Grønlandsudvalget 2019-20
GRU Alm.del Bilag 29
Offentligt
2142190_0001.png
Grønlandske studerende på
videregående uddannelser i Danmark
GRU, Alm.del - 2019-20 - Bilag 29: Notat om afsluttende rapport for pilotprojekt vedr. grønlandske studerendes gennemførsel af videregående uddannelser i Danmark, fra uddannelses- og forskningsministeren GRU, Alm.del - 2019-20 - Bilag 29: Notat om afsluttende rapport for pilotprojekt vedr. grønlandske studerendes gennemførsel af videregående uddannelser i Danmark, fra uddannelses- og forskningsministeren
2142190_0003.png
INDHOLD
Grønlandske studerende på
videregående uddannelser i Danmark
1
1.1
1.2
1.3
1.4
Indledning
Baggrund og formål
Analyser
Datagrundlag
Databehandling
5
5
5
5
6
2
3
3.1
3.2
3.3
3.4
3.5
3.6
3.7
3.8
3.9
Deskriptivt overblik
Hovedresultater
Socioøkonomiske forhold
Sociale egenskaber
Studiestarten
Studieservices og studieteknik
Social integration og samarbejde
Fagligt engagement
Faglig selvtillid og sværhedsgrad
Undervisningen
Studierelaterede følelser
8
9
9
9
9
9
10
10
10
10
11
4
4.1
4.2
4.3
4.4
4.5
Resultater
Socioøkonomiske forhold (W1)
Boligforhold (W1) og (W2)
Sociale egenskaber (W1)
Studievalg (W1)
Studiestart (W2)
12
12
19
26
28
35
Danmarks Evalueringsinstitut
3
GRU, Alm.del - 2019-20 - Bilag 29: Notat om afsluttende rapport for pilotprojekt vedr. grønlandske studerendes gennemførsel af videregående uddannelser i Danmark, fra uddannelses- og forskningsministeren
2142190_0004.png
4.6
4.7
4.8
4.9
Studieservices og studieteknik (W2)
Social integration og samarbejde (W3)
Fagligt engagement (W3)
Faglig selvtillid og sværhedsgrad (W3)
41
50
58
66
74
78
84
94
4.10 Studiemotivation (W3)
4.11 Undervisning (W3)
4.12 Studierelaterede følelser (W3)
4.13 Eksamen (W4)
Appendiks A
Temaer og items
Appendiks B
Litteraturliste
101
104
Danmarks Evalueringsinstitut
4
GRU, Alm.del - 2019-20 - Bilag 29: Notat om afsluttende rapport for pilotprojekt vedr. grønlandske studerendes gennemførsel af videregående uddannelser i Danmark, fra uddannelses- og forskningsministeren
Grønlandske studerende på videregående uddannelser i Danmark
1 Indledning
1.1 Baggrund og formål
Uddannelses- og Forskningsministeriet (UFM) ønsker at forbedre vilkårene for grønlandske stude-
rende i Danmark med målet om, at flere gennemfører deres uddannelse. UFM har derfor bedt Dan-
marks Evalueringsinstitut (EVA) om at understøtte udviklingsarbejdet ved at undersøge særlige
kendetegn for grønlandske studerende på danske videregående uddannelser. EVA har gennemført
en række spørgeskemaundersøgelser om temaer, som relaterer sig til frafald og fastholdelse
blandt de studerende, der fik tilbudt en studieplads gennem den Koordinerede Tilmelding (KOT) i
sommeren 2016 og 2017. Disse spørgeskemaer udgør grundlaget for kortlægningen af forskellige
faktorer med relevans for frafald for grønlandske studerende i Danmark.
Formålet med analysen er at opnå ny viden om forhold, som formodes at have betydning for frafal-
det og fastholdelsen af grønlandske studerende på danske videregående uddannelser, og som i
videst muligt omfang kan informere den videre proces med fastholdelsesarbejdet.
De udvalgte spørgsmål er alle valgt på baggrund af en formodning om, at de måler forskellige fak-
torer, som kan have betydning for de studerendes fastholdelse. De kan derfor bidrage med bud på
forklaringer om de grønlandske studerendes frafald.
1.2 Analyser
Tabelrapporten indeholder en sammenligning af grønlandske respondenter med ikke-grønlandske
respondenter, som udgøres af danske og færøske respondenter, på aggregeret niveau. Derudover
indeholder tabelrapporten en række figurer, hvor det belyses, hvordan besvarelserne af spørgsmå-
lene hænger sammen med baggrundsvariablen uddannelsessektor.
I tabelrapporten beskrives tabeller og figurer kort, hvorfor det er nødvendigt at studere tabeller og
figurer nærmere, hvis der ønskes et fyldestgørende billede af, hvordan besvarelserne fordeler sig
mellem grønlandske og ikke-grønlandske studerende. Kommentarerne i rapporten er derfor kun
tilstrækkelige til at identificere, hvilke forskelle der skiller sig mest ud. Resultaterne fremhæves kun,
hvor der er statistisk forskel mellem grønlandske og ikke-grønlandske respondenter.
1.3 Datagrundlag
Data er indsamlet ved udsendelse af spørgeskemaer på fire forskellige tidspunkter ”Bølger” eller
”Waves”; W , W , W og W i løbet af de studerendes første studieår. Hvert spørgeskema og tids-
punkt har haft et specifikt fokus i forhold til den studerendes forventede situation på det pågæl-
dende tidspunkt af studiet:
Danmarks Evalueringsinstitut
5
GRU, Alm.del - 2019-20 - Bilag 29: Notat om afsluttende rapport for pilotprojekt vedr. grønlandske studerendes gennemførsel af videregående uddannelser i Danmark, fra uddannelses- og forskningsministeren
2142190_0006.png
Grønlandske studerende på videregående uddannelser i Danmark
Indledning
W1: august 2016 og august 2017.
W2: oktober 2016 og oktober 2017.
W3: marts 2017 og marts 2018.
W4: september 2017 og september 2018.
Det er data fra disse spørgeskemaundersøgelser, der udgør grundlaget for tabelrapporten, som
forsøger at belyse forskellige faktorers relevans for frafald.
De optagne studerende følges særdeles intensivt i løbet af det første år, da det er i denne periode,
hovedparten af frafaldet sker. Der er forskellige formål med de forskellige spørgeskemabølger, som
tidsmæssigt er planlagt for at opnå bedst mulig viden om forskellige aspekter ved studielivet det
første år. Bølge 1 udsendes umiddelbart efter, de studerende er blevet optaget på en videregående
uddannelse, og inden denne uddannelse starter op. Formålet med denne undersøgelse er at få vi-
den om den studerendes søgning og forventning til det at skulle starte på en uddannelse, ligesom
vi får information om flere baggrundsvariable såsom boligsituation, oplevet helbred, oplevet
stress, etc. Bølge 2 udsendes, når de studerende har været i gang i omtrent en måned på uddan-
nelsen, og den har fokus på, hvordan studiestarten og introforløbet har været for de studerende.
Bølge 3 bliver udsendt efter opstarten af de studerendes 2. semester, og den har til formål at give
os information om, hvordan den studerende oplever at være fagligt og socialt integreret på uddan-
nelsen. Endelig har bølge 4 fokus på mange af de samme ting som bølge 3, og derudover er der et
særligt fokus på forhold, der relaterer sig til eksamenssituationen, som alle studerende på det tids-
punkt vil have været igennem.
1.4 Databehandling
I tabelrapporten afrapporteres som udgangspunkt for den seneste årgang (2017), dog vil der i til-
fælde af, at det anvendte spørgsmål også er blevet stillet til 2016-årgangen, blive afrapporteret sva-
rene samlet for begge årgange. I tilfælde hvor svarkategorierne er ændret mellem årgange (fx fra
fire til fem svarmuligheder), afrapporteres besvarelserne på den korteste skala. Begge årgange ind-
drages dog ved at samle kategorierne på den skala med flest svarmuligheder fx ved at slå ”I meget
høj grad” og ”I høj grad” sammen til ”I høj grad”
1
, hvilket gøres for at opnå så meget information
som muligt fra de to årgange.
Af hensyn til respondenternes anonymitet afrapporteres der i tabeller og figurer kun besvarelser,
hvis der er mere end to respondenter i svarkategorien. Hvis dette ikke gør sig gældende, vil svarmu-
ligheden blive slået sammen med en eller flere nærliggende svarkategorier, således at et informati-
onstab undgås.
Desuden består resultaterne for de enkelte sektorer af ”universitetsuddannelserne” og ”professi-
ons-
og erhvervsuddannelserne”. Professions-
og erhvervsuddannelserne vil være kombineret, da
datagrundlaget separat for disse uddannelsessektorer er for småt. I visse tilfælde kunne en adskil-
lelse af de to sektorer have været gangbart, men for overskuelighedens skyld har vi valgt gennem-
gående kun at arbejde med to sektorinddelinger. Denne kombination af uddannelsessektorer er
1 Dette kan skabe en vis skævhed i resultaterne mellem årgangene, da fortolkningen af en specifik kategori afhænger af, hvilke andre
kategorier der er. Det er dog primært en skævhed mellem årgange, som kan forventes at være ens for hhv. grønlandske og ikke-grøn-
landske respondenter. Det er derfor ikke et problem for sammenligningen i denne kortlægning.
Danmarks Evalueringsinstitut
6
GRU, Alm.del - 2019-20 - Bilag 29: Notat om afsluttende rapport for pilotprojekt vedr. grønlandske studerendes gennemførsel af videregående uddannelser i Danmark, fra uddannelses- og forskningsministeren
Grønlandske studerende på videregående uddannelser i Danmark
Indledning
desuden naturlig, idet begge uddannelsesområder primært dækker over professionsrettede ud-
dannelser. De to uddannelsessektorkategorier vil ikke summere op til antallet i totalen, hvilket
skyldes, at de maritime og kunstneriske uddannelser ikke er medtaget i sektoranalyserne grundet
et for lille datagrundlag.
1.4.1
Små stikprøver
I mange tilfælde består stikprøverne, som benyttes i de forskellige sammenligninger, af relativt få
besvarelser. Det er derfor vigtigt at gøre opmærksom på, at nævnte forskelle ikke nødvendigvis kan
generaliseres til alle studerende på uddannelsen, da det er en højt selekteret gruppe af responden-
ter, som vælger at besvare spørgeskemaet på de forskellige tidspunkter. Særligt i de senere bølger
forventes denne selektion at være stærk. Det kan være særligt svært at afgøre, om eventuelle for-
skelle skyldes tilfældigheder, eller om der reelt set er forskel blandt de to grupper, når en given stik-
prøve indeholder færre end 40 respondenter. I tilfælde hvor stikprøven er større end 40 responden-
ter, vil det i højere grad være muligt at konkludere, om der rent faktisk er forskel på to grupper af
respondenter.
1.4.2
Test af forskelle
Der er stor forskel på stikprøvestørrelsen mellem gruppen af grønlandske og ikke-grønlandske stu-
derende, hvilket også giver udslag i forskellige antal besvarelser på de fire bølger af spørgeskema-
erne (fx er der 245 besvarelser fra grønlandske studerende og 58.466 fra ikke-grønlandske stude-
rende i bølge 1). For at tage højde for det svingende antal respondenter på tværs af grupper og bøl-
ger er vi nødt til at udføre signifikanstests, som kan tage højde for disse forhold. Vi udfører signifi-
kanstests for at sikre, at der er statistisk evidens for, hvorvidt forskelle mellem grønlandske og ikke-
grønlandske respondenter er af substantiel betydning. De udførte tests forsøger på bedste vis at
tage hånd om variablenes karakter og antallet af respondenter. Der vil i tabelrapporten blive be-
nyttet et signifikansniveau på 5 %.
I udgangspunktet er Chi2-test benyttet for at teste, om fordelingen af svarene for grønlandske og
ikke-grønlandske respondenter er forskellige i statistisk forstand. Dog vil der i tilfælde med meget
få observationer blive benyttet
Fisher’s exact test til at afgøre, om der findes en statistisk forskel
mellem de to grupper af respondenter og deres besvarelser af de udvalgte spørgsmål. I stikprøver
med færre end respondenter vil Fisher’s exact test benyttes, da denne er mere
præcis ved få ob-
servationer (Kroonenberg & Verbeek, 2018).
Danmarks Evalueringsinstitut
7
GRU, Alm.del - 2019-20 - Bilag 29: Notat om afsluttende rapport for pilotprojekt vedr. grønlandske studerendes gennemførsel af videregående uddannelser i Danmark, fra uddannelses- og forskningsministeren
2142190_0008.png
Grønlandske studerende på videregående uddannelser i Danmark
2 Deskriptivt overblik
Herunder gives et kort overblik over fordelingen af respondenterne på uddannelsessektorer, køn,
alder og svarprocenter på de forskellige tidspunkter.
Tabel 2.1 præsenterer svarprocent, gennemsnitsalder, andel kvindelige respondenter og andel re-
spondenter fra universitetssektoren fordelt på grønlandske og ikke-grønlandske studerende i de
forskellige bølger.
TABEL 2.1
Sammenligning af grønlandske og ikke-grønlandske studerende, fordelt
på bølger i frafaldspanelet
Svarprocent
Gennemsnitsalder
Andel kvindelige re-
spondenter
GL
64,4 %
64,2 %
70,3 %
62,5 %
DK
60,9 %
62,5 %
64,4 %
64,7 %
Andel universitetsre-
spondenter
GL
49,2 %
48,1 %
45,7 %
47,8 %
DK
51,5 %
60,0 %
61,2 %
61,7 %
GL
Bølge 1
Bølge 2
Bølge 3
Bølge 4
47,7 %
19,1 %
13,7 %
9,3 %
DK
50,7 %
21,3 %
16,8 %
12,8 %
GL
26,5
27,3
29,1
30,3
DK
23,4
23,4
23,4
23,5
Kilde:
EVA’s frafaldspanel
og
.
Note: GL dækker over grønlandske studerende, mens DK dækker over ikke-grønlandske studerende.
Det kan bemærkes fra ovenstående tabel, at særligt bølge 2, bølge 3 og bølge 4 har relativt lave
svarprocenter, hvilket er en naturlig konsekvens af frafald fra selve spørgeskema over tid. Det må
derfor endnu en gang understreges, at det kun er muligt at sige noget om forskellene blandt de re-
spondenter, som har besvaret spørgsmålene. Det er altså ikke muligt at sige noget om studenter-
populationen som helhed, når svarprocenterne er så lave. Derfor vil der i gennemgangen af resulta-
ter ligeledes blive omtalt fundne forskelle som forskelle mellem respondenter (og ikke stude-
rende). Derudover er antallet af grønlandske respondenter relativt lille, hvorfor et fald mellem to
bølger kan have store betydninger for det deskriptive overblik.
Fra tabel 2.1 kan det bemærkes, at de grønlandske respondenter er væsentligt ældre end de ikke-
grønlandske respondenter. Dette gør sig særligt gældende i de sidste bølger, hvilket kan skyldes
det lave antal grønlandske respondenter. Derudover består de grønlandske respondenter i højere
grad af kvindelige respondenter (bortset fra i bølge 4), ligesom de grønlandske respondenter i hø-
jere grad end de ikke-grønlandske respondenter læser på professions- og erhvervsuddannelserne.
Danmarks Evalueringsinstitut
8
GRU, Alm.del - 2019-20 - Bilag 29: Notat om afsluttende rapport for pilotprojekt vedr. grønlandske studerendes gennemførsel af videregående uddannelser i Danmark, fra uddannelses- og forskningsministeren
Grønlandske studerende på videregående uddannelser i Danmark
3 Hovedresultater
Herunder beskrives de temaer, hvor der i analysen er fundet statistisk signifikante forskelle i de op-
levelser, som grønlandske og ikke-grønlandske respondenter har haft.
3.1 Socioøkonomiske forhold
Analysen af socioøkonomiske forhold viser, at der overordnet set er en statistisk signifikant forskel
på grønlandske respondenter og ikke-grønlandske respondenter mht.
tre af de fire items.
23 % af
de grønlandske respondenter svarer, at de i meget høj eller høj grad har oplevet økonomiske pro-
blemer, mens dette gør sig gældende for 16 % af de ikke-grønlandske respondenter. Derudover op-
lever 70 % af de grønlandske respondenter, at de har været meget eller lidt stresset den seneste
måned, hvorimod 60 % af ikke-grønlandske respondenter svarer det samme. Slutteligt svarer 53 %
af de grønlandske respondenter, at der er sket vigtige ting for respondenten selv, en nær ven eller
tæt familie inden for de sidste 12 måneder, hvilket har medført, at perioden har været betydeligt
vanskeligere for respondenten end et typisk år. Dette gør sig blot gældende for 43 % af de ikke-
grønlandske respondenter.
3.2 Sociale egenskaber
Analysen af sociale egenskaber viser, at der forekommer en statistisk signifikant forskel på grøn-
landske respondenter og ikke-grønlandske respondenter. Blot 40 % af de grønlandske responden-
ter svarer, at de er ekstremt gode eller gode til at præsentere sig selv, mens det samme gør sig gæl-
dende for 57 % af de ikke-grønlandske respondenter.
3.3 Studiestarten
Analysen af studiestarten viser, at der overordnet set er en statistisk signifikant forskel på grønland-
ske og ikke-grønlandske respondenter mht.
to af de fire items.
55 % af de grønlandske studerende
synes i høj grad, at der har været gode rammer for at lære sine medstuderende at kende, mens
dette gør sig gældende for 68 % af de ikke-grønlandske respondenter. Derudover mener 71 % af de
grønlandske respondenter i høj grad, at krav og forventninger til de studerende er tydeligt kommu-
nikeret, hvorimod blot 52 % ikke-grønlandske respondenter svarer det tilsvarende.
3.4 Studieservices og studieteknik
Analysen af studieservices og studieteknikker viser, at der overordnet set er en statistisk signifikant
forskel på de grønlandske og ikke-grønlandske respondenter mht.
ét af de fem items.
69 % af de
grønlandske respondenter synes i høj grad, at de har fået et godt overblik over, hvor man finder de
Danmarks Evalueringsinstitut
9
GRU, Alm.del - 2019-20 - Bilag 29: Notat om afsluttende rapport for pilotprojekt vedr. grønlandske studerendes gennemførsel af videregående uddannelser i Danmark, fra uddannelses- og forskningsministeren
Grønlandske studerende på videregående uddannelser i Danmark
Hovedresultater
væsentligste ting og lokaler, som man har brug for på studiet, mens 58 % ikke-grønlandske respon-
denter svarer det tilsvarende.
3.5 Social integration og samarbejde
Analysen af respondenternes sociale integration og samarbejde viser, at der overordnet set er en
statistisk signifikant forskel på de grønlandske og ikke-grønlandske respondenter mht.
to af de fem
items.
56 % af de grønlandske respondenter mener i høj grad, at de andre studerende er imøde-
kommende, mens det gælder for 70 % ikke-grønlandske respondenter. Derudover er færre grøn-
landske respondenter med i en studiegruppe. 68 % af de grønlandske respondenter svarer, at de er
en del af en studiegruppe, mens det gør sig gældende for 84 % af de ikke-grønlandske responden-
ter.
3.6 Fagligt engagement
I spørgsmålet om respondenternes tidsforbrug har de angivet det gennemsnitlige antal timer i lø-
bet af en uge, som de har brugt på seks forskellige aktiviteter siden uddannelsesstart. Der er ikke
foretaget statistisk test på dette, hvorfor det kort kommenteres.
De grønlandske og ikke-grønlandske respondenter bruger primært deres tid på undervisning og
forberedelse, hhv. 77,2 % og 78,4 %. Hvilket er en forskel på 1,2 procentpoint. Der er med andre ord
ikke tydelig forskel i fordelingen af tiden mellem grønlandske og ikke-grønlandske respondenter.
Der er en mindre forskel i tid forbrugt på forberedelse, for hvor grønlandske respondenter bruger
13,5 timer ugentligt, så bruger ikke-grønlandske respondenter 15,1 timer. Der er en mindre forskel
på, hvordan de grønlandske og ikke-grønlandske respondenter bruger deres resterende tid. Ande-
lene er dog små, hvorfor det ikke ændrer den overordnede konklusion.
Når vi kigger på de enkelte sektorer, så er der bemærkelsesværdig forskel i tidsforbruget mellem
grønlandske og ikke-grønlandske respondenter. På professionsbachelor- og erhvervsakademiud-
dannelser bruger grønlandske respondenter 6,1 timer mere på undervisning og forberedelse end
ikke-grønlandske respondenter fordelt på begge poster. På universitetsuddannelser bruger grøn-
landske respondenter 6,6 timer færre på undervisning og forberedelse end ikke-grønlandske re-
spondenter. Dette mindre tidsforbrug fordeler sig ligeledes på begge posterne.
3.7 Faglig selvtillid og sværhedsgrad
Analysen af respondenternes oplevelse af deres faglig selvtillid og sværhedsgrad viser, at der over-
ordnet set er en statistisk signifikant forskel på de grønlandske og ikke-grønlandske respondenter
mht.
ét af de fem items.
24 % af de grønlandske respondenter mener, at de er rigtig gode til at plan-
lægge deres studietid, mens dette gør sig gældende for 40 % af de ikke-grønlandske respondenter.
3.8 Undervisningen
Analysen af respondenternes oplevelse af undervisningen viser, at der er statistisk signifikant for-
skel på oplevelsen af brugbar feedback fra underviserne, når grønlandske og ikke-grønlandske re-
spondenter sammenlignes. 27 % af de grønlandske respondenter oplever i høj grad, at undervi-
serne giver brugbar feedback, mens dette gør sig gældende for 36 % af de ikke-grønlandske stude-
rende.
Danmarks Evalueringsinstitut
10
GRU, Alm.del - 2019-20 - Bilag 29: Notat om afsluttende rapport for pilotprojekt vedr. grønlandske studerendes gennemførsel af videregående uddannelser i Danmark, fra uddannelses- og forskningsministeren
Grønlandske studerende på videregående uddannelser i Danmark
Hovedresultater
3.9 Studierelaterede følelser
Analysen af respondenternes oplevelse af studierelaterede følelser viser, at der overordnet set er
en statistisk signifikant forskel på de grønlandske og ikke-grønlandske respondenter mht.
ét af de
seks items.
43 % af de grønlandske respondenter er i høj eller nogen grad flove over ikke at kunne
tilegne sig simpelt stof, mens det tilsvarende gør sig gældende for 23 % af ikke-grønlandske re-
spondenter.
Danmarks Evalueringsinstitut
11
GRU, Alm.del - 2019-20 - Bilag 29: Notat om afsluttende rapport for pilotprojekt vedr. grønlandske studerendes gennemførsel af videregående uddannelser i Danmark, fra uddannelses- og forskningsministeren
Grønlandske studerende på videregående uddannelser i Danmark
4 Resultater
4.1 Socioøkonomiske forhold (W1)
Med henblik på at belyse de studerendes socioøkonomiske forhold har vi set på fire items:
I hvilken grad oplever du økonomiske problemer?
Har du den seneste måned følt dig stresset?
Er der sket vigtige ting for dig, en meget nær ven eller tæt familie inden for de sidste 12 måneder,
som har fået den periode til at være betydeligt vanskeligere for dig end et typisk år?
Min familie prøver virkelig at hjælpe mig.
Analysen af socioøkonomiske forhold viser, at der overordnet set er en statistisk signifikant forskel
på grønlandske respondenter og ikke-grønlandske respondenter mht.
tre af de fire items.
23 % af
de grønlandske respondenter svarer, at de i meget høj eller høj grad har oplevet økonomiske pro-
blemer, mens dette gør sig gældende for 16 % af de ikke-grønlandske respondenter. Derudover op-
lever 70 % af de grønlandske respondenter, at de har været meget eller lidt stresset den seneste
måned, hvorimod 60 % af ikke-grønlandske respondenter svarer det samme. Slutteligt svarer 53 %
af de grønlandske respondenter, at der er sket vigtige ting for respondenten selv, en nær ven eller
tæt familie inden for de sidste 12 måneder, hvilket har medført, at perioden har været betydeligt
vanskeligere for respondenten end et typisk år. Dette gør sig blot gældende for 43 % af de ikke-
grønlandske respondenter.
Analysen af betydningen af uddannelsessektorerne viser, at den statistisk signifikante forskel på
besvarelserne blandt grønlandske og ikke-grønlandske respondenter i oplevelsen af at føle sig
stresset primært er drevet af respondenterne på universitetsuddannelserne. 74 % af de grønland-
ske respondenter fra universitetsuddannelserne har følt meget eller lidt stress den seneste måned,
mens dette blot gør sig gældende for 60 % af de ikke-grønlandske respondenter fra universitetsud-
dannelser.
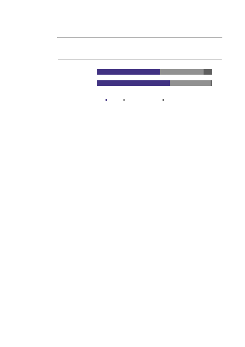
I hvilken grad oplever du økonomiske problemer?
Tabel . viser fordelingen i svaret på spørgsmålet; ”I hvilken grad oplever du økonomiske proble-
mer?”. Svarene er opdelt på grønlandske og ikke-grønlandske
respondenter. Figur 4.1 præsenterer
fordelingen af besvarelserne som procentandel af det samlede antal besvarelser, hvilket gør det
muligt at få et overblik over, hvordan svarfordelingen er forskellig mellem de to respondentgrup-
per.
Danmarks Evalueringsinstitut
12
GRU, Alm.del - 2019-20 - Bilag 29: Notat om afsluttende rapport for pilotprojekt vedr. grønlandske studerendes gennemførsel af videregående uddannelser i Danmark, fra uddannelses- og forskningsministeren
2142190_0013.png
Grønlandske studerende på videregående uddannelser i Danmark
Resultater
TABEL 4.1
I hvilken grad oplever du økonomiske problemer?
I meget høj grad
Grønlandske respondenter
Andre respondenter
19
3.143
I høj grad
38
6.135
I nogen grad
84
14.215
I mindre grad
59
18.497
Slet ikke
45
16.476
Total
245
58.466
Kilde:
EVA’s frafaldspanel
og
,W .
Note:
Respondenterne havde mulighed for at svare ”Ved ikke”. Denne svarkategori rapporteres ikke, da to eller færre
grønlandske eller andre respondenter har svaret dette.
FIGUR 4.1
I hvilken grad oplever du økonomiske problemer?
Grønlandske respondenter
Andre respondenter
0%
I meget høj grad
5
8
16
34
24
18
11
24
32
28
20 %
I høj grad
40 %
I nogen grad
60 %
I mindre grad
80 %
Slet ikke
100 %
Kilde:
EVA’s frafaldspanel
og
,W .
Note: N (grønlandske respondenter) = 245. N (Andre respondenter) = 58.466. P-værdi = 0,000.
Sammenligning mellem grønlandske og ikke-grønlandske studerende fordelt på
uddannelsessektorer
Figur . og . præsenterer besvarelserne på spørgsmålet; ”I hvilken grad oplever du økonomiske
problemer?”, hvor besvarelserne er fordelt på uddannelsessektorer.
FIGUR 4.2
I hvilken grad oplever du økonomiske problemer?
Professionsbachelor-
og erhvervsakademiuddannelser
Grønlandske respondenter
Andre respondenter
0%
I meget høj grad
7
20
33
25
16
7
12
26
30
26
20 %
I høj grad
40 %
I nogen grad
60 %
I mindre grad
80 %
Slet ikke
100 %
Kilde: EVA’s
frafaldspanel
og
,W .
Note: N (Grønlandske respondenter) = 118. N (Andre respondenter) = 27.788. P-værdi = 0,007.
Danmarks Evalueringsinstitut
13
GRU, Alm.del - 2019-20 - Bilag 29: Notat om afsluttende rapport for pilotprojekt vedr. grønlandske studerendes gennemførsel af videregående uddannelser i Danmark, fra uddannelses- og forskningsministeren
2142190_0014.png
Grønlandske studerende på videregående uddannelser i Danmark
Resultater
FIGUR 4.3
I hvilken grad oplever du økonomiske problemer?
