Skatteudvalget 2019-20
SAU Alm.del Bilag 364
Offentligt
2212951_0001.png
RAPPORT
Marts 2020
Danskernes gæld
[Undertitel]
SAU, Alm.del - 2019-20 - Bilag 364: Publikation fra Gældsstyrelsen om analyse om danskernes gæld juni 2020
Danskernes gæld
Side 1
Indholdsfortegnelse
Indledning ............................................................................................................................ 2
1.
1.1
1.1.1
1.2
1.2.1
1.3
1.4
1.4.1
Nøgletal om danskernes gæld ......................................................................... 4
Gældsinddrivelsen er på det højeste niveau siden 2013 ................................... 5
Vigtige værktøjer øger inddrivelsesprovenuet ........................................................ 5
Tilgangen af gæld overstiger danskernes afbetaling ......................................... 8
Gælden fordelt på offentlige kreditorer ..................................................................... 9
Den samlede gæld til det offentlige stiger ............................................................. 11
Gældens fordeling i Danmark ..................................................................................... 12
Skyldnerlandkort ............................................................................................................... 13
2.
Gældens sammensætning og inddrivelsespotentiale............................14
2.1
Gældens sammensætning............................................................................................ 15
2.1.1 Gældens reelle værdi ...................................................................................................... 16
2.1.2 Hver tredje skyldner i Danmark kan ikke omfattes af fuld
gældsinddrivelse............................................................................................................... 18
2.2
Gældens inddrivelsespotentiale ................................................................................ 19
2.2.1 Skyldneres karakteristika .............................................................................................. 21
SAU, Alm.del - 2019-20 - Bilag 364: Publikation fra Gældsstyrelsen om analyse om danskernes gæld juni 2020
Danskernes gæld
Side 2
Indledning
Over 1 million danskere har i dag gæld til det offentlige. Det svarer til, at omkring
hver femte dansker skylder penge til fællesskabet for blandt andet ubetalte skat-
ter, afgifter og bøder.
Den samlede gæld til det offentlige er tilsvarende steget gennem en længere år-
række. Udviklingen skyldes særligt, at borgere og virksomheder i stort omfang
stifter ny gæld, og at gælden akkumuleres på grund af løbende rentetilskrivning.
Samtidig begrænser de gældende regler Gældsstyrelsens muligheder for at ind-
drive gæld fra en stor gruppe af skyldnere.
Udviklingen i den samlede gæld skal også ses i sammenhæng med, at gældsind-
drivelsen har været kraftigt udfordret, siden den automatiserede gældsinddri-
velse, via det nu nedlukkede it-system EFI, blev suspenderet i efteråret 2015.
Gældsområdet har siden været under omfattende genopretning.
Det er en kerneopgave i Skatteforvaltningen at inddrive gæld på vegne af hund-
redvis af offentlige kreditorer fra både stat, kommuner og offentlige virksomhe-
der. Gældsstyrelsen blev således oprettet den 1. juli 2018 som én af de syv spe-
cialiserede styrelser i Skatteforvaltningen, der erstatter det tidligere SKAT.
Gældsstyrelsen har ansvaret for at inddrive borgere og virksomheders gæld til
det offentlige.
I
Danskernes gæld
præsenteres en række nøgletal om borgere og virksomhe-
ders gæld til det offentlige. Nøgletallene omfatter det samlede inddrivelsespro-
venu nedbrudt på Gældsstyrelsens centrale indsatser, til- og afgangen i gælds-
poster, overblik over gælden til stat, kommuner og offentlige virksomheder samt
værdien af den samlede gæld til det offentlige.
Danskernes gæld
er en årligt tilbagevendende publikation, der sætter fokus på
borgere og virksomheders gæld til det offentlige samt et udvalgt tema.
I denne publikation sættes særskilt fokus på mønstre i danskernes gæld til det
offentlige, herunder gældens værdi og inddrivelsespotentiale samt gældens
sammensætning fordelt på skyldnertyper.
SAU, Alm.del - 2019-20 - Bilag 364: Publikation fra Gældsstyrelsen om analyse om danskernes gæld juni 2020
2212951_0004.png
Danskernes gæld
Side 3
SAU, Alm.del - 2019-20 - Bilag 364: Publikation fra Gældsstyrelsen om analyse om danskernes gæld juni 2020
2212951_0005.png
Danskernes gæld
Side 4
Nøgletal om
danskernes gæld
1
SAU, Alm.del - 2019-20 - Bilag 364: Publikation fra Gældsstyrelsen om analyse om danskernes gæld juni 2020
2212951_0006.png
Danskernes gæld
Side 5
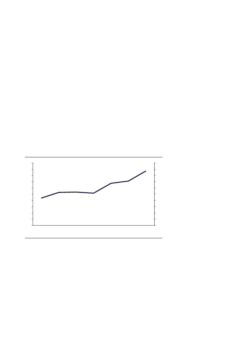
1.1 Gældsinddrivelsen er på det højeste niveau
siden 2013
Inddrivelsen af gæld til det offentlige er steget gennem en længere årrække. I
2019 inddrev Gældsstyrelsen ca. 8,7 mia. kr. af borgere og virksomheders gæld
til det offentlige. Det svarer til, at der i gennemsnit blev inddrevet 725 mio. kr.
hver måned i ubetalte skatter, afgifter, bøder mv.
Inddrivelsesprovenuet i 2019 er det højeste siden 2013, hvor der til sammenlig-
ning blev inddrevet ca. 4,4 mia. kr. Samtidig er det en væsentlig forøgelse siden
2015, hvor inddrivelsen af gæld var understøttet af det nu nedlukkede it-system
EFI, og hvor der i alt blev inddrevet ca. 5,3 mia. kr.,
jf. figur 1.
