Klima-, Energi- og Forsyningsudvalget 2019-20
KEF Alm.del Bilag 328
Offentligt
2202587_0001.png
Life science
& biotek
KEF, Alm.del - 2019-20 - Bilag 328: Invitation til præsentation af anbefalingerne fra klimapartnerskaberne
2202587_0002.png
Regeringens
klimapartnerskaber
Life science
& biotek
Rapporten er udfærdiget af sekretariatet bag
Klimapartnerskabet for Life Science & Biotek:
Anna-Katrine Romer Vingtoft, Dansk Erhverv
Ulrich Bang, Dansk Erhverv
Indhold
Forord….4
Præambel…5
Sammenfatning
Vision og ambitioner....6
Udgangspunkt - Hvor står sektoren i dag?....7
Klimapartnerskabets fire ambitionsoverliggere....7
Orden i eget hus....8
Grøn efterspørgsel hos kunder og underleverandører....9
Innovation....10
Viden og internationalt udsyn....11
Carsten Blæsberg, LIF
Jakob Bjerg Larsen, LIF
Kasper Lindgaaard, LIF
Emil Linnet, Novo Nordisk
Hovedafrapportering
Udgangspunkt –
Hvor står sektoren i dag?....12
1. Orden i eget hus....15
1.1 Bedre rammer for brug af overskudsvarme – fjern afgifter og tilpas regulering....16
1.2 Bedre rammer for genanvendelse – styrk den cirkulære økonomi....16
1.3 Bedre rammer for klimaoptimering af produktionen inden for GMP....18
1.4 Muliggør brug af elektroniske indlægssedler til lægemidler....18
1.5 Revision af planloven....19
1.6 Styrk incitamenter til elektrificering af bilpark....20
1.7 Incitamenter til udveksling af energistrømme, herunder at understøtte etablering og udvikling af symbio-
ser....20
2. Grøn efterspørgsel hos kunder og til underleverandører....21
2.1 Indkøb af grøn transport....21
2.2 Indkøb af grøn energi....22
2.3 Grønne offentlige indkøb og forsyning til offentlige og private.....23
3. Innovation....25
3.1 Biotekløsninger inden for fødevareproduktion og landbrug....28
3.1.1 Mere effektivt foder til svin, kyllinger og kvæg....28
3.1.2 Fortrængning af kemiske pesticider og kunstgødning....29
3.1.3 Metan-fri kvægproduktion....29
3.1.4 Produktion af alternative proteiner til fødevarer og foder....30
3.2.1 Brug af bæredygtige biobrændstoffer som fortrængning af fossile brændstoffer....30
3.2.2 Produktion og genbrug af bæredygtige polymerer/plastik....32
3.2.3 Biotekløsninger til Carbon Capture, Utilization & Storage (CCUS)....33
4.1 Styrket dansk klimaengagement i EU og globalt....35
4.2 Styrkede rammevilkår for øget forskning og udvikling....36
4.3 Udvikling og spredning af kompetencer....38
3.2 Biotekløsninger inden for transport og bioraffinering....30
4. Viden og Internationalt Udsyn....34
Processen i klimapartnerskabet....39
Klimapartnerskabets tre faser....40
KEF, Alm.del - 2019-20 - Bilag 328: Invitation til præsentation af anbefalingerne fra klimapartnerskaberne
2202587_0003.png
KEF, Alm.del - 2019-20 - Bilag 328: Invitation til præsentation af anbefalingerne fra klimapartnerskaberne
2202587_0004.png
4
Regeringens
klimapartnerskaber
Life science
& biotek
Forord
Jeg er glad for og stolt over at være
formand for klimapartnerskabet for Life
science og biotek, der er en vigtig sektor
– både for samfundet og for vores fælles
samfundsøkonomi.
Klimapartnerskaberne er et velkom-
ment initiativ fra regeringen, da det giver
os i erhvervslivet mulighed for at deltage i
en åben dialog med de politiske beslut-
ningstagere om, hvordan vi sammen kan
drive den nødvendige grønne omstilling.
Hver for sig får vi svært ved at nå i mål,
sammen har vi en stor mulighed, og det
kræver en konstruktiv dialog på tværs af
sektorer og politiske interesser.
Life science- og bioteksektoren
Life science- og bioteksektoren i Danmark
er blevet en hjørnesten i den danske
økonomi. Samfundsbidraget er markant: I
2019 stod life science- og bioteksektoren
for over 18 procent af den samlede vare-
eksport til udlandet, svarende til over 130
milliarder kroner. Sektoren bidrager også
med mere end 21 milliarder kroner til de
offentlige finanser i form af selskabsskatter
og personskatter.
Det er mange år siden, at den danske
life science- og bioteksektor begyndte at
adressere miljø- og klimaudfordringerne.
Vi blev for eksempel tidligt optaget af at
reducere vores CO2-udledning i produkti-
onen og er i dag lykkedes med en såkaldt
grøn vækst, hvor vi har formået at vækste
betydeligt, samtidig med at CO2-udlednin-
gen er faldet – ikke mindre end 55 procent
siden 1990. De seneste tal viser, at kun
omkring 0,1 procent af CO2-udledningen
fra dansk territorium direkte kan tilskrives
life science- og bioteksektoren – til trods
for vores store bidrag til bruttoværditilvæk-
sten. Vi har dermed en meget høj CO2-pro-
duktivitet, og det bør vi alle være stolte af.
Danske life science- og biotekvirksom-
heder er typisk blandt de førende i verden
inden for deres felt, hvilket betyder, at vi
har et stort fodaftryk både herhjemme
og globalt. Det er derfor helt centralt, at
vi som sektor tager et medansvar for de
indirekte udledninger, vi reelt er ophav
til. Både på tværs af sektorer i Danmark,
eksempelvis inden for energiindkøb og
transport, og uden for Danmark.
Fordi vi lever i en global verden med
leverandørkæder, produktion og kontorer
spredt ud over hele kloden, er vi meget
bevidste om, at klimaforandringerne
kun kan løses, hvis vi tænker Danmark i
sammenhæng med resten af verden. Det
komplicerer udfordringen, men samtidig
er det urealistisk og kontraproduktivt,
hvis der tænkes i klimaløsninger eller
ambitioner, der alene gælder inden for
Danmarks grænser. Jeg kan kun give mine
stærkeste anbefalinger til, at den danske
regering handler så ambitiøst som muligt
i internationale sammenhænge. Ens
vilkår og prioriteter på tværs af de lande,
vi konkurrerer og samarbejder med, vil
skabe den størst mulige klimapåvirkning
og økonomiske vækst. Jeg er overbevist
om, at intelligente afgifts- og incitaments-
strukturer, der driver en adfærdsændring,
er nødvendige.
Klimaløsninger
Målet er, at sektoren bliver klimaneutral.
Vi er godt på vej mod 70 procent reduk-
tion af vores direkte CO2-udledninger i
2030, men det kræver yderligere inno-
vation af teknologier og processer for at
nå i mål med vores indirekte udledning i
transport- og energisektoren.
Dansk biotek kan spille en afgørende
rolle inden for innovative løsninger. Sær-
ligt er der på nuværende tidspunkt store
potentialer inden for biotekløsninger på
fødevareområdet og transportområdet,
der kan realiseres på den korte bane og
nedbringe CO2-udledningerne betragte-
ligt. Det gælder eksempelvis områder som
alternative proteiner til fødevarer og foder
samt bæredygtige biobrændsler i trans-
portsektoren. Hertil kommer de såkaldte
’moon shots’, hvor der frem mod 2030
gives forsigtige bud på disruptive løsnin-
ger, der potentielt kan vende op og ned
på, hvordan vi forbruger og udleder.
Heri ligger klimapartnerskabets hoved-
bidrag: I innovationspotentialet i biotek,
der kan og bør blive det næste danske
vindmølleeventyr og dermed spare verden
for millioner af ton CO2-udledninger.
Klimapartnerskaberne
At løse klimakrisen er ikke et quickfix,
og kortsigtede lappeløsninger hjælper os
ikke på den lange bane. Det er derfor
vigtigt, at man tager sig tid til at identifi-
cere de løsninger, der er langtidsholdbare
og har størst mulig gennemslagskraft.
Derfor synes jeg, at inddragelsen af
erhvervslivet i form af klimapartnerskab-
erne er den rigtige start, og vi ser frem til
at dele vores anbefalinger og mangeårige
erfaringer på området. Også i forbindelse
med udarbejdelsen af de konkrete klima-
handlingsplaner i løbet af 2020.
Jeg er stolt over at aflevere denne
afrapportering til regeringen fra life science-
og bioteksektorens klimapartnerskab,
hvor vi på kort tid har formået at samle
et bredt udsnit af sektoren i en fælles
bestræbelse på at give vores bidrag til
den grønne omstilling. Nu bliver øvelsen
at tage arbejdet i de 13 klimapartnerskab-
er med ind i det politiske maskinrum
og sikre, at de mange idéer og forslag i
videst muligt omfang bliver til virkelighed.
Samtidig skal de politiske beslutninger
og prioriteringer ske med hensyn til, at
det fortsat skal være attraktivt at drive
forretning i Danmark, og at produktion og
erhverv ikke blot flytter ud af landet for at
slå sig ned andre steder på kloden, hvor
der ikke er samme klimaambitioner.
Klimaudfordringerne er udtryk for en
markedsfejl, som skal korrigeres i et sam-
arbejde på tværs af offentlige myndighed-
er og det private erhvervsliv. Jeg håber
derfor, at den følgende afrapportering
vil blive læst grundigt af vores beslut-
ningstagere i Danmark og ikke mindst vil
blive brugt i implementeringen af nye og
justerede rammevilkår, så vi sammen kan
løse klimaudfordringerne. Vi ser frem til
videre samarbejde.
Tak til de danske life science- og bio-
tekvirksomheder for jeres bidrag, til virk-
somhedsudvalget for konstruktive møder
og endeligt sekretariatet for under stort
tidspres at have forfattet denne rapport.
På vegne af klimapartnerskabet for Life
science og biotek.
Lars Fruergaard
Jørgensen
Bagsværd, den
16. marts 2020
KEF, Alm.del - 2019-20 - Bilag 328: Invitation til præsentation af anbefalingerne fra klimapartnerskaberne
2202587_0005.png
Regeringens
klimapartnerskaber
5
Life science
& biotek
Præambel:
Vi står sammen om klimamål
gennem grøn vækst
Vi 13 klimapartnerskaber har arbejdet intensivt på at løse en både svær og vigtig opgave: Nemlig
på en og samme tid at udvikle konkrete forslag til regeringen om, hvilke indsatser som vil kunne
bidrage til at nå målet om at reducere Danmarks CO2-udledning med 70 procent i 2030 og gøre
Danmark til et foregangsland for resten af verden.
Vi er gået til opgaven med det ud-
gangspunkt, at vi på samme tid skal
gøre Danmark og danskerne rigere
– og verden mere bæredygtig. Hvis
vi skal nå målet, vil det kræve store
investeringer. Både i den enkelte virk-
somhed og fra samfundet. Derfor skal
bæredygtighed og vækst følges ad. Og
derfor skal vi som samfund være klar
til at prioritere investeringer i klima. I
dansk erhvervsliv er vi klar til at løfte
vores del af opgaven i et tæt partner-
skab med regeringen og Folketinget
– og resten af samfundet.
Fremtidig økonomisk vækst er
forudsætningen for, at vi har råd til at
løse klimaudfordringerne på en måde,
hvor vi samtidig har et godt og vel-
fungerende samfund. Det kræver, at
vi sikrer Danmarks konkurrenceevne
og skaber vækst og nye job, samtidig
med at vi omsætter klimaambition til
handling.
Klimaudfordringen er global. Vi
skal nå vores nationale mål uden at
skubbe aktiviteter ud af landet. Vi
skal gennemføre en reel grøn omstil-
ling af vores samfund, som målbart
reducerer udledningen af klimagas-
ser globalt set – og det skal ske ved
udvikling og ikke afvikling. Med vores
indsats som inspiration til handling
skal vi arbejde internationalt i regi af
blandt andet FN og EU for at sikre
fald i de globale emissioner og for
at øge udviklingen af grønne danske
løsninger, som vi kan eksportere til
resten af verden.
I de 13 klimapartnerskaber står vi
sammen om at bidrage til, at Danmark
lever op til de politiske målsætninger.
Vi ser frem til, at forslagene bæres
videre over i en konkret samlet klima-
handlingsplan, der skal indeholde to
klare mål. At bidrage til at løse klima-
udfordringen herhjemme og globalt
og samtidig sikre et stærkt erhvervs-
liv, flere danske arbejdspladser og et
mere velstående samfund.
Forslagene fra de 13 klimapartner-
skaber er af gode grunde ikke tænkt
sammen, og mange forslag går på
tværs af sektorer og brancher.
Næste skridt er derfor en samlet
klimaplan. Her er det helt afgørende,
at den samlede klimaplan redegør for
konsekvenserne af hvert enkelt initi-
ativ – og at planen som helhed sikrer,
at den grønne omstilling går hånd i
hånd med fortsat vækst og velstand i
Danmark.
Vi håber, at alle vores forslag læses
i den ånd og sammenhæng, som vi
her har beskrevet.
KEF, Alm.del - 2019-20 - Bilag 328: Invitation til præsentation af anbefalingerne fra klimapartnerskaberne
2202587_0006.png
Regeringens
klimapartnerskaber
6
Life science
& biotek
Sammenfatning
Vision og ambitioner
Klimapartnerskabet for Life science og
biotek vil i nærværende afrapportering
skitsere fire ambitionsoverliggere, som
anviser den vej, sektoren bevæger sig
ad for at reagere med rettidig omhu på
klima- og bæredygtighedsdagsordenen.
Partnerskabet repræsenterer en på alle
måder global sektor med leverandørkæ-
der over hele kloden, og mange af anbefa-
lingerne skal ses i dette internationale lys.
Arbejdet i klimapartnerskabet viser,
at der vil være brug for en lang række
justeringer og ændringer i rammevilkå-
rene, hvis sektoren skal skrue sit bidrag
yderligere i vejret og ikke mindst kunne
løfte sit ansvar på tværs af erhvervs
livet, herunder særligt inden for trans-
port og energi. Den danske life science-
og bioteksektor har allerede formået at
reducere egen udledning på egen hånd
i form af mere energieffektive proces-
ser, bygninger og produkter. Men hvis
særligt biotek skal udfolde sit fulde
potentiale, vil det være væsentligt at se
på, hvordan rammevilkårene tilpasses,
og hvordan der kan skabes markeder
for klimaløsninger, efterhånden som de
modnes.
På kort sigt ønsker sektoren at sikre
ressourceeffektivitet gennem energi-
effektivisering, reduceret og cirkulært
ressourceforbrug samt brug af materi-
aler – både i egen drift og gennem de
biotekløsninger, som sektoren leverer.
På langt sigt lægger life science- og
bioteksektoren op til, at samfundet
bør – såfremt det er teknisk muligt på
dette tidspunkt – overveje at udnytte
overskydende CO2 fra punktkilder samt
biologisk produktion af eksempelvis
lægemidler, mikroorganismer, enzymer,
biologiske molekyler etc. Denne tekno-
logi kan også anvendes til upcycling fra
andre punktkilder fra energisektoren
(eksempelvis kraftværker og biogas-
anlæg).
En stor andel af virksomhederne
forventer at kunne overpræstere på 70
procent-målet. Men da der er en vis
spredning i virksomhedernes ambitio-
ner, er det realistisk, at sektoren som
minimum kan tilslutte sig regeringens
ambitionsniveau. Dette gør sig gælden-
de for både de danske virksomheders
danske klimaaftryk, og uden for landets
grænser for så vidt angår de danske
virksomheders datterselskaber. Det er i
den forbindelse vigtigt at understrege,
at sektoren gerne ser, at målet er et
absolut reduktionsmål.
I denne sammenfatning præsenteres
nu kortfattet en status på life science
og biotek-sektorens nuværende klima-
belastning, de tidligere og igangværen-
de initiativer for klimaoptimering samt
klimapartnerskabets fire ambitionsover-
liggere.
Life science- og bioteksekto-
ren kan overordnet tilslutte sig
regeringens ambitioner om en
CO2-reduktion på minimum 70
procent i 2030 med baseline
i 1990. Det forventer sektoren
at nå under de eksisterende
rammevilkår. Life science- og
bioteksektoren har længe væ-
ret frontløbere på den grønne
omstilling, og det arbejde
fortsætter naturligvis frem
mod 2030, og flere af de store
virksomheder med hovedsæde
i Danmark arbejder videre mod
klimaneutralitet efter 2030.
KEF, Alm.del - 2019-20 - Bilag 328: Invitation til præsentation af anbefalingerne fra klimapartnerskaberne
2202587_0007.png
7
Regeringens
klimapartnerskaber
Life science
& biotek
Udgangspunkt –
hvor
står sektoren i dag?
Flere repræsentanter i life science- og
bioteksektoren har i mange år været
optaget af miljø- og bæredygtigheds-
dagsordenen. Derfor har mange allerede
gennemført en lang stribe tiltag for at
reducere egen CO2-udledning i produk-
tionen. En spørgeskemaundersøgelse,
som klimapartnerskabet for Life science
og biotek har anvendt til denne rapport,
viser, at 9 ud af 10 virksomheder i sek-
toren allerede har sat mål for reduktion
af klimabelastningen. På samme måde
har de store danske virksomheder også
samme målsætninger for egne enheder i
Danmark og deres mange filialer, der er
placeret rundt om i verden.
I Danmark har indsatsen medført, at
sektoren i dag har reduceret
udledningen af CO2 fra 118.000 ton i
1990 til 53.000 ton i 2017, hvilket svarer
til en reduktion på 55 procent. Dermed
udgjorde CO2-udledningen fra life
science- og bioteksektoren således 0,1
procent af alle sektorers CO2-udledning
på dansk territorium. Særligt optimering
af produktionen samt omlægning til
grøn energi har en væsentlig del af æren
for den lave CO2-udledning. Men en
del af forklaringen er også, at hverken
sektorens køb af transport, el eller
fjernvarme opgøres som sektorens egne
udledninger.
Grøn vækst
Samtidig med, at udledningerne fra life
science- og bioteksektoren er
reduceret med 55 procent siden 1990,
er værdiskabelsen steget med en
faktor 9. Denne afkobling mellem ud-
ledninger og værdiskabelsen betegnes
som grøn vækst og er en forudsæt-
ning for fortsat fremgang i vækst og
velstand i sektoren, såvel som i hele
samfundet.
Biotekløsninger
Samtidig med, at sektoren har formået
at afkoble CO2-udledning og vækst,
udvikler særligt biotekvirksomheder-
ne en række løsninger, der har store
potentialer til at bidrage til nedbring-
else af verdens CO2-udledning, hvis
de implementeres i stor skala. Det
gør sig gældende inden for en lang
række sektorer, som biotek leverer til,
og som alle har markante udlednings-
udfordringer på nuværende tidspunkt.
Det drejer sig om CO2-reduktioner i
transport gennem biobrændstoffer,
biologiske alternativer i fødevarepro-
duktion, landbrug, tekstilfremstilling,
rengøring, tøjvask mv., cirkulære
biologiske genanvendelsesløsninger af
rest- og sidestrømme fra produktion,
husholdning, forarbejdning, landbrug
mv., ressourceoptimering af energi,
vand og afgrøder inden for produktion
og forarbejdning af tekstiler, fødeva-
rer, foder, biobrændstoffer, biologiske
landbrugsløsninger (alternativ til pesti-
cider og kunstgødning) samt forbedret
fodereffektivitet og produktion af
alternative proteiner til fødevarer og
foder.
Hvad gør sektoren allerede i dag?
I life science- og bioteksektoren har
det hovedsageligt været optimering af
produktion og bygninger samt omlæg-
ning til grøn energi, der har bidraget til
den positive udvikling. Herudover har
der været fokus på genanvendelse og
minimering af affald, herunder bidrag
til flere lokale symbioser i for eksem-
pel både Kalundborg og Esbjerg.
I det følgende redegøres der kort for
sektorens fire overordnede ambitioner,
herunder sektorens konkrete tiltag og
ønsker til forbedrede rammevilkår.
KEF, Alm.del - 2019-20 - Bilag 328: Invitation til præsentation af anbefalingerne fra klimapartnerskaberne
2202587_0008.png
Regeringens
klimapartnerskaber
8
Life science
& biotek
Overblik over klimapartnerskabet for life science
og bioteks fire ambitionsoverliggere.
Orden i eget hus
Grøn efterspørgsel hos kunder
og til underleverandører
Innovation
Viden og
internationalt udsyn
Overskuds-
varme
Grøn
transport
Metan-
reduktion
Grøn
energi
Ressource-
optimering
og cirkulær
økonomi
Effektivt
foder
Videnscenter
for grøn
omstilling
Mikrobielle
landbrugs-
produkter
Alternative
proteiner
GMO
Direktiv
Carbon
Capture
Utilization
& Storage
(CCUS)
Biobrænd-
stoffer
Øget F&U
fradag
Symbioser
Energihensyn i
planlov
Forsknings-
midler og vækst-
team for biotek
Elektroniske
indlægssedler
Elektrificering
af bilpark
Klima-
optimering i
GMP
Grønne
offentlig
indkøb
Intelligente
emissions-
reducerende
incitament-/
afgiftsstrukturer
Engagement
i internationalt
myndigheds-
arbejde
Green Code
of Conduct
Bioplastik
Ambitiøs EU
Green Deal
Orden i eget hus
Vi vil sørge for orden i eget hus ved konstant at klimaoptimere vores produktionsfaciliteter,
processer og produkter
Virksomhederne har i mange år arbejdet
med tiltag, der reducerer klimapåvirk-
ningen. Det drejer sig om optimering af
bygninger, produktionsanlæg og produkter,
genanvendelse og minimering af affald
samt udvikling af symbioser. Dygtige
medarbejdere er fundamentet. Hvis vi skal
accelerere den positive udvikling, vil det
være nødvendigt at ændre regulering og
afgifter samt styrke dialog og samarbejde.
