Klima-, Energi- og Forsyningsudvalget 2019-20
KEF Alm.del Bilag 286
Offentligt
2187829_0001.png
Danmarks Nationale
Reformprogram
2020
Finansministeriet
MAJ 2020
KEF, Alm.del - 2019-20 - Bilag 286: Fremsendelse af Danmarks Nationale Reformprogram 2020 KEF, Alm.del - 2019-20 - Bilag 286: Fremsendelse af Danmarks Nationale Reformprogram 2020
Indhold
1.
Indledning .................................................................................................................... 5
1.1 Initiativer i lyset af COVID-19 .............................................................................. 5
Den økonomiske ramme.............................................................................................. 9
De landespecifikke anbefalinger ................................................................................ 11
3.1 Anbefalingen om investeringstiltag .................................................................... 11
3.2 Anbefalingen om bekæmpelse af hvidvask ....................................................... 12
De nationale mål i Europa 2020-strategien ............................................................... 15
4.1 Det nationale mål for beskæftigelse .................................................................. 16
4.2 De nationale mål for forskning og udvikling....................................................... 23
4.3 Det nationale mål for klima og energi ................................................................ 25
4.4 Det nationale mål for uddannelse ...................................................................... 30
4.5 Det nationale mål for social inklusion ................................................................ 35
Institutionelle spørgsmål og interesseinddragelse .................................................... 41
2.
3.
4.
5.
Bilag 1. Initiativer i lyset af COVID-19 ............................................................................ 45
KEF, Alm.del - 2019-20 - Bilag 286: Fremsendelse af Danmarks Nationale Reformprogram 2020
2187829_0004.png
Kapitel
Fejl!
Ingen tekst
med den
anførte
typografi i
dokumentet.
Fejl! Ingen tekst med den anførte typografi i dokumentet.
4
Aftaler om den kommunale og
regionale økonomi
September 2019
KEF, Alm.del - 2019-20 - Bilag 286: Fremsendelse af Danmarks Nationale Reformprogram 2020
2187829_0005.png
1. Indledning
Nyt kapitel
I forbindelse med det europæiske semester fremsender EU-landene hvert forår nationale re-
formprogrammer, som redegør for landenes strukturreformer.
Danmarks Nationale Reformprogram 2020
redegør blandt andet for de tiltag, som Danmark
har taget for at efterleve de landespecifikke anbefalinger fra EU, som Danmark modtog i juli
2019. Der beskrives også den danske udmøntning af EU’s vækststrategi fra 2010 (Europa
2020). Det skal bemærkes, at opfølgningen på de landespecifikke anbefalinger og de natio-
nale 2020-mål hovedsageligt er baseret på tiltag før coronakrisens start. Desuden beskrives
den overordnede økonomiske ramme i lyset af COVID-19.
Strukturen i
Danmarks Nationale Reformprogram 2020
er som følger:
Kapitel 2 beskriver den overordnede økonomiske ramme for Danmark i lyset af COVID-
19.
Kapitel 3 redegør for de tiltag, som Danmark har taget og vil tage for at efterleve EU’s to
landespecifikke anbefalinger til Danmark fra 2019.
Kapitel 4 omhandler de tiltag, som Danmark har taget og vil tage for at bidrage til opfyl-
delsen af Europa 2020-strategiens fem overordnede mål.
Kapitel 5 redegør for inddragelsen af Folketinget og interesseorganisationer.
Endvidere behandler de enkelte kapitler også en række af de temaer, som indgår i EU-Kom-
missionens landerapport for Danmark, der blev offentliggjort d. 26. februar 2020. I kapitlerne
er endvidere så vidt muligt redegjort for evalueringer af de seneste års reformindsatser.
1.1 Initiativer i lyset af COVID-19
Der er lanceret en række erhvervs- og jobrettede tiltag, der skal bidrage til at afbøde negative
økonomiske konsekvenser som følge af spredningen af COVID-19.
Initiativerne er rettet mod både de lønmodtagere og virksomheder, der oplever negative øko-
nomiske konsekvenser, og mod mere generelt at holde hånden under dansk økonomi i en
vanskelig situation.
En samlet oversigt over tilskud, garantier og øvrig likviditet mv. for virksomheder mv. fremgår
af boks 1. For uddybning af de enkelte initiativer henvises til bilag 1.
Danmarks Nationale Reformprogram 2020
Maj 2020
5
KEF, Alm.del - 2019-20 - Bilag 286: Fremsendelse af Danmarks Nationale Reformprogram 2020
2187829_0006.png
Indledning
Boks 1
Tilskud, garantier og likviditet for virksomheder mv. som følge af udbruddet af COVID-19
Tilskud mv.:
Midlertidig kompensationsordning for selvstændige, freelancere mv. (14,1 mia. kr.)
Midlertidig kompensation for virksomheders faste omkostninger (65,3 mia. kr.)
Midlertidig lønkompensationsordning (10,2 mia. kr.)
Midlertidig kompensationsordning for freelancere mv. med både A- og B-indkomst (0,2 mia. kr.)
Dagpenge og sygedagpenge (0,4 mia. kr.)
Suspendering 225-timersreglen (<0,1 mia. kr.)
Timekravet for skattefri seniorpræmie nedsættes midlertidigt (<0,1 mia. kr.)
Sygedagpengerefusion til arbejdsgivere (1,7 mia. kr.)
Varslingspulje og afbureaukratisering af regler vedr. arbejdsfordeling (<0,1 mia. kr.)
Kompensationsordning for aflysning af større arrangementer (2,4 mia. kr.)
Kompensationsordning for medier (0,18 mia. kr.)
Kompensationsordning for kunstnere med kombineret A- og B-indkomst (0,1 mia. kr.)
Kompensationsordning til særligt nødlidende kulturinstitutioner mv. (0,2 mia. kr.)
Garantier mv.:
Garantier for udlån til SMV’er og større virksomheder (understøtter 69 mia. kr. i udlån)
Rejsegarantifonden (1,5 mia. kr.)
Statslig garantidækning til virksomheders handel og eksport (30 mia. kr.)
Matchfinansieringstiltag i Vækstfonden (3,4 mia. kr.)
Garantier til SAS fra den danske stat (ca. 1 mia. kr.)
Øvrig likviditet og finansieringsmuligheder:
Øgede lånemuligheder for elever og studerende (0,6 mia. kr.)
Ekstra slutlånsrater (0,02 mia. kr.)
Udskydelse af betalinger af moms og a-skat mv. og fremrykning af udbetalinger for skattekreditter
(166,3 mia. kr.)
Rentefrit lån til små og mellemstore virksomheder (35,4 mia. kr.)
Offentlige indkøb: Fremrykning af betalinger og fleksibilitet
Aftaler mellem regeringen, KL og Danske Regioner
Kommuner og regioner sættes i 2020 fri af det aftalte anlægsloft (2,5 mia. kr.)
Udskydelse af betaling af dækningsafgift af forretningsejendomme (1,1 mia. kr.)
Løbende dialog om driftsudgifterne
Finansiering af igangsættelse af anlægsaktiviteter
Hertil kommer virkningen som følge af en frigivelse af den kontracykliske kapitalbuffer, der
giver bankerne adgang til over 200 mia. kr. i yderligere kapitalbeholdning.
6
Danmarks Nationale Reformprogram 2020
Maj 2020
KEF, Alm.del - 2019-20 - Bilag 286: Fremsendelse af Danmarks Nationale Reformprogram 2020 KEF, Alm.del - 2019-20 - Bilag 286: Fremsendelse af Danmarks Nationale Reformprogram 2020
2187829_0008.png
Kapitel
Fejl!
Ingen tekst
med den
anførte
typografi i
dokumentet.
Fejl! Ingen tekst med den anførte typografi i dokumentet.
4
Aftaler om den kommunale og
regionale økonomi
September 2019
KEF, Alm.del - 2019-20 - Bilag 286: Fremsendelse af Danmarks Nationale Reformprogram 2020
2187829_0009.png
2. Den økonomiske ramme
Nyt kapitel
Coronaepidemien har store sundhedsmæssige og økonomiske omkostninger. I 2020 er der
udsigt til et skarpt dyk i den globale økonomiske vækst og et mærkbart tilbageslag i dansk
økonomi med fald i beskæftigelsen og højere ledighed. Under forudsætning af at epidemien
er under kontrol, er der god mulighed for bedring i andet halvår og frem.
Dansk økonomi havde et stærkt udgangspunkt, da den blev ramt af coronaepidemien, med
høj beskæftigelse, sunde offentlige finanser, en solid finansiel sektor og velpolstrede hus-
holdninger og virksomheder. Fraværet af ubalancer og en række iværksatte erhvervs- og job-
rettede tiltag, der skal afbøde tilbageslaget, vil understøtte genopretningen, om end det er
usikkert, hvor hurtigt dansk økonomi kan vende tilbage til mere normale tilstande. Det afhæn-
ger ud over epidemiens videre forløb blandt andet også af udviklingen i den internationale
økonomi og af virksomhedernes og forbrugernes tillid til genopretningen.
Det er forventningen, at BNP kan falde med mellem 3 og 6 pct. i år, og at ledigheden på års-
niveau kan stige fra 105.000 personer sidste år til mellem 130.000 og 150.000 personer i år.
Den offentlige saldo svækkes til underskud på mellem 7 og 9 pct. af BNP i år.
For en nærmere beskrivelse af de økonomiske udsigter henvises til
Danmarks Konvergens-
program 2020.
Danmarks Nationale Reformprogram 2020
Maj 2020
9
KEF, Alm.del - 2019-20 - Bilag 286: Fremsendelse af Danmarks Nationale Reformprogram 2020
2187829_0010.png
Kapitel
Fejl!
Ingen tekst
med den
anførte
typografi i
dokumentet.
Fejl! Ingen tekst med den anførte typografi i dokumentet.
4
Aftaler om den kommunale og
regionale økonomi
September 2019
KEF, Alm.del - 2019-20 - Bilag 286: Fremsendelse af Danmarks Nationale Reformprogram 2020
2187829_0011.png
3. De landespecifikke
anbefalinger
Nyt kapitel
Danmark modtog den 9. juli 2019, som led i det europæiske semester Rådets udtalelse om
Danmarks økonomiske politik på baggrund af
Danmarks Konvergensprogram 2019
og
Dan-
marks Nationale Reformprogram 2019.
Danmark modtog to anbefalinger,
jf. boks 3.1.
Boks 3.1
De landespecifikke anbefalinger for Danmark
Rådet anbefaler, at Danmark i 2019 og 2020 træffer foranstaltninger med henblik på at:
1.
målrette investeringstiltag inden for den økonomiske politik mod uddannelse og færdigheder, forskning
og innovation for at udvide innovationsgrundlaget, så det omfatter flere virksomheder, samt mod
bæredygtig transport for at afhjælpe trafiktætheden på vejene
sikre et effektivt tilsyn og håndhævelse af reglerne om bekæmpelse af hvidvask af penge.
2.
Kommissionen offentliggjorde den 26. februar 2020 den årlige landerapport for Danmark. I
landerapporten gør Kommissionen blandt andet status for, hvordan Danmark har fulgt op på
alle de landespecifikke anbefalinger, som Danmark har modtaget siden det europæiske se-
mesters start i 2011.
Kommissionen finder, at Danmark har fulgt op på 97 pct. af anbefalingerne i enten betydelig
eller nogen grad, mens der for 3 pct. af anbefalingerne er sket begrænset opfølgning. Kom-
missionen fremhæver, at der er sket betydelige fremskridt og fuld implementering især vedrø-
rende anbefalingerne om offentlige finanser, arbejdsmarkedspolitik og den finansielle sektor.
3.1 Anbefalingen om investeringstiltag
De offentlige investeringer i Danmark ligger i øjeblikket på et højt niveau i forhold til årene før
finanskrisen. I 2020 forventes de offentlige investeringer at udgøre godt 3�½ pct. af BNP.
En stor del af investeringerne i infrastruktur de seneste 10 år er gennemført i regi af ’Aftale
om en Grøn Transportpolitik’, hvor det blev besluttet at etablere Infrastrukturfonden. Fonden
har en samlet volumen på 94 mia. kr. til investeringer i infrastruktur i perioden 2009 til 2020.
Det er bl.a. som led i ’Aftale om en Grøn Transportpolitik’ besluttet at udskifte signalerne på
jernbanen. En række investeringer i jernbanen – herunder elektrificeringen – er desuden be-
sluttet og gennemført i regi af Togfonden, som blev aftalt i efteråret 2013.
Danmarks Nationale Reformprogram 2020
Maj 2020
11
KEF, Alm.del - 2019-20 - Bilag 286: Fremsendelse af Danmarks Nationale Reformprogram 2020
2187829_0012.png
De landespecifikke anbefalinger
Som led i finanslovsaftalen for 2020 har regeringen og aftalepartierne besluttet at oprette
”Danmarks Grønne Fremtidsfond” med en samlet volumen på 25 mia. kr.
Fonden skal bidrage til en national og global grøn omstilling, herunder udvikling og udbre-
delse af nye teknologier, omlægning af energisystemer til vedvarende energi, lagring og ef-
fektiv anvendelse af energi mv. og fremme af global eksport af grøn teknologi, særligt inden
for vind. Samtidig skal fonden bidrage til at løse de udfordringer, som klimaforandringerne og
en voksende verdensbefolkning skaber i form af fødevaremangel og vandknaphed.
Fondens investeringer vil have til formål at bidrage til opfyldelse af Parisaftalens temperatur-
mål og vil således blive prioriteret mod projekter med klimaeffekter og drivhusgasreduktioner
samt løsninger rettet mod vandknaphed og fødevaremangel, således at fonden aktivt investe-
rer i tiltag, der reducerer belastningen for klima, natur og miljø.
Den danske regering planlægger at forhandle om en ny langsigtet infrastrukturaftale, hvor kli-
maforhold og miljøpåvirkninger ventes at have stor vægt. Regeringen har endvidere til hen-
sigt at iværksætte en ny type reformer, andengenerationsreformer, der skal fokusere på inve-
steringer i den danske velfærdsmodel, herunder via uddannelse, opkvalificering og skabelsen
af nye danske arbejdspladser.
Skole- og uddannelsesområdet blev prioriteret i finanslovsaftalen for 2020. Folkeskolen skal
løftes med 275 mio. kr. i 2020 stigende til ca. 800 mio. kr. i 2023. Det giver kommunerne mu-
lighed for at ansætte flere lærere allerede i 2020. Desuden blev omprioriteringsbidraget som
årligt reducere bevillinger med 2 pct. fra 2020 afskaffet på tværs af uddannelsesområdet.
Samtidig bliver uddannelsesloftet afskaffet fra 2020, og det midlertidige taxameterløft af de
humanistiske og samfundsfaglige uddannelser på universiteterne bliver videreført.
3.2 Anbefalingen om bekæmpelse af hvidvask
På baggrund af de seneste års sager om hvidvask og anden finansiel kriminalitet er der både
i Danmark og i internationalt regi taget en række initiativer for at styrke bekæmpelsen af hvid-
vask og finansiering af terrorisme.
I marts 2019 blev der indgået en bred politisk aftale om yderligere initiativer til styrkelse af
indsatsen mod finansiel kriminalitet.
Aftalen indeholder 16 omfattende initiativer, som skærper reguleringen om forebyggende for-
anstaltninger mod hvidvask og terrorfinansiering samt initiativer til styrkelse af hvidvasktilsynet.
Initiativernes indsatsområde kan opdeles i følgende kategorier:
1. Markant styrkelse af kontrol- og indgrebsbeføjelser.
2. Betydelig skærpelse af sanktionsmulighederne.
3. Øgede ressourcer og klarere organisatorisk fokus.
12
Danmarks Nationale Reformprogram 2020
Maj 2020
KEF, Alm.del - 2019-20 - Bilag 286: Fremsendelse af Danmarks Nationale Reformprogram 2020
2187829_0013.png
De landespecifikke anbefalinger
Den første kategori omfatter bl.a. at Finanstilsynet får en bred adgang til at udstede admini-
strative bødeforelæg for overtrædelser af hvidvaskloven. Dette tiltag vil sikre en mere effektiv
håndhævelse af loven. Derudover får tilsynet mulighed for at indsætte en særlig sagkyndig
person til at følge en virksomhed i en periode med henblik på at sikre opfølgning på påbud og
generel sikring af overholdelse af lovgivningen.