Universitetsuddannelser
Grønlandske respondenter
Andre respondenter
4
9
12
37
22
20
9
23
33
31
0%
I meget høj grad
20 %
I høj grad
40 %
I nogen grad
60 %
I mindre grad
80 %
Slet ikke
100 %
Kilde:
EVA’s frafaldspanel
og
,W .
Note: N (Grønlandske respondenter) = 116. N (Andre respondenter) = 29.607. P-værdi = 0,000.
Har du i løbet af den seneste måned følt dig stresset?
Tabel . viser fordelingen i svarene på spørgsmålet; ”Har du i løbet af den seneste måned følt dig
stresset?”. Svarene er opdelt på grønlandske og ikke-grønlandske
respondenter. Figur 4.4 præsen-
terer fordelingen af besvarelserne som procentandel af det samlede antal besvarelser, hvilket gør
det muligt at få et overblik over, hvordan svarfordelingen er forskellig mellem de to respondent-
grupper.
TABEL 4.2
Har du i løbet af den seneste måned følt dig stresset?
Ja, meget
Grønlandske respondenter
Andre respondenter
34
6.226
Ja, lidt
139
29.157
Nej
62
21.843
Ved ikke
12
1.908
Total
247
59.134
Kilde:
EVA’s frafaldspanel
og
,W .
Note:
I
var spørgsmålsformuleringen: ”Føler du dig stresset?”.
FIGUR 4.4
Har du i løbet af den seneste måned følt dig stresset?
Grønlandske respondenter
Andre respondenter
0%
14
56
25
5
11
49
37
3
20 %
Ja, meget
40 %
Ja, lidt
Nej
60 %
Ved ikke
80 %
100 %
Kilde:
EVA’s frafaldspanel
og
,W .
Note: N (Grønlandske respondenter) = 247. N (Andre respondenter) = 59.134. P-værdi = 0,001.
Danmarks Evalueringsinstitut
14
GRU, Alm.del - 2019-20 - Bilag 29: Notat om afsluttende rapport for pilotprojekt vedr. grønlandske studerendes gennemførsel af videregående uddannelser i Danmark, fra uddannelses- og forskningsministeren
2142190_0015.png
Grønlandske studerende på videregående uddannelser i Danmark
Resultater
Sammenligning mellem grønlandske og ikke-grønlandske studerende fordelt på
uddannelsessektorer
Figur . og . præsenterer besvarelserne på spørgsmålet; ”Har du i løbet af den seneste måned
følt dig stresset?”, hvor
besvarelserne er fordelt på uddannelsessektorer.
FIGUR 4.5
Har du i løbet af den seneste måned følt dig stresset?
Professionsbachelor- og erhvervsakademiuddannelser
Grønlandske respondenter
Andre respondenter
0%
14
52
27
8
11
50
36
3
20 %
Ja, meget
40 %
Ja, lidt
Nej
60 %
Ved ikke
80 %
100 %
Kilde:
EVA’s frafaldspanel
og
,W .
Note: N (Grønlandske respondenter) = 120. N (Andre respondenter) = 28.136. P-værdi = 0,010.
FIGUR 4.6
Har du i løbet af den seneste måned følt dig stresset?
Universitetsuddannelser
Grønlandske respondenter
Andre respondenter
0%
13
61
23
3
11
49
37
3
20 %
Ja, meget
40 %
Ja, lidt
Nej
60 %
Ved ikke
80 %
100 %
Kilde:
EVA’s frafaldspanel
og
,W .
Note: N (Grønlandske respondenter) = 116. N (Andre respondenter) = 29.910. P-værdi = 0,014.
Er der sket vigtige ting for dig, en meget nær ven eller tæt familie inden
for de sidste 12 måneder, som har fået den periode til at være
betydeligt vanskeligere for dig end et typisk år?
Tabel . viser fordelingen i svaret på spørgsmålet; ”Er der sket vigtige ting for dig, en meget nær
ven eller tæt familie inden for de sidste 12 måneder, som har fået den periode til at være betydeligt
vanskeligere for dig end et typisk
år?”. Svarene er opdelt på grønlandske og ikke-grønlandske
re-
spondenter. Figur 4.7 præsenterer fordelingen af besvarelserne som procentandel af det samlede
antal besvarelser, hvilket gør det muligt at få et overblik over, hvordan svarfordelingen er forskellig
mellem de to respondentgrupper.
Danmarks Evalueringsinstitut
15
GRU, Alm.del - 2019-20 - Bilag 29: Notat om afsluttende rapport for pilotprojekt vedr. grønlandske studerendes gennemførsel af videregående uddannelser i Danmark, fra uddannelses- og forskningsministeren
2142190_0016.png
Grønlandske studerende på videregående uddannelser i Danmark
Resultater
TABEL 4.3
Er der sket vigtige ting for dig, en meget nær ven eller tæt familie inden
for de sidste 12 måneder, som har fået den periode til at være betydeligt
vanskeligere for dig end et typisk år?
Ja
Grønlandske respondenter
Andre respondenter
Kilde:
EVA’s frafaldspanel
og
,W .
132
25.328
Nej
115
33.806
Total
247
59.134
FIGUR 4.7
Er der sket vigtige ting for dig, en meget nær ven eller tæt familie inden
for de sidste 12 måneder, som har fået den periode til at være betydeligt
vanskeligere for dig end et typisk år?
Grønlandske respondenter
Andre respondenter
0%
43
53
47
57
20 %
Ja
40 %
Nej
60 %
80 %
100 %
Kilde:
EVA’s frafaldspanel
og
,W .
Note: N (Grønlandske respondenter) = 247. N (Andre respondenter) = 59.134. P-værdi = 0,001.
Sammenligning mellem grønlandske og ikke-grønlandske studerende fordelt på
uddannelsessektorer
Figur . og . præsenterer besvarelserne på spørgsmålet; ”Er der sket vigtige ting for dig, en me-
get nær ven eller tæt familie inden for de sidste 12 måneder, som har fået den periode til at være
betydeligt vanskeligere for dig end et typisk år?”, hvor besvarelserne er fordelt på uddannelsessek-
torer.
Danmarks Evalueringsinstitut
16
GRU, Alm.del - 2019-20 - Bilag 29: Notat om afsluttende rapport for pilotprojekt vedr. grønlandske studerendes gennemførsel af videregående uddannelser i Danmark, fra uddannelses- og forskningsministeren
2142190_0017.png
Grønlandske studerende på videregående uddannelser i Danmark
Resultater
FIGUR 4.8
Er der sket vigtige ting for dig, en meget nær ven eller tæt familie inden
for de sidste 12 måneder, som har fået den periode til at være betydeligt
vanskeligere for dig end et typisk år?
Professionsbachelor- og
erhvervsakademiuddannelser
Grønlandske respondenter
Andre respondenter
0%
46
54
46
54
20 %
Ja
40 %
Nej
60 %
80 %
100 %
Kilde:
EVA’s frafaldspanel
og
,W .
Note: N (Grønlandske respondenter) = 120. N (Andre respondenter) = 28.136. P-værdi = 0,071.
FIGUR 4.9
Er der sket vigtige ting for dig, en meget nær ven eller tæt familie inden
for de sidste 12 måneder, som har fået den periode til at være betydeligt
vanskeligere for dig end et typisk år?
Universitetsuddannelser
Grønlandske respondenter
Andre respondenter
0%
40
53
47
60
20 %
Ja
40 %
Nej
60 %
80 %
100 %
Kilde:
EVA’s frafaldspanel
og
,W .
Note: N (Grønlandske respondenter) = 116. N (Andre respondenter) = 29.910. P-værdi = 0,006.
Min familie prøver virkelig at hjælpe mig
Tabel . viser fordelingen i svaret på udsagnet; ”Min familie prøver virkelig at hjælpe mig”. Svarene
er opdelt på grønlandske og ikke-grønlandske respondenter. Figur 4.10 præsenterer fordelingen af
besvarelserne som procentandel af det samlede antal besvarelser, hvilket gør det muligt at få et
overblik over, hvordan svarfordelingen er forskellig mellem de to respondentgrupper.
Danmarks Evalueringsinstitut
17
GRU, Alm.del - 2019-20 - Bilag 29: Notat om afsluttende rapport for pilotprojekt vedr. grønlandske studerendes gennemførsel af videregående uddannelser i Danmark, fra uddannelses- og forskningsministeren
2142190_0018.png
Grønlandske studerende på videregående uddannelser i Danmark
Resultater
TABEL 4.4
Min familie prøver virkelig at hjælpe mig
Meget enig
Grønlandske respondenter
Andre respondenter
Kilde:
EVA’s frafaldspanel
og
Note:
Kun respondenterne spurgt i
138
36.829
Overvejende enig
78
17.224
Overvejende uenig
17
3.184
Meget uenig
10
1.451
Total
243
58.688
,W .
havde mulighed for at svare ”Ved ikke”.
FIGUR 4.10
Min familie prøver virkelig at hjælpe mig
Grønlandske respondenter
Andre respondenter
4
7
32
57
3
5
29
63
0%
Meget uenig
20 %
Overvejende uenig
40 %
60 %
Overvejende enig
80 %
Meget enig
100 %
Kilde:
EVA’s frafaldspanel
og
,W .
Note: N (Grønlandske respondenter) = 247. N (Andre respondenter) = 59.134. P-værdi = 0,126.
Sammenligning mellem grønlandske og ikke-grønlandske studerende fordelt på
uddannelsessektorer
Figur . og . præsenterer besvarelserne på udsagnet; ”Min familie prøver virkelig at hjælpe
mig”, hvor besvarelserne er fordelt på uddannelsessektorer.
FIGUR 4.11
Min familie prøver virkelig at hjælpe mig
Professions- og
erhvervsuddannelser
Grønlandske respondenter
Andre respondenter
4
8
31
57
3
6
29
62
0%
Meget uenig
20 %
Overvejende uenig
40 %
60 %
Overvejende enig
80 %
Meget enig
100 %
Kilde:
EVA’s frafaldspanel
og
,W .
Note: N (Grønlandske respondenter) = 116. N (Andre respondenter) = 27.921. P-værdi = 0,533.
Danmarks Evalueringsinstitut
18
GRU, Alm.del - 2019-20 - Bilag 29: Notat om afsluttende rapport for pilotprojekt vedr. grønlandske studerendes gennemførsel af videregående uddannelser i Danmark, fra uddannelses- og forskningsministeren
2142190_0019.png
Grønlandske studerende på videregående uddannelser i Danmark
Resultater
FIGUR 4.12
Min familie prøver virkelig at hjælpe mig
Universitetsuddannelser
Grønlandske respondenter
Andre respondenter
3
7
32
58
2
5
29
64
0%
Meget uenig
20 %
Overvejende uenig
40 %
60 %
Overvejende enig
80 %
Meget enig
100 %
Kilde:
EVA’s frafaldspanel
og
,W .
Note: N (Grønlandske respondenter) = 116. N (Andre respondenter) = 29.688. P-værdi = 0,459.
4.2 Boligforhold (W1) og (W2)
Med henblik på at belyse de studerendes boligforhold har vi valgt at se på tre items, hvoraf det ene
item afrapporteres i to forskellige bølger:
I hvilken grad er du bekymret over din boligsituation?
Forventer du at skulle flytte, eller er du flyttet i forbindelse med studiestart?
Forventer du at skulle finde et andet sted at bo inden for den nærmeste fremtid?
Analysen af de studerendes boligforhold viser, at der ikke findes en statistisk signifikant forskel på
de grønlandske og ikke-grønlandske respondenter.
Analysen af betydningen af uddannelsessektorerne viser, at der ikke er en statistisk signifikant for-
skel på besvarelserne.
I hvilken grad er du bekymret over din boligsituation? (W1)
Tabel . viser fordelingen i svaret på spørgsmålet; ”I hvilken grad er
du bekymret over din boligsi-
tuation?”. Svarene er fra første bølge samt opdelt på grønlandske respondenter og ikke-grønland-
ske respondenter. Figur 4.13 præsenterer fordelingen af besvarelserne som procentandel af det
samlede antal besvarelser, hvilket gør det muligt at få et overblik over, hvordan svarfordelingen er
forskellig mellem de to respondentgrupper.
TABEL 4.5
I hvilken grad er du bekymret over din boligsituation? (W1)
I meget høj grad
Grønlandske respondenter
Andre respondenter
25
4.486
I høj grad
37
7.550
I mindre grad
77
19.641
Slet ikke
106
27.157
Total
245
58.834
Kilde:
EVA’s frafaldspanel
og
,W .
Note:
Kun respondenterne spurgt i
havde mulighed for at svare ”Ved ikke”. Denne svarkategori rapporteres ikke,
da to eller færre grønlandske eller andre respondenter har svaret dette.
Danmarks Evalueringsinstitut
19
GRU, Alm.del - 2019-20 - Bilag 29: Notat om afsluttende rapport for pilotprojekt vedr. grønlandske studerendes gennemførsel af videregående uddannelser i Danmark, fra uddannelses- og forskningsministeren
2142190_0020.png
Grønlandske studerende på videregående uddannelser i Danmark
Resultater
FIGUR 4.13
I hvilken grad er du bekymret over din boligsituation? (W1)
Grønlandske respondenter
Andre respondenter
0%
10
15
31
43
8
13
33
46
20 %
I meget høj grad
40 %
I høj grad
I mindre grad
60 %
Slet ikke
80 %
100 %
Kilde:
EVA’s frafaldspanel
og
,W .
Note: N (Grønlandske respondenter) = 245. N (Andre respondenter) = 58.834. P-værdi = 0,281.
Sammenligning mellem grønlandske og ikke-grønlandske studerende fordelt på
uddannelsessektorer
Figur . og . præsenterer besvarelserne på spørgsmålet; ”I hvilken grad
er du bekymret over
din boligsituation?” fra første bølge, hvor besvarelserne er fordelt på uddannelsessektorer.
FIGUR 4.14
I hvilken grad er du bekymret over din boligsituation? (W1)?
Professions- og erhvervsuddannelser
Grønlandske respondenter
Andre respondenter
0%
7
13
13
28
47
12
32
50
20 %
I meget høj grad
40 %
I høj grad
I mindre grad
60 %
Slet ikke
80 %
100 %
Kilde:
EVA’s frafaldspanel
og
,W .
Note: N (Grønlandske respondenter) = 120. N (Andre respondenter) = 27.958. P-værdi = 0,072.
FIGUR 4.15
I hvilken grad er du bekymret over din boligsituation? (W1)
Universitetsuddannelser
Grønlandske respondenter
Andre respondenter
0%
9
17
34
40
8
14
35
43
20 %
I meget høj grad
40 %
I høj grad
I mindre grad
60 %
Slet ikke
80 %
100 %
Kilde:
EVA’s frafaldspanel
og 2017, W1.
Note: N (Grønlandske respondenter) = 114. N (Andre respondenter) = 29.790. P-værdi = 0,843.
Danmarks Evalueringsinstitut
20
GRU, Alm.del - 2019-20 - Bilag 29: Notat om afsluttende rapport for pilotprojekt vedr. grønlandske studerendes gennemførsel af videregående uddannelser i Danmark, fra uddannelses- og forskningsministeren
2142190_0021.png
Grønlandske studerende på videregående uddannelser i Danmark
Resultater
I hvilken grad er du bekymret over din boligsituation? (W2)
Tabel 4.6 viser fordelingen i svaret på spørgsmålet;
”I hvilken grad er du bekymret over din boligsi-
tuation?”. Svarene er fra anden bølge samt opdelt på grønlandske respondenter og ikke-grønland-
ske respondenter. Figur 4.16 præsenterer fordelingen af besvarelserne som procentandel af det
samlede antal besvarelser, hvilket gør det muligt at få et overblik over, hvordan svarfordelingen er
forskellig mellem de to respondentgrupper.
TABEL 4.6
I hvilken grad er du bekymret over din boligsituation? (W2)
I meget høj grad
Grønlandske respondenter
Andre respondenter
4
1.052
I høj grad
9
2.440
I mindre grad
25
6.896
Slet ikke
60
14.221
Total
98
24.609
Kilde:
EVA’s frafaldspanel
og
,W .
Note:
Respondenterne havde mulighed for at svare ”Ved ikke”. Denne svarkategori rapporteres ikke, da to eller færre
grønlandske eller andre respondenter har svaret dette.
FIGUR 4.16
I hvilken grad er du bekymret over din boligsituation? (W2)
Grønlandske respondenter
Andre respondenter
4
9
26
61
4
10
28
58
0%
20 %
I meget høj grad
40 %
I høj grad
I mindre grad
60 %
Slet ikke
80 %
100 %
Kilde:
EVA’s frafaldspanel
og
,W .
Note: N (Grønlandske respondenter) = 98. N (Andre respondenter) = 24.609. P-værdi = 0,923.
Sammenligning mellem grønlandske og ikke-grønlandske studerende fordelt på
uddannelsessektorer
Figur . og . præsenterer besvarelserne på spørgsmålet; ”I hvilken grad er du bekymret
over
din boligsituation?” fra anden bølge, hvor besvarelserne er fordelt på uddannelsessektorer.
Danmarks Evalueringsinstitut
21
GRU, Alm.del - 2019-20 - Bilag 29: Notat om afsluttende rapport for pilotprojekt vedr. grønlandske studerendes gennemførsel af videregående uddannelser i Danmark, fra uddannelses- og forskningsministeren
2142190_0022.png
Grønlandske studerende på videregående uddannelser i Danmark
Resultater
FIGUR 4.17
I hvilken grad er du bekymret over din boligsituation? (W2)
Professions-
og erhvervsuddannelser
Grønlandske respondenter
Andre respondenter
0%
13
34
53
12
25
63
20 %
I meget høj grad/I høj grad
40 %
I mindre grad
60 %
Slet ikke
80 %
100 %
Kilde:
EVA’s frafaldspanel
og
,W .
Note: N (Grønlandske respondenter) = 38. N (Andre respondenter) = 9.415. Fishers test= 0,314.
FIGUR 4.18
I hvilken grad er du bekymret over din boligsituation? (W2)
Universitetsuddannelser
Grønlandske respondenter
Andre respondenter
0%
14
19
67
15
30
55
20 %
I meget høj grad/I høj grad
40 %
I mindre grad
60 %
Slet ikke
80 %
100 %
Kilde:
EVA’s frafaldspanel
og
,
W2.
Note: N (Grønlandske respondenter) = 57. N (Andre respondenter) = 14.726. P-værdi = 0,152.
Forventer du at skulle flytte, eller er du flyttet i forbindelse med
studiestart? (W1)
Tabel 4.7 viser fordelingen i svaret
på spørgsmålet; ”Forventer du at skulle flytte, eller er du flyttet i
forbindelse med studiestart?”. Svarene er opdelt på grønlandske og ikke-grønlandske
responden-
ter. Figur 4.19 præsenterer fordelingen af besvarelserne som procentandel af det samlede antal
besvarelser, hvilket gør det muligt at få et overblik over, hvordan svarfordelingen er forskellig mel-
lem de to respondentgrupper.
Danmarks Evalueringsinstitut
22
GRU, Alm.del - 2019-20 - Bilag 29: Notat om afsluttende rapport for pilotprojekt vedr. grønlandske studerendes gennemførsel af videregående uddannelser i Danmark, fra uddannelses- og forskningsministeren
2142190_0023.png
Grønlandske studerende på videregående uddannelser i Danmark
Resultater
TABEL 4.7
Forventer du at skulle flytte, eller er du flyttet i forbindelse med
studiestart? (W1)
Ja, jeg mang-
ler akut et
sted
Grønlandske
respondenter
Andre re-
spondenter
Kilde:
EVA’s frafaldspanel
39
Jeg forventer at skulle
flytte inden for den
nærmeste fremtid
46
Jeg forventer ikke at skulle
flytte inden for den nærmeste
fremtid
38
Ved ikke
Total
7
130
6.964
10.350
10.821
1.397
29.532
,W .
FIGUR 4.19
Forventer du at skulle flytte, eller er du flyttet i forbindelse med
studiestart? (W1)
Grønlandske
respondenter
Andre respondenter
0%
24
30
35
29
5
35
37
5
20 %
40 %
60 %
Ja, jeg mangler akut et sted
Jeg forventer at skulle flytte inden for den nærmeste fremtid
Jeg forventer ikke at skulle flytte inden for den nærmeste fremtid
Ved ikke
80 %
100 %
Kilde:
EVA’s frafaldspanel
,W .
Note: N (Grønlandske respondenter) = 130. N (Andre respondenter) = 29.532. P-værdi = 0,229.
Danmarks Evalueringsinstitut
23
GRU, Alm.del - 2019-20 - Bilag 29: Notat om afsluttende rapport for pilotprojekt vedr. grønlandske studerendes gennemførsel af videregående uddannelser i Danmark, fra uddannelses- og forskningsministeren
2142190_0024.png
Grønlandske studerende på videregående uddannelser i Danmark
Resultater
Sammenligning mellem grønlandske og ikke-grønlandske studerende fordelt på
uddannelsessektorer
Figur . og . præsenterer besvarelserne på spørgsmålet; ”Forventer du at skulle flytte, eller er
du flyttet i forbindelse med studiestart?”,
hvor besvarelserne er fordelt på uddannelsessektorer.
FIGUR 4.20
Forventer du at skulle flytte, eller er du flyttet i forbindelse med
studiestart? (W1)
Professions- og erhvervsuddannelser
Grønlandske respondenter
Andre respondenter
0%
19
25
32
43
31
51
20 %
Ja, jeg mangler akut et sted
40 %
60 %
80 %
100 %
Jeg forventer at skulle flytte inden for den nærmeste fremtid
Jeg forventer ikke at skulle flytte inden for den nærmeste fremtid
Kilde:
EVA’s frafaldspanel
,W .
Note: N (Grønlandske respondenter) = 68. N (Andre respondenter) = 13.304. P-værdi
= ,
ikke, da to eller færre grønlandske eller andre respondenter har svaret dette.
. ”Ved ikke” rapporteres
FIGUR 4.21
Forventer du at skulle flytte, eller er du flyttet i forbindelse med
studiestart? (W1)
Universitetsuddannelser
Grønlandske respondenter
Andre respondenter
0%
39
43
18
30
43
27
20 %
40 %
60 %
Ja, jeg mangler akut et sted
Jeg forventer at skulle flytte inden for den nærmeste fremtid
Jeg forventer ikke at skulle flytte inden for den nærmeste fremtid
80 %
100 %
Kilde:
EVA’s frafaldspanel
,W .
Note: N (Grønlandske respondenter) = 51. N (Andre respondenter) = 14.266. P-værdi
= ,
ikke, da to eller færre grønlandske eller andre respondenter har svaret dette.
. ”Ved ikke” rapporteres
Forventer du at skulle finde et andet sted at bo inden for den nærmeste
fremtid? (W2)
Tabel . viser fordelingen i svaret på spørgsmålet; ”Forventer du at skulle finde et andet sted at bo
inden for den nærmeste fremtid?”. Svarene er opdelt på grønlandske og ikke-grønlandske
respon-
denter. Figur 4.22 præsenterer fordelingen af besvarelserne som procentandel af det samlede an-
tal besvarelser, hvilket gør det muligt at få et overblik over, hvordan svarfordelingen er forskellig
mellem de to respondentgrupper.
Danmarks Evalueringsinstitut
24
GRU, Alm.del - 2019-20 - Bilag 29: Notat om afsluttende rapport for pilotprojekt vedr. grønlandske studerendes gennemførsel af videregående uddannelser i Danmark, fra uddannelses- og forskningsministeren
2142190_0025.png
Grønlandske studerende på videregående uddannelser i Danmark
Resultater
TABEL 4.8
Forventer du at skulle finde et andet sted at bo inden for den nærmeste
fremtid? (W2)
Ja, jeg mang-
ler akut et
sted
Grønlandske
respondenter
Andre respon-
denter
Kilde:
EVA’s frafaldspanel
3
Jeg forventer at skulle
flytte inden for den nær-
meste fremtid
26
Jeg forventer ikke at
skulle flytte inden for
den nærmeste fremtid
64
Andet/ved
ikke
Total
6
99
1.085
6.814
15.559
1.351
24.809
og
,W .
FIGUR 4.22
Forventer du at skulle finde et andet sted at bo inden for den nærmeste
fremtid? (W2)
Grønlandske respondenter
Andre respondenter
3
26
65
6
4
28
63
5
0%
20 %
40 %
60 %
Ja, jeg mangler akut et sted
Jeg forventer at skulle flytte inden for den nærmeste fremtid
Jeg forventer ikke at skulle flytte inden for den nærmeste fremtid
Andet/ved ikke
80 %
100 %
Kilde:
EVA’s frafaldspanel
og
,W .
Note: N (Grønlandske respondenter) = 99. N (Andre respondenter) = 24.809. P-værdi = 0,900.
Sammenligning mellem grønlandske og ikke-grønlandske studerende fordelt på
uddannelsessektorer
Figur . og . præsenterer besvarelserne på spørgsmålet; ”Forventer du
at skulle finde et andet
sted at bo inden for den nærmeste fremtid?”, hvor besvarelserne er fordelt på uddannelsessekto-
rer.
Danmarks Evalueringsinstitut
25
GRU, Alm.del - 2019-20 - Bilag 29: Notat om afsluttende rapport for pilotprojekt vedr. grønlandske studerendes gennemførsel af videregående uddannelser i Danmark, fra uddannelses- og forskningsministeren
2142190_0026.png
Grønlandske studerende på videregående uddannelser i Danmark
Resultater
FIGUR 4.23
Forventer du at skulle finde et andet sted at bo inden for den nærmeste
fremtid? (W2)
Professions- og erhvervsuddannelser
Grønlandske respondenter
Andre respondenter
0%
29
71
28
72
20 %
40 %
60 %
80 %
100 %
Jeg mangler akut et sted/Forventer at skulle flytte inden for den nærmeste fremtid
Jeg forventer ikke at skulle flytte inden for den nærmeste fremtid
Kilde:
EVA’s frafaldspanel
og
,W .
Note: N (Grønlandske respondenter) = 35. N (Andre respondenter) = 8.915. Fishers = 0,852
FIGUR 4.24
Forventer du at skulle finde et andet sted at bo inden for den nærmeste
fremtid? (W2)
Universitetsuddannelser
Grønlandske respondenter
Andre respondenter
0%
33
67
38
63
20 %
40 %
60 %
80 %
100 %
Jeg mangler akut et sted/Forventer at skulle flytte inden for den nærmeste fremtid
Jeg forventer ikke at skulle flytte inden for den nærmeste fremtid
Kilde:
EVA’s frafaldspanel
og
,W .
Note: N (Grønlandske respondenter) = 55. N (Andre respondenter) = 14.094. P-værdi = 0,468.
4.3 Sociale egenskaber (W1)
Med henblik på at belyse de studerendes sociale egenskaber har vi set på ét item:
• Er du god til… At præsentere mig selv for nogen, jeg gerne vil lære bedre at kende?
Analysen af sociale egenskaber viser, at der forekommer en statistisk signifikant forskel på grøn-
landske respondenter og ikke-grønlandske respondenter. Blot 40 % af de grønlandske responden-
ter svarer, at de er ekstremt gode eller gode til at præsentere sig selv, mens det samme gør sig gæl-
dende for 57 % af de ikke-grønlandske respondenter.
Danmarks Evalueringsinstitut
26
GRU, Alm.del - 2019-20 - Bilag 29: Notat om afsluttende rapport for pilotprojekt vedr. grønlandske studerendes gennemførsel af videregående uddannelser i Danmark, fra uddannelses- og forskningsministeren
2142190_0027.png
Grønlandske studerende på videregående uddannelser i Danmark
Resultater
Analysen af betydningen af uddannelsessektorerne viser, at der ikke er statistisk signifikant forskel
på besvarelserne. Forskellen i de sociale egenskaber blandt de grønlandske og ikke-grønlandske
respondenter gør sig gældende på samme vis som på aggregeret niveau.
Er du god til… At præsentere mig selv for nogen, jeg gerne vil lære
bedre at kende
Tabel . viser fordelingen i svaret på udsagnet; ” Er du god til… At præsentere mig selv for nogen,
jeg gerne vil lære bedre at kende”. Svarene er opdelt på grønlandske
og ikke-grønlandske respon-
denter. Figur 4.25 præsenterer fordelingen af besvarelserne som procentandel af det samlede an-
tal besvarelser, hvilket gør det muligt at få et overblik over, hvordan svarfordelingen er forskellig
mellem de to respondentgrupper.