1. Bedre rammer for brug af overskuds-
varme – fjern afgifter og ændr regule-
ring
Ved at udnytte spildprodukter, herun-
der overskudsvarme fra life science- og
bioteksektoren, kan sektoren bidrage
til reduktion af CO2-udledning i andre
sektorer. Hvis overskudsvarmen ønskes
genanvendt, skal virksomhederne betale
en overskudsvarmeafgift. Det betyder, at
det i dag ikke er økonomisk rentabelt at
bruge overskudsvarmen.
Anbefalinger:
Fjern overskudsvarmeafgiften og
tilpas elvarmeafgiften.
Tilpas regulering for genanvendelse
af overskudsvarme
2. Bedre rammer for genanvendelse –
styrk den cirkulære økonomi
Virksomhederne har yderligere potentiale
til at begrænse CO2-udledningen ved
at øge graden af genanvendelse i selve
produktionen. Det gælder brugen af
materialer, emballage og affaldsproduk-
ter. De allerede igangsatte tiltag i sek-
toren taler sit eget tydelige sprog. Men
for at styrke udviklingen er der behov for
at skabe bedre og ikke mindst klarere
rammevilkår for genanvendelse.
8
Anbefalinger:
Benyt strategisk anvendelse af
Miljøteknologisk Udviklings- og
Demonstrationsprogram (MUDP)
Styrk rammer og standarder
Gør det lettere at genanvende affald
Muliggør recirkulering af opvarmet
luft
Særligt vedrørende emballage og
anvendt medicinsk udstyr:
Understøt udvikling af nye teknolo-
gier til genanvendelse
Styrk dialog med myndigheder
Undersøg mulighed for brug af eksi-
sterende verifikationssystem
Udvikl materialegenkendelse
3. Bedre rammer for klimaoptimering af
produktionen inden for GMP
Produktion af life science- og biotek-
KEF, Alm.del - 2019-20 - Bilag 328: Invitation til præsentation af anbefalingerne fra klimapartnerskaberne
2202587_0009.png
9
Regeringens
klimapartnerskaber
Life science
& biotek
produkter og løsninger er underlagt
stram regulering og kontrol, der har til
formål at sikre kvaliteten og sikker-
heden af produkterne. Den stramme
regulering (og særligt krav til omfattende
dokumentation) betyder dog også, at
det er vanskeligt og omkostnings-
krævende at gennemføre ændringer.
Det skal være lettere at implementere
nye energibesparende teknologier og
processer med henblik på at reducere
CO2-aftryk.
Anbefalinger:
Benyt dialog og rådgivning om
fleksibilitet inden for GMP.
Grøn efterspørgsel
hos kunder og til
underleverandører
Vi skal være ambitiøse partnere for at
fremme den grønne omstilling hos vores
underleverandører og kunder.
Vi skal være partnere for nye løsninger
og grøn omstilling hos vores underleve-
randører. I den forbindelse skal vi både
turde stille krav og aktivt indgå i part-
nerskaber med vores underleverandører.
Vi skal efterspørge grønne produkter,
herunder især i forbindelse med energi-
og transportindkøb, hvor størstedelen af
sektorens reelle emissioner ligger. Den
offentlige sektor har qua dens position
som indkøber unikke muligheder for
at fremme den grønne omstilling. Den
muskel vil vi arbejde på at aktivere.
1. Indkøb af grøn transport
Når life science- og biotekprodukter
er produceret, skal de transporteres
sikkert over hele kloden. Transporten
skal både sikre produkternes kvalitet og
bidrage til den mindst mulige klima-
belastning. Et fokusområde for mange
life science- og biotekvirksomheder er,
hvordan de kan omlægge transport til
mere bæredygtige former, ligesom de
indgår i dialog og samarbejde med deres
transportleverandører om mulige måder,
hvorpå de grønne former kan fremmes.
Anbefalinger
Frem virksomheders incitamenter
til at vælge grøn transport
Støt sektorkodeks ”Green Code Of
Conduct”
Investér i mere effektiv og klima-
venlig infrastruktur
Styrk rammevilkår for forskning i de
grønne transportformer
2. Indkøb af grøn energi
Life science- og bioteksektoren er af-
hængig af at kunne købe grøn energi til
strøm og varme hos dets leverandører.
En række life science- og biotekvirk-
somheder sætter allerede i dag mål for
overgang til vedvarende energiforsyning
fra dets underleverandører af energi.
Konkret indgås der aftaler og etableres
ambitiøse partnerskaber, der skaber
rentabiliteten og implementeringen af
konkrete løsninger.
Anbefalinger
Styrk incitamenter for indkøb af
grøn energi
Støt sektorkodeks ”Green Code Of
Conduct”
3. Grønne offentlige indkøb og forsy-
ning til offentlige og private
Den offentlige sektor har qua dens
position som indkøber unikke mulighe-
der for at fremme den grønne omstilling.
Når det drejer sig om det offentliges
indkøb af lægemidler og medicoteknisk
udstyr, skal patientsikkerheden være en
topprioritet, og det er også afgørende,
at det er af høj kvalitet og leverer effekt
på behandlingen. På den anden side er
det offentliges indkøb af produkter fra
life science- og biotekprodukter i dag i
overvejende grad kendetegnet ved fra-
vær af politikker, strategier eller kriterier,
der har til formål at fremme omstilling
til grønne produkter og løsninger i det
offentlige.
Anbefalinger
Inkludér klimaaftryk som et parame-
ter i de offentlige indkøbsstrategier
Styrk det offentliges kompetence til
grønne indkøb
Styrk markedsdialogen for at sikre
implementering af grønne indkøb
Indfør bæredygtighedskriterier i
sundhedsvæsenet
Frem incitamenter for klimavenlig
distributionsform fra leverandør til
privatkunde
9
KEF, Alm.del - 2019-20 - Bilag 328: Invitation til præsentation af anbefalingerne fra klimapartnerskaberne
2202587_0010.png
Regeringens
klimapartnerskaber
10
Life science
& biotek
Innovation
Vi vil bidrage til innovative og internationale klimaløsninger
Alle forudsætninger for en dansk
styrkeposition inden for morgendagens
klimaløsninger synes således til stede,
men for at de mange gode og innovative
idéer og projekter hurtigere bliver til
markedsnære produkter, bør de danske
politiske beslutningstagere prioritere
særligt denne denne sektor.
Klimapartnerskabet for Life science og
biotek foreslår derfor en række konkrete
anbefalinger til, hvordan Danmark kan
udvikle innovative klimaløsninger, der
kan eksporteres til et verdensmarked,
der i stigende grad efterspørger CO2-
reducerende løsninger og produkter.
Målet skal være at gøre biotek til
Danmarks næste store eksporteventyr af
klimaløsninger og det næste vindmølle-
eventyr.
Helt konkret foreslår klimapartner-
skabet, at der særligt fokuseres på to
overordnede områder, hvor vurderingen
er, at potentialet er særligt stort: Føde-
vareproduktion og landbrug samt trans-
port og bioraffinering.
1. Biotekløsninger inden for
fødevareproduktion og landbrug
1.1. Effektivt foder til svin, kyllinger
og kvæg
Anbefalinger
Indfør lovgivning der understøtter
øget fodereffektivitet
Prioritér midler til yderligere
forskning i fodertilsætningsstoffer
1.2. Fortrængning af kemiske pesticider
og kunstgødning
Anbefalinger
Arbejd for en ambitiøs EU Green
Deal
Arbejd for en fast track-godkendelse
af nye biotekløsninger
Gør brug af moderne genteknologi
tilgængelig
Afsæt midler til videreudvikling af
biologiske alternativer til pesticider
og kunstgødning
1.3. Metan-fri kvægproduktion
Anbefalinger
Afsæt yderligere midler til videre
forskning inden for metanreduktion
i kvægproduktion
Etablér internationalt samarbejde
på tværs af virksomheder og
universiteter
1.4. Produktion af alternative proteiner
til fødevarer og foder
Anbefalinger
Opstil et klart mål for national
produktion af proteiner
Øremærk offentlige midler til
forskning og udvikling inden for
alternative proteiner
Afsæt midler til tværfaglige
klimaløsninger
2. Biotekløsninger inden for transport
og bioraffinering
2.1. Bæredygtige biobrændstoffer som
fortrængning af fossile brændstoffer
Anbefalinger
Fastsæt klima bæredygtighedskrav
til anvendelse af biomasse
Indfør CO2-fortrængningskrav i
transportsektoren, der sikrer reel
CO2-fortrængning
Tilskynd brug og produktion af
avancerede biobrændstoffer
2.2. Produktion og genbrug af
bæredygtige polymerer/plastik
Anbefalinger
Implementér en national strategi for
bioøkonomi
Understøt bæredygtige polymerer
Certificér ressourcer til produktion
af biopolymerer
2.3. Biotekløsninger til Carbon Capture,
Utilization & Storage (CCUS)
Anbefalinger:
Formulér en national strategi for
Carbon Capture Utilization &
Storage
Integrér væsentlige CO2-punkt-
kilder i fremtidens energisystem
Støt flagskibsprojekter inden for
CCUS
10
KEF, Alm.del - 2019-20 - Bilag 328: Invitation til præsentation af anbefalingerne fra klimapartnerskaberne
2202587_0011.png
11
Regeringens
klimapartnerskaber
Life science
& biotek
Viden og internationalt udsyn
Vi vil bidrage og inspirere internationalt samt fortsat udbygge egne kompetencer
Den danske life science- og bioteksektor
er global af natur. En stor portion af virk-
somhederne har nok dansk ophav, men
er i allerhøjeste grad globale aktører med
produktion, forskningscentre og kontorer
fordelt i alle verdenshjørner. Hertil kom-
mer en betydelig gruppe datterselskaber
fra internationale koncerner, der har
besluttet at etablere sig i Danmark og
bidrage til vores dynamiske sektor. Inter-
national gennemslagskraft er således en
helt central operationel drivkraft for life
science- og bioteksektorens virke - også
når det gælder klimaindsatsen.
En anden central operationel driv-
kraft for lifescience- og bioteksektoren
er forskning og udvikling. Innovation er
sektorens hovedbidrag til samfundet, og
det er altafgørende, at innovationshøjden
i sektoren bibeholdes og understøttes af
solide rammevilkår. Både for fortsat at
kunne levere innovation i verdensklasse,
for at underbygge biotek som en dansk
styrkeposition og for at sikre grøn viden-
deling og kapacitetsopbygning på tværs
af sektorer.
1. Styrket dansk klimaengagement i
EU og globalt
EU er det vigtigste internationale forum
for Danmark for at influere den grønne
dagsorden med globale og mærkbare
policy-initiativer til følge. Regeringen bør
derfor udnytte det grønne momentum
i EU og advokere for en ambitiøs EU
Green Deal, der inkluderer konkrete
initiativer for grønne standarder, biologi-
ske alternativer og emissionsreduceren-
de incitamentsstrukturer. Hertil kommer
et styrket dansk engagement i interna-
tionalt myndighedssamarbejde, der har
betydning for regler på life science- og
biotekområdet, der sætter rammer for
miljø- og klimapåvirkning.
Anbefalinger
Advokér for en ambitiøs EU Green
Deal, der indeholder grønne stan-
darder for leverandører og materi-
aler, samt øget fokus på biologiske
alternativer
Styrk dansk engagement i internati-
onalt myndighedsarbejde
Advokér for intelligente emissions-
reducerende incitament- og afgifts-
strukturer i EU-regi
Arbejd for en revision af EU’s
GMO-direktiv, som sikrer en innova-
tionsvenlig regulering, der samtidig
tager højde for sikkerhedsdimensi-
onerne
længere bevillinger og friere mandat
til forskning
3. Udvikling og spredning
af kompetencer
Det er nødvendigt at sikre den fortsatte
udbygning af kompetencer i Danmark.
Først og fremmest for at identificere
og modne mulige CO2-reducerende
løsninger. Men også for at øge antallet af
specialister inden for de naturviden-
skabelige discipliner og sikre de rette
kompetencer til at arbejde i den danske
life science- og bioteksektor. Hertil kom-
mer et ønske om at etablere fundament-
et for viden- og erfaringsdeling om den
grønne omstilling inden for og på tværs
af sektorer.
Anbefalinger
Etablér storstilet nationalt
videnscenter, der udvikler løsninger
til klimaudfordringen og samarbejd-
er med virksomheder i den grønne
omstilling
Forøg grønt fokus i folkeskolen, på
ungdomsuddannelserne og videre-
gående uddannelser
Styrk indsats i forhold til entre-
prenørskab på uddannelser, samt
bedre rammer for at etablere spin-
outs fra universiteter
Lemp regler for tiltrækning af højt-
uddannet, kvalificeret udenlandsk
arbejdskraft.
2. Styrkede rammevilkår for øget
forskning og udvikling
Forskning og udvikling er fundamentet for
et globalt konkurrencedygtigt Danmark
og er hjulene, der får life science- og
bioteksektoren til at køre rundt. For at
den danske life science- og bioteksektor
fortsat kan bidrage til samfundet i form
af høj beskæftigelse, skatteindtægter,
eksport og udviklingen af morgendagens
klimaløsninger, bør rammevilkårene for
forskning og udvikling styrkes yderligere,
ligesom at offentlige investeringer i især
biotek bør øges.
Anbefalinger
Indfør et internationalt konkurrence-
dygtigt forsknings- og udviklings-
fradrag på 130 procent
Forøg forskningsmidler til at under-
støtte udvikling af fremtidens grøn-
ne løsninger inden for bioteknologi
Fortsæt investeringer i GUDP-
programmet, samt innovations- og
eksportstøtte
Forøg risikovillighed i forskning og
innovation, eksempelvis gennem
KEF, Alm.del - 2019-20 - Bilag 328: Invitation til præsentation af anbefalingerne fra klimapartnerskaberne
2202587_0012.png
12
Regeringens
klimapartnerskaber
Life science
& biotek
Hovedafrapportering
Udgangspunkt –
hvor står sektoren
i dag?
Særligt store repræsentanter i life science- og bioteksektoren har i
mange år været optaget af miljø- og bæredygtighedsdagsordenen og
har derfor allerede gennemført en lang række tiltag for at reducere
egen CO2-udledning i produktionen.
bliver udledt i Kalundborg fra Novozymes
og Novo Nordisk i overskudsvarme. Den
overskudsvarme svarer altså alene til
knap en fjerdedel af hele life
science-sektorens energiforbrug.
Grøn vækst
Afkoblingen mellem udledninger og værdi-
skabelsen betegnes som grøn vækst og
er en forudsætning for fortsat fremgang
i vækst og velstand i sektoren såvel som
i hele samfundet, samtidig med at life
science og biotek indfrier regeringens
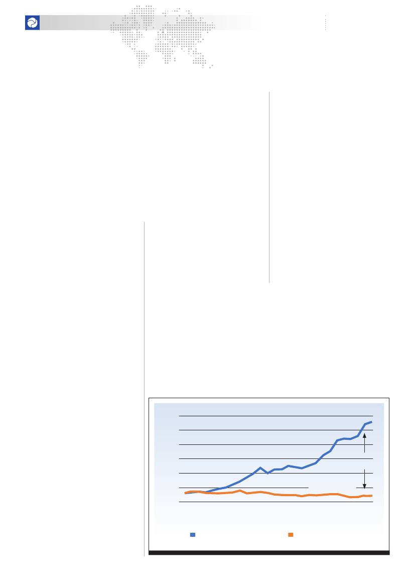
ambitiøse klimamålsætninger. Se figur 1.
Forholdet mellem værditilvæksten og
CO2-udledningen er CO2-produktiviteten,
hvilket fortæller, hvor meget værdi der
bliver skabt ud af en bestemt mængde
CO2-udledning. For life science og biotek
blev der i 2017 skabt værditilvækst på
855.000 kroner for hvert ton CO2, der
blev udledt. Samtidig er afkoblingen
mellem økonomisk vækst og CO2-udled-
ningen inden for life science og biotek
Men det er ikke kun en dagsorden for
de få store virksomheder. Både mindre
danske og udenlandsk ejede virksom-
heder med filialer i Danmark har ambi-
tiøse reduktionsmålsætninger. Faktisk
viser den gennemførte spørgeskema-
undersøgelse, at 9 ud af 10 virksom-
heder i sektoren allerede har sat mål
for reduktion af klimabelastningen. På
samme måde har de store danske virk-
somheder også samme målsætninger for
egne enheder i Danmark og deres mange
filialer, der er placeret rundt om i verden.
Herigennem er de på samme tid med til at
nedbringe CO2-udledningen i Danmark og
tage et globalt ansvar for også at bidrage
til at løse klimaudfordringen globalt.
I Danmark har indsatsen medført, at
sektoren i dag har reduceret udledningen
af CO2 fra 118.000 ton i 1990 til 53.000
ton i 2017, hvilket svarer til en reduktion
på 55 procent.
Life science- og bioteksektoren har
været ambitiøse om at reducere eget
CO2-forbrug, lang tid før klimaspørgs-
målet havde fået stor politisk opmærk-
somhed. Derfor er den samlede udled-
ning fra sektoren beskeden i dag. I 2017
udgjorde CO2-udledningen 0,1 procent
af alle sektorers udledning på dansk
territorium.
1
Særligt optimering af
produktionen samt omlægning til grøn
energi har en væsentlig del af æren for
den lave CO2-udledning. Men en del af
forklaringen er også, at hverken sek-
torens køb af transport eller energi er
opgjort som sektorens egne udledninger.
Ser man på sektorens samlede
energiforbrug (eksklusiv biotek), er det
kun steget med syv procent siden 1990.
Fra cirka 4.100 terajoule i 1990 til cirka
4.400 terajoule i 2017, jf. Danmarks
1
Statistik
2
. Det er væsentligt mindre end
stigningen i alle sektorers energiforbrug,
men mere end industrien i alt. Stig-
ningen skal dog sammenholdes med,
at væksten i sektoren har været på en
faktor 9 siden 1990.
De 4.400 terajoule kan sammenhol-
des med de 1.000 terajoule, der årligt
”One thing I can say is that it is becoming
more and more important for customers,
employees and investors. It is emerging as
something which is no longer just nice to
have but need to have”
- Stor dansk medicovirksomhed
Figur 1: Grøn vækst i life science og biotek
1200
1000
800
600
400
200
0
1990
1991
1992
1993
1994
1995
1996
1997
1998
1999
2000
2001
2002
2003
2004
2005
2006
2007
2008
2009
2010
2011
2012
2013
2014
2015
2016
2017
Bruttoværditilvækst i faste priser
CO2e udledning
Kilde: Danmarks Statistik og Energistyrelsen
Plus 900%
Afkobling
Minus 55%
https://em.dk/media/13420/klimapartnerskaber-kommissorium.pdf
Sektorens anvendelse af de 4.400 terajoule kan desværre ikke opgøres i henholdsvis vedvarende energikilder og ikke-vedvarende energikilder, eftersom aftaler om køb af vedvaren-
de energi med leverandører som Ørsted og Vattenfall ikke indgår i sektorstatistikkerne over energikilder.
2
KEF, Alm.del - 2019-20 - Bilag 328: Invitation til præsentation af anbefalingerne fra klimapartnerskaberne
2202587_0013.png
Regeringens
klimapartnerskaber
13
Life science
& biotek
øget med hele 11 procent om året siden
1990. Se figur 2. Flere forskere vurderer,
at den grønne vækst i alle lande skal være
mindst cirka fem procent om året for at
nå de ambitiøse mål i Paris-aftalen. Det
kalder de for ægte grøn vækst. Derfor
er grøn vækst en helt central faktor at
være opmærksom på i den fremadrettede
tilrettelæggelse af vækstvilkårene i en
kommende klimahandlingsplan.
Biotekløsninger
Samtidig med, at sektoren har formået
at afkoble CO2-udledning og vækst uden
blot at udflytte den tidligere CO2-inten-
sive produktion, udvikler særligt biotek
en række klimaløsninger, der har store
potentialer i at bidrage til nedbringelse
af verdens CO2-udledning, hvis de bliver
implementeret i stor skala. Det gør sig
gældende inden for en lang række sekto-
rer, som biotek leverer til, og som alle
har markante udledningsudfordringer på
nuværende tidspunkt.
Biologiske landbrugsløsninger
(alternativ til pesticider og kunst-
gødning)
samt forbedret fodereffek-
tivitet
Produktion af alternative proteiner
til fødevarer og foder
CO2-reduktioner i transport gen-
nem konventionelle avancerede
biobrændstoffer inden for biler,
skibe og fly
Erstatte kemikalier med biologiske
alternativer i fødevareproduktion,
landbrug, tekstilfremstilling, rengø-
ring, tøjvask mv.
Cirkulære biologiske genanvendel-
sesløsninger af rest- og sidestrøm-
me fra produktion, husholdning,
forarbejdning, landbrug mv.