Stigningen i inddrivelsesprovenuet siden 2015 skyldes særligt genetableringen
af afgørende inddrivelsesværktøjer, som understøtter den automatiserede ind-
drivelse af gæld. Derudover har Gældsstyrelsen i 2019 for alvor taget det nye
gældsinddrivelsessystem, PSRM, i brug.
Langt hovedparten af gælden ligger i det midlertidige gældsinddrivelsessystem,
DMI. Derfor inddrives hovedparten af provenuet også herfra. I 2019 er 8,2 mia.
kr. inddrevet via DMI og 0,6 mia. kr. via det nye gældsinddrivelsessystem, PSRM.
Figur 1. Udviklingen i inddrivelsesprovenu fra 2013-2019, mia. kr.
10
9
8
7
6
5
4
3
2
1
0
2013
2014
2015
2016
2017
2018
2019
4,4
5,3
5,3
5,2
6,7
7,1
8,7
10
9
8
7
6
5
4
3
2
1
0
8,7 mia.
Inddrivelsesprovenu
Inddrivelsesprovenuet i 2019 er på
8,7 mia. kr. Det er en stigning på 1,6
mia. kr. i forhold til 2018.
Kilde: Gældsstyrelsen.
1.1.1
Vigtige værktøjer øger inddrivelsesprovenuet
Gældsstyrelsen har en række vigtige værktøjer til rådighed for at kunne inddrive
gælden til det offentlige effektivt og lovligt. Flere værktøjer sikrer, at skyldnerne
først får penge i hånden, når der er afdraget på gælden, fx ved lønindeholdelse
og modregning i udbetalinger fra offentlige myndigheder.
SAU, Alm.del - 2019-20 - Bilag 364: Publikation fra Gældsstyrelsen om analyse om danskernes gæld juni 2020
2212951_0007.png
Danskernes gæld
Side 6
Figur 2. Resultat af centrale indsatser
Kilde: Gældsstyrelsen.
Lønindeholdelse tages i brug igen
Gældsstyrelsen har med udviklingen af det nye gældsinddrivelsessystem, PSRM,
igen mulighed for at indeholde en procentdel af skyldners løn til at nedbringe
gælden. Lønindeholdelse er således et af de mest effektive inddrivelsesværktø-
jer over for skyldnere i arbejde.
I 2019 inddrev Gældsstyrelsen ca. 360 mio. kr. via lønindeholdelse i det nye
gældsinddrivelsessystem, og der blev udsendt knap 150.000 varsler om lønin-
deholdelse til skyldnere med en samlet gæld på mere end 1 mia. kr. Lønindehol-
delse vil i stigende grad blive anvendt, i takt med at stadig flere offentlige kredi-
torer bliver tilsluttet det nye gældsinddrivelsessystem og dermed indsender
gældsposter til it-systemet.
Rykkerindsats
Gældsstyrelsen igangsatte i 2019 den største rykkerindsats i nyere tid rettet mod
borgere og virksomheder, der har gæld til det offentlige. Formålet er at få bor-
gere og virksomheder til at afvikle deres gæld.
I sommeren 2019 udsendte Gældsstyrelsen således de første ca. 75.000 ryk-
kere til skyldnere. Og i begyndelsen af november 2019 intensiverede Gældssty-
relsen indsatsen ved at påbegynde udsendelsen af yderligere ca. 490.000 ryk-
kerbreve til borgere og virksomheder. Udsendelsen af rykkere indbragte i 2019
et samlet provenu på ca. 370 mio. kr. og medførte samtidig, at ca. 11.000 skyld-
nere blev gældfri.
Modregning i udbetalinger fra myndigheder
Gældsstyrelsen modregner gæld i udbetalinger fra offentlige myndigheder som
fx overskydende skat og børne- og ungeydelse. Det betyder, at udbetalinger bli-
ver tilbageholdt og brugt til at betale hele eller dele af en skyldners gæld til det
offentlige i stedet for at blive udbetalt.
SAU, Alm.del - 2019-20 - Bilag 364: Publikation fra Gældsstyrelsen om analyse om danskernes gæld juni 2020
Danskernes gæld
Side 7
Modregning er et af de mest effektive værktøjer, Gældsstyrelsen har til rådighed.
I 2019 inddrev Gældsstyrelsen ca.
3,3 mia.
kr. af gælden til det offentlige gen-
nem modregning. Heraf udgjorde modregning af gæld i overskydende skat langt
den største post på ca. 2,8 mia. kr.
Indsats over for virksomheder med stor gæld
Gældsstyrelsen har iværksat en målrettet indsats over for selskaber og enkelt-
mandsvirksomheder med stor gæld til det offentlige. I 2019 blev der inddrevet
ca. 3,4 mia. kr. af virksomhedernes gæld, hvilket er mere end en firdobling af de
ca. 800 mio. kr., som blev inddrevet i 2016, hvor indsatsen blev iværksat.
Provenuet er opnået ved at foretage udlæg i virksomheders værdier og iværk-
sætte kortvarige afdragsordninger. Derudover er der indledt konkursbehandling
af virksomheder, der enten er uden eller ikke har tilstrækkelige aktiver til at
dække gælden til det offentlige og derfor har ringe chance for at overleve.
Den tidlige indsats over for virksomheder, der har gæld under inddrivelse, er
særlig vigtig af to årsager. For det første er det meget vanskeligt at få dækket
gælden, når først en virksomhed er gået konkurs, da der typisk er meget få eller
ingen aktiver tilbage. For det andet udgør virksomheder den gruppe af skyld-
nere, hvor gælden oparbejdes hurtigst. Derfor har den tidlige indsats også til for-
mål at minimere risikoen for tab til det offentlige ved at bremse virksomheder i at
stifte yderligere gæld til det offentlige, som ikke har udsigt til at blive tilbagebe-
talt.