Den anden kategori indebærer væsentlig højere sanktioner for bl.a. grove overtrædelse af
hvidvaskloven og indberetning af forkerte oplysninger til Finanstilsynet, hvor strafferammen
forhøjes til fængsel indtil 2 år, og 3 år for ledelsesmedlemmer i SIFI-institutter. Derudover ned-
sættes et udvalg, der skal undersøge mulighederne for i højere grad at kunne holde ledelsen
i finansielle virksomheder erstatnings- og strafferetligt ansvarlige for overtrædelse af den fi-
nansielle lovgivning.
Som en del af den tredje kategori er der tilført Finanstilsynet væsentligt øgede ressourcer fra
2019 og frem. Det har bl.a. medført, at kontoret for Hvidvask og Terrorfinansiering har kunnet
forøge medarbejderantallet med 60 procent. Derudover er der gennemført en organisations-
ændring i Finanstilsynet, for at sikre et større fokus og højere prioritering af området for finan-
siel kriminalitet.
Endeligt blev det som led i den politiske aftale fra marts 2019 besluttet, at der senest primo
2021 iværksættes en evaluering af de lovgivnings- og tilsynsmæssige rammer for bekæmpelse
af finansiel kriminalitet.
Lovforslaget, der skal gennemføre de lovgivningsmæssige initiativer i den politiske aftale fra
marts er vedtaget og trådte i kraft den 10. januar 2020.
Danmarks Nationale Reformprogram 2020
Maj 2020
13
KEF, Alm.del - 2019-20 - Bilag 286: Fremsendelse af Danmarks Nationale Reformprogram 2020
2187829_0014.png
Kapitel
Fejl!
Ingen tekst
med den
anførte
typografi i
dokumentet.
Fejl! Ingen tekst med den anførte typografi i dokumentet.
4
Aftaler om den kommunale og
regionale økonomi
September 2019
KEF, Alm.del - 2019-20 - Bilag 286: Fremsendelse af Danmarks Nationale Reformprogram 2020
2187829_0015.png
4. De nationale mål i Europa
2020-strategien
Nyt kapitel
Danmark har de seneste år gennemført en række reformer, der bidrager til at opfylde de
overordnede mål i Europa 2020-strategien. På flere områder er de danske 2020-mål allerede
nået eller på vej til at blive nået. De nationale mål understøtter Europa 2020-strategien inden
for de fem centrale områder: beskæftigelse, forskning og udvikling, klima og energi, uddan-
nelse samt social inklusion.
Der er i dette kapitel gjort rede for målopfyldelsen samt gennemførte og planlagte tiltag på de
enkelte områder. De danske Europa 2020-mål fremgår af
tabel 4.1.
Tabel 4.1
De danske nationale mål
Mål i 2020
Det nationale mål for beskæftigelse
Det nationale mål for forskning og udvikling
Strukturel beskæftigelse på 80 pct. blandt de 20-64-årige.
Investeringer i forskning og udvikling udgør 3 pct. af BNP.
Vedvarende energi skal øges til mindst 30 pct. af det en-
delige energiforbrug. Vedvarende energi i transportsekt-
roen skal være på 10 pct. Udledningerne i de ikke-kvote-
regulerede sektorer skal gradvist reduceres op til 20 pct.
frem mod 2020 i forhold til 2005.
Reducere uddannelsesfrafaldet til 10 pct. for de 18-24-
årige og øge andelen af 30-34-årige, der har afsluttet en
videregående uddannelse til mindst 40 pct.
Mindske antallet af personer i husstande med lav be-
skæftigelse med 22.000 frem mod 2020.
Det nationale mål for klima og energi
Det nationale mål for uddannelse
Det nationale mål for social inklusion
I 2014-2020 modtager Danmark i alt ca. 3 mia. kr. fra EU’s Regionalfond og Socialfond
(strukturfonde). Midlerne er ligeligt fordelt på de to fonde og projekterne skal medfinansieres
med mindst 50 pct. danske midler, hvilket dog ikke gælder Region Sjælland, hvor medfinan-
sieringsgraden er 40 pct. Strukturfondsindsatsen bidrager blandt andet til at indfri de fem
danske Europa 2020-mål.
Med Regionalfonden investeres bl.a. i innovation og grøn omstilling, hvilket bidrager til EU
2020-målene vedr. forskning og udvikling samt klima og energi. Tilsvarende bidrager social-
fonsindsatsen blandt andet til, at flere unge mennesker får en uddannelse og til at styrke den
sociale inklusion.
I 2018 blev strukturfondsindsatsen i Danmark 2014-2020 midtvejsevalueret. Evalueringen
konkluderer overordnet, at de igangsatte projekter har bidraget til at indfri de programfast-
Danmarks Nationale Reformprogram 2020
Maj 2020
15
KEF, Alm.del - 2019-20 - Bilag 286: Fremsendelse af Danmarks Nationale Reformprogram 2020
2187829_0016.png
De nationale mål i Europa 2020-strategien
satte mål og herved også de danske EU 2020-mål vedrørende beskæftigelse, forskning og
udvikling, drivhusgasudledning, energieffektivitet, social inklusion samt uddannelse. På eva-
lueringstidspunktet var der kun afsluttet ganske få projekter, hvorfor evaluator endnu ikke har
kvantificeret bidragene til EU 2020-målene. Det vil ske i slutevalueringen af programmet.
EU’s Landdistriktsfond, der finansierer Landdistriktspolitikken under EU’s fælles landbrugspo-
litik (CAP), bidrager ligeledes til EU 2020-strategien ved at fremme en bæredygtig udvikling
af landdistrikterne og udviklingen af en EU-landbrugssektor, der er mere territorialt og miljø-
mæssigt afbalanceret, klimavenlig, resistent og konkurrencedygtig og innovativ. Landdistrikts-
politikken gennemføres i Danmark under det danske Landdistriktsprogram (LDP). Der er i alt
afsat ca. 8,9 mia. kr. under LDP i perioden 2014 til 2020, hvoraf ca. 6,8 mia. er EU-midler.
FN’s Verdensmål
Verdens stats- og regeringsledere vedtog i 2015 FN’s verdensmål for bæredygtig udvikling.
De i alt 17 mål, herunder 169 delmål, forpligter FN’s medlemslande, til blandt andet at sikre
gode uddannelser, mindske ulighed, bekæmpe klimaforandringer samt sikre anstændige jobs
og bæredygtig økonomisk vækst.
Medlemslandenes nationale reformprogrammer skal i 2020 gøre rede for fremskridt – ikke
alene i relation til Europa 2020 målene – men også i forhold til FN’s verdensmål. På hvert af
de fem målområder er derfor gjort rede for fremskridt i forhold til de (del)mål blandt verdens-
målene, der især knytter an til det pågældende område.
4.1 Det nationale mål for beskæftigelse
Arbejdsmarkedet har udviklet sig gunstigt i en længere periode. Fra 2013 frem til 2019 steg
beskæftigelsen samlet set med ca. 232.000 personer, hvoraf har langt størstedelen af stig-
ningen fandt sted i den private sektor. Samtidig faldt ledigheden i perioden til et lavt niveau i
et historisk perspektiv.
Det danske arbejdsmarked er generelt velfungerende. Det afspejles blandt andet i høj be-
skæftigelse og lav ledighed. I begyndelsen af 2020 lå både den samlede ledighed og lang-
tidsledigheden på et lavt niveau set i et historisk perspektiv. Samtidig er fleksibiliteten på det
danske arbejdsmarked stor, hvilket blandt andet kommer til udtryk ved, at mange skifter job,
og at de fleste ledige relativt hurtigt finder ny beskæftigelse.
Udbruddet af coronavirus har ramt dansk økonomi hårdt. I 2020 er der udsigt til et mærkbart
tilbageslag i dansk økonomi med fald i beskæftigelsen og højere ledighed. Sammen med Fol-
ketinget og arbejdsmarkedets parter har regeringen spændt et bredt sikkerhedsnet ud under
de danske virksomheder og lønmodtagere. Hjælpepakkerne skal begrænse tabet af arbejds-
pladser og gøre virksomhederne bedre i stand til at komme hurtigt i gang med produktionen
på den anden side af krisen.
Danmarks nationale 2020-mål for beskæftigelsen har siden 2011 været en beskæftigelsesfre-
kvens (målt strukturelt) for 20-64 årige på 80 pct. Det er regeringens hensigt, at flere skal del-
tage på arbejdsmarkedet. Et bidrag til opfyldelse af beskæftigelsesmålet skal derfor komme
fra personer, der hidtil har haft svært ved at finde fodfæste på arbejdsmarkedet.
16
Danmarks Nationale Reformprogram 2020
Maj 2020
KEF, Alm.del - 2019-20 - Bilag 286: Fremsendelse af Danmarks Nationale Reformprogram 2020
2187829_0017.png
De nationale mål i Europa 2020-strategien
Regeringen har aktuelt fokus på at begrænse tabet af arbejdspladser under krisen og på at
skabe gode rammer for fremgang i beskæftigelsen efter krisen. Der er fortsat stor usikkerhed
om, hvordan coronakrisen vil udvikle sig, og hvor længe de økonomiske konsekvenser vil
fortsætte.
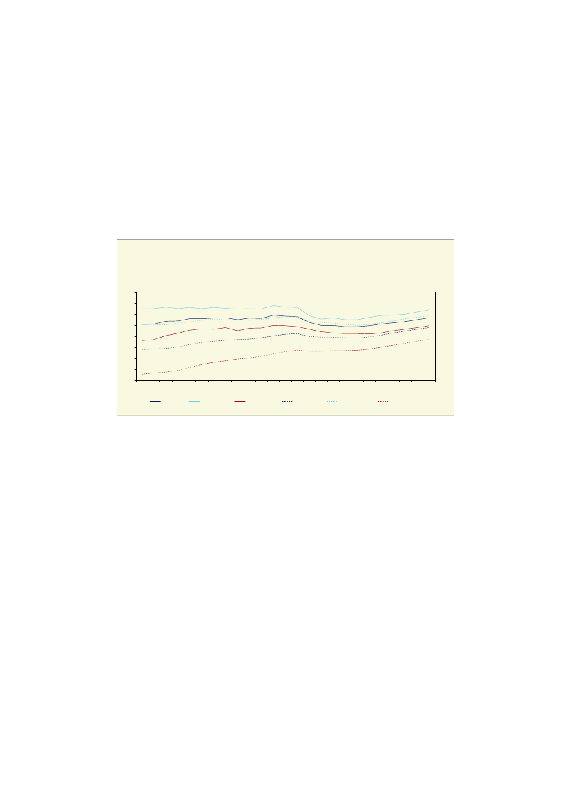
Den faktiske beskæftigelsesfrekvens i Danmark for de 20-64-årige var 78,3 pct. i 2019, hvil-
ket er 4,5 pct.-point højere end gennemsnittet for EU. Det skyldes især en højere beskæfti-
gelsesfrekvens for kvinder i Danmark sammenlignet med EU,
jf. figur 4.1
Figur 4.1
Beskæftigelsesfrekvens i Danmark og EU for 20-64 årige
Pct.
90
85
80
75
70
65
60
55
50
1995
1996
1997
1998
1999
2000
2001
2002
2003
2004
2005
2006
2007
2008
2009
2010
2011
2012
2013
2014
2015
2016
2017
2018
2019
Pct.
90
85
80
75
70
65
60
55
50
DK - i alt
DK - mænd
DK - kvinder
EU15 - i alt
EU15 - mænd
EU15 - kvinder
Anm.: Beskæftigelsesfrekvensen er baseret på EU’s Labour Force Survey, der svarer til den danske
arbejdskraftundersøgelse.
Kilde: Danmarks Statistik og egne beregninger.
Danmarks Statistik har siden udarbejdelsen af Danmarks Nationale Reformprogram 2019
indarbejdet en ny opregning i Arbejdskraftundersøgelsen, der benytter mere aktuel hjælpein-
formation end hidtil. Det betyder isoleret set, at beskæftigelsen – og derfor også beskæftigel-
sesfrekvensen – er nedjusteret.
Den danske flexicurity-model og det kollektive overenskomstsystem skal fortsat være med til
at sikre velstand, tryghed og beskæftigelse. Den aktive beskæftigelsesindsats skal under-
støtte den økonomiske genopretning og hjælpe ledige, der har mistet deres arbejde på grund
af COVID-19, med igen at finde beskæftigelse. Samtidigt vil regeringen fortsat arbejde for at
give flere plads i arbejdsfællesskabet og for en fair fordeling af vækst og velstand. De sene-
ste initiativer i beskæftigelsespolitikken er beskrevet nedenfor.
Godt og langt arbejdsliv for alle
Regeringen arbejder for, at alle skal have et godt og langt arbejdsliv. Men regeringen vil også
sikre en retfærdig og værdig afslutning på arbejdslivet. Samtidig med, at pensionsalderen
hæves i takt med levealderen, og der tages initiativer for at sikre fastholdelsen af seniorer og
Danmarks Nationale Reformprogram 2020
Maj 2020
17
KEF, Alm.del - 2019-20 - Bilag 286: Fremsendelse af Danmarks Nationale Reformprogram 2020
2187829_0018.png
De nationale mål i Europa 2020-strategien
et godt arbejdsmiljø, vil regeringen derfor give personer, der har været flest år på arbejdsmar-
kedet og er nedslidte, mulighed for at trække sig tidligere tilbage. Følgende initiativer skal i
2019-2020 bidrage til et godt og langt arbejdsliv for alle.
Ret til tidlig tilbagetrækning
Regeringen ønsker, at personer, der har været flest år på arbejdsmarkedet og er nedslidte,
skal kunne trække sig værdigt tilbage. Regeringen vil derfor indføre en ret til tidlig tilbage-
trækning.
Aftale om seniorpension
I december 2019 vedtog Folketinget, at der fra januar 2020 indføres en ny seniorpensions-
ordning for nedslidte borgere, der nærmer sig folkepensionsalderen. Den nye seniorpension
erstatter seniorførtidspensionen og skal give flere med nedsat arbejdsevne mulighed for at
trække sig tilbage.
Samtidigt er reglerne for fleksjob blevet lempet for seniorer, så de hurtigt kan komme i fleks-
job på deres nuværende arbejdsplads, og pensionister har fået større økonomisk tilskyndelse
til at arbejde. Bundfradraget for folkepensionisters indtægt ved personligt arbejde er blevet
forhøjet, mens folkepensionister og førtidspensionister nu i mindre grad bliver modregnet i
deres indkomst, hvis deres ægtefælle eller samlevende arbejder. Derudover kan seniorer
fremover få en skattefri præmie på henholdsvis 42.000 kr. og 25.000 kr., hvis de arbejder 30
timer om ugen i gennemsnit det første og andet år efter, at de når folkepensionsalderen.
Aftalen om seniorpension betyder også, at der er afsat 100 mio. kr. årligt til at forebygge ned-
slidning. Som led i udmøntningen af aftalen vil regeringen desuden i løbet af første halvår
2020 nedsætte en kommission, der blandt andet skal undersøge sammenhængen mellem
stigende levetid og seniorers mulighed for at blive længere på arbejdsmarkedet på tværs af
befolkningsgrupper.
Ny lov skal forbedre arbejdsmiljøet
I december 2019 blev der vedtaget en ny arbejdsmiljølov som led i udmøntningen af en bred
politisk aftale af april 2019 om en ny og forbedret arbejdsmiljøindsats og ordnede forhold på
arbejdsmarkedet. Aftalen tilfører 460 mio. kr. for perioden 2020-22 til en ny og forbedret ar-
bejdsmiljøindsats med fokus på blandt andet forebyggelse af såvel fysisk som psykisk ned-
slidning samt på det kemiske arbejdsmiljø. Initiativerne træder i kraft i de kommende år.