Ressourceoptimering af energi,
vand og afgrøder inden for produk-
tion og forarbejdning af tekstiler,
fødevarer, foder, biobrændstoffer
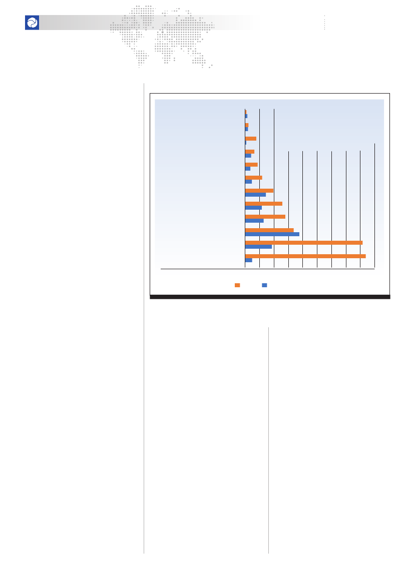
Figur 2: Grøn vækst i life science og biotek (afkobling mellem BVT og CO2)
Plast, glas- og betonindustri
Føde, drikke- og tobaksvareindustri
Kemisk industri
Metalindustri
Træ- og papirindustri, trykkerier
Tekstil- og læderindustri
Transportmiddelindustri
Møbel- og anden industri mv.
Maskinindustri
Fremst. af elektrisk udstyr
Elektronikindustri
Life Science og Biotek
Tkr. 0
2017
100
200
1990
Reduktionen i CO2-udledning
og stigning i værditilvæksten
har øget CO2-produktiviteten,
så der er i 2017 skabes værdi for
855tkr. for hvert ton CO2e. for
life science og biotek
300
400
500
600
700
800
900
Kilde: Danmarks Statistik og Energistyrelsen
Potentialet for at anvende bioteknologi
som en grøn klimaløsning er stort. Sam-
tidig er der store eksportmuligheder i at
styrke udviklingen og markedsudrulnin-
gen af nye bioteknologiske løsninger.
Hvad gør sektoren allerede i dag?
Life science- og bioteksektoren har
allerede reduceret CO2-udledningen
med 55 procent siden 1990. Som det
allerede er fremhævet, er det primært
fokus på optimering af produktionen
og bygninger samt omlægning til grøn
energi i sektoren, der har bidraget til den
positive udvikling.
Mere konkret har der været fokus på at
optimere energianvendelsen i bygninger,
hvilket til dels er blevet understøttet af
strammere regulatoriske krav til
nybyggeri. Samtidig har cirka halvdelen
af virksomhederne (der har svaret på
spørgeskemaundersøgelsen) været i
gang med at klimaoptimere eksisterende
bygninger. En indsats, der fortsættes. I
produktionen arbejder mange med
dedikerede energi- og vandsparepro-
grammer. Især ventilationsanlæg er en
stor energiforbruger i sektoren, der skal
leve op til meget høje produktionsstan-
darder af hensyn til patientsikkerheden.
Et andet område, som sektoren igen-
nem mange år har haft fokus på, er gen-
anvendelse og minimering af affald. Flere
virksomheder i for eksempel Kalundborg,
Hillerød og Esbjerg er indgået i lokale
symbioser, hvor overskudsressourcer
helt eller delvist er blevet genanvendt,
eksempelvis til biogas. På fremstillings-
siden har der været gennemført en
række initiativer for at reducere
udledningen i forbindelse med anvendel-
se og genanvendelse af ressourcer.
Life science- og bioteksektorens
primære klimaaftryk stammer ikke fra
produktionen af virksomhedernes egne
produkter. Det er derimod underleve-
randørers forsyninger til life science- og
biotekvirksomhederne, der forårsager
langt den største CO2-udledning. De pri-
mære faktorer for CO2-aftrykket vedrører
transport og energi – men også øvrige
typer indkøb af materialer, emballage,
kemi, mad/kantine samt brug af hoteller,
kursussteder mv. har betydning for virk-
somhedernes samlede CO2-aftryk.
Sektorens vilkår for at kunne
efterspørge grønne løsninger hos dets
leverandører er en hovedfaktor for at
kunne nå klimamålene. Derfor har life
science- og bioteksektoren allerede
igangsat en række konkrete initiativer og
samarbejder med dets underleverandør-
er af eksempelvis energi og transport,
som har resulteret i grøn omstilling, både
i sektoren og ved at udbygge grønne
løsninger og kapacitet uden for virksom-
hedernes kerneforretning. Mere herom i
kapitlet ”Grøn efterspørgsel hos kunder
og til underleverandører”.
KEF, Alm.del - 2019-20 - Bilag 328: Invitation til præsentation af anbefalingerne fra klimapartnerskaberne
2202587_0014.png
14
Regeringens
klimapartnerskaber
Life science
& biotek
Egne initiativer og
anbefalinger til
regeringen
Klimapartnerskabets anbefalinger til
regeringen falder inden for de neden-
stående fire ambitionsoverliggere. Nogle
af anbefalingerne er overlappende på
tværs af hovedområderne. Samtidig er
nogle af anbefalingerne sammenfal-
dende med andre klimapartnerskaber,
hvorfor der ikke er tale om helt sektor-
specifikke tiltag.
De fire ambitionsoverliggere er:
1.
Orden i eget hus:
Vi vil sørge for orden i eget hus ved
konstant at klimaoptimere vores produktionsfaciliteter,
processer og produkter
Grøn efterspørgsel hos kunder og til underleverandører:
Vi skal være ambitiøse partnere for den grønne omstilling
hos vores underleverandører og kunder
Innovation:
Vi vil bidrage til innovative og internationale
klimaløsninger
Viden og internationalt udsyn:
Vi vil bidrage og inspirere
internationalt samt fortsat udbygge egne kompetencer
2.
3.
4.
KEF, Alm.del - 2019-20 - Bilag 328: Invitation til præsentation af anbefalingerne fra klimapartnerskaberne
2202587_0015.png
Regeringens
klimapartnerskaber
15
Life science
& biotek
1. Orden i eget hus
Vi vil sørge for orden i eget hus ved konstant at klimaoptimere
vores produktionsfaciliteter, processer og produkter.
Life science- og bioteksektoren har
i mange år selv arbejdet aktivt på at
nedbringe CO2-udledningen og leverer
desuden egentlige klimaløsninger
fra særligt bioteksiden. Det er derfor
oplagt, at sektoren fortsætter ned ad
denne vej og fortsat klimaoptimerer
både produktionsfaciliteter, processer
og produkter i både Danmark og
udlandet, hvor der haves aktiviteter.
Nedenfor fremhæves en række konkrete
eksempler på, hvordan virksomhederne i
dag arbejder med energi- og CO2-redu-
cerende tiltag – arbejde, der også i årene
fremover vil blive udviklet og udvidet:
Bygninger
Energikravene til nye bygninger er løben-
de blevet strammet, så nye bygninger
i dag bruger langt mindre energi end
gamle bygninger og i 2020 vil bruge 75
procent mindre energi end i 2006. Men
da bygninger generelt har en meget
lang levetid – ofte 100 år eller mere – vil
langt den største del af de bygninger, der
eksisterer i dag, også være i brug i 2050
(Regeringen, 2014). Life science- og
bioteksektoren har allerede gjort meget
for at optimere de eksisterende byg-
ninger med henblik på at gøre dem mere
klimavenlige, samt sikre at nybyggeri er
CO2-besparende. Siden årtusindskiftet
har sektorens virksomheder investeret
i omegnen af 20 milliarder kroner i
ombygning, udvidelse og nybygning af
produktionsfaciliteter i Danmark – inve-
steringer i selve bygningsmassen er en
central del heraf. Ifølge spørgeskemaet
for klimapartnerskabet har 50 procent
af life science- og biotekvirksomhederne
allerede investeret i deres bygninger med
henblik på at gøre dem mere CO2-opti-
merede. Der er et potentiale i at fortsæt-
te denne øvelse for at gøre bygningerne
endnu mere bæredygtige.
Produktionsanlæg
Optimering af produktionsanlæg foregår
løbende og systematisk i virksomhe-
derne – flere arbejder med dedikerede
energibesparelsesprogrammer. I for-
længelse heraf beretter en virksomhed
for eksempel, at den siden 2014 har
implementeret mere end 40 energi- og
vandreducerende tiltag. Tiltag omfat-
ter blandt andet varmegenvinding på
eksisterende og nye ventilationsanlæg,
optimering af HVAC-systemer, energi-
optimering af produktionsanlæg til
renset vand (Purified Water/WFI-
vand), energioptimering (installation af
varmepumpe) på centralvarmeanlæg,
energioptimering af trykluftanlæg og
køleanlæg, intelligent LED-lokalebelys-
ning og isolering af varmeinstallationer
og damprørføring. Eksempler på tiltag
med isolering af varmeinstallationer og
damprørføring har vist, at der alene ved
sådanne tiltag kan opnås besparelser
af en virksomheds samlede forbrug af
naturgas på 4,5 procent.
implementeret i konkret samarbejde mel-
lem virksomhed og danske universiteter.
De kemiske fremstillingsprocesser foregår
her i små 10-liters reaktorer, hvor det
aktive lægemiddelstof dannes løbende.
Det giver et markant mindre forbrug af
energi og råvarer end i den traditionelle
trinvise produktion i store 2.000-liters
reaktorer, der skal tømmes og rengøres
mellem hvert trin. Omlægning til kon-
tinuert produktion har samtidig gjort
det muligt for virksomheden at trække
produktion hjem til Danmark fra Indien.
Genanvendelse og minimering af affald
Sektoren har også igennem mange år
haft fokus på udnyttelse, genanvendelse
og minimering af affaldsstrømme. Den
18. juni 2018 åbnede Østdanmarks stør-
”Jeg ser ikke kun partnerskabet som et
mellem regeringen og industrien. Det er
et partnerskab mellem virksomhederne i
branchen om at finde nogle mere bære-
dygtige løsninger sammen.”
- Mindre medicovirksomhed
I et andet konkret og igangsat energi-
besparelsesprogram er målet i 2020 at
have reduceret virksomhedens samlede
(globale) energiforbrug med 12,9 GWh,
svarende til 10 procent af det samlede
forbrug i 2013. Målet nås ved en række
effektiviseringstiltag inden for varme og
elektricitetsforsyning (her er det globale
besparelsespotentiale op imod 8 GWh)
– og lokalt i Danmark ved at opgradere
5000 lyskilder til LED med intelligent
kontrol, udskifte 50 pumper og installere
solpaneler på fabriksbygninger. Sam-
menlagt med en række andre mindre
tiltag har virksomheden i 2019 i Danmark
opnået en samlet besparelse på cirka
450 ton CO2 (1,2 GWh).
Men også helt nye – mere effektive og
mindre CO2-belastende – produktions-
anlæg har set dagens lys. Kontinuert
produktion er en realitet, udviklet og
ste biogasanlæg, Kalundborg Bioenergi.
I det nye anlæg omdannes restproduk-
terne fra life science- og biotekfabrikker
i Kalundborg til biogas, som herefter op-
graderes til naturgas. Efter afgasning bli-
ver biomassen anvendt som gødning på
markerne. Biogasanlægget kan produce-
re otte millioner kubikmeter bionaturgas
om året. Det svarer til naturgasforbruget
hos cirka 5.000 husstande og giver en
CO2-besparelse på cirka 17.000 ton om
året. Tilsvarende omdannes 95 procent
af restprodukter fra produktionsanlæg i
Esbjerg til organisk gødning, som anven-
des af 250 landmænd i Vestjylland.
Blandt partnerskabets virksomheder
er der således eksempler på, at meget
store mængder og andele (op til 95 pro-
cent) af alt affald fra produktionen bliver
genanvendt, omdannet til biogas eller
anvendt i forbrændingsanlæg.
1
MUDP er en statslig tilskudspulje til fremme af udvikling af mere miljøeffektiv teknologi. MUDP’s fokusområder 2020 er vand og klimatilpasning, luftforurening, cirkulær økonomi,
bedre kemi og biodiversitet. Der er i alt 134 millioner kroner til rådighed til demonstration af miljøteknologiske løsninger i fuldskala (fyrtårnsprojekter) samt til udviklings-, test- og
demonstrationsprojekter).
KEF, Alm.del - 2019-20 - Bilag 328: Invitation til præsentation af anbefalingerne fra klimapartnerskaberne
2202587_0016.png
16
Regeringens
klimapartnerskaber
Life science
& biotek
Flere danske life science- og biotek-
virksomheder har været aktive partnere
i et MUDP-projekt (Miljøteknologisk
Udviklings- og Demonstrationspro-
gram), hvor der har været fokus på
genanvendelse af proceskemikalier.
Blandt lægemiddelvirksomhederne er
der eksempler på, at det er muligt at
genanvende 75 procent af de ti mest
anvendte opløsningsmidler, hvilket for
en enkelt virksomhed har overflødiggjort
nyindkøb af 5.600 ton opløsningsmid-
ler i 2018 (svarende til mere end 150
lastbiler)
1
. Men også i det små – og det
helt medarbejdernære – er der fokus på
genanvendelse og reduktion af affald.
Nogle virksomheder har for eksempel
installeret biokværne til genanvendelse
af madaffald fra medarbejderkantine, og
andre er kommet i hus med fuldstændigt
at fjerne brugen af engangsplastik.
Produkter
På produktsiden har eksempelvis
udvikling og udformning af administra-
tions-devices (lægemidler til respira-
toriske sygdomme) også betydning for
CO2-udledningen. Undersøgelser har
vist, at brugen af pulverinhalatorer er
mindre klimabelastende end inhalations-
sprays. (Det er estimeret, at en måneds
behandling med inhalationsspray har
en klimabelastning, som er 16-26 gange
større end en behandling med pulver-
inhalator – omregnet til CO2-belastning).
Årsagen til den store forskel i klima-
belastning mellem de to inhalatortyper
skyldes, at inhalationsspray indeholder
HFC, som er en gruppe af meget potente
drivhusgasser.
Hvad angår biotekprodukter, er mange
af dem i sig selv CO2-besparende. Mere
herom i kapitlet ”Innovation”.
Medarbejdere
I det løbende arbejde med klimaoptime-
ringer er virksomhedernes ansatte en
helt central ressource. Dygtige medar-
bejdere med stærke faglige kompetencer
er en forudsætning for, at nye teknolo-
gier og nye metoder kan implementeres
– det styrker produktionsvirksomhederne
og den grønne omstilling. I en under-
søgelse fra 2018 slås dette fast. Den
væsentligste årsag til, at life science- og
biotekvirksomheder ønsker at placere
sig i Danmark, er den gode adgang til
kvalificeret arbejdskraft.
Symbioser
En række life science- og biotekvirk-
somheder er i dag drivende kræfter i
veletablerede og meget succesfulde
symbiose-samarbejder. Det drejer sig
om Kalundborg Industrielle Symbiose og
Symbiose Hillerød. I symbioserne samar-
bejder virksomheder, forsyningsselskaber
og offentlige parter om at fremme bære-
dygtig innovation og vækst. Udveksling og
genbrug af energi- og affaldsstrømme er
omdrejningspunktet. Kalundborg Symbi-
osen var i 1972 verdens første industrielle
symbiose. I dag indgår 25 forskellige
ressourcestrømme fra otte virksomheder i
symbiosen, og det reducerer CO2-udled-
ningen med 635.000 ton per år.
Kalundborg Industrielle Symbiose vandt
i 2018 WIN WIN Gothenburg Sustainabili-
ty Award og er et godt billede på, hvad et
offentlig-privat partnerskab kan levere.
Hvis vi skal accelerere den positive
udvikling – og understøtte udbredelse af
de mange initiativer og tiltag, der allere-
de gøres i virksomhederne i dag – vil det
være nødvendigt at ændre regulering og
afgifter samt styrke dialog og samarbejde,
hvilket uddybes i det følgende.
1. Bedre rammer for brug af
overskudsvarme – fjern afgifter og
tilpas regulering
Ved at udnytte spildprodukter, herun-
der overskudsvarme fra life science- og
bioteksektoren, så kan sektoren bidrage
til reduktion af CO2-udledning i andre
sektorer. Hvis overskudsvarmen i dag
ønskes genanvendt, skal virksomhed-
erne betale en overskudsvarmeafgift:
Dette medfører, at det i dag er økono-
misk urentabelt at kanalisere denne
overskudsvarme over i fjernvarmenettet,
så den kan være med til at opvarme
husstande, butikker og virksomheder
mange steder i landet. I stedet sender
danske virksomheder store mængder
overskudsvarme direkte ud i atmosfæren
grundet de regler og afgifter, de ellers vil
blive pålagt. Skatteministeriet har anslået,
at den samlede spildte varme ville kunne
levere fjernvarme til 128.000 parcelhuse,
samt at det årligt koster forbrugerne 1,6
milliarder kroner for fjernvarme, som el-
lers kunne komme fra overskudsvarmen.
Hvis overskudsvarmen fra life science og
bioteksektoren udnyttes, så kan klima-
belastningen reduceres med mindst
22.000 ton CO2 og 75.000 ton importe-
ret biomasse. Alene overskudsvarmen
fra NovoZymes og Novo Nordisk i den
industrielle symbiose i Kalundborg anslås
tilsammen at fyre 1.000 terajoule op i den
blå luft på grund af de nuværende regler
og afgiftsstrukturer.
Denne pointe nævnes også i flere andre
af klimapartnerskaberne samt af Klima-
rådet
Anbefaling:
Fjern overskudsvarmeafgiften
Fjern overskudsvarmeafgiften, her-
under justering af elvarmeafgiften
og indfør initiativer for at understøt-
te genanvendelsen og for at sikre
størst mulig udnyttelse af over-
skudsvarme. Hvis man for eksempel
forenkler afgiftssystemet, således
at virksomheder kun skal betale
én energiafgiftssats, vil det for det
første betyde, at afgiften pr. udledt
CO2 er den samme for brugt energi.
For det andet vil det medføre, at der
ikke behøver at være en overskuds-
varmeafgift, hvilket vil medføre en
forsimpling af skattesystemet.
Tilpas regulering for genanvendelse af
overskudsvarme
Det skal være attraktivt for virk-
somhederne enten at genanvende
overskudsvarmen eller tilkoble over-
skudsvarme til fjernvarmenettet.
Generelt er der brug for en opdatering
af reguleringen af området set i lyset
af de forhøjede klimaambitioner. En
opdatering, som sætter helheds-
betragtninger og incitamenter til
grøn omstilling i fokus.
2. Bedre rammer for genanvendelse –
styrk den cirkulære økonomi
Life science- og biotekvirksomhederne har
– trods eksisterende genanvendelsesinitia-
tiver – yderligere potentiale til at begrænse
CO2-udledningen ved at øge graden af
genanvendelse i selve produktionen. Det
gælder brugen af materialer (herunder pro-
ceskemikalier, procesvand og procesluft),
emballage og affaldsprodukter.
Det estimeres, at lægemiddelvirksom-
hederne samlet anvender mindst 32.000
ton proceskemikalier årligt, svarende til en
CO2-udledning på 74.000 ton. Med et gen-
anvendelsespotentiale på mellem 42 og 96
procent kan der ved dette tiltag alene poten-
tielt sikres en CO2-reduktion på 15-70.000
ton. Men for at potentialet kan indfries, er
det nødvendigt at revidere rammevilkår og
”Kendte veje og nye spor til 70 procents reduktion”, 9. marts 2020
KEF, Alm.del - 2019-20 - Bilag 328: Invitation til præsentation af anbefalingerne fra klimapartnerskaberne
2202587_0017.png
Regeringens
klimapartnerskaber
17
Life science
& biotek
afklare regulatoriske udfordringer.
Også i forhold til genanvendelse af
affald er der store gevinster at hente. De
allerede igangsatte tiltag i sektoren taler
sit eget tydelige sprog. Men for at styrke
den udvikling er der behov for at skabe
bedre og ikke mindst klare rammevil-
kår for genanvendelse. I nogle tilfælde
opleves det desværre, at der er uensartet
administration af regler kommunerne
imellem, og at det er administrativt be-
sværligt at få lov til at genanvende affald.
Anbefalinger:
Benyt strategisk anvendelse af MUDP
Offentlige støttemidler, for eksempel
i regi af MUDP (Miljøteknologisk
Udviklings- og Demonstrations-
program), skal målrettes til også at
understøtte projekter med fokus
på cirkulær økonomi inden for life
science og biotek. Det kan konstate-
res, at den nuværende administrati-
on af MUDP ikke understøtter vide-
reudvikling af succesfulde projekter
med fokus på cirkulær økonomi
inden for life science og biotek.
Styrk rammer og standarder
Der skal skabes klare rammer for
myndighedernes godkendelse af
processer og produkter, hvori der
indgår genanvendte kemikalier og
materialer. Herunder er der behov
for standarder, der understøtter
genanvendelse. Inden for læge-
middelområdet er der eksempelvis
behov for vejledning om, hvordan
specifikationer for råvarer og embal-
lage, der indeholder genanvendte
dele, kan udformes, så specifika-
tionerne lever op til kvalitetskravene
defineret i lægemiddellovgivningen
– nationalt såvel som internationalt.
Gør det lettere at genanvende affald
Der er behov for ensartet klassifi-
cering af affald på nationalt niveau.
Der skal være klare standarder
for, hvad der betegnes som gen-
anvendeligt. I affaldsreguleringen
vanskeliggør definitioner af affald/
biprodukt genanvendelse af affalds-
produkter uden at blive betegnet
som affaldsbehandlingsanlæg.
Denne anbefaling skal ses i lyset af
tilsvarende anbefalinger fra klima-
partnerskabet for Affald, vand og
cirkulær økonomi.
Muliggør recirkulering af opvarmet luft
Arbejdstilsynets restriktioner ved-
rørende recirkulering af procesluft
vanskeliggør genanvendelse af alle-
rede opvarmet procesluft på trods
af eventuelt forudgående rensning i
HEPA-filter.