TABEL 4.9
Er du god til… At præsentere mig selv for nogen, jeg gerne vil lære
bedre at kende
Jeg er ekstremt god
Grønlandske respondenter
Andre respondenter
Kilde:
EVA’s frafaldspanel
,W .
7
4.030
Jeg er god
45
12.790
Jeg er nogenlunde
58
9.179
Jeg er dårlig
20
3.533
Total
130
29.532
FIGUR 4.25
(Er du
god til… At præsentere mig selv for nogen, jeg gerne vil lære
bedre at kende
Grønlandske respondenter
Andre respondenter
0%
5
14
35
43
45
31
15
12
20 %
Jeg er god
40 %
60 %
80 %
Jeg er dårlig
100 %
Jeg er ekstremt god
Jeg er nogenlunde
Kilde:
EVA’s frafaldspanel
,W .
Note: N (Grønlandske respondenter) = 130. N (Andre respondenter) = 29.532. P-værdi = 0,001.
Danmarks Evalueringsinstitut
27
GRU, Alm.del - 2019-20 - Bilag 29: Notat om afsluttende rapport for pilotprojekt vedr. grønlandske studerendes gennemførsel af videregående uddannelser i Danmark, fra uddannelses- og forskningsministeren
2142190_0028.png
Grønlandske studerende på videregående uddannelser i Danmark
Resultater
Sammenligning mellem grønlandske og ikke-grønlandske studerende fordelt på
uddannelsessektorer
Figur . og . præsenterer besvarelserne på udsagnet; ” Er du god til… At præsentere mig selv
til nogen, jeg gerne vil lære
bedre at kende”, hvor besvarelserne er fordelt på uddannelsessektorer.
FIGUR 4.26
Er du god til… At præsentere mig selv for nogen, jeg gerne vil lære
bedre at kende
Professions- og erhvervsuddannelser
Grønlandske respondenter
Andre respondenter
0%
20 %
41
58
38
30
21
12
40 %
60 %
80 %
Jeg er dårlig
100 %
Jeg er god/Jeg er ekstremt god
Jeg er nogenlunde
Kilde:
EVA’s frafaldspanel
,W .
Note: N (Grønlandske respondenter) = 73. N (Andre respondenter) = 14.089. P-værdi = 0,006.
FIGUR 4.27
Er du god til… At præsentere mig selv for nogen, jeg gerne vil lære
bedre at kende
Universitetsuddannelser
Grønlandske respondenter
Andre respondenter
0%
20 %
38
56
55
32
12
8
40 %
60 %
80 %
Jeg er dårlig
100 %
Jeg er god/Jeg er ekstremt god
Jeg er nogenlunde
Kilde:
EVA’s frafaldspanel
2016, W1.
Note: N (Grønlandske respondenter) = 53. N (Andre respondenter) = 14.855. P-værdi = 0,002.
4.4 Studievalg (W1)
Med henblik på at belyse de studerendes studievalg har vi set på følgende items:
Da jeg søgte, følte jeg mig helt afklaret med, at jeg ville studere på netop den uddannelse, jeg nu
er blevet optaget på.
Synes du, at du har et godt kendskab til indholdet af den uddannelse, du er optaget på?
Synes du, at du har et godt kendskab til det arbejdsliv, din uddannelse kan føre til?
Hvor motiveret er du for at starte på uddannelsen? (gennemsnit skala fra 0-10).
Danmarks Evalueringsinstitut
28
GRU, Alm.del - 2019-20 - Bilag 29: Notat om afsluttende rapport for pilotprojekt vedr. grønlandske studerendes gennemførsel af videregående uddannelser i Danmark, fra uddannelses- og forskningsministeren
2142190_0029.png
Grønlandske studerende på videregående uddannelser i Danmark
Resultater
Analysen af studievalget viser, at der overordnet ikke findes en statistisk signifikant forskel mellem
grønlandske og ikke-grønlandske respondenter.
Analysen af betydningen af uddannelsessektorerne viser, at der ikke er en statistisk signifikant for-
skel på besvarelserne.
Da jeg søgte, følte jeg mig helt afklaret med, at jeg ville studere på
netop den uddannelse, jeg nu er blevet optaget på
Tabel . viser fordelingen i svaret på udsagnet; ”Da jeg søgte, følte jeg mig helt afklaret med, at
jeg ville studere på netop den uddannelse, jeg nu er blevet optaget på”. Svarene er opdelt på grøn-
landske og ikke-grønlandske respondenter. Figur 4.28 præsenterer fordelingen af besvarelserne
som procentandel af det samlede antal besvarelser, hvilket gør det muligt at få et overblik over,
hvordan svarfordelingen er forskellig mellem de to respondentgrupper.
TABEL 4.10
Da jeg søgte, følte jeg mig afklaret med, at jeg ville studere på den
uddannelse, jeg nu er blevet optaget på
I meget høj
grad
Grønlandske responden-
ter
Andre respondenter
Kilde:
EVA’s frafaldspanel
og
93
I høj
grad
99
I nogen
grad
43
I mindre
grad
9
Slet
ikke
3
Ved
ikke
0
Total
247
23.315
,W .
20.527
11.134
2.968
1.078
112
59.134
FIGUR 4.28
Da jeg søgte, følte jeg mig helt afklaret med, at jeg ville studere på netop
den uddannelse, jeg nu er blevet optaget på
Grønlandske respondenter
Andre respondenter
0%
I meget høj grad
38
39
40
35
19
17
5
4 1
2
20 %
I høj grad
40 %
I nogen grad
60 %
I mindre grad
Slet ikke
80 %
Ved ikke
100 %
Kilde:
EVA’s frafaldspanel
og
,W .
Note: N (Grønlandske respondenter) = 247. N (Andre respondenter) = 59.134. P-værdi = 0,494.
Sammenligning mellem grønlandske og ikke-grønlandske studerende fordelt på
uddannelsessektorer
Figur 4.26 og 4.27 præsenterer
besvarelserne på udsagnet; ” Da jeg søgte, følte jeg mig helt afklaret
med, at jeg ville studere på netop den uddannelse, jeg nu er blevet optaget på”, hvor besvarelserne
er fordelt på uddannelsessektorer.
Danmarks Evalueringsinstitut
29
GRU, Alm.del - 2019-20 - Bilag 29: Notat om afsluttende rapport for pilotprojekt vedr. grønlandske studerendes gennemførsel af videregående uddannelser i Danmark, fra uddannelses- og forskningsministeren
2142190_0030.png
Grønlandske studerende på videregående uddannelser i Danmark
Resultater
FIGUR 4.29
Da jeg søgte, følte jeg mig helt afklaret med, at jeg ville studere på netop
den uddannelse, jeg nu er blevet optaget på
Professionsbachelor- og
erhvervsakademiuddannelser
Grønlandske respondenter
Andre respondenter
0%
I meget høj grad
36
34
37
40
21
19
8
5
20 %
I høj grad
40 %
I nogen grad
60 %
I mindre grad/Slet ikke
80 %
Ved ikke
100 %
Kilde:
EVA’s frafaldspanel
og
,W .
Note: N (Grønlandske respondenter) = 120. N (Andre respondenter) = 28.136. P-værdi = 0,207.
FIGUR 4.30
Da jeg søgte, følte jeg mig helt afklaret med, at jeg ville studere på netop
den uddannelse, jeg nu er blevet optaget på
Universitetsuddannelser
Grønlandske respondenter
Andre respondenter
0%
I meget høj grad
13
11
36
38
43
43
9
8
20 %
I høj grad
40 %
I nogen grad
60 %
I mindre grad/Slet ikke
80 %
Ved ikke
100 %
Kilde:
EVA’s frafaldspanel
og
2017, W1.
Note: N (Grønlandske respondenter) = 116. N (Andre respondenter) = 29.910. P-værdi = 0,687.
Synes du, at du har et godt kendskab til indholdet af den uddannelse,
du er optaget på?
Tabel 4.11 viser fordelingen
i svaret på spørgsmålet ”Synes du, at du har et godt kendskab til ind-
holdet af den uddannelse, du er optaget på?”. Svarene er opdelt på grønlandske og ikke-grønland-
ske respondenter. Figur 4.31 præsenterer fordelingen af besvarelserne som procentandel af det
samlede antal besvarelser, hvilket gør det muligt at få et overblik over, hvordan svarfordelingen er
forskellig mellem de to respondentgrupper.
Danmarks Evalueringsinstitut
30
GRU, Alm.del - 2019-20 - Bilag 29: Notat om afsluttende rapport for pilotprojekt vedr. grønlandske studerendes gennemførsel af videregående uddannelser i Danmark, fra uddannelses- og forskningsministeren
2142190_0031.png
Grønlandske studerende på videregående uddannelser i Danmark
Resultater
TABEL 4.11
Synes du, at du har et godt kendskab til indholdet af den uddannelse, du
er optaget på?
I meget høj grad
I høj
grad
47
I nogen
grad
42
I mindre
grad
10
Slet
ikke
3
Ved ikke
Total
Grønlandske respon-
denter
Andre respondenter
Kilde:
EVA’s frafaldspanel
og
15
0
117
3.145
,W .
11.537
12.363
2.073
377
107
29.602
FIGUR 4.31
Synes du, at du har et godt kendskab til indholdet af den uddannelse, du
er optaget på?
Grønlandske respondenter
Andre respondenter
0%
I meget høj grad
13
11
39
40
36
42
9
7
3
1
20 %
I høj grad
40 %
I nogen grad
60 %
I mindre grad
Slet ikke
80 %
Ved ikke
100 %
Kilde:
EVA’s frafaldspanel
,W .
Note: N (Grønlandske respondenter) = 117. N (Andre respondenter) = 29.602. P-værdi = 0,568.
Sammenligning mellem grønlandske og ikke-grønlandske studerende fordelt på
uddannelsessektorer
Figur . og . præsenterer besvarelserne på udsagnet; ”. Synes du, at du har et godt kendskab
til indholdet af
den uddannelse, du er optaget på”, hvor besvarelserne er fordelt på uddannelses-
sektorer.
FIGUR 4.32
Synes du, at du har et godt kendskab til indholdet af den uddannelse, du
er optaget på?
Professionsbachelor- og erhvervsakademiuddannelser
Grønlandske respondenter
Andre respondenter
0%
I meget høj grad
13
11
36
38
43
43
9
8
20 %
I høj grad
40 %
I nogen grad
60 %
I mindre grad/Slet ikke
80 %
Ved ikke
100 %
Kilde:
EVA’s frafaldspanel
,W .
Note: N (Grønlandske respondenter) = 47. N (Andre respondenter) = 14.047. P-værdi = 0,988.
Danmarks Evalueringsinstitut
31
GRU, Alm.del - 2019-20 - Bilag 29: Notat om afsluttende rapport for pilotprojekt vedr. grønlandske studerendes gennemførsel af videregående uddannelser i Danmark, fra uddannelses- og forskningsministeren
2142190_0032.png
Grønlandske studerende på videregående uddannelser i Danmark
Resultater
FIGUR 4.33
Synes du, at du har et godt kendskab til indholdet af den uddannelse, du
er optaget på?
Universitetsuddannelser
Grønlandske respondenter
Andre respondenter
0%
I meget høj grad
13
10
40
40
33
41
14
9
20 %
I høj grad
40 %
I nogen grad
60 %
I mindre grad/Slet ikke
80 %
Ved ikke
100 %
Kilde:
EVA’s frafaldspanel
,W .
Note: N (Grønlandske respondenter) = 63. N (Andre respondenter) = 15.055. P-værdi = 0,411.
Synes du, at du har et godt kendskab til det arbejdsliv, din uddannelse
kan føre til?
Tabel . viser fordelingen i svaret på spørgsmålet; ”Synes du, at du har et godt kendskab til det
arbejdsliv, din uddannelse kan føre til?”. Svarene er opdelt på grønlandske og ikke-grønlandske
re-
spondenter. Figur 4.34 præsenterer fordelingen af besvarelserne som procentandel af det samlede
antal besvarelser, hvilket gør det muligt at få et overblik over, hvordan svarfordelingen er forskellig
mellem de to respondentgrupper.
TABEL 4.12
Synes du, at du har et godt kendskab til det arbejdsliv, din uddannelse kan
føre til?
I meget høj
grad
Grønlandske respon-
denter
Andre respondenter
Kilde:
EVA’s frafaldspanel
,W .
26
I høj grad
I nogen
grad
40
I mindre
grad
5
Slet
ikke
5
Ved
ikke
0
Total
41
117
5.145
10.523
10.101
3.048
686
99
29.602
FIGUR 4.34
Synes du, at du har et godt kendskab til det arbejdsliv, din uddannelse kan
føre til?
Grønlandske respondenter
Andre respondenter
0%
I meget høj grad
17
22
36
35
34
34
4
10
4
2
20 %
I høj grad
40 %
I nogen grad
60 %
I mindre grad
Slet ikke
80 %
Ved ikke
100 %
Kilde:
EVA’s frafaldspanel
,W .
Note: N (Grønlandske respondenter) = 117. N (Andre respondenter) = 29.602. P-værdi = 0,156.
Danmarks Evalueringsinstitut
32
GRU, Alm.del - 2019-20 - Bilag 29: Notat om afsluttende rapport for pilotprojekt vedr. grønlandske studerendes gennemførsel af videregående uddannelser i Danmark, fra uddannelses- og forskningsministeren
2142190_0033.png
Grønlandske studerende på videregående uddannelser i Danmark
Resultater
Sammenligning mellem grønlandske og ikke-grønlandske studerende fordelt på
uddannelsessektorer
Figur . og . præsenterer besvarelserne på udsagnet; ”Synes du, at du har et godt kendskab
til det arbejdsliv, din
uddannelse kan føre til?”, hvor besvarelserne er fordelt på uddannelsessekto-
rer.
FIGUR 4.35
Synes du, at du har et godt kendskab til det arbejdsliv, din uddannelse kan
føre til?
Professionsbachelor- og erhvervsakademiuddannelser
Grønlandske respondenter
Andre respondenter
0%
I meget høj grad
26
23
41
43
32
35
20 %
I høj grad
40 %
60 %
80 %
Ved ikke
100 %
I nogen grad/I mindre grad/Slet ikke
Kilde:
EVA’s frafaldspanel
,W .
Note: N (Grønlandske respondenter) = 47. N (Andre respondenter) = 14.047. P-værdi = 0,938.
FIGUR 4.36
Synes du, at du har et godt kendskab til det arbejdsliv, din uddannelse kan
føre til?
Universitetsuddannelser
Grønlandske respondenter
Andre respondenter
0%
I meget høj grad
12
19
30
29
58
52
20 %
I høj grad
40 %
60 %
80 %
Ved ikke
100 %
I nogen grad/I mindre grad/Slet ikke
Kilde:
EVA’s frafaldspanel
,W .
Note: N (Grønlandske respondenter) = 63. N (Andre respondenter) = 15.055. P-værdi = 0,315.
Hvor motiveret er du for at starte på uddannelsen? (gennemsnit på
skala fra 0-10)
Tabel 4.13 viser
fordelingen i svaret på spørgsmålet; ”Hvor motiveret er du for at starte på uddan-
nelsen?”. Svarene er opdelt på grønlandske og ikke-grønlandske
respondenter. Figur 4.37 præsen-
terer fordelingen af besvarelserne som procentandel af det samlede antal besvarelser, hvilket gør
det muligt at få et overblik over, hvordan svarfordelingen er forskellig mellem de to respondent-
grupper.
Danmarks Evalueringsinstitut
33
GRU, Alm.del - 2019-20 - Bilag 29: Notat om afsluttende rapport for pilotprojekt vedr. grønlandske studerendes gennemførsel af videregående uddannelser i Danmark, fra uddannelses- og forskningsministeren
2142190_0034.png
Grønlandske studerende på videregående uddannelser i Danmark
Resultater
TABEL 4.13
Hvor motiveret er du for at starte på uddannelsen? (gennemsnit på skala
fra 0-10)
0-5 (0 = Slet ikke
motiveret)
6
7
8
9
10 (10 = Eks-
tremt motive-
ret)
96
Total
Grønlandske re-
spondenter
Andre respondenter
Kilde:
EVA’s frafaldspanel
og
9
12
30
63
37
247
2.627
,W .
2.647
8.182
14.248
11.010
20.229
58.943
FIGUR 4.37
Hvor motiveret er du for at starte på uddannelsen? (gennemsnit på skala
0-10)
Grønlandske respondenter
Andre respondenter
4
4
5
4
12
14
26
24
15
19
39
34
0%
20 %
6
40 %
7
8
9
60 %
80 %
100 %
0-5 (0 = Slet ikke motiveret)
10 (Ekstremt motiveret)
Kilde:
EVA’s frafaldspanel
og
,W .
Note: N (Grønlandske respondenter) = 247. N (Andre respondenter) = 58.943. P-værdi = 0,583.
Sammenligning mellem grønlandske og ikke-grønlandske studerende fordelt på
uddannelsessektorer
Figur . og . præsenterer besvarelserne på spørgsmålet; ”Hvor motiveret er du for at starte på
uddannelsen?”, hvor besvarelserne er fordelt på uddannelsessektorer.
FIGUR 4.38
Hvor motiveret er du for at starte på uddannelsen? (gennemsnit på skala
0-10)
Professionsbachelor- og erhvervsakademiuddannelser
Grønlandske respondenter
Andre respondenter
3
3
4
4
12
13
26
22
14
18
43
39
0%
20 %
6
40 %
7
8
9
60 %
80 %
100 %
0-5 (0 = Slet ikke motiveret)
10 Ekstremt motiveret
Kilde:
EVA’s frafaldspanel
2016 og 2017, W1.
Note: N (Grønlandske respondenter) = 120. N (Andre respondenter) = 28.043. P-værdi = 0,670.
Danmarks Evalueringsinstitut
34
GRU, Alm.del - 2019-20 - Bilag 29: Notat om afsluttende rapport for pilotprojekt vedr. grønlandske studerendes gennemførsel af videregående uddannelser i Danmark, fra uddannelses- og forskningsministeren
2142190_0035.png
Grønlandske studerende på videregående uddannelser i Danmark
Resultater
FIGUR 4.39
Hvor motiveret er du for at starte på uddannelsen? (gennemsnit på skala
0-10
Universitetsuddannelser
Grønlandske respondenter
Andre respondenter
0%
4
5
8
5
13
15
27
26
16
20
32
29
20 %
6
40 %
7
8
9
60 %
80 %
100 %
0-5 (0 = Slet ikke motiveret)
10 Ekstremt motiveret
Kilde:
EVA’s frafaldspanel
og
,W .
Note: N (Grønlandske respondenter) = 116. N (Andre respondenter) = 29.813. P-værdi = 0,620.
4.5 Studiestart (W2)
Med henblik på at belyse de studerendes oplevelse af studiestarten har vi set på fire items:
Der har været gode rammer for at lære mine medstuderende at kende.
Jeg har fået en god introduktion til det faglige indhold på uddannelsen.
Det er blevet tydeligt kommunikeret, hvilke krav og forventninger der er til mig som studerende
på uddannelsen.
Hvor mange dage om ugen drak du mere end fem genstande?
Analysen af studiestarten viser, at der overordnet set er en statistisk signifikant forskel på grønland-
ske og ikke-grønlandske respondenter mht. to af de fire items. 55 % af de grønlandske studerende
synes i høj grad, at der har været gode rammer for at lære deres medstuderende at kende, mens
dette gør sig gældende for 68 % af de ikke-grønlandske respondenter. Derudover mener 71 % af de
grønlandske respondenter i høj grad, at krav og forventninger til de studerende er tydeligt kommu-
nikeret, hvorimod 52 % ikke-grønlandske respondenter svarer det tilsvarende.
Analysen af betydningen af uddannelsessektorerne viser, at den statistisk signifikante forskel på
besvarelserne blandt de grønlandske og ikke-grønlandske respondenter i oplevelsen af rammerne
for at lære medstuderende at kende er drevet af respondenterne på universitetsuddannelserne.
Her svarer 55 % af de grønlandske respondenter, at de i høj grad mener, at der var gode rammer
for at lære deres medstuderende at kende, mens det gør sig gældende for 75 % af de ikke-grøn-
landske respondenter. Modsat gør det sig gældende, at forskellen blandt de grønlandske og ikke-
grønlandske respondenter i oplevelsen af kommunikationen om krav og forventninger til de stude-
rende primært er drevet af respondenterne på professions- og erhvervsuddannelser. 79 % af de
grønlandske respondenter mener i høj grad, at krav og forventninger til de studerende er tydeligt
kommunikeret, hvilket gør sig gældende for 53 % af de ikke-grønlandske respondenter.
Der har været gode rammer for at lære mine medstuderende at kende
Tabel . viser fordelingen i svaret på udsagnet; ”Der har været gode rammer for at lære mine
medstuderende at kende”. Svarene er opdelt på grønlandske og ikke-grønlandske
respondenter.
Danmarks Evalueringsinstitut
35
GRU, Alm.del - 2019-20 - Bilag 29: Notat om afsluttende rapport for pilotprojekt vedr. grønlandske studerendes gennemførsel af videregående uddannelser i Danmark, fra uddannelses- og forskningsministeren
2142190_0036.png
Grønlandske studerende på videregående uddannelser i Danmark
Resultater
Figur 4.40 præsenterer fordelingen af besvarelserne som procentandel af det samlede antal besva-
relser, hvilket gør det muligt at få et overblik over, hvordan svarfordelingen er forskellig mellem de
to respondentgrupper.
TABEL 4.14
Der har været gode rammet for at lære mine medstuderende at kende
I høj grad
Grønlandske respondenter
Andre respondenter
54
16.742
I nogen grad
31
5.948
I mindre grad
13
1.745
Slet ikke
0
279
Total
98
24.714
Kilde:
EVA’s frafaldspanel
og
,W .
Note:
Kun respondenterne spurgt i
havde muligheden for at svare ”Ved ikke”, mens kun respondenterne spurgt i
havde muligheden for at svare ”I meget høj grad”.
FIGUR 4.40
Der har været gode rammer for at lære mine medstuderende at kende
Grønlandske respondenter
Andre respondenter
0%
20 %
I høj grad
I nogen grad
55
68
32
24
13
7
1
40 %
I mindre grad
60 %
Slet ikke
80 %
100 %
Kilde:
EVA’s frafaldspanel
og
,W .
Note: N (Grønlandske respondenter) = 98. N (Andre respondenter) = 24.714. P-værdi = 0,012.
Sammenligning mellem grønlandske og ikke-grønlandske studerende fordelt på
uddannelsessektorer
Figur 4.41 og 4.42 præsenterer
besvarelserne på udsagnet; ”Der har været gode rammer for at lære
mine medstuderende at kende”, hvor besvarelserne er fordelt på uddannelsessektorer.
FIGUR 4.41
Der har været gode rammer for at lære mine medstuderende at kende
Professionsbachelor- og erhvervsakademiuddannelser
Grønlandske respondenter
Andre respondenter
0%
20 %
I høj grad
I nogen grad
51
57
31
30
18
11
2
40 %
I mindre grad
60 %
Slet ikke
80 %
100 %
Kilde:
EVA’s frafaldspanel
og
,W .
Note: N (Grønlandske respondenter) = 39. N (Andre respondenter) = 9.468. Fishers = 0,469.
Danmarks Evalueringsinstitut
36
GRU, Alm.del - 2019-20 - Bilag 29: Notat om afsluttende rapport for pilotprojekt vedr. grønlandske studerendes gennemførsel af videregående uddannelser i Danmark, fra uddannelses- og forskningsministeren
2142190_0037.png
Grønlandske studerende på videregående uddannelser i Danmark
Resultater
FIGUR 4.42
Der har været gode rammer for at lære mine medstuderende at kende
Universitetsuddannelser
Grønlandske respondenter
Andre respondenter
0%
20 %
I høj grad
I nogen grad
55
75
34
20
11
5
40 %
I mindre grad
60 %
Slet ikke
80 %
100 %
Kilde:
EVA’s frafaldspanel
og
,W .
Note: N (Grønlandske respondenter) = 56. N (Andre respondenter) = 14.777. P-værdi = 0,004.
Jeg har fået en god introduktion til det faglige indhold på uddannelsen
Tabel . viser fordelingen i svaret på udsagnet; ”Der har været gode rammer for at lære mine
medstuderende at kende”. Svarene er opdelt på grønlandske og ikke-grønlandske
respondenter.
Figur 4.43 præsenterer fordelingen af besvarelserne som procentandel af det samlede antal besva-
relser, hvilket gør det muligt at få et overblik over, hvordan svarfordelingen er forskellig mellem de
to respondentgrupper.
TABEL 4.15
Jeg har fået en god introduktion til det faglige indhold på uddannelsen
I høj grad
Grønlandske respondenter
Andre respondenter
61
14.150
I nogen grad
34
8.784
Mindre/Slet ikke
4
1.788
Total
99
24.722
Kilde:
EVA’s frafaldspanel
og
,W .
Note:
Kun respondenterne spurgt i
havde muligheden for at svare ”Ved ikke”, mens kun respondenterne spurgt i
havde muligheden for at svare ”I meget høj grad”.
FIGUR 4.43
Jeg har fået en god introduktion til det faglige indhold på uddannelsen
Grønlandske respondenter
Andre respondenter
0%
20 %
I høj grad
57
62
36
34
7
4
40 %
I nogen grad
60 %
I mindre grad/Slet ikke
80 %
100 %
Kilde:
EVA’s frafaldspanel
og
,W .
Note: N (Grønlandske respondenter) = 99. N (Andre respondenter) = 24.772. P-værdi = 0,415.
Danmarks Evalueringsinstitut
37
GRU, Alm.del - 2019-20 - Bilag 29: Notat om afsluttende rapport for pilotprojekt vedr. grønlandske studerendes gennemførsel af videregående uddannelser i Danmark, fra uddannelses- og forskningsministeren
2142190_0038.png
Grønlandske studerende på videregående uddannelser i Danmark
Resultater
Sammenligning mellem grønlandske og ikke-grønlandske studerende fordelt på
uddannelsessektorer
Figur 4.44 og 4.45 præsenterer
besvarelserne på udsagnet; ”Jeg har fået en god introduktion til det
faglige indhold på uddannelsen”, hvor besvarelserne er fordelt på uddannelsessektorer.
FIGUR 4.44
Jeg har fået en god introduktion til det faglige indhold på uddannelsen
Professions- og erhvervsuddannelser
Grønlandske respondenter
Andre respondenter
0%
20 %
I høj grad
54
53
46
47
40 %
60 %
80 %
100 %
I nogen grad/I mindre grad/Slet ikke
Kilde:
EVA’s frafaldspanel
og
,W .
Note: N (Grønlandske respondenter) = 39. N (Andre respondenter) = 9.475. Fisher = 1,000.
FIGUR 4.45
Jeg har fået en god introduktion til det faglige indhold på uddannelsen
Universitetsuddannelser
Grønlandske respondenter
Andre respondenter
0%
20 %
I høj grad
60
67
40
33
40 %
60 %
80 %
100 %
I nogen grad/I mindre grad/Slet ikke
Kilde:
EVA’s frafaldspanel
og
,W .
Note: N (Grønlandske respondenter) = 57. N (Andre respondenter) = 14.779. P-værdi = 0,335.
Det er blevet tydeligt kommunikeret, hvilke krav og forventninger der
er til mig som studerende på uddannelsen
Tabel . viser fordelingen i svaret på udsagnet; ”Det er blevet tydeligt kommunikeret, hvilke krav
og forventninger der er til mig som studerende på uddannelsen”. Svarene er opdelt på
grønland-
ske og ikke-grønlandske respondenter. Figur 4.46 præsenterer fordelingen af besvarelserne som
procentandel af det samlede antal besvarelser, hvilket gør det muligt at få et overblik over, hvor-
dan svarfordelingen er forskellig mellem de to respondentgrupper.
