Social- og Indenrigsudvalget 2019-20
SOU Alm.del Bilag 86
Offentligt
2119954_0001.png
Socialtilsyn Hovedstaden
Årsrapport 2018
SOU, Alm.del - 2019-20 - Bilag 86: Socialstyrelsens og socialtilsynenes årsrapporter for 2018, fra social- og indenrigsministeren
2119954_0002.png
Socialtilsyn Hovedstadens tilsynsområde
Socialtilsyn Hovedstaden
Smallegade 1
2000 Frederiksberg
http://socialtilsyn.frederiksberg.dk/
April 2019
Foto: Jesper Kongsted og Colourbox
SOU, Alm.del - 2019-20 - Bilag 86: Socialstyrelsens og socialtilsynenes årsrapporter for 2018, fra social- og indenrigsministeren
2018
tilsynsreformen under lup og borgerinddragelse i fokus....................................................... 4
Hovedpointer fra årsrapporten og anbefalinger til tilbud og plejefamilier ......................................... 6
Kapitel 1. Tilsynsopgaven ............................................................................................................... 9
Kvalitetsmodellen ........................................................................................................................ 9
Socialtilsyn Hovedstadens opgaveportefølje ............................................................................. 10
Kapitel 2. Socialtilsyn Hovedstadens produktion i 2018 ................................................................ 12
Tilsyn og tilsynsbesøg ............................................................................................................... 12
Godkendelse af nye tilbud og plejefamilier ................................................................................ 14
Sanktionssager.......................................................................................................................... 16
Indberetninger om magtanvendelser ......................................................................................... 20
Whistleblows
henvendelser om bekymrende forhold .............................................................. 21
Aktindsigt i socialtilsynets sager ................................................................................................ 23
Status på tilsyn med BPA-området ............................................................................................ 24
Tilfredshedsundersøgelse af Socialtilsyn Hovedstaden ............................................................. 25
Kapitel 3. Indblik i porteføljen af tilbud og plejefamilier .................................................................. 27
Indblik i den aktuelle tilbudsstruktur ........................................................................................... 27
Udviklingen på plejefamilieområdet ........................................................................................... 30
Kapitel 4. Kvaliteten i tilbud og plejefamilier .................................................................................. 36
Kvaliteten i plejefamilier ............................................................................................................. 37
Kvaliteten i børne- og ungetilbud ............................................................................................... 43
Kvaliteten på voksenområdet .................................................................................................... 50
Kvaliteten i forhold til økonomisk tilsyn ...................................................................................... 59
Kapitel 5. Borgerinddragelse i socialtilsynet og i tilbud og plejefamilier ......................................... 61
Borgerinddragelse i lov om socialtilsyn ...................................................................................... 61
Udvikling af metoder til borgerinddragelse i socialtilsynet .......................................................... 63
Tilbuddene og plejefamiliernes inddragelse af borgerne i hverdagen ........................................ 67
Kapitel 6. Socialtilsyn hovedstadens økonomi i 2018 .................................................................... 74
Tilsynstakster og objektiv finansiering ....................................................................................... 74
Budget og regnskab 2018 ......................................................................................................... 77
Tilkøbsydelser ........................................................................................................................... 78
SOU, Alm.del - 2019-20 - Bilag 86: Socialstyrelsens og socialtilsynenes årsrapporter for 2018, fra social- og indenrigsministeren
2018
tilsynsreformen under lup og
borgerinddragelse i fokus
2018 var endnu et travlt år for Socialtilsyn Ho-
vedstaden præget af udvikling af tilsynsmeto-
der og tilsynsfaglighed. Vi er i Socialtilsyn Ho-
vedstaden glade for, at vi har oplevet et kon-
struktivt samarbejde med vores interessenter.
Et godt og dialogbaseret samarbejde er for os
at se helt afgørende for, at socialtilsynet kan
lykkes med at bidrage til, at indsatserne på
hele det specialiserede socialområde kan mål-
rettes og udvikles til gavn for borgerne.
2018 var også året, hvor socialtilsynene fik en
ny opgave med at godkende og føre tilsyn med
foreninger og private virksomheder, der vare-
tager arbejdsgiverfunktioner i ordninger med
tilskud til hjælpere for handicappede (de så-
kaldte BPA-ordninger). Vi har aktuelt godkendt
to virksomheder og fortsætter arbejdet i 2019.
I 2018 aflagde vi 2.124 tilsynsbesøg i tilbud og
plejefamilier. 31 % af tilsynsbesøgene var
uanmeldte, og det er en markant stigning fra
2017, hvor andelen var 12 %. Det uanmeldte
tilsynsbesøg har klart den fordel, at socialtilsy-
net får et umiddelbart indtryk af forholdene i til-
buddet eller plejefamilien, som tilbuddet ikke
har kunnet forberede sig på. Det kan være et
indblik i, hvordan medarbejderne i tilbuddet ta-
ler til og inddrager borgerne i forbindelse med
et beboermøde, eller et indblik i hvordan ple-
jeforældrene interagerer med plejebarnet i for-
bindelse med et aftensmåltid. Omvendt kan
det uanmeldte besøg også give nogle udfor-
dringer, der vanskeliggør inddragelse af bor-
gerperspektivet. Det kan være, at borgerne i
tilbuddet ikke kan overskue at blive inter-
viewet, fordi medarbejderne ikke har haft mu-
lighed for at forberede dem på det. Det kan
også være, at der slet ikke er nogen borgere
hjemme, fordi de er på tur eller deltager i for-
skellige aktiviteter. Derfor hviler planlægnin-
gen af uanmeldte og anmeldte tilsynsbesøg
altid på en konkret risikovurdering af forhol-
dene i tilbuddet og tilbuddets målgruppe.
I Socialtilsyn Hovedstaden vil vi særligt huske
2018 som året, hvor tilsynsreformen blev eva-
lueret. Socialstyrelsens evaluering viste, at so-
cialtilsynene har indfriet intentionerne i lov om
socialtilsyn. Alle tilbud og plejefamilier får be-
søg af socialtilsynet hvert år, og borgernes
perspektiv bliver i vid udstrækning inddraget
på tilsynsbesøget. I Socialtilsyn Hovedstaden
hæfter vi os særligt ved, at de fleste tilbud og
plejefamilier vurderer, at socialtilsynene bidra-
ger til udvikling og læring. Det er dét, vi er sat
i verden for, og det er også det, vi selv oplever,
når vi tager på tilsyn. Slutevalueringen efter-
fulgtes af en forhandlingsproces, hvor forligs-
partierne forhandlede om et styrket socialtil-
syn. Blandt de større udspil på forhandlings-
bordet var et styrket økonomisk tilsyn og en
styrkelse af medarbejderne i tilbuddenes fag-
lighed. Forhandlingerne strandede i oktober,
SOU, Alm.del - 2019-20 - Bilag 86: Socialstyrelsens og socialtilsynenes årsrapporter for 2018, fra social- og indenrigsministeren
2119954_0005.png
og det er vi selvfølgelig ærgerlige over i Soci-
altilsyn Hovedstaden. Der var mange gode for-
slag på bordet og vilje til at rette op på nogle
af de uhensigtsmæssigheder i lov om socialtil-
syn, som socialtilsynene og andre interessen-
ter har gjort opmærksomme på gennem
årene. Evalueringen af tilsynsreformen har
samtidig betydet, at socialtilsynene har fyldt
meget i medierne i 2018. I Socialtilsyn Hoved-
staden har vi blandt andet mærket det ved, at
vi har modtaget et rekordhøjt antal anmodnin-
ger om aktindsigt. I 2018 behandlede vi 112
anmodninger, hvilket er næsten dobbelt så
mange som året før.
2018 har også stået i borgerinddragelsens
tegn i Socialtilsyn Hovedstaden. I kapitel 4 har
vi samlet vores overvejelser og erfaringer i et
helt temaafsnit om borgerinddragelse. Her kan
du læse om vores arbejde med at udvikle me-
toder til at inddrage borgernes perspektiv på
tilsynsbesøget. Du kan også læse, hvad en
gruppe af udviklingshæmmede borgerne si-
ger, når vi spørger dem, om de oplever sig ind-
draget af tilbuddet i beslutninger, der angår
dem selv. I vores tilfredshedsundersøgelse
har både kommuner, private tilbud og plejefa-
milier svaret, at socialtilsynet lykkes med at
inddrage borgerne i vores tilsyn. Socialtilsyn
Hovedstaden vision om, at det skal handle om
mennesker, ser derfor ud til at lykkes. Der er
altid plads til forbedringer, og i 2019 holder vi
fast i vores fokus på borgerinddragelse.
I 2019 har vi også fokus på at kvalificere det
økonomiske tilsyn. Socialtilsynet har nu eksi-
steret i fem år, og i den periode har vi gjort os
mange erfaringer, blandt andet om den måde
vi forvalter det økonomiske tilsyn på. I 2019 vil
vi i særlig grad arbejde med at blive bedre til
at dokumentere vores arbejde med det økono-
miske tilsyn, så det bliver endnu tydeligere i til-
synsrapporterne, hvad der ligger til grund for
vores vurdering af tilbuddets økonomi, og hvil-
ken dialog vi har haft med tilbuddet.
I 2019 har vi desuden fokus på at implemen-
tere det nye lovinitiativ på plejefamilieområdet,
der træder i kraft den 1. juli 2019 og blandt an-
det har til formål at sikre et ensartet godken-
delsesforløb for plejefamilier på tværs af de
fem socialtilsyn. I regi af socialtilsynet indebæ-
rer lovforslaget blandt andet, at der udvikles et
nyt grundkursuskoncept samt nye plejefamilie-
typer, det stiller forskellige krav til plejefamili-
ernes kompetencer og omfanget af den støtte,
plejefamilien har brug for. Blandt andet som
optakt til det nye initiativ kan du i denne års-
rapport læse om karakteristikaene ved de nu-
værende plejefamilier.
På vegne af medarbejderne i Socialtilsyn Ho-
vedstaden vil jeg afslutningsvist ønske god læ-
selyst med årsrapporten for 2018, der først og
fremmest byder på stor ros til de mange tilbud
og plejefamilier i Socialtilsyn Hovedstadens
portefølje.
Årsrapporten
indeholder
også
nogle anbefalinger, som vi håber, I vil tage
godt i mod og bruge konstruktivt i det fortsatte
arbejde med udvikle tilbud og plejefamilier.
Mie Andresen,
Chef for Socialtilsyn Hovedstaden
SOU, Alm.del - 2019-20 - Bilag 86: Socialstyrelsens og socialtilsynenes årsrapporter for 2018, fra social- og indenrigsministeren
2119954_0006.png
Hovedpointer fra årsrapporten og anbefalinger
til tilbud og plejefamilier
Produktionen i 2018 i korte træk
Alle godkendte tilbud og plejefamilier har modtaget mindst
1
tilsynsbesøg
Tilsynskonsulenterne har aflagt
2.124
besøg i 2018
31 % af besøgene var
uanmeldte, hvilket er en stigning fra 12 % i 2017
107
tilbud og plejefamilier er blevet godkendt
det er 27 flere end i 2017
8
tilbud og plejefamilier har fået tilbagekaldt deres godkendelse, og
111
er
ophørt ved egen drift
I 2018 er der blevet udstedt
9
påbud
det er markant færre end i 2017
1
tilbud har fået iværksat et skærpet tilsyn
I 2018 overtog socialtilsynene opgaven med at godkende og føre tilsyn med
foreninger og private virksomheder, der varetager arbejdsgiverfunktioner i ord-
ninger med tilskud til hjælpere for handicappede. I 2018 har vi godkendt
2
virksomheder
SOU, Alm.del - 2019-20 - Bilag 86: Socialstyrelsens og socialtilsynenes årsrapporter for 2018, fra social- og indenrigsministeren
2119954_0007.png
Socialtilsyn Hovedstadens anbefalinger til tilbud og plejefamilier
Alle
indskrivning
af borgere uden for
målgruppen
Socialtilsyn Hovedstaden anbefaler generelt, at tilbuddene og plejefami-
lierne sikrer efterlevelse af godkendelsesgrundlaget, der afspejler soci-
altilsynets samlede vurdering af den målgruppe, tilbuddet eller plejefa-
milien kan håndtere. Både på voksenområdet og på børne- og ungeom-
rådet oplever Socialtilsyn Hovedstaden, at tilbuddene indskriver borgere,
der falder uden for tilbuddets godkendte målgruppe. Det gælder også på
plejefamilieområdet, hvor vi oplever, at nogle plejefamilier får indskrevet
et barn, som er mere belastet end den belastningsgrad, familien er god-
kendt til. Det er alvorligt, fordi det kan betyde, at tilbuddet eller plejefami-
lien ikke er fagligt klædt på til at tilbyde den hjælp og støtte, som borge-
ren har brug for. Det kan føre til mistrivsel i hele borgergruppen og mod-
virke positive resultater for den enkelte borger.
Alle
forebyggelse
af magtanvendelser
Socialtilsyn Hovedstaden anbefaler generelt tilbuddene så vidt muligt at
forebygge brugen af magt og i stedet anvende pædagogiske metoder.
Både på børne- og ungeområdet og på voksenområdet oplever Social-
tilsyn Hovedstaden, at tilbuddene foretager magtanvendelser, der ikke
er hjemmel til, eller som kunne være undgået. På børne- og ungeområ-
det gælder det fx anvendelse af ulovligt overvågningsudstyr eller dag-
lige rutiner, der indskrænker børnene og de unges kommunikationsfri-
hed unødigt. På børne- og ungeområdet opfordrer vi tilbuddene til at
lære børnene og de unge at beherske den form for indre styring, som
er nødvendig, når børnene forlader tilbuddet og kommer ud i situationer,
hvor de skal sætte grænser for sig selv. På voksenområdet er det vig-
tigt, at ledelsen har fokus på at oplære nye såvel som gamle medarbej-
dere i de regler, der gælder på magtanvendelsesområdet. Vi opfordrer
endvidere kommunale plejefamilier til at indberette eventuelle magtan-
vendelser til socialtilsynet.
Børne- og ungeom-
rådet
adfærd på
digitale medier
Socialtilsyn Hovedstaden anbefaler generelt, at tilbuddene på børne- og
ungeområdet har fokus på opkvalificering af medarbejderne i forhold til
børn og unges digitale adfærd på internettet. Det kan være ved, at tilbud-
dene sammen med børnene holder temadage om emnet og får talt om
emner som digital mobning, grooming, videresendelse af billeder og vi-
deooptagelser af andre, mv. Det er i den forbindelse vigtigt, at tilbuddene
får sikret, at børn og unge kender til reglerne på området og får redskaber
til at håndtere digitale krænkelser.
SOU, Alm.del - 2019-20 - Bilag 86: Socialstyrelsens og socialtilsynenes årsrapporter for 2018, fra social- og indenrigsministeren
2119954_0008.png
Plejefamilier
kendskab til mål i
handleplanen
Socialtilsyn Hovedstaden anbefaler generelt plejefamilierne at være
mere opsøgende over for kommunen i forhold til at få udleveret en hand-
leplan for barnet. Vi anbefaler også, at plejefamilierne søger råd og vej-
ledning hos familieplejekonsulenten om indsatser, der kan være veleg-
nede til at sikre barnets trivsel og udvikling. Socialtilsyn Hovedstaden
oplever fortsat, at flere af de plejefamilier, vi fører tilsyn med, ikke kender
til de mål, der er er opstillet for barnet, ofte fordi de ikke har modtaget en
handleplan fra kommunen. Dette sker på trods af, at kommunen skal ud-
levere en handleplan til plejefamilien forud for anbringelsen, der angiver
formålet med indsatsen. Handleplanen er helt afgørende for, at plejefa-
milien kan tilrettelægge en indsats, der effektivt imødekommer barnets
behov.
Voksne
kompe-
tent varetagelse af
driften
Socialtilsyn Hovedstaden anbefaler generelt, at ledelsen har fokus på at
ansætte tilstrækkeligt kompetente medarbejderne samt at nedbringe sy-
gefraværet og personalegennemstrømningen. På voksenområdet ople-
ver Socialtilsyn Hovedstaden fortsat, at der mangler stabilitet og tilstræk-
keligt kompetente medarbejdere i personalegruppen i nogle tilbud. Vi ser
ofte, at højt sygefravær og høj personalegennemstrømning resulterer i,
at borgerne ikke får den støtte, de har behov for, eller at de ikke bliver
udviklet i tilstrækkelig grad. Styrkelse af borgernes udviklingspotentiale
kræver et kvalificeret kendskab til borgernes individuelle udtryksformer,
og det er svært, hvis borgerne ofte mødes af vikarer.
Kommuner
an-
vendelse af til-
gængelige plejefa-
milier
Socialtilsyn Hovedstaden anbefaler generelt, at vi i samarbejde med kom-
munerne har fokus på, hvordan vi kan sikre, at de plejefamilier, som luk-
kes, fordi de ikke har haft plejebørn i 3 år, bliver bragt i spil. Vi oplever
generelt, at flere plejefamilier lukker, selvom pladsen aldrig er blevet taget
i brug af anbringende kommuner. Det er Socialtilsyn Hovedstadens ople-
velse, at disse plejefamilier mister motivationen for at være plejefamilie,
efterhånden som de går og venter på at få et barn anbragt. Det er særligt
en udfordring, fordi antallet af plejefamilier generelt er nedadgående, sam-
tidig med at kommunerne efterspørger flere plejefamilier.
Tilbud
indsen-
delse af budgetter
Socialtilsyn Hovedstaden anbefaler generelt, at tilbuddene og driftsher-
rerne tilrettelægger budgetprocesser, der sikrer rettidig indberetning af
budgettet
henholdsvis 1. oktober for private tilbud og 15. november for
offentlige tilbud forud for det kommende regnskabsår. Det er alvorligt, hvis
et tilbud ikke overholder sin oplysningspligt fx ved ikke at indsende bud-
gettet. Tilbuddets økonomi har stor betydning for, om der er de nødven-
dige ressourcer til at sikre den rette støtte, omsorg og hjælp til borgerne,
og derfor er det vigtigt, at socialtilsynet løbende kan påse, at der er sam-
menhæng mellem pris og kvalitet i tilbuddet.
SOU, Alm.del - 2019-20 - Bilag 86: Socialstyrelsens og socialtilsynenes årsrapporter for 2018, fra social- og indenrigsministeren
2119954_0009.png
Kapitel 1. Tilsynsopgaven
Socialtilsynet varetager opgaven med at god-
kende og føre tilsyn med sociale tilbud og ple-
jefamilier, der huser og behandler samfundets
mest udsatte borgere. Socialtilsynets virke er
reguleret i lov om socialtilsyn, der har til formål
at sikre, at borgerne ydes en indsats, der er i
overensstemmelse med formålet med offent-
lige og private tilbud efter lov om social service
og kapitel 40 i sundhedsloven om behandling
af misbrug af alkohol. Der er fem socialtilsyn,
som hver især har ansvar for at godkende og
føre tilsyn med sociale tilbud og plejefamilier
inden for de fem geografiske regioner i Dan-
mark. Socialtilsyn Hovedstaden fører tilsyn
med tilbud og plejefamilier i kommunerne i Re-
gion Hovedstaden (med undtagelse af Frede-
riksberg Kommune), Holbæk Kommune og
Region Hovedstaden.
Socialtilsynene godkender og fører driftsorien-
teret tilsyn med følgende tilbudstyper:
Botilbud til voksne med handicap og
psykiske lidelser
Alkohol- og misbrugsbehandlingstilbud
Krisecentre og herberger
Bo- og aflastningstilbud til børn anbragt
på opholdssteder eller døgninstitutioner
Generelt godkendte plejefamilier
Virksomheder og foreninger der varetager
en arbejdsgiverfunktion under BPA-
ordningen
Socialtilsynet fører et generelt tilsyn med kva-
liteten i selve tilbuddet eller plejefamilien. Det
personrettede tilsyn med den enkelte borger
udføres af den kommune, der har ansvaret for
borgernes ophold i tilbuddet eller plejefamilien.
Kvalitetsmodellen
Socialtilsynet anvender en kvalitetsmodel be-
stående af syv overordnede temaer til at vur-
dere kvaliteten i tilbuddene og plejefamilierne.
Hvert tema indeholder et antal kriterier, der er
formuleret som målresultater, fx ”plejefamilien
understøtter barnets fysiske og mentale sund-
hed og trivsel”.
Under hvert kriterium er der
op-
stillet en række indikatorer, som socialtilsynet
skal anvende til at bedømme, hvorvidt tilbud-
det lever op til kriterierne. Hver indikator skal
9
SOU, Alm.del - 2019-20 - Bilag 86: Socialstyrelsens og socialtilsynenes årsrapporter for 2018, fra social- og indenrigsministeren
2119954_0010.png
bedømmes på en skala fra 1 til 5, hvor 5 hen-
viser til, at indikatoren i meget høj grad er op-
fyldt. Kvalitetsmodellens kriterier og indikato-
rer giver mulighed for at gå i dialog med tilbud-
dene om kvaliteten i indsatsen over for bor-
gerne på en systematisk og ensartet måde i
hele landet. Et tilbud kan dog blive bedømt på
andet og mere end kvalitetsindikatorerne. Ud
over de syv temaer i kvalitetsmodellen, som
hovedsageligt angår den socialfaglige indsats
i tilbuddet, fører socialtilsynet også tilsyn med
kvaliteten i tilbuddene og plejefamiliernes øko-
nomi.
Socialtilsynene kan påpege udviklingsmulig-
heder for tilbud og plejefamilier i form af kvali-
tative udviklingspunkter og opmærksomheds-
punkter. Udviklingspunkterne er tænkt som et
dialogredskab imellem tilsyn og tilbud og ud-
gør anbefalinger til, hvad tilbuddene
kan
gøre
bedre for at leve op til kvalitetsmodellens stan-
darder. Opmærksomhedspunkterne vedrører
derimod forhold, der efter socialtilsynets opfat-
telse
bør
forbedres inden det næstkommende
tilsynsbesøg, og socialtilsynet vil således altid
have en særlig opmærksomhed på, om tilbud-
det eller plejefamilien har forbedret sin kvalitet
inden for disse områder.
Figur 1. Udvikling i opgaveportefølje fordelt på tilbudstype
1600
1490
1476
1441
1410
1391
1300
951
956
932
1000
910
875
700
539
520
509
500
516
400
2014
2015
Plejefamilier
2016
Tilbud
2017
Alle
2018
10
SOU, Alm.del - 2019-20 - Bilag 86: Socialstyrelsens og socialtilsynenes årsrapporter for 2018, fra social- og indenrigsministeren
2119954_0011.png
Socialtilsyn Hovedstadens
opgaveportefølje
Ved udgangen af 2018 bestod Socialtilsyn Ho-
vedstadens opgaveportefølje af 516 tilbud og
875 plejefamilier. Opgaveporteføljen dækker
over antallet af tilbud pr. 31. december 2018.
Det er en dynamisk størrelse, der ændrer sig i
takt med, at nye tilbud bliver godkendt, mens
andre ophører med at eksistere. Det fremgår
af figur 1, at antallet af tilbud er øget fra 500 i
2017 til 516 i 2018. Det dækker over, at Soci-
altilsyn Hovedstaden har nygodkendt flere til-
bud i 2018 sammenlignet med 2017. Figur 1
viser også, at antallet af plejefamilier er faldet
støt siden 2014. Det dækker over, at antallet
af plejefamilier, der ophører, er større, end an-
tallet af familier, der bliver godkendt som ple-
jefamilie.
Tabel 1 nedenfor viser tilsynsopgaven i 2018,
der, i modsætning til opgaveporteføljen, dæk-
ker over alle de tilbud og plejefamilier, Social-
tilsyn Hovedstaden har haft godkendelses- el-
ler tilsynsforpligtelse over for på et tidspunkt i
2018. Det fremgår, at tilsynsopgaven bestod
af 1.589 tilbud og plejefamilier i 2018. Tabellen
viser, at nogle tilbud ophørte med at være en
del af Socialtilsyn Hovedstadens opgaveporte-
følje i perioden, mens andre er eller har været
i en proces med at blive godkendte.
Tabel 1. Tilsynsopgaven 2018
Opgaveportefølje (aktive tilbud)*
Tilbud og plejefamilier under nygodkendelse*
Tilbud og plejefamilier, ophørt ved egen drift
Tilbud og plejefamilier, tilbagekaldte godkendelser
Tilbud og plejefamilier, afslag på nygodkendelse
Tilbud og plejefamilier, tilbagetrækning af ansøgning om nygod-
kendelse
1.391
26
111
8
17
36
I alt
* pr. 31. december 2018
1.589
11
SOU, Alm.del - 2019-20 - Bilag 86: Socialstyrelsens og socialtilsynenes årsrapporter for 2018, fra social- og indenrigsministeren
2119954_0012.png
Kapitel 2. Socialtilsyn Hovedstadens produktion
i 2018
Hvert år giver Socialtilsyn Hovedstaden et ind-
blik i produktionen i året, der er gået. Bekendt-
gørelsen til lov om socialtilsyn oplister hvilke
oplysninger, årsrapporten skal indeholde. De
fem socialtilsyn opgør så vidt muligt data på en
ens måde, så det er muligt at sammenligne på
tværs. I kapitlet kan du læse mere om, hvor
mange tilsyn Socialtilsyn Hovedstaden har af-
holdt i forbindelse med den løbende tilsynsfor-
pligtelse, og hvor mange nye tilbud og plejefa-
milier, der er blevet godkendt. Du kan også se,
hvor mange sanktioner vi har udstedt i 2018,
og finde en opgørelse over hvor mange indbe-
retninger om magtanvendelser, henvendelser
om bekymrende forhold og anmodninger om
aktindsigt, vi modtog i 2018.