Særligt vedrørende emballage
og anvendt medicinsk udstyr
På baggrund af vedtagne EU-direktiver
skal der indføres nationale regler om
udvidet producentansvar for emballa-
ge og emballageaffald i alle EU-lande
senest den 31. december 2024. Det er
nyt for Danmark, der som et af de ene-
ste lande i EU ikke allerede har indført
producentansvar. Det vil påvirke hele
værdikæden fra produktion af embal-
lage og produkter til affaldsbehandling
i Danmark. Det gælder også life scien-
ce- og biotekprodukter. I udformning
af de nationale regler på området (og
indretning af tekniske/administrative
systemer) er det vigtigt at understøtte
anvendelse af genanvendt materiale til
emballage, både primær og sekundær.
Anbefalinger:
Understøt udvikling af nye teknologier
til genanvendelse
Primær medicinemballage og an-
vendt medicinsk udstyr vil ofte blive
kategoriseret som farligt affald, og
det er dermed svært genanvendeligt.
Der skal derfor iværksættes ind-
satser, der afdækker teknologier og
muligheder for at rense emballage
og udstyr, så det kan komme tilbage
i værdikæden. Særligt i forhold til
medicinsk udstyr skal der – med
henblik på transformation af medi-
cinsk affald til genanvendeligt affald
– etableres centrale sterilisations-
centre til oprensning af kontamine-
rede udstyrsdele.
Styrk dialog med myndigheder
Grundet strenge krav til medicinem-
ballage, særligt vedrørende ensar-
tethed i kvaliteten af emballagen,
kan det være vanskeligt at anvende
genanvendte materialer, da kvalite-
ten heraf i dag er svingende. Brug
af nye emballagematerialer – for
KEF, Alm.del - 2019-20 - Bilag 328: Invitation til præsentation af anbefalingerne fra klimapartnerskaberne
2202587_0018.png
18
Regeringens
klimapartnerskaber
Life science
& biotek
eksempel genbrugsmaterialer – vil
kræve dialog med og accept fra
lægemiddelmyndighederne,
nationalt og internationalt. Der skal
iværksættes dialog med virksom-
hederne, for eksempel i form af de-
dikerede dialogfora med deltagelse
af Lægemiddelstyrelsen (om muligt
repræsenterende EMA), branchefor-
eninger og virksomhedseksperter.
Undersøg mulighed for brug af eksiste-
rende verifikationssystem
I forbindelse med miljømyndig-
hedernes udvikling og imple-
mentering af en national model
til administration af udvidet
producentansvar for emballage,
skal det være let for virksomhe-
derne at håndtere differentierede
afgifter på emballage. I forhold til
indsamling af data, der under-
støtter en dansk model – for
eksempel i forhold til viden om
mængder og typer af emballage,
der bringes på det danske mar-
ked – bør det undersøges, om det
nyligt etablerede verifikationssy-
stem til sikring mod forfalskede
lægemidler kan anvendes som
praktisk/teknisk platform. Ve-
rifikationssystemet dækker alle
lægemiddelpakninger, der bringes
på markedet i EU. Pakningsspe-
cifikke stregkoder kan potentielt
suppleres med tekniske fakta om
anvendt emballage (sammensæt-
ning og vægt m.v.).
I forlængelse af ovenstående anbefalin-
ger bakker klimapartnerskabet op om
følgende anbefaling fra klimapartnerska-
bet for Affald, vand og cirkulær økonomi:
Udvikl materialegenkendelse
Regeringen bør aktivt, for eksempel
i form af forskningsmidler, og i et
samarbejde med erhvervet, arbejde
på udviklingen af et sporingssystem til
materialegenkendelse. Sporingstekno-
logi kan eksempelvis være et formt-
ryk – en stregkode – på mikroskopisk
niveau, som muliggør en meget fin
sortering af materialer. Med effektiv
sortering bliver kvaliteten af de gen-
anvendte materialer meget høj, fordi
det genanvendte materiale er mere
rent. ” Der er desuden allerede lovende
teknologier på markedet inden for
materialegenkendelse, som vil kunne
implementeres.
Regeringen bør arbejde på EU-plan
for et effektivt og udbredt system,
der som minimum fungerer i hele EU.
Danmark bør deslige undersøge mulig-
heden for at udvikle en styrkeposition
ved at være first-mover (et nyt vind-
mølleeventyr).
3. Bedre rammer for klimaoptimering af
produktionen inden for GMP
Produktion af life science-produkter er
underlagt stram regulering og kontrol,
der har til formål at sikre kvaliteten og
sikkerheden af produkterne. Den stram-
me regulering (og særligt krav til omfat-
tende dokumentation) betyder dog også,
at det er vanskeligt og omkostningskræ-
vende at ændre i produktionsforhold
og -processer. På lægemiddelområdet
reguleres fremstillingen af produkter af
regler om God Fremstillingspraksis (GMP).
GMP-reglerne er ikke statiske. Den enkel-
te virksomhed er forpligtet til at anvende
opdaterede teknologier til at sikre kvalite-
ten af virksomhedens produkter. Side-
løbende vil produktionsvirksomheder ofte
også være underlagt krav fra miljømyndig-
hederne om at anvende “Best Available
Technologies” i forhold til efterlevelse af
miljøkrav. I et regulatorisk set-up, der er
komplekst, ressourcekrævende og admi-
nistrativt tungt, er det en udfordring også
at implementere nye energibesparende
teknologier og processer med henblik på
at reducere CO2-aftryk.
Anbefalinger:
Benyt dialog og rådgivning om fleksibi-
litet inden for GMP
Kvaliteten og sikkerheden af det
færdige produkt skal naturligvis
fastholdes. Dette gælder både
lægemidler, medicinsk udstyr og
bioteknologiske produkter. Med
respekt for, at kvalitet og sikker-
hed er noget, som man bygger ind
i produktet gennem hele produk-
tionskæden (grundprincippet i
GMP og andre kvalitetssystemer),
bør det undersøges og tydeliggø-
res, i hvilket omfang og hvordan
virksomhederne (inden for de
enkelte sub-sektorer) i praksis
har fleksibilitet til ændringer af
leverandører, processer og udstyr.
Der er i den forbindelse brug
for dialog og samarbejde med
myndigheder – samt vejledning fra
myndigheder – om, hvordan leve-
randører, produktionsprocesser,
produktionsfaciliteter og udstyr
kan ændres inden for rammerne
af lægemiddellovgivningen (GMP)
og miljølovgivningen, således at
ønske om reduktion af CO2-aftryk
også kan tilgodeses. Udarbejdelse
af præ-godkendte standarder for
implementering af energi-
besparende udstyr kan være et
nyt værdifuldt redskab.
Herudover anbefaler partnerskabet:
4. Muliggør brug af elektroniske ind-
lægssedler til lægemidler – fjern krav
om fysiske indlægssedler
Fysiske indlægssedler udgør en
ikke-ubetydelig del af lægemiddel-
pakningers vægt og volumen. Fysiske
indlægssedler er således med til at øge
CO2-aftrykket via transport, der vejer
mere og fylder mere. Herudover har
selve fremstillingen af fysiske indlægs-
sedler også et CO2-aftryk.
På grund af administrative regler og
krav til opdatering af fysiske indlægs-
sedler destrueres der i dag medicin og
emballage, som er fuldt funktionsdyg-
tigt. Destruktionen i sig selv er en byrde
for miljøet, men dertil kommer også de
ekstra ressourcer, der skal anvendes for
at producere nyt samt ekstra distribu-
tion heraf. Fysiske indlægssedler skal
sikre, at patienterne har let adgang til
information om blandt andet sikker-
heden ved anvendte lægemidler. De
nuværende regler blev udarbejdet i en
tid, hvor teknologien ikke gav de
muligheder, som man har i dag for at
sikre patienterne opdateret informa-
tion om produkterne. Nye elektroniske
løsninger vil kunne sikre, at patienterne
altid har adgang til en opdateret ind-
lægsseddel. Dette er i dag ikke tilfældet
med den fysiske indlægsseddel, der er
i pakningen, når patienterne opbevarer
lægemidler i eget hjem.
Den europæiske lægemiddelmyndig-
hed, EMA, har i efteråret 2019 igangsat
en forsøgsordning, hvor der åbnes op
for supplerende brug af elektroniske
indlægssedler. Da forsøgsordningen
fastholder krav om fysiske indlægssed-
ler, sikrer ordningen desværre ikke ind-
frielse af de miljømæssige potentialer.
Den danske befolkning – herunder
også ældre – er karakteriseret ved et
KEF, Alm.del - 2019-20 - Bilag 328: Invitation til præsentation af anbefalingerne fra klimapartnerskaberne
2202587_0019.png
Regeringens
klimapartnerskaber
19
Life science
& biotek
meget højt digitalt kompetenceniveau.
Forudsætningerne er således gode for
overgang til elektroniske indlægssedler
(og udfasning af fysiske indlægssedler) i
Danmark. En dansk model kan indehol-
de mulighed for udprintning af fysisk
indlægsseddel på apoteket.
Anbefalinger:
Start dialog om indførsel af afgrænset
pilotforsøg med brug af elektroniske
indlægssedler i Danmark
Dette forudsætter indledningsvist, at
Danmark skal arbejde for at mulig-
gøre anmodning om dispensation fra
EU-krav om fysiske indlægssedler i
lægemiddelpakninger på det dan-
ske marked. Med afsæt heri tillades
det at bringe en afgrænset gruppe
af lægemidler på markedet uden en
fysisk indlægsseddel – kun med link
på yderpakningen til en opdateret
elektronisk indlægsseddel. Det sikres,
at apotekerne ved individuelt behov
kan tilbyde udprintning af en fysisk
indlægsseddel. En positiv evaluering af
et dansk pilotprojekt vil have poten-
tiale til at understøtte udfasning af
fysiske indlægssedler i Europa, hvilket
vil bidrage til en yderligere reduktion af
klimaaftrykket. Den konkrete udform-
ning af pilotforsøget skal ske i dialog
mellem Lægemiddelstyrelsen og virk-
somhederne. For at øge udbredelsen
– og dermed effekten – af pilotforsøget
bør det overvejes, hvordan forsøget på
sigt også kan rumme fællesnordiske
lægemiddelpakninger.
Harmonisér fortolkning af definition
af “release” af lægemiddel
Grundet at Lægemiddelstyrelsen
fortolker definition af “release” af
lægemiddel anderledes end andre
lægemiddelmyndigheder i EU,
giver opdatering af fysiske ind-
lægssedler (og andet pakningsma-
teriale) anledning til unødig kas-
sation af lægemidler i Danmark.
Fortolkning af denne definition
bør harmoniseres med de øvrige
EU-lægemiddelmyndigheder.
5. Revision af planloven
I forbindelse med Erhvervsministeriets
igangværende evaluering af planloven vil
det være formålstjenligt at gennemføre
justeringer, der fremmer implementerin-
gen af CO2-reducerende og
KEF, Alm.del - 2019-20 - Bilag 328: Invitation til præsentation af anbefalingerne fra klimapartnerskaberne
2202587_0020.png
20
Regeringens
klimapartnerskaber
Life science
& biotek
elbil eller en opladningshybrid som
firmabil, et fradrag på 40.000 kroner
bør forlænges – for eksempel frem
til 2025.
Gør firmabilskatten afhængig af
CO2-udledning
Det foreslås, at firmabilskatten
sænkes for grønne biler og gøres
afhængig af bilens CO2-udledning
som en del af Transportkommission-
ens arbejde.
Let regler for opsætning af
ladestandere hos medarbejdere
Regeringen bør afsøge, hvorledes
virksomheder kan opsætte en
ladestander ved medarbejderes
hjem, uden at medarbejderen bliver
beskattet heraf.
ressourcereducerende tiltag. I dag inde-
holder planloven en række begrænsnin-
ger for den grønne omstilling. Planloven
kan bruges langt mere aktivt.
Reglerne på området er så komplekse,
at de kan være vanskelige at overskue.
Det gælder for både virksomheder og de
involverede myndigheder (kommunen
og Miljøstyrelsen). Det skaber lange
og uforudsigelige sagsforløb, hvilket
hæmmer incitamenter til udvikling af
produktionsfaciliteter i Danmark. Der er
derfor behov for, at VVM-, miljøvurde-
rings- og planprocesser regelforenkles
og professionaliseres, så byrden for både
virksomheder og de myndigheder, som
skal administrere reglerne, lettes.
1
Anbefalinger
Frem bæredygtig varmeforsyning i
Planloven
Bæredygtige opvarmningsløsninger
i virksomheder kan fremmes ved i
kollektive varmeforsyningsområder
at tillade hel eller delvis afkobling
fra den kollektive forsyning, hvis
erstatningen giver en væsentlig
reduktion i CO2-emission.
Frem bæredygtig energiproduktion i
Planloven
Planlovens forbud mod solceller
og solvarmeanlæg hæmmer virk-
somhedernes investeringer i egne
bæredygtige energiløsninger. Derfor
bør et forbud mod disse installati-
oner i lokalplaner ophæves, hvilket
forudsætter ny hjemmel i planloven.
På tilsvarende vis er bebyggelses-
1
procenten i bygningsreglementet sat
til minimum 30, uanset om den er
fastsat lavere i lokalplanen. Udfor-
dringerne med for eksempel genskin
fra de blanke flader bør reguleres
med et krav til maksimal refleksion.
Definér sagsbehandling i Planloven
For at sikre forudsigelige og konkur-
rencedygtige forhold for udvidelse og
udvikling af klimavenlige produk-
tionsfaciliteter i Danmark bør plan-
loven (og tilgrænsende miljølov-
givning) definere faste og korte
sagsbehandlingstider for VVM-,
miljøvurderings- og planprocesser.
Minimumskrav til sagsbehandlings-
tider skal indskrives direkte i den
relevante lovgivning.
6. Styrk incitamenter til elektrificering
af bilpark
En ikke ubetydelig del af den reelle
CO2-emission fra life science- og biotek-
sektoren stammer fra transport, herun-
der persontransport. I dag er beskatnin-
gen for den enkelte medarbejder høj for
en el- og hybridbil sammenlignet med en
benzin- eller dieselbil. Det gør det min-
dre attraktivt at fremskynde elektrifice-
ringen af bilparken og i den forbindelse
også firmabilerne.
Anbefalinger:
Forøg incitament til grønne firmabiler
Der bør skabes incitamenter til at
vælge grønne firmabiler. Beslutnin-
gen fra finansloven for 2020 om at
give medarbejdere, der vælger en
7. Incitamenter til udveksling af ener-
gistrømme, herunder at understøtte
etablering og udvikling af symbioser
Med afsæt i den markante succes for de
eksisterende symbiosesamarbejder er
der et åbenlyst potentiale i at videreud-
vikle og udbrede symbioser. Det kræver
et forstærket offentlig-privat partnerskab
og engagement fra både virksomheder
og offentlige aktører.
Anbefalinger:
Understøt nye og eksisterende
symbioser
Offentlige aktører – myndigheder,
kommuner og uddannelsesinsti-
tutioner – bør aktivt understøtte
udvikling af eksisterende symbioser
og etablering af nye. Udvikling og
etablering af symbioser bør være et
aktivt element i erhvervspolitikken
samt lokal- og kommunalplanlæg-
ningen, både på lokalt og nationalt
niveau.
Skab flere incitamenter til symbioser
Der skal skabes flere incitamenter
til virksomheder til at investere
ressourcer i udvikling og etablering
af symbioser.
Skab digitalt overblik over symbioser
Der skal skabes et digitalt over-
blik over nuværende og potentielle
symbioser, der giver store og små
virksomheder, uanset sektor, en
mulighed for at afsøge potentialet i
at grundlægge en ny symbiose.
VVM står for Vurdering af Virkninger på Miljøet. En VVM-undersøgelse bliver foretaget på konkrete anlægsprojekter, inden bygherren får tilladelse til at gå i gang med projektet. I
miljøvurderingerne arbejder man med et bredt miljøbegreb, der udover traditionelle forureningsparametre også kan omfatte påvirkning af beskyttede naturområder, planter og dyr
samt landskab og kulturarv).
KEF, Alm.del - 2019-20 - Bilag 328: Invitation til præsentation af anbefalingerne fra klimapartnerskaberne
2202587_0021.png
Regeringens
klimapartnerskaber
21
Life science
& biotek
2. Grøn efterspørgsel hos
kunder og til underleverandører
Vi skal være ambitiøse partnere for at fremme den grønne omstilling hos vores underleverandører og kunder
Life science-sektorens primære klima-
aftryk stammer ikke fra produktionen
af virksomhedernes egne produkter.
Det er derimod underleverandørers
forsyninger til life science-virksomhe-
derne, der forårsager langt den største
CO2-udledning.
De primære faktorer for CO2-aftrykket
vedrører transport og energi, men også
øvrige typer indkøb af materialer, embal-
lage, kemi, mad/kantine samt brug af
hoteller, kursussteder mv. har betydning
for virksomhedernes samlede CO2-aftryk.
Derfor udgør sektorens vilkår for at
kunne efterspørge reelle grønne løsnin-
ger hos dets leverandører en hovedfaktor
for at kunne nå klimamålene. Klimapart-
nerskabet præsenterer i dette kapitel en
række eksempler på de initiativer, som
life science- og bioteksektoren allerede
har igangsat, samt en række konkrete
anbefalinger til, hvordan politiske initi-
ativer kan bidrage til at life science- og
biotekvirksomheder samt deres under-
leverandører og værdikæder i samspil
kan understøtte den grønne omstilling.
Samtidig peges der på konkrete anbefa-
linger til, hvordan offentlige indkøb i frem-
tiden bør indtænke klimaaftrykket som et
parameter og dermed være en generator
for at fremme den grønne omstilling.
1. Indkøb af grøn transport
Når lægemidler og medicoteknisk udstyr
er produceret, skal de transporteres
sikkert frem til sundhedsvæsener og
patienter spredt over hele kloden. Trans-
porten skal både sikre produkternes
kvalitet og bidrage til den mindst mulige
klimabelastning. De strenge kvalitetskrav
følger af reglerne for god distributions-
praksis for lægemidler (GDP). Virksom-
heder bør for fremtiden sikres tilskyndel-
se til og mulighed for at vælge de mest
klimavenlige transportmuligheder under
hensyntagen til patientsikkerheden.
Et fokusområde for mange life science-
og biotekvirksomheder er, hvordan de
kan omlægge transport til mere bære-
dygtige former. Spørgeskemaundersø-
gelsen viser således, at 50 procent af
virksomhederne overvejer konkrete tiltag
til omlægning af transport, men endnu
ikke har indført disse. Derfor vil mange
gerne i dialog med og samarbejde med
transportleverandører om mulige måder,
hvorpå de grønne former kan fremmes,
for eksempel hvad angår godstransport
og flytransport.
Life science- og bioteksektoren øn-
sker, når det er praktisk og økonomisk
muligt, at gå forrest og støtte nye og
grønne løsninger og i den forbindelse
vise vejen for samarbejdspartnere og
kunder. Et af midlerne kan være etab-
lering af et fælles og forpligtende life
science- og bioteksektorkodeks ”Green
Code Of Conduct”, der vil indeholde
grønne minimumskrav fra sektoren til le-
verandører, som sektorens virksomheder
og underleverandører kan tilslutte sig. I
dag har life science- og biotekvirksom-
heder allerede gået forrest med andre
de understøtter større anvendelse af
eksempelvis biobaserede brændsler frem
for benzin og diesel ved vejtransport,
samtidig med at der etableres incitamen-
ter inden for luftfarten med henblik på at
fremme brug af eksempelvis grøn elek-
trofuel frem for traditionelt flybrændstof.
Herunder vil et CO2-fortrængningskrav
i transportsektoren, sikre reel CO2-for-
trængning og udvikle markedet for 100
procent grønne transportløsninger.
Støt sektorkodeks ”Green Code Of
Conduct”
Regeringen bør støtte op om, at life
science- og bioteksektoren kan etablere
et fælles og forpligtende sektorkodeks
”Green Code Of Conduct”, indeholdende
grønne minimumskrav fra sektoren til
leverandører, som sektorens virksom-
heder og underleverandører kan tilslutte
”We shall really look at this topic as some-
thing we should work together on – we
should be open about what the challenges
are and about what works and what doesn’t
work in order to be climate conscious.”
- Stor dansk medicovirksomhed
typer omfattende og forpligtende sektor-
kodekser – nemlig på det etiske område
– som har resulteret i åbenhed og positiv
ændret adfærd, både blandt virksomhe-
der og deres samarbejdspartnere. Et nyt
sektorkodeks forudsætter naturligvis,
at det kan ske inden for rammerne af
konkurrencelovgivningen.
Anbefalinger:
Frem virksomheders incitamenter til at
vælge grøn transport
Der bør gennemføres initiativer, der
understøtter transportsektorens omlæg-
ning til mere klimavenlige energiformer.
Konkret kan energiafgifter omlægges, så
sig. En forudsætning for, at et sådant
kodeks kan etableres, er, at det finder
sted inden for de gældende konkur-
renceretlige regler på området. Derfor
ønskes det, at de relevante myndig-
heder i implementeringsfasen indgår
i dialog med sektoren med henblik på
at identificere eventuelle udfordringer i
forhold til lovgivningen og sammen med
sektoren identificerer mulige løsninger,
som kan sikre lovligheden. Tilsvarende
vil en offentlig certificering af, at det
endelige kodeks er i overensstemmelse
med gældende lovgivning, være ønsk-
værdig. Indfasningen bør være ambitiøs,
men også realistisk af hensyn til
KEF, Alm.del - 2019-20 - Bilag 328: Invitation til præsentation af anbefalingerne fra klimapartnerskaberne
2202587_0022.png
22
Regeringens
klimapartnerskaber
Life science
& biotek
underleverandørers omstilling for at kunne
imødekomme det nye kodeks.