Danmarks Evalueringsinstitut
38
GRU, Alm.del - 2019-20 - Bilag 29: Notat om afsluttende rapport for pilotprojekt vedr. grønlandske studerendes gennemførsel af videregående uddannelser i Danmark, fra uddannelses- og forskningsministeren
2142190_0039.png
Grønlandske studerende på videregående uddannelser i Danmark
Resultater
TABEL 4.16
Det er blevet tydeligt kommunikeret, hvilke krav og forventninger der er
til mig som studerende på uddannelsen
I høj grad
Grønlandske respondenter
Andre respondenter
Kilde:
EVA’s frafaldspanel
og
,W .
70
12.844
I nogen grad
21
9.208
Mindre/Slet ikke
7
2.655
Total
98
24.707
FIGUR 4.46
Det er blevet tydeligt kommunikeret, hvilke krav og forventninger der er
til mig som studerende på uddannelsen
Grønlandske respondenter
Andre respondenter
0%
20 %
I høj grad
52
71
37
21
11
7
40 %
I nogen grad
60 %
I mindre grad/Slet ikke
80 %
100 %
Kilde:
EVA’s frafaldspanel
og
,W .
Note: N (Grønlandske respondenter) = 98. N (Andre respondenter) = 24.707. P-værdi = 0,001.
Sammenligning mellem grønlandske og ikke-grønlandske studerende fordelt på
uddannelsessektorer
Figur . og . præsenterer besvarelserne på udsagnet; ”Det er blevet tydeligt
kommunikeret,
hvilke krav og forventninger der er til mig som studerende på uddannelsen”, hvor besvarelserne er
fordelt på uddannelsessektorer.
FIGUR 4.47
Det er blevet tydeligt kommunikeret, hvilke krav og forventninger der er
til mig som studerende på uddannelsen
Professions- og
erhvervsuddannelser
Grønlandske respondenter
Andre respondenter
0%
20 %
I høj grad
53
79
35
13
12
8
40 %
I nogen grad
60 %
I mindre grad/Slet ikke
80 %
100 %
Kilde:
EVA’s frafaldspanel
og
,W .
Note: N (Grønlandske respondenter) = 38. N (Andre respondenter) = 9.470. Fishers = 0,003.
Danmarks Evalueringsinstitut
39
GRU, Alm.del - 2019-20 - Bilag 29: Notat om afsluttende rapport for pilotprojekt vedr. grønlandske studerendes gennemførsel af videregående uddannelser i Danmark, fra uddannelses- og forskningsministeren
2142190_0040.png
Grønlandske studerende på videregående uddannelser i Danmark
Resultater
FIGUR 4.48
Det er blevet tydeligt kommunikeret, hvilke krav og forventninger der er
til mig som studerende på uddannelsen
Universitetsuddannelser
Grønlandske respondenter
Andre respondenter
0%
20 %
I høj grad
51
67
38
26
7
10
40 %
I nogen grad
60 %
I mindre grad/Slet ikke
80 %
100 %
Kilde:
EVA’s frafaldspanel
og
,W .
Note: N (Grønlandske respondenter) = 57. N (Andre respondenter) = 14.771. P-værdi = 0,071.
I de følgende spørgsmål vil vi bede dig tænke på din gennemsnitlige
uge i løbet af den første måned på studiet. Hvor mange dage om ugen
drak du mere end fem genstande?
Tabel . viser fordelingen i svaret på spørgsmålet; ”Hvor mange
dage om ugen drak du mere end
fem genstande?”. Svarene er opdelt på grønlandske og ikke-grønlandske
respondenter. Figur 4.49
præsenterer fordelingen af besvarelserne som procentandel af det samlede antal besvarelser, hvil-
ket gør det muligt at få et overblik over, hvordan svarfordelingen er forskellig mellem de to respon-
dentgrupper.
TABEL 4.17
Hvor mange dage om ugen drak du mere end fem genstande?
0 dage
Grønlandske respondenter
Andre respondenter
62
13.523
1 dag
22
6.663
2 dage
8
2.496
3 dage
3
862
4-7 dage
4
931
Total
99
24.475
Kilde:
EVA’s frafaldspanel
og
,W .
Note: Kun
respondenterne spurgt i
havde muligheden for at svare ”Ved ikke”, mens kun respondenterne spurgt i
havde muligheden for at svare ”I meget høj grad”.
FIGUR 4.49
Hvor mange dage om ugen drak du mere end fem genstande?
Grønlandske respondenter
Andre respondenter
0%
20 %
0 dage
1 dag
55
63
27
22
8
10
3
4
4
4
40 %
2 dage
3 dage
60 %
4-7 dage
80 %
100 %
Kilde:
EVA’s frafaldspanel
og
,W .
Note: N (Grønlandske respondenter) = 99. N (Andre respondenter) = 24.475. P-værdi = 0,664.
Danmarks Evalueringsinstitut
40
GRU, Alm.del - 2019-20 - Bilag 29: Notat om afsluttende rapport for pilotprojekt vedr. grønlandske studerendes gennemførsel af videregående uddannelser i Danmark, fra uddannelses- og forskningsministeren
2142190_0041.png
Grønlandske studerende på videregående uddannelser i Danmark
Resultater
Sammenligning mellem grønlandske og ikke-grønlandske studerende fordelt på
uddannelsessektorer
Figur . og . præsenterer besvarelserne på spørgsmålet; ”Hvor mange dage om ugen drak du
mere end fem genstande?”, hvor besvarelserne er fordelt på
uddannelsessektorer.
FIGUR 4.50
Hvor mange dage om ugen drak du mere end fem genstande?
Professionsbachelor- og erhvervsakademiuddannelser
Grønlandske respondenter
Andre respondenter
0%
20 %
0 dage
66
77
21
15
12
8
40 %
1 dag
2-7 dage
60 %
80 %
100 %
Kilde:
EVA’s frafaldspanel
og
,W .
Note: N (Grønlandske respondenter) = 39. N (Andre respondenter) = 9.426. Fishers = 0,462.
FIGUR 4.51
Hvor mange dage om ugen drak du mere end fem genstande?
Universitetsuddannelser
Grønlandske respondenter
Andre respondenter
0%
20 %
0 dage
48
54
31
25
21
21
40 %
1 dag
2-7 dage
60 %
80 %
100 %
Kilde:
EVA’s frafaldspanel
og
,W .
Note: N (Grønlandske respondenter) = 57. N (Andre respondenter) = 14.583. P-værdi = 0,538.
4.6 Studieservices og studieteknik (W2)
Med henblik på at belyse de studerendes oplevelse af studieservices og studieteknik har vi kigget
på fem items:
Jeg har fået godt overblik over, hvor man finder de væsentligste ting og lokaler, som man har
brug for på studiet.
Jeg har fået et godt overblik over, hvilke personer man skal gå til, hvis man har brug for hjælp.
• Er du i løbet af studiestarten… Blevet undervist i studieplanlægning?
• Er du i løbet af studiestarten… Blevet undervist i studieteknik?
Danmarks Evalueringsinstitut
41
GRU, Alm.del - 2019-20 - Bilag 29: Notat om afsluttende rapport for pilotprojekt vedr. grønlandske studerendes gennemførsel af videregående uddannelser i Danmark, fra uddannelses- og forskningsministeren
2142190_0042.png
Grønlandske studerende på videregående uddannelser i Danmark
Resultater
• Er du i løbet af studiestarten… Blevet introduceret til tilbud, der kan understøtte dig i at blive en
dygtig studerende?
Analysen af studieservices og studieteknikker viser, at der overordnet set er en statistisk signifikant
forskel på de grønlandske og ikke-grønlandske respondenter mht.
ét af de fem items.
69 % af de
grønlandske respondenter synes i høj grad, at de har fået et godt overblik over, hvor man finder de
væsentligste ting og lokaler, som man har brug for på studiet, mens 58 % ikke-grønlandske respon-
denter svarer det tilsvarende.
Analysen af betydningen af uddannelsessektorerne viser, at den statistiske signifikante forskel på
besvarelserne blandt de grønlandske og ikke-grønlandske respondenter i oplevelsen af at have
fået et godt overblik over de væsentligste ting og lokaler primært er drevet af respondenterne på
universitetsuddannelserne. Her mener 72 % af de grønlandske respondenter i høj grad, at de har
fået et godt overblik over, hvor man finder de væsentligste ting og lokaler, mens dette gør sig gæl-
dende for 58 % for ikke-grønlandske respondenter.
Jeg har fået godt overblik over, hvor man finder de væsentligste ting
og lokaler, man har brug for på studiet
Tabel
. viser fordelingen i svaret på udsagnet; ”Jeg har fået godt overblik over, hvor man finder
de væsentligste ting og lokaler, man har brug for på studiet”. Svarene er opdelt på grønlandske og
ikke-grønlandske respondenter. Figur 4.52 præsenterer fordelingen af besvarelserne som procent-
andel af det samlede antal besvarelser, hvilket gør det muligt at få et overblik over, hvordan svar-
fordelingen er forskellig mellem de to respondentgrupper.
TABEL 4.18
Jeg har fået et gode overblik, hvor man finder de væsentligste ting og
lokaler, man har brug for på studiet
I høj grad
Grønlandske respondenter
Andre respondenter
68
14.334
Nogen/Mindre/Slet ikke
31
10.421
Total
99
24.755
Kilde:
EVA’s frafaldspanel
og
,W .
Note:
Kun respondenterne spurgt i
havde muligheden for at svare ”Ved ikke”, mens kun respondenterne spurgt i
2017 havde muligheden
for at svare ”I meget høj grad”.
Danmarks Evalueringsinstitut
42
GRU, Alm.del - 2019-20 - Bilag 29: Notat om afsluttende rapport for pilotprojekt vedr. grønlandske studerendes gennemførsel af videregående uddannelser i Danmark, fra uddannelses- og forskningsministeren
2142190_0043.png
Grønlandske studerende på videregående uddannelser i Danmark
Resultater
FIGUR 4.52
Jeg har fået godt overblik over, hvor man finder de væsentligste ting og
lokaler, man har brug for på studiet
Grønlandske respondenter
Andre respondenter
0%
20 %
I høj grad
58
69
42
31
40 %
60 %
80 %
100 %
I nogen grad/I nindre grad/Slet ikke
Kilde:
EVA’s frafaldspanel
og
,W .
Note: N (Grønlandske respondenter) = 99. N (Andre respondenter) = 24.744. P-værdi = 0,030.
Sammenligning mellem grønlandske og ikke-grønlandske studerende fordelt på
uddannelsessektorer
Figur . og . præsenterer besvarelserne på spørgsmålet; ”Jeg har fået godt overblik over, hvor
man finder de væsentligste ting og lokaler, man har brug for på studiet”, hvor besvarelserne er for-
delt på uddannelsessektorer.
FIGUR 4.53
Jeg har fået godt overblik over, hvor man finder de væsentligste ting og
lokaler, man har brug for på studiet
Professionsbachelor- og
erhvervsakademiuddannelser
Grønlandske respondenter
Andre respondenter
0%
20 %
I høj grad
58
64
42
36
40 %
60 %
80 %
100 %
I nogen grad/I mindre grad/Slet ikke
Kilde:
EVA’s frafaldspanel
og
,W .
Note: N (Grønlandske respondenter) = 39. N (Andre respondenter) = 9.481. Fishers = 0,517.
Danmarks Evalueringsinstitut
43
GRU, Alm.del - 2019-20 - Bilag 29: Notat om afsluttende rapport for pilotprojekt vedr. grønlandske studerendes gennemførsel af videregående uddannelser i Danmark, fra uddannelses- og forskningsministeren
2142190_0044.png
Grønlandske studerende på videregående uddannelser i Danmark
Resultater
FIGUR 4.54
Jeg har fået godt overblik over, hvor man finder de væsentligste ting og
lokaler, man har brug for på studiet
Universitetsuddannelser
Grønlandske respondenter
Andre respondenter
0%
20 %
I høj grad
58
72
42
28
40 %
60 %
80 %
100 %
I nogen grad/I mindre grad/Slet ikke
Kilde:
EVA’s frafaldspanel
og
,W .
Note: N (Grønlandske respondenter) = 57. N (Andre respondenter) = 14.806. P-værdi = 0,034.
Jeg har fået et godt overblik over, hvilke personer man skal gå til, hvis
man har brug for hjælp
Tabel . viser fordelingen i svaret på udsagnet; ”Jeg har fået et godt overblik over, hvilke perso-
ner man skal gå til, hvis man har brug for hjælp”. Svarene er opdelt på grønlandske og ikke-grøn-
landske respondenter. Figur 4.55 præsenterer fordelingen af besvarelserne som procentandel af
det samlede antal besvarelser, hvilket gør det muligt at få et overblik over, hvordan svarfordelingen
er forskellig mellem de to respondentgrupper.
TABEL 4.19
Jeg har fået et godt overblik over, hvilke personer man skal gå til, hvis
man har brug for hjælp
I høj grad
Grønlandske respondenter
Andre respondenter
55
12.478
I nogen grad
32
8.862
Mindre/Slet ikke
12
3.355
Total
99
24.695
Kilde:
EVA’s frafaldspanel
og
,W .
Note:
Kun respondenterne spurgt i
havde muligheden for at svare ”Ved ikke”, mens kun respondenterne spurgt i
2017 havde
muligheden for at svare ”I meget høj grad”.
Danmarks Evalueringsinstitut
44
GRU, Alm.del - 2019-20 - Bilag 29: Notat om afsluttende rapport for pilotprojekt vedr. grønlandske studerendes gennemførsel af videregående uddannelser i Danmark, fra uddannelses- og forskningsministeren
2142190_0045.png
Grønlandske studerende på videregående uddannelser i Danmark
Resultater
FIGUR 4.55
Jeg har fået et godt overblik over, hvilke personer man skal gå til, hvis
man har brug for hjælp
Grønlandske respondenter
Andre respondenter
0%
20 %
I høj grad
51
56
36
32
12
14
40 %
I nogen grad
60 %
I mindre grad/Slet ikke
80 %
100 %
Kilde:
EVA’s frafaldspanel
og
,W .
Note: N (Grønlandske respondenter) = 99. N (Andre respondenter) = 24.695. P-værdi = 0,607.
Sammenligning mellem grønlandske og ikke-grønlandske studerende fordelt på
uddannelsessektorer
Figur . og . præsenterer besvarelserne på spørgsmålet; ”Jeg har fået godt overblik over,
hvilke personer man skal gå til, hvis man har brug for hjælp”, hvor besvarelserne er fordelt på ud-
dannelsessektorer.
FIGUR 4.56
Jeg har fået et godt overblik over, hvilke personer man skal gå til, hvis
man har brug for hjælp
Professionsbachelor- og
erhvervsakademiuddannelser
Grønlandske respondenter
Andre respondenter
0%
20 %
I høj grad
54
64
35
26
10
11
40 %
I nogen grad
60 %
I mindre grad/Slet ikke
80 %
100 %
Kilde:
EVA’s frafaldspanel
og
,W .
Note: N (Grønlandske respondenter) = 39. N (Andre respondenter) = 9.457. Fishers = 0,429.
Danmarks Evalueringsinstitut
45
GRU, Alm.del - 2019-20 - Bilag 29: Notat om afsluttende rapport for pilotprojekt vedr. grønlandske studerendes gennemførsel af videregående uddannelser i Danmark, fra uddannelses- og forskningsministeren
2142190_0046.png
Grønlandske studerende på videregående uddannelser i Danmark
Resultater
FIGUR 4.57
Jeg har fået et godt overblik over, hvilke personer man skal gå til, hvis
man har brug for hjælp
Universitetsuddannelser
Grønlandske respondenter
Andre respondenter
0%
20 %
I høj grad
49
48
37
37
14
15
40 %
I nogen grad
60 %
I mindre grad/Slet ikke
80 %
100 %
Kilde:
EVA’s frafaldspanel
og
,W .
Note: N (Grønlandske respondenter) = 57. N (Andre respondenter) = 14.769. P-værdi = 0,970.
Er du i løbet af studiestarten… Blevet undervist i studieplanlægning?
Tabel . viser fordelingen i svaret på spørgsmålet; ”Er du i løbet af studiestarten… Blevet under-
vist i studieplanlægning?”. Svarene er opdelt på grønlandske og ikke-grønlandske
respondenter.
Figur 4.58 præsenterer fordelingen af besvarelserne som procentandel af det samlede antal besva-
relser, hvilket gør det muligt at få et overblik over, hvordan svarfordelingen er forskellig mellem de
to respondentgrupper.
TABEL 4.20
Er du i løbet af studiestarten… Blevet undervist i studieplanlægning?
Ja
Grønlandske respondenter
Andre respondenter
Kilde:
EVA’s frafaldspanel
,W .
31
6.894
Nej
22
7.437
Total
53
14.331
FIGUR 4.58
Er du i løbet af studiestarten… Blevet undervist i studieplanlægning
Grønlandske respondenter
Andre respondenter
0%
20 %
Ja
48
59
52
42
40 %
Nej
60 %
80 %
100 %
Kilde:
EVA’s frafaldspanel
,W .
Note: N (Grønlandske respondenter) = 53. N (Andre respondenter) = 14.331. P-værdi = 0,131.
Danmarks Evalueringsinstitut
46
GRU, Alm.del - 2019-20 - Bilag 29: Notat om afsluttende rapport for pilotprojekt vedr. grønlandske studerendes gennemførsel af videregående uddannelser i Danmark, fra uddannelses- og forskningsministeren
2142190_0047.png
Grønlandske studerende på videregående uddannelser i Danmark
Resultater
Sammenligning mellem grønlandske og ikke-grønlandske studerende fordelt på
uddannelsessektorer
Figur . og . præsenterer besvarelserne på spørgsmålet; ”Er du i løbet af studiestarten… Ble-
vet undervist i studieplanlægning?”, hvor besvarelserne er fordelt på uddannelsessektorer.
FIGUR 4.59
Er du i løbet af studiestarten… Blevet undervist i studieplanlægning –
Professionsbachelor- og erhvervsakademiuddannelser
Grønlandske respondenter
Andre respondenter
0%
20 %
Ja
49
59
51
41
40 %
Nej
60 %
80 %
100 %
Kilde:
EVA’s frafaldspanel
,W .
Note: N (Grønlandske respondenter) = 27. N (Andre respondenter) = 5.608. Fishers = 0,336.
FIGUR 4.60
Er du i løbet af studiestarten… Blevet undervist i studieplanlægning –
Universitetsuddannelser
Grønlandske respondenter
Andre respondenter
0%
20 %
Ja
48
60
52
40
40 %
Nej
60 %
80 %
100 %
Kilde:
EVA’s frafaldspanel
,W .
Note: N (Grønlandske respondenter) = 25. N (Andre respondenter) = 8.425. Fishers = 0,317.
Er du i løbet af studiestarten… Blevet undervist i studieteknik
Tabel 4.21 viser fordelingen i svaret
på spørgsmålet; ”Er du i løbet af studiestarten… Blevet under-
vist i studieteknik?”. Svarene er opdelt på grønlandske og ikke-grønlandske
respondenter. Figur
4.61 præsenterer fordelingen af besvarelserne som procentandel af det samlede antal besvarelser,
hvilket gør det muligt at få et overblik over, hvordan svarfordelingen er forskellig mellem de to re-
spondentgrupper.
Danmarks Evalueringsinstitut
47
GRU, Alm.del - 2019-20 - Bilag 29: Notat om afsluttende rapport for pilotprojekt vedr. grønlandske studerendes gennemførsel af videregående uddannelser i Danmark, fra uddannelses- og forskningsministeren
2142190_0048.png
Grønlandske studerende på videregående uddannelser i Danmark
Resultater
TABEL 4.21
Er du i løbet af studiestarten… Blevet undervist
i studieteknik?
Ja
Grønlandske respondenter
Andre respondenter
Kilde:
EVA’s frafaldspanel
,W
32
7.047
Nej
21
7.284
Total
53
14.331
FIGUR 4.61
Er du i løbet af studiestarten… Blevet undervist i studieteknik
Grønlandske respondenter
Andre respondenter
0%
20 %
Ja
49
60
51
40
40 %
Nej
60 %
80 %
100 %
Kilde:
EVA’s frafaldspanel
,W .
Note: N (Grønlandske respondenter) = 53. N (Andre respondenter) = 14.331. P-værdi = 0,103.
Sammenligning mellem grønlandske og ikke-grønlandske studerende fordelt på
uddannelsessektorer
Figur . og . præsenterer besvarelserne på spørgsmålet; ”Er du i løbet af studiestarten… Ble-
vet undervist i studieteknik?”, hvor besvarelserne er fordelt på uddannelsessektorer.
FIGUR 4.62
Er du i løbet af studiestarten… Blevet undervist i
studieteknik
Professionsbachelor- og erhvervsakademiuddannelser
Grønlandske respondenter
Andre respondenter
0%
20 %
Ja
55
59
46
41
40 %
Nej
60 %
80 %
100 %
Kilde:
EVA’s frafaldspanel
,W .
Note: N (Grønlandske respondenter) = 27. N (Andre respondenter) = 5.608. Fishers = 0,701.
Danmarks Evalueringsinstitut
48
GRU, Alm.del - 2019-20 - Bilag 29: Notat om afsluttende rapport for pilotprojekt vedr. grønlandske studerendes gennemførsel af videregående uddannelser i Danmark, fra uddannelses- og forskningsministeren
2142190_0049.png
Grønlandske studerende på videregående uddannelser i Danmark
Resultater
FIGUR 4.63
Er du i løbet af studiestarten… Blevet undervist i studieteknik –
Universitetsuddannelser
Grønlandske respondenter
Andre respondenter
0%
47
60
54
40
20 %
Ja
40 %
Nej
60 %
80 %
100 %
Kilde:
EVA’s
frafaldspanel 2016, W2.
Note: N (Grønlandske respondenter) = 25. N (Andre respondenter) = 8.425. Fishers = 0,251.
Er du i løbet af studiestarten… Blevet introduceret til tilbud, der kan
understøtte dig i at blive en dygtig studerende
Tabel . viser fordelingen i svaret på spørgsmålet; ”Er du i løbet af studiestarten… Blevet intro-
duceret til tilbud, der kan understøtte dig i at blive en dygtig studerende?”. Svarene er opdelt på
grønlandske og ikke-grønlandske respondenter. Figur 3.61 præsenterer fordelingen af besvarel-
serne som procentandel af det samlede antal besvarelser, hvilket gør det muligt at få et overblik
over, hvordan svarfordelingen er forskellig mellem de to respondentgrupper.
TABEL 4.22
Er du i løbet af studiestarten… Blevet introduceret til tilbud, der kan
understøtte dig i at blive en dygtig studerende
Ja
Grønlandske respondenter
Andre respondenter
Kilde:
EVA’s frafaldspanel
,W .
35
7.710
Nej
18
6.621
Total
53
14.331
FIGUR 4.64
Er du i løbet af studiestarten… Blevet introduceret til tilbud, der kan
understøtte dig i at blive en dygtig studerende
Grønlandske respondenter
Andre respondenter
0%
20 %
Ja
54
66
46
34
40 %
Nej
60 %
80 %
100 %
Kilde:
EVA’s frafaldspanel
,W .
Note: N (Grønlandske respondenter) = 53. N (Andre respondenter) = 14.331. P-værdi = 0,074.
Danmarks Evalueringsinstitut
49
GRU, Alm.del - 2019-20 - Bilag 29: Notat om afsluttende rapport for pilotprojekt vedr. grønlandske studerendes gennemførsel af videregående uddannelser i Danmark, fra uddannelses- og forskningsministeren
2142190_0050.png
Grønlandske studerende på videregående uddannelser i Danmark
Resultater
Sammenligning mellem grønlandske og ikke-grønlandske studerende fordelt på
uddannelsessektorer
Figur . og . præsenterer besvarelserne på spørgsmålet; ”Er du i løbet af studiestarten… Ble-
vet introduceret til tilbud, der kan understøtte dig i at blive en dygtig studerende?”, hvor besvarel-
serne er fordelt på uddannelsessektorer.
FIGUR 4.65
Er du i løbet af
studiestarten… Blevet introduceret til tilbud, der kan
understøtte dig i at blive en dygtig studerende
Professionsbachelor- og
erhvervsakademiuddannelser
Grønlandske respondenter
Andre respondenter
0%
20 %
Ja
48
59
52
41
40 %
Nej
60 %
80 %
100 %
Kilde:
EVA’s frafaldspanel
,W .
Note: N (Grønlandske respondenter) = 27. N (Andre respondenter) = 5.608. Fishers = 0,251.
FIGUR 4.66
Er du i løbet af studiestarten… Blevet introduceret
til tilbud, der kan
understøtte dig i at blive en dygtig studerende
Universitetsuddannelser
Grønlandske respondenter
Andre respondenter
0%
20 %
Ja
59
72
41
28
40 %
Nej
60 %
80 %
100 %
Kilde:
EVA’s frafaldspanel
,W .
Note: N (Grønlandske respondenter) = 25. N (Andre respondenter) = 8.425. Fishers = 0,224.
4.7 Social integration og samarbejde (W3)
Med henblik på at belyse de studerendes oplevelse af social integration og samarbejde har vi set
på fem items:
De andre studerende er generelt imødekommende.
Jeg føler mig velkommen på studiet.
Jeg spørger ofte de andre studerende om hjælp, hvis jeg er usikker på noget fagligt.
Er du på nuværende tidspunkt med i en studie- og/eller projektgruppe?
Danmarks Evalueringsinstitut
50
GRU, Alm.del - 2019-20 - Bilag 29: Notat om afsluttende rapport for pilotprojekt vedr. grønlandske studerendes gennemførsel af videregående uddannelser i Danmark, fra uddannelses- og forskningsministeren
2142190_0051.png
Grønlandske studerende på videregående uddannelser i Danmark
Resultater
Hvor tilfreds er du med den/de studie- og/eller projektgrupper, du er med i?
Analysen af respondenternes sociale integration og samarbejde viser, at der overordnet set er en
statistisk signifikant forskel på de grønlandske og ikke-grønlandske respondenter mht.
to af de fem
items.
56 % af de grønlandske respondenter mener i høj grad, at de andre studerende er imøde-
kommende, mens det gælder for 70 % ikke-grønlandske respondenter. Derudover er færre grøn-
landske respondenter med i en studiegruppe. 68 % af de grønlandske respondenter svarer, at de er
en del af en studiegruppe, mens det gør sig gældende for 84 % af de ikke-grønlandske responden-
ter.
Analysen af betydningen af uddannelsessektorerne viser, at den statistiske signifikante forskel på
besvarelserne blandt grønlandske og ikke-grønlandske respondenter, som er med i en studie-
gruppe, er drevet af respondenter på universitetsuddannelserne. 68 % af de grønlandske respon-
denter på universitetsuddannelserne svarer, at de er en del af en studiegruppe, hvor dette gør sig
gældende for 85 % af de ikke-grønlandske respondenter på universitetsuddannelserne.
De andre studerende er generelt imødekommende
Tabel . viser fordelingen i svaret på udsagnet; ”De andre studerende er generelt imødekom-
mende”. Svarene er opdelt
på grønlandske og ikke-grønlandske respondenter. Figur 4.67 præsen-
terer fordelingen af besvarelserne som procentandel af det samlede antal besvarelser, hvilket gør
det muligt at få et overblik over, hvordan svarfordelingen er forskellig mellem de to respondent-
grupper.
TABEL 4.23
De andre studerende er generelt imødekommende
I høj grad
Grønlandske respondenter
Andre respondenter
Kilde:
EVA’s frafaldspanel
og
Note:
Kun respondenterne spurgt i
40
13.699
I nogen grad
27
4.975
I mindre/slet ikke
4
916
Total
71
19.590
,W .
havde muligheden for at svare ”I meget høj grad”.
FIGUR 4.67
De andre studerende er generelt imødekommende
Grønlandske respondenter
Andre respondenter
0%
20 %
I høj grad
56
70
38
25
6
5
40 %
I nogen grad
60 %
I mindre grad/slet ikke
80 %
100 %
Kilde:
EVA’s frafaldspanel
og
,W .
Note: N (Grønlandske respondenter) = 71. N (Andre respondenter) = 19.590. P-værdi = 0,040.