Tilsyn og tilsynsbesøg
Socialtilsynet har en løbende tilsynsforplig-
telse for at sikre, at godkendte tilbud og pleje-
familier fortsat har den fornødne kvalitet. I for-
bindelse med det løbende tilsyn skal socialtil-
synet minimum aflægge ét fysisk besøg om
året i et tilbud eller en plejefamilie. Hvis et til-
bud har flere geografisk spredte afdelinger,
12
SOU, Alm.del - 2019-20 - Bilag 86: Socialstyrelsens og socialtilsynenes årsrapporter for 2018, fra social- og indenrigsministeren
2119954_0013.png
skal socialtilsynet aflægge et besøg på hver
adresse. Socialtilsynet skelner mellem tilsyn
og tilsynsbesøg, hvor tilsynet udgør en lø-
bende proces, der kan bestå af ét eller flere
tilsynsbesøg. Derfor vil det samlede antal be-
søg altid være større end det samlede antal
tilsyn. Antallet af besøg varierer ud fra en fag-
lig vurdering af forskellige risikofaktorer og til-
buddets størrelse og kompleksitet.
Tabel 2. Tilsyn afsluttet i 2018 med minimum ét besøg fordelt på tilbudstype
Plejefamilier
Driftsorienterede tilsyn
Nygodkendelser
922
107
Børne- og ungetilbud
196
9
Voksentilbud
430
30
Tilsyn i alt
1.548
146
I alt
1.029
205
460
1.694
Det fremgår af tabel 2, at Socialtilsyn Hoved-
staden har gennemført 1.694 tilsyn i 2018. Det
er på niveau med antallet i 2017. Hovedparten
af tilsynene var driftsorienterede tilsyn, mens
der blev foretaget 146 tilsyn i forbindelse med
nygodkendelser. Der er ikke foretaget nogen
regodkendelser
1
i 2018. Ud over dette er der
blevet gennemført 162 administrative tilsyn,
hvor der ikke er foretaget et fysisk besøg. Ad-
ministrative tilsyn anvendes eksempelvis, hvis
et tilbud vælger at ophøre af egen drift eller i
forbindelse med et økonomisk tilsyn, hvor det
ikke er nødvendigt at aflægge et fysisk besøg.
I forbindelse med tilsynene har Socialtilsyn
Hovedstaden gennemført 2.124 besøg. 1.462
af besøgene var anmeldte, mens 662 var uan-
meldte. Det svarer til, at 31 % af besøgene var
uanmeldte. Det er en markant stigning i for-
hold til 2017, hvor 12 % af besøgene var uan-
meldte. Stigningen skyldes, at socialtilsynene
har haft fokus på at øge antallet af uanmeldte
besøg. Planlægningen af anmeldte og uan-
meldte tilsynsbesøg er sket ud fra en konkret
risikobaseret vurdering af forholdene i det en-
kelte tilbud og den enkelte plejefamilie. Social-
tilsyn Hovedstaden har desuden aflagt 121
uanmeldte besøg, hvor der ikke blev truffet no-
gen hjemme i tilbuddet. Det gælder særligt
plejefamilier.
Når et eksisterende tilbud første gang bliver omfattet af lov om socialtilsyn
typisk som en del af en lovæn-
dring
skal tilbuddet godkendes på ny. Tilbuddet beholder sin eksisterende godkendelse, indtil socialtilsynet
har gennemført en regodkendelsesproces og vurderet, om tilbuddet lever op til kvalitetskravene i kvalitetsmo-
dellen.
1
13
SOU, Alm.del - 2019-20 - Bilag 86: Socialstyrelsens og socialtilsynenes årsrapporter for 2018, fra social- og indenrigsministeren
2119954_0014.png
Tabel 3. Besøg i 2018 fordelt på tilbudstype og tilsynstype
Plejefamilier
Anmeldte tilsynsbe-
søg
Uanmeldte tilsynsbe-
søg
808
295
Børne- og ungetilbud
214
94
Voksentilbud
440
273
Tilsyn i alt
1.462
662
I alt
1.103
308
713
2.124
Godkendelse af nye tilbud og
plejefamilier
Personer eller selskaber, der ønsker at etab-
lere et socialt tilbud, skal godkendes af social-
tilsynet, inden tilbuddet kan indskrive borgere.
Det samme gælder for familier, der ønsker at
blive plejefamilie. Når Socialtilsyn Hovedsta-
den har modtaget en ansøgning om godken-
delse, pågår der efterfølgende en sagsbe-
handlingsproces, hvor socialtilsynet skal fore-
tage en vurdering af, om tilbuddet opfylder
kvalitetsbestemmelserne i kvalitetsmodellen
og lov om socialtilsyn.
I 2018 modtog Socialtilsyn Hovedstaden 123
ansøgninger fra familier, der ønskede at blive
plejefamilie, og 22 ansøgninger fra personer,
der ønskede at etablere et tilbud. Ansøgnin-
gerne behandles i takt med, at de bliver mod-
taget. Derfor er det ikke alle ansøgninger, som
er blevet færdigbehandlet med udgangen af
2018. Det fremgår af tabel 4 neden for, at So-
cialtilsyn Hovedstaden færdigbehandlede 150
ansøgninger om godkendelse i 2018. 118 af
ansøgningerne var fra plejefamilier, mens 42
var fra tilbud.
I 2018 godkendte Socialtilsyn Hovedstaden 36
nye tilbud. Det er væsentligt flere end i 2017,
hvor vi godkendte 12 tilbud. Det er et udtryk
for, at Socialtilsyn Hovedstaden har modtaget
et stigende antal ansøgninger fra tilbud både i
2017 og i 2018. 3 tilbud fik afslag på godken-
delse i 2018.
På plejefamilieområdet godkendte Socialtilsyn
Hovedstaden 71 nye familier, mens 14 fik af-
slag på godkendelse. Det er på niveau med
antallet i 2017. 33 familier trak deres ansøg-
ning tilbage under godkendelsesprocessen,
hvilket er noget færre end i 2017, hvor antallet
var 57.
14
SOU, Alm.del - 2019-20 - Bilag 86: Socialstyrelsens og socialtilsynenes årsrapporter for 2018, fra social- og indenrigsministeren
2119954_0015.png
I 2018 har Socialtilsyn Hovedstaden yderligere
behandlet 84 ansøgninger fra tilbud, der har
ønsket en væsentlig ændring af deres eksiste-
rende godkendelse. Socialtilsyn Hovedstaden
oplever generelt at flere tilbud ansøger om
væsentlige ændringer, ofte med ønske om at
udvide målgruppen eller antallet af pladser, til-
buddet er godkendt til. På plejefamilieområdet
har vi behandlet 209 ansøgninger om væsent-
lig ændring. Det drejer sig typisk om familier,
der ønsker en udvidelse i pladsrammen, eller
som er flyttet i ny bolig eller har været igennem
en skilsmisse.
Tabel 4. Færdigbehandlede ansøgninger om nygodkendelse i 2018
Godkendt
med vilkår
4
1
2
Afslag på
godkendelse
14
1
2
Ansøgning
trukket tilbage
33
0
3
Ansøgninger i
alt
118
10
32
Godkendt
Plejefamilier
Børne- og
ungetilbud
Voksentilbud
67
8
25
I alt
100
7
17
36
160
I 2018 var den gennemsnitlige sagsbehand-
lingstid for behandling af nyansøgninger 32
uger for tilbud og 15 uger for plejefamilier. Det
er et fald i forhold til sidste år, hvor det var hen-
holdsvis 34 uger for tilbud og 16 uger for ple-
jefamilier. I boksen neden for fremgår det, at
Socialtilsyn Hovedstaden brugte 27 uger på at
behandle 50 % af ansøgningerne på tilbuds-
området. Der er altså en mindre del af ansøg-
ningerne, hvor sagsbehandlingstiden er truk-
ket i langdrag, og som bidrager til at trække
den gennemsnitlige sagsbehandlingstid op.
Det drejer sig om komplicerede ansøgnings-
sager, hvor der undervejs er sket væsentlige
ændringer, som betyder, at ansøgningspro-
cessen har måttet gå om.
% af ansøgninger, der var fær-
digbehandlet inden for x uger
25 %
50 %
75 %
Tilbud
22 uger
27 uger
36 uger
Plejefamilier
10 uger
14 uger
18 uger
15
SOU, Alm.del - 2019-20 - Bilag 86: Socialstyrelsens og socialtilsynenes årsrapporter for 2018, fra social- og indenrigsministeren
Sanktionssager
Socialtilsynet kan i forbindelse med et tilsyn
udstede påbud, som tilbuddet eller plejefami-
lien skal imødekomme inden for en given frist
for at opretholde sin godkendelse. Påbud dre-
jer sig typisk om enkeltstående forhold, der på-
virker tilbuddets kvalitet væsentligt inden for ét
eller flere temaer i kvalitetsmodellen. Hvis so-
cialtilsynet vurderer, at kvalitetsmanglerne er
mange eller særligt bekymrende for borgernes
udvikling og trivsel, kan socialtilsynet i en peri-
ode iværksætte et skærpet tilsyn med en
række påbud. Et skærpet tilsyn kan iværksæt-
tes med en frist på op til tre måneder og for-
længes i yderligere op til tre måneder. Social-
tilsynet kan kun udstede påbud eller iværk-
sætte skærpet tilsyn efter forudgående dialog
med tilbuddet. Dialogredskabet er et vigtigt
element i socialtilsynets arbejde. Via dialog-
møder og i forbindelse med høringsprocessen
har Socialtilsyn Hovedstaden flere gange op-
levet, at påtænkte afgørelser om skærpet til-
syn eller påbud blev annulleret, fordi tilbuddet
eller plejefamilien tog initiativ til at forbedre for-
holdene med det samme.
mentlig sammen med, at der i 2017 blev ind-
ført en bagatelgrænse for påbud, som betyder,
at socialtilsynet kun kan give påbud, såfremt
manglende opfyldelse af påbuddet kan føre til,
at socialtilsynet tilbagekalder tilbuddets god-
kendelse. Samtidig fremgår det i en række af
de afgørelsessager, der er kommet fra Anke-
styrelsen vedrørende påbud, at der stilles
store krav til socialtilsynenes formulering af
påbud, der skal være endog meget præcise.
ligesom at det skal være meget tydeligt, på
dato, hvornår tilbuddet selv kan konstatere, at
et påbud er imødekommet. Der kan dog også
være tale om tilfældige udsving mellem årene,
idet tallene allerede på nuværende tidspunkt i
marts måned 2019 viser, at antallet af påbud,
der udstedes i 2019, vil blive mere end fordob-
let i forhold til 2018.
De tre påbud, der blev udstedt i forbindelse
med et skærpet tilsyn på børneområdet, rela-
terer sig til tilbuddets økonomiske og organi-
satoriske forhold. Fire af de seks påbud, der er
udstedt uafhængigt af et skærpet tilsyn, rela-
terer sig til temaet fysiske rammer. De er alle
udstedt til plejefamilier og handler om, at ple-
jebarnet bor på et værelse, der ikke er god-
kendt til beboelse, fx i et kælderværelse. De
øvrige to påbud relaterer sig til temaet kompe-
tencer.
Påbud
I 2018 har Socialtilsyn Hovedstaden udstedt 9
påbud. Det er væsentligt færre end sidste år,
hvor vi udstedte 60 påbud. Det hænger for-
16
SOU, Alm.del - 2019-20 - Bilag 86: Socialstyrelsens og socialtilsynenes årsrapporter for 2018, fra social- og indenrigsministeren
2119954_0017.png
Tabel 5. Afgørelser om påbud fordelt på tilbudstype
Påbud udstedt i forbindelse
med et skærpet tilsyn
Plejefamilier
Børne- og un-
getilbud
Voksentilbud
0
3
0
Påbud som ikke er udstedt i for-
bindelse med et skærpet tilsyn
6
0
0
Påbud
i alt
6
3
0
I alt
Skærpede tilsyn
3
6
9
I 2018 har Socialtilsyn Hovedstaden iværksat 1
skærpet tilsyn. Det er noget færre end sidste
år, hvor antallet var 6. Det skærpede tilsyn
handlede primært om tilbuddets økonomiske
og organisatoriske forhold.
Tabel 6. Afgørelser om skærpet tilsyn fordelt på tilbudstype
Antal afgørelser om skærpet tilsyn
Plejefamilier
Børne- og ungetilbud
Voksentilbud
0
1
0
I alt
1
Tilbagekaldte godkendelser
Socialtilsyn Hovedstaden kan træffe afgørelse
om at tilbagekalde et tilbuds godkendelse, hvis
tilbuddet eller plejefamilien ikke længere opfyl-
der betingelserne for godkendelse. Forud for
tilbagekaldelsen af godkendelsen pågår ofte
en længerevarende proces, hvor tilbuddet får
mulighed for at rette op på de forhold, der lig-
ger til grund for socialtilsynets vurdering om at
tilbagekalde godkendelsen. Det skyldes, at til-
bagekaldelsen af en godkendelse kan have al-
vorlige menneskelige og økonomiske konse-
kvenser for borgerne i tilbuddet og for plejefa-
milien eller tilbuddets driftsherre. Derfor er til-
bagekaldelsen af godkendelsen kun en sank-
tion, der anvendes i tilfælde, hvor socialtilsynet
17
SOU, Alm.del - 2019-20 - Bilag 86: Socialstyrelsens og socialtilsynenes årsrapporter for 2018, fra social- og indenrigsministeren
2119954_0018.png
vurderer, at kvalitetsmanglerne er så alvorlige,
at de ikke kan udbedres.
I 2018 har Socialtilsyn Hovedstaden tilbage-
kaldt 8 godkendelser, hvoraf 2 var tilbud, mens
6 var plejefamilier. Det er på niveau med sid-
ste år. 1 af tilbuddene har påklaget afgørelsen,
der som følge af loven automatisk har opsæt-
tende virkning. Det betyder, at tilbuddet kan
fortsætte sin drift, indtil Ankestyrelsen har ta-
get endelig stilling til tilbuddets klage. I den pe-
riode fortsætter socialtilsynet med at føre tilsyn
med tilbuddet.
Tabel 7. Tilbagekaldte godkendelser i 2018 fordelt på tilbudstype
Antal tilbagekaldte godkendelser
Plejefamilier
Børne- og ungetilbud
Voksentilbud
6
0
2
I alt
8
Figur 2 viser hvilke temaer i kvalitetsmodellen,
de 8 tilbagekaldte godkendelser vedrører. Af-
gørelser om at tilbagekalde godkendelsen
træffes ofte på baggrund af flere kvalitets-
mangler i tilbuddet eller plejefamilien, og der-
for vil antallet af temaer, der ligger til grund for
tilbagekaldelsen, overstige antallet af tilbage-
kaldte godkendelser. Det fremgår af figuren, at
temaerne organisation og ledelse (for tilbud) /
familiestruktur og familiedynamik (for plejefa-
milie) og kompetencer er fremtrædende årsa-
ger til at træffe afgørelse om at tilbagetrække
godkendelsen.
Figur 2. Baggrund for tilbagekaldte godkendelser
Uddannelse og beskæftigelse
Selvstændighed og sociale relationer
Målgrupper, metoder og resultater
Sundhed og trivsel
Organisation og ledelse / Familiestruktur og familiedynamik
Kompetencer
Fysiske rammer
Økonomi
1
2
3
3
6
5
1
1
0
1
2
3
4
5
6
7
18
SOU, Alm.del - 2019-20 - Bilag 86: Socialstyrelsens og socialtilsynenes årsrapporter for 2018, fra social- og indenrigsministeren
2119954_0019.png
Tilbud eller plejefamilier, der ophø-
rer af egen drift
I 2018 var der 111 tilbud, der ophørte i Social-
tilsyn Hovedstaden. Det er på niveau med sid-
ste år, hvor der var 112, der ophørte. Hoved-
parten af dem, der ophører, er plejefamilier.
Der er primært tale om ældre plejefamilier, der
ikke ønsker at fortsætte som plejefamilie, efter
deres seneste opgave er afsluttet. I afsnit 3
kan du læse mere om årsagerne til, at plejefa-
milier vælger at ophøre. På tilbudsområdet har
flere af de ophørte tilbud samlet sig til afdelin-
ger under eksisterende tilbud, eller ansøgt om
en ny godkendelse i andre og nye konstellati-
oner.
Tabel 8. Tilbud og plejefamilier, der er ophørte ved egen drift
Antal ophørte tilbud i alt
Plejefamilier
Børne- og ungetilbud
Voksentilbud
94
6
11
I alt
111
Ankestyrelsens afgørelser vedrø-
rende Socialtilsyn Hovedstadens
virke
I 2018 har Ankestyrelsen færdigbehandlet 11
klager over afgørelser, der er truffet af Social-
tilsyn Hovedstaden. I 9 af sagerne fik Socialtil-
syn Hovedstaden medhold eller delvis med-
hold. I to af sagerne bliver sagen enten hjem-
vist eller ændret.
Tabel 9. Ankestyrelsen afgørelsen i 2018 fordelt på årsager til klagen
Ankestyrelsens afgørelse
Årsag til klage
Tilbagekaldelse af godkendelsen
Skærpet tilsyn og påbud
Indskrænkning af godkendelsen
Afslag om opsættende virkning
Klage over indikatorvurderinger
Opkrævning af tillægstakst
Ret til aktindsigt
Medhold
1
1
1
1
1
2
2
1
Delvis medhold
Hjemvist
Ændring
1
I alt
6
3
1
1
19
SOU, Alm.del - 2019-20 - Bilag 86: Socialstyrelsens og socialtilsynenes årsrapporter for 2018, fra social- og indenrigsministeren
Indberetninger om
magtanvendelser
Som led i funktionen som tilsynsmyndighed
modtager socialtilsynene løbende indberetnin-
ger om magtanvendelser eller andre indgreb i
borgernes selvbestemmelsesret. Socialtilsy-
net giver ikke en tilbagemelding på den en-
kelte indberetning om magtanvendelse, men
vurderer generelt, om indberetningerne giver
anledning til tilsynsmæssige overvejelser i re-
lation til det konkrete tilbud.
Tabel 10 viser antallet af indberetninger om
magtanvendelser i 2017 og 2018. I 2018 mod-
tog Socialtilsyn Hovedstaden 2.281 indberet-
ninger om magtanvendelser. Det er ca. 200
færre end i 2017 fordelt på både børne- og un-
geområdet og voksenområdet. Socialtilsyn
Hovedstaden vurderer, at faldet i indberetnin-
ger om magtanvendelser på voksenområdet
skyldes, at flere tilbud har haft fokus på at ned-
bringe antallet af magtanvendelser, hvilket er
foregået i tæt dialog med socialtilsynet. Dette
gør sig også gældende for børneområdet,
hvor det er Socialtilsyn Hovedstadens ople-
velse, at tilbuddene i 2017 havde fokus på at
implementere og styrke kendskabet til lov om
voksenansvar og kompetenceudvikle medar-
bejderne i den forbindelse. Socialtilsyn Hoved-
staden oplever generelt, at tilbuddene tilrette-
lægger den pædagogiske indsats, så magtan-
vendelser så vidt muligt undgås. Der er dog
også på visse tilbud fortsat behov for en øget
opmærksomhed på tilbuddenes tilgange og
evner til at håndtere konflikter og tilspidsede
situationer. Socialtilsyn Hovedstaden har ikke
modtaget nogen indberetninger fra de 24 kom-
munale plejefamilier i vores portefølje, som er
forpligtet til at indberette eventuelle magtan-
vendelser til socialtilsynet. Det er Socialtilsyn
Hovedstadens vurdering, at der bliver foreta-
get magtanvendelser i kommunale plejefami-
lier, som vi desværre ikke får viden om. Det er
fortsat nyt for familierne, at de skal indberette
magtanvendelser til socialtilsynet. Socialtilsyn
Hovedstaden har derfor fortsat fokus på at vej-
lede de kommunale plejefamilier i lov om vok-
senansvar.
Størstedelen af indberetningerne om magtan-
vendelse er fysiske magtanvendelser. En fy-
sisk magtanvendelse er, når borgeren fasthol-
des eller føres væk, hvis borgeren vurderes at
være til fare for sig selv eller andre. På børne-
og ungeområdet angår en større del af magt-
anvendelserne desuden person- eller rumun-
dersøgelser, der fx et foretaget på baggrund af
en mistanke om, at barnet er i besiddelse af
farlige eller ulovlige effekter.
20
SOU, Alm.del - 2019-20 - Bilag 86: Socialstyrelsens og socialtilsynenes årsrapporter for 2018, fra social- og indenrigsministeren
2119954_0021.png
I det forgange år har Socialtilsyn Hovedstaden
haft fokus på at udarbejde magtprofiler for til-
bud på børne- og ungeområdet. Formålet med
magtprofilerne er at identificere tendenser og
udviklingspunkter på tværs af et tilbuds sam-
lede magtanvendelser. Magtprofilerne er ble-
vet brugt i den løbende dialog med tilbuddet,
og det er Socialtilsyn Hovedstadens ople-
velse, at magtprofilerne har været med til at vi-
sualisere tilbuddenes praksis på dette område
og til at danne afsæt for at pege på nogle ud-
viklingspunkter til gavn for tilbuddets tilrette-
læggelse af indsatsen over for borgerne.
Tabel 10. Antal indberetninger om magtanvendelser i 2017 og 2018
2017
Børne- og ungetilbud
Voksentilbud
1.544
923
2018
1.459
822
I alt
2.467
2.281
Whistleblows
henvendelser
om bekymrende forhold
Borgere, pårørende, ansatte og andre kan
anonymt kontakte socialtilsynene med oplys-
ninger om bekymrende forhold i tilbud eller
plejefamilier. Henvendelser om bekymrende
forhold udgør en vigtig kilde til at få information
om forholdene på det enkelte tilbud eller i den
enkelte plejefamilie. Oplysningerne indgår i
vurderingen af risikoparametre i tilbuddet eller
plejefamilien. Socialtilsynet lægger aldrig hen-
vendelser om bekymrende forhold ensidigt til
grund for vurderingen af kvaliteten i tilbuddet,
men forsøger gennem tilsynsbesøg og dialog
med tilbuddet at belyse forholdene nærmere. I
2018 førte ca. 30 % af henvendelser om be-
kymrende forhold til, at socialtilsynet foretog et
spontant anmeldt eller uanmeldt tilsynsbesøg.
I de øvrige sager blev langt størstedelen be-
handlet i forbindelse med et i forvejen planlagt
anmeldt tilsyn, mens nogle blev lukket med
henvisning til, at de var grundløse eller uden
for socialtilsynets kompetenceområde.
I 2018 modtog Socialtilsyn Hovedstaden 334
henvendelser. Det svarer til en stigning på 30
% i forhold til 2017. Socialtilsyn Hovedstaden
har oplevet en støt stigning i antallet af hen-
vendelser om bekymrende forhold siden idrift-
sættelsen af socialtilsynene i 2014, hvor vi fik
170 henvendelser. Socialtilsyn Hovedstaden
vurderer, at stigningen er udtryk for, at kend-
skabet til ordningen er øget i takt med social-
tilsynenes løbende konsolidering. Størstede-
len af de henvendelser, der kommer ind, ved-
rører bekymringer om ledelsens kompetencer
eller de ansattes socialfaglige eller pædagogi-
ske kompetencer eller metoder. Kun et meget
lavt antal af henvendelserne vedrører mis-
tanke om vold, overgreb eller andre meget al-
vorlige bekymringer.
21
SOU, Alm.del - 2019-20 - Bilag 86: Socialstyrelsens og socialtilsynenes årsrapporter for 2018, fra social- og indenrigsministeren
2119954_0022.png
Langt størstedelen af de henvendelser social-
tilsynet modtog i 2018 vedrørte tilbudsområ-
det. Ganske få af henvendelserne vedrørte
plejefamilieområdet. Socialtilsyn Hovedstaden
vurderer, det skyldes, at der er langt færre in-
teressenter på plejefamilieområdet sammen-
lignet med tilbudsområdet, og at de aktører,
som har omgang med et plejebarn, fx skole-
og sundhedspersonale, formentlig i stedet vil
fremsende en underretning til anbringende
kommune. I 2019 vil Socialtilsyn Hovedstaden
have særligt fokus på at informere om mulig-
heden for at indgive henvendelser om bekym-
rende forhold, når vi taler med plejebarnet og
plejebarnets pårørende.
Tabel 11. Antal henvendelser om bekymrende forhold fordelt på tilbudstype
2017
Plejefamilier
Tilbud
Virksomheder under BPA
Uden for socialtilsynet kompetenceområde
15
217
*
25
2018
8
286
9
31
I alt
257**
334**
* Socialtilsynet førte ikke tilsyn med virksomheder under BPA i 2017, hvorfor der ikke er indkommet nogen
henvendelser om bekymrende forhold på dette område.
** Antallet er inklusiv henvendelser, hvor samme henvender har henvendt sig flere gange om samme tilbud
eller plejefamilie.