Investér i mere effektiv og klimavenlig
infrastruktur
Der bør målrettet investeres i infrastruk-
tur, der udvider virksomhedernes adgang
til leverandører, der kan levere hurtig,
effektiv og rentabel klimavenlig trans-
port. Klimapartnerskabet for Life science
og biotek bakker endvidere op om klima-
partnerskabet for Landtransports forslag
om klimavenlig infrastruktur.
Styrk rammevilkår for forskning i de
grønne transportformer
Rammevilkårene for at fremme invester-
inger og forskning i de omkostnings-
effektive, grønne transportløsninger, som
sektoren efterspørger hos dens under-
leverandører, bør styrkes. Klimapartner-
skabet for Life science og biotek bakker
endvidere op om klimapartnerskabet for
Landtransports forslag om øget forsk-
ning i grønne transportformer.
2. Indkøb af grøn energi
Life science- og bioteksektoren er
afhængig af at kunne købe grøn energi til
strøm og varme hos dens leverandører i
både Danmark og udlandet.
En række life science- og biotekvirk-
somheder sætter allerede i dag mål for
overgang til vedvarende energiforsyning
fra deres underleverandører af energi.
Konkret indgås der aftaler og etable-
res ambitiøse partnerskaber, der sikrer
rentabiliteten og implementeringen af
konkrete løsninger.
En life science-virksomhed indgik
eksempelvis for flere år siden et partner-
skab med energikoncernen Ørsted. Afta-
len indebar, at Ørsted forpligtede sig til
at rådgive life science-virksomheden om
energibesparelser, mens den til gengæld
forpligtede sig til at aftage en tredjedel
af strømmen fra en ny stor vindmøllepark
ved Horns Rev ud for Esbjerg. Prisen var
højere end på den kulbaserede strøm,
men løsningen var innovativ og mate-
rialiserede sig i en CO2-reducerende
og klimavenlig energiløsning, som i dag
udgør en fordel for begge virksomheder.
Resultatet er, at virksomheden i dag
kan drive sin forretning og betydelige
produktion i Danmark udelukkende på
bæredygtig strøm.
På tilsvarende vis har en anden life
science-virksomhed indgået en ny
10-årig aftale med dets energileve-
randør, der betyder, at virksomheden
skifter 100 procent til grøn strøm fra
to splinternye solparker, som vil blive
færdigbygget i foråret 2020. Aftalen un-
derstreger virksomhedens forpligtelse
til en bæredygtig fremtid og vil samtidig
resultere i, at der etableres udbygget
grøn energikapacitet til gavn for hele
Danmark. Indgåelsen af en ambitiøs,
langsigtet aftale med ”Better Energy”,
en såkaldt Power Purchase Agreement
(PPA), skal sikre, at hele virksomhedens
årlige elforbrug i Danmark dækkes af
vedvarende energi.
Andre life science- og biotekvirk-
somheder anvender en model, hvor de
kompenserer for deres CO2-emission
fra elforbruget ved at købe et certifikat
fra deres elleverandør, der dokumente-
rer, at leverandøren køber og indløser
oprindelsesgarantier (brug af strøm
produceret af havvindmøller) hos
Energinet.dk, svarende til virksom-
hedens årlige elforbrug.
Anbefalinger:
Styrk incitamenter for indkøb af grøn
energi
Virksomhedernes viden om og
adgang til at kunne indkøbe certi-
ficeret grøn energi skal fremmes.
Konkret foreslås et offentlig-privat
partnerskab med sigte på at fremme
adgangen til køb af grøn energi i form
af langtidskontrakter – de såkaldte
PPA’er (power purchase agreement).
KEF, Alm.del - 2019-20 - Bilag 328: Invitation til præsentation af anbefalingerne fra klimapartnerskaberne
2202587_0023.png
Regeringens
klimapartnerskaber
23
Life science
& biotek
Særligt for små og mellemstore virk-
somheder kan PPA-markedet være
vanskeligt at navigere i.
Støt sektorkodeks ”Green Code Of
Conduct”
Tilsvarende som under afsnit om
”Indkøb af grøn transport” bør
regeringen støtte op om et sektor-
kodeks “Green Code of Conduct”, jf.
anbefaling herom.
3. Grønne offentlige indkøb og
forsyning til offentlige og private
Den offentlige sektor har, takket være
dens position som indkøber for fælles-
skabet, unikke muligheder for at fremme
den grønne omstilling. Den muskel bør
aktiveres via konkrete redskaber, via klare
politiske prioriteringer og ikke mindst med
den tyngde, som det offentlige rummer.
I 2018 var værdien af det offentlige
indkøb på cirka 380 milliarder kroner,
hvilket svarer til 17 procent af Danmarks
BNP. Det er så stort et beløb, at det udgør
en substantiel motor for grøn omstilling,
hvis det bliver en politisk prioritering. Skal
vi lykkes med den ambitiøse målsætning
om at reducere klimabelastningen, så
det gør en forskel globalt og fastholder
væksten i samfundet, skal den offentlige
sektor derfor også aktiveres.
Der er et stort potentiale for at opnå
CO2-reduktioner via offentlige indkøb
og udbud. Desværre forstærkes fraværet
af grønne hensyn i offentlige udbud af,
at der i rigtig mange tilfælde i praksis
alene lægges vægt på anskaffelsesprisen
– uden at have øje for de langsigtede kon-
sekvenser i forhold til såvel økonomi som
klimapåvirkning. Offentlige myndigheder
bør i stigende grad lægge vægt på andre
parametre end alene anskaffelsesprisen,
når de tildeler offentlige kontrakter for
at få de løsninger, som leverer mest på
såvel den grønne som den økonomiske
bundlinje. Der bør være fokus på totalom-
kostningerne, hvor blandt andet drift og
vedligehold er en integreret del af prisen.
Det offentliges indkøb af lægemidler
og medicoteknisk udstyr skal naturligvis
altid sikre patienternes adgang til de pro-
dukter, der leverer optimal kvalitet, sik-
kerhed og effekt på behandlingen. På den
anden side er det offentliges indkøb af
lægemidler og medicoteknisk udstyr i dag
i overvejende grad fortsat kendetegnet
ved fravær af politikker, strategier eller
kriterier, der har til formål at fremme om-
stilling til grønne produkter og løsninger
i sundhedsvæsenet. Senest har Danske
Regioner dog annonceret, at regionernes
kommende indkøbsstrategi bør inkludere
klima som et parameter, der tager hensyn
til et produkts klimaaftryk, hvormed et
produkts klimaaftryk også kommer til at
indgå i den samlede vurdering ved indkøb
i regionerne. Dette er en model, der bør
udbredes til alle indkøbsmyndigheder og
konkretiseres i indhold.
For eksempel har de fem regioner i
starten af 2020 igangsat et stort nationalt
udbud af levering af udstyr til diabetikere
i alle landets regioner. Omkring syv til otte
forskellige leverandører ventes at byde
ind på opgaven om at levere insulinpum-
per, kontinuerlige blodsukkermålere og
forbrugsrelaterede varer såsom infusions-
sæt til hospitaler og klinikker i Danmark
til en værdi på minimum en halv milliard
kroner. Udbuddets vindere bliver fundet
på baggrund af en vurdering af pris, kva-
litet og – som noget nyt – også bæredyg-
tighed. Økonomi vægtes med 45 procent,
kvalitet med 50 procent, mens bæredyg-
tighed vægtes fem procent, når det mest
fordelagtige tilbud skal identificeres.
Anbefalinger:
Inkludér klimaaftrykket som et parame-
ter i de offentlige indkøbsstrategier
Der bør gennemføres et obligatorisk
eftersyn af de offentlige indkøbs-
strategier for både stat, regioner
og kommuner med henblik på at
KEF, Alm.del - 2019-20 - Bilag 328: Invitation til præsentation af anbefalingerne fra klimapartnerskaberne
2202587_0024.png
24
Regeringens
klimapartnerskaber
Life science
& biotek
inkorporere forpligtende mål og
bæredygtige klimaelementer samt
kriterier i indkøbsstrategierne, der
sikrer en øget offentlig efterspørg-
sel efter grønne produkter. Der bør
fastlægges forpligtende milepæle
og tidsfrister for at sikre fremdrift
af det grønne offentlige indkøb og
forsyning. Efterspørgsel og tilvalg af
bæredygtige løsninger er afgørende
for, at virksomhederne sætter bære-
dygtighed i spil. Her spiller de offent-
lige myndigheder en stor rolle, da de
kan sikre kritisk masse til at udvikle
markederne og udbuddet. I den
forbindelse bør der opstilles konkrete
og langsigtede mål for indsatsen, så
leverandør siden kan omstille sig.
Anvend totaløkonomisk vurdering
som grundlag for bæredygtighed
Klimavenlige løsninger kan i flere
tilfælde være dyrere end andre
løsninger på kort sigt, men ofte
fuldt økonomisk bæredygtige på
længere sigt. Det offentlige bør gå
foran og sikre, at der bliver udviklet
markeder for nye klimaløsninger
ved at fokusere langt mere på de
samlede omkostninger – totalom-
kostningerne – og bruge livscyk-
lusanalyser (LCA’er) i projekterne.
Konkret anbefales det derfor, at der
som led i en kommende national
sundhedsplan eller reform formali-
seres mål, principper og planer for,
at det samlede sundheds væsen
skal vurdere tilbud i forhold til
totalomkostningerne og ikke alene
den simple indkøbspris. Derfor bør
eksempelvis Amgros, Medicinrådet
og Behandlingsrådet forpligtes til at
præsentere et oplæg til, hvordan og
med hvilken vægtning et produkts
klimaaftryk i fremtiden kan komme
til at indgå i den samlede vurdering
heraf i de nævnte organisationer.
Styrk det offentliges kompetence til
grønne indkøb
Stærke værktøjer og dermed øgede
kompetencer i forhold til indkøb bør
være en integreret del af udviklingen
af det offentliges indkøbsmuskel.
Der er brug for en målrettet indsats,
som vil ruste offentlige indkøbsfunk-
tioner til at anvende eksempelvis
totalomkostningsprincipper, funk-
tionsudbud og håndtere og vægte
krav om innovation i udbuddene. I
samråd med det private erhvervsliv
bør der derfor initieres en udvik-
ling af værktøjer og om nødvendigt
træning, som kan give den offentlige
sektor et kompetenceløft. Det er
også særdeles væsentligt, at der
indføres en harmoniseret tilgang til
grønne og klimarigtige indkøb. Det
er væsentligt at undgå en situation,
hvor 98 kommuner samt stat og
regioner bruger forskellige tilgange,
alle begrundet med grønne hensyn.
Det offentlige bør tilgå opgaven ens,
da det giver bedre vilkår for leve-
randørerne og dermed i sidste ende
bedre produkter og serviceydelser
for borgerne. Af netop denne årsag
anbefales det at oprette en enhed,
som kan være den organisatoriske
drivkraft om en samlet national stra-
tegi for offentlig-privat samarbejde.
En sådan enhed bør også have fokus
på evalueringsmodeller og udbrede
kendskab til, hvordan offentlige ord-
regivere optimalt kan tage hensyn
til bæredygtige løsninger fremfor
udelukkende at følge op på prisen,
herunder hvordan der udarbejdes
gennemsigtige, objektive parametre
for klimapåvirkning.
Styrk markedsdialogen for at sikre
implementering af grønne indkøb
Der bør i højere grad bruges et ”følg
eller forklar”-princip for markeds-
dialog, end hvad der sker i dag. Det
skal betyde, at der som udgangs-
punkt er dialog med markedet i for-
bindelse med udbud. Fraviges dette,
skal der være en forklaring. Mar-
kedsdialog er et centralt redskab i
udvikling, indkøb og opgaveløsning
af nye bæredygtige løsninger, som
også får innovation indarbejdet i
den fortløbende ydelse og opgave-
løsning. En solid markedsdialog vil
herudover styrke kompetencerne
hos både de offentlige indkøbere og
de private leverandører, hvilket er til
gavn for begge parter.
Indfør bæredygtighedskriterier
i sundhedsvæsenet
Kommuner, regioner og stat bør i
højere grad måles på deres klimaaf-
tryk, og om deres indkøb sker grønt
og bæredygtigt. For at animere til
et fokus på tværs af kommuner, regi-
oner og staten bør der fastlægges en
række bæredygtighedskriterier, som
sundhedsvæsenet benchmarkes ud
fra. Klimapartnerskabet for Service,
it og rådgivning foreslår en række
benchmark-parametre, som klima-
partnerskabet for Life science og
biotek bakker op om.
Frem incitamenter for klimavenlig
distributionsform fra leverandør til
privatkunde
Der bør indføres incitamenter, der
fremmer en klimavenlig adfærd
blandt private kunder i forbindel-
se med indkøb. Specifikt bør der
kigges på, hvorledes incitamenter
kan fremme en distributionsform fra
leverandør til privatkunde, der både
er klimavenlig og effektiv.
KEF, Alm.del - 2019-20 - Bilag 328: Invitation til præsentation af anbefalingerne fra klimapartnerskaberne
2202587_0025.png
Regeringens
klimapartnerskaber
25
Life science
& biotek
3. Innovation
Vi vil bidrage til innovative og internationale klimaløsninger
Danske biotekvirksomheder er blandt
de førende i verden, og innovations-
kraften er stærk. Der er en række
globale virksomheder med udspring i
Danmark, som sidder på store globale
markedsandele inden for en række
sektorer. Samtidig er der en underskov
af små og mellemstore virksomheder
og startups, der udvikler morgenda-
gens løsninger.
Danmark har universiteter i verdens-
klasse, der leverer banebrydende forsk-
ning og formår at arbejde tæt sammen
med virksomhederne for at understøtte
markedsnære biotekløsninger. Endelig
har Danmark fonde og investorer, der
bidrager med privat finansiering samt
udvikler og omsætter de spændende
innovative ideer til konkret forretning og
eksportorienterede virksomheder, som
bidrager til at løse verdens udfordringer.
Biotek er teknologi baseret på biologi.
Omdrejningspunktet for al biotekforskning,
uanset hvilken sektor løsningen peger
ned i, er en forbedring af organismer til
udførelse af praktiske opgaver og til at
forsyne mennesket med nyttige pro-
dukter. Den danske bioteksektor leverer
allerede i dag innovative og klimavenlige
løsninger på globalt plan. Produkter-
ne spænder over alt fra enzymer og
mikroorganismer til bakteriekulturer og
feromoner. Fælles for mange af disse
løsninger er, at de markant bidrager til
nedbringelse af CO2-udledning i andre
industriers fremstillingsprocesser og
slutprodukter. Det mest kendte produkt
er enzymer tilsat vaskepulver, som gør,
at vi kan vaske tøjet rent ved lavere
temperatur. For hver vask spares der
cirka 300 g CO2, hvilket på globalt plan
er millioner ton reduceret CO2. Det er
både godt for forbrugerne og klimaet.
Det estimeres, at den danske biotek-
sektors globale, grønne fingeraftryk når
ud til cirka én milliard forbrugere – hver
dag. Det kan vi med rette være stolte af.
Biotek som en dansk styrkeposition
Biotek bør være en dansk styrkeposition
og har potentiale til at blive Danmarks
næste store eksporteventyr af klima-
løsninger. Det næste vindmølleeventyr.
Danmark har uden tvivl en teknisk
førerposition og kritisk teknologisk
masse inden for bioteknologi. Vi har
videnmiljøer i verdensklasse, men vi
mangler at gøre biotek til en national
styrkeposition inden for klimaløsninger.
Med en markant satsning på uddannel-
se, forskning og innovation, samt ram-
merne for biotek startups, har Danmark
mulighed for at stå endnu stærkere
i fremtiden med biotekløsninger, der
kan bidrage signifikant til reduktion af
globale drivhusgasudledninger. Med
de rette rammevilkår kan den danske
bioteksektors fingeraftryk udvikles til at
Biotek klimaløsninger (global effekt)
Klimaløsninger indenfor biotek i 2030
Mio. tCO2e Globalt
900
800
700
600
500
400
300
200
100
26
0
Effektivt foder
Biobrændstoffer
Mikrobielle land-
brugsprodukter
Bioplast
CCUs
Alternative
Proteiner
Metan
reduktion
42
11
142
360
226
40
Industriel skala idag
Pilot og demo
Moonshot
En vask antages at være på 3 kg. tøj.
Jegannathan og Nielsen, 2013: Environmental assessment of enzyme use in industrial production – a literature review. Journal of Cleaner Production, Volume 42, March 2013, Pages
228-240 https://www.sciencedirect.com/science/article/pii/S095965261200594X
3
KEF, Alm.del - 2019-20 - Bilag 328: Invitation til præsentation af anbefalingerne fra klimapartnerskaberne
2202587_0026.png
26
Regeringens
klimapartnerskaber
Life science
& biotek
Biotek klimaløsninger (Danmark)
Klimaløsninger indenfor biotek i 2030
Mio. tCO2e Globalt
4,00
3,50
3,00
600
2,50
2,00
1,50
1,00
0,50
0,00
0,21
Effektivt foder
Biobrændstoffer
Mikrobielle land-
brugsprodukter
Bioplast
CCUS
Alternative
proteiner
Metan-
reduktion
1,00
0,13
0,35
0,15
0,83
0,85
Industriel skala idag
Pilot og demo
Moonshot
blive et af de vigtigste instrumenter i
klimakampen og et dansk eksport-
eventyr. I særdeleshed har biotek mulig-
hed for at bidrage med klimaløsninger
inden for fødevare- og landbrugs-
sektoren samt ikke mindst transport- og
energisektoren. Det er sektorer, hvor der
på globalt plan er markant behov for
udvikling af nye klimaløsninger.
Udviklingen af bioteksektoren bør
indtænkes i nationale strukturer, i
forhold til forskning, uddannelse og
investering, og være en central del
af det grønne diplomati. Udviklingen
af biotekløsninger bør – på linje med
løsninger inden for kemi, katalyse, fysik
mv. – prioriteres i et nationalt videns-
center, hvor der findes løsninger til
klimaudfordringen i samarbejde mellem
universiteter, virksomheder og på tværs
af sektorer. Mere herom i næste kapitel
“Viden og internationalt udsyn”.
Mange af de rette komponenter til en
dansk styrkeposition er der altså – og
verden kommer i stigende grad til at
efterspørge biotekløsninger. Løsnin-
gerne bør omsættes til internationale
styrkepositioner. Derfor skal hele
værdikæden aktiveres fra uddannelse
og forskning over langsigtede og stabile
rammebetingelser for at tiltrække invest-
eringer og til internationalt samarbejde
og eksport. Til det skal der tænkes på
tværs af både industri og politik.
I dette kapitel vil klimapartnerskabet
for Life science og biotek præsentere
nogle af de klimaløsninger, som sekto-
ren kan bidrage med i bestræbelserne
på at mindske CO2-udledningen i både
Danmark og verden.
Bemærk, at der i det kommende
kapitel alene fremgår løsningsspecifikke
anbefalinger. Generelle anbefalinger
inden for bioteknologi vil kunne findes i
kapitlet ”Viden og internationalt udsyn.”
Oversigt over biotekløsningernes
potentiale og modenhed
Indledningsvist præsenteres biotek-
løsningerne, der vil blive foldet ud i det
efterfølgende, i en skala baseret på
modenhed og CO2-reduktionspotentiale:
1.
Industriel skala:
Løsninger, der kan
tages – og i nogen grad er taget - i
brug i dag i global skala under de
rette rammevilkår
2.
Pilotprojekter:
Løsninger, der på
mellemlang sigt (i perioden 2025-
2030) kan nå industriel skala, men
som kræver politisk vilje og res-
sourcer til at modnes
Moonshot:
Løsninger, der kan nå
industriel skala efter 2030, og som
kræver gennembrud i forskning og
udvikling og/eller gentænkning af
systemer og markeder
3.
Det vurderes, at biotekløsningerne præ-
senteret i dette kapitel har et betydeligt
reduktionspotentiale inden for følgende
klimapartnerskaber: Fødevare- og land-
brugssektoren, Landtransport, Energi-
tung industri, Produktionsvirksomhed,
Energi- og forsyningssektoren, Luftfart,
Det Blå Danmark samt Affald, vand og
cirkulær økonomi
Klimapartnerskabet for Life science og
biotek har været i dialog med alle nævn-
te klimapartnerskaber med henblik på
koordination, hvor det har været muligt.
