kommunerne skal arbejde med at motivere ældre medarbejdere til at blive lidt læn-
gere på arbejdsmarkedet. Anbefalingerne har fokus på ledelse og kulturændringer, kompe-
tence- og livsfasefokus, pensionskassernes rolle samt beskæftigelsesindsatsen rettet mod
ledige seniorer. KL vil i de kommende år arbejde tæt sammen med kommunerne om anbefa-
lingerne mhp. at de mange gode erfaringer og indsatser deles kommunerne imellem.
Fuld tid
KL og Forhandlingsfællesskabet
1
er som led i OK18-forliget blevet enige om at søsætte et
ambitiøst kommunalt fuldtidsprojekt. I projektet vil de centrale parter i en fælles indsats un-
derstøtte de lokale parter i at finde løsninger der muliggør, at flere ansættes på fuldtid eller
kommer op i tid. Indsatsen handler i høj grad om at udvikle og tilpasse de kommunale ar-
bejdspladser, så fuldtidsansættelser bliver attraktivt for den enkelte medarbejder og muligt ift.
driften.
1
Forhandlingsfællesskabet repræsenterer samtlige forhandlingsberettigede organisationer med ansatte i kommu-
ner og regioner. Forhandlingsfælleskabet består af 53 organisationer og optræder fælles i forhandlingerne med de
kommunale og regionale arbejdsgivere om generelle løn- og arbejdsvilkår.
192
Veje til flere hænder − Task force om social- og sundhedsmedarbejdere
Maj 2020
SUU, Alm.del - 2019-20 - Bilag 595: Svar på udvalgets opfølgning og spørgsmål til KL’s Sundheds- og Ældreudvalg efter fællesmødet den 10. september 2020
2255197_0195.png
Kapitel 12
Igangværende initiativer
Projektet er opdelt i tre spor:
Spor 1
(1. halvår 2020) fokuserer på at modne og kommunikere dagsordenen i alle 98
kommuner. Der planlægges desuden en fælles opstartskonference for alle kommuner.
Spor 2
(i 2020) forløber i tæt samarbejde med 10-15 nøglekommuner, der arbejder kon-
centreret med dagsordenen gennem workshops faciliteret af de centrale parter og med
udgangspunkt i konkrete redskaber.
Spor 3
skal sikre, at de konkrete redskaber, erfaringer og mulige løsninger, der afprøves
og udvikles lokalt spredes til de øvrige kommuner. Efter en midtvejsevaluering af indsat-
sen (okt. 2020) arbejdes der videre med yderligere 10-15 spydspidskommuner. Målet er
efter OK21, at dagsordenen løbende vil udvikle sig til, at alle kommuner tager ejerskab.
KL-konference om rekruttering og kompetencer
Ultimo 2019 afholdte KL en konference om rekruttering og kompetencer. Konferencen havde
en bred tilgang til rekruttering, fastholdelse og kompetenceudvikling i sundheds- og ældre-
sektoren. På konferencen temasatte de centrale aktører udfordringerne og mulige løsninger
på rekruttering, fastholdelse og kompetencer fra kommunernes, fagenes og skolernes vinkel.
Deltagerne blev præsenteret for en række praksisnære temaer:
Hvilken rolle har kommunerne som uddannelses- og læringssted?
Hvilke kompetencer skal kommunerne have for at løse fremtidens opgaver?
Hvordan tiltrækker og fastholder kommunerne den ønskede arbejdskraft?
Hvordan samarbejder vi med uddannelsesinstitutionerne?
Konferencen var velbesøgt med 500 deltagere fra kommuner, regioner, skoler og faglige or-
ganisationer.
AUA-projekt om profilering af SOSU-assistenters og SOSU-hjælperes
fag og faglighed
AUA står for ”Aftale om udviklingsmæssige aktiviteter”. Aftalen forhandles ved overenskomst-
forhandlingerne mellem KL og Forhandlingsfællesskabet. Formålet med projektet er at øge
kendskabet til de mangeartede og forskellige opgaver SOSU-hjælpere og SOSU-assistenter
varetager. Projektet skal tegne tydelige faglige profiler og karriereveje for de to faggrupper.
Projektet har følgende succeskriterier:
At opnå en bedre forståelse af SOSU-hjælperes og SOSU-assistenters kompetencer, op-
gaver og faglighed.
At få tydeliggjort, hvordan karriereveje kan tænkes og forstås ift. SOSU-hjælpere og
SOSU-assistenter.
At få formidlet projektets resultater så lokale ledere, FOA’s medlemmer og FOA’s afdelin-
ger kan bruge dem i praksis.
KL og FOA forventer at kunne afrapportere fra projektet ultimo 2020.
Veje til flere hænder − Task force om social- og sundhedsmedarbejdere
Maj 2020
193
SUU, Alm.del - 2019-20 - Bilag 595: Svar på udvalgets opfølgning og spørgsmål til KL’s Sundheds- og Ældreudvalg efter fællesmødet den 10. september 2020
2255197_0196.png
Kapitel 12
Igangværende initiativer
Videnspredning/digital platform
KL vil i 2020 tage initiativ til videnspredning af ”best practice” i kommunernes arbejde med
rekrutterings- og fastholdelsesdagsorden via en digital platform. KL vil indsamle og formidle
eksempler på de mange rekrutteringsinitiativer, der allerede forgår. Det kunne fx være initiati-
ver rettet mod folkeskoler, jobcentre samt eux-forløb. Ift. frafald vil indsamlingen bygge videre
på eksempler fra KL’s materialepakke, herunder hvordan der systematisk arbejdes med at
”gribe de elever, der er i risiko for at falde fra”.
Evaluering af SOSU-uddannelserne
Parterne bag de to SOSU-uddannelser (FOA, Danske Regioner og KL) har afsat midler til en
evaluering af SOSU-uddannelserne såvel indhold som den nye uddannelsesstruktur fra
2017.
Formålet med evalueringen er at indsamle viden og erfaringer om uddannelsernes indhold
såvel om den ændrede struktur og match til kompetencekravene i det nære sundhedsvæsen
med fokus på at understøtte rekrutteringsdagsordenen. I evalueringen lægges der således op
til et særskilt fokus på den nye struktur i SOSU-assistentuddannelsen, herunder overgangene
mellem de forskellige dele. De første SOSU-assistentelever med både GF2 og det nye ho-
vedforløb dimitterer i foråret 2020.
Styrket kvalitet gennem efteruddannelse
Kompetenceudvikling er vigtig for at sikre den nødvendige kvalitet og fastholdelse af de nu-
værende kommunale medarbejdere bl.a. gennem mulige karrieveje. KL har i efteråret 2019
taget initiativ til at afdække kommunernes efteruddannelsesbehov samt udvikle AMU-pakker
målrettet ufaglærte inden for social- og sundhedsområdet,
jf. trepartsaftalen 2017.
Der pågår
pt. et udviklingsarbejde omkring den sidste AMU-pakke i regi af trepartsaftalen: målrettet
SOSU-hjælpere, der videreuddanner sig til SOSU-assistenter.
Rekrutteringspulje − 0K18
Ved overenskomstforhandlingerne i 2018 blev der afsat en rekrutteringspulje på ca. 522 mio.
kr. Rekrutteringspuljen blev primært prioriteret til SOSU-personale og erfarne sygeplejersker i
kommunerne. Det indebar følgende:
SOSU-personale:
Nyt lønforløb til SOSU-assistenter − en lønforbedring på minimum ét løntrin.
Markant løft af elevlønnen, så at den er på niveau med øvrige erhvervsuddannelser.
Højere honorering for arbejde på skæve tidspunkter.
Pensionsforbedringer.
Sygeplejersker:
Tillæg til erfarne sygeplejersker.
Sammenlægning, forenkling og forhøjelse af tillæg til specialuddannede sygeplejersker.
Højere honorering for arbejde på skæve tidspunkter.
194
Veje til flere hænder − Task force om social- og sundhedsmedarbejdere
Maj 2020
SUU, Alm.del - 2019-20 - Bilag 595: Svar på udvalgets opfølgning og spørgsmål til KL’s Sundheds- og Ældreudvalg efter fællesmødet den 10. september 2020
2255197_0197.png
Kapitel 12
Igangværende initiativer
12.2 Initiativer igangsat i regionalt regi
Der er også igangsat en række initiativer af Danske Regioner og i regionalt regi, som ligele-
des søger af understøtte flere social- og sundhedsmedarbejdere. Disse gennemgås neden-
for.
Fuldtidsinitiativer i arbejdsgiversøjlen
Regionerne opfordrer til at indskærpe, at alle stillinger skal opslås på fuldtid. Initiativet omfat-
ter alle faggrupper. Stillinger, der slås op på fuld tid, vil medvirke til at fremme ændringen af
de regionale arbejdspladser fra deltids- til fuldtidsorganisationer. Danske Regioner vil sam-
men med regionerne følge udviklingen med data fra de enkelte regioner.
Plejepersonale (sygeplejersker, SOSU-hjælpere og SOSU-assistenter) har fra 2020 ret til at
komme på fuldtid. Medarbejdernes ret til fuldtid vil gælde ift. deres nuværende arbejdsfunk-
tion og på deres nuværende arbejdssted.
Der vil i endnu højere grad end i dag blive arbejdet med strukturerede introduktionsforløb,
hvor de nyuddannede får den fornødne hjælp, sparring og støtte, fx fra erfarne sygeplejer-
sker.
Formålet er at nyuddannede får en god og tryg start på det regionale arbejdsmarked og for at
understøtte oplevelsen af, at fuld tid er normen. De nyuddannede får mulighed for at få reser-
veret tid til introduktion.
Danske Regioner vil sammen med regionerne igangsætte et arbejde med videndeling om de
gode eksempler. Organisationerne inddrages i arbejdet.
Fuldtidsinitiativer i samarbejdssøjlen
Forhandlingsfællesskabet og Danske Regioner har en fælles målsætning om, at de regionale
arbejdspladser bliver omdannet til fuldtidsorganisationer, og at det bliver normen for medar-
bejdere at være på fuld tid.
Forhandlingsfællesskabet og Danske Regioner er gået sammen om indsatsen ’Bedre mulig-
hed for fuld tid’, som skal medvirke til at få skabt en tradition på de regionale arbejdspladser,
så det fremover bliver normen at være på fuld tid.
Overgangen fra at være en deltidsorganisation til en fuldtidsorganisation kræver en stor ind-
sats, forandringsvilje og engagement både centralt og lokalt. Alle arbejdspladser er forskel-
lige, og der er behov for forskellige lokale løsninger, når arbejdspladserne ændres fra deltids-
til fuldtidsorganisationer. Fælles for arbejdspladserne er, at der bl.a. skal findes løsninger på
følgende udfordringer: Arbejdstilrettelæggelse, arbejdsplanlægning, arbejdsmiljø og økonomi.
Forandringen til fuldtidsorganisationer skal ske regionalt, hvor arbejdspladserne skal udar-
bejde handleplaner. De centrale parter initierer, understøtter og følger op på den lokale pro-
ces.
Veje til flere hænder − Task force om social- og sundhedsmedarbejdere
Maj 2020
195
SUU, Alm.del - 2019-20 - Bilag 595: Svar på udvalgets opfølgning og spørgsmål til KL’s Sundheds- og Ældreudvalg efter fællesmødet den 10. september 2020
2255197_0198.png
Kapitel 12
Igangværende initiativer
Projekt om ’rette kompetencer til rette opgaver’
Danske Regioner har aftalt et nyt fælles projekt med Sygehussamarbejdet (Yngre læger,
Overlægeforeningen, FOA, Sundhedskartellet og HK), som sætter fokus på ’rette kompeten-
cer til rette opgaver’. Projektets overordnede formål er at understøtte og videndele om igang-
værende initiativer med at sætte de samlede kompetencer i sundhedsvæsenet i spil på nye
og bedre måder.
Projektet skal bl.a. ses i lyset af de mange gode lokalt forankrede indsatser i Region Sjæl-
land. Projektets parter arbejder derfor ud fra en fælles forståelse om, at de gode løsninger
findes lokalt, hvorfor man som centrale parter ønsker at understøtte gode indsatser ift. at
sætte faggrupperne i spil på nye og fleksible måder.
Fælles projekt om rekruttering
Danske Regioner har ved OK18 aftalt et fælles projekt med Forhandlingsfællesskabet om re-
kruttering. Projektet har til formål at bidrage med viden om udfordringer og evt. løsninger
mhp. at understøtte regionernes arbejde med at sikre kvalificeret arbejdskraft.
Projektet har to overordnede spor. Det første er et kvantitativt analysespor, der via en fælles
kortlægning skal give et billede af, hvordan rekrutteringssituationen ser ud på kort og langt
sigt. Det andet er et deskriptivt ”best practice” spor.
Projekt om seniorpolitik og seniorpolitiske tiltag
Ved OK18 indgik parterne på det regionale arbejdsmarked et projekt om seniorpolitik og seni-
orpolitiske tiltag. Projektet har udgangspunkt i en fælles målsætning om at fastholde seniorer
på arbejdsmarkedet, herunder at medarbejderne har et langt og godt arbejdsliv.
I løbet af 2019 er der indsamlet et solidt datagrundlag, der danner grundlag for den igangvæ-
rende analysefase. I analysefasen afdækkes behov for seniorpolitiske tiltag på det regionale
område og analyser af indsatser, effekter og erfaringer af eksisterende seniorpolitiske tiltag.
Projekt om psykisk arbejdsmiljø
Danske Regioner og Forhandlingsfællesskabet aftalte under OK18 et ambitiøst projekt på ar-
bejdsmiljøområdet. Et godt arbejdsmiljø med høj trivsel, meningsfulde opgaver og et godt kol-
legaskab er en vigtig brik i at fastholde medarbejdere i sektoren. Det kan også bidrage til, at
ansatte har lyst til at blive længere på arbejdsmarkedet.
Projektet har to overordnede spor. Det første er konkret ekspertrådgivning til arbejdspladser,
der oplever udfordringer med det psykiske arbejdsmiljø. Det andet spor er et forskningsspor,
som har en kvantitativ og kvalitativ del, og som skal give et bedre grundlag for regionernes
arbejdsmiljøindsatser.
Bedre praktikforløb
Herudover er det en prioriteret indsats i regionerne at skabe attraktive uddannelses- og læ-
ringsmiljøer. Det handler både om at sikre øget gennemførsel og om at synliggøre de regio-
nale arbejdspladser som attraktive efter endt uddannelse.
196
Veje til flere hænder − Task force om social- og sundhedsmedarbejdere
Maj 2020
SUU, Alm.del - 2019-20 - Bilag 595: Svar på udvalgets opfølgning og spørgsmål til KL’s Sundheds- og Ældreudvalg efter fællesmødet den 10. september 2020
2255197_0199.png
Kapitel 12
Igangværende initiativer
Region Syddanmarks budgetaftale for 2020 indeholder fx en delaftale om 5 mio. kr. årligt til at
understøtte et attraktivt uddannelsesmiljø for plejeuddannelserne. Midlerne anvendes til at
styrke praktikvejlederne og de kliniske vejledere med kompetenceudvikling, supervision eller
andre tiltag, der bidrager til kvalitetsudvikling i uddannelserne.
Region Nordjylland arbejder med en ”lærings-buddy”, der støtter de regionalt ansatte SOSU-
assistentelever. Støtten går på at understøtte eleven i at fastholde studiepladsen, hjælpe
med den faglige sparring og hjælpe eleverne med at finde elevernes personlige styrker frem,
hvilket giver selvtillid − som ofte resulterer i færdiggørelse af deres uddannelse.
Danske Regioner deltager ligeledes i en række indsatser, der har til formål at øge gennem-
førslen på SOSU-assistentuddannelsen.
12.3 Initiativer på aftale om finansloven for 2020
Med aftalen om finansloven for 2020 blev der afsat 300 mio. kr. i 2020 og 600 mio. kr. årligt
fra 2021 og frem til ansættelse af flere sygeplejersker. Prioriteringen gør det muligt, er der i
2021 og frem kan ansættes 1.000 flere sygeplejersker på de offentlige sygehuse.
Regeringen og Danske Regioner indgik på den baggrund d. 10. januar 2020 en aftale om at
øge antallet af sygeplejersker på de somatiske og psykiatriske sygehuse med 500 sygeple-
jersker i 2020 og 1.000 sygeplejersker fra 2021. Danske Regioner har igangsat en række
konkrete initiativer for at understøtte realiseringen af målet,
jf. afsnit 12.2.
Regeringen og
Danske Regioner er enige om en løbende opfølgning på status for den regionale indsats, før-
ste gang i foråret 2020.
12.4 Initiativer på aftale om finansloven for 2019
Med aftalen om finansloven for 2019 blev der afsat i alt 149 mio. kr. i perioden 2019-2022 til
en række forskellige initiativer, der skal styrke rekrutteringen til og gennemførelsen af SOSU-
uddannelserne. Disse gennemgås nedenfor.
Styrket praktikvejledning
Med aftalen om finansloven for 2019 blev der afsat 15,9 mio. kr. i 2019 og 14,4 mio. kr. årligt i
2020-2022 til at styrke praktikvejledningen på området. Midlerne skulle bl.a. gå til flere prak-
tikvejledere på SOSU-skolerne, udvikling af en temadag til praktikvejledere i kommuner og
regioner samt oplysningsmateriale til det praktikpladsopsøgende arbejde samt styrket dialog
mellem SOSU-skoler og praktiksteder. Tilskuddet for 2019 svarende til 1 mio. kr. pr. skole er
udbetalt til skolerne i juli 2019.
Derudover blev der med aftalen om finansloven for 2019 afsat 30,0 mio. kr. årligt i 2020 og
2021 til et opstartstilskud til at styrke praktikvejledning i kommunerne med henblik på at un-
derstøtte kommunernes implementering af den kommende dimensioneringsaftale.
Veje til flere hænder − Task force om social- og sundhedsmedarbejdere
Maj 2020
197
SUU, Alm.del - 2019-20 - Bilag 595: Svar på udvalgets opfølgning og spørgsmål til KL’s Sundheds- og Ældreudvalg efter fællesmødet den 10. september 2020
2255197_0200.png
Kapitel 12
Igangværende initiativer
Bedre geografisk dækning
Med aftalen om finansloven for 2019 blev der afsat 1,5 mio. kr. i 2021 og 3,0 mio. kr. i 2022 til
etableringstilskud til nye satellitter med henblik på en bedre geografisk dækning af SOSU-ud-
dannelser i områder, hvor dækningen i dag er mangelfuld pga. afstandsforholdene. Udmønt-
ningen påbegyndes august 2020.
Undervisningsmateriale, kampagner og rådgivningsforløb
Med aftalen om finansloven for 2019 blev der afsat 2,0 mio. kr. i 2019 til undervisningsmateri-
ale om omsorgsarbejdet til folkeskolen og en kampagne om fritidsjobs, 1,0 mio. kr. i 2019 til
et fælles udviklingsprogram om fastholdelse med de relevante parter på området og 0,7 mio.
kr. årligt i 2019 og 2020 til særlige rådgivningsforløb med læringskonsulenter på SOSU-sko-
lerne. Materialet forventes lanceret på emu.dk omkring årsskiftet.
Styrke SOSU-uddannelsers image og oplysningskampagne målrettet
kommuner
Med aftalen om finansloven for 2019 blev der afsat 2,0 mio. kr. i 2019, 4,0 mio. kr. i 2020 og
2,0 mio. kr. i 2021 til en kampagneindsats for at forbedre områdets image med henblik på at
styrke attraktiviteten og fastholdelsen i faget. Dertil blev der afsat 1,0 mio. kr. i 2019 til en op-
lysningskampagne målrettet alle kommuner med fokus på kommunernes muligheder for at
forbedre rekrutteringssituationen i lyset af de nye tiltag og de allerede eksisterende mulighe-
der. Oplysningsmaterialet er udarbejdet i tæt samarbejde med KL, Danske SOSU-Skoler og
FOA og er offentliggjort medio maj. Oplysningsmaterialet består af to film, fire faktaark, her-
under et faktaark om løn og ansættelsesvilkår og et faktaark om grundforløb plus og ad-
gangskurser, samt plakater med praktikmålene for SOSU-uddannelserne.