Styrket indsats mod social dumping
Regeringen ser et behov for at sætte ind over for udfordringerne med social dumping. Med
finanslovsaftalen for 2020 er der afsat 245 mio. kr. ekstra til indsatsen mod social dumping
over de næste fire år. Bevillingen løftes dermed i de næste tre år til det højeste niveau no-
gensinde. En stor del af pengene går til den fælles myndighedsindsats, der styrkes med 50
mio. kr. i 2020 og 48 mio. kr. årligt i 2021 og 2022. Den fælles myndighedsindsats er et mål-
rettet samarbejde mellem Arbejdstilsynet, skattemyndighederne og politiet om at sikre, at
udenlandske virksomheder og ansatte overholder danske regler. Desuden er der med finans-
loven opbakning til at skærpe kravene til de lønvilkår, som danske og udenlandske transport-
virksomheder skal følge ved kørsel i Danmark. Danske virksomheder med mangel på kvalifi-
18
Danmarks Nationale Reformprogram 2020
Maj 2020
KEF, Alm.del - 2019-20 - Bilag 286: Fremsendelse af Danmarks Nationale Reformprogram 2020
2187829_0019.png
De nationale mål i Europa 2020-strategien
ceret arbejdskraft skal generelt, når de midlertidige hjælpepakker udfases, hurtigt og ubu-
reaukratisk kunne tiltrække den nødvendige kvalificerede udenlandske arbejdskraft, men an-
sættelserne skal samtidig leve op til danske løn- og arbejdsvilkår.
Seniortænketank
I november 2019 fremlagde Seniortænketanken, et udvalg bestående af sagkyndige og re-
præsentanter fra arbejdsmarkedets parter, sine 20 afsluttende anbefalinger, der skal give
bedre muligheder og vilkår for et langt og godt seniorarbejdsliv. Regeringen vil – blandt andet
inspireret af Seniortænketankens forslag – præsentere forslag om, hvordan endnu flere æl-
dre kan blive på arbejdsmarkedet.
Indsats skal reducere og forebygge sygefravær
Fra 2019 til 2021 er der afsat 145 mio. kr. i alt til at reducere sygefraværet i den offentlige
sektor. Det indbefatter bl.a. 100 mio. til støtte til projekter, der skal forebygge sygefravær på
arbejdspladser med højt sygefravær eller et særligt belastet arbejdsmiljø.
Aftale om en økonomisk håndsrækning til selvstændige på barsel
Som led i finanslovsaftalen for 2020 er der blevet skabt bedre økonomiske vilkår for selv-
stændige, der holder barselsorlov. Formålet med barselsordningen er at skabe bedre vilkår
for selvstændigt erhvervsdrivende og deres muligheder for et familieliv. Barselsordningen
skal hvile i sig selv gennem finansiering fra de selvstændigt erhvervsdrivende. Der er samti-
dig afsat en ramme på 10 mio. kr. i 2020 til eventuelle udviklingsomkostninger.
Unge
Regeringen lægger stor vægt på, at alle unge får mulighed for at tage en uddannelse eller at
komme ud på arbejdsmarkedet. Regeringen har derfor tilført flere ressourcer til uddannelses-
området, jf. kapitlet om det nationale mål for uddannelse. I forhold til børn og unge i øvrigt har
regeringen på beskæftigelsesområdet blandt andet taget følgende initiativer.
Aftale om midlertidigt børnetilskud
I september 2019 blev der indgået en aftale mellem regeringen og dens støttepartier om et
nyt midlertidigt børnetilskud. Det midlertidige skattefrie tilskud er målrettet børnefamilier, som
er berørt af integrationsydelsen og kontanthjælpsloftet. Aftalen forventes at gavne op mod
14.300 familier. Tilskuddet skal gælde, indtil et nyt ydelsessystem er trådt i kraft. Det midlerti-
dige børnetilskud forventes at medføre offentlige merudgifter på ca. 250 mio. kr. i 2020. I til-
læg er der med aftalen afsat 20-30 mio. kr. årligt til at annullere den tidligere regerings reduk-
tion af integrationsydelsen for forsørgere pr. 1. januar 2020.
Flere unge i fritidsjob
I perioden 2008 til 2017 er beskæftigelsen blandt unge under 18 faldet med 6 procentpoint –
fra 38 pct. til 32 pct. Beskæftigelsesministeren har derfor i november 2019 bedt Arbejdsmiljø-
rådet om at komme med forslag til, hvordan reglerne for unges arbejde kan gøres og formid-
les klarere og enklere – uden at det går ud over sikkerheden – så flere unge kan få sig et fri-
tidsjob.
Danmarks Nationale Reformprogram 2020
Maj 2020
19
KEF, Alm.del - 2019-20 - Bilag 286: Fremsendelse af Danmarks Nationale Reformprogram 2020
2187829_0020.png
De nationale mål i Europa 2020-strategien
Flere personer skal ind på arbejdsmarkedet
Danmark har sat fokus på integration af langtidsledige på arbejdsmarkedet. Den tidlige og ak-
tive beskæftigelsesindsats bidrager til, at Danmark før corornaepidemien havde forholds-
mæssigt få langtidsledige; 1,1 pct. i Danmark mod 2,9 pct. i EU28.
1
Regeringen arbejder for
at målrette indsatser, der skal modarbejde langtidsledighed og for at sikre, at flere får de
kompetencer, der efterspørges på fremtidens arbejdsmarked. I tillæg til nedenstående initiati-
ver forventer regeringen derfor at fremsætte et forslag, der indfører 37 timers ret- og pligtind-
sats for dels nytilkomne flygtninge og indvandrere under integrationsloven, dels udlændinge
der har været i Danmark i længere tid og er overgået til kontanthjælpssystemet og som fort-
sat har et integrationsbehov.
Aftale om opkvalificering
I oktober 2019 blev der indgået en bred politisk aftale om opkvalificering. Aftalen sikrer 102
mio. kr. til seks initiativer, der i 2019 og 2020 skal være med til at opkvalificere arbejdsstyr-
ken. Indsatsen er primært rettet mod opkvalificering af ufaglærte. Der er blandt andet afsat 30
mio. kr. til, at jobparate kontanthjælpsmodtagere kan få erhvervsrettet opkvalificering inden
for brancher, hvor der er mangel på arbejdskraft. Der er samtidig afsat 27 mio. kr. til, at ledige
kan tage et grundforløb til en erhvervsuddannelse, som de efterfølgende kan fortsætte enten
som voksenlærling hos en virksomhed eller på skolen. Opkvalificeringsaftalen skal sikre, at
flere styrker deres kompetencer, og at virksomhederne har adgang til faglært og kvalificeret
arbejdskraft.
Nedsættelse af en ydelseskommission
Regeringen har den 17. december 2019 nedsat en ydelseskommission, som er startet op i
januar 2020. Kommissionen skal senest efter 12 måneder komme med anbefalinger til et nyt
kontanthjælpssystem. Et nyt kontanthjælpssystem skal balancere en række hensyn, hvor der
skal være en klar økonomisk gevinst ved at arbejde, og der skal tages hensyn til børnefami-
lier, så børnene vokser op under rimelige forhold og med mulighed for at være en aktiv del af
fællesskabet.
Status på integrationsgrunduddannelsen (IGU)
Integrationsgrunduddannelsen blev oprettet i 2016 som følge af en trepartsaftale med delta-
gelse fra arbejdsmarkedets parter. Der er pr. 1. februar 2020 registreret 2.452 oprettede IGU-
forløb siden juli 2016. Med finansloven for 2020 har regeringen og aftalepartierne aftalt at se
nærmere på muligheden for at udvide IGU-ordningen. Ændringer i ordningen vil skulle aftales
med arbejdsmarkedets parter.
Øvrige tiltag
Der er desuden iværksat en række forskellige tiltag, der bidrager til at øge forskellige grup-
pers mulighed for at blive en del af arbejdsmarkedet:
I december 2019 blev der udmøntet 148 mio. kr. til projektet
Flere skal med II
i årene
2019-2021, så endnu flere aktivitetsparate kontanthjælpsmodtagere får en håndholdt og
jobrettet indsats. På finansloven for 2020 er der derudover afsat 50 mio. kr. årligt i perio-
1
Data fra Eurostat for 2018.
20
Danmarks Nationale Reformprogram 2020
Maj 2020
KEF, Alm.del - 2019-20 - Bilag 286: Fremsendelse af Danmarks Nationale Reformprogram 2020
2187829_0021.png
De nationale mål i Europa 2020-strategien
den 2020-2021 til en styrket indsats for at afklare, om langvarige kontanthjælpsmodta-
gere fortsat skal være på kontanthjælp.
I december 2019 blev der udmøntet 68 mio. kroner til et nyt initiativ
Bedre indsats for bor-
gere i ressourceforløb.
Initiativet skal bidrage til, at borgere i ressourceforløb får en jobret-
tet indsats og større medindflydelse på deres forløb.
En række
tiltag skal hjælpe mennesker med handikap i job.
I november 2019 blev der ud-
delt 14,2 mio. kr. til fem projekter, der skal få flere personer med psykiske handikap ind
på arbejdsmarkedet. Der er også udviklet et kompetencekort for personer med handikap,
der giver overblik over kompetencer, mulige kompensationsbehov og støttemuligheder.
Desuden blev den første af tre landsdækkende jobuger med fokus på beskæftigelse af
personer med handikap afholdt i december 2019.
Implementering af FN’s verdensmål for anstændige jobs og økonomisk
vækst
Verdensmål nr. 8 om at fremme vedvarende, inklusiv og bæredygtig økonomisk vækst, fuld
produktiv beskæftigelse samt anstændigt arbejde til alle er et ambitiøst mål for at få menne-
sker ud af fattigdom og sikre ordentlige løn og arbejdsvilkår til arbejdstagere i hele verden.
Danmark har et godt udgangspunkt med vores generelt høje beskæftigelse, lave ledighed og
en høje grad af lige muligheder. For regeringen har det høj prioritet at mindske ulighed, give
flere plads i arbejdsfællesskabet og kæmpe for en fair fordeling af vækst og velstand. Rege-
ringen lægger også vægt på arbejdsmarkedets parters autonomi og ansvar for fastsættelse
af løn- og arbejdsvilkår, og det ses som et stærkt bidrag til et fortsat dynamisk arbejdsmarked
med høje standarder for arbejdstagerrettigheder og anstændigt arbejde. Regeringen arbejder
også målrettet for fortsat fokus på rammerne for et godt arbejdsmiljø. Opfyldelse af delmå-
lene relateret til beskæftigelse er en integreret del af Regeringens indsatser,
jf. boks 4.1.
Danmarks Nationale Reformprogram 2020
Maj 2020
21
KEF, Alm.del - 2019-20 - Bilag 286: Fremsendelse af Danmarks Nationale Reformprogram 2020
2187829_0022.png
De nationale mål i Europa 2020-strategien
Boks 4.1
FN’s verdensmål for anstændige jobs og økonomisk vækst – Danmarks indsats på
beskæftigelsesområdet
Delmål
8.5 Inden 2030 skal der opnås fuld
og produktiv beskæftigelse og
anstændigt arbejde for alle
kvinder og mænd, herunder
også unge og personer med
handicap, og med lige løn for
arbejde af samme værdi.
Dansk indsats
Den aktive beskæftigelses-
indsats bidrager positivt til at
opnå mål om øget vækst og
velstand i Danmark. I Danmark
er der, sammenlignet med de
fleste andre lande, høj
beskæftigelse og lav ledighed.
Politiske tiltag
• Aftale om opkvalificering
• Mere meningsfuld indsats
for borgere i
ressourceforløb
• Status på IGU
• Tiltag for at hjælpe personer
med handikap i job
• Barselsordning for
selvstændige
• Flere skal med II
• Forslag om at få flere unge i
fritidsjob
8.6 Inden 2020 skal andelen af
unge, der ikke er i beskæftigelse
eller under uddannelse
væsentligt reduceres.
Unge skal have et godt afsæt
i livet. Beskæftigelsesindsatsen
har bidraget positivt til, at
andelen af unge i beskæfti-
gelse eller uddannelse er høj i
Danmark.
Det skal være trygt, sikkert og
sundt at gå på arbejde i Dan-
mark. Med indsatsen på ar-
bejdsmiljøområdet arbejdes der
målrettet for at sikre rammerne
for et sikkert og godt arbejds-
miljø for alle.
8.8 Arbejdstagernes rettigheder
skal beskyttes og et sikkert og
stabilt arbejdsmiljø for alle
arbejdstagere skal fremmes,
herunder for migrantarbejdere,
især kvindelige migranter, og dem
i usikre beskæftigelsesforhold.
• Forslag til ny arbejdsmiljø-
lov og den arbejdsmiljøpoli-
tiske aftale
• Øget indsat mod social
dumping
• Pulje til reduktion af syge-
fravær
Kilde: Beskæftigelsesministeriet.
22
Danmarks Nationale Reformprogram 2020
Maj 2020
KEF, Alm.del - 2019-20 - Bilag 286: Fremsendelse af Danmarks Nationale Reformprogram 2020
2187829_0023.png
De nationale mål i Europa 2020-strategien
4.2 De nationale mål for forskning og udvikling
Det er regeringens målsætning, at det offentlige forskningsbudget skal udgøre mindst 1 pct.
af BNP. I 2020 udgør det offentlige forskningsbudget 23,7 mia. kr., svarende til 1 pct. af BNP.
Danmark er blandt de lande i OECD hvor forskning og udvikling udført i den offentlige sektor
udgør den største andel af BNP,
jf. fx Forsknings- og Uddannelsespolitisk Redegørelse 2019.
Samlet set blev der udført forskning og udvikling for ca. 67 mia. kr. i 2018. Heraf blev ca. 2/3
udført af erhvervslivet, mens den resterende 1/3 blev udført af det offentlige,
jf. figur 4.2.
Figur 4.2
Private og offentligt udførte investeringer i forskning og udvikling
Pct. af BNP
3,5
3,0
2,5
2,0
1,5
1,0
0,5
0,0
1997
1998
1999
2000
2001
2002
2003
2004
2005
2006
2007
2008
2009
2010
2011
2012
2013
2014
2015
2016
2017
2018
Pct. af BNP
3,5
3,0
2,5
2,0
1,5
1,0
0,5
0,0
Erhvervslivet
Den offentlige sektor
I alt
Anm.: Der er databrud i 2008. 2018 er foreløbige tal. Tallene i figuren er opgjort efter hvor forskningen er
udført, der vil således være forskning og udvikling udført i den offentlige sektor, der vil være
finansieret af private midler, og modsat.
Kilde: Danmarks Statistik.
De samlede offentlige og private investeringer i forskning og udvikling er steget fra 1,89 pct.
af BNP i 1997 til 2,96 pct. af BNP i 2018. I 2018 udgjorde den private udførte forskning og ud-
vikling 1,87 pct. af BNP, mens den offentlige udførte forskning og udvikling udgjorde 1,10 pct.
af BNP. Danmarks investeringer i forskning og udvikling ligger dermed omtrent på niveau
med Europa 2020 målsætningen om 3 pct. af BNP.
Det er endvidere et helt centralt mål for regeringen, at forskning og innovation skal bidrage
markant til den grønne omstilling og målet om 70 procent reduktion af drivhusgasser i Dan-
mark i 2030.
Regeringen har i forbindelse med fordelingen af forskningsreserven for 2020 sammen med
Folketingets partier udmøntet i alt cirka 1,9 mia. kr. til forskning og udvikling i 2020. Heraf er
cirka 1,5 mia. kr. øremærket grøn forskning og udvikling, hvilket er cirka 1 mia. kr. mere end i
2019. De statslige bevillinger øremærket til grøn forskning og udvikling er dermed på det hø-
jeste niveau i mange år. Midlerne skal understøtte grøn omstilling inden for blandt andet land-
bruget, energi og transport, men skal også danne grundlag for pilotprojekter inden for bære-
Danmarks Nationale Reformprogram 2020
Maj 2020
23
KEF, Alm.del - 2019-20 - Bilag 286: Fremsendelse af Danmarks Nationale Reformprogram 2020
2187829_0024.png
De nationale mål i Europa 2020-strategien
dygtig arkitektur og design. Forskningen skal styrke indsatsen i hele værdikæden – fra grund-
forskning til udvikling. Herudover er der via fordelingen af forskningsreserven for 2020 afsat
midler til forskningsprioriteringer med fokus på nye teknologiske muligheder, bedre sundhed
og tidligere indsatser samt til at understøtte den frie forskning, herunder i vækstlaget blandt
både yngre og kvindelige forskere.