KEF, Alm.del - 2019-20 - Bilag 328: Invitation til præsentation af anbefalingerne fra klimapartnerskaberne
2202587_0027.png
Regeringens
klimapartnerskaber
Life science
& biotek
Klimaeffekt af
biotekløsninger
Industriel
skala
1.1 Effektivt foder (kylling, svin
og kvæg)
Klimaeffekt - Danmark:
210.000
ton CO
2
i 2030
Klimaeffekt - gGobalt:
26
mio. ton CO2 i 2030; mulig reduktion
med eksisterende løsning: 26 mio. ton CO
2
Relateret
klimapartnerskaber
Fødevare- og landbrugssektoren
2.1 Brug af bæredygtige biobrændstoffer som fortrængning
af fossile brændstoffer
Klimaeffekt - Danmark:
1
mio. ton CO
2
Klimaeffekt - Globalt:
42
mio. ton CO
2
Landtransport og logistik
Luftfart
Det Blå Danmark
Affald, vand og cirkulær økonomi
Fødevare- og landbrugssektoren
Pilot
1.2 Mikrobielle bioalternativer til pesticider og kunstgødning
Klimaeffekt - Danmark:
12.500 ton CO
2
Klimaeffekt - Globalt:
11 mio. ton CO
2
Fødevare- og landbrugssektoren
Energitung Industri
2.2 Produktion af
bioplast
Klimaeffekt -
Danmark:
150.000
ton CO
2
Klimaeffekt - Globalt:
142
mio. ton CO
2
Affald, vand og cirkulær økonomi
Moonshot
1.3 Metanreduktion fra kvægproduktion
Klimaeffekt - Danmark:
850.000
ton CO
2
Klimaeffekt - Globalt:
40
mio. ton CO
2
Fødevare- og landbrugssektoren
1.4 Alternative proteiner til fødevarer og foder
Klimaeffekt - Danmark:
830.000
ton CO
2
Klimaeffekt - Globalt:
236
mio. ton CO
2
Fødevare- og landbrugssektoren
Affald, vand og cirkulær økonomi
Handel
2.3 Biotekløsninger til CCUS
Klimaeffekt -
Danmark:
350.000
ton CO
2
Klimaeffekt - Globalt:
360
mio. ton CO
2
Produktionsvirksomhed
Energitung Industri
Energi- og forsyningssektoren
Affald, vand og cirkulær økonomi
26
KEF, Alm.del - 2019-20 - Bilag 328: Invitation til præsentation af anbefalingerne fra klimapartnerskaberne
2202587_0028.png
Regeringens
klimapartnerskaber
28
Life science
& biotek
1.Biotekløsninger inden for
fødevareproduktion og landbrug
Biotekløsning 1.1:
Mere effektivt foder til svin, kyllinger
og kvæg
Relateret klimapartnerskab:
Fødevare- og landbrugssektoren
Fjerkræ er blevet forbrugernes foretruk-
ne kød på markeder over hele verden. I
OECD-landene alene er fjerkræforbruget
steget mere end 70 procent siden 1990.
Da den globale efterspørgsel fortsætter
med at vokse, kræves der nye løsninger
for at producere fjerkræ mere effektivt
og bæredygtigt end i dag.
Til eksempel har to globale biotekvirk-
somheder, herunder en dansk, lanceret
et enzym med en probiotisk-lignende
virkning, der tilsættes foder til slag-
te- kyllinger og øger fodereffektiviteten
med tre procent, samtidig med at det er
muligt at nedsætte forbruget af antibio-
1
tika. Hvis dette enzym blev brugt til alle
slagtekyllinger i alle lande på de ameri-
kanske kontinenter, vil CO2-udledning-
en blive reduceret med 4,2 millioner ton
årligt. I Danmark vil reduktionen i CO2
være ca. 24.000 tCO2 ved tre procent
øget effektivitet.
Såfremt alle slagtekyllinger globalt får
en sådan type enzym tilsat foderet, kan
der opnås en CO2-reduktion på op til 14
millioner ton CO2 ved tre procent effek-
tivitet.
1
Ved eksempelvis ti procent øget
effektivitet vil reduktionen i Danmark
stige til 81.000 ton og til 48 millioner ton
CO2 på globalt plan alene.
Potentialet ved svinefoder er endnu
større: En forbedring af foderoptag til
svin på tre procent i Danmark alene vil
nedsætte udledningerne med 185.000
ton CO2, og skaleret til globalt plan
er det 12 millioner ton CO2. Ved en ti
procent forbedring vil potentialet være
henholdsvis 640.000 ton CO2 og 40
millioner ton CO2.
En anden global biotekvirksomhed
med aktiviteter i Danmark har ligeledes
en bred vifte af blandt andet enzym- og
kulturløsninger, der kan reducere klima-
belastningen, forbedre dyrevelfærd samt
reducere antibiotikaforbruget i forhold
til forskellige typer af husdyr. På samme
vis producerer en stor dansk virksomhed
probiotikatilskud til dyr, der kan øge ef-
fektiviteten af mælkeproduktionen med
op til tre procent og samtidig reducere
karantænegivende sygdomme.
Virkemidlet har allerede industriel
skala for foderprodukter til både svin
og kyllinger. Der er dog mulighed for at
opnå yderligere effektivitetsforbedringer
og at realisere større markedsandele
med de rette rammevilkår, der under-
støtter udbredelsen af mere effektivt,
bæredygtigt foderforbrug, som samtidig
kan sænke antibiotikaforbrug.
Dansk Erhverv-udregninger
KEF, Alm.del - 2019-20 - Bilag 328: Invitation til præsentation af anbefalingerne fra klimapartnerskaberne
2202587_0029.png
29
Regeringens
klimapartnerskaber
Life science
& biotek
Anbefalinger:
Indfør lovgivning, der
understøtter øget fodereffektivitet
Regeringen bør arbejde for at
indføre lovgivning på nationalt og
EU-plan, der understøtter øget
fodereffektivitet, samt ingredienser
der samtidig kan sænke brugen af
antibiotika i husdyr
Prioritér midler til yderligere
forskning i fodertilsætningsstoffer
Der bør prioriteres forsknings- og
udviklingsmidler til yderligere udvik-
ling af løsninger, de r kan have gavn-
lige miljø- og klimaeffekter gennem
fodertilsætningsstoffer, så man kan
øge effektiviteten og anvendelsen til
andre afgrøder
Biotekløsning 1.2:
Fortrængning af kemiske
pesticider og kunstgødning
Relaterede klimapartnerskaber:
Fødevare- og landbrugssektoren,
Energitung Industri
Mikrobielle landbrugsprodukter kan øge
afgrødeudbyttet og erstatte kemiske
pesticider og kunstgødning, samtidig
med at det reducerer CO2-udledning
fra landbrugsjorde. Mikrober kan gøre
landbruget mere robust og mindre føl-
somt over for ekstremt vejr som tørke og
høje/lave temperaturer. Det vil desuden
være muligt at sikre ti procent gennem-
snitlig udbytteforøgelse ved biogødning
uden ekstra gødning på sigt, hvilket
vil gavne både den enkelte landmand,
forbrugerne og samfundet.
Cirka tre procent af globale drivhus-
gasudledninger kommer fra produktion
af ammoniak til kunstgødning og brugen
deraf. Dertil kommer produktion og brug
af pesticider, som ligeledes har et stort
energiforbrug. Der er altså tale om et
markant reduktionspotentiale. Bioalter-
nativer til kunstgødning vil kunne øge
binding af CO2 og kvælstof i jorden,
og de vil – udover en reduktion af CO2
ved øget brug – også kunne medvirke
til grundvandsbeskyttelse, samt at man
undgår pesticidrester i fødevarer.
Eksempelvis findes der et biogød-
ningsprodukt fra en stor dansk biote-
kvirksomhed, der øger tilgængeligheden
af fosfor til planten og sikrer større
udbytte af afgrøderne, samt større
1
rodvækst. Hvis dette produkt bruges på
alle majsafgrøder i USA, vil det kunne
reducere CO2-udledninger med 3,9
millioner ton om året. Et andet eksem-
pel er en anden mindre danskbaseret
virksomhed, der anvender biologisk
producerede insektferomoner som en
bæredygtig metode til at reducere bru-
gen af traditionelle kemiske insekticider
mod skadevoldende insekter. En tredje
dansk virksomhed producerer ligeledes
biopesticider og biogødning, der kan
bruges til soya- og kaffeplanter, og som
øger udbyttet med henholdsvis 13 og 23
procent.
Løsningerne inden for bioalternative
gødningsprodukter findes både på indu-
striel skala og på pilotskala-niveau. Det
drejer sig især om udpinte jorde, hvor
CO2-bindingen kan øges væsentligt.
Der er en række produkter på markedet
allerede i dag, men der sker stor udvik-
ling på området. Der udvikles løbende
forbedrede produkter, der på sigt kan
konkurrere direkte med kemisk frem-
stillede pesticider og kunstgødning. Der
udvikles eksempelvis biologiske gød-
ningsprodukter, der kan binde kvælstof
i jorden, optage større mængder CO2 fra
luften og binde i jorden ved rodnettet,
samt kan sikre mod udvaskning. Meget
udvikling foregår i USA, hvor en lang
række mindre virksomheder er ved at
etablere sig på et hastigt voksende mar-
ked, ligesom de store kemivirksomheder
er i gang med at udvikle bio-porteføljer.
Indtil videre er udviklingen ikke lige så
stor i Europa. For biokontrolprodukter
er der stor aktivitet i Europa og hos
innovative europæiske virksomheder,
men en videre udvikling og produktlan-
cering holdes tilbage af en lang godken-
delsesprocedure (samme overordnede
procedure og regelsæt for alle plante-
beskyttelsesprodukter).
Med effektiviteten på eksisterende
produkter inden for biogødning er der
et potentiale på CO2-besparelser på
12.500 ton CO2 i Danmark og 10 millio-
ner ton CO2 globalt, hvis alle hvede- og
majsmarker tilføres disse produkter. Der
er stort potentiale til at øge effektivite-
ten.
Anbefalinger:
Arbejd for en ambitiøs EU Green Deal
Regeringen bør arbejde for en
ambitiøs europæisk Green Deal (jf.
anbefalingen i næste kapitel vedr.
viden og internationalt udsyn),
herunder CAP-reform og Farm to
Fork strategi, der indebærer et øget
fokus på biologiske alternativer til
pesticider og kunstgødning og øget
fodereffektivitet, samt reduktion af
brug af antibiotika.
Arbejd for en fast track-godkendelse
for nye biotekløsninger
Regeringen bør arbejde for en fast
track-godkendelse på EU-niveau
for gennembrudsløsninger inden
for bioteknologi, eks. bio-pesticider
eller bio-gødning.
Gør brug af moderne genteknologi
tilgængelig
Man bør gøre brugen af genteknolo-
gi tilgængelig, som kan understøtte
udvikling af løsninger med større
potentiale til reduktion af pesticider
og kunstgødning. Moderne gentek-
nologi, som eksempelvis CRISPR,
kan være med til at øge udbyttet af
afgrøder, gøre planter mere klima-
robuste, binde CO2 og kvælstof i
planten og rodnettet og sikre mod
udvaskning.
Afsæt midler til videreudvikling af
biologiske alternativer til pesticider og
kunstgødning
Eksempelvis igennem GUDP.
Biotekløsing 1.3:
Metan-fri kvægproduktion
Relateret klimapartnerskab:
Fødevare- og landbrugssektoren
Metan er en kraftig drivhusgas, som er
25 gange mere potent end CO2. Land-
brug står globalt for 14 procent af alle
menneskeskabte drivhusgasudlednin-
ger, mens det i Danmark står for cirka
20 procent alene. Metanudledning fra
drøvtyggere, herunder i særdeleshed
kvæg, står for 40 procent af landbrugets
samlede udledning. Det er i alt over tre
gigaton CO2 om året.
1
Metan er et naturligt biprodukt fra
foderfermentering i vommen. Der er en
indsats inden for landbrugssektoren for
at finde måder at reducere emissionen
af metan fra drøvtyggere. En metode
er at vælge køer, der er genetisk dis-
poneret til at udsende mindre metan,
da køer varierer i, hvor meget metan
de udsender. En anden er ændring af
sammensætningen af koens mikrobiom
Kilde: Making Cattle more Sustainable, University of California, Davis, 2019
KEF, Alm.del - 2019-20 - Bilag 328: Invitation til præsentation af anbefalingerne fra klimapartnerskaberne
2202587_0030.png
Regeringens
klimapartnerskaber
30
Life science
& biotek
(bakteriesammensætning i vommen),
for eksempel ved tilsætning af særlige
bakterier til foderet og brug af nye
fodertilsætningsstoffer.
2
Som eksempel har en europæisk
biotekvirksomhed for nyligt søgt om
EU-godkendelse af et fodertilsætnings-
stof, som skulle kunne reducere metan-
udledning med 30 procent.
3
Det er endnu for tidligt at vurdere,
hvad reduktionspotentialet er. Hvis man
antager en mulig reduktion på 20 pro-
cent ved hjælp af bioteknologiske løs-
ninger i fremtiden, vil det have en effekt
på 0,85 millioner ton CO2 i Danmark og
40 millioner ton CO2 globalt.
Anbefaling:
Afsæt yderligere midler til videre
forskning inden for metanreduktion i
kvægproduktion
Etablér internationalt samarbejde på
tværs af virksomheder og universiteter
Der bør etableres internationalt
samarbejde på tværs af virksom-
heder og universiteter for at finde
en eller flere relevante løsninger.
Opdagelser i et land skal kunne
inspirere videreudviklingen i et
andet. Virksomheder med forskellige
ekspertisefelter bør inddrages inden
for områderne ingrediens, biotek,
foder og mælkeproducenter.
Biotekløsning 1.4:
Produktion af alternative proteiner til
fødevarer og foder
Relateret klimapartnerskab: Fødevare-
og landbrugssektoren, Affald, vand,
cirkulær økonomi samt Handel
I 2017 udgjorde danskproduceret protein
cirka 1,65 millioner ton, svarende til 61
procent af det samlede proteinbehov til
foderforbrug, hvoraf korn og græs-
afgrøder giver de to største bidrag. Hertil
kommer et forbrug baseret på importeret
foder på cirka en million ton protein,
hvoraf sojaprodukter udgør 64 procent.
Produktion af alternativ protein til foder
og direkte til fødevarer via biotekno-
logiske løsninger rummer er en stor
potentiel bidragsyder til reduktion af
CO2. Både i Danmark og globalt. Det er
eksempelvis muligt at producere føde-
vare- og foderproteiner ved fermentering
af mikroorganismer. Potentialet er stort,
og nogle projekter er allerede i gang.
Kommercialisering, teknologisk udvik-
2
3
ling og større forbrugerefterspørgsel er
nødvendig og kræver investeringer og
politisk vilje. Den danske bioteksektor er
godt positioneret til at blive leverandør af
løsninger til produktion af nye proteiner.
Til sammenligning med koncentreret valle-
protein, vil mikrobielle proteiner have et
anslået CO2-aftryk, der er 70 procent
lavere. Hvis alternative proteiner ved
bioteknologiske løsninger kan erstatte
blot fem procent af de animalske prote-
iner i fødevarer, vil det svare til reduk-
tioner på 400.000 ton CO2 i Danmark
og 188 millioner ton CO2 globalt i 2030.
Alternative proteiner kan erstatte fx soja
i foder, hvor en erstatning vil have en
effekt på 430.000 ton CO2 i Danmark
og 48 millioner ton CO2 globalt i 2030.
Hvis vi i Danmark kan producere protein
bæredygtigt, er det med stor gevinst for
miljøet og klimaet, samtidig er der et be-
tydeligt internationalt eksportpotentiale.
Der findes flere råvareområder for frem-
tidig produktion af alternative proteiner
i Danmark. Landbaserede råvarer, eks.
afgrøder som græsser, kløver, lucerne,
hestebønner eller andre bælgplanter,
har alle et højt indhold af proteiner. En
anden mulighed er at indvinde proteiner
fra havet. Det sker gennem opdræt og
dyrkning af f.eks. mikroalger, muslin-
ger og tang, men i nogle tilfælde også
gennem høst af vilde organismer, som
ikke i dag udnyttes kommercielt. Det
er også muligt at udvinde proteiner fra
rest- og sidestrømme fra f.eks. fødeva-
reindustrien eller andre virksomheder,
hvor der er store mængder vegetabilske
eller animalske rest- og sidestrømme.
Rest- og sidestrømme fra slagterier kan
for eksempel oparbejdes til specielle
protein-ingredienser til fødevare- og
foderbrug med høj værdi. Produktion af
insekter til foder- og fødevarebrug har li-
geledes et betydeligt potentiale. Produk-
tion af proteiner fra mikrobiel biomasse
(SCP) er særligt interessant, da det hviler
på samme metode som produktion af
enzymer og mikroorganismer. Produktion
af SCP vil helt naturligt sameksistere
med produktion af andre typer alterna-
tive proteiner, eksempelvis fra græs via
grøn bioraffinering, bælgplanter, fra tang
eller insekter. Der er behov for en række
forskellige proteinkilder for at opnå den
optimale ernæringsmæssige kost.
Anbefalinger:
Opstil klart mål for national produktion
af proteiner
Danmark bør have et klart mål
om national produktion af protei-
ner, herunder i særdeleshed med
henblik på foderprotein til animalsk
protein og human føde, og det bør
prioriteres som særligt fokusområde
inden for forskning- og udvikling,
eks. gennem øremærkede midler.
Øremærk offentlige midler til forskning og
udvikling indenfor alternative proteiner
Der bør afsættes en betydelig andel
offentlige midler til forskning, udvik-
ling og innovation inden for alter-
native proteiner, hvis Danmark skal
forrest i udviklingen. Eksempelvis
bør offentlige institutioner under-
støtte en række pilot- og demonstra-
tionsforsøg
i samarbejde mellem universiteter
og virksomheder, ligesom der bør
investeres i skalering, således at
løsningerne kommer hurtigere på
markedet
Afsæt midler til tværfaglige klimaløsninger
Klimapartnerskabet foreslår at
der afsættes (udover de allerede
besluttede klimaallokeringer) i alt en
milliard kroner per år via Innovati-
onsfonden og GUDP til forskning in-
denfor af tværfaglige klimaløsninger,
herunder til udvikling af alternative
proteiner. Midlerne skal komme fra
tilførsel af yderligere midler i en 10-
årig periode.
2. Biotekløsninger inden for
transport & bioraffinering
Biotekløsning 2.1:
Brug af bæredygtige biobrændstoffer
som fortrængning af fossile brændstoffer
Relaterede klimapartnerskaber:
Landtransport og logistik, Luftfart, Det
Blå Danmark, Affald, vand og cirkulær
økonomi samt Fødevare- og landbrugs-
sektoren
Transportsektoren har en helt sær-
lig udfordring i forhold til den grønne
omstilling og en emissionsfri fremtid.
Der er ingen tvivl om, at særligt person-
biler vil blive omstillet til elektricitet,
som er den mest lovende teknologi på
nuværende tidspunkt, men udskiftnin-
https://dca.au.dk/en/current-news/news/show/artikel/methan-fra-koboevser-kan-reduceres-via-to-fronter/
https://www.landbrugsinfo.dk/kvaeg/foder/tilsaetningsstoffer/sider/kn_20_5098_nyt_foderadditiv_kan_reducere_metanudledning.aspx
4
https://www.drawdown.org/solutions/food/plant-rich-diet).
5
https://static1.squarespace.com/static/585c3439be65942f022bbf9b/t/5d7fe0e83d119516bfc0017e/1568661791363/RethinkX+Food+and+Agriculture+Report.pdf.
KEF, Alm.del - 2019-20 - Bilag 328: Invitation til præsentation af anbefalingerne fra klimapartnerskaberne
2202587_0031.png
31
Regeringens
klimapartnerskaber
Life science
& biotek
gen af hele bilparken vil tage mange år.
Levetiden for biler i Danmark er 15 år,
så selv med en hastig elektrificering af
bilparken, vil der stadig være cirka 2,5
millioner person-, vare- og lastbiler med
forbrændingsmotor i Danmark i 2030.
Det er en udfordring, som bioteksekto-
ren kan bidrage til svaret på.
Biobrændstoffer benyttes allerede i
Danmark i dag, hvor der er lovkrav om
iblanding af 10 procent biobrændstoffer
i benzin og syv procent biodiesel i fossil
diesel. Biodiesel fra dedikerede olieaf-
grøder som raps, soja og oliepalmer (1.
generation biodiesel) er genstand for
heftig debat, fordi koblingen til det glo-
bale marked for vegetabilske olier kan
forårsage indirekte drivhusgas-emissio-
ner relateret til udvidelse af landbrugs-
arealet i Sydamerika og Asien. Dette
betegnes også som ’indirekte ændringer
i arealanvendelse’ eller ILUC (Indirect
Land Use Change). Medtages dette i
1
2
beregningen af drivhusgas-emissioner,
er 1. generations-biodiesel ikke længere
et grønt alternativ til fossile brændsler.
1
Derimod kan ætanol baseret på
hvede, majs eller sukkerafgrøder (1.
generation bioætanol) give en reel
reduktion af drivhusgasser ved for-
trængning af benzin – også når ILUC-
effekten medtages. Endvidere kan både
såvel ætanol som biodiesel fremstilles
ud fra restprodukter, hvorved man får
en endnu bedre drivhusgas-fortræng-
ning.
Den 1. generation bioætanol, der blev
brugt i EU i 2018, havde samlet set
en fortrængning på 50 procent CO2 i
forhold til benzin.
2
Når afgrøder som
majs og hvede raffineres til bioætanol,
udnyttes sukkerfraktionen til at pro-
ducere ætanol. Proteinfraktionen er en
sidestrøm, som sælges videre til højvær-
difoder til landbruget. Dermed bruges
foderafgrøder som hvede og majs altså
både til foder og biobrændstoffer, hvil-
ket er med til at øge værdiudnyttelsen
af ressourcerne og bidrage til cirkulæ-
re bioressourcer og dermed forbedre
klimaaftrykket.
Selvom 1. generations bioætanol fra
hvede, majs og sukkerafgrøder ikke er
en perfekt løsning, så kan det være et
klimamæssigt bedre alternativ end fos-
sile brændsler, og kan derfor overvejes
som overgangsløsning i opfyldelsen af
70 procent målet i 2030 i Danmark. På
samme måde har vi i dag fortrængt kul
på danske kraftværker med biomasse i
form af træflis og træpiller. Biobrænd-
stoffer med reel CO2-fortrængning
er en nødvendig del af løsningen for
en omstilling af transportsektoren på
kort sigt. Når andre teknologier, såsom
elektrofuels eller brint, er modne, skal
disse tages i brug og erstatte 1. genera-
tionsbrændsler.
