Skatteudvalget 2019-20
SAU Alm.del Bilag 81
Offentligt
2115233_0001.png
Restskat i 2018: Mindst i Jyl-
land og størst i Hovedstaden
Borgere med restskat i Region Nordjylland, Midtjyl-
land og Syddanmark skulle i gennemsnit betale ca.
4.500 kr. i restskat for indkomståret 2018. Regnin-
gen lød på 5.900 kr. i Region Hovedstaden.
Borgere, der har betalt for lidt i skat i løbet af et indkomstår, skal betale restskat.
En korrekt forskudsopgørelse, der løbende bliver opdateret ved ændringer i bor-
gerens liv, er den bedste sikring mod restskat.
På landsplan havde borgerne i Region Nordjylland den mindste gennemsnitlige
restskat. Knap 80.000 borgere skulle i gennemsnit betale ca. 4.400 kr. tilbage i
skat.
Til sammenligning skulle ca. 255.000 borgere i Region Hovedstaden i gennem-
snit betale ca. 5.900 kr. i restskat. Det er en tredjedel mere end i Region Nordjyl-
land, Region Syddanmark og Region Midtjylland.
Figur 1. Gennemsnitlig restskat og personer med restskat
4.400 kr.
Gennemsnitlig restskattebetaling
I 2018 skulle borgerne i Region Nord-
jylland i gennemsnit betale ca. 4.400
kr. tilbage i skat.
Kilde: Skattestyrelsen
SAU, Alm.del - 2019-20 - Bilag 81: Publikationen – Tal og tendenser: Regional fordeling af restskat for indkomståret 2018
2115233_0002.png
Side 2
Også borgerne i Region Midtjylland, Region Syddanmark og Region Sjælland
med restskat befandt sig under landsgennemsnittet på 5.100 kr.
Andelen af borgere, der skulle betale restskat, var omkring 20 pct. i alle landets
regioner. Godt hver femte danske skatteyder skulle altså betale restskat.
I marts 2019 fik i alt 800.000 borgere i Danmark således besked om, at de
havde betalt for lidt skat i indkomståret 2018 og derfor skulle betale restskat.
Samlet skulle danskerne betale ca. 4 mia. kr. i restskat. Danskerne, med restskat
på årsopgørelsen, skulle i gennemsnit betale ca. 5.100 kr.,
jf. figur 2.
Figur 2. Fakta om danskernes restskat i 2018
Personer
Gns. restskat
Restskat
800.000
5.100 kr.
4 mia. kr.
5.100
I alt skulle ca. 800.000
danskere betale restskat
Danskerne med restskat skulle i
gennemsnit betale ca. 5.100 kr.
I alt skulle danskerne betale
ca. 4 mia. kr. tilbage i skat
Kilde: Skattestyrelsen
Skattestyrelsen har som mål, at borgerne betaler den korrekte skat til tiden. Der-
for er det også et mål at minimere det beløb, som borgerne skal betale i restskat.
For at sikre, at danskerne betaler den korrekte skat, har Skattestyrelsen blandt
andet forøget brugen af indberetninger fra såkaldte tredjeparter (fx arbejdsgi-
vere og pensionskasser) for at kunne sikre en mere korrekt skattebetaling.
I 2018 stammede 95 pct. af den samlede datamængde til dannelse af årsopgø-
relserne således fra tredjepartsindberetninger, mens kun 5 pct. kom fra borger-
nes egne indberetninger.
Endvidere sender Skattestyrelsen ændringsforslag til den enkelte borger, hvis
fradrag eller indtægter udvikler sig anderledes, end der er budgetteret med i for-
skudsopgørelsen.
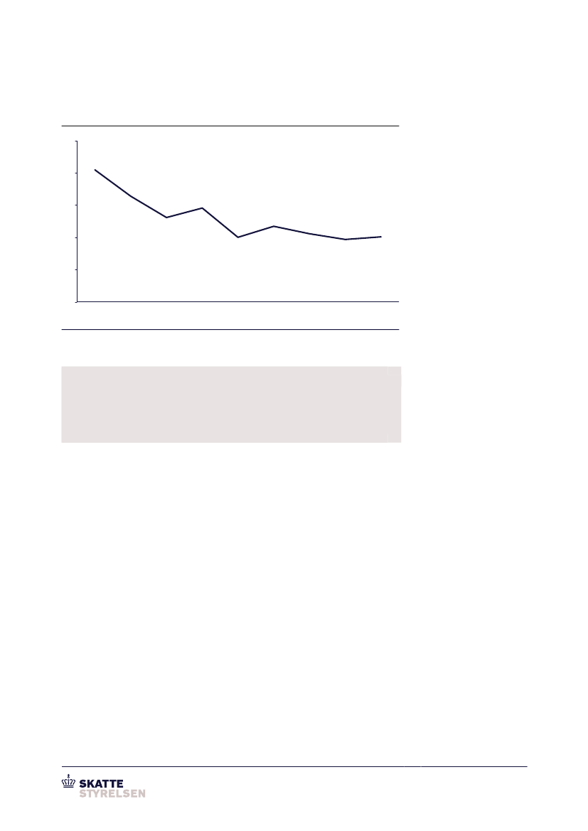
Over de seneste ti år er danskernes restskat mere end halveret fra 8,2 mia. kr. i
2010 til 4 mia. kr. i 2018,
jf. figur 3.
Antallet af personer, der skal betale restskat,
er tilsvarende også faldet. I 2010 var det 1,2 mio. borgere, der skulle betale rest-
skat, mens det i 2018 kun var tilfældet for ca. 800.000 borgere.
SAU, Alm.del - 2019-20 - Bilag 81: Publikationen – Tal og tendenser: Regional fordeling af restskat for indkomståret 2018
2115233_0003.png
Side 3
Figur 3. Restskat, 2010-2018
10
8,2 mia kr.
8
6
4 mia kr.
4
2
0
2010
2012
2014
2016
2018
Kilde: Skattestyrelsen
Sådan har vi gjort
Alle tal og data, der danner grundlag for analysen, er indhentet fra borgere med enkle skatteforhold
fx lønmod-
tagere, pensionister og SU-modtagere. Borgere med mere komplicerede skatteforhold
fx selvstændige erhvervs-
drivende og borgere med udlandsforhold
indgår ikke i analysen.
Alle beløb er omregnet til 2019-niveau.
www.sktst.dk
Skattestyrelsen er en
del af Skatteforvaltningen