22
SOU, Alm.del - 2019-20 - Bilag 86: Socialstyrelsens og socialtilsynenes årsrapporter for 2018, fra social- og indenrigsministeren
2119954_0023.png
Aktindsigt i socialtilsynets
sager
Tabel 12 neden for viser antallet af anmodnin-
ger om aktindsigt i Socialtilsyn Hovedstadens
sager fordelt på henvendertype og år. Det
fremgår, at antallet af anmodninger er steget
kraftigt fra 65 i 2017 til 112 i 2018. Det svarer
til en stigning på 72 %. I forbindelse med slut-
evalueringen af tilsynsreformen i 2018 og de
efterfølgende politiske forhandlinger har Soci-
altilsyn Hovedstaden oplevet en massiv inte-
resse for at få indsigt i blandt andet tilsynsrap-
porter, budgetter, årsregnskaber og diverse
mailkorrespondancer mellem Socialtilsyn Ho-
vedstaden og tilbuddene. Det fremgår af tabel-
len, at det primært er journalister, der søger
om aktindsigt. I 2018 har vi imidlertid også fået
et stigende antal henvendelser fra andre inte-
resserede, det kan fx være ansatte ved kom-
muner, advokater eller privatpersoner.
Tabel 12. Antal aktindsigtsanmodninger fordelt på henvendertype
Henvendertype
Journalister
Interesseorganisationer
Tilbud eller plejefamilier
Pårørende til borgere
Andre interesserede
2017
27
9
10
6
13
2018
54
5
7
9
37
I alt
65
112
23
SOU, Alm.del - 2019-20 - Bilag 86: Socialstyrelsens og socialtilsynenes årsrapporter for 2018, fra social- og indenrigsministeren
Status på tilsyn med BPA-
området
Socialtilsynene har pr. 1 januar 2018 fået til
opgave at godkende og føre tilsyn med for-
eninger og private virksomheder, der vareta-
ger eller ønsker at varetage arbejdsgiverfunk-
tioner i ordninger med kontant tilskud til an-
sættelse af hjælpere og borgerstyret personlig
assistance (BPA) efter §§ 95 og 96 i lov om
social service.
Foreninger og private virksomheder, der pr. 1
januar 2018 varetog arbejdsgiverfunktionen, jf.
ovenstående, skal senest den 1. juli 2019
være godkendt efter reglerne i lov om socialtil-
syn. Foreninger og virksomheder kan fort-
sætte i drift uden socialtilsynets godkendelse
indtil 1. juli 2019. Herefter skal virksomhe-
derne have en godkendelse fra socialtilsynet
for at være i drift. Overgangsperioden er etab-
leret for at sikre, at virksomhederne kan om-
stille sig i forhold til kravene i lov om socialtil-
syn. Foreninger og virksomheder, som er
etableret efter 1. januar 2018, skal godkendes,
før de kan varetage arbejdsgiverfunktionen for
borgere. Efter godkendelsen skal socialtilsy-
net løbende føre tilsyn med virksomhederne
efter en risikovurdering.
Formålet med lovændringen er at sikre, at det
tilskud, der ydes til ansættelse af hjælpere og
borgerstyret personlig assistance, anvendes
efter formålet og på en måde, så borgerne kan
være trygge, når de indgår aftaler om overfør-
sel af tilskud. Idet der er tale om borgere med
et relativt stort hjælpebehov, har ansættelsen
af hjælpere stor betydning for den enkeltes
livskvalitet. Derfor er det vigtigt med et tilsyn,
der sikrer, at tilskuddet til ansættelse af hjæl-
pere anvendes efter formålet.
Socialtilsynet skal træffe afgørelse om god-
kendelse på baggrund af følgende kriterier:
Foreningen eller den private virksomhed
skal være solvent,
den skal have en kompetent ledelse og
benytte sig af ekstern faglig supervision
eller anden form for sparring for ledelse
og medarbejdere, og
ledelsen skal kunne påvise, at der i
foreningen eller virksomheden er
kendskab til ansættelsesret
Tilsynet angår altså virksomhedens økonomi-
ske bæredygtighed og ledelsens kompeten-
cer, og i modsætning til den øvrige tilsynsvirk-
somhed er hjælpernes socialfaglige kompe-
tencer ikke genstand for tilsynet.
I 2018 har Socialtilsyn Hovedstaden godkendt
to virksomheder og givet afslag på godken-
delse til én virksomhed, der varetager arbejds-
giverfunktioner på dette område. De øvrige fire
socialtilsyn har i skrivende stund yderligere
godkendt fire virksomheder. Socialtilsyn Ho-
vedstaden har i skrivende stund fire ansøgnin-
ger under behandling og forventer at modtage
flere ansøgninger i løbet af foråret.
BPA-virksomheder figurerer ikke på Tilbuds-
portalen, men det vil fremgå af socialtilsyne-
nes hjemmesider, hvilke virksomheder og for-
eninger der er godkendt.
24
SOU, Alm.del - 2019-20 - Bilag 86: Socialstyrelsens og socialtilsynenes årsrapporter for 2018, fra social- og indenrigsministeren
2119954_0025.png
Tilfredshedsundersøgelse af
Socialtilsyn Hovedstaden
Hvert år gennemfører Socialtilsyn Hovedsta-
den tre tilfredshedsundersøgelser for hen-
holdsvis kommuner og region, private tilbud og
plejefamilier. Spørgsmålene er
med få vari-
ationer
ens på tværs af de tre målgrupper,
så det er muligt at sammenligne på tværs. I
dette afsnit præsenterer vi nogle af resulta-
terne fra tilfredshedsundersøgelserne. Hvert
år evaluerer vi desuden på nye plejefamiliers
tilfredshed med de grundkurser, vi afholder for
familierne. Resultaterne af disse evalueringer
præsenteres til slut i afsnittet.
Socialtilsyn Hovedstaden har modtaget 57 be-
svarelser fra kommunerne, hvoraf 26 af de 29
kommuner i Region Hovedstaden, eksklusiv
Frederiksberg Kommune, er repræsenteret.
Flere af kommunerne har sendt mere end en
besvarelse, idet undersøgelsen er blevet ud-
sendt til både voksenområdet, børne- og un-
geområdet og plejefamilieområdet. Fra private
tilbud har Socialtilsyn Hovedstaden modtaget
83 besvarelser, hvilket svarer til en svarpro-
cent på 35 %. Fra plejefamilierne har Socialtil-
syn Hovedstaden modtaget 316 besvarelser,
hvilket svarer til en svarprocent på 36 %.
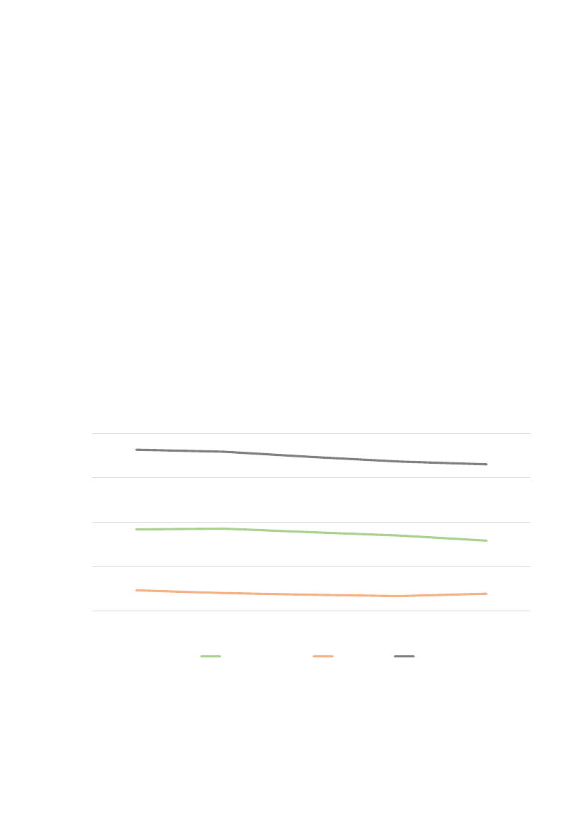
Figur 3 viser den generelle tilfredshed med
Socialtilsyn Hovedstaden i 2017 og 2018. Det
fremgår, at tilfredsheden er stort set uændret i
forhold til sidste år. Blandt de private tilbud
sker der dog et mindre fald fra 85 % til 83 %.
Generel tilfredshed med Socialtilsyn
Hovedstaden
Figur 3. Generel tilfredshed med Socialtilsyn Hovedstaden i 2017 og 2018
Offentlig
Plejefamilier Private tilbud e tilbud
2018
2017
95
96
5
22
2018
2017
83
85
8
9
9
7
2018
2017
90
89
0%
10%
20%
30%
40%
50%
60%
70%
80%
8 11
9
90%
Ved ikke
21
100%
Meget tilfreds / tilfreds
Hverken / eller
Utilfreds / meget utilfreds
Figur 4 viser den generelle tilfredshed med til-
synsbesøget, herunder i forhold til dialogen in-
den besøget, besøgets forløb og den efterføl-
gende afrapportering fra besøget. Det frem-
går, at der generelt er høj tilfredshed med til-
synsbesøget. Der er lidt færre end sidste år,
der svarer, at de er henholdsvis tilfredse eller
25
SOU, Alm.del - 2019-20 - Bilag 86: Socialstyrelsens og socialtilsynenes årsrapporter for 2018, fra social- og indenrigsministeren
2119954_0026.png
meget tilfredse på alle tre spørgsmål. Det
dækker over, at flere har svaret ”ikke relevant”
i 2018. En del af dem, der har svaret ”ikke re-
levant”, sidder med myndighedsansvaret på
plejefamilieområdet, og har derfor meget lidt
berøring med og viden om selve tilsynsbesø-
get i plejefamilierne.
Figur 4. Generel tilfredshed med tilsynsbesøget
Tilfredshed med information og dialog inden
tilsynsbesøget
79
7 6
11
Tilfredshed med tilsynsbesøgets forløb
80
9 4 7
Tilfredshed med opfølgning efter tilsynsbesøget
0%
Meget tilfreds / tilfreds
10%
20%
30%
40%
50%
60%
78
70%
11 4 6
80%
90% 100%
Hverken / eller
Utilfreds / meget utilfreds
Ikke relevant
Tilfredshedsundersøgelse blandt
kursister på grundkurser for pleje-
familier
I 2018 har Socialtilsyn Hovedstaden afholdt 8
grundkurser for plejefamilier med fire under-
visningsgange pr. kursus. I forbindelse med
kurset beder vi kursisterne om at udfylde et
spørgeskema, hvor de skal evaluere kursets
indhold og undervisere på en skala fra 1 til 5. I
2018 har 108 kursister
enten som par eller
enlige
evalueret kurset. Figur 5 viser resulta-
tet af evalueringen på en række temaer. Det
fremgår, at plejefamilierne generelt er meget
tilfredse med grundkurset. Det gælder i særlig
grad for kursets undervisere, der er bedømt til
4,7 i gennemsnit. Gennemsnitsbedømmel-
serne har ikke ændret sig væsentligt i forhold
til 2017.
Figur 5. Nye plejefamiliers tilfredshed med grundkurset i 2018, gennemsnit
5
4
3
2
1
0
Samlet
Læringsmål
Litteratur
Indhold
Undervisere
4,3
4,4
3,9
4,1
4,7
26
SOU, Alm.del - 2019-20 - Bilag 86: Socialstyrelsens og socialtilsynenes årsrapporter for 2018, fra social- og indenrigsministeren
2119954_0027.png
Kapitel 3. Indblik i porteføljen af tilbud og
plejefamilier
I dette kapitel giver vi i to afsnit et indblik i ka-
rakteristika ved Socialtilsyn Hovedstadens
portefølje af tilbud og plejefamilier. Først kan
du læse om den aktuelle tilbudsstruktur i Soci-
altilsyn Hovedstadens myndighedsområde, og
dernæst om den aktuelle struktur på plejefami-
lieområdet og udviklingen over tid.
Derfor har vi som noget nyt valgt at give et ind-
blik i den aktuelle tilbudsstruktur blandt tilbud-
dene i Socialtilsyn Hovedstadens portefølje.
Dataene er udtrukket 31. december 2018. Da-
taene vil fremadrettet indgå permanent i års-
rapporten, således at interesserede kan følge
udviklingen over tid i tilbudsstrukturen på det
specialiserede socialområde i Region Hoved-
staden.
Tabel 13 viser antallet af tilbud fordelt på virk-
somhedstype. Det fremgår, at der er en lille
overvægt af offentlige tilbud, der udgør 54 %
af den samlede portefølje i Socialtilsyn Hoved-
staden.
Indblik i den aktuelle
tilbudsstruktur
Socialtilsyn Hovedstaden oplever en stigende
interesse fra offentligheden om at få adgang til
data vedrørende den overordnede tilbuds-
struktur på det specialiserede socialområde.
27
SOU, Alm.del - 2019-20 - Bilag 86: Socialstyrelsens og socialtilsynenes årsrapporter for 2018, fra social- og indenrigsministeren
2119954_0028.png
Tabel 13. Antal tilbud fordelt på virksomhedstype
Virksomhedstype
Private tilbud
Kommunale tilbud
Regionale tilbud
Antal
236
266
14
I alt
516
Tabel 14 viser antallet af tilbud fordelt på til-
budstype og virksomhedstype. Tabellen viser,
at private tilbud dominerer inden for områ-
derne børn og unge samt krisecentre, mens
offentlige tilbud dominerer inden for områ-
derne almenboligloven, længerevarende botil-
bud til voksne samt misbrug. Det fremgår, at
børne- og ungetilbuddene, midlertidige botil-
bud samt tilbud efter almenboligloven udgør
en relativt stor del af det samlede antal tilbud.
Tabel 14. Antal tilbud fordelt på tilbudstype og virksomhedstype
Tilbudstype
Børn og unge (§ 66, stk. 5, 6 og 7)
Børn og unge & § 107 (midlertidigt botilbud til voksne)
Midlertidige botilbud til voksne (§ 107)
Almindeligt længerevarende botilbud til voksne (§ 108)
Tilbud efter almenboligloven (ABL § 105, stk. 1, 2 og 3)
§ 107 & § 108
ABL § 105, stk. 1, 2 og 3 & § 107
ABL § 105, stk. 1, 2 og 3 & § 108
ABL § 105, stk. 1, 2 & 3, § 107 og § 108
Misbrugstilbud (§ 101 og SUL § 141)
Krisecentre (§ 109)
Herberger (§ 110)
Krisecentre (§ 109) og herberg (§ 110)
Tilbud efter lejeloven
Private tilbud
45
55
35
10
6
28
2
0
4
16
17
11
3
4
Offentlige tilbud I alt
33
14
19
28
97
13
19
4
3
30
2
8
2
8
78
69
54
38
103
41
21
4
7
46
19
19
5
12
Tilbud i alt
236
280
516
Obs. Hvis ikke andet er angivet, er der tale om lovparagraffer efter lov om social service.
28
SOU, Alm.del - 2019-20 - Bilag 86: Socialstyrelsens og socialtilsynenes årsrapporter for 2018, fra social- og indenrigsministeren
2119954_0029.png
Tabel 15 grupperer tilbuddene efter størrelse.
Det fremgår, at en overvægt at tilbuddene har
plads til mellem 20-49 borgere. Der er dog
også relativt mange af de små tilbud med 5-9
pladser. Tabellen viser samtidig, at der er en
tendens til, at flere af de offentlige tilbud er
store, mens flere af de private tilbud er små.
20 af de største tilbud med plads til 100 eller
mere er misbrugstilbud. Siden socialtilsynet
kom til i 2014, har Socialtilsyn Hovedstaden
modtaget et stigende antal ansøgninger om
væsentlige ændringer med ønsker om udvi-
delse af antallet af pladser i tilbuddet. Social-
tilsyn Hovedstaden vurderer på den baggrund,
at der er blevet flere større tilbud i løbet af de
senere år.
Tabel 15. Antal tilbud fordelt på pladser
Private tilbud
Mindre end 5 pladser
5-9 pladser
10-14 pladser
15-19 pladser
20-49 pladser
50-99 pladser
100 pladser eller mere
26
62
48
25
47
22
6
Offentlige tilbud
9
43
44
27
100
39
18
Antal
35
105
92
52
147
61
24
I alt
236
280
516
*Bemærk at oplysninger om pladser i tilbuddet kan være forbundet med mindre fejlkilder, idet der kan være
ikke opdaterede data på Tilbudsportalen, hvorfra data er hentet.
* Pladser efter § 103 (samværs- og aktivitetstilbud) og § 104 (beskyttet beskæftigelse), der indgår som en
integreret del af tilbud under Socialtilsyn Hovedstadens tilsynsområde, er ikke talt med i ovenstående
Tabel 16 viser antal pladser fordelt på tilbuds-
type og virksomhedstype. Det fremgår, at de
516 tilbud forvalter 17.457 pladser til sammen.
De offentlige tilbud varetager det største antal
pladser svarende til 70 % af det samlede antal
pladser, selvom de kun udgør 54 % af den
samlede portefølje i Socialtilsyn Hovedstaden.
Det dækker over, at misbrugstilbuddene, in-
klusiv alkoholtilbud, forvalter mere end en
tredjedel af det samlede antal pladser, hvoraf
hovedparten, jf. tabel 16, udgør offentlige til-
bud.
29
SOU, Alm.del - 2019-20 - Bilag 86: Socialstyrelsens og socialtilsynenes årsrapporter for 2018, fra social- og indenrigsministeren
2119954_0030.png
Tabel 16. Antal pladser fordelt på tilbudstype og virksomhedstype
Tilbudstype
Børn og unge (§ 66, stk. 5, 6 og 7)
Midlertidige botilbud til voksne (§ 107)
Almindeligt længerevarende botilbud
til voksne (§ 108)
Tilbud efter almenboligloven (§ 105,
stk. 1, 2 og 3)
Misbrugstilbud (§ 101 og § 101a)
Alkoholtilbud (SUL § 141)
Krisecentre (§ 109)
Herberger (§ 110)
Tilbud efter lejeloven
Private tilbud
1.291
1.239
603
231
424
485
253
557
88
Offentlige tilbud
818
742
1.309
3.019
3.816
2.059
86
375
62
I alt
2.109
1.981
1.912
3.250
4.240
2.544
339
932
150
I alt
5.171
12.286
17.457
Udviklingen på
plejefamilieområdet
De fem socialtilsyn har besluttet, at årsrappor-
ten for 2018 skal indeholde et afsnit om den
strukturelle udvikling på plejefamilieområdet. I
afsnittet ses nærmere på hvordan plejefamilier
i Socialtilsyn Hovedstaden fordeler sig i forhold
til plejefamilietyper, belastningsgrad, pladsan-
tal samt alderen på de børn plejefamilien er
godkendt til at varetage. Afsnittet giver altså et
indblik i den nuværende forsyning af plejefami-
lier, som kommunerne kan anvende i forbin-
delse med anbringelser i Region Hovedstaden.
Det er ikke mindst relevant i lyset af det nye
lovinitiativ på plejefamilieområdet, der træder i
kraft den 1. juli 2019, og som blandt andet be-
tyder, at der indføres nogle nye plejefamiliety-
per. De nye plejefamilietyper erstatter belast-
ningsgraderne, som socialtilsynet hidtil har ind-
placeret plejefamilierne efter i forbindelse med
godkendelsen. Afsnittet giver endvidere et ind-
blik i til- og afgangen af plejefamilier over tid
med henblik på at vise områdets løbende for-
anderlighed.
Aktuel portefølje
Tabel 17 viser det aktuelle antal af plejefamilier
fordelt på plejefamilietype og den belastnings-
grad, plejefamilien er godkendt til. Det fremgår,
at Socialtilsyn Hovedstaden førte tilsyn med
875 plejefamilier pr. 31. december 2018. Det er
76 færre familier end pr. 31. januar 2014 og
svarer til en reducering i opgaveporteføljen på
30
SOU, Alm.del - 2019-20 - Bilag 86: Socialstyrelsens og socialtilsynenes årsrapporter for 2018, fra social- og indenrigsministeren
2119954_0031.png
8 %. I forbindelse med det nye plejefamilieiniti-
ativ forventer Socialtilsyn Hovedstaden, at an-
tallet af plejefamilier omfattet af socialtilsynet vil
stige. Det skyldes, at konkret godkendte pleje-
familier
2
bliver afskaffet, hvorefter det forventes
at flere vil ansøge om at blive godkendt gene-
relt hos socialtilsynene. Implementeringen af
initiativet forventes derfor også at give et øget
ressourcetræk i socialtilsynet, der også skyl-
des, at alle nuværende plejefamilier skal ind-
placeres efter de nye plejefamilietyper
Tabel 17 viser, at langt de fleste familier er al-
mindelige plejefamilier godkendt efter Service-
lovens § 66, stk. 1, nr. 1, mens en mindre andel
er kommunale plejefamilier efter Servicelovens
§ 66, stk.1, nr.2.
3
. Hovedparten af familierne er
godkendte til middel belastning. Det betyder, at
familien kan varetage børn, der har en eller få
belastningsindikatorer. 196 af familierne, sva-
rende til 22 %, er godkendte til høj eller højeste
belastningsgrad. Det betyder, at familien kan
varetage børn med flere alvorlige belastnings-
indikatorer.
Tabel 18 viser endvidere, at langt de fleste ple-
jefamilier er godkendte til at varetage børn i al-
deren op til mellem 7-18 år
4
, mens et mindre
antal kan varetage børn under 6 år.
Tabel 17. Antal plejefamilier fordelt på plejefamilietype og belastningsgrad
2018
Lav belastningsgrad
Middel belastningsgrad
Almindelige plejefamilier (§ 66,
Høj belastningsgrad
stk. 1, nr. 1)
Højeste belastningsgrad
92
587
171
1
Antal plejefamilier i alt
Lav belastningsgrad
Middel belastningsgrad
Kommunale plejefamilier (§ 66, Høj belastningsgrad
stk. 1, nr. 2)
Højeste belastningsgrad
851
0
0
2
22
Antal plejefamilier i alt
24
2
Konkret godkendte plejefamilier er plejefamilier, der kun bliver godkendt til at få et konkret barn fra den
kommune, der ønsker barnet anbragt. I de tilfælde er det den anbringende kommune, der godkender familien.
3
Kommunale plejefamilier er plejefamilier, der i kraft af deres kompetencer og kvalifikationer er godkendt til at
have børn i pleje, som har flere vanskeligheder end børn, der anbringes i almindelige plejefamilier.
4
Bemærk at familier kan godkendes til at varetage børn inden for differentierende aldersspænd. I tabellen er
der tale om en opdeling foretaget af socialtilsynet for overblikkets skyld.
31
SOU, Alm.del - 2019-20 - Bilag 86: Socialstyrelsens og socialtilsynenes årsrapporter for 2018, fra social- og indenrigsministeren
2119954_0032.png
Tabel 18. Antal plejefamilier fordelt på aldersgruppe, plejefamilien er godkendt
til at varetage
2018
Op til 6 år
Op til 7-18 år
Op til 19-21 år
68
613
194
Tabel 19 viser antallet af pladser, plejefamili-
erne i Socialtilsyn Hovedstaden er godkendte
til at varetage, fordelt på plejefamilietype og
belastningsgrad. Det fremgår, at plejefamili-
erne i Socialtilsyn Hovedstaden til sammen er
godkendt til at varetage 1.546 pladser, hvilket
svarer til 1,8 pladser i gennemsnit pr. familie.
Tabel 19. Antal pladser fordelt på plejefamilietype og belastningsgrad
2018
Almindelig plejefamilie (§ 66, stk. 1, nr. 1)
Plejefamilietype
Kommunal plejefamilie (§ 66, stk. 1, nr. 2)
1.490
56
Antal pladser i alt
Lav belastningsgrad
Middel belastningsgrad
Belastningsgrad
Høj belastningsgrad
Højeste belastningsgrad
1.546
123
1.032
336
55
Antal pladser i alt
1.546
Udviklingen i nygodkendelser
Tabel 20 neden for viser antallet af nygodken-
delser, Socialtilsyn Hovedstaden har foretaget
fra 2015-2018. I tabellens nederste række er
det angivet, hvor mange af de godkendte fa-
milier, der fortsat er aktive pr. 31. december
2018. Socialtilsyn Hovedstaden har samlet set
godkendt 327 plejefamilier fra 2015-2018.
Blandt dem er 72 familier ophørte helt med at
være plejefamilie, og 6 er overdraget til et an-
det socialtilsyn i perioden. De 72, der helt er
ophørte, svarer til et frafald på 22 %. En større
del af disse plejefamilier er ophørte, fordi der
er indtruffet nogle omstændigheder, som gør,
at plejefamilien ikke kan eller ønsker at fort-
sætte som plejefamilie, fx uventet graviditet,
sygdom eller at en af parterne har fået nyt ar-
bejde. I andre tilfælde har familien oplevet, at
32
SOU, Alm.del - 2019-20 - Bilag 86: Socialstyrelsens og socialtilsynenes årsrapporter for 2018, fra social- og indenrigsministeren
2119954_0033.png
dét at få et barn anbragt har vist sig at være
en større opgave end forventet. I situationer
som disse vejleder Socialtilsyn Hovedstaden
om, at familien kan sende en ansøgning på ny,
hvis de ønsker at blive plejefamilie på et se-
nere tidspunkt. 7 af familierne er ophørte, fordi
pladsen aldrig er blevet taget i brug af anbrin-
gende kommune. Det er Socialtilsyn Hoved-
stadens oplevelse, at disse plejefamilier mister
motivationen for at være plejefamilie, efterhån-
den som de går og venter på at få et barn an-
bragt.