Styrkede karriereveje
Med aftalen om finansloven for 2019 blev der afsat 0,3 mio. kr. i 2019 og herefter 4,0 mio. kr.
årligt til to nye videreuddannelser for SOSU-assistenter inden for psykiatri og demens. Bag-
grunden var, at mulighederne for specialisering i dag er begrænset for SOSU-personale.
Sundhedsstyrelsen udarbejder på nuværende tidspunkt forslag til, hvordan disse specialise-
ringsveje kan opbygges, herunder overvejelser omkring dimensionering, meritordninger og
fleksibilitet og forventes at afrapportere i maj 2020.
Dertil blev der fastsat en konkret frist for arbejdsmarkedets parters udvikling af de voksen- og
efteruddannelsesforløb, som blev aftalt i VEU-trepartsaftalen fra oktober 2017. AMU-pakken
fra ufaglært til SOSU-hjælper er trådt i kraft pr. 3. april 2020. AMU-pakken fra SOSU-hjælper
til SOSU-assistent forventes udviklet ultimo 2. kvartal 2020.
12.5 Initiativer på aftale om finansloven for 2018
Der blev med aftale om finansloven for 2018 (mellem den tidligere regering og Danske Folke-
parti) afsat samlet set 70 mio. kr. i årene 2018-2021 til en ansøgningspulje, som har til formål
at støtte nye kommunale initiativer, der systematisk skal nedbringe sygefraværet i ældreple-
jen.
198
Veje til flere hænder − Task force om social- og sundhedsmedarbejdere
Maj 2020
SUU, Alm.del - 2019-20 - Bilag 595: Svar på udvalgets opfølgning og spørgsmål til KL’s Sundheds- og Ældreudvalg efter fællesmødet den 10. september 2020
2255197_0201.png
Kapitel 12
Igangværende initiativer
Kommuner, der opnår tilskud fra puljen, skal udarbejde en analyse af sygefraværet i egen
ældrepleje og efterfølgende en strategi for nedbringelse af sygefraværet.
Målgruppen er ansatte i ældreplejen, og puljen har til formål at forebygge sygefravær og be-
grænse længden af sygemeldinger i ældreplejen. Der er nedsat en følgegruppe bestående af
Beskæftigelsesministeriet, Moderniseringsstyrelsen, Sundheds- og Ældreministeriet, KL,
FOA og Dansk Sygeplejerråd.
Puljens anden og sidste ansøgningsrunde blev udmeldt i januar 2020. 45 kommuner har fået
tilsagn om tilskud fra puljen.
12.6 Øvrige politiske aftaler
Der er i løbet af den seneste årrække indgået en række politiske aftaler som på forskellig vis
sigter mod at øge antallet af social- og sundhedsmedarbejdere. Disse gennemgås nedenfor.
Dimensioneringsaftale for SOSU-uddannelserne i 2020 og 2021
Der blev med den seneste dimensioneringsaftale (praktikpladsaftalen) fra februar 2019 mel-
lem den daværende VLAK-regering, KL, Danske Regioner og FOA igangsat en række initiati-
ver, der skal understøtte en øget tilgang og gennemførelse på SOSU-uddannelserne, herun-
der:
Et samlet løft på 30 pct. flere praktikpladser på SOSU-uddannelserne i 2020-2021:
Kommuner og regioner forpligtes til at tilvejebringe mindst 6.000 praktikpladser på ho-
vedforløbet for uddannelsen til SOSU-assistent i 2020-21.
Kommunerne forpligtes til at tilvejebringe mindst 3.000 praktikpladser på uddannelsen
til SOSU-hjælper i 2020-21.
En målsætning om at reducere frafaldet til maksimalt 10 pct. på hovedforløbet (målt tre
måneder efter påbegyndt hovedforløb). Ved aftaleindgåelse var dette frafald på ca. 14
pct.
Løft af dimensioneringen af sygeplejerskeuddannelsen
Sygeplejerskeuddannelsen er underlagt såkaldt uddannelsesspecifik dimensionering, hvor
antallet af pladser på uddannelsen fastsættes årligt forud for sommeroptaget af uddannelses-
og forskningsministeren. Det er de enkelte professionshøjskoler, der på baggrund af dialog
med kommuner og regioner, søger Uddannelses- og Forskningsministeriet om at få justeret
størrelsen på deres optag.
Dimensioneringen af sygeplejerskeuddannelsen er øget løbende over de seneste år. Senest
er dimensioneringen fra 2018 til 2019 øget med i alt 230 pladser.
Forsøgsramme i ’eud-aftalen ’Fra folkeskole til faglært’, 2018
I november 2018 indgik den daværende VLAK-regering, S, DF, RV og SF en aftale på er-
hvervsuddannelsesområdet om en række nye initiativer, der tilsammen skal gøre det mere
attraktivt at vælge − og gennemføre − en erhvervsuddannelse. Initiativerne retter sig mod
Veje til flere hænder − Task force om social- og sundhedsmedarbejdere
Maj 2020
199
SUU, Alm.del - 2019-20 - Bilag 595: Svar på udvalgets opfølgning og spørgsmål til KL’s Sundheds- og Ældreudvalg efter fællesmødet den 10. september 2020
2255197_0202.png
Kapitel 12
Igangværende initiativer
både indholdet og kvaliteten af erhvervsuddannelserne, og hvordan vejen fra folkeskolerne
ind på erhvervsuddannelserne kan blive nemmere for de unge.
Med aftalen blev der afsat en forsøgsramme på 1,5 mio. kr. årligt i 2019 og 2020 til forsøg på
SOSU-uddannelserne for at tilvejebringe flere praktikpladser. Forsøgene skal afprøve indsat-
ser, der har til formål at sikre, at alle praktikpladser besættes. Ansøgningsrunden for 2019 er
afsluttet, og der er igangsat to forsøg med deltagelse af i alt otte skoler. Ansøgningsrunden
for 2020 er ligeledes afsluttet, og der er igangsat yderligere to forsøg, hvor i alt otte skoler er
repræsenteret. Forsøgene har fokus på hhv. overgangen fra grundforløb 2 til uddannelsesaf-
tale og på unge og eux-elever.
Grundforløb plus (GF+) og adgangskurser i eud-aftalen ”Fra folkeskole
til faglært”, 2018
Med den politiske aftale ønskes det, at unge og voksne elever tilbydes GF+ med en samlet
fast varighed på 10 uger umiddelbart forud for påbegyndelse af grundforløbets 2. del (GF2).
Forløbet er målrettet uafklarede elever samt elever med behov for opkvalificering af deres ge-
nerelle almene og erhvervsfaglige kompetencer med henblik på at styrke deres forudsætnin-
ger for senere at kunne opfylde overgangskravene til hovedforløbet. Formålet med GF+ er, at
afklare eleverne og gøre dem parate til at vælge og gennemføre en erhvervsuddannelse.
Adgangskurserne er et nyt selvstændigt uddannelsesforløb begrænset til voksne, der ønsker
at søge optagelse på erhvervsuddannelserne, som supplement til den eksisterende mulighed
med almen voksenuddannelse (avu) på VUC. Erhvervsskolerne får ret til at udbyde selvstæn-
dige adgangskurser i dansk, dansk som andetsprog og matematik på niveau med folkesko-
lens 9. klasseprøver til voksne fra 25 år, der ønsker at søge ind på erhvervsuddannelserne.
Målgruppen optages på en erhvervsuddannelse betinget af, at de opfylder adgangskravene
efter gennemført adgangskursus og forud for erhvervsuddannelsens påbegyndelse. Elever
kan optages på adgangskursus, hvis de efter erhvervsskolens vurdering er tæt på at have
forudsætninger for at påbegynde en erhvervsuddannelse og er motiverede for at tilegne sig
de nødvendige kvalifikationer, så de opfylder adgangskravet til erhvervsuddannelserne.
Rekruttering af dygtige medarbejdere til psykiatrien i regi af ’Aftale om
satspuljen på sundhedsområdet for 2019-2022’
Med ’Aftale om satspuljen på sundhedsområdet for 2019-2022’ blev der nedsat en arbejds-
gruppe, som skulle komme med anbefalinger til en bedre rekruttering og fastholdelse af
sundhedsfagligt personale i psykiatrien, herunder læger, psykologer, terapeuter, sygeplejer-
sker, SOSU-assistenter mv. Arbejdsgruppen bestod af Sundheds- og Ældreministeriet, Sund-
hedsstyrelsen, de faglige organisationer, Danske Regioner og KL. Anbefalingerne blev of-
fentliggjort i januar 2020.
Med satspuljeaftalen blev der desuden afsat i alt 3 mio. kr. til, at satspuljepartierne kunne
drøfte og følge op på arbejdsgruppens i alt 14 anbefalinger.
200
Veje til flere hænder − Task force om social- og sundhedsmedarbejdere
Maj 2020
SUU, Alm.del - 2019-20 - Bilag 595: Svar på udvalgets opfølgning og spørgsmål til KL’s Sundheds- og Ældreudvalg efter fællesmødet den 10. september 2020
2255197_0203.png
Kapitel 12
Igangværende initiativer
Konkret er der afsat midler til:
De faglige selskaber udarbejder i samarbejde med Sundhedsstyrelsen beskrivelser af
mulige karriereveje i psykiatrien for sygeplejersker, psykologer, læger, fysioterapeuter, er-
goterapeuter og SOSU-assistenter. Beskrivelserne skal indeholde muligheder for faglig
udvikling, forskning, kvalitetsarbejde og ledelse.
Sundhedsstyrelsen udarbejder beskrivelser af nuværende arbejdsområder og fremtidige
behov i psykiatrien for fysioterapeuter, ergoterapeuter og SOSU-assistenter og beskrivel-
ser af hvilke emne- og fagområder, man bør overveje efteruddannelse inden for fremad-
rettet.
De øvrige anbefalinger angiver en retning og kan anvendes som inspiration for det fremadret-
tede arbejde med rekruttering og fastholdelse i psykiatrien.
12.7 Øvrige initiativer
Der er desuden igangsat en række initiativer i regi af forskellige ministerier, herunder Uddan-
nelses- og Forskningsministeriet, Sundheds- og Ældreministeriet samt Børne- og Under-
visningsministeriet. Disse gennemgås nedenfor.
Revision af de sundhedsfaglige professionsbacheloruddannelser
Uddannelses- og Forskningsministeriet igangsatte i 2014 et udviklingsprojekt med fokus på
udvikling af de sundhedsfaglige professionsbacheloruddannelser. Udviklingsprojektet omfat-
tede uddannelserne til sygeplejerske, jordemoder, bioanalytiker, radiograf, fysioterapeut, er-
goterapeut, sundhed og ernæring, global nutrition and health og psykomotorisk terapeut.
Udviklingsprojektet blev igangsat på baggrund af tilkendegivelser fra de store aftagere
på sundhedsområdet, herunder KL og Danske Regioner. Organisationerne efterlyste æn-
drede/styrkede kompetencer hos dimittender på de sundhedsfaglige professionsbachelorud-
dannelser. Der var et ønske om, at dimittenderne skal have kompetencer, der kan matche et
komplekst sundhedsvæsen i konstant forandring.
Udviklingsarbejdet blev gennemført i løbet af 2015. I løbet af arbejdet blev der set på, hvor-
dan rammer og indhold på uddannelserne kunne justeres, så de studerende rustes endnu
bedre til arbejdet i fremtidens sundhedsvæsen.
Udviklingsarbejdet blev gennemført i samarbejde med de centrale aktører på området, KL,
Danske Regioner, Sundhedskartellet, de studerende ved de sundhedsfaglige professionsba-
chelorer, Danske Professionshøjskoler og Styrelsen for Patientsikkerhed.
På baggrund af udviklingsarbejdet blev uddannelsesbekendtgørelserne for ni sundhedsfag-
lige professionsbacheloruddannelser, herunder sygeplejerskeuddannelsen, justeret i 2016.
Justeringen indebar bl.a. et øget fokus på generiske kompetencer, tværfaglighed og teknolo-
giforståelse på sygeplejerskeuddannelsen. Desuden indebar justeringen en ændret struktur i
uddannelserne og en justering af uddannelsens mål for læringsudbytte.
Veje til flere hænder − Task force om social- og sundhedsmedarbejdere
Maj 2020
201
SUU, Alm.del - 2019-20 - Bilag 595: Svar på udvalgets opfølgning og spørgsmål til KL’s Sundheds- og Ældreudvalg efter fællesmødet den 10. september 2020
2255197_0204.png
Kapitel 12
Igangværende initiativer
Styregruppen for revisionen af de sundhedsfaglige professionsbacheloruddannelser, bestå-
ende af de nævnte centrale aktører på området, opretholdes fortsat og mødes årligt. Herun-
der har professionshøjskolerne etableret følgegrupper for de enkelte uddannelser, som bidra-
ger til implementeringen af revisionen.
Midler til simulationslaboratorier på sygeplejerskeuddannelsen
Der blev ultimo 2019 ydet et tilskud til professionshøjskolerne på i alt 44,2 mio. kr. til initiativer,
der kan bidrage til at styrke overgangen mellem studie- og praktikperioder på sygeplejerske-
uddannelsen. Professionshøjskolerne kan bruge midlerne over de kommende år f.eks. til op-
bygning af simulationsfaciliteter og læringsformer, der kan understøtte de studerendes prak-
siskompetencer.
Tilskuddene ydes som en del af de samlede driftstilskud til professionshøjskolernes til den
enkelte professionshøjskoles prioritering og fordeles mellem professionshøjskolerne på bag-
grund af studenterårsværk på sygeplejerskeuddannelsen i 2018.
Samarbejde omkring bedre udnyttelse af sygeplejerskes kompetencer
Sundheds- og Ældreministeriet er i samarbejde med bl.a. Dansk Sygeplejeråd og Styrelsen
for Patientsikkerhed ved at se nærmere på, om sygeplejersker i fremtiden skal kunne vare-
tage flere opgaver selvstændigt.
Dette skal ske ved at give sygeplejersker adgang til på nærmere afgrænsede områder at ud-
føre opgaver, som de i dag løser på delegation fra en læge. Der vil være tale om opgaver,
som det vurderes, at sygeplejersker har relevante kompetencer til at udføre på egen hånd.
I dag er det forbeholdt læger at gennembryde hud. Sygeplejersker, der i deres daglige ar-
bejde f.eks. udtager blodprøver og udfører vaccinationer, gør det således som medhjælp for
en læge. Det er hensigten, at sygeplejersker med forslaget bl.a. selvstændigt skal kunne ud-
tage kapillærblodprøver og veneblodprøver samt udføre visse vaccinationer til raske indivi-
der.
Hensigten er at understøtte udviklingen i opgavevaretagelsen og behovet for fleksibilitet, så
en sygeplejerske ikke behøver kontakte en læge, før sygeplejersken foretager behandlingstil-
tag, som sygeplejersken har relevante kompetencer til at foretage selvstændigt. Det vil gøre
det muligt at opnå en hurtigere beslutningsproces ift. patienternes aktuelle behandlingsbehov
og vil samtidig kunne bidrage til en bedre ressourceudnyttelse og frigive lægeressourcer til
anden og mere kompliceret behandling.
Initiativet vil kræve en ændring af autorisationsloven samt tilvejebringelse af den nødvendige
finansiering.
Sundheds- og Ældreministeriet har siden den 1. oktober 2018 samarbejdet med Dansk Syge-
plejeråd og Styrelsen for Patientsikkerhed om at kvalificere initiativet. Processen med at kva-
lificere initiativet pågår fortsat. Forslaget om flere selvstændige opgaver til sygeplejerskerne
indgik desuden i den tidligere regerings sundhedsreform.
202
Veje til flere hænder − Task force om social- og sundhedsmedarbejdere
Maj 2020
SUU, Alm.del - 2019-20 - Bilag 595: Svar på udvalgets opfølgning og spørgsmål til KL’s Sundheds- og Ældreudvalg efter fællesmødet den 10. september 2020
2255197_0205.png
Kapitel 12
Igangværende initiativer
Bedre data
Der pågår pt. et arbejde i Styrelsen for IT og Læring (STIL) og Styrelsen for Undervisning og
Kvalitet (STUK) under Børne- og Undervisningsministeriet og i samarbejde med KL, Danske
Regioner, FOA og Danske SOSU-skoler, der sigter mod at sikre mere løbende og valide
data, ensartet producere for dataindsamling og mere transparens, som kan bidrage til, at der
kan ageres hurtigere og mere målrettet ift. uddannelsesindsatsen på social- og sundhedsom-
rådet.
12.8 Rekrutteringskanaler til SOSU-uddannelserne
Endelig findes der en række eksisterende indsatser med specifikt fokus på rekruttering til
SOSU-uddannelserne, og hvor der evt. kan være basis for at understøtte yderligere rekrutte-
ring. Nedenfor gives et overblik over hhv.:
Understøttende indsatser i beskæftigelsessystemet, herunder VEU-koordinatorer og en
række uddannelsesordninger inden for beskæftigelsesindsatsen.
Kommunale erfaringer med rekruttering til SOSU-uddannelserne via integrationsgrundud-
dannelsen (igu).
Samarbejde mellem fx VUC-institutioner, FGU-institutioner og SOSU-skoler om rekrutte-
ring af elever til SOSU-området.
Understøttende indsatser i beskæftigelsessystemet
Uddannelsesordningerne i beskæftigelsessystemet er primært målrettet gruppen af ledige
med laveste uddannelsesniveau. Der er i beskæftigelsessystemet tale om en bred vifte af
indsatser, som både indeholder korte, jobrettede opkvalificeringskurser samt egentlige løft fra
ufaglært til faglært. De forskellige ordninger skal understøtte arbejdsmarkedets behov for
kvalificeret arbejdskraft og styrke lediges jobmuligheder.
Nedenfor skitseres dels de såkaldte VEU-koordinatorers arbejde med projekter inden for
SOSU-området samt uddannelsesmuligheder i beskæftigelsessystemet, som kan have rele-
vans for at understøtte øget rekruttering til SOSU-området.
VEU-koordinatorer
Som led i Trepartsaftalen fra 2017 om styrket og mere fleksibel voksen-, efter- og videreud-
dannelse blev der afsat 100 mio. kr. i perioden 2018-2021 til at styrke samarbejdet mellem
bl.a. virksomheder, jobcentre, a-kasser, uddannelsesinstitutioner og erhvervsservice, så der
lokalt og regionalt tages bedre hånd om virksomheders efterspørgsel efter bestemte kompe-
tencer.
De otte regionale arbejdsmarkedsråd (RAR) har i forlængelse heraf fået til opgave at ind-
samle oplysninger om virksomhedernes behov for kompetencer og samtidig koordinere job-
centrenes kursusindkøb hos erhvervsskolerne. Til det formål har Styrelsen for Arbejdsmarked
og Rekruttering (STAR) ansat omkring 30 VEU-koordinatorer, der skal hjælpe de regionale
arbejdsmarkedsråd med opgaven.
Veje til flere hænder − Task force om social- og sundhedsmedarbejdere
Maj 2020
203
SUU, Alm.del - 2019-20 - Bilag 595: Svar på udvalgets opfølgning og spørgsmål til KL’s Sundheds- og Ældreudvalg efter fællesmødet den 10. september 2020
2255197_0206.png
Kapitel 12
Igangværende initiativer
Koordinatorerne skal igangsætte regionale samarbejder om opkvalificering og vil bl.a. benytte
sig af et nyt meldesystem, hvor virksomheder, kommuner og a-kasser mv. kan gøre opmærk-
som på deres behov. De oplysninger viderebringer koordinatorerne herefter til erhvervssko-
lerne og hjælper med at koordinere kurserne på tværs af kommuner.