Herudover har et internationalt ekspertpanel med bistand fra EU-Kommissionens Horizon
2020 Policy Support Facility foretaget et eftersyn af det danske videnbaserede innovationssy-
stem. Panelet offentliggjorde deres anbefalinger november 2019. Ekspertpanelet anbefaler
blandt andet en klar strategisk retning for den danske innovationsindsats. Panelet har endvi-
dere præsenteret 10 hovedanbefalinger til, hvordan den eksisterende indsats kan forbedres.
Det er regeringens holdning, at et af de primære mål for den danske forsknings- og innovati-
onsindsats i de næste mange år bliver at bidrage til den grønne omstilling af samfundet. Re-
geringen vil derfor se på, om forsknings- og innovationssystemet i dag har de rette rammer til
dette. Regeringen vil ligeledes se nærmere på videninstitutionernes rammer for innovations-
aktiviteter og teknologioverførsel med henblik på at styrke kommercialiseringen af ny viden,
og vil som led heri gå i dialog med de relevante aktører i innovationsfremmesystemet, herun-
der universiteter, GTS'er og erhvervslivet.
Endelig vil regeringen invitere Folketingets partier til at drøfte en fremtidig model for fordeling
af basismidler til forskning på universiteterne.
Implementering af FN’s Verdensmål for industri, innovation og
infrastruktur
Ovenstående tiltag vedrørende forskning og innovation understøtter endvidere delmål i FN's
verdensmål 9 om industri, innovation og infrastruktur,
jf. boks 4.2.
Boks 4.2
FN’s Verdensmål om industri, innovation og infrastruktur – Danmarks indsats på
uddannelses- og forskningsområde
Delmål
9.5.
Videnskabelig forskning skal
udvides og den teknologiske
kapacitet i de industrielle fakto-
rer i alle lande skal opgraderes,
især i udviklingslandene, ved
bl.a. inden 2030 at fremme in-
novation og væsentlig forøge
det samlede antal forsknings-
og udviklingsmedarbejdere pr.
1 million indbyggere, samt ved
at øge de offentlige og private
midler til forskning og udvikling.
Dansk indsats
Offentlige investeringer i forsk-
ning udgør mindst 1 pct. af BNP
Politiske tiltag
• Aftale om fordeling af
forskningsreserven for
2020
• Evaluering af det videnba-
serede innovationssystem
og opfølgning herpå
Kilde: Uddannelses- og Forskningsministeriet.
24
Danmarks Nationale Reformprogram 2020
Maj 2020
KEF, Alm.del - 2019-20 - Bilag 286: Fremsendelse af Danmarks Nationale Reformprogram 2020
2187829_0025.png
De nationale mål i Europa 2020-strategien
4.3 Det nationale mål for klima og energi
Danmark er blandt andet omfattet af følgende bindende nationale mål fastsat i EU på klima-
og energiområdet i 2020:
En række årlige forpligtelser i perioden 2013-2020 for ikke-kvotebelagte udledninger af
drivhusgasser
2
. Målet skærpes frem mod 2020, hvor Danmarks udledning skal være re-
duceret med 20 pct. i forhold til niveauet i 2005.
Andelen af vedvarende energikilder i det endelige energiforbrug skal øges til at udgøre
30 pct. i 2020 – en forøgelse fra ca. 16 pct. i 2005.
10 pct. af energiforbruget i transport (anvendt på vej og bane) i 2020 skal udgøres af ved-
varende energi.
Regeringens klima- og energipolitik
Regeringen indgik i december 2019 en aftale med et bredt flertal i Folketinget om en af de
mest ambitiøse klimalove i verden. Heri indskrives Danmarks målsætning om at reducere
drivhusgasudledninger med 70 pct. i 2030 relativt til 1990 samt Danmarks langsigtede mål
om at blive klimaneutralt senest i 2050. Det fremgår af
Aftale om klimalov,
at indfrielsen af
Danmarks klimamål skal ske så omkostningseffektivt som muligt under hensynstagen til både
den langsigtede grønne omstilling, bæredygtig erhvervsudvikling og dansk konkurrencekraft,
sunde offentlige finanser og beskæftigelse. Kommende klimahandlingsplaner skal bidrage til,
at de nationale reduktionsmål nås. Handlingsplanerne vil som minimum indeholde sektorstra-
tegier og indikatorer for centrale sektorer, såsom landbrug, transport, energi, byggeri og indu-
stri. I energiaftalen fra 2018 anviste alle daværende partier i Folketinget vejen til, at ca. 55
pct. af det danske energiforbrug i 2030 bliver dækket af vedvarende energi.
Rammerne for energisektoren
Omstillingen af energisektoren har stor betydning for den danske klimaindsats. Med energiaf-
talen fra 2018 blev alle daværende partier i Folketinget enige om en lang række initiativer,
der understøtter og udbygger den danske position på klima- og energiområdet samt under-
støtter EU-målsætningerne. Aftalen sikrer en fortsat omstilling af energisektoren og indebæ-
rer investeringer i vedvarende energi og energieffektivitet. Med aftalens initiativer forventes
Danmark at opnå en VE-andel i elforbruget på over 100 pct. allerede i 2028 jf. Basisfrem-
skrivning 2019. Energiaftalen anviser endvidere vejen til en VE-andel i det samlede energifor-
brug på 55 pct. i 2030. Derudover vil mindst 90 pct. af fjernvarmebruget i 2030 være baseret
på andre energiformer end kul, olie og gas.
Status for klima- og energipolitiske mål
I august 2019 udkom Energistyrelsens seneste basisfremskrivning, der indeholder en status
for fremdriften mod Danmarks klima- og energimålsætninger og -forpligtelser.
De ikke-kvoteomfattede udledninger omfatter primært udledningerne fra transport, landbrug og individuel op-
varmning.
2
Danmarks Nationale Reformprogram 2020
Maj 2020
25
KEF, Alm.del - 2019-20 - Bilag 286: Fremsendelse af Danmarks Nationale Reformprogram 2020
2187829_0026.png
De nationale mål i Europa 2020-strategien
Danmark har som led i EU’s Klima- og Energipakke fra 2008 påtaget sig at nedbringe udled-
ningerne fra de ikke-kvoteomfattede sektorer med 20 pct. i 2020 set i forhold til niveauet i
2005 og tillige opnå delmål på vejen mod 2020. Af hensyn til naturlige udsving i udlednin-
gerne kan overopfyldelse fra et år anvendes til målopfyldelse i et senere år.
Ikke-kvoteomfattede udledninger i 2020 forventes at være 32 mio. ton CO2-ækvivalenter,
svarende til en reduktion på netop 20 pct. i forhold til 2005. Det forventes, at Danmark over-
opfylder for alle år i forpligtelsesperioden. Den samlede, akkumulerede overopfyldelse for-
ventes være ca. 15 mio. ton CO2- ækvivalenter i alt for hele perioden,
jf. figur 4.3.
Overopfyl-
delse for perioden frem til 2020 kan ikke overføres til den efterfølgende forpligtelsesperiode
2021-2030.
Figur 4.3
Årlige ikke-kvoteomfattede udledninger 2013-2020 og EU-målsætningen (reduktionssti)
Mio. ton CO2-ækv.
38
37
36
35
34
33
32
31
30
29
2013
2014
2015
Udledning
2016
2017
2018
Reduktionssti
2019
2020
Mio. ton CO2-ækv.
38
37
36
35
34
33
32
31
30
29
Kilde: Energistyrelsen (2019), Basisfremskrivningen 2019.
I forbindelse med EU's Klima- og Energipakke fra 2008 har Danmark ligeledes påtaget sig at
øge den andel af det endelige energiforbrug, der stammer fra vedvarende energikilder, til 30
pct. i 2020, en forøgelse fra ca. 16 pct. i 2005. Ifølge basisfremskrivningen fra 2019 forventes
målet overopfyldt med en VE-andel i det endelige energiforbrug på omkring 41 pct. i 2020,
jf.
figur 4.4.
26
Danmarks Nationale Reformprogram 2020
Maj 2020
KEF, Alm.del - 2019-20 - Bilag 286: Fremsendelse af Danmarks Nationale Reformprogram 2020
2187829_0027.png
De nationale mål i Europa 2020-strategien
Figur 4.4
VE-andel af det udvidede energiforbrug
Pct.
45
40
35
30
25
20
15
10
5
0
2011
2012
2013
2014
2015
2016
2017
VE-andel
2018
2019
2020
EU-mål for VE-andel
Pct.
45
40
35
30
25
20
15
10
5
0
Anm.: Den viste fremskrivning af VE-andel stammer fra Basisfremskrivning 2019. Andelen af vedvarende
energi i det udvidede endelige energiforbrug ligger over det fastsatte EU-mål i hele perioden.
Kilde: Energistyrelsen (2019), Basisfremskrivning 2019.
EU’s Klima- og Energipakke indeholder også et særskilt mål for anvendelsen af vedvarende
energi i transportsektoren, hvor Danmark er forpligtet til at opnå en VE-andel i landtransport
på mindst 10 pct. i 2020. Målet gælder kun i 2020, og der er således ingen delmål på vejen
mod 2020. I 2020 forhøjes iblandingskravet for bæredygtige biobrændstoffer i transportsekto-
ren fra 5,75 pct. til 7,6 pct. af energiforbruget for at leve op til kravet om mindst 10 pct. vedva-
rende energi i transportsektoren. Den resterende del opfyldes med VE-el anvendt i personbi-
ler og jernbanen.
EU-mål for 2030
EU’s stats- og regeringschefer vedtog i oktober 2014 de overordnede rammer for EU’s klima-
og energipolitik frem mod 2030. 2030-rammen indeholder som et centralt element et bin-
dende mål om intern reduktion af EU’s drivhusgasudledninger på mindst 40 pct. i 2030 i for-
hold til 1990. For at nå dette mål skal sektorerne omfattet af EU’s kvotehandelssystem redu-
cere udledningerne med 43 pct. i 2030 i forhold til 2005, mens sektorerne uden for EU’s kvo-
tehandelssystem skal reducere udledningerne med 30 pct. i 2030 i forhold til 2005.
I 2018 vedtog EU et mål om, at EU i 2030 skal dække 32 pct. af sit energiforbrug med vedva-
rende energi, ligesom der blev vedtaget et vejledende mål om 32,5 pct. forbedring af energi-
effektiviteten i 2030. Energiaftalen fra 2018 anviser vejen til en VE-andel på 55 pct. af det en-
delige energiforbrug. Dette vil være et væsentligt bidrag til 2030 EU-målet for vedvarende
energi.
I aftalen om fordelingen af indsatsen i de ikke-kvotebelagte sektorer har Danmark fået et nati-
onalt bindende 2030-reduktionsmål på 39 pct. i forhold til 2005. Et bredt flertal af Folketingets
partier har med klimalovsaftalen forpligtet Danmark til et reduktionsmål på 70 pct. i 2030 i for-
hold til 1990. Det kræver betydelige reduktioner i de ikke- kvotebelagte sektorer for at indfri
dette mål. Med aftale om klimalov sikres rammerne således for en omfattende grøn omstilling
Danmarks Nationale Reformprogram 2020
Maj 2020
27
KEF, Alm.del - 2019-20 - Bilag 286: Fremsendelse af Danmarks Nationale Reformprogram 2020
2187829_0028.png
De nationale mål i Europa 2020-strategien
af det danske samfund, som også vil bidrage til opfyldelsen af Danmarks EU-forpligtelse i
2030.
Kommissionen præsenterede den 11. december 2019 et udspil til en europæisk grøn pagt,
der skal lægge sporene for den nye Kommissions ambitioner på det grønne område. Her
præsenteres en række konkrete initiativer, bl.a. en EU klimalov med mål om klimaneutralitet i
2050 samt en ambition om at øge EU’s reduktionsmål til 50-55 pct. i 2030 i forhold til 1990.
Danmark arbejder aktivt for en ambitiøs realisering af Kommissionens grønne pagt - ikke
mindst en forøgelse af EU’s reduktionsmål for 2030 til mindst 55 pct. med henblik på at opnå
klimaneutralitet i EU i 2050. Et øget europæisk ambitionsniveau betyder, at EU kan gå foran
og dermed anspore andre lande til at øge deres ambitioner. Samtidig kan et højere ambiti-
onsniveau i EU bidrage til realiseringen af Danmarks 70 pct. mål.
Samlet set bidrager Aftale om klimalov, de kommende klimahandlingsplaner og energiaftalen
fra 2018 til, at Danmark indtager en førende rolle på vejen mod at nå de nationale og interna-
tionale klimapolitiske mål, som skal opfyldes frem mod 2030.
Implementering af FN’s verdensmål for bæredygtig energi og
klimaindsats
På klima- og energiområdet arbejder Danmark for at fremme FN’s Verdensmål 7 om bære-
dygtig energi til alle samt Verdensmål 13 om en bæredygtig klimaindsats. Danmarks natio-
nale og internationale mål og forpligtelser, præsenteret i dette kapitel, bidrager til denne ind-
sats. Dertil kommer en række andre væsentlige initiativer, som ikke er en del af EU 2020 må-
lene. Boks 4.3 belyser Danmarks ambitiøse indsats for at sikre en bæredygtig udvikling på
klima- og energiområdet på tre udvalgte delmål.
28
Danmarks Nationale Reformprogram 2020
Maj 2020
KEF, Alm.del - 2019-20 - Bilag 286: Fremsendelse af Danmarks Nationale Reformprogram 2020
2187829_0029.png
De nationale mål i Europa 2020-strategien
Boks 4.3
FN’s Verdensmål for bæredygtig energi og klimaindsats – Danmarks indsats på klima- og
energiområdet
Delmål
7.1. Inden 2030 skal der sik-
res universel adgang til
pålidelig og moderne
energiforsyning til en
overkommelig pris.
Dansk indsats
Danmark har et veludbygget
forsyningssystem, som sikrer
danskerne og danske virk-
somheder verdens højeste
forsyningssikkerhed af el,
varme og gas. Danskerne har
el i stikkontakten 99,99 pct. af
tiden. Danmark arbejder kon-
tinuerligt for en regulering af
forsyningen, som sikrer effek-
tive rammer for grøn forsy-
ning med høj forsyningssik-
kerhed.
Politiske tiltag
• Klima-, energi- og forsynings-
ministeren fastsatte i januar et
planlægningsmål for elforsy-
ningssikkerheden, der sikrer
opretholdelsen af et højt, men
balanceret niveau, så omkost-
ninger for elforbrugerne holdes
nede.
• Forventet modernisering og ny
økonomisk regulering af fjern-
varmesektoren, der skal sikre
de bedst mulige rammer for, at
sektoren effektiviserer og ud-
vikler sig til gavn for forbru-
gerne.
• Justering af den økonomiske
regulering af gasdistribution i
2021 mhp. en fortsat effektiv
drift af gasnettet til gavn for
forbrugerpriserne.
• Afsat finansiering, der anviser
vejen til en VE-andel på ca. 55
pct. af det samlede energifor-
brug i 2030.
• Indført initiativer, der medfører,
at VE-andelen i elforbruget for-
ventes at være over 100 pct. i
2030.
• Energiaftalen medvirker til, at
mindst 90 pct. af fjernvarme-
forbruget baseres på andre
energikilder end olie, kul og
gas i 2030.
• Årlige klimaprogrammer, hvor
regeringen fremlægger kon-
krete reduktionsinitiativer.
• Nyt regeringsudvalg om grøn
omstillingstyrker, at hensynet
til klima, miljø og natur indtæn-
kes i al ny regeringspolitik.