SAU, Alm.del - 2019-20 - Bilag 364: Publikation fra Gældsstyrelsen om analyse om danskernes gæld juni 2020
2212951_0009.png
Danskernes gæld
Side 8
1.2 Tilgangen af gæld overstiger danskernes
afbetaling
Den årlige tilgang af gæld overstiger den årlige afgang. Det er ikke holdbart i for-
hold til at nedbringe den samlede gæld til det offentlige.
Tilgangen af ny gæld har gennem de seneste fire år været nogenlunde konstant. I
2016 var tilgangen således ca. 32,7 mia. kr. og i 2019 ca. 34,2 mia. kr. Afgangen
var i 2019 på ca. 23,5 mia. kr.,
jf. figur 3.
Dermed er nettotilgangen i 2019 på ca.
10,7 mia. kr., hvilket bringer den samlede stigning i gælden op på ca. 46,3 mia. kr.
i løbet af blot fire år.
Figur 3. Til- og afgang i gælden fra 2016-2019, mia. kr.
Kilde: Gældsstyrelsen.
Særligt stiftelse af ny gæld og rentetilskrivning driver tilgangen og dermed også
gældsudviklingen. I 2019 blev der stiftet gæld for ca. 27,6 mia. kr. samtidig med,
at der løb ca. 6,6 mia. kr. på i renter.
Afgangen på ca. 23,5 mia. kr. i 2019 fordeler sig mellem inddrivelsesprovenu, af-
skrivninger og korrektioner grundet indbetalinger direkte til kreditor. Korrektioner
sker i de tilfælde, hvor skyldnere indbetaler deres gæld direkte til kreditorer som
fx Skattestyrelsen, Udbetaling Danmark og DR, selvom gælden er sendt til inddri-
velse i Gældsstyrelsen. På den baggrund nedskriver kreditorerne gælden hos
Gældsstyrelsen.
Fordelingen af tilgangen af nye gældsposter
Tilgangen af nye gældsposter stammer særligt fra skatter og afgifter, der over-
sendes til inddrivelse af Skattestyrelsen. I 2019 beløb det sig til 22,3 mia. kr. af de
27,6 mia. kr.,
jf. figur 4.
Det er særligt moms, personskatter og selskabsskat, hvor
skyldnerne misligholder deres betalingsforpligtigelse på et eller flere krav.
SAU, Alm.del - 2019-20 - Bilag 364: Publikation fra Gældsstyrelsen om analyse om danskernes gæld juni 2020
2212951_0010.png
Danskernes gæld
Side 9
Figur 4. Nye gældsposter stiftet i 2019 fordelt på top-5 gældstyper, mia. kr.
1,7
1,7
Moms
8,0
A-skat
Restskat
3,0
Selskabsskat
B-skat
3,9
Kilde: Gældsstyrelsen.
Hvordan gælden til det offentlige opstår
Flere hundrede offentlige kreditorer kan oversende gæld til inddrivelse i Gælds-
styrelsen. Krav opstår, når en person eller virksomhed anmodes om at betale et
udestående. Det kan fx være krav fra Skattestyrelsen, Udbetaling Danmark eller
kommunerne.
Hvis betalingsfristen overskrides, forsøger kreditorerne først at opkræve kravet,
typisk gennem skriftlige rykkere eller telefonisk kontakt. Herudover har kredito-
rerne også mulighed for at indgå frivillige betalingsaftaler med skyldnere.
Mislykkes kreditor med opkrævningen af kravet, oversendes det til Gældsstyrel-
sen. Med oversendelsen til Gældsstyrelsen overgår kravet til inddrivelse. Gælds-
styrelsen har som offentlig inddrivelsesmyndighed en række ekstra beføjelser og
værktøjer til at inddrive gælden - også gennem tvang. Det gælder blandt andet
modregning, lønindeholdelse og udlæg i aktiver.
1.2.1
Gælden fordelt på offentlige kreditorer
Ud af den samlede gæld på ca. 129 mia. kr. ved udgangen af 2019 kan langt ho-
vedparten af gælden, svarende til ca. 85 mia. kr., henføres til Skatteforvaltningen.
Den resterende gæld skyldes primært anden statslig gæld, fx SU-gæld, politibøder
og underholdsbidrag. Det er en mindre del af gælden, som kan henføres til kom-
munerne og andre offentlige virksomheder som eksempelvis forsyningsselska-
ber,
jf. figur 5.
SAU, Alm.del - 2019-20 - Bilag 364: Publikation fra Gældsstyrelsen om analyse om danskernes gæld juni 2020
2212951_0011.png
Danskernes gæld
Side 10
Figur 5. Fordeling af gælden ultimo 2019, mia. kr.
4,4 2,8
36,6
Skatter og afgifter
Øvrig statslig gæld
Kommunal gæld
Andre offentlige virksomheder
85
Kilde: Gældsstyrelsen.
De ca.
600
kreditorer kan inddeles i 4 hovedgrupper på baggrund af den sektor,
som deres krav vedrører,
jf. boks 1.
Boks 1. Overordnet kategorisering af offentlige kreditorer og gældstyper
Skatter og afgifter
85,0 mia. kr.
-
Moms
-
Selskabsskat
-
Restskat
-
A-skat
Kommuner
4,4 mia. kr.
-
Boligstøtte
-
Kontanthjælp
Øvrig statslig gæld
36,6 mia. kr.
-
Underholdsbidrag
-
SU-gæld
-
Politibøder
-
P-afgifter
Andre offentlige virksomheder
2,8 mia. kr.