Det er naturligvis bekymrende, at en så stor
andel af de nygodkendte plejefamilier falder
fra. Vi forventer, at de nye initiativer på pleje-
familieområdet kan være med til at reducere
antallet af nye plejefamilier, der falder fra.
Særligt får det betydning, at kommunerne bli-
ver forpligtiget til at give plejefamilier intensiv
støtte, når der indskrives et nyt plejebarn. Der-
udover skal de nye initiativer understøtte kom-
munernes arbejde med at matche barn og ple-
jefamilie ved at gøre det klart, hvad der kende-
tegner de forskellige plejefamilietyper og de
opgaver, plejefamilien godkendes til at vare-
tage af socialtilsynet. Sammen med det nye,
vidensbaserede grundkursuskoncept kan det
være med til at ruste plejefamilierne bedre til
de konkrete opgaver.
Tabel 20. Antal nygodkendelser, heraf fortsat aktive pr. 31. december 2018
2015
Godkendte plejefamilier
Antal godkendte familier, som fortsat
er aktive pr. 31. december 2018
80
51
2016
108
75
2017
68
55
2018
71
68
I alt
327
249
Tabel 21 viser antallet af regodkendelser, So-
cialtilsyn Hovedstaden foretog i 2014 og 2015.
I tabellens nederste række er det angivet, hvor
mange af de regodkendte familier, som fortsat
er aktive pr. 31. december 2018. Det fremgår,
at 595 af de familier, som Socialtilsyn Hoved-
staden har regodkendt, fortsat er aktive pr. 31.
december 2018. Det svarer til at frafald på 30
%. Socialtilsyn Hovedstaden vurderer, at det
er et udtryk for naturlig udskiftning over tid som
følge af, at plejefamilier ønsker at gå på pen-
sion.
Tabel 21. Antal regodkendelser, heraf fortsat aktive pr. 31. december 2018
Antal
Regodkendte plejefamilier pr. 31.12.2015
Antal regodkendte familier som fortsat er aktive pr. 31. december 2018
855
595
33
SOU, Alm.del - 2019-20 - Bilag 86: Socialstyrelsens og socialtilsynenes årsrapporter for 2018, fra social- og indenrigsministeren
2119954_0034.png
Udviklingen i ophørte plejefamilier
og tilbagekaldte godkendelser
Tabel 22 viser antallet af plejefamilier, hvor
Socialtilsyn Hovedstaden har truffet afgørelse
om at tilbagekalde godkendelsen, samt antal-
let af plejefamilier, der er ophørte i perioden
2015-2018. Det fremgår af tabellen, at Social-
tilsyn Hovedstaden har tilbagekaldt 44 plejefa-
miliers godkendelse. Antallet har været relativt
stabilt over årene, dog var det relativt højere i
2015. Det skal ses i lyset af, at Socialtilsyn Ho-
vedstaden regodkendte et relativt stort antal
plejefamilier i 2015 i forbindelse med overta-
gelsen af tilsynsforpligtelsen. I samme periode
er 418 plejefamilier ophørte ved egen drift. I
tabel 23 har vi undersøgt årsager til ophør på
baggrund af en stikprøve på 315 ud af de 418
familier. Det fremgår af tabellen, at langt de fle-
ste plejefamilier ophører, fordi de ikke længere
ønsker at være plejefamilie. Det kan være,
fordi plejefamilien har afsluttet sin sidste op-
gave, og/eller fordi plejefamilien ønsker at gå
på pension. Der er også en større andel, som
ophører af personlige årsager, fx på grund af
skilsmisse, sygdom eller jobskifte.
Tabel 22. Antal tilbagekaldte godkendelser og ophørte tilbud fordelt på år
2015 2016 2017 2018
Antal plejefamilier, som har fået tilbagekaldt sin god-
kendelse
Antal plejefamilier, som er ophørte ved egen drift
24
116
7
118
7
90
6
94
I alt
44
418
Tabel 23. Årsager til ophør af egen drift
Antal (% i parentes)
Plejefamiliens plads(er) er ikke blevet brugt el. plejefamilien har ikke
haft plejebørn i 3 år
Plejefamilien er blevet konkret godkendt til en opgave hos en kom-
mune
Plejefamilier løser kun aflastningsopgaver, som ikke falder inden for
lov om socialtilsyn
Personlige årsager*
Plejefamiliens ønsker ikke længere at være plejefamilie**
Andre årsager
33 (11 %)
11 (3 %)
28 (9 %)
57 (18 %)
183 (58 %)
3 (1 %)
* Det drejer sig fx om sygdom, skilsmisse, nyt job, flytning, mv.
** Det skyldes især, at plejefamilien har afsluttet sidste opgave eller ønsker at gå på pension
34
SOU, Alm.del - 2019-20 - Bilag 86: Socialstyrelsens og socialtilsynenes årsrapporter for 2018, fra social- og indenrigsministeren
2119954_0035.png
Opsamling
Samlet set bærer plejefamilieområdet altså
præg af, at antallet af plejefamilier er nedad-
gående. Det er naturligvis alvorligt, når kom-
munerne efterspørger flere plejefamilier. Soci-
altilsyn Hovedstaden vurderer dog, at det nye
plejefamilieinitiativ vil bidrage til, at antallet af
plejefamilier stiger. Antallet af nygodkendte
plejefamilier der falder fra er deslige forholds-
vis stort. Også her er det Socialtilsyn Hoved-
stadens forventning, at de nye initiativer kan
være med til at reducere frafaldet.
Det er Socialtilsyn Hovedstadens vurdering, at
der er en udfordring i, at kommunerne efter-
spørger flere plejefamilier, og at så mange ple-
jefamilier lukkes uden at have været brugt. Det
er vigtigt, at vi i samarbejde med kommunerne
har fokus på, hvordan vi kan sikre, at de pleje-
familier, som lukkes, fordi de ikke har haft ple-
jebørn i 3 år, bliver bragt i spil. Det gælder ikke
mindst, når der i forvejen er udfordringer med,
at antallet af generelt godkendte plejefamilier
har været faldende i de sidste mange år. 1. juli
2019 er kommunerne forpligtet til at give ple-
jefamilierne et opstartsforløb, når de modtager
nye børn. Socialtilsyn Hovedstaden vil følge
op på, om det gør, at de nye plejefamilier føler
sig bedre støttet og derfor bedre klar til de ud-
fordringer, de får undervejs med plejebørnene
og i forældresamarbejdet med de biologiske
forældre. Det kan måske bidrage til, at der ikke
er så mange familier, der falder fra, fordi opga-
ven viser sig at være større end forventet.
35
SOU, Alm.del - 2019-20 - Bilag 86: Socialstyrelsens og socialtilsynenes årsrapporter for 2018, fra social- og indenrigsministeren
Kapitel 4. Kvaliteten i tilbud og plejefamilier
Bekendtgørelsen til lov om socialtilsyn fore-
skriver, at socialtilsynenes årsrapport skal in-
deholde et afsnit om socialtilsynets generelle
overvejelser om kvaliteten i de tilbud og pleje-
familier, der er omfattet af socialtilsynet. I So-
cialtilsyn Hovedstaden har vi ligesom tidligere
år valgt af belyse kvaliteten i tre selvstændige
afsnit for henholdsvis plejefamilieområdet,
børne- og ungeområdet og voksenområdet.
Desuden har vi samlet vores overvejelser om
kvaliteten i forhold til det økonomiske tilsyn i et
selvstændigt afsnit til sidst.
Kvaliteten i tilbud og plejefamilier belyses ved
hjælp af følgende datakilder:
Kvantitative bedømmelser for kvalitets-
modellens 7 temaer og udvalgte indi-
katorer
Kvalitative interviews med tilsynskon-
sulenter og økonomer
Stikprøver af kvalitative kriterie- og in-
dikatorbedømmelser samt opmærk-
somheds- og udviklingspunkter i til-
synsrapporterne
scoren for temaet uddannelse og beskæfti-
gelse er således et gennemsnit af gennem-
snittet for bedømmelserne på indikatorerne
1.a og 1.b i alle tilsyn, der er afsluttet i 2018.
Gennemsnitsscorerene kan imidlertid ikke stå
alene i forhold til at vurdere den generelle kva-
litet på de tre områder. Tilbuddenes karakter
og målgrupper adskiller sig på tværs. En score
på 4 i ét tilbud er ikke nødvendigvis sammen-
lignelig med en score på 4 i et andet tilbud.
Derfor må scorerne ledsages af mere kvalita-
tive vurderinger. Hertil kommer, at de kvantita-
tive bedømmelser på indikatorniveau kun ud-
gør en delsum af den samlede kvalitetsvurde-
ring, der også indbefatter de supplerende so-
cialfaglige, juridiske og økonomiske vurderin-
ger, der spiller ind på den samlede vurdering
af et tilbuds kvalitet. Derfor baserer dette afsnit
om den generelle kvalitet i tilbud og plejefami-
lier sig både på kvantitative bedømmelser
(scorer), kvalitative interviews med tilsynskon-
sulenterne og på stikprøver i de kvalitative be-
dømmelser i tilsynsrapporter fra 2018. Vi har
udvalgt nogle citater fra tilsynsrapporterne, der
illustrerer forhold, der typisk er lagt til grund for
en given kvantitativ bedømmelse.
De kvantitative bedømmelser fremstilles ved
hjælp af gennemsnitsbedømmelser for de syv
temaer i kvalitetsmodellen. Gennemsnittet er
udregnet ved scorerne på de indikatorer, der
hører under de enkelte temaer. Gennemsnit-
36
SOU, Alm.del - 2019-20 - Bilag 86: Socialstyrelsens og socialtilsynenes årsrapporter for 2018, fra social- og indenrigsministeren
2119954_0037.png
Kvaliteten i plejefamilier
I dette afsnit giver vi et indblik i Socialtilsyn Ho-
vedstadens overvejelser om kvaliteten på ple-
jefamilieområdet. Socialtilsyn Hovedstaden
førte tilsyn med 875 plejefamilier ved udgan-
gen af 2018, og det er dem, der er genstand
for overvejelserne herunder.
Tabel 24 viser gennemsnitsbedømmelserne
på plejefamilieområdet i 2017 og 2018 fordelt
på de syv temaer i kvalitetsmodellen. Gen-
nemsnitsscorerne indikerer, at der generelt er
høj kvalitet på plejefamilieområdet, hvilket un-
derstøttes af udsagn fra tilsynskonsulenterne.
Gennemsnittet er desuden steget en lille
smule for flere af kvalitetsmodellens temaer.
Gennemsnitsbedømmelserne
har
generelt
været stigende i de år, socialtilsynet har eksi-
steret. Det er formentlig dels et udtryk for, at
plejefamilierne over tid har udviklet sig i for-
hold til kvalitetsmodellens indikatorer, og dels
et udtryk for, at praksis har udviklet sig på en
måde, så de laveste scorer dækker over
”en
del mangler” (3), ”mange mangler” (2) og ”om-
fattende mangler” (1).
I praksis skal der altså
være tale om en del mangler, før et tilbud sco-
res 3 eller derunder. For de fleste plejefamilier
gælder det imidlertid, at de har få eller ingen
mangler, og derfor vil relativt mange plejefami-
lier score 4 eller derover.
37
SOU, Alm.del - 2019-20 - Bilag 86: Socialstyrelsens og socialtilsynenes årsrapporter for 2018, fra social- og indenrigsministeren
2119954_0038.png
Tabel 24. Gennemsnitsbedømmelser på plejefamilieområdet i 2017 og 2018
fordelt på de syv temaer i kvalitetsmodellen
Uddannelse og Selvstændighed Målgrupper,
beskæftigelse
og relationer
metoder og
resultater
Sundhed Familiestruktur Kompetencer
og trivsel og familiedy-
namik
Fysiske
rammer
2017
2018
4,1
4,1
3,8
3,8
3,6
3,7
4,2
4,4
4,5
4,5
4,2
4,3
4,2
4,3
Tabel 24 viser dog også, at der er forholdsvis
stor variation i gennemsnitsbedømmelsen på
tværs af de 7 temaer. Gennemsnitsbedøm-
melsen på temaerne sundhed og trivsel og fa-
miliestruktur og familiedynamik er lidt højere,
mens gennemsnitsbedømmelserne er lidt la-
vere på temaerne målgrupper, metoder og re-
sultater og selvstændighed og relationer. Det
stemmer overens med, at vi ser de største ud-
fordringer i plejefamilierne i forhold til disse to
temaer. I vores årsrapport for 2017 skrev vi om
temaet selvstændighed og relationer, at vi ge-
nerelt ville anbefale plejefamilierne at arbejde
mere aktivt med at understøtte barnet i at etab-
lere venskaber og deltage i sociale arrange-
menter uden for plejefamilien. Tilsynskonsu-
lenterne oplever fortsat, at nogle familier kom-
mer til at skærme plejebarnet fra andre børn.
Her er det vigtigt, at familierne arbejder med at
træne barnet i at indgå i relationer, selvom bar-
net har nogle vanskeligheder, der gør, at det
har svært ved at indgå i sociale relationer.
Det fremgår af tabel 24, at blandt andet temaet
kompetencer er steget en lille smule. I årsrap-
porten for 2017 belyste vi plejefamiliernes ret
og pligt til at deltage i efteruddannelse og su-
pervision. Vi skrev blandt andet, at flere pleje-
familier fravælger at deltage i de lovpligtige
kurser, enten fordi de ikke mener, de har be-
hov for det, eller fordi de ikke synes, kurserne
er relevante i forhold til deres aktuelle opgaver
og eventuelle udfordringer. I den forbindelse
anbefalede vi familierne at gå i dialog med
kommunerne og tage medansvar i forhold til at
sikre, at kommunen sammenstrikker et rele-
vant kursusudbud. I 2018 har vi set flere ek-
sempler på familier, der selv har fundet nogle
relevante kurser, som de efterfølgende har
fået bevilliget af kommunen. Om plejefamilien
kan få et kursus bevilliget eller ej afhænger na-
turligvis af den enkelte kommune, men det er
vigtigt, at plejefamilierne fortsat er udviklings-
orienterede og i stand til at beskrive deres be-
hov for tilførsel af kompetencer over for kom-
munen. Det kan også være over for familieple-
jekonsulenten, som skal hjælpe med råd og
vejledning i forhold til konkrete udfordringer el-
ler dilemmaer, plejefamilien har med plejebar-
net eller i samarbejdet med biologisk familie.
Vi opfordrer naturligvis også kommunerne til at
være opmærksomme på deres forpligtelse til
38
SOU, Alm.del - 2019-20 - Bilag 86: Socialstyrelsens og socialtilsynenes årsrapporter for 2018, fra social- og indenrigsministeren
2119954_0039.png
at tilbyde fornøden supervision og efteruddan-
nelse, så plejefamilien har tilstrækkelig viden i
forhold til den konkrete opgave, de varetager,
og for at mindske sammenbrud i anbringel-
serne.
at rigtig mange af plejefamilierne har deltaget
i kurser om lov om voksenansvar i løbet af
2018. Det er tilsynskonsulenternes indtryk, at
plejefamilierne har taget loven til sig, selvom
loven byder mange familier at tænke anderle-
des i deres opdragelsesmetoder i forhold til
tidligere. Tilsynskonsulenterne oplever dog, at
mange af familierne har forståelse for lovens
intentioner og herunder, hvordan man fx kan
reducere barnets computerforbrug ved hjælp
af pædagogiske metoder, fx særlige aftaler
med barnet. Generelt oplever tilsynskonsulen-
terne, at lov om voksenansvar har givet anled-
ning til mange gode snakke mellem plejebørn
og plejeforældre, om hvordan man kan have
nogle regler for emner som computerspil, fær-
den på sociale medier, lommepenge og sen-
getider, uden at gå på kompromis med pleje-
børnenes ret til indflydelse på eget liv. Det er
fx tilfældet i citatet fra en tilsynsrapport herun-
der, hvor familien har haft en snak om, hvor
pigens telefon skal ligge om natten, og hvor pi-
gen efter dialog samtykker i, at telefonen skal
ligge i køkkenet. I 2018 har vi dog også givet
en række udviklingspunkter, der handler om at
anvende metoder, der er i overensstemmelse
med lov om voksenansvar. Det gælder også
for de kommunale plejefamilier, der har ad-
gang til undtagelsesvist at foretage fysisk
guidning og afværgehjælp. I kapitel 5 kan du
læse mere om vores vurdering af plejefamili-
ernes evne til at inddrage børnene i beslutnin-
ger, der vedrører dem selv.
Sundhed og trivsel og lov om vok-
senansvar
Indikator 6.d
Den kommunale plejefamilie følger op på
eventuel anvendelse af fysisk guidning og
afværgehjælp med henblik på løbende
læring og forbedring af deres indsats
En gennemgang af de kvantitative bedømmel-
ser af kvaliteten inden for temaet Sundhed og
trivsel viser, at netop bedømmelserne af indi-
katorerne inden for dette tema er steget rela-
tivt mest i 2018. Bedømmelserne af indikator
6.d er fx steget fra 4,1 i 2017 til 4,5 i 2018. In-
dikatoren er kommet til, efter at kommunale
plejefamilier
5
med lov om voksenansvar har
fået adgang til undtagelsesvist at gribe ind i
barnets selvbestemmelsesret med fysisk guid-
ning og afværgehjælp (forhindre tingsødelæg-
gelse). Lov om voksenansvar gælder også for
almindelige plejefamilier i et begrænset om-
fang, idet plejefamilierne pålægges at iagttage
omsorg for børnene og deres ret til med- og
selvbestemmelse i dagligdagen. Almindelige
plejefamilier har dog ikke i loven hjemmel til at
foretage fysiske magtanvendelser eller visse
typer andre indgreb i selvbestemmelsesretten.
Generelt er det tilsynskonsulenternes erfaring,
5
Kommunale plejefamilier er plejefamilier, der i kraft af deres kompetencer og kvalifikationer er godkendt til at
have børn i pleje, som har flere vanskeligheder end børn, der anbringes i almindelige plejefamilier
39
SOU, Alm.del - 2019-20 - Bilag 86: Socialstyrelsens og socialtilsynenes årsrapporter for 2018, fra social- og indenrigsministeren
2119954_0040.png
Tabel 25. Uddrag fra indikatorvurderinger på indikator 5.a
5.a (score: 5)
Barnet bliver hørt, respekteret og anerkendt af plejefamilien
”Plejefamilien
er i 2017 orienteret om Lov om Voksenansvar. De har ikke større konflikter med
pigen, som de ikke kan løse gennem dialog. Tidligere har de f. eks. oplevet, at pigen måtte have
sin telefon liggende i køkkenet om natten. Det var på plejeforældrenes opfordring, men pigen
indvilligede i det, da hun godt kunne mærke, at det var belastende for hende at have den. Pleje-
forældrene byder ind med relevante betragtninger og det fremgår tydeligt, at plejemor er meget
inde i reglerne og også kan forklare dem i detaljer for plejefar.”
Kriterium 4. Plejefamilien bidrager
aktivt til at opnå de mål, der er for
barnets ophold i plejefamilien
Det er et krav, at de dele af handleplanen, der
har betydning for plejefamiliens arbejde, skal
udleveres til plejefamilien. Handleplanen tager
altså udgangspunkt i det konkrete barns sær-
lige problemer og udfordringer og er helt afgø-
rende for, at plejefamilien kan tilrettelægge en
indsats, der effektivt imødekommer barnets
behov. Uden indsatsmål kan plejefamiliens
indsats risikere at blive for løs og usystema-
Indikator 4.a
Plejefamilien kender de mål, der er opstillet
for anbringelsen eller aflastningsopholdet,
i barnets handleplan
Temaet målgrupper, metoder og resultater er
fortsat det tema i kvalitetsmodellen, der tegner
sig for det laveste gennemsnit i scorerne på
plejefamilieområdet. Temaet handler overord-
net om, at plejefamiliens indsats skal medvirke
til at sikre den ønskede udvikling for barnet,
blandt andet via kendskab til formål og mål
med barnets anbringelse.
I servicelovens § 140 fremgår det, at kommu-
nalbestyrelsen skal udarbejde en handleplan
for et barn, inden der træffes afgørelse om for-
anstaltninger, fx døgnpleje. Handleplanen skal
angive formålet med indsatsen, og hvilken ind-
sats der er nødvendig for at opnå formålet.
Handleplanen skal desuden i forhold til de pro-
blemer, der er identificeret i forbindelse med
udredningen, indeholde nogle konkrete mål.
tisk, og det kan i værste fald få betydning for
plejebarnets udvikling og trivsel. Derfor er det
alvorligt, hvis plejefamilien ikke kender til de
mål, der er opstillet for barnet. Ombudsman-
den har tidligere kritiseret nogle kommuner,
fordi de ikke havde udarbejdet handleplaner
eller afleveret handleplanen til tilbuddene. Det
skete på baggrund af tilsynsbesøg på døgnin-
stitutioner for anbragte børn og unge, hvor 20
ud af 26 sager om handleplaner gav anledning
40
SOU, Alm.del - 2019-20 - Bilag 86: Socialstyrelsens og socialtilsynenes årsrapporter for 2018, fra social- og indenrigsministeren
2119954_0041.png
til kritik
6
. Rigsrevisionen har også tidligere la-
vet en undersøgelse for Folketinget, der viser,
at kommunerne ikke altid overholder lovens
krav om handleplaner
7
. I Socialtilsyn Hoved-
staden genkender vi problematikken på pleje-
familieområdet, der giver sig udslag i, at
mange plejefamilier ikke kender til de mål, der
er opstillet for anbringelsen. Det er vores vur-
dering, at plejefamiliens manglende kendskab
til mål kan få meget stor betydning, når der
sker sagsbehandlerskift, da det kan hindre
kontinuitet i anbringelsen og i samarbejdet.
I tabel 26 er variationen inden for scorerne 1-
5 illustreret på indikator 4.a. Det fremgår, at vi
relativt ofte
i 32 % af tilsynene
anvender
scoren 1, 2 eller 3, der dækker over en del til
omfattende mangler. Når vi scorer lavt på indi-
kator 4.a, handler det om, at plejefamilien ikke
kender til de mål, der er opstillet for barnet,
ofte fordi de ikke har modtaget nogen handle-
plan fra kommunen. I de senere år har vi dog
oplevet, at særligt døgnplejefamilierne har væ-
ret opsøgende over for kommunen i forhold til
at få oplyst indsatsmål, og når vi italesætter
det, oplever vi også, at plejefamilierne har stor
forståelse for, hvorfor det er nødvendigt at ind-
hente mål hos anbringende kommune. Det har
da også resulteret i, at indikator 4.a er steget
fra 3,4 i gennemsnit i 2016 til 3,6 i gennemsnit
i 2018.
Tabel 26. Antal tilsyn hvor der scores henholdsvis 1 til 5 på indikator 4.a
Score: 1
8%
Score: 2
8%
Score: 3
16 %
Score: 4
23 %
Score: 5
47 %
* Plejefamilier, der ikke har nogen børn, er sorteret fra i denne tabel for ikke at mudre billedet.
Det er stadigvæk relativt lavt i forhold til øvrige
indikatorer i kvalitetsmodellen, og tilsynskon-
sulenterne vurderer, at der fortsat er plads til
forbedring på området. Det gælder i særdeles-
hed for aflastningsfamilierne, hvor vi fortsat
oplever, at rigtig mange familier ikke har kend-
skab til de mål, der er opsat for aflastningsop-
holdet, selvom de har efterspurgt dem hos
kommunen. Det er Socialtilsyn Hovedstadens
vurdering, at kommunerne ikke har tilstrække-
lig fokus på, at aflastning ikke bare skal være
aflastning af den biologiske familie, men at
plejefamilien også kan biddrage til at under-
støtte barnets trivsel og udvikling, selvom bar-
net fx kun kommer i plejefamilien hver anden
weekend.