• Klimahandlingsplaner, der
identificerer specifikke virke-
midler i afgørende sektorer
som landbrug, transport,
energi, byggeri og industri.
• 13 klimapartnerskaber med
den private sektor, hvor indu-
strien inviteres til at foreslå og
tage ansvar for specifikke re-
duktionstiltag.
• Hensynet til klima og den
grønne omstilling integreres i
Finansministeriets regnemo-
deller.
7.2. Inden 2030 skal andelen
af vedvarende energi i
det globale energimix
øges væsentligt.
Bæredygtig omstilling er en
dansk styrkeposition. Dan-
mark er et af de lande i ver-
den, der er længst fremme i
omstillingen til vedvarende
energi. VE-andelen i det dan-
ske elforbrug er for nuvæ-
rende over 60 pct. Denne
styrke vil Danmark udvikle og
udbrede for at gøre Danmark
uafhængig af fossil energi.
13.2 Tiltag mod klimaforan-
dringer skal integreres i
nationale politikker, stra-
tegier og planlægning
Danmark har vedtaget en af
verdens mest ambitiøse klima-
love. Her er sat juridisk bin-
dende mål om at reducere
drivhusgasudledning i 2030
med 70 pct. relativt til 1990, at
nå klimaneutralitet i senest
2050 samt at sætte klimamål i
en 5 års cyklus med 10 års
perspektiv.
Kilde: Klima-, Energi- og Forsyningsministeriet.
Danmarks Nationale Reformprogram 2020
Maj 2020
29
KEF, Alm.del - 2019-20 - Bilag 286: Fremsendelse af Danmarks Nationale Reformprogram 2020
2187829_0030.png
De nationale mål i Europa 2020-strategien
4.4 Det nationale mål for uddannelse
Regeringen har tiltrådt de overordnede EU-mål på uddannelsesområdet i Europa 2020-stra-
tegien om at reducere uddannelsesfrafaldet til 10 pct. for de 18-24-årige samt øge andelen af
de 30-34-årige, der har afsluttet en videregående eller tilsvarende uddannelse, til mindst 40
pct. i 2020.
I 2018 var uddannelsesfrafaldet for 18-24-årige 10,2 pct., mens 49,1 pct. af 30-34-årige
havde gennemført en videregående eller tilsvarende uddannelse. Dermed er Danmark tæt på
at have opfyldt det overordnede EU-mål for uddannelsesfrafald og har i høj grad opfyldt målet
om at øge andelen af 30-34-årige, der har afsluttet en videregående eller tilsvarende uddan-
nelse. Stigningen i uddannelsesfrafaldet for de 18-24-årige til 10,2 pct. i 2018 (8,8 pct. i 2017)
skete samtidig med, at beskæftigelsen for de unge steg mærkbart fra 2017 til 2018.
Regeringen har gennemført en række initiativer, som skal styrke kvaliteten af de danske dag-
tilbud og uddannelser for derigennem også at understøtte arbejdet med at opfylde EU-må-
lene på uddannelsesområdet. Disse initiativer beskrives i de følgende afsnit. Regeringen har
desuden med finansloven for 2020 annulleret omprioriteringsbidraget på hele uddannelses-
området fra 2020. Denne økonomiske styrkelse af uddannelsesinstitutionerne danner grund-
lag for at understøtte stabile rammer til at drive gode uddannelser.
Dagtilbuddene
Daginstitutioner af høj kvalitet spiller en helt afgørende rolle i forhold til børns tidlige læring og
udvikling. Daginstitutionerne bidrager i høj grad til at modvirke negativ social arv samt på sigt
i forhold til at reducere uddannelsesfrafald. Høj kvalitet i daginstitutionerne er afgørende for
ambitionen om, at Danmark skal være verdens bedste land at være barn i. Det understøttes
bl.a. ved, at der er tilstrækkeligt og kvalificeret pædagogisk personale i daginstitutionerne.
Med finanslovsaftalen for 2020 er det besluttet at indføre lovbundne minimumsnormeringer i
dagtilbud frem mod 2025. Til formålet afsættes 500 mio. kr. i 2020, 600 mio. kr. i 2021, 800
mio. kr. i 2022, 1.200 mio. kr. i 2023, 1.400 mio. kr. i 2024 og 1,6 mia. kr. i 2025. Målet er, at
minimumsnormeringer fuldt indfaset skal sikre, at der maksimalt er 3 børn per voksen i vug-
gestuer og 6 børn per voksen i børnehaver.
Endelig er aftaleparterne blevet enige om at videreføre puljen til flere pædagoger og pæda-
gogiske assistenter til institutioner med mange 0-2-årige sårbare og udsatte på ca. 242 mio.
kr. årligt i 2020 og frem (samt puljen til flere pædagoger til institutioner med mange børn i ud-
satte positioner på ca. 86 mio. kr. årligt i 2020 og frem). Puljerne supplerer de afsatte midler
til minimumsnormeringer.
Folkeskolen
Med finanslovsaftalen for 2020 aftalte aftalepartierne at afsætte en reserve til et generelt løft
af folkeskolen og midler til styrkelse af den understøttende undervisning.
Et centralt indsatsområde med folkeskolereformen har været at sikre et kompetenceløft af
lærere, pædagoger og ledere i folkeskolen. Der blev med reformen afsat i alt 1 mia. kr. i peri-
30
Danmarks Nationale Reformprogram 2020
Maj 2020
KEF, Alm.del - 2019-20 - Bilag 286: Fremsendelse af Danmarks Nationale Reformprogram 2020
2187829_0031.png
De nationale mål i Europa 2020-strategien
oden 2014-2020 til styrket efteruddannelse af lærere og pædagoger i folkeskolen, samt fast-
sat en målsætning om, at 95 procent af alle undervisningstimer skal varetages af lærere med
undervisningskompetence i de fag de underviser i. Siden reformen trådte i kraft er kompeten-
cedækningsgraden samlet set steget med 6 procentpoint, fra 81,6 procent i 2014/15 til 87,6
2018/19. Med folkeskoleaftalen fra 2019 blev det besluttet at udskyde tidspunktet for, hvornår
målsætningen skal være opfyldt fra 2020 til 2025 for at sikre kommuner og skoler bedre tid til
opgaven.
Folkeskolereformen følges gennem et omfattende følgeforskningsprogram, som løber frem til
2020. Følgeforskningen viser, at reformen endnu ikke har haft positiv betydning for elevernes
faglige resultater og trivsel. Det fremgår dog også, at under halvdelen af skolerne er nået
langt med implementeringen af reformen. Det fremgår ligeledes af den årlige statusredegø-
relse for folkeskolens udvikling, at folkeskolen i 2018/2019 endnu ikke er i mål med at indfri
de fire resultatmål for elevernes faglige og trivselsmæssige udvikling, som blev opstillet med
folkeskolereformen. Det bemærkes dog, at der, ifølge følgeforskningen, er grund til at for-
vente, at det tager mellem 5-15 år før en omfattende skolereform er implementeret fuldt ud
og har en målbar virkning.
Der er endvidere forskellige initiativer i gang, som forventes at bidrage til at løfte de faglige
resultater for elever med indvandrerbaggrund. I maj 2018 blev det med delaftalen på under-
visningsområdet om at bekæmpe parallelsamfund af 9. maj 2018 indført, at alle elever i bør-
nehaveklassen på skoler, hvor mere end 30 pct. af eleverne har bopæl i et udsat boligom-
råde vil skulle bestå en sprogprøve for at kunne begynde i 1. klasse.
Det forberedende område
Et samlet dansk folketing vedtog i 2017 en reform af det forberedende område. Initiativerne i
reformen skal ruste flere unge uden uddannelse eller job til at komme godt videre efter grund-
skolen. En række af de nuværende forberedende tilbud blev i 2019 indholdsmæssigt ændret
pædagogisk og tværfagligt samt institutionelt lagt sammen til en ny Forberedende Grundud-
dannelse (FGU). Den nye FGU gør unge under 25 år klar til fagligt, personligt og socialt at
gennemføre enten en erhvervsuddannelse eller en anden ungdomsuddannelse eller få varigt
fodfæste på arbejdsmarkedet. Reformen rummer bl.a. et krav om, at kommunerne skal etab-
lere en sammenhængende, koordineret ungeindsats.
Erhvervsuddannelser
Reformen om bedre og mere attraktive erhvervsuddannelser, der trådte i kraft fra skoleåret
august 2015, havde som målsætning, at flere skulle vælge en erhvervsuddannelse direkte
efter 9. eller 10. klasse. Det er målet, at 25 pct. vælger en erhvervsuddannelse i 2020, og at
30 pct. vælger en i 2025.
Som led i aftalen blev der endvidere indført et praktikpladstilsagn, som er en hensigtserklæ-
ring fra virksomheden om, at virksomheden har intention om at ansætte den unge i en uddan-
nelsesaftale på et senere tidspunkt.
I forbindelse med trepartsaftalen fra august 2016 blev der oprettet en række fordelsuddannel-
ser, hvor eleverne fik særligt gode muligheder for at indgå en uddannelsesaftale i forbindelse
med deres erhvervsuddannelse. Endvidere er regeringen og arbejdsmarkedets parter enige
Danmarks Nationale Reformprogram 2020
Maj 2020
31
KEF, Alm.del - 2019-20 - Bilag 286: Fremsendelse af Danmarks Nationale Reformprogram 2020
2187829_0032.png
De nationale mål i Europa 2020-strategien
om at styrke virksomhedernes incitament til at oprette flere praktikpladser til unge i erhvervs-
uddannelse ved at indføre en bonus til de virksomheder, der ansætter flere elever, finansieret
ved en ekstrabetaling fra de virksomheder, der ikke ansætter elever. Der er en målsætning
om, at der i 2025 skal indgås 8.000-10.000 flere uddannelsesaftaler sammenlignet med i
2016. I Aftalen Fra folkeskole til faglært – erhvervsuddannelser til fremtiden (november
2018), der fulgte op på erhvervsuddannelsesreformen (2014), trepartsaftalen om praktikplad-
ser (2016), FGU aftalen (2017) samt aftalen om styrket praksisfaglighed i folkeskolen (2018),
blev der iværksat tiltag for at nå målsætningerne om øget søgning til erhvervsuddannelserne.
De gymnasiale uddannelser
Den nye gymnasiereform trådte i kraft for skoleåret 2017/18. Som led i gymnasiereformen
blev partierne bag aftalen enige om, at trivslen på de gymnasiale uddannelser skulle styrkes.
I 2019 gennemførtes den første trivselsmåling på de gymnasiale uddannelser, hvilket viste at
otte ud af ti elever er glade for at gå i gymnasiet. På en skala fra et til fem, hvor fem er det
højeste, ligger glæden ved at gå i skole på 4,1. Ud over en høj trivsel viser undersøgelsen
dog også, at der er områder, hvor eleverne føler sig pressede. Således svarer halvdelen af
eleverne, at de tit føler sig pressede på grund af karakterer. Derudover har over 30 procent af
eleverne af forskellige årsager seriøst overvejet at ”droppe ud” af skolen.
Med reformen er der øget fokus på, at flere elever i gymnasiet vælger fremmedsprog. Dette
bakkes op af etableringen af Det Nationale Center for Fremmedsprog, der arbejder for at
fremme fremmedsprog for hele uddannelsessektoren, således at flere får flere og bedre frem-
medsprogskompetencer. Ligeledes er der etableret udvekslingsprogrammer med Frankrig og
Spanien og afsat økonomisk støtte til udvekslingsophold. Udvekslingsprogrammerne skal
give eleverne både sproglig og kulturel indsigt og er et konkret bidrag til at forbedre fremmed-
sprogenes status.
Der er tilknyttet et følgeforskningsprogram til reformen, som følger og evaluerer gymnasiere-
formens fremdrift og resultater i perioden 2017-2021. Følgeforskningen sætter hvert år fokus
på et særligt tema fra reformen. I 2018 indeholdt dette de første erfaringer med et nye grund-
forløb på hhx, htx og stx, mens der i 2019 var fokus på hf. I 2020 vil der være særligt fokus
på styrket faglighed.
De videregående uddannelser
Regeringen har i 2019 afsat midler til styrkelse af centrale velfærdsuddannelser.
Der er således afsat 127,5 mio.kr. i 2019 til et kvalitetsløft af pædagoguddannelsen – blandt
andet for at adressere udfordringer med manglende studiekompetencer og lav studieintensi-
tet, som blandt andet Danmarks Evalueringsinstitut har påpeget. Professionshøjskolerne kan
anvende midlerne til indsatser, der løber over flere år. Samtidig er der med finanslovsaftalen
for 2020 afsat yderligere 43 mio. kr. i 2023 til pædagoguddannelsen for at understøtte, at de
pædagogiske uddannelser har høj kvalitet. Pædagoguddannelsen vil endvidere blive evalue-
ret i 2020.
Regeringen har endvidere ydet et særtilskud til sygeplejerskeuddannelsen på i alt 44,2 mio.
kr. Midlerne skal understøtte initiativer, der kan bidrage til at styrke overgangen og således
32
Danmarks Nationale Reformprogram 2020
Maj 2020
KEF, Alm.del - 2019-20 - Bilag 286: Fremsendelse af Danmarks Nationale Reformprogram 2020
2187829_0033.png
De nationale mål i Europa 2020-strategien
mindske frafaldet mellem studie- og praktikperioder på sygeplejerskeuddannelsen. Regerin-
gen har desuden som led i udmøntningen af bevillingsreformen ydet særtilskud på 102 mio.
kr. til øget optag på STEM uddannelser. Regeringen har herudover som led i økonomiaftalen
for 2020 med KL og Danske Regioner aftalt at etablere en fælles Task Force, som skal drøfte
vejene til realisering af regeringens ambition om at uddanne og ansætte mere social- og
sundhedspersonale. Der er for eksempel med finansloven for 2020 afsat 300 mio. kr. i 2020
og 600 mio. kr. årligt fra 2021 til ansættelse af flere sygeplejersker.
Samtidig har regeringen indgået politisk aftale om fra sommeroptaget 2020 at fjerne det hidti-
dige uddannelsesloft, der indebærer en begrænsning af dobbeltuddannelse. Omprioriterings-
bidraget der pålagde årlige 2 pct. besparelser på uddannelsesområdet er desuden afskaffet.
Der er endvidere i 2019 gennemført en evaluering af optagelsessystemet til de videregående
uddannelser. Evalueringen belyser styrker og svagheder ved det nuværende optagelsessy-
stem ud fra en række temaer om blandt andet sammenhæng mellem de gymnasiale uddan-
nelser og de videregående uddannelser, gennemsigtighed og effektivitet.
Der er desuden gennemført en evaluering af karakterskalaen, som blev offentliggjort i januar
2019. Evalueringen kortlægger udviklingen i karaktergivning siden 7-trinsskalaens indførelse
samt undersøger, hvordan karakterskalaen anvendes i uddannelsessystemet.
Uddannelse i hele landet
Regeringen ønsker, at der skal være adgang til gode uddannelser af høj kvalitet for unge i
hele landet. For at understøtte en udvikling i retning af bedre muligheder for uddannelse i
hele Danmark har regeringen igangsat en kortlægning af uddannelseslandskabet, herunder
uddannelsesbehov og rekrutteringspotentialet i forskellige dele af landet. Kortlægningen for-
ventes offentliggjort første halvdel af 2020. Regeringen vil bruge kortlægningen som ud-
gangspunkt for at gå i dialog med kommuner, regioner og uddannelsesinstitutioner om den
geografiske spredning af uddannelser.
Styrkelse af unges trivsel
Regeringen ønsker at fremme børn og unges trivsel, herunder styrke trivslen for studerende
på de videregående uddannelser. Regeringen har således blandt andet afsat 25 mio. kr. til
udviklingsprojekter på de videregående uddannelsesinstitutioner, der kan afprøve forskellige
tilgange til at styrke trivslen blandt de studerende samt opsamle viden om effekten af disse
projekter.