-
DR-licens
-
Togbøder
SAU, Alm.del - 2019-20 - Bilag 364: Publikation fra Gældsstyrelsen om analyse om danskernes gæld juni 2020
2212951_0012.png
Danskernes gæld
Side 11
1.3 Den samlede gæld til det offentlige stiger
Borgere og virksomheders samlede gæld til det offentlige er steget gennem en
længere årrække. Udviklingen skyldes som nævnt særligt, at danskerne i stort
omfang stifter ny gæld, samtidig med at gælden akkumulerer på grund af lø-
bende rentetilskrivning. Den samlede gæld til det offentlige var ved udgangen af
2019 ca. 129 mia. kr.,
jf. figur 6.
Gælden til det offentlige bliver også opgjort i en kursværdi. Kursværdien tager
højde for Gældsstyrelsens mulighed for at inddrive gælden efter gældende reg-
ler, og giver dermed et mere retvisende billede af gældens aktuelle værdi.
Mange borgere og virksomheder afdrager ikke på deres gæld. Det skyldes
blandt andet, at Gældsstyrelsen har begrænsede muligheder for at inddrive gæl-
den hos en lang række borgere. Disse borgere har en nettoindkomst under den i
medfør af lov fastsatte grænse for, hvornår de kan underlægges bestemte for-
mer for inddrivelse
den såkaldte lavindkomstgrænse. Dertil kommer, at nogle
virksomheder er gået konkurs.
Gældens samlede kursværdi udgjorde ved udgangen af 2019 ca. 28 mia. kr.,
svarende til en kurs på 21,8 pct.,
jf. figur 6.
Gældens reelle værdi er nærmere be-
skrevet i kapitel 2.
Figur 6. Den samlede gæld til det offentlige, nominel værdi og kursværdi
Kilde: Gældsstyrelsen.
SAU, Alm.del - 2019-20 - Bilag 364: Publikation fra Gældsstyrelsen om analyse om danskernes gæld juni 2020
2212951_0013.png
Danskernes gæld
Side 12
1.4 Gældens fordeling i Danmark
Over 1 million personer har gæld til det offentlige. Det svarer til, at omkring hver
femte dansker skylder penge til fællesskabet for blandt andet ubetalte skatter, af-
gifter og bøder.
Der er stor forskel på skyldnernes gældssituation, og derfor varierer størrelsen på
deres gæld til det offentlige også fra få kroner til store millionbeløb,
jf. figur 7.
Figur 7. Antal personskyldnere fordelt efter størrelsen på deres gæld
200.000
180.000
160.000
140.000
120.000
100.000
80.000
60.000
40.000
20.000
0
200.000
180.000
160.000
140.000
120.000
100.000
80.000
60.000
40.000
20.000
0
Kilde: Gældsstyrelsen.
Et stort antal danskere har en lav gæld. Næsten 170.000 personer skylder under
200 kr., og næsten 325.000 skyldnere har gæld for under 1.000 kr. Det vil sige,
at omkring 30 pct. af personerne med gæld til det offentlige tilsammen skylder
ca. 0,1 mia. kr. Det svarer til ca. én promille af den samlede gæld.
Op imod en tredjedel af personskyldnerne har dermed relativt gode muligheder
for at blive gældfri på kort tid. En del af forklaringen på, at der er så mange små-
skyldnere, kan være, at de ganske enkelt ikke har været opmærksomme på, at
deres ubetalte regninger er blevet sendt til inddrivelse hos Gældsstyrelsen. Sty-
relsens udsendelse af op imod 565.000 rykkerbreve skal blandt andet ses i for-
længelse heraf.
Samtidig er der ca. 17.000 skyldnere, som alle skylder over 1 mio. kr., og som
samlet set har en gæld på knap 50 mia. kr. Disse skyldnere har typisk en lang
række gældsposter under inddrivelse og forventes ikke at kunne blive gældfri i
løbet af deres levetid. I en række tilfælde som følge af en stor gæld og begræn-
set indkomst.
Omkring 110.000 skyldnere har gæld på over 200.000 kr. De skylder tilsammen
ca. 85 mia. kr. Det betyder med andre ord, at ca. 10 pct. af skyldnerne har stiftet
over 80 pct. af den personrelaterede gæld til det offentlige.
325.000
Begrænset gæld
Knap en tredjedel af personskyld-
nerne har en gæld på under 1.000 kr.
SAU, Alm.del - 2019-20 - Bilag 364: Publikation fra Gældsstyrelsen om analyse om danskernes gæld juni 2020
2212951_0014.png
Danskernes gæld
Side 13
1.4.1
Skyldnerlandkort
Danskere med gæld til det offentlige fordeler sig på tværs af hele landet. Den gen-
nemsnitlige gæld pr. personskyldner er på landsplan ca. 100.000 kr.
Der er en tendens til, at den gennemsnitlige gæld pr. personskyldner er størst i
Østdanmark. Det fremgår således, at Vest- og Sydsjælland, Københavns Omegn
og Nordsjælland ligger højest med en gennemsnitlig gæld på ca. 123.000 kr. pr.
skyldner,
jf. figur 8.
Herudover er ca. 150.000 skyldnere enten udrejst af Danmark, døde eller kan ikke
lokaliseres af Gældsstyrelsen.
Figur 8. Geografisk oversigt: Fordelingen af den gennemsnitlige nominelle gæld pr. personskyldner og antallet af skyldnere
Kilde: Gældsstyrelsen.
SAU, Alm.del - 2019-20 - Bilag 364: Publikation fra Gældsstyrelsen om analyse om danskernes gæld juni 2020
2212951_0015.png
Danskernes gæld
Side 14
Gældens sammensætning
og inddrivelsespotentiale
2
SAU, Alm.del - 2019-20 - Bilag 364: Publikation fra Gældsstyrelsen om analyse om danskernes gæld juni 2020
2212951_0016.png
Danskernes gæld
Side 15
2.1 Gældens sammensætning
Over 1 million personer skyldte ved udgangen af 2019 i alt godt 100 mia. kr. til
fællesskabet,
jf. figur 9.