Danmarks Evalueringsinstitut
51
GRU, Alm.del - 2019-20 - Bilag 29: Notat om afsluttende rapport for pilotprojekt vedr. grønlandske studerendes gennemførsel af videregående uddannelser i Danmark, fra uddannelses- og forskningsministeren
2142190_0052.png
Grønlandske studerende på videregående uddannelser i Danmark
Resultater
Sammenligning mellem grønlandske og ikke-grønlandske studerende fordelt på
uddannelsessektorer
Figur . og . præsenterer besvarelserne på udsagnet; ”De andre
studerende er generelt imø-
dekommende”, hvor besvarelserne er fordelt på uddannelsessektorer.
FIGUR 4.68
De andre studerende er generelt imødekommende
Professionsbachelor-
og erhvervsakademiuddannelser
Grønlandske respondenter
Andre respondenter
0%
20 %
I høj grad
52
68
48
32
40 %
60 %
80 %
100 %
I nogen grad/I mindre grad/Slet ikke
Kilde:
EVA’s frafaldspanel
og
,W .
Note: N (Grønlandske respondenter) = 27. N (Andre respondenter) = 7.419. Fishers = 0,098.
FIGUR 4.69
De andre studerende er generelt imødekommende
Universitetsuddannelser
Grønlandske respondenter
Andre respondenter
0%
20 %
I høj grad
55
71
45
29
40 %
60 %
80 %
100 %
I nogen grad/I mindre grad/Slet ikke
Kilde:
EVA’s frafaldspanel
og
,W .
Note: N (Grønlandske respondenter) = 40. N (Andre respondenter) = 11.786. P-værdi = 0,025.
Jeg føler mig velkommen på studiet
Tabel . viser fordelingen i svaret på udsagnet; ”Jeg føler mig velkommen på studiet”. Svarene
er
opdelt på grønlandske og ikke-grønlandske respondenter. Figur 4.70 præsenterer fordelingen af
besvarelserne som procentandel af det samlede antal besvarelser, hvilket gør det muligt at få et
overblik over, hvordan svarfordelingen er forskellig mellem de to respondentgrupper.
Danmarks Evalueringsinstitut
52
GRU, Alm.del - 2019-20 - Bilag 29: Notat om afsluttende rapport for pilotprojekt vedr. grønlandske studerendes gennemførsel af videregående uddannelser i Danmark, fra uddannelses- og forskningsministeren
2142190_0053.png
Grønlandske studerende på videregående uddannelser i Danmark
Resultater
TABEL 4.24
Jeg føler mig velkommen på studiet
I høj grad
Grønlandske respondenter
Andre respondenter
Kilde:
EVA’s frafaldspanel
og
,W .
40
12.961
I nogen grad
22
5.299
I mindre/slet ikke
9
1.330
Total
71
19.590
FIGUR 4.70
Jeg føler mig velkommen på studiet
Grønlandske respondenter
Andre respondenter
0%
20 %
I høj grad
56
66
31
27
13
7
40 %
I nogen grad
60 %
I mindre grad/slet ikke
80 %
100 %
Kilde:
EVA’s frafaldspanel
og
,W .
Note: N (Grønlandske respondenter) = 71. N (Andre respondenter) = 19.590. P-værdi = 0,081.
Sammenligning mellem grønlandske og ikke-grønlandske studerende fordelt på
uddannelsessektorer
Figur . og . præsenterer besvarelserne på udsagnet; ”Jeg føler mig velkommen på studiet”,
hvor besvarelserne er fordelt på uddannelsessektorer.
FIGUR 4.71
Jeg føler mig velkommen på studiet
Professionsbachelor- og
erhvervsakademiuddannelser
Grønlandske respondenter
Andre respondenter
0%
20 %
I høj grad
48
66
37
27
15
6
40 %
I nogen grad
60 %
I mindre grad/slet ikke
80 %
100 %
Kilde:
EVA’s frafaldspanel
og
,W .
Note: N (Grønlandske respondenter) = 27. N (Andre respondenter) = 7.419. Fishers = 0,061.
Danmarks Evalueringsinstitut
53
GRU, Alm.del - 2019-20 - Bilag 29: Notat om afsluttende rapport for pilotprojekt vedr. grønlandske studerendes gennemførsel af videregående uddannelser i Danmark, fra uddannelses- og forskningsministeren
2142190_0054.png
Grønlandske studerende på videregående uddannelser i Danmark
Resultater
FIGUR 4.72
Jeg føler mig velkommen på studiet
Universitetsuddannelser
Grønlandske respondenter
Andre respondenter
0%
20 %
I høj grad
58
66
30
27
13
7
40 %
I nogen grad
60 %
I mindre grad/slet ikke
80 %
100 %
Kilde:
EVA’s frafaldspanel
og
,W .
Note: N (Grønlandske respondenter) = 40. N (Andre respondenter) = 11.786. P-værdi = 0,365.
Jeg spørger ofte andre studerende om hjælp, hvis jeg er usikker på
noget fagligt
Tabel . viser fordelingen i svaret på udsagnet; ”Jeg spørger ofte andre studerende om hjælp,
hvis jeg er usikker på noget fagligt”. Svarene er opdelt på grønlandske og ikke-grønlandske
respon-
denter. Figur 4.73 præsenterer fordelingen af besvarelserne som procentandel af det samlede an-
tal besvarelser, hvilket gør det muligt at få et overblik over, hvordan svarfordelingen er forskellig
mellem de to respondentgrupper.
TABEL 4.25
Jeg spørger ofte andre studerende om hjælp, hvis jeg er usikker på noget
fagligt
I høj grad
Grønlandske respondenter
Andre respondenter
Kilde:
EVA’s frafaldspanel
og
Note:
Kun respondenterne spurgt i
23
8.287
I nogen grad
28
7.304
I mindre grad
16
3.397
Slet ikke
4
602
Total
71
19.590
,W .
havde muligheden for at svare ”I meget høj grad”.
FIGUR 4.73
Jeg spørger ofte andre studerende om hjælp, hvis jeg er usikker på noget
fagligt
Grønlandske respondenter
Andre respondenter
0%
32
42
39
37
23
17
6
3
20 %
I høj grad
I nogen grad
40 %
I mindre grad
60 %
Slet ikke
80 %
100 %
Kilde:
EVA’s frafaldspanel
og
,W .
Note: N (Grønlandske respondenter) = 71. N (Andre respondenter) = 19.560. P-værdi = 0,227.
Danmarks Evalueringsinstitut
54
GRU, Alm.del - 2019-20 - Bilag 29: Notat om afsluttende rapport for pilotprojekt vedr. grønlandske studerendes gennemførsel af videregående uddannelser i Danmark, fra uddannelses- og forskningsministeren
2142190_0055.png
Grønlandske studerende på videregående uddannelser i Danmark
Resultater
Sammenligning mellem grønlandske og ikke-grønlandske studerende fordelt på
uddannelsessektorer
Figur 4.74 og 4.75 præsenterer besvarelserne
på udsagnet; ”Jeg spørger ofte andre studerende om
hjælp, hvis jeg er usikker på noget fagligt”, hvor besvarelserne er fordelt på uddannelsessektorer.
FIGUR 4.74
Jeg spørger ofte andre studerende om hjælp, hvis jeg er usikker på noget
fagligt
Professionsbachelor- og erhvervsakademiuddannelser
Grønlandske respondenter
Andre respondenter
0%
19
39
52
40
30
19
3
20 %
I høj grad
I nogen grad
40 %
I mindre grad
60 %
Slet ikke
80 %
100 %
Kilde:
EVA’s frafaldspanel
og
,W .
Note: N (Grønlandske respondenter) = 27. N (Andre respondenter) = 7.419. Fishers = 0,088.
FIGUR 4.75
Jeg spørger ofte andre studerende om hjælp, hvis jeg er usikker på noget
fagligt
Universitetsuddannelser
Grønlandske respondenter
Andre respondenter
0%
40
44
30
36
20
17
10
3
20 %
I høj grad
I nogen grad
40 %
I mindre grad
60 %
Slet ikke
80 %
100 %
Kilde:
EVA’s frafaldspanel
og
,W .
Note: N (Grønlandske respondenter) = 40. N (Andre respondenter) = 11.786. P-værdi = 0,085.
Er du på nuværende tidspunkt med i en studie- og/eller projektgruppe?
Tabel . viser fordelingen i svaret på spørgsmålet; ”Er du med i en studie-
og/eller projekt-
gruppe?”. Svarene er opdelt på grønlandske og ikke-grønlandske
respondenter. Figur 4.76 præsen-
terer fordelingen af besvarelserne som procentandel af det samlede antal besvarelser, hvilket gør
det muligt at få et overblik over, hvordan svarfordelingen er forskellig mellem de to respondent-
grupper.
Danmarks Evalueringsinstitut
55
GRU, Alm.del - 2019-20 - Bilag 29: Notat om afsluttende rapport for pilotprojekt vedr. grønlandske studerendes gennemførsel af videregående uddannelser i Danmark, fra uddannelses- og forskningsministeren
2142190_0056.png
Grønlandske studerende på videregående uddannelser i Danmark
Resultater
TABEL 4.26
Er du på nuværende tidspunkt med i en studie- og/eller projektgruppe?
Ja
Grønlandske respondenter
Andre respondenter
Kilde:
EVA’s
frafaldspanel 2016 og 2017, W3.
48
16.435
Nej
23
3.155
Total
71
19.590
FIGUR 4.76
Er du på nuværende tidspunkt med i en studie-og/eller projektgruppe?
Grønlandske respondenter
Andre respondenter
0%
20 %
Ja
68
84
32
16
40 %
Nej
60 %
80 %
100 %
Kilde:
EVA’s
frafaldspanel 2016 og 2017, W3.
Note: N (Grønlandske respondenter) = 71. N (Andre respondenter) = 19.590. P-værdi = 0,000.
Sammenligning mellem grønlandske og ikke-grønlandske studerende fordelt på
uddannelsessektorer
Figur . og . præsenterer besvarelserne på spørgsmålet; ”Er du på nuværende tidspunkt med
i en studie-
og/eller projektgruppe?”, hvor besvarelserne er fordelt på uddannelsessektorer.
FIGUR 4.77
Er du på nuværende tidspunkt med i en studie-og/eller projektgruppe?
Professionsbachelor- og erhvervsakademiuddannelser
Grønlandske respondenter
Andre respondenter
0%
20 %
Ja
74
83
26
17
40 %
Nej
60 %
80 %
100 %
Kilde:
EVA’s frafaldspanel
og
,W .
Note: N (Grønlandske respondenter) = 27. N (Andre respondenter) = 7.419. Fishers = 0,203.
Danmarks Evalueringsinstitut
56
GRU, Alm.del - 2019-20 - Bilag 29: Notat om afsluttende rapport for pilotprojekt vedr. grønlandske studerendes gennemførsel af videregående uddannelser i Danmark, fra uddannelses- og forskningsministeren
2142190_0057.png
Grønlandske studerende på videregående uddannelser i Danmark
Resultater
FIGUR 4.78
Er du på nuværende tidspunkt med i en studie-og/eller projektgruppe?
Universitetsuddannelser
Grønlandske respondenter
Andre respondenter
0%
20 %
Ja
68
85
33
15
40 %
Nej
60 %
80 %
100 %
Kilde:
EVA’s frafaldspanel
og
,W .
Note: N (Grønlandske respondenter) = 40. N (Andre respondenter) = 11.786. P-værdi = 0,003.
Hvor tilfreds er du med den/de studie- og/eller projektgrupper, du er
med i?
Tabel . viser fordelingen i svaret på spørgsmålet; ”Hvor tilfreds er du med den/de studie-
og/el-
ler projektgrupper, du er med i?”. Svarene er opdelt på grønlandske
og ikke-grønlandske respon-
denter. Figur 4.79 præsenterer fordelingen af besvarelserne som procentandel af det samlede an-
tal besvarelser, hvilket gør det muligt at få et overblik over, hvordan svarfordelingen er forskellig
mellem de to respondentgrupper.
TABEL 4.27
Hvor tilfreds er ud med den/de studie- og/eller projektgrupper, du er med
i?
Meget tilfreds
Grønlandske respondenter
Andre respondenter
Kilde:
EVA’s frafaldspanel
og
,W .
18
6.689
Tilfreds
27
8.160
Utilfreds
3
1.314
Meget utilfreds
0
272
Total
48
16.435
FIGUR 4.79
Hvor tilfreds er du med den/de studie- og/eller projektgrupper, du er med
i?
Grønlandske respondenter
Andre respondenter
0%
38
41
56
50
8
6
2
20 %
Meget tilfreds
Tilfreds
40 %
Utilfreds
60 %
Meget utilfreds
80 %
100 %
Kilde:
EVA’s frafaldspanel
og
,W .
Note: N (Grønlandske respondenter) = 48. N (Andre respondenter) = 16.435. P-værdi = 0,678.
Danmarks Evalueringsinstitut
57
GRU, Alm.del - 2019-20 - Bilag 29: Notat om afsluttende rapport for pilotprojekt vedr. grønlandske studerendes gennemførsel af videregående uddannelser i Danmark, fra uddannelses- og forskningsministeren
2142190_0058.png
Grønlandske studerende på videregående uddannelser i Danmark
Resultater
Sammenligning mellem grønlandske og ikke-grønlandske studerende fordelt på
uddannelsessektorer
Figur . og . præsenterer besvarelserne på spørgsmålet; ”Hvor tilfreds er du med den/de stu-
die- og/eller projektgrupper,
du er med i?”, hvor besvarelserne er fordelt på uddannelsessektorer.
FIGUR 4.80
Hvor tilfreds er du med den/de studie- og/eller projektgrupper, du er med
i?
Professionsbachelor- og erhvervsakademiuddannelser
Grønlandske respondenter
Andre respondenter
0%
35
38
65
60
2
20 %
Meget tilfreds
40 %
Tilfreds/Utilfreds
60 %
Meget utilfreds
80 %
100 %
Kilde:
EVA’s frafaldspanel
og
,W .
Note: N (Grønlandske respondenter) = 20. N (Andre respondenter) = 6.164. Fishers = 0,887.
FIGUR 4.81
Hvor tilfreds er du med den/de studie- og/eller projektgrupper, du er med
i?
Universitetsuddannelser
Grønlandske respondenter
Andre respondenter
0%
41
43
59
56
1
20 %
Meget tilfreds
40 %
Tilfreds/Utilfreds
60 %
Meget utilfreds
80 %
100 %
Kilde:
EVA’s
frafaldspanel 2016 og 2017, W3.
Note: N (Grønlandske respondenter) = 27. N (Andre respondenter) = 9.986. Fishers = 0,892.
4.8 Fagligt engagement (W3)
Med henblik på at belyse de studerendes faglige engagement har vi set på fire items:
Jeg er meget interesseret i det faglige indhold sf uddannelsen.
Jeg prøver at gøre lidt mere på min uddannelse, end jeg bliver bedt om.
Jeg opsummerer løbende for mig selv, hvad jeg har lært på uddannelsen.
Hvor mange timer har du brugt på følgende aktiviteter på en gennemsnitlig uge (syv dage), siden
du startede på uddannelsen?
Danmarks Evalueringsinstitut
58
GRU, Alm.del - 2019-20 - Bilag 29: Notat om afsluttende rapport for pilotprojekt vedr. grønlandske studerendes gennemførsel af videregående uddannelser i Danmark, fra uddannelses- og forskningsministeren
2142190_0059.png
Grønlandske studerende på videregående uddannelser i Danmark
Resultater
Analysen af respondenternes oplevelse af det faglige engagement viser, at der ikke findes nogen
statistisk signifikant forskel mellem grønlandske og ikke-grønlandske respondenter.
Analysen af betydningen af uddannelsessektorerne viser, at der ikke er en statistisk signifikant for-
skel på besvarelserne.
I det sidste item har respondenterne angivet det gennemsnitlige antal timer i løbet af en uge, som
de har brugt på seks forskellige aktiviteter siden uddannelsesstart. Der er ikke foretaget statistisk
test på dette, hvorfor det kort kommenteres. De grønlandske og ikke-grønlandske respondenter
bruger primært deres tid på undervisning og forberedelse, hhv. 77,2 % og 78,4 %. Hvilket er en for-
skel på 1,2 procentpoint. Der er med andre ord ikke tydelig forskel i fordelingen af tiden mellem
grønlandske og ikke-grønlandske respondenter. Der er en mindre forskel i tid forbrugt på forbere-
delse, for hvor grønlandske respondenter bruger 13,5 timer ugentligt, så bruger ikke-grønlandske
respondenter 15,1 timer. Der er en mindre forskel på, hvordan de grønlandske og ikke-grønlandske
respondenter bruger deres resterende tid. Andelene er dog små, hvorfor det ikke ændrer den over-
ordnede konklusion. Når vi kigger på de enkelte sektorer, så er der bemærkelsesværdig forskel i
tidsforbruget mellem grønlandske og ikke-grønlandske respondenter. På professionsbachelor- og
erhvervsakademiuddannelser bruger grønlandske respondenter 6,1 timer mere på undervisning og
forberedelse end ikke-grønlandske respondenter fordelt på begge poster. På universitetsuddan-
nelser bruger grønlandske respondenter 6,6 timer færre på undervisning og forberedelse end ikke-
grønlandske respondenter. Dette mindre tidsforbrug fordeler sig ligeledes på begge posterne.
Jeg er meget interesseret i det faglige indhold af uddannelsen
Tabel . viser fordelingen i svaret på udsagnet; ”Jeg er meget interesseret
i det faglige indhold af
uddannelsen”. Svarene er opdelt på grønlandske og ikke-grønlandske
respondenter. Figur 4.82
præsenterer fordelingen af besvarelserne som procentandel af det samlede antal besvarelser, hvil-
ket gør det muligt at få et overblik over, hvordan svarfordelingen er forskellig mellem de to respon-
dentgrupper.
TABEL 4.28
Jeg er meget interesseret i det faglige indhold af uddannelsen
I meget høj grad
Grønlandske respondenter
Andre respondenter
Kilde:
EVA’s frafaldspanel
,W .
11
3.220
I høj grad
16
4.427
I nogen grad
7
1.448
I mindre grad
0
262
Slet ikke
0
41
Total
34
9.398
Danmarks Evalueringsinstitut
59
GRU, Alm.del - 2019-20 - Bilag 29: Notat om afsluttende rapport for pilotprojekt vedr. grønlandske studerendes gennemførsel af videregående uddannelser i Danmark, fra uddannelses- og forskningsministeren
2142190_0060.png
Grønlandske studerende på videregående uddannelser i Danmark
Resultater
FIGUR 4.82
Jeg er meget interesseret i det faglige indhold af uddannelsen
Grønlandske respondenter
Andre respondenter
0%
I meget høj grad
32
34
47
47
21
15
3
20 %
I høj grad
40 %
I nogen grad
60 %
I mindre grad
80 %
Slet ikke
100 %
Kilde:
EVA’s frafaldspanel
,W .
Note: N (Grønlandske respondenter) = 34. N (Andre respondenter) = 9.398. Fishers = 0,812.
Sammenligning mellem grønlandske og ikke-grønlandske studerende fordelt på
uddannelsessektorer
Figur 4.83 og 4.84 præsenterer besvarelserne
på udsagnet; ”Jeg er meget interesseret i det faglige
indhold af uddannelsen”, hvor besvarelserne er fordelt på uddannelsessektorer.
FIGUR 4.83
Jeg er meget interesseret i det faglige indhold af uddannelsen
Professionsbachelor- og erhvervsakademiuddannelser
Grønlandske respondenter
Andre respondenter
0%
I meget høj grad
38
37
63
61
2
20 %
40 %
60 %
I mindre grad
80 %
Slet ikke
100 %
I høj grad/I nogen grad
Kilde:
EVA’s frafaldspanel
,W .
Note: N (Grønlandske respondenter) = 8. N (Andre respondenter) = 3.544. Fishers = 1,000.
FIGUR 4.84
Jeg er meget interesseret i det faglige indhold af uddannelsen
Universitetsuddannelser
Grønlandske respondenter
Andre respondenter
0%
I meget høj grad
25
32
75
64
31
20 %
40 %
60 %
I mindre grad
80 %
Slet ikke
100 %
I høj grad/I nogen grad
Kilde:
EVA’s frafaldspanel
,W .
Note: N (Grønlandske respondenter) = 24. N (Andre respondenter) = 5.669. Fishers = 0,692.
Danmarks Evalueringsinstitut
60
GRU, Alm.del - 2019-20 - Bilag 29: Notat om afsluttende rapport for pilotprojekt vedr. grønlandske studerendes gennemførsel af videregående uddannelser i Danmark, fra uddannelses- og forskningsministeren
2142190_0061.png
Grønlandske studerende på videregående uddannelser i Danmark
Resultater
Jeg prøver at gøre lidt mere på min uddannelse, end jeg bliver bedt om
Tabel . viser fordelingen i svaret på udsagnet; ”Jeg prøver at gøre lidt mere på min uddannelse,
end jeg bliver bedt om”. Svarene er opdelt på grønlandske og ikke-grønlandske
respondenter. Fi-
gur 4.85 præsenterer fordelingen af besvarelserne som procentandel af det samlede antal besva-
relser, hvilket gør det muligt at få et overblik over, hvordan svarfordelingen er forskellig mellem de
to respondentgrupper.
TABEL 4.29
Jeg prøver at gøre lidt mere på min uddannelse, end jeg bliver bedt om
I høj grad
Grønlandske respondenter
Andre respondenter
Kilde:
EVA’s frafaldspanel
og
Note:
Kun respondenterne spurgt i
8
2.940
I nogen grad
28
7.884
I mindre grad
23
6.828
Slet ikke
12
1.938
Total
71
19.590
,W .
havde muligheden for at svare ”I meget høj grad”.
FIGUR 4.85
Jeg prøver at gøre lidt mere på min uddannelse, end jeg bliver bedt om
Grønlandske respondenter
11
39
33
17
Andre respondenter
0%
15
40
35
10
20 %
I høj grad
I nogen grad
40 %
I mindre grad
60 %
Slet ikke
80 %
100 %
Kilde:
EVA’s frafaldspanel
og
,W .
Note: N (Grønlandske respondenter) = 71. N (Andre respondenter) = 19.590. P-værdi = 0,231.
Sammenligning mellem grønlandske og ikke-grønlandske studerende fordelt på
uddannelsessektorer
Figur . og . præsenterer besvarelserne på udsagnet; ”Jeg prøver at gøre
lidt mere på min ud-
dannelse, end jeg bliver bedt om”, hvor besvarelserne er fordelt på uddannelsessektorer.
Danmarks Evalueringsinstitut
61
GRU, Alm.del - 2019-20 - Bilag 29: Notat om afsluttende rapport for pilotprojekt vedr. grønlandske studerendes gennemførsel af videregående uddannelser i Danmark, fra uddannelses- og forskningsministeren
2142190_0062.png
Grønlandske studerende på videregående uddannelser i Danmark
Resultater
FIGUR 4.86
Jeg prøver at gøre lidt mere på min uddannelse, end jeg bliver bedt om
Professions- og erhvervsuddannelser
Grønlandske respondenter
67
22
11
Andre respondenter
0%
20 %
63
30
7
40 %
I mindre grad
60 %
Slet ikke
80 %
100 %
I høj grad/I nogen grad
Kilde:
EVA’s frafaldspanel
og
,W .
Note: N (Grønlandske respondenter) = 27. N (Andre respondenter) = 7.419. Fishers = 0,488.
FIGUR 4.87
Jeg prøver at gøre lidt mere på min uddannelse, end jeg bliver bedt om
Universitetsuddannelser
Grønlandske respondenter
35
43
23
Andre respondenter
0%
20 %
50
38
12
40 %
I mindre grad
60 %
Slet ikke
80 %
100 %
I høj grad/I nogen grad
Kilde:
EVA’s frafaldspanel
og
,W .
Note: N (Grønlandske respondenter) = 40. N (Andre respondenter) = 11.786. P-værdi = 0,057.
Jeg opsummerer løbende for mig selv, hvad jeg har lært på
uddannelsen
Tabel 4.30 viser fordelingen
i svaret på udsagnet; ”Jeg opsummerer løbende for mig selv, hvad jeg
har lært på uddannelsen”. Svarene er opdelt på grønlandske og ikke-grønlandske
respondenter.
Figur 4.88 præsenterer fordelingen af besvarelserne som procentandel af det samlede antal besva-
relser, hvilket gør det muligt at få et overblik over, hvordan svarfordelingen er forskellig mellem de
to respondentgrupper.
Danmarks Evalueringsinstitut
62
GRU, Alm.del - 2019-20 - Bilag 29: Notat om afsluttende rapport for pilotprojekt vedr. grønlandske studerendes gennemførsel af videregående uddannelser i Danmark, fra uddannelses- og forskningsministeren
2142190_0063.png
Grønlandske studerende på videregående uddannelser i Danmark
Resultater
TABEL 4.30
Jeg opsummerer løbende for mig selv, hvad jeg har lært på uddannelsen
I høj grad
Grønlandske respondenter
Andre respondenter
16
3.597
I nogen grad
31
8.715
I mindre grad
18
6.004
Slet ikke
6
1.274
Total
71
19.590
Kilde:
EVA’s frafaldspanel
2016 og 2017, W3.
Note:
Kun respondenterne spurgt i
havde muligheden for at svare ”I meget høj grad”.
FIGUR 4.88
Jeg opsummerer løbende for mig selv, hvad jeg har lært på uddannelsen
Grønlandske respondenter
23
44
25
9
Andre respondenter
0%
18
45
31
7
20 %
I høj grad
I nogen grad
40 %
I mindre grad
60 %
Slet ikke
80 %
100 %
Kilde:
EVA’s frafaldspanel
og
,W .
Note: N (Grønlandske respondenter) = 71. N (Andre respondenter) = 19.590. P-værdi = 0,628.
Sammenligning mellem grønlandske og ikke-grønlandske studerende fordelt på
uddannelsessektorer
Figur . og . præsenterer besvarelserne på udsagnet; ”Jeg opsummerer løbende for mig selv,
hvad jeg har lært på uddannelsen”, hvor besvarelserne er
fordelt på uddannelsessektorer.
FIGUR 4.89
Jeg opsummerer løbende for mig selv, hvad jeg har lært på uddannelsen -
Professions- og erhvervsuddannelser
Grønlandske respondenter
19
56
26
Andre respondenter
0%
21
47
32
20 %
I høj grad
40 %
I nogen grad
60 %
I mindre grad/Slet ikke
80 %
100 %
Kilde:
EVA’s frafaldspanel
og
,W .
Note: N (Grønlandske respondenter) = 27. N (Andre respondenter) = 7.419. Fishers = 0,676.
Danmarks Evalueringsinstitut
63
GRU, Alm.del - 2019-20 - Bilag 29: Notat om afsluttende rapport for pilotprojekt vedr. grønlandske studerendes gennemførsel af videregående uddannelser i Danmark, fra uddannelses- og forskningsministeren
2142190_0064.png
Grønlandske studerende på videregående uddannelser i Danmark
Resultater
FIGUR 4.90
Jeg opsummerer løbende for mig selv, hvad jeg har lært på uddannelsen
Universitetsuddannelser
Grønlandske respondenter
20
38
43
Andre respondenter
0%
16
43
41
20 %
I høj grad
40 %
I nogen grad
60 %
I mindre grad/Slet ikke
80 %
100 %
Kilde:
EVA’s frafaldspanel
og
,W .
Note: N (Grønlandske respondenter) = 40. N (Andre respondenter) = 11.786. P-værdi = 0,719.
Hvor mange timer har du cirka brugt på følgende aktiviteter i løbet af
en gennemsnitlig uge (syv dage), siden du startede på uddannelsen?
(gennemsnit for hver aktivitet)
Tabel
. viser fordelingen i svaret på spørgsmål; ”Hvor mange timer har du cirka brugt på føl-
gende aktiviteter i løbet af en gennemsnitlig uge syv dage , siden du startede på uddannelsen?”.
Svarene er opdelt på grønlandske og ikke-grønlandske respondenter. Figur 4.91 præsenterer forde-
lingen af besvarelserne som procentandel af det samlede antal besvarelser, hvilket gør det muligt
at få et overblik over, hvordan svarfordelingen er forskellig mellem de to respondentgrupper.