Implementering af FN’s Verdensmål for kvalitetsuddannelse
På dagtilbuds- og uddannelsesområdet er der igangsat en lang række politiske tiltag, som bi-
drager til at opfylde FN’s verdensmål. Det drejer sig om tiltag af både økonomisk, strukturel
og indholdsmæssig karakter for børn, unge og voksne i dagtilbuds- og uddannelsessystemet.
Der er bl.a. afsat ekstra midler til dagtilbuddene, folkeskolen og et kvalitetsløft af pædagogud-
dannelsen, indført tiltag for at styrke elevernes praktiske færdigheder og dermed også inte-
resse for erhvervsuddannelserne, og der er fokus på, at også voksne på arbejdsmarkedet
kan forbedre deres kompetencer,
jf. boks 4.4.
Danmarks Nationale Reformprogram 2020
Maj 2020
33
KEF, Alm.del - 2019-20 - Bilag 286: Fremsendelse af Danmarks Nationale Reformprogram 2020
2187829_0034.png
De nationale mål i Europa 2020-strategien
Boks 4.4
FN’s Verdensmål for kvalitetsuddannelse – Danmarks indsats på børne- og
undervisningsområdet
Delmål
4.1. Inden 2030 skal det sikres, at
alle piger og drenge gennemfø-
rer gratis, rummelig grundskole-
uddannelse i høj kvalitet, der
fører til relevante og effektive
læringsresultater.
Dansk indsats
Adgang til dagtilbud af høj
kvalitet samt en god grund-
uddannelse er en dansk nøg-
leværdi. Det danske dagtil-
budssystem og grundskole
har et godt kvalitetsmæssigt
udgangspunkt, men vi arbej-
der kontinuerligt på at for-
bedre kvaliteten til gavn for
børnenes udvikling og elever-
nes læring og trivsel. Den
seneste PISA 2018 undersø-
gelse viser, at danske elever
ligger over eller på linje med
OECD og EU-gennemsnittet i
både læsning, matematik og
naturvidenskab, og at der er
færre danske elever end
OECD og EU-gennemsnittet,
der præsterer lavt i alle tre
fag.
Lige adgang til uddannelse et
centralt fokus i dansk uddannel-
sespolitik. Derudover arbejdes
der aktivt for, at sikre høj kvali-
tet i tekniske og faglige uddan-
nelser samt at flere vælger
disse, herunder en større andel
af kvinder.
Politiske tiltag
• Initiativ i satspuljeaftalen for
2019 om en styrket indsats i
PPR (den pædagogisk-psyko-
logiske rådgivning i kommu-
nerne).
• Aftale om justeringer af folke-
skolen til en mere åben og flek-
sibel folkeskole (januar 2019:
Bl.a. kortere skoleuge i indsko-
ling, kvalitetsløft af den under-
støttende undervisning, priori-
tering af udvalgte fag).
• Finanslovsaftale 2020: Bl.a.
afsat midler til et generelt løft
af folkeskolen samt lovbundne
minimumsnormeringer i dagin-
stitutioner frem mod 2025.
4.3. Inden 2030 skal alle kvinder og
mænd sikres lige adgang til tek-
nisk, erhvervs- og højere ud-
dannelse, herunder universitet,
i høj kvalitet og til en overkom-
melig pris.
• Naturvidenskabsstrategi (marts
2018): Styrke undervisning i
naturvidenskab i grundskole og
ungdomsuddannelser.
• Aftale om styrket praksisfaglig-
hed (juni 2018) samt aftalen fra
Folkeskole til faglært – Er-
hvervsuddannelser til fremtiden
(november 2018): Bl.a. obliga-
torisk praktisk/musisk valgfag,
erhvervsskoler får mulighed for
at udbyde valgfag i grundsko-
len mv.
• Forberedende Grunduddan-
nelse (FGU) for unge under 25
år. Gennem FGU kan unge
målrette deres uddannelse
mod erhvervsuddannelserne.
• Teknologipagt, der sikrer en
målrettet indsats for, at flere
uddanner sig inden for STEM,
herunder en pulje fra august
2019, der skal medvirke til at
flere kvinder tager en STEM-
uddannelse.
• Kvalitetsløft af pædagoguddan-
nelsen
• Evaluering af pædagoguddan-
nelsen
• Videreførelse af det midlerti-
dige takstløft til takst 1-uddan-
nelserAnnullering af ompriorite-
ringsbidraget
34
Danmarks Nationale Reformprogram 2020
Maj 2020
KEF, Alm.del - 2019-20 - Bilag 286: Fremsendelse af Danmarks Nationale Reformprogram 2020
2187829_0035.png
De nationale mål i Europa 2020-strategien
4.4. Inden 2030 skal antallet af
unge og voksne, der har rele-
vante færdigheder, herunder
tekniske og erhvervsfærdighe-
der for ansættelse, anstændige
job og iværksætteri, øges væ-
sentligt.
Arbejdet med at klæde unge og
voksne i Danmark på til fremti-
dens arbejdsmarked er kommet
langt, og vi understøtter den
positive udvikling med en
række tiltag.
• Tilskud til sygeplejerskeuddan-
nelsen
• Afskaffelse af uddannelseslof-
tet
• Trepartsaftale om
• voksen-, efter- og videreuddan-
nelse (2017) med 2,5 mia. kr.
og en række tiltag for at øge
voksnes efter- og videreuddan-
nelse 2018-2021.
• Voksne på arbejdsmarkedet
har adgang til at forbedre deres
jobrettede kompetencer gen-
nem korte arbejdsmarkedsud-
dannelser, og basale læse-,
skrive-, regne-, it- og engelsk-
færdigheder (Forberedende
voksenundervisning).
• Fokus på studie- og karriere-
kompetencer og innovative
kompetencer på de gymnasiale
uddannelser.
Kilde: Børne- og Undervisningsministeriet.
4.5 Det nationale mål for social inklusion
Under Europa 2020-strategien har regeringen sat et nationalt mål om, at flere personer skal
ud af social eksklusion og være en del af arbejdsfælleskabet.
Udviklingen i det danske 2020 mål
Som led i Europa 2020-strategiens mål om, at færre europæere skal leve i fattigdom og so-
cial eksklusion, har den danske regering sat et nationalt mål om, at antallet af personer i dan-
ske husstande med meget lav beskæftigelsesgrad (LWI) skal reduceres med 22.000 frem
mod 2020 sammenlignet med niveauet i 2008.
I 2019 var der ifølge Eurostat ca. 409.000 personer i husstande med meget lav beskæftigel-
sesgrad i Danmark. Det er et fald på ca. 86.000 personer i LWI-husstande siden det højeste
niveau i 2014,
jf. figur 4.5.
Danmarks Nationale Reformprogram 2020
Maj 2020
35
KEF, Alm.del - 2019-20 - Bilag 286: Fremsendelse af Danmarks Nationale Reformprogram 2020
2187829_0036.png
De nationale mål i Europa 2020-strategien
Figur 4.5
Antallet af personer i LVW-hustande
1.000 personer
600
500
400
300
200
100
0
2003
2004
2005
2006
2007
2008
2009
2010
2011
2012
2013
2014
2015
2016
2017
2018
2019
1.000 personer
600
500
400
300
200
100
0
Anm.: LWI-husstande er defineret som husstande, hvor den gennemsnitlige beskæftigelse for personer
mellem 18 og 59 år (ekskl. studerende under 25 år) er mindre end 20 pct. set over et kalenderår.
Kilde: Eurostat.
Udviklingen skal ses i lyset af, at lønmodtagerbeskæftigelsen siden 2014 er steget med ca.
211.500 personer (4. kvartal 2014 til 4. kvartal 2019). Det samme gælder for fuldtidsbeskæfti-
gelsen, der i samme periode er steget med ca. 156.500 fuldtidspersoner. I den forbindelse
bemærkes det, at der er betydelig usikkerhed forbundet med skøn over udviklingen i beskæf-
tigelsen for 2020 og frem pga. coronaepidemien. Basisåret for målet om social inklusion er
2008. I Danmark lå antallet af personer i husstande med lav beskæftigelse (LWI) i 2008 på et
historisk lavt niveau på 347.000 personer,
jf. figur 4.5.
Fra 2008 til 2019 er antallet af perso-
ner i LWI-hustande steget med 62.000 personer. Mellem 2008 og 2014 var der en markant
stigning, bl.a. grundet det økonomiske tilbageslag i 2008-2009 og den efterfølgende periode
med svag økonomisk vækst og lavere beskæftigelse.
Samtidig bemærkes det, at LWI-hustande omfatter både studerende over 24 år og førtids-
pensionister med social pension, hvilket medvirker til at forklare det relativt høje niveau for
antallet af personer i husstande med meget lav beskæftigelsesgrad i Danmark. Siden 2008
har der været en betydelig tilgang af studerende til de videregående uddannelser. I 2018 var
der således knap 16.000 flere 25-29 årige studerende på de ordinære videregående uddan-
nelser end i 2008, svarende til en stigning på 28 pct.
Stigningen fra 2017 til 2018 og det efterfølgende fald i 2019 skal blandt andet ses i lyset af, at
der i 2018 er sket et mindre databrud i statistikken. Ses der på udviklingen, anbefales det
derfor at være forsigtig med fortolkningen af år-til-år udsving. Antallet af personer i husstande
med meget lav beskæftigelsesgrad vurderes på denne baggrund at have ligget relativt stabilt
de seneste år.
Den danske regering ønsker aktivt at bekæmpe fattigdom. Derfor har regeringen planer om
at indføre en national fattigdomsgrænse, så udviklingen bedre kan følges. Den nye fattig-
domsgrænse skal være en aktiv del af socialpolitikken, og sideløbende er der fortsat fokus på
36
Danmarks Nationale Reformprogram 2020
Maj 2020
KEF, Alm.del - 2019-20 - Bilag 286: Fremsendelse af Danmarks Nationale Reformprogram 2020
2187829_0037.png
De nationale mål i Europa 2020-strategien
indsatser, der skal hjælpe sårbare og udsatte personer videre i livet og ind på arbejdsmarke-
det. Det bemærkes, at regeringen bl.a. har indført et midlertidigt børnetilskud for at afhjælpe
børnefattigdom. Tilskuddet skal gælde indtil et nyt ydelsessystem kan træde i kraft på bag-
grund af anbefalinger fra Ydelseskommissionen. For en nærmere beskrivelse af Ydelseskom-
missionen og det midlertidige børnetilskud,
se kapitel 4.1.
Som led i finanslovsaftalen for 2020 er det besluttet, at der årligt skal udarbejdes en uligheds-
redegørelse, der skal belyse ulighed i bredere forstand. Formålet er at styrke vidensniveauet,
følge udviklingen og skabe overblik over forskellige dimensioner af ulighed, fx på velfærds-
områderne, indkomst- og formueforskelle og barrierer for social mobilitet på tværs af genera-
tioner.
Reformer og initiativer for bedre social inklusion
Bedre overgange fra ung til voksen for personer med handicap
En god overgang til voksenlivet er vigtig for at unge med handicap, kan blive inkluderet på
lige fod med andre i voksenlivets fællesskaber eksempelvis gennem uddannelse og beskæfti-
gelse. Det er særligt vigtigt at understøtte denne overgang, fordi rammerne for den hjælp og
støtte gennem sociale services, den unge kan få, ændrer sig væsentligt, når den unge fylder
18 år. Derfor vil regeringen sikre, at der sættes ind allerede, når den unge fylder 16 år. Dette
initiativ betyder, at kommunerne skal iværksætte forberedelser til overgangen, når den unge
fylder 16 år. Forberedelsen skal være tværgående og helhedsorienteret. Den skal foregå i di-
alog med den unge og dennes forældre og skal blandt andet indeholde overvejelser om den
unges uddannelses-, beskæftigelses- og boligforhold samt om behovet for hjælp og støtte
som følge af handicappet.
Exitpakke til mennesker i prostitution
Der er i årene 2020-2023 afsat midler til et initiativ, der målrettes mennesker i prostitution, der
ønsker at forlade prostitutionsmiljøet eller ønsker rådgivning i relation til deres prostitutionser-
faringer. En del borgere i prostitution har brug for sociale tilbud, mens de er i prostitution, og
hvis de ønsker at forlade prostitution. Kommunerne skal i samarbejde med relevante NGO’er
arbejde sammen om indsatsen til borgere, der ønsker rådgivning om alternativer til et liv i
prostitution samt til eventuelt videre støtte til at forlade prostitution.
Styrket frivillig økonomi- og gældsrådgivning
Der er i årene 2020-2023 afsat midler til en styrket økonomi- og gældsrådgivning. Med initiati-
vet tilstræbes det, at flere, herunder unge, skal have adgang til gældsrådgivning af høj kvali-
tet, og at gældsrådgivningerne skal bygge bro og samarbejde med relevante kommuner,
myndigheder og andre civilsamfundsindsatser om en helhedsorienteret, tidlig og forebyg-
gende indsats. Det kan indebære udgående og forebyggende rådgivningstilbud til særlige
målgrupper som fx unge med en begyndende spillegæld, der fx kan foregå på ungdomsud-
dannelser og lignende, eller andre mennesker, der står i en svær økonomisk situation og
samtidig skal håndtere livskriser som fx skilsmisse og spørgsmål om forældremyndighed.
Danmarks Nationale Reformprogram 2020
Maj 2020
37
KEF, Alm.del - 2019-20 - Bilag 286: Fremsendelse af Danmarks Nationale Reformprogram 2020
2187829_0038.png
De nationale mål i Europa 2020-strategien
Implementering af FN’s verdensmål for afskaffelse af fattigdom samt
anstændige jobs og økonomisk vækst
På socialområdet arbejder Danmark for at fremme FN’s Verdensmål 1 om afskaffelse af fat-
tigdom, Verdensmål 8 anstændige jobs og økonomisk vækst samt Verdensmål 10 om mindre
ulighed. Boks 4.5 belyser Danmarks indsats inden for de to mål.
Boks 4.5
FN’s verdensmål om afskaffelse af fattigdom samt anstændige jobs og økonomisk vækst –
Danmarks indsats på socialområdet
Delmål
1.2 Inden 2030 skal andelen af
mænd, kvinder og børn i alle
aldre, som lever i fattigdom i
alle dens dimensioner, halve-
res i henhold til nationale defi-
nitioner.
Dansk indsats
Regeringen vil bekæmpe fattig-
dom, herunder børnefattigdom.
Det har høj prioritet at sikre, at
alle børn i Danmark vokser op
under ordentlige forhold og
med mulighed for at være en
aktiv del af fællesskabet.
Regeringen følger samtidig ud-
viklingen i antallet af personer i
Danmark med en relativ lav ind-
komst. Det omfatter de perso-
ner, der i et enkelt år har en di-
sponibel indkomst under 50 pct.
af medianindkomsten for hele
befolkningen. Der er hidtil
blandt andet gjort status i det
tidligere Økonomi- og Inden-
rigsministeriums årlige publika-
tion Fordeling og Incitamenter,
og her er Danmark kendetegnet
ved, at der er relativt få perso-
ner i lavindkomstgruppen set i
et internationalt perspektiv.
Regeringen vil fremover årligt
udarbejde en ulighedsredegø-
relse, der analyserer ulighed i
bredere forstand.
Politiske tiltag
• Regeringen vil indføre en ny
national fattigdomsgrænse, så
udviklingen kan følges. Den
nye fattigdomsgrænse skal
være en aktiv del af socialpoli-
tikken.
• Sammen med en bred kreds af
partier har regeringen afsat
midler til at videreføre og per-
manentgøre støtten til jule- og
sommerferiehjælp til udsatte
børnefamilier. Partierne er end-
videre enige om at styrke støt-
ten til julehjælp ved at forhøje
den årlige bevilling med 1,0
mio. kr., så der gives 5 mio. kr.
årligt til begge initiativer.
• Regeringen har den 17. de-
cember 2019 nedsat en ydel-
seskommission. Kommissionen
skal senest efter 12 måneder
komme med anbefalinger til et
nyt kontanthjælpssystem. Et
nyt kontanthjælpssystem skal
balancere en række hensyn,
herunder at der skal være en
klar økonomisk gevinst ved at
arbejde, og der skal tages hen-
syn til børnefamilier, så bør-
nene vokser op under rimelige
forhold og med mulighed for at
være en aktiv del af fællesska-
bet.