Den resterende del af gælden skyldes af virksomheder.
Det svarer til, at hver femte dansker har gæld til det offentlige. På landsplan skyl-
der disse danskere dermed i gennemsnit 100.000 kr. i ubetalte skatter, afgifter,
bøder mv.
Bag gennemsnittet gemmer der sig store forskelle i personskyldnernes gæld.
Skyldnerne kommer fra alle samfundslag. Nogle har alene én eller få gældspo-
ster, fx på grund af en parkeringsbøde, mens andre fx har gæld for flere millioner
kroner fra en konkurs med en personligt ejet virksomhed.
Nogle danskere har en høj indkomst og har derfor mulighed for løbende at ned-
bringe deres gæld. Andre har så lav eller ingen indkomst, at Gældsstyrelsen efter
gældende regler har begrænsede muligheder for at inddrive deres gæld. Som
en konsekvens stiger gælden på grund af rentetilskrivning, ligesom skyldnerne
typisk også stifter ny gæld.
Som følge af de nuværende regler på området har Gældsstyrelsen begrænsede
inddrivelsesmuligheder over for knap en tredjedel af den ene million person-
skyldnere, da disse skyldneres nettoindkomst er under den såkaldte lavind-
komstgrænse. Gælden fra disse skyldnere kan alene inddrives ved brug af be-
stemte værktøjer.
Skyldnerne kan fx blive genstand for udlæg, hvis de har aktiver, ligesom de også
kan få modregnet deres gæld i overskydende skat og visse andre offentlige ud-
betalinger. Endelig er det for denne gruppe også muligt at lave frivillige afdrags-
ordninger.
Hvis gælden udgøres af særlige gældsposter, fx p-afgifter, DR-licens, togbøder
og lignende, kan der foretages såkaldt særskilt lønindeholdelse, som giver
Gældsstyrelsen mulighed for at trække 400 kr. pr. måned af skyldners løn.
Figur 9. Overblik over antal personskyldnere og deres gæld til det offentlige
Kilde: Gældsstyrelsen.
SAU, Alm.del - 2019-20 - Bilag 364: Publikation fra Gældsstyrelsen om analyse om danskernes gæld juni 2020
2212951_0017.png
Danskernes gæld
Side 16
2.1.1
Gældens reelle værdi
En række strukturelle vilkår indebærer, at gældens udvikling er stigende og fortsat
forventes at stige i de kommende år. Danskernes mulighed for at afdrage på gæld
afhænger af deres nettoindkomst, eventuelle aktiver og gældens størrelse. En af
hovedårsagerne til den stigende gæld er, at Gældsstyrelsens muligheder for at
inddrive gæld er begrænsede hos en stor gruppe skyldnere. Det har betydning for
gældens reelle værdi.
En stor nominel gæld kan have en væsentlig lavere kursværdi, hvis skyldnerens
indkomst ligger under den lavindkomstgrænse, der er fastsat i medfør af lov. Til-
svarende kan en stor nominel gæld have en lavere kursværdi, hvis skyldneren
har en høj alder og dermed få år til at tilbagebetale gælden.
Det er væsentligt at understrege, at kursværdien giver et øjebliksbillede af gæl-
dens reelle værdi baseret på gældende regler. Den er ikke udtryk for, at Gælds-
styrelsen har afskrevet eller opgivet at inddrive gælden. Gælden vil blive forsøgt
inddrevet, og hvis skyldnerens økonomiske situation ændrer sig, kan en større
del af gælden inddrives. Kursværdiansættelsen er således hverken et udtryk for
et tab eller en afskrivning,
jf. boks 2.
Boks 2. Kursværdimodellen
Kursværdimodellen er udarbejdet af PwC for Skatteministeriet med det formål at
værdiansætte og beregne gældens reelle værdi baseret på gældende regler. Mo-
dellen antager, at alle gældsposter er gyldige og dækningsparate. Derudover base-
rer den sig på følgende:
- en 20-årig inddrivelsesperiode med et aldersloft svarende til pensionsalde-
ren
- en diskonteringsrente på 4,5 pct.
-
en inddrivelsesrente på 8 pct.
Hvem skal betale
Der er i medfør af lov fastsat en lavindkomstgrænse, som betyder, at skyldnere
med en nettoindkomst på kontanthjælpsniveau eller derunder, under hensynta-
gen til forsørgerpligt, som udgangspunkt hverken kan blive pålagt en afdragsord-
ning eller blive sat i almindelig lønindeholdelse.
Konkret medfører det, at en borger, der ikke har forsørgerpligt i 2020, skal have
en årlig nettoindkomst på mindst 121.040 kr., før der kan fastsættes en afdrags-
ordning eller foretages almindelig lønindeholdelse,
jf. boks 3.
Boks 3. Regler for lavindkomstgrænsen
Gældsstyrelsen har til opgave at inddrive borgere og virksomheders gæld. Gælds-
styrelsen har begrænsede muligheder for at benytte bestemte inddrivelsesværktø-
jer, hvis skyldneren har en nettoindkomst, der er under lavindkomstgrænsen.
Efter gældende regler er en skyldners nettoindkomst under lavindkomstgrænsen,
og er dermed friholdt fra almindelig lønindeholdelse og en tvungen afdragsordning,
hvis:
-
-
Skyldner er uden forsørgerpligt og har en årlig nettoindkomst under 121.040
kr. (2020)
Skyldner har forsørgerpligt og samtidig har en årlig nettoindkomst under
150.940 kr. (2020)
Nettoindkomst er en skyldners bruttoindkomst inkl. kapitalindkomst fratrukket AM-
bidrag, A-skat, ATP-bidrag og arbejdsgiverens indbetaling til pension. Opgørelsen
SAU, Alm.del - 2019-20 - Bilag 364: Publikation fra Gældsstyrelsen om analyse om danskernes gæld juni 2020
2212951_0018.png
Danskernes gæld
Side 17
indeholder dermed ikke boligstøtte, børne- og ungeydelse og lignende typer af
skattefrie ydelser.