De otte regionale arbejdsmarkedsråd (RAR) udpeger løbende strategiske indsatsområder,
hvor der vurderes at være mangel på arbejdskraft. SOSU er udpeget som indsatsområde i
syv af de otte RAR
2
. VEU-koordinatorerne har iværksat i alt 15 forløb inden for SOSU-områ-
det, hvor 315 kursister har gennemført forløbene. Heraf var hovedparten ledige.
De uddannelsesordninger, der anvendes i beskæftigelsessystemet til de nævnte projekter, er
fortrinsvist den regionale uddannelsespulje, 6 ugers jobrettet uddannelse og tilbud efter en
jobplan. Derudover overgår mange borgere til en uddannelsesaftale efter endt forløb fx under
voksenlærlingeordningen.
Forløbene sammensættes i et samarbejde mellem arbejdsgiver- og arbejdstagersiden, ud-
dannelsesinstitution og jobcentre og koordineres af VEU-koordinatorerne på tværs af de in-
volverede parter. Forløbene skræddersyes til arbejdsmarkedets behov i de enkelte RAR-om-
råder, hvorfor forløbene er fleksible og varierer i opbygning.
Det er centralt i forløbene, at de udvikles på tværs af jobcentre. På den måde samles ledige
og beskæftigede på hold på tværs af kommuner for at opfylde kursushold. Kurserne tilpasses
de involverede virksomheders konkrete behov. Indledningsvist i forløbene er der typisk et
screeningsforløb, hvor virksomheder og ledige ser hinanden an og matches, hvorefter opkva-
lificering sker som veksling mellem korte kurser og praktik i virksomheden. Forløbene er of-
test meritgivende og har altid et klart jobsigte i fokus.
I appendiks 11A
er der skitseret to eksempler på projektforløb koordineret af VEU-koordinato-
rerne.
Uddannelsesordninger inden for beskæftigelsesindsatsen
Nedenfor beskrives en række uddannelsesordninger inden for beskæftigelsesindsatsen, som
giver mulighed for uddannelse af personale inden for SOSU-området. Uddannelsesordnin-
gerne er primært målrettet de ledige voksne med lavest uddannelsesniveau, og skal gøre det
muligt for ledige at opnå kompetencer, der matcher behovet på arbejdsmarkedet, og som un-
derstøtter, at de kan opnå en varig tilknytning til arbejdsmarkedet.
Indsatserne adskiller sig fra det ordinære uddannelsessystem ved at den ledige typisk vil
kunne opretholde en højere ydelse, fx dagpenge, sammenlignet med den SU, elevløn eller
skolepraktikydelse, vedkommende ville være berettiget til i det ordinære uddannelsessystem.
2
RAR Nordjylland, RAR Vestjylland, RAR Østjylland, RAR Sydjylland, RAR Fyn, RAR Hovedstaden, RAR
Bornholm.
204
Veje til flere hænder − Task force om social- og sundhedsmedarbejdere
Maj 2020
SUU, Alm.del - 2019-20 - Bilag 595: Svar på udvalgets opfølgning og spørgsmål til KL’s Sundheds- og Ældreudvalg efter fællesmødet den 10. september 2020
2255197_0207.png
Kapitel 12
Igangværende initiativer
Vejledning og opkvalificering
er en samlekategori for en række tilbud, som jobcentret
kan bevilge til ledige. Det kan både være korte vejlednings- og afklaringsforløb, men også
ordinære uddannelsesforløb, herunder erhvervsuddannelser eller dele af en erhvervsud-
dannelse, fx inden for SOSU-området. Den ledige vil i udgangspunktet modtage sin sæd-
vanlige ydelse eller et beløb tilsvarende denne i den periode, hvor den ledige deltager i
opkvalificeringen. Kommunerne refunderes ikke direkte for deres udgifter til tilbud om vej-
ledning og opkvalificering, men udgiftsområdet er omfattet af budgetgarantien.
3
Pulje til uddannelsesløft
giver dagpengemodtagere med størst behov mulighed for et
uddannelsesløft fra ufaglært til faglært i form af en erhvervsuddannelse. Ordningen gør
det muligt for dagpengemodtagere, at tage en erhvervsuddannelse på højest 80 pct. af
den maksimale dagpengesats med mulighed for at låne op til den hidtidige dagpengesats.
Hvis den forsikrede ledige starter på en erhvervsuddannelse fra positivlisten for uddannel-
sesløftet i perioden 2017-2020, modtager vedkommende 100 pct. af den hidtidige dag-
pengesats.
Positivliste for voksenlærlingeordningen er en landsdækkende liste, som angiver områder
med mangel på arbejdskraft. Inden for SOSU-området er uddannelserne til SOSU-assi-
stent samt SOSU-hjælper på den aktuelle positivliste gældende til og med 30. juni 2020.
Kommunerne får dækket 80 pct. af udgifterne til igangsatte forløb. Puljen er målrettet
dagpengemodtagere, der er fyldt 30 år, og enten er ufaglærte eller faglærte med en for-
ældet uddannelse. Som reglerne er i dag, skal den ledige kunne færdiggøre størstedelen
af uddannelsen inden for dagpengeperioden.
For at et uddannelsesløft kan bevilges, er det et krav, at uddannelsen enten gennemføres
uden både grundforløb og praktikforløb (såkaldt euv1), eller
uden
grundforløbets 2. del og
med praktik (såkaldt euv2), såfremt praktikforløbet kan gennemføres med skolepraktik.
4
Skolepraktik udbydes ikke som en del af uddannelserne inden for SOSU-området, hvorfor
uddannelserne − for at kunne blive taget som et uddannelsesløft − skal kunne gennemfø-
res som euv1-forløb (dvs. uden praktik). Her er det altovervejende uddannelsen til SOSU-
hjælper, der er relevant. Det skyldes, at det kun er i særlige tilfælde, at voksne kan få
godskrevet deres erfaring til
SOSU-assistent,
bl.a. grundet kravet om erhvervserfaring fra
forskellige arbejdsområder
5
.
Undtaget er udgifter til tilbud til personer i jobafklarings- og ressourceforløb, førtidspensionister samt unge un-
der 18 år.
4
En midlertidig ordning giver dog mulighed for at bl.a. voksne ufaglærte uden relevant erhvervserfaring eller ud-
dannelse kan gennemføre et trin under puljen som led i en erhvervsuddannelse.
5
For at opfylde kravet om 2 års relevant erhvervserfaring skal eleven kunne dokumentere erhvervserfaring af
mindst �½ års varighed fra hvert af de tre nedenstående arbejdsområder 1) det nære sundhedsvæsen, 2) somatik
og 3) psykiatri. Det er ligeledes et krav, at ansøger kan dokumentere erfaring med følgende jobfunktioner 1) erfa-
ring med flere vagtlag med hovedvægt på dagvagt og 2) erfaring med selvstændigt tværfagligt og tværsektorielt
samarbejde, grundlæggende sygepleje, afbrydelse af smitteveje, dokumentation af sygepleje, rehabiliterende ind-
satser samt anvendelse af velfærdsteknologi. Erhvervserfaring medrenes, hvis erfaringen er erhvervet inden for de
seneste 4 år før uddannelsens start.
3
Veje til flere hænder − Task force om social- og sundhedsmedarbejdere
Maj 2020
205
SUU, Alm.del - 2019-20 - Bilag 595: Svar på udvalgets opfølgning og spørgsmål til KL’s Sundheds- og Ældreudvalg efter fællesmødet den 10. september 2020
2255197_0208.png
Kapitel 12
Igangværende initiativer
Voksenlærlingeordningen
giver jobcentrene mulighed for at give et tilskud til arbejdsgi-
vere, der indgår en uddannelsesaftale om en erhvervsuddannelse med voksne, der er
fyldt 25 år. Elevlønnen for personer over 25 år (voksenlærlinge) er højere end lønnen for
personer under 25 år. Voksenlærlingeordningen giver derfor mulighed for, at arbejdsgive-
ren kan kompenseres for den højere løn til voksenlærlinge. Hovedreglen er, at der
ikke
kan gives voksenlærlingetilskud til
ledige
til uddannelser inden for SOSU-området.
6
Der
findes dog undtagelser til denne bestemmelse. Det gælder i situationer, hvor eleven
ikke
har ret til voksenelevløn ifølge de faglige aftaler og overenskomster, og arbejdsgiveren
alligevel
vælger at aflønne eleven med voksenelevløn, hvorfor der i disse tilfælde kan gi-
ves voksenlærlingetilskud til uddannelser inden for SOSU-området.
For
beskæftigede
skal erhvervsuddannelsen desuden optræde på den landsdækkende
positivliste for voksenlærlingeordningen,
jf. ovenfor.
Muligheder for en erhvervsuddannelse gennem jobrotation:
Der er, med ’Aftale om
opkvalificering’ (2019) oprettet en pulje på 20 mio. kr., hvorfra kommunerne kan give til-
skud til arbejdsgivere, så beskæftigede, der er 25 år eller derover og har mindst to års re-
levant erhvervserfaring, kan tage en erhvervsuddannelse (såkaldte euv1) som led i et job-
rotationsforløb. Euv1 gennemføres
uden
praktik og forudsætter således erhvervserfaring.
Arbejdsgiveren kan ikke få tilskud, hvis arbejdsgiveren samtidig modtager tilskud til med-
arbejderens løn fra Arbejdsgivernes Uddannelsesbidrag (AUB).
Formålet med puljen er, at flere beskæftigede voksne med relevant erhvervserfaring kan
blive opkvalificeret til faglært niveau samtidig med, at ledige ansættes som vikarer og får
erhvervserfaring og netværk på arbejdsmarkedet.
Med puljen vil en ufaglært i fx hjemmeplejen kunne opkvalificere sig til social- og sund-
hedshjælper, mens en ledig vikarierer for vedkommende i uddannelsesperioden. Forlø-
bene skal være påbegyndt i 2019 eller 2020.
Pulje til grundforløb til erhvervsuddannelse:
Der er, med ’Aftale om opkvalificering’
(2019), oprettet en pulje på 27 mio. kr., hvorfra kommunerne kan bevilge et grundforløb −
i form af grundforløbets anden del eller grundforløb plus (GF+) − til dagpengemodtagere
og kontanthjælpsmodtagere, der er ufaglærte eller faglærte med forældet uddannelse, og
som er minimum 30 år. Det er et krav, at den ledige har en uddannelsesaftale med en
virksomhed, inden grundforløbet påbegyndes, eller at uddannelsen alternativt er på posi-
tivlisten for uddannelsesløftet.
Et grundforløb kan være et første skridt på vejen mod en erhvervsuddannelse fx inden for
SOSU-området. Grundforløbet skal være påbegyndt i 2019, 2020 eller 1. kvartal 2021.
6
Kommunerne og regionerne blev kompenseret for merudgiften herved i forbindelse med trepartsaftalen fra 17.
juni 2007.
206
Veje til flere hænder − Task force om social- og sundhedsmedarbejdere
Maj 2020
SUU, Alm.del - 2019-20 - Bilag 595: Svar på udvalgets opfølgning og spørgsmål til KL’s Sundheds- og Ældreudvalg efter fællesmødet den 10. september 2020
2255197_0209.png
Kapitel 12
Igangværende initiativer
Indsatser ifm. rekruttering fra integrationsgrunduddannelsen (igu)
Ifm. trepartsaftale med arbejdsmarkedets parter om at styrke integrationsindsatsen af marts
2016 blev der etableret en ny integrationsgrunduddannelse (igu) som en målrettet trædesten
til arbejdsmarkedet for nytilkomne, hvis kompetencer ikke kan oppebære et arbejde på ordi-
nære danske løn- og ansættelsesvilkår.
Igu’en var oprindeligt en 3-årig forsøgsordning, som trådte i kraft den 1. juli 2016. I februar
2019 aftalte VLAK-regeringen og arbejdsmarkedets parter at forlænge ordningen med 3 år
frem til udgangen af juni 2022. De overordnede rammer for igu’en er skitseret i
boks 12.1.
Boks 12.1
Integrationsgrunduddannelsen (igu)
Målgruppe:
Målgruppen for igu-ordningen omfatter flygtninge og familiesammenførte til flygtninge mellem
18 og 40 år, som har haft ophold i Danmark i under 5 år.
Varighed:
Et igu-forløb varer i alt to år og omfatter en praktikdel og skoledel. Skoledelen har en varighed af
20 uger og består af danskuddannelse og almen faglig opkvalificering (fx AMU-kurser).
Løn:
Praktikdelen aflønnes med elevløn, som er fastsat efter de erhvervsgrunduddannelseslønsatser,
svarende til elevlønssatser, der følger af en kollektiv overenskomst på det pågældende faglige område, der
er gældende på virksomheden.
Finansiering:
Skoleuddannelsen finansieres af det offentlige, og kursisten modtager i skoleperioden
uddannelsesgodtgørelse omtrent på niveau med integrationsydelse, som udbetales af kommunerne.Til
private virksomheder, der har ansat en udlænding i et igu-forløb, udbetaler staten en bonus på 20.000 kr.
efter 6 måneder og yderligere 20.000 kr. efter 24 måneder.
Understøttende sprogmakker:
Med forlængelsen af ordningen blev der iværksat et nyt sprogmakker-
initiativ, hvor den igu-ansatte kan få tilknyttet en sprogmakker i virksomheden for at imødekomme de
sprogbarrierer, som en igu-ansat kan opleve.
I perioden juli 2016-december 2019 er der registreret i alt 2.377 aftaler om igu-ansættelse.
Heraf er 848 igu-aftaler med kvinder, svarende til 36 pct. af det samlede antal af igu-aftaler.
Andelen af kvinder blandt nye igu-ansatte er mere end tredoblet fra 1. kvartal 2017 (18 pct.)
til 2. kvartal 2019 (56 pct.). Udlændinge- og Integrationsministeriet vurderer, at en afgørende
anledning til stigningen i andelen af kvinder i igu-forløb er, at en række kommuner har valgt at
oprette kommunale igu-forløb inden for SOSU-området.
Samarbejder mellem SOSU-skoler og VUC- og FGU-institutioner
Mange voksenuddannelsescentre (VUC’er) har etableret formelle eller uformelle samarbejder
med SOSU-skoler om rekruttering, herunder fx om konkrete fagpakker mhp. at kvalificere
elever til optag på SOSU og skabe en bedre brobygning og vejledning mod eud.
Den Forberedende Grunduddannelse (FGU) er først blevet udbudt fra 1. august 2019, hvor-
for der endnu ikke er indsamlet data for omfanget af samarbejde med SOSU, men her vil
samarbejdet i praksis være tilrettelagt enten som kombinationsforløb eller efter reglerne om
FGU-baseret erhvervsuddannelse.
Veje til flere hænder − Task force om social- og sundhedsmedarbejdere
Maj 2020
207
SUU, Alm.del - 2019-20 - Bilag 595: Svar på udvalgets opfølgning og spørgsmål til KL’s Sundheds- og Ældreudvalg efter fællesmødet den 10. september 2020
2255197_0210.png
Kapitel 12
Igangværende initiativer
Rammerne for samarbejdet uddybes nedenfor.
Samarbejde med VUC-institutioner
I praksis er samarbejdet mellem VUC og SOSU særligt opstået i forbindelse med indførelsen
af adgangskrav i forbindelse med erhvervsuddannelsesreformen af 2015, hvor den davæ-
rende undervisningsminister opfordrede de to skoleformer − VUC og erhvervsskoler - til at
samarbejde om at gøre unge klar til erhvervsuddannelser.
Mange VUC'er tog udfordringen op, hvilket i mange tilfælde førte til skriftlige samarbejdsafta-
ler. Mange VUC’er har udbudt pakker, der havde til formål at løfte kursisternes kompetencer i
dansk og matematik (med henblik på at opfylde adgangskravene til erhvervsuddannelserne)
samt evt. et til to andre fag, som kunne forberede de unge ift. overgangskravene til hovedfor-
løbet. Efter etablering af FGU er volumen faldet voldsomt, men der pågår fortsat samarbejde.
Samarbejdet går hovedsageligt på, at vejlederne på de to institutionstyper holder kontakt
med hinanden, så de er opdateret på hinandens tilbud og regelsæt og kan vejlede korrekt og
målrettet til hinanden. Danske HF & VUC er i dialog med Danske SOSU-skoler om et intensi-
veret samarbejde. I hovedstaden pågår et arbejde omkring en samarbejdsaftale med det for-
mål at styrke og systematisere samarbejdet med henblik på at:
Kvalificere kommende elever til optag på SOSU Hovedstad, fremme deres studiekompe-
tencer og skabe en bedre brobygning og vejledning mod eud, som samtidig er med til at
understøtte elevernes overgang.
Styrke samarbejdet omkring opkvalificering af arbejdsstyrken inden for området.
Samarbejdsaftalen forventes at komme til at indeholde bl.a. uddannelsespakker på avu-ni-
veau, som retter sig mod eud, brobygning og vejledning, særlige forløb, som opkvalificerer
ufaglærte til at blive faglærte og særlige forløb for SOSU-elever i praktikforløb, hvor deres læ-
ring i praksis understøttes af formel læring. For så vidt angår fagpakkernes indhold er fokus
på dansk som andetsprog og matematik samt naturvidenskab og evt. samarbejde og kommu-
nikation.
Samarbejde med FGU-institutioner
FGU henvender sig til unge under 25 år, der ikke har gennemført eller er i gang med en ung-
domsuddannelse og som heller ikke er i beskæftigelse.
Generelt gælder, at en FGU-institution i sit samlede virke og i samarbejde med andre uddan-
nelsesinstitutioner skal medvirke til at sikre et nationalt sammenhængende og effektivt ud-
dannelsessystem, herunder opfyldelse af nationale uddannelses- og institutionspolitiske mål.
Der er ikke nogen regler om et specifikt samarbejde mellem SOSU-skoler og FGU-institutio-
ner. I praksis er samarbejdet mellem FGU og SOSU tilrettelagt enten som etablering af kom-
binationsforløb eller efter reglerne om FGU-baseret erhvervsuddannelse.
Kombinationsforløb
er undervisningsforløb, der indeholder elementer fra kompetencegivende
ungdomsuddannelser og arbejdsmarkedsuddannelser − her forstået som elementer fra
208
Veje til flere hænder − Task force om social- og sundhedsmedarbejdere
Maj 2020
SUU, Alm.del - 2019-20 - Bilag 595: Svar på udvalgets opfølgning og spørgsmål til KL’s Sundheds- og Ældreudvalg efter fællesmødet den 10. september 2020
2255197_0211.png
Kapitel 12
Igangværende initiativer
SOSU-uddannelserne. Formålet med kombinationsforløbene er at bygge bro mellem skole-
formerne og skabe en glidende og individuelt tilrettelagt overgang til ungdomsuddannelserne
− i dette tilfælde til SOSU-uddannelser.
FGU-baseret erhvervsuddannelse
er en særlig tilrettelæggelsesmåde for erhvervsuddannel-
ser og følger derfor reglerne for erhvervsuddannelser. Uddannelsen gennemføres helt eller
delvist på en FGU-institution efter modellen for ’Ny mesterlære’, men uden uddannelsesaf-
tale. Afgørelse om optagelse til FGU-eud træffes efter indstilling fra FGU-institutionen af den
skole, der udbyder uddannelsen − her SOSU-skolen.
Da FGU-institutionerne først er blevet oprettet i 2019 er der indtil videre begrænsede erfarin-
ger med samarbejdet mellem FGU-institutioner og SOSU-skoler. Det er dog et område, der i
fremtiden vil kunne følges.