TABEL 4.31
Hvor mange timer har du cirka brugt på følgende aktiviteter i løbet af en
gennemsnitlige uge (syv dage), siden du startede på uddannelsen?
(gennemsnit for hver aktivitet)
Undervis-
ning
Forbe-
redelse
Andre aktiviteter i
forbindelse med
uddannelsen
2,0
Erhvervsar-
bejde
Studiear-
bejde
Frivilligt ar-
bejde
Total
Grønlandske
respondenter
Andre re-
spondenter
17,6
13,5
3,5
0,8
2,9
40,3
17,8
15,1
2,8
3,9
1,6
0,8
42,0
Kilde:
EVA’s frafaldspanel
Note:
Kun respondenterne i
og
,W .
havde muligheden for at angive timer for ”Praktik”.
Danmarks Evalueringsinstitut
64
GRU, Alm.del - 2019-20 - Bilag 29: Notat om afsluttende rapport for pilotprojekt vedr. grønlandske studerendes gennemførsel af videregående uddannelser i Danmark, fra uddannelses- og forskningsministeren
2142190_0065.png
Grønlandske studerende på videregående uddannelser i Danmark
Resultater
FIGUR 4.91
Hvor mange timer har du cirka brugt på følgende aktiviteter i løbet af en
gennemsnitlige uge (syv dage), siden du startede på uddannelsen?
Grønlandske respondenter
Andre respondenter
0
Undervisning
Erhversarbejde
5
18
18
14
15
2
3
4
1
4
3
2
1
10
15
20
25
30
35
40
45
Forberedelse
Studiearbejde
Andre aktiviteter ifm. uddannelsen
Frivilligt arbejde
Kilde:
EVA’s frafaldspanel
og
2017, W3.
Note: N (Grønlandske respondenter) = 68. N (Andre respondenter) = 19.314.
Sammenligning mellem grønlandske og ikke-grønlandske studerende fordelt på
uddannelsessektorer
Figur 4.92 og 4.93 præsenterer besvarelserne
på spørgsmål; ”Hvor mange timer har du cirka brugt
på følgende aktiviteter i løbet af en gennemsnitlig uge (syv dage), siden du startede på uddannel-
sen?”, hvor besvarelserne er fordelt på uddannelsessektorer.
FIGUR 4.92
Hvor mange timer har du cirka brugt på følgende aktiviteter i løbet af en
gennemsnitlige uge (syv dage), siden du startede på uddannelsen?
Professionsbachelor- og erhvervsakademiuddannelser
Grønlandske respondenter
Andre respondenter
0
Undervisning
Erhversarbejde
5
22
17
1
2 1
2
20
13
2
4
2
1
10
15
20
Forberedelse
Studiearbejde
25
30
35
40
45
Andre aktiviteter ifm. uddannelsen
Frivilligt arbejde
Kilde:
EVA’s frafaldspanel
og
,W .
Note: N (Grønlandske respondenter) = 26. N (Andre respondenter) = 7.241.
Danmarks Evalueringsinstitut
65
GRU, Alm.del - 2019-20 - Bilag 29: Notat om afsluttende rapport for pilotprojekt vedr. grønlandske studerendes gennemførsel af videregående uddannelser i Danmark, fra uddannelses- og forskningsministeren
2142190_0066.png
Grønlandske studerende på videregående uddannelser i Danmark
Resultater
FIGUR 4.93
Hvor mange timer har du cirka brugt på følgende aktiviteter i løbet af en
gennemsnitlige uge (syv dage), siden du startede på uddannelsen?
Universitetsuddannelser
Grønlandske respondenter
Andre respondenter
0
Undervisning
Erhversarbejde
5
15
12
2
2
1
4
17
17
3
3
1
1
10
15
20
Forberedelse
Studiearbejde
25
30
35
40
45
Andre aktiviteter ifm. uddannelsen
Frivilligt arbejde
Kilde:
EVA’s frafaldspanel
2016 og 2017, W3.
Note: N (Grønlandske respondenter) = 40. N (Andre respondenter) = 11.700.
4.9 Faglig selvtillid og sværhedsgrad (W3)
Med henblik på at belyse de studerendes oplevelse af faglig selvtillid og uddannelsens sværheds-
grad har vi set på fem items:
Jeg er sikker på, at jeg kan forstå den sværeste litteratur i de nuværende fag på min uddannelse.
Mine nuværende fag udfordrer mig samlet set til at gøre mit bedste.
Arbejdsbelastningen på uddannelsen er stor og medfører studierelateret stress.
• Hvor god synes du, at du er til… At overskue en stor mængde fagligt stof?
• Hvor god synes du, at du er til… At planlægge min studietid, så jeg får lavet tingene til tiden?
Analysen af respondenternes oplevelse af deres faglig selvtillid og uddannelsens sværhedsgrad vi-
ser, at der overordnet set er en statistisk signifikant forskel på de grønlandske og ikke-grønlandske
respondenter mht.
ét af de fem items.
24 % af de grønlandske respondenter mener, at de er rigtig
gode til at planlægge deres studietid, mens dette gør sig gældende for 40 % af de ikke-grønlandske
respondenter.
Analysen af betydningen af uddannelsessektorerne viser, at den statistiske signifikante forskel på
besvarelserne blandt de grønlandske og ikke-grønlandske respondenter i, hvor gode disse er til at
planlægge deres studietid, så de får tingene lavet til tiden, er drevet af respondenterne på universi-
tetsuddannelserne. 13 % af de grønlandske respondenter mener, at de er gode til at planlægge de-
res studietid, tilsvarende mener 38 % af de ikke-grønlandske respondenter dette, når der er tale
om universitetsuddannelserne.
Derudover er der en statistisk signifikant forskel i oplevelsen af arbejdsbelastningen på studiet
blandt grønlandske og ikke-grønlandske respondenter på professions- og erhvervsuddannelserne.
38 % af de grønlandske respondenter på professions- og erhvervsuddannelserne oplever i meget
høj eller høj grad, at arbejdsbelastningen på uddannelsen er for stor og medfører stress, mens det
gør sig gældende for 16 % af de ikke-grønlandske respondenter på erhvervs- og professionssko-
lerne.
Danmarks Evalueringsinstitut
66
GRU, Alm.del - 2019-20 - Bilag 29: Notat om afsluttende rapport for pilotprojekt vedr. grønlandske studerendes gennemførsel af videregående uddannelser i Danmark, fra uddannelses- og forskningsministeren
2142190_0067.png
Grønlandske studerende på videregående uddannelser i Danmark
Resultater
Jeg er sikker på, at jeg kan forstå den sværeste litteratur i de
nuværende fag på min uddannelse
Tabel 4.32 viser fordelingen
i svaret på udsagnet; ”Jeg er sikker på, at jeg kan forstå den sværeste
litteratur i de nuværende fag på min uddannelse”. Svarene er opdelt på grønlandske og ikke-grøn-
landske respondenter. Figur 4.94 præsenterer fordelingen af besvarelserne som procentandel af
det samlede antal besvarelser, hvilket gør det muligt at få et overblik over, hvordan svarfordelingen
er forskellig mellem de to respondentgrupper.
TABEL 4.32
Jeg er sikker på, at jeg kan forstå den sværeste litteratur i de nuværende
fag på min uddannelse
I høj grad
Grønlandske respondenter
Andre respondenter
Kilde:
EVA’s frafaldspanel
Note:
Kun respondenterne i
18
4.170
I nogen grad
31
9.591
I mindre grad/slet
22
5.829
Total
71
19.590
og
,W .
havde muligheden for at svare ”Helt perfekt”.
FIGUR 4.94
Jeg er sikker på, at jeg kan forstå den sværeste litteratur i den nuværende
fag på min uddannelse
Grønlandske respondenter
Andre respondenter
0%
25
21
44
49
31
30
20 %
I høj grad
40 %
I nogen grad
60 %
I mindre grad/Slet ikke
80 %
100 %
Kilde:
EVA’s frafaldspanel
og
,W .
Note: N (Grønlandske respondenter) = 71. N (Andre respondenter) = 19.590. P-værdi = 0,609.
Sammenligning mellem grønlandske og ikke-grønlandske studerende fordelt på
uddannelsessektorer
Figur . og . præsenterer besvarelserne på udsagnet; ”Jeg er
sikker på, at jeg kan forstå den
sværeste litteratur i de nuværende fag på min uddannelse”, hvor besvarelserne er fordelt på ud-
dannelsessektorer.
Danmarks Evalueringsinstitut
67
GRU, Alm.del - 2019-20 - Bilag 29: Notat om afsluttende rapport for pilotprojekt vedr. grønlandske studerendes gennemførsel af videregående uddannelser i Danmark, fra uddannelses- og forskningsministeren
2142190_0068.png
Grønlandske studerende på videregående uddannelser i Danmark
Resultater
FIGUR 4.95
Jeg er sikker på, at jeg kan forstå den sværeste litteratur i de nuværende
fag på min uddannelse
Professionsbachelor- og
erhvervsakademiuddannelser
Grønlandske respondenter
Andre respondenter
0%
15
25
59
51
26
24
20 %
I høj grad
40 %
I nogen grad
60 %
I mindre grad/Slet ikke
80 %
100 %
Kilde:
EVA’s frafaldspanel
og
,W .
Note: N (Grønlandske respondenter) = 27. N (Andre respondenter) = 7.419. Fishers = 0,515.
FIGUR 4.96
Jeg er sikker på, at jeg kan forstå den sværeste litteratur i den nuværende
fag på min uddannelse
Universitetsuddannelser
Grønlandske respondenter
Andre respondenter
0%
19
28
47
35
38
34
20 %
I høj grad
40 %
I nogen grad
60 %
I mindre grad/Slet ikke
80 %
100 %
Kilde:
EVA’s frafaldspanel
og
,W .
Note: N (Grønlandske respondenter) = 40. N (Andre respondenter) = 11.786. P-værdi = 0,220.
Mine nuværende fag udfordrer mig samlet set til at gøre mit bedste
Tabel . viser fordelingen i svaret på udsagnet; ”Mine nuværende fag udfordrer mig samlet set til
at gøre mit bedste”. Svarene er opdelt på grønlandske og ikke-grønlandske
respondenter. Figur
4.97 præsenterer fordelingen af besvarelserne som procentandel af det samlede antal besvarelser,
hvilket gør det muligt at få et overblik over, hvordan svarfordelingen er forskellig mellem de to re-
spondentgrupper.
Danmarks Evalueringsinstitut
68
GRU, Alm.del - 2019-20 - Bilag 29: Notat om afsluttende rapport for pilotprojekt vedr. grønlandske studerendes gennemførsel af videregående uddannelser i Danmark, fra uddannelses- og forskningsministeren
2142190_0069.png
Grønlandske studerende på videregående uddannelser i Danmark
Resultater
TABEL 4.33
Mine nuværende fag udfordrer mig samlet set til at gøre mit bedste
I meget høj grad
Grønlandske respondenter
Andre respondenter
Kilde:
EVA’s frafaldspanel
og
,W .
7
1.785
I høj grad
15
4.543
I nogen grad
7
2.433
I mindre grad/slet
5
637
Total
34
9.398
FIGUR 4.97
Mine nuværende fag udfordrer mig samlet set til at gøre mit bedste
Grønlandske respondenter
Andre respondenter
0%
I meget høj grad
21
19
44
48
21
26
15
7
20 %
I høj grad
40 %
I nogen grad
60 %
80 %
100 %
I mindre grad/Slet ikke
Kilde:
EVA’s frafaldspanel
,W .
Note: N (Grønlandske respondenter) = 34. N (Andre respondenter) = 9.398. Fishers = 0,302.
Sammenligning mellem grønlandske og ikke-grønlandske studerende fordelt på
uddannelsessektorer
Figur . og . præsenterer besvarelserne på udsagnet; ”Mine nuværende fag udfordrer mig
samlet set til at gøre mit bedste”, hvor besvarelserne er fordelt på uddannelsessektorer.
FIGUR 4.98
Mine nuværende fag udfordrer mig samlet set til at gøre mit bedste -
Professions- og erhvervsuddannelser
Grønlandske respondenter
Andre respondenter
0%
20 %
I meget høj grad/I høj grad
50
66
50
34
40 %
60 %
80 %
100 %
I nogen grad/I mindre grad/Slet ikke
Kilde:
EVA’s frafaldspanel
,
W3.
Note: N (Grønlandske respondenter) = 8. N (Andre respondenter) = 3.544. Fishers = 0,456.
Danmarks Evalueringsinstitut
69
GRU, Alm.del - 2019-20 - Bilag 29: Notat om afsluttende rapport for pilotprojekt vedr. grønlandske studerendes gennemførsel af videregående uddannelser i Danmark, fra uddannelses- og forskningsministeren
2142190_0070.png
Grønlandske studerende på videregående uddannelser i Danmark
Resultater
FIGUR 4.99
Mine nuværende fag udfordrer mig samlet set til at gøre mit bedste
Universitetsuddannelser
Grønlandske respondenter
Andre respondenter
0%
20 %
I meget høj grad/I høj grad
67
68
33
32
40 %
60 %
80 %
100 %
I nogen grad/I mindre grad/Slet ikke
Kilde:
EVA’s frafaldspanel
,W .
Note: N (Grønlandske respondenter) = 24. N (Andre respondenter) = 5.669. Fishers = 1,000.
Arbejdsbelastningen på uddannelsen er for stor og medfører
studierelateret stress
Tabel . viser fordelingen i svaret på udsagnet; ”Arbejdsbelastningen på uddannelsen er for stor
og medfører studierelateret
stress”. Svarene er opdelt på grønlandske og ikke-grønlandske
respon-
denter. Figur 4.100 præsenterer fordelingen af besvarelserne som procentandel af det samlede an-
tal besvarelser, hvilket gør det muligt at få et overblik over, hvordan svarfordelingen er forskellig
mellem de to respondentgrupper.
TABEL 4.34
Arbejdsbelastningen på uddannelsen er for stor og medfører
studierelateret stress
I meget høj grad
Grønlandske respondenter
Andre respondenter
Kilde:
EVA’s frafaldspanel
,W .
3
594
I høj grad
3
1.221
I nogen grad
16
3.110
I mindre grad/slet
12
4.473
Total
34
9.398
FIGUR 4.100
Arbejdsbelastningen på uddannelsen er for stor og medfører
studierelateret stress
Grønlandske respondenter
Andre respondenter
0%
I meget høj grad
6
9
9
13
33
47
48
35
20 %
I høj grad
40 %
I nogen grad
60 %
80 %
100 %
I mindre grad/Slet ikke
Kilde:
EVA’s frafaldspanel
,W .
Note: N (Grønlandske respondenter) = 34. N (Andre respondenter) = 9.398. Fishers = 0,251.
Danmarks Evalueringsinstitut
70
GRU, Alm.del - 2019-20 - Bilag 29: Notat om afsluttende rapport for pilotprojekt vedr. grønlandske studerendes gennemførsel af videregående uddannelser i Danmark, fra uddannelses- og forskningsministeren
2142190_0071.png
Grønlandske studerende på videregående uddannelser i Danmark
Resultater
Sammenligning mellem grønlandske og ikke-grønlandske studerende fordelt på
uddannelsessektorer
Figur .
og .
præsenterer besvarelserne på udsagnet; ”Arbejdsbelastningen på uddannel-
sen er for stor og medfører studierelateret stress”, hvor besvarelserne er fordelt på uddannelses-
sektorer.
FIGUR 4.101
Arbejdsbelastningen på uddannelsen er for stor og medfører
studierelateret stress
Professionsbachelor- og
erhvervsakademiuddannelser
Grønlandske respondenter
Andre respondenter
0%
16
38
31
63
53
20 %
I meget høj/I høj grad
40 %
I nogen grad
60 %
I mindre grad/slet ikke
80 %
100 %
Kilde:
EVA’s frafaldspanel
,W .
Note: N (Grønlandske respondenter) = 8. N (Andre respondenter) = 3.544. Fishers = 0,003.
FIGUR 4.102
Arbejdsbelastningen på uddannelsen er for stor og medfører
studierelateret stress
Universitetsuddannelser
Grønlandske respondenter
Andre respondenter
0%
13
21
42
34
46
45
20 %
I meget høj/I høj grad
40 %
I nogen grad
60 %
I mindre grad/slet ikke
80 %
100 %
Kilde:
EVA’s frafaldspanel
,W .
Note: N (Grønlandske respondenter) = 24. N (Andre respondenter) = 5.669. Fishers = 0,560.
Hvor god synes du, at du er til følgende… At overskue
en stor
mængde fagligt stof
Tabel . viser fordelingen i svaret på udsagnet; ” Hvor god synes du, at du er til følgende… At
overskue en stor mængde fagligt stof”. Svarene er opdelt på grønlandske og ikke-grønlandske
re-
spondenter. Figur 4.103 præsenterer fordelingen af besvarelserne som procentandel af det sam-
lede antal besvarelser, hvilket gør det muligt at få et overblik over, hvordan svarfordelingen er for-
skellig mellem de to respondentgrupper.
Danmarks Evalueringsinstitut
71
GRU, Alm.del - 2019-20 - Bilag 29: Notat om afsluttende rapport for pilotprojekt vedr. grønlandske studerendes gennemførsel af videregående uddannelser i Danmark, fra uddannelses- og forskningsministeren
2142190_0072.png
Grønlandske studerende på videregående uddannelser i Danmark
Resultater
TABEL 4.35
Hvor god synes du, at du er til følgende… At overskue en stor mængde
fagligt stof
Slet ikke god
Grønlandske respondenter
Andre respondenter
Kilde:
EVA’s frafaldspanel
,W .
6
943
Middel
23
5.933
Rigtig god
5
2.522
Total
34
9.398
FIGUR 4.103
Hvor god synes du, at du er til følgende… At overskue en stor mængde
fagligt stof
Grønlandske respondenter
Andre respondenter
0%
15
68
18
27
63
10
20 %
Rigtig god
40 %
Middel
60 %
Slet ikke god
80 %
100 %
Kilde:
EVA’s frafaldspanel
,W .
Note: N (Grønlandske respondenter) = 34. N (Andre respondenter) = 9.398. Fishers = 0,142.
Der findes ingen sammenligning mellem grønlandske og ikke-grønlandske respondenter fordelt på
uddannelsessektorer, grundet for få respondenter.
Hvor god synes du, at du er til følgende… At planlægge min studietid,
så jeg får lavet tingene til tiden
Tabel . viser fordelingen i svaret på udsagnet; ” Hvor god synes du, at du er til følgende… At
overskue en stor mængde fagligt stof”. Svarene er opdelt på grønlandske og ikke-grønlandske
re-
spondenter. Figur 4.104 præsenterer fordelingen af besvarelserne som procentandel af det sam-
lede antal besvarelser, hvilket gør det muligt at få et overblik over, hvordan svarfordelingen er for-
skellig mellem de to respondentgrupper.
TABEL 4.36
Hvor god synes du, at du er til følgende… At planlægge
min studietid, så
jeg får lavet tingene til tiden
Slet ikke god
Grønlandske respondenter
Andre respondenter
Kilde:
EVA’s frafaldspanel
,W .
10
1.156
Middel
16
4.492
Rigtig god
8
3.750
Total
34
9.398
Danmarks Evalueringsinstitut
72
GRU, Alm.del - 2019-20 - Bilag 29: Notat om afsluttende rapport for pilotprojekt vedr. grønlandske studerendes gennemførsel af videregående uddannelser i Danmark, fra uddannelses- og forskningsministeren
2142190_0073.png
Grønlandske studerende på videregående uddannelser i Danmark
Resultater
FIGUR 4.104
Hvor god synes du, at du er til følgende… At planlægge min studietid, så
jeg får lavet tingene til tiden
Grønlandske respondenter
Andre respondenter
0%
24
47
29
40
48
12
20 %
Rigtig god
40 %
Middel
60 %
Slet ikke god
80 %
100 %
Kilde:
EVA’s
frafaldspanel 2017, W3.
Note: N (Grønlandske respondenter) = 34. N (Andre respondenter) = 9.398. Fishers = 0,010.
Sammenligning mellem grønlandske og ikke-grønlandske studerende fordelt på
uddannelsessektorer
Figur 4.
og .
præsenterer besvarelserne på udsagnet; ” Hvor god synes du, at du er til føl-
gende… At planlægge min studietid, så jeg får lavet tingene til tiden”, hvor besvarelserne er fordelt
på uddannelsessektorer.
FIGUR 4.105
Hvor god synes du, at du er til følgende… At planlægge min studietid, så
jeg får lavet tingene til tiden
Professionsbachelor- og
erhvervsakademiuddannelser
Grønlandske respondenter
Andre respondenter
0%
38
43
63
57
20 %
Rigtig god
40 %
Slet ikke god/Middel
60 %
80 %
100 %
Kilde:
EVA’s frafaldspanel
,W .
Note: N (Grønlandske respondenter) = 8. N (Andre respondenter) = 3.544. Fishers = 1,000.
Danmarks Evalueringsinstitut
73
GRU, Alm.del - 2019-20 - Bilag 29: Notat om afsluttende rapport for pilotprojekt vedr. grønlandske studerendes gennemførsel af videregående uddannelser i Danmark, fra uddannelses- og forskningsministeren
2142190_0074.png
Grønlandske studerende på videregående uddannelser i Danmark
Resultater
FIGUR 4.106
(Hvor god
synes du, at du er til følgende… At planlægge min studietid, så
jeg får lavet tingene til tiden
Universitetsuddannelser
Grønlandske respondenter
Andre respondenter
0%
13
38
88
62
20 %
Rigtig god
40 %
Slet ikke god/Middel
60 %
80 %
100 %
Kilde:
EVA’s frafaldspanel
,W .
Note: N (Grønlandske respondenter) = 24. N (Andre respondenter) = 5.669. Fishers = 0,010.
4.10 Studiemotivation (W3)
Med henblik på at belyse de studerendes studiemotivation har vi valgt at kigge på to udsagn:
Jeg overvejer at stoppe på uddannelsen.
Jeg er motiveret for at studere på min uddannelse.
Analysen af de studerendes studiemotivation viser, at der ikke er en statistisk signifikant forskel
mellem grønlandske og ikke-grønlandske respondenter.
Analysen af betydningen af uddannelsessektorerne viser, at der ikke en statistisk signifikant forskel
på besvarelserne.
Der en statistisk signifikant forskel i, hvor motiveret man er for at studere på uddannelsen blandt
grønlandske og ikke-grønlandske respondenter på universitetsuddannelserne. 55 % af de grøn-
landske respondenter på universitetsuddannelserne oplever i meget høj grad, at de er motiveret
for at studere på deres uddannelse, mens det gør sig gældende for 63 % af de ikke-grønlandske re-
spondenter på universitetsuddannelserne.
Jeg overvejer at stoppe på uddannelsen
Tabel . viser fordelingen i svaret på udsagnet; ”Jeg overvejer at stoppe på uddannelsen”. Sva-
rene er opdelt på grønlandske og ikke-grønlandske respondenter. Figur 4.107 præsenterer forde-
lingen af besvarelserne som procentandel af det samlede antal besvarelser, hvilket gør det muligt
at få et overblik over, hvordan svarfordelingen er forskellig mellem de to respondentgrupper.
Danmarks Evalueringsinstitut
74
GRU, Alm.del - 2019-20 - Bilag 29: Notat om afsluttende rapport for pilotprojekt vedr. grønlandske studerendes gennemførsel af videregående uddannelser i Danmark, fra uddannelses- og forskningsministeren
2142190_0075.png
Grønlandske studerende på videregående uddannelser i Danmark
Resultater
TABEL 4.37
Jeg overvejer at stoppe på uddannelsen
I høj grad
Grønlandske respondenter
Andre respondenter
Kilde:
EVA’s frafaldspanel
og
Note:
Kun respondenterne spurgt i
6
887
I nogen grad
3
1.526
I mindre grad
13
3.913
Slet ikke
49
13.264
Total
71
19.590
,W .
havde muligheden for at svare ”I meget høj grad”.
FIGUR 4.107
Jeg overvejer at stoppe på uddannelsen
Grønlandske respondenter
Andre respondenter
5
9
8
4
18
20
69
68
0%
20 %
I høj grad
I nogen grad
40 %
I mindre grad
60 %
Slet ikke
80 %
100 %
Kilde:
EVA’s frafaldspanel
og
,W .
Note: N (Grønlandske respondenter) = 71. N (Andre respondenter) = 19.590. P-værdi = 0,300.
Sammenligning mellem grønlandske og ikke-grønlandske studerende fordelt på
uddannelsessektorer
Figur .
og .
præsenterer besvarelserne på udsagnet; ”Jeg overvejer at stoppe på uddan-
nelsen”, hvor besvarelserne er fordelt på uddannelsessektorer.
FIGUR 4.108
Jeg overvejer at stoppe på uddannelsen
Professions- og
erhvervsuddannelser
Grønlandske respondenter
Andre respondenter
0%
11
19
70
11
18
71
20 %
I høj grad/I nogen grad
40 %
I mindre grad
60 %
Slet ikke
80 %
100 %
Kilde:
EVA’s frafaldspanel
og
,W .
Note: N (Grønlandske respondenter) = 27. N (Andre respondenter) = 7.419. Fishers = 0,953.
Danmarks Evalueringsinstitut
75
GRU, Alm.del - 2019-20 - Bilag 29: Notat om afsluttende rapport for pilotprojekt vedr. grønlandske studerendes gennemførsel af videregående uddannelser i Danmark, fra uddannelses- og forskningsministeren
2142190_0076.png
Grønlandske studerende på videregående uddannelser i Danmark
Resultater
FIGUR 4.109
Jeg overvejer at stoppe på uddannelsen
Universitetsuddannelser
Grønlandske respondenter
Andre respondenter
0%
15
13
20
22
65
65
20 %
I høj grad/I nogen grad
40 %
I mindre grad
60 %
Slet ikke
80 %
100 %
Kilde:
EVA’s frafaldspanel
og
,W .
Note: N (Grønlandske respondenter) = 40. N (Andre respondenter) = 11.786. P-værdi = 0,934.
Jeg er motiveret for at studere på min uddannelse
2
Tabel . viser fordelingen i svaret på udsagnet; ”Jeg er motiveret for at studere på min uddan-
nelse”. Svarene er opdelt på grønlandske og ikke-grønlandske
respondenter. Figur 4.110 præsente-
rer fordelingen af besvarelserne som procentandel af det samlede antal besvarelser, hvilket gør det
muligt at få et overblik over, hvordan svarfordelingen er forskellig mellem de to respondentgrup-
per.
TABEL 4.38
Jeg er motiveret for at studere på min uddannelse
I høj grad
Andre respondenter
Grønlandske respondenter
Kilde:
EVA’s frafaldspanel
og
Note:
Kun respondenterne spurgt i
12.669
44
I nogen grad
5.465
18
I mindre grad
1.201
6
Slet ikke
255
3
Total
19.590
71
,
W3.
havde muligheden for at svare ”I meget høj grad”.
2 Spørgsmålsformuleringen er ændret ift. tilbuddet, hvilket skyldes manglende data for 2016-årgangen. Derfor er overstående udsagn
anvendt for at opnå mest mulig information.
Danmarks Evalueringsinstitut
76
GRU, Alm.del - 2019-20 - Bilag 29: Notat om afsluttende rapport for pilotprojekt vedr. grønlandske studerendes gennemførsel af videregående uddannelser i Danmark, fra uddannelses- og forskningsministeren
2142190_0077.png
Grønlandske studerende på videregående uddannelser i Danmark
Resultater
FIGUR 4.110
Jeg er motiveret for at studere på min uddannelse
Grønlandske respondenter
62
25
9
4
Andre respondenter
0%
20 %
I høj grad
65
28
6
1
40 %
I nogen grad
I mindre grad
60 %
Slet ikke
80 %
100 %
Kilde:
EVA’s frafaldspanel
og
,W .
Note: N (Grønlandske respondenter) = 71. N (Andre respondenter) = 19.590. P-værdi = 0,140.
Sammenligning mellem grønlandske og ikke-grønlandske studerende fordelt på
uddannelsessektorer
Figur .
og .
præsenterer besvarelserne på udsagnet; ”Jeg er motiveret for at studere på
min uddannelse”, hvor besvarelserne er fordelt på uddannelsessektorer.