• I september 2019 blev der ind-
gået en aftale mellem regerin-
gen og dens støttepartier om et
nyt midlertidigt børnetilskud.
Det midlertidige skattefrie til-
skud er målrettet børnefamilier,
som er berørt af integrations-
ydelsen og kontanthjælpsloftet
• Se afsnit om Ydelseskommissi-
onen ovenfor.
• Se afsnit om det midlertidige
børnetilskud ovenfor.
1.3 Gennemførelse af nationalt til-
passede sociale sikringssyste-
mer og foranstaltninger for
alle, inklusiv nedre grænser,
og inden 2030 opnå en sub-
stantiel dækning af de fattige
og de udsatte grupper.
Danmark har et veludviklet,
dækkende socialt sikkerheds-
net. Det består dels af et over-
førselsindkomstsystem, der sik-
rer alle et forsørgelsesgrundlag,
og dels af en række service-
ydelser.
38
Danmarks Nationale Reformprogram 2020
Maj 2020
KEF, Alm.del - 2019-20 - Bilag 286: Fremsendelse af Danmarks Nationale Reformprogram 2020
2187829_0039.png
De nationale mål i Europa 2020-strategien
8.6 Inden 2020 skal andelen af
unge, der ikke er i beskæfti-
gelse eller under uddannelse
væsentligt reduceres.
Unge skal have et godt afsæt i
livet. Beskæftigelsesindsatsen
har bidraget positivt til, at ande-
len af unge i beskæftigelse eller
uddannelse er høj i Danmark.
Indsatser for at styrke civilsam-
fundet.
• Forslag om at få flere unge i fri-
tidsjob
10.2 Styrk social, økonomisk og
politisk inklusion: Inden 2030
skal vi styrke og fremme den
sociale økonomiske og politi-
ske inklusion af alle, uanset
alder, køn, handicap, race, et-
nicitet, oprindelse, religion,
økonomisk status eller anden
form for status.
• Der er i aftalen om udmøntnin-
gen af reserven til foranstaltnin-
ger på social-, sundheds- og
arbejdsmarkedsområdet afsat
midler til en styrket infrastruktur
på civilsamfundsområdet. Der-
udover er der i samme aftale
afsat driftsstøtte til en række fri-
villige indsatser, der fremmer
deltagelse og inklusion. På fi-
nansloven for 2020 er der end-
videre afsat midler til varige
driftsmidler til en række frivillige
sociale indsatser.
Kilde: Social- og Indenrigsministeriet.
Danmarks Nationale Reformprogram 2020
Maj 2020
39
KEF, Alm.del - 2019-20 - Bilag 286: Fremsendelse af Danmarks Nationale Reformprogram 2020
2187829_0040.png
Kapitel
Fejl!
Ingen tekst
med den
anførte
typografi i
dokumentet.
Fejl! Ingen tekst med den anførte typografi i dokumentet.
4
Aftaler om den kommunale og
regionale økonomi
September 2019
KEF, Alm.del - 2019-20 - Bilag 286: Fremsendelse af Danmarks Nationale Reformprogram 2020
2187829_0041.png
5. Institutionelle spørgsmål
og interesseinddragelse
Nyt kapitel
Der er i Danmark en fast procedure for Folketingets inddragelse i den danske og europæiske
vækst- og beskæftigelsesdagsorden. Det sker som en prioriteret del af den danske EU-be-
slutningsprocedure, når Europa 2020-strategien og det europæiske semester er på dagsor-
denen i EU, i de enkelte rådsformationer og i Det Europæiske Råd.
Regeringen og Folketinget har aftalt en udvidet inddragelse af Folketingets Europaudvalg og
Finansudvalg i forhold til drøftelserne om det europæiske semester og det nationale reform-
program. Dette indebærer, at regeringen (i tillæg til de løbende drøftelser af den europæiske
vækst- og beskæftigelsesdagsorden) orienterer og drøfter de vigtigste spørgsmål med Folke-
tingets Europaudvalg og Finansudvalg. Der afholdes som følge heraf tre årlige fælles samråd
i løbet af det europæiske semester. Proceduren er følgende:
Efter offentliggørelsen (typisk i efteråret) af Kommissionens årlige strategi for bæredygtig
vækst (tidligere vækstundersøgelsen), orienterer regeringen Europaudvalget og Finansudval-
get om indholdet af strategien.
I løbet af foråret orienterer regeringen på et fælles samråd de to folketingsudvalg om Dan-
marks nationale reformprogram og konvergensprogrammet. Det fælles samråd om Danmarks
Nationale Reformprogram og Konvergensprogram for 2020, der var planlagt i april måned,
blev imidlertid aflyst grundet coronaepidemien.
Dertil orienterer regeringen – efter fremlæggelsen af Kommissionens landespecifikke anbefa-
linger – på et fælles samråd folketingsudvalgene om Kommissionens udkast til landespeci-
fikke anbefalinger.
De tre samråd betegnes som ”det nationale semester” og er i lyset af den tættere koordina-
tion af den økonomiske politik i EU et eksempel på en styrket rolle for de nationale parlamen-
ter i EU.
Kontaktudvalget for Europa 2020-strategien
er omdrejningspunkt for den nationale forankring
af Europa 2020-strategien og det europæiske semester i Danmark. Udvalget blev nedsat al-
lerede i 2001 i forbindelse med vedtagelsen af Lissabon-strategien og består af en bred vifte
af regionale og lokale myndigheder samt organisationer med interesse for den europæiske
vækst- og beskæftigelsesdagsorden. De regionale og lokale myndigheder er centrale i for-
hold til den nationale udmøntning af vækst- og beskæftigelsespolitikken.
Danmarks Nationale Reformprogram 2020
Maj 2020
41
KEF, Alm.del - 2019-20 - Bilag 286: Fremsendelse af Danmarks Nationale Reformprogram 2020
2187829_0042.png
Institutionelle spørgsmål og interesseinddragelse
Kontaktudvalget træder ikke i stedet for de forskellige EU-specialudvalg inden for rammerne
af den danske EU-beslutningsprocedure, men fungerer som et parallelt hørings- og konsulta-
tionsled på vækst- og beskæftigelsesområdet. Udvalget er et vigtigt forum for dialog mellem
beslutningstagere og interesseorganisationerne om den europæiske vækst- og beskæftigel-
sesdagsorden og er centralt i forhold til at skabe konsensus om danske prioriteter på vækst
og beskæftigelsesområdet.
Udvalget mødes i udgangspunktet hvert år, dels på ministerniveau og dels på embeds-
mandsniveau. I første halvår holdes kontaktudvalget informeret om forløbet af det europæi-
ske semester, den aktuelle europæiske vækst- og beskæftigelsesdagsorden samt udarbej-
delsen af det nationale reformprogram. I andet halvår afholdes temadrøftelser med fokus på
elementer af vækst- og beskæftigelsesdagsordenen, f.eks. blev der i november 2019 afholdt
et møde ledet af udenrigsministeren med fokus på regeringens europapolitiske prioriteter,
herunder hvad angår vækst og beskæftigelse.
Udkastet til Danmarks nationale reformprogram 2020 blev sendt i høring i kontaktudvalget og
drøftet på et møde i udvalget den 4. marts 2020 med efterfølgende mulighed for udvalget til
at afgive skriftlige bemærkninger. Udvalgets bemærkninger er så vidt muligt søgt afspejlet og
indarbejdet i det nationale reformprogram.
Boks 5.1
Regeringens orientering af Folketinget om det europæiske semester og det nationale
reformprogram (”det nationale semester”)
Januar 2020: Fælles samråd i Folketingets Europaudvalg og Finansudvalg om Kommissionens årlige
strategi for bære-dygtig vækst 2020 og Kommissionens varslingsrapport 2020 under proceduren for
makroøkonomiske ubalancer.
Juni 2020: Fælles samråd i Folketingets Europaudvalg og Finansudvalg om Kommissionens udkast til
landespecifikke anbefalinger.
42
Danmarks Nationale Reformprogram 2020
Maj 2020
KEF, Alm.del - 2019-20 - Bilag 286: Fremsendelse af Danmarks Nationale Reformprogram 2020 KEF, Alm.del - 2019-20 - Bilag 286: Fremsendelse af Danmarks Nationale Reformprogram 2020
2187829_0044.png
Kapitel
Fejl!
Ingen tekst
med den
anførte
typografi i
dokumentet.
Fejl! Ingen tekst med den anførte typografi i dokumentet.
4
Aftaler om den kommunale og
regionale økonomi
September 2019
KEF, Alm.del - 2019-20 - Bilag 286: Fremsendelse af Danmarks Nationale Reformprogram 2020
2187829_0045.png
Bilag 1. Initiativer i lyset af COVID-19
Bilag 1. Initiativer i lyset af
COVID-19
Der er lanceret en række erhvervs- og jobrettede tiltag, der skal bidrage til at afbøde negative
økonomiske konsekvenser som følge af spredningen af COVID-19.
Initiativerne er rettet mod både de lønmodtagere og virksomheder, der oplever negative øko-
nomiske konsekvenser, og mere generelt mod at holde hånden under dansk økonomi i en
vanskelig situation.
En samlet og uddybende oversigt over tilskud, garantier og øvrig likviditet mv. for virksomheder
mv. fremgår af boks B.1.
Boks B.1
Tilskud, garantier og likviditet for virksomheder mv. som følge af udbruddet af COVID-19
Tilskud mv.:
Midlertidig kompensationsordning for selvstændige, freelancere mv. (14,1 mia. kr.)
Ordningen betyder, at de små selvstændige, der oplever mere end 30 pct. nedgang i omsætningen som
konsekvens af COVID-19 virus, kan blive kompenseret. Kompensationen fra staten er 90 pct. af omsæt-
ningstabet, dog maksimalt 23.000 kr. pr. måned. Kompensationen kan udgøre op til 46.000 kr. pr. måned,
hvis den selvstændige har en medarbejdende ægtefælle. For selvstændige der har været pålagt lukning er
kompensationsgraden 100 pct.
Det er også muligt at få støtte fra ordningen for selvstændige uden CVR-nr., som har oplevet et fald i B-ind-
komsten på 30 pct. Den selvstændige kan i så fald få dækket 90 pct. af B-indkomsttabet, dog maksimalt
23.000 kr. pr. måned.
Midlertidig kompensation for virksomheders faste omkostninger (65,3 mia. kr.)
I ordningen kan virksomheder få godtgjort dokumenterbare faste omkostninger, herunder fx husleje, rente-
omkostninger og uopsigelige kontraktbundne udgifter i en periode (fx leasing), hvor virksomhederne er ud-
sat for en stor omsætningsnedgang. Ordningen er gældende fra og med 9. marts 2020 til og med 8. juli
2020.
Andelen af de faste omkostninger, der kompenseres er følgende: 80 pct., hvis omsætningsnedgangen har
været på 80-100 pct., 50 pct., hvis omsætningsnedgangen har været på 60-80 pct. og 25 pct., hvis omsæt-
ningsnedgangen har været på 35-60 pct.
Danmarks Nationale Reformprogram 2020
Maj 2020
45
KEF, Alm.del - 2019-20 - Bilag 286: Fremsendelse af Danmarks Nationale Reformprogram 2020
2187829_0046.png
Bilag 1. Initiativer i lyset af COVID-19
Herudover vil virksomheder, som regeringen har udstedt midlertidigt forbud mod at drive forretning for at
inddæmme smittespredning af COVID-19 og som ingen omsætning har i perioden, blive kompenseret, sva-
rende til 100 pct. af de omfattede faste omkostninger, så længe forbuddet er gældende.
Virksomheder kan maksimalt få udbetalt 110 mio. kr., ligesom virksomheder som minimum skal have faste
omkostninger svarende til 12.500 kr. i en tremåneders periode for at kunne få kompensation. Virksomheder,
der modtager mere end 60,0 mio., kr. fra ordningen, skal på tro og love erklære, at virksomhederne ikke vil
udbetale udbytte eller foretage aktietilbagekøb for regnskabsårene 2020 og 2021. Virksomheder med base i
skattely i henhold til EU’s retningslinjer ikke kan modtage kompensation i det omfang det er muligt at af-
skære dem efter EU-retten og eventuelle andre internationale forpligtelser, som Danmark eller EU har påta-
get sig.
Midlertidig lønkompensationsordning (10,2 mia. kr.)
Virksomheder, der står overfor at skulle varsle afskedigelser for minimum 30 pct. af medarbejderstaben el-
ler mere end 50 ansatte, kan med ordningen få lønkompensation.
Lønkompensationen fra staten er 75 pct. af de pågældende medarbejderes løn, dog maksimalt 30.000 kr.,
hvis de vælger at hjemsende medarbejderne i stedet for at afskedige dem. For timelønnede kan lønkom-
pensationen udgøre 90 pct., dog maksimalt 30.000 kr. pr. måned pr. omfattet fuldtidsansat. Virksomheden
kan højest få lønkompensation i 4 måneder fra den 9. marts til og med den 8. juli.
Midlertidig kompensationsordning for freelancere mv. med både A- og B-indkomst (0,2 mia. kr.)
Freelancere mv., der oplever et tab i A- og B-indkomst på mindst 30 pct., kan modtage kompensation. Kom-
pensationen udgør 90 pct. af det forventede A- og B-indkomsttab i perioden sammenlignet med forudgå-
ende år, dog maksimalt 20.000 kr. pr. måned.
Målgruppen for ordningen er personer, som har haft en samlet A- og B-indkomst samt skattepligtigt over-
skud fra selvstændig virksomhed på mindst i alt 10.000 kr. i gennemsnit pr. måned i det seneste år. Heraf
skal mindst 5.000 kr. pr. måned skal være B-indkomst, og højst 20.000 kr. må være A-indkomst.
Dagpenge og sygedagpenge (0,4 mia. kr. i 2020)
Dagpengemodtageres dagpengeanciennitet sættes på pause. Det betyder, at perioden fra og med 1. marts
til og med 30. juni ikke vil tælle med i den lediges dagpengeanciennitet. Dagpengemodtagere kan derved
modtage dagpenge i op til fire måneder længere.
Derudover suspenderes arbejdsgivernes betaling af dagpengegodtgørelse for 1. og 2. ledighedsdag (G-
dage) midlertidigt for medlemmer af en arbejdsløshedskasse, som bliver omfattet af en arbejdsfordeling el-
ler hjemsendelse fra og med lovens ikrafttræden til og med den 30. juni 2020.
Sygedagpengemodtagere vil få forlænget deres dagpengeperiode med tre måneder, hvis de når revurde-
ringstidspunktet i perioden fra 9. marts til 30. juni, og hvis de ikke kan få forlænget udbetalingen af sygedag-
penge efter forlængelsesreglerne.
Suspendering 225-timersreglen (<0,1 mia. kr.)
225-timersreglen i kontanthjælpssystemet suspenderes midlertidigt fra 9. marts til 8. juli 2020. Kontant-
hjælpsmodtagere omfattet af 225-timersreglen vil i mindre grad opleve ydelsesreduktioner som følge af su-
spenderingen af reglen.
46
Danmarks Nationale Reformprogram 2020
Maj 2020
KEF, Alm.del - 2019-20 - Bilag 286: Fremsendelse af Danmarks Nationale Reformprogram 2020
2187829_0047.png
Bilag 1. Initiativer i lyset af COVID-19
Timekravet for skattefri seniorpræmie nedsættes midlertidigt (<0,1 mia. kr.)
Timekravet for optjening af seniorpræmie på 1.560 timers beskæftigelse over 12 måneder nedsættes til
1.040 timer for personer født 1. halvår 1954. Det svarer til 4 måneders friperiode for optjening af senior-
præmie i perioden fra 1. marts til og med 30. juni 2020.
Sygedagpengerefusion til arbejdsgivere (1,7 mia. kr.)