Veje til flere hænder − Task force om social- og sundhedsmedarbejdere
Maj 2020
209
SUU, Alm.del - 2019-20 - Bilag 595: Svar på udvalgets opfølgning og spørgsmål til KL’s Sundheds- og Ældreudvalg efter fællesmødet den 10. september 2020
2255197_0212.png
Denne side er med vilje efterladt uden indhold.
Kapitel 12
Igangværende initiativer
210
Veje til flere hænder − Task force om social- og sundhedsmedarbejdere
Maj 2020
SUU, Alm.del - 2019-20 - Bilag 595: Svar på udvalgets opfølgning og spørgsmål til KL’s Sundheds- og Ældreudvalg efter fællesmødet den 10. september 2020
2255197_0213.png
Appendiks 4A. Årsager til frafald og studieskift for sygeplejerskestuderende
Appendiks 4A. Årsager til
frafald og studieskift for
sygeplejerskestuderende
Nedenfor uddybes de studerende på sygeplejerskeuddannelsens årsager til frafald og studie-
skift.
Uddannelses- og Forskningsministeriet udgav i marts 2018 rapporten 'Frafald og studieskift'.
Datagrundlaget for rapporten er en spørgeskemaundersøgelse blandt frafaldne studerende
ved videregående uddannelser, der har afbrudt deres uddannelse i løbet af første studieår.
De frafaldne studerende har i undersøgelsen i alt forholdt sig til 27 forskellige frafaldsårsager
og angivet i hvilken grad, de var medvirkende til beslutningen om at afbryde studiet,
jf. figur
4A.1.
Veje til flere hænder − Task force om social- og sundhedsmedarbejdere
Maj 2020
211
SUU, Alm.del - 2019-20 - Bilag 595: Svar på udvalgets opfølgning og spørgsmål til KL’s Sundheds- og Ældreudvalg efter fællesmødet den 10. september 2020
2255197_0214.png
Appendiks 4A. Årsager til frafald og studieskift for sygeplejerskestuderende
Figur 4A.1
Spørgeskemaundersøgelse: De studerendes begrundelser for frafald
De jobs, som uddannelsen førte til, var ikke noget for mig
Personlige forhold uden for studiet (fx familieforøgelse, sygdom i familien,
eksamensangst, kærestesorger)
Uddannelsens faglige niveau
Jeg følte mig ensom på studiet
Det sociale miljø på uddannelsen var for dårligt
Jeg havde ikke et fagligt samarbejde med mine medstuderende
Kvaliteten af undervisningen
Indkomsten efter uddannelse var for lav
Jeg blev optaget på en anden uddannelse
Jeg følte mig ikke velkommen på studiet
Uddannelsen var alt for teoretisk og for lidt fokuseret på det praktiske
Jeg havde brug for en uddannelsespause
Transporttiden fra min bolig til uddannelsen var for lang
Antallet af undervisningstimer
Kontakten med underviserne
Det beløb jeg havde til mad, tøj og fornøjelser hver måned, efter de faste
udgifter var betalt, var for lavt
Jeg kom bagud på grund af forsinkelser (fx dumpede eksamener)
Antallet af eksamener
Jeg kom bagud, fordi jeg ikke var løbende aktiv på uddannelsen
Antallet af afleveringer
Jeg kom bagud, fordi jeg havde arbejde ved siden af
Omkostningen for transport fra min bolig til uddannelsen var for høj
Jeg fik et godt jobtilbud, som jeg ikke kunne sige nej til
Min boligs generelle stand
Arbejdsløsheden for nyuddannede var for høj
Min bolig var dårlig placeret (fx i forhold til byliv, oplevelser eller andre
studerende)
Jeg kunne ikke finde en permanent bolig
49
36
38
36
32
31
28
27
17
24
23
23
20
20
18
18
18
18
17
17
16
14
16
15
15
14
10
9
8
4
4
4
3
4
9
9
13
12
13
15
20
18
20
22
30
27
27
32
36
34
40
39
43
55
0
Sygeplejerskerstuderedende
10
20
30
40
50
Studerende på professionshøjskole
60
Pct.
Kilde: Task force om social- og sundhedsmedarbejdere på baggrund af data fra Uddannelses- og
Forskningsministeriet og Epinion, 2017.
Uddannelses- og Forskningsministeriet indsamler også data om de studerendes vurdering af
læringsmiljøet. De sygeplejerskestuderendes vurdering af læringsmiljøet på deres uddannel-
ser og deres egen tilgang til læring adskiller sig ikke betydeligt fra de øvrige velfærds- og pro-
fessionsbacheloruddannelser,
jf. figur 4A.2.
De ni indikatorer viser i høj grad også samme mønster for sygeplejerskeuddannelserne som
for alle øvrige uddannelser. Således scorer konstruktiv feedback og overfladelæring lidt la-
vere end de øvrige indikatorer. Det skal dog bemærkes, at indikatorerne ikke som sådan er
sammenlignelige. Beskrivelser af de enkelte indikatorer findes i
boks 4A.2.
212
Veje til flere hænder − Task force om social- og sundhedsmedarbejdere
Maj 2020
SUU, Alm.del - 2019-20 - Bilag 595: Svar på udvalgets opfølgning og spørgsmål til KL’s Sundheds- og Ældreudvalg efter fællesmødet den 10. september 2020
2255197_0215.png
Appendiks 4A. Årsager til frafald og studieskift for sygeplejerskestuderende
Figur 4A.2
Læringsbarometerets ni indikatorer, fordelt på sygeplejersker, øvrige velfærdsuddannelse og
øvrige professionsbacheloruddannelser
Skala 1-5
5
4
3
2
1
0
Skala 1-5
5
4
3
2
1
0
Konstruktiv feedback
Underviserinteraktion
Overensstemmelse
Læring for forståelse
Organiseret læring
Interesse og
motivation
Støtte fra
medstuderende
Overfladelæring
Alle andre professionsbachelorer
Folkeskolelærer, Pædagog & Socialrådgiver
Sygeplejerske
Anm.: Opgørelsen er uvægtet og baserer sig på i alt godt 37.000 besvarelser, afhængig af indikatoren.
Kilde: Task force om social- og sundhedsmedarbejdere på baggrund af data fra Uddannelses- og
Forskningsministeriets spørgeskemaundersøgelse Læringsbarometer, 2018.
Generelt skal sammenligninger på tværs af meget forskellige uddannelsestyper tages med
forbehold. Således er der større sammenlignelighed mellem sygeplejerske og de øvrige ud-
valgte velfærdsuddannelser end med de øvrige professionsbacheloruddannelser. Det skal
også bemærkes, at besvarelserne er uvægtede, og der derfor ikke tages højde for, at syge-
plejerskeuddannelsen har en stor andel kvinder.
Læringsbarometerets ni indikatorer er beskrevet i
tabel 4A.1.
Veje til flere hænder − Task force om social- og sundhedsmedarbejdere
Maj 2020
Dybdelæring
213
SUU, Alm.del - 2019-20 - Bilag 595: Svar på udvalgets opfølgning og spørgsmål til KL’s Sundheds- og Ældreudvalg efter fællesmødet den 10. september 2020
2255197_0216.png
Appendiks 4A. Årsager til frafald og studieskift for sygeplejerskestuderende
Tabel 4A.1
Indikatorbeskrivelser
Overensstemmelse
Indikatoren referer til, at der er en
tydelig overensstemmelse mellem
de forskellige elementer, som de
studerende lærer i undervisningen.
En god overensstemmelse skaber
et sammenhængende perspektiv,
der understøtter god læring.
Støtte fra medstuderende
Medstuderende udgør en stor del
af et støttende og opbakkende
undervisningsmiljø. Indikatoren
dækker bl.a. gruppearbejde og
samarbejde med andre
studerende med fokus på at opnå
viden i fællesskab.
Underviserinteraktion
Interaktion mellem undervisere og
studerende er centralt for god
læring. Underviserinter-aktion
handler om underviserens rolle
som motiverende, inspirerende,
tilgængelig og opmærksom på den
studerende.
Konstruktiv feedback
En konstruktiv og forståelig
feedback i arbejdet med faglige
opgaver kan understøtte
studerendes læring. Tydelig
kommunikation fra underviseren
om forbedringsmuligheder, om
feedbacken er meningsgivende og
modtages løbende er kendetegn
for en god konstruktiv feedback.
Dybdelæring
En meningsskabende tilgang hvor
den studerende fokuserer på at
forstå, analysere og relatere til
forskning/undervisning. Høj
motivation, selvtillid, stor tro på
egen formåen og interesse for
komplekse opgaver kendetegner
bl.a. studerende med en
dybdelæringstilgang.
Interesse og motivation
Indikatoren refererer til at
fremkalde/motivere interesse samt
tydeliggøre relevansen af
undervisning. Inddragelse af
forudgående viden og forståelse af
teori og praksis kan øge
studerendes motivation i studiet.
Læring for forståelse
Indikatoren handler om, hvorvidt
de studerende får den bedste
støtte til at målrette deres indsats
og udvikle deres forståelse. Dvs. at
de studerende er i stand til at
forstå deres fag, tænke kritisk og
lære i en større sammenhæng.
Overfladelæring
En reproducerende læringstilgang
hvor den studerende har fokus på
at memorere fremfor at forstå.
Tilgangen til den opnåede viden vil
ofte være fragmenteret og uden
sammenhæng til en bredere faglig
kontekst.
Organiseret læring
En høj grad af selvregulering og
planlægningskompetencer.
Studerende med en organiseret
læringstilgang er effektive til
tidsstyring og beregner deres
indsats i forhold til tid og aktivitet.
Kilde: Uddannelses- og Forskningsministeriet.
214
Veje til flere hænder − Task force om social- og sundhedsmedarbejdere
Maj 2020
SUU, Alm.del - 2019-20 - Bilag 595: Svar på udvalgets opfølgning og spørgsmål til KL’s Sundheds- og Ældreudvalg efter fællesmødet den 10. september 2020
2255197_0217.png
Appendiks 4B. Trivselsmåling og virksomhedstilfredsmåling på SOSU-uddannelserne
Appendiks 4B. Trivselsmåling
og virksomhedstilfredsmåling
på SOSU-uddannelserne
Elevtrivselsmåling på SOSU-uddannelserne
Der findes ikke data på årsager til frafald på SOSU-uddannelserne, som det er tilfældet for
sygeplejerskeuddannelsen, hvor Uddannelses- og Forskningsministeriet indsamler årsager til
afbrudt uddannelse via spørgeskemaer blandt de frafaldne studerende. Til gengæld er der
data om elevernes trivsel, da eleverne på erhvervsuddannelserne siden 2015 har udfyldt år
-
lige trivselsmålinger.
Ud fra elevernes besvarelser på en række spørgsmål præsenteres elevernes trivsel i en
række indikatorer på en skala fra 1-5, hvor 1 udtrykker den dårligst mulige trivsel og 5 udtryk
-
ker den bedst mulige trivsel. Elevtrivslen på begge SOSU-uddannelser er generelt høj inden
for alle indikatorerne. Med undtagelse af vurderingen af de fysiske rammer ligger alle indika
-
torene omkring 4,0 eller derover,
jf. figur 4B.1.
Figur 4B.1
Resultat af elevtrivselsmålinger på SOSU-uddannelserne i 2018
Skala 1-5
5
Skala 1-5
5
4
4
3
3
2
2
1
1
0
Egen indsats og
motivation
Læringsmiljø
Velbefindende
Fysiske rammer
SOSU-hjælper
Egne evner
Samlet eud
Praktik
0
SOSU-assistent
Anm.: Indikatorene går fra 0 til 5, hvor 5 udtrykker bedst mulig trivsel og 0 udtrykker dårligst mulig trivsel.
På SOSU-assistentuddannelsen var der 3.813 respondenter og på SOSU-hjælperuddannelsen 1.311
respondenter.
Kilde: Task force om social- og sundhedsmedarbejdere på baggrund af data fra Børne- og Undervisnings
-
ministeriet.
Veje til flere hænder − Task force om social- og sundhedsmedarbejdere
Maj 2020
215
SUU, Alm.del - 2019-20 - Bilag 595: Svar på udvalgets opfølgning og spørgsmål til KL’s Sundheds- og Ældreudvalg efter fællesmødet den 10. september 2020
2255197_0218.png
Appendiks 4B. Trivselsmåling og virksomhedstilfredsmåling på SOSU-uddannelserne
Begge SOSU-uddannelser ligger på linje med den gennemsnitlige elevtrivsel på erhvervsud
-
dannelserne og er endda i nogle tilfælde en smule højere,
jf. figur 4B.1.
Virksomhedstilfredshedsmåling på SOSU-uddannelserne
Erhvervsskolerne gennemfører årligt virksomhedstilfredshedsmålinger. Virksomhedstilfreds
-
hedsundersøgelsen består af en række spørgsmål, som samlet måler praktikvirksomheder
-
nes tilfredshed med eleverne og samarbejdet med erhvervsskolerne. Indikatorerne måles på
en skala fra 1-10, hvor 1 udtrykker den laveste tilfredshed og 10 udtrykker den højeste til-
fredshed.
Praktikvirksomhedernes oplevelse af samarbejde med SOSU-skolerne på SOSU-området
generelt er på niveau med de øvrige erhvervsuddannelser,
jf. figur 4B.2.
Praktikvirksomhe
-
dernes oplevelse af eleverne på SOSU-uddannelserne er dog dårligere sammenlignet med
erhvervsuddannelser.
Figur 4B.2
Resultat af virksomhedstilfredsmåling på SOSU-uddannelserne i 2018
Skala 1-10
Skala 1-10
Skala 1-10
10
9
8
7
6
5
4
3
2
1
0
10
9
8
7
6
5
4
3
2
1
0
SOSU-assistent
SOSU-hjælper
Samlet eud
Virksomhedernes oplevelse af eleverne
Virksomhedens oplevelse af samarbejdet med skolen
Anm.: Indikatorene går fra 1 til 10, hvor 10 udtrykker højest mulig tilfredshed og 1 udtrykker mindst mulig
tilfredshed. På SOSU-assistentuddannelsen var der 93 respondenter, der besvarede undersøgelsen og
på SOSU-hjælperuddannelsen var der 43 respondenter.
Kilde: Task force om social- og sundhedsmedarbejdere på baggrund af data fra Børne- og Undervisnings
-
ministeriet.
216
Veje til flere hænder − Task force om social- og sundhedsmedarbejdere
Maj 2020
SUU, Alm.del - 2019-20 - Bilag 595: Svar på udvalgets opfølgning og spørgsmål til KL’s Sundheds- og Ældreudvalg efter fællesmødet den 10. september 2020
Denne side er med vilje efterladt uden indhold.
SUU, Alm.del - 2019-20 - Bilag 595: Svar på udvalgets opfølgning og spørgsmål til KL’s Sundheds- og Ældreudvalg efter fællesmødet den 10. september 2020
2255197_0220.png
Denne side er med vilje efterladt uden indhold.
Appendiks 4B. Trivselsmåling og virksomhedstilfredsmåling på SOSU-uddannelserne
Veje til flere hænder − Task force om social- og sundhedsmedarbejdere
Maj 2020
217
SUU, Alm.del - 2019-20 - Bilag 595: Svar på udvalgets opfølgning og spørgsmål til KL’s Sundheds- og Ældreudvalg efter fællesmødet den 10. september 2020
2255197_0221.png
Appendiks 5A. Formelle rammer for klinisk undervisning
Appendiks 5A. Formelle
rammer for klinisk
undervisning
Funktioner involveret i klinisk undervisning
Boks 5A.1 og 5A.2
giver et overblik over de forskellige funktioner involveret i faciliteringen af
klinisk undervisning på sygeplejerskeuddannelsen. Der er tale om et overblik, da der lokalt
kan være personer, der varetager flere funktioner, og andre steder kan flere personer vare-
tage den samme funktion.
Boks 5A.1
Funktioner involveret i klinisk ophold på professionshøjskolen
Det er den enkelte professionshøjskoles ansvar at indgå aftaler med praktiksteder samt sikre, at der er
tilstrækkeligt med praktikpladser til de sygeplejerskestuderende.
Praktikkoordinator
Den enkelte professionshøjskole har for hver uddannelse tilknyttet en praktikkoordinator, som varetager den
overrordnede dialog med praktikstederne og har ansvaret for fordelingen af de studerende − på nogle
professionshøjskoler i samarbejde med en studieadministrativ medarbejder.
Underviser/kontaktperson for den studerende
Hver studerende i klinisk uddannelse har tilknyttet en underviser fra professionshøjskolen, som varetager
kontakten til den studerende under praktikken. Den studerende kan fx kontakte underviseren ved
tvivlsspørgsmål, udfordringer, faglige problemstillinger mv.
Studievejledningen
Hver professionshøjskole har en eller flere studievejledere ansat, som svarer på spørgsmål fra de stude-
rende, herunder vedr. uddannelsesvalg og andre beslutninger vedr. uddannelse. Studievejlednings-
funktionen knytter sig altså ikke specifikt til praktikken, men når den studerende er i praktik kan vedkom-
mende også tage kontakt til studievejledningen, fx hvis der opstår udfordringer.
Uddannelsesleder
Uddannelseslederen har ansvaret for én eller flere uddannelser på professionshøjskolen. Praktikkordinator
eller studievejleder kan efter konkret vurdering inddrage uddannelsesleder i dialogen om den enkelte elev.
Kilde: Task force om social- og sundhedsmedarbejdere på baggrund af input fra Danske Professions-
højskoler.
Veje til flere hænder − Task force om social- og sundhedsmedarbejdere
Maj 2020
219
SUU, Alm.del - 2019-20 - Bilag 595: Svar på udvalgets opfølgning og spørgsmål til KL’s Sundheds- og Ældreudvalg efter fællesmødet den 10. september 2020
2255197_0222.png
Appendiks 5A. Formelle rammer for klinisk undervisning
Boks 5A.2
Funktioner involveret i klinisk ophold på kommunale eller regionale praktiksteder
Statens institutioner, regionsråd, kommunalbestyrelser og private arbejdsgivere, herunder selvejende
institutioner, der modtager statstilskud, skal stille egnede praktikpladser til rådighed for uddannelsen til
sygeplejerske. Det kan fx være en afdeling på et sygehus eller hjemeplejen i en kommune. Professions-
højskolen godkender det enkelte praktiksted,
jf. boks 5A.3.
Klinisk vejleder
Hver studerende i klinisk uddannelse får tilknyttet en klinisk vejleder, som er en sygeplejerske ansat på
praktikstedet og som har minimum et 1/6 diplom i klinisk vejlederfunktion svarende til et modul. Den kliniske
vejleder har ansvaret for den kontinuerlige daglige vejledning og undervisning af de studerende. I praksis er
der dog oftest et større antal medarbejdere, der varetager den daglige vejledning og oplæring af stude-
rende.
Uddannelsesansvarlig
På hvert praktiksted er der også en uddannelsesansvarlig, der varetager dialogen med professions-
højskolen og kommunen eller regionen.
Kommune/region
I kommunen eller regionen vil der oftest være ansat en eller flere uddannelseskoordinatorer, som bl.a. står
for at koordinere med praktikstederne.
Strategiske samarbejder
I nogle landsdele er etableret et forum på strategisk niveau på tværs af region, kommuner og professions-
højskole med fokus på samarbejde omkring sygeplejerskeuddannelsen.
Kilde: Task force om social- og sundhedsmedarbejdere på baggrund af input fra KL og Danske Regioner.
Fordeling af studerende
Det er professionshøjskolernes ansvar at indgå aftaler med praktiksteder samt sikre, at der er
tilstrækkeligt med praktikpladser til de studerende.
For at en sygeplejerskestuderende kan komme i klinik, skal klinikstedet først godkendes som
et klinisk undervisningssted. Godkendelsen foretages af den enkelte professionshøjskole,
jf.
boks 5A.3.