FIGUR 4.111
Jeg er motiveret for at studere på min uddannelse
Professionsbachelor-
og erhvervsakademiuddannelser
Grønlandske respondenter
67
33
Andre respondenter
0%
20 %
I høj grad
66
33
1
40 %
I nogen grad/I mindre grad
60 %
Slet ikke
80 %
100 %
Kilde:
EVA’s frafaldspanel
og
2017, W3.
Note: N (Grønlandske respondenter) = 27. N (Andre respondenter) = 7.419. Fishers = 1,000.
Danmarks Evalueringsinstitut
77
GRU, Alm.del - 2019-20 - Bilag 29: Notat om afsluttende rapport for pilotprojekt vedr. grønlandske studerendes gennemførsel af videregående uddannelser i Danmark, fra uddannelses- og forskningsministeren
2142190_0078.png
Grønlandske studerende på videregående uddannelser i Danmark
Resultater
FIGUR 4.112
Jeg er motiveret for at studere på min uddannelse
Universitetsuddannelser
Grønlandske respondenter
55
38
7
Andre respondenter
0%
20 %
I høj grad
63
35
1
40 %
I nogen grad/ I mindre grad
60 %
Slet ikke
80 %
100 %
Kilde:
EVA’s frafaldspanel
og
,W .
Note: N (Grønlandske respondenter) = 40. N (Andre respondenter) = 11.786. P-værdi = 0,004.
4.11 Undervisning (W3)
Med henblik på at belyse de studerendes oplevelse af undervisningen har vi set på tre items:
Underviserne har givet brugbar feedback på opgaver eller projekter på uddannelsen.
Underviserne interesserer sig for, om jeg udvikler mig fagligt.
Er uddannelsen mere eller mindre krævende, end du havde forventet, da du startede?
Analysen af respondenternes oplevelse af undervisningen viser, at der er statistisk signifikant for-
skel på oplevelsen af brugbar feedback fra underviserne, når grønlandske og ikke-grønlandske re-
spondenter sammenlignes. 27 % af de grønlandske respondenter oplever i høj grad, at undervi-
serne giver brugbar feedback, mens dette gør sig gældende for 36 % af de ikke-grønlandske stude-
rende.
Analysen af betydningen af uddannelsessektorerne viser, at den statistiske signifikante forskel på
besvarelserne blandt de grønlandske og ikke-grønlandske respondenters oplevelse af brugbar
feedback fra underviserne på opgaver eller projekter på uddannelsen er drevet af respondenterne
på universitetsuddannelserne. 23 % af de grønlandske respondenter oplever, at underviserne har
givet brugbar feedback, tilsvarende oplever 34 % af de ikke-grønlandske respondenter dette på
universitetsuddannelserne.
Danmarks Evalueringsinstitut
78
GRU, Alm.del - 2019-20 - Bilag 29: Notat om afsluttende rapport for pilotprojekt vedr. grønlandske studerendes gennemførsel af videregående uddannelser i Danmark, fra uddannelses- og forskningsministeren
2142190_0079.png
Grønlandske studerende på videregående uddannelser i Danmark
Resultater
Underviserne har givet brugbar feedback på opgaver eller projekter på
uddannelsen
Tabel . viser fordelingen i svaret på udsagnet; ”Underviserne har givet brugbar feedback på op-
gaver eller projekter på uddannelsen”. Svarene er opdelt på grønlandske og ikke-grønlandske
re-
spondenter. Figur 4.113 præsenterer fordelingen af besvarelserne som procentandel af det sam-
lede antal besvarelser, hvilket gør det muligt at få et overblik over, hvordan svarfordelingen er for-
skellig mellem de to respondentgrupper.
TABEL 4.39
Underviserne har givet brugbar feedback på opgaver eller projekter på
uddannelsen
I høj grad
Grønlandske respondenter
Andre respondenter
Kilde:
EVA’s frafaldspanel
og
Note:
Kun respondenterne spurgt i
19
6.958
I nogen grad
31
7.719
I mindre grad
21
3.991
Slet ikke
0
922
Total
71
19.590
,W .
havde muligheden for at svare ”I meget høj grad”.
FIGUR 4.113
Underviserne har givet brugbar feedback på opgaver eller projekter på
uddannelsen
Grønlandske respondenter
Andre respondenter
0%
27
44
30
36
39
20
5
20 %
I høj grad
I nogen grad
40 %
I mindre grad
60 %
Slet ikke
80 %
100 %
Kilde:
EVA’s frafaldspanel
2016 og 2017, W3.
Note: N (Grønlandske respondenter) = 71. N (Andre respondenter) = 19.590. P-værdi = 0,043.
Sammenligning mellem grønlandske og ikke-grønlandske studerende fordelt på
uddannelsessektorer
Figur 4.114 og
.
præsenterer besvarelserne på udsagnet; ”Underviserne har givet brugbar feed-
back på opgaver eller projekter på uddannelsen”, hvor besvarelserne er fordelt på uddannelses-
sektorer.
Danmarks Evalueringsinstitut
79
GRU, Alm.del - 2019-20 - Bilag 29: Notat om afsluttende rapport for pilotprojekt vedr. grønlandske studerendes gennemførsel af videregående uddannelser i Danmark, fra uddannelses- og forskningsministeren
2142190_0080.png
Grønlandske studerende på videregående uddannelser i Danmark
Resultater
FIGUR 4.114
Underviserne har givet brugbar feedback på opgaver eller projekter på
uddannelsen
Professionsbachelor- og erhvervsakademiuddannelser
Grønlandske respondenter
Andre respondenter
0%
30
56
15
37
40
20
4
20 %
I høj grad
I nogen grad
40 %
I mindre grad
60 %
Slet ikke
80 %
100 %
Kilde:
EVA’s frafaldspanel
og
,W .
Note: N (Grønlandske respondenter) = 27. N (Andre respondenter) = 7.419. Fishers = 0,460.
FIGUR 4.115
Underviserne har givet brugbar feedback på opgaver eller projekter på
uddannelsen
Universitetsuddannelser
Grønlandske respondenter
Andre respondenter
0%
23
38
40
34
40
21
5
20 %
I høj grad
I nogen grad
40 %
I mindre grad
60 %
Slet ikke
80 %
100 %
Kilde:
EVA’s frafaldspanel
og
,W .
Note: N (Grønlandske respondenter) = 40. N (Andre respondenter) = 11.786. P-værdi = 0,014.
Underviserne interesserer sig for, om jeg udvikler mig fagligt
Tabel . viser fordelingen i svaret på udsagnet; ”Underviserne interesserer sig for, om jeg udvikler
mig fagligt”. Svarene er opdelt på grønlandske og
ikke-grønlandske respondenter. Figur 4.116 præ-
senterer fordelingen af besvarelserne som procentandel af det samlede antal besvarelser, hvilket
gør det muligt at få et overblik over, hvordan svarfordelingen er forskellig mellem de to respon-
dentgrupper.
TEKSTTABEL 4.40
Underviserne interesserer sig for, om jeg udvikler mig fagligt
I meget høj grad
Grønlandske respondenter
Andre respondenter
Kilde:
EVA’s frafaldspanel
,W .
3
972
I høj grad
12
2.863
I nogen grad
12
3.377
I mindre grad
4
1.643
Slet ikke
3
543
Total
34
9.398
Danmarks Evalueringsinstitut
80
GRU, Alm.del - 2019-20 - Bilag 29: Notat om afsluttende rapport for pilotprojekt vedr. grønlandske studerendes gennemførsel af videregående uddannelser i Danmark, fra uddannelses- og forskningsministeren
2142190_0081.png
Grønlandske studerende på videregående uddannelser i Danmark
Resultater
FIGUR 4.116
Underviserne interesserer sig for, om jeg udvikler mig fagligt
Grønlandske respondenter
Andre respondenter
0%
I meget høj grad
9
35
35
12
9
10
31
36
18
6
20 %
I høj grad
40 %
I nogen grad
60 %
I mindre grad
80 %
Slet ikke
100 %
Kilde:
EVA’s frafaldspanel
,W .
Note: N (Grønlandske respondenter) = 34. N (Andre respondenter) = 9.398. Fishers = 0,791.
Sammenligning mellem grønlandske og ikke-grønlandske studerende fordelt på
uddannelsessektorer
Figur .
og .
præsenterer besvarelserne på udsagnet; ”Underviserne interesserer sig for, om
jeg udvikler mig fagligt”, hvor besvarelserne
er fordelt på uddannelsessektorer.
FIGUR 4.117
Underviserne interesserer sig for, om jeg udvikler mig fagligt
Professionsbachelor- og erhvervsakademiuddannelser
Grønlandske respondenter
Andre respondenter
0%
14
100
83
3
20 %
40 %
60 %
Slet ikke
80 %
100 %
I meget høj grad
I høj grad/I nogen grad/I mindre grad
Kilde:
EVA’s frafaldspanel
,W .
Note: N (Grønlandske respondenter) = 8. N (Andre respondenter) = 3.544. Fishers = 0,701.
Danmarks Evalueringsinstitut
81
GRU, Alm.del - 2019-20 - Bilag 29: Notat om afsluttende rapport for pilotprojekt vedr. grønlandske studerendes gennemførsel af videregående uddannelser i Danmark, fra uddannelses- og forskningsministeren
2142190_0082.png
Grønlandske studerende på videregående uddannelser i Danmark
Resultater
FIGUR 4.118
Underviserne interesserer sig for, om jeg udvikler mig fagligt
Universitetsuddannelser
Grønlandske respondenter
Andre respondenter
0%
8
13
75
13
85
8
20 %
40 %
60 %
Slet ikke
80 %
100 %
I meget høj grad
I høj grad/I nogen grad/I mindre grad
Kilde:
EVA’s frafaldspanel
,W .
Note: N (Grønlandske respondenter) = 24. N (Andre respondenter) = 5.669. Fishers = 0,276.
Er uddannelsen mere eller mindre krævende, end du havde forventet,
da du startede?
Tabel . viser fordelingen i svaret på spørgsmålet; ”Er uddannelsen mere eller mindre krævende,
end du
havde forventet, da du startede?”. Svarene er opdelt på grønlandske og ikke-grønlandske
respondenter. Figur 4.119 præsenterer fordelingen af besvarelserne som procentandel af det sam-
lede antal besvarelser, hvilket gør det muligt at få et overblik over, hvordan svarfordelingen er for-
skellig mellem de to respondentgrupper.
TABEL 4.41
Er uddannelsen mere eller mindre krævende, end du havde forventet, da
du startede?
Mindre krævende
Grønlandske respondenter
Andre respondenter
4
1.536
Som forventet
11
2.722
Mere krævende
20
5.609
Total
35
9.867
Kilde:
EVA’s frafaldspanel
,W .
Note:
Respondenterne havde mulighed for at svare ”Ved ikke”. Denne svarkategori rapporteres ikke, da to eller færre
grønlandske eller andre respondenter har svaret dette.
Danmarks Evalueringsinstitut
82
GRU, Alm.del - 2019-20 - Bilag 29: Notat om afsluttende rapport for pilotprojekt vedr. grønlandske studerendes gennemførsel af videregående uddannelser i Danmark, fra uddannelses- og forskningsministeren
2142190_0083.png
Grønlandske studerende på videregående uddannelser i Danmark
Resultater
FIGUR 4.119
Er uddannelsen mere eller mindre krævende, end du havde forventet, da
du startede?
Grønlandske respondenter
Andre respondenter
0%
11
31
57
16
28
57
20 %
Mindre krævende
40 %
Som forventet
60 %
Mere krævende
80 %
100 %
Kilde:
EVA’s frafaldspanel
,W .
Note: N (Grønlandske respondenter) = 35. N (Andre respondenter) = 9.867. Fishers = 0,722.
Sammenligning mellem grønlandske og ikke-grønlandske studerende fordelt på
uddannelsessektorer
Figur .
og .
præsenterer besvarelserne på spørgsmålet; ”Er uddannelsen mere eller min-
dre krævende, end du havde
forventet, da du startede?”, hvor besvarelserne er fordelt på uddan-
nelsessektorer.
FIGUR 4.120
Er uddannelsen mere eller mindre krævende, end du havde forventet, da
du startede?
Professionsbachelor- og erhvervsakademiuddannelser
Grønlandske respondenter
Andre respondenter
0%
20 %
39
61
47
53
40 %
60 %
Mere krævende
80 %
100 %
Mindre krævende/Som forventet
Kilde:
EVA’s frafaldspanel
,W .
Note: N (Grønlandske respondenter) = 18. N (Andre respondenter) = 3.753. Fishers = 0,491.
Danmarks Evalueringsinstitut
83
GRU, Alm.del - 2019-20 - Bilag 29: Notat om afsluttende rapport for pilotprojekt vedr. grønlandske studerendes gennemførsel af videregående uddannelser i Danmark, fra uddannelses- og forskningsministeren
2142190_0084.png
Grønlandske studerende på videregående uddannelser i Danmark
Resultater
FIGUR 4.121
Er uddannelsen mere eller mindre krævende, end du havde forventet, da
du startede?
Universitetsuddannelser
Grønlandske respondenter
Andre respondenter
0%
41
50
50
59
20 %
40 %
60 %
Mere krævende
80 %
100 %
Mindre krævende/Som forventet
Kilde:
EVA’s frafaldspanel
,W .
Note: N (Grønlandske respondenter) = 16. N (Andre respondenter) = 5.922. Fishers = 0,456.
4.12 Studierelaterede følelser (W3)
Med henblik på at belyse de studerendes studierelaterede følelser har vi set på seks items:
Jeg kan godt lide at tilegne mig ny viden.
Indholdet af uddannelsen keder mig ofte.
Jeg har en optimistisk indstilling til at skulle studere.
Jeg er stolt af mine evner i relation til studiet.
Jeg bliver ofte anspændt og nervøs, når jeg studerer.
Jeg er ofte flov over ikke at kunne tilegne mig selv simpelt stof.
Analysen af respondenternes oplevelse af studierelaterede følelser viser, at der overordnet set er
en statistisk signifikant forskel på de grønlandske og ikke-grønlandske respondenter mht. et af de
seks items. 43 % af de grønlandske respondenter er i høj eller nogen grad flove over ikke at kunne
tilegne sig simpelt stof, mens det tilsvarende gør sig gældende for 23 % af ikke-grønlandske re-
spondenter.
Analysen af betydningen af uddannelsessektorerne viser, at den statistiske signifikante forskel på
besvarelserne blandt de grønlandske og ikke-grønlandske respondenters oplevelse af at føle sig
flov over ikke at kunne tilegne sig simpelt stof er drevet af respondenterne på professions- og er-
hvervsuddannelserne. Her angiver 42 % af de grønlandske respondenter, at de føler sig i høj eller
nogen grad flove over ikke at kunne tilegne sig simpelt stof, mens dette blot gør sig gældende for
22 % af de ikke-grønlandske respondenter.
Danmarks Evalueringsinstitut
84
GRU, Alm.del - 2019-20 - Bilag 29: Notat om afsluttende rapport for pilotprojekt vedr. grønlandske studerendes gennemførsel af videregående uddannelser i Danmark, fra uddannelses- og forskningsministeren
2142190_0085.png
Grønlandske studerende på videregående uddannelser i Danmark
Resultater
Jeg kan godt lide at tilegne mig ny viden
Tabel . viser fordelingen i svaret på udsagnet; ”Jeg kan godt lide at tilegne mig ny viden”. Sva-
rene er opdelt på grønlandske og ikke-grønlandske respondenter. Figur 4.122 præsenterer forde-
lingen af besvarelserne som procentandel af det samlede antal besvarelser, hvilket gør det muligt
at få et overblik over, hvordan svarfordelingen er forskellig mellem de to respondentgrupper.
TABEL 4.42
Jeg kan godt lide at tilegne mig ny viden
I høj grad
Grønlandske respondenter
Andre respondenter
Kilde:
EVA’s frafaldspanel
,W .
30
7.888
I nogen/mindre/slet
7
2.304
Total
37
10.192
FIGUR 4.122
Jeg kan godt lide at tilegne mig ny viden
Grønlandske respondenter
Andre respondenter
0%
20 %
I høj grad
81
19
77
23
40 %
60 %
80 %
100 %
I nogen grad/I mindre grad/Slet ikke
Kilde:
EVA’s frafaldspanel
,W .
Note: N (Grønlandske respondenter) = 37. N (Andre respondenter) = 10.192. Fishers = 0,697.
Sammenligning mellem grønlandske og ikke-grønlandske studerende fordelt på
uddannelsessektorer
Figur .
og .
præsenterer besvarelserne på udsagnet; ”Jeg kan godt
lide at tilegne mig ny
viden”, hvor besvarelserne er fordelt på uddannelsessektorer.
Danmarks Evalueringsinstitut
85
GRU, Alm.del - 2019-20 - Bilag 29: Notat om afsluttende rapport for pilotprojekt vedr. grønlandske studerendes gennemførsel af videregående uddannelser i Danmark, fra uddannelses- og forskningsministeren
2142190_0086.png
Grønlandske studerende på videregående uddannelser i Danmark
Resultater
FIGUR 4.123
Jeg kan godt lide at tilegne mig ny viden
Professionsbachelor- og
erhvervsakademiuddannelser
Grønlandske respondenter
Andre respondenter
0%
20 %
I høj grad
79
21
75
25
40 %
60 %
80 %
100 %
I nogen grad/I mindre grad/Slet ikke
Kilde:
EVA’s frafaldspanel
,W .
Note: N (Grønlandske respondenter) = 19. N (Andre respondenter) = 3.875. Fishers = 0,797.
FIGUR 4.124
Jeg kan godt lide at tilegne mig ny viden
Universitetsuddannelser
Grønlandske respondenter
Andre respondenter
0%
20 %
I høj grad
81
19
79
21
40 %
60 %
80 %
100 %
I nogen grad/I mindre grad/Slet ikke
Kilde:
EVA’s frafaldspanel
,W .
Note: N (Grønlandske respondenter) = 16. N (Andre respondenter) = 6.117. Fishers = 1,000.
Indholdet af uddannelsen keder mig ofte
Tabel . viser fordelingen i svaret på udsagnet; ”Indholdet af uddannelsen keder mig ofte”. Sva-
rene er opdelt på grønlandske og ikke-grønlandske respondenter. Figur 4.125 præsenterer forde-
lingen af besvarelserne som procentandel af det samlede antal besvarelser, hvilket gør det muligt
at få et overblik over, hvordan svarfordelingen er forskellig mellem de to respondentgrupper.
TABEL 4.43
Indholdet af uddannelsen keder mig ofte
I høj grad/nogen
Grønlandske respondenter
Andre respondenter
Kilde:
EVA’s frafaldspanel
,W .
10
1.904
I mindre grad
12
5.206
Slet ikke
15
3.082
Total
37
10.192
Danmarks Evalueringsinstitut
86
GRU, Alm.del - 2019-20 - Bilag 29: Notat om afsluttende rapport for pilotprojekt vedr. grønlandske studerendes gennemførsel af videregående uddannelser i Danmark, fra uddannelses- og forskningsministeren
2142190_0087.png
Grønlandske studerende på videregående uddannelser i Danmark
Resultater
FIGUR 4.125
Indholdet af uddannelsen keder mig ofte
Grønlandske respondenter
Andre respondenter
0%
19
27
32
41
51
30
20 %
I høj grad/I nogen grad
40 %
I mindre grad
60 %
Slet ikke
80 %
100 %
Kilde:
EVA’s frafaldspanel
,W .
Note: N (Grønlandske respondenter) = 37. N (Andre respondenter) = 10.192. Fishers = 0,059.
Sammenligning mellem grønlandske og ikke-grønlandske studerende fordelt på
uddannelsessektorer
Figur
.
og .
præsenterer besvarelserne på udsagnet; ”Indholdet af uddannelsen keder mig
ofte”, hvor besvarelserne er fordelt på uddannelsessektorer.
FIGUR 4.126
Indholdet af uddannelsen keder mig ofte
Professionsbachelor- og
erhvervsakademiuddannelser
Grønlandske respondenter
Andre respondenter
0%
18
32
32
37
48
34
20 %
I høj grad/I nogen grad
40 %
I mindre grad
60 %
Slet ikke
80 %
100 %
Kilde:
EVA’s frafaldspanel
,W .
Note: N (Grønlandske respondenter) = 19. N (Andre respondenter) = 3.875. Fishers = 0,183.
FIGUR 4.127
Indholdet af uddannelsen keder mig ofte
Universitetsuddannelser
Grønlandske respondenter
Andre respondenter
0%
20
25
38
38
53
27
20 %
I høj grad/I nogen grad
40 %
I mindre grad
60 %
Slet ikke
80 %
100 %
Kilde:
EVA’s
frafaldspanel 2016, W3.
Note: N (Grønlandske respondenter) = 16. N (Andre respondenter) = 6.117. Fishers = 0,422.
Danmarks Evalueringsinstitut
87
GRU, Alm.del - 2019-20 - Bilag 29: Notat om afsluttende rapport for pilotprojekt vedr. grønlandske studerendes gennemførsel af videregående uddannelser i Danmark, fra uddannelses- og forskningsministeren
2142190_0088.png
Grønlandske studerende på videregående uddannelser i Danmark
Resultater
Jeg har en optimistisk indstilling til at skulle studere
Tabel 4.44 viser fordelingen i svaret på udsagnet;
”Jeg har en optimistisk indstilling til at skulle stu-
dere”. Svarene er opdelt på grønlandske og ikke-grønlandske
respondenter. Figur 4.128 præsente-
rer fordelingen af besvarelserne som procentandel af det samlede antal besvarelser, hvilket gør det
muligt at få et overblik over, hvordan svarfordelingen er forskellig mellem de to respondentgrup-
per.
TABEL 4.44
Jeg har en optimistisk indstilling til at skulle studere
I høj grad
Grønlandske respondenter
Andre respondenter
Kilde:
EVA’s frafaldspanel
,W .
17
4.919
I nogen grad
14
4.334
I mindre grad/slet
6
939
Total
37
10.192
FIGUR 4.128
Jeg har en optimistisk indstilling til at skulle studere
Grønlandske respondenter
Andre respondenter
0%
20 %
I høj grad
46
48
38
43
16
9
40 %
I nogen grad
60 %
I mindre grad/Slet ikke
80 %
100 %
Kilde:
EVA’s frafaldspanel
,W .
Note: N (Grønlandske respondenter) = 37. N (Andre respondenter) = 10.192. Fishers = 0,311.
Sammenligning mellem grønlandske og ikke-grønlandske studerende fordelt på
uddannelsessektorer
Figur .
og .
præsenterer besvarelserne på udsagnet; ”Jeg har en optimistisk indstilling til
at skulle studere”,
hvor besvarelserne er fordelt på uddannelsessektorer.
Danmarks Evalueringsinstitut
88
GRU, Alm.del - 2019-20 - Bilag 29: Notat om afsluttende rapport for pilotprojekt vedr. grønlandske studerendes gennemførsel af videregående uddannelser i Danmark, fra uddannelses- og forskningsministeren
2142190_0089.png
Grønlandske studerende på videregående uddannelser i Danmark
Resultater
FIGUR 4.129
Jeg har en optimistisk indstilling til at skulle studere
Professionsbachelor- og erhvervsakademiuddannelser
Grønlandske respondenter
Andre respondenter
0%
20 %
I høj grad
53
32
16
50
42
8
40 %
I nogen grad
60 %
I mindre grad/Slet ikke
80 %
100 %
Kilde:
EVA’s frafaldspanel
,W .
Note: N (Grønlandske respondenter) = 19. N (Andre respondenter) = 3.875. Fishers = 0,335.
FIGUR 4.130
Jeg har en optimistisk indstilling til at skulle studere
Universitetsuddannelser
Grønlandske respondenter
Andre respondenter
0%
38
44
19
47
43
10
20 %
I høj grad
40 %
I nogen grad
60 %
I mindre grad/Slet ikke
80 %
100 %
Kilde:
EVA’s frafaldspanel
,W .
Note: N (Grønlandske respondenter) = 16. N (Andre respondenter) = 6.117. Fishers = 0,380.
Jeg er stolt af mine evner i relation til studiet
Tabel . viser fordelingen i svaret på udsagnet; ”Jeg er stolt af mine evner i relation til studiet”.
Svarene er opdelt på grønlandske og ikke-grønlandske respondenter. Figur 4.131 præsenterer for-
delingen af besvarelserne som procentandel af det samlede antal besvarelser, hvilket gør det mu-
ligt at få et overblik over, hvordan svarfordelingen er forskellig mellem de to respondentgrupper.
TABEL 4.45
Jeg er stolt af mine evner i relation til studiet
I høj grad
Grønlandske respondenter
Andre respondenter
Kilde:
EVA’s frafaldspanel
,W .
12
3.870
I nogen grad
19
4.961
I mindre grad
6
1.220
Slet ikke
0
141
Total
37
10.192
Danmarks Evalueringsinstitut
89
GRU, Alm.del - 2019-20 - Bilag 29: Notat om afsluttende rapport for pilotprojekt vedr. grønlandske studerendes gennemførsel af videregående uddannelser i Danmark, fra uddannelses- og forskningsministeren
2142190_0090.png
Grønlandske studerende på videregående uddannelser i Danmark
Resultater
FIGUR 4.131
Jeg er stolt af mine evner i relation til studiet
Grønlandske respondenter
Andre respondenter
0%
32
51
16
38
49
12
1
20 %
I høj grad
I nogen grad
40 %
I mindre grad
60 %
Slet ikke
80 %
100 %
Kilde:
EVA’s frafaldspanel
,W .
Note: N (Grønlandske respondenter) = 37. N (Andre respondenter) = 10.192. Fishers = 0,751.
Sammenligning mellem grønlandske og ikke-grønlandske studerende fordelt på
uddannelsessektorer
Figur .
og .
præsenterer besvarelserne på udsagnet; ”Jeg er stolt af mine evner i relation til
studiet”, hvor besvarelserne er fordelt på uddannelsessektorer.
FIGUR 4.132
Jeg er stolt af mine evner i relation til studiet
Professions- og
erhvervsuddannelser
Grønlandske respondenter
Andre respondenter
0%
26
58
16
43
47
10
1
20 %
I høj grad
I nogen grad
40 %
I mindre grad
60 %
Slet ikke
80 %
100 %
Kilde:
EVA’s frafaldspanel
,W .
Note: N (Grønlandske respondenter) = 19. N (Andre respondenter) = 3.875. Fishers = 0,378.
FIGUR 4.133
Jeg er stolt af mine evner i relation til studiet
Universitetsuddannelser
Grønlandske respondenter
Andre respondenter
0%
38
44
19
35
50
14
2
20 %
I høj grad
I nogen grad
40 %
I mindre grad
60 %
Slet ikke
80 %
100 %
Kilde:
EVA’s frafaldspanel
,W .
Note: N (Grønlandske respondenter) = 16. N (Andre respondenter) = 6.117. Fishers = 0,764.
Danmarks Evalueringsinstitut
90
GRU, Alm.del - 2019-20 - Bilag 29: Notat om afsluttende rapport for pilotprojekt vedr. grønlandske studerendes gennemførsel af videregående uddannelser i Danmark, fra uddannelses- og forskningsministeren
2142190_0091.png
Grønlandske studerende på videregående uddannelser i Danmark
Resultater
Jeg bliver ofte anspændt og nervøs, når jeg studerer
Tabel . viser fordelingen i svaret på udsagnet; ”Jeg bliver ofte anspændt og nervøs, når jeg stu-
derer”. Svarene er opdelt på grønlandske og ikke-grønlandske
respondenter. Figur 4.134 præsente-
rer fordelingen af besvarelserne som procentandel af det samlede antal besvarelser, hvilket gør det
muligt at få et overblik over, hvordan svarfordelingen er forskellig mellem de to respondentgrup-
per.
TABEL 4.46
Jeg bliver ofte anspændt og nervøs, når jeg studerer
I høj grad
Grønlandske respondenter
Andre respondenter
Kilde:
EVA’s frafaldspanel
,W .