Klimarådet 2018.
Intern beregning på baggrund af markedsdata fra ePURE/Klimarådet
KEF, Alm.del - 2019-20 - Bilag 328: Invitation til præsentation af anbefalingerne fra klimapartnerskaberne
2202587_0032.png
Regeringens
klimapartnerskaber
32
Life science
& biotek
Avancerede biobrændsler
Avancerede biobrændsler har langt
højere fortrængningseffekt end både
fossile og 1.g biobrændstoffer, fordi de
er baseret på restprodukter og dermed
ikke har en negativ ILUC-effekt fra
arealanvendelse. Det er helt afgørende,
at anvendelsen af biobrændstoffer i
transportsektoren har en reel CO2-for-
trængning i forhold til fossile brændsler.
Derfor bør produktionen af avancerede
biobrændstoffer, og andre typer bære-
dygtige alternativer til fossile brænd-
stoffer, tilskyndes.
Danmark har et særligt potentiale
for produktion af avanceret bioætanol,
eksempelvis baseret på halm som er et
restprodukt i landbruget. Der er inte-
resse fra virksomheder i at etablere et
større bioraffineringsanlæg beliggende i
Danmark, som kan være fyrtårnsprojekt
for andre lignende bioraffineringsanlæg
globalt. På et sådant anlæg kan der
produceres avanceret bioætanol til lette
køretøjer, mens der samtidig udvikles
løsninger til flydende brændstoffer i
tungere dele af transporten: Lastbiler,
skibe og fly – sektorer, hvor der i dag
ikke er reelle grønne alternativer.
Disse anlæg kan samtidig bruges til at
raffinere biomasse om til andre produk-
ter – eks. foder, ingredienser til fødeva-
rer og biopolymerer. Der er potentiale til
en ny dansk styrkeposition, hvis de rette
virksomheder involveres, og rammevil-
kårene understøtter det.
Det er ikke bare avanceret bioætanol,
som er interessant. Der forskes og
udvikles også i løsninger til at produ-
cere avanceret biodiesel, eks. baseret
på alger og tang. Både mikroalger, halm
og andre biomasser fra enten afgrøder
eller reststrømme kan altså bidrage til
omstillingen i transporten.
På kort sigt vil de avancerede bio-
brændstoffer formentlig blive anvendt
til landtransport, eksempelvis tung
transport. I takt med, at den nødvendige
elektrificering for alvor bryder igennem,
kan bioraffineringsanlæggene omstilles
til at producere brændstoffer til skibe
og fly. Allerede i dag er udviklingen i
gang med at udvikle eksempelvis lig-
nin-ætanol oil (LEO) til skibe og butanol
som flybrændstoffer. Disse kan udvikles
og produceres på bioraffineringsanlæg,
eksempelvis i Danmark.
Med ambitiøse krav om fortrængning
af CO2 i ikke-elbiler, for eksempel 30
procent i Danmark og 20 procent i
resten af verden, vil der være store
reduktioner at hente. Hvis biobrænd-
stoffer står for halvdelen af forpligtel-
sen, svarer det til reduktion af 1 milli-
oner ton CO2 i Danmark. Konservativt
skønnet vil biobrændstoffer reducere
40 mio. tonCO2 globalt.
Anbefalinger:
Fastsæt bæredygtighedskrav for anven-
delse af biomasse
Det er afgørende, at brugen af bio-
brændstoffer er bæredygtig og sikrer en
reel CO2-fortrængning, når ILUC-effekt
indregnes. Klimapartnerskabet foreslår
derfor fastsættelse af et bæredygtigheds-
krav til anvendelse af biomasse i trans-
portsektoren, energisektoren og til indu-
striel anvendelse som fx substitution af
plastik. Disse skal tage højde for ILUC-ef-
fekt, beskyttelse af regnskov og særligt
kulstofholdige jorde, sikre biodiversitet
og understøtte en cirkulær bioøkonomi,
hvor restprodukter bruges til eksempelvis
proteiner i foder/fødevarer m.m.
Indfør CO2-fortrængningskrav i trans-
portsektoren, der sikrer reel CO2-for-
trængning
Partnerskabet foreslår et 30 pro-
cent teknologineutralt fortræng-
ningskrav for landtransport
1
i 2030 i
Danmark. Det vil favorisere de mest
bæredygtige biobrændstoffer, eks.
avancerede biobrændstoffer frem
for 1. generations bioethanol og helt
udelukke brugen af eks. biodiesel
baseret på raps og palmeolie.
Tilskynd brug og produktion af avance-
rede biobrændstoffer
Klimapartnerskabet foreslår en am-
bition om at etablere et (eller flere)
bioraffineringsanlæg i Danmark,
der blandt andet kan producere
avancerede biobrændstoffer, eks.
baseret på halm. Disse anlæg kan
samtidig bruges til at raffinere
forskellige typer biomasse til andre
produkter – eks. biobrændstoffer,
foder, ingredienser til fødevarer og
bioplastik. Det skal derfor også fun-
gere som testcentre for fremtidige
løsninger og basis for etablering af
produktion af electrofuels.
CO2-fortrængningskravet bør sikre
incitament til brug af avancerede
biobrændstoffer som en del af
2030-forpligtelsen.
Biotekløsning 2.2
Produktion og genbrug af
bæredygtige polymerer/plastik
Relateret klimapartnerskab:
Affald, vand og cirkulær økonomi
Biobaseret plast/polymerer kan frem-
stilles af biologiske ressourcer som
sukkerrør, halm, kartofler eller alger
– ofte med lavere kulstofemissioner
end petro-baseret plast. Det meste
bioplastik bruges i emballage, men kan
i stigende grad også findes i tekstiler,
medicinalvarer og elektronik. Biote-
kvirksomheder har en helt central rolle i
udvikling af løsninger inden for produk-
tion, genanvendelse og nedbrydelse af
bioplastik. Danske forskere på univer-
siteterne og i virksomhederne er langt
fremme i forhold til at udvikle processer
og enzymer baseret på plantefibre.
2
Hvis bioplast udgør 25 procent af
dette, svarer det til en reduktion på
150 ton CO2. Lægges de samme antag-
elser til grund for de globale reduktion-
er, svarer det til 350 millioner ton CO2
i 2030.
De bioraffineringsanlæg, som vil
kunne omdanne biomasse til avance-
rede biobrændstoffer til biler, marine-
brændstoffer eller flybrændstoffer fra
for eksempel halm, kan bruge samme
ressource til at raffinere bioplastik
(eller endda alternative proteiner eller
biokemikalier). Cellulose- og ligninde-
len kan raffineres til forskellige typer
biopolymerer. Dermed kan samme
raffineringsanlæg først løse en omstil-
Biobrændstofstyper
1. generations
biobrændstoffer er
baseret på fødevareafgrøder. For 1.
bioethanol er det eks. korn, sukker
eller majs. For 1.g biodiesel er det eks.
palmeolie, raps, eller soya.
Ved produktion af biobrændstoffer
baseret på afgrøders bruges protei-
ninfraktionen i dag til dag foder.
2. generations
biobrændstoffer er
baseret på brugt fritureolie eller
animalsk fedt. Avancerede biobrænd-
stoffer
(omtales nogle gange også
som 2.g)
er baseret på restprodukter
fra en lang række forskellige ressour-
cer, eks. halm, græs, tang, alger og
indeholder også biogas.
For den ikke-elektrificerede del af transportsektoren.
https://mfvm.dk/fileadmin/user_upload/MFVM/Miljoe/Biooekonomi/Baeredygtige_byggeklodser_til_fremtiden.pdf.
3
https://innovationsfonden.dk/sites/default/files/2019-11/innovations-fund-denmark-climate-solutions-panel-updated-plausible-solutions.pdf.
1
2
KEF, Alm.del - 2019-20 - Bilag 328: Invitation til præsentation af anbefalingerne fra klimapartnerskaberne
2202587_0033.png
33
Regeringens
klimapartnerskaber
Life science
& biotek
lingsudfordring i transportsektoren og
dernæst plastindustrien, når teknologi-
en modnes, og markederne i højere grad
efterspørger bæredygtige polymerer. Det
sikrer kaskadeudnyttelse af biomassen.
Der er en udfordring i at sikre, at poly-
mererne er bæredygtige og kan gen-
anvendes, men samtidig sikrer hold-
barhed. Der findes allerede mange
typer bioplastik på markedet, men man
bør tilskynde løsninger, der sikrer høj
bæredygtighed – for eksempel polymerer
baseret på restprodukter og affald.
Anbefalinger:
Implementér en aftale om national
strategi for bioøkonomi
Regeringen bør støtte op om anbefalin-
gen herom fra Det Nationale Bioøkono-
mipanel.
Understøt bæredygtige polymerer
Bæredygtige polymerer bør efter-
spørges af markedet ved hjælp af
blandt andet standarder og offentli-
ge grønne indkøb.
Certificér ressourcer til biopolymerer
Det er afgørende at sikre, at bio-
masseressourcer til produktion af
biopolymerer kommer fra bæredyg-
tige kilder. Disse skal certificeres i
lighed med bioressourcer brugt til
kraftvarme og i transportsektoren.
Biotekløsning 2.3:
Biotekløsninger til Carbon Capture,
Utilization & Storage (CCUS)
Sektorer, som løsningen er særligt
relevant for: Produktionsvirksomhed,
Energiintensivtung industri, Energi-
og forsyningssektoren, samt Affald,
vand og cirkulær økonomi
Der er stort potentiale i udnyttelse eller
lagring af overskydende CO2 fra indu-
strielle processer som f.eks. biogasan-
læg, cementproduktion og kraft-
varmeanlæg. Hertil kommer biologiske
processer, f.eks. gæring eller fermenter-
ing fra enzymproduktion, biogaspro-
duktion eller insulinproduktion, der alle
udleder CO2. Produktionsanlæggene,
der driver disse processer, kan dermed
fungere som punktkilde til opsamling af
CO2. Biotek har en række mulige svar
på, hvordan overskydende CO2 først
kan opsamles og sidenhen genbruges
til nye anvendelser og produkter eller
lagres. Potentialet er enormt, men tek-
nologierne er stadig umodne, og det er
stadig usikkert, om de vil slå igennem i
stor skala inden 2030.
Der findes en større underskov af
[https://innovationsfonden.dk/sites/default/files/2019-11/innovations-fund-denmark-climate-solutions-panel-updated-plausible-solutions.pdf]
KEF, Alm.del - 2019-20 - Bilag 328: Invitation til præsentation af anbefalingerne fra klimapartnerskaberne
2202587_0034.png
Regeringens
klimapartnerskaber
34
Life science
& biotek
etablerede biotekstartups, der arbejder
med opfanget CO2 som en værdifuld
ressource i en lang række processer og
slutprodukter, for eksempel brændstof-
fer, fødevareproteiner, biokemikalier,
bioplast og endda kræftmedicin. Der
er således en række mulige biotekløs-
ninger, der kan bidrage til at udnytte
potentialet til at lagre og genbruge CO2.
Danske universiteter forsker i at udvikle
en metode til at opfange overskydende
CO2 fra biogas. Ved hjælp af enzymer
føres CO2 gennem lange rør og kommer
i kontakt med en væske, som består af
forskellige tilsætningsstoffer, der kan
hjælpe med at optage CO2 i væsken.
Når CO2 er fanget, kan den bruges til
en række anvendelser. Et eksempel er
elektrofuels. Et andet er at producere
fødevare- og foderprotein fra mikro-
alger, hvor CO2 bruges som vækstme-
die. Forskning og udvikling af disse
mikroalger er allerede i gang i samarbej-
de mellem danske universiteter og virk-
somheder, men der er stadig et stykke
vej til, at produkterne er på markedet.
Global CO2 Initiative har estimeret, at
der er potentiale til, at CCU-teknologier
allerede i 2030 kan reducere globale
udledninger med ti procent, svarende
”Vi skal have styr på eget hus i Danmark -
men problemerne skal løses globalt”
- Stor international farmavirksomhed
til cirka 3,6 milliarder ton CO2. Det er
dog vanskeligt at anslå potentialet for
biotekløsninger, der kan bidrage til CO2
lagring eller udnyttelse, da det kræver
en vis teknologisk udvikling for at nå
først pilot- og dernæst skalerings-
fase inden for de relevante teknologier,
samt markant understøttende offentlig
investering. Hvis bioteksektoren formår
– og det er naturligvis meget spekula-
tivt – at have aftryk på 10 procent af det
fremtidige ”marked” for CCU-teknologier,
svarer det til besparelser på 360.000
ton CO2 i Danmark og 900 millioner ton
CO2 globalt.
Anbefalinger:
Formulér national strategi for Carbon
Capture Utilization & Storage
Strategien bør sætte rammevilkår,
forsknings- og udviklingsmæssig
fokus, kortlægge barrierer og anbe-
fale nødvendig infrastruktur
Integrér væsentlige CO2-punktkilder i
fremtidens energisystem
Integration af væsentlige punkt-
kilder af CO2 bør indtænkes i plan-
lægning af fremtidens energisystem
i Danmark og EU, herunder eks. ved
bioraffineringsanlæg og fermen-
teringsprocesser
Støt flagskibsprojekter inden for CCUS
Uddel udviklings- og etablerings-
støtte til flagskibsprojekter inden
for Carbon Capture Utilization &
Storage, der kan understøtte tekno-
logisk udvikling af løsninger til lag-
ring af CO2 og udnyttelse af CO2,
eksempelvis til Power-to-X eller til
produktion af alternative proteiner,
polymerer, biokemikalier mv.
4. Viden og internationalt udsyn
Vi vil inspirere og bidrage internationalt, samt fortsat udbygge egne kompetencer
Den danske life science- og bioteksektor
er global af natur. En stor portion af
virksomhederne har nok dansk ophav,
men er i allerhøjeste grad globale aktører
med produktion, forskningscentre og
kontorer fordelt i alle verdenshjørner.
Hertil kommer en betydelig gruppe
datterselskaber fra internationale
koncerner, der har besluttet at etab-
lere sig i Danmark og bidrage til vores
dynamiske sektor. Det er således en
gennemgående tendens, at virksomhe-
derne i sektoren opererer med globale
koncernmål modsat snævre nationale
klimamål. Vores fodaftryk i Danmark
er simpelthen for lille til andet, og
det giver ikke mening at differentiere
mellem Danmark og udlandet. Derfor er
udgangspunktet for klimapartnerskabet
for Life science og biotek, at klimafor-
andringerne skal bekæmpes internatio-
nalt, og at regeringen bør sætte sig for
bordenden af en sådan indsats. Både
for at sikre at danske klimaløsninger får
international gennemslagskraft, og for
at sikre at vores mangeårige erfaring
med at klimaoptimere produktions-
faciliteter, processer og produkter deles
på tværs af sektorer og landegrænser.
Forskning og udvikling er hjulene, der
får life science- og bioteksektoren til at
køre rundt. Ny viden og innovation er
med andre ord alfa omega for sektorens
fortsatte fremdrift og fremtidige
succes - også når det gælder den
grønne omstilling. I spørgeskemaunder-
søgelsen fremgår det, at 90 procent af
respondenterne har sat mål for reduktion
af deres klimabelastning på tværs af både
store, mellem og små virksomheder. Men
undersøgelsen viste samtidig, at over
50 procent af de adspurgte virksom-
heder ikke har udviklet konkrete KPI’er
til at måle fremdrift i reduktionen af
deres klimabelastning. Der er således
et behov for at udveksle erfaringer og
best-practices på miljøområdet, både
life science- og biotekvirksomhederne
imellem og på tværs af sektorer. Dette
vil især understøtte den grønne omstil-
ling hos SMV’er, der ofte ikke selv har
nødvendige ressourcer til at foretage
miljøberegninger og derfor oplagt kan
hente inspiration i de erfaringer, en
række af de især store virksomheder
har gjort sig.
Endelig er der et ønske og behov for
at understøtte sektorens høje produkti-
vitet og fortsatte globale konkurrence-
dygtighed ved at styrke rammerne for
KEF, Alm.del - 2019-20 - Bilag 328: Invitation til præsentation af anbefalingerne fra klimapartnerskaberne
2202587_0035.png
35
Regeringens
klimapartnerskaber
Life science
& biotek
forskning og udvikling, samt naturviden-
skabelig undervisning fra grundskole til
de videregående uddannelser. Det vil
også blive foldet ud i dette kapitel, der
samtidig er den sidste ambitionsoverligger
i klimapartnerskabet for Life science og
biotek.
1. Styrket dansk klimaengagement
i EU og globalt
Regeringen bør udnytte det grønne
momentum, der er mobiliseret under
forkvinden for Europa-kommissionen,
Ursula von der Leyen, og som hoved-
sageligt er forankret i arbejdet om
udmøntningen af European Green Deal.
EU er for Danmark det vigtigste interna-
tionale forum for at influere den grønne
dagsorden globalt med mærkbare
policy-initiativer til følge. Dette bør for
eksempel inkludere adfærdsregulerende
politikker, der vil mindske CO2-udled-
ningen på globalt plan, samt standardi-
serede grønne materialestandarder og
indkøbskrav.
Det er essentielt, at nationale myndig-
heder gives de nødvendige ressourcer
til at engagere sig aktivt i internationalt
myndighedsarbejde, der har betydning
for udformning og håndhævelse af
regler på life science- og biotekområ-
det, der sætter rammer for miljø- og
klimapåvirkninger. Danmark og danske
myndigheder bør på både europæisk
og globalt plan arbejde for udvikling og
fortolkning af GMP-reglerne, således at
disse understøtter en let og harmonise-
ret implementering af nye klimavenlige
produktionsfaciliteter, -teknologier og
-processer. Et aktivt engagement fra
dansk side vil være et vigtigt bidrag til
at sikre, at reguleringen af life scien-
ce-produkter tilgodeser hensyn til både
patientsikkerhed og klima.
Anbefalinger:
Advokér for en ambitiøs EU Green Deal,
der indeholder grønne standarder for
leverandører og materialer, samt øget
fokus på biologiske alternativer
I forbindelse med arbejdet om ud-
møntningen af policy-direktiverne
i EU’s Green Deal, bør regeringen
arbejde for etablering af stan-
dardiseret materiale- og leveran-
dørmærkning, som muliggør, at
virksomheder på et transparent og
sammenligneligt grundlag kan væl-
ge underleverandører og indkøbe
materialer efter deres klimaaftryk.
Erfaringerne fra Svanemærket og
EU-blomsten bør blive brugt i for-
bindelse med arbejdet som inspira-
tion. Hertil bør regeringen advokere
for CAP (Common
Agriculture Policy)-reform og Farm
to Fork strategi, der indebærer et
øget fokus på biologiske alternati-
ver til pesticider og kunstgødning
og øget fodereffektivitet, samt
reduktion af brug af antibiotika.
Slutteligt bør regeringen advokere
for, at de grønne policy-initiativer
fra EU Green Deal – så vidt
muligt – indarbejdes i internationale
frihandelsaftaler.
Styrk dansk engagement i
internationalt myndighedsarbejde
Det er afgørende, at relevante
nationale myndigheder, herunder
Sundhedsministeriet og Lægemid-
delstyrelsen engagerer sig aktivt
i EU-fora (fx EMA) for at varetage
danske interesser og synspunkter
i forbindelse med sektorspecifikke
miljøindsatser og -tiltag på EU-
niveau. Det drejer sig konkret om
“European Union Strategic Ap-
proach to Pharmaceuticals in the
Environment”
(fremlagt marts 2019)
samt revision af “Guideline on the
Environmental Risk Assessment of
medicinal products for human use”
KEF, Alm.del - 2019-20 - Bilag 328: Invitation til præsentation af anbefalingerne fra klimapartnerskaberne
2202587_0036.png
Regeringens
klimapartnerskaber
36
Life science
& biotek
(udkast fremlagt november 2018).
Konkretisering og implementering
af disse initiativer bør inddrage
europæiske sektorsynspunkter,
som partnerskabet bakker op
om, se for eksempel Joint Press
Statement of the Inter Associa-
tions Initiative Pharmaceuticals
in the Environment Task Force
on the European Union Strategic
Approach to Pharmaceuticals in
the Environment samt Eco-Phar-
maco-stewardship (EPS). I forlæn-
gelse heraf vil partnerskabet også
anbefale, at danske myndigheder
engagerer sig aktivt i The Interna-
tional Council for Harmonisation
(ICH), der på globalt plan arbejder
for at harmonisere kravene til læ-
gemidler - lægemiddeludvikling og
lægemiddelproduktion.
Advokér for intelligente emissionsredu-
cerende incitament- og afgiftsstruktu-
rer i EU-regi
Life science- og bioteksektoren er
optaget af, at der bliver skabt incita-
menter til reelle adfærdsændringer,
der vil mindske CO2-udledninger
på globalt plan. Klimapartnerskabet
foreslår derfor implementeringen af
en emissionsreducerende incita-
ment- og afgiftsstruktur i EU-regi, så
det driver en adfærdsændring hen
imod mindre forurenende processer,
handlinger og indkøb samt et “for-
ureneren betaler”-princip. Afgiften
skal tage hensyn til de bærende
principper om ikke at fordre social
skævhed, samt at tage hensyn til
danske virksomheders internationa-
le konkurrenceevne.