220
Veje til flere hænder − Task force om social- og sundhedsmedarbejdere
Maj 2020
SUU, Alm.del - 2019-20 - Bilag 595: Svar på udvalgets opfølgning og spørgsmål til KL’s Sundheds- og Ældreudvalg efter fællesmødet den 10. september 2020
2255197_0223.png
Appendiks 5A. Formelle rammer for klinisk undervisning
Boks 5A.3
Godkendelse af praktiksted på sygeplejerskeuddannelsen
For blive godkendt som klinisk uddannelsessted, skal praktikstedet kunne godtgøre, at praktikstedet kan
sikre gode rammer og vilkår for klinisk undervisning, så den studerende har mulighed for at opnå
semestrets mål for læringsudbytte, jf. BEK nr. 804 af 17/06/2016. Det indebærer bl.a. at klinikstedet skal
kunne opfylde følgende:
Mulighed for klinisk undervisning med autentiske patient-/borgerforløb.
Der skal være kliniske vejledere på praktikstedet, som skal have ressourcer til og ansvaret for den
kontinuerlige daglige vejledning og undervisning af de studerende. De kliniske vejledere skal være
sygeplejerskere og som minimum have et 1/6 diplom i klinisk vejlederfunktion.
Den kliniske vejleder skal have adgang til faglig og pædagogisk sparring af klinisk underviser/uddan-
nelsesansvarlige og til samarbejdet med uddannelsesinstitutionen.
Kilde: BEK nr. 804 af 17/06/2016.
Professionshøjskolerne anvender
Praktikportalen
til fordeling af studerende og tilknytning af
praktiksteder. Praktikportalen er en digital platform udviklet af professionshøjskolerne i fæl-
lesskab til håndtering af logistikken omkring praktikopgaven.
På nogle professionshøjskoler har de studerende mulighed for at ønske mellem tre og ti spe-
cifikke praktiksteder (fx en bestemt afdeling på et hospital eller på et plejehjem), mens andre
professionshøjskoler foretager fordelingen af de studerende på udvalgte dele af uddannel-
sen. De studerende har forud for fordelingen mulighed for at orientere sig i Praktikportalen
om de enkelte praktiksteder, herunder organisering, sygeplejefaglige temaer samt lærings-
muligheder.
Før fordelingen af alle studerende sker, er der en fordeling af studerende, der har særlige be-
hov eller skal have særlige forløb, hvor praktikkoordinator på uddannelsesinstitutionen og
praktikstedet vurderer det mest hensigtsmæssige i forhold til den enkeltes studerendes be-
hov og praktikstedets muligheder. Det er professionshøjskolernes erfaring, at langt de fleste
studerende får det ønskede praktiksted.
Sygehusene oplever sjældent et forkert match mellem studerende og det kliniske undervis-
ningssted. Hvis det forekommer, er der fokus på at finde en løsning i samarbejde med den
studerende og uddannelsesinstitutionen. I sjældne tilfælde kan det være nødvendigt at finde
et nyt kliniksted, hvilket vil ske i samarbejde mellem praktikstedet og uddannelsesinstitutio-
nen.
Klinisk vejledning før og under praktikopholdet
Hver professionshøjskole har udarbejdet retningslinjer for at sikre det gode praktikforløb, som
de studerende ligeledes præsenteres for forud for praktikken. Retningslinjerne indeholder
bl.a. guides til klinisk undervisning på tværs af uddannelsen herunder håndtering af studie-
og samarbejdsaftaler og individuelle studieplaner.
Veje til flere hænder − Task force om social- og sundhedsmedarbejdere
Maj 2020
221
SUU, Alm.del - 2019-20 - Bilag 595: Svar på udvalgets opfølgning og spørgsmål til KL’s Sundheds- og Ældreudvalg efter fællesmødet den 10. september 2020
2255197_0224.png
Appendiks 5A. Formelle rammer for klinisk undervisning
Forud for den studerendes praktik er der afsat undervisningslektioner til forberedelse af prak-
tikken på de fleste dele af sygeplejerskeuddannelsen på tværs af professionshøjskolerne,
jf.
boks 5A.4.
Boks 5A.4
Forberedelse af de studerende forud for praktikforløbet
Forud for den studerendes praktik er der afsat undervisningslektioner til forberedelse af praktikken på de
fleste dele af sygeplejerskeuddannelsen på tværs af professionshøjskolerne. Fokus i disse undervisnings-
lektioner varierer i takt med progression i uddannelsen og indhold i praktikken. Undervisningslektionerne
varetages som regel af enten undervisere eller praktikkoordinator. På nogle professionshøjskoler er
praktikvejledere inviteret med til at svare på spørgsmål til den kommende praktikperiode, mens det andre
steder er praktikkoordinator, studievejledere eller ældre studerende. Senere i uddannelsesforløbet er det
praktikvejlederen, der introducerer de studerende til kommende praktikforløb.
På sygeplejerskeuddannelsen er de studerende i praktik fra 1. eller 2. semester, og derfor er der et særligt
fokus på at klæde de studerende godt på til deres første praktik. Dette sker fx gennem peer-to-peer-
forberedelse med ældre studerende, simulationsaktiviteter i basale færdigheder, drøftelse af de studerende
rolle på en arbejdsplads samt storytelling og videoklip.
Den studerende modtager i Praktikportalen information om sit kommende praktiksted forud for praktikken.
Praktikvejlederen på praktikstedet er ansvarlig for informationen og kontakten til den studerende. Infor-
mationen indeholder et velkomstbrev, beskriver praktikstedet, forløbet den studerende skal igennem samt
uddannelsesstedets forventninger til den studerende.Ved praktikforløbets start deltager den studerende i en
samtale med praktikvejlederen, hvor der bl.a. drøftes forudsætninger, forventninger, individuel studieplan,
mødepligt, midtvejsevaluering, obligatoriske studieaktiviteter, mål for læringsudbytte, eventuel kliniske
prøve samt evaluering af forløbet.
Kilde: Task force om social- og sundhedsmedarbejdere på baggrund af input fra Danske Professions-
højskoler.
Ifølge Danske Professionshøjskoler er professionshøjskolerne også i løbende kontakt med
den studerende, hvor hyppigheden heraf bl.a. er afhængig af længden af praktikken. Ifølge
Danske Professionshøjskoler tager de tilknyttede undervisere typisk ét besøg (dette vil dog
variere afhængig af lokal organisering) på praktiksteder i praktikforløbet, samt deltager i obli-
gatoriske studieaktiviteter samt i kliniske prøver.
Den kliniske undervisning vil være forskellig alt efter, hvilket semester den studerende er på
samt hvilken afdeling. På alle semestre ligger forudsætnings- og studieaktivitetskrav, der fx
omhandler vejledning i udførelsen af konkrete kliniske færdigheder, kommunikation med pati-
enten, samarbejde med andre faggrupper, prioritering af opgaver i relation til patientforløbet,
medicinhåndtering og medinddragelse af patienten og den pårørende.
De uddannelsesansvarlige sygeplejersker og kliniske vejledere samarbejder løbende med de
tilknyttede undervisere fra professionshøjskolen i forbindelse med afvikling af obligatoriske
studieaktiviteter og prøver, samt ved specifikke faglige og læringsmæssige udfordringer for
enkelte studerende. Der kan fx opstå behov for lokale justeringer begge veje, enten at den
222
Veje til flere hænder − Task force om social- og sundhedsmedarbejdere
Maj 2020
SUU, Alm.del - 2019-20 - Bilag 595: Svar på udvalgets opfølgning og spørgsmål til KL’s Sundheds- og Ældreudvalg efter fællesmødet den 10. september 2020
2255197_0225.png
Appendiks 5A. Formelle rammer for klinisk undervisning
studerende falder fra, eller at der sker ændringer på praktikstedet, som har betydning for,
hvor mange kliniske uddannelsespladser, som kan stilles til rådighed.
Evaluering og afslutning af forløb
Under praktikforløbet følger praktikvejlederen sammen med den studerende løbende op på
læringsforløbet, bl.a. gennem individuelle studieplaner, der således anvendes som et pæda-
gogisk redskab for at sikre den studerende opnåelse af mål for læringsudbytte.
Disse evalueringer følger professionshøjskolerne op på, bl.a. gennem skemalagt de-briefing
på uddannelsen (nogle steder med deltagelse af praktikvejledere og uddannelseskonsulen-
ter), og i dialoger med praktiksteder, særlig hvis der er udfordringer. Derudover evaluerer den
studerende det samlede uddannelsesforløb for hele semestret. Resultaterne af evalueringer
samt eventuelle problemstillinger ift. læringsmuligheder indgår desuden i godkendelsen af
praktikstedet, der skal fornyes ca. hvert 3. år, ligesom de overordnede resultater drøftes i ud-
dannelsesudvalg og studieråd.
Derudover drøftes studerendes evalueringsresultater, praktikvejlederes evalueringsresultater,
samt vurderinger af om de studerende kan opnå mål for læringsudbytte på kontinuerlige mø-
der (ca. halvårligt) med de kliniske samarbejdspartnere i regionerne/kommunerne. Drøftel-
serne danner baggrund for justeringer i tilrettelæggelse og indhold af praktikforløb. Derudover
drøftes uddannelsens relevans, herunder hvordan praktikken kan være med til at forberede
de studerende på deres fremtidige profession.
I forhold til godkendelse af praktikforløb er der på sygeplejerskeuddannelsens fællesdel en
række interne/eksterne prøver, som den studerende skal igennem. Hvert semester afsluttes
således med en prøve, hvor læringsmål for hele semesteret herunder evt. praktikforløb ind-
går i prøven. Den sidste afsluttende praktik på 6. semester afsluttes med en klinisk prøve,
som skal dokumentere, at den studerende har opnået de læringsmål, der er fastsat i praktik-
ken.
På tværs af sygeplejerskeuddannelserne er der studerende, der ikke møder op til praktikfor-
løbet. Der indsamles dog ikke data for fravær i praktikken, hvorfor størrelsesomfanget er van-
skeligt at afgøre.
Der er mødepligt i praktikken, og derfor kan det få konsekvenser for den studerende ikke at
møde op til praktikken, bl.a. ikke at kunne blive indstillet til prøve,
jf. boks 5A.5.
Veje til flere hænder − Task force om social- og sundhedsmedarbejdere
Maj 2020
223
SUU, Alm.del - 2019-20 - Bilag 595: Svar på udvalgets opfølgning og spørgsmål til KL’s Sundheds- og Ældreudvalg efter fællesmødet den 10. september 2020
2255197_0226.png
Appendiks 5A. Formelle rammer for klinisk undervisning
Boks 5A.5
Håndtering af fravær og frafald på sygeplejerskeuddannelsen
I tilfælde, hvor den studerende ikke møder op til praktikforløb, tager praktikstedet kontakt til praktikkoordina-
tor på uddannelsesinstitutionen. Det er enten praktikkoordinator eller studievejledningen, der kontakter den
studerende med henblik på at afdække årsagen til det manglende fremmøde.
Ved varig udeblivelse skal der i samarbejde med studievejleder og studieadministrative medarbejdere
vurderes et behov for at udarbejde en ny studieplan, eller om den studerende skal udskrives af uddan-
nelsen. I andre tilfælde, hvor den studerende møder op på praktikstedet, men fx har meget fravær, har
påfaldende fraværsmønstre, altid kommer for sent eller ikke er aktivt deltagende, taler praktikvejlederen på
praktikstedet med den studerende om sin bekymring. Hvis mønstret ikke ændrer sig, kontakter praktik-
vejlederen praktikkoordinatoren på uddannelsesinstitutionen. Praktikkoordinator sørger for, evt. i samar-
bejde med uddannelseslederen på institutionen, at indkalde den studerende til en trivselssamtale med
henblik på at afdække og afhjælpe udfordringerne. I retningslinjerne for praktikforløb er regler for fravær
beskrevet, og det er desuden beskrevet, hvordan praktikvejleder og uddannelsen skal agere i disse tilfælde.
Kilde: Task force om social- og sundhedsmedarbejdere på baggrund af input fra Danske Professsions-
højskoler.
224
Veje til flere hænder − Task force om social- og sundhedsmedarbejdere
Maj 2020
SUU, Alm.del - 2019-20 - Bilag 595: Svar på udvalgets opfølgning og spørgsmål til KL’s Sundheds- og Ældreudvalg efter fællesmødet den 10. september 2020
2255197_0227.png
Appendiks 5B. Formelle rammer for praktikforløb på SOSU-uddannelserne
Appendiks 5B. Formelle
rammer for praktikforløb på
SOSU-uddannelserne
Funktioner involveret i praktikforløb
Boks 5B.1 og 5B.2
giver et overblik over de forskellige funktioner involveret i faciliteringen af
praktikforløb for SOSU-elever på hhv. SOSU-skolen og på praktikstedet. Der er tale om et
overblik, da der lokalt kan være personer, der varetager flere funktioner, og andre steder kan
flere personer varetage den samme funktion.
Boks 5B.1
Funktioner involveret i praktikforløb på SOSU-skolen mv.
Det er den enkelte uddannelsesinstitutions ansvar at tilrettelægge skole- og praktikperioder i samarbejde
med uddannelseskonsulenter i kommune og region. Skolen udsteder en skolevejledning til elev og
praktiksted efter afslutningen af det enkelte skoleophold.
Fagligt udvalg for den pædagogiske assistentuddannelse og social- og sundhedsuddannelsen
(PASS)
PASS’ opgave er at sikre gode uddannelsesmæssige forhold i praktikken samt godkende praktikpladser og
praktiksteder. PASS udarbejder desuden blanketter til praktikerklæring og hjælpeskema, som praktikstedet
udfylder og overleverer til elev og skole ved afslutningen af hver praktikperiode.
Uddannelsesvejledningen
Hver uddannelsesinstitution har en eller flere vejledere eller koordinatorer ansat, som bl.a. gennemfører
vejledningssamtaler og besvarer spørgsmål. Dette relaterer sig altså ikke specifikt til praktik, men elever i
praktik kan oså efter behov kontakte skolens stuedievejledning i praktikperioder med diverse spørgsmål.
Uddannelseskonsulent på SOSU-skolen
Skolens uddannelseskonsulent modtager besked fra praktikstedets uddannelseskonsulent, hvis eleven ikke
har bestået sin praktikperiode.
Strategisk samarbejde
Hver skole nedsætter et eller flere lokale uddannelsesudvalg (LUU), der tilsammen dækker de erhvervs- og
arbejdsmarkedsuddannelser, som skolen udbyder. Medlemmer af udvalget, der repræsenterer parterne
udgør et flertal i LUU. LUU rådgiver skolen i spørgsmål, der vedrører de uddannelser og virker for
samarbejdet mellem skolen og det lokale arbejdsmarked.
Kilde: Task force om social- og sundhedsmedarbejdere på baggrund af input fra Danske SOSU-skoler.
Veje til flere hænder − Task force om social- og sundhedsmedarbejdere
Maj 2020
225
SUU, Alm.del - 2019-20 - Bilag 595: Svar på udvalgets opfølgning og spørgsmål til KL’s Sundheds- og Ældreudvalg efter fællesmødet den 10. september 2020
2255197_0228.png
Appendiks 5B. Formelle rammer for praktikforløb på SOSU-uddannelserne
Boks 5B.2
Funktioner involveret i praktikforløb på kommunale eller regionale praktiksteder
Det er det pågældende praktiksted (kommune, region eller et privat praktiksted), der har uddannelses-
ansvaret for eleven, under elevns praktik. Det omfatter ansvaret for at eleverne arbejder med de praktikmål,
som er angivet for praktikperioden.
Praktikvejleder på praktikstedet
Hver elev er tilknyttet en praktikvejleder, som er ansvarlig for, at eleven har mulighed for at arbejde
kvalificeret og målrettet med praktikmålene i den enkelte praktikperiode. Praktikvejleder har ansvaret for
den kontinuerlige daglige vejledning og undervisning af eleverne. I praksis er der oftest et stort antal
medarbejdere, der varetager den daglige vejledning og oplæring af eleverne. Praktikvejlederen bedømmer
eleven i forhold til praktikmålene og udarbejder en praktikerklæring i slutningen af praktikperioden.
Kommune eller region
Det er kommunernes ansvar − i tæt samarbejde med regionerne at stille et minimum af antal praktikpladser
til rådighed samt sikre fordelingen af praktikpladser.
Uddannelseskonsulent i kommune/region
Den enkelte kommune og region har én eller flere uddannelseskonsulenter, som varetager den over-
ordnede dialog med praktikstederne og har ansvaret for fordelingen af eleverne. Uddannelseskonsulenterne
varetager samtaler vedr. fravær og lignende, der har betydning for elevens praktikperiode og evt.
uddannelsesforløb.
Kilde: Task force om social- og sundhedsmedarbejdere på baggrund af input fra KL og Danske Regioner.
I regionerne og kommunerne er der etableret en række samarbejds- og dialogfora på forskel-
lige niveauer, herunder KKR som samarbejder med de lokale uddannelsesudvalg (LUU) på
den enkelte SOSU-skole. Det lokale uddannelsesudvalg (LUU) er lovbestemt og funktionerne
beskrevet i hovedbekendtgørelsen.
Herudover er der etableret mere uformelle fora − arbejdsgivernetværk og skolepraktik fora.
Der er både kommunale og regionale repræsentanter i alle disse fora sammen med repræ-
sentanter fra SOSU-skolerne.
Fordeling af eleverne på praktikstederne
Kommunalbestyrelser og regionsråd er i erhvervsuddannelsesloven forpligtet til at uddanne
social- om sundhedspersonale. Lovgivningen tilsiger, at antallet af praktikpladser skal svare
til behovet for færdiguddannede i hver region. I forbindelse med opgave- og strukturreformen
i 2007 blev ansvaret for fastsættelse af antallet af kommunale praktikpladser placeret hos
KKR.
Siden 2007 er antallet af praktikpladser på SOSU-uddannelserne imidlertid blevet politisk
fastsat ved politisk nationale aftaler mellem regeringen, Danske Regioner, KL og FOA. Den
seneste aftale er fra februar 2019 og er toårig for årene 2020-2021.
226
Veje til flere hænder − Task force om social- og sundhedsmedarbejdere
Maj 2020
SUU, Alm.del - 2019-20 - Bilag 595: Svar på udvalgets opfølgning og spørgsmål til KL’s Sundheds- og Ældreudvalg efter fællesmødet den 10. september 2020
2255197_0229.png
Appendiks 5B. Formelle rammer for praktikforløb på SOSU-uddannelserne
Hvert år vedtager de fem KKR en fordeling af det aftalte antal praktikpladser på kommuneni-
veau. Denne fordeling hjælper skolerne til at estimere det kommende års forventede aktivi-
tetsniveau. Fordelingen på kommuneniveau hviler på en fordelingsnøgle mellem de fem KKR
besluttet af KL’s bestyrelse.
Den nuværende nøgle er fra 2015 og består af to komponenter. En historisk del, der vægter
50 pct. og en demografisk del, der ligeledes vægter 50 pct. Den demografiske del af nøglen
opdateres årligt mhp. at sikre, at uddannelse af elever dækker behovet for uddannet arbejds-
kraft.
For SOSU-assistentuddannelsen koordineres niveauet og fordelingen af praktikpladser med
regionen, således at fordelingen på såvel KKR- som kommune-niveau matcher til uddannel-
seskapaciteten i regionerne. For SOSU-hjælperuddannelsen, hvor kommunerne varetager al
praktik koordineres fordeling og niveau ikke med regionen.
I hvert af de fem KKR koordinerer én kommune (ankerkommune) fordelingen af praktikplad-
ser med KL og har et udvidet samarbejde med uddannelsesinstitutionerne. Alle kommuner
har prioriteret ressourcer til praktikplads-arbejdet både internt, tværkommunalt, regionalt og
ift. uddannelsesinstitutioner. Opgaven med fordeling af praktikpladser løses i dialog mellem
kommuner, uddannelsesinstitutioner og regionen i hvert KKR.