Socialtilsyn Hovedstaden opfordrer gene-
relt plejefamilierne til at være opsøgende
over for kommunen i forhold til at få udle-
veret indsatsmål for barnet. Vi anbefaler
også, at plejefamilierne søger råd og vej-
ledning hos familieplejekonsulenten om
indsatser, der kan være velegnede til at
understøtte barnets trivsel og udvikling
6
7
https://www.ombudsmanden.dk/find/nyheder/alle/nye_initiativer_skal_sikre_handleplaner/
http://www.rigsrevisionen.dk/media/2104317/sr2115.pdf
41
SOU, Alm.del - 2019-20 - Bilag 86: Socialstyrelsens og socialtilsynenes årsrapporter for 2018, fra social- og indenrigsministeren
Et større kendskab til indsatsmålene er også
vigtigt, fordi vi fortsat oplever, at nogle plejefa-
milier får anbragt et barn, som er mere belastet
end den belastningsgrad, plejefamilien er god-
kendt til at kunne håndtere. Det er et alvorligt
problem, fordi plejefamilierne ikke umiddelbart
har de nødvendige kompetencer til at hånd-
tere barnets særlige behov. Hvis plejefamilien
får adgang til at se formål og mål forud for an-
bringelsen, så kan de bedre vurdere deres
kompetencer i forhold til barnets behov og for-
mulere over for anbringende kommune, hvilke
behov de har for støtte, supervision og kurser.
lien. Sidste år har vi derfor meddelt 18 op-
mærksomhedspunkter, hvor vi indskærper
over for familien, at de skal overholde oplys-
ningspligten. Når det er nødvendigt, at social-
tilsynet får viden om ændringer, skyldes det, at
socialtilsynet skal kunne stå inden for den lø-
bende kvalitet i plejefamilien. Hvis en af pleje-
forældrene bliver alvorligt syg eller mister sit
job, kan det fx have stor betydning for famili-
ens evne til at drage omsorg for barnet og der-
med påvirke barnets trivsel. Det kan også
være en familie, der flytter til nogle fysiske
rammer, hvor barnet ikke længere har mulig-
hed for at have sit eget værelse, hvilket kan
påvirke barnets trivsel og udfoldelsesmulighe-
der. I flere af de tilfælde, hvor Socialtilsyn Ho-
vedstaden har tilbagekaldt en families godken-
delse, er det sket på baggrund af, at der er op-
stået nogle uforudsete omstændigheder i fa-
milien, der gør, at socialtilsynet vurderer, at fa-
milien ikke længere i fornøden grad kan under-
støtte plejebarnets udvikling. Derfor er det vig-
tigt, at familierne husker at orientere socialtil-
synet, når der sker sådanne omvæltninger i fa-
milien. Det er vigtigt at understrege, at langt de
fleste ændringer ikke har nogen konsekvenser
for barnet. Alligevel er det vigtigt, at socialtilsy-
net får viden om det, så vi kan have det med i
vores løbende risikovurdering af antallet af til-
syn og fremtidige besøg i familien.
Overholdelse af oplysningspligten
Lov om socialtilsyns § 12 indeholder en særlig
bestemmelse, der specificerer, at tilbuddene
og plejefamilierne af egen drift skal give soci-
altilsynet oplysninger om væsentlige ændrin-
ger i forhold, der lå til grund for godkendelsen.
I en plejefamilie kan væsentlige ændringer,
der har betydning for godkendelsen, fx være
ind- og udskrivning af plejebørn, ind- og udflyt-
ning af beboere i husstanden, helbredsmæs-
sige ændringer i nærmeste familie, ændringer
i familiens økonomiske forhold, flytning med
videre. Socialtilsyn Hovedstaden oplever rela-
tivt ofte, at plejefamilien glemmer at orientere
socialtilsynet om væsentlige ændringer i fami-
42
SOU, Alm.del - 2019-20 - Bilag 86: Socialstyrelsens og socialtilsynenes årsrapporter for 2018, fra social- og indenrigsministeren
2119954_0043.png
Kvaliteten i børne- og ungetilbud
I dette afsnit giver vi et indblik i Socialtilsyn Ho-
vedstadens overvejelser om kvaliteten på
børne- og ungeområdet. Socialtilsyn Hoved-
staden havde 127 børne- og ungetilbud i op-
gaveporteføljen ved udgangen af 2018, og det
er de tilbud, der er genstand for overvejelserne
herunder.
Tabel 27 viser gennemsnitsbedømmelserne
på børne- og ungeområdet i 2017 og 2018 for-
delt på de syv temaer i kvalitetsmodellen.
Gennemsnitsscorerne indikerer, at der gene-
relt er meget høj kvalitet på børne- og unge-
området, hvilket understøttes af udsagn fra til-
synskonsulenterne. Det fremgår, at gennem-
snittet er større end 4 for alle kvalitetsmodel-
lens temaer. Gennemsnittet er desuden steget
med 0,1 for alle temaer med undtagelse af te-
maet uddannelse og beskæftigelse. Gennem-
snitsbedømmelserne har generelt været sti-
gende i de år, socialtilsynet har eksisteret. Det
er formentlig dels et udtryk for, at tilbuddene
over tid har udviklet sig i forhold til kvalitetsmo-
dellens indikatorer, og dels et udtryk for, at
praksis har udviklet sig på en måde, så de la-
veste scorer dækker over
”en del mangler” (3),
”mange mangler” (2) og ”omfattende mangler”
(1). I praksis skal der altså være tale om en del
mangler, før et tilbud scores 3 eller derunder.
For de fleste tilbud gælder det imidlertid, at de
har få eller kun mindre mangler, og derfor vil
der være relativt mange tilbud, der scorer 4 el-
ler derover.
43
SOU, Alm.del - 2019-20 - Bilag 86: Socialstyrelsens og socialtilsynenes årsrapporter for 2018, fra social- og indenrigsministeren
2119954_0044.png
Tabel 27. Gennemsnitsbedømmelser på børne- og ungeområdet i 2017 og
2018 fordelt på de syv temaer i kvalitetsmodellen
Uddannelse og Selvstændighed Målgrupper,
beskæftigelse
og relationer
metoder og
resultater
Sundhed Organisation
og trivsel
og ledelse
Kompetencer
Fysiske
rammer
2017
2018
4,2
4,2
4,2
4,3
4,2
4,3
4,3
4,4
4,2
4,3
4,4
4,5
4,2
4,3
Figur 6 viser, hvordan bedømmelsen 5 forde-
ler sig inden for de forskellige temaer i kvali-
tetsmodellen i forbindelse med tilsynsbesø-
gene på børne- og ungeområdet i 2018. Det
fremgår af figuren, at scoren 5 anvendes hyp-
pigst inden for temaet organisation og ledelse,
hvor vi i 70 % af alle tilsynsbesøgene har an-
vendt scoren 5. Omvendt anvendes scoren 5
mindre hyppigt inden for temaerne selvstæn-
dighed og relationer og fysiske rammer, hvor
vi i 59 % af alle tilsynsbesøgene har anvendt
scoren 5. Når vi bedømmer med en score la-
vere end 5 inden for temaet fysiske rammer er
det særligt på indikator 14.c. Tilbud der scorer
lavere end 5 på indikator 14.c er blandt andet
kendetegnet ved, at værelserne ikke er per-
sonligt indrettede eller efter den enkeltes be-
hov, eller at fællesrummene fremstår sterile.
Inden for temaet selvstændighed og relationer
er det særligt på indikator 2.b, vi scorer lavt.
Tilsynskonsulenterne vurderer generelt, at de
fleste anbragte børn og unge deltager i sociale
aktiviteter. For mange foregår dette dog ofte i
regi af tilbuddet eller i selskab med de øvrige
unge på tilbuddet, og det kan betyde, at de
unge mangler tilknytning til det omkringlig-
gende samfund, som kan være afgørende, når
de bliver 18 og skal til at stå på egne ben.
Indikator 2.b
Borgerne indgår i aktiviteter i det omgi-
vende samfund
Indikator 14.c
De fysiske rammer afspejler, at tilbuddet er
borgernes hjem
44
SOU, Alm.del - 2019-20 - Bilag 86: Socialstyrelsens og socialtilsynenes årsrapporter for 2018, fra social- og indenrigsministeren
2119954_0045.png
Figur 6. % af antal tilsynsbesøg på børne- og ungeområdet, hvor bedømmel-
sen 5 er anvendt inden for de 7 temaer i kvalitetsmodellen
Organisation og ledelse
Sundhed og trivsel
Kompetencer
Uddannelse og beskæftigelse
Målgruppe, metoder og
resultater
Selvstændighed og relationer
Fysiske rammer
59%
59%
61%
61%
68%
70%
69%
50%
55%
60%
65%
70%
75%
I afsnittene nedenfor udfoldes overvejelserne
om kvaliteten på børne- og ungeområdet med
udgangspunkt i tre emner inden for kvalitets-
modellen og godkendelsesgrundlaget gene-
relt, hvor vi ser generelle udfordringer på
tværs af tilbuddene på børne- og ungeområ-
det.
sammen med døgnophold, at øge pladsantal-
let i tilbuddet eller den aldersgruppe, tilbuddet
er godkendt til. Andre ansøger om at kunne
håndtere børn med sværere problematikker
end dem, tilbuddet er godkendt til at håndtere.
Når Socialtilsyn Hovedstaden modtager en
ansøgning om væsentlig ændring, gennemgår
vi alle kvalitetsmodellens temaer med henblik
på at vurdere, om tilbuddet fysisk og indholds-
mæssigt understøtter den ønskede ændring i
målgruppen. Hvis socialtilsynet fx skal imøde-
komme et ønske om at kunne håndtere børn
med forskelligartede problematikker, er det
blandt andet afgørende, at der er kompetencer
i medarbejdergruppen til at håndtere målgrup-
per med forskelligartede behov og til at prakti-
sere de relevante metoder. Det er også afgø-
rende, at de fysiske rammer understøtter, at
de unge i tilbuddet har forskellige behov og
måske forskellige aldersgrupper.
Målgrupper, metoder og resultater,
herunder indskrivning af borgere
uden for målgruppen og ændringer
i godkendelsesgrundlaget
Socialtilsyn Hovedstaden oplever fortsat, at
flere tilbud ønsker at kunne indskrive mange
forskellige målgrupper på samme tid og levere
mere fleksible ydelser. Den oplevelse under-
støttes af, at Socialtilsyn Hovedstaden har
modtaget og behandlet 33 ansøgninger om
væsentlig ændring af godkendelsesgrundla-
get på børne- og ungeområdet i 2018. Tilbud-
dene ansøger fx om at kunne have aflastning
45
SOU, Alm.del - 2019-20 - Bilag 86: Socialstyrelsens og socialtilsynenes årsrapporter for 2018, fra social- og indenrigsministeren
2119954_0046.png
I 2018 har Socialtilsyn Hovedstaden meddelt
en række opmærksomhedspunkter, der hand-
ler om, at tilbuddene indskriver borgere, som
falder uden for målgruppen. I figuren nedenfor
har vi indsat tre citater fra en tilsynsrapport i et
tilbud, der har fået et opmærksomhedspunkt,
der drejer sig om, at tilbuddet indskriver unge,
der har et større behov for støtte og behand-
lingsbehov, end tilbuddet kan tilbyde. Cita-
terne understreger, at indskrivning af unge
uden for tilbuddets målgruppe kan have store
konsekvenser både for de unge, der falder
uden for målgruppen, og de øvrige unge i til-
buddet. I citatet til venstre fremhæver medar-
bejderne blandt andet, at mange af de unge
har så svære problematikker, at de ikke ser sig
i stand til at udvikle dem inden for rammerne
af tilbuddet. Det bekræftes af de anbringende
kommuner i citatet i midten, hvor det fremgår,
at de unge har været stagneret i deres udvik-
ling, mens de har været i tilbuddet. I citatet til
højre fremgår det, at forholdene i tilbuddet
også går ud over de øvrige unge, fordi medar-
bejdernes tid og kompetencer ikke slår til. På
den måde står man i en situation i tilbuddet,
hvor ingen af de unge får den hjælp og støtte,
de behøver for at kunne udvikle sig hensigts-
mæssigt. Netop derfor er det så vigtigt, at til-
buddet holder sig til godkendelsesgrundlaget,
som afspejler socialtilsynets samlede vurde-
ring af den målgruppe, tilbuddet kan håndtere.
Socialtilsyn Hovedstaden anbefaler gene-
. relt, at tilbuddene sikrer efterlevelse af
godkendelsesgrundlaget, der afspejler so-
cialtilsynet samlede vurdering af den mål-
gruppe, tilbuddet kan håndtere
46
SOU, Alm.del - 2019-20 - Bilag 86: Socialstyrelsens og socialtilsynenes årsrapporter for 2018, fra social- og indenrigsministeren
2119954_0047.png
Tabel 28. Uddrag fra indikatorvurderinger på indikator 3.a, 5.a og 9.a
3.a (score: 2)
Tilbuddet anvender faglige til-
gange og metoder, der er rele-
vante i forhold til tilbuddets mål-
sætning og målgrupper
(...) I bedømmelsen lægger soci-
altilsynet særlig vægt på, at til-
buddet ved det aktuelle, såvel
som ved tidligere tilsyn, har flere
unge indskrevet, der af såvel til-
buddets ledelse, medarbejdere
og socialtilsynet vurderes at
ligge uden for den godkendte
målgruppe
(…) Medarbejderne
forklarer, at de tydeligt kan
mærke forskellen på de visite-
rede unge de seneste år. De
unge, der ifølge deres alder,
burde være klar til botræning og
lignende selvstændighedstræ-
ning, har i mange tilfælde svæ-
rere problematikker, der gør, at
man ikke kan udvikle dem rele-
vant inden for rammerne af til-
buddet (…).
5.a (score: 4)
Borgerne trives i tilbuddet
9.a (score 3)
Borgerne har i forhold til deres
behov tilstrækkelig kontakt til
personale med relevante kom-
petencer
(…) I bedømmelsen lægger so-
cialtilsynet særlig vægt på op-
lysninger fra medarbejderne ved
tilsynet august 2018, hvor det
fremgår, at nogle indskrevne
unge kan være meget opmærk-
somheds- eller ressourcekræ-
vende, og at det går ud over de
andre unge, så der ikke bliver
meget tid til de andre. Konkret
nævner en medarbejder eksem-
pelvis, at en bestemt ung ikke
har fået de nødvendige og af-
satte støttetimer hen over som-
meren, fordi andre unge kræver
ressourcerne og opmærksom-
heden (…)
(…) Anbringende kommu-
ner giver i forbindelse med
tilsynet august 2018 såle-
des udtryk for, at flere af
de unge ikke har udviklet
sig tilstrækkeligt under de-
res anbringelse i tilbuddet;
de unge passer ikke deres
skolegang, er selvska-
dende eller vurderes til at
have vanskeligheder ud
over, hvad tilbuddet kan
varetage og er godkendt til
(…)
Obs. Tilbuddenes navne er anonymiseret i ovenstående
Kriterium 6
forebyggelse af magt-
anvendelser
Tilsynskonsulenterne på børne- og ungeområ-
det nævner kriterium 6 om forebyggelse af
magtanvendelser som et af de områder, hvor
der er tværgående udfordringer blandt børne-
tilbuddene. Socialtilsyn Hovedstaden scorer
generelt højt på de to indikatorer, 6.a og 6.b,
der hører under Kriterium 6, henholdsvis 4,5
og 4,4 i gennemsnit for alle tilbud. Der er imid-
lertid en forholdsvis stor variationsbredde i
gennemsnittet på Kriterium 6 på tværs af til-
buddene. Som det fremgår neden for scorer
46 % af tilbuddene 5,0 i gennemsnit på krite-
rium 6, mens 35 % scorer 4,0 eller derunder.
Der er altså en forholdsvis stor andel af tilbud-
dene, som er med til at trække gennemsnittet
op. Blandt disse tilbud er der flere aflastnings-
tilbud, som ikke er omfattet af lov om voksen-
ansvar, og som derfor ikke har hjemmel til at
foretage magtanvendelser. Ser man derimod
på de tilbud, der scorer lavest i gennemsnit,
optræder flere af de sikrede døgninstitutioner
og døgninstitutioner med delvist lukkede afde-
linger, som er underlagt særlige bestemmelser
i lov om voksenansvar.
47
SOU, Alm.del - 2019-20 - Bilag 86: Socialstyrelsens og socialtilsynenes årsrapporter for 2018, fra social- og indenrigsministeren
2119954_0048.png
Tabel 29. Antal tilbud der scorer henholdsvis 1,0-4,0, 4,1-4,9 og 5,0 i gennem-
snit på kriterium 6
Gennemsnit 1,0-4,0
35 %
Gennemsnit 4,1-4,9
19 %
Gennemsnit 5,0
46 %
Der er imidlertid også flere af de åbne døgnin-
stitutioner blandt de tilbud, der scorer lavest.
Socialtilsyn Hovedstaden oplever, at flere af
de åbne døgninstitutioner foretager ulovhjem-
lede magtanvendelser. Det gælder særligt i
forhold til ikke-fysisk magt eller det, man kan
kalde strukturel magt. Det kan være benyttelse
af ulovligt overvågningsudstyr, ulovlige dør-
alarmer og rumundersøgelser, som er et om-
råde, hvor vi har meddelt en del opmærksom-
hedspunkter i 2018. Men det kan også være
særlige rutiner, som indskrænker børnenes
kommunikationsfrihed, fx afbrydelse af inter-
netforbindelsen eller inddragelse af børnenes
telefoner uden deres samtykke. Ifølge lov om
voksenansvar kan tilbuddet kun foretage ind-
greb i kommunikationsfriheden, hvis der træf-
fes en afgørelse herom i børne- og ungeudval-
get i anbringende kommune. Mere generelt
oplever Socialtilsyn Hovedstaden, at tilbud-
dene har for lidt fokus på at understøtte en in-
dre styring i barnet og i stedet erstatter den in-
dre styring med en ydre, strukturel styring. I
stedet for at lære barnet at bruge sociale me-
dier eller at færdes alene, benytter tilbuddene
sig af ovenstående former for ydre styring. Det
er problematisk, fordi beherskelse af indre sty-
ring er en vigtig kompetence, når barnet forla-
der tilbuddet og kommer ud i situationer, hvor
han eller hun selv skal sætte grænser. Lands-
foreningen for voksne med senfølger af seksu-
elle overgreb skriver på deres hjemmeside, at
ydrestyrede mennesker er lettere at manipu-
lere og dermed i større risiko for at blive udsat
for overgreb
8
. Blandt andet derfor er det så
vigtigt, at børnene bliver inddraget i beslutnin-
ger, der angår dem selv. Formålet med lov om
voksenansvar var netop at iagttage børn og
unges grundlæggende rettigheder og tydelig-
gøre medarbejdernes ansvar for, at barnet
med pædagogik og omsorg får den fornødne
støtte til at udvikle sig til et selvstændigt indi-
vid. Det understreger hvor vigtigt, det er, at til-
buddene har fokus på at respektere børnenes
grundlæggende rettigheder og give dem med-
8
http://landsforeningen-spor.dk/viden-om-senfoelger/artikler-om-senfoelger/ydre-og-indrestyring.aspx
48
SOU, Alm.del - 2019-20 - Bilag 86: Socialstyrelsens og socialtilsynenes årsrapporter for 2018, fra social- og indenrigsministeren
2119954_0049.png
og selvbestemmelse i overensstemmelse med
deres alder og modenhed.
at flere tilbud mangler en konkret beredskabs-
plan eller handleanvisning i forhold til overgreb
eller mistanke om overgreb. Det er et sårbart
område, fordi det kan have store konsekven-
ser i et tilbud, hvis der bor bare ét barn eller én
ung, som har en grænsesøgende eller udad-
reagerende adfærd. Socialtilsyn Hovedstaden
har ved samtaler med anbragte børn- og unge
i forbindelse med et tilsynsbesøg flere gange
oplevet, at børnene og de unge oplever utryg-
hed i tilbuddet, fordi der er en ung, der udviser
truende eller seksuelt krænkende adfærd. So-
cialtilsyn Hovedstaden opfordrer generelt til, at
tilbuddene bliver bedre til at opsamle viden,
der kan bruges til at forebygge og opspore
overgreb mod og mellem børn og unge. Det er
særligt vigtigt, fordi undersøgelser viser, at
voksne, der har være anbragt uden for hjem-
met, er i større risiko for at blive ofre for sek-
suelle overgreb og personfarlig vold, end det
er tilfældet blandt deres jævnaldrende. Samti-
dig har voksne, der har været anbragte, større
sandsynlighed for at begå seksuelle overgreb,
sammenlignet med andre voksne
10
.
Socialtilsyn Hovedstaden anbefaler
tilbuddene at lære børnene og de
unge at beherske den form for indre
styring, som er nødvendig, når bør-
nene forlader tilbuddet og kommer
ud i situationer, hvor de skal sætte
grænser for sig selv
Du kan læse mere om lov om voksenansvar
på Socialtilsyn Hovedstadens hjemmeside og
finde vejledningsmateriale til loven for både
børn og voksne på Socialstyrelsens hjemme-
side .
9
Kriterium 7
tilbuddet forebygger
vold og overgreb
Indikator 7.a om forebyggelse af vold og over-
greb er fortsat en af de indikatorer i kvalitets-
modellen, der tegner sig for den laveste be-
dømmelse sammenlignet med de øvrige indi-
katorer i hele kvalitetsmodellen (4,2 i gennem-
snit i 2018). Socialtilsyn Hovedstaden oplever,
9
https://socialstyrelsen.dk/tvaergaende-omrader/magtanvendelse-born-og-unge-1
Det nationale forskningscenter for velfærd (SFI),
Vold og seksuelle overgreb mod børn og unge i Danmark
2016,
side 171-184
10
49
SOU, Alm.del - 2019-20 - Bilag 86: Socialstyrelsens og socialtilsynenes årsrapporter for 2018, fra social- og indenrigsministeren
2119954_0050.png
Kvaliteten på voksenområdet
I dette afsnit giver vi et indblik i Socialtilsyn Ho-
vedstadens overvejelser om kvaliteten på vok-
senområdet. Socialtilsyn Hovedstaden havde
389 voksentilbud i opgaveporteføljen ved ud-
gangen af 2018. Porteføljen består både af bo-
steder, krisecentre, herberger og alkohol- og
misbrugsbehandlingstilbud, og det er de til-
bud, der er genstand for overvejelserne herun-
der. Tabel 30 viser gennemsnitsbedømmel-
serne på voksenområdet i 2017 og 2018 for-
delt på de syv temaer i kvalitetsmodellen.
Gennemsnittet ligger omkring 4 for alle tema-
erne, hvilket indikerer, at der generelt er høj
kvalitet på voksenområdet baseret på kvali-
tetsmodellens indikatorer. Dette understøttes
af udsagn fra tilsynskonsulenterne. Gennem-
snitsbedømmelserne har generelt været sti-
gende i de år, socialtilsynet har eksisteret. So-
cialtilsyn Hovedstaden vurderer, at det dels er
et udtryk for, at tilbuddene over tid har udviklet
sig i forhold til kvalitetsmodellens indikatorer,
og dels et udtryk for, at praksis har udviklet sig
på en måde, så de laveste scorer dækker over
”en del mangler” (3), ”mange mangler” (2) og
”omfattende mangler” (1). I praksis skal der
altså være tale om en del mangler, før et tilbud
scores 3 eller derunder. For de fleste tilbud
gælder det imidlertid, at de har få eller kun
mindre mangler, og derfor vil der være relativt
mange tilbud, der scorer 4 eller derover.
50
SOU, Alm.del - 2019-20 - Bilag 86: Socialstyrelsens og socialtilsynenes årsrapporter for 2018, fra social- og indenrigsministeren
2119954_0051.png
Tabel 30. Gennemsnitsbedømmelser på voksenområdet i 2017 og 2018 fordelt
på de syv temaer i kvalitetsmodellen
Uddannelse og Selvstændighed Målgrupper,
beskæftigelse
og relationer
metoder og
resultater
Sundhed Organisation
og trivsel
og ledelse
Kompetencer
Fysiske
rammer
2017
2018
3,7
3,9
4,2
4,2
3,8
3,9
4,1
4,2
3,9
4,0
4,1
4,2
4,1
4,1
Figur 7 viser, hvordan bedømmelsen 5 forde-
ler sig inden for de forskellige temaer i kvali-
tetsmodellen i forbindelse med tilsynsbesø-
gene på voksenområdet i 2018. Det fremgår af
figuren, at scoren 5 anvendes hyppigst inden
for temaet sundhed og trivsel voksenområdet,
hvor vi i 48 % af alle tilsynsbesøgene har an-
vendt scoren 5. Omvendt anvendes scoren 5
mindre hyppigt inden for temaet uddannelse
og beskæftigelse, hvor vi i 32 % af alle tilsyns-
besøgene har anvendt scoren 5. Når vi scorer
lavere inden for temaet målgrupper, metoder
og resultater, skyldes det fortsat, at tilbuddene
har svært ved at dokumentere, hvilken udvik-
ling borgerne gennemgår, og den indsats, der
er tilrettelagt for at opnå bestemte resultater
og hvorfor. Indikator 3.b er fortsat indikatoren
med det laveste gennemsnit. I 2018 var gen-
nemsnitsbedømmelsen 3,5 på indikator 3.b. I
2016 var den 3,3 og i 2017 var den 3,4, hvilket
indikerer, at sikringen af læringsperspektivet
er et langt og sejt træk. Tilsynskonsulenterne
giver udtryk for en oplevelse af, at tilbuddene
langsomt bliver bedre til at dokumentere resul-
taterne og arbejde med mål og resultater. Det
samme gør sig gældende i forhold til temaet
uddannelse og beskæftigelse, hvor arbejdet
med at opsætte mål, der understøtter borger-
nes uddannelse og beskæftigelse (indikator
1.a), går langsomt men dog fremad.
Indikator 3.b
Tilbuddet dokumenterer resultater med ud-
gangspunkt i konkrete, klare mål for bor-
gerne til løbende brug for egen læring og
forbedring af indsatsen
51
SOU, Alm.del - 2019-20 - Bilag 86: Socialstyrelsens og socialtilsynenes årsrapporter for 2018, fra social- og indenrigsministeren
2119954_0052.png
Figur 7. % af tilsynsbesøg på voksenområdet, hvor bedømmelsen 5 er anvendt
inden for de 7 temaer i kvalitetsmodellen
48%
Sundhed og trivsel
Selvstændighed og relationer
Kompetencer
Organisation og ledelse
Fysiske rammer
Målgruppe, metoder og resultater
Uddannelse og beskæftigelse
47%
43%
40%
40%
36%
32%
0%
10%
20%
30%
40%
50%
60%
Socialtilsyn Hovedstaden oplever fortsat, at
der i flere tilbud ikke er overensstemmelse
mellem den målgruppe, tilbuddet er godkendt
til, og de borgere, der indskrives i tilbuddet.