Arbejd for en revision af EUs GMO-di-
rektiv, som sikrer en innovationsvenlig
regulering, der samtidig tager højde for
sikkerhedsdimensionerne
Med EU-domstolens kendelse (i sag
C-528-16, 25. juli 2018) om reguler-
ing af anvendelse af nye gentekno-
logier skabes der desværre en række
udfordringer for den europæiske
biotekindustri, herunder industriens
mulighed for at bidrage til
bæredygtighed og klimaneutrali-
tet. Domstolens afgørelse betyder,
at nye genteknologier falder ind
under GMO-Direktivet (2001/18-ud-
sætningsdirektivet) om genetisk
1
modificerede organismer. Det nuvæ-
rende direktiv er imidlertid baseret
på en ikke tidssvarende teknolo-
gisk forståelse, hvor teknologiske
landvindinger skete i langsommere
tempo end i dag. Siden direktivets
vedtagelse er der løbende udviklet
nye genteknologier, for eksempel de
såkaldte genredigeringsteknologier
som Talens og CRISPR/CAS9. Re-
geringen bør arbejde for en revi-
dering og opdatering af direktivet
således, at vi får en reel innovati-
onsvenlig regulering, der samtidig
sikrer en nødvendig risikovurdering
af løsninger frembragt med de nye
værktøjer. Reguleringen bør se på
den ændring, der er skabt, og ikke
på hvilken teknologi der er anvendt
til at skabe ændringen og have en
regulatorisk byrde, der er proportio-
nal med den ændring, der er skabt.
2. Styrkede rammevilkår
for øget forskning og udvikling
For at den danske life science- og
bioteksektor fortsat kan bidrage til
samfundet i form af høj beskæftigelse,
skatteindtægter, eksport og udviklingen
af morgendagens klimaløsninger, er det
relevant at se på, om rammevilkårene
for forskning og udvikling kan styrkes
yderligere i et stadig mere konkurrence-
præget marked.
Forskning og udvikling er fundamentet
for et globalt konkurrencedygtigt Dan-
mark og er hjulene, der får life scien-
ce- og bioteksektoren til at køre rundt.
Alene inden for lægemiddelforskning
er Danmark det land i verden, der ligger
helt i top, hvad angår private investerin-
ger i lægemiddelforskning.
1
Også inden
for biotek bliver der tilført store private
summer til forskning. Eksempelvis inve-
sterede de to største danske biotekvirk-
somheder, Chr. Hansen og Novozymes, i
2019 tilsammen mere end 2,6 milliarder
kroner i direkte forskning og udvikling.
Dertil kommer de betydelige fondsmid-
ler fra private fonde, der er nøglespillere
til at finansiere store dele af den danske
forskningsverden, som Novo Nordisk
Fonden og Lundbeckfonden blandt
mange andre.
Anbefalinger
Indfør et internationalt konkurrence-
dygtigt forsknings- og udviklingsfradrag
på 130 procent
Et skattefradrag på 130 procent for
private investeringer i forskning og
udvikling er et centralt rammevilkår
for at øge investeringerne i Danmark
såvel som at øge innovationshøjden
i life science- og bioteksektoren.
Både for at bibeholde sektoren som
en vækstkraft i dansk økonomi med
betydelige eksport- og beskæfti-
gelsestal, og for at gøre det mere
attraktivt at investere i fremtidens
grønne løsninger på dansk grund.
Life science- og bioteksektoren har
allerede demonstreret en betydelig
indsats i forhold til historisk at have
klimaoptimeret produktionsfacilite-
ter, processer og produkter. Denne
indsats er i særdeleshed vigtig at
sikre for at underbygge sektorens
mulighed for at kunne overkompen-
sere på 70 procent målet i 2030. Det
danske niveau for fradrag af forsk-
nings- og udviklingsaktiviteter (FoU)
ligger i den absolut laveste ende i
OECD
2
Rapporten fra Skatteministe-
riet viser, at den samfundsmæssige
gevinst af privat forskning overstiger
virksomhedernes gevinst. For at
fremme virksomhedernes forsk-
ningsinvesteringer, har en række
OECD-lande – herunder en række
af vore nabolande - valgt at give et
ekstraordinært fradrag for virksom-
hedernes investeringer i forskning og
udvikling. Danmark halter således
bagefter, og det er ganske enkelt
mere attraktivt at investere i en
række af vores nabolande. Det med-
fører, at danske virksomheder får
mindre forskning for pengene, end
deres udenlandske konkurrenter gør.
Forøg forskningsmidler til at under-
støtte udvikling af fremtidens grønne
løsninger inden for bioteknologi
Forskningen bør styrkes markant
igen, herunder til midler til grund-
forskning, for at fastholde og
udbygge biotek som en unik dansk
styrkeposition. Staten bør under-
støtte markedsdreven innovation
via nichemarkeder gennem støtte
til særlige teknologiområder med
unikt potentiale i forhold til klima-
reduktioner, som eksemplet har
været med vindenergi og biogas.
Bioteknologiske løsninger, som ud-
dybet i den tredje ambitionsoverlig-
ger, er eksempler på områder med
Lif, Lægemiddelindustriens nøgletal 2019
OECD Economic Surveys DENMARK, januar 2019). Det medfører, at det bliver mindre rentabelt at bedrive FoU i Danmark, ligesom danske virksomheders konkurrenter i udlandet
får mere forskning for pengene. En analyse fra Skatteministeriet fra 2018 viser, at når skattefradraget til virksomhederne øges med en procent, så øger virksomhederne også deres
forskningsinvesteringer med en procent (http://www.skm.dk/media/1735416/Studie-af-litteraturen-om-effekter-af-skatteincitamenter-til-private-FoU.pdf
2
KEF, Alm.del - 2019-20 - Bilag 328: Invitation til præsentation af anbefalingerne fra klimapartnerskaberne
2202587_0037.png
37
Regeringens
klimapartnerskaber
Life science
& biotek
dette unikke potentiale. Konkret
foreslås det, at der afsættes 2-3
milliarder kroner til investeringer
i biotekløsninger gennem Vækst-
fonden. Midlerne skal komme fra
allokering af eksisterende midler,
herunder en andel fra Danmarks
Grønne Fremtidsfond samt tilførsel
af yderligere midler.
Fortsæt investeringer i GUDP-program-
met samt innovations- og eksportstøtte
Partnerskabet anbefaler et øget
niveau af offentlige investerin-
ger i teknologi, fortsættelse af
GUDP-programmet og innovations-
samt eksportstøtte. Det er nød-
vendigt, at regeringen og statslige
fonde som Innovationsfonden og
Vækstfonden prioriterer og støtter
forskningsmiljøer og sikrer forsk-
ningsmidler til bioteknologi for at
sikrer fortsat vækst og udvikling.
Partnerskabet foreslår desuden at
afsætte i alt en milliard kroner per
år via Innovationsfonden og GUDP
til forskning inden for biotekløs-
ninger, herunder til udvikling af
alternative proteiner. Midlerne skal
komme fra allokering af eksisterende
midler og tilførsel af yderligere
midler. Det bemærkes, at regerin-
gen prioriterer 12 milliarder kroner
i Danmarks Grønne Fremtidsfond,
hvorunder biotek også er en del
af dens investeringsfokus, hvilket
er meget positivt. Partnerskabet
mener, at der er behov for særligt
fokus på klimaløsninger inden for
biotek, kemi, katalyse med videre,
og at der bør afsættes i alt 2 milliar-
der kroner til investeringer i biotek-
løsninger gennem Vækstfonden for
at sikre markedsmodning og skale-
ring af innovative teknologier inden
for biotek. Midlerne skal komme fra
allokering af eksisterende midler,
herunder en andel fra Danmarks
Grønne Fremtidsfond, samt tilførsel
af yderligere midler.
Forøg risikovillighed i forskning og in-
novation, eksempelvis gennem længere
bevillinger og friere mandat til forskning
Der bør afsættes markant flere
midler til fri forskning og grund-
forskning på universiteter og videns
institutioner. Den frie forskning er
lige så vigtig som anvendelses-
orienteret forskning, idet man her-
igennem kan få belyst problemstil-
linger og forsket i teknologier, som
man ikke nødvendigvis fra centralt
hold havde regnet med ville være
forbundet med et grønt potentiale.
Konkret kan bevillingen til Danmarks
Frie Forskningsfond øges.
Herudover anbefaler partnerskabet
Nedsæt vækstteam for bioteknologiske
klimaløsninger
Regeringen bør nedsætte et vækst-
team, der kan bidrage til at forløse
potentialet i bioteknologi og sikre
en stærk dansk styrkeposition
herindenfor.
Indfør helhedstankegang ift. værdi-
kæden af finansieringsmuligheder
Der er behov for en strømlining af
værdikæden af finansieringsmulig-
heder. Fra forskning til seed-
funding, via venture funding til
etablerings- og innovationsstøtte
samt eksportstøtte. Dette gælder
for både offentlige midler og kanali-
sering af privat finansiering. Midler
fra det offentlige og private fonde
bør i højere grad samtænkes.
Eksempelvis ved at der er en natur-
lig overgang for universitets-star-
tups til etablerede virksomheder:
Indledningsvis offentlige midler,
dernæst i stigende grad private
midler fra fonde og investorer.
Indhent inspiration internationalt for
at fremme grønne investeringer og
finansiering
Regeringen kan med fordel drage
inspiration i USA og England, som
har fuldt fradrag for investerin-
ger i innovative SMV’er samt fuld
skattefrihed for gevinst i sådanne
selskaber. Yderligere bør regeringen
kigge mod vores nordiske naboer
og for eksempel Business Finland,
KEF, Alm.del - 2019-20 - Bilag 328: Invitation til præsentation af anbefalingerne fra klimapartnerskaberne
2202587_0038.png
Regeringens
klimapartnerskaber
38
Life science
& biotek
det finske finansieringsagentur for
innovation og forskning, der blandt
andet bidrager til finansiering af
bioteknologiske anlæg.
3. Udvikling og spredning af
kompetencer
For at finde modne, mulige CO2-reduce-
rende løsninger, øge antallet af specia-
lister inden for de naturvidenskabelige
discipliner og sikre de rette kompeten-
cer til at arbejde i den danske life scien-
ce- og bioteksektor, for at væksten kan
holde, er det nødvendigt at sikre den
fortsatte udbygning af kompetencer i
Danmark. I den forbindelse har part-
nerskabet en række konkrete forslag til,
hvordan man kan sikre en fortsat udvik-
ling og spredning af videnopbygning og
specialistkompetencer.
Anbefalinger:
Etablér et storstilet nationalt videns-
center, der udvikler løsninger til klima-
udfordringen og samarbejder med
virksomheder om den grønne omstilling
Centret bør samle uddannelse,
forskning og innovation på tværs af
videninstitutioner og virksomheder
samt tiltrække forsknings- og ud-
viklingsmidler og privat finansiering.
Fokus er på multidisciplinære natur-
og ingeniørvidenskabelige løsninger
inden for biotek, geologi, kemi og
katalyse. Videncenteret vil kunne
hjælpe virksomheder med beregning
og sammenligning af processer og
indkøb med henblik på klimabe-
lastning. Dette vil især være til gavn
for SMV’er og startups, der ikke har
de fornødne ressourcer til at fore-
tage sådanne beregninger selv. En
kerneopgave for et sådant videncen-
ter vil således være at facilitere best
practice deling inden for og på tværs
af sektorer.
Forøg grønt fokus i folkeskolen, på ung-
domsuddannelserne og videregående
uddannelser
Der skal en række forskellige res-
sourcer til at sikre den grønne om-
stilling. Det er vigtigt, at der tænkes
på tværs af fagene i både folkeskole,
ungdomsuddannelser og de vide-
regående uddannelser. Det handler
både om at have stærke tekniske og
naturvidenskabelige løsninger samt
”We find it positive that we can work
together with other companies and hear
about each others activities and share our
own experiences. Learning from other com-
panies that is ahead of us will be beneficial.”
- Mellemstor farmavirksomhed
stærke samfundsvidenskabelige og
humanistiske uddannelser til at sikre
salg og implementering. Den grønne
omstilling skal have fokus i hele
uddannelsessystemet, så Danmark
kan positionere sig som global hub
for klimavidenskab. Hertil er det
afgørende, at der gøres en indsats
for at tiltrække udenlandske stude-
rende for at sikre en kritisk masse af
talentfulde kandidater og ny viden.
Dette vil støtte udvikling og imple-
mentering af grønne løsninger inden
for life science og biotek.
Styrk indsats ift. entreprenørskab på
uddannelser, samt bedre rammer for at
etablere spinouts fra universiteter
Partnerskabet bakker op om rege-
ringens ambition om at nedsætte et
partnerskab for viden og vækst, der
skal rådgive regeringen om at skabe
gode betingelser for at kommerciali-
sere blandt andet offentlig forskning
og udvikling.
Lemp regler for tiltrækning af højt-
uddannet, kvalificeret udenlandsk
arbejdskraft
Danmark bør positioneres som et
attraktivt arbejdsmarked for uden-
landske studerende og højtuddan-
net arbejdskraft. I dag modsvarer
det danske arbejdsudbud ikke
erhvervslivets efterspørgsel, hvilket
også gør sig gældende inden for life
science og biotek. Desuden er det
vanskeligt at tiltrække kvalificeret
arbejdskraft fra de øvrige EU-lande.
Partnerskabet foreslår derfor at
sænke beløbsgrænsen til 325.000
kroner, samt at det ikke alene er
lønnen, der er inkluderet i grund-
laget for lønudregningen. Desuden
foreslås en åbning af mulighederne
for at foretage lønudbetalinger til
udenlandske konti, samt endelig
en modernisering af positivlisten.
Således at det er kompetencer frem
for uddannelse, der er styrende for,
hvem der kommer på listen.
KEF, Alm.del - 2019-20 - Bilag 328: Invitation til præsentation af anbefalingerne fra klimapartnerskaberne
2202587_0039.png
39
Regeringens
klimapartnerskaber
Life science
& biotek
Processen i
klimapartnerskabet
Klimapartnerskabet for Life science og
biotek blev lanceret den 13. november
2019 sammen med de øvrige klimapart-
nerskaber på Marienborg. Formanden var
inden da blevet udpeget af regeringen,
og valget var faldet på Lars Fruergaard
Jørgensen, administrerende direktør for
Novo Nordisk. Sekretariatet blev delt mel-
lem Dansk Erhverv og Lif (Lægemiddelin-
dustriforeningen), som desuden har haft
en meget bidragende og aktiv formands-
virksomhed for bordenden. I det daglige
arbejde er sekretariatet derfor udgjort af
Novo Nordisk, Dansk Erhverv og Lif. Der-
udover har Dansk Industri, Dansk Biotek,
Medicoindustrien og Erhvervsministeriet
bidraget aktivt til processen for at sikre
fælles fodslag og medlemsinddragelse.
Systematisk inddragelse af sektoren i
kortlægningsarbejdet
Opdraget fra regeringen var klart:
“Rege-
ringen ønsker (...) at indgå et tæt samar-
bejde med erhvervslivet i form af klima-
partnerskaber med fokus på, hvordan
erhvervslivet og regeringen i samarbejde
kan bidrage til at løse klimaudfordringer-
ne på en måde, der samtidig understøtter
dansk konkurrenceevne, eksport, job,
velfærd og velstand samt ikke skaber
øget ulighed.”
Derfor blev erhvervslivet
inviteret til at give input til et foreløbigt
bud på, hvad sektoren umiddelbart kan
bidrage med, herunder:
Foreløbige reduktionsambitioner og
2030-vision
Forslag til konkrete tiltag, som sekto-
ren selv kan foretage for at reducere
udledningerne
Identifikation af barrierer og ramme-
vilkår for yderligere drivhusgasreduk-
tion og grøn konkurrenceevne.
regeringen i marts 2020.
Kort tid efter nedsatte formanden et
virksomhedsudvalg bestående af 11 virk-
somheder, der tilsammen repræsenterer
mere end 85 procent af udledningerne
inden for life science og biotek i Dan-
mark. I sammensætningen af partner-
skabet var det centralt for formanden at
favne bredt fsva. pharma, medico samt
rød og hvid biotek. Ligesom at det var vig-
tigt, at sammensætningen afspejlede den
faktiske life science-sektor i Danmark
fra små innovative startups, der arbejder
med potentielt disruptive teknologier, til
store aktører med betydelige produkti-
ons- og forskningsaktiviteter i Danmark
og globalt.
Formålet med virksomhedsudvalget er,
at disse 11 virksomheder skulle give de-
taljeret input og rådgivning til formanden
med udgangspunkt i, hvordan sektoren
kan bidrage til at løse klimaudfordrin-
gerne på en måde, der understøtter grøn
konkurrenceevne samtidig med, at den
grønne omstilling af samfundet finder
sted.
De basale tal for omfanget af partner-
skabet – herunder dets emissioner – er
givet fra Erhvervsministeriet og Energi-
styrelsen. Det gælder både baseline for
1990, den aktuelle udledning og fordelin-
gen af samme (2017), samt en tidsserie
for den økonomiske udvikling fra 2001
til 2017.
For at give perspektiver på effekten
af tiltagene, har Dansk Erhvervs ana-
lyseafdeling regnet på relevante tal og
effekter for udvalgte tiltag. Dette er sket
med afsæt i de af Erhvervsministeriet og
Energistyrelsen angivne emissionsfakto-
rer og modeller.
Udregningerne er endvidere blevet til i
samarbejde med Copenhagen Economi-
cs, som har bistået undervejs.
For at sikre solid validering af rappor-
ten og i særdeleshed af talmaterialet, så
har rådgivningsvirksomheden Viegand
og Maagøe lavet to runder af reviews på
både beregninger og rapporten. Dermed
er input også eksternt valideret.
Repræsentanterne fra de 11 virksomheder
i virksomhedsudvalget var følgende:
ALK-Abelló
Carsten Hellmann, CEO
BioPhero
Kristian Ebbensgaard, CEO
BioSyntia
Morten Sommer, Co-Founder/
Scientific Director,
DTU BioSustain
Coloplast
Christian Bo Petersen,
SVP, Payers & Trade
Demant
Trine Kromann Mikkelsen
VP, Corporate Communication
& Relations
Ferring
Marianne Kock, CEO
Gubra
Henrik Blou, CEO
LEO Pharma
Mette Vestergaard, EVP,
Global People & Business
Transformation
Lundbeck
Lars Bang, EVP, Product
Development & Supply
Novozymes
Tina Sejersgård Fanø, EVP,
Agriculture & BioEnergy
Siemens Healthineers
Tisha Boatman, CEO
Ganske kort tid efter lanceringen af
klimapartnerskabet var der sættemø-
de mellem formandsvirksomheden,
sekretariatet og de relevante erhvervs-
og brancheorganisationer. Der blev
præsenteret en klar projektplan frem
til indlevering af afrapporteringen til
KEF, Alm.del - 2019-20 - Bilag 328: Invitation til præsentation af anbefalingerne fra klimapartnerskaberne
2202587_0040.png
Regeringens
klimapartnerskaber
40
Life science
& biotek
Klimapartnerskabets
tre faser
Projektet havde tre klart definerede
faser:
1) Kortlægning:
Afdækning af hvilke
ambitioner og ønsker sektoren har på
dette område – både for virksomheder
og sektoren som helhed – for så vidt
angår klima- og bæredygtighedstiltag
med et særligt fokus på CO2-reduktion.
Kortlægningen blev en triangulering
af metoder, således at der både blev
trukket på kvalitative og kvantitative
elementer for at tilvejebringe så fint-
maskede og relevante datapunkter som
muligt på trods af en stram tidsplan.
Helt konkret bestod kortlægningen af
tre primære elementer:
a.
Et spørgeskema sendt ud til alle
virksomheder inden for life science- og
bioteksektoren, der har medlemskab i
enten Dansk Erhverv, Lif, Dansk Indu-
stri, Medicoindustrien, Dansk Biotek
og/eller DiaLab. I alt modtog godt 300
virksomheder en invitation til at bidrage
til arbejdet med kortlægningen via spør-
geskemaet, som havde kvalitative såvel
som kvantitative elementer. 84 virksom-
heder bidrog hertil
b.
En række kvalitative interviews med
virksomheder, der ikke er en del af virk-
somhedsudvalget, men som har både
produktion og forskning i Danmark og
derfor en særlig interesse i at blive hørt
i forbindelse med denne dagsorden
c.
Afholdelse af et klimaseminar for
virksomhedsudvalget, der fandt sted
den 15. januar 2020. Her arbejdede
virksomhedsudvalget samt udvalgte
fageksperter med de tre temaer, som
regeringen har bedt om input til fra
sektoren
2) Videnkondensering og- afstemning:
Systematisering af al input med løbende
afstemning mellem sekretariat og de
relevante erhvervs- og brancheorga-
nisationer. Derudover har virksom-
hedsudvalget haft mulighed for at give
feedback på et foreløbigt udkast til
afrapporteringen med vægt på særligt
initiativer i egen sektor samt barrierer
og anbefalinger til rammevilkår. Endelig
har der været en løbende afstemning og
koordinering på tværs af de 13 partner-
skaber, hvor det har været relevant
3) Produktion af afrapportering og præ-
sentation:
I den sidste del af projektfa-
sen er de mange input blevet redigeret
yderligere og samlet i nærværende
afrapportering. Endelig er der på ryggen
af dette arbejde blevet udarbejdet en
præsentation med essensen af arbejdet
i dette klimapartnerskab til brug for
formanden.
KEF, Alm.del - 2019-20 - Bilag 328: Invitation til præsentation af anbefalingerne fra klimapartnerskaberne
2202587_0041.png
Life science
& biotek