Børne- og Undervisningsministeriet driver det elektroniske mødested praktikpladsen.dk, som
faciliterer kontakten mellem praktikpladssøgende elever og virksomheder. Elever kan søge
blandt alle virksomheder, der er praktikpladsgodkendte. Godkendte virksomheder kan oprette
stillingsopslag og søge elever, når de ønsker at få elever i praktik. Virksomhederne sorteres
efter afstand mellem elev og virksomhed. Praktikpladssøgende elever kan oprette en profil,
som er synlig for alle virksomheder, der søger elever. Profilen skal være synlig for at opfylde
Emma-kriterierne. På portalen kan virksomheder også få et overblik over nuværende ansatte
elevers fravær og skoleophold.
Til brug for praktikpladsformidlingen og til belysning af praktikpladssituationen skal skolerne
indhente relevante oplysninger om praktikpladssøgende. Ud over samarbejdet med det fag-
lige udvalg skal skolerne samarbejde med de lokale uddannelsesudvalg, kommuner, regio-
nale arbejdsmarkedsråd og andre relevante samarbejdspartnere.
Indgåelse af uddannelsesaftale
SOSU-skolen udarbejder sammen med eleven og en eventuel praktikvirksomhed ved begyn-
delsen af uddannelsesforløbet en personlig uddannelsesplan for eleven. Eleven, skolen og
praktikvirksomheden er ansvarlig for at følge op på uddannelsesplanen og herunder tage ini-
tiativ til eventuel revision, blandt andet på baggrund af den løbende bedømmelse af eleven.
Voksne ansøgere skal gennemgå en individuel obligatorisk realkompetence vurdering (RKV),
der fastlægger grundlaget for deres personlige uddannelsesplan − herunder evt. merit og af-
kortninger i uddannelsesperioden.
Veje til flere hænder − Task force om social- og sundhedsmedarbejdere
Maj 2020
227
SUU, Alm.del - 2019-20 - Bilag 595: Svar på udvalgets opfølgning og spørgsmål til KL’s Sundheds- og Ældreudvalg efter fællesmødet den 10. september 2020
2255197_0230.png
Appendiks 5B. Formelle rammer for praktikforløb på SOSU-uddannelserne
Afslutning og evaluering af praktikforløbet
Skolen udsteder en vejledning til eleven og praktikvirksomheden (skolevejledning) efter af-
slutningen af det enkelte skoleophold, der fungerer som en systematisk opfølgning på skole-
perioderne og kan endvidere indeholde andre oplysninger af betydning for samarbejdet mel-
lem skolen, eleven og praktikvirksomheden.
Ved afslutning af hver praktikperiode på SOSU-uddannelserne såvel som øvrige erhvervsud-
dannelser udfylder praktikstedet en praktikerklæring, som er det juridiske dokument, der do-
kumenterer, om en elev har fået godkendt sin praktikperiode eller ej.
Praktikerklæringen afgives af virksomheden i samarbejde med eleven og skal indeholde op-
lysning om, hvilke arbejdsområder og funktioner eleven har været beskæftiget med i virksom-
heden, om eleven har nået målene for praktikperioden og angivelse af virksomhedens vurde-
ring af elevens eventuelle særlige behov med hensyn til efterfølgende skoleundervisning og
praktikuddannelse.
Det faglige udvalg har generelt ansvar for at udfærdige blanketter til brug for praktikerklærin-
gerne. Inden for social- og sundhedsuddannelserne har det faglige udvalg desuden udviklet
et hjælpeskema, der giver mulighed for at uddybe og præcisere, hvor langt eleven er nået
med hvert enkelt praktikmål i perioden. Hjælpeskemaet fungerer som et supplement til prak-
tikerklæringen.
Elever, der ikke har opnået bedømmelsen "godkendt" i en praktikperiode, tilbydes et af den
ansættende arbejdsgiver fastlagt praktikforløb og vurderes på ny. Praktikerklæring efter sid-
ste praktikperiode i uddannelsen samt skolebeviset danner tilsammen det juridiske grundlag
for, at der kan udstedes uddannelsesbevis til eleven.
228
Veje til flere hænder − Task force om social- og sundhedsmedarbejdere
Maj 2020
SUU, Alm.del - 2019-20 - Bilag 595: Svar på udvalgets opfølgning og spørgsmål til KL’s Sundheds- og Ældreudvalg efter fællesmødet den 10. september 2020
2255197_0231.png
Appendiks 5C. Eksempler på samarbejds- og dialogfora
Appendiks 5C. Eksempler på
samarbejds- og dialogfora
Boks 5C.1, 5C.2 og 5C.3
angiver eksempler på forskellige samarbejds- og dialogfora omkring
praktikforløb på forskellige niveauer.
Boks 5C.1
Eksempler på samarbejder om praktikforløb − Region Hovedstaden
Styregruppe for samarbejde mellem KP og Region Hovedstaden. Mødes 3-4 gange årligt og drøfter både
langsigtede og konkrete samarbejder i et tværfagligt perspektiv. Her deltager dekan fra det sundheds-
faglige fakultet fra KP og direktør fra CHRU samt enhedschef for Uddannelse og sektionschef for
Grunduddannelse.
Uddannelsesudvalgsmøder på KP, hvor ledere deltager fra gymnasier, psykiatrien, somatikken, kom-
munerne og CHRU. Udvalget mødes 4-5 gange årligt.
Samarbejdsmøde om klinisk undervisning på KP. Afholdes 2 gange årligt. Her deltager uddannelses-
konsulenter fra kommuner og CHRU, uddannelsesleder og studieårsansvarlige fra KP og Diakonisse-
stiftelsens sygeplejeskole.
Samarbejdsgrupper om ny studieordning (2019) vedr. beskrivelse af den kliniske undervisning. I efteråret
2018 nedsattes arbejdsgrupper i forbindelse med beskrivelsen af den kliniske undervisningsdel
(praktikdelen) af semesterbeskrivelsen.
Dialogmøder mellem klinik og undervisningsinstitution, hvor den enkelte kliniske underviser og vejleder
fra hospital og kommune og de tilknyttede teoretiske undervisere fra KP deltager. De kommende dialog-
møder afholdes i klynger på hvert hospital med de omkringliggende kommuner. Her drøftes samarbejdsr-
elaterede temaer som f.eks. klinisk intern prøve, forudsætnings- og studieaktivitetskrav i den kliniske
undervisning.
Hvert kliniksted har tilknyttet en teoretisk underviser fra KP, som deltager i intern klinisk prøve, afvikling
af forudsætnings- og studieaktivitetskrav og supplerende studiesamtaler. Sidstnævnte beskrives
nærmere i et senere afsnit. Dette samarbejde giver anledning til samarbejdsmøder på de enkelte kliniske
afsnit. Her der mulighed for at den kliniske afdelings leder kan deltage, hvis det skønnes relevant.
Kilde: Bidrag indhentet af Danske Regioner.
Veje til flere hænder − Task force om social- og sundhedsmedarbejdere
Maj 2020
229
SUU, Alm.del - 2019-20 - Bilag 595: Svar på udvalgets opfølgning og spørgsmål til KL’s Sundheds- og Ældreudvalg efter fællesmødet den 10. september 2020
2255197_0232.png
Appendiks 5C. Eksempler på samarbejds- og dialogfora
Boks 5C.2
Eksempler på samarbejde − Region Nordjylland
2 årlige samarbejdsmøder mellem RN og de sundhedsfaglige grunduddannelserne på UCN (herunder
sygeplejerskeuddannelsen) med deltagelse af hhv. uddannelseschef og uddannelsesledere fra
Sygeplejerskeuddannelsen, UCN, samt uddannelseschef og viceklinikchef i RN.
2 årligt driftsmøder mellem uddannelseschefer i begge organisationer.
Samarbejdsaftale mellem RN og UCN ift. grunduddannelserne.
Fast deltagelse af repræsentanter fra Sygeplejerskeuddannelsen (klinisk koordinator og uddannelsesleder)
i RN’s interne referencegruppe for Sygeplejerskeuddannelsen, 4 årlige møder. 2 kliniske ledelses-
repræsentanter i Uddannelsesudvalget for Sygeplejerskeuddannelsen, UCN.
2 årlige samarbejdsmøder mellem Sygeplejerskeuddannelsen, repræsenteret ved uddannelseschef,
uddannelsesleder og klinisk koordinator, samt hvert hospitals, repræsenteret ved uddannelseskonsulenter,
kliniske vejledere og uddannelsesansvarligt personale i øvrigt fra den kliniske praksis. Disse møder er et
godt forum til at styrke samarbejde mellem klinisk praksis og uddannelsesinstitutionen i forhold til faglige
områder. Desuden et godt forum, hvor vejledere og uddannelsesansvarligt personale fra klinisk praksis
møder ledere fra Sygeplejerskeuddannelsens 3 campus.
Studierådsmøde på Sygeplejerskeuddannelsen flere gange årligt med deltagelse af kliniske
uddannelseskonsulenter fra tilhørende hospitaler.
Bachelordating gange 2 årligt − et samarbejde mellem klinisk praksis og Sygeplejerskeuddannelsen, hvor
praksis har mulighed for at præsentere sygeplejefaglige problemstillinger fra klinikken, som kunne ønskes
nærmere undersøgt. Dette for at give 6. semesterstuderende ideer til deres kommende bachelorprojekter.
På den måde er dette samarbejde en win-win situation for begge parter.
Erhvervspraktikanter, afholdes i uge 48 med 4 dage på et hospital og 5. dag på UCN.
Ca. 2 årlige møder ang. internationale sygeplejerskestuderende. UCN indkalder til møderne og deltagerne
er de kliniske uddannelseskoordinator fra alle hospitaler i RN og en repræsentant fra kommunerne.
Informationsmøder på hvert af UCN’s 3 campus (Hjørring, Aalborg og Thisted) ca. 2 gange årligt for alle
kliniske vejledere og kliniske uddannelseskoordinator.
Godkendelsesmøde mellem Sygeplejerskeuddannelsen og de enkelte afdelinger ca. hver 4. år hvor det
kliniske uddannelsessted godkendes som uddannelsessted.
Tæt samarbejde med undervisere ved Sygeplejerskeuddannelsen ved eksamen og lign.
Hospitalerne stiller klinikken til rådighed for undervisere ved Sygeplejerskeuddannelsen, der er i gang med
videreuddannelse (ph.d.)
Flere kliniske vejledere fungerer som eksterne undervisere på Sygeplejerskeuddannelsen.
Uddannelsesansvarlige sygeplejersker og kliniske vejledere deltager i tværfaglige projekter med
Sygeplejerskeuddannelsen, fx innovations camp.
Kilde: Bidrag indhentet af Danske Regioner.
230
Veje til flere hænder − Task force om social- og sundhedsmedarbejdere
Maj 2020
SUU, Alm.del - 2019-20 - Bilag 595: Svar på udvalgets opfølgning og spørgsmål til KL’s Sundheds- og Ældreudvalg efter fællesmødet den 10. september 2020
2255197_0233.png
Appendiks 5C. Eksempler på samarbejds- og dialogfora
Boks 5C.3
Eksempler på samarbejdr om praktikforløb − Region Midtjylland
På sygeplejeuddannelsen fungerer samarbejdet mellem VIA UC, Region Midtjylland og de 19 midtjyske
kommuner ud fra konceptet 'Kvalitet i praktik', der er udarbejdet i forlængelse af 2016 bekendtgørelsen. I
dette koncept er bl.a. beskrevet rammer for mødefora, hvor både VIA UC, de 19 kommuner og Region
Midtjylland er repræsenteret. Ud over de uddannelsesudvalg, der er fastsat i lov om professionshøjskoler,
er der etableret et overordnet samarbejdsforum for alle sundhedsfaglige uddannelser, ledermøder for hver
uddannelse, 4 årlige koordinationsmøder for hver uddannelse og temamøder 2 gange årligt. Der er også
mulighed for at planlægge lokale møder ad hoc.
Kilde: Bidrag indhentet af Danske Regioner.
Veje til flere hænder − Task force om social- og sundhedsmedarbejdere
Maj 2020
231
SUU, Alm.del - 2019-20 - Bilag 595: Svar på udvalgets opfølgning og spørgsmål til KL’s Sundheds- og Ældreudvalg efter fællesmødet den 10. september 2020
2255197_0234.png
Denne side er med vilje efterladt uden indhold.
Appendiks 5C. Eksempler på samarbejds- og dialogfora
232
Veje til flere hænder − Task force om social- og sundhedsmedarbejdere
Maj 2020
SUU, Alm.del - 2019-20 - Bilag 595: Svar på udvalgets opfølgning og spørgsmål til KL’s Sundheds- og Ældreudvalg efter fællesmødet den 10. september 2020
2255197_0235.png
Appendiks 7A. Metode
Appendiks 7A. Metode
Datagrundlaget for analysen samt metoden bag afgrænsningen af populationen af social- og
sundhedsuddannede fremgår af
boks 7A.1.
Boks 7A.1
Datagrundlag og afgrænsning af SOSU- og sygeplejerskeuddannede
Opgørelserne i dette kapitel er udarbejdet på baggrund af Bevægelsesregisteret. Bevægelsesregisteret er
baseret på data fra Det Statistiske Autorisationsregister, der indeholder informationer om, hvilke personer
med en social- og sundhedsuddannelse, der har fået en autorisation fra Styrelsen for Patientsikkerhed
(STPS), og oplysninger om bl.a. uddannelses- og arbejdsmarkedsoplysninger (hhv. Uddannelsesregisteret
og den registerbaserede arbejdsstyrkestatistik, RAS) fra Danmarks Statistik.
Der er indført autorisationsordninger for en række sundhedspersoner. Det gælder bl.a. for sygeplejersker
samt SOSU-assistenter, SOSU-hjælpere samt øvrige plejere ikke skal have autorisation.
En autorisation er bevis for en sundhedsfaglig uddannelse. Autorisationen giver både ansvar, rettigheder og
pligter i udførelsen af faglig virksomhed. Formålet med autorisationen er at styrke patientsikkerheden og
fremme kvaliteten af sundhedsvæsenets ydelser.
Reguleringen af det sundhedsfaglige arbejdsmarked via autorisationer har imidlertid også indflydelse på ar-
bejdsmarkedets virkemåde, fx på substitutionsmulighederne mellem faggrupper. På det øvrige arbejdsmar-
ked er der i mange tilfælde mulighed for at ansætte andre faggrupper, som har lignende kvalifikationer, hvis
de efterspurgte faggrupper ikke bliver udbudt eller er vanskelige at rekruttere. Det kan ikke forekomme på
det sundhedsfaglige arbejdsmarked for de faggrupper, som skal være autoriserede.
Definition af arbejdsstyrke
Udgangspunktet for opgørelsen af den SOSU- og sygeplejerskeuddannede arbejdsstyrke er således perso-
ner, der står til rådighed for arbejdsmarkedet, og som enten er a) autoriseret sygeplejerske eller SOSU-assi-
stent eller b) har en uddannelse inden for udvalgte social- og sundhedsuddannelser.
Det bemærkes, at antallet af SOSU- og sygeplejerskeuddannede, hvor der ikke er krav om autorisation, kan
være underestimeret, hvis personer med en udenlandsk uddannelse ikke fremgår af Danmarks Statistiks
uddannelsesoplysninger.
Det er ikke nødvendigvis den
højeste fuldførte
uddannelse, som er afgørende for, om en person er en del af
arbejdsstyrken af SOSU- og sygeplejerskeuddannede. Hvis en social- og sundhedsuddannet person videre-
uddanner sig, afhænger den fortsatte optræden i arbejdsstyrken af, om uddannelsen giver ny autorisation
eller ej. Hvis eksempelvis en sygeplejerske videreuddanner sig til læge, som kræver autorisation, vil den på-
gældende person forlade arbejdstyrken af sygeplejersker og indtræden i arbejdsstyrken af læger. Men hvis
en sygeplejerske tager en anden kandidatuddannelse, fx folkesundhedsvidenskabelig kandidat, som ikke
kræver autorisation, vil den pågældende person fortsat optræde i arbejdstyrken af SOSU- og sygeplejerske-
uddannede.
Sygeplejersker tager overvejende videreuddannelse, som ikke giver ny autorisation, men fortsat er inden for
det sundhedsfaglige område. SOSU-assistenter samt SOSU-hjælpere tager overvejende videreuddannelser,
som giver ny autorisation, som fx sygeplejerske.
Veje til flere hænder − Task force om social- og sundhedsmedarbejdere
Maj 2020
233
SUU, Alm.del - 2019-20 - Bilag 595: Svar på udvalgets opfølgning og spørgsmål til KL’s Sundheds- og Ældreudvalg efter fællesmødet den 10. september 2020
2255197_0236.png
Denne side er med vilje efterladt uden indhold.
Appendiks 7A. Metode
234
Fejl! Ingen tekst med den anførte typografi i dokumentet.
Fejl! Ingen tekst med den anførte typografi i
dokumentet.
SUU, Alm.del - 2019-20 - Bilag 595: Svar på udvalgets opfølgning og spørgsmål til KL’s Sundheds- og Ældreudvalg efter fællesmødet den 10. september 2020
2255197_0237.png
Appendiks 8A. Uddybende om veje på arbejdsmarkedet
Appendiks 8A. Uddybende
om veje på arbejdsmarkedet
I kapitel 8 sammenlignes tilknytning til arbejdsmarkedet samt branche- og sektorbeskæfti-
gelse blandt social- og sundhedsmedarbejdere. Nedenfor stilles skarpt på branchebeskæfti-
gelsen
inden
for sundheds-, ældre- og socialområdet,
jf. boks 8A.1.
Metoden er den samme som i kapitel 8. Det betyder, at social- og sundhedsmedarbejdere fra
uddannelsesårgangene 2000-2017 følges over tid uanset deres tilknytning til arbejdsmarke-
det. Tal vedrørende beskæftigede uden for sundheds-, ældre- og socialområdet, ledighed,
social- og sundhedsmedarbejdere uden for arbejdsstyrken og social- og sundhedsmedarbej-
dere, der har videreuddannet sig eller er udvandret fremgår af kapitel 8.
Boks 8A.1
Oversigt over branchebeskæftigelse inden for sundheds-, ældre- og socialområdet
Beskæftiget på sygehusene
Beskæftigetiget inden for det øvrige sundhedsområde
Sundhedspleje, hjemmesygepleje mv.
Alment praktiserende læger og praksiserende speciallæger
Beskæftiget inden for ældre- og socialområdet, fx:
Plejehjem og hjemmepleje
Døgninstitutioner for personer med fysiske eller psykiske handicap
Opdelingen af branchebeskæftigelsen gør det muligt at undersøge de nyuddannede social- og sundheds-
medarbejderes tilknytning indenfor deres primære fagområde.
8A.1 Sygeplejersker
Størstedelen af nyuddannede sygeplejersker begynder deres arbejdsliv på sygehusene,
jf.
figur 8A.1.
I gennemsnit var 75 pct. af sygeplejerskerne uddannet i perioden 2000-2016 be-
skæftiget på sygehusene første år efter de færdiggjorde deres uddannelse. Denne andel fal-
der imidlertid i takt med at sygeplejerskerne har været flere år på arbejdsmarkedet. Blandt sy-
geplejersker, der har været på arbejdsmarkedet i 10 år, er andelen omkring 54 pct.
Det fremgår desuden, at det er en markant lavere andel af uddannelsesårgangene fra 2010
og frem, som er ansat på sygehusene efter endt uddannelse,
jf. figur 8A.2.