Gældsstyrelsens inddrivelse, herunder anvendelse af tvangsinddrivelsesskridt, skal
varetages inden for rammerne af gældsinddrivelsesloven, forældelseslovgivningen
og retsplejeloven m.fl. med fokus på borgernes og virksomhedernes retssikkerhed
og en ensartet sagsbehandling.
Gældsstyrelsen har kun mulighed for at anvende lønindeholdelse i det nye inddri-
velsessystem, PSRM.
Hvor meget skal man betale
Gældsstyrelsen beregner automatisk den afdragsprocent, der skal anvendes i
forbindelse med fastsættelsen af det beløb, der månedligt skal betales via en af-
dragsordning eller lønindeholdelse for skyldner. Det sker ud fra en såkaldt tabel-
trækmetode, der tager højde for skyldners nettoindkomst under hensyntagen til
reglerne for forsørgerpligt. Afdragsprocenterne stiger således i takt med skyld-
nernes nettoindkomst og ligger i intervallet 4-40 pct.,
jf. figur 10.
Figur 10. Eksempler på satser for afdragsordninger
Kilde: Gældsstyrelsen.
Anm.: Eksemplerne er illustrative for afdragsordninger og viser den afdragsprocent, som anvendes ved brug af tabeltrækmetoden. Ved lønindeholdelse vil
afdragsprocenten indgå i beregningen af den ekstra trækprocent, som anvendes ved indeholdelse i skyldnerens løn.
Gældsstyrelsen foretager en konkret betalingsevnevurdering, hvis skyldner an-
moder herom. I modsætning til tabeltrækmetoden foretages en konkret beta-
lingsevnevurdering ud fra skyldnerens faktiske forhold, hvor der fx ses på skyld-
ners faktiske udgifter til bolig, medicin og ydelser på anden gæld, der kan med-
føre en lavere lønindeholdelsesprocent eller afdragsbeløb. Det kan i visse til-
fælde også føre til, at lønindeholdelsesprocenten eller afdragsbeløbet bliver hø-
jere end oprindeligt fastsat.
Der kan også være tilfælde, hvor der i forbindelse med en konkret betalingsevne-
vurdering foreligger særlige forhold som fx en meget høj samlet indkomst i hus-
standen. Her vil det kunne føre til, at der årligt afdrages eller lønindeholdes et be-
løb, der udgør mere end 40 pct. af nettoindkomsten, fordi alene rimelige bolig-
udgifter mv. kan fratrækkes i betalingsevnevurderingen. Denne rimelighedsvur-
dering er i princippet den samme for alle skyldnere, dvs. uden hensyntagen til
dyre vaner.
Konkrete betalingsevnevurderinger er ressourcekrævende for Gældsstyrelsen,
da de kræver manuel sagsbehandling. Tabeltrækmetoden er derimod systemun-
derstøttet i det nye inddrivelsessystem, PSRM.
SAU, Alm.del - 2019-20 - Bilag 364: Publikation fra Gældsstyrelsen om analyse om danskernes gæld juni 2020
2212951_0019.png
Danskernes gæld
Side 18
2.1.2
Hver tredje skyldner i Danmark kan ikke omfattes
af fuld gældsinddrivelse
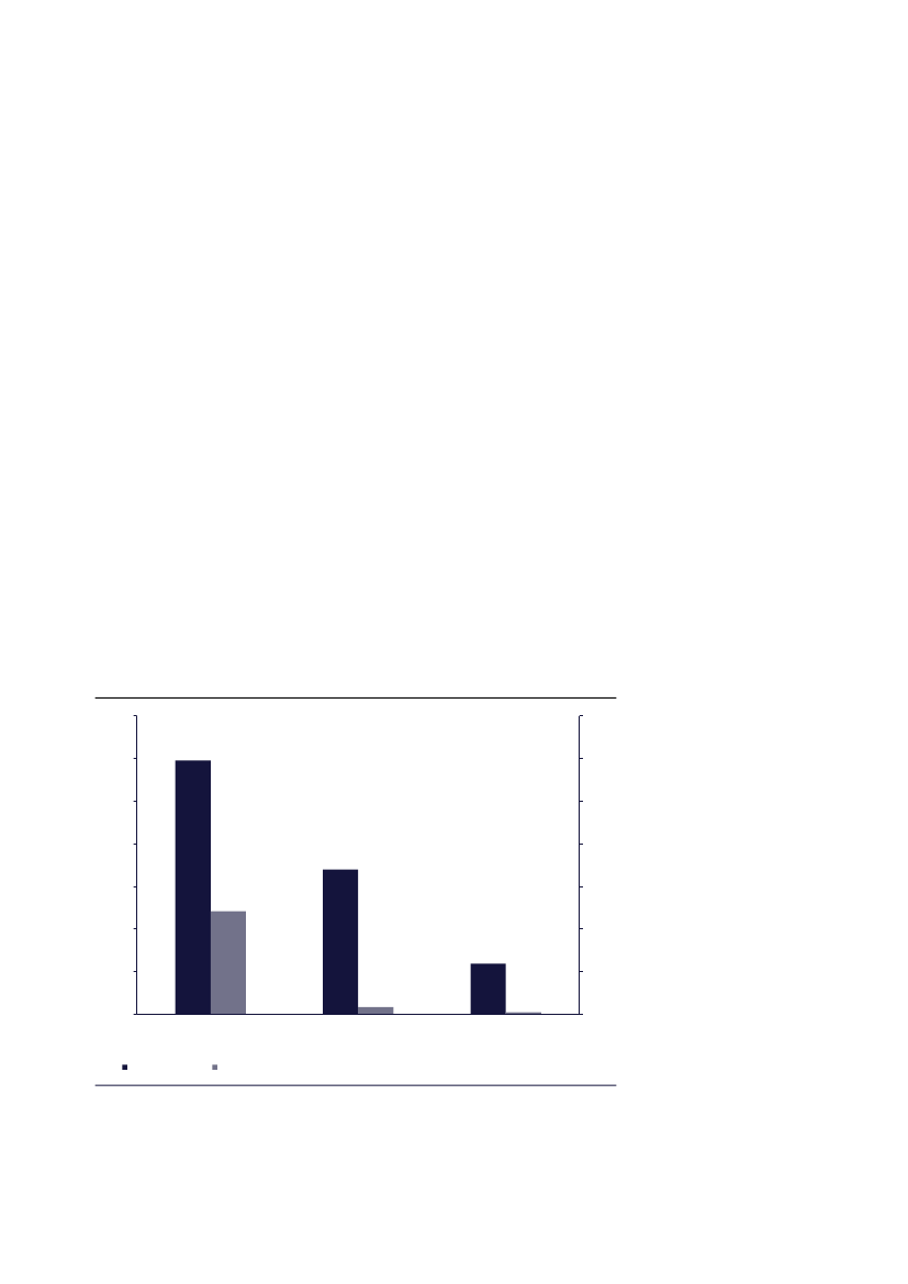
Ud af den ene million skyldnere vurderer Gældsstyrelsen, at ca. 605.000 person-
skyldnere ved udgangen af 2019 kunne omfattes af alle inddrivelsesværktøjer.
Det svarer til ca. 59 pct. af alle personskyldnere.
