Skatteudvalget 2019-20
SAU Alm.del Bilag 420
Offentligt
2242176_0001.png
September 2020
Skattestyrelsen udbetaler
638 mio. kr. i skattekreditter
Skattestyrelsen modtog i maj 631 ansøgninger fra virk-
somheder, der ønskede at fremrykke udbetalingen af skat-
tekreditter. Før 1. august blev der foretaget udbetaling af
638 mio. kr. til 622 ansøgere.
For at styrke likviditeten under coronakrisen havde virksomheder gennem en ti-dages peri-
ode fra den 5. maj til den 15. maj 2020 mulighed for at søge om at få fremrykket udbetalin-
gen af såkaldte skattekreditter for indkomståret 2019 til juni 2020. Disse ville ellers normalt
blive udbetalt i november 2020.
Skattekreditordningen har eksisteret siden 2012 og giver virksomheder mulighed for at få
refunderet skatteværdien af den del af deres underskud, som stammer fra forsknings- og
udviklingsaktiviteter. Til gengæld nedsættes årets underskud med det beløb, som modsva-
res af skattekreditten. Dermed tilfører skattekreditten likviditet og kan medvirke til at un-
derstøtte investeringer i virksomhedernes forskning og udvikling.
Udbetalingen af skattekreditterne sker normalt sidst på året i forbindelse med opgørelsen af
slutskatten for det foregående indkomstår. Men for at afhjælpe de likviditetsproblemer,
som mange virksomheder har oplevet under coronakrisen, besluttede Folketinget at frem-
rykke udbetalingerne.
Skattestyrelsen har i løbet af ansøgningsperioden modtaget 631 ansøgninger fra virksomhe-
der om fremrykket udbetaling af skattekreditter for i alt 663 mio. kr. Efter at have færdigbe-
handlet 622 ansøgninger udbetalte Skattestyrelsen i sommermånederne ca. 638 mio. kr. til
virksomhederne.
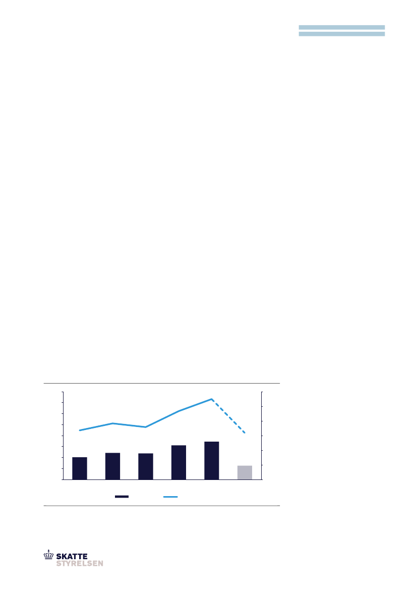
Figur 1. Antal ansøgninger om skattekreditter og udbetalte beløb, indkomstår 2014-2019
4.000
3.500
3.000
2.500
2.000
1.500
1.016
1.000
500
0
2014
2015
2016
Antal ansøgninger
2017
2018
2019
1.209
1.188
631
200
0
672
767
935
1.100
1.200
1.000
800
600
400
638mio.
Godkendte skattekreditter
Skattestyrelsen har godkendt udbetalingen
af 638 mio. kr. i skattekreditter til virksomhe-
der.
717
638
1.723
1.560
Udbetalinger (mio. kr.)
Kilde: Skattestyrelsen.
SAU, Alm.del - 2019-20 - Bilag 420: Publikationen vedr. virksomheders anvendelse af muligheden for at fremrykke udbetalingen af skattekreditter for indkomståret 2019 fra november til juni 2020, fra skatteministeren
2242176_0002.png
Side 2
Skattestyrelsen arbejder fortsat på at færdigbehandle de få resterende ansøgninger. Skatte-
kreditterne vil blive udbetalt i takt med, at ansøgningerne bliver færdigbehandlet.
De virksomheder, der ikke har ønsket at få fremrykket deres udbetaling af skattekreditter,
vil fortsat kunne søge om udbetaling i november efter de almindelige regler. Antallet af virk-
somheder, der ønsker at ansøge om at få udbetalt skatteværdien af deres underskud fra
forsknings- og udviklingsaktiviteter sidste år, forventes således at stige med yderigere ca.
1.000 virksomheder til november 2020. Herved forventes det samlede antal udbetalinger at
flugte med niveauet for 2017 og 2018,
jf. figur 1.
Virksomhederne kan maksimalt få udbetalt skatteværdien af 25 mio. kr. Ved en selskabs-
skattesats på 22 pct. svarer det til, at en virksomhed kan få udbetalt op til ca. 5,5 mio. kr. år-
ligt.
Ansøgninger kontrolleres
Før udbetalingen af de enkelte skattekreditter har Skattestyrelsen foretaget en screening af
ansøgningerne for at identificere eventuelle svigsmønstre. Hvis den indledende kontrol indi-
kerer, at der er tale om svig, udtages virksomheden til nærmere kontrol og sagsbehandling.
Skattestyrelsen har udtaget et mindre antal ansøgninger til nærmere kontrol på grund af be-
skrivelsen af udviklings- eller forskningsprojektet, der er skitseret i ansøgningen - eller fordi
der er mangler i ansøgningen.
Når virksomhedernes oplysningsskemaer indsendes senere på året, vil Skattestyrelsen yder-
mere kontrollere og sammenholde de oplyste udgifter til forsknings- og udviklingstiltag
med de oplysninger, som er fremgået af ansøgningerne, der blev indsendt i maj.
Figur 2. Status pr. 1/8 efter fremrykket udbetaling af skattekreditter
Kilde: Skattestyrelsen.
www.sktst.dk
Skattestyrelsen er en
del af Skatteforvaltningen