Hvor i gennemsnit
knap 80 pct. af uddannelsesårgangene fra 2000 til 2009 arbejdede på sygehuse året efter
Veje til flere hænder − Task force om social- og sundhedsmedarbejdere
Maj 2020
235
SUU, Alm.del - 2019-20 - Bilag 595: Svar på udvalgets opfølgning og spørgsmål til KL’s Sundheds- og Ældreudvalg efter fællesmødet den 10. september 2020
2255197_0238.png
Appendiks 8A. Uddybende om veje på arbejdsmarkedet
endt uddannelse, gjaldt det kun for 67 pct. af uddannelsesårgangen fra 2010. Dette fald mod-
svares af en tilsvarende stigning i andelen af uddannelsesårgangen, som starter deres ar-
bejdsliv inden for ældre- og socialområdet. Dette skyldes formegentlig til dels, at der i 2010
blev indført strammere økonomistyring på sygehusene, som følge af store budgetoverskridel-
ser i 2009. Efter 2010 stiger andelen af uddannelsesårgangene, som arbejder på sygehu-
sene ét år efter endt uddannelse og udgør for 2016-årgangen 76 pct. Dette er dog fortsat la-
vere end det gennemsnitlige niveau før 2010.
Figur 8A.1
Andel sygeplejersker beskæftiget på
sygehusene i årene efter endt uddannelse
Figur 8A.2
Brancher for nyuddannede sygeplejersker
ét år efter endt uddannelse, fordelt på
årgange
Pct.
90
80
70
60
50
40
30
20
10
0
00 01 02 03 04 05 06 07 08 09 10 11 12 13 14 15 16
Sygehuse
Øvrige sundhedsområde
Ældre- og socialområdet
Pct.
90
80
70
60
50
40
30
20
10
0
Pct.
90
80
70
60
50
40
30
20
10
0
0 1 2 3 4 5 6 7 8 9 10 11 12 13 14 15 16 17
2000
2005
2010
2015
2017
Pct.
90
80
70
60
50
40
30
20
10
0
Anm.: Det øvrige sundhedsområde består af sundhedsplejen, hjemmesygeplejen, alment praktiserende
læger mv., mens ældre- og socialområdet består af plejehjem og hjemmeplejen samt døgninstitu-
tioner for personer med fysiske eller psykiske handicap. Populationen er afgrænset til personer med
en sygeplejerskeuddannelse uddannet i perioden 2000-2017. Data er fra perioden 2000-2017. Det
bemærkers, at der er databrud for arbejdsmarkedsoplysninger mellem 2007 og 2008.
Kilde: Task force om social- og sundhedsmedarbejdere på baggrund af data fra Bevægelsesregistret.
Sygeplejersker, der har været længere tid på arbejdsmarkedet, finder i højere grad beskæfti-
gelse inden for ældre- og socialområdet, og inden for det øvrige sundhedsområde, hovedsa-
ligt bestående af sundhedsplejen, hjemmesygeplejen og alment praktiserende læger. I gen-
nemsnit er omkring 13 pct. af de sygeplejersker, der har været på arbejdsmarkedet i 10 år
beskæftiget inden for ældre- og socialområdet mens 10 pct. er beskæftiget inden for det øv-
rige sundhedsområde,
jf. figur 8A.3 og 8A.4.
236
Veje til flere hænder − Task force om social- og sundhedsmedarbejdere
Maj 2020
SUU, Alm.del - 2019-20 - Bilag 595: Svar på udvalgets opfølgning og spørgsmål til KL’s Sundheds- og Ældreudvalg efter fællesmødet den 10. september 2020
2255197_0239.png
Appendiks 8A. Uddybende om veje på arbejdsmarkedet
Figur 8A.3
Andel af sygeplejersker beskæftiget på
ældre- og socialområdet i årene efter endt
uddannelse
Pct.
18
16
14
12
10
8
6
4
2
0
0 1 2 3 4 5 6 7 8 9 10 11 12 13 14 15 16 17
2000
2005
2010
2015
2017
Pct.
18
16
14
12
10
8
6
4
2
0
Figur 8A.4
Andel af sygeplejersker beskæftiget inden
for det øvrige sundhedsområde i årene efter
endt uddannelse
Pct.
16
14
12
10
8
6
4
2
0
0 1 2 3 4 5 6 7 8 9 10 11 12 13 14 15 16 17
2000
2005
2010
2015
2017
Pct.
16
14
12
10
8
6
4
2
0
Anm.: Det øvrige sundhedsområde består af sundhedsplejen, hjemmesygeplejen og alment praktiserende
læger mv., mens ældre- og socialområdet består af plejehjem og hjemmeplejen samt døgninstitu-
tioner for personer med fysiske eller psykiske handicap. Populationen er afgrænset til personer med
en sygeplejerskeuddannelse uddannet i perioden 2000-2017. Data er fra perioden 2000-2017. Det
bemærkers, at der er databrud for arbejdsmarkedsoplysninger mellem 2007 og 2008.
Kilde: Task force om social- og sundhedsmedarbejdere på baggrund af data fra Bevægelsesregistret.
8A.2 SOSU-assistenter
Størstedelen af SOSU-assistenter er beskæftiget inden for ældre- og socialområdet,
jf. figur
8A.5.
I gennemsnit er 66 pct. af SOSU-assistenterne fra uddannelsesårgangene 2000-2016
beskæftiget her første år efter endt uddannelse. Blandt dem der har været på arbejdsmarke-
det i 10 år er det omkring 47 pct.
De nyere uddannelsesårgange er i mindre grad end tidligere beskæftiget på sygehusene ef-
ter endt uddannelse,
jf. figur 8A.6.
For uddannelsesårgangene fra 2000 og 2005 var hhv. 27
og 21 pct. beskæftiget på sygehusene året efter endt uddannelse, mens der for uddannelses-
årgangene fra 2010 og 2015 var hhv. 4 og 6 pct.
Veje til flere hænder − Task force om social- og sundhedsmedarbejdere
Maj 2020
237
SUU, Alm.del - 2019-20 - Bilag 595: Svar på udvalgets opfølgning og spørgsmål til KL’s Sundheds- og Ældreudvalg efter fællesmødet den 10. september 2020
2255197_0240.png
Appendiks 8A. Uddybende om veje på arbejdsmarkedet
Figur 8A.5
Andel af SOSU-assistenter beskæftiget
inden for ældre- og socialområdet i årene
efter endt uddannelse
Pct.
80
70
60
50
40
30
20
10
0
0 1 2 3 4 5 6 7 8 9 10 11 12 13 14 15 16 17
2000
2005
2010
2015
2017
Pct.
80
70
60
50
40
30
20
10
0
Figur 8A.6
Andel af SOSU-assistenter beskæftiget på
sygehusene i årene efter endt uddannelse
Pct.
30
25
20
15
10
5
0
0 1 2 3 4 5 6 7 8 9 10 11 12 13 14 15 16 17
2000
2005
2010
2015
2017
Pct.
30
25
20
15
10
5
0
Anm.: Ældre- og socialområdet består af plejehjem og hjemmeplejen samt døgninstitutioner for personer
med fysiske eller psykiske handicap. Populationen er afgrænset til personer med en SOSU-
assistentuddannelse uddannet i perioden 2000-2017. Data er fra perioden 2000-2017. Det
bemærkers, at der er databrud for arbejdsmarkedsoplysninger mellem 2007 og 2008.
Kilde: Task force om social- og sundhedsmedarbejdere på baggrund af data fra Bevægelsesregistret.
Faldet i andelen af SOSU-assistenter ansat på sygehusene blandt de nyere uddannelsesår-
gange kan formegentlig til dels tilskrives strukturelle ændringer i sygehusvæsenet, som bl.a.
har ført til et fald i behovet for plejepersonale på sygehusene,
jf. boks 8A.2.
238
Veje til flere hænder − Task force om social- og sundhedsmedarbejdere
Maj 2020
SUU, Alm.del - 2019-20 - Bilag 595: Svar på udvalgets opfølgning og spørgsmål til KL’s Sundheds- og Ældreudvalg efter fællesmødet den 10. september 2020
2255197_0241.png
Appendiks 8A. Uddybende om veje på arbejdsmarkedet
Boks 8A.2
Strukturelle forandringer i perioden, særligt på sygehusene
I den observerede periode er der sket markante strukturelle forandringer, som det er vigtigt at holde for øje i
betragtninger af branchebeskæftigelsen over tid. Det ses især inden for sygehusvæsenet, hvor en større
omstrukturering er fundet sted både inden for og mellem sygehuse. En af de vigtigste tendenser i perioden
er en omstilling af sygehusene fra sengedage mod ambulante besøg.
Siden 2000 er antallet af sengedage faldet med næsten en tredjedel. I 2000 var der således ca. 5,7 mio.
sengedage på landets sygehuse, mens der i 2018 var 3,9 mio. sengedage,
jf. figur 8A.7.
Denne udvikling
modsvares af et stigende antal ambulante besøg. I 2000 var der 4,9 mio. besøg, mens der i 2018 var 10,8
mio. besøg.
Parallelt med denne udvikling sker der ændringer i personalesammensætningen på sygehusene,
jf. figur
8A.8.
I samme periode er antallet af plejepersonale faldet. Det er især fra 2010, at der ses et fald i
plejepersonalet, hvor især antallet af læger er steget på sygehusene, men også sygeplejersker steget.
Figur 8A.7
Sengedage og ambulante besøg
Mio.
16
14
12
10
8
6
4
2
0
00
02
04
06
08
10
12
14
16
18
Sengedage
Sengedage (ny metode)
Figur 8A.8
Beskæftigelse på offentlige sygehuse
Mio.
16
14
12
10
8
6
4
2
0
Indeks (2001=100)
180
160
140
120
100
80
60
40
20
0
01
03
05
07
09
11
13
15
17
Læger
Sygeplejersker
Indeks (2001=100)
180
160
140
120
100
80
60
40
20
0
Plejepersonale (og SOSU'ere)
Ambulante besøg
Ambulante besøg (ny metode)
Anm: Sengedage og ambulante besøg er opgjort efter to forskellige metoder - en hhv. ældre og nyere
metode. Den ældre metode anvendes til at danne en tidserie tilbage til år 2000, men er behæftet med
nogen usikerhed, idet registreringen af ambulante besøg har ændret sig over tid pga. registrerings-
eller strukturændringer. I den nye metode er ambulante besøg sygehusophold på under 12 timer
samt planlagte ambulante kontakter med mindst ét besøg pr. dag. Sengedage under indlæggelse er
opgjort som antal døgn patienten er indlagt, målt i timer. Indlæggelser er defineret som
sygehusophold på 12 timer eller derover.
Kilde: Task force om social- og sundhedsmedarbejdere på baggrund af data fra Sundhedsdatastyrelsen og
Esundhed.dk.
Andelen af SOSU-assistenter beskæftiget inden for det øvrige sundhedsområde er generelt
lav, selvom der er en svag stigende tendens i takt med, at SOSU-assistenterne har været
længere tid på arbejdsmarkedet,
jf. figur 8A.9.
Veje til flere hænder − Task force om social- og sundhedsmedarbejdere
Maj 2020
239
SUU, Alm.del - 2019-20 - Bilag 595: Svar på udvalgets opfølgning og spørgsmål til KL’s Sundheds- og Ældreudvalg efter fællesmødet den 10. september 2020
2255197_0242.png
Appendiks 8A. Uddybende om veje på arbejdsmarkedet
Figur 8A.9
Andel af SOSU-assistenter beskæftiget inden for det øvrige sundhedsområde i årene efter
endt uddannelse
Pct.
Pct.
Pct.
4
4
3
3
2
2
1
1
0
0
1
2
3
2000
4
5
6
2005
7
8
9
2010
10
11
12
2015
13
14
15
2017
16
17
0
Anm.: Det øvrige sundhedsområde består af sundhedsplejen og alment praktiserende læger mv.
Populationen er afgrænset til personer med en sygeplejerskeuddannelse uddannet i perioden 2000-
2015. Data er fra perioden 2000-2017. Det bemærkers, at der er databrud for arbejdsmarkeds
-
oplysninger mellem 2007 og 2008.
Kilde: Task force om social- og sundhedsmedarbejdere på baggrund af data fra Bevægelsesregistret.
8A.3 SOSU-hjælpere
Inden for sundheds-, ældre- og socialområdet finder SOSU-hjælpere primært beskæftigelse
inden for ældre- og socialområdet,
jf. figur 8A.10.
I gennemsnit var 65 pct. af SOSU-hjælpere
fra uddannelsesårgangene fra 2000-2016 beskæftiget på ældre- og socialområdet året efter
endt uddannelse. Blandt dem, der havde været på ældre- og socialområdet i 10 år var ande
-
len i gennemsnit 35 pct. En del af faldet skyldes, at relativt mange SOSU-hjælpere videreud
-
danner sig inden for de øvrige sundhedsuddannelser.
Kun en lille andel af SOSU-hjælperne finder beskæftigelse på sygehusene efter endt uddan
-
nelse,
jf. figur 8A.11.
240
Veje til flere hænder − Task force om social- og sundhedsmedarbejdere
Maj 2020
SUU, Alm.del - 2019-20 - Bilag 595: Svar på udvalgets opfølgning og spørgsmål til KL’s Sundheds- og Ældreudvalg efter fællesmødet den 10. september 2020
2255197_0243.png
Appendiks 8A. Uddybende om veje på arbejdsmarkedet
Figur 8A.10
Andel af SOSU-hjælpere beskæftiget inden
for ældre- og socialområdet i årene efter
endt uddannelse
Pct.
80
70
60
50
40
30
20
10
0
0 1 2 3 4 5 6 7 8 9 10 11 12 13 14 15 16 17
2000
2005
2010
2015
2017
Pct.
80
70
60
50
40
30
20
10
0
Figur 8A.11
Andel SOSU-hjælpere beskæftiget på
sygehusene i årene efter endt uddannelse
Pct.
6
5
4
3
2
1
0
0
1
2 3
2000
4
5 6
2005
7
Pct.
6
5
4
3
2
1
0
8 9 10 11 12 13 14 15 16 17
2010
2015
2017
Anm.: Ældre- og socialområdet består af plejehjem og hjemmeplejen samt døgninstitutioner for personer
med fysiske eller psykiske handicap. Populationen er afgrænset til personer med en SOSU-
hjælperuddannelse uddannet i perioden 2000-2017. Data er fra perioden 2000-2017. Det
bemærkers, at der er databrud for arbejdsmarkedsoplysninger mellem 2007 og 2008.
Kilde: Task force om social- og sundhedsmedarbejdere på baggrund af data fra Bevægelsesregistret.
Andelen SOSU-hjælpere som er beskæftiget på det øvrige sundhedsområde er meget lille og
ligger på omkring 1 pct.,
jf. figur 8A.12.
Figur 8A.12
Andel af SOSU-hjælpere beskæftiget på det øvrige sundhedsområde i årene efter endt
uddannelse
Pct.
2,0
Pct.
2,0
1,5
1,5
1,0
1,0
0,5
0,5
0,0
0
1
2
3
2000
4
5
6
2005
7
8
9
2010
10
11
12
2015
13
14
15
16
2017
17
0,0
Anm.:
Det øvrige sundhedsområde består af
sundhedsplejen, og alment praktiserende læger mv. Populationen
er afgrænset til personer med en sygeplejerskeuddannelse uddannet i perioden 2000-2017. Data er
fra perioden 2000-2017. Det bemærkers, at der er databrud for arbejdsmarkedsoplysninger mellem
2007 og 2008.
Kilde: Task force om social- og sundhedsmedarbejdere på baggrund af data fra Bevægelsesregistret.
Veje til flere hænder − Task force om social- og sundhedsmedarbejdere
Maj 2020
241
SUU, Alm.del - 2019-20 - Bilag 595: Svar på udvalgets opfølgning og spørgsmål til KL’s Sundheds- og Ældreudvalg efter fællesmødet den 10. september 2020
2255197_0244.png
Appendiks 8A. Uddybende om veje på arbejdsmarkedet
8A.4 Metode
Datagrundlaget for analysen samt metoden bag inddelingen af social- og sundhedsmedarbej-
dere i uddannelsesårgange fremgår af
boks 8A.3.
Boks 8A.3
Metode
Datagrundlaget for analyserne er Bevægelsesregisteret, som bl.a. indeholder information omkring uddan-
nelse og arbejdsmarkedskarakteristika for hele den sundhedsfaglige arbejdsstyrke.
Populationen er i udgangspunktet afgrænset til social- og sundhedsmedarbejdere, som er blevet autorise-
rede eller færdiguddannede i perioden 2000-2017. Data er fra perioden 2000-2017 medmindre andet er an-
givet. Denne afgrænsning sikrer, at det er muligt at følge alle fra det første år efter autorisation eller fuldført
uddannelse og så mange år som muligt herefter givet datagrundlaget.
Social- og sundhedsmedarbejderne er inddelt i år efter endt uddannelse på baggrund af året for fuldført ud-
dannelse i Bevægelsesregisteret. Hvis information omkring år for fuldført uddannelse ikke er tilgængelig,
benyttes året for autorisation til at undersøge, hvor mange år personen har haft mulighed for at arbejde som
social- og sundhedsmedarbejder i Danmark. Periodeafgrænsningen mellem 2000 og 2017 betyder, at det
ikke er muligt at følge alle uddannelsesårgange i alle år efter endt uddannelse. Derudover dækker antal år
efter endt uddannelse over forskellige årstal for forskellige uddannelsesårgange,
jf. figur nedenfor.
Figuren viser, at første år efter endt uddannelse var i 2001 for årgangen, der færdiggjorde deres uddan-
nelse i 2000, mens det var i 2002 for kohorten, der færdiggjorde deres uddannelse i 2001. Samtidig synlig-
gør figuren, at årgangen fra 2000 kan følges ét år mere efter afsluttet uddannelse eller autorisation end år-
gangen fra 2001. Tilsvarende indgår uddannelsesårgangen fra 2017 kun i det år, de færdiggør deres ud-
dannelse.
3
2
1
0
2000
2001
Årstal
2002
2003
Analysen følger social- og sundhedsmedarbejdere fra uddannelsesårgangene over tid uanset om de er en
del af arbejdsstyrken eller ej. Denne tilgang sikrer, at det er muligt både at undersøge bevægelser blandt
beskæftigede og ikke-beskæftigede samt dem, der helt forlader arbejdsstyrken.
242
Veje til flere hænder − Task force om social- og sundhedsmedarbejdere
Maj 2020
SUU, Alm.del - 2019-20 - Bilag 595: Svar på udvalgets opfølgning og spørgsmål til KL’s Sundheds- og Ældreudvalg efter fællesmødet den 10. september 2020
2255197_0245.png
Appendiks 8A. Uddybende om veje på arbejdsmarkedet
Grundlaget for afgrænsningen af sundhedsfaglige uddannelser samt håndtering af tilfælde af
videreuddannelse inden for andre sundhedsfaglige uddannelser fremgår af
boks 8A.4.
Boks 8A.4
Sundhedsuddannelser
Der er indført autorisationsordninger for en række sundhedspersoner. Det gælder bl.a. for sygeplejersker
samt SOSU-assistenter, mens SOSU-hjælpere samt øvrige plejere ikke skal have autorisation.
Grundlaget for at afgrænse arbejdsstyrken af sundhedsfagligt uddannede er den uddannelse, som giver
autorisation til at arbejde som fx sygeplejerske eller SOSU-assistent. En person, der fx har fået en syge-
plejerskeuddannelse, følges således som sygeplejerske, selvom personen eventuelt videreuddanner sig
inden for et andet fagområde.
Kun hvis en person videreuddanner sig inden for en uddannelse, der giver ny sundhedsfaglig uddannelse
(fx en SOSU-hjælper, der uddanner sig til SOSU-assistent) vil den sundhedsfaglige uddannelse ændres.