Når Socialtilsyn Hovedstaden godkender et til-
bud til en bestemt målgruppe, sker det på bag-
grund af en vurdering af tilbuddets samlede
kompetencer til at understøtte og håndtere
borgere inden for målgruppen. Hvis tilbuddet
indskriver borgere, som falder uden for denne
målgruppe, betyder det ofte, at medarbejderne
mangler kompetencer til at understøtte disse
borgeres behov. Det kan føre til mistrivsel eller
mangel på positive resultater i forhold til ind-
satsen over for den enkelte borger, og det kan
i yderste konsekvens føre til, at Socialtilsyn
Hovedstaden beslutter at tilbagekalde det på-
gældende bosteds godkendelse. I 2018 har
Socialtilsyn Hovedstaden meddelt 10 op-
mærksomhedspunkter angående indskrivning
af borgeren uden for målgruppen. I tilfælde
som disse anbefaler Socialtilsyn Hovedstaden
typisk, at tilbuddet straks ansøger om godken-
delse af en ændring af gældende målgruppe-
godkendelse, eller tager initiativ til at kontakte
visiterende myndighed med henblik på en re-
visitering af borgeren.
Socialtilsyn Hovedstaden anbefaler gene-
relt, at tilbuddene sikrer efterlevelse af
godkendelsesgrundlaget, der afspejler so-
cialtilsynets samlede vurdering af den mål-
gruppe, tilbuddet kan håndtere
I afsnittene nedenfor udfoldes overvejelserne
om kvaliteten på voksenområdet med ud-
gangspunkt i to emner inden for kvalitetsmo-
dellen og godkendelsesgrundlaget generelt,
hvor vi ser generelle udfordringer på tværs af
tilbuddene på voksenområdet. Til slut følger et
afsnit om kvaliteten på tværs af psykiatri- og
handicapområdet.
52
SOU, Alm.del - 2019-20 - Bilag 86: Socialstyrelsens og socialtilsynenes årsrapporter for 2018, fra social- og indenrigsministeren
2119954_0053.png
Kriterium 6
tilbuddet forebygger
magtanvendelser
Området for magtanvendelser er et af de om-
råder, hvor vi har meddelt en del opmærksom-
hedspunkter i 2018. 16 ud af 133 af de op-
mærksomhedspunkter, der er meddelt på vok-
senområdet i 2018, handler om magtanven-
delser. Dertil kommer et stort antal udviklings-
punkter om emnet. Opmærksomhedspunk-
terne handler typisk om, at tilbuddet bør have
større fokus på forebyggelse af magtanven-
delser, herunder ulovlige magtanvendelser,
manglende indberetning af magtanvendelser
til socialtilsynet samt manglende viden blandt
medarbejderne om, hvad der udgør en magt-
anvendelse og gråzoner i forhold til, hvornår
der er tale om en magtanvendelse. I enkelte
tilfælde har vi bedt tilbuddet om at sende en
handleplan, hvor tilbuddet skal reflektere over,
hvordan de vil forebygge magtanvendelser
samt håndtere de sager, hvor der er foretaget
en magtanvendelse.
Indikator 6.a
Tilbuddets pædagogiske indsats under-
støtter, at magtanvendelser så vidt muligt
undgås
for to tilbud, der har fået henholdsvis 1 og 5 på
indikator 6.a. Det fremgår, at tilbuddet til ven-
stre har fået en lav bedømmelse, fordi tilbud-
dets medarbejdere mangler viden om, hvad
der udgør en magtanvendelse, og hvornår en
magtanvendelse er ulovlig. Desuden er det
vægtet, at medarbejderne i det konkrete til-
fælde undlod at afsøge pædagogiske løsnin-
ger, før der blev foretaget en fysisk magtan-
vendelse. Tilbuddet til højre har omvendt op-
nået en høj bedømmelse, fordi medarbejderne
afsøger og anvender pædagogiske redskaber,
før de griber fysisk ind. Citatet viser desuden,
at konfliktepisoder behandles på personale-
møder med henblik på fremtidig læring. En
gennemgang af øvrige kvalitative bedømmel-
ser viser, at tilbud, der scorer højt på indikator
6.a, anvender pædagogiske løsninger såsom
dialog, motivation, afledning, løbende trivsels-
samtaler, risikovurderinger eller energiforvalt-
ningsskemaer på konkrete borgere, strategi-
planer, overlevering til kollegaer i forbindelse
med dagsskift, med videre.
Tilsynskonsulenterne oplever i høj grad, at der
er for lidt fokus på at drøfte, hvordan magtan-
vendelser så vidt muligt kan undgås, og hvad
der kan træde i stedet for en magtanvendelse.
I forbindelse med gennemgangen af indberet-
tede magtanvendelser vurderer vi ofte, at
medarbejderne selv er med til at optrappe kon-
flikter, der fører til en magtanvendelse, og at
magtanvendelsen kunne være undgået ved
hjælp af pædagogiske redskaber. I tabel 31
præsenterer vi to citater fra tilsynsrapporten
Socialtilsyn Hovedstaden anbefaler gene-
relt, at tilbuddene har fokus på hele tiden
at diskutere, hvordan magtanvendelser
kan undgås og erstattes af pædagogiske
redskaber. Det er samtidig vigtigt, at ledel-
sen har fokus på at oplære nye såvel som
gamle medarbejdere i de regler, der gæl-
der på magtanvendelsesområdet og disku-
tere de gråzoner, der findes på området.
Dette gør sig navnlig gældende på tilbud
med høj personaleomsætning, idet værdi-
fuld viden forsvinder med personalet. Det
er også vigtigt, at tilbuddet har fokus på,
hvordan det påvirker de øvrige beboere i
tilbuddet, når der sker en magtanvendelse
53
SOU, Alm.del - 2019-20 - Bilag 86: Socialstyrelsens og socialtilsynenes årsrapporter for 2018, fra social- og indenrigsministeren
2119954_0054.png
Ovenstående gælder i særdeleshed på tilbud,
der er underlagt reglerne om magtanvendelse.
I Socialtilsyn Hovedstadens portefølje er der
imidlertid også mange tilbud, som ikke er un-
derlagt reglerne om magtanvendelse, eksem-
pelvis fordi de ikke har borgere med betydeligt
og varigt nedsat funktionsnedsættelse. Det er
Socialtilsyn
Hovedstadens
oplevelse,
at
mange af de tilbud, der er undtaget reglerne,
er blevet bedre til at dokumentere, hvordan de
har undgået at foretage magtanvendelser i po-
tentielt konfliktfyldte situationer.
Tabel 31. Uddrag fra indikatorvurderinger på indikator 6.a
6.a (score: 1)
Tilbuddets pædagogiske indsatser understøt-
ter, at magtanvendelser så vidt muligt undgås
Der er lagt vægt på, at der er sket en stigning
i af antallet af magtanvendelser (…) Adspurgt
medarbejderne om brugen af magt, oplyses
det, at det ikke er en del af hverdagen, da
borgerne tydeligt kan sige fra, selvom flere
har multiple funktionsnedsættelse (…) På til-
synsdagen gives der af en medarbejder ud-
tryk for, at der ikke er tale om en ulovlig magt-
anvendelse, hvis borgeren blot er informeret
om flytningen, fx hvis der opstår en stemning
i fællesstuen, som ikke er hensigtsmæssig
(…) Denne drøftelse, vurderer socialtilsynet
afspejler, at der i højere grad fortsat kan ske
drøftelse og opnås fælles viden på området.
(…) Endvidere bør der søges en pædagogisk
løsning, inden en eventuel flytningen fore-
kommer
(…)
6.a (score: 5)
Tilbuddets pædagogiske indsatser understøtter,
at magtanvendelser så vidt muligt undgås
Medarbejderne tilkendegiver, at de fortsat tager
konfliktepisoder op til fælles refleksion, sådan at
episoderne, samme med ledelsen, drøftes på et
personalemøde, hvor der reflekteres over egen
adfærd, det at trække sig, lave medarbejderskift
eller
andet (…) Hertil er tilbuddet gået i gang
med at benytte skemaer med rød, gul og grøn
og på en enkel borger er der udarbejdet en risi-
kovurdering (…) I forbindelse med forrige tilsyn
oplyste medarbejderne i øvrigt, at de anvender
neuropædagogisk viden til at minimere konflik-
terne (…)
Kriterium 9
tilbuddets daglige drift
varetages kompetent
Indikatorerne under kriterium 9, henholdsvis
indikator 9.a, 9.b og 9.c, optræder blandt de
seks indikatorer, der har opnået den laveste
bedømmelse på voksenområdet i 2018. I 2018
var gennemsnitsscoren 3,8 for alle tre indika-
torer. Kriterium 9 handler dels om, at borgerne
har tilstrækkelig kontakt til personale med re-
levante kompetencer i forhold til deres behov,
og dels om at personalegennemstrømningen
og sygefraværet er på niveau med sammen-
lignelige tilbud. Tilsynskonsulenterne oplever
stadigvæk, at der mangler stabilitet og til-
strækkeligt kompetente medarbejdere i perso-
nalegruppen i nogle tilbud, hvilket resulterer i,
at borgerne ikke får den støtte, de har behov
for.
Udfordringerne med, at borgerne ikke har kon-
takt til tilstrækkeligt kompetent personale, høj
54
SOU, Alm.del - 2019-20 - Bilag 86: Socialstyrelsens og socialtilsynenes årsrapporter for 2018, fra social- og indenrigsministeren
2119954_0055.png
personalegennemstrømning og højt sygefra-
vær, er et meget alvorligt problem, fordi det på-
virker mange andre forhold i tilbuddet. For
mange tilbud gælder det, at der er tale om bor-
gere, som har et stort behov for stabilitet. Hvis
borgerne ofte bliver mødt af nye og mindre
kompetente medarbejdere, kan det betyde, at
de kommer under pres og reagerer på en
måde, som kan resultere i flere magtanvendel-
ser eller overgreb. I figuren herunder præsen-
terer vi tre citater fra tilsynsrapporter for tre til-
bud, der er bedømt relativt lavt på indikator
9.a, 9.b og 9.c. I kolonnen i midten giver bor-
gerne under interviews med socialtilsynet ud-
tryk for, at en høj personalegennemstrømning
i tilbuddet påvirker deres trivsel, hvilket under-
støttes af udsagn fra medarbejderne. I kolon-
nen til højre fortæller borgerne, at det høje sy-
gefravær i tilbuddet betyder, at de ofte mødes
af nye vikarer, som de ikke har nogen relation
til.
Tabel 32. Uddrag fra indikatorvurderinger på indikator 9.a, 9.b og 9.c
9.a (score: 2)
Borgerne har i forhold til de-
res behov tilstrækkelig kon-
takt til personale med rele-
vante kompetencer
Socialtilsynet har lagt vægt
på, at medarbejderne oply-
ser, at de oplever, at bor-
gerne ikke har tilstrækkelig
kontakt til personale med re-
levante kompetencer. Der er
mange vikarer i tilbuddet (…)
Medarbejderne oplyser, lige-
som ved sidste tilsyn, at de
generelt kan imødekomme
borgernes behov, men at de
til tider kun kan imøde-
komme borgernes allermest
basale behov (…) pårørende
oplever, at skulle "klæde nye
medarbejdere på" til at
kunne håndtere borgeren,
hvilket har stor betydning for
muligheden for at motivere
borger til deltagelse
9.b (score: 2)
Personalegennemstrømningen
på tilbuddet er ikke på højere
niveau end sammenlignelige
arbejdspladser
På Tilbudsportalen er persona-
legennemstrømningen opgjort
til 33%, hvilket er væsentligt
højere end tilsvarende botil-
bud. Borgerne i tilbuddet omta-
ler samstemmende, at der er
en høj personalegennem-
strømning i tilbuddet. Flere bor-
gere giver udtryk for, at det på-
virker deres trivsel, at de ofte
skal forholde sig til nye medar-
bejdere, især i de situationer,
hvor der er etableret en god re-
lation personerne imellem. Det
fremkommer under faglig re-
fleksion blandt medarbejderne,
at de genkender borgernes ud-
talelser, og at de også finder
den høje personalegennem-
strømning udfordrende i det
daglige pædagogiske arbejde
(…)
9.c (score 2)
Sygefraværet blandt medarbej-
derne er ikke på højere niveau
end sammenlignelige arbejds-
pladser.
Til grund for bedømmelsen
lægges, at det på Tilbudspor-
talen oplyses, at der er 52,2
sygefraværsdage pr. medar-
bejder, hvilket er meget højere
end sammenlignelige tilbud
(…) Det lægges desuden til
grund, at borgerne giver udtryk
for, at der til stadighed er
mange vikarer i tilbuddet. De
giver desuden udtryk for, at der
ofte er nye vikarer på arbejde,
som ikke er blevet introduceret
for borgerne, selv om der er en
aftale og forventning om dette.
55
SOU, Alm.del - 2019-20 - Bilag 86: Socialstyrelsens og socialtilsynenes årsrapporter for 2018, fra social- og indenrigsministeren
2119954_0056.png
Høj personalegennemstrømning kan også gå
ud over tilbuddets arbejde med dokumentation
og opsamling af viden. Dels kræver det tid og
ressourcer at oplære nye medarbejdere, og
dels kan højt sygefravær betyde, at der er flere
vikarer, eller at de øvrige, fastansatte medar-
bejdere må løbe hurtigere. Det kan tage tid fra
dokumentationsdelen, men det kan også be-
tyde, at der ikke bliver overleveret fra gamle til
nye medarbejdere, hvordan de enkelte borge-
res behov bedst imødekommes. For borgere
på voksenområdet forudsætter opnåelsen af
et grundigt kendskab til borgernes individuelle
udtryksformer, behov og potentialer, at der er
kontinuitet og stabilitet i personalegruppen og
organiseringen af arbejdet. Dette er desuden
forudsætningen for, at borgerne får mulighed
for at igangsætte og styrke de udviklingspo-
tentialer, som de hver især har, og dermed
muligheden for at opnå positive resultater. Det
understøttes af citatet i kolonnen til højre i ta-
bel 32, hvor der er så mange nye vikarer, at
der ikke er tid til at introducere dem til bor-
gerne. Særligt på handicapområdet er der tale
om borgere med et lavt funktionsniveau, hvor
det kræver lange og seje træk at arbejde med
at lave klare mål for den enkelte borgere og
dokumentere udviklingen og resultaterne over
tid. Derfor ser vi typisk også, at tilbud, der sco-
rer lavt på indikator 9.a, indikator 9.b og indi-
kator 9.c, scorer lavt på 3.b.
Indikator 3.b
Tilbuddet dokumenterer resultater med ud-
gangspunkt i konkrete, klare mål for bor-
gerne til løbende brug for egen læring og
forbedring af indsatsen
Opfyldelsen af indikator 9.a hænger sammen
med udfordringerne forbundet med at ind-
skrive borgere uden for den godkendte mål-
gruppe, som er nævnt oven for. Hvis borgerne
skal have dækket deres behov for støtte, er
det nødvendigt, at medarbejderne har tilstræk-
kelige kompetencer til at varetage den enkelte
borgers behov. I citatet i kolonnen til venstre i
tabel 32 fremgår det, at der mangler relevante
kompetencer i tilbuddet, og det betyder, at
medarbejderne nogle gange kun lige kan imø-
dekomme borgernes mest basale behov. Ud-
sagnet fra en pårørende, der oplever, at ved-
kommende hele tiden må introducere medar-
bejderne for borgerens behov, bekræfter, hvor
vigtigt det er, at borgerne mødes af personale,
der kender til eller hurtigt kan sætte sig ind i
deres behov. Det understøtter, hvor vigtigt det
er, at tilbuddene undgår at indskrive borgere
med behov, som tilbuddet ikke kan under-
støtte.
Socialtilsyn Hovedstaden anbefaler gene-
relt, at ledelsen har fokus på at ansatte til-
strækkeligt kompetente medarbejderne
samt at nedbringe sygefraværet og perso-
nalegennemstrømningen
Af de 133 opmærksomhedspunkter, der er
meddelt på voksenområdet i 2018, handler 19
om at nedbringe sygefraværet og personale-
gennemstrømningen.
Forskelle på tværs af målgrupper på
voksenområdet
I Socialtilsyn Hovedstaden inddeler vi voksen-
området i henholdsvis voksen psykiatri og vok-
sen handicap. Psykiatriområdet består af til-
bud, der primært har indskrevet borgere med
56
SOU, Alm.del - 2019-20 - Bilag 86: Socialstyrelsens og socialtilsynenes årsrapporter for 2018, fra social- og indenrigsministeren
2119954_0057.png
psykiske vanskeligheder, inklusiv stof- og al-
koholtilbud, herberger og krisecentre. Handi-
capområdet består derimod af tilbud, der pri-
mært har indskrevet borgere med fysiske, psy-
kiske og mentale funktionsnedsættelser. Set i
forhold til kvalitetsmodellens temaer scorer til-
buddene på psykiatriområdet generelt højere i
gennemsnit på de syv temaer sammenlignet
med tilbuddene på handicapområdet. Det gæl-
der særligt i forhold til temaerne målgrupper,
metoder og resultater, sundhed og trivsel, or-
ganisation og ledelse, kompetencer og fysiske
rammer. I afsnittet herunder indgår nogle over-
vejelser om mulige årsager til dette.
Adspurgt fremhæver tilsynskonsulenterne for
det første, at kvalitetsmodellen er mere lempe-
lig i forhold til flere af tilbudstyperne på psyki-
atriområdet. Alkoholtilbud, herberger og krise-
centre er fx undtaget en række indikatorer i
kvalitetsmodellen. Det samme gælder for til-
bud, der yder ambulant behandling, der er
undtaget fem af kvalitetsmodellens indikato-
rer.
For det andet adskiller borgergruppen på han-
dicapområdet og borgergruppen på psykiatri-
området sig overordnet set derved, at bor-
gerne på psykiatriområdet har lettere ved at
påberåbe sig deres rettigheder, fordi de har et
fysisk sprog og flere kognitive færdigheder.
Det betyder måske, at borgergruppen selv kan
være med til at sikre, at medarbejderne under-
støtter deres grundlæggende rettigheder. De
kan måske lettere italesætte det, hvis de fysi-
ske rammer ikke afspejler deres behov (indi-
kator 14.c), eller hvis medarbejderne ikke taler
respektfuldt til dem (indikator 4.a).
For det tredje kan der være en forskel i den
kontekstramme,
tilsynskonsulenterne
tværs af de to områder navigerer inden for. For
mange af borgerne på handicapområdet gæl-
der det, at de skal bo og opholde sig i tilbuddet
resten af deres liv. Derimod gælder det for
mange af borgerne på psykiatriområdet, at de
opholder sig i tilbuddet for en midlertidig peri-
ode, fx mens de er i behandling for et alkohol-
misbrug. Når indikator 14.c skal bedømmes,
kan man således forestille sig, at tilsynskonsu-
lenterne på handicapområdet, ved bedømmel-
serne inddrager det aspekt, at borgerne skal
bo i tilbuddet resten af deres liv eller i en lang
periode, mens tilsynskonsulenterne på psyki-
atriområdet omvendt har det perspektiv, at
borgerne kun skal bo der for en midlertidig pe-
riode. Det er altså oplagt, at denne forskel i
perspektiv på tværs af tilsynskonsulenterne på
de to områder, resulterer i systematiske for-
skelle i gennemsnitsbedømmelserne.
Indikator 10.a
Medarbejdergruppen har samlet set rele-
vant uddannelse, opdateret viden og erfa-
ring med målgruppen og tilbuddets meto-
der
For det fjerde nævner tilsynskonsulenterne på
handicapområdet, at de oplever en tendens til,
at det er sværere at tiltrække personale med
relevante kompetencer på handicapområdet.
Det understøttes af, at gennemsnitsbedøm-
melsen på indikator 10.a er 3,8 på handicap-
området og 4,3 på psykiatriområdet. Hvis pæ-
dagogerne på handicapområdet generelt har
færre relevante kompetencer sammenlignet
med pædagogerne på psykiatriområdet, kan
57
SOU, Alm.del - 2019-20 - Bilag 86: Socialstyrelsens og socialtilsynenes årsrapporter for 2018, fra social- og indenrigsministeren
2119954_0058.png
det også være med til at forklare forskellene i
gennemsnitsbedømmelserne på nogle af de
andre temaer i kvalitetsmodellen, ud over te-
maet kompetencer. Medarbejdere med rele-
vante kompetencer i forhold til målgruppen er
således afgørende for at sikre, at borgerne tri-
ves i tilbuddet, at skabe positive resultater for
borgerne, at undgå ulovlige magtanvendelser,
overgreb, med videre.
Opsummerende er der altså en række struktu-
relle forskelle på tværs af de to områder, der
relaterer sig til forskelle i kvalitetsmodellen,
borgergrupperne og mulighederne for at re-
kruttere kompetent personale. Forholdene kan
samlet set være med til at forklare, hvorfor
psykiatriområdet generelt scorer højere i gen-
nemsnit på de syv temaer i kvalitetsmodellen
sammenlignet med handicapområdet.
58
SOU, Alm.del - 2019-20 - Bilag 86: Socialstyrelsens og socialtilsynenes årsrapporter for 2018, fra social- og indenrigsministeren
Kvaliteten i forhold til
økonomisk tilsyn
Dette afsnit indeholder Socialtilsyn Hovedsta-
dens samlede vurdering af kvaliteten i tilbud-
denes økonomiske forhold. Socialtilsynet skal
som led i vurderingen af, om et tilbud har den
fornødne kvalitet tage stilling til følgende tre
forhold vedrørende tilbuddets økonomi:
Om tilbuddet er økonomisk bæredygtigt,
Om tilbuddets økonomi giver mulighed for
den fornødne kvalitet i tilbuddet i forhold
til prisen og tilbuddets målgruppe, og
Om der er gennemsigtighed i tilbuddets
økonomi
Socialtilsynet tager i sin vurdering af, om til-
buddet har den fornødne økonomiske kvalitet
udgangspunkt i de oplysninger, der fremgår af
budgetskemaet, nøgletal på tilbudsportalen og
de private tilbuds årsregnskaber og revisions-
påtegning samt den generelle vurdering af til-
buddets kvalitet i forbindelse med tilsynet.
Hvert år skal alle tilbud indsende et budget,
som socialtilsynet skal godkende, samt et års-
regnskab og revisionspåtegning for private til-
bud til socialtilsynets orientering.
Socialtilsyn Hovedstaden konstaterer, at et
betydeligt antal tilbud ikke indberetter deres
budget rettidigt. I tabel 33 neden for fremgår
det, at 60 % af de private tilbud har afleveret
2019-budgettet inden for fristen for private til-
bud (1. oktober). 23 % af de offentlige tilbud
har afleveret 2019-budgettet inden for fristen
for offentlige tilbud (15. november). Pr. 31.
marts 2019 har 99 % og 100% af henholdsvis
de private og offentlige tilbud afleveret et
2019-budget. Det er alvorligt, hvis et tilbud
ikke overholder sin oplysningspligt, jf. § 12 i
Lov om Socialtilsyn. Et tilbuds budget indgår i
vurderingen af tilbuddets økonomi, som har
stor betydning for borgernes trivsel set i for-
hold til om tilbuddet kan tilvejebringe de rette
ressourcer i tilbuddet til at støtte borgerne.
Derfor er det vigtigt, at socialtilsynet løbende
kan påse, at der er sammenhæng mellem pris
og kvalitet i tilbuddet. Socialtilsyn Hovedsta-
den indgår i en løbende dialog med tilbud, der
ikke afleverer budgettet til tiden, men det skal
understreges at manglende overholdes af § 12
i Lov om socialtilsyn kan føre til sanktioner, og
i yderste konsekvens tilbagekaldelse af god-
kendelsen til at drive tilbud.
Socialtilsyn Hovedstaden vurderer generelt, at
langt de fleste tilbud er økonomisk bæredyg-
tige og har den fornødne kvalitet i forhold til
prisen og tilbuddets målgruppe. Dér, hvor vi
oplever den største udfordring, er i forhold til
gennemsigtigheden i det materiale, vi modta-
ger fra tilbuddene. Eksempler på manglende
gennemskuelighed kan være, at der ikke er
overensstemmelse mellem oplysningerne i
budgetskemaet og de oplysninger om takst,
personale mv., der fremgår af Tilbudsportalen.