7
749
I nogen grad
6
2.162
I mindre grad
17
4.500
Slet ikke
7
2.781
Total
37
10.192
FIGUR 4.134
Jeg bliver ofte anspændt og nervøs, når jeg studerer
Grønlandske respondenter
Andre respondenter
0%
7
19
16
46
19
21
44
27
20 %
I høj grad
I nogen grad
40 %
I mindre grad
60 %
Slet ikke
80 %
100 %
Kilde:
EVA’s frafaldspanel
,W .
Note: N (Grønlandske respondenter) = 37. N (Andre respondenter) = 10.192. Fishers = 0,075.
Sammenligning mellem grønlandske og ikke-grønlandske studerende fordelt på
uddannelsessektorer
Figur .
og .
præsenterer besvarelserne på udsagnet; ”Jeg bliver ofte anspændt og nervøs,
når jeg studerer”, hvor besvarelserne er fordelt på uddannelsessektorer.
Danmarks Evalueringsinstitut
91
GRU, Alm.del - 2019-20 - Bilag 29: Notat om afsluttende rapport for pilotprojekt vedr. grønlandske studerendes gennemførsel af videregående uddannelser i Danmark, fra uddannelses- og forskningsministeren
2142190_0092.png
Grønlandske studerende på videregående uddannelser i Danmark
Resultater
FIGUR 4.135
Jeg bliver ofte anspændt og nervøs, når jeg studerer
Professionsbachelor- og erhvervsakademiuddannelser
Grønlandske respondenter
Andre respondenter
0%
30
47
32
21
44
26
20 %
I høj grad/I nogen grad
40 %
I mindre grad
60 %
Slet ikke
80 %
100 %
Kilde:
EVA’s frafaldspanel
,W .
Note: N (Grønlandske respondenter) = 19. N (Andre respondenter) = 3.875. Fishers = 0,229.
FIGUR 4.136
Jeg bliver ofte anspændt og nervøs, når jeg studerer
Universitetsuddannelser
Grønlandske respondenter
Andre respondenter
0%
25
56
19
28
44
28
20 %
I høj grad/I nogen grad
40 %
I mindre grad
60 %
Slet ikke
80 %
100 %
Kilde:
EVA’s frafaldspanel
,W .
Note: N (Grønlandske respondenter) = 16. N (Andre respondenter) = 6.117. Fishers = 0,628.
Jeg er ofte flov over ikke at kunne tilegne mig selv simpelt stof
Tabel . viser fordelingen i svaret på udsagnet; ”Jeg er ofte flov over ikke at kunne tilegne mig
selv simpelt stof”. Svarene er opdelt på grønlandske
og ikke-grønlandske respondenter. Figur 4.137
præsenterer fordelingen af besvarelserne som procentandel af det samlede antal besvarelser, hvil-
ket gør det muligt at få et overblik over, hvordan svarfordelingen er forskellig mellem de to respon-
dentgrupper.
TABEL 4.47
Jeg er ofte flov over ikke at kunne tilegne mig selv simpelt stof
I høj grad
Grønlandske respondenter
Andre respondenter
Kilde:
EVA’s frafaldspanel
,W .
5
700
I nogen grad
11
1.632
I mindre grad
8
3.687
Slet ikke
13
4.173
Total
37
10.192
Danmarks Evalueringsinstitut
92
GRU, Alm.del - 2019-20 - Bilag 29: Notat om afsluttende rapport for pilotprojekt vedr. grønlandske studerendes gennemførsel af videregående uddannelser i Danmark, fra uddannelses- og forskningsministeren
2142190_0093.png
Grønlandske studerende på videregående uddannelser i Danmark
Resultater
FIGUR 4.137
Jeg er ofte flov over ikke at kunne tilegne mig selv simpelt stof
Grønlandske respondenter
Andre respondenter
0%
7
14
30
22
35
16
36
41
20 %
I høj grad
I nogen grad
40 %
I mindre grad
60 %
Slet ikke
80 %
100 %
Kilde:
EVA’s frafaldspanel
,W .
Note: N (Grønlandske respondenter) = 37. N (Andre respondenter) = 10.192. Fishers = 0,026.
Sammenligning mellem grønlandske og ikke-grønlandske studerende fordelt på
uddannelsessektorer
Figur .
og .
præsenterer besvarelserne på udsagnet; ”Jeg er ofte flov over ikke kunne til-
egne mig selv simpelt stof”, hvor besvarelserne er fordelt på uddannelsessektorer.
FIGUR 4.138
Jeg er ofte flov over ikke at kunne tilegne mig selv simpelt stof
Professionsbachelor- og erhvervsakademiuddannelser
Grønlandske respondenter
Andre respondenter
0%
22
42
58
79
20 %
I høj grad/nogen grad
40 %
60 %
80 %
100 %
I mindre grad/Slet ikke
Kilde:
EVA’s frafaldspanel
,W .
Note: N (Grønlandske respondenter) = 19. N (Andre respondenter) = 3.875. Fishers = 0,046.
FIGUR 4.139
Jeg er ofte flov over ikke at kunne tilegne mig selv simpelt stof
Universitetsuddannelser
Grønlandske respondenter
Andre respondenter
0%
24
38
63
76
20 %
I høj grad/nogen grad
40 %
60 %
80 %
100 %
I mindre grad/Slet ikke
Kilde:
EVA’s frafaldspanel
,W .
Note: N (Grønlandske respondenter) = 16. N (Andre respondenter) = 6.117. Fishers = 0,238.
Danmarks Evalueringsinstitut
93
GRU, Alm.del - 2019-20 - Bilag 29: Notat om afsluttende rapport for pilotprojekt vedr. grønlandske studerendes gennemførsel af videregående uddannelser i Danmark, fra uddannelses- og forskningsministeren
2142190_0094.png
Grønlandske studerende på videregående uddannelser i Danmark
Resultater
4.13 Eksamen (W4)
Med henblik på at belyse de studerendes oplevelse af eksamen har vi set på fem items:
Jeg er optimistisk, når jeg tænker på eksamen.
Før eksamen føler jeg mig nervøs og urolig.
Jeg er stolt over, hvor godt jeg klarede det til eksamen.
Jeg oplever, at jeg har knækket koden til, hvordan man er en god studerende.
Mine medstuderende virker generelt kompetente.
Analysen af de studerendes studiemotivation viser, at der ikke er en statistisk signifikant forskel
mellem grønlandske og ikke-grønlandske respondenter.
Analysen af betydningen af uddannelsessektorerne viser, at der ikke er en statistisk signifikant for-
skel på besvarelserne.
Jeg er optimistisk, når jeg tænker på eksamen
Tabel . viser fordelingen i svaret på udsagnet; ”Jeg er optimistisk, når jeg tænker på eksamen”.
Svarene er opdelt på grønlandske og ikke-grønlandske respondenter. Figur 4.140 præsenterer for-
delingen af besvarelserne som procentandel af det samlede antal besvarelser, hvilket gør det mu-
ligt at få et overblik over, hvordan svarfordelingen er forskellig mellem de to respondentgrupper.
TABEL 4.48
Jeg er optimistisk, når jeg tænker på eksamen
I meget høj/høj grad
Grønlandske respondenter
Andre respondenter
Kilde:
EVA’s frafaldspanel
,W .
5
2.152
I nogen grad
11
2.938
I mindre grad/slet
8
2.363
Total
24
7.453
FIGUR 4.140
Jeg er optimistisk, når jeg tænker på eksamen
Grønlandske respondenter
Andre respondenter
0%
21
46
33
29
39
32
20 %
I meget høj/I høj grad
40 %
I nogen grad
60 %
I mindre grad/Slet ikke
80 %
100 %
Kilde:
EVA’s frafaldspanel
,W .
Note: N (Grønlandske respondenter) = 24. N (Andre respondenter) = 7.453. Fishers = 0,709.
Danmarks Evalueringsinstitut
94
GRU, Alm.del - 2019-20 - Bilag 29: Notat om afsluttende rapport for pilotprojekt vedr. grønlandske studerendes gennemførsel af videregående uddannelser i Danmark, fra uddannelses- og forskningsministeren
2142190_0095.png
Grønlandske studerende på videregående uddannelser i Danmark
Resultater
Sammenligning mellem grønlandske og ikke-grønlandske studerende fordelt på
uddannelsessektorer
Figur .
og .
præsenterer besvarelserne på udsagnet; ”Jeg er optimistisk,
når jeg tænker på
eksamen”, hvor besvarelserne er fordelt på uddannelsessektorer.
FIGUR 4.141
Jeg er optimistisk, når jeg tænker på eksamen
Professionsbachelor- og
erhvervsakademiuddannelser
Grønlandske respondenter
Andre respondenter
0%
20 %
50
50
66
34
40 %
60 %
I mindre grad/Slet ikke
80 %
100 %
I meget høj/høj/I nogen grad
Kilde:
EVA’s frafaldspanel
,W .
Note: N (Grønlandske respondenter) = 6. N (Andre respondenter) = 2.875. Fishers = 0,412.
FIGUR 4.142
Jeg er optimistisk, når jeg tænker på eksamen
Universitetsuddannelser
Grønlandske respondenter
Andre respondenter
0%
20 %
71
29
69
31
40 %
60 %
I mindre grad/Slet ikke
80 %
100 %
I meget høj/høj/I nogen grad
Kilde:
EVA’s frafaldspanel
,W .
Note: N (Grønlandske respondenter) = 17. N (Andre respondenter) = 4.456. Fishers = 1,000.
Før eksamen føler jeg mig nervøs og urolig
Tabel . viser fordelingen i svaret på udsagnet; ”Før eksamen føler jeg mig nervøs og urolig”. Sva-
rene er opdelt på grønlandske og ikke-grønlandske respondenter. Figur 4.143 præsenterer forde-
lingen af besvarelserne som procentandel af det samlede antal besvarelser, hvilket gør det muligt
at få et overblik over, hvordan svarfordelingen er forskellig mellem de to respondentgrupper.
Danmarks Evalueringsinstitut
95
GRU, Alm.del - 2019-20 - Bilag 29: Notat om afsluttende rapport for pilotprojekt vedr. grønlandske studerendes gennemførsel af videregående uddannelser i Danmark, fra uddannelses- og forskningsministeren
2142190_0096.png
Grønlandske studerende på videregående uddannelser i Danmark
Resultater
TABEL 4.49
Før eksamen føler jeg mig nervøs og urolig
I meget høj grad
Grønlandske respondenter
Andre respondenter
Kilde:
EVA’s frafaldspanel
,W .
7
2.106
I høj grad
8
2.155
I nogen grad
6
1.841
I mindre grad
3
1.097
Slet ikke
0
254
Total
24
7.453
FIGUR 4.142
Før eksamen føler jeg mig nervøs og urolig
Grønlandske respondenter
Andre respondenter
0%
I meget høj grad
29
33
25
13
28
29
25
15
3
20 %
I høj grad
40 %
I nogen grad
60 %
I mindre grad
80 %
Slet ikke
100 %
Kilde:
EVA’s frafaldspanel
,W .
Note: N (Grønlandske respondenter) = 24. N (Andre respondenter) = 7.453. Fishers = 0,996.
Der findes ingen sammenligning mellem grønlandske og ikke-grønlandske respondenter fordelt på
uddannelsessektorer, grundet for få respondenter.
Jeg er stolt af, hvor godt jeg klarede eksamen
Tabel . viser fordelingen i svaret på udsagnet; ”Jeg er stolt af, hvor godt jeg klarede eksamen”.
Svarene er opdelt på grønlandske og ikke-grønlandske respondenter. Figur 4.144 præsenterer for-
delingen af besvarelserne som procentandel af det samlede antal besvarelser, hvilket gør det mu-
ligt at få et overblik over, hvordan svarfordelingen er forskellig mellem de to respondentgrupper.
TABEL 4.50
Jeg er stolt af, hvor godt jeg klarede eksamen
I høj grad
Grønlandske respondenter
Andre respondenter
Kilde:
EVA’s frafaldspanel
,W .
Note:
Kun respondenterne spurgt i
15
6.097
I nogen grad
21
5.599
I mindre grad/slet
12
3.246
Total
48
14.942
havde muligheden for at svare ”I meget høj grad”.
Danmarks Evalueringsinstitut
96
GRU, Alm.del - 2019-20 - Bilag 29: Notat om afsluttende rapport for pilotprojekt vedr. grønlandske studerendes gennemførsel af videregående uddannelser i Danmark, fra uddannelses- og forskningsministeren
2142190_0097.png
Grønlandske studerende på videregående uddannelser i Danmark
Resultater
FIGUR 4.143
Jeg er stolt af, hvor godt jeg klarede eksamen
Grønlandske respondenter
Andre respondenter
0%
31
44
25
41
38
22
20 %
I høj grad
40 %
I nogen grad
60 %
I mindre grad/Slet ikke
80 %
100 %
Kilde:
EVA’s frafaldspanel
og
,W .
Note: N (Grønlandske respondenter) = 48. N (Andre respondenter) = 14.942. P-værdi = 0,404.
Sammenligning mellem grønlandske og ikke-grønlandske studerende fordelt på
uddannelsessektorer
Figur .
og .
præsenterer besvarelserne på udsagnet; ”Jeg er
stolt af, hvor godt jeg klarede
eksamen”, hvor besvarelserne er fordelt på uddannelsessektorer.
FIGUR 4.144
Jeg er stolt af, hvor godt jeg klarede eksamen
Professionsbachelor- og
erhvervsakademiuddannelser
Grønlandske respondenter
Andre respondenter
0%
44
28
28
48
34
19
20 %
I høj grad
40 %
I nogen grad
60 %
I mindre grad/Slet ikke
80 %
100 %
Kilde:
EVA’s frafaldspanel
og
,W .
Note: N (Grønlandske respondenter) = 18. N (Andre respondenter) = 5.687. Fishers = 0,639.
FIGUR 4.145
Jeg er stolt af, hvor godt jeg klarede eksamen
Universitetsuddannelser
Grønlandske respondenter
Andre respondenter
0%
25
54
21
36
40
24
20 %
I høj grad
40 %
I nogen grad
60 %
I mindre grad/slet ikke
80 %
100 %
Kilde:
EVA’s frafaldspanel
og
,W .
Note: N (Grønlandske respondenter) = 28. N (Andre respondenter) = 0,304. Fishers = 0,323.
Danmarks Evalueringsinstitut
97
GRU, Alm.del - 2019-20 - Bilag 29: Notat om afsluttende rapport for pilotprojekt vedr. grønlandske studerendes gennemførsel af videregående uddannelser i Danmark, fra uddannelses- og forskningsministeren
2142190_0098.png
Grønlandske studerende på videregående uddannelser i Danmark
Resultater
Jeg oplever, at jeg har knækket koden til, hvordan man er en god
studerende
Tabel . viser fordelingen i svaret på udsagnet; ”Jeg oplever, at jeg har knækket koden til, hvor-
dan man er en god studerende”. Svarene er opdelt på grønlandske og ikke-grønlandske
respon-
denter. Figur 4.147 præsenterer fordelingen af besvarelserne som procentandel af det samlede an-
tal besvarelser, hvilket gør det muligt at få et overblik over, hvordan svarfordelingen er forskellig
mellem de to respondentgrupper.
TABEL 4.51
Jeg oplever, at jeg har knækket koden til, hvordan man er en god
studerende
I høj/I nogen grad
Grønlandske respondenter
Andre respondenter
Kilde:
EVA’s frafaldspanel
2016, W4.
18
5.722
I mindre grad/slet
6
1.767
Total
24
7.489
FIGUR 4.146
Jeg oplever, at jeg har knækket koden til, hvordan man er en god
studerende
Grønlandske respondenter
Andre respondenter
0%
20 %
I høj grad/I nogen grad
75
25
76
24
40 %
60 %
80 %
100 %
I mindre grad/Slet ikke
Kilde:
EVA’s frafaldspanel
,W .
Note: N (Grønlandske respondenter) = 24. N (Andre respondenter) = 7.489. Fishers = 0,813.
Der findes ingen sammenligning mellem grønlandske og ikke-grønlandske respondenter fordelt på
uddannelsessektorer, grundet for få respondenter.
Mine medstuderende virker generelt kompetente
Tabel . viser fordelingen i svaret på udsagnet; ”Mine medstuderende virker generelt kompe-
tente”. Svarene er opdelt på grønlandske og ikke-grønlandske
respondenter. Figur 4.148 præsente-
rer fordelingen af besvarelserne som procentandel af det samlede antal besvarelser, hvilket gør det
muligt at få et overblik over, hvordan svarfordelingen er forskellig mellem de to respondentgrup-
per.
Danmarks Evalueringsinstitut
98
GRU, Alm.del - 2019-20 - Bilag 29: Notat om afsluttende rapport for pilotprojekt vedr. grønlandske studerendes gennemførsel af videregående uddannelser i Danmark, fra uddannelses- og forskningsministeren
2142190_0099.png
Grønlandske studerende på videregående uddannelser i Danmark
Resultater
TABEL 4.52
Mine medstuderende virker generelt kompetente
I høj/I nogen grad
Grønlandske respondenter
Andre respondenter
Kilde:
EVA’s
frafaldspanel 2016, W4.
14
3.246
I nogen/mindre/slet
10
4.243
Total
24
7.489
FIGUR 4.147
Mine medstuderende virker generelt kompetente
Grønlandske respondenter
Andre respondenter
0%
43
58
42
57
20 %
I høj grad/I nogen grad
40 %
60 %
80 %
100 %
I nogen grad/I mindre grad/Slet ikke
Kilde:
EVA’s frafaldspanel
,W .
Note: N (Grønlandske respondenter) = 24. N (Andre respondenter) = 7.489. Fishers = 0,153.
Sammenligning mellem grønlandske og ikke-grønlandske studerende fordelt på
uddannelsessektorer
Figur 4.149 og 4.150 præsenterer
besvarelserne på udsagnet; ”Mine medstuderende virker generelt
kompetente”, hvor besvarelserne er fordelt på uddannelsessektorer.
FIGUR 4.148
Mine medstuderende virker generelt kompetente
Professionsbachelor-
og erhvervsakademiuddannelser
Grønlandske respondenter
Andre respondenter
0%
32
42
58
68
20 %
I høj grad
40 %
60 %
80 %
100 %
I nogen grad/I mindre grad/Slet ikke
Kilde:
EVA’s frafaldspanel
,W .
Note: N (Grønlandske respondenter) = 12. N (Andre respondenter) = 2.812. Fishers = 0,536.
Danmarks Evalueringsinstitut
99
GRU, Alm.del - 2019-20 - Bilag 29: Notat om afsluttende rapport for pilotprojekt vedr. grønlandske studerendes gennemførsel af videregående uddannelser i Danmark, fra uddannelses- og forskningsministeren
2142190_0100.png
Grønlandske studerende på videregående uddannelser i Danmark
Resultater
FIGUR 4.149
Mine medstuderende virker generelt kompetente
Universitetsuddannelser
Grønlandske respondenter
Andre respondenter
0%
20 %
I høj grad
51
73
27
49
40 %
60 %
80 %
100 %
I nogen grad/I mindre grad/Slet ikke
Kilde:
EVA’s frafaldspanel
,W .
Note: N (Grønlandske respondenter) = 11. N (Andre respondenter) = 4.525. Fishers = 0,227.
Danmarks Evalueringsinstitut
100
GRU, Alm.del - 2019-20 - Bilag 29: Notat om afsluttende rapport for pilotprojekt vedr. grønlandske studerendes gennemførsel af videregående uddannelser i Danmark, fra uddannelses- og forskningsministeren
2142190_0101.png
Appendiks A
Temaer og items
TABEL A.1
Kortlægningen af faktorer med relevans for studiefrafald omfatter
nedenstående spørgsmål.
Temaer og spørgsmål
Socioøkonomiske forhold (W1)
1.
2.
3.
I hvilken grad oplever du i øjeblikket økonomiske problemer?
Har du i løbet af den seneste måned følt dig stresset?
Er der sket vigtige ting for dig, en meget nær ven eller tæt familie inden for de sidste 12 måne-
der, som har fået den periode til at være betydeligt vanskeligere for dig end et typisk år?
Min familie prøver virkelig på at hjælpe mig
2016 + 2017
2016 + 2017 *
2016 + 2017
Årgang
4.
2016 + 2017 *
Boligforhold (W1 og W2)
5.
6.
7.
8.
I hvilken grad er du bekymret over din boligsituation? (W1)
I hvilken grad er du bekymret over din boligsituation? (W2)
Forventer du at skulle flytte, eller er du flyttet i forbindelse med studiestart? (W1)
Forventer du at skulle finde et andet sted at bo inden for den nærmeste fremtid? (W2)
2016 + 2017 *
2016 + 2017
2016
2016 + 2017
Sociale egenskaber (W1)
9.
VEr du god til…W At præsentere mig selv for nogen, jeg gerne vil lære bedre at kende
2016
Studievalg (W1)
10. Da jeg søgte, følte jeg mig helt afklaret med, at jeg ville studere på netop den uddannelse, jeg
nu er blevet optaget på
11. Synes du, at du har et godt kendskab til indholdet af den uddannelse, du er optaget på?
12. Synes du, at du har et godt kendskab til det arbejdsliv, din uddannelse kan føre til?
13. Hvor motiveret er du for at starte på uddannelsen? (gennemsnit på skala fra 0-10)
Studiestart (W2)
14. Der har været gode rammer for at lære mine medstuderende at kende
15. Jeg har fået en god introduktion til det faglige indhold på uddannelsen
16. Det er blevet tydeligt kommunikeret, hvilke krav og forventninger der er til mig som studerende
på uddannelsen
17. I de følgende spørgsmål vil vi bede dig tænke på din gennemsnitlige uge i løbet af den første
måned på studiet. Hvor mange dage om ugen drak du mere end fem genstande?
2016 + 2017 *
2016 + 2017 *
2016 + 2017 *
2016 + 2017
2017
2017
2016 + 2017
2016 + 2017 *
Danmarks Evalueringsinstitut
101
GRU, Alm.del - 2019-20 - Bilag 29: Notat om afsluttende rapport for pilotprojekt vedr. grønlandske studerendes gennemførsel af videregående uddannelser i Danmark, fra uddannelses- og forskningsministeren
2142190_0102.png
Grønlandske studerende på videregående uddannelser i Danmark
Appendiks A
Temaer og items
Temaer og spørgsmål
Studieservices og studieteknik (W2)
18. Jeg har fået godt overblik over, hvor man finder de væsentligste ting og lokaler, man har brug
for på studiet
19. Jeg har fået et godt overblik over, hvilke personer man skal gå til, hvis man har brug for hjælp
20.
Er du i løbet af studiestarten… Blevet undervist i studieplanlægning
21.
Er du i løbet af studiestarten…
Blevet undervist i studieteknik
22.
Er du i løbet af studiestarten… Blevet introduceret til tilbud, der kan understøtte dig i at blive
en dygtig studerende
Social integration og samarbejde (W3)
23. De andre studerende er generelt imødekommende
24. Jeg føler mig velkommen på studiet
25. Jeg spørger ofte andre studerende om hjælp, hvis jeg er usikker på noget fagligt
26. Er du på nuværende tidspunkt med i en studie- og/eller projektgruppe?
27. Hvor tilfreds er du med den/de studie- og/eller projektgrupper, du er med i?
Fagligt engagement (W3)
28. Jeg er meget interesseret i det faglige indhold af uddannelsen
29. Jeg prøver at gøre lidt mere på min uddannelse, end jeg bliver bedt om
30. Jeg opsummerer løbende for mig selv, hvad jeg har lært på uddannelsen
31. Hvor mange timer har du cirka brugt på følgende aktiviteter i løbet af en gennemsnitlig uge (syv
dage), siden du startede på uddannelsen? (gennemsnit for hver aktivitet)
Faglig selvtillid og sværhedsgrad (W3)
32. Jeg er sikker på, at jeg kan forstå den sværeste litteratur i de nuværende fag på min uddannelse
33. Mine nuværende fag udfordrer mig samlet set til at gøre mit bedste
34. Arbejdsbelastningen på uddannelsen er for stor og medfører studierelateret stress
35.
VHvor god synes du, at du er til følgende…W At overskue en stor mængde fagligt stof
36.
VHvor god synes du, at du er til følgende…W At planlægge min studietid, så jeg
får lavet tingene
til tiden
Studiemotivation (W3)
37. Jeg overvejer at stoppe på uddannelsen
38. Jeg er motiveret for at studere på min uddannelse
Undervisning (W3)
39. Underviserne har givet brugbar feedback på opgaver eller projekter på uddannelsen
40. Underviserne interesserer sig for, om jeg udvikler mig fagligt
41. Er uddannelsen mere eller mindre krævende end du havde forventet da du startede
Studierelaterede følelser (W3)
42. Jeg kan godt lide at tilegne mig ny viden
Årgang
2016 + 2017 *
2016 + 2017 *
2016
2016
2016
2016 + 2017 *
2016 + 2017 *
2016 + 2017 *
2016 + 2017
2016 + 2017
2017
2016 + 2017 *
2016 + 2017 *
2016 + 2017 *
2016 + 2017 *
2017
2017
2017
2017
2016 + 2017 *
2016 + 2017º
2016 + 2017 *
2017
2016
2016
Danmarks Evalueringsinstitut
102
GRU, Alm.del - 2019-20 - Bilag 29: Notat om afsluttende rapport for pilotprojekt vedr. grønlandske studerendes gennemførsel af videregående uddannelser i Danmark, fra uddannelses- og forskningsministeren
2142190_0103.png
Grønlandske studerende på videregående uddannelser i Danmark
Appendiks A
Temaer og items
Temaer og spørgsmål
43. Indholdet af uddannelsen keder mig ofte
44. Jeg har en optimistisk indstilling til at skulle studere
45. Jeg er stolt af mine evner i relation til studiet
46. Jeg bliver ofte anspændt og nervøs, når jeg studerer
47. Jeg er ofte flov over ikke at kunne tilegne mig selv simpelt stof
Eksamen (W4)
48. Jeg er optimistisk, når jeg tænker på eksamen
49. Før eksamen føler jeg mig nervøs og urolig
50. Jeg er stolt af, hvor godt jeg klarede eksamen
51. Jeg oplever, at jeg har knækket koden til, hvordan man er en god studerende
52. Mine medstuderende virker generelt kompetente
Årgang
2016
2016
2016
2016
2016
2017
2017
2016 + 2017 *
2016
2016
Note: Årgange markeret med * angiver, at svarkategorierne eller spørgsmålsformuleringerne ikke er helt ens i begge
årgange. º Angiver, at item er ændret ift. tilbuddet, hvilket skyldes manglende data for 2016-årgangen. Hvorfor et nyt
lignende item er anvendt for at opnå mest mulig information.
Danmarks Evalueringsinstitut
103
GRU, Alm.del - 2019-20 - Bilag 29: Notat om afsluttende rapport for pilotprojekt vedr. grønlandske studerendes gennemførsel af videregående uddannelser i Danmark, fra uddannelses- og forskningsministeren
Appendiks B
Litteraturliste
Kroonenberg, P. M. & Verbeek, A. (2018).
The Tale of Cochrane’s Rule: My
Contingency Table has so
Many Expected Values Smaller than 5, What Am I to Do?
The American Statistician, 72:2. 175-183.
Danmarks Evalueringsinstitut
104
GRU, Alm.del - 2019-20 - Bilag 29: Notat om afsluttende rapport for pilotprojekt vedr. grønlandske studerendes gennemførsel af videregående uddannelser i Danmark, fra uddannelses- og forskningsministeren
Grønlandske studerende på videregående uddannelser i Danmark
© 2019 Danmarks Evalueringsinstitut
Citat med kildeangivelse er tilladt
Publikationen er kun udgivet i elektronisk form på: www.eva.dk
ISBN (www) 978-87-7182-275-5
105
GRU, Alm.del - 2019-20 - Bilag 29: Notat om afsluttende rapport for pilotprojekt vedr. grønlandske studerendes gennemførsel af videregående uddannelser i Danmark, fra uddannelses- og forskningsministeren
2142190_0106.png
Danmarks Evalueringsinstitut (EVA) gør uddannelse og
dagtilbud bedre. Vi leverer viden, der bruges på alle niveauer
fra institutioner og skoler til kommuner og ministerier.
DANMARKS
EVALUERINGSINSTITUT
T 3555 0101
E [email protected]
H www.eva.dk