Tilsammen hæfter de for ca. 60 mia. kr. af den nominelle gæld til det offentlige.
Gælden har en kursværdi på godt 24 mia. kr. og udgør dermed knap 92 pct. af
den samlede persongælds kursværdi,
jf. figur 11.
Gældsstyrelsen vurderer at have begrænsede inddrivelsesmuligheder over for
omkring 305.000 skyldnere. Det skyldes hovedsageligt, at skyldnerne har en
nettoindkomst, der er under lavindkomstgrænsen. Det svarer til, at knap hver
tredje skyldner bosat i Danmark ikke kan sættes i fuld gældsinddrivelse.
1
Derudover vurderes ca. 125.000 personskyldnere at være udrejst fra Danmark
eller med ukendt bopæl. Gældsstyrelsen har typisk ikke registeret indkomst på
udrejste skyldnere og vurderer blandt andet på den baggrund, at der ikke kan
inddrives gæld fra ca. 90 pct. af de udrejste skyldnere. Inddrivelsen af gæld fra
udrejste skyldnere er generelt meget udfordret, da Gældsstyrelsens mulighed for
myndighedsudøvelse stopper ved grænsen.
Samlet udgør skyldnere med en nettoindkomst under lavindkomstgrænsen samt
udrejste skyldnere ca. 41 pct. af personskyldnerne, og de hæfter tilsammen for
ca. 46 mia. kr. af den nominelle gæld til det offentlige. Gælden har en kursværdi
på ca. 2,2 mia. kr. svarende til ca. 8 pct. af den samledes gælds kursværdi.
Figur 11. Fordeling af personskyldneres nominelle gæld og kursværdi, mia. kr.
70
59,6
60
60
70
305.000
Skyldnere med begrænsede inddri-
velsesmuligheder
Det vurderes, at Gældsstyrelsen har
begrænsede inddrivelsesmuligheder
for omkring 305.000 skyldnere.
50
50
40
34,0
30
24,2
20
11,9
10
1,7
-
Fuld inddrivelsesmulighed
Begrænset
inddrivelsesmulighed
Udrejste og forsvundne
0,5
40
30
20
10
0
Nominel værdi
Kursværdi
Kilde: Gældsstyrelsen.
1
Udover skyldnere der har nettoindkomst under lavindkomstgrænsen, er nogle skyldnere afgået ved dø-
den. Ligeledes mangler Gældsstyrelsen adgang til indkomstoplysninger for en mindre gruppe af skyld-
nere.
SAU, Alm.del - 2019-20 - Bilag 364: Publikation fra Gældsstyrelsen om analyse om danskernes gæld juni 2020
2212951_0020.png
Danskernes gæld
Side 19
2.2 Gældens inddrivelsespotentiale
Gældsstyrelsen har lavet en dybdegående analyse af gældens inddrivelsespo-
tentiale på baggrund af oplysninger for udgangen af 2018. Gældsstyrelsen ind-
deler personskyldnerne i tre hovedgrupper på baggrund af en række parametre,
hvor skyldnernes indkomst er det primære.
Hovedgrupperne viser muligheden for at inddrive gælden helt eller delvist
dvs.
gældens inddrivelsespotentiale. Skyldnerne inddeles dermed blandt andet på
baggrund af, hvorvidt de kan blive gældfri inden for en periode på 20 år.
De tre hovedgrupper har forskellig størrelse gæld og nettoindkomst,
jf. figur 12.
Stort inddrivelsespotentiale:
Skyldnere har en nettoindkomst, der muliggør
alle relevante inddrivelsesskridt. Skyldnerne kan samtidig blive gældfrie inden
for en inddrivelsesperiode på mindre end 20 år.
Usikkert inddrivelsespotentiale:
Skyldnere inddeles i tre undergrupperinger.