Det kan også være, at tilbuddene ikke inklude-
rer alle budgetposter i budgetskemaet, fx i de
kommunale tilbud for nogle af de poster, som
ikke afholdes direkte af tilbuddet selv men
centralt i kommunen. Når vi fx skal vurdere,
om der er sat penge nok af til kompetenceud-
vikling i forhold til tilbuddets målgruppe, er det
afgørende, at budgetposten afspejler de sam-
lede udgifter til kompetenceudvikling. Hvis so-
59
SOU, Alm.del - 2019-20 - Bilag 86: Socialstyrelsens og socialtilsynenes årsrapporter for 2018, fra social- og indenrigsministeren
2119954_0060.png
cialtilsynet har vurderet, at kvaliteten er lav in-
den for temaet kompetencer, er det fx essenti-
elt, at vi kan se, om budgettet og dermed pla-
nerne for det kommende års udvikling afspej-
ler fornødne personaleressourcer og midler til
kompetenceudvikling. Det kan også være kon-
cernlignende konstruktioner, der mangler at
udarbejde en koncernnote i budgettet, hvor
koncernens pengestrømme skal fremgå, med
henblik på at gøre det muligt at få overblik over
samhandel og aktiviteter på tværs af de en-
kelte virksomheder i den koncernlignende
konstruktion. Det er ikke Socialtilsyn Hoved-
stadens oplevelse, at tilbuddene bevidst und-
lader gennemskueliggøre budgettet for social-
tilsynet. Derimod oplever vi, at mange tilbud
har svært ved at gennemskue, hvordan bud-
getskemaet skal udfyldes, fordi det måske ikke
harmonerer med den måde, man budgetfast-
lægger internt i tilbuddet. Dette gælder navnlig
de offentlige tilbud. Når vi modtager et budget,
som er ufuldstændigt, retter vi henvendelse til
tilbuddet. Vi oplever stort set altid, at tilbud-
dene i forbindelse med denne dialog sørger for
at tilvejebringe større klarhed i de økonomiske
forhold. I nogle tilfælde oplever Socialtilsyn
Hovedstaden at skulle afvise et budget. Når vi
gør det, er der typisk tale om en teknisk afvis-
ning, hvor tilbuddet er informeret om og indfor-
stået med årsagerne til afvisningen, og hvad
der skal til for, at budgettet bliver godkendt.
Et tilbuds økonomi indgår i den samlede vur-
dering af kvaliteten i tilbuddet. Det er meget
sjældent, at de økonomiske forhold i tilbuddet
lægges til grund for at udstede sanktioner, og
det sker kun i tilfælde, hvor den økonomiske
kvalitet er af en sådan beskaffenhed, at det går
ud over borgernes trivsel, eller hvis der er tvivl
om, at anvendelsen af offentlige midler er fo-
regået forsvarligt. I 2018 har Socialtilsyn Ho-
vedstaden truffet afgørelse om skærpet tilbud
over for ét tilbud. I den forbindelse har vi ud-
stedt tre påbud, der handler om tilbuddets
økonomiske og organisatoriske forhold.
Plejefamilier er ikke omfattet af de samme for-
melle økonomisk krav, som er nævnt oven for.
Der er dog også en økonomisk dimension i
godkendelsen af og tilsynet med plejefamilier,
som skal sikre, at plejefamilierne har økonomi-
ske ressourcer til at sikre en stabil anbringelse
for plejebørnene. Hovedparten af plejefamili-
erne har de fornødne økonomiske ressourcer
til at sikre en stabil opvækst for plejebarnet.
I 2019 har vi fokus på at kvalificere det økono-
miske tilsyn. Vi vil i særlig grad arbejde med at
kvalificere dokumentationen af vores arbejde
med det økonomiske tilsyn, så det bliver
endnu tydeligere i tilsynsrapporterne, hvad der
ligger til grund for vores vurdering af tilbuddets
økonomi, og hvilken dialog vi har haft med til-
buddet forud for vores vurdering.
Tabel 33. % af 2019-budgetter indsendt til socialtilsynet inden for x dato
1-10-2018
Offentlige tilbud
Private tilbud
60 %
15-11-2018
23 %
78 %
31-12-2018
40 %
85 %
31-03-2019
100 %
99 %
60
SOU, Alm.del - 2019-20 - Bilag 86: Socialstyrelsens og socialtilsynenes årsrapporter for 2018, fra social- og indenrigsministeren
2119954_0061.png
”Kvaliteten af et
tilbud er i sidste
ende kendetegnet
ved, i hvor høj
grad tilbuddet for-
mår at forbedre
borgerens situa-
tion og bidrage til
borgerens trivsel”
Kapitel 5. Borgerinddragelse i socialtilsynet og i
tilbud og plejefamilier
I 2018 har Socialtilsyn Hovedstaden haft fokus
på borgerinddragelse. I afsnittet herunder gi-
ver vi blandt andet et indblik i nogle af de me-
toder, der har vist sig at være særligt veleg-
nede til at inddrage borgerne på tilsynsbesø-
get. Bagefter har vi nogle overvejelser om til-
buddene og plejefamiliernes evne til at ind-
drage borgerne i beslutninger, der angår dem
selv, og til sidst viser vi resultaterne af en spør-
geskemaundersøgelse, hvor vi har spurgt en
gruppe udviklingshæmmede borgere, hvordan
de oplever sig inddraget i hverdagen i tilbud-
Citatet i billedet oven for stammer fra forarbej-
derne til lov om socialtilsyn, hvor et af formå-
lene netop var at sætte borgerne i centrum. I
modsætning til tidligere indeholder loven et
det. Først afgrænser vi begrebet borgerinddra-
gelse med udgangspunkt i lov om socialtilsyn.
Citaterne i afsnittene stammer fra et seminar,
Socialtilsyn Hovedstaden afholdte om borger-
inddragelse i 2018.
Borgerinddragelse i lov om
socialtilsyn
61
SOU, Alm.del - 2019-20 - Bilag 86: Socialstyrelsens og socialtilsynenes årsrapporter for 2018, fra social- og indenrigsministeren
krav om, at socialtilsynet skal indhente oplys-
ninger fra borgere i tilbuddet i forbindelse med
det driftsorienterede tilsyn. Lov om socialtilsyn
forudsætter altså, at socialtilsynet anvender
borgerperspektivet til at belyse kvaliteten i til-
buddet. Når borgerinddragelse er centralt i lov
om socialtilsyn, er det først og fremmest for at
sikre, at borgerne ydes en indsats i overens-
stemmelse med formålet i lov om social ser-
vice. Her er udgangspunktet altså, at de, der
modtager indsatsen, nemlig borgerne, må
være nærmest til at vide noget om kvaliteten i
indsatsen. Men iagttagelsen af borgerper-
spektivet oprinder naturligvis også fra de
strømninger, der har præget den offentlige
sektor i de sidste mange år, og som handler
om at tydeliggøre retten til indflydelse på eget
liv. Indflydelse på eget liv er særligt vigtig i den
borgergruppe, der bebor og frekventerer de til-
bud og plejefamilier, som er genstand for soci-
altilsynets tilsyn. Borgerne er underlagt nogle
permanente eller midlertidige vilkår, som gør,
at de i udgangspunktet har mindre indflydelse
på eget liv. Det skyldes den større eller mindre
funktionsnedsættelse borgere i disse tilbud
har, og som gør, at de er afhængige af at få
hjælp, støtte og omsorg fra andre for at klare
hverdagen. At sikre at borgerne får den nød-
vendige støtte, omsorg og hjælp og inddra-
gelse i eget liv står centralt i formålet med lov
om socialtilsyn.
Borgerinddragelse
set fra socialtilsynets per-
spektiv
rummer imidlertid også nogle udfor-
dringer, der kan vanskeliggøre imødekommel-
sen af kravet om at inddrage borgerperspekti-
vet på tilsynsbesøget. Dels kan det være van-
skeligt at sikre validiteten af de udsagn, vi får
fra borgerne, fordi det er tale om borgergrup-
per, der kan have svært ved at udtrykke sig.
Det kan være, fordi de mangler et talesprog,
eller fordi deres præferencer ikke er konsi-
stente over tid. Dels kan der være nogle prak-
tiske udfordringer i at inddrage borgerperspek-
tivet. Det kan være, hvis borgerne ikke træffes
hjemme på tidspunktet for socialtilsynets be-
søg, eller hvis borgerne ikke ønsker at tale
med socialtilsynet af grunde, der knytter sig til
baggrunden for deres behov for at bo på et bo-
sted. Socialtilsyn Hovedstaden har derfor
igennem de seneste år haft stor fokus på at
udvikle metoder, der bedre kan indfange bor-
gernes perspektiv på en valid måde og uden
at gå på kompromis med borgernes værdig-
hed. I næste afsnit giver vi i et indblik i dette
arbejde i Socialtilsyn Hovedstaden i 2018.
”Det er godt, at
tilsynet kommer,
for så kan vi få
lov til at sige, om
der er noget, vi
er utilfredse
med”
Borgerinddragelse er også et bærende ele-
ment i det kvalitetsbegreb, kvalitetsmodellen
bygger på. I kvalitetsmodellen
er
borgerind-
dragelse kvalitet. Det betyder, at borgerinddra-
gelse og evnen til at inddrage borgerne er gen-
stand for selve vurderingen af kvaliteten i til-
buddet eller plejefamilien, og manglende evne
til at inddrage borgerne kan i sidste ende få
betydning for tilbuddets godkendelse. I kvali-
62
SOU, Alm.del - 2019-20 - Bilag 86: Socialstyrelsens og socialtilsynenes årsrapporter for 2018, fra social- og indenrigsministeren
tetsmodellen kommer borgerinddragelse kla-
rest til udtryk i indikator 4.b (for tilbud) og 5.b
(for plejefamilier), der handler om, at borgerne
inddrages i beslutninger, der vedrører dem
selv. Men det er også afspejlet i andre indika-
torer i kvalitetsmodellen. I indikator 1.a og 2.a
(for tilbud) bliver tilbuddet fx vurderet på, om
de opstiller mål til at understøtte borgernes ud-
dannelse og sociale kompetencer i samar-
bejde med borgerne. Senere i kapitlet giver vi
et indblik i vores overvejelser om kvaliteten set
i forhold til tilbuddenes og plejefamiliernes
evne til at inddrage borgerne i hverdagen. En
ting er imidlertid tilbuddenes og plejefamilier-
nes evne til at inddrage borgerne i hverdagen,
en anden ting er borgernes oplevelse af at
blive inddraget. I 2018 har vi ved hjælp af spør-
geskemaer spurgt en gruppe udviklingshæm-
mede borgerne, om de oplever sig inddraget i
hverdagen. Til sidst i kapitlet uddybes borger-
nes svar.
Udvikling af metoder til
borgerinddragelse i
socialtilsynet
I dette afsnit kan du læse om vores arbejde
med at udvikle metoder til at inddrage borger-
perspektivet. Du kan blandt andet læse om vo-
res seminar i foråret, der kickstartede vores fo-
kus på borgerinddragelse. Desuden zoomer vi
ind på to konkrete metoder, vi anvender til at
inddrage borgerperspektivet, og på borgerind-
dragelse i plejefamilier, der adskiller sig fra
borgerinddragelse i tilbuddet.
”Vi overperfor-
mer, når tilsynet
kommer”
Seminar kickstarter fokus på borger-
inddragelse
I foråret 2018 afholdt Socialtilsyn Hovedsta-
den et seminar om borgerinddragelse. Vi
havde inviteret tre borgere, en tilbudsleder, en
peer-medarbejder fra et tilbud, en repræsen-
tant fra Socialpædagogernes Landsforening
samt en repræsentant fra Selveje Danmark til
at komme og snakke om borgerinddragelse.
Den brede kreds af deltagere gav mulighed for
at diskutere borgerinddragelse fra mange for-
skellige vinkler. I boksen herunder har vi på
baggrund af drøftelserne under seminaret la-
vet en liste over kriterier for borgerinddragelse
i socialtilsynet, som deltagerne var enige om.
Kriterierne har vi tænkt med ind i 2018, når vi
løbende har udviklet og forfinet metoder til bor-
gerinddragelse.
”De
unge ved
godt, at borger-
inddragelse er
det nye sort”
63
SOU, Alm.del - 2019-20 - Bilag 86: Socialstyrelsens og socialtilsynenes årsrapporter for 2018, fra social- og indenrigsministeren
2119954_0064.png
Kriterier for succesfuld borgerinddragelse
Tilsynsbesøget skal planlægges i forhold til borgernes hverdag i tilbuddet
Inddragelse kræver forudgående koordination med ledelse og medarbejdere, som
kender borgerne
Metode til borgerinddragelse skal justeres fra tilbud til tilbud i forhold til målgrup-
pens forudsætninger og tilbuddets organisatoriske rammer
Socialtilsynet skal være bevidste om, at tilsynet er et øjebliksbillede, og at enkelte
borgeres udsagn ikke kan generaliseres til at gælde generelt
Borgerinddragelse kræver overskud og indføling fra tilsynskonsulenten, der skal
inddrage borgerne på borgernes præmisser
Borgerne skal føle, at socialtilsynet ikke inddrager dem, fordi de skal, men fordi
deres viden er brugbar for belysningen af kvaliteten i tilbuddet
Tilsynskonsulenten skal være bevidst om den magt, som socialtilsynet har
”Det er faktisk
værre at blive
spurgt og lyttet til,
hvis der ikke sker
en forandring,
end hvis man slet
ikke bliver
spurgt”
64
SOU, Alm.del - 2019-20 - Bilag 86: Socialstyrelsens og socialtilsynenes årsrapporter for 2018, fra social- og indenrigsministeren
2119954_0065.png
Eksempler på metoder
til borgerinddragelse
Observation er også inddragelse
Refleksionsøvelse med samtalekort
Inden tilsynsbesøget bliver tilbuddet bedt om
at invitere en gruppe af ledere, medarbejdere
og borgere til at deltage i en fælles refleksions-
øvelse under tilsynet. Forud for øvelsen har
socialtilsynet udvalgt en række ord. Ordene er
udvalgt med udgangspunkt i relevante temaer
i kvalitetsmodellen og målgruppen i tilbuddet.
Under øvelsen trækker deltagerne på skift et
ord og tilkendegiver deres umiddelbare tanker
i forhold til det ord, der står på kortet, hvorefter
en anden deltager bliver bedt om at reflektere
over, hvad den første deltager har sagt. Sådan
forsætter øvelsen i takt med, at nye ord træk-
kes.
Tilsynskonsulenterne i Socialtilsyn Hovedsta-
den er enige om, at øvelsen er meget givende
i forhold til at få borgerne i spil. Øvelsen flytter
fokus fra etablerede magtforhold i tilbuddet til
ordet og de refleksioner, det afleder, og på den
måde bliver der mere ligeværd i gruppen. Det
er også en god metode til at observere sam-
spillet mellem medarbejdere og borgere.
Øvelsen er blevet anvendt i variationer i mange
typer tilbud, både på voksen- og børneområ-
det, og er også anvendelig til enkeltinterviews.
Observation er særlig velegnet til at belyse samspil-
let mellem medarbejderne og borgerne i tilbuddet
og plejeforældrene og plejebørnene i plejefamilien
ikke mindst i tilbud, hvor borgerne er kognitivt og
verbalt udfordret.
I samspillet er det ofte muligt at validere dét, med-
arbejdere og ledere fortæller i forbindelse med tilsy-
net, og den grundlæggende forståelse, tilbuddet har
af deres tilgange og metoder. Skriver tilbuddet fx på
Tilbudsportalen, at de anvender en anerkendende
tilgang, er observation under et beboermøde fx an-
vendeligt til at afdække, hvordan medarbejderne
lytter til og interagerer med borgeren. Ofte viser det
sig, at der kan være stor divergens mellem dét,
medarbejderne siger, de gør, og det de rent faktisk
gør. I forbindelse med observation på et beboer-
møde har tilsynskonsulenterne fx oplevet, at med-
arbejderne taler hen over hovedet på borgerne eller
snakker på borgernes vegne frem for at anerkende
borgernes egne refleksioner. Det kan også være i
forhold til borgernes selvbestemmelse, hvor et til-
bud kan give udtryk for, at de ikke laver indgreb i
selvbestemmelsesretten. Under observation viser
det sig imidlertid, at medarbejderne ikke iagttager
selvbestemmelsesretten, fx ved at tørre borgerens
mund eller flytte en borger i en kørestol uden at
gøre borgeren opmærksom på dette først. Medar-
bejderne bliver ofte overrasket, når tilsynskonsulen-
terne gør opmærksomme på divergenserne efter-
følgende, og på den måde er observation også vel-
egnet til at afdække blinde punkter i et tilbud, som
efterfølgende kan blive genstand for udvikling i til-
buddet.
Spørgeskema
Refleksionsøvelse med samtalekort
Konkreter
Walk and talk
Observation
65
SOU, Alm.del - 2019-20 - Bilag 86: Socialstyrelsens og socialtilsynenes årsrapporter for 2018, fra social- og indenrigsministeren
2119954_0066.png
Borgerinddragelse i plejefamilier
Borgerinddragelse i plejefamilier har nogle
særlige udfordringer set i forhold til tilbudsom-
rådet, men det giver også nogle muligheder,
som ikke eksisterer på samme måde på til-
budsområdet. Udfordringerne er først og frem-
mest praktiske, idet der
i modsætning til til-
budsområdet, hvor der oftest er mange bor-
gere
er større risiko for, at barnet ikke træffes
hjemme i forbindelse med tilsynsbesøget. Det
gælder særligt ved uanmeldte tilsynsbesøg,
hvor besøget ikke er koordineret med plejefa-
milien på forhånd. Det er ikke mindst en udfor-
dring i aflastningsfamilier, hvor barnet ophol-
der sig sjældnere. Det understreger også, at
det
ligesom på tilbudsområdet
er helt afgø-
rende for en vellykket borgerinddragelse, at
plejefamilien hjælper med at planlægge til-
synsbesøget og forbereder børnene på, at so-
cialtilsynet kommer.
begge indikatorer er det helt afgørende, at der
anvendes observation.
På plejefamilieområdet er det helt afgørende,
at der tages hensyn til barnets alder og mo-
denhed. Observation er fx nødvendigt, når de
helt små børns perspektiv skal inddrages. For
de større børn er det muligt at lave interviews.
Når vi interviewer børnene, spørger vi indled-
ningsvis, hvordan barnet eller den unge øn-
sker, at interviewet skal foregå. Afhængig af,
hvad barnet ønsker, kan det både foregå
alene med barnet eller med plejeforældrenes
tilstedeværelse. Det sker også, at vi inter-
viewer flere plejebørn sammen. Tilsynskonsu-
lenterne har god erfaring med at spørge bør-
nene, om de vil give en rundvisning i hjemmet
eller på deres værelse. De vante rammer kan
give barnet en tryghed, som måske ikke er til
stede på samme måde i en opstillet interview-
situation. Vi oplever ofte, at rundvisningen fa-
ciliterer en anledning til at spørge ind til forhol-
dene i familien. Det kan være en fodboldme-
dalje, der giver anledning til at afdække, hvor-
dan plejefamilien understøtter barnet i at del-
tage i fritidsaktiviteter, eller en computer, der
giver anledning til samtale om, hvordan barnet
bliver inddraget i hans eller hendes færden på
sociale medier. Vi oplever nogle gange, at et
barn siger nej til at deltage i et interview med
os. I sådanne situationer respekterer vi bar-
nets ret til at bestemme selv.
Indikator 7.b
Plejefamiliens familiestruktur er hensigts-
mæssig i forhold til at give barnet trygge og
stabile rammer
Indikator 8.a
Plejefamilien kan etablere og fastholde til-
knytning til barnet
Til gengæld er det meget velegnet og lige for
at lave observation i en plejefamilie. Det gæl-
der i særdeleshed i forbindelse med de uan-
meldte tilsynsbesøg, hvor det ofte sker, at til-
synskonsulenten kommer på tilsyn, mens fa-
milien er i gang med en familieaktivitet. Flere
af kvalitetsmodellens indikatorer på plejefami-
lieområdet kræver, at samspillet mellem pleje-
forældrene og barnet observeres. Det gælder
fx indikator 7.b og 8.a. For belysningen af
66
SOU, Alm.del - 2019-20 - Bilag 86: Socialstyrelsens og socialtilsynenes årsrapporter for 2018, fra social- og indenrigsministeren
2119954_0067.png
Tilbuddene og
plejefamiliernes inddragelse
af borgerne i hverdagen
Dette afsnit indeholder Socialtilsyn Hovedsta-
dens overvejelser om tilbuddene og plejefami-
liernes evne til at inddrage borgerne i beslut-
ninger, der angår dem selv. Dette belyses med
særligt fokus på kvalitetsmodellens indikator
4.b for tilbud og 5.b for plejefamilier
Indikator 4.b (tilbud)
Borgerne inddrages i og har indflydelse på
beslutninger vedrørende sig selv og hver-
dagen i tilbuddet i overensstemmelse med
deres ønsker og behov
Indikator 5.b (plejefamilier)
Barnet inddrages i og har indflydelse på
beslutninger vedrørende sig selv og hver-
dagen i plejefamilien i overensstemmelse
med deres alder og modehed
Når tilsynskonsulenterne skal undersøge bor-
gerinddragelse i tilbuddet er fokus på, hvad
borgerne kan bestemme og ytre sig om, og un-
der hvilke former det foregår. Set i forhold til
de krav, der er til borgerinddragelse i kvalitets-
modellen, er det ikke tilstrækkeligt, at bor-
gerne bliver inddraget. Det afgørende er der-
imod, at borgerne bliver inddraget i forhold til
deres
specifikke ønsker og behov. Det er selv-
følgelig hverken muligt eller efterstræbelses-
værdigt at imødekomme alle ønsker, borgerne
måtte have. Derfor vil tilsynskonsulenterne ty-
pisk se på, om tilbuddet giver borgerne nogle
valgmuligheder. I 2018 besøgte vi eksempel-
vis et tilbud, hvor forskellige morgenmadspro-
dukter blev stillet på et bord. Inden for ram-
merne af det udvalg der blev stillet frem, kunne
borgerne selv vælge, hvad de ville have at
spise til morgenmad. I et andet tilbud, vi be-
søgte, blev morgenmaden portionsanrettet til
borgerne, som dermed ikke havde indflydelse
på, hvad eller hvor meget de fik at spise. Det
er klart, at det første tilbud kommer bedre i mål
med borgerinddragelse end det andet tilbud
set i forhold til kravene i kvalitetsmodellen.
Det er imidlertid langt fra alle borgere, der er i
stand til at foretage et verbalt og abstrakt valg
mellem havregryn og yoghurt. Derfor ser vi
også på, hvordan tilbuddet afstemmer inddra-
gelse i forhold til borgernes funktionsniveau.
Det er en pædagogisk opgave, der kræver, at
tilbuddet anvender pædagogiske metoder, der
er relevante i forhold til målgruppen. I et tilbud
vi besøgte i 2018, hvor borgerne har svær au-
tismespektrum, fortalte tilbuddet om en særlig
metode, de anvender til at afdække borgernes
præferencer. Borgeren bliver eksempelsvis
stillet over for valget mellem en pære og en
banan. I en periode observerer og dokumen-
terer medarbejderne hvilken af de to frugter,
borgeren hyppigst vælger. Herefter gentager
medarbejderne metoden med den frugt, bor-
geren har valgt hyppigst, og en anden frugt, og
således fortsætter medarbejderne indtil bor-
gernes præferencer i forhold til frugt er afdæk-
ket. Det er et godt eksempel på, hvordan til-
buddet kan afstemme inddragelse i forhold til
borgernes funktionsniveau, men det illustrerer
også, at inddragelse kræver, at medarbej-
derne har tid og tålmodighed til at tolke på bor-
gernes signaler, og ikke mindst, at borgerind-
dragelse går hånd i hånd med dokumentation
af indsatsen.
Borgerinddragelse er samtidig et område, der
kan være præget af høj grad af forråelse, fordi
67
SOU, Alm.del - 2019-20 - Bilag 86: Socialstyrelsens og socialtilsynenes årsrapporter for 2018, fra social- og indenrigsministeren
2119954_0068.png
medarbejderne ikke nødvendigvis opdager, at
de kommer til at træffe beslutninger på borger-
nes vegne. Det kan være, når de hælder kaffe
op til borgeren uden at spørge eller laver afta-
ler med borgerens forældre om, at borgeren
skal spise sundt. Når vi skal afdække tilbudde-
nes evne til at inddrage borgerne i beslutnin-
ger, der angår dem selv, foregår det derfor ofte
via
dagbogsjournaler,
indberetninger
om
magtanvendelse eller observation af samspil-
let mellem medarbejdere og borgere, der ofte
afspejler, hvordan borgerinddragelse foregår i
praksis.
I figur 8 og 9 kan man se gennemsnitsbedøm-
melserne på indikator 4.b på henholdsvis
børne- og ungeområdet og voksenområdet.
Det fremgår, at gennemsnitsbedømmelsen på
indikator 4.b generelt har været stigende over
tid og til et niveau, der er relativt højt på både
børne- og ungeområdet og voksenområdet.
Tilsynskonsulenterne vurderer generelt, at
stort set alle tilbud tænker borgerinddragelse
ind i hverdagen. I mange tilbud er det blevet
naturligt at høre borgerne i beslutninger, der
involverer eller har konsekvenser for borge-
ren. Det kan være i forhold til det tøj, de går i,
den mad, der bliver spist i tilbuddet, eller de
aktiviteter, der foregår ud af huset. Stort set
alle tilbud har desuden etableret nogle fora,
der faciliterer inddragelse af borgerne. Det kan
fx være husmøder, husordener eller borgerre-
præsentanter. I den tid socialtilsynet har eksi-
steret, har vi oplevet, at husordenerne mange
steder er gået fra at være bestemmelser om
ting, der ikke må finde sted i tilbuddet, til at
være en kontrakt mellem borgere og medar-
bejdere, der fordrer gensidig respekt. Vi ople-
ver også, at tilbuddene har fået større respekt
for borgernes privatliv. Det kan være i tilbud,
hvor borgerne bor i deres egne lejeligheder.