Veje til flere hænder − Task force om social- og sundhedsmedarbejdere
Maj 2020
243
SUU, Alm.del - 2019-20 - Bilag 595: Svar på udvalgets opfølgning og spørgsmål til KL’s Sundheds- og Ældreudvalg efter fællesmødet den 10. september 2020
2255197_0246.png
Denne side er med vilje efterladt uden indhold.
Appendiks 8A. Uddybende om veje på arbejdsmarkedet
244
Veje til flere hænder − Task force om social- og sundhedsmedarbejdere
Maj 2020
SUU, Alm.del - 2019-20 - Bilag 595: Svar på udvalgets opfølgning og spørgsmål til KL’s Sundheds- og Ældreudvalg efter fællesmødet den 10. september 2020
2255197_0247.png
Appendiks 9A. Beregningsmetode af arbejdstid
Appendiks 9A.
Beregningsmetode af
arbejdstid
Datagrundlaget for analysen samt metoden bag inddelingen af social- og sundhedsmedarbej-
dere i uddannelsesårgange fremgår af
boks 9A.1 og 9A.2.
Boks 9A.1
Datagrundlag og afgrænsning
Datagrundlaget for analyserne er Bevægelsesregisteret, som bl.a. indeholder information omkring uddan-
nelse og arbejdsmarkedskarakteristika for hele den sundhedsfaglige arbejdsstyrke. Arbejdstidsoplysninger
er tilgængelige i registeret fra 2008 og frem.
Populationen er afgrænset til beskæftigede social- og sundhedsmedarbejdere, som ikke er midlertidigt fra-
værende fra arbejdsmarkedet (fx i forbindelse med barsel eller sygdom), og som er blevet autoriserede eller
færdiguddannede i perioden 2008-2017. Data er fra perioden 2008-2017.
Social- og sundhedsmedarbejderne er inddelt i år efter endt uddannelse på baggrund af året for fuldført ud-
dannelse i Bevægelsesregisteret. Hvis information omkring år for fuldført uddannelse ikke er tilgængelig,
benyttes året for autorisation til at undersøge, hvor mange år personen har haft mulighed for at arbejde som
social- og sundhedsmedarbejder i Danmark.
Periodeafgrænsningen mellem 2008 og 2017 betyder, at ikke alle beskæftigede uddannelsesårgange ind-
går i alle år efter endt uddannelse. Da opgørelsen udelukkende indeholder beskæftigede personer er det
desuden muligt, at nogle af social- og sundhedsmedarbejderne kan bevæge sig ud af beskæftigelse og der-
med udgå af populationen, og udviklingen i andelen, som fx er deltidsbeskæftiget, kan således afspejle æn-
dringer i populationssammensætningen. Derudover dækker antal år efter endt uddannelse over forskellige
årstal for forskellige uddannelsesårgange jf.
boks 9A.2.
Figuren viser, at første år efter endt uddannelse var i 2009 for årgangen, der færdiggjorde deres uddan-
nelse i 2008, mens det var i 2010 for kohorten, der færdiggjorde deres uddannelse i 2009. Samtidig synlig-
gør figuren, at årgangen fra 2008 kan følges ét år mere efter afsluttet uddannelse eller autorisation end år-
gangen fra 2009. Tilsvarende indgår uddannelsesårgangen fra 2017 kun i det år, de færdiggør deres ud-
dannelse.
Veje til flere hænder − Task force om social- og sundhedsmedarbejdere
Maj 2020
245
SUU, Alm.del - 2019-20 - Bilag 595: Svar på udvalgets opfølgning og spørgsmål til KL’s Sundheds- og Ældreudvalg efter fællesmødet den 10. september 2020
2255197_0248.png
Appendiks 9A. Beregningsmetode af arbejdstid
Boks 9A.2
Datagrundlag og afgrænsning
3
2
År efter endt
uddannelse
1
0
2008
2009
Årstal
2010
2011
246
Veje til flere hænder − Task force om social- og sundhedsmedarbejdere
Maj 2020
SUU, Alm.del - 2019-20 - Bilag 595: Svar på udvalgets opfølgning og spørgsmål til KL’s Sundheds- og Ældreudvalg efter fællesmødet den 10. september 2020
Denne side er med vilje efterladt uden indhold.
SUU, Alm.del - 2019-20 - Bilag 595: Svar på udvalgets opfølgning og spørgsmål til KL’s Sundheds- og Ældreudvalg efter fællesmødet den 10. september 2020
2255197_0250.png
Denne side er med vilje efterladt uden indhold.
Appendiks 9A. Beregningsmetode af arbejdstid
Veje til flere hænder − Task force om social- og sundhedsmedarbejdere
Maj 2020
247
SUU, Alm.del - 2019-20 - Bilag 595: Svar på udvalgets opfølgning og spørgsmål til KL’s Sundheds- og Ældreudvalg efter fællesmødet den 10. september 2020
2255197_0251.png
Appendiks 10A. Beregningsmetode af geografisk mobilitet
Appendiks 10A.
Beregningsmetode af
geografisk mobilitet
Figur 10A.1
sammenligner job- og bopælsmobiliteten på tværs af kommuner fordelt på social-
og sundhedsmedarbejdernes alder. Det fremgår, at både job- og bopælsmobiliteten falder
med alderen for både sygeplejersker og SOSU-personale. Det fremgår endvidere, at bopæls
-
mobiliteten generelt er lavere end jobmobiliteten.
Figur 10A.1
Andel social- og sundhedsmedarbejdere som flytter arbejdssted eller bopæl mellem
kommuner fordelt på alder, 2017
Pct.
25
Pct.
Pct.
25
20
20
15
15
10
10
5
5
0
25
30
35
40
Jobmobilitet - sygeplejersker
bopælmobilitet - sygeplejersker
45
50
55
60
Jobmobilitet - SOSU-personale
bopælmobilitet - SOSU-personale
65
0
Anm.: Job- og bopælsmobilitet opgøres som andelen af beskæftigede, som skifter arbejdssted eller bopæl
på tværs af kommunegrænser i forhold til året før. Kommunegrænser er i årene 2000-2006 før struk
-
turreformen inddelt i 98 kommuner på linje med afgrænsningen efter reformen.
Kilde: Task force om social- og sundhedsmedarbejdere på baggrund af data fra Bevægelsesregisteret.
Datagrundlaget samt den metodiske fremgangmåden for opgørelsen af den geografiske
mobilitet er beksrevet i
boks 10A.1.
Veje til flere hænder − Task force om social- og sundhedsmedarbejdere
Maj 2020
249
SUU, Alm.del - 2019-20 - Bilag 595: Svar på udvalgets opfølgning og spørgsmål til KL’s Sundheds- og Ældreudvalg efter fællesmødet den 10. september 2020
2255197_0252.png
Appendiks 10A. Beregningsmetode af geografisk mobilitet
Boks 10A.1
Opgørelse af geografisk mobilitet
Datagrundlag:
Geografiske flytninger af bopæl og skift af arbejdssted for den sundhedsfaglige arbejds-
styrke herunder social- og sundhedsmedarbejdere opgøres ud fra Bevægelsesregisteret, som bl.a. indehol-
der oplysninger om arbejdsstyrkens bopæl og arbejdsstedskommune for de beskæftigede. Den sundheds-
faglige arbejdsstyrke består af både sygeplejersker og SOSU-personale samt øvrigt sundhedsfagligt perso-
nale såsom fx læger, fysioterapeuter mv.
Definition af geografisk bopælsflytning og jobskifte:
En bopælsflytning og jobskifte opgøres ud fra de
årlige registeroplysninger om personernes bopæls- og arbejdsstedskommune. En ændring i bopæls- og ar-
bejdsstedskommune fra primo året til ultimo året registreres som hhv. en geografisk bopælsflytning eller et
geografisk jobskifte. På samme måde opgøres flytninger på tværs af landsdele og regioner.
Med denne definition opgøres alene bopælsflytninger og jobskifte, som sker over kommunegrænser, lands-
dele og regionsgrænser, og flytninger inden for en kommune, landsdel eller region indgår ikke i opgørelsen.
Derudover vil flere flytninger pr. person inden for året eller midlertidige flytninger, hvor en person flytter un-
der et år, ikke medtages i opgørelsen. Definitionen kan dermed siges at afgrænse sig til flytninger, som sker
over større afstande, og som er af mere længerevarende karakter.
Grundlaget for opgørelsen af flytninger og jobskifte med årlige registeroplysninger betyder, at personernes
flyttestatus kan opdeles i to kategorier:
1. Bopælsflytning og jobskifte er kendt: Personer og deres bopælskommune/arbejdsstedskommune kan
observeres i registreret både år t og t-1 og flytte- og arbejdsstedsstatus kan opgøres.
2. Bopælsflytning og jobskifte er ikke kendt: Personer kan kun observeres i registeret i år t og ikke i år t-1,
og hhv. flyttestatus og jobskiftestatus kan derfor ikke opgøres. I bevægelsesregistret skyldes det, at den
sundhedsfaglige arbejdsstyrke kun kan observeres fra det år, hvor de har opnået autorisation. Derudover
kan ukendt flyttestatus og jobskiftestatus skyldes manglende observationer for bopælsstatus i registeret.
Flyttefrekvensen − eller andelen af personer som flytter - er beregnet ud fra de personer, hvor flyttestatus er
kendt og kan opgøres.
250
Veje til flere hænder − Task force om social- og sundhedsmedarbejdere
Maj 2020
SUU, Alm.del - 2019-20 - Bilag 595: Svar på udvalgets opfølgning og spørgsmål til KL’s Sundheds- og Ældreudvalg efter fællesmødet den 10. september 2020
Denne side er med vilje efterladt uden indhold.
SUU, Alm.del - 2019-20 - Bilag 595: Svar på udvalgets opfølgning og spørgsmål til KL’s Sundheds- og Ældreudvalg efter fællesmødet den 10. september 2020
2255197_0254.png
Denne side er med vilje efterladt uden indhold.
Appendiks 10A. Beregningsmetode af geografisk mobilitet
Veje til flere hænder − Task force om social- og sundhedsmedarbejdere
Maj 2020
251
SUU, Alm.del - 2019-20 - Bilag 595: Svar på udvalgets opfølgning og spørgsmål til KL’s Sundheds- og Ældreudvalg efter fællesmødet den 10. september 2020
2255197_0255.png
Appendiks 12A. Eksempler på rekrutteringsindsatser
Appendiks 12A. Eksempler
på rekrutteringsindsatser
Nedenfor er skitseret en række eksempler på indsatser, der søger at rekruttere udvalgte mål-
grupper til SOSU-uddannelserne.
Boks 12A.1
skitserer to eksempler på projektforløb koordineret af VEU-koordinatorer.
Boks 12A.1
Eksempler på projektforløb koordinereret af VEU-koordinatorer
Case fra Sydjylland − ’SOSU Startforløb for ledige’
Man har i Sydvestjylland besluttet at gøre en ekstra indsats ved at opkvalificere og tilbyde ansættelse til le-
dige unge og voksne, der ønsker et brancheskifte eller at starte på SOSU-uddannelsen uden at skulle være
på SU i grundforløbet. Forløbet starter i 2020 og indeholder skiftevis skole- og praktikperioder. Forløbet er
bygget op således:
skole én uge
praktik 3 uger − herefter afklaring/visitering i samarbejde deltager/jobcenter/arbejdsgiver/skole
skole 3 uger
ansættelse i løntilskud i 9 uger
opstart uddannelse (Grundforløb 2)
opstart på uddannelsen til SOSU-hjælper eller SOSU-assistent
Målgruppen er borgere under 30 år på uddannelseshjælp og borgere over 25 år på kontanthjælp eller dag-
penge. For den sidstnævnte gruppe sigtes der efter at gøre dem til voksenlærlinge. Følgende aktører delta-
ger i projektet: Arbejdsmarkedskontor Syd (STAR), FOA, Social- og Sundhedsskolen Esbjerg, arbejdsgivere
og jobcentre fra følgende kommuner: Vejen, Billund, Esbjerg og Fanø.
Case fra Nordjylland − Fire tværkommunale opkvalificeringsforløb til SOSU-området
SOSU blev i 2018 udpeget af RAR Nordjylland som branchenedslagsområde for VEU-indsatsen, og i no-
vember 2018 samledes 70 repræsentanter fra området (arbejdsgivere, FOA, SOSU-skoler og jobcentre) til
en workshop, hvor der blev sat spot på nogle af områdets udfordringer, deriblandt rekruttering.
På baggrund af workshoppen blev der på tværs af kommunerne i Nordjylland sammensat fire ”SOSU klar-
forløb”, et i Hjørring og tre i Aalborg − alle med deltagelse fra flere kommuner. Forløbene blev tilrettelagt og
tilpasset ud fra kommunernes ønsker og blev ligeledes placeret på det tidspunkt, som var bedst egnet i for-
hold til praksis i hjemmeplejen.
Veje til flere hænder − Task force om social- og sundhedsmedarbejdere
Maj 2020
253
SUU, Alm.del - 2019-20 - Bilag 595: Svar på udvalgets opfølgning og spørgsmål til KL’s Sundheds- og Ældreudvalg efter fællesmødet den 10. september 2020
2255197_0256.png
Appendiks 12A. Eksempler på rekrutteringsindsatser
Boks 12A.1 (fortsat)
Eksempler på projektforløb koordinereret af VEU-koordinatorer
Forløbene varer op til 45 dage, og målet er, at deltagerne enten gennemfører forløbet, ansættes som som-
merferievikar eller starter på grundforløb 2 på enten SOSU-hjælperuddannelsen eller SOSU-assistentud-
dannelsen.
88 ledige har deltaget og gennemført de fire forløb. På de tre forløb, som blev gennemført i foråret 2019,
var der 73 deltagere:
37 blev ansat som sommerferievikarer
30 startede på grundforløb 2 i august 2019
6 ønskede ikke at arbejde inden for branchen eller fik andet arbejde
det sidste forløb er afsluttet i december 2019 og opgørelsen udestår pt.
Kilde.: Task force om social- og sundhedsmedarbejdere på baggrund af input fra Beskæftigelsesministeriet.
Boks 12A.2
skitserer en række kommuners forskellige tilgange til målrettet at rekruttere flygt-
ningekvinder til SOSU-området med hjælp af igu-ordningen.
254
Veje til flere hænder − Task force om social- og sundhedsmedarbejdere
Maj 2020
SUU, Alm.del - 2019-20 - Bilag 595: Svar på udvalgets opfølgning og spørgsmål til KL’s Sundheds- og Ældreudvalg efter fællesmødet den 10. september 2020
2255197_0257.png
Appendiks 12A. Eksempler på rekrutteringsindsatser
Boks 12A.2
Eksempler fra konkrete kommuner på arbejde med rekruttering til SOSU-områder via igu
Silkeborg kommune
Silkeborg Kommune er den største arbejdsgiver for kvindelige igu-ansatte med 38 registrerede igu-forløb,
hvoraf mange er inden for SOSU-området. Kommunen har lavet en detaljeret beskrivelse af deres arbejde
med at få kvinder i igu-forløb inden for SOSU-området, hvor der er lavet 18 understøttende indsatser for
sikre succesfulde igu-forløb. Indsatserne fokuserer både på at øge incitamenterne for alle involverede par-
ter samt praktisk understøttelse af arbejdsgiver og den enkelte igu’er. Silkeborg Kommune vil gerne sam-
tænke en løsning af integrations- og rekrutteringsudfordringen på ældreområdet, således at igu-ansatte ef-
ter en 2-årig ansættelse på et plejecenter opnår interesse for og kompetencer til at søge ind på en SOSU-
uddannelse. Det langsigtede mål er, at kvinderne opnår ordinær ansættelse inden for ældreområdet inden
for 4-7 år.
Svendborg kommune
I september 2018 blev der med politisk opbakning i kommunen lavet en projektbeskrivelse med en
igu/SOSU-Svendborgmodel. I projektet deltager 18 kvinder og 2 mænd på 19 plejecentre i Svendborg. De
igu-ansattes opgaver er primært inden for rengøring, køkken og pleje. Målsætningen med projektet er, at
deltagerne får en indgang til arbejdsmarkedet, imødekommelse af SOSU-branchens efterspørgsel efter ar-
bejdskraft og at højne deltagernes danskniveau. Efter det første år er 17 ud af 20 stadig i gang, hvor de 3
frafald skyldes overgang til ordinær uddannelse. Projektet afsluttes i august 2020.
Odder Kommune
Kommunen søgte i 2017 puljemidler i SIRI til en brancheorienteret virksomhedsindsats bl.a. inden for
SOSU-området. I januar 2018 blev de første af et igu-hold på 13 flygtningekvinder ansat på forskellige ple-
jecentre i kommunen. Forløbene i Odder Kommune har fokuseret på at give kvinderne bedre indsigt i ar-
bejdsmarkedet og forbedre deres danskkundskaber, og mindre på videre uddannelse inden for SOSU-om-
rådet. Der har været frafald fra det oprindelige igu-hold, hvilket er kendetegnende for flere af de tidlige igu-
forløb, hvor kommunerne har haft fokus på at komme hurtigt i gang.
Fem af kvinderne vil gerne fortsætte videre i en SOSU-uddannelse, og et par af kvinderne arbejder ufaglært
på kommunens plejecentre. Flere af kvinderne blev ikke screenet for deres matematik-niveau inden igu-
forløbet blev påbegyndt, hvor det efterfølgende har vist sig, at deres niveau er meget lavt. Kommunen vur-
derer, at flere af kvinderne får meget svært ved at gennemføre en SOSU-uddannelse. Odder Kommune
ville gerne have lavet et bedre forarbejde med deres igu-hold, hvor et tættere samarbejde med SOSU-sko-
len er oplagt, således at kvinderne løbende kunne blive vurderet i forhold til at kunne påbegynde et grund-
forløb efter det toårige igu-forløb.
Kommunesamarbejde i Nordsjælland
Der er etableret et tværkommunalt igu-samarbejde i Nordsjælland, hvor den lokale SOSU-uddannelsesinsti-
tution SOSU-H (tidligere SOPU) er den koordinerende og drivende part i samarbejdet. Det første igu-hold
har afsluttet toårige forløb i 2019, hvor der primært har været kvindelige deltagere fra en lang række kom-
muner i Nordsjælland. Målet har været at forberede kvinderne på en uddannelse som SOSU-assistent eller
lignende. De fleste deltagere i det første forløb er enten fortsat på et SOSU-grundforløb eller på VUC for at
bliver klar til en erhvervsfaglig uddannelse.
De deltagende kommuner vurderer, at deltagerne med igu-forløbet har fået erfaring med den danske ar-
bejdskultur og har fået styrket deres danskkundskaber, særligt inden for ældre- og plejeområdet. Det bety-
der også, at de lettere vil kunne gennemgå en uddannelse inden for denne branche. Det langsigtede mål er,
at de skal i ordinær beskæftigelse. SOSU-H har i 2019 igangsat et nyt igu-uddannelsesforløb, hvor de nær-
liggende kommuner har kunnet tilmelde deltagere. Skolen vurderer, at den nuværende målgruppe har væ-
sentligt dårligere danskkundskaber end ved optagelse til det første hold i 2017. Der er lignende tværkom-
munale samarbejder i Syddanmark og flere andre steder i Danmark.
Kilde: Task force om social- og sundhedsmedarbejdere på baggrund af input fra Udlændinge- og
integrationsministeriet.
Veje til flere hænder − Task force om social- og sundhedsmedarbejdere
Maj 2020
255
SUU, Alm.del - 2019-20 - Bilag 595: Svar på udvalgets opfølgning og spørgsmål til KL’s Sundheds- og Ældreudvalg efter fællesmødet den 10. september 2020
2255197_0258.png
RET RYGBREDDE PÅ STAN
· Finansministeriet
· Sundheds- og Ældreministeriet
· Børne- og Undervisningsministeriet
· Uddannelses- og Forskningsministeriet
· Beskæftigelsesministeriet
· KL
· Danske Regioner