Der gives udvidet ret til sygedagpenge for selvstændige og sygedagpengerefusion til arbejdsgiverne på
grund af COVID-19.
Der ydes refusion til arbejdsgivere for udbetalt løn og sygedagpenge i de første 30 dage (arbejdsgiverperio-
den). Derudover kan selvstændigt erhvervsdrivende få sygedagpenge fra første fraværsdag i stedet for efter
den almindelige egenperiode på 2 uger.
Varslingspulje og afbureaukratisering af regler vedr. arbejdsfordeling (<0,1 mia. kr.)
Arbejdsfordelingsordningen
gør det muligt midlertidigt at nedsætte den overenskomstmæssige arbejdstid i
en periode, uden at de berørte medarbejdere afskediges, fx i perioder med manglende ordretilgang. Under
en arbejdsfordeling vil det være muligt at få supplerende dagpenge i perioder, hvor man går hjemme pga.
nedsat arbejdstid. Ordningen er gjort mere fleksibel, så virksomhederne hurtigere kan tilpasse sig den aktu-
elle situation. Det skal understøtte, at virksomhederne kan anvende ordningen til at undgå afskedigelser
som følge af COVID-19.
Hvad angår
varslingspuljen,
sikrer regeringen, den er klar til at håndtere en situation, hvor der kan opstår
flere større afskedigelser i. Det sikres derfor, at varslingspuljen hurtigt kan udvides med 10 mio. kr. i 2020,
såfremt det viser sig nødvendigt. Derved kan varslingspuljen fortsat sikre en målrettet indsats til de perso-
ner, der måtte blive opsagt som led i større afskedigelser.
Kompensationsordning for aflysning af større arrangementer (2,4 mia. kr.)
Kompensationsordning henvender sig til arrangører af større arrangementer fra og med 6. marts til og med
31. august, som aflyses, ændres væsentligt eller udskydes pga. COVID-19. Ordningen omfatter arrange-
menter med +350 deltagere.
Kompensationsordning for medier (0,18 mia. kr.)
Kompensationsordningen er rettet mod visse medier, der har fald i annonceindtægter på 30 pct. eller mere
som følge af COVID-19. Ordningen kompenserer for tabte annonceindtægter i perioden 9. marts til og med
8. juni 2020 efter følgende satser: 60 pct. af den samlede nedgang i annonceindtægter, hvis nedgangen i
annonceindtægter har været på 30-50 pct. eller 80 pct. af den samlede nedgang i annonceindtægter, hvis
nedgangen i annonceindtægter har været på 50-100 pct.
Følgende medietyper er omfattet: Trykte og digitale dagblade, fritstående digitale nyhedsmedier, ugeaviser,
kommercielle radioer, kommercielle ikke-statsejede tv-stationer, der har dansk sendetilladelse eller er regi-
streret hos Radio- og tv-nævnet samt magasiner og fagblade.
Kompensationsordning for kunstnere med kombineret A- og B-indkomst (0,1 mia. kr.)
Ordningen kan ansøges af kunstnere, der har en samlet A- og B-indkomst og skattepligtigt overskud fra
selvstændig virksomhed på mellem 100.000 kr. og 800.000 kr. årligt, svarende til mindst 8.333 kr. og maksi-
malt 66.667 kr. månedligt i gennemsnit i ét ud af de seneste tre år med udgangspunkt i årsopgørelser fra
2017, 2018 og 2019.
Danmarks Nationale Reformprogram 2020
Maj 2020
47
KEF, Alm.del - 2019-20 - Bilag 286: Fremsendelse af Danmarks Nationale Reformprogram 2020
2187829_0048.png
Bilag 1. Initiativer i lyset af COVID-19
Kunstnere, der som konsekvens af COVID-19 forventer et tab i A- og B-indkomst og skattepligtig overskud
fra selvstændig virksomhed fra det kunstneriske virke på mindst 30 pct. i forhold til den forventede indkomst
i perioden 9. marts til og med 8. juni 2020, kan få dækket 75 pct. af det forventede tab, dog maksimalt
23.000 kr. per måned.
Kompensationsordning til særligt nødlidende kulturinstitutioner mv. (0,2 mia. kr.)
Der er afsat en pulje på 200,0 mio. kr., som udmøntes til følgende formål: 1) Kompensation til særligt nødli-
dende kulturinstitutioner for at sikre, at ellers veldrevne kulturinstitutioner ikke går konkurs som følge af CO-
VID-19. 2) Kompensation til sæsonbetonet scenekunstvirksomhed, som falder uden for den generelle arran-
gementspulje. 3) Kompensation for produktionsomkostninger, som ikke kan kompenseres via kompensati-
onsordningerne for faste omkostninger og løn. 4) Kommunale kulturinstitutioner mv.
Garantier mv.:
Garantier for udlån til SMV’er og større virksomheder (understøtter 69 mia. kr. i udlån)
Der er indført en række statslige garantiordninger for b.la. pengeinstitutters nyudlån til SMV’er og større
virksomheder. Ordningerne garanterer som hovedregel 70 pct. af bankernes nye udlån til ellers sunde virk-
somheder, der oplever betydelig omsætningsnedgang som følge af Covid-19. Det er en forudsætning for at
blive omfattet af ordningerne, at man har oplevet et omsætningstab på over 30 pct.
Ordningerne administreres af Vækstfonden og EKF Danmarks Eksportkredit. Ordningerne for større virk-
somheder fungerer på markedsvilkår, mens der er afsat tabsrammer til finansiering af SMV-garantierne på
grund af deres højere risikoprofil. Ordningerne er afgrænset til 2020.
Rejsegarantifonden (1,5 mia. kr.)
Med en styrkelse af Rejsegarantifonden er fondens formål midlertidigt udvidet således, at den også kan yde
kompensation for rejseselskabers tilbagebetalingsomkostninger forbundet med aflyste rejser i forbindelse
med Covid-19 i perioden fra 13. marts, hvor Udenrigsministeriet skærpede sin rejsevejledning, og frem til
13. april 2020.
Samtidig har Rejsegarantifonden fået adgang til en statslig garanti på 1,5 mia. kr. med henblik på at sikre,
at fonden har tilpas likviditet til at kunne efterkomme krav om kompensation. Lånet vil blive tilbagebetalt af
rejseselskaberne over en årrække.
Statslig garantidækning til virksomheders handel og eksport (30 mia. kr.)
For at sikre de danske virksomheder adgang til forsikring af deres handel og eksport oprettes en statslig
garantidækning, hvor staten påtager sig en del af kreditforsikringsselskabers risiko for tab på porteføljen af
handelsforsikringer tegnet i 2020 til gengæld for, at de private kreditforsikringsselskaber forpligter sig til at
opretholde en vis forsikringskapacitet i det danske marked.
Ordningen administreres af EKF Danmarks Eksportkredit. Der er afsat en statslig garantiramme på 30 mia.
kr. for 2020, heraf en tabsramme på fem mia. kr. Ordningen er afgrænset til 2020.
Matchfinansieringstiltag i Vækstfonden (3,4 mia. kr.)
Der er etableret to matchfinansieringsordninger i Vækstfonden målrettet iværksætterne i de tidligere faser
og venturevirksomheder. Vækstfonden vil på porteføljeniveau finansiere mellem 75 pct. og 100 pct. af finan-
sieringerne med lån. Dvs. at Vækstfonden som minimum vil tilbyde 1:3-matching og for nogle virksomheds-
typer tilbyde fuld statslig finansiering.
48
Danmarks Nationale Reformprogram 2020
Maj 2020
KEF, Alm.del - 2019-20 - Bilag 286: Fremsendelse af Danmarks Nationale Reformprogram 2020
2187829_0049.png
Bilag 1. Initiativer i lyset af COVID-19
Ordningerne gøres tidsbegrænsede og udløber ultimo 2020. Vækstfonden tilføres en særlig garantiramme
på 2.200 mio. kr., heraf 800 mio. kr. i tabsramme, til ordningerne.
Vækstfonden tilføres endvidere ny kapacitet på 1,2 mia. kr. til investeringer både direkte i virksomheder og
via fonde. Det skal bidrage til at fylde de huller i markedet, der opstår, fordi de private investorer trækker
opad eller helt ud af markedet for risikovillig kapital
Garantier til SAS fra den danske stat (ca. 1 mia. kr.)
Den danske og den svenske regering har i fællesskab besluttet hver især at stille garantier for SAS. Garan-
tierne skal understøtte SAS’ håndtering af de mest akutte økonomiske konsekvenser som følge af COVID-
19.
Øvrig likviditet og finansieringsmuligheder:
Øgede lånemuligheder for elever og studerende (0,6 mia. kr.)
Muligheden for at optage SU-lån udvides fra marts og til og med juni måned, således at elever på ungdoms-
uddannelserne og studerende får en ret til at optage SU-lån for op til 6.388 kr. per måned ud over deres sti-
pendium og eksisterende mulighed for SU-lån. Udvidelsen glæder både for stipendiemodtagere og for stu-
derende, der er blevet forsinkede og derfor modtager slutlån samt studerende der er i lønnet praktik i perio-
den.
Ekstra slutlånsrater (0,02 mia. kr
1
.)
Studerende, der har brugt alle SU-klip og slutlånsrater til uddannelsen, eller som har brugt alle SU-klip og
endnu ikke har opnået ret til slutlån til uddannelsen, kan modtage ekstra slutlånsrater (svarende til 8.241. kr.
per måned) fra maj til juni.
Udskydelse af betalingsfrister for moms og a-skat mv. og fremrykning af udbetalinger for skattekre-
ditter (166,3 mia. kr.)
Betalingsfristerne for momsbetaling
er midlertidigt forlænget. Det skaber en likviditetsmæssig buffer for virk-
somhederne. Betalingsfristen for store virksomheders momsbetaling forlænges for tre månedlige rater
(marts, april og maj) med 30 dage. For mellemstore virksomheder forlænges betalingsfristen for første kvar-
tal 2020 med tre måneder, og for små virksomheder forlænges betalingsfristen for første halvår 2020 med
seks måneder. Betalingsfristen for B-skat forlænges for to rater (april og maj) med to måneder.
Visse virksomheders betalingsfrist for
lønsumsafgift
er midlertidigt forlænget. Det skaber en likviditetsmæs-
sig buffer for visse virksomheder, der ikke er momspligtige. Betalingsfristen for andet kvartal forlænges med
1�½ måned og for tredje kvartal med en måned.
Virksomheders betalingsfrist for
A-skat og AM-bidrag
er midlertidigt forlænget. Det skaber en likviditets-
mæssig buffer for virksomhederne. Betalingsfristerne forlænges for 3 månedlige rater (betalinger for april,
maj og juni) med 4 måneder.
Udbetaling af skatteværdien af den andel af selskabers underskud, der kan henføres til forsknings- og ud-
viklingsaktiviteter
(skattekreditordningen)
er fremrykket fra november 2020 til juni 2020. Det vil forbedre li-
kviditeten for de berørte virksomheder.
For virksomheder med et ønske herom vil det fortsat være muligt at indbetale skatten som normalt.
1
Det er taget udgangspunkt i beregninger, hvor hele målgruppen udnytter lånemulighederne fuldt ud.
Danmarks Nationale Reformprogram 2020
Maj 2020
49
KEF, Alm.del - 2019-20 - Bilag 286: Fremsendelse af Danmarks Nationale Reformprogram 2020
2187829_0050.png
Bilag 1. Initiativer i lyset af COVID-19
Rentefrit lån til små og mellemstore virksomheder (35,4 mia. kr.)
Små og mellemstore virksomheder får mulighed for at ansøge om et rentefrit lån svarende til deres seneste
momsindbetaling. En tilsvarende lånemulighed vil være tilgængelig for visse lønsumsafgiftspligtige virksom-
heder. Lånet skal være tilbagebetalt d. 1. april 2021. Lånemuligheden forbedrer likviditeten i de berørte virk-
somheder.
Offentlige indkøb: Fremrykning af betalinger og fleksibilitet
Til og med d. 31. oktober 2020 dispenseres fra en række bevillings- og disponeringsregler, der har betyd-
ning for indkøb i den offentlige sektor. Dispensationerne gør det bliver muligt for offentlige institutioner, at:
1) foretage forudbetaling for leverancer, 2) undlade at gøre misligholdelsesbestemmeler gældende, hvis
misligholdelsen kan henføres til Coronavirus. Derudover fremrykkes betaling af regninger ift. den seneste
betalingsfrist, og alle offentlige institutioner er kraftigt opfordret til at behandle fakturaer så hurtigt som mu-
ligt.
Aftaler mellem regeringen, KL og Danske Regioner
Kommuner og regioner sættes i 2020 fri af det aftalte anlægsloft (2,5 mia. kr.)
Regeringen vil ekstraordinært i 2020 sætte kommunerne fri af det aftalte anlægsloft mellem regeringen og
KL, som for 2020 udgør 19,1 mia. kr. KL vurderer, at der kan fremrykkes investeringer for op til 2,5 mia. kr. i
kommunerne. Derudover vil regeringen i 2020 sætte regionerne fri af det aftalte anlægsloft mellem regerin-
gen og Danske Regioner, som for 2020 udgør 2,5 mia. kr.
Det betyder, at kommuner og regionerne får fri mulighed for at fremrykke investeringer, som alligevel skulle
være udført i de kommende år. Fremrykningen målrettes projekter, der kan igangsættes hurtigt og som ud-
gangspunkt afsluttes i 2020. Det vil medvirke til at understøtte beskæftigelsen her og nu.
Udskydelse af betaling af dækningsafgift af forretningsejendomme (1,1 mia. kr.)
Regeringen og KL er enige om, at kommunerne har mulighed for at udsætte virksomheders betaling af 2.
rate dækningsafgift i 2020 til 2021. Kommunernes forudsatte indtægter for 2. rate af dækningsafgift udgør
1,1 mia. kr. Regeringen opfordrer kommunerne til at anvende muligheden for at udsætte betalingen for at
medvirke til at afhjælpe likviditetsproblemer hos private virksomheder.
Løbende dialog om driftsudgifterne
Regeringen vil sikre, at ekstraordinære udgifter til COVID-19-relaterede tiltag ikke fortrænger øvrige udgifter
til borgernær velfærd.
Regeringen, KL og Danske Regioner har aftalt en løbende dialog om kommunernes og regionernes situa-
tion i relation til COVID-19 og udmøntningen af de initiativer, som regeringen og Folketinget iværksætter, og
vil drøfte de samlede rammer for kommunernes og regionernes økonomi i 2020 og 2021 i forbindelse med
de kommende økonomiforhandlinger.
Finansiering af igangsættelse af anlægsaktiviteter
For at understøtte, at likviditeten ikke er en hindring for igangsætning af anlægsaktiviteter, vil regeringen
give kommunerne mulighed for at få dispensation, så den forøgede anlægsaktivitet kan lånefinansieres. Re-
geringen og KL er derudover enige om at afsætte en generel lånepulje på 500 mio. kr. med henblik på styr-
kelsen af likviditeten til vanskeligt stillede kommuner.
Hertil kommer virkningen sfa. en frigivelse af den kontracykliske kapitalbuffer, der giver ban-
kerne adgang til over 200 mia. kr. i yderligere kapitalbeholdning.
50
Danmarks Nationale Reformprogram 2020
Maj 2020
KEF, Alm.del - 2019-20 - Bilag 286: Fremsendelse af Danmarks Nationale Reformprogram 2020
Maj
2020
Finansministeriet
Christiansborg Slotsplads 1
1218 København K
Tlf. : +45 3392 3333
E-mail: [email protected]
ISBN 978-87-93823-29-7 (digital version)
2019/20:6
Omslag: Regeringens Kommunikationsenhed
Layout: Finansministeriet
Publikationen kan hentes på
www.fm.dk
/
www.regeringen.dk
KEF, Alm.del - 2019-20 - Bilag 286: Fremsendelse af Danmarks Nationale Reformprogram 2020
2187829_0052.png
Finansministeriet
Christiansborg Slotsplads 1
1218 København K
Tlf. : +45 3392 3333
E-mail: [email protected]