Her oplever vi, at medarbejderne i højere grad
har fået forståelse for, at de ikke kan komme
og gå i borgernes lejlighed, som det passer
dem.
Figur 8. Gennemsnitsbedømmelser på indikator
4.b på børne- og ungeområdet fra 2015-2018
Figur 9. Gennemsnitsbedømmelser på indikator
4.b på voksenområdet fra 2015-2018
4,4
4,2
4
4
3,8
Indikator 4.b
2015
2016
2017
4
4,2
4,4
4,2
4,1
4
3,9
3,8
3,9
4
4,2
4,2
Indikator 4.b
2018
2015
2016
2017
2018
68
SOU, Alm.del - 2019-20 - Bilag 86: Socialstyrelsens og socialtilsynenes årsrapporter for 2018, fra social- og indenrigsministeren
2119954_0069.png
Der, hvor vi oplever den største udfordring i
forhold til borgerinddragelse, er i forhold til at
afstemme inddragelse med borgernes ønsker
og behov. I mange tilbud oplever vi, at struktu-
rer, der er velegnede til at sikre en smidig til-
rettelæggelse af hverdagen, er kontraproduk-
tive i forhold til at inddrage borgerne med ud-
gangspunkt i deres behov. Det kan være en
vagtplan, der fordrer, at borgerne spiser frugt
lige inden dagholdet går hjem, og som bety-
der, at borgerne ikke kan spise et stykke frugt
på et senere tidspunkt. Det kan virke som en
lille ting, men hvis man tænker på sit eget liv,
er det let at forestille sig, at det kan virke som
et indgreb i ens frihed, hvis ens behov ikke bli-
ver dækket, når de opstår, men først når der
er plads til det i en vagtplan.
Måske af samme grund ser vi ofte, at magtan-
vendelser opstår i situationer, hvor hverdagen
er indrettet på en måde, der afviger fra eller
forhindrer borgeren i at få opfyldt sine behov.
Det kan fx være et barn, der ønsker at besøge
en ven eller en borger, der ønsker at få noget
mad på et tidspunkt, hvor det ikke passer i
dagsstrukturen. Vi ser det også i forhold politi-
ske dagsordner, der kan sætte tilbuddene i et
dilemma i forhold til borgerinddragelse. Det
kan være, at kommunen har udviklet en sund
kostpolitik, der skal følges i tilbuddene i kom-
munen, som ikke matcher dét, borgerne har
lyst til at spise. De tilbud, der er bedst til bor-
gerinddragelse, kan variere indsatsen i forhold
til den konkrete borger og afvige fra dagspla-
nen eller politiske dagsordner, når borgeren
har behov for det. I 2018 har vi fx oplevet, at et
tilbud har ændret sin personaledækning i for-
hold til borgernes døgnrytme i stedet for efter
en normal dagsstruktur.
”Hvis du står og
skal vælge mellem
at have tag over
hovedet eller stå på
gaden, så siger man
ikke alt til tilsynet”
69
SOU, Alm.del - 2019-20 - Bilag 86: Socialstyrelsens og socialtilsynenes årsrapporter for 2018, fra social- og indenrigsministeren
Særligt for borgere, der er kognitivt og verbalt
udfordret, oplever vi en anden udfordring i, at
medarbejderne ikke udnytter borgernes fulde
potentiale for at blive inddraget. Vi oplever i høj
grad, at det skorter på faglighed og kreativitet
i forhold til at tænke over, hvordan tilbuddet
kan inddrage borgerne på en måde, så de får
et kvalitativt bedre liv. Det kan være i forhold
til kontakt til deres familie, venner, aktiviteter
eller arbejde uden for tilbuddet eller på et mere
abstrakt plan, i samfundet, fx ved at give bor-
gerne en stemme i demokratiet. Det er særligt
vigtigt for den her borgergruppe, fordi der
blandt dem er mange, der ikke selv kan tage
toget hjem til deres forældre eller gå ned i
stemmeboksen. Generelt
og særligt for
denne borgergruppe
oplever vi, at tilbud-
dene har for lidt fokus på at dokumentere,
hvordan borgernes præferencer kan afdæk-
kes. Hvis tilbuddene skal lykkes med borger-
inddragelse, er det imidlertid afgørende, at til-
buddene har større fokus på at arbejde syste-
matisk med borgerinddragelse og dokumen-
tere hvilke metoder, der er velegnede til at af-
dække den enkelte borgers præferencer. Det
er ikke umuligt. Vi kommer i mange tilbud, der
eksperimenterer med at give kognitivt og ver-
balt udfordrede borgere en mulighed for at få
et sprog. Men voksentilbuddene er også udfor-
dret af udfordringerne med at sikre tilstrække-
ligt kompetente medarbejdere, som vi har
skrevet om i kapitel 4, og som kan gå ud over
dokumentationsdelen.
Der er ingen tvivl om, at borgerinddragelse er
en svær opgave at komme i mål med, og der
er fortsat mange tilbud, der kan gøre meget
mere i forhold til at udnytte det potentiale, der
er for at arbejde med borgerinddragelse. Vi
anbefaler generelt, at tilbuddene tænker over,
hvordan de kan lægge mere beslutningskom-
petence i hænderne på borgerne
både på et
individuelt plan, i tilbuddet og i samfundet. Det
er også vigtigt, at tilbuddene giver borgerne et
valg, når det er muligt, og har fokus på at ud-
vikle metode, der er relevante i forhold til at få
afdækket den enkelte borgers præferencer.
Borgerinddragelse i praksis i pleje-
familierne
Tilsynskonsulenterne vurderer generelt, at
plejefamilierne er rigtig gode til at høre bør-
nene i hverdagen i overensstemmelse med
deres alder og modenhed. Det understøttes
også af figur 10 neden for, hvor man kan se
gennemsnitsbedømmelsen på indikator 5.b for
plejefamilieområdet. Det fremgår af gennem-
snitsbedømmelse på indikator 5.b generelt har
været stigende over tid og til et niveau, der er
relativt højt. Via observationer af samspillet
mellem plejeforældre og plejebørn er det tyde-
ligt, at plejeforældrene som hovedregel er an-
erkendende over for plejebørnenes perspekti-
ver og ønsker. Det kan være i forhold til at be-
stemme, hvor familien skal hen på ferie, hvad
de skal spise, hvilke aktiviteter de skal lave i
weekenden, fritidsaktiviteter og tøjvalg. Til-
synskonsulenterne oplever, at familierne er
gode til at inddrage børnene på en måde, så
de lærer at tage ansvar for deres egne beslut-
ninger. Det sker blandt andet ved at argumen-
tere for og indgå i dialog med børnene om de
regler, der er i familien, fx i forhold til senge-
og hjemmetider.
70
SOU, Alm.del - 2019-20 - Bilag 86: Socialstyrelsens og socialtilsynenes årsrapporter for 2018, fra social- og indenrigsministeren
2119954_0071.png
Plejefamilierne er også gode til at afstemme
inddragelsen af plejebørnene i forhold til bør-
nenes modenhed og behov. Det kan være ved
at afpasse sengetider eller pligter i huset i for-
hold til barnets alder, eller ved at opsætte
nogle rammer i hverdagen, der imødekommer
et barn, der har behov for høj grad af struktur.
Det kan også være ved at afstemme hvilke be-
slutninger, barnet kan træffe, alt efter hvad
plejeforældrene
vurderer,
at
barnet
kan
magte. Dér, hvor vi oplever en udfordring i for-
hold til plejeforældrenes iagttagelse af pleje-
børnenes behov, er i forhold til samvær med
den biologiske familie. Vi oplever, at langt de
fleste plejeforældre støtter børnene i at have
et stabilt samvær med deres familie. Der er
dog nogle familier, der kommer til at skærme
barnet fra den biologiske familie, fordi de er
bange for barnets reaktioner. Alle børn har be-
hov for at have en relation til deres forældre,
og derfor opfordrer vi generelt plejeforældrene
til at støtte op om, at børnene så vidt muligt har
kontakt til deres familie.
Figur 10. Gennemsnitsbedømmelser på indikator 5.b på
plejefamilieområdet fra 2015-2018
4,5
4,4
4,4
4,3
4,3
4,3
4,4
4,2
Indikator 5.b
2015
2016
2017
2018
Borgernes oplevede inddragelse
På trods af, at samfundet generelt er præget
af et stort fokus på borgerinddragelse, fx på
det sociale område, viser undersøgelser fort-
sat, at borgerne ikke eller kun meget lidt ople-
ver sig inddraget i deres eget sag
11
. Som det
fremgår i det foregående afsnit, er det ikke det
indtryk, vi har i Socialtilsyn Hovedstaden, når
vi ser på borgerinddragelse i forhold til kvali-
tetsmodellen. I forbindelse med en række til-
synsbesøg på handicapområdet har Socialtil-
syn Hovedstaden udsendt beboerspørgeske-
maer til borgere med udviklingshæmning, sen-
hjerneskader og autisme. Spørgeskemaerne
indeholder en række spørgsmål om forhold i
tilbuddet, der knytter sig til temaerne i kvali-
11
Andersen, M. L. (2017), Empowerment i velfærdsarbejde fordrer professionel læring,
Forskning i pædago-
gers profession og uddannelse,
1 (2): 37-52.
71
SOU, Alm.del - 2019-20 - Bilag 86: Socialstyrelsens og socialtilsynenes årsrapporter for 2018, fra social- og indenrigsministeren
2119954_0072.png
tetsmodellen. I 2018 er skemaerne blevet digi-
taliseret, så det er muligt at besvare skemaet
via et elektronisk link, som tilbuddet får til-
sendt. Det betyder, at vi faktisk har mulighed
for at lave statistik på borgernes oplevede ind-
dragelse på tværs af en bred gruppe af bor-
gere. Resultaterne, der præsenteres herun-
der, er baseret på besvarelser fra 26 tilbud og
206 borgere.
Inden resultaterne præsenteres er det relevant
at tage nogle forbehold for de besvarelser, vi
modtager. For det første er der tale om en mål-
gruppe, der er karakteriseret ved, at de har
kognitive vanskeligheder. Det betyder, at bor-
gerne kan have svært ved at forstå spørgsmå-
lene, og det kan påvirke validiteten. Tilsyns-
konsulenterne har fx oplevet, at borgerne sva-
rede, at de var glade for at bo i tilbuddet,
selvom observationer indikerede det mod-
ler pårørende om at hjælpe borgerne med at
udfylde besvarelserne, hvis borgerne ikke selv
kan dette. I spørgeskemaet er det kun 10 % af
borgerne, der angiver, at de selv har udfyldt
skemaet. Det kan også påvirke validiteten,
fordi svarene kan afspejle de pårørende eller
medarbejdernes oplevelse af borgernes ople-
velser. For det tredje skal man ikke under-
kende, at der kan være en risiko for, at bor-
gerne svarer usandt, fordi de er bange for, at
svarene kan have konsekvenser for deres op-
hold i tilbuddet. På den anden side er spørgs-
målene udviklet på en måde, så de tager højde
for borgernes forudsætninger. Spørgsmålene
er løbende blevet kvalitetssikret i samarbejde
med input fra medarbejdere og borgere for at
sikre, at de indfanger borgernes perspektiv på
en valid måde. Ud over dette bliver spørgeske-
maerne kun sendt til tilbud, hvor tilsynskonsu-
lenterne forudgående har vurderet, at bor-
gerne er i stand til at svare på skemaet. Som
kilde til at sige noget om forholdene i tilbuddet
generelt, står spørgeskemaerne aldrig alene.
Tilsynskonsulenterne triangulerer altid med
andre kilder, og vi har desuden udviklet en
række spørgsmål og undersøgelsesmetoder,
der kan bruges til at af- eller bekræfte forhold,
der kommer frem i forbindelse med spørge-
skemabesvarelserne.
I denne sammenhæng er det ikke hensigten at
sige noget generelt om borgernes oplevede
inddragelse, men besvarelserne kan dog være
med til at pege i en bestemt retning.
satte. For det andet beder vi medarbejdere el-
Indikator 4.b
Borgerne inddrages i og har indflydelse på
beslutninger vedrørende sig selv og hver-
dagen i tilbuddet i overensstemmelse med
deres ønsker og behov
Figur 11. Svarfordelingen på spørgsmålet
”Er du med til at bestemme, hvad medarbej-
derne skal hjælpe dig med at blive bedre til”
200
150
100
50
0
Ja
Nej
188
18
I forhold til borgernes oplevede inddragelse
har vi valgt at præsentere resultaterne for føl-
gende to spørgsmål. I forbindelse med vores
72
SOU, Alm.del - 2019-20 - Bilag 86: Socialstyrelsens og socialtilsynenes årsrapporter for 2018, fra social- og indenrigsministeren
2119954_0073.png
tilsynspraksis anvendes spørgsmålene blandt
andet til at afdække indikator 4.b:
Er du med til at bestemme, hvad
medarbejderne skal hjælpe dig med at
blive bedre til?
Er der noget, du er blevet bedre til at
klare selv, mens du har boet her?
Figur 11 viser svarfordelingen på spørgsmålet
”Er du med til at bestemme, hvad medarbej-
derne skal hjælpe dig med at blive bedre til”.
Det fremgår, at 188 borgere
har svaret ”ja” til
det spørgsmål, hvilket svarer til 91 %. Svarene
indikerer altså, at det kun er en mindre andel
af borgerne, der ikke føler sig inddraget i deres
egen udvikling. Adspurgt om at uddybe deres
svar, er der flere, der angiver, at de selv har
fået lov til at bestemme målene i deres ind-
satsplan, og at de er blevet bedre til at sige fra
over for personalet. Der er dog også enkelte,
der angiver, at det ikke er altid, de selv kan få
lov til at bestemme, hvad de skal have hjælp
til at blive bedre til. Fx er der flere, der angiver,
at de gerne vil have mere hjælp på deres
hjemmedag. Én borger skriver:
” For det meste
er jeg med til at bestemme selv, men jeg syn-
tes, at personalet bestemmer når jeg skal
rydde op”. Citatet er et meget godt eksempel
på det, vi har skrevet om, der handler om, at
medarbejderne kommer til at træffe beslutnin-
ger på borgernes vegne.
Figur 12 neden for viser svarfordelingen på
spørgsmålet ”Er der noget, du er blevet bedre
til at klare selv, mens du har boet her”. Det
fremgår, at 176 borgere har svaret ”ja” til det
spørgsmål, hvilket svarer til 86 %. Der er altså
en lidt større andel, sammenlignet med det fo-
regående spørgsmål, der ikke føler, at der er
noget, de er blevet bedre til at klare, mens de
har boet i tilbuddet. Adspurgt om at uddybe de-
res svar angiver borgerne blandt andet, at de
er blevet bedre til selv at gå i bad, at tage tøj
på, at rydde op, at tage på arbejde, at besøge
familie og venner, at lave mad og at bruge en
computer. Der er også nogle, der skriver, at de
er blevet bedre til mere abstrakte færdigheder,
som at være alene, at omgås andre, at kom-
munikere høfligt, at gå ind til sig selv, hvis de
bliver gale, ikke at lave aftaler på samme tids-
punkt eller at sige det til personalet, hvis der er
noget, de gerne vil have lavet om, eller hvis de
er kede af det. Der er én borger, der skriver:
”Jeg er blevet dårligere
til kommunikation fordi
der er så mange forskellige omkring mig og
udskiftning i personale”. I afsnittet om kvalite-
ten på voksenområdet har vi skrevet, at høj
personalegennemstrømning et alvorligt pro-
blem, fordi det kan påvirke borgernes trivsel.
Citatet er et godt eksempel på, hvordan perso-
nalegennemstrømningen kan giv bagslag i for-
hold til borgernes udvikling.
Figur 12.
Svarfordelingen på spørgsmålet ”Er der noget, du
er blevet bedre til at klare selv, mens du har boet her?”
200
100
0
176
28
Ja
Nej
73
SOU, Alm.del - 2019-20 - Bilag 86: Socialstyrelsens og socialtilsynenes årsrapporter for 2018, fra social- og indenrigsministeren
2119954_0074.png
Kapitel 6. Socialtilsyn hovedstadens økonomi i
2018
Tilsynstakster og objektiv
finansiering
Socialtilsynets samlede omkostninger finan-
sieres dels af tilsynstakster og dels af objektiv
finansiering fra kommunerne. Alle tilbud om-
fattet af Socialtilsyn Hovedstaden betaler til-
synstakst afhængig af, hvor mange pladser til-
buddet er godkendt til. Derudover opkræves
en takst af nye tilbud, der søger om at blive
godkendt, samt af allerede godkendte tilbud,
hvis socialtilsynet skal behandle en ansøgning
om væsentlig ændring af tilbuddets godken-
delse. Endelig skal tilbud, der underlægges
skærpet tilsyn, betale en særtakst for dette.
Tilsyn med og godkendelse af plejefamilier fi-
nansieres af objektiv finansiering, hvor de 29
kommuner i Socialtilsyn Hovedstadens tilsyns-
område bidrager i forhold til kommunens andel
af det samlede antal børn og unge i tilsynsom-
rådet.
Tabel 34 og 35 viser udviklingen fra 2014 til
2019 i den objektive finansiering og i tilsyns-
taksterne. Der vises for hvert år dels indtægter
74
SOU, Alm.del - 2019-20 - Bilag 86: Socialstyrelsens og socialtilsynenes årsrapporter for 2018, fra social- og indenrigsministeren
2119954_0075.png
fra objektiv finansiering og tilsynstakster i lø-
bende priser samt udviklingen i procent i faste
priser. Socialtilsyn Hovedstaden fastholdt tak-
sterne fra 2016 til 2017, så de alene var pris-
talsreguleret til trods for, at der i omkostnin-
gerne i 2017 indgik en efterregulering af mer-
forbrug i 2015 på 0,7 mio. kr., hvilket blev op-
nået ved effektivisering. Fra 2017 til 2018 faldt
det samlede omkostningsniveau ligeledes, så
kommunernes samlede bidrag faldt med 0,74
mio. kr., men takststrukturen ændredes lidt.
Den nye bekendtgørelse for socialtilsyn betød,
at ca. 40 af hovedstadsområdets omkring 50
misbrugstilbud fra 2018 skulle indplaceres i en
lavere takstkategori. Opgaver og ressource-
træk i forhold til misbrugstilbuddene er uæn-
dret, hvilket blev dækket dels ved yderligere
effektivisering, dels ved en takststigning i 2018
på 2 % ud over pristalsreguleringen, hvor 85
pct. af misbrugstilbuddene imidlertid har ople-
vet et større fald i taksten på grund af skifte til
en lavere takstkategori. Socialtilsyn Hovedsta-
dens tilsynstakster for 2019 falder 1 pct. i faste
priser. Den objektive finansiering falder ligele-
des lidt med ca. 80.000 kr.
Tabel 34. Udviklingen i den objektive finansiering 2014-2019
2014 2015 2016 2017 2018 2019
Objektiv finansiering, løbende priser, mio. kr.
Ændring i forhold til året før, %, faste priser
12
18,6
17,4
-8,2 %
17,6
0%
17,6
-2,1%
17,8
-0,3%
18,1
-0,4%
12
Faste priser er ekskl. inflation og beregnes i forhold til et udgangsår. Pris- og lønudviklingen har i perioden
ligget på 1,5-2% pr. år. Til brug for budgetlægningen for 2019 var PL-skønnet 2 % fra 2018 til 2019.
75
SOU, Alm.del - 2019-20 - Bilag 86: Socialstyrelsens og socialtilsynenes årsrapporter for 2018, fra social- og indenrigsministeren
2119954_0076.png
Tabel 35. Socialtilsyn Hovedstadens takster
13
2014-2019, løbende priser
Takstkategori
Tilsynstakst, kr.
0-7 pladser
8-24 pladser
25-49 pladser
>50 pladser
Ændring ift. året før i faste pri-
ser, %
Takst skærpet tilsyn
14
, kr.
0-7 pladser
8-24 pladser
25-49 pladser
>50 pladser
Ændring ift. året før i faste pri-
ser, %
Takst nygodkendelse, kr.
0-7 pladser
8-24 pladser
25-49 pladser
>50 pladser
Ændring ift. året før i faste pri-
ser, %
23.042
27.651
46.085
69.127
22.876
27.451
45.752
68.628
-3 %
23.121
27.745
46.241
69.362
0%
23.598
28.318
47.196
70.794
0%
23.989
28.787
47.979
71.968
0%
24.468
29.362
48.936
73.404
0%
7.708
9.250
15.416
23.124
7.094
8.513
14.189
21.283
-10 %
7.170
8.604
14.340
21.510
0%
2.929
3.514
5.857
8.786
3.042
3.650
6.084
9.126
2%
3.071
3.685
6.142
9.212
-1 %
30.832
36.999
61.665
92.497
28.378
34.054
56.756
85.134
-10 %
28.680
34.417
57.361
86.041
0%
29.287
35.144
58.574
87.861
0%
30.421
36.505
60.841
91.262
2%
30.708
36.850
61.417
92.125
-1 %
2014
2015
2016
2017
2018
2019
Takst væsentlig ændring af eksisterende godkendelse, kr.
0-7 pladser
8-24 pladser
25-49 pladser
>50 pladser
Ændring ift. året før i faste pri-
ser, %
11.521
13.825
23.042
34.564
11.438
13.726
22.876
34.314
-3 %
7.261
8.714
14.523
21.784
-37 %
7.413
8.896
14.826
22.240
0%
7.536
9.043
15.072
22.609
0%
7.688
9.226
15.376
23.064
0%
13
14
Takster for skibsprojekter og tillægstakster fremgår ikke af tabellen, da de opgøres konkret og individuelt.
Skærpet tilsyn opkræves fra 2017 pga. den ændrede bekendtgørelse som 10 % af tilsynstaksten pr. påbe-
gyndt måned, fra 2014 til 2016 blev der opkrævet 25 % af tilsynstaksten pr. påbegyndt kvartal.
76
SOU, Alm.del - 2019-20 - Bilag 86: Socialstyrelsens og socialtilsynenes årsrapporter for 2018, fra social- og indenrigsministeren
2119954_0077.png
Budget og regnskab 2018
Budget og regnskab indeholder Socialtilsyn
Hovedstadens omkostninger inkl. indirekte
omkostninger. Budgettet godkendes af Kom-
munalbestyrelsen i Frederiksberg Kommune.
Budgettet danner basis for beregningen af so-
cialtilsynets takster, mens regnskabet viser
årets resultat. Eventuelle forskelle mellem
regnskab og takstbudget reguleres i socialtil-
synets takster to år efter.
Tabel 36. Budget 2018 og regnskab 2018 for Socialtilsyn Hovedstaden, 1.000 kr.
Budget 2018 Regnskab 2018 Forskel
Direkte omkostninger (løn mv.)
Indirekte omkostninger (over-
head, afskrivninger mv.)
Omkostninger i alt
Indtægter fra objektiv finansie-
ring
15
Indtægter fra tilsynstakster
Indtægter i alt
39.491
3.509
43.000
-17.799
-25.201
-43.000
40.129
3.595
43.724
-17.799
-25.925
-43.724
638
86
724
0
-724
-724
Årets resultat (netto)
0
0
0
Årsregnskabet for 2018 udviser følgende æn-
dringer ift. det budgetterede, jf. tabel 36:
Socialtilsyn Hovedstaden har haft lidt flere
indtægter fra tilsynstakster,
nygodkendelser, væsentlige ændringer
og BPA-godkendelser
Socialtilsyn Hovedstaden har haft lidt flere
direkte omkostninger, blandt andet til løn
vedrørende opgaver på BPA-området
15
Fortegnet minus er lig med indtægter eller mindre forbrug, plus er lig med udgifter eller merforbrug.
77
SOU, Alm.del - 2019-20 - Bilag 86: Socialstyrelsens og socialtilsynenes årsrapporter for 2018, fra social- og indenrigsministeren
2119954_0078.png
Tilkøbsydelser
Socialtilsyn Hovedstaden udførte ikke tilkøbs-
ydelser i 2014 og 2015. I 2016 var der indtæg-
ter og omkostninger på ca. 0,2 mio. kr., og der
var ansat ca. 1/3 årsværk ekstra for at kunne
imødekomme ønsker om tilkøb. I 2017 var der
indtægter og omkostninger på ca. 1,3 mio. kr.,
og der var ansat ca. 2 årsværk ekstra. I 2018
var der indtægter og omkostninger på ca. 0,9
mio. kr., og der var ansat ca. 1,4 årsværk eks-
tra for at kunne imødekomme efterspørgslen
på tilkøbsydelser.
Tabel 37. Tilkøbsydelser 2018
Tilkøbsydelser 2018 antal kontrakter og
indtægter, 1000 kr.
Tilsyn med tilbud
16
Skriftlig behandling af magtanvendelser
Undervisning i lov om voksenansvar
Grundkursus til plejefamilier
Kontrakter
12
1
3
16
Indtægter
751
6
17
85
I alt tilkøbsydelser
32
859
16
En kontrakt om tilsyn kan indeholde aftale om flere tilsynsbesøg.
78
SOU, Alm.del - 2019-20 - Bilag 86: Socialstyrelsens og socialtilsynenes årsrapporter for 2018, fra social- og indenrigsministeren SOU, Alm.del - 2019-20 - Bilag 86: Socialstyrelsens og socialtilsynenes årsrapporter for 2018, fra social- og indenrigsministeren
2119954_0080.png
80