1) De har en nettoindkomst, der muliggør alle relevante inddrivelsesskridt,
men kan ikke blive gældfrie i løbet af 20 år, 2) de har begrænset gæld, men
har en nettoindkomst under lavindkomstgrænsen eller 3) de er udrejst og har
typisk ikke nogen registreret indkomst.
Lille inddrivelsespotentiale:
Skyldnere har en nettoindkomst under lavind-
komstgrænsen og har gæld for mere end 50.000 kr.
Figur 12. Skyldnergruppers gæld
Kilde: Gældsstyrelsen.
SAU, Alm.del - 2019-20 - Bilag 364: Publikation fra Gældsstyrelsen om analyse om danskernes gæld juni 2020
Danskernes gæld
Side 20
Skyldnere med stort inddrivelsespotentiale tegner sig for over halvdelen af alle
skyldnere. Kursværdien af deres gæld er højere end den oprindelige nominelle
værdi. Det skyldes, at disse skyldnere potentielt kan omfattes af lønindeholdelse
og tvungne afdragsordninger. Derudover er skyldnerne op til 20 år om at af-
drage gælden, hvilket betyder, at de også skal betale ca. 8 pct. i renter på deres
resterende gæld. Det medfører samlet set, at kursværdien for denne gruppe
overstiger den nominelle værdi af den oprindelige gæld. Gruppen tegner sig for
knap 60 pct. af den samlede kursværdi.
Skyldnere med et usikkert og lille inddrivelsespotentiale har gæld for henholdsvis
ca. 53 mia. kr. og ca. 28 mia. kr. i nominel værdi. De to grupper udgør tilsammen
ca. en halv million skyldnere. For knap en halv million skyldnere kan en stor andel
af den samlede nominelle værdi således ikke forventes inddrevet efter gæl-
dende regler på trods af en fuld genopretning af gældsområdet.
Årsagen til gældens fortsatte stigning illustreres tydeligt ved at se på skyldner-
gruppen med lille inddrivelsespotentiale. 7 pct. af det samlede antal skyldnere er
placeret i denne gruppe, som skylder hele 29 pct. af den nominelle værdi, og
som blandt andet på grund af de begrænsede inddrivelsesmuligheder kun kan
afdrage 1,5 pct. af gældens reelle værdi svarende til 0,4 mia. kr.
SAU, Alm.del - 2019-20 - Bilag 364: Publikation fra Gældsstyrelsen om analyse om danskernes gæld juni 2020
2212951_0022.png
Danskernes gæld
Side 21
2.2.1
Skyldneres karakteristika
Hovedgruppernes gældstyper giver et indblik i årsagerne til, at skyldnerne har
gæld under inddrivelse, og hvorfor størrelsen varierer så meget fra skyldner til
skyldner,
jf. figur 13.
En skyldner med stort inddrivelsespotentiale har i gennemsnit haft gæld under
inddrivelse i 2,5 år, hvilket er markant kortere tid end for de andre skyldnergrup-
per.
Det er ofte svært for en skyldner med lille inddrivelsespotentiale at afdrage på
sin gæld, da vedkommende har lav indkomst. Derfor har Gældsstyrelsen også
meget få inddrivelsesskridt, der kan benyttes over for en skyldner i denne
gruppe. Det er årsagen til, at en gennemsnitlig skyldner med lavt inddrivelsespo-
tentiale kun forventes at afdrage 6.000 kr., selvom den gennemsnitlige gæld er
næsten 400.000 kr.
Figur 13. Skyldneres gennemsnitlige gæld
Kilde: Gældsstyrelsen.
SAU, Alm.del - 2019-20 - Bilag 364: Publikation fra Gældsstyrelsen om analyse om danskernes gæld juni 2020
Danskernes gæld
Side 22
De udvalgte gældstyper beskriver, hvor de enkelte skyldnertyper er overrepræ-
senterede, og giver et indblik i skyldnernes gældsmønstre og forhold. Under-
holdsbidrag er fx ofte gæld, der stiftes løbende og for nogles vedkommende
over flere år. Sagsomkostninger kan derimod være en enkeltstående, men me-
get stor gældspost.
En skyldner med stort inddrivelsespotentiale har typisk få og nyere gældsposter.
Det afspejler sig i tiden, siden sidste gældspost er stiftet, ligesom de typisk har
meget få gældsposter under inddrivelse, fx vægtafgift, licens og daginstitution.
En skyldner med usikkert inddrivelsespotentiale har en overvægt af virksom-
hedsskat, fx moms mv., og der kan være tale om en selvstændig erhvervsdri-
vende, hvor virksomheden ikke har været i stand til at svare sin skat til Skattefor-
valtningen. En række skyldnere er også gået konkurs med enkeltmandsvirksom-
heder, hvor de hæfter personligt for gælden i virksomheden.
En skyldner med et lille inddrivelsespotentiale har i gennemsnit været under ind-
drivelse i knap 7,5 år, har en indkomst under lavindkomstgrænsen og skylder
knap en halv million kroner. En række af skyldnerne har over 50 gældsposter til
inddrivelse og har ofte ikke blot stiftet gæld til det offentlige, men også til private
kreditorer. Næsten halvdelen af skyldnerne i segmentet har gæld til det offentlige
i form af politibøder.
Der er dermed tale om skyldnere, hvor der for manges vedkommende er yderst
begrænset udsigt til at afdrage på bare en mindre del af gælden, inden vedkom-
mende enten går på pension eller går bort.
SAU, Alm.del - 2019-20 - Bilag 364: Publikation fra Gældsstyrelsen om analyse om danskernes gæld juni 2020
2212951_0024.png
Danskernes gæld
Side 23
www.gaeldst.dk
Gældsstyrelsen er en
del af Skatteforvaltningen