Finansudvalget 2019-20
FIU Alm.del Bilag 190
Offentligt
2198255_0001.png
Rapport fra den økonomiske
ekspertgruppe vedrørende
udfasning af hjælpepakker
27. maj 2020
Professor Torben M. Andersen (formand)
Professor Michael Svarer
Professor Philipp Schröder
0
FIU, Alm.del - 2019-20 - Bilag 190: Rapport fra den økonomiske ekspertgruppe vedrørende udfasning af hjælpepakker
Forord
Regeringen nedsatte torsdag den 14. maj 2020 en økonomisk ekspertgruppe til at rådgive om udfas-
ningen af hjælpepakkerne indført i forbindelsen med coronaepidemien, og med afslutning og offentlig-
gørelse af arbejdet den 27. maj 2020.
Ekspertgruppen er blevet bedt om input vedrørende:
Sammensætningen af hjælpepakkerne i Danmark sammenholdt med hjælpepakkerne i andre
lande, herunder en vurdering af hjælpepakkernes incitamenter og effektivitet.
Modeller for afvikling af hjælpepakkerne, der understøtter job, og at sunde virksomheder hurtigst
muligt igen kan stå på egne ben.
Mulige målrettede initiativer til fortsat at holde en hånd under specifikke brancher, der fortsat er
midlertidigt påvirket af restriktioner mv., herunder i forhold til sæsonrelaterede aktiviteter.
Analysen skal tage et samfundsøkonomisk perspektiv, der blandt andet tager højde for de offentlige
finanser og de langsigtede effekter på dansk erhvervsliv og danske lønmodtagere.
Rapportens kapitel 2 indeholder en principiel diskussion af hjælpepakkerne som økonomisk-politisk
instrument. De danske hjælpepakker gennemgås i kapitel 3, og effekten af støtten til virksomheder og
lønmodtagere sammenholdes med ordningernes mulige incitamentseffekter. Hovedelementer i hjæl-
pepakkerne sammenlignes i kapitel 4 med lignede initiativer i vores nabolande. Den aktuelle økonomi-
ske situation i forhold til coronakrisen, nedlukningen og den påbegyndte genåbningsproces vurderes i
kapitel 5 på grundlag af foreliggende statistik og indikatorer. Hvis hjælpepakkerne bliver fastholdt for
længe, kan de bremse omstillinger og tilpasninger. Den underliggende dynamik i økonomien særligt
knyttet til arbejdsmarkedet og virksomheder diskuteres i kapitel 6. Overvejelser om modeller for afvik-
ling af hjælpepakkerne og målrettede initiativer for specifikke brancher fremlægges i kapitel 7.
Hjælpepakkerne indeholder utraditionelle virkemidler som indkomststøtte til selvstændige, kompen-
sation for virksomheders faste omkostninger og lønkompensation ved hjemsendelse af medarbejdere.
Der er ikke et solidt erfaringsgrundlag eller tidligere analyser af sådanne tiltag. Samtidig er datagrund-
laget for den periode, hvor hjælpepakkerne har været gældende, fortsat sparsomt
det gælder også
den faktiske brug af ordningerne
og samtidig er den økonomiske udvikling påvirket af mange andre
forhold. Det er derfor ikke muligt at foretage sædvanlige effektvurderinger og analyser, og der er såle-
des en række fundamentale usikkerheder knyttet til at vurdere hjælpepakkerne. Det er dog vores faste
overbevisning og håb, at de nye analyser og forslag, der præsenteres i rapporten, kan bidrage til at kva-
lificere vidensgrundlaget for de beslutninger, der skal træffes.
Med denne rapport afslutter ekspertgruppen sit arbejde.
Vi vil gerne takke alle, der har bidraget med data, viden og sparring til arbejdet.
Torben M. Andersen/Den økonomiske ekspertgruppe, 26. maj 2020
1
FIU, Alm.del - 2019-20 - Bilag 190: Rapport fra den økonomiske ekspertgruppe vedrørende udfasning af hjælpepakker
Indholdsfortegnelse
1. Sammenfatning ................................................................................................................... 3
2. Nedlukning og økonomiske hjælpepakker ........................................................................... 6
3. Hjælpepakker i Danmark ................................................................................................... 14
4. Hjælpepakker i et internationalt perspektiv ........................................................................ 42
5. Coronakrisens påvirkning på dansk økonomi .................................................................... 54
6. Tilpasningsdynamik i dansk økonomi ................................................................................ 71
7. Modeller for afvikling af hjælpepakker ............................................................................... 84
8. Kommissorium ................................................................................................................ 104
2
FIU, Alm.del - 2019-20 - Bilag 190: Rapport fra den økonomiske ekspertgruppe vedrørende udfasning af hjælpepakker
1. Sammenfatning
Coronakrisen har både store sundhedsmæssige og samfundsøkonomiske implikationer. Inddæmnings-
og afbødningstiltag, ændret adfærd hos forbrugerne og det globale tilbageslag betød, at store dele af
økonomien stod over for en hård opbremsning nærmest fra den ene dag til den anden. Nogle aktivite-
ter blev forbudt. Andre virksomheder var ikke direkte berørt af et forbud, men blev påvirket af, at ef-
terspørgslen efter deres varer og tjenesteydelser blev kraftig reduceret som følge af ændret adfærd hos
forbrugerne.
Der en fælles interesse i at mindske smitterisikoen, men omkostningerne for nedlukningen rammer
nogle områder af økonomien hårdere end andre. I denne usædvanlige situation var der behov for eks-
traordinære skridt for at understøtte virksomheder, selvstændige og lønmodtagere. Der var et akut be-
hov for blandt andet at sikre likviditet til nødlidende virksomheder og for at signalere til både virksom-
heder, lønmodtagere og forbrugere, at den danske stat ville tage en stor del af den regning, som ned-
lukningen af samfundet implicerede. De hjælpepakker, der blev designet og implementeret i stor hast,
indeholder helt usædvanlige elementer som dækning af faste omkostninger for virksomhederne, kom-
pensation for tab af indkomst for selvstændige og lønkompensation for hjemsendte lønmodtagere
samt en lang række tiltag for specifikke områder.
Der var tale om økonomisk førstehjælp for at løse helt akutte problemer, og hvor manglende beslut-
somhed kunne have forårsaget endnu større samfundsøkonomisk skade. Med det kraftige fald i efter-
spørgslen var der udsigt til, at virksomheder var nødt til at afskedige mange medarbejdere. Det ville
betyde, at et stort antal jobmatch ville være gået tabt på kort tid, og at en lang række danske virksom-
heder ville have fået reduceret deres fremadrettede forretnings- og investeringsmuligheder, ligesom
der var stor risiko for konkurser for ellers rentable virksomheder. Mange danske husholdninger ville
være gået ned i indkomst, hvilket ville have presset forbruget yderligere.
Hjælpepakkerne var en investering i, at danske job og virksomheder ikke skulle gå tabt på grund af en
kortvarig, men massiv krise. Der var bred tilslutning til indsatsen. Alle Folketingets partier indgik i ho-
vedaftalen, og på arbejdsmarkedsområdet er der indgået en trepartsaftale om lønkompensation.
Det er for tidligt at gøre endelig status på hjælpepakkerne. Men analyserne i denne rapport viser, at
hjælpepakkerne har understøttet virksomheder, selvstændigt erhvervsdrivende og lønmodtagere. Der
har været en betydelig søgning fra de brancher, der er meget direkte og indirekte berørt af nedluknin-
gen, og uden hjælpepakkerne ville mange flere job og virksomheder være gået tabt. Det giver dansk
økonomi et markant bedre afsæt for den genopretning, der venter forude.
De danske hjælpepakker indeholder elementer, som også er anvendt i andre lande. I international
sammenligning er de danske hjælpepakker relativt omfattende. Det er imidlertid svært præcist at sam-
menligne hjælpepakkerne på tværs af lande, og behov og indretning skal ses i sammenhæng med insti-
tutionelle rammer og økonomiske strukturer. I kraft af tiltag igennem årene for at konsolidere de of-
fentlige finanser og opfylde kravene til finanspolitisk holdbarhed har Danmark et større råderum til at
agere i den aktuelle situation end mange andre lande.
Den økonomiske hjælp skulle ydes hurtigt. Det betød, at der ikke var tid til og mulighed for at detail-
planlægge hjælpepakkerne. Et længerevarende udviklingsarbejde ville have betydet, at ordningerne var
3
FIU, Alm.del - 2019-20 - Bilag 190: Rapport fra den økonomiske ekspertgruppe vedrørende udfasning af hjælpepakker
kommet for sent, og derfor måtte de nødvendigvis baseres på relativt brede kriterier som fald i omsæt-
ning og behov for at hjemsende ansatte. Det betyder i sagens natur, at ordningerne kunne have været
mere målrettede, ligesom at ordningernes indretning i nogle tilfælde hæmmer tilskyndelsen til at øge
aktiviteten i takt med genåbningen af økonomien. Endelig er der væsentlige administrative omkostnin-
ger ved både tildeling og efterfølgende kontrol af den udbetalte støtte.
Hjælpepakkerne er midlertidige tiltag for at undgå en økonomisk nedsmeltning som følge af den hur-
tige implementering af inddæmnings- og afbødningstiltagene. En genåbningsproces er godt i gang, og
derfor er det naturligt at tage stilling til hjælpepakkernes afvikling. I nogle tilfælde udfaser pakkerne
sig selv i takt med, at omsætningen vender tilbage til virksomhederne, og den hjemsendte arbejdskraft
bliver tilbagekaldt. Men i andre tilfælde sker dette ikke, blandt andet fordi de økonomiske forhold har
ændret sig i mellemtiden.
Hjælpepakkerne har en status quo bias, da de tager udgangspunkt i situationen før coronakrisen. Men
mange forhold har forandret sig siden. Selvom økonomien genåbnes, er smitterisikoen ikke forsvun-
det, hvilket kan påvirke adfærden og forbrugsmønstre, ligesom der kan være frygt for en anden smitte-
bølge. Krisen kan også have fremskyndet strukturændringer, som kræver tilpasninger og omstillinger.
Afviklingen af hjælpepakkerne kompliceres af, at der er dele af økonomien, som ikke er åbnet endnu,
og andre dele åbnes under nye restriktioner, krav og anbefalinger. Yderligere er forskellige erhverv
ikke ramt samtidig, og for særlige erhverv kan effekterne komme med en vis forsinkelse. Det kan ek-
sempelvis være erhverv, der har lange produktions- og leveringstider.
Hjælpepakkerne har haft en vigtig funktion i at opretholde produktionskapaciteten under en nedluk-
ning af økonomien, men bibeholdes de for længe, får det store negative samfundsøkonomiske konse-
kvenserne. Hjælpepakkernes omkostninger skal ikke alene ses i forhold til de direkte effekter for de
offentlige finanser, men også de afledte omkostninger, hvis de ikke afvikles i tide.
Hjælpepakkerne lægger en bremse på den dynamik, der er i den private sektor. Virksomheder lukker,
nye åbner, og nogle ekspanderer. Der bliver hele tiden nedlagt job og afskediget medarbejdere og op-
rettet nye job og ansat medarbejdere. Bremses disse processer, har det store konsekvenser for produk-
tivitet, beskæftigelse og velstand, og hjælpepakkerne kan på den måde forsinke genopretningen af
dansk økonomi.
Det kan ikke undgås, at coronakrisen betyder et fald i den økonomiske aktivitet og beskæftigelsen og
dermed stigende ledighed. En videreførelse af hjælpepakkerne kan ikke forhindre dette, men i bedste
fald skjule det for en kort tid og gøre tilpasningsprocessen mere besværlig.
Forslag til afvikling af hjælpepakker
Afviklingen af hjælpepakkerne bør afstemmes med genåbningen af økonomien, så det understøtter, at
virksomhederne hurtigst muligt igen kan stå på egne ben. Kombinationen af hurtig genåbning og hjæl-
pepakkerne har givet et godt afsæt for videre genopretning af dansk økonomi. Mulighederne for en
hurtig genopretning understøttes også af, at dansk økonomi inden krisen ikke var præget af store uba-
lancer på fx arbejds- og boligmarkedet modsat ved indgangen til finanskrisen.
Det er vurderingen, at hjælpepakkerne bedst udfases ved, at balancepunktet flyttes fra direkte støtte
over mod likviditets-, låne- og garantiordninger. Det kan opnås med en mere gradvis normalisering af
betalingsfristerne for moms og indkomstskatter, ligesom behovet for at justere på låne- og garantiord-
ningerne bør overvejes. De har en indbygget målretning mod rentable virksomheder, da de er baseret
4
FIU, Alm.del - 2019-20 - Bilag 190: Rapport fra den økonomiske ekspertgruppe vedrørende udfasning af hjælpepakker
på finansielle institutioners kreditvurdering. Dette er også et fleksibelt instrument i forhold til behov,
der måtte opstå fremadrettet.
Når likviditetsordningerne fylder mere, er der plads til, at kompensationsordningerne fylder mindre.
Kompensationsordningen for faste omkostninger, kompensationsordningen til selvstændige mv. og
lønkompensationsordningen vil have store samfundsmæssige omkostninger, hvis de videreføres som
generelle ordninger. Det foreslås derfor, at kompensationsordningerne ophører den 8. juli som plan-
lagt. Det samme gør sig gældende for særordningerne på kulturområdet.
Der er imidlertid argumenter for at gøre enkelte undtagelser efter den 8. juli. Det vurderes, at virksom-
heder, der stadig er lukket med forbud, bør kunne få adgang til lønkompensation (til medarbejderne)
og kompensation for faste omkostninger. Det foreslås også, at virksomheder, der har haft mindre end
en måned til at åbne, kan få adgang til kompensation for faste omkostninger i yderligere en måned.
Der foreslås ikke undtagelser for kompensationsordningen for selvstændigt erhvervsdrivende mv.,
men her kan det overvejes at give midlertidig adgang for at melde sig ind i en a-kasse med tilbagevir-
kende kraft for visse grupper.
Det kan være relevant med midlertidige kompensationsordninger for faste omkostninger for virksom-
heder, der bliver ramt forskudt af coronakrisen, og de sæsonbetonede dele af turismeerhvervet. Rap-
porten peger på mulige modeller herfor. Det skal understreges, at kompensationen bør være mindre
gunstig end i de gældende ordninger, da virksomhederne har haft god tid til at tilpasse sig. Ordnin-
gerne bør endvidere kun iværksættes, hvis det kan konstateres, at brancher som helhed oplever mar-
kant lavere afsætningsmuligheder.
Lønkompensationsordningen bør afvikles. Analyserne i denne rapport peger imidlertid også på, at der
kan være brug for at forbedre det nuværende alternativ, som er arbejdsfordelingsordningen. Lønkom-
pensationsordningen blev indført via trepartsforhandlinger og har medvirket til at holde hånden under
beskæftigelsen og bidraget til, at virksomhederne ikke
som følge af et midlertidigt og muligvis kort-
varigt tilbageslag i efterspørgslen
afskediger medarbejdere. Der kan således være betydelige omkost-
ninger forbundet med at genetablere jobmatch. Den eksisterende arbejdsfordelingsordning bliver
brugt i stigende omfang, men opfyldte ikke behovet i starten af coronakrisen, hvor mange blev opsagt,
og mange flere stod til at blive opsagt, fordi efterspørgslen forsvandt. Rapporten peger på en række ju-
steringsmuligheder i forhold til arbejdsfordelingsmodellen.
Det foreslås derfor, at der indledes trepartsdrøftelser om en justering af arbejdsfordelingsordningen.
Målet med trepartsdrøftelserne bør være at justere ordningen, så den fremadrettet bedre understøtter
omstillingsevnen i dansk økonomi, samtidig med at hensyn til virksomheder og lønmodtagere tilgode-
ses. En forbedret arbejdsdelingsordning vil betyde, at det danske arbejdsmarked er bedre rustet, så-
fremt der skulle komme en ny bølge af coronakrisen. Eller hvis Danmark af andre årsager bliver ramt
af midlertidige tilbageslag i efterspørgslen.
Endelig foreslås det, at der igangsættes et arbejde med at vurdere de nye sundhedskrav, som er pålagt
dele af erhvervslivet, med henblik på at sikre, at de sundhedsmæssige gevinster står mål med de er-
hvervsøkonomiske omkostninger. Der er indført mange nye sundhedskrav, hvilket kan være fornuftigt,
men der er behov for yderligere tværgående analyse heraf.
5
FIU, Alm.del - 2019-20 - Bilag 190: Rapport fra den økonomiske ekspertgruppe vedrørende udfasning af hjælpepakker
2. Nedlukning og økonomiske
hjælpepakker
For at bremse spredningen af coronavirus blev der gennemført en række restriktioner, som helt eller
delvist begrænsede den økonomiske aktivitet. Nedlukningen var sundhedsmæssigt begrundet med, at
for tæt kontakt mellem mennesker øger smitterisikoen. Derfor var det nødvendigt helt eller delvist at
lukke ned for en række aktiviteter, opfordre til hjemmearbejde mv. Et fælles sundhedsproblem blev på
denne måde adresseret, men med økonomiske konsekvenser for specifikke virksomheder og lønmod-
tagere. Hjælpepakkerne betød, at omkostningerne og ulemperne ikke blev båret af nogle få, men dæk-
kes i fællesskab via de offentlige finanser. Det offentlige kan på den måde give en forsikring med tilba-
gevirkende kraft og sprede finansieringen heraf ud over tid.
Hjælpepakkerne opdeles i tre hovedgrupper:
Midlertidige kompensationsordninger (herunder lønkompensationsordningen, kompensati-
onsordningen for virksomheders faste omkostninger, kompensationsordning for selvstæn-
dige, freelancere mv. samt sektorspecifikke ordninger på medie- og kulturområdet)
Likviditetsordninger (herunder garanti- og låneordninger)
Ordninger på arbejdsmarkedsområdet (herunder midlertidige lempelser i dagpengesystemet,
suspendering af 225-reglen mv.).
Hjælpepakkerne er således en blanding af kendte økonomisk-politiske instrumenter og en helt ny form
for ekstraordinære tiltag, hvor hovedelementerne er direkte støtte til dækning af faste omkostninger,
lønudgifter (hjemsendelse frem for afskedigelse) og bortfald af indkomst for selvstændige.
En usædvanlig situation krævede usædvanlige tiltag. Set fra et økonomisk perspektiv var nedlukningen
en begrænsning af de økonomiske muligheder, som ikke var forudset af virksomheder, lønmodtagere
eller husholdninger, og som de derfor heller ikke havde mulighed for at planlægge efter.
Det er et grundvilkår i en markedsøkonomi, at virksomhederne står over for forskellige former for ri-
sici. Der er gode og dårlige tider. Nogle virksomheder ekspanderer, andre bliver udkonkurrerede, og
nye etablerer sig. Virksomhederne har i Danmark fleksible muligheder for at hyre og fyre og kan derfor
relativt nemt tilpasse arbejdskraften efter behov. Lønmodtagerne står over for en ledighedsrisiko, men
har mulighed for indkomstsikring via arbejdsløshedsforsikring (hvis medlem af a-kasse og optjent dag-
pengeret) og det øvrige sociale sikkerhedsnet. Det er sammen med en aktiv arbejdsmarkedspolitik
grundstenene i den danske flexicurity-model.
Konsekvenserne af nedlukningen adskiller sig fra almindelige markedsudsving, som virksomheden
selv må bære konsekvenserne af, og som via afskedigelser kan ramme lønmodtagerne. Restriktionerne
kan tolkes
som en midlertidig “ekspropriation” af markedsmuligheder, hvilket begrunder støtte.
Hjælpepakkernes samfundsøkonomiske begrundelse
Hel eller delvis nedlukning af økonomien rammer i første omgang virksomhederne ved faldende eller
bortfald af omsætning. Virksomhederne har fortsat omkostninger med forskellige tidshorisonter på
6
FIU, Alm.del - 2019-20 - Bilag 190: Rapport fra den økonomiske ekspertgruppe vedrørende udfasning af hjælpepakker
mulighederne for at tilpasse dem. Faste omkostninger kan i sagens natur ikke ændres på kort sigt, løn-
omkostninger kan reduceres ved afskedigelser (dog med den forsinkelse, der følger af afskedigelsesreg-
ler), mens variable omkostninger
som fx indkøb af råvarer
relativt hurtigt kan tilpasses. Nedluk-
ning af økonomien kan således bringe virksomhedernes eksistens i spil, og tilpasninger af omkostnin-
ger kan udløse afledte konsekvenser i form af ledighed og mindre omsætning for underleverandører.
Det er alt sammen effekter, der yderligere vil forstærke den økonomiske krise. Hjælpepakkerne har til
formål at mindske nogle af disse konsekvenser af den midlertidige nedlukning af økonomien.
Støtten til virksomheder kan gives som direkte tilskud eller som likviditet eller lånemuligheder. Ved at
tilvejebringe likviditet eller lån til virksomhederne får de bedre mulighed for at klare en periode med
mindre eller ingen omsætning uden at skulle gå gennem de sædvanlige kreditkanaler. I en situation,
hvor mange virksomheder er i problemer samtidig, er den samfundsøkonomiske risikovillighed for-
skellig fra risikovurderingen af en specifik virksomhed hos en kreditgiver, da der skal tages hensyn til
de samfundsøkonomiske konsekvenser, såfremt mange virksomheder må lukke inden for en kort peri-
ode. Kreditvilkårene kan også blive strammere i en krisesituation. Ved indskud af offentlig likviditet
eller offentligt understøttet långivning sikres det, at alle virksomheder har mulighed for at låne til at
klare en midlertidig situation. Ligeledes har staten mulighed for direkte og relativt hurtigt at lette virk-
somhedernes likviditetssituation ved at udskyde skatte- og afgiftsbetalinger. Det offentlige kan endvi-
dere låne til en lavere rente end finansielle institutioner, og samtidig overtager det offentlige til gen-
gæld risikoen for, at disse lån ikke kan betales tilbage.
Afvejningen mellem direkte støtte og lån er i høj grad et spørgsmål om, hvilken selvrisiko virksomhe-
derne skal bære, men også deres evne til at bære denne risiko set i lyset af den enkelte virksomheds
adgang til lån og kapital. Automatisk offentlig støtte har den ulempe, at de normale vurderingskriterier
og -mekanismer i markedet i et eller andet omfang tilsidesættes. Der bliver ikke taget stilling til virk-
somhedens fremtidsudsigter og dermed perspektiverne i at støtte en given virksomhed. Dog sker der
en sådan stillingtagen, når offentlig långivning og garantier kombineres med markedsmæssige krite-
rier for kreditgivning. Långivning er også mere målrettet, da der er en begrænset risiko for at støtte
virksomheder, der kan klare sig uden støtte.
Direkte støtte til dækning af faste omkostninger for at kompensere for fald i omsætning er en helt sær-
lig form for støtte. Den er begrundet i, at virksomhederne ikke på kort sigt har mulighed for at tilpasse
faste omkostninger til blandt andet husleje. Et yderligere argument er, at den tabte omsætning under
nedlukningen ikke nødvendigvis vender tilbage på et senere tidspunkt, og det kan derfor være svært at
lånefinansiere dette varige tab. Men en sådan støtte bremser også virksomhedernes incitament til at
tilpasse sig en ny situation.
Nedlukningen mindsker virksomhedernes behov for arbejdskraft, og afskedigelser vil ramme lønmod-
tagerne. Lønkompensation til virksomhederne begrænser omfanget af afskedigelser, da de pågældende
medarbejdere i stedet hjemsendes med løn. Det betyder reelt en højere kompensation end som dag-
pengeledig, og den sikring udspændes til alle hjemsendte uafhængigt af, om de er medlem af en a-
kasse eller ej. Dette tiltag kan tolkes som en forsikring af lønmodtagerne i forhold til hændelser, de
ikke har nogen indflydelse på, hvilket kan begrunde et højere sikringsniveau end i det generelle sik-
ringssystem. Samtidig er der lempet på nogle krav i det sociale sikkerhedsnet, da muligheden for, at
ledige kan finde arbejde i nedlukningsperioden, er reduceret.
Direkte omsætningsstøtte til selvstændigt erhvervsdrivende er også en form for indkomstforsikring,
men i en helt usædvanlig form. Svingende omsætning er et grundvilkår for selvstændigt erhvervsdri-
7
FIU, Alm.del - 2019-20 - Bilag 190: Rapport fra den økonomiske ekspertgruppe vedrørende udfasning af hjælpepakker
vende og knyttet til den fundamentale dynamik i markedsmekanismen. Indkomstsikring af erhvervs-
drivende er derfor yderst usædvanlig, men kan i den aktuelle situation begrundes i, at nedlukningen
fjerner et indkomstgrundlag.
De samfundsøkonomiske argumenter for hjælpepakkerne går imidlertid videre end spørgsmålet om at
kompensere de virksomheder og lønmodtagere, der direkte er påvirket af nedlukningen. For sam-
fundsøkonomien er det vigtigt at undgå, at en kortvarig nedlukning af store dele af økonomien omsæt-
ter sig i en langvarig økonomisk krise.
Hjælpepakkerne medvirker til at holde produktionskapaciteten intakt ved at undgå afskedigelser og
virksomhedslukninger. Samtidig medvirker støtten også til at understøtte indkomster og dermed efter-
spørgslen både ved, at de hjemsendte kan opretholde deres indkomst og via den direkte indkomst-
støtte til en række selvstændige. Ordningerne er også med til at mindske indkomstrisikoen for hus-
holdningerne, hvilket giver en sikkerhed, der kan understøtte efterspørgslen yderligere.
Hovedsigtet er at understøtte mulighederne for, at økonomien gennemløber et såkaldt V-forløb. Et fald
i den økonomiske aktivitet kan ikke undgås på grund af nedlukningen, men økonomien bør hurtigst
muligt komme tilbage på sporet efter en genåbning af økonomien. Målet er, at en kortvarig nedlukning
af sundhedsmæssige grunde kun giver en kortvarig nedgang i den økonomiske aktivitet. Hvis efter-
spørgsel og produktionskapaciteten er intakt, er det mere sandsynligt, at et V-forløb realiseres efter en
midlertidig (kortvarig) nedlukning.
Alternativet vil være et mere udtalt zig-zag forløb med først fyring af personale og lukning af virksom-
heder og efterfølgende en (træg) proces med etablering af nye virksomheder og ansættelse af perso-
nale. Fallitter implicerer formuetab for virksomhedsejerne og en formueomfordeling mellem debitorer
og kreditorer. Der er også samfundsøkonomiske tab, da der er værditab, selv hvis en anden virksom-
hed ender med at overtage kapaciteten. En virksomhedslukning er en tidskrævende proces med mange
procesomkostninger. Der vil også være et tab af virksomhedsspecifik viden ved afskedigelse af medar-
bejdere. Endvidere er der også omkostninger ved opstart af virksomheder og ved at finde medarbej-
dere med de rette kvalifikationer. På arbejdsmarkedet kan en periode med høj arbejdsløshed forårsage
en stigning i langtidsledigheden. Langvarig ledighed medfører ofte en nedskrivning af viden, og andre
problemer kan støde til, hvilket kan vanskeliggøre mulighederne for at komme tilbage i beskæftigelse.
De samfundsøkonomiske konsekvenser af en langstrakt lavkonjunktur er således store.
Hjælpepakkernes indretning
Hjælpepakkerne var akutte indgreb for at håndtere en helt særlig situation. Hvis de midlertidige ord-
ninger skulle virke, skulle de annonceres hurtigt, så der blev skabt sikkerhed om kompensationen og
forhindre omfattende afskedigelser. Givet at der var tale om en helt akut situation og ekstraordinære
tiltag, var det ikke realistisk med eller mulighed for et udviklingsarbejde, som normalt vil være proces-
sen for at få det bedst mulige design.
Hjælpepakkerne er derfor baseret på relativt brede kriterier knyttet til omsætningsfald, tab af ind-
komst eller omfang af hjemsendelser af medarbejdere. Samtidig er der ordninger rettet mod en række
særlige erhverv og aktiviteter. Der er således både en risiko for, at nogle med et reelt behov ikke får
støtte, mens andre uden et reelt behov får støtte. Begge former for manglende præcision i indretningen
af ordningerne forårsager et støttespild.
8
FIU, Alm.del - 2019-20 - Bilag 190: Rapport fra den økonomiske ekspertgruppe vedrørende udfasning af hjælpepakker
Samtidig er der en række administrative aspekter knyttet til implementeringen af pakkerne, og for
særligt mindre virksomheder kan der være barrierer for at søge om støtte, ligesom der uundgåeligt er
risiko for omgåelse og snyd. Det afspejler som nævnt, at hjælpepakkerne var akutte tiltag, og derfor var
det i sagens natur ikke muligt at foretage grundige analyser og langvarige overvejelser af designet, lige-
som det var nødvendigt at basere ordninger på relativt enkle og operationelle administrative systemer.
Hjælpepakkerne har kriterier knyttet til blandt andet omsætningsfald og hjemsendelse af lønmodta-
gere. Disse forhold er i mange tilfælde relateret til effekten af nedlukningen, men effekten af nedluk-
ningen er ikke præcist afspejlet i disse størrelser. Der kan være mange andre årsager til nedgang i om-
sætning og beskæftigelse, da der underliggende i økonomien hele tiden er stor dynamik med ændrin-
ger i omsætning, behov for arbejdskraft mv.,
jf. kapitel 6.
Der vil med sikkerhed blive givet støtte til virksomheder, som også ville have oplevet en markant om-
sætningsnedgang i fravær af krisen. I nogle tilfælde kan hjælpepakkerne derfor give en overkompensa-
tion, når almindelig forretningsrisiko dækkes. Dette kan dog i nogen grad modvirkes af, at der ikke ge-
nerelt er 100 pct. dækning, dvs. der er en selvrisiko i hjælpepakkerne. Problemerne ved ordninger med
upræcis målretning bliver større, desto længere tid hjælpepakkerne er gældende.
Indretningen af hjælpepakkerne har den indbyggede mekanisme, at der gives mest hjælp til dem, der
er hårdest ramt. Ud fra et forsikrings-/kompensationsperspektiv giver det god mening. Omvendt ska-
ber det også nogle incitamentsproblemer, jf. kapitel 3 og 4, da virksomhederne ikke nødvendigvis har
et kortsigtet incitament til at øge aktiviteten, selv om gradvis genåbning giver mulighed for det.
Det er også et åbent spørgsmål, hvad hjælpepakkerne skal kompensere. Er det alene konsekvenserne
af nedlukningen eller også andre årsager til, at omsætning og behovet for arbejdskraft er faldende? Det
er oplagt svært præcist at fastlægge ”skadesvirkningen” af nedlukningen og dermed den rimelige
støtte/kompensation herfor.
En lavkonjunktur (uanset hvor alvorlig den kan være) håndteres ikke normalt eller mest hensigtsmæs-
sigt ved direkte virksomhedsstøtte eller ved subsidier for at fastholde arbejdskraft i bestemte job. Der
er langt bedre instrumenter i den generelle konjunktur- og arbejdsmarkedspolitik. Markedsudsving er
en del af det at drive forretning; der er gode, og der er dårlige tider.
Det er en særlig udfordring, at nogle erhverv
særligt de hjemmemarkedsorienterede serviceerhverv
er direkte påvirket af den danske nedlukning, mens de eksportorienterede erhverv i større udstræk-
ning er påvirket af nedlukninger og den generelle økonomiske udvikling på deres afsætningsmarkeder.
De udenlandske nedlukninger kan også påvirke forsyningskæderne for mange virksomheder.
Da genåbningen ikke sker samtidigt i alle lande, og Danmark er blandt de første til at genåbne, kan der
opstå en problematik i forhold til de mere eksportorienterede erhverv. Der kan være virksomheder, der
endnu ikke for alvor har mærket konsekvenserne af pandemien, da ordrebøgerne først nu er begyndt
at tynde ud eller vil gøre det i løbet af den kommende tid. Disse erhverv kan opleve stigende udfordrin-
ger senere på året, mens andre dele af erhvervslivet har aftagende behov for støtte. Dilemmaet er, at
der normalt ikke forsikres for udsving i den globale økonomi, men den aktuelle situation er særlig, og
lukninger af virksomheder og afskedigelse af medarbejdere kan få langsigtede økonomiske konsekven-
ser. Risikoen er, at specialiseringsmønstre i den internationale arbejdsdeling, som er oparbejdet over
en længere periode, kan ændre sig og udløse en længerevarende tilpasningsperiode.
9
FIU, Alm.del - 2019-20 - Bilag 190: Rapport fra den økonomiske ekspertgruppe vedrørende udfasning af hjælpepakker
Dette giver anledning til et yderligere aspekt, da de enkelte landes hjælpepakker i sagens natur hjælper
landenes egne virksomheder. Hjælpepakkerne har således også et element af industri- og handelspoli-
tik, og hvis andre lande opretholder deres støtte, kan der opstå et skævt konkurrenceforhold. Der er
ideelt set behov for koordinering
som minimum på EU-niveau - for at undgå indirekte handelshin-
dringer. Det er på nuværende tidspunkt uklart, om dette problem løses automatisk ved, at landene ud-
faser hjælpepakkerne, eller om delelementer af støtteordninger bibeholdes for at støtte specifikke er-
hverv. Spørgsmålet indgår ikke i den videre diskussion i denne rapport.
Hjælpepakkerne er grundlæggende designet til at mindske risikoen for, at et midlertidigt og hårdt stød
(nedlukningen) får væsentlige langsigtede effekter. Genåbningen er nu i gang, og dermed er præmis-
sen for fortsatte hjælpepakker mindre, også selv om der er elementer af krisen, der trækker ud.
Der er en ny sundhedssituation, også selv om smitterisikoen er reduceret. Opmærksomhed og bekym-
ring knyttet til smitterisikoen kan påvirke adfærden i en lang periode (hvilket ud fra et sundhedsfagligt
perspektiv kan være hensigtsmæssigt). Genåbningen er også forbundet med en række adfærdsregule-
rende forholdsregler og anbefalinger. Mere generelt er der ingen krise uden strukturtilpasninger. Un-
derliggende strukturelle forandringer påvirkes eller fremskyndes af krisen. Krisen har øget e-handel,
hvilket kan forstærke presset på traditionel detailhandel. Forbrugernes præferencer for deltagelse i ak-
tiviteter med mange deltagere, som messer eller kulturbegivenheder, kan have ændret sig. Nye rejse-
mønstre kan påvirke turismesektoren. Krisen har givet ny indsigt og erfaring med hjemmearbejde og
virtuelle møder, hvilket kan påvirke arbejdsmarkedet. Den internationale arbejdsdeling kan ændre sig
som følge af øget fokus på forsyningssikkerhed og kontrol over forsyningskæder.
Hjælpepakkerne er baseret på den enkelte virksomheds situation målt ved fald i omsætning og hjem-
sendelse af medarbejdere. Men den enkelte virksomheds situation afhænger ikke kun af generelle øko-
nomiske forhold, men også af, hvor godt den er ledet, hvor godt den tilpasser sig nye forhold osv. At
basere kompensationen på virksomhedsspecifikke forhold skaber derfor uheldige incitamentsproble-
mer, som kan bremse konkurrence og omstillinger. Hvis en branche er i fremgang, er det ikke oplagt,
at enkelte virksomheder i branchen stadig skal have støtte, jf. nedenfor.
Det er en udfordring, at hjælpepakkerne - især den direkte støtte - har en
status quo bias.
De tager ud-
gangspunkt i forholdene inden krisens påbegyndelse. Økonomien er imidlertid ikke stationær
hver-
ken normalt eller i krisesituationer. Der er løbende tilpasninger med en høj dynamik på arbejdsmarke-
det med tilgang og afgang fra job, ligesom virksomheder lukker, og nye åbner, jf. kapitel 6. Disse pro-
cesser blokeres i et vist omfang af pakkerne. Der er derfor samfundsøkonomiske omkostninger ved at
fastholde hjælpepakkerne for længe, da den underliggende dynamik reduceres, og tilpasningsprocesser
i økonomien bremses. Mens midlertidige hjælpepakker kan modvirke en dyb og langvarig krise, kan de
komme til at forstærke de økonomiske problemer, hvis de fastholdes for længe.
Genåbning og hjælpepakker
Hvis smitterisikoen er elimineret eller bragt under kontrol efter en kort periode, og hele økonomien
kan genåbnes på et givet tidspunkt, er det umiddelbart oplagt, at hjælpepakkerne skal udfases. I et så-
dant genåbningsscenarie er der ikke længere behov for hjælpepakkerne, og de vil i stort omfang af-
skaffe sig selv, når virksomhederne genvinder den tabte omsætning og igen har brug for alle deres an-
satte.
10
FIU, Alm.del - 2019-20 - Bilag 190: Rapport fra den økonomiske ekspertgruppe vedrørende udfasning af hjælpepakker
Så enkelt er forløbet imidlertid ikke af en række grunde. Smitterisikoen er ganske vist nedbragt, men
det skyldes i høj grad nedlukningen og adfærdsændringer. Så længe der ikke er fundet effektive be-
handlingsformer eller en vaccine, er der en latent risiko for, at smittespredningen øges. Mulighederne
for at håndtere en eventuelt anden smittebølge og behov for nye nedlukninger bør derfor indgå i over-
vejelserne. Dog vil der være mulighed for at gennemføre sådanne nedlukninger mere differentieret fx i
forhold til geografi eller aldersgrupper for at mindske de afledte økonomiske effekter, jf. rapporten
vedrørende genåbning af Danmark.
Den økonomiske udvikling afhænger af mange forhold. På nogle områder kan det tage tid at genstarte
aktiviteterne, og for nogle aktiviteter er genåbningen knyttet sammen med krav og restriktioner; af-
stand mellem kunder, hygiejne osv. Men efterspørgslen kan også ændre sig. Den økonomiske adfærd
afhænger ikke alene af ”hårde” facts, men også forventninger, tillid, sikkerhed og meget mere. Det kan
påvirke ikke alene efterspørgselsniveauet for både forbrug og investeringer, men også sammensætnin-
gen af efterspørgslen (aktiviteter med stor smitterisiko undgås). Det står også klart, at coronakrisen
har udløst en global økonomisk krise, der både kan blive dyb og langvarig. Det påvirker mange ek-
sportorienterede virksomheder.
Den økonomiske udvikling bliver således samtidigt påvirket af sundhedsforhold, nedlukningsrestrikti-
oner, hjælpepakker, adfærd og globale økonomiske forhold. Adskillelsen af de enkelte komponenter
rummer oplagte vanskeligheder. Hjælpepakkerne var i udgangspunktet primært begrundet i en for-
ventning om en kortvarig nedlukning. Selvom en genåbningsproces nu er igangsat, vil økonomien fort-
sat være negativt påvirket af mange andre forhold.
En genåbning af økonomien er således ikke ensbetydende med, at økonomien hurtigt vender tilbage til
en situation svarende til forholdene i starten af året. Derfor vil hjælpepakkerne ikke automatisk afvikle
sig selv på kortere sigt. Samtidig genåbnes økonomien gradvist, og forskellige dele af økonomien er
forskelligt påvirket. En for hurtig afvikling af hjælpepakkerne kan således give utilsigtede problemer,
hvis der ikke sættes noget andet i stedet.
Den nye situation har flere implikationer for den økonomiske politik. Genåbningen er for mange bran-
cher forbundet med krav til afstand mellem kunder, hygiejne osv., der enten begrænser kapaciteten
eller øger produktionsomkostningerne. Det er ikke ukendt, at begrænsninger pålægges forskellige for-
mer for økonomisk aktivitet, uden det giver anledning til kompensation. Det særlige ved disse restrik-
tioner er, at de er indført med kort varsel og derfor med begrænset mulighed for tilpasning. Det kan
være et argument for en særlig tidsbegrænset støtte. På sigt må virksomhederne imidlertid konkurrere
under de nye forhold, og dem, der bedst kan tilpasse sig en ny efterspørgselsstruktur, vil være rentable
og overleve (fx restauranter, der kan tilbyde den største ”anti-smitte tryghed”). Tilsvarende gælder for
eventuelt øgede omkostninger for kunderne som følge af tiltag for at mindske smittespredning. Her er
en tilpasning nødvendig, og kunderne får nu et andet produkt
– ”nu med lavere smitterisiko” –
der må
være en betalingsvillighed for (dog kan der være behov for tilpasninger med reguleret prisfastsættelse).
Med hjælpepakkerne har samfundet reelt investeret i en option: Kapaciteten er bevaret for at kunne
udnytte den, hvis det giver mening, dvs. hvis det er samfundsmæssigt rentabelt. Denne option er ind-
gået under betydelig usikkerhed med hensyn til fremtidige vilkår. Ændrede vilkår indtruffet i mellem-
tiden gør, at aktivitetens fremtid må revurderes. Fordi der initialt er investeret i, at produktionskapaci-
teten skal holdes intakt, er det således ikke automatisk ensbetydende med, at støtten skal opretholdes i
takt med en genåbning af økonomien. Til eksempel kan et fald i efterspørgslen efter restaurantbesøg
betyde, at der ikke længere er behov for det samme antal eller typer af restauranter. Den økonomiske
11
FIU, Alm.del - 2019-20 - Bilag 190: Rapport fra den økonomiske ekspertgruppe vedrørende udfasning af hjælpepakker
politik kan ikke tilrettelægges ud fra en målsætning om at føre økonomien tilbage til en situation sva-
rende til perioden før coronakrisen. Det er hverken muligt eller ønskværdigt, jf. ovenfor omkring
strukturforandringer.
Effekterne af krisen kan ikke undgå at føre til en periode med stigende ledighed og flere konkurser til
følge. Hjælpepakkerne indeholder tiltag, som ikke normalt ville være brugt under et økonomisk tilba-
geslag. Heller ikke et dybt tilbageslag som under finanskrisen. Grundlæggende er den type tiltag ikke
egnede til at understøtte økonomisk aktivitet og beskæftigelse, da de fastlåser erhvervsstrukturen, dvs.
udbuddet, og ikke generelt styrker efterspørgslen i økonomien.
Mulige veje i en udfasning af hjælpepakkerne
En udfasning af hjælpepakkerne må tage sit udgangspunkt i formålet med disse pakker og deres speci-
fikke indretning. Hjælpepakkerne var tænkt som en kortvarig støtte i en periode under forudsætning
om, at den sundhedsbegrundede nedlukning hurtigt kunne ophæves, og at økonomien hurtigt kunne
vende tilbage til mere normale forhold. Udviklingen på både det sundhedsmæssige og økonomiske
område har imidlertid vist sig at være mere kompleks, og derfor er en udfasning af hjælpepakkerne
også forbundet med en række spørgsmål og problemstillinger.
En udfasning af hjælpepakkerne kan ske på flere måder. Grundlæggende kan udfasningen gøres tidsaf-
hængig eller afhængig af den økonomiske udvikling.
Selvom der er en ”selvafviklingsmekanisme” ind-
bygget i hjælpepakkerne, er denne ikke tilstrækkelig, og der er behov for en eksplicit exit-strategi.
En tidsafhængig afvikling kan enten være et ophør af ordninger på et bestemt tidspunkt eller en grad-
vis aftrapning fx af kompensationssatserne for de faste udgifter over en given periode. Hjælpepakkerne
er aftalt med udløb per 8. juli. En fast udløbsdato udfordres af, at de økonomiske effekter ikke på
samme måde er datofastlagt. Omvendt er der gennemført og planlagt en række genåbninger, som lig-
ger før denne dato, og disse områder har fået en tilpasningsperiode inden den 8. juli. En tidsafhængig
afvikling kombinerer en støtte i et vist tidsrum med et klart signal om, at denne støtte ophører.
Afviklingen kan også gøres afhængig af den økonomiske udvikling fx omsætningen i en given branche
eller arbejdsløsheden. En sådan udfasningsmodel har den fordel, at den mere direkte er knyttet til den
økonomiske udvikling. I modsætning til en tidsafhængig afvikling er den ikke afhængig af bestemte
forventninger til den økonomiske udvikling. Afviklingen er fleksibelt tilpasset udviklingen i økono-
mien. Til gengæld kan en sådan model være sværere at administrere, og den afhænger af indsamling
og offentliggørelse af data som grundlag for tilpasning af støtten. Der kan endvidere være oplagte kate-
goriseringsudfordringer med at udpege og definere specifikke brancher, der måtte være specielt nødli-
dende.
Hjælpepakkerne har i deres nuværende form også en tilstandsafhængig afvikling, nemlig den pågæl-
dende virksomhedsomsætning og behov for hjemsendelse af arbejdskraft. En ulempe ved det aktuelle
design er, at det er betinget udelukkende på virksomhedsspecifikke forhold. Et problem, der forstær-
kes, desto længere hjælpepakkerne videreføres i uændret form. En dårligt ledet virksomhed kan såle-
des fortsat få støtte, selvom branchen samlet set er i fremgang og er ved at overvinde effekterne af ned-
lukningsrestriktionerne. Det er mere hensigtsmæssigt, at støtten er betinget på markeds- eller bran-
chespecifikke forhold og dermed bliver gradvist reduceret, i takt med at situationen i branchen forbed-
res. Det sikrer støtte, samtidig med at et konkurrenceforhold opretholdes mellem virksomhederne, og
der er incitamenter til innovation i forhold til den nye sundhedssituation. En afvikling baseret på bran-
chespecifikke forhold udfordres dog af, at det ikke i alle tilfælde er muligt at definere en branche helt
12
FIU, Alm.del - 2019-20 - Bilag 190: Rapport fra den økonomiske ekspertgruppe vedrørende udfasning af hjælpepakker
præcist (fx kan virksomheder i et vist omfang selv vælge deres branchekode). Der vil også være en tids-
forsinkelse i indsamling af information, der kan skabe øget usikkerhed om vilkårene for den enkelte
virksomhed.
De direkte støtteordninger kan også gradvist udfases, samtidig med at visse lånemuligheder/garantier
fastholdes og eventuelt udbygges. Det vil være overgang til en mere markedskonform regulering, hvor
virksomhederne bidrager med en større medfinansiering, men samtidig får mulighed for at løse de
akutte problemer. En sådan model øger incitamenterne til at tilpasse sig den nye situation. Et afgø-
rende forhold er her at sikre en effektiv kreditvurdering på markedsvilkår, så alene rentable virksom-
heder får adgang.
Hjælpepakkerne omfatter allerede likviditet- og lånetiltag, og disse har i sagens natur en efterfølgende
afviklingsperiode i form af afdrag og betaling af eventuelle renter. Nogle lande har ordninger med di-
rekte statsligt ejerskab, hvilket indebærer, at staten ikke kun bærer risiko ved dårligt udfald, men også
får del i fortjenesten i gode tider. Med en sådan model er det helt afgørende, at der findes den rigtige
governance model.
En udfasning af hjælpepakkerne bør ske samtidig med at mere traditionel ekspansiv finanspolitik tager
over. Der skal således forberedes et beredskab til at føre en ekspansiv politik for at understøtte efter-
spørgslen og dermed sikre udnyttelse af den støttede produktionskapacitet. Et skift fra direkte støtte
rettet mod den enkelte virksomhed til en indirekte støtte via efterspørgselspolitikken er mere mar-
kedskonform, da det sætter ”konkurrencen fri”. Den præcise timing og dosering af finanspolitikken bør
dog være nøje afstemt med den økonomiske udvikling. Det ligger uden for denne rapports rammer at
vurdere behov og design af konjunkturpolitiske tiltag.
Hjælpepakkerne har været nødvendige som en midlertidig akut indsats i forhold til nedlukningen af
økonomien. De indeholder dog også usædvanlige elementer, der ikke kan opretholdes uden store sam-
fundsøkonomiske omkostninger, ikke alene for de offentlige finanser, men især via en bremse på om-
stillinger og tilpasninger. Disse dynamiske processer er helt afgørende for at komme ud af den økono-
miske krise, der er en konsekvens af coronaepidemien. Konsekvenserne af den økonomiske krise og
omstillingsprocessen skal også ses i perspektiv af den generelle indretning af den danske samfundsmo-
del med et socialt sikkerhedsnet og en generel høj tilpasningsevne i erhvervslivet og på arbejdsmarke-
det.
13
FIU, Alm.del - 2019-20 - Bilag 190: Rapport fra den økonomiske ekspertgruppe vedrørende udfasning af hjælpepakker
3. Hjælpepakker i Danmark
For at inddæmme og afbøde smitten med coronavirus lukkede dele af Danmark ned i midten af marts.
Formålet med nedlukningen var at begrænse en række aktiviteter, som kan medføre smittespredning.
Det betød lukning af daginstitutioner, skoler og uddannelsesinstitutioner, kulturinstitutioner, bibliote-
ker og fritidstilbud. Alle offentligt ansatte uden kritisk funktion blev hjemsendt, og der blev opfordret
til, at privatansatte arbejdede mest muligt hjemmefra. En række serviceerhverv
herunder frisører og
tatovører, restauranter, caféer, natklubber og fitnesscentre
blev lukket sammen med blandt andet
storcentre.
Beslutningen om at lukke Danmark ned er løbende blevet fulgt op af en række hjælpepakker til at af-
bøde de afledte negative økonomiske konsekvenser af nedlukningen og ændret adfærd. Nærværende
kapitel ser nærmere på disse hjælpepakkers udformning, udbredelse og egenskaber, herunder incita-
mentsvirkninger, som baggrund for at kunne indgå i vurderingen af behovet for at videreføre eller ud-
fase de pågældende hjælpepakker.
De første initiativer til at holde hånden under dansk økonomi blev offentliggjort i den første halvdel af
marts. Det blev blandt andet besluttet at styrke likviditeten i danske virksomheder ved at udskyde fri-
sten for betaling af A-skat og moms samt at indføre en kompensationsordning til arrangører med ar-
rangementer med mindst 1.000 deltagere. Der er indført fire garantiordninger til nye lån til virksom-
heder, og den kontracykliske kapitalbuffer er blevet frigivet. Medio marts blev der indgået en treparts-
aftale om en midlertidig lønkompensationsordning for lønmodtagere på det private arbejdsmarked, og
den 19. marts blev der præsenteret en støttepakke til dansk erhvervsliv med blandt andet kompensa-
tion for virksomheders faste omkostninger, kompensationsordning for selvstændige, freelancere mv.
samt lempelser i ydelsessystemet.
I slutningen af marts og i løbet af april er der desuden løbende blevet lavet nye aftaler om hjælpepak-
ker, forlængelser og udvidelser af eksisterende hjælpepakker, herunder sektorspecifikke ordninger på
kultur- og medieområdet, samt matchfinansieringstiltag i Vækstfonden målrettet iværksættere og
vækstvirksomheder.
Selvom hjælpepakkerne er både generelle og meget brede, er de baseret på simple kriterier knyttet til
fx omsætningsfald og omfang af hjemsendelse af medarbejdere. Målretningen i forhold til konsekven-
serne af nedlukningerne er derfor ikke i alle tilfælde helt præcis. Derfor kan der være virksomheder og
lønmodtagere, som ikke bliver kompenseret på lige fod med andre. Omvendt kan der også være givet
støtte i tilfælde, hvor problemerne ikke skyldes nedlukningerne. Dertil kommer administrative om-
kostninger forbundet med håndteringen af hjælpepakkerne og endelig risikoen for snyd og misbrug.
Helt grundlæggende skal hjælpepakkernes gevinster for samfundsøkonomien ses i forhold til de di-
rekte og indirekte omkostninger.
Beskrivelse af hjælpepakkerne
Hjælpepakkerne kan opdeles i tre hovedgrupper; midlertidige kompensationsordninger, likviditets-
ordninger (herunder garantier) og ordninger på arbejdsmarkedsområdet,
jf. tabel 3.1.
Listen er ikke
udtømmende. Hjælpepakker er i nærværende rapport afgrænset til disse tre hovedgrupper, og mere
14
FIU, Alm.del - 2019-20 - Bilag 190: Rapport fra den økonomiske ekspertgruppe vedrørende udfasning af hjælpepakker
2198255_0016.png
traditionelle økonomiske tiltag af fx finans- og pengepolitisk karakter indgår ikke. Der er nogle bran-
cher, der skiller sig ud ved helt særlige forhold. Det gør sig fx gældende for luftfart. Rapporten har ikke
særskilte analyser og forslag i forhold til disse brancher.
Tabel 3.1
Oversigt over hjælpepakker som følge af udbruddet af coronavirus pr. 18. maj 2020
Afsat
ramme
Midlertidige kompensationsordninger (støtte)
Lønkompensationsordningen
Selvstændige, freelancere mv.
Virksomheders faste omkostninger
Freelancere mv. med både A- og B-indkomst (kombinatører)
Aflysning af større arrangementer
Tabt annonceomsætning (medier)
Kunstnere med kombineret A- og B-indkomst
Særligt nødlidende kulturinstitutioner mv.
Højskoler, Folkeuniversitetet og aftenskoler
Bevilget
til dato
------- Mia. kr. -------
10,2
14,1
65,3
0,2
2,4
0,24
0,1
0,2
0,17
8,3
3,4
0,6
-
0,02
-
-
-
-
Likviditetsordninger
Garantier for udlån til SMV'er og større virksomheder
Rejsegarantifonden
Hjælp til rejsebranchen i lyset af coronakrisen
Statslig garantidækning til virksomheders handel og eksport
Matchfinansieringstiltag i Vækstfonden samt kapitalindskud
Garantier til SAS fra den danske stat
Øgede lånemuligheder for elever og studerende
Ekstra slutlånsrater
Udskydelse af betalinger af moms og A-skat mv. og fremrykning af udbetalinger for skattekreditter
Rentefrit lån til små og mellemstore virksomheder
Offentlige indkøb: Fremrykning af betalinger og fleksibilitet
48,5
1,5
0,7
30
3,4
1
0,6
0,02
166,3
35,4
-
3,0
0,06
-
-
-
-
-
-
-
-
-
Ordninger på arbejdsmarkedsområdet
Midlertidige lempelser i dagpengesystemet (suspendering af anciennitetstæller mv.)
Suspendering af 225-timersreglen
Timekravet for skattefri seniorpræmie nedsættes midlertidigt
Sygedagpengerefusion til arbejdsgivere
Varslingspulje og afbureaukratisering af regler vedr. arbejdsfordeling
0,4
< 0,1
< 0,1
1,7
< 0,1
-
-
-
-
-
Note:
Afsat ramme
er de oprindelige skøn for budgetrammer, som er behæftet med stor usikkerhed. Trækket på ordningerne kan vise sig
at være markant mindre eller markant større end anslået. Det er ikke alle ordninger, hvor der foreligger tal for bevillinger til dato.
Kilde: Finansministeriet, Erhvervsministeriet og Kulturministeriet.
Nogle initiativer i hjælpepakkerne kræver ikke ansøgning, fx udskydelse af betalingsfrister. Andre ord-
ninger, herunder kompensationsordningerne, kræver ansøgning. Flere af ordningerne kræver ikke, at
virksomheden er direkte pålagt sundhedsmæssigt begrundede restriktioner eller nedlukningskrav.
Helt overordnet har alle private virksomheder mulighed for at søge, uanset om det er en personlig ejet
15
FIU, Alm.del - 2019-20 - Bilag 190: Rapport fra den økonomiske ekspertgruppe vedrørende udfasning af hjælpepakker
2198255_0017.png
virksomhed eller en virksomhed, der drives i selskabsform, men virksomhederne skal opfylde en
række krav,
jf. boks 3.1.
Boks 3.1
Midlertidige kompensationsordninger (ekskl. ordninger på kulturområdet)
Lønkompensationsordningen
Virksomheder, der står overfor at skulle varsle afskedigelser for minimum 30 pct. af medarbejderstaben eller mere end 50 an-
satte, kan med ordningen få lønkompensation. Der er dog aftalt en vis fleksibilitet, jf. afsnit om lønkompensationsordningen i
indeværende kapitel. Lønkompensationen fra staten er 75 pct. af de pågældende medarbejderes løn for funktionærer, dog mak-
simalt 30.000 kr. pr. måned, hvis de vælger at hjemsende medarbejderne i stedet for at afskedige dem. For ikke-funktionærer
kan lønkompensationen udgøre 90 pct., dog maksimalt 30.000 kr. pr. måned pr. omfattet fuldtidsansat. Lønmodtagerne beta-
ler med 5 dages ferie pr. 3 måneder. Virksomhederne må ikke afskedige medarbejdere, mens de bruger ordningen. Virksomhe-
den og medarbejderne kan aftale lønnedgang med medarbejderne og derefter indtræde i ordningen med udgangspunkt i den
nye aftale. Medarbejderne vil i det tilfælde ikke skulle afholde ferie.
Der kan ikke søges om kompensation for løn til virksomhedsejer, der ejer mere end 25 pct. eller til en administrerende direktør.
Det er muligt at få kompensation for både fuldtidsbeskæftigede og deltidsbeskæftigede. I lønkompensationsordningen indgår
der ikke yderligere krav om, at virksomheden fx skal opleve et omsætnings- eller indkomsttab.
Kompensationsordning for selvstændige, freelancere mv.
Ordningen betyder, at mindre selvstændige og freelancere mv., der oplever en nedgang i omsætning eller B-indkomst på mindst
30 pct. som konsekvens af coronavirus, kan blive kompenseret. Kompensationen fra staten er 90 pct. af omsætningsnedgangen,
dog maksimalt 23.000 kr. pr. måned. Kompensationen kan udgøre op til 46.000 kr. pr. måned, hvis den selvstændige har en
medarbejdende ægtefælle. Det er også muligt at få støtte fra ordningen for selvstændige uden CVR-nr., som har oplevet et fald i
B-indkomsten på mindst 30 pct. Den selvstændige kan i så fald få dækket 90 pct. af B-indkomsttabet, dog maksimalt 23.000 kr.
pr. måned. Kompensationsgraden udgør 100 pct. af omsætnings- eller B-indkomsttabet for de selvstændige og freelancere, som
ved bekendtgørelse har forbud mod at holde åbent og ikke har omsætning eller B-indkomst. Der gives kompensation til virk-
somhedsejere, som ejer mindst 25 pct. af virksomheden, og som arbejder i virksomheden. Dvs. der kan gives kompensation
svarende til op til 4 ejere. Omsætning henholdsvis B-indkomst skal være på minimum 10.000 kr. om måneden. Ordningen gæl-
der for selvstændige med maksimalt 25 ansatte.
Omsætningsnedgang beregnes som et gennemsnit over en periode på enten 3 måneder (fra den 9. marts til 8. juni) eller 4 må-
neder (fra den 9. marts til den 8. juli). Hvis der søges for perioden efter 8. juni søges der samlet for alle 4 måneder. Det forven-
tede omsætningsfald opgøres i gennemsnit over hele perioden i forhold til en referenceperiode året før. Denne referenceperiode
er i udgangspunktet perioden fra og med 1. april 2019 til og med 30. juni 2019 (også for freelancere med både A- og B-ind-
komst). Kompensationen med tillæg af renter skal tilbagebetales, hvis indtægtstabet bliver mindre end 30 pct., eller hvis den
selvstændiges indkomst for indkomståret 2020 kommer til at overstige 800.000 kr.
Kompensation for virksomheders faste omkostninger
I ordningen kan virksomheder få godtgjort dokumenterbare faste omkostninger, herunder fx husleje, renteudgifter og uopsige-
lige kontraktbundne udgifter i en periode (fx leasing), hvis virksomhederne har en stor omsætningsnedgang. Andelen af de
faste omkostninger, der kompenseres, følger omsætningsnedgangen: 80 pct., hvis omsætningsnedgangen har været på 80-100
pct., 50 pct. hvis omsætningsnedgangen har været på 60-80 pct., og 25 pct. hvis omsætningsnedgangen har været på 35-60 pct.
Det forventede omsætningsfald opgøres i gennemsnit over hele perioden i forhold til en referenceperiode året før. Denne refe-
renceperiode er i udgangspunktet perioden fra og med 1. april 2019 til og med 30. juni 2019. For virksomheder, som ikke har
haft omsætning i denne periode, danner perioden fra og med 1. december 2019 til og med 29. februar 2020 grundlag for opgø-
relsen. For helt nye virksomheder, som heller ikke har haft omsætning i denne periode, danner perioden fra stiftelsestidspunk-
tet frem til og med 9. marts 2020 grundlag for opgørelsen.
Virksomheder, som er omfattet af regeringens forbud mod at holde lokaler åbent og som ingen omsætning har i perioden, kan
få kompensation svarende til 100 pct. af de omfattede faste omkostninger, så længe forbuddet er gældende. Virksomheder kan
maksimalt få udbetalt 110 mio. kr. i alt, ligesom virksomheder som minimum skal have faste omkostninger svarende til 12.500
kr. for en kompensationsperiode på tre måneder for at kunne få kompensation.
For virksomheder, der modtager mere end 60 mio., kr. fra ordningen, er det en betingelse, at virksomheden ikke har kapitalaf-
gang, herunder udbetaler udbytte eller foretager aktietilbagekøb, i regnskabsår med balancedag i 2020 og 2021, medmindre
aktietilbagekøbet sker som følge af individuel aftale med medarbejdere i virksomheden eller virksomhedens datterselskab eller
virksomhedens bestyrelsesmedlemmer indgået før 9. marts 2020.
16
FIU, Alm.del - 2019-20 - Bilag 190: Rapport fra den økonomiske ekspertgruppe vedrørende udfasning af hjælpepakker
2198255_0018.png
Kompensationsordning for freelancere mv. med både A- og B-indkomst
Freelancere mv., der oplever et tab af A- og B-indkomst på mindst 30 pct., kan modtage kompensation. Kompensationen udgør
90 pct. af det forventede A- og B-indkomsttab i perioden sammenlignet med forudgående år, dog maksimalt 20.000 kr. pr.
måned. Målgruppen for ordningen er personer, som har haft en samlet A- og B-indkomst samt skattepligtigt overskud fra selv-
stændig virksomhed på mindst 10.000 kr. i gennemsnit pr. måned i det seneste år. Heraf skal mindst 5.000 kr. pr. måned være
B-indkomst, og højst 20.000 kr. må være A-indkomst. Kompensationen med tillæg af renter skal tilbagebetales, hvis indtægts-
tabet bliver mindre end 30 pct., eller hvis den selvstændiges indkomst for indkomståret 2020 kommer til at overstige 800.000
kr.
Kompensationsordning for aflysning af større arrangementer
Kompensationsordningen henvender sig til arrangører af større arrangementer, som aflyses, ændres væsentligt eller udskydes
på grund af coronavrius. Ordningen omfatter enkeltstående arrangementer på mere end 350 deltagere. Ordningen gælder både
private arrangører og arrangører, der er primært er finansieret af offentlige driftstilskud. Ordningen løber fra 6. marts til 31.
august.
Alle hjælpepakker, som er vedtaget under coronakrisen, er midlertidige. Mange af initiativerne er for
nuværende sat til en varighed på fire måneder med udløb den 8. juli. Det gælder den midlertidige løn-
kompensationsordning, kompensationsordningen for selvstændige og freelancere, kompensationsord-
ning for freelancere med kombineret A- og B-indkomst, kompensationsordning for virksomheders fa-
ste omkostninger og en række af kompensationsordningerne på kulturområdet.
De midlertidige lempelser i ydelsessystemet
såsom suspendering af anciennitetstællingen for dag-
penge, suspendering af 225-timers-reglen og længere sygedagpengeperiode
fastholdes frem til 30.
juni.
For en række af de statslige garantiordninger målrettet små og mellemstore virksomheder og større
virksomheder er der ansøgningsfrist den 15. oktober 2020. For matchfinansieringsordningerne i
Vækstfonden er ansøgningsfristen ultimo 2020.
I takt med at samfundet åbnes, adfærden normaliseres, og aktiviteten i samfundet genoptages, vil om-
sætningen i mange virksomheder stige. Det vil betyde, at nogle virksomheder ikke længere kan gøre
brug af de kompensationsordninger, der er knyttet op på et omsætningsfald. Tilsvarende kan virksom-
heder i lønkompensationsordningen tilbagekalde medarbejdere på arbejde i hele dage, når der opstår
behov og fx kommer nye ordrer.
Det er et krav, at der kun kan opnås støtte til konkrete udgifter én gang på tværs af ordninger. Det in-
debærer blandt andet, at der i de statslige garantiordninger for pengeinstitutters finansiering af ny li-
kviditet modregnes anden modtaget kompensation, fx lønkompensation eller kompensation for faste
omkostninger, i det mulige lånebeløb. Kompensationen skal ikke tilbagebetales og er derfor mere at-
traktiv for virksomhederne end låntagning, hvorfor disse ordninger i et vist omfang fortrænger brugen
af garantiordningerne.
En udfasning af kompensationsordninger vil derfor alt andet lige forventes at øge efterspørgslen efter
de statslige garantiordninger, da virksomhederne kan opnå garantier for større lånebeløb. Samtidig
må likviditetsudfordringerne forventes at blive øget blandt virksomheder, der ellers har kunnet an-
vende kompensationsordningerne, i takt med at disse udfases,
jf. boks 3.2.
17
FIU, Alm.del - 2019-20 - Bilag 190: Rapport fra den økonomiske ekspertgruppe vedrørende udfasning af hjælpepakker
2198255_0019.png
Boks 3.2
Likviditetsordninger (udvalgte)
Garantier for udlån til SMV’er og større virksomheder
Der er indført en række statslige garantiordninger for b.la. pengeinstitutters nyudlån til SMV’er og større virksomheder. Ord-
ningerne garanterer som hovedregel 70 pct. af bankernes nye udlån til ellers sunde virksomheder, der oplever betydelig omsæt-
ningsnedgang som følge af coronakrisen. Garantierne har en løbetid på op til 7 år. Det er en forudsætning for at blive omfattet
af ordningerne, at man har oplevet eller forventer at opleve en omsætningsnedgang på over 30 pct. i en periode på minimum 14
dage inden for perioden 1. marts 2020 til 30. september 2020.
Der kan ikke ydes garanti for lånebeløb, der overstiger den opgjorte omsætningsnedgang. Omsætningsnedgangen opgøres som
forskellen mellem virksomhedens omsætning i den realiserede del af perioden, der søges om garanti på baggrund af, og omsæt-
ningen i den tilsvarende periode i 2019, fraregnet eventuel kompensation for tab modtaget fra andre statslige ordninger, forsik-
ringer eller lignende. Hvis der er stillet garanti på baggrund af et forventet omsætningstab, og det efterfølgende viser sig, at
omsætningstabet var lavere end 30 pct., vil garantien dog ikke bortfalde. For ansøgninger om garanti, hvor der ikke foreligger
regnskabstal for virksomhedens omsætning i den relevante periode i 2019, eller hvor omsætningen i den relevante periode i
2019 ikke er retvisende for den omsætning, som virksomheden forventeligt ville have haft efter 1. marts 2020, fx fordi der er
tale om en virksomhed i betydelig vækst, opgør pengeinstituttet skønsmæssigt virksomhedens omsætningstab på grundlag af
virksomhedens budgetterede omsætning.
Ordningerne administreres af Vækstfonden og EKF Danmarks Eksportkredit. Ordningerne for større virksomheder fungerer på
markedsvilkår, mens der er afsat tabsrammer til finansiering af SMV-garantierne på grund af deres højere risikoprofil. Ordnin-
gerne kan søges til og med den 15. oktober 2020.
Rejsegarantifonden
Med en styrkelse af Rejsegarantifonden er fondens formål midlertidigt udvidet, således at den også kan yde kompensation for
rejseselskabers tilbagebetalingsomkostninger forbundet med aflyste og afbrudte rejser i forbindelse med coronapandemien i
perioden fra 26. januar, hvor Udenrigsministeriet skærpede sin rejsevejledning, og frem til 10. maj 2020. Samtidig har Rejsega-
rantifonden fået adgang til en statslig garanti på 1,5 mia. kr. med henblik på at sikre, at fonden har tilpas likviditet til at kunne
efterkomme krav om kompensation. Lånet vil blive tilbagebetalt af rejseselskaberne over en årrække.
Statslig garantidækning til virksomheders handel og eksport
For at sikre de danske virksomheder adgang til forsikring af deres handel og eksport oprettes en statslig garantidækning, hvor
staten påtager sig en del af kreditforsikringsselskabers risiko for tab på porteføljen af handelsforsikringer tegnet i hele 2020 til
gengæld for, at de private kreditforsikringsselskaber forpligter sig til at opretholde en vis forsikringskapacitet i det danske mar-
ked. Ordningen administreres af EKF Danmarks Eksportkredit. Der er afsat en statslig garantiramme på 30 mia. kr. for 2020,
heraf en tabsramme på 5 mia. kr. Ordningen er afgrænset til 2020.
Matchfinansieringstiltag i Vækstfonden samt kapitalindskud
Der er etableret to matchfinansieringsordninger i Vækstfonden målrettet iværksætterne i de tidligere faser og venturevirksom-
heder. Vækstfonden vil på porteføljeniveau finansiere mellem 75 pct. og 100 pct. af finansieringerne med lån. Dvs. at Vækstfon-
den som minimum vil tilbyde 1:3-matching og for nogle virksomhedstyper tilbyde fuld statslig finansiering. Vækstfonden er
desuden tilført ny kapacitet på 1,2 mia. kr. til investeringer både direkte i virksomheder og via fonde. Det skal bidrage til at
fylde de huller i markedet, der opstår, fordi de private investorer strammer vilkårene eller trækker sig helt ud af markedet for
risikovillig kapital.
Udskydelse af betalingsfristerne for A-skat, AM-bidrag, moms og lønsumsafgift
For A-skat og AM-bidrag er betalingsfristerne for månederne april, maj og juni 2020 udskudt med 4 måneder. Den næste gang,
hvor virksomhederne skal betale indeholdt A-skat og AM-bidrag er dermed i juli. De udskudte betalingsfrister for april, maj og
juni 2020 vil være identiske med betalingsfristerne for månederne august, september og oktober 2020. Betalingerne for august,
september og oktober 2020 vil derfor umiddelbart resultere i dobbeltbetalinger for virksomhederne.
For moms er betalingsfristerne for månedsafregnede (store) virksomheder blevet forlænget med 30 dage for marts, april og maj
2020. De normale angivelses- og betalingsfrister gælder dermed fra juni måned, hvor de store virksomheder i juli-august 2020
vil skulle angive og betale 3 måneders moms. Små og mellemstore virksomheder har fået forlænget afgiftsperioderne, da angi-
velses- og betalingsfristerne ikke kan udskydes yderligere i overensstemmelse med EU-lovgivning. Det medfører, at små virk-
somheders betalingsfrist for afregning af moms for 1. halvår 2020 er udskudt fra den 1. september 2020 til den 1. marts 2021,
hvor disse virksomheder også skal afregne moms for 2. halvår 2020. Mellemstore virksomheders betalingsfrist for afregning af
moms for 1. kvartal 2020 er udskudt fra den 2. juni til den 1. september 2020, hvilket er samme tidspunkt, som virksomhe-
derne afregner moms for 2. kvartal 2020.
18
FIU, Alm.del - 2019-20 - Bilag 190: Rapport fra den økonomiske ekspertgruppe vedrørende udfasning af hjælpepakker
2198255_0020.png
For at ligestille ikke-momspligtige virksomheder, der afregner lønsumsafgift efter den såkaldte metode 4, med momspligtige
virksomheder, er betalingsfristerne for lønsumsafgift for metode 4-virksomheder (tandlæger, fysioterapeuter, ergoterapeuter
og vognmænd, herunder taxa mv.) udskudt. Helt konkret er betalingsfristen for 2. og 3. kvartal udskudt med hhv. 1�½ og 1 må-
ned.
Udbetaling af indbetalt moms til SMV’er samt indbetalt lønsumsafgift til visse virksomheder som rentefrit lån
For at styrke små og mellemstore virksomheders likviditet har disse virksomheder fået adgang til at få udbetalt et beløb, der
svarer til den moms, de har indbetalt den 2. marts 2020, som et rentefrit lån. Virksomheder, der afregner lønsumsafgift efter
metode 4, har ligeledes fået adgang til at få udbetalt et beløb svarende til den lønsumsafgift, der er indbetalt den 15. april 2020
samt en kvartalsmæssig andel (¼) af lønsumsafgiften for overskud for indkomståret 2019, som et rentefrit lån. Lånene vil
skulle tilbagebetales senest den 1. april 2021.
Tidligere udbetaling af skattekreditter
For at styrke likviditeten i små og mellemstore virksomheder med forsknings- og udviklingsaktiviteter er det besluttet at ind-
føre en tidligere udbetaling af skattekreditter for indkomståret 2019. Udbetalinger fra skattekreditordningen fremrykkes såle-
des ekstraordinært fra november 2020 til juni. Virksomhederne ansøger om tidligere udbetaling. Der vil være krav om, at an-
søgningen ledsages af en revisorerklæring. Der vil senere ske en nærmere kontrol af udbetalingerne.
Lønkompensationsordningen
Virksomheder, der står overfor at skulle varsle afskedigelser for minimum 30 pct. af medarbejdersta-
ben eller mere end 50 ansatte som følge af coronakrisen, kan med den midlertidige kompensations-
ordning få lønkompensation. Der er samtidig en vis fleksibilitet i ordningen. Blandt andet kan virk-
somheder, der eksempelvis modtager nye ordrer under lønkompensationsperioden, genindkalde hjem-
sendte medarbejdere.
Virksomhederne skriver under på
på tro og love
at hjemsendelserne sker som følge af krisen med
coronavirus. De fyringstruede medarbejdere, der søges lønkompensation for, skal være hjemsendte, og
virksomhederne forpligter sig til ikke at afskedige medarbejdere i støtteperioden af økonomiske årsa-
ger. Dog er fyringer af andre årsager fortsat tilladt.
I lønkompensationsordningen indgår der altså ikke et eksplicit krav om, at virksomheden fx skal op-
leve et omsætnings- eller indkomsttab. Uden et reelt bindende hjemsendelseskrav vil det derfor være
vanskeligt objektivt at identificere de virksomheder, der reelt har fyringstruede medarbejdere som
følge af coronakrisen.
Der er dog efter dialog med arbejdsmarkedets parter efterfølgende aftalt en vis fleksibilitet i lønkom-
pensationsordningens hjemsendelseskrav. Det omfatter:
Variation mellem medarbejdere,
således at der kan indrapporteres forskellige perioder for hver
enkelt af de berørte medarbejdere, hvilket giver fleksibilitet i forhold til udskiftning af hjemsendte
medarbejdere.
Mulighed for at indkalde medarbejdere i enkeltdage.
Det betyder i praksis, at virksomheden fx
kan hjemsende alle medarbejdere i 2 dage om ugen og modtage kompensation via lønkompensati-
onsordningen for disse dage.
Mulighed for at genindkalde, hvis der opstår særlige behov.
Hvis der under lønkompensationspe-
rioden opstår uforudsete behov
eksempelvis hvis en virksomhed modtager nye ordrer, som den
ikke forventede
kan hjemsendte medarbejdere omfattet af lønkompensation genindkaldes til
arbejdet i en periode (målt i hele dage). I den efterfølgende kontrol skal virksomheden tilbagebe-
tale lønkompensation for de dage, hvor de pågældende medarbejdere var tilbagekaldt på arbejde.
Virksomheden skal ved ansøgningstidspunktet opfylde hjemsendelseskravet, men dage, hvor
19
FIU, Alm.del - 2019-20 - Bilag 190: Rapport fra den økonomiske ekspertgruppe vedrørende udfasning af hjælpepakker
2198255_0021.png
medarbejderen på grund af uforudsete omstændigheder genindkaldes, indgår ikke i opgørelsen af,
om der leves op til kravene for at indgå i ordningen.
Der vil ikke kunne udbetales lønkompensation for dage, hvor medarbejdere er genindkaldt på arbejde.
Forsikringselementer og incitamenter
Lønkompensationsordningen er karakteriseret ved et højt kompensationsniveau for medarbejderne.
Udgangspunktet er, at medarbejderne får fuld løn under hjemsendelse,
jf. figur 3.1.
Der er dog krav
om, at medarbejderen skal afholde op til 5 feriedage pr. 3 måneders hjemsendelse. Hvis virksomheden
anvender ordningen i 4 måneder, opskaleres kravet til antallet af afholdte feriedage forholdsmæssigt.
Dette krav svarer beregningsteknisk til en lønreduktion på knap 9 pct., men skal dog ses i lyset af, at
medarbejderen er hjemsendt på fuld tid og under normale omstændigheder også ville bruge feriedage i
perioden.
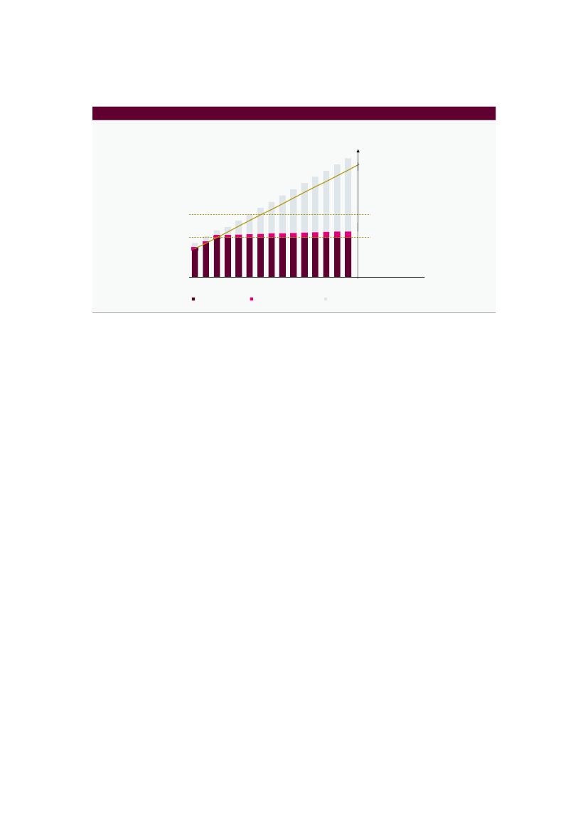
Figur 3.1
Lønkompensation med 90 pct. tilskud (ikke–funktionær)
Fordeling af lønudgifter
90 pct.
30.000
kr.
19.083 kr.
(dagpengemaks.)
15 18 21 24 27 30 33 36 39 42 45 48 51 54 57
Statens bidrag
Arbejdsgivers bidrag
Normal løn (1.000 kr.)
Anm.: Figuren viser ikke effekten af, at medarbejderen skal holde 5 feriedage pr. 3 måneders hjemsendelse.
Kilde: Egne beregninger.
Virksomheden kan aftale lønnedgang med medarbejderne, inden de går ind i ordningen. Aftalen skal
være frivillig og tage udgangspunkt i gældende overenskomster. Hvis der laves aftale om lønnedgang
bidrager medarbejderne ikke med 5 feriedage pr. 3 måneders hjemsendelse.
For den hjemsendte medarbejder, der får fuld løn under hjemsendelse, indebærer det, at medarbejde-
ren har et begrænset incitament til at søge et nyt job. Der er derfor risiko for indlåsning af arbejdskraft.
Dette virker hæmmende på mobiliteten på arbejdsmarkedet, som ellers er en af styrkerne ved den dan-
ske arbejdsmarkedsmodel,
jf. kapitel 6.
Virksomhederne finansierer som udgangspunkt 25 pct. af medarbejderens løn for funktionærer og 10
pct. for øvrige. Medfinansieringen er højere for så vidt angår højtlønnede, idet der er et loft på 30.000
kr. pr. måned på den løn, der kompenseres. Det betyder, at når medarbejderens løn er tilstrækkeligt
høj
over 40.000 kr. pr måned for funktionærer
så er virksomhedens medfinansiering stigende med
lønnen.
20
FIU, Alm.del - 2019-20 - Bilag 190: Rapport fra den økonomiske ekspertgruppe vedrørende udfasning af hjælpepakker
For virksomheder, der har medarbejdere på lønkompensationsordningen, og samtidig modtager kom-
pensation fra andre støtteordninger, der afhænger af omsætningsfald, er der et uhensigtsmæssigt inci-
tament til at fastholde medarbejderen på lønkompensation, især hvis medarbejderens arbejdskraft
ikke kan benyttes fuldt ud. Det skyldes, at omsætningsstigningen, som den pågældende medarbejder
kan medføre ved at genindtræde i sin stilling, kan reducere kompensationen fra de øvrige kompensati-
onsordninger, samtidig med at lønkompensationen reduceres.
I beslutningen om brug af ordningen har virksomhederne således skulle afveje lønudgifter til hjem-
sendte medarbejdere mod de omkostninger, der vil være, såfremt virksomheden alternativt afskediger
medarbejdere, herunder omkostninger til rekruttering, oplæring mv., når der igen bliver behov for ar-
bejdskraft.
Staten finansierer den resterende del af lønudgiften. Anvendelse af ordningen medfører således store
udgifter for staten.
I den ekstraordinære situation med nedlukning som følge af coronakrisen var der risiko for et stort tab
af jobmatch. Lønkompensationsmodellen virker hensigtsmæssigt under den forudsætning, at hjem-
sendte efter en kort periode kan vende tilbage til deres job. Ordningen medvirker således til, at eksiste-
rende produktive jobmatch fastholdes, hvilket har værdi i en situation med midlertidig og pludselig
opstået efterspørgselsmangel. Alternativt var der en stor risiko for, at genopretningen af dansk øko-
nomi ville tage markant længere tid. Det må lægges til grund, at mange lønmodtagere, der har været i
ordningen siden etableringen, allerede er tilbage i job, jf. senere i nærværende kapitel.
Arbejdsfordelingsordningen
Ved midlertidige tilbageslag i efterspørgslen kan der i visse virksomheder etableres en arbejdsforde-
ling. Det kan ske med hjemmel i en overenskomst, eller der kan indgås aftale om arbejdsfordeling. Ved
arbejdsfordeling kan medarbejderne modtage supplerende dagpenge i den periode, de er hjemsendt.
Arbejdsfordeling er dermed primært en mulighed for forsikrede arbejdstagere.
Arbejdsfordelinger etableret gennem kollektiv aftale skal tiltrædes kollektivt af alle omfattede medar-
bejdere i virksomheden, en afdeling eller en bestemt produktionsenhed. Virksomheden kan ligesom i
lønkompensationsmodellen egenhændigt beslutte arbejdsfordeling, såfremt der er adgang hertil i en
overenskomst.
Arbejdsfordelingsordninger findes primært i overenskomster på industriens og byggeriets område. Der
er således tale om et redskab, der ikke findes i alle overenskomster i dag.
Arbejdsfordelingsordningen gør det muligt at nedsætte den overenskomstmæssige arbejdstid i en peri-
ode, uden at de berørte medarbejdere afskediges, fx i perioder med manglende ordretilgang.
Arbejdstiden skal enten være nedsat med:
Hele dage og mindst 2 dage pr. uge
1 uges arbejde på fuld tid fulgt af 1 uges ledighed
2 ugers arbejde på fuld tid fulgt af 1 uges ledighed
2 ugers arbejde på fuld tid fulgt af 2 ugers ledighed
Det er muligt for virksomhederne at skifte mellem typerne af arbejdsfordeling, når en cyklus i arbejds-
fordelingen er afsluttet.
21
FIU, Alm.del - 2019-20 - Bilag 190: Rapport fra den økonomiske ekspertgruppe vedrørende udfasning af hjælpepakker
2198255_0023.png
Der er efter reglerne om supplerende dagpenge ingen begrænsninger for, hvor længe man kan være på
arbejdsfordeling og modtage supplerende dagpenge. En arbejdsfordeling ud over 13 uger (inden for ét
år) skal dog godkendes af det Regionale Arbejdsmarkedsråd (RAR). Ret til dagpenge under en arbejds-
fordeling bortfalder, hvis der i perioden sker afskedigelser af samme årsag, som har begrundet ar-
bejdsfordelingen.
Forsikringselementer og incitamenter
Under arbejdsfordeling kan dagpengeberettigede medarbejdere få supplerende dagpenge i perioder,
hvor de går hjemme på grund af nedsat arbejdstid,
jf. figur 3.2.
Uger, hvor et medlem får supplerende
dagpenge i forbindelse med arbejdsfordeling, tæller ikke med i forhold til tidsbegrænsningen for ret til
supplerende dagpenge, men medarbejdere bruger af den almindelige dagpengeret. Arbejdsfordelings-
ordningen medfører en indkomstnedgang for arbejdstager. Dette giver et incitament til at søge nyt
fuldtidsarbejde og mindsker risikoen for indlåsning af arbejdskraft. Dog er en medarbejder omfattet af
arbejdsfordeling fritaget for jobsøgning i de første 6 uger.
Figur 3.2
Arbejdsfordeling
periode med hjemsendelse (omregnet til månedsniveau)
Fordeling af lønudgifter
90 pct.
30.000
kr.
19.083 kr.
(dagpengemaks.)
15 18 21 24 27 30 33 36 39 42 45 48 51 54 57 Normal løn (1.000 kr.)
Statens bidrag
Lønnedgang
Anm.: Figuren illustrerer supplerende dagpenge mv. opgjort på månedsniveau. Det bemærkes, at personer på arbejdsfordeling kun kan
være hjemsendt med supplerende dagpenge i to uger, hvorefter der vil være en mellemliggende periode på 2 uger med arbejde,
før der kan være en ny periode på 2 uger med dagpenge.
Kilde: Egne beregninger.
Medarbejdere, der ikke har ret til dagpenge, har mulighed for søge om supplerende kontanthjælp i for-
hold til de almindelige regler, herunder regler om ægtefælleafhængighed, formue og modregning af
indtægter.
Arbejdsgiveren betaler dagpengegodtgørelse for 1. og 2. ledighedsdag (G-dage). Der er ingen løbende
medfinansiering fra virksomheden, idet virksomheden kun betaler for arbejdskraften for den tid, hvor
arbejdskraften kan anvendes. Virksomheden skal dog fortsat afholde eventuelle udgifter forbundet
med fri telefon, internet til hjemmearbejdspladser, tillægssundhedsforsikring mv. for medarbejdere.
Den begrænsede løbende omkostning for virksomhederne giver incitament til at ’holde på’ en stor del
af arbejdskraften via arbejdsfordelingsordningen både i forhold til antallet af omfattede personer og
varigheden af arbejdsdelingen. Det kan føre til indlåsning af arbejdskraft og hæmme mobiliteten på
arbejdsmarkedet.
22
FIU, Alm.del - 2019-20 - Bilag 190: Rapport fra den økonomiske ekspertgruppe vedrørende udfasning af hjælpepakker
2198255_0024.png
Brug af lønkompensation og arbejdsfordeling
Virksomheder i erhverv, som har været helt eller delvist nedlukket med henblik på at inddæmme smit-
tespredning, har stået over for valget mellem afskedigelser, hjemsendelse med lønkompensation eller
brug af arbejdsfordelingsordning.
I lønkompensationsordningen kan virksomhederne søge om kompensation for antallet af hjemsendte
medarbejdere, hvis de står over for at skulle varsle afskedigelser for minimum 30 pct. af medarbejder-
staben eller mere end 50 ansatte. Virksomheder, som har relativt mange medarbejdere, de ikke kan
beskæftige, vil således kunne søge om relativt mest støtte i form af delvis refusion for afholdte lønud-
gifter for hjemsendte. Det gælder fx de tidligere tvangslukkede erhverv, herunder restauranter, caféer,
værtshuse, biografer og frisører, men også andre erhverv med fyringstruede ansatte,
jf. figur 3.3.
Figur 3.3
Erhverv med flest medarbejdere i lønkompensationsordning (berørte) i perioden 9. marts til 18. maj 2020
1.000 personer
0
Restauranter
Cafeér, værtshuse, diskoteker mv.
Tøjforretninger
Praktiserende tandlæger
Hoteller
Serviceydelser i forbindelse med luftfart
Sportsklubber
Detailhandel med personbiler, varebiler og minibusser
Engroshandel med beklædning
Frisørsaloner
Ruteflyvning
Anden restaurationsvirksomhed
Fitnesscentre
Almindelig rengøring i bygninger
Forhandlere af sports- og campingudstyr
Engroshandel med andre maskiner og andet udstyr
Pizzeriaer, grillbarer, isbarer mv.
Fysio- og ergoterapeuter
Biografer
Detailhandel med ure, smykker og guld- og sølvvarer
0,0
Antal virksomheder (nedre akse)
2,5
5,0
7,5
10,0
12,5
15,0
1.000 virksomheder
5
10
15
20
25
30
Antal lønkompenserede
Anm.: Antal medarbejdere på lønkompensation samt antallet af virksomheder, de er ansat i pr. 18. maj 2020. Opgørelsen tager ikke
højde for, at nogle virksomheder har fyret medarbejdere, inden de trådte ind i ordningen.
Kilde: Erhvervsstyrelsen, Danmarks Statistik og egne beregninger.
Det bemærkes, at antallet af lønkompenserede medarbejdere vedrører berørte medarbejdere siden
ordningens indførsel, idet der ikke registreres afgang fra lønkompensationsordningen.
I forhold til den samlede private beskæftigelse opdelt på brancheniveau er der flest lønkompenserede
inden for hoteller og restauranter samt kultur og fritid,
jf. figur 3.4.
23
FIU, Alm.del - 2019-20 - Bilag 190: Rapport fra den økonomiske ekspertgruppe vedrørende udfasning af hjælpepakker
2198255_0025.png
Figur 3.4
Lønkompenserede (berørte) i perioden 9. marts til 18. maj 2020 og tilgang af ledige i forhold til branchebe-
skæftigelsen
Pct. af privat beskæftigelse i branchen
0
5
10
15
20
25
30
35
40
Hoteller og restauranter
Kultur og fritid
Transport
Sundhed og socialvæsen
Handel
Rejsebureauer, rengøring mv.
Ejendomshandel og udlejning
Industri
Information og kommunikation
Undervisning
Videnservice
Vandforsyning og renovation
Råstofindvinding
Bygge og anlæg
Finansiering og forsikring
Landbrug, skovbrug og fiskeri
Energiforsyning
0
5
10
15
20
25
30
35
40
Pct. af privat beskæftigelse i branchen
Lønkompenserede
Nettotilgang af ledige
Anm.: Figuren angiver andel personer, der har modtaget lønkompensation i perioden 9. marts til 18. maj 2020, og nettotilgang af ledige
fra 9. marts til 18. maj 2020, i forhold til beskæftigelsen i den private sektor på brancheniveau i november 2018, jf. den registerba-
serede arbejdsstyrkestatistik. Tallene er ikke direkte sammenlignelige, idet der ikke registreres afgang fra lønkompensationsord-
ningen. Der ses bort fra offentlig administration, forsvar og politi.
Kilde: Styrelsen for Arbejdsmarked og Rekruttering, Erhvervsstyrelsen, Danmarks Statistik og egne beregninger.
Arbejdsfordelinger nyder generelt meget beskeden udbredelse, men ordningen bruges hyppigt i krise-
tider og senest under finanskrisen, hvor antallet af personer i arbejdsfordeling (med supplerende dag-
penge i op til 13 uger) steg voldsomt fra et par hundrede personer i september 2008 til knap 18.000
personer i april 2009,
jf. figur 3.5.
Figur 3.5
Personer i arbejdsfordeling med supplerende dagpenge
1.000 personer
20
1.000 personer
20
15
15
10
10
5
5
0
2008
2009
2010
2011
2012
2013
2014
2015
2016
2017
2018
2019
2020
0
Anm.: Arbejdsfordelingssager med supplerende dagpenge i op til 13 uger fra januar 2008 til april 2020.
Kilde: Jobindsats.
Under den nuværende krise er antallet af personer i arbejdsfordeling ligeledes vokset markant fra et
par hundrede personer i februar 2020 til 8.000 personer i april 2020. Udviklingen i den nuværende
24
FIU, Alm.del - 2019-20 - Bilag 190: Rapport fra den økonomiske ekspertgruppe vedrørende udfasning af hjælpepakker
situation skal desuden ses i sammenhæng med udbredelsen af lønkompensationsordningen, som i
store træk tjener det samme formål som arbejdsfordelingsordningen, men er mere favorabel for de
hjemsendte.
Ordninger på arbejdsmarkedsområdet
Nedlukningen og den øvrige inddæmningsstrategi har svækket de lediges mulighed for at søge beskæf-
tigelse. Desuden har den aktive beskæftigelsesindsats været midlertidigt suspenderet, herunder be-
skæftigelsesindsatsens kontaktforløb, aktive tilbud mv. Ledige har således ikke været forpligtet til at
stå til rådighed for arbejdsmarkedet, ligesom krav i den aktive indsats (fx kravet om jobsøgning og del-
tagelse i samtaler) er suspenderet.
Der er lempet en række regler på ydelsesområdet for at afbøde de negative økonomiske konsekvenser,
som coronakrisen kan få for ydelsesmodtagere i en midlertidig periode. Det omfatter blandt andet:
Suspendering af anciennitetstælling i dagpengesystemet.
Tiltaget indebærer, at anciennitetstæl-
lingen i dagpengeperioden sættes på pause, så ledighed i marts-juni ikke medregnes i dagpenge-
perioden.
Suspendering af arbejdsgiverens betaling af dagpengegodtgørelse (G-dage).
Tiltaget medvirker
til at reducere arbejdsgivernes udgifter og indebærer, at virksomhedernes omkostninger samt ad-
ministration ved arbejdsfordeling og hjemsendelse begrænses.
Suspendering af 225-timersreglen.
Med tiltaget sættes timekravet i kontanthjælpssystemet på
pause. Det betyder, at kontanthjælpsmodtagere i en periode ikke får nedsat deres ydelse på grund
af manglende beskæftigelse.
Længere sygedagpengeperiode.
Tiltaget indebærer, at ingen sygedagpengemodtagere midlerti-
digt overgår til lavere ydelse i de såkaldte jobafklaringsforløb. Med ordningen kan sygedagpenge-
modtagere få forlænget deres sygedagpengeperiode med op til knap fire måneder.
Lavere timekrav for optjening af seniorpræmie.
Timekravet for optjeningen af seniorpræmien er
normalt 1.560 timers beskæftigelse over 12 måneder. Tiltaget indebærer et midlertidigt timekrav
på 1.040 timer årligt (svarende til en nedsættelse på 4 måneder) for optjening af seniorpræmie for
personer, som er i gang med optjening af seniorpræmie.
De midlertidige ordninger skal ses i lyset af i en ekstraordinær situation som følge af den påbudte mid-
lertidig nedlukning af dele af den offentlige og private sektor.
Hjælpepakkernes design
De virksomheder, som oplever størst omsætningsnedgang, får mest støtte. Det skyldes, at flere af ord-
ningerne er direkte koblet op på omsætningsnedgangen.
Det gælder fx i forhold til kompensationsordningen for virksomheders faste omkostninger, hvor kom-
pensationsgraden afhænger af den realiserede omsætningsnedgang i forhold til en referenceperiode
året før,
jf. figur 3.6.
25
FIU, Alm.del - 2019-20 - Bilag 190: Rapport fra den økonomiske ekspertgruppe vedrørende udfasning af hjælpepakker
2198255_0027.png
Figur 3.6
Sammenhæng mellem kompensationsgrad for faste omkostninger og realiseret omsætningsnedgang
Kompensationsgrad i pct.
100
Kompensationsgrad i pct.
100
80
80
60
60
40
40
20
20
0
< 35 pct.
35 - 60 pct.
60 - 80 pct.
80 - 100 pct.
Tvangslukning
Realiseret omsætningsnedgang
0
Kilde: Egen tilvirkning.
Virksomheder, hvor der er udstedt midlertidigt forbud mod at drive forretning for at inddæmme smit-
tespredning, og som ingen omsætning har i perioden, kan få kompensation svarende til 100 pct. af de
omfattede faste omkostninger, så længe forbuddet gælder.
Incitamentsvirkninger
Sammenhængen mellem kompensationsgrad og omsætningsnedgang har til hensigt at sikre, at de
mest ramte virksomheder får mest støtte, men det hæmmer samtidig i et vist omfang virksomhedernes
incitament til at holde aktiviteten oppe, afvikle omkostninger og i det hele taget omstille sig for at øge
omsætningen under coronakrisen.
For eksempel får selvstændige kompensation på 90 pct. af tabt omsætning over 30 pct., op til 23.000
kr. pr. måned. Det hæmmer selvstændiges incitament til at øge omsætningen og øger incitamentet til
at udskyde fakturering, så omsætningsfaldet kommer ned under 30 pct. i de relevante måneder. Det
kan især have betydning for virksomheder med et omsætningsfald lige omkring grænsen.
For nogle virksomheder kan kompensation for faste omkostninger og lønkompensationsordningen ar-
bejde imod hinanden. Nye ordrer kan fx give anledning til at kalde en hjemsendt medarbejder på ar-
bejde, men virksomheden mister i så fald kompensation for den pågældende medarbejder i de dage,
vedkommende kaldes tilbage. Samtidig risikerer virksomheden at miste kompensation for faste om-
kostninger, hvis omsætningen stiger,
jf. nedenfor.
Særligt kompensationsordningen for virksomheders faste omkostninger er forbundet med tydelige in-
citamentsproblemer, fordi kompensationsniveauet som nævnt afhænger (ikke-lineært) af virksomhe-
dernes omsætningsnedgang i kompensationsperioden.
Således kan selv små udsving i omsætningsnedgangen
alt andet lige
betyde markante udsving i
dækningen. For virksomheder med en realiseret omsætningsnedgang tæt på overgangen til et nyt trin i
’kompensationstrappen’, vil der sågar være incitament til at mindske omsætningen yderligere for at få
større kompensation og et bedre nettoresultat.
26
FIU, Alm.del - 2019-20 - Bilag 190: Rapport fra den økonomiske ekspertgruppe vedrørende udfasning af hjælpepakker
2198255_0028.png
Eksempelvis
har virksomheder, som står på tærsklen til et højere trin i ’kompensationstrappen’ (fx
virksomheder med en omsætning lige over 40 pct. af niveauet i referenceperioden sidste år), stort inci-
tament til at få nedbragt omsætningen marginalt, så omsætningen falder til mindre end 40 pct. af ni-
veauet i referenceperioden. Det vil nemlig betyde, at virksomheden ender med en omsætningsnedgang
lige over 60 pct., hvilket giver anledning til en højere kompensationsgrad og dermed
alt andet lige
et bedre resultat. Dette er illustreret med et eksempel i
figur 3.7.
Figur 3.7
Eksempel på betydning af kompensation for faste omkostninger afhængig af omsætning i kompensationsperi-
oden
Omsætning ÷ faste omkostninger + kompensation
60
Kompensation for faste
omkostninger bortfalder
40
Kompensationsgraden
sænkes fra 80 til 50 pct.
20
Kompensationsgraden
sænkes til 25 pct.
20
40
Omsætning ÷ faste omkostninger + kompensation
60
0
0
-20
0
5
10
15
20
25
30
35
40
45
50
55
60
65
70
75
80
85
90
95
100
Omsætning i pct. af referenceperiode
Større omsætningsnedgang
Mindre omsætningsnedgang
-20
Anm.:
Der ses på virksomhedens ’overskud’ –
alt andet lige
i form af omsætning fratrukket faste omkostninger og tillagt kompensation
for faste omkostninger, som afhænger af omsætningsnedgangen. For eksemplets skyld antages det, at der er tale om en ikke-
tvangslukket virksomhed med en omsætning i referenceperioden sidste år på 100 og faste omkostninger i kompensationsperio-
den på 50.
Kilde: Egen tilvirkning.
Der er ligeledes stor tilskyndelse til at tilrettelægge betalinger og aktivitet på en måde, så omsætningen
skabes (eller registreres) uden for kompensationsperioden.
En række virksomheder vil have mulighed for at søge flere hjælpepakker samtidig. Fx vil en restau-
rantejer med fire ansatte have mulighed for at søge kompensation for hjemsendte medarbejdere via
lønkompensationsordningen, og dertil kompensation for faste omkostninger samt kompensation for
omsætningstab via ordningen for selvstændige og freelancere mv. For sådanne virksomheder kan det
være nyttigt at se på den samlede betydning af de forskellige hjælpepakker på virksomhedens resultat i
forhold til resultatet året før.
Betydningen af de forskellige hjælpepakker illustreres i et stiliseret eksempel med en gennemsnitlig
restaurant i
boks 3.3.
I det omfang virksomhederne spekulerer i muligheden for at øge omsætningsnedgangen for at kunne
få større kompensation, vil omkostningen øges for staten, samtidig med at den økonomiske aktivitet
mindskes unødigt. Reelt kan incitamenterne i kompensationsordningen således være med til at for-
værre tilbagegangen.
27
FIU, Alm.del - 2019-20 - Bilag 190: Rapport fra den økonomiske ekspertgruppe vedrørende udfasning af hjælpepakker
2198255_0029.png
Boks 3.3
Betydning af hjælpepakker for en gennemsnitlig restaurant
Her er der taget udgangspunkt i en gennemsnitlig restaurant med én ejer og fire ansatte (årsværk), en omsætning på 3,4 mio.
kr. og et årsresultat på 157.000 kr. Det antages desuden, at restauranten er lukket i to måneder efterfulgt af (knap) to måneder
med nedsat efterspørgsel, hvilket resulterer i en gennemsnitlig omsætningsnedgang på 45 pct. over de 4 måneder, hvor hjælpe-
pakkerne er dækkende. Resten af året er uforandret omsætningsmæssigt. Der er generelt taget højde for, at hjælpepakkerne
ikke er gældende i fulde 4 måneder. Herefter gøres årets resultat op og sammenstilles med status quo for virksomheden (sidste
års resultat), hvilket danner et indeks over årets resultat.
I det nedenstående eksempel gør restauranten brug af alle tre hjælpepakker, hvilket samlet set efterlader restauranten med et
resultat, der er 27 pct. under sidste års resultat,
jf. tabel a.
Tabel a
Regneeksempel for gennemsnitlig restaurant med omsætningsnedgang på 45 pct. set over 4 måneder
1.000 kr.
Omsætning
Omsætningsnedgang på 45 pct.
Hjælpepakke til selvstændige (23.000 kr. pr. måned)
I alt
Faste omkostninger
Hjælpepakke til dækning af faste omkostninger (25 pct.)
I alt
Lønudgifter
Hjælpepakke til lønkompensation (2 ansatte hjemsendt)
I alt
Variable omkostninger
Nedjusteres med omsætningsnedgang
I alt
Årets resultat
Indeks (sidste års resultat = 100)
Sidste års regnskab
3.420
Regnskab 2020
(uden hjælpepakker)
3.420
- 513
2.910
943
943
1.175
1.175
1.147
-172
975
- 184
-117
Regnskab 2020
(med hjælpepakker)
3.420
- 513
+ 81
2.990
943
- 74
869
1.175
- 143
1.032
1.147
-172
975
115
73
3.420
943
943
1.175
1.175
1.147
1.147
157
100
Det er den anslåede omsætningsnedgang (her på 45 pct.), som har betydning for den udbetalte kompensation i ordningen for
virksomheders faste omkostninger. I forhold til kompensation via ordningen til selvstændige er det kombinationen af omsæt-
ningsnedgang og størrelsen af det absolutte tab, som afgør kompensationsniveauet, og som her rammer loftet på 23.000 kr. pr.
måned. Har virksomheden en omsætningsnedgang på 45 pct. og ikke modtager kompensation via hjælpepakkerne, mindskes
årets resultat umiddelbart til -184.000 kr. Kompensation via ordningen for selvstændige, lønkompensation samt 25 pct. dæk-
ning af virksomhedens faste omkostninger bringer imidlertid årets resultat op på 115.000 kr., hvilket er ca. 27 pct. lavere end
sidste års resultat på 157.000 kr.,
jf. figur a.
Har virksomheden i stedet en større omsætningsnedgang på fx 80 pct., mindskes årets resultat umiddelbart til -450.000 kr.,
dvs. markant mere end ved en omsætningsnedgang på 45 pct. Til gengæld berettiger det store omsætningsfald til en større
kompensation, særligt for faste omkostninger (hvor kompensationsgraden stiger til 80 pct.). Den samlede kompensation brin-
ger virksomhedens resultat op på 84.000 kr., hvilket er 47 pct. mindre end året før.
Figur a
Bidrag fra enkelte hjælpepakker for en gennemsnitlig restaurant med omsætningsnedgang på 45 pct. hhv. 80 pct.
1.000 kr.
200
100
0
-100
+81
-200
-300
-400
-500
-
-
1.000 kr.
200
157
-341
+143
-
-
+74
115
157
84
+238
-607
100
0
-100
-200
+215
-300
+81
-400
-500
-
-
-
-
-
-
Omsætningsnedgang på 45 pct.
Årets resultat uden corona
Kompensation til selvstændige
Dækning af faste omkostninger
Omsætningsnedgang på 80 pct.
Resultatnedgang som følge af coronakrisen uden hjælpepakker
Lønkompensation
Årets resultat efter støtte
Anm.: Parametre fra en gennemsnitlig restaurant. Se bilag 3.1.
Kilde: Boston Consulting Group:
Internationale erfaringer i forbindelse med hjælpepakkedesign og exitstrategier.
28
FIU, Alm.del - 2019-20 - Bilag 190: Rapport fra den økonomiske ekspertgruppe vedrørende udfasning af hjælpepakker
Efterregulering og kontrol
Ordningerne har forskellige minimumskrav, men det gælder for dem alle, at virksomhederne søger om
kompensation uden på forhånd at kende deres faktiske omsætningsfald i kompensationsperioden.
Når virksomhederne ansøger om kompensation, foretages en række automatiske valideringer fx i CVR
og e-Indkomst-registret. Hvis ansøgningen ikke overholder én eller flere af de automatiske validerin-
ger, udtrækkes sagen til manuel behandling. Derudover gennemføres machine learning-kontroller, der
screener ansøgningerne for at finde svindelmønstre. Endvidere er der krav om anvendelse af revisor
for flere af ordningerne, hvilket også er et tiltag for at imødegå svindel.
Derfor gennemføres efterregulering og kontrol. For kompensationsordningen for virksomheders faste
omkostninger er det fx et krav, at virksomhederne senest den 8. december 2020 indsender en opgø-
relse over den faktiske omsætning og de faktiske faste omkostninger i kompensationsperioden. Der-
med vil den udbetalte kompensation blive efterreguleret svarende til den faktiske omsætningsnedgang
og de faktiske faste omkostninger.
I lønkompensationsordningen tilbagebetales i efterreguleringen kompensationen for de dage, som
virksomheden har genindkaldt medarbejdere i, hvis der er opstået behov.
Med
Aftale om hjælpepakker til lønmodtagere og virksomheder mv. i forbindelse med gradvis genåb-
ning af Danmark
af 18. april 2020 blev der afsat samlet 50 mio. kr. i 2020 og 2021 til indsatsen i Er-
hvervsstyrelsen mod svig med ordningerne. Midlerne vil blive brugt til kontroller baseret på machine
learning, som vil blive gennemført efter udbetalingerne og frem mod den efterfølgende kontrol af den
indsendte dokumentation for den udbetalte kompensation. De nye kontroller vil kunne bruges både til
at opdage, hvis der er udbetalt for meget eller uberettiget kompensation, som skal tilbagetales, og til at
opdage mere omfattende svindel, som er strafsanktioneret.
Der er en vis risiko for misbrug og svindel med ordningerne. Det kan fx være ukorrekte oplysninger om
faktisk antal hjemsendte på lønkompensation, eller at virksomheder lader hjemsendte medarbejdere
på lønkompensation arbejde i den hjemsendte periode. Der kan også ske svindel med ordninger fx i
form af ukorrekt indberetning af omsætningsnedgang, momssvig, konkursrytteri eller anden økono-
misk kriminalitet. For at reducere omfanget af uretmæssig støtte har Folketinget
blandt andet firedob-
let straffen, hvis personer eller virksomheder misbruger hjælpepakkernes støttemuligheder.
I forbindelse med efterreguleringen sker der kontrol med de anvendte oplysninger gennem samkøring
af registre på tværs af myndigheder (Erhvervsstyrelsens og SKAT’s registre), de faglige repræsentanter
på virksomhederne samt manuel sagsbehandling.
Overvejelser om hjælpepakkedesign
Hjælpepakkerne er generelle og meget brede. Der kan dog være virksomheder, som ikke kan få eller får
lavere støtte end andre. Det afspejler blandt andet nødvendige værnsregler.
Det er et grundlæggende krav for at få del i kompensation for virksomheders faste omkostninger samt
kompensationsordningen for selvstændige mv., at virksomheden skal være oprettet i CVR-registret se-
nest 9. februar 2020 (blandt andet for at forebygge snyd). Det kan betyde, at helt nyregistrerede virk-
somheder ikke kan få kompensation på linje med andre virksomheder.
Virksomheder, som i referenceperioden sidste år havde en meget lav omsætning, får en lavere kom-
pensation end tilsvarende virksomheder. Det er hensigtsmæssigt, hvis det skyldes, at virksomheden
29
FIU, Alm.del - 2019-20 - Bilag 190: Rapport fra den økonomiske ekspertgruppe vedrørende udfasning af hjælpepakker
underperformer, men det kan også ramme vækstvirksomheder, som siden sidste år ville have haft en
omsætningsfremgang i fravær af coronakrisen. Det bemærkes dog, at virksomheder kan søge om at an-
vende en anden og mere retvisende referenceperiode, som starter senere end 1. april 2019.
Der vil også være tilfælde, hvor virksomhedernes valg af selskabskonstruktion har betydning for deres
mulighed for at søge om kompensation fx for faste omkostninger. Det gælder eksempelvis kæder, som
har organiseret alle sine butikker under ét cvr-nummer. Her vil det være den samlede omsætningsned-
gang for kæden som helhed, som lægges til grund for ansøgningen om kompensation. Det kan fx have
betydning for virksomheder, hvor hovedparten af de underliggende enkeltbutikker er placeret i tvangs-
lukkede storcentre (som berettiger til 100 pct. kompensation), men hvor enkelte filialer er placeret i
gågader og dermed ikke har været tvangslukkede. Den valgte organisering kan dog muligvis i andre
tilfælde være en fordel for virksomheden.
Endelig medfører hjælpepakkernes begrænsede målretning, at der er stor risiko for støttespild. Selv i
gode år, er det således ikke ualmindeligt, at mange virksomheder oplever fald i omsætningen,
jf. boks
3.4.
30
FIU, Alm.del - 2019-20 - Bilag 190: Rapport fra den økonomiske ekspertgruppe vedrørende udfasning af hjælpepakker
2198255_0032.png
Boks 3.4
Virksomheder med omsætningsfald under normale konjunkturer
En række af kompensationsordninger er bundet op på markant omsætningsnedgang. Virksomheder, som har fremgang, vil
således ikke få adgang til disse pakker, mens virksomheder, som i forvejen er på en nedadgående trend med faldende omsæt-
ning, har lettere adgang. Denne boks
ser nærmere på, hvor mange virksomheder der i en ”normalsituation” oplever stor omsæt-
ningsnedgang.
Selv i gode regnskabsår, som i perioden 2013-2016, havde 45 pct. af virksomhederne i gennemsnit nedgang i omsætningen i
forhold til året før, og 14 pct. af virksomhederne havde en omsætningsnedgang på mere end 35 pct., som er kriteriet for at blive
berettiget til at få dækket faste udgifter,
jf. figur a.
Fald i omsætning fra et år til et andet er således ikke unormalt, og mange
virksomheder ville selv i normale regnskabsår være berettiget til de aktuelle hjælpepakker fra staten. Det betyder også, at kom-
pensationsordninger, som er knyttet op på omsætningsnedgang, ikke afskaffer sig selv.
Det er også normalt med betydelige omsætningsfald i de brancher, der er påvirket af coronakrisen. For eksempel har 23 pct. af
virksomhederne inden for kultur og fritid i gennemsnit haft fald i den årlige omsætningen på minimum 35 pct. i perioden 2013-
2016,
jf. bilag 3.3.
Det bemærkes, at hjælpeordningerne er baseret på nedgangen i omsætningen i nogle få måneder. Det er ikke muligt at opgøre
omsætningsnedgangen på månedsbasis i tilgængelig statistik, men det vil være væsentligt mere hyppigt med store udsving i
omsætningen jo kortere periode, der betragtes. Det vil sige, at risikoen for, at der ydes støtte til ikke-coranarelaterede omsæt-
ningsfald, formodentlig er større, end opgørelserne i dette afsnit indikerer.
Hertil kommer, at ovenstående opgørelser kun omfatter virksomheder, der har overlevet. I det omfang kompensationsordnin-
gerne bidrager til at opretholde virksomheder, der under normale vilkår ville være lukket, vil det udgøre et yderligere bidrag til
det potentielle støttespild.
Figur a
Fordeling af virksomhedernes ændrede omsætning i private byerhverv
Pct. af virksomhederne
60
50
40
31
30
30
Pct. af virksomhederne
60
50
40
55
45
22
20
10
16
14
20
13
7
4
2
0
Fald på
mindst 100
pct.
10
0
Stigning i
Fald i
omsætning omsætning
Fald på
mindst 10
pct.
Fald på
mindst 20
pct.
Fald på
mindst 30
pct.
Fald på
mindst 35
pct.
Fald på
mindst 40
pct.
Fald på
mindst 60
pct.
Fald på
mindst 80
pct.
Anm.: Figuren viser et gennemsnit af ændringer fra 2012-2013, 2013-2014, 2014-2015 og 2015-2016. I opgørelsen er der frasorteret
fonde og foreninger, selvstændige offentlige virksomheder og virksomheder med mindre end én fuldtidsbeskæftiget.
Kilde: Danmarks Statistik og egne beregninger.
Aktuelt træk på de største hjælpepakker
De mest brugte hjælpepakker er ikke nødvendigvis dem, som blev tildelt den største budgetramme, da
de blev vedtaget. Det skyldes, at der har været meget stor usikkerhed om trækket på ordningerne, lige-
som adgangen til nogle kompensationsordninger (fx lønkompensationsordningen) har kunnet ned-
sætte behovet for at trække på andre ordninger (fx likviditetsordninger). Hertil kommer, at udbetalin-
gerne fra ordningerne er begyndt på forskellige tidspunkter.
31
FIU, Alm.del - 2019-20 - Bilag 190: Rapport fra den økonomiske ekspertgruppe vedrørende udfasning af hjælpepakker
2198255_0033.png
Udbetalinger er i midten af maj højest fra den midlertidige lønkompensationsordning. Den 18. maj var
der via lønkompensationsordningen blevet udbetalt 8,3 mia. kr. som kompensation for 211.000 hjem-
sendte i 28.000 virksomheder,
jf. tabel 3.2.
Tabel 3.2
Status for udbetalinger i lønkompensationsordningen den 18. maj 2020
Udbetalt beløb Kompenserede
(mio. kr.)
virksomheder
Lønkompensationsordningen
8.296
28.000
Kompenserede Kompenserede
job
fuldtidsjob
211.000
162.000
Total antal
ansøgninger
31.000
Anm.: Personer med flere job tæller med mere end én gang.
Kompenserede fuldtidsjob
vedrører det kompenserede timetal pr. uge i de
kompenserede job, hvor 37 timer svarer til et fuldtidsjob. I april blev der sammenlagt kompenseret for ca. 23 mio. arbejdstimer,
hvilket svarer til ca. 9 pct. af de præsterede arbejdstimer i den private sektor pr. måned i 2019.
Total antal ansøgninger
er antal
unikke virksomheder, der har søgt ordningen. Disse tal indeholder også afviste ansøgninger, der enten kan skyldes, at virksom-
hederne skal genansøge med nye oplysninger, eller at de ikke kan leve op til kriterierne for ordningen. Denne rapport tager gene-
relt afsæt i opgørelser af kompenserede frem til den 18. maj 2020. Det bemærkes, at tallet den 26. maj 2020 var steget til
234.000 kompenserede job.
Kilde: Erhvervsstyrelsen og egne beregninger.
Nogle af de kompenserede job er på fuld tid, mens andre er kompenseret for mindre end 37 timer om
ugen. De kompenserede timer i april svarer til ca. 9 pct. af det præsterede antal arbejdstimer pr. må-
ned i den private sektor i 2019.
Dertil kommer udbetalinger via kompensationsordningen for selvstændige og freelancere mv., som
den 18. maj beløb sig til ca. 3,4 mia. kr. fordelt på 49.000 ansøgere,
jf. tabel 3.3.
Tabel 3.3
d
Status for udbetalinger på udvalgte øvrige kompensationsordninger den 18. maj 2020
Udbetalt beløb
(mio. kr.)
Kompensationsordning for selvstændige, freelancere mv.
Kompensation for virksomheders faste omkostninger
Kompensationsordning for aflysning af større arrangementer
Kompensationsordning for kunstnere med kombineret A- og B-ind-
komst
3
Kompensationsordning for højskoler, Folkeuniversitetet og aftenskoler
3
3.352
605
21
1
54
Antal godkendte
Total antal
ansøgninger ansøgninger
49.000
3.596
44
20
90
55.000
1
5.539
2
85
714
110
Anm.:
Total antal ansøgninger
indeholder også afviste ansøgninger, der enten kan skyldes, at virksomhederne skal genansøge med
nye oplysninger, eller at de ikke kan leve op til kriterierne for ordningen.
1) Antal unikke virksomheder, der har søgt ordningen.
2) Kan indeholde dubletter, så det reelle antal ansøgninger er lavere.
3) Opgjort den 22. maj 2020.
Kilde: Erhvervsstyrelsen og Kulturministeriet.
I midten af maj var der udbetalt ca. 600 mio. kr. fordelt på knap 3.600 ansøgere i kompensationsord-
ningen for virksomheders faste omkostninger. Udbetalingerne vil stige i takt med, at sagerne sagsbe-
handles, idet de mindste ansøgninger har været hurtigst at behandle. Den 18. maj var ca. 80 pct. af de
indgivne ansøgninger blevet behandlet.
Under kompensationsordningen for aflyste arrangementer har 44 ansøgninger om kompensation for
aflysning af større arrangementer resulteret i udbetalinger på i alt ca. 21 mio. kr. Ordningen har indtil
videre kun været åben for arrangementer ramt af forbud på over 1.000 deltagere i perioden 6. marts
2020 til og med den 31. marts 2020. Ordningen er udvidet og forlænget frem til 31. august 2020 og
omfatter blandt andet arrangementer med over 350 deltagere.
32
FIU, Alm.del - 2019-20 - Bilag 190: Rapport fra den økonomiske ekspertgruppe vedrørende udfasning af hjælpepakker
2198255_0034.png
Også via ordningerne på kulturområdet er der blevet udbetalt støtte i maj. I ordningen for højskoler,
Folkeuniversitetet og aftenskoler er der udbetalt 54 mio. kr. til 90 godkendte ansøgere.
I likviditetsordningerne er der per 18. maj 2020 blandt andet godkendt garantibeløb til SMV'er for
knap 400 mio. kr. og til store virksomheder for knap 2,7 mia. kr., der er i alt danner basis for udlån på
godt 4,3 mia.
1
Til sammenligning udgjorde pengeinstitutternes udestående balance på kassekreditter
til ikke-finansielle selskaber knap 177 mia. kr. ultimo 2019. Beløbet kan ikke umiddelbart opdeles i fa-
ciliteter til SMV’er
og større virksomheder, men generelt udgør mindre udlån
(på mindre end 7,5 mio.
kr.) under 10 pct. (8 pct.) af pengeinstitutternes samlede udlån til ikke-finansielle virksomheder.
Yderligere er der i låneordningen for moms og lønsumsafgift godkendt lån for 5,1 mia. kr. fordelt på
knap 17.000 ansøgninger,
jf. tabel 3.4.
Tabel 3.4
Status for godkendte ansøgninger på udvalgte likviditetsordninger den 18. maj
Godkendt garanti- eller
lånebeløb (mio. kr.)
Garantiordninger for SMV'er i Vækstfonden og EKF
1
Garantiordningerne for store virksomheder i EKF og Vækst-
fonden
1
Rejsegarantifonden
2
Låneordning for moms og lønsumsafgift
3
Anm.: 1) Garantibeløb.
2) Refusioner.
3) Lånebeløb. Opgjort den 20. maj 2020.
For yderligere om låneordning for moms og lønsumsafgift henvises til bilag 3.2.
Kilde: Erhvervsministeriet og Skatteministeriet.
Antal godkendte
ansøgninger
134
13
26
16.783
Total antal
ansøgninger
227
23
71
18.141
378
2.671
28
5.119
Beløbet må forventes at stige i de kommende måneder, fordi en række af de indførte likviditetsordnin-
ger som nævnt formentlig i opstartsfasen kan være fortrængt af de øvrige hjælpepakker.
Administrationsudgifter
Administrationen af de midlertidige kompensationsordninger er forbundet med omkostninger. Der er
samlet afsat 325 mio. kr. til administration af de midlertidige kompensationsordninger. Der er pri-
mært udgifter til sagsbehandling af ansøgninger og håndtering af udbetalingen. Erhvervsstyrelsen har
ansat godt 400 medarbejdere til administration ordningerne.
Der er endvidere bevilliget 50 mio. kr. til udvikling af styrkede kontroller ved brug af blandt andet ma-
chine learning i Erhvervsstyrelsen, jf. tidligere om efterregulering og kontrol. Det er vanskeligt på nu-
værende tidspunkt at danne sig et samlet overblik over administrationsudfordringerne og omkostnin-
gerne.
For så vidt angår de etablerede garanti- og matchfinansieringsordninger i EKF og Vækstfonden er de i
høj grad baseret på tilpasninger af eksisterende produkter og på etablerede samarbejder med pengein-
stitutter og private investorer. Også disse ordninger kræver øget bemanding, dog forventes det, at an-
1
Da statsgarantierne som hovedregel kun dækker 70 pct. af pengeinstitutters udlån, skaber garantierne basis for et højere samlet
udlån, når andelen, pengeinstituttet selv hæfter for, indregnes.
33
FIU, Alm.del - 2019-20 - Bilag 190: Rapport fra den økonomiske ekspertgruppe vedrørende udfasning af hjælpepakker
vendelse af eksisterende ordninger bidrager til at reducere de administrative omkostninger sammen-
lignet med ordninger, der skal nyetableres, og hvor der ikke kan trækkes på private samarbejdspartne-
res bidrag til sagsbehandlingen.
Hvem bruger lønkompensationsordningen?
Udbetalingerne fra lønkompensationsordningen er så langt fremme, at der kan gennemføres en ana-
lyse af lønmodtagerne, der er hjemsendt under ordningen, og de virksomheder, som benytter sig af
ordningen. Målt på udbetalte midler var det i midten af maj den midlertidige lønkompensationsord-
ning, som var mest søgt af virksomheder med behov for støtte under coronakrisen, jf. ovenfor.
den ene side kan lønmodtagere i lønkompensationsordningen siges at være ”skjult ledige”, fordi en
stor del af gruppen må formodes at have været ledige, hvis ordningen ikke eksisterede. På den anden
side er det langt fra sikkert, at alle lønmodtagerne i lønkompensationsordningen står til at miste deres
primære forsørgelsesgrundlag eller ende i ledighedskøen, når lønkompensationsordningen ophører.
Nogle har således allerede forladt ordningen, fordi de er tilbage i deres job. Der er ikke oplysninger
om, hvor mange der allerede har forladt ordningen, men der vurderes at være tale om en betydelig del
af arbejdskraften i de brancher, der er genåbnet. Der er planlagt åbning af flere brancher og færre re-
striktioner, ligesom genåbningen også kan stimulere efterspørgslen. Især hvis befolkningen og er-
hvervslivet har tiltro til, at smitten er under kontrol.
Nedenfor er der lavet en opgørelse af, hvor mange lønmodtagere der har været tilmeldt ordningen. Op-
gørelsen indikerer på baggrund af grove og usikre skøn, at mellem 105.000 og 115.000 personer kan
være tilbage (eller på vej tilbage) i arbejde i lyset af genåbningen eller ikke ville indgå i opgørelsen af
ledighed, såfremt lønkompensationsordningen ikke eksisterede,
jf. tabel 3.5.
Opgørelsen baserer sig på
antagelser og er derfor forbundet med usikkerhed,
jf. bilag 3.4.
Gruppen af øvrige på mellem 90.000 og 100.000 personer må anses for at være en bruttogruppe af
”potentielt ledige”, når lønkompensationsordningen udfases. For denne gruppe anslås det, at arbejds-
giverne vil skulle træffe beslutning om, hvorvidt alle eller nogle af de hjemsendte medarbejdere skal
afskediges, hvis lønkompensationen bortfalder. Dertil kan der være en række andre personer i ordnin-
gen, der vil identificere sig selv som arbejdsløse, hvis de bliver afskediget, men som ikke vil indgå i den
registrerede ledighed (fx pensionister og studerende, der har mistet deres job). I takt med yderligere
genåbninger af økonomien, herunder færre restriktioner, må bruttogruppen af potentielt ledige anta-
ges at falde.
34
FIU, Alm.del - 2019-20 - Bilag 190: Rapport fra den økonomiske ekspertgruppe vedrørende udfasning af hjælpepakker
2198255_0036.png
Tabel 3.5
Forskellige grupper af lønmodtagere i lønkompensationsordningen
Grupperne opgjort
enkeltvis
Personer i ordningen i alt
1. Unge i uddannelse
2. Pensionister
3. Fleksjob
4. Job med få timer (under 10 timer pr. uge)
5. Mulige grænsegængere
6. Brancher genåbnet
7. Hjemsendelsesperiode afsluttet før 27. maj
8. Arbejde delvist genoptaget
Sum af de otte grupper (mindre relevante i forhold til den registrerede ledighed)
Øvrige i ordningen (bruttogruppe af potentielt ledige i ordningen)
39.500
4.700
5.600
19.000
4.100
74.500
17.000
5.500
Korrektion for overlap
på tværs af grupper
205.000
39.500
4.700
5.600
2.300
3.900
35.000-45.000
9.400
4.200
105.000-115.000
90.000-100.000
Anm.: Opgørelsen er baseret på godkendte ansøgninger 18. maj 2020. Data kan afvige marginalt fra Erhvervsstyrelsens officielle opgø-
relse. Der er korrigeret for overlap ved at opgøre grupperne i den rækkefølge, som de fremgår i tabellen. Se desuden bilag 3.4.
Kilde: Erhvervsstyrelsen, Danmarks Statistik og egne beregninger.
At langt fra alle lønmodtagerne i lønkompensationsordningen bliver afskediget, når lønkompensati-
onsordningen ophører, bakkes op af en nylig undersøgelse fra Ledernes Hovedorganisation. Her svarer
knap to tredjedele af lederne nej til, at de vil være nødt til at afskedige nogle eller alle deres medarbej-
dere, når lønkompensationsordningen ophører,
jf. figur 3.8.
Figur 3.8
Ledere, som forventer at være nødt til at afskedige alle eller nogle medarbejdere, der har været hjemsendt
med lønkompensation, hvis ordningen udfases
Ja
31 pct.
69 pct.
Nej
Anm.: 336 privatansatte ledere
i virksomheder med medarbejdere hjemsendt på lønkompensation
er blevet spurgt, om deres virk-
somhed vil være nødt til at afskedige alle eller nogle af dem, der har været på lønkompensationsordningen. Hertil svarer 28 pct.,
at de vil være nødt til at afskedige ’nogle’, og yderligere 3 pct. svarer, at de vil være nødt til at afskedige ’alle’. 12. maj
2020.
Kilde: Ledernes Hovedorganisation.
35
FIU, Alm.del - 2019-20 - Bilag 190: Rapport fra den økonomiske ekspertgruppe vedrørende udfasning af hjælpepakker
2198255_0037.png
Der er stor variation på tværs af de virksomheder, der har gjort brug af lønkompensationsordningen.
Det giver sig blandt andet udtryk ved, at der er mange forskellige slags lønmodtagere og job i ordnin-
gen. Lønmodtagerne, som er hjemsendt med lønkompensation, repræsenterer et bredt udsnit af ind-
komstfordelingen,
jf. figur 3.9.
Figur 3.9
Indkomstfordeling for lønmodtagere i lønkompensationsordningen
1.000 personer
30
25
20
15
10
5
0
1. decil
2. decil
3. decil
4. decil
5. decil
6. decil
7. decil
8. decil
9. decil
10. decil
Indkomstdeciler
1.000 personer
30
25
20
15
10
5
0
Anm.: Deciler fordelt på A-indkomst i 2019. I data indgår 4,6 mio. personer med bopæl i Danmark ultimo 2019, hvoraf 195.000 personer
har været i lønkompensationsordningen pr. 18. maj 2020. Personer uden A-indkomst i 2019 indgår ikke i opgørelsen.
Kilde: Erhvervsstyrelsen, Danmarks Statistik og egne beregninger.
I hvilket omfang en udfasning af ordningen medfører stigende ledighed, afhænger blandt andet af løn-
modtagernes job. Mange af lønmodtagerne i lønkompensationsordningen har en stærk beskæftigelses-
historik, hvilket isoleret set giver dem gode muligheder for hurtigt at komme tilbage i beskæftigelse,
hvis de skulle miste deres job. 50 pct. af alle lønmodtagere i ordningen har været fuldt beskæftiget de
seneste tre år. Omvendt er det under 10 pct., som har haft en svag arbejdsmarkedstilknytning de sene-
ste tre år (højst 12 måneder i beskæftigelse),
jf. figur 3.10.
Ser man udelukkende på de lønmodtagere i ordningen, som især er relevante i forhold til den registre-
rede ledighed (bruttogruppen af potentielt ledige), har de en stærkere beskæftigelseshistorik. Således
har næsten to tredjedele af lønmodtagerne i denne gruppe været fuldt beskæftiget de seneste tre år.
36
FIU, Alm.del - 2019-20 - Bilag 190: Rapport fra den økonomiske ekspertgruppe vedrørende udfasning af hjælpepakker
2198255_0038.png
Figur 3.10
Personer i lønkompensationsordningen fordelt på måneder med beskæftigelse de seneste tre år
Pct.
80
Pct.
80
60
60
40
40
20
20
0
Højst 6 mdr.
7-12 mdr.
13-24 mdr.
25-35 mdr.
Fuld beskæftigelse
0
Grupper mindre relevante for ledighedstallet
Bruttogruppe af potentielt ledige i ordningen
Anm.: Antal måneder med beskæftigelse i perioden marts 2017 til og med februar 2020.
Grupper mindre relevante for ledighedstallet
og
Bruttogruppe af potentielt ledige i ordningen
opgøres i tabel 3.5.
Kilde: Erhvervsstyrelsen, Danmarks Statistik og egne beregninger.
Der er også tegn på, at bruttogruppen af potentielt ledige i lønkompensationsordningen har en mindst
lige så stærk beskæftigelseshistorik som gruppen af privatansatte i serviceerhverv,
jf. figur 3.11.
Figur 3.11
Måneder med beskæftigelse de seneste tre år for
forskellige grupper
Pct.
80
Pct.
80
Figur 3.12
Overførselsgrad de seneste tre år for forskellige
grupper
Pct.
80
Pct.
80
60
60
60
60
40
40
40
40
20
20
20
20
0
Højst
7-12
13-24
6 mdr.
mdr.
mdr.
Privatansatte i service mv.
25-35
Fuld
mdr. beskæftigelse
0
0
< 5 pct.
5-25 pct.
25-50 pct. 50-90 pct.
Over 90
pct.
0
Privatansatte i service mv.
Bruttogruppe af potentielt ledige i ordningen
Bruttogruppe af potentielt ledige i ordningen
Anm.:
Privatansatte i service mv.
er ekskl. lønmodtagere i lønkompensationsordningen.
Bruttogruppe af potentielt ledige i ordningen
opgøres i tabel 3.5.
Overførselsgraden
angiver andel uger i DREAM-registret med offentlige overførsler i perioden marts 2017 til
og med februar 2020
Kilde: Erhvervsstyrelsen, Danmarks Statistik og egne beregninger.
Alternativt til beskæftigelseshistorik kan man se på overførselsgraden de seneste tre år. Her er der
også tegn på, at bruttogruppen af potentielt ledige i lønkompensationsordningen generelt er en stærk
gruppe, og at kun få har haft en svag arbejdsmarkedstilknytning,
jf. figur 3.12.
Således har godt 6 ud af 10 i gruppen modtaget overførsler i mindre end 5 pct. af tiden de seneste tre
år. Modsat har under 1 pct. modtaget overførsler i mere end 90 pct. af tiden. Og under 10 pct. i grup-
pen har modtaget overførsler i mere end halvdelen af tiden de seneste tre år. Det er en indikation på, at
37
FIU, Alm.del - 2019-20 - Bilag 190: Rapport fra den økonomiske ekspertgruppe vedrørende udfasning af hjælpepakker
2198255_0039.png
langt fleste af lønmodtagerne i lønkompensationsordningen har gode muligheder for hurtigt at finde
ny beskæftigelse, hvis de mister deres job.
Hvilke virksomheder bliver understøttet af ordningen?
Der er betydelig variation i, hvilke brancher der søger henholdsvis lønkompensationsordningen og
kompensationsordningen for selvstændige og freelancere mv.
Målt som andel af den private beskæftigelse i de enkelte brancher er det særligt inden for andre ser-
viceydelser mv., at relativt mange selvstændige har fået udbetalt kompensation. Kompensationsord-
ningen for selvstændige kompenserer også en relativt stor andel af de beskæftigede inden for blandt
andet hoteller og restauranter, videnservice samt kultur og fritid,
jf. figur 3.13.
Figur 3.13
Lønmodtagere og selvstændige i kompensationsordningerne opgjort på brancheniveau
Pct. af privat beskæftigelse i branchen
0
Hoteller og restauranter
Kultur og fritid
Sundhed og socialvæsen
Transport
Handel
Undervisning
Rejsebureauer, rengøring mv.
Videnservice
Ejendomshandel og udlejning
Information og kommunikation
Industri
Vandforsyning og renovation
Råstofindvinding
Bygge og anlæg
Landbrug, skovbrug og fiskeri
Finansiering og forsikring
Energiforsyning
10
20
30
40
50
0
10
20
30
40
50
Pct. af privat beskæftigelse i branchen
Andel på lønkompensation
Andel på kompensation for selvstændige
Anm.: Figuren angiver andel personer der har modtaget lønkompensation eller kompensation som selvstændig pr. 18. maj 2020, opgjort
på baggrund af beskæftigelsen i den private sektor på brancheniveau i november 2018, jf. den registerbaserede arbejdsstyrke-
statistik. Der ses bort fra offentlig administration, forsvar og politi.
Kilde: Erhvervsstyrelsen, Danmarks Statistik og egne beregninger.
Det er muligt at søge om lønkompensation for hjemsendte medarbejdere og samtidig søge om kom-
pensation via ordningen for selvstændige og freelancere mv., såfremt virksomheden opfylder kriteri-
erne i ordningen, herunder kravet om maksimalt 25 ansatte. Den 18. maj var der 32.000 personer i
lønkompensationsordningen, som arbejder i en virksomhed, der også får støtte via kompensationsord-
ningen for selvstændige og freelancere mv. Det svarer til ca. 10.000 virksomheder, som har fået støtte
via begge ordninger.
Det er særligt inden for hoteller og restauranter samt andre serviceydelser mv., at virksomhederne
modtager kompensation gennem begge ordninger,
jf. figur 3.14.
38
FIU, Alm.del - 2019-20 - Bilag 190: Rapport fra den økonomiske ekspertgruppe vedrørende udfasning af hjælpepakker
2198255_0040.png
Figur 3.14
Virksomheder godkendt til en eller begge kompensationsordninger opgjort på brancheniveau
Pct.
100
Pct.
100
80
80
60
60
40
40
20
20
0
Hoteller og Andre service-
restauranter ydelser mv.
Lønkompensation
Handel
Rejsebureauer,
rengøring mv.
Industri
Sundhed og
socialvæsen
Øvrige
brancher
Videnservice
Kultur og
fritid
0
Selvstændige
Både lønkompensation og selvstændige
Anm.: Virksomheder, der har fået udbetalt kompensation via hhv. ordningen for selvstændige og lønkompensationsordningen pr. 18.
maj 2020.
Øvrige brancher
udgør landbrug, skovbrug og fiskeri, finansiering og forsikring, ejendomshandel og udlejning, trans-
port, information og kommunikation, bygge og anlæg samt undervisning.
Kilde: Erhvervsstyrelsen, Danmarks Statistik og egne beregninger.
For yderligere karakteristik af kompenserede selvstændige hhv. lønmodtagere henvises til
bilag 3.5.
Det ser umiddelbart ud til, at virksomheder, som søger om og modtager lønkompensation, overordnet
set var mere produktive virksomheder end virksomheder, der ikke har modtaget tilsvarende støtte. Det
gælder fx inden for beklædningsindustrien og skibsfart. Der ses dog også brancher, hvor det modsatte
gør sig gældende, dvs. hvor de lønkompenserede virksomheder er mindre produktive end ikke-løn-
kompenserede virksomheder, herunder fx ejendomsmæglere og anlægsentreprenører,
jf. figur 3.15.
Opgørelsen er dog behæftet med betydelig usikkerhed, blandt andet fordi der er en iboende bias i op-
gørelsen, som der er søgt korrigeret for, men som hviler på en række stærke antagelser,
jf. bilag 3.6.
Dertil kommer, at opgørelsen ikke tager højde for systematiske forskelle mellem lønkompenserede og
ikke-lønkompenserede virksomheder, som kan have betydning for virksomhedernes produktivitet (se-
lektion). Det kan fx være virksomhedsstørrelse, medarbejdersammensætning og kapitalanvendelse.
39
FIU, Alm.del - 2019-20 - Bilag 190: Rapport fra den økonomiske ekspertgruppe vedrørende udfasning af hjælpepakker
2198255_0041.png
Figur 3.15
Forskel i produktivitet mellem lønkompenserede og ikke-lønkompenserede virksomheder målt i 2016
Forskel mellem lønkompenserede og ikke-
lønkompenserede virksomheder, pct.
20
40
60
80
-60
Højeste produktivitet for lønkompenserede
virksomheder
Beklædningsindustri
Udlejning af erhvervsejendomme
Produktion af film, tv og musik mv.
Anden videnservice
Skibsfart
Glasindustri og keramisk industri
Udvalgte brancher i detailhandel, hoteller
og restauranter
Detailh. med forbrugerelektronik
Hoteller mv.
Detailh. med tekstiler og husholdning mv.
Detailh. med kultur- og fritidsprodukter
Detailh. med beklædning og fodtøj
Restauranter
Laveste produktivitet for lønkompenserede
virksomheder
Dyrlæger
-40
-20
0
Engrosh. med tekstiler og husholdningsudstyr
Fragtvognmænd og rørtransport
Anlægsentreprenører
Ejendomsmæglere mv.
Boligudlejning
-60
-40
-20
0
20
40
60
80
Mere produktive end ikke-lønkompenserede virksomheder
Mindre produktive end ikke-lønkompenserede virksomheder
Anm.: Figuren viser procentvise forskelle mellem median timeproduktivitetsniveau for lønkompenserede virksomheder i forhold til ikke-
lønkompenserede virksomheder på tværs af brancher (127-gruppering). Positiv forskel angiver, at lønkompenserede virksomhe-
der er mere produktive end de øvrige virksomheder inden for branchen, som ikke har modtaget lønkompensation, og tilsvarende
angiver negativ forskel en relativt lavere produktivitet hos lønkompenserede virksomheder. Der ses bort fra brancher, hvor antal-
let af virksomheder i gruppen af hhv. lønkompenserede eller det øvrige erhverv udgør mindre end 10 virksomheder. Timeproduk-
tivitetsniveau er opgjort på virksomhedsniveau som værditilvækst i forhold til årsværk, på baggrund af Danmarks Statistiks regn-
skabsoplysninger (FIRE), hvor seneste tilgængelige data er fra 2016. Dateringen indebærer en såkaldt
survival bias
i de umiddel-
bare resultater, hvorfor der er korrigeret approksimativt herfor. Se bilag 3.6.
Kilde: Erhvervsstyrelsen, Danmarks Statistik samt egne beregninger.
Afrunding
Hjælpepakkerne har haft en vigtig funktion i at understøtte indkomsten for selvstændige og lønmodta-
gere, og for at aflaste virksomhederne for faste omkostninger i en situation med få kortsigtede tilpas-
ningsmuligheder. Sikringselementet i pakkerne er således stort.
Der kan dog også være udfordringer med ordningerne. Tildelingskriterierne er brede, og ordningerne
er ikke præcist målrettet problemer forårsaget af nedlukningen. Hjælpepakkerne er med stor sandsyn-
lighed også blevet brugt af virksomheder, som under alle omstændigheder ville have oplevet en omsæt-
ningsnedgang. Modsat kan der også være virksomheder, der ikke er opfattet af ordningerne, som er
ramt af betydelige konsekvenser af nedlukningen.
Udfordringerne med målretningen af ordningerne skal ses i lyset af behovet for at yde hurtig hjælp til
virksomhederne, da nedlukningen blev en realitet. Der var ikke tid til langvarige overvejelser om hjæl-
pepakkernes design, hvis hjælpen skulle nå frem i tide. Blandt andet af den årsag har nogle af ordnin-
gerne egenskaber, der gør, at virksomhedernes incitament til at øge aktiviteten kan være begrænset.
Der kan også forekomme indlåsning af arbejdskraft som følge af lønkompensationsordningen. Endelig
40
FIU, Alm.del - 2019-20 - Bilag 190: Rapport fra den økonomiske ekspertgruppe vedrørende udfasning af hjælpepakker
er der administrationsomkostninger forbundet med hjælpepakkerne, og der kan være væsentlige ud-
fordringer med efterfølgende kontrol.
Det er på nuværende tidspunkt ikke muligt at foretage præcise opgørelser af, i hvor stort omfang ord-
ningerne har været med til at understøtte bevarelse af produktionskapacitet og fastholdelse af produk-
tive jobmatch under nedlukningen. Ordningerne har dog oplevet markant søgning fra virksomheder i
brancher, der har været og er mest berørt af nedlukningen og restriktioner som følge af coronakrisen.
Uden hjælpepakkerne ville mange flere være blevet ledige, og flere virksomheder ville være gået kon-
kurs. Det er således vurderingen, at hjælpepakkerne har givet Danmark et markant bedre afsæt for den
genopretning, der venter forude.
41
FIU, Alm.del - 2019-20 - Bilag 190: Rapport fra den økonomiske ekspertgruppe vedrørende udfasning af hjælpepakker
4. Hjælpepakker i et internationalt
perspektiv
I takt med nedlukninger som sundhedsrespons til coronaudbruddet, har de fleste lande indført økono-
miske hjælpepakker for at understøtte virksomheder, lønmodtagere og husholdninger som er negativt
påvirket af disse nedlukningstiltag. Selvom det overordnede formål med hjælpepakkerne på tværs af
landene har været det samme, er der noget variation i indholdet af hjælpepakkerne, hvilket både skal
ses i sammenhæng med forskellige strategier for at håndtere smittespredningen, men også grundet
store institutionelle forskelle, særligt i indretningen af det sociale sikkerhedsnet. Det er endvidere
svært at sammenligne omfanget af hjælpepakker på tværs af lande, da beløbsrammer ofte er fastsat
summarisk og indeholder en blanding af direkte udgifter (fx indkomststøtte) og beløb til låne- og likvi-
ditetsordninger, der senere skal betales tilbage.
For at sætte de danske hjælpepakker i perspektiv og som grundlag for at diskutere designet af disse
ordninger sammenlignes i dette kapitel hovedtrækkene af hjælpepakkerne i Danmark, Norge, Sverige
og Tyskland. Selvom den overordnede håndtering af coronaepidemien har varieret i de fire lande, så
har alle lande gennemført økonomiske hjælpepakker for at imødegå de negative konsekvenser, som er
udløst af tiltag rettet mod afbødning af smitten, ændret adfærd og den generelle økonomiske afmat-
ning. Hjælpepakkerne består både af kompensationsordninger (direkte støtte) og tiltag, der øger likvi-
diteten (fx udskydelse af betalingsfrister for skatter, statsgarantier samt syndikerede lån). Fokus i ka-
pitlet er på kompensationsordningerne, som overordnet kan opdeles i tiltag, der kompenserer virk-
somheder for faste omkostninger, understøtter lønmodtageres tilknytning til virksomhederne og tiltag,
der holder hånden under selvstændige og freelancere.
Hjælpepakkerne består både af aktivering af allerede eksisterende ordninger og nydesignede tiltag for
at håndtere akutte behov for at understøtte virksomheder og lønmodtagere. Den særlige situation med
et behov for en hurtig indsats betyder, at der ved tilrettelæggelsen af disse hjælpepakker ikke har været
muligt at trække på erfaringer fra andre lande, ligesom andre lande også har måtte designe nye hjæl-
pepakker på kort tid. Grundet tidspresset, har der vist sig forskellige problemer, og bland andet derfor
bliver tiltagene i de forskellige lande løbende justeret. Kapitlets opgørelser og sammenstillinger skal
derfor ses som et øjebliksbillede og fremtidige tilpasninger i de forskellige ordninger må forventes.
Kompensation for virksomheders faste omkostninger
Kompensationsordninger for faste omkostninger dækker fx udgifter til husleje, uopsigelige leasingkon-
trakter mv. Det aktuelle træk på ordningen i Danmark fremgår af kapitel 3. Sverige og Norge har gen-
nemført lignende ordninger, mens man i Tyskland har henvist virksomheder, som er udfordret af ud-
gifter til faste omkostninger, til låne- og garantiordninger,
jf. tabel 4.1.
42
FIU, Alm.del - 2019-20 - Bilag 190: Rapport fra den økonomiske ekspertgruppe vedrørende udfasning af hjælpepakker
2198255_0044.png
Tabel 4.1
Hovedtræk for hjælpepakker til dækning af faste omkostninger i forskellige lande
Danmark
Kompensation af…
Krav: Omsætningsfald på
Faste
minimum 35 pct.
omkostninger
Norge
Krav: Omsætningsfald på
minimum 30 pct.
Sverige
Krav: Omsætningsfald på
minimum 30 pct.
Tyskland
Krav: Virksomheder med
mindre end 10 ansatte og
akutte Corona-relaterede
likviditetsproblemer.
Kompensation: Typisk op
til 110.000 DKK i
virksomheder med op til 10
ansatte (niveau for bidrag
varierer fra delstat til
delstat).
Kompensation: 25 pct., 50
pct. eller 80 pct., afhængig
af om omsætningen er
faldet mere end 35 pct., 60
pct. eller 80 pct.
For tvangslukkede
virksomheder dækkes 100
pct. af de faste
omkostninger.
Bemærkninger
Kompensationen er fastsat
på 3 trin (25, 50 og 80
pct.). Det indebærer
incitamentsproblemer og
forskelsbehandling af
virksomheder med små
forskelle i omsætningsfald.
Kompensation:
Procentsats svarende til
80 pct. af den procentvise
nedgang i omsætning.
For tvangslukkede
virksomheder dækkes 90
pct. af de faste
omkostninger.
Ligner den danske, men
kompensationsprocenten
er kontinuert, hvilket
forebygger incitaments-
problemer.
Egenbetaling på ~6.500
DKK, hvilket afskærer
mindre virksomheder
(selvrisiko).
Kompensation:
Procentsats svarende til
75 pct. af den procentvise
nedgang i omsætning.
Ligner den danske, men
kompensationsprocenten
er kontinuert, hvilket
forebygger incitaments-
problemer.
For at modtage erstatning
skal virksomheden mindst
have haft omsætning for
175.000 DKK i seneste
regnskabsår.
En virksomheder kan
maksimalt modtage 100
mio. DKK. (ordning dækker
marts-april)
Omsætningsfaldet måles
på baggrund af den
realiserede omsætning.
Større virksomheder med
mere end 10 ansatte
henvises til låne- og
garantimodeller i hhv. KfW
og andre ordninger, som
involver en case-by-case
stillingtagen.
En virksomhed kan
maksimalt modtage 110
mio. DKK (ordning dækker
marts-april-maj-juni)
En virksomhed kan
maksimalt modtage 55
mio. DKK per måned.
(ordninger dækker marts-
april-maj)
Anm.: Alle beløb er omregnet til DKK ud fra den aktuelle valutakurs og afrundet.
Fælles for ordningerne i de tre nordiske lande er, at virksomheder i vid udstrækning har mulighed for
at søge om kompensation for faste omkostninger. I Danmark er kompensationsgraden fastsat ud fra
tre trin afhængigt af nedgangen i virksomhedens omsætning, mens Sverige og Norge har en ordning
uden sådanne trin men med en gradvis stigning i kompensationsgraden afhængigt af omsætningsfal-
det. For omsætningsnedgang på mindre end 60 pct. er virksomhederne i Danmark generelt mindre
kompenseret end virksomhederne i Sverige og Norge. For virksomheder, der oplever det største fald i
omsætningen, er ordningen dog noget mere gunstig i Danmark,
jf. figur 4.1.
43
FIU, Alm.del - 2019-20 - Bilag 190: Rapport fra den økonomiske ekspertgruppe vedrørende udfasning af hjælpepakker
2198255_0045.png
Figur 4.1
Kompensationsgraden for faste omkostninger baseret på omsætningsnedgang
Kompensationsgrad
100
Kompensationsgrad
100
80
80
60
60
40
40
20
20
0
0
10
Danmark
20
30
40
50
60
Omsætningsnedgang (pct.)
Norge
70
80
90
100
Sverige
0
Danmark (lukket ved påbud)
Norge (lukket ved påbud)
Anm.: Sveriges model baserer sig som den eneste på realiserede omkostninger. Ved beregning af den marginale dækningsgrad i Norge
er der ikke taget højde for egenbetaling (selvrisiko),
jf. tabel 4.1.
I Sverige er ingen erhverv lukket ved påbud.
I den danske model betyder den trinvise inddeling, at der kan være meget store forskel på, hvor stor en
del af de faste omkostninger virksomheden kan få dækket, selv om der kun er meget små forskelle i
omsætningsnedgangen. Hvis en virksomhed fx har omsætningsnedgang på 78 pct. dækkes 50 pct. af
udgifterne, mens kompensationen udgør 80 pct. ved en omsætningsnedgang på 82 pct. Det kan derfor
i nogle tilfælde være fordelagtigt for virksomheden at reducere deres omsætning yderligere, så en
større andel af de faste omkostninger dækkes af staten, jf. også analyserne i kapitel 3. I alle tre lande
kan der være incitament til at reducere omsætningen, hvis man er tæt på den nedre grænse for at gøre
sig berettiget til ordningen (omsætningsnedgang på 30 pct. i Norge og Sverige og 35 pct. i Danmark).
Arbejdsdelings- og lønkompensationsordninger
Velfungerende arbejdsmarkeder, som blandt andet det danske, er kendetegnet ved, at arbejdskraften
er fleksibel og kan søge derhen, hvor der er efterspørgsel efter den. I forbindelse med store kriser kan
der fx være særskilte argumenter for ordninger, der helt kortvarigt fastholder arbejdskraften i virk-
somheder, der oplever et kraftigt fald i produktionen. Derfor er der i mange lande erfaringer med ar-
bejdsdelingsmodeller. I lande med mindre fleksible arbejdsmarkeder end det danske bliver modellerne
oftere anvendt.
Den danske lønkompensationsordning er en ny midlertidig ordning, som er nærmere beskrevet i kapi-
tel 3. I Tyskland og Norge havde man i forvejen de såkaldte Kurzarbeit- og permitteringsordninger, der
giver mulighed for, at lønmodtagere kan hjemsendes i varierende grad, mens en stor del af lønnen bli-
ver dækket af staten. I Sverige blev introduktionen af en sådan ordning hastebehandlet i forbindelse
med coronaepidemien,
jf. tabel 4.2.
44
FIU, Alm.del - 2019-20 - Bilag 190: Rapport fra den økonomiske ekspertgruppe vedrørende udfasning af hjælpepakker
2198255_0046.png
Tabel 4.2
Hovedtræk for hjælpepakker til lønkompensation i forskellige lande
Danmark
Kompensation af…
Krav: Virksomheden skal
Løn
hjemsende medarbejderne
enten helt eller delvist.
Norge
Krav: Baseret på kollektive
aftaler. Arbejdstiden skal
mindst være reduceret
med 40 pct.
Hvis virksomheden
afskediger medarbejderen,
skal der betales løn i
opsigelsesperioden.
Sverige
Krav: Indført ved lov i april
2020. Betingelserne skal
præciseres ved en lokal
kollektiv aftale.
Medarbejderen kan
maksimalt gå 80 pct. ned i
tid på ordningen.
Tyskland
Krav: Aftales ved kollektiv
overenskomst, ved
virksomhedsaftale eller
individuel aftale
(ansættelseskontrakt).
Kræver godkendelse fra
samarbejdsudvalg. Hvis
virksomheden afskediger
medarbejderen, skal der
betales løn i
opsigelsesperioden.
Virksomheden må ikke
afskedige af økonomiske
grunde i perioden.
Kompensation til
virksomheden: 75 og90
pct. for hhv. funktionærer
og ikke-funktionærer (dog
max pr. måned 30.000
DKK)
Med særreglerne for 2020
er det muligt af afskedige
Virksomheden skal betale medarbejdere på løn-
løn de første 2 dage.
kompensation, og stadig
Medarbejderen kan være
modtage tilskud fra staten i Virksomheden bidrager
helt eller delvist hjemsendt. opsigelsesperioden.
med max 75 pct. dækning
(ved 25 pct. arbejdstids-
Virksomheden bidrager
nedsættelse), herefter
Kompensation til
med maksimum 8 pct.
faldende med arbejdstids-
virksomheden: Fuld
løndækning i den periode
nedsættelsen
lønkompensation til
medarbejderen er hjem-
Virksomheden betaler kun
virksomheden fra dag 2 til sendt (bidrag falder med
løn når medarbejderen
dag 20 dage (staten
arbejdstidsnedsættelse)
ikke er hjemsendt.
dækker) afhængig af
hjemsendelsesgraden.
Kompensation til
Kompensation til
Herefter overgår
virksomheden: staten
virksomheden: Staten
medarbejderen til
bidrager med op til 60 pct. bidrager med op til 87 pct.
(supplerende) dagpenge
dækning (ved 80 pct.
dækning.
reduktion af arbejdstiden).
Samlet set udgør
kompensationen 72-90
Ingen øvre løngrænse.
pct. af en månedsløn på
Omfatter månedsløn op til
30.000 DKK.
31.000 DKK.
Kompensation til
medarbejderen: Fuld løn
de første 20 dage (dog
max 34.000 DKK), herefter
dagpenge og lønnedgang
(afhængigt af lønomfang)
Ordningen har eksisteret
siden 1990 og er
midlertidigt gjort mere
gunstig.
Kompensation til
medarbejderen: Maksimal
lønnedgang er 12 pct. ved
80 pct. arbejdstids-
nedsættelse
Ordningen har været
planlagt længe, men
lovgivningen kom først på
plads i forbindelse med
coronakrisen. Den er
midlertidigt gjort mere
gunstig indtil udgangen af
2020.
Arbejdsgiverens bidrag
falder med omfanget af
arbejdstidsnedsættelsen,
hvilket gør ordningen
gunstig for
virksomhederne. 100 pct.
arbejdstids-nedsættelse er
ikke muligt, hvilket
indirekte kan betyde flere
afskedigelser i meget
udsatte virksomheder.
Kompensation til
medarbejderen: Staten
bidrager med op til 80 pct.
(87 pct. for forsørgere)
dækning ved op til 100 pct.
arbejdstidsnedsættelse.
Ordningen har eksisteret
siden 1950’erne og er
midlertidigt gjort mere
gunstig fsva. statens
kompensation.
Arbejdsgiverens bidrag
falder med omfanget af
arbejdstidsnedsættelsen,
og er 0 ved fuld hjem-
sendelse, hvilket gør
ordningen gunstig for
virksomhederne.
Ordningen er dog
forbundet med væsentlig
lønnedgang for
lønmodtageren
(de første 3 måneder).
Kompensation til
medarbejderen: Fuld løn
(skal til gengæld holde 5
feriedage).
Bemærkninger
Ny ordning, som står ved
siden af den danske
arbejdsfordelingsordning,
der generelt har meget lille
udbredelse, men var
anvendt under finanskrisen
og aktuelt har stigende
anvendelse.
Arbejdsgiveren dækker
aktuelt kun de første to
arbejdsdage, hvilket gør
ordningen gunstig for
Arbejdsgiveren dækker kun virksomhederne.
10-25 pct. ved fuld
hjemsendelse (dog ikke for Det vil indirekte betyde, at
højtlønnede). Heraf
flere lønmodtagere
dækker medarbejderen en fastholder deres tilknytning
del ved at afholde 5 ferie
til arbejdsmarkedet. Det er
dage. Ordningen giver
dog kun muligt for
mulighed for at
lønmodtageren at få
lønmodtagere fastholder
dækket den fulde løn i optil
deres tilknytning til
20 dage.
arbejdsmarkedet.
Ordningen er mere gunstig
for lønmodtageren
sammenlignet med de
andre landes ordning ved
længere hjemsendelser.
En lønmodtager, der er
hjemsendt i hele perioden,
får dækket den fulde løn i
knap 4 måneder (dog skal
der afholdes 5 dages ferie
pr. 3 måneder).
Anm.: Alle beløb er omregnet til DKK ud fra den aktuelle valutakurs og afrundet.
45
FIU, Alm.del - 2019-20 - Bilag 190: Rapport fra den økonomiske ekspertgruppe vedrørende udfasning af hjælpepakker
2198255_0047.png
Den tyske Kurzarbeit-ordning har eksisteret siden 1957, og Norge har haft permitteringsordningen i
mere end 30 år (indført ved lov i 1990, men praksis strækker sig tilbage til 1930’erne). Alle tre model-
ler er lige nu tilpasset corona-situationen med særlige vilkår, der ophører med udgangen af hhv. okto-
ber (Norge) og december 2020 (Sverige og Tyskland).
Den danske lønkompensationsordning er kendetegnet ved, at der ikke sker lønnedsættelse for hjem-
sendte medarbejdere. Lønmodtageren er dog pålagt at afholde fem feriedage pr. 3 måneder. Lønmod-
tageren får dermed fuld løn, hvilket dækkes af staten og arbejdsgiveren,
jf. figur 4.2.
Det er også et
særtræk, at lønmodtageren som udgangspunkt skal hjemsendes (der er dog aftalt betydelig fleksibilitet
siden oprettelsen af ordningen).
I Danmark oplever lønmodtageren således ikke en lønnedgang, når vedkommende træder ind i ord-
ningen (men skal holde fem feriedage). Der kan dog være aftalt lønnedgang inden hjemsendelsen på-
begyndes. I de andre lande er det hovedreglen, at lønmodtageren oplever en vis lønnedgang, enten i
hele perioden eller efter nogle dage.
Den statslige støtte udbetales til virksomheden. Dette kan tolkes som støtte enten til virksomheden el-
ler lønmodtageren. Hvis virksomheden under alle omstændigheder ville holde på medarbejderen er
der tale om støtte til virksomheden. Hvis virksomheden alternativt havde valgt at opsige medarbejde-
ren, er der i højere grad tale om støtte til lønmodtageren.
Virksomheden kan dog have sparet lønudgifter i opsigelsesperioden, hvor medarbejderen til gengæld
kunne have arbejdet. Da virksomheden bærer nogle af omkostningerne, må værdien for virksomheden
af at fastholde medarbejderen overstige virksomhedens bidrag til lønnen i hjemsendelsesperioden.
Figur 4.2
Lønkompensation ved 100 pct.
arbejdstidsnedsættelse i Danmark
Pct.
100
Pct.
100
Figur 4.3
Lønkompensation ved varierende
arbejdstidsnedsættelse i Sverige
Pct.
100
Pct.
100
80
80
80
80
60
60
60
60
40
40
40
40
20
20
20
20
0
Funktionærer
Ikke-funktionærer
Statens bidrag
Lønmodtagers bidrag (5 feriedage)
Arbejdsgivers bidrag
0
0
40
60
80
100
Arbejdstidsnedsættelse (pct.)
Løn under arbejde
Arbejdsgivers bidrag
Statens bidrag
Lønnedsættelse
20
0
Anm.: I Danmark stilles dog krav om, at arbejdstageren selv afholder 5 feriedage pr. tre måneder i forbindelse med eventuel hjemsen-
delse. 5 feriedage pr. 3 måneder svarer beregningsteknisk til en lønreduktion på knap 9 pct. Det er ikke muligt at være fuldt hjem-
sendt i Sverige.
Kilde: Egne beregninger.
46
FIU, Alm.del - 2019-20 - Bilag 190: Rapport fra den økonomiske ekspertgruppe vedrørende udfasning af hjælpepakker
2198255_0048.png
I Sverige og Tyskland er modellen afhængig af graden af hjemsendelse, og lønmodtageren bærer en del
af omkostningerne i form af lønreduktion. Der er her en gradvis nedsættelse af lønnen jo højere ar-
bejdstidsnedsættelsen er. Den svenske permitteringsordning tillader, som den eneste model, ikke fuld
arbejdstidsnedsættelse,
jf. figur 4.3.
I Kurzarbeit-ordningen medfører for eksempel en fuld arbejdstidsnedsættelse 40 pct. lønnedgang,
hvor den resterende løn på 60 pct. dækkes af staten,
jf. figur 4.4.
Afhængige af arbejdstidsnedsættelsens omfang kan der således være tale om en betydelig lønnedgang
for medarbejderen. Det giver medarbejderen en tilskyndelse til at søge et nyt job, mens der ikke er
denne tilskyndelse indbygget i den danske ordning. Risikoen for indlåsningseffekter for arbejdskraften
reduceres med finansieringsbidrag fra både virksomheden og lønmodtagerne.
Den norske permitteringsordning er mere kompleks og afhænger både af varigheden af hjemsendel-
sen, arbejdsnedsættelsens omfang og lønniveau. Arbejdsgiveren betaler fuld løn de første to dage,
hvorefter staten dækker de følgende 18 dage (det vil sige, at der, set over de første 20 dage, er en stats-
lig finansiering på 90 pct.). Løn op til 34.000 DKK bliver fuldt dækket af staten, hvilket vil sige, at ar-
bejdstagere med løn over dette niveau oplever lønnedgang fra dag 3. Efter dag 20 dækker staten (i
form af dagpenge) 80 pct. af de første 16.000 kr. og 62,4 pct. af de efterfølgende 16.000 kr.
resten
bærer arbejdstageren i form af lønnedsættelse,
jf. figur 4.5.
Ved en månedsløn på 30.000 kr. svarer det
til en kompensation på knap 72 pct. (altså væsentligt mindre end i den danske ordning for timeløn-
nede).
Figur 4.4
Lønkompensation ved Kurzarbeit i Tyskland
Pct.
Pct.
Figur 4.5
Lønkompensation ved permittering i Norge
Pct.
100
Pct.
100
100
100
80
80
80
80
60
60
60
60
40
40
40
40
20
20
20
20
0
25
50
75
Arbejdstidsnedsættelse (pct.)
Statens bidrag
100
0
0
Dag 1-2
Dag 3-20
...dagpenge frem til
26. uge
0
Løn under arbejde
Lønnedsættelse
Arbejdsgivers dækning
Statens dækning
Lønnedsættelse
Anm.: Figur 4.4: Dækningen afspejler de første 3 måneders Kurzarbeit. Fra fjerde måned bidrager staten med 70 pct. og 80 pct. fra den
syvende måned. Forsørgere får dækket yderligere 7 pct.-point af staten.
Figur 4.5: Bemærk, at dag 3-20 er komprimeret i figuren. Figuren viser kompensationsgrader for 100 pct. arbejdsnedsættelse og
lønniveau op til 34.000 DKK. Den norske model kræver minimum 40 pct. hjemsendelse. Det savtakkede område for ”dagpenge
frem
til 26. uge” afspejler, at der dækkes 80 pct. af de første 16.000 kr. og 62,4 pct. af de efterfølgende 16.000 kr. pr måned.
Den
norske ordning kompenserer lønudgifter op til 34.000 kr. pr. måned ved dag 3-20. Det vil sige, at arbejdstagere med løn over
34.000 DKK oplever lønnedgang allerede fra 3. dag.
Kilde: Egne beregninger.
I Norge lønkompenseres der derfor reelt kun i de første 20 dage, hvorefter lønmodtageren overgår til
dagpengesystemet. Det gør det vanskeligt at sammenligne den norske permittering med den danske
lønkompensationsordning i forhold til varighed. Den midlertidige forbedring af den norske permitte-
ring udløber senere end den danske lønkompensation. For den enkelte norske lønmodtager reduceres
47
FIU, Alm.del - 2019-20 - Bilag 190: Rapport fra den økonomiske ekspertgruppe vedrørende udfasning af hjælpepakker
2198255_0049.png
perioden med fuld lønkompensation fra 20 til 15 dage (det normale niveau). Den korte periode bety-
der, at de fleste norske lønmodtagere i ordningen kun modtager en kompensation på dagpengeniveau,
samt at de skal leve op til et rådighedskrav. Der er således ikke tale om, at nordmænd kan fortsætte på
en ordning som den danske indtil den 31. oktober.
Figur 4.6
Summarisk oversigt over hjælpepakker i Danmark, Norge, Sverige og Tyskland
Kompensation for faste omkostninger
Lønkompensationsordninger
Corona-tilføjelser udfases
Marts
27. Maj 2020
December
19. april
19. marts
Lempelse af krav til
Annoncering med
omsætningsfald +
udløb 9. juni
forlængelse til 9. juli
8. j uli
Hjælpepakke udløber
15. marts
Annoncering af
lønkompensation
og udløb 9 juni
30. marts 18. april
maks. støtte Perioden forlænges
forhøjes til til 8. juli
30.000 kr.
8. j uli
Hjælpepakke udløber
17. april
Vedtagelse og annoncering af
ordning med tilbagevirkende
kraft fra 1. marts
30. maj
Udløb af
hjælpepakke
13. marts
Annoncering af
forbedrede vilkår for
permittering indtil
31. oktober 2020
10. april
Perioden med fuld
løn forlænges fra
15 til 20 dage
30. j uni
Udløb af
huslejeordning
31. oktober
Vilkår for permittering
overgår til normal praksis
30. april
Annoncering af ordning
25. marts
til dækning af faste
Annoncering af
huslejeordning
omkostninger i marts og april
16. marts
14. april
Annoncering af Max. arbejdstidsnedsættelse
ordning med udløb
forhøjes til 80 pct. fra 1. maj
31. december 2020
1. august
Max. arbejdstidsnedsættelse
reduceres til 60 pct.
30. j uni
Udløb af
hjælpepakke
31. december
Vilkår for permittering
overgår til normal praksis
25. marts
Annoncering af ordning
16. marts
Annoncering af lempede
kvalifikationskrav gældende
indtil 31. december 2020
22. april
Vilkår forbedres så dækning er
70 og 80 pct. efter hhv. 4 og 7
måneders Kurzarbeit
31. december
Vilkår for Kurzarbeit
overgår til normal praksis
Ændringer i ordningerne som følge af coronakrisen
Fælles for ordningerne i alle fire lande er, at arbejdsgiverne skal kunne påvise, at tilstanden er midler-
tidig.
Den tyske Kurzarbeit-ordning sondrer mellem tre typer af Kurzarbeit: Konjunkturelle-Kurzarbeit,
Transfer-Kurzarbeit og Saison-Kurzarbeit. Arbejdsgiveren skal have udtømt alle øvrige muligheder,
som fx brug af ferie- og fridage, og samtidig skal mindst en tredjedel af de ansatte stå over for en løn-
nedgang på mere end 10 pct. Tærsklen er midlertidigt nedsat fra 33 pct. til 10 pct. af de ansatte, hvilket
er en midlertidig reduktion pga. coronakrisen. Herudover udvidede man statens bidrag til dækningen
af Kurzarbeit-ordningen, der nu dækker minimum 60 pct. af nettolønnen (nuværende regler) de første
tre måneder med 100 pct. arbejdsnedsættelse og herefter 70 pct. fra den fjerde måned og 80 pct. fra
48
FIU, Alm.del - 2019-20 - Bilag 190: Rapport fra den økonomiske ekspertgruppe vedrørende udfasning af hjælpepakker
den syvende måned. Forsørgere får dækket yderligere 7 pct.-point. Desuden forlængede man den mak-
simale Kurzarbeit-periode til 12 måneder frem for normalt 6 måneder.
I den norske permitteringsordning skal permitteringen ligeledes være begrundet i særlige og midlerti-
dige forhold knyttet til driften af virksomheden og indgås i aftale mellem virksomheden og den ansatte
(via fagforeningen). Normalt dækker arbejdsgiveren den fulde løn de første 15 dage, hvorefter arbejds-
tageren overgår til dagpengesystemet. I forbindelse med coronakrisen udvidede den norske regering
den samlede periode med fuld løn fra 15 til 20 dage, hvoraf arbejdsgiveren midlertidigt kun skal dække
de første 2 dage mod tidligere 15 dage. De efterfølgende 18 dage dækker staten. Herefter overgår ar-
bejdstageren til dagpengesystemet. Det er muligt fortsat at arbejde under dagpengeperioden, men her
vil arbejdstagerens løn blive fraregnet i dagpengene.
I Sverige er permitteringsordningen relativ ny og blev hastebehandlet i forbindelse med coronakrisen.
I april udvidede regeringen ordningen yderligere, så det også er muligt at dække arbejdsnedsættelse op
til 80 pct., samt at staten skal dække ¾ af lønnen på hvert arbejdsnedsættelses-”trin”
mod tidligere
1/3. Hermed bliver lønnedgangen for den ansatte reduceret væsentligt. Lønnedgangen er dog stadig 12
pct. ved en arbejdsnedsættelse på 80 pct.
Herudover bliver arbejdsgiverne yderligere kompenseret for lønudgifter med op til 3.750 DKK om må-
neden pr. hjemsendte ansat i månederne maj-juni 2020. Dette ekstra subsidie til virksomhederne gør,
at muligheden for 100 pct. arbejdsnedsættelse ikke er meningsfuld i den svenske ordning i og med, at
det ville kunne betyde en kompensation på over 100 pct. af lønudgifterne til nogle virksomheder, så-
fremt ordningen med de nuværende parametre blev udvidet til at kunne dække 100 pct. arbejdstids-
nedsættelse. Denne beslutning skal formentlig også ses i lyset af, at der ikke har været det samme om-
fang af påbudte lukninger i Sverige.
Selvstændige og freelancere
Norge og Danmark har indført hjælpepakker til selvstændige og freelancere. Ordningerne minder om
hinanden, dog er rammen for Norges kompensationsordning mindre end den danske.
Sverige har ikke indført lignende ordning. I Tyskland kan ordningen for kompensation for faste om-
kostninger i nogen grad sammenlignes med den danske ordning til selvstændige, freelancere mv. i og
med den tyske ordning primært henvender sig til mindre virksomheder,
jf. tabel 4.3.
Den tyske ord-
ning kompenserer dog for faste omkostninger og ikke for omsætningsnedgang.
49
FIU, Alm.del - 2019-20 - Bilag 190: Rapport fra den økonomiske ekspertgruppe vedrørende udfasning af hjælpepakker
2198255_0051.png
Tabel 4.3
Hovedtræk for hjælpepakker til selvstændige og freelancere i forskellige lande
Danmark
Kompensation af…
Tabt omsætning
for selvstændige,
freelancere mv.
Krav: Omfatter
selvstændige, hvor
virksomheden har under
25 ansatte og et
omsætningsfald på mindst
30 pct.
Kompensation: 75 pct. af
omsætningsnedgangen -
dog maksimalt 23.000 DKK
pr. måned (i op til 4
måneder)
Norge
Krav: Omsætningsfald på
minimum 30 pct.
Sverige
Ingen ordning.
Tyskland
Vist overlap til
kompensation for faste
omkostninger.
Kompensation: Den
selvstændige skal selv
dække de første 16 dage.
Herefter dækkes 80 pct. af
omsætningsnedgang
(maksimalt 34.000 DKK pr
måned).
Bemærkninger
Virksomhedsejeren må
arbejde i kompensations-
perioden. Derfor er støtte-
niveauer mv. ikke umiddel-
bart sammenlignelige med
lønkompensations-
ordningen.
Anm.: Alle beløb er omregnet til DKK ud fra den aktuelle valutakurs og afrundet.
Sammenligning af hjælpepakker
et eksempel
Det er vanskeligt at sammenligne, hvor generøse hjælpepakkerne er i de forskellige lande. Det skyldes
blandt andet, at ordningerne virker forskelligt for lønmodtagere og virksomheder, samt at der vil være
stor forskel på, hvordan ordningerne virker for forskellige virksomheder med det samme falde i om-
sætning.
Det er overordnet billedet, at den danske lønkompensationsordning er gunstigere for lønmodtagerne
sammenlignet med ordningerne i de andre lande. Danske lønmodtagere kan under lønkompensations-
ordningen få fuld løn i op mod 4 måneder mod at afholde 5 feriedage pr. 3 måneder. I denne periode
er der ikke en rådighedsforpligtelse som i dagpengesystemet. I andre lande vil ydelsen generelt være
lavere.
I forhold til virksomhederne er det overordnede indtryk, at støtteordningerne set under ét i Danmark
og Norge er på samme niveau, mens støtten i Sverige er mindre gunstig. Både for så vidt angår kom-
pensation for faste omkostninger og fraværet af en ordning for selvstændigt erhvervsdrivende. Ordnin-
gerne i Tyskland er i højere grad lånebaseret, især for større virksomheder.
Kapitel 3 præsenterer med et eksempel effekten af ordningerne med udgangspunkt i en gennemsnit-
lige restaurant, jf. boks 3.3. Hvis man for samme restaurant vurderer hjælpeordningerne i Sverige og
Norge fås en illustrativ sammenligning. Den samlede dækning er samlet set mere gunstig i Danmark
og Norge, sammenlignet med Sverige,
jf. figur 4.7.
Dette skal dog ses i sammenhæng med, at Sverige
ikke på samme måde har været lukket ned som Danmark og Norge.
Det skal understreges, at eksemplet er følsomt over for de underliggende antagelser, og det er derfor
ikke umiddelbart muligt at generalisere på baggrund af eksemplet. Se bilag 3.1 for gennemgang af an-
tagelser mv. samt flere virksomhedseksempler.
50
FIU, Alm.del - 2019-20 - Bilag 190: Rapport fra den økonomiske ekspertgruppe vedrørende udfasning af hjælpepakker
2198255_0052.png
Figur 4.7
Overskud i virksomhedseksempel før og efter hjælpepakker
1.000 kroner
250
Overskud for virksomhedseksemplet i en situation uden corona = 157.000 kr.
1.000 kroner
250
0
0
-250
-250
Omsætningsnedgang over 4 mnd., pct.
-500
35
Overskud uden hjælpepakker
50
65
80
Overskud med danske hjælpepakker
Overskud med svenske hjælpepakker
-500
Overskud med norske hjælpepakker
Anm.: Se boks 3.3 for metode. Parametre fra en gennemsnitlig restaurant.
Kilde: Boston Consulting Group, se boks 3.3 samt bilag 3.1.
Muligheder for lån, statsgarantier og kapitalindskud, fokus på Tyskland
som case
Tyskland er det EU-land, der har statsstøttenotificeret de mest omfattende hjælpepakker til erhvervsli-
vet som svar på de udfordringer, coronakrisen har rejst.
2
Blandt andet har Tyskland oprettet en lang
række finansieringsprogrammer, der via favorable lån, statsgarantier og kapitalindskud sigter mod at
understøtte tysk erhvervsliv gennem krisen. Ordningerne trækker blandt andet på samarbejde med
private banker.
En lang række af de tyske initiativer kanaliseres gennem den tyske, statsejede udviklingsbank KfW
(Kreditanstalt für Wiederaufbau). Der er ikke fastlagt nogen volumenmæssige begrænsninger på sta-
tens eksponering under ordningerne. KfW har adgang til en statslig garantiramme på pt. 460 mia.
EUR, som omgående kan forhøjes med 93 mia. EUR hvis nødvendigt.
KfW tilbyder garantier for udlån til tyske virksomheder ramt af krisen. For SMV’er dækkes 100 eller
90 pct. af pengeinstitutters risiko, mens udlån til større virksomheder kan opnå en garanti på 80 pct.,
jf. tabel 4.4.
2
Dette kan til dels være båret af, at der er forskelle i, hvordan, hvornår og i hvor høj grad forskellige EU-lande får notificeret den
støtte, der ydes til virksomhederne.
51
FIU, Alm.del - 2019-20 - Bilag 190: Rapport fra den økonomiske ekspertgruppe vedrørende udfasning af hjælpepakker
2198255_0053.png
Tabel 4.4
Garantiprocenter i tyske ordninger fordelt på virksomhedstyper
SMV’er, mindre udlån
Garantiprocent
100 pct.
Udlån på maksimal 6
mio. kr., krav om mini-
mum 10 ansatte.
SMV’er, større lån
90 pct.
Udlån på maksimalt 750
mio. kr.
Større virksomheder
80 pct.
Udlån på maksimalt 750
mio. kr.
Danske garantiordninger
70* pct.
Anm.: En enkelt mindre dansk garantiordning for små og mellemstore eksportører har en garantiprocent på 80. Denne har dog en be-
grænset ramme på 1 mia. kr.
Også Sverige, Norge og Finland yder statsgarantier for lån som svar på krisen. I Sverige har regeringen
præsenteret garantiordninger med garantiprocenter mellem 70 og 80 pct. I Norge er der etableret en
garantiordning for SMV’er med en garantiprocent på
90. I Finland har man øget kapaciteten i eksiste-
rende garantiprogrammer med en garantiprocent på 80 pct.
Til sammenligning dækker langt hovedparten af de danske garantiordninger i Vækstfonden og EKF
Danmarks Eksportkredit 70 pct. af bankernes risiko ved udlån. I de danske ordninger er lånebeløbet
afgrænset til det konkrete omsætningstab fraregnet anden kompensation.
Ud over at stille garantier for lån kan tyske KfW tilbyde direkte lån til større virksomheder, dog er fi-
nansieringen her afgrænset til 50 pct. af den samlede finansiering, hvor den øvrige andel skal rejses fra
private parter.
Endvidere administrerer KfW en særlig facilitet på 2 mia. EUR til egenkapitalindskud i iværksætter- og
vækstvirksomheder, hvor den statslige facilitet sammen med anden statslig finansiering kan stille med
50-70 pct. af den nødvendige finansiering. Denne facilitet minder på en række punkter om de danske
match-finansieringstiltag i Vækstfonden.
Endelig kan mellemstore og store tyske virksomheder ud over produkterne i KfW få gavn af finansie-
ring fra den nyoprettede stabiliseringsfond WSF (Wirtschaftsstabilisierungsfonds) på 600 mia. EUR,
som er målrettet større virksomheder med perspektiver, men uden andre finansieringsmuligheder.
Den største pulje under WSF er målrettet statsgarantier for 400 mia. EUR til større virksomheders
selvfinansiering på kapitalmarkederne, fx gennem udstedelse af virksomhedsobligationer. Herudover
er WSF tildelt 100 mia. EUR til lånefinansiering af større virksomheder.
Endelig er WSF tildelt en rekapitaliseringspulje på 100 mia. EUR til kapitalindskud eller overtagelse af
gæld i større virksomheder. Denne indsats adskiller sig betydeligt fra den danske indsats, idet der her
er tale om egentlige kapitalindskud og/eller anden ansvarlig kapital fra statens side, og dermed stats-
ligt ejerskab i de berørte selskaber.
Afrunding
Alle fire lande har valgt, i varierende omfang, at støtte arbejdsgivere og arbejdstagere gennem
coronakrisen ved brug af diverse hjælpepakker. Der er designforskelle landene imellem, som blandt
andet afspejler forskelle i nedlukningsstrategier og tilstedeværelsen af eksisterende ordninger i de re-
spektive lande.
52
FIU, Alm.del - 2019-20 - Bilag 190: Rapport fra den økonomiske ekspertgruppe vedrørende udfasning af hjælpepakker
Det er overordnet billedet, at den danske lønkompensationsordning er gunstigere for lønmodtagerne
sammenlignet med ordningerne i de andre lande. Danske lønmodtagere kan under lønkompensations-
ordningen få fuld løn i op mod 4 måneder mod at afholde 5 feriedage pr. 3 måneder. I denne periode
er der ikke en rådighedsforpligtelse som i dagpengesystemet. I andre lande vil ydelsen generelt være
lavere.
I forhold til virksomhederne er det overordnede indtryk, at støtteordningerne set under ét i Danmark
og Norge er på samme niveau, mens støtten i Sverige er noget mindre gunstig. Både for så vidt angår
kompensation for faste omkostninger og fraværet af en ordning for selvstændigt erhvervsdrivende.
Ordningerne i Tyskland er i højere grad lånebaseret, især for større virksomheder.
Fælles for hjælpepakkerne er, at de er introduceret med kort varsel, og derfor har der været en række
udfordringer og løbende tilpasninger. De særlige corona-begrundede tiltag er alle midlertidige, og der
er i mange tilfælde fastsat en udløbsdato, ligesom for de danske ordninger. Disse datoer kan i sagens
natur ændres, og ingen af de omtalte lande har på nuværende tidspunkt fastlagt en samlet exit-plan for
hjælpepakkerne koblet sammen med den gradvise genåbning af økonomierne. Sammenligningen viser
også betydningen af at have eksisterende ordninger, der umiddelbart kan bringes i anvendelse, eventu-
elt med enkelte situationsbetingede tilpasninger. Der er fordele ved kenskab og systemsupport til eksi-
sterende ordninger, fremfor ad-hoc-ordninger, der også ofte er betinget af de administrative mulighe-
der for at gøre hjælpepakker operationelle på kort sigt.
53
FIU, Alm.del - 2019-20 - Bilag 190: Rapport fra den økonomiske ekspertgruppe vedrørende udfasning af hjælpepakker
5. Coronakrisens påvirkning på
dansk økonomi
Coronakrisen er i udgangspunktet ikke et almindeligt konjunkturtilbageslag. Den fremtidige økonomi-
ske udvikling afhænger blandt andet af det videre forløb for genåbningen herhjemme og i udlandet,
den økonomiske situation i udlandet, den videre spredning af coronavirus og eventuelle gennembrud i
behandlingen af sygdommen og udviklingen af en effektiv vaccine.
Det er derfor svært på nuværende tidspunkt at danne sig et klart billede af den økonomiske situation
og dermed også, hvordan og hvor hurtigt økonomien retter sig op i takt med genåbningerne. Det er
desuden vanskeligt at adskille effekterne af nedlukninger og hjælpepakker på den ene side fra adfærds-
ændringer og globale økonomiske påvirkninger på den anden side.
I modsætning til mange tidligere økonomiske kriser var dansk økonomi i en ganske gunstig situation
inden coronakrisens begyndelse. På alle de sædvanlige makroøkonomiske pejlermærker var dansk
økonomi i god form uden væsentlige makroøkonomiske ubalancer. På trods af stigende usikkerheder i
den globale økonomi har dansk økonomi de senere år været karakteriseret ved fremgang, beskæftigel-
sesstigninger, solid indtjening i de danske virksomheder og lav ledighed. Det afspejles også i de over-
vejende positive konjunkturprognoser udarbejdet inden coronakrisens start.
Disse udsigter er dog grundlæggende skiftet i de seneste tre måneder. Det falder dog uden for denne
rapports rammer at foretage en nærmere analyse af konjunkturudsigterne. Det følgende giver med ud-
gangspunkt i tilgængelige indikatorer et øjebliksbillede af centrale aspekter knyttet til genåbningen og
hjælpepakkerne. På basis af blandt andet korttransaktioner er det muligt at vurdere omsætningseffek-
ter af både nedlukninger og genåbninger. Tilsvarende er der arbejdsmarkedsindikatorer i forhold til
omfang af hjemsendelser og ledighed. På tværs af lande er der store forskelle i både de sundheds- og
økonomiske effekter af coronapandemien, og det får med en vis forsinkelse betydning for dansk øko-
nomi, og i særlig grad de mere internationalt orienterede erhverv. Endeligt er finansielle forhold af
stor betydning for virksomheder med lånebehov.
Effekter af nedlukninger og genåbning
første indikatorer
Der foreligger endnu ikke statistik, der giver mulighed for at vurdere de samlede effekter af nedluknin-
gerne og de efterfølgende genåbninger. Det er dog muligt at danne sig et billede af situationen ud fra
omfanget af transaktioner med betalingskort. Det er ikke et perfekt mål for forbruget, men viser et be-
tragteligt fald i forbruget frem mod slutningen af marts på omkring 20 pct. i forhold til sidste års ni-
veau,
jf. figur 5.1.
Faldet er endnu større, når der ses bort fra forbruget af dagligvarer. Siden slutningen
af marts har der været en tendens til stigning i omfanget af korttransaktioner, der tyder på en vis gen-
opretning af forbruget.
54
FIU, Alm.del - 2019-20 - Bilag 190: Rapport fra den økonomiske ekspertgruppe vedrørende udfasning af hjælpepakker
2198255_0056.png
Figur 5.1
Korttransaktioner
Samme ugedag 2019 = 100
140
120
Samlet forbrug
Samme ugedag 2019=100
Helligdage i 2019
og 2020
140
120
100
80
Påsken i 2019 og
2020
100
80
60
40
20
0
Marts
Omfang af korttransaktioner
April
Maj
Omfang af korttransaktioner, ekskl. dagligvarer
Samlet forbrug ekskl. dagligvarer
60
40
20
0
Anm.: Figuren viser syv-dages glidende gennemsnit af faktiske transaktioner frem til den 25. maj 2020. Opgørelsen er baseret på trans-
aktioner foretaget både i danske og udenlandske butikker med betalingskort og MobilePay for omkring 1 mio. danske Danske
Bank-kunder med aktive konti. Oplysningerne er ikke nødvendigvis fuldt repræsentative for den danske befolkning. Forbruget er
eksklusive kontantbetalinger og kontooverførsler, hvilket vil sige, at mange faste udgifter til bl.a. bolig typisk ikke er inkluderet,
hvorfor data her anvendes som et tilnærmet udtryk for det løbende danske privatforbrug. Figuren viser forbruget som indeksværdi
i forhold til samme ugedag i samme måned sidste år for at korrigere for almindelige forskelle i forbruget henover ugen. Forbruget
vist i figuren er ikke justeret for prisudvikling. Bemærk, at helligdages placering giver anledning til væsentlige udsving i indekset
og derfor ikke indgår i figuren.
Kilde: Danske Bank Spending Monitor.
Omfanget af korttransaktioner kan opdeles på forbrug på undergrupper, der kan give et yderligere ind-
blik i, hvordan forbruget har udviklet sig. Forbrug på dagligvarer og indkøb i byggemarkeder, der ikke
har været lukket, har således haft en mere positiv udvikling,
jf. figur 5.2
og
5.3.
Indkøb af dagligvarer
er normalt mindre konjunkturfølsomt. Hertil kommer et behov for øget indkøb, der følger af begræns-
ningen på at spise ude. Samtidig er effekten af genåbning begyndt at vise sig for de erhverv, der fik mu-
lighed for at åbne igen fra den 20. april. Det gælder fx frisører, som i ugerne efter genåbningen har op-
levet en omsætning, der ligger over det normale niveau.
55
FIU, Alm.del - 2019-20 - Bilag 190: Rapport fra den økonomiske ekspertgruppe vedrørende udfasning af hjælpepakker
2198255_0057.png
Figur 5.2
Korttransaktioner hos dagligvareforretninger og tøj-
forretninger
Indeks (2019 = 100)
175
150
125
100
75
50
25
0
Marts
April
Dagligvarer
Maj
Beklædning
Påsken i
19 og 20
Figur 5.3
Korttransaktioner hos frisører og skønhedssaloner
og byggemarkeder
Indeks (2019 = 100)
200
175
Påsken i
19 og 20
Indeks (2019 = 100)
Helligdage
i 19 og 20
Indeks (2019 = 100)
Helligdage
i 19 og 20
175
150
125
100
200
175
150
125
100
150
125
100
75
50
25
0
Marts
April
Maj
Byggemarkeder mv.
Frisør og skønhedsaloner
Restauranter
75
75
50
25
0
50
25
0
Anm.: Figurerne viser syv-dages glidende gennemsnit af faktiske transaktioner frem til den 25. maj 2020. Opgørelserne er baseret på
transaktioner foretaget både i danske og udenlandske butikker med betalingskort og MobilePay for omkring 1 mio. danske Dan-
ske Bank-kunder med aktive konti. Oplysningerne er ikke nødvendigvis fuldt repræsentative for den danske befolkning. Forbruget
er eksklusive kontantbetalinger og kontooverførsler, hvilket vil sige, at mange faste udgifter til bl.a. bolig typisk ikke er inkluderet,
hvorfor data her anvendes som et tilnærmet udtryk for det løbende danske privatforbrug. Figurerne viser forbruget som indeks-
værdi i forhold til samme ugedag i samme måned sidste år for at korrigere for almindelige forskelle i forbruget henover ugen.
Forbruget vist i disse figurer er ikke justeret for prisudvikling. Bemærk, at helligdages placering giver anledning til væsentlige
udsving i indekset og derfor ikke indgår i figurerne.
Kilde: Danske Bank Spending Monitor.
Tegnene på stigende aktivitet viser sig også i andre indikatorer. Trafikdata viser fx, at den daglige vej-
trafik for personbiler er steget fra at ligge 50 pct. under det normale niveau i uge 13 til nu at ligge om-
kring 10 pct. lavere end et normalt niveau (opgjort den 20. maj). Antallet af passagerer, der rejser med
Metroen, er ligeledes steget fra et lavpunkt i uge 13, men er dog fortsat lagt under normalen. Der er
endvidere tegn på en stigning i erhvervenes elforbrug. Det gælder blandt andet for frisører, elforbruget
efter genåbningen er nået op på sidste års niveau.
Indikatorerne giver samlet set et indtryk af et betragteligt fald i aktiviteten i marts, men med begyn-
dende tegn på genopretning fra slutningen af marts.
Det er svært at adskille effekterne af nedlukninger, ændret adfærd i forhold til smitterisiko og de
mange hjælpepakker, der har bidraget til at stabilisere arbejdsmarkedet og økonomien. Et nyt studie
viser, at ændret adfærd og fysisk distance har stor betydning for udviklingen i forbruget. Konklusionen
sker på baggrund af en sammenligning af omfanget af korttransaktioner i Danmark med Sverige, som
har haft en mere lempelig nedlukningsstrategi end Danmark. Til trods herfor har faldet i Sverige sam-
let set næsten samme omfang som i Danmark, om end faldet ikke har været lige så stort i de brancher,
som har været lukket i Danmark,
jf. boks 5.1.
56
FIU, Alm.del - 2019-20 - Bilag 190: Rapport fra den økonomiske ekspertgruppe vedrørende udfasning af hjælpepakker
2198255_0058.png
Boks 5.1
Sammenligning af forbrugsmønstre i Danmark og Sverige under pandemien
I en nyere analyse sammenlignes forbrugsudviklingen i Danmark og Sverige. Baggrund for undersøgelsen er, at coronavirussen
spredte sig til de to lande på omkring samme tidspunkt, men at man valgte en forskellig reaktion fra politisk side. I Sverige
valgte man en mindre restriktiv tilgang, sådan at indkøbscentre, restauranter og skoler fortsat kunne holde åbne, mens luknin-
gen primært omfattede universiteter og gymnasier. Til gengæld blev der givet en række sundhedsmæssige anbefalinger.
Analysen er baseret på detaljerede data for korttransaktioner, sådan at forbrug på forskellige varer og tjenester kan identificeres
og knyttes til alder, køn og indkomst for forbrugerne. I analysen kan der således tages højde for sociodemografiske forhold.
Til trods for forskelle i inddæmningsstrategi faldt forbruget markant i både Danmark og Sverige på det tidspunkt, hvor pande-
mien eskalerede. Samlet set faldt forbruget med 25 pct. i Sverige, mens faldet i Danmark var 4 pct.-point større,
jf. figur a.
Den
beskedne forskel i forbrugsfaldet tyder på, at forbrugsreaktionen i høj grad er knyttet til adfærd. Tallene viser dog, at forbruget i
nedlukkede brancher, fx frisører, af gode grunde faldt betragteligt mere i Danmark. Tilsvarende viser en analyse fra Swedbank,
at både Danmark og Norge har haft stor nedgang i omsætningen i blandt andet restaurationsbranchen, men at der ses en for-
bedring i de seneste tal, der rækker frem til slutningen af april.
Forskellen i forbrugsnedgangen varierer på tværs af aldersgrupper. For de yngste aldersgrupper faldt forbruget 10 pct.-point
mere i Danmark end i Sverige. Modsat faldt det for de ældste aldersgrupper 5 pct.-point mindre i Danmark,
jf. figur b.
Fortolk-
ningen er ifølge forskerne, at inddæmningstiltagene især har begrænset de unge aldersgrupper med mindre smitterisiko, mens
de ældre aldersgrupper i mindre grad behøver at indskrænke deres forbrug på grund af smitterisiko.
Figur a
Nedgang i samlet forbrug
Danmark og Sverige, 12.
marts-5. april
Pct.
0
-5
-10
Pct.
0
-5
Figur b
Forskel i nedgang fordelt på aldersgrupper
Danmark
og Sverige, 12. marts-5. april
Pct.-point
5
Pct.-point
5
0
-10
0
-15
-20
-25
-30
Danmark
Sverige
-15
-20
-5
-5
-10
-25
-30
-10
-15
18-29
30-39
40-49
50-59
60-69
70+
-15
Anm.: Opgørelsen er baseret på oplysninger om korttransaktioner frem til den 5. april 2020. Virkningen er angivet i forhold til et kontra-
faktisk forløb uden pandemi.
Kilde: Andersen. A. m.fl.: Pandemic, Shutdown and Consumer Spending: Lessons from Scandinavian Policy Responses to COVID-19
(12. maj 2020) og Swedbank Economic Outlook, May 2020.
Faldende aktivitet i Sverige fremgår også af foreløbige tal fra det svenske statistikbureau, hvor omsæt-
ningen i en række brancher er faldet markant i marts og yderligere i april. Hotellerne er hårdest ramt
med en omsætningsnedgang på næsten 80 pct. i april, mens restauranternes omsætning er reduceret
med næsten 30 pct.
jf. figur 5.4
og
figur 5.5.
I Danmark er der tegn på, at omsætningen i restauranter er faldet mere end i Sverige, hvilket blandt
andet skal ses i lyset af, at restauranterne i Danmark kun haft take-away salg eller var lukket i løbet af
perioden. Til gengæld har supermarkeder oplevet markant fremgang i Danmark.
57
FIU, Alm.del - 2019-20 - Bilag 190: Rapport fra den økonomiske ekspertgruppe vedrørende udfasning af hjælpepakker
2198255_0059.png
Figur 5.4
Omsætningsnedgang i marts
Danmark og Sverige
Ændring i pct. ift. marts 2019
60
40
20
0
Ændring i pct. ift. marts 2019
60
40
20
0
Figur 5.5
Omsætningsnedgang i april
Danmark og Sverige
Ændring i pct. ift. april 2019
60
40
20
0
Ændring i pct. ift. april 2019
60
40
20
0
-20
-40
-60
-20
-40
-60
-20
-40
-60
-20
-40
-60
-80
-100
Hotel
Restaurant Supermark.
Danmark
Flytrafik
Sverige
-80
-100
-80
-100
Hotel
Restaurant Supermark.
Danmark
Flytrafik
Sverige
-80
-100
Anm.: Omsætningsnedgangen for Danmark er baseret på transaktioner foretaget i både danske og udenlandske butikker med beta-
lingskort og mobile pay for omkring 1 mio. Danske Bank-kunder med aktive konti.
Kilde: SCB, Danske Bank og egne beregninger.
Tillidsindikatorer giver samme indtryk af en kraftig forværring i løbet af marts, men med en lille bed-
ring ifølge de seneste observationer. Forbrugertilliden faldt i april til det laveste niveau siden finanskri-
sen, men er steget lidt i maj,
jf. figur 5.6.
Den lidt større optimisme afspejles også i forventningerne til
ledigheden, idet færre respondenter
men stadig en stor andel
forventer en stigning i ledigheden
over de næste 12 måneder. Danmarks Statistik angiver endvidere, at oplysninger indsamlet efter den 7.
maj, hvor næste fase af genåbningen af Danmark blev annonceret, tyder på en yderligere lille stigning i
forbrugertilliden, om end niveauet fortsat er meget negativ.
Figur 5.6
Forbrugertillid
Nettotal
20
Nettotal
20
Figur 5.7
Erhvervstillid
Indeks
140
120
Indeks
140
120
100
80
10
10
100
80
0
0
60
60
40
20
0
00
02
04
06
08
10
12
14
16
18
20
-10
-10
40
20
-20
02
04
06
08
10
12
14
16
18
20
-20
0
Anm.: Oplysninger om forbrugertilliden er indsamlet i perioden 1.-17. maj, mens oplysninger om erhvervstilliden er indsamlet i perioden
24. april-12. maj. Tallet for erhvervstilliden er en foreløbig opgørelse, der omfatter både serviceerhverv, byggeriet og industrien.
Kilde: Danmarks Statistik og egne beregninger.
Foreløbige tal for erhvervstilliden i maj peger på en lille bedring,
jf. figur 5.7.
Udviklingen dækker
over, at andelen af virksomheder i byggeriet samt detailhandel, der enten har uændret eller øget om-
sætning i den seneste måned, er steget, mens andelene for industri og serviceerhverv omvendt er fal-
58
FIU, Alm.del - 2019-20 - Bilag 190: Rapport fra den økonomiske ekspertgruppe vedrørende udfasning af hjælpepakker
2198255_0060.png
det. Erhvervstilliden ligger dog fortsat lavere end under finanskrisen, hvilket især skyldes meget af-
dæmpede forventninger blandt serviceerhverv. Industrien og byggeriet ligger også lavt, men ikke un-
der finanskriseniveauet.
3
Arbejdsmarked, hjemsendelser og ledighed
Siden slutningen af marts har stigningstakten i antal konstaterede corona-tilfælde været på vej ned
(både herhjemme og resten af verden), og der er begyndende tegn på, at aktiviteten i økonomien er sti-
gende igen. Således er stigningen i ledigheden fladet ud i løbet af april efter en kraftig stigning i løbet
af marts på omkring 50.000 personer,
jf. figur 5.8.
Samtidig har der siden starten af maj været en sti-
gende tendens i antallet af opslåede stillinger, så det nu er oppe på et niveau svarende til gennemsnit-
tet for samme ugedag i perioden 2015-2019,
jf. figur 5.9.
Figur 5.8
Ledighed
marts til maj 2020
1.000 personer
200
190
180
170
160
150
140
130
Marts
April
Maj
1.000 personer
200
190
180
170
18
18
16
14
12
Marts
April
Maj
Nyopslåede stillinger
Gns. 2015-2019 (samme ugedag)
Figur 5.9
Antal opslåede stillinger
marts til maj 2020 sam-
menlignet med gennemsnit for 2015-2019
1.000 stilllinger
24
22
20
1.000 stilllinger
24
22
20
160
150
140
130
16
14
12
Kilde: Styrelsen for Arbejdsmarked og Rekruttering og egne beregninger.
De senere år har beskæftigelsen været stigende og ledigheden lav. I tiden op til coronakrisen var det i
gennemsnit godt 0,5 pct. af lønmodtagere med ordinær beskæftigelse, der blev berørt af ledighed i lø-
bet af en måned. Denne andel er mere end fordoblet i marts 2020, som er den første måned, hvor le-
dighedstallene er påvirket af pandemien. Med den markante stigning er ledighedsrisikoen for marts
2020 større end under finanskrisen, hvor ledighedsrisikoen toppede i begyndelsen af 2009,
jf. figur
5.10.
Fordelt på alder var det særligt unge, som oplevede større ledighedsrisiko under finanskrisen,
jf. bilag
6.3.
Med en ledighedsrisiko på 1,6 pct. i marts 2020 for 25-34-årige i beskæftigelse er ledighedsrisi-
koen for denne aldersgruppe aktuelt højere end under finanskrisen. Det bemærkes, at studerende, der
mister studiejobbet, ikke indgår i opgørelsen. Det skyldes, at studerende som udgangspunkt ikke vil
være berettiget til dagpenge eller kontanthjælp ved ophør af beskæftigelse og derfor ikke er i risiko for
at overgå til bruttoledighed.
3
Se Danmarks Statistik: Erhvervenes konjunkturindikatorer er også lave i maj, Eksperimental statistik, 14. maj 2020.
59
FIU, Alm.del - 2019-20 - Bilag 190: Rapport fra den økonomiske ekspertgruppe vedrørende udfasning af hjælpepakker
2198255_0061.png
Figur 5.10
Ordinært beskæftigede, der overgår til ledighed i løbet af en måned
Pct.
1,3
Pct.
1,3
1,0
1,0
0,8
0,8
0,5
0,5
0,3
0,3
0,0
2007
2008
2009
2010
2011
2012
2013
2014
2015
2016
2017
2018
2019
2020
0,0
Anm.: Egen sæsonkorrektion. Efter sæsonkorrektion er der fortsat små ikke-systematiske månedlige udsving, som er dæmpet ved an-
vendelse af et 3-måneders (centreret) glidende gennemsnit (bortset fra observationerne for februar og marts måned 2020). Op-
gørelsen går til og med marts 2020.Se boks B6.1 i bilag 6.3 for metode.
Kilde: Danmarks Statistik og egne beregninger.
Fordelt på uddannelse var det hovedsageligt faglærte og ufaglærte, hvor mange mistede jobbet under
finanskrisen,
jf. bilag 6.3.
Samme billede gør sig overordnet set også gældende for den seneste udvik-
ling, men den indeværende krise virker umiddelbart til at ramme mere bredt i den forstand, at beskæf-
tigede på tværs af uddannelsesgrupper er påvirket, hvor personer med kortere, mellemlange og lange
videregående uddannelser kun i begrænset omfang oplevede stigende ledighedsrisiko under finanskri-
sen.
Den markante stigning i ledighedsrisikoen i marts skyldes blandt andet nedlukningen af bestemte er-
hverv som fx restauranter. Det adskiller sig fundamentalt fra stigningen under finanskrisen, hvor virk-
somhederne var nødsaget til at afskedige medarbejdere grundet et omslag i konjunkturerne. Afskedi-
gelserne kom derfor også i et mere gradvist tempo, og ikke på én gang. På trods af, at ikke alle erhverv
er direkte påvirket af nedlukningen, er risikoen for at overgå til ledighed steget inden for alle hoveder-
hverv. Stigningen har været særlig stor inden for
bygge og anlæg, erhvervsservice
samt
handel og
transport mv, jf. bilag 6.3
Under finanskrisen var det især ansatte inden for bygge og anlæg samt industrien, der oplevede en
markant stigning i ledighedsrisikoen. I indeværende krise er det i langt højere grad serviceerhvervene,
hvor risikoen for ledighed er steget i først omgang. På sigt kan fx industrien og bygge og anlæg dog
blive hårdere ramt afhængigt af længden af krisen i både Danmark og udlandet.
Generelt er der en sammenhæng mellem antallet af nyopslåede jobannoncer og sandsynligheden for,
at dagpengeledige finder beskæftigelse. Begge dele aftog betydeligt under finanskrisen, og er tiltaget
gradvist siden 2012 i takt med opsvinget og højkonjunkturen,
jf. figur 5.11.
Virksomhederne indrykker også fortsat jobannoncer, hvilket er et signal om, at der fortsat er nye job-
muligheder på arbejdsmarkedet.
60
FIU, Alm.del - 2019-20 - Bilag 190: Rapport fra den økonomiske ekspertgruppe vedrørende udfasning af hjælpepakker
2198255_0062.png
Figur 5.11
Ledige stillinger pr måned og afgang fra dagpengeledighed til beskæftigelse
1.000 stillinger
30
Pct.
30
25
25
20
20
15
15
10
10
5
08
09
10
11
12
13
14
15
16
17
18
Nyopslåede stillinger
Dagpengemodtagere der finder beskæftigelse (h. akse)
5
Anm.: Se bilag 6.5 for metoden bag
dagpengemodtagere, der finder beskæftigelse.
Kilde: Jobindsats, Danmarks Statistik og egne beregninger.
Påvirkningen af arbejdsmarkedet kan dog ikke aflæses alene ud fra ledighedstallene, idet der pr. 18.
maj var ca. 205.000 (berørte), der var blevet kompenseret under lønkompensationsordningen, og der-
til 54.000 selvstændige og freelancere (berørte), der har fået hjælp. I kompensationsordningerne ligger
de berørte job især i brancherne handel samt hoteller og restauranter,
jf. figur 5.12.
Opgørelserne angi-
ver bruttotal for antallet af personer, der i kortere eller længere tid har været på ordningen. Der fore-
ligger ikke data for omfanget af personer, der ikke længere er omfattet af ordninger, og som er vendt
tilbage til arbejde i takt med genåbningstiltagene. Udløbet af ordningerne må dog forventes at medføre
en stigning i den registrerede ledighed,
jf. kapitel 3.
Figur 5.12
Lønkompenserede (berørte) i perioden 9. marts til 18. maj 2020 og tilgang af ledige i forhold til branchebe-
skæftigelsen
Pct. af privat beskæftigelse i branchen
0
Hoteller og restauranter
Kultur og fritid
Transport
Sundhed og socialvæsen
Handel
Rejsebureauer, rengøring mv.
Ejendomshandel og udlejning
Industri
Information og kommunikation
Undervisning
Videnservice
Vandforsyning og renovation
Råstofindvinding
Bygge og anlæg
Finansiering og forsikring
Landbrug, skovbrug og fiskeri
Energiforsyning
0
Lønkompenserede
5
10
15
20
25
30
35
40
Pct. af privat beskæftigelse i branchen
5
10
15
20
25
30
35
40
Nettotilgang af ledige
Anm.: Figuren angiver andel personer, der har modtaget lønkompensation i perioden 9. marts til 18. maj 2020, og nettotilgang af ledige
fra 9. marts til 18. maj 2020, i forhold til beskæftigelsen i den private sektor på brancheniveau i november 2018, jf. den registerba-
serede arbejdsstyrkestatistik. Tallene er ikke direkte sammenlignelige, idet der ikke registreres afgang fra lønkompensationsord-
ningen. Der ses bort fra offentlig administration, forsvar og politi.
Kilde: Styrelsen for Arbejdsmarked og Rekruttering, Erhvervsstyrelsen, Danmarks Statistik og egne beregninger.
61
FIU, Alm.del - 2019-20 - Bilag 190: Rapport fra den økonomiske ekspertgruppe vedrørende udfasning af hjælpepakker
2198255_0063.png
Som diskuteret ovenfor har der været en betydelige aktivitetsnedgang i Sverige trods en anden tilgang
til håndteringen af risikoen for smittespredning end i Danmark og Norge. I alle tre lande er der et stort
antal personer omfattet af lønkompensations/permittering ud over den registrerede ledighed,
jf. figur
5.13.
Man skal imidlertid være særdeles forsigtig med at vurdere stigningen i den samlede ledighed på tværs
af lande, da kompensationsordningerne på arbejdsmarkedet er med til at gøre det vanskeligt at for-
tolke ledighedstallene,
jf. kapitel 4.
For eksempel er der forskel på, hvor meget de lønkompenserede er
gået ned i løn. Hertil kommer, at der på tværs af landene kan være variationer i, hvor høj grad virk-
somhederne gør brug af permitterings- og lønkompensationsordningerne. Det kan derfor være svært
at vurdere, hvor stor den egentlige aktivitetsnedgang er.
Figur 5.13
Udvikling i ledighed mv. siden uge 10 i Danmark, Norge og Sverige
Pct. af arbejdsstyrken
12
10
8
6
4
2
0
Sverige
Registrerede ledige
Permitteringer
Norge
Permitteringer og delvist ledige
Danmark
Lønkompensation
Pct. af arbejdsstyrken
12
10
8
6
4
2
0
Anm.: Figuren viser ændring i henholdsvis antal ledige og antal personer på lønkompensation/permittering i Sverige, Norge og Danmark
siden uge 10. Lønkompensation i Danmark indeholder alle, som har modtaget lønkompensation (berørte fra 9. marts til 18. maj)
inkl. i genåbnede erhverv. Permitteringer i Sverige giver virksomhederne mulighed for at lade medarbejderne gå op til 80 pct. ned
i arbejdstid i en midlertidig periode og samtidig bibeholde en stor del af lønnen, som staten giver arbejdsgiveren støtte til. Permit-
teringer i Norge giver virksomhederne mulighed for midlertidigt helt eller delvist at fritage medarbejdere for arbejdspligt i forbin-
delse med aktivitetsnedgang som følge af coronaudbruddet. I den første periode under permitteringen giver staten kompensation
for medarbejderens løn, hvorefter den pågældende medarbejder overgår til dagpenge forudsat nogle opfyldte kriterier. Ledighe-
den i Norge er opgjort som bruttoledige (dvs. ekskl. deltidsledige) korrigeret for permitterede ledige, hvor det er antaget at alle
permitterede er ledige. For Danmark er opgørelsen baseret på oplysninger frem til 18. maj. For Sverige går permitteringsoplysnin-
gerne frem til 14. maj, mens ledigheden er opgjort frem til uge 20. For Norge går oplysninger om permittering og ledigheden frem
til 19 maj. Arbejdsstyrken er baseret på LFS for 4. kvartal 2019.
Kilde: Arbetsformedlingen, NAV, Tillvaxtverket, Erhvervsstyrelsen, Styrelse for Arbejdsmarked og Rekruttering, Eurostat og egne bereg-
ninger.
Effekter af coronakrisen på eksporterhverv
De danske initiativer med hel eller delvis nedlukning har primært ramt de private serviceerhverv, og
tilsvarende har genåbningsprocessen derfor umiddelbart størst effekt for disse sektorer. De fleste an-
dre lande har også gennemført nedlukningsaktiviteter, og der er en generel nedgang i den økonomiske
aktivitet. Disse effekter kan ramme dansk økonomi med en vis forsinkelse, især for så vidt angår de
mere eksportorienterede virksomheder.
Indikatorer for eksporten viser, at den foreløbigt har klaret sig nogenlunde. For industrien kan gen-
nemslaget på beskæftigelse og produktion være mere forsinket, fordi nogle virksomheder kan produ-
cere til lager eller har ordrer, der er afgivet inden tilbageslaget. Foreløbige tal fra Danmarks Statistik
viser, at industriens omsætning i april 2020 er faldet i forhold til marts 2020. Bag det samlede
62
FIU, Alm.del - 2019-20 - Bilag 190: Rapport fra den økonomiske ekspertgruppe vedrørende udfasning af hjælpepakker
2198255_0064.png
omsætningsfald er især en tilbagegang i omsætningen til eksportmarkederne, som skyldes udvikling i
den globale efterspørgsel.
4
Gennemslaget vil således kunne komme mere gradvist i de kommende måneder for industrivirksom-
heder modsat mange danske hjemmemarkedsorienterede servicevirksomheder, der oplevede et stort
fald fra den ene dag til den anden. Ifølge
spørgeskemaundersøgelsen i DI’s virksomhedspanel forven-
tes et fald i eksportomsætningen på 18 pct. i 2. kvartal, mens tilbagegangen for hele året forventes at
blive på knap 13 pct.
5
Til sammenligning faldt eksporten med 9,2 pct. i 2009 under finanskrisen. I den
sammenhæng kan det spille en rolle, at det kan blive svært at genskabe eksporten til eksisterende mar-
keder eller deltage i eksportfremstød, når eksportvirksomheder
ud over et globalt efterspørgselsfald
samtidig skal agere i forhold til forskellige restriktioner i de enkelte lande i forhold til indrejsemulig-
heder, grænsepassage, forsamlingsforbud mv.
I Danmark har Udenrigsministeriets rejsevejledning siden den 13. marts 2020 frarådet alle ikke-nød-
vendige rejser. Erhvervsrejser er således fortsat mulige, fx i forbindelse med leverancer af varer, instal-
lation og reparation. Men rejsemulighederne er langt mere indskrænkede og det har været med til at
besværliggøre og begrænse omfanget af erhvervsrejser.
Tilbageslaget og sundhedskrisen kan også have medført et opbrud i de globale værdikælder. Ifølge
Danmarks Statistiks konjunkturbarometer er der ifølge de seneste oplysninger, der er indsamlet i
april, sket en lille stigning fra januar i antallet af industrivirksomheder, der oplever mangel på materi-
aler eller udstyr som en produktionsbegrænsning. Mangel på efterspørgsel er for de fleste virksomhe-
der imidlertid en vigtigere årsag til begrænsninger på produktionen.
For en nærmere belysning af de globale værdikæder i nordiske virksomheder,
se boks 5.2.
4
Se Danmarks Statistik: Markant nedgang i industriens omsætning i april, Eksperimentel statistik, 18. maj 2020. Bemærk, tallene
ikke er korrigeret for sæsonudsving og det forhold, at påsken ligger i april.
5
Se DI Analyse: Eksportfald kan tage lang tid at indhente igen, 11. maj 2020.
63
FIU, Alm.del - 2019-20 - Bilag 190: Rapport fra den økonomiske ekspertgruppe vedrørende udfasning af hjælpepakker
2198255_0065.png
Boks 5.2
Globale værdikæder
Globale værdikæder og globalisering har været nogle af de centrale drivkræfter for vækst i den globale økonomi i de seneste
årtier. Dette er fremmet af betydelige teknologiske fremskridt, handelsliberaliseringer og internationale investeringer, der har
reduceret handelsomkostningerne.
Det betyder, at den internationale økonomi i dag er mere integreret, end den nogensinde har været. Produktionsprocesserne er
blevet opdelte og indgår i globale forsyningskæder, hvor forskellige dele løses forskellige steder i verden. Danmark har været i
stand til at udnytte denne generelle trend, således at forskydninger i aktivitet på tværs af sektorer mod større værdiskabelse har
været mulig. Et velkendt eksempel på disse grundlæggende forandringer er udviklingen i den danske tekstilsektor, hvor egent-
lig produktion i Danmark i dag spiller en mindre rolle, mens virksomheder med udgangspunkt i Danmark styrer globale pro-
duktionsprocesser i sektoren. Den øgede betydning for Danmark af at indgå i internationale værdikæder kan fx ses ved, at den
andel af eksport fra Danmark, der udgøres af udenlandsk værditilvækst, er vokset siden midten af 1990'erne fra gennemsnitligt
23 pct. i 1995 til 33 pct. i 2011,
jf. figur a.
International handel og globale værdikæder er ikke kun vigtige for økonomisk produktion og værditilvækst, men også for be-
skæftigelsen. Samlet set var over 40 pct. af beskæftigelsen i Danmark i 2013 direkte eller indirekte relateret til produktion af
eksport, og andelen er øget i flere nordiske lande,
jf. figur b.
Nyere opgørelser viser, at det nu er omkring 800.000 job i Dan-
mark, som kan relateres til eksport.
1)
Figur a
Importindhold i eksporten fra udvalgte lande
Pct.
50
40
30
Pct.
50
40
30
Figur b
Beskæftigelse relateret til eksport fordelt på virksom-
hedsstørrelse, i pct. af beskæftigelsen i private erhverv
Pct.
50
40
Pct.
50
40
30
20
10
30
20
10
20
10
0
20
10
0
0
2009
2013
2009
2013
2009
2013
Danmark
Store virksomheder
Finland
0
Sverige
Mellemstore virksomheder
Danmark
Finland
Sverige
EU28
OECD
1995
2011
Små virksomheder
1)
DI-analyse: 845.000 danske eksportjob
før coronakrisen (maj 2020).
Anm.: Figur a viser den andel af importeret udenlandsk værditilvækst, der indgår i landenes eksport. Figur b viser beskæftigelsen relate-
ret til produktion af eksport af varer og tjenester i pct. af den samlede beskæftigelse og opdelt efter virksomhedsstørrelse.
Kilde: Danmarks Statistik, Statistics Finland, Statistisk Sentralbyrå, OECD, Statistics Sweden og Nordic Council of Ministers: Nordic
Countries in Global Value Chains, January 2017,
64
FIU, Alm.del - 2019-20 - Bilag 190: Rapport fra den økonomiske ekspertgruppe vedrørende udfasning af hjælpepakker
2198255_0066.png
Derved er det fortsat uklart, hvordan og i hvilket omfang coronakrisen vil udspille sig for eksportvirk-
somheder, og der vil grundlæggende være meget forskellige forløb for forskellige brancher. Også under
finanskrisen var der forskelle i, hvornår de enkelte brancher blev ramt, og hvor hurtigt genopretningen
efterfølgende fandt sted,
jf. boks 5.3.
Således var en relativt hurtig genopretning af eksporten med til at
drive væksten i økonomien efter finanskrisen.
Boks 5.3
Konjunkturfluktuationer påvirker brancher meget forskelligt
Genopretningen efter finanskrisen var særligt langstrakt, og især det private forbrug og investeringerne lå under før-krise-ni-
veauet flere år frem, mens eksporten hurtigere var tilbage på det tidligere niveau. Der er typisk store forskelle på tværs af bran-
cher i hastigheden af genopretningen. For at illustrere tilpasningsforløbet efter finanskrisen, viser tabel a udviklingen på tværs
af brancher. Udgangspunktet er 2005 før tilpasningen på tværs af brancher. Det fremgår både, at brancherne var meget forskel-
ligt påvirket af finanskrisen, og at der er stor variation i, hvor lang tid det tog forskellige brancher at komme ud af krisen mv.,
jf.
tabel a.
Relateret til brancheforskellene, er der også stor forskel i konjunkturfølsomheden af forskellige underkomponenter til forbru-
get,
jf. bilag 5.1.
Tabel a
BVT i udvalgte brancher (indeks 2005=100)
05
Information og kommunikation
Industri
Rejsebureauer, rengøring og anden operationel service
Handel
Videnservice
Hoteller og restauranter
Bygge og anlæg
Finansiering og forsikring
Ejendomshandel og udlejning af erhvervsejendomme
Transport
06
07
08
09
10
11
12
13
14
15
16
17
18
19
100 108 121 137 141 148 152 155 170 172 190 209 214 224 232
100 105 107 106 93
100 100 106 101 89
97 103 107 110 112 111 118 121 127 132
88
96 102 106 108 116 117 120 125 130
100 109 110 107 101 107 108 106 107 111 117 121 123 128 133
100 104 96 102 98
97
95
92
99 102 108 124 131 136 143
100 108 110 108 100 98 109 108 110 109 109 119 122 126 128
100 108 105 108 98
86
88
91
92
95 105 114 115 126 127
100 112 123 135 128 124 117 116 114 113 109 109 109 109 111
100 96
99
88
97
82
98
83
97
90
99
89
97 100 107 105 108 120 123
99
93
91
95
99 100 100
100 103 107 95
Anm.: Grøn farve angiver perioder, hvor BVT mindst er på niveau med 2005. Rød farve angiver perioder med fald i BVT til et lavere
BVT-niveau end i 2005. Gul angiver perioder med enten fald i BVT, men stadig højere niveau end i 2005, eller genopretning af
BVT mod et højere niveau end i 2005.
Kilde: Danmarks Statistik og egne beregninger.
Finansielle forhold
Genopretningen efter coronakrisen kan også blive hæmmet af mere restriktiv adgang til lån. Normalt
er udlånsaktiviteten konjunkturmedløbende, blandt andet fordi aktiver, der kan bruges som grundlag
for sikkerhedsstillelse, stiger i værdi i opgangstider. Det modsatte vil være tilfældet i nedgangsperio-
der.
I marts steg erhvervsudlånet med 2,3 pct. og på linje med fremgangen i de seneste år. Stigningen dæk-
ker dog over betydelig variation på tværs af brancher. Således var det en pæn udlånsvækst til blandt
andet industrien, mens udlånene til en række serviceerhverv faldt,
jf. figur 5.14.
Faldet i udlånene til
serviceerhvervene er imidlertid ikke nødvendigvis udtryk for manglende lånemuligheder. Ifølge Dan-
marks Statistiks konjunkturbarometre skal det nok snarere ses i sammenhæng med, at mangel på ef-
terspørgsel virker som største begrænsning for disse virksomheder, mens betydningen af finansielle
begrænsninger kun er steget i mindre omfang,
jf. figur 5.15.
65
FIU, Alm.del - 2019-20 - Bilag 190: Rapport fra den økonomiske ekspertgruppe vedrørende udfasning af hjælpepakker
2198255_0067.png
Figur 5.14
Udlånsvækst, marts
Pct.
-30
El- , gas- og fjernvarme
Fremstillingsvirksomhed
Administrative tjenester mv.
Transport og gods
Andre serviceydelser
Bygge og anlæg
Fast ejendom
Hotel og restauration
Information og kommun.
Liberale tjenester mv.
Engros- og detailhandel mv.
Sundhedsvæsen mv.
Landbrug
Kultur, forlystelser mv.
Øvrige brancher
Figur 5.15
Virksomheder i serviceerhverv som angiver be-
grænsninger for at drive forretning
Pct. af virksomheder
50
Pct. af virksomheder
50
-20
-10
0
10
20
30
40
40
30
30
20
20
10
10
0
0
2012 2013 2014 2015 2016 2017 2018 2019 2020
Mangel på efterspørgsel
Mangel på arbejdskraft
Finansielle begrænsninger
-30
-20
-10
0
10
20
30
Kilde: Danmarks Nationalbank, Danmarks Statistik og egne beregninger.
Ifølge Nationalbankens seneste udlånsundersøgelse baseret på svar indhentet i perioden 19. marts til
3. april er det gennemgående forventningen, at tab på udlån vil stige i løbet af 2. kvartal, mens det for-
ventes, at lånebetingelser hverken vil blive strammet eller lempet.
En spørgeskemaundersøgelse, som DI har foretaget hos sit virksomhedspanel i april, viser ikke tegn på
en kreditklemme. 60 pct. af virksomheder rapporterer om gode eller meget gode muligheder for at
låne, hvilket kun er lidt mindre i forhold til to tredjedele sidste år. 15 pct. svarer, at mulighederne er
dårlige eller meget dårlige (mod 12 pct. sidste år).
6
Ifølge en analyse fra Finans Danmark står de dan-
ske banker samtidig grundlæggende godt rustet til at understøtte virksomheder og husholdninger med
kreditter,
jf. boks 5.4.
Forhold på lånemarkedet kan dog være skiftet i løbet af de sidste uger, uden at det nødvendigvis af-
spejler sig i data på nuværende tidspunkt, og vil fremadrettet være afhængig af konjunkturudviklingen.
6
Se DI Analyse: Endnu ingen tegn på kreditklemme, 27. april 2020.
66
FIU, Alm.del - 2019-20 - Bilag 190: Rapport fra den økonomiske ekspertgruppe vedrørende udfasning af hjælpepakker
2198255_0068.png
Boks 5.4
Finans Danmarks vurdering af bankernes kapitalsituation
Siden finanskrisen har bankerne øget deres kapital betydeligt. Den totale mængde af kapital i pengeinstitutterne er således øget
fra 12 pct. af de risikovægtede eksponeringer i 2007 til knap 25 pct. i 2019. Samtidig er kvaliteten af kapital blevet bedre, da
mængden af kernekapital i de danske banker er steget fra 8,1 pct. af de risikovægtede eksponeringer i 2007 til 19,5 pct. i 2019.
Mere kapital gør bankerne bedre rustede til at bære tab under økonomiske kriser. Finans Danmark har med udgangspunkt i et
hårdt recessionsscenarie fra Nationalbankens seneste stresstest (fra november) vurderet bankernes kapitalsituation. Ifølge ana-
lysen vil kapitaloverdækningen falde i forhold til minimumskravet, men bankerne vil ikke have problemer med at leve op til
kapitalkravene med de forventninger, der aktuelt er til den økonomiske udvikling (dvs. betydelig genopretning i 2021).
På baggrund af analysen konkluderer Finans Danmark, at der i den aktuelle situation ikke er grundlag for at tale om statslige
bankpakker, kapitalindskud eller lignende. Den solide kapitalsituation betyder endvidere ifølge Finans Danmark, at danske
banker er godt rustet til at understøtte virksomheder og husholdninger med kreditter i den aktuelle situation.
Tab kan være en konsekvens af et relativt højt gældsniveau blandt danske husholdninger. En række analyser viser imidlertid, at
værdien af danske husholdningers aktiver, dvs. deres boliger, aktier, pensionsdepoter, bankindskud mv., er steget mere end
deres gæld over en årrække. Den seneste opgørelse fra Danmarks Statistik viser således, at familiernes nettoformue steg med
16,5 pct. fra 2014 til 2018 til lige knap 2 mio. kr. pr. familie. På den baggrund fremstår danske husholdninger velkonsoliderede.
Dette har også været konklusionen i dybdegående analyser foretaget af EU-Kommissionen under makroubalanceproceduren.
Kilde: Finans Danmark: Bankernes kapitalsituation og corona-krisen, 19. maj 2020 og EU-Kommissionen: Macroeconomic Imbalances
Denmark 2013 og 2014, Occasional Papers 133 og 175.
Udvikling i BNP og de offentlige finanser
Udviklingen i dansk økonomi vil først med betydelig forsinkelse blive afspejlet i nationalregnskabstal.
Danmarks Statistik har den 15. maj offentliggjort en foreløbig BNP-indikator, der viser et fald i BNP på
1,9 pct. i 1. kvartal. BNP-indikatoren giver det første, helt foreløbige bud på den kvartalsvise vækst in-
den det første egentlige nationalregnskab. Nationalregnskabstal revideres efterfølgende ad flere om-
gange, og revisionerne kan erfaringsmæssigt være store. I den aktuelle situation er indikatoren behæf-
tet med særligt stor usikkerhed.
Faldet i BNP i 1. kvartal placerer dansk økonomi blandt de lande, der indtil videre har haft den mindst
alvorlige tilbagegang,
jf. figur 5.16.
De foreløbige tal viser, at det især er lande med tidlige eller store
virusudbrud, der ser ud til at have haft de største fald. Kina har således været hårdt ramt i 1. kvartal,
men for de fleste lande må tilbagegangen forventes at blive større i 2. kvartal. Desuden kan størrelsen
på tilbageslaget og landenes indbyrdes rangering ændre sig, i takt med at nationalregnskabet bliver
konsolideret i de enkelte lande.
67
FIU, Alm.del - 2019-20 - Bilag 190: Rapport fra den økonomiske ekspertgruppe vedrørende udfasning af hjælpepakker
2198255_0069.png
Figur 5.16
BNP-vækst i 1. kvartal
0
0
-2
-2
-4
-4
-6
-6
-8
-8
-10
-10
-12
-12
Anm.: Foreløbige opgørelser skal tages med væsentlige forbehold.
Kilde: Macrobond og egne beregninger.
Tempoet i genopretningen vil fundamentalt afhænge af pandemiens videre forløb, og i hvor høj grad
tilbageholdenhed hos forbrugere og virksomheder herhjemme og i udlandet vil holde efterspørgslen
tilbage. Udviklingen i udlandet er af særskilt stor betydning for en lille, åben økonomi som den danske.
Coronakrisen får stor betydning for de offentlige finanser via dels de direkte udgifter til hjælpepak-
kerne og dels effekterne af et økonomisk tilbageslag gennem de automatiske stabilisatorer (lavere
skatte- og afgiftsindtægter og øgede udgifter til blandt andet indkomstoverførsler),
jf. boks 5.5.
Hertil
kommer eventuelle finanspolitiske lempelser for at understøtte aktivitet og beskæftigelse.
68
FIU, Alm.del - 2019-20 - Bilag 190: Rapport fra den økonomiske ekspertgruppe vedrørende udfasning af hjælpepakker
2198255_0070.png
Boks 5.5
Coronakrisen og de offentlige finanser
I Økonomisk Redegørelse, maj 2020, skønnes budgetunderskuddet i 2020 at blive 7,2 pct. af BNP og 1,8 pct. af BNP i 2021.
Sådanne budgetunderskud finansieres via låntagning, og derfor stiger statsgælden. Finansieringen af offentlig gæld adskiller sig
fra privat gæld ved, at gælden ikke skal afvikles på
et bestemt tidspunkt, da den i princippet kan ”rulles” frem i det uendelige.
Det afgørende gældsmål er gælden sat i forhold til bruttonationalproduktet (gældsandelen), da dette er et mål for den ind-
komst, der ultimativt skal honorere gælden. En given gældsandel kan holdes i det uendelige, hvis det modsvares af et perma-
nent budgetoverskud (set i forhold til BNP), som modsvarer den relevante rentebetaling. Hvis den relevante rente er fx 2 pct.,
vil et gældsniveau på 60 pct. af BNP kunne fastholdes i det uendelige ved et budgetoverskud (før renter) svarende til 1,2 pct. af
BNP. Med dette overskud sikres det, at rentebetalingerne på gælden kan klares, uden det fører til en gældsspiral. Den løbende
finansiering af gælden kræver enten højere skatter eller besparelser på andre udgiftsposter. Hvis budgetoverskuddet er mindre
end 1,2 pct. af BNP, vil det hele tiden være nødvendigt at øge gælden for at finansiere rentebetalingerne og dermed udløser en
gældsspiral.
Ovenstående illustrerer den grundlæggende dynamik bag den offentlige gæld, men det skal tolkes med forsigtighed, da der an-
tages en stationær situation, hvor budgetsaldo og gæld holdes konstant over lange perioder. Virkelighedens verden er som be-
kendt ikke stationær; der er gode og dårlige tider, perioder med høj og lav rente osv. Den relevante rente for staten er den
vækstkorrigerede rente defineret som renten minus væksten i BNP. Der skal korrigeres for væksten i BNP, da denne indkomst-
vækst i sig selv tenderer at reducere gældskvoten. Desto højere indkomst, desto nemmere er det at honorere en given gæld.
Udgangspunktet for at håndtere underskuddene skabt af coronakrisen er gode af to grunde. For det første var gældsniveauet i
kraft af en konsolideringspolitik bragt ned på ca. 35 pct. af BNP ved udgangen af 2019
og endnu lavere, hvis man tager hen-
syn til, at det offentlige også har rentebærende aktiver. Et af argumenterne for denne politik var netop at sikre en stødpude til
sikring af handlemuligheder, hvis en krisesituation skulle opstå. Vi står nu i den situation, og derfor har der været mulighed for
at lancere blandt andet udgiftskrævende hjælpepakker. For det andet er den vækstkorrigerede rente lav (og endog negativ inden
coronakrisen), hvilket dæmper den underliggende tendens til en gældsspiral og dermed kravet til budgetoverskud for at undgå
stigende gæld. Den lave rente skyldes særligt to forhold. For det første er det globale renteniveau lavt, og i euroområdet er ren-
ten på statsobligationer yderligere holdt nede af massive obligationsopkøb fra ECB. For det andet er det danske rentespænd
(forskellen i renten på danske statsobligationer til fx tyske statsobligationer) lavt og for alle praktiske formål nul. Det afspejler
stor tillid til den danske fastkurspolitik og dermed mere generelt den økonomiske politik i Danmark.
Det aktuelle renteniveau kunne derfor lede til den konklusion, at det er ”gratis” for staten at gældsfinansiere udgifter. Det
er en
forhastet konklusion. Den økonomiske politik kan ikke ukritisk tilrettelægges i forventning om, at renten fortsat vil være lav. På
globalt plan er der store budgetunderskud og gældsakkumulering, og derfor er der et underliggende opadgående pres på rente-
niveauet. Hvornår og om det materialiserer sig, er usikkert, men på lidt længere sigt er konsensusforventningerne, at den
vækstkorrigerede rente vil være positiv. Hvis man akkumulerer en høj gæld baseret på en forventning om et permanent lavt
renteniveau, bringer man sig i en meget sårbar position. Endvidere afhænger renteniveauet af gælden. Det var tydeligt under
finanskrisen, hvor en række sydeuropæiske lande med høj statsgæld blevet fanget i en gældsfælde med stigende renter. I Dan-
marks tilfælde er der det ekstra aspekt, at den faste valutakurs forudsætter tillid og troværdighed til den økonomiske politik i
Danmark. Hvor grænserne går for at udfordre denne tillid, er svært at fastlægge præcist, men ved stærkt stigende gæld vil den
blive udfordret.
Det er helt afgørende for vurderingen af effekterne for de offentlige finanser, hvorvidt der er tale om midlertidige eller perma-
nente ændringer. Et midlertidigt underskud
også selv om det er relativt stort
vil øge gælden, men ikke til et kritisk niveau.
En stigning i gældskvoten fra 35 pct. til fx 50 pct. er håndterbart. I årene før coronakrisen var der kun 13 EU-lande, der havde et
gældsniveau under 60 pct., som er gældsgrænsen i eurosamarbejdet. Permanente budgetunderskud vil imidlertid hurtigt bringe
gælden op på et højere niveau. Et midlertidigt budgetunderskud (selv hvis det er relativt stort) har begrænsede effekter på de
offentlige finanser i de efterfølgende år, da finansieringen netop kan spredes over mange år. Et budgetunderskud på 5 pct. i et
enkelt år vil således kun have en effekt på den finanspolitiske holdbarhed med 0,05 pct. af BNP.
Det er ikke på nuværende tidspunkt muligt præcist at skønne over, hvordan hjælpepakkerne påvirker de offentlige finanser.
Dels kendes det præcise træk ikke på ordningerne, og dels kræver det en vurdering af afledte effekter på aktiviteten både den
umiddelbare effekter og effekt på genopretningsprocessen. Selvom der er plads i de offentlige finanser til at håndtere store kort-
varige underskud, er det ikke ensbetydende med, at anvendelse af offentlige midler er omkostningsfrit. Midlerne kunne anven-
des på andre formål. Konkret i forhold til hjælpepakkerne er spørgsmålet, om udgifterne til videreførelse bedre kan anvendes
på andre formål. Hjælpepakkerne har afledte samfundsøkonomiske omkostninger, da de bremser omstillinger og tilpasninger
og dermed vækst og velstand.
69
FIU, Alm.del - 2019-20 - Bilag 190: Rapport fra den økonomiske ekspertgruppe vedrørende udfasning af hjælpepakker
Afrunding
Coronapandemien har ført til et alvorligt tilbageslag i dansk økonomi, der allerede ses i de foreløbige
og usikre tal for BNP-faldet i 1. kvartal, og som forventeligt vil ramme endnu hårdere i 2. kvartal. Indi-
katorerne viser dog også tegn på genoptagelse af økonomiske aktiviteter på områder, der er blevet gen-
åbnet. Forbrugerne og virksomhederne er blevet en anelse mindre pessimistiske i de seneste målinger
af forbrugertillid og erhvervstillid. Det er imidlertid for tidligt at konkludere på styrken i opgangen i
den økonomiske aktivitet som følge af genåbningerne. En række faktorer peger også på, at den økono-
miske aktivitet ikke alene er påvirket af nedlukning, men i mindst lige så stor grad af adfærdsændrin-
ger. Samtidig har effekterne af den globale økonomiske krise endnu ikke vist sig i fuldt omfang for de
eksportorienterede erhverv.
Udviklingen på det sundhedsmæssige område vil trods genåbningerne fortsat have en stor betydning.
På den ene side vil økonomien påvirkes yderligere i negativ retning, såfremt der kommer - eller alene
opstår bekymring for - en anden smittebølge, og på den anden side vil den økonomiske situation for-
ventelig forbedre sig, såfremt der i en nær fremtid udvikles enten effektive behandlingsformer eller en
vaccine.
Erfaringerne fra tidligere kriser viser store forskelle på tværs af brancher både i den direkte påvirkning
og i det efterfølgende tilpasningsforløb, med henhold til længde og dybde. Det må også forventes at
være tilfældet i den aktuelle krise, og genopretningen af økonomien vil være forbundet med en række
strukturændringer. Disse brancheforskelle er også af betydning for arbejdsmarkedet, da forskellige
lønmodtagergrupper kan være påvirket afhængig af de præcise brancheeffekter.
Det er ikke på nuværende tidspunkt muligt at skønne præcist over ledighedsudviklingen mv. Et mere
negativt forløb kan få en selvforstærkende effekt i form af øget usikkerhed, som kan påvirke efter-
spørgsel, långivning m.m.
70
FIU, Alm.del - 2019-20 - Bilag 190: Rapport fra den økonomiske ekspertgruppe vedrørende udfasning af hjælpepakker
6. Tilpasningsdynamik i dansk
økonomi
Økonomien påvirkes løbende af en række forhold, der ændrer vilkårene for virksomheder og lønmod-
tagere. Omstillingsbehovet er drevet af mange forhold, herunder ny teknologi, ændringer i behov og
forbrugsmønstre, ændrede afsætningsmuligheder, konkurrence fra udlandet og meget mere. Bremses
omstillinger og tilpasninger, bliver konsekvenserne lavere produktivitet og velstand og dermed ringere
muligheder for at forene høj beskæftigelse med høj velstand. Omstillingsbehovet bliver ikke mindre
under en økonomisk krise, tværtimod er omstillingsevnen afgørende for den økonomiske genopret-
ning.
Danmark tilhører en gruppe af lande, som er kendetegnede ved et veludbygget velfærdssamfund med
forskellige typer af velfærdsservice som gratis uddannelse, fri adgang til sundhedstjenester og pleje
m.m. og et relativt finmasket socialt sikkerhedsnet. Derfor er skatterne høje sammenlignet med de fle-
ste andre lande. Dertil kommer, at den offentlig sektor blandt andet bidrager med rammer for et dyna-
misk erhvervsliv ved at sikre infrastruktur, adgang til global afsætning, offentlig understøttet forskning
og adgang til uddannet arbejdskraft samt ikke mindst et retsvæsen, som muliggør fair regler på mar-
kedspladsen.
Danmark skal forene en udbygget offentlig sektor med en velfungerende økonomi for at sikre høj vel-
stand og finansieringen af velfærdssamfundet. For en lille og åben økonomi som den danske har det
altid været afgørende at sikre en høj konkurrencedygtighed for at kunne understøtte en høj velstand.
Igennem en årrække har dette været muligt, og det skyldes blandt andet kombinationen af et fleksibelt
arbejdsmarked og en liberal privat sektor.
Det danske arbejdsmarked er kendetegnet ved høj fleksibilitet. Det er er relativt nemt for virksomhe-
der at ansætte og afskedige medarbejdere og dermed tilpasse antallet af beskæftigede i forhold til mar-
kedsudviklingen. Samtidig er der et sikkerhedsnet, der sikrer medarbejderne en indkomst, hvis de mi-
ster jobbet, og en aktiv arbejdsmarkedspolitik med fokus på at bringe ledige tilbage i beskæftigelse.
Samlet er det kendt som flexicurity modellen.
Den særlige danske position kommer tydeligt frem i World Economic Forums årlig konkurrencedyg-
tighedsrapport, der rangerer verdens lande efter konkurrencedygtighed på forskellige parametre. En af
parametrene omhandler arbejdsmarkedets fleksibilitet, der blandt andet er baseret på, hvor nemt det
er at ansætte og afskedige, medarbejderrettigheder og graden af aktiv arbejdsmarkedspolitik i form af
fx muligheden for opkvalificering.
Samlet var Danmark i 2019 rangeret som det land med det tredje mest fleksible arbejdsmarked, kun
overgået af Singapore og Schweiz. Blandt de 27 EU medlemslande lå Danmark i top,
jf. figur 6.1.
Sam-
menlignes EU landene på, hvor hurtigt ledige kommer tilbage i job, ligger Danmark også her i top. I
2019 var halvdelen af ledighedsforløbene af kortere varighed end tre måneder. I de fleste andre EU-
lande er ledighedsforløbene længere. Det skal også ses i lyset af den aktive beskæftigelsesindsats, hvor
ledige skal stå til rådighed for arbejde eller uddannelse og deltage i tilbud om aktive indsatser i jobcen-
teret,
jf. bilag 6.6.
71
FIU, Alm.del - 2019-20 - Bilag 190: Rapport fra den økonomiske ekspertgruppe vedrørende udfasning af hjælpepakker
2198255_0073.png
Figur 6.1
Fleksibilitet på arbejdsmarkedet
Indeks
100
Pct.
100
80
80
60
60
40
40
20
20
0
0
DK
SWE
LTU
LVA
IRL
ROU
Indeks for fleksibilitet på arbejdsmarkedet
Andel af ledige med forløb kortere end 3 måneder (h. akse)
Anm.: Indekset afspejler sammenvejning af en række indikatorer. Andelen af ledige med forløb kortere end 3 måneder er opgjort for
2019.
Kilde: World Economic Forum,
The Global Competitiveness Report, 2019,
Eurostat og egne beregninger.
Et tilsvarende billede findes, når den private sektors muligheder vurderes ud fra blandt andet, hvor
nemt det er at drive forretning, og hvor tæt økonomien er integreret i den globale økonomi. Som ek-
sempel ligger Danmark højt på Verdensbankens Ease of Doing Business-indeks og er samtidig et af de
lande, der er mest integreret i den internationale økonomi,
jf. figur 6.2.
Figur 6.2
Sammenhæng mellem globalisering og fleksibelt erhvervsliv
Globaliseringsindeks, KOF 2019
100
DK
80
80
Globaliseringsindeks, KOF 2019
100
GRC
HUN
POL
BGR
HRV
AUT
CYP
PRT
FIN
DEU
MLT
EST
CZE
FRA
SVN
ESP
SVK
NLD
LUX
BEL
ITA
60
60
40
40
20
20
0
Dårligst rangeret
Landerangering, Doing Business 2020
Bedst rangeret
0
Anm.: Globaliseringsindekset fra KOF er dannet på baggrund af økonomiske, sociale og politiske indikatorer. Verdensbankens Ease of
Doing Business-rangering er baseret på en sammenvejning af indikatorer for blandt andet virksomhedernes skattebetaling, ad-
gang til kredit, toldregler og bureaukrati ved opstart af ny virksomhed.
Kilde: KOF Swiss Economic Institute, Verdensbanken og egne beregninger.
Trods den alvorlige økonomiske situation forårsaget af coronakrisen er det afgørende at fastholde dy-
namikken og understøtte omstillinger og tilpasninger i økonomien. Hjælpepakkerne indført som re-
spons på nedlukninger forårsaget af coronapandemien har givet en indkomstsikring og medvirker til at
opretholde produktionskapaciteten. Pakkerne har imidlertid også en status-quo bias, da de i et vist
omfang fastfryser økonomien og sætter markedsmekanismens tilpasninger ud af kraft. Det gælder
72
FIU, Alm.del - 2019-20 - Bilag 190: Rapport fra den økonomiske ekspertgruppe vedrørende udfasning af hjælpepakker
både ordninger til kompensation af indkomsttab for selvstændige og dækning af faste omkostninger og
lønkompensationen. Det er derfor vigtigt, at hjælpepakkerne er midlertidige.
Dette kapitel ser nærmere på tilpasningsdynamikken i dansk økonomi. Effekter på beskæftigelse er
oftest de første og meste synlige tilpasninger, og job opstår og forsvinder, når virksomheder vælger at
ansætte eller afskedige medarbejdere. Dynamikken med både skabelse af nye job og destruktion af
gamle job belyses både under normale konjunkturforhold og under krisetider. Tilsvarende er der en
betydelig dynamik på virksomhedssiden med åbning, vækst, sammenlægninger og lukninger af virk-
somheder. Den dynamik bidrager til omstillinger af kapitalapparatet og medarbejdersammensætnin-
gen og dermed øget produktivitet. Kortlægning af dynamikken i dansk økonomi understreger behovet
for, at den økonomiske politik ikke forhindrer disse tilpasninger.
Fleksibilitet på det danske arbejdsmarked
Jobmobilitet er med til at sikre, at arbejdskraften allokeres til de job, hvor den efterspørges, og hvor
der er det bedste match i forhold til kvalifikationer. Jobmobilitet gavner desuden vidensdelingen i
samfundet og hæver derved produktiviteten. Et fleksibelt arbejdsmarked, hvor arbejdstagere relativt
nemt kan skifte fra job til job, er en vigtig egenskab, der er medvirkende til, at økonomien hurtigt kan
tilpasse sig både konjunkturelle og strukturelle ændringer. Særligt i små og mellemstore virksomheder
som der er relativt mange af i Danmark
kan det være en fordel, fordi det er sværere at flytte ar-
bejdskraften rundt internt i virksomheden end for store virksomheder.
Arbejdsmarkedet er karakteriseret ved et meget højt niveau for indgang og udgang fra job. De seneste
år har der hver måned været flere end 60.000 personer, der kom i job efter en kortere eller længere
periode uden beskæftigelse, mens et lidt mindre antal har forladt beskæftigelse,
jf. figur 6.3.
Løbende
kommer der personer ind på arbejdsmarkedet (fx unge efter uddannelse, tilgang af udenlandsk ar-
bejdskraft), mens andre forlader arbejdsmarkedet (fx ved pensionering, afgang af udenlandsk arbejds-
kraft). Disse bevægelser udgør en stor del af bruttostrømmene ind og ud af job. Hertil kommer der en
stor dynamik på arbejdsmarkedet i form af folk der skifter fra et job til et andet.
73
FIU, Alm.del - 2019-20 - Bilag 190: Rapport fra den økonomiske ekspertgruppe vedrørende udfasning af hjælpepakker
2198255_0075.png
Figur 6.3
Bevægelser ind og ud af lønmodtagerbeskæftigelse
1.000 personer
80
1.000 personer
80
60
Ledige der finder beskæftigelse
60
40
Personer uden for arbejdsstyrken der finder beskæftigelse
Ændring i beskæftigelsen
40
20
20
0
0
-20
Beskæftigede der træder ud af arbejdsstyrken
-20
-40
Beskæftigede der bliver ledige
-40
-60
-60
-80
2008
2009
2010
2011
2012
2013
2014
2015
2016
2017
2018
2019
-80
Anm.: Se bilag 6.5 for metode. Figuren viser strømmene ind og ud af beskæftigelse. Hvis en person har en kortere periode mellem to
job uden beskæftigelse, indgår dette som henholdsvis bevægelse ud og ind i beskæftigelsen. Personer, der skifter direkte fra et
job til et andet, indgår ikke i figuren.
Kilde: Danmarks Statistik og egne beregninger.
Selv under finanskrisen i 2009, var der kun en lille nedgang i den overordnede dynamik på arbejds-
markedet, og mange kom hver måned i job.
Dynamikken er alligevel præget af tydelige konjunktureffekter. I perioder med økonomisk fremgang er
der en nettotilgang til beskæftigelse og omvendt under en konjunkturnedgang,
jf. figur 6.4.
Det dæk-
ker både over bevægelser mellem ledighed og beskæftigelse, og også ind- og udgang fra arbejdsstyrken.
Der er flere kilder til disse bevægelser, blandt andet ændrede mønstre i søgningen mod uddannelser og
tilbagetrækning fra arbejdsmarkedet. Dertil kommer, at udenlandsk arbejdskraft igennem de senere år
har fået en større betydning
særligt i de konjunkturfølsomme erhverv. Nettotilgangen af udenlandsk
arbejdskraft afhænger af konjunkturerne, hvilket bidrager til at dæmpe de normale konjunkturud-
sving,
jf. bilag 6.1.
Nettotallene dækker altså over store bruttobevægelser. Selv i 2009, hvor beskæftigelsen aftog mest un-
der finanskrisen, var der i gennemsnit 13.000 ledige, der fandt beskæftigelse hver måned.
74
FIU, Alm.del - 2019-20 - Bilag 190: Rapport fra den økonomiske ekspertgruppe vedrørende udfasning af hjælpepakker
2198255_0076.png
Figur 6.4
Nettobevægelse til beskæftigelse
1.000 personer
10
Ændring i beskæftigelsen
1.000 personer
10
5
5
0
Nettobevægelse mellem ledighed
og beskæftigelse
0
-5
Nettobevægelse mellem at være uden for
arbejdsstyrken og i beskæftigelse
-5
-10
-10
-15
-15
-20
2008
2009
2010
2011
2012
2013
2014
2015
2016
2017
2018
2019
-20
Anm.: Et positivt tal betyder stigning i beskæftigelsen, fx at flere går fra ledighed til beskæftigelse end omvendt. Nettoændringerne sum-
mer ikke til ændringen i beskæftigelsen i de enkelte måneder grundet sæsonkorrektion. Se bilag 6.5 for metode.
Kilde: Danmarks Statistik og egne beregninger.
Under finanskrisen var ledigheden høj, men den høje dynamik betød, at de fleste ledighedsperioder
var relativt korte. Omkring 50 pct. af nyledige under finanskrisen (i 2009) var tilbage i ordinær be-
skæftigelse 12 måneder efter de blev ledige,
jf. figur 6.5.
Det var en medvirkende årsag til, at hverken
ungdomsarbejdsløsheden eller langtidsledigheden steg så meget som i de fleste andre lande set i for-
hold til konsekvenserne af finanskrisen. Der er dog forskelle på tværs af brancher,
jf. figur 6.6.
Trods
disse forskelle er det mest påfaldende, at forskellen i overgangsrater fra ledighed til beskæftigelse ikke
er større, når et kriseår som 2009 sammenlignes med et godt konjunktur år som 2018.
Figur 6.5
Udviklingen i arbejdsmarkedstilknytningen for
nyledige i 2009
Pct.
100
80
60
Pct.
100
80
60
Figur 6.6
Nyledige der er i ordinær beskæftigelse 12 måneder
efter overgang til ledighed
Pct.
80
60
40
20
0
Landbrug mv.
Bygge og anlæg
Handel og
transport mv.
Industri mv.
Pct.
80
60
40
20
0
Finansiering
og forsikring
Ejendomshandel
mv.
Erhvervsservice
Information mv.
Offentlig adm mv.
Kultur, fritid mv.
40
20
0
40
20
0
0
3
6 9 12 15 18 21 24 27 30 33 36
Antal måneder efter overgang til ledighed
Ledig
SU
Ordinær lønmodtager
Øvrig offentligt forsørget
Øvrige
2009
2018
Anm.: Se boks B6.1 i bilag 6.3 for metode.
Kilde: Egne beregninger på baggrund af Danmarks Statistiks register.
75
FIU, Alm.del - 2019-20 - Bilag 190: Rapport fra den økonomiske ekspertgruppe vedrørende udfasning af hjælpepakker
2198255_0077.png
Det er en konsekvens af en høj jobmobilitet, at den gennemsnitlige jobanciennitet i Danmark er lavere
end i de fleste andre lande,
jf. bilag 6.2.
I Danmark er det omtrent hver femte beskæftigede, der har
mindre end 12 måneders anciennitet i jobbet
En høj jobomsætning er ikke et mål i sig selv. Det er derimod
muligheden
for jobskifte og
muligheden
for at ansætte og afskedige medarbejdere, der giver den hensigtsmæssige dynamik på arbejdsmarke-
det. Det er derfor ikke umiddelbart muligt præcist at svare på, hvilket niveau af jobomsætning, der er
ønskværdigt for samfundet. Det er dog en stærk indikation på, at balancen i det danske system ikke er
helt skæv, at et højt beskæftigelsesniveau er foreneligt med et højt velstandsniveau og en relativt lige
indkomstfordeling.
Dybe og langvarige lavkonjunkturer, som indebærer perioder med høj ledighed, rammer ikke alle dele
af arbejdsmarkedet i samme omfang. Særligt unge uden erhvervserfaring og med et begrænset fodfæ-
ste på arbejdsmarkedet kan blive hårdere ramt end andre grupper. Ligeledes kan det være svært for
ældre, der bliver ledige, at finde et job igen. Det er en særlig udfordring, hvis højere ledighed skaber
øget langtidsledighed, da det efter en længere ledighedsperiode kan være vanskeligt at komme tilbage
på arbejdsmarkedet. Empiriske analyser finder dog ikke, at ledighed har langvarige negative effekter
på arbejdsmarkedstilknytningen på tværs af befolkningsgrupper i Danmark,
jf. boks 6.1.
Stigende le-
dighed øger dog kravene til arbejdsmarkedspolitikken og den øvrige økonomiske politik for at sikre, at
dette ikke omsætter sig i vedvarende høj ledighed.
Jobmobilitet er ofte forbundet med et brancheskift og er derfor en vigtig mekanisme for reallokering af
arbejdskraftressourcerne. Under finanskrisen var det omkring 30 pct. af de nyledige (i 2009), som
fandt nyt job i løbet af de 12 første måneder, der skiftede hovedbranche.
7
For beskæftigede kan job-til-
job skift selvfølgelig også være forbundet med et brancheskift.
Betydningen af brancheskift for nyledige, der finder et nyt job i 2009, er illustreret i figur 6.7 opdelt
efter branchetilknytning før overgang til ledighed for udvalgte brancher i 2009.
8
Mange forhold afgør
muligheder for brancheskift. Der er et generelt højt niveau, men der er også nogle tydelige forskelle. Se
bilag 6.4 for en uddybning.
En lav andel af nyledige, der skifter branche ved nyt job, kan skyldes, at det fortsat er efterspørgsel ef-
ter de nylediges kompetencer inden for den branche, hvor de tidligere var beskæftiget, og at de derfor
kun i mindre grad har haft behov for at søge job uden for branchen. Men det kan også skyldes, at det
kan være svært for de nyledige at gøre brug af deres færdigheder i andre brancher.
For ledige i 2009 med tidligere ansættelse i hotelbranchen var det omkring 40 pct. af dem, der var i job
inden for 1 år, der vendte tilbage til et job i netop hotelbranchen. Knap 40 pct. fandt job i en anden ho-
vedbranche (dvs. uden for hovedbranchen
handel og transport mv.),
mens omkring 20 pct. fandt job i
en anden underbranche under
handel og transport mv.
Derudover var der en tendens til, at flere le-
dige søgte over i
erhvervsservice
end i
handel og transport mv.,
hvilket skal ses i lyset af, at virksom-
hederne inden for
handel og transport mv.
beskæftigede knap 2�½ gange så mange lønmodtagere som
7
Hovedbranchen er baseret på det helt overordnede 10-brancheniveau.
På tværs af de udvalgte brancher gælder det, at en stor del af ledighedsberørte, der skiftede hovedbranche i forbindelse med et
ledighedsforløb i løbet af 2009 skiftede til offentlig administration mv.,
jf. figur 6.7.
Det skal dels ses i lyset af, at der er tale om en
stor branche, dels at beskæftigelsen i denne branche steg med mere end 25.000 lønmodtagere i løbet af 2009, hvor den øvrige løn-
modtagerbeskæftigelse faldt knap 150.000 i den samme periode.
8
76
FIU, Alm.del - 2019-20 - Bilag 190: Rapport fra den økonomiske ekspertgruppe vedrørende udfasning af hjælpepakker
2198255_0078.png
virksomhederne inden for
erhvervsservice.
Omvendt var der en lav andel af nyledige, der skiftede ho-
vedbranche i bygge- og anlæg samt industrien, hvilket formentlig skal ses i sammenhæng med for-
skelle i uddannelsesmønstre og kvalifikationer brancherne i mellem.
På tværs af de viste brancher gælder det, at en stor del af ledighedsberørte, der skiftede hovedbranche i
forbindelse med et ledighedsforløb i løbet af 2009, skiftede til
offentlig administration mv.
Det skal
dels ses i lyset af, at der er tale om en stor branche, dels at beskæftigelsen i denne branche steg med
mere end 25.000 lønmodtagere i løbet af 2009, mens den øvrige lønmodtagerbeskæftigelse faldt knap
150.000 personer i samme år.
Figur 6.7
Skift i hovedbranche for nyledige i 2009 for udvalgte brancher
Anm.: Figuren dækker knap 4.800 personer, der mistede jobbet i 2009 og fandt ny beskæftigelse i anden hovedbranche inden for 12
måneder. Den efterfølgende branchetilknytning er vist for ledige, der (igen) er i ordinær beskæftigelse 12 måneder efter overgang
til ledighed.
Frisører mv.
dækker over branchen
frisører, vaskerier og andre serviceydelser. Rejsebureauer
er en underbranche til
erhvervsservice.
Se boks B6.1 i bilag 6.3 for metode.
Kilde: Egne beregninger på baggrund af Danmarks Statistiks registre.
Underbrancher til
kultur og fritid
Underbrancher til handel og transport
77
FIU, Alm.del - 2019-20 - Bilag 190: Rapport fra den økonomiske ekspertgruppe vedrørende udfasning af hjælpepakker
2198255_0079.png
Boks 6.1
Studier af langvarige konsekvenser for arbejdsmarkedstilknytningen i kølvandet på økonomiske tilbageslag
En række studier har belyst koblingen mellem konjunkturerne og tilknytningen til arbejdsmarkedet med fokus på de potentielt
langvarige konsekvenser af økonomiske tilbageslag.
Andersen, TM, Maibom, J, Svarer, M & Sørensen, A (2017) undersøger, om konjunkturudsving giver forskellig tilknytning til
arbejdsmarkedet på tværs af aldersgrupper. På baggrund af danske registerdata findes en mærkbar aldersafhængig persistens i
beskæftigelsesgraden. Yngre arbejdstagere har en tendens til at være mere udsatte for konjunkturudsving end ældrearbejdsta-
gere. Til gengæld er genopretningen hurtigere blandt de unge generationer, mens den er længerevarende for de ældre generati-
oner.
Selv om sandsynligheden for at blive ledig ifølge studiet er større for personer, der færdiggør en uddannelse under en lavkon-
junktur, er der altså ikke tegn på, at konjunktursituationen på færdiggørelsestidspunktet er forbundet med signifikante varige
effekter på dimittendernes beskæftigelsesforhold. Det er en indikation på, der ikke er såkaldte tabt generation-problemer, hvor
generationer, der træder ind på arbejdsmarkedet i år med ugunstige konjunkturer, oplever varige tab.
Raaum, O., & Røed, K. (2006) finder på baggrund af mikro- og makrodata for Norge, at arbejdsmarkedsforholdene på tids-
punktet for indtræden på arbejdsmarkedet har en betydelig og vedvarende effekt på udsigterne for beskæftigelse. Personer, der
står over for særligt ugunstige lokale arbejdsmarkedsforhold, når de forlader uddannelsessystemet, er underlagt større sand-
synlighed for at blive ledig i løbet af deres arbejdsliv. De negative effekter påvirker alle dele af befolkningen og altså ikke kun
individer med særlig dårligt stillet baggrund.
Yagan, D. (2019) analyserer på baggrund af data for amerikanske lokalområder de langsigtede konsekvenser af finanskrisen.
Papiret finder, at en stigning i den lokale ledighed på 1 pct.-point i perioden 2007-2009 reducerede beskæftigelsesfrekvensen i
2015 med mere end 0,3 pct.-point på tværs af aldersgrupper. Papiret argumenterer for, at den langvarige effekt af tilbageslaget
tegner sig for over halvdelen af det amerikanske alderskorrigerede beskæftigelsesfald i 2007-2015. Effekten var større blandt
ældre og lavindkomstgrupper, som typisk mistede jobbet under krisen. Men også i større fyringsrunder kan den negativt varige
effekt spores. Resultatet indikerer, at finanskrisen har medført beskæftigelses- og indkomsttab, selv efter arbejdsløsheden sig-
nalerede på opsving.
Kilde: T. M. Andersen, J. Maibom, M. Svarer & A. Sørensen 2017,
“Do
Business Cycles Have Long-Term Impact for Particular Co-
horts?”,
LABOUR, 31 (3), s. 309-336.
O. Raaum, & K. Røed, 2006,
“Do
Business Cycle Conditions at the Time of Labor Market Entry Affect Future Employment Pro-
spects?”
Review of Economics and Statistics, 88 (2), 193-210.
D. Yagan (2019),
“Employment
Hysteresis
from the Great Recession”,
Journal of Political Economy 127 (5), 2505-2558
Virksomhedsdynamik
Der foregår en konstant udskiftning af virksomheder inden for og på tværs af brancher. Dette gælder i
alle faser af konjunkturcyklen. Det er en naturlig del af et dynamisk erhvervsliv, at nye virksomheder
opstår og udfordrer de eksisterende, og at erhvervsstrukturen ændrer sig i takt med efterspørgslen og
den teknologiske udvikling. Derudover er konsolideringer i brancher en naturlig del af en markedsøko-
nomi. Når vi hhv. importerer og eksporterer varer og tjenester svarende til ca. 50 pct. af BNP, er det et
tegn på, at disse dynamikker går på tværs af grænser, og at international afsætning og udenlandske
virksomheders tilstedeværelse i Danmark er en betydelig del af virksomhedsdynamikken i dansk er-
hvervsliv.
Denne dynamik er illustreret i figur 6.8 der viser antal nye og ophørte virksomheder pr. måned i pri-
vate byerhverv i periode 2002-2016. Der er en tydelig konjunkturafhængighed. Under højkonjunktu-
ren i 2005-2007 var der en meget høj indgangsrate af virksomheder. Under finanskrisen var der et fald
i etableringsraten for nye virksomheder, og antallet af nye og ophørte virksomheder var cirka det
samme. Selv under finanskrisen var der således et relativt højt omfang af nyetableringer af virksomhe-
der inden for det private byerhverv. Når etableringsraten af nye virksomheder generelt er højere end
virksomheder, som ophører, skal det ses i sammenhæng med, at nye virksomheder ofte er mindre målt
på antal beskæftigede. En højere etableringsrate er derfor ikke nødvendigvis ensbetydende med en
samlet stigning i økonomiske aktivitet.
78
FIU, Alm.del - 2019-20 - Bilag 190: Rapport fra den økonomiske ekspertgruppe vedrørende udfasning af hjælpepakker
2198255_0080.png
Figur 6.8
Nye og ophørte virksomheder pr. måned i private byerhverv, 2002-2016
Pct. i forhold til antallet virksomheder i 2002
2,0
Pct. i forhold til antallet virksomheder i 2002
2,0
1,5
1,5
1,0
1,0
0,5
0,5
0,0
2002
2003
2004
2005
2006
2007
2008
2009
2010
2011
2012
2013
2014
2015
2016
Nyoprettede virksomheder
Ophørte virksomheder
0,0
Anm.: Private byerhverv dækker over brancherne Industri, Bygge og anlæg, Handel, Transport, Hoteller og restauranter, Information og
kommunikation, Videnservice og Rejsebureauer, rengøring og anden operationel service, Data er sæsonkorrigeret og vist som 3
måneders glidende gennemsnit. Efter 2012 observeres en række databrud, som medfører udsving i serierne. Der foreligger kun
data frem til og med 2016.
Kilde: Danmarks Statistik og egne beregninger.
Bilag 6.7 ser nærmere på den historiske udskiftning af virksomheder i erhverv som har været særligt
ramt af coronakrisen.
Produktivitet og virksomhedsdynamik
Virksomhedsdynamik har stor betydning for produktivitetsudviklingen. Det gælder ved skift i er-
hvervsstrukturen, udskiftning af virksomheder og forskydninger i markedsandele inden for brancher
(fordi højproduktive virksomheder udkonkurrerer lavproduktive virksomheder).
Generelt har industrien en højere produktivitetsvækst end servicesektoren,
jf. figur 6.9
og
figur 6.10.
Den svagere produktivitetsudvikling kan dels forklares ved at de hjemmemarkedsorienterede service-
erhverv generelt ikke er udsat for samme grad af international konkurrence som industrien, og at det
for nogle serviceaktiviteter (hvor menneskelig interaktion er central) kan være sværere at opnå en høj
produktivitetsvækst.
Omfordeling af ressourcer mellem virksomheder (dvs. ændrede markedsandele og udskiftning af virk-
somheder) indgår som et vigtigt bidrag til den samlede produktivitetsvækst i både industri og service,
hvilket er et vigtigt tegn på, at ressourcer ikke fastholdes i lavproduktive virksomheder på længere sigt.
I industrien har virksomhedernes interne produktivitetsforbedringer (f.eks. igennem anvendelse af
nye teknologier) udgjort det største bidrag til produktivitetsvæksten. Incitamentet til interne forbed-
ringer drives blandt andet også af konkurrence, herunder konkurrence fra udenlandske virksomheder.
79
FIU, Alm.del - 2019-20 - Bilag 190: Rapport fra den økonomiske ekspertgruppe vedrørende udfasning af hjælpepakker
2198255_0081.png
Figur 6.9
Dekomponering af timeproduktivitetsvækst, Industri
Pct.
8
Figur 6.10
Dekomponering af timeproduktivitetsvækst, Service
Pct.
8
6
4
2
0
-2
-4
Pct.
8
Pct.
8
6
4
2
0
-2
-4
6
4
2
0
-2
-4
03 04 05 06 07 08 09 10 11 12 13 14 15 16
Virksomhedsintern
Omfordeling
Vækst
6
4
2
0
-2
-4
03 04 05 06 07 08 09 10 11 12 13 14 15 16
Virksomhedsintern
Omfordeling
Vækst
Anm.: Figurerne viser omfordeling over tre år. Den anvendte metode tager udgangspunkt i Dansk Økonomi, efterår 2013, hvor den ag-
gregerede produktivitetsvækst består af bidrag fra virksomhedsintern produktivitetsstigning og bidrag fra omfordeling mellem
virksomheder (dvs. bidrag fra ændrede markedsandele, ophørte virksomheder og nye virksomheder). I opgørelsen er der frasor-
teret fonde og foreninger, selvstændige offentlige virksomheder, observationer med negativ værditilvækst og virksomheder med
mindre end én fuldtidsbeskæftiget.
Kilde: Danmarks Statistik, De Økonomiske Råd: Dansk Økonomi, efterår 2013 og egne beregninger på detaljerede virksomhedsdata.
Der er et systematisk bidrag fra omfordeling af ressourcer. Bidraget er størst og mest systematisk in-
den for industrien. Generelt observeres der en svagere produktivitetsvækst i de hjemmemarkeds orien-
terede serviceerhverv. For nogle af de servicebrancher, som har været særlig udsatte i forbindelse med
coronakrisen, er der stor forskel på både udviklingen i produktivitet, og hvad der har bidraget hertil,
jf.
bilag 6.8.
Krise og konkurser
En økonomisk krise kan påvirke erhvervsstrukturen. Erhvervsstrukturen kan bl.a. påvirkes af flere
konkurser, opkøb, fusioner og konsolidering af nødlidende selskaber. Antallet af konkurser er i de se-
neste tre større tilbageslag steget betydeligt de første cirka 3-4 år efter tilbageslaget for derefter at stag-
nere og efterfølgende falde tilbage til nogenlunde samme niveau efter en 5-7 år,
jf. boks 6.2.
80
FIU, Alm.del - 2019-20 - Bilag 190: Rapport fra den økonomiske ekspertgruppe vedrørende udfasning af hjælpepakker
2198255_0082.png
Boks 6.2
Konkurser i Danmark under tidligere kriser
Antallet af konkurser stiger i en krise. Under de seneste tre kriser (finanskrisen, dog-com-krisen i blandt andet USA, og tilbage-
slaget i slut-firserne) ses en klar tendens til, at antallet af konkurser stiger betydeligt efter krisen for så at falde igen 3-7 år efter
krisen. Efter finanskrisen steg antallet af konkurser også inden for de servicebrancher, som også er påvirket af coronakrisen.
Det er især mindre konkurrencestærke virksomheder, som går konkurs. Nedgang i efterspørgslen
som i den nuværende situa-
tion med et kraftigt og meget pludseligt efterspørgselsfald
forsager typisk flere konkurser, men forud har virksomheder ofte et
længere forløb med svindende indtjening,
jf. figur a og b og bilag 6.9.
Figur a
Konkurser i tre økonomiske kriser
Indeks (år 0=100)
300
250
200
150
100
50
0
Indeks (år 0=100)
300
250
200
150
100
50
0
Figur b
Konkurser efter finanskrisen for udvalgte brancher
Indeks (år 0 (2007)=100)
300
250
200
Indeks (år 0 (2007)=100)
300
250
200
150
100
50
0
År 0
År 1
År 2
År 3
År 4
År 5
År 6
År 7
Samlet
Hoteller og restauranter
150
100
50
0
Detailhandel
År
0
År
År
2
4
1986 = år 0
År
År
År
6
8
10
2000 = år 0
År
År
12
14
2007 = år 0
Kilde: Danmarks Statistik.
I den nuværende krise faldt antallet af konkurser lige omkring nedlukningen af Danmark, men steg
igen i ugerne efter til et normalt leje,
jf. figur 6.11.
Det kan til dels skyldes, at nedlukning af det offent-
lige, som har bevirket en arbejdspukkel hos Gældsstyrelsen, domstole mv., og som har forsinket pro-
cesserne omkring konkurs. Der kan også være en effekt af, at finansielle institutioner har givet udvidet
adgang til kredit for virksomheder, der ellers ville være i risiko for konkurs, understøttet af de statslige
garantier.
Figur 6.11
Udviklingen i konkurserne op til og efter Danmark blev lukket ned
80
Danmark bliver lukket ned
80
60
60
40
40
20
20
0
Januar
Februar
2019
Marts
April
2020
Maj
0
Anm.: Figuren viser antal konkurser beregnet som et 7-dags glidende gennemsnit. Boks B6.3 i bilag 6.9 beskriver datagrundlaget.
Kilde: Datascraping fra Statstidende og virk.dk.
81
FIU, Alm.del - 2019-20 - Bilag 190: Rapport fra den økonomiske ekspertgruppe vedrørende udfasning af hjælpepakker
Tilsyneladende har coronakrisen endnu ikke for alvor betydet nogen større stigning i konkurser, og der
er endnu ikke noget der tyder på, at der er flere konkurser i de erhverv, der har været særligt hårdt
ramt af restriktionerne, herunder restauranter,
jf. bilag 6.9.
Man skal dog være opmærksom på, at en
stigning i antal konkurser formentlig først slår igennem efter en længere periode.
Analyser viser, at manglende likviditet generelt spiller den største rolle for en virksomheds risiko for at
forlade markedet. Jo større andel omsætningsaktiverne (som er likvide) udgør af de samlede aktiver,
og jo større omsætningsaktiverne er i forhold til den kortfristede gæld, desto mindre risiko er der for,
at en virksomhed forlader markedet, når der tages højde for en række andre forhold. Endvidere er risi-
koen for at forlade markedet lavere, jo mindre forholdet er mellem en virksomheds gæld og dens sam-
lede aktiver (dvs. jo større egenkapitalandel). Det peger på, at hjælpepakkerne i en periode kan under-
støtte, at færre virksomheder går konkurs,
jf. bilag 6.9.
Kollektiv medarbejderbevægelse ved exits og konkurs
Ud over iværksætteri og nystartede virksomhed er en betydelig del af virksomhedsdynamikken skabt af
forskydninger i markedsandele med fremgang for etablerede virksomheder og lukning af andre. På
den ene side er lukning af virksomheder et grundvilkår for markedsdynamikken, men der kan også
være afledte samfundsøkonomiske tab. Således medfører konkurser, at kapitalapparatet reduceres i
værdi. Ofte overføres den konkursramte virksomheds aktiver kun delvist til anden anvendelse.
En del af virksomhedens kapital er indlejret i medarbejderne (også kaldet humankapital). Virksom-
hedslukninger er derfor en af årsagerne til job-mobilitet. Virksomhedslukninger medfører umiddelbart
job-tab, men de ledige kan bringe deres viden med over i nye job. Hvis en stor andel af den lukkede
virksomheds medarbejdere kollektivt ansættes i en anden virksomhed, kan det ses som et udtryk for,
at noget af den viden, kundekontakt eller andre værdier, der var skabt i den konkursramte eller luk-
kede virksomhed, overføres til en ny ejer og anden virksomhed. Dette kan give en indikation af, i hvil-
ken omfang virksomhedslukninger dækker over en forholdsvis hurtig genanvendelse kapitalapparatet
og derved et begrænset samfundsøkonomisk tab.
Der er forskellige årsager til, at virksomheder kan ophøre, herunder konkurs eller andre former for exit
som overtagelse, opkøb mv. Omtrent halvdelen af virksomheder, der ophører (exit), bliver opkøbt,
skifter virksomhedsform eller lukker af andre årsager end konkurs.
For ca. 45 pct. af de virksomheder som ophører uden konkurs sker der en delvis kollektiv bevægelse af
medarbejdere til en anden virksomhed (dvs. en potentiel køber). For virksomheder som går konkurs er
tallet godt 30 pct.,
jf. figur 6.12.
Der er større kollektiv medarbejderbevægelse ved konkurs og exits for
store virksomheder end for små virksomheder,
jf. bilag 6.9.
82
FIU, Alm.del - 2019-20 - Bilag 190: Rapport fra den økonomiske ekspertgruppe vedrørende udfasning af hjælpepakker
2198255_0084.png
Figur 6.12
Kollektiv medarbejderbevægelse ved exits og konkurs
Pct. af samlede konkurs/exit virksomheder
100
Pct. af samlede konkurs/exit virksomheder
100
80
80
60
60
40
40
20
20
0
Konkurs
Ingen kollektiv medarbejderbevægelse
Fra 10 pct. til 50 pct.
Exit
Mere end 50 pct.
0
Anm.: I figuren indgår konkurs- og exit virksomheder med 10 eller flere ansatte fra 2009 til 2017. Kollektiv medarbejderbevægelse er
defineret som den samlede andel af medarbejdere i den konkursramte virksomhed, der kollektiv optræder på et nyt cvr-nummer
året efter konkurs/exit i den registerbaserede arbejdsstyrke. I analysen er kollektiv medarbejderbevægelse defineret som, at der
er minimum 10 pct. af medarbejderstaben og samtidigt minimum 5 medarbejdere, der skifter til samme CVR-nummer, se også
bilag 6.9.
Kilde: Forskerdatabasen og egne beregninger.
Der er en svag tendens til, at de brancher, hvor de konkursramte virksomheders samlede aktiver er
høje også er de brancher, hvor andelen af kollektiv medarbejderbevægelse er relativ høj. Sammenhæn-
gen er mere tydelig for exit-virksomhederne end for de virksomheder der går konkurs,
jf. bilag 6.9.
Virksomheder inden for brancher såsom fremstilling og industri, har en høj kollektiv medarbejderbe-
vægelse. Det er også typisk virksomheder inden for disse brancher, der har mange aktiver i form af ma-
skiner mv., mens virksomheder inden for restaurationsbranchen og andre servicefag, som har mindre
kollektiv medarbejderbevægelse, typisk er mindre kapitalintensive.
Det tyder således på, at de brancher, hvor værdien af de virksomheder, der ophører, er størst også er
de brancher, hvor størstedelen af humankapitalen videreføres til andre virksomheder. Det kan indi-
kere, at konkurser generelt ikke medfører større destruktion af kapitalapparat. Der er dog usikkerhed
om styrken af sammenhængen,
jf. bilag 6.9.
Afrunding
Dynamikken på arbejdsmarkedet og blandt virksomheder er høj, og det understøtter økonomiens til-
pasningsevne, når konjunkturerne skifter. Erfaringerne fra finanskrisen er, at selv da økonomien var
hårdest ramt, var der mange på arbejdsmarkedet, der fik nye job og mange der startede nye virksom-
heder. Det er vigtigt, at den økonomiske politik understøtter den naturlige dynamik i økonomien, idet
dynamikken blandt andet er afgørende for produktivitetsudvikling, konkurrenceevne og den økonomi-
ske velstand. Coronakrisen adskiller sig fra andre kriser af en række årsager, og det har været nødven-
digt med hjælpepakker for at understøtte virksomheder og lønmodtager for de umiddelbare konse-
kvenserne af nedlukningerne. Disse hjælpepakker har imidlertid en status-quo bias, der delvis bremser
for de omstillinger og tilpasningsmekanismer, der findes i dansk økonomi. Hjælpepakkerne havde en
vigtig funktion som et kriseindgreb i en helt særlig situation, men bør kun være i effekt kortvarigt, da
de ellers hæmmer de nødvendige omstillinger og tilpasninger.
83
FIU, Alm.del - 2019-20 - Bilag 190: Rapport fra den økonomiske ekspertgruppe vedrørende udfasning af hjælpepakker
2198255_0085.png
7. Modeller for afvikling af
hjælpepakker
De foregående kapitler belyser, hvordan coronakrisen og det globale tilbageslag har ramt danske virk-
somheder og hvordan hjælpepakkerne er sammensat og virker med afsæt i grundstrukturerne i dansk
økonomi.
Coronakrisen og de deraf følgende inddæmnings- og afbødningstiltag betød, at store dele af økono-
mien stod over for en hård opbremsning nærmest fra den ene dag til den anden. Nogle aktiviteter blev
forbudt. Andre virksomheder var ikke direkte berørt af et forbud, men størstedelen af aktiviteten for-
svandt som følge af fx grænselukning og ændret adfærd hos befolkningen. Endelig var der også virk-
somheder, som stod over for uændret eller ligefrem stigende efterspørgsel.
Med hjælpepakkerne blev der taget helt ekstraordinære skridt for at investere i, at danske virksomhe-
der, selvstændige og lønmodtagere kan komme bedst muligt gennem krisen og for at sikre, at økono-
mien kan have et godt afsæt, når smitten er kommet under kontrol. Der er nu taget væsentlige skridt i
genåbningen. Nogle virksomheder er dog stadig berørt af forbud, mens andre virksomheder står over
for nye krav og retningslinjer, og andre er påvirket af udviklingen i udlandet eller adfærdsændringer
hos forbrugerne.
Figur 7.1
Kanaler som fortsat påvirker virksomheder
Tvangslukning og
forsamlingsforbud
Nye sundhedskrav
Påvirkning fra
udlandet
Adfærdsændringer
Dette kapitel beskriver vores forslag til modeller for afvikling af hjælpepakkerne. Udgangspunkter er,
at de midlertidige hjælpepakker har haft en helt afgørende rolle for at holde hånden under virksomhe-
der, selvstændige og lønmodtagere, men i takt med genåbningen af økonomien bør de afvikles.
Hjælpepakkerne var en massiv investering i, at danske job og virksomheder ikke skulle gå tabt på
grund af en kortvarig, men massiv krise. Med usikkerheden og det kraftige fald i efterspørgslen var der
umiddelbart udsigt til, at virksomheder var nødt til at afskedige mange medarbejdere. Dermed kunne
flere hundredetusinde gode jobmatch være tabt på kort tid, og en lang række rentable danske virksom-
heder ville have fået reduceret deres fremadrettede forretnings- og investeringsmuligheder, ligesom
der var stor risiko for, at virksomheder ville gå konkurs. Derudover ville adskillelige danske hushold-
ninger være gået ned i indkomst, hvilket ville have presset forbruget og den økonomiske aktivitet yder-
ligere.
84
FIU, Alm.del - 2019-20 - Bilag 190: Rapport fra den økonomiske ekspertgruppe vedrørende udfasning af hjælpepakker
Der var bred tilslutning til indsatsen. Alle Folketingets partier indgik i hovedaftalen, og på arbejdsmar-
kedsområdet er der indgået en trepartsaftale om lønkompensation.
Indsatsen for at inddæmme og afbøde smitten har været effektiv, og Danmark er allerede nu et godt
stykke inde i en genåbning af samfundet. Analyserne i denne rapport tyder også på, at hjælpepakkerne
har udfyldt deres rolle. Der er fortsat stor usikkerhed, men der er indikationer på, at forbruget i pæn
hast er på vej op i takt med genåbningen. Der er også grund til at tro, at mange lønmodtagere allerede
nu er tilbage på deres arbejdsplads, og at endnu flere kommer tilbage i takt med den videre genåbning.
Tilbageslaget har uundgåeligt sat sig spor, men mange lønmodtagere har beholdt en tilknytning til ar-
bejdsmarkedet, og mange virksomhederne er kommet igennem de seneste måneder, fordi det har væ-
ret muligt at få dækket faste omkostninger, og fordi der er taget en række initiativer, der styrker deres
likviditet.
Kombinationen af hurtig genåbning og hjælpepakker giver et godt afsæt for videre genopretning af
dansk økonomi. Mulighederne for en relativt hurtig genopretning understøttes også af, at dansk øko-
nomi inden krisen ikke var præget af store ubalancer på fx arbejds- og boligmarkedet modsat ved ind-
gangen til finanskrisen. Dertil kommer, at den finansielle sektor er solid og må formodes at kunne
hjælpe rentable, men likviditetstrængte virksomheder igennem krisen.
Hjælpepakkerne har holdt hånden under virksomheder, selvstændige og lønmodtagere under nedluk-
ningen, men de bremser muligheder for at sætte gang i aktiviteten, og derfor bør de nu afvikles.
Grundprincipper for afvikling af hjælpepakker
På baggrund af analyserne i denne rapport er følgende principper lagt til grund for de konkrete forslag
til afvikling af hjælpepakkerne:
Hjælpepakkerne bør afvikles snarest, da de samfundsøkonomiske ulemper ellers vil overstige ge-
vinsterne.
Afviklingen skal understøtte, at kommercielt bæredygtige virksomheder, der er ramt af krisen, hur-
tigst muligt igen kan stå på egne ben.
Ordningerne, der sigter på at styrke virksomhedernes likviditet, får større vægt i en overgangsperi-
ode, idet de indebærer målretning mod kommercielt bæredygtige virksomheder.
Kompensationsordningerne med direkte støtte (fx faste omkostninger, lønkompensation og kom-
pensation til selvstændigt erhvervsdrivende m.fl.) ophører den 8. juli. Der er peget på enkelte helt
konkrete forslag til udvalgte overgangsordninger, ligesom det foreslås, at den eksisterende arbejds-
fordelingsmodel forbedres.
Der bør desuden igangsættes et arbejde med at vurdere de nye sundhedskrav til erhvervslivet med
henblik på at sikre, at de sundhedsmæssige gevinster står mål med de erhvervsøkonomiske om-
kostninger.
De konkrete forslag til afvikling af de forskellige elementer i hjælpepakkerne fremgår af den resterende
del af kapitlet.
85
FIU, Alm.del - 2019-20 - Bilag 190: Rapport fra den økonomiske ekspertgruppe vedrørende udfasning af hjælpepakker
2198255_0087.png
Betalingsfrister for personskatter og moms (likviditet)
Udskydelserne af betalingsfrister har forbedret likviditeten for virksomhederne markant
med op til
ca. 150 mia. kr.
hvilket er væsentlig mere end den likviditetsstigning, som de direkte kompensations-
ordninger har medført.
Udskydelserne har navnlig styrket virksomhedernes likviditet i 2. kvartal 2020, mens de udskudte be-
talinger med gældende regler primært forfalder i 3. kvartal. Betalingen af A-skat og AM-bidrag for
april-juni-raterne er udskudt med 4 måneder for alle virksomheder, hvilket skønnes at have forbedret
virksomhedernes samlede likviditet med op til 77 mia. kr. i april til juli.
De udskudte betalinger falder relativt hurtigt efter genåbningerne og kan derfor belaste virksomheder i
en fase, hvor de er ved at genetablere deres forretningsgrundlag. Dermed er der en risiko for, at beta-
linger kommer til at bremse genopretningen.
Der foreslås en mere lempelig tilbagevenden til normale betalingsfrister for A-skat og AM-bidrag
(forslag 1).
Konkret kan betalingsfristerne for A-skat og AM-bidrag for august-, september- og oktoberraterne
2020 udskydes med henholdsvis ca. 4�½, 5�½ og 6�½ måned.
For eksempel afregner en restaurant med 15 ansatte normalt ca. 135.000 kr. i AM-bidrag og A-skat
månedligt. For denne type virksomhed afregnes beløbet ca. den tiende i måneden efter optjeningsmå-
neden. En sådan virksomhed har dermed opnået en likviditetsforbedring på ca. 400.000 kr. i maj-juli,
jf. figur 7.2.
Med forslaget vil restauranten i eksemplet få udskudt betalingen af ca. 400.000 kr. med i
gennemsnit ca. 5�½ måned.
Figur 7.2
Eksempel: Indbetaling af A-skat og AM-bidrag for en restaurant med 15 ansatte ved oprindelige betalingsfri-
ster, allerede vedtagen udskydelse og foreslået udskydelse
1.000 kroner
350
Nuværende tilbagebetalingsperiode
Foreslået tilbagebetalingsperiode
1.000 kroner
350
300
250
200
150
100
50
0
Apr.
Maj
Jun.
Jul.
Aug.
2020
Oprindelige betalingsfrister
Betalingsfrister ved vedtagne udskydelser
Sep.
Okt.
Nov.
Dec.
Jan.
Feb.
Mar.
2021
Betalingsfrister efter mulig ny udskydelse
Apr.
Maj
Periode med øget likviditet
300
250
200
150
100
50
0
Kilde: Egen tilvirkning.
For store virksomheder er betalingen af moms udskudt med en måned for de månedlige marts-maj-
rater (betales i april-juni). For mellemstore virksomheder er betalingen af moms for 1. kvartal 2020
86
FIU, Alm.del - 2019-20 - Bilag 190: Rapport fra den økonomiske ekspertgruppe vedrørende udfasning af hjælpepakker
2198255_0088.png
udskudt et kvartal, så betalingen ligger sammen med betalingen for 2. kvartal 2020. For små virksom-
hederne er betalingen af moms for 1. halvår 2020 udskudt med 6 måneder, så betalingen ligger sam-
men med betalingen for 2. halvår 2020. Udskydelsen af betalingsfristerne for moms skønnes at have
forbedret virksomhedernes likviditet med op til ca. 68 mia. kr.
Der foreslås en mere lempelig tilbagevenden til normale betalingsfrister for moms (forslag 2).
Konkret kan momsbetalingen for 3. kvartal 2020 for mellemstore virksomheder udskydes, så den lig-
ger sammen med betalingen for 4. kvartal 2020, der skal betales primo marts 2021. Det kan endvidere
overvejes at udskyde frister for betaling af moms for store virksomheder.
Eksempelvis vil en mellemstor virksomhed med en omsætning på 40 mio. kr. typisk afregne 1,5 mio.
kr. i moms pr. kvartal. Med den allerede udskudte vedtagelse er betalingsfristen for den konkrete virk-
somhed udskudt med 3 måneder fra primo juni til primo september,
jf. figur 7.3
For små virksomheder er det inden for EU-retten ikke umiddelbart muligt at udskyde betalingen yder-
ligere, da afregningsperioden for 2020 for disse virksomheder allerede udgør et år, og betalingsfristen
udgør 2 måneder, hvilket er maksimum.
Figur 7.3
Eksempel: Indbetaling af moms for en mellemstor virksomhed ved oprindelige betalingsfrister, allerede vedta-
gen udskydelse og mulig ny udskydelse
1.000 kroner
4.000
1.000 kroner
4.000
3.000
3.000
2.000
2.000
1.000
1.000
0
Apr.
Maj
Jun.
Jul.
Aug.
2020
Oprindelige betalingsfrister
Betalingsfrister ved vedtagne udskydelser
Sep.
Okt.
Nov.
Dec.
Jan.
Feb.
Mar.
2021
Betalingsfrister efter mulig ny udskydelse
Apr.
Maj
0
Kilde: Egen tilvirkning.
Virksomheder, der ikke mangler likviditet, og som ønsker at indbetale efter de hidtidige betalingsfri-
ster, kan fortsat gøre det, da loftet over indeståender på den såkaldte skattekonto er midlertidigt su-
spenderet indtil den 1. april 2021. Den gennemførte suspension bør fastholdes.
Låne- og garantiordninger (likviditet)
I Danmark er der som led i hjælpepakkerne etableret fire garantiordninger, der yder garanti for blandt
andet pengeinstitutters udlån til danske virksomheder. Dels er der oprettet to ordninger målrettet
SMV’er, dels to for større virksomheder. Ordningerne er i høj grad parallelle.
Låne- og garantiordnin-
gerne har i sagens natur en efterfølgende afviklingsperiode i form af afdrag og betaling af eventuelle
87
FIU, Alm.del - 2019-20 - Bilag 190: Rapport fra den økonomiske ekspertgruppe vedrørende udfasning af hjælpepakker
2198255_0089.png
renter og undgår blandt andet derved en række incitamentsproblemer, som kan være tilstede i fx kom-
pensationsordninger. Hertil kommer, at garantiordningerne forudsætter, at private pengeinstitutter
eller lignende efter en kreditvurdering af virksomhederne ønsker at påtage sig en del af risikoen ved
finansieringen. Dermed foretages der en markedstest af perspektiverne for virksomhederne, inden der
ydes statslig finansiering.
Hovedparten af de danske garantiordninger dækker 70 pct. af bankernes risiko ved udlån på op til 6-7
år. Lånebeløbet er afgrænset til det konkrete omsætningstab fraregnet anden kompensation. Lånebelø-
bet må endvidere ikke overstige grænserne fastsat i EU's statsstøtteregler.
Hidtil har der kun været et begrænset træk på de danske låne- og garantiordninger, hvilket blandt an-
det skal ses i sammenhæng med muligheden for at opnå støtte ad anden vej, herunder navnlig de for-
skellige kompensationsordninger.
Låne- og garantiordningerne er et vigtigt element i hjælpepakkerne, idet de meget direkte adresserer
de soliditetsudfordringer, som er udløst af midlertidige likviditetsproblemer. Sammenlignet med de
forskellige kompensationsordninger har de den fordel, at der indgår en vurdering af virksomheden på
markedsvilkår. Det betyder, at støtten i højere grad er målrettet rentable virksomheder. Eksistensen af
ordningerne giver også et beredskab i forhold til de mange usikre forhold, der kan påvirke den økono-
miske genopretning.
Det foreslås, at låne- og garantiordningerne skal spille en større rolle (forslag 3).
Betydningen af låne- og garantiordninger må forventes automatisk at få større vægt, idet støtte opnået
i kompensationsordninger modregnes i låne- og garantiordningerne.
Det kan også overvejes, hvorvidt låne- og garantiordningerne kan gøres mere attraktive, i den første tid
efter at kompensationsordningerne er ophørt. Eksempelvis kan garantiprocenten forhøjes midlerti-
digt, svarende til de niveauer, der er kendt fra andre lande.
I Sverige er den generelle garantiprocent 70 pct., men det svenske eksportkreditagentur kan stille 80
eller 75 pct. garanti for lån til henholdsvis SMV'er og større virksomheder, der enten er eksportører
eller underleverandører til eksportører. I Tyskland kan der fx ydes lån op til 800.000 EUR med 100
pct. statsgaranti for SMV'er med mindst 10 ansatte, mens der kan ydes lån op til 100 mi0. EUR med
90 pct. statsgaranti for SMV'er og 80 pct. for større virksomheder. Norge tilbyder garantier på 90 pct
af lånebeløbet.
Hvis garantiprocenten i de danske ordninger øges, i takt med at andre kompensationsordninger ophø-
rer, kan der overvejes en differentieret tilgang. For eksempel kan der ydes 80 pct. garanti for lån til
SMV’er, mens garantiprocenten for større virksomheder, der alt andet lige har bedre
adgang til kapi-
talmarkederne, kan fastsættes lavere.
De danske låne- og garantiordninger administreres i dag af henholdsvis EKF og Vækstfonden. Med et
øget træk på låne- og garantiprodukter som hjælpeordning i coronakrisen og mulige fremtidige kriser
er det vigtigt, at de institutionelle rammer for disse værktøjer er til stede og kan skaleres. Her kan fx
hentes inspiration fra det tyske KfW-system, hvor låne- og garantiordninger kan skaleres og admini-
streres effektivt.
88
FIU, Alm.del - 2019-20 - Bilag 190: Rapport fra den økonomiske ekspertgruppe vedrørende udfasning af hjælpepakker
2198255_0090.png
Det kan kortlægges, hvordan de institutionelle rammer for danske låne- og garantiordninger er indret-
tet og virker sammenlignet med ordningerne i andre lande, fx det tyske KfW.
Der er i andre lande anvendt ordninger, hvor staten
(som ”last resort”)
kan yde ansvarlig kapital for at
sikre, at en samlet finansieringsløsning kan falde på plads. Denne type tiltag ses fx i Tyskland.
EU-kommissionen har peget på, at coronakrisen for mange virksomheder har resulteret i tab, der har
reduceret deres egenkapital og evne til at låne i markedet. EU-Kommissionen har derfor udvidet reg-
lerne for lovlig statsstøtte til at omfatte målrettede offentlige interventioner i form af rekapitaliseringer
af ikke-finansielle virksomheder for på den måde at bidrage til at reducere risikoen i EU's økonomier.
En sådan model kan også overvejes i Danmark. Modellen rejser dog en række principielle spørgsmål
om, hvordan staten skal agere som ejer eller investor af egenkapitallignende instrumenter.
Modellen bør i givet fald, ligesom garantiordningerne, endvidere målrettes kommercielt bæredygtige
virksomheder via blandt andet grundig kreditvurdering. Herudover bør en sådan model målrettes de
tilfælde, hvor en sådan indsats vurderes helt nødvendig. Statslig ansvarlig kapital er som udgangs-
punkt kun relevant i forhold til strategisk vigtige virksomheder eller infrastruktur, der er særligt hårdt
ramt af krisen. Det kan fx være en trædesten for sunde eksportvirksomheder, der måtte opleve udfor-
dringer som følge af svigtende international efterspørgsel i forlængelse af den globale sundhedskrise.
En model skal forberedes grundigt, og det er afgørende, at der findes en hensigtsmæssig governance-
struktur, herunder ikke mindst i forhold til, hvordan et eventuelt statsligt ejerskab efterfølgende kan
afvikles. Løsningsmodeller diskuteres ikke nærmere i denne rapport.
Lønkompensationsordningen
Medio marts blev der indgået en trepartsaftale om en midlertidig lønkompensationsordning for løn-
modtagere på det private arbejdsmarked. Ordningen havde til hensigt at holde hånden under beskæfti-
gelsen og sikre, at virksomhederne ikke som følge af et midlertidigt og muligvis kortvarigt tilbageslag i
efterspørgslen skilte sig af med værdifuld arbejdskraft.
Alle involverede parter havde tilskyndelse til at undgå en sådan situation. Der kan således være bety-
delige omkostninger forbundet med at genetablere jobmatch, når efterspørgselssituationen bliver nor-
maliseret. Og der kan både på kort og længere sigt være store omkostninger forbundet med kraftige
stigninger i ledigheden, herunder persistensproblematikker.
Ordningen har grundlæggende været en succes og medvirket til at holde hånden under virksomheder
og arbejdspladser, men er omkostningsfuld for staten og kan medvirke til at bremse en hensigtsmæs-
sig omstilling på arbejdsmarkedet i takt med genåbningen.
Det foreslås, at den midlertidige lønkompensationsordning ikke forlænges, når den udløber den 8.
juli (forslag 4).
Lønkompensationsordningen kan dog forlænges midlertidig for erhverv, der er tvangslukket. I den for-
bindelse skal der tages stilling til krav om afholdelse af feriedage i sommerferieperioden. Således bør
staten ikke medfinansiere ferieperioder, hvilket af administrative hensyn har været tilfældet hidtil i
forhold til arbejdsgiverbetalt ferie med løn.
89
FIU, Alm.del - 2019-20 - Bilag 190: Rapport fra den økonomiske ekspertgruppe vedrørende udfasning af hjælpepakker
2198255_0091.png
Virksomheder, der er ramt af midlertidig mangel på efterspørgsel, kan i stedet anvende den eksiste-
rende arbejdsfordelingsordning, der netop er skabt med henblik på at kunne anvendes i forbindelse
med midlertidige tilbageslag i efterspørgslen.
Denne ordning har også været anvendt af et antal virksomheder under den nuværende krise, men hid-
til i betydelig mindre grad end under finanskrisen. Den relativt begrænsede anvendelse af arbejdsfor-
delingsordningen under den nuværende krise skyldes formentlig muligheden for at anvende den mid-
lertidige lønkompensationsordning.
Da arbejdsfordelingsordningen baserer sig på muligheden for supplerende dagpenge under hjemsen-
delse, kan det overvejes midlertidigt at give mulighed for, at ikke-forsikrede i forbindelse med arbejds-
deling kan opnå medlemskab af en a-kasse og dermed mulig dagpengeret. Dette skal ses i lyset af den
ekstraordinære situation, som coronakrisen har medført. Der kan stilles krav om indbetaling af a-
kasse-bidrag svarende til 1 års medlemskab bagudrettet og krav om medlemskab mindst et år frem.
Personer i arbejdsdelingsordningen bør kun opnå ret til dagpenge, hvis de øvrige betingelser, herunder
krav om omfang af forudgående beskæftigelse, er opfyldt.
Den nuværende arbejdsfordelingsordning kan på forskellige områder indrettes mere hensigtsmæssigt i
forhold til at håndtere en situation med kortvarigt tilbageslag i efterspørgslen.
Det foreslås, at der indledes trepartsdrøftelser om en justering af arbejdsfordelingsordningen
(forslag 4.1).
Målet med trepartsdrøftelserne bør være at justere ordningen, så den fremadrettet bedre understøtter
omstillingsevnen i dansk økonomi, samtidig med at hensyn til virksomheder og medarbejdere tilgode-
ses.
En forbedret arbejdsfordelingsordning vil betyde, at det danske arbejdsmarked er bedre rustet, så-
fremt der skulle komme nye bølger af corona-krisen. Eller hvis Danmark af andre årsager bliver ramt
af midlertidige tilbageslag i efterspørgslen.
Stilleskruer i forhold til en justering af arbejdsfordelingsordningen
En ny arbejdsfordelingsmodel vil med fordel kunne indrettes, så den i højere grad end den eksiste-
rende lønkompensationsordning og den nuværende arbejdsfordelingsordning forener fleksibiliteten på
arbejdsmarkedet med statens, virksomhedernes og lønmodtagernes interesser. I særlige situationer
med et midlertidigt fald i afsætning, har det værdi for virksomhederne at kunne holde på medarbej-
dere. Det er forbundet med problemer og omkostninger at tilpasse medarbejderstaben kortvarigt. For
lønmodtageren har det en værdi at fastholde jobbet, selv om der i en kortere periode ikke er brug for
alle ansatte. Det giver en sikkerhed. Samfundsøkonomisk er det også hensigtsmæssigt at undgå usik-
kerhed og, i unødigt stort omfang, at undgå destruktion af jobmatch mellem virksomheder og lønmod-
tagere. Dette skal balanceres over for et hensyn til, at arbejdskraften ikke fastlåses i virksomhederne,
og at lønmodtagerne har et incitament til at søge andet arbejde.
I eventuelle trepartsdrøftelser om justering af arbejdsfordelingsordningen kan man lade sig inspirere
af lignende ordninger i blandt andet Sverige og Norge og overveje stilleskruerne i boks 7.1.
90
FIU, Alm.del - 2019-20 - Bilag 190: Rapport fra den økonomiske ekspertgruppe vedrørende udfasning af hjælpepakker
2198255_0092.png
Boks 7.1
Mulige stilleskruer til arbejdsfordelingsordningen
Lønbidrag fra arbejdsgiver i perioder med hjemsendelse.
Ved at indføre et lønbidrag fra arbejdsgiveren i perioder med
hjemsendelse skabes et større incitament til, at virksomheden ikke unødigt holder på arbejdskraften med deraf følgende ind-
låsningseffekter og nedsat fleksibilitet og omstilling på arbejdsmarkedet. Dette skal blandt andet ses i lyset af, at beslutnin-
gen om hjemsendelse i overvejende grad sker på virksomhedssiden. Lønbidraget kan eventuelt øges med hjemsendelsesperi-
odens længde for at give en tilskyndelse til ikke at bruge ordningen længere end højst nødvendigt. Bidraget skal balanceres i
forhold til arbejdsgiverens samlede tilskyndelse til at anvende ordningen.
G-dage.
Arbejdsgiveren betaler under normale omstændigheder dagpengegodtgørelse for 1. og 2. ledighedsdag (G-dage). Det
bør overvejes om
denne ”indgangs-omkostning” til ordningen er hensigtsmæssig,
eller om arbejdsgiveren hellere bør have en
løbende omkostning ved brug af ordningen, jf. ovenstående overvejelser om lønbidrag fra arbejdsgiver. Det er hensigtsmæs-
sigt, hvis arbejdsgiverens bidrag til lønkompensation bedst muligt understøtter, at ordningen er et reelt alternativ til afskedi-
gelse i en midlertidig nedgangssituation, men på den anden side ikke fører til for lange hjemsendelsesperioder.
Kompensationen af medarbejdere i perioder med hjemsendelse.
Niveauet for samlet kompensation af medarbejdere kan
overvejes, herunder om kompensationen eventuelt bør have en faldende profil for gradvist at øge tilskyndelsen til at søge
alternativt fuldtidsarbejde.
Statens udgifter til hjemsendte medarbejdere.
Statens bidrag til arbejdsfordelingsordningen er udgiften til supplerende dag-
penge (eller evt. anden offentlig ydelse) i de hjemsendte perioder. Det kan overvejes, om statens andel af lønkompensationen
skal øges og evt. udgøre en procentdel af den ansattes løn med en max grænse.
Mulighed for at varsle/afskedige personer under arbejdsfordeling.
Det bør overvejes, om det er hensigtsmæssigt, at retten
til dagpenge under en arbejdsfordeling bortfalder, hvis der i perioden sker afskedigelser af samme årsag, som har begrundet
arbejdsfordelingen. Dette krav kan hæmme fleksibilitet på arbejdsmarkedet og findes eksempelvis ikke i de tilsvarende ord-
ninger i Sverige og Norge.
Fleksibilitet i forholdet mellem tid med arbejde og hjemsendelse.
Det kan overvejes at indføre større fleksibilitet i forholdet
mellem tid med
arbejde og hjemsendelse end i de nugældende faste ”skabeloner”. Det er således ikke principielle argumenter
imod relativt fleksible rammer for brug af arbejdsfordelingsordningen, idet ordningens anvendelse dog skal være afgrænset
til større tilbageslag i virksomhedens efterspørgsel og behov for arbejdskraft.
Grænser for maksimal varighed i arbejdsfordelingen.
For yderligere at modvirke problemer med indlåsning af arbejdskraft,
der hæmmer fleksibilitet og omstilling, skal der være en maksimal varighedsgrænse for brug af ordningen med offentlig med-
finansiering og værnsregler i forhold til, hvor ofte ordningen kan benyttes. Omvendt skal der i lighed med den eksisterende
ordning være en minimumsvarighed af hjemsendelse for at sikre, at ordningen kun anvendes ved alvorlige tilbageslag.
Rådighedsforpligtigelse mv.
Det bør overvejes, hvilke krav der mest hensigtsmæssigt kan stilles til hjemsendte medarbejdere
i forhold til rådighed, tilmelding til jobcenter som jobsøgende, ansøgninger om andet job mv.
Modeleksempel A - Eksempel på model med incitamenter, der understøtter omstilling
En simpel variant A af en justeret model kan tage udgangspunkt i den eksisterende model for arbejds-
fordeling med et offentligt finansieringsbidrag svarende til dagpengeniveau. Et medlem omfattet af ar-
bejdsfordeling vil dermed få dagpenge med sin individuelle sats
og således højst med den maksimale
dagpengesats for de perioder, hvor medarbejderen er hjemsendt.
I forhold til arbejdsfordelingsmodellen justeres modellen, således at virksomheden under hjemsen-
delse skal betale medarbejderen en andel, fx 5 pct. af den forudgående løn,
jf. figur
7.4.
Et lønbidrag fra arbejdsgiveren medvirker til, at virksomheden ikke unødigt holder på arbejdskraften
med heraf følgende indlåsningseffekter, nedsat fleksibilitet og omstilling på arbejdsmarkedet. Dette
skal blandt andet ses i lyset af, at beslutningen om hjemsendelse i overvejende grad sker på virksom-
hedssiden. Tilsvarende har lønmodtagerne incitament til at søge andet arbejde, når kompensationen
ikke er 100 pct.
91
FIU, Alm.del - 2019-20 - Bilag 190: Rapport fra den økonomiske ekspertgruppe vedrørende udfasning af hjælpepakker
2198255_0093.png
Figur 7.4
Arbejdsfordeling
Arbejdsgiver betaler 5 pct. af oprindelig løn (omregnet til månedsniveau)
Fordeling af lønudgifter
90 pct.
30.000 kr.
19.083 kr.
(dagpengemaks.)
15 18 21 24 27 30 33 36 39 42 45 48 51 54 57
Statens bidrag
Arbejdsgivers bidrag
Normal løn (1.000 kr.)
Lønnedgang
Note:: Figuren illustrerer supplerende dagpenge mv. opgjort på månedsniveau. Det bemærkes, at personer på arbejdsfordeling efter
nuværende regler kun kan være hjemsendt med supplerende dagpenge i to uger, hvorefter der vil være en mellemliggende peri-
ode på 2 uger periode med arbejde, før der kan være en ny periode på 2 uger med supplerende dagpenge
Kilde: Egne beregninger.
Modeleksempel B
Eksempel på model med øget statsligt finansieringsbidrag
I anden simpel variant af en justeret arbejdsfordelingsordning kan det overvejes at øge dagpengebeta-
lingen til et niveau, der ligger over det generelle dagpengemaksimum. Dagpengeydelsen kan eksempel-
vis øges med 25 pct. af forskellen mellem den forudgående løn og dagpengemaksimum. Virksomheden
betaler i dette eksempel også en andel, fx 5 pct. af den forudgående løn,
jf. figur
7.5.
Det ekstra støtteelement fra staten muliggør et højere sikringsniveau for lønmodtagerne og gør ar-
bejdsfordelingsmodellen mere relevant for lønmodtagere i et lidt højere lønsegment.
Der kan argumenteres for, at de strukturforværrende virkninger af et sådant tiltag formentlig er rela-
tivt begrænsede, idet de omfattede personer er i beskæftigelse, men blot midlertidigt er deltidsledige
som følge af et midlertidigt tilbageslag i efterspørgslen. Hovedparten vil således i denne model også
fortsat have et incitament til at overgå til et fuldtidsjob. Søgeintensiteten for de berørte medarbejdere
må dog forventes at være lavere end for fuldtidsledige.
Et ekstra støttelement fra staten kan gøre arbejdsdelingsordningen mere attraktiv for arbejdstagerne.
Det er dog ikke entydigt, om det også samlet fører til ekstra omkostninger for staten. Det afhænger af,
om den mulige ekstra brug af ordningen reducerer omfanget af arbejdsløshed, der alternativt også ville
øge de offentlige udgifter i en situation, hvor en virksomhed er ramt af en midlertidig nedgang i aktivi-
teten.
92
FIU, Alm.del - 2019-20 - Bilag 190: Rapport fra den økonomiske ekspertgruppe vedrørende udfasning af hjælpepakker
2198255_0094.png
Figur 7.5
Arbejdsfordeling
Arbejdsgiver betaler 5 pct. af oprindelig løn. Staten betaler tillæg udover dagpengemaksi-
mum (omregnet til månedsniveau)
Fordeling af lønudgifter
90 pct.
30.000
kr.
19.083 kr.
(dagpengemaks.)
15 18 21 24 27 30 33 36 39 42 45 48 51 54 57 Normal løn (1.000 kr.)
Statens bidrag
Arbejdsgivers bidrag
Lønnedgang
Note: Figuren illustrerer supplerende dagpenge mv. opgjort på månedsniveau. Det bemærkes, at personer på arbejdsfordeling efter
nuværende regler kun kan være hjemsendt med supplerende dagpenge i to uger, hvorefter der vil være en mellemliggende peri-
ode på 2 uger med arbejde, før der kan være en ny periode på 2 uger med supplerende dagpenge.
Kilde: Egne beregninger.
Kompensationsordningen for faste omkostninger
For hovedparten af de danske virksomheder er den helt akutte krise overstået, og virksomhederne har
haft nogle måneder til at omstille sig til en ny virkelighed, om end den stadig er præget af en høj grad
af usikkerhed.
Det foreslås, at den generelle kompensationsordning for faste omkostninger ophører den 8. juli
(forslag 5).
I en kort overgang foreslås der enkelte midlertidige undtagelser. Generelt bør støttesatserne reduceres
for virksomhederne, der modtager støtte efter den 8. juli, fordi virksomheder har haft længere tid til at
tilpasse sig den nye virkelighed, idet der dog kan holdes fast i 100 pct. kompensation for tvangslukkede
virksomheder. Der bør ligeledes være et minimumsstøtteniveau, så de administrative udgifter står mål
med intentionen bag ordningen, ligesom der skal gælde et loft for ordningen. Kravet til fald i omsæt-
ningen bør udmåles for en ny periode (ny referenceperiode). Det er en forudsætning for støtteordnin-
gerne, at der kan påvises en direkte sammenhæng mellem omsætningsfaldet og coronakrisen, jf. stats-
støttereglerne. Der vil skulle udarbejdes en konkret vurdering af, om dette vil kunne påvises, i forbin-
delse med eventuel implementering.
Tvangslukkede erhverv
Der er stadig forbud mod, at virksomheder inden for visse erhverv holder åbent. De er meget konkret
begrænsede i deres aktiviteter, og derfor er der gode argumenter for, at virksomheder, som fortsat er
tvangslukkede, skal have en vis form for kompensation.
93
FIU, Alm.del - 2019-20 - Bilag 190: Rapport fra den økonomiske ekspertgruppe vedrørende udfasning af hjælpepakker
2198255_0095.png
Det foreslås, at virksomheder i fortsat tvangslukkede erhverv midlertidigt vil kunne modtage
kompensation for faste omkostninger efter eksisterende ordning i den periode, hvor virksomheden
har forbud mod at holde åbent (forslag 5.1).
Adgangen til kompensation kan som udgangspunkt gælde, så længe der er forbud mod at holde åbent.
Kompensationen bør samtidig automatisk udfases, i takt med at restriktionerne hæves.
Det bemærkes, at længerevarende forbud ikke kan begrunde længerevarende kompensationsordnin-
ger. Hvis et forbud strækker sig langt ind i efteråret, og forbuddet ikke ophæves, bør det overvejes, om
der mere permanent kan lukkes ned for aktiviteten.
Hidtil har de berørte virksomheder kunnet modtage 100 pct. i kompensation for faste omkostninger,
hvis virksomheden har haft forbud mod at holde åbent. Der er argumenter for, at kompensationen kan
være mindre end 100 pct., fordi også de tvangslukkede virksomheder i et vist omfang har haft mulig-
hed for at tilpasse virksomheden, finde nye forretningsmuligheder mv.
Forbud ophævet for nylig
Nogle virksomheder kan være udsatte, fordi de har haft kort tid til at tilpasse sig efter genåbningen. En
rimelighedsbetragtning kan tale for, at de får lidt mere tid til at komme i gang igen.
Det foreslås, at virksomheder, hvor forbuddet er ophævet efter den 8. juni, får mulighed for
kompensation for faste omkostninger til og med den 8. august efter en tilpasset
kompensationsmodel (forslag 5.2).
Den nuværende ordning for faste omkostninger har det iboende problem, at virksomhederne har et
vist incitament til at forsøge at reducere aktiviteten yderligere for at nå op på et højere kompensations-
trin,
jf. kapitel 3.
Virksomheder, der ligger med et omsætningstab lige under et trin, kan have et incita-
ment til at komme op på næste trin, og virksomhederne lige over har ikke nødvendigvis et incitament
til at øge aktiviteten. For at undgå dette foreslås det, at kompensationsgraden beregnes med udgangs-
punkt i en lineær kompensationsskala.
Det vurderes, at følgende støttesatser kunne være hensigtsmæssige: Et indgangskriterie på 35 pct. i
omsætningsnedgang, hvor kompensationen ved denne omsætningsnedgang udgør 25 pct. af virksom-
hedens faste omkostninger. Den maksimale kompensationsandel foreslås til 50 pct., som udløses ved
en omsætningsnedgang på 60 pct. For hver 1 pct.-enhed ekstra omsætningsfald, øges kompensationen
med 1 pct.-point,
jf. figur 7.6.
94
FIU, Alm.del - 2019-20 - Bilag 190: Rapport fra den økonomiske ekspertgruppe vedrørende udfasning af hjælpepakker
2198255_0096.png
Figur 7.6
Model for kompensation i forbindelse med omsætningsnedgang
Kompensation, pct.
60
50
50 pct. kompensation
40
30
25 pct. kompensation
Omsætningsnedgang på 35 pct.
udløser kompensation
Kompensation, pct.
60
50
40
30
20
10
0
20
10
0
0
10
20
30
40
50
60
Omsætningsnedgang i referenceperioden, pct.
70
80
90
100
Kilde: Egen tilvirkning.
De administrative aspekter ved en sådan ordning bør afklares og eventuelle komplikationer fx løses
ved flere, mindre trin.
Ordningen indebærer, at de virksomheder, som er mindst effektive og mindst entreprenante til at gen-
starte virksomheden, kan opnå størst kompensation. Derfor er det vigtigt, at støttemuligheden kun for-
længes ganske kort og kun for virksomheder, hvor det kan begrundes med afsæt i coronakrisen.
Vi har overvejet, om incitamentsvirkningerne kunne styrkes yderligere. Konkret ville det være mere
ideelt at indrette kompensationen ud fra branchens gennemsnitlige fald i omsætning som følge af co-
ronakrisen, så virksomheder først er berettiget til støtte, hvis gennemsnittet i branchen er tilstrække-
ligt negativt berørt, og ikke alene fordi den enkelte virksomhed står over for en omsætningsnedgang.
Det vurderes imidlertid, at en branchemodel ikke er administrativt hensigtsmæssig. En ordning base-
ret på branchegennemsnit har også den mulige implikation, at der gives støtte til en branche, som
samlet står over for en nedadgående strukturelt betinget tilpasning.
Erhverv berørt af forsamlingsforbuddet
En række erhverv er fortsat direkte ramt af coronakrisen i forhold til deres kerneforretning. Forsam-
lingsforbuddet på over 500 personer begrænser direkte fx større venues, arrangementssteder mv., hvis
forretningsgrundlag er udleje af lokaler til større arrangementer.
Det foreslås, at der kan ydes kompensation for faste omkostninger frem til 31. august, hvor
forsamlingsforbud på over 500 personer udløber, hvis virksomhedens kerneforretning er væsent-
ligt begrænset af forsamlingsforbuddet (forslag 5.3).
Kompensationsordningen for aflyste arrangementer løber frem til 31. august
parallelt med forbuddet
og ordningen dækker tab for arrangøren.
95
FIU, Alm.del - 2019-20 - Bilag 190: Rapport fra den økonomiske ekspertgruppe vedrørende udfasning af hjælpepakker
2198255_0097.png
Det bør være et krav, at ansøgeren skal kunne sandsynliggøre, at vedkommende ikke har kunnet om-
lægge sin forretningsmodel, og at alle omkostninger har været forsøgt nedbragt. Kompensationen bør i
øvrigt følge ordningen skitseret i figur 7.6.
Der kan være en særskilt problematik for en gruppe små og mellemstore virksomheder, som er under-
leverandører, og som følge af forsamlingsforbuddet er mere indirekte begrænsede i deres erhvervsudø-
velse, fx leverandører til aflyste festivaler og større koncerter. Nogle meget specialiserede virksomhe-
der baserer en meget stor del af deres forretning på at levere ydelser til større arrangementer, som nu
er aflyst som følge heraf.
Såfremt der viser sig behov for at give støtte til denne målgruppe, kan det overvejes at etablere en sær-
skilt pulje, som kan søges af virksomheder, hvis kerneforretning er berørt af forsamlingsforbuddet, så-
fremt denne gruppe ikke administrativt kan inkluderes i den tilpassede kompensationsmodel. Det er
dog umiddelbart ikke hensigtsmæssigt at inkludere denne gruppe af typisk mindre underleverandører
i ordningen for faste omkostninger, dels på grund af afgrænsningsproblemer, og dels fordi de i et vist
omfang har haft en periode til at omstille forretningsdriften, herunder afsøge alternative forretnings-
muligheder.
Erhverv som bliver påvirket med forsinkelse
Visse erhverv kan opleve en forsinket påvirkning af coronakrisen, hvis erhvervenes omsætning er base-
ret på kontrakter, der endnu ikke er fuldt påvirkede. Der kan fx være industrivirksomheder, som i an-
det halvår ser frem mod markant faldende ordrer som følge af sundhedskrisen.
Forlængede låne- og garantiordninger vil i høj grad være relevante for denne gruppe af virksomheder.
Som følge af usikkerhed om krisens forløb kan yderligere tiltag blive nødvendige på et senere tids-
punkt.
Det foreslås, at det i sensommeren vurderes, hvorvidt der er grund til at indføre en midlertidig og
målrettet kompensationsordning for faste omkostninger fx for eksportvirksomheder (forslag 5.4).
Ordningen vil være med til at understøtte beskæftigelsen i de berørte virksomheder. Støtten bør mål-
rettes mod virksomheder, der er ramt forskudt, og støtteniveauerne bør afspejle, at virksomhederne
har haft god tid til at indrette sig på de nye vilkår.
En konkret model kunne fx være, at virksomhederne kan have mulighed for kompensation for faste
omkostninger i en tremåneders periode fra 1. august til 31. oktober. Jævnfør ovenfor er det dog en for-
udsætning for støtteordningerne, at der kan påvises en direkte sammenhæng mellem omsætningsfal-
det og coronakrisen, jf. statsstøttereglerne. Dette vil der skulle udarbejdes en konkret vurdering af og
tages højde for i forbindelse med eventuel implementering.
Virksomheder kunne i givet fald opnå kompensation for faste omkostninger for fald i omsætningen i
perioden august til oktober i forhold til den tilsvarende periode i 2019. Såfremt virksomheden, der sø-
ger om kompensation, allerede har modtaget kompensation under gældende kompensationsordning
for faste omkostninger (9. marts-8. juli), modregnes dette beløb i kompensationen for den nye periode
(1. august-31. oktober). På den måde sikres, at kompensationen målrettes erhverv, der får en forskudt
omsætningsnedgang.
96
FIU, Alm.del - 2019-20 - Bilag 190: Rapport fra den økonomiske ekspertgruppe vedrørende udfasning af hjælpepakker
2198255_0098.png
Indgangskrav og kompensationsskala bør følge model for erhverv, som har haft kortere tid til at til-
passe sig,
jf. figur 7.6.
En betydelig del af virksomhederne, som kan stå over for en forskudt omsætningsnedgang, vil være
eksportvirksomheder. Det bemærkes, at omsætningsnedgangen under gældende kompensationsord-
ning for faste omkostninger opgøres for hele CVR-nummeret, det vil sige inkl. eventuelle aktiviteter i
udlandet. For eksportvirksomheder betyder det, at omsætningsnedgangen kan blive opgjort på bag-
grund af aktiviteter, der ikke kommer omkring dansk jord. Der kan kun ydes kompensation for om-
kostninger anvendt og afholdt i Danmark.
Kompensation til selvstændige, freelancere og kombinatører
De selvstændigt erhvervsdrivende, freelancere mv. og kombinatører
9
var ikke direkte omfattet af tre-
partsaftalen om lønkompensation, og der var et ønske om at sikre kompensation til gruppen, som stod
over for et potentielt stort fald i omsætning under sundhedskrisen.
Der er indført ordninger, som selvstændigt erhvervsdrivende og freelancere kan søge, hvis de har stort
omsætnings- og indtægtsbortfald. Der er indført tilsvarende ordninger i Norge, hvilket skal ses i lyset
af, at der både i Danmark og Norge har været indført forbud og restriktioner i erhverv, hvor der er
mange selvstændigt erhvervsdrivende (fx frisører, praksissektoren og restauranter).
Situationen med nedlukning af Danmark var helt ekstraordinær, hvilket kunne begrunde etableringen
af den midlertidige ordning. Kompensation sikrer blandt andet et forsørgelsesgrundlag for selvstæn-
digt erhvervsdrivende mv., der kan have investeret mange ressourcer i at få en virksomhed op og stå.
Det bemærkes dog, at ordningen ikke indebærer en rådighedsforpligtelse, og den selvstændigt er-
hvervsdrivende må arbejde i virksomheden i kompensationsperioden, fx producere til lager. I lønkom-
pensationsordningen arbejder medarbejderen ikke, men står til rådighed for sin arbejdsgiver, hvis der
opstår behov for mere arbejdskraft.
Det foreslås, at ordningen for selvstændigt erhvervsdrivende, freelancere og kombinatører
ophører fra den 8. juli (forslag 6).
For selvstændigt erhvervsdrivende, freelancere og kombinatører, der fortsat er direkte berørt af et
egentlig forbud, kan det overvejes, at dagpengereglerne midlertidigt gøres mere fleksible, så der for
denne gruppe kan opnås ret til dagpenge, uden at virksomheden skal ophøre. Som reglerne er i dag,
kan selvstændige, hvis hovedbeskæftigelse er at drive en virksomhed, ikke modtage dagpenge, hvis de
ikke er ophørt med deres virksomhed.
For selvstændigt erhvervsdrivende, der ikke er medlem af en a-kasse, og som derfor ikke er berettigede
til dagpenge, kan det overvejes, at de får en kort periode til at melde sig ind i a-kassen med tilbagevir-
kende kraft. Der kan stilles krav om indbetaling af a-kasse-bidrag svarende til et års medlemskab bag-
udrettet og krav om medlemskab mindst et år frem. Gruppen bør kun opnå ret til dagpenge, hvis de
øvrige betingelser, herunder krav om omfang af forudgående beskæftigelse, er opfyldt.
9
Freelancere med både A- og B-indkomst.
97
FIU, Alm.del - 2019-20 - Bilag 190: Rapport fra den økonomiske ekspertgruppe vedrørende udfasning af hjælpepakker
2198255_0099.png
Særordninger på ydelsesområdet og aktiv arbejdsmarkedspolitik
Den aktive beskæftigelsesindsats blev midlertidigt suspenderet i lyset af sundhedskrisen. Ledige har
således ikke været forpligtet til at stå til rådighed for arbejdsmarkedet, ligesom den aktive indsats i
form af fx aktivering og deltagelse i kontaktsamtaler har været suspenderet.
Suspenderingen giver mening i den midlertidige situation med udbredt påbudt nedlukning af dele af
den offentlige og private sektor. I forbindelse med tilbagerulning af de forskellige afbødningstiltag
bortfalder behovet for at suspendere den aktive beskæftigelsesindsats.
Den aktive arbejdsmarkedspolitik har blandt andet fokus på at rådgive nyledige om mulighederne for
jobåbninger på arbejdsmarkedet og via kontaktforløb understøtte den lediges jobsøgning. Mange af de
nyledige vil have omfattende arbejdsmarkedserfaring og skal muligvis finde beskæftigelse i en anden
branche end den, de tidligere har erfaring fra. Her kan jobcentrenes og a-kassernes overblik over det
lokale arbejdsmarked være en stor hjælp i jobsøgningsprocessen. Vejledningsindsatsen kan fx kombi-
neres med korte virksomhedspraktikforløb.
Der kan være ledige, hvor der er behov for nye kompetencer, og her er muligheden for opkvalificering
et relevant alternativ. En ulempe ved at iværksætte opkvalificeringsforløb er, at den ledige naturligt
fastholdes i ledighed, mens forløbet fuldføres. I den givne konjunktursituation er mangel på arbejds-
kraft i udgangspunktet ikke et problem, hvorfor opkvalificeringsforløb kan være et gunstigt alternativ
til at søge job. Det stiller høje krav til, at det valgte opkvalificeringsforløb løfter den lediges kompeten-
cer og efterfølgende jobmuligheder.
Ledigheden ventes at stige markant, men de fleste ledige vil formentlig relativt hurtigt finde ny beskæf-
tigelse. Længden af ledighedsforløb forventes dog at stige, da der ventes at være flere ansøgere til de
enkelte job. Det gælder også for de personer, der var ledige inden coronakrisen.
Som led i hjælpepakkerne er der gennemført midlertidige lempelser på dagpenge-, sygedagpenge- og
kontanthjælpsområdet. Den midlertidige suspendering af anciennitetstælling i dagpengesystemet be-
tyder, at ledighed i perioden fra den 1. marts til den 30. juni ikke tæller med i brug af dagpengeretten.
Den maksimale dagpengeperiode er derved blevet forlænget med omtrent 4 måneder for dem, der mi-
stede jobbet i marts, og dem, der i forvejen var dagpengeledige ved suspenderingen. Dermed er der
med den førte politik taget højde for den ekstraordinære situation som følge af sundhedskrisen, der må
formodes at medføre længere ledighedsforløb.
Den ekstraordinære situation på arbejdsmarkedet giver ikke i sig selv grundlag for at foreslå struktu-
relle eller varige ændringer i ydelsessystemerne. Der kan dog være behov for at sætte ind med målret-
tede tiltag givet de særlige omstændigheder. Der er fortsat mange jobåbninger, men det må forventes,
at det for nogle vil være sværere at finde et job. Personer, der opbruger dagpengeretten i de kommende
måneder, kan derfor stå i en udsat situation.
Det foreslås, at der for dagpengemodtagere, der aktuelt er tæt på at have opbrugt dagpengeret-
ten, gives en kortere forlængelse af dagpengeperioden. Det foreslås, at den midlertidige lempelse
på kontanthjælpsområdet videreføres parallelt, mens de midlertidige lempelser på sygedagpenge-
området ophører som planlagt (forslag 7).
Den midlertidige forlængelse af dagpengeperioden kan for eksempel bestå i, at dagpengemodtagere,
98
FIU, Alm.del - 2019-20 - Bilag 190: Rapport fra den økonomiske ekspertgruppe vedrørende udfasning af hjælpepakker
2198255_0100.png
der opbruger dagpengeretten i de kommende tre måneder (fra juli til og med september), får en eks-
traordinær forlængelse af dagpengeperioden med 3 måneder. Dagpengemodtagere, der opbruger deres
dagpengeret i løbet af september, kan derved få forlænget deres dagpengeperiode til december.
Sæsonbetonet virksomhed
Regeringen har annonceret, at der senest den 29. maj fremlægges en plan for en kontrolleret og grad-
vis genåbning af sommerturismen, der er sundhedsmæssig forsvarlig.
Det er hensigtsmæssigt, hvis virksomhederne og de udenlandske turister hurtigt får sikkerhed for tids-
planen i grænseåbningen, da det giver bedre mulighed for at tilrettelægge sæsonen. En række virksom-
heder har en stor del af deres omsætning i de kommende sommermåneder,
jf. figur 7.7.
Figur 7.7
Aktivitet over året i udvalgte erhverv, gennemsnit for 2017-2019
Indeks (januar=100)
800
700
600
500
400
300
200
100
0
Jan.
Feb.
Mar.
Apr.
Maj
Jun.
Jul.
Aug.
Sep.
Okt.
Nov.
Dec.
Udlændinge, der overnatter på hoteller,
feriehuse, campingpladser mv.
Indeks (januar=100)
800
700
600
500
400
300
200
100
0
Danskere, der overnatter på hoteller,
feriehuse, campinpladser mv.
Salg i forlystelsesparker og
andre fritidsaktiviteter
Salg i alle erhverv
Kilde: Danmarks Statistik og egne beregninger.
Turismeerhvervet er et sæsonbetonet erhverv. Det må forventes, at turismeerhvervet vil blive hårdt
ramt, hvis det ikke bliver muligt for en stor del af de udlændinge, der planlægger at holde ferie i Dan-
mark (typisk tyskere, svenskere og nordmænd).
Normalt kommer der 4 mio. udenlandske turister i sommermånederne med ophold af varierende
længde, heraf knap 2�½ mio. fra nærmarkederne. Turismeerhvervet er desuden kendetegnet ved, at det
fylder meget i bestemte områder af landet.
På nuværende tidspunkt vurderes der ikke at være behov for en generel pakke til disse erhverv. For-
modningen er, at mange danskere holder ferie i Danmark, ligesom det allerede er annonceret, at flere
udlændige kan komme ind. Det er imidlertid relevant at gøre status, når højsæsonen er overstået.
Det foreslås, at det til efteråret overvejes at etablere en ansøgningspulje eller lignende, hvis de sæ-
sonbetonede brancher oplever et stort fald i indtægterne henover sommeren (forslag 8).
I givet fald bør det være et kriterium, at kompensationen målrettes virksomheder med store faste om-
99
FIU, Alm.del - 2019-20 - Bilag 190: Rapport fra den økonomiske ekspertgruppe vedrørende udfasning af hjælpepakker
2198255_0101.png
kostninger, fx overnatningssteder og forlystelsesparker, og at der alene dækkes udgifter i sommermå-
nederne. Ansøgningskriterierne skal desuden indrettes, så virksomhederne har haft incitament til at
nedbringe sine udgifter.
Særordninger, herunder på medie- og kulturområdet
Langt hovedparten af hjælpepakkerne er generelle. Der er imidlertid også indført en række specifikke
ordninger på især medie- og kulturområdet. Medievirksomheder omfatter blandt andet ugeblade og
dagspressen. På kulturområdet er der blandt andet kommercielle virksomheder, institutioner med
blandet økonomi og institutioner, der (helt overvejende) er finansieret af offentlige tilskud og donatio-
ner.
Ordningerne kan være begrundet i, at der er nogle helt særlige virksomhedstyper på blandt andet kul-
turområdet, som i mindre grad har mulighed for at opbygge egenkapital, fx fordi en stor del af deres
indtægtsgrundlag normalt er offentlige tilskud.
Særordninger kan give anledning til en forvridning af økonomien. Jo længere sådanne særordninger
videreføres, jo større risiko er der for, at forvridningen forstærkes.
Det foreslås, at alle særordningerne ophører parallelt med de generelle ordninger (forslag 9).
Hvis ordningerne ikke ophører, vil de få karakter af kunst- og mediestøtte. Det er en politisk beslut-
ning, hvor meget støtte disse erhverv skal have. Det vurderes, at corona-relaterede hjælpeordninger
ikke kan begrundes ud fra et eventuelt ønske om at øge støtten. Det bemærkes i øvrigt, at aktiviteten
på kulturområdet er sæsonafhængig, hvilket de eksisterende hjælpepakker på området afspejler.
Erhverv som er underlagt særlige sundhedskrav og -restriktioner
Ud over forbud er der under coronakrisen indført en lang række krav og retningslinjer rettet mod er-
hvervslivet. Nogle blev annonceret i forbindelse med lukningen af Danmark (fx arrangører og dagligva-
rehandel), og andre er kommet til i forbindelse med genåbningen af de berørte erhverv (fx restauran-
ter, frisører, tandlæger og fysioterapeuter). Endvidere er den kollektive transport berørt af en række
krav og retningslinjer.
Det foreslås, at der igangsættes et arbejde for at identificere udfordringer og mulige løsninger i
særligt regulerede eller systemisk vigtige erhverv, hvor fx pristilpasningen eller tilpasning via
virksomhedsafgang anses for uønsket (forslag 10).
Konkret kan arbejdet:
Kortlægge de nye krav, retningslinjer og opfordringer rettet mod virksomhederne, herunder sam-
spillet med eksisterende krav, retningslinjer mv. Kortlægningen bør som i sektorpartnerskaberne
ske med inddragelse af virksomhederne.
Systematisk kortlægge de samfunds- og erhvervsøkonomiske omkostninger og sammenholde
disse med den skønnede sundhedsmæssige gevinst.
100
FIU, Alm.del - 2019-20 - Bilag 190: Rapport fra den økonomiske ekspertgruppe vedrørende udfasning af hjælpepakker
2198255_0102.png
Indhente erfaringer fra andre lande med henblik på at vurdere best practice i forhold til at opnå
den sundhedsmæssige gevinst uden store erhvervsøkonomiske omkostninger.
Sundhedskravene sigter på at holde smittetrykket nede og tager afsæt i sundhedsfaglige anbefalinger.
Tiltagene kan imidlertid også have stor økonomisk og derfor samfundsmæssig betydning.
De økonomiske omkostninger kan på kort og mellemlangt sigt betyde både lavere løn for de ansatte,
lavere aflønning af kapitalapparatet, højere priser for forbrugerne eller afgang af virksomheder i de er-
hverv, som er underlagt særlige sundhedsrestriktioner. En sådan udvikling er særlig problematisk i
dele af økonomien, hvor prismekanismer er sat ud af kraft (fx for dele af den private praksissektor),
hvor prisforøgelser anses for problematiske af andre årsager, eller hvor forsyningssikkerhed er højt
prioriteret.
Der er ikke umiddelbart et generelt samfundsøkonomisk argument for kompensere for hver enkelt re-
striktion og sundhedsmæssige tiltag, tværtimod er det i en markedsøkonomi selve virksomhedsdyna-
mikken og prismekanismen, der skal sørge for den nødvendige tilpasning. Hvis restriktioner og krav er
blivende, må virksomhederne på sigt konkurrere under de nye forhold og tilpasse sig.
Tilsvarende gælder for eventuelt øgede omkostninger for kunderne som følge af tiltag for at mindske
smittespredning. Her er en tilpasning nødvendig, og kunderne får nu et andet produkt
– ”nu med la-
vere smitterisiko” –
som der må være en betalingsvillighed for. For nogle erhverv kan de nye krav og
restriktioner betyde en varig strukturel forandring, fordi nogle ydelser ikke længere er rentable. En så-
dan udvikling kan være nødvendig, men har mere fundamentale omkostninger, hvis essentielle er-
hverv bliver negativt berørt, fx de dele af sundhedssektoren, som foregår i privat regi.
Boks 7.2 giver en række eksempler på nye krav og retningslinjer. Herudover er der en række opfordrin-
ger, hvilket også kan medføre omkostninger.
Boks 7.2
Eksempler på nye krav og retningslinjer i udvalgte erhverv
Restauranter og caféer
Restauranter og cafeer mv. skal respektere forsamlingsforbuddet.
Driften bør tilrettelægges med henblik på at nedsætte gæstetætheden og styring af gæstestrømme.
Der må maksimalt tillades én person pr. 4 m
2
gulvareal, hvor der er offentlig adgang. For restauran-
ter og caféer gælder et særligt kvadratmeterkrav på 2 m
2
pr. person.
Alle serveringssteder, hvor der serveres mad, drikkevarer eller tobak til indtagelse på salgsstedet,
skal lukke kl. 24.
Tandpleje
Der skal planlægges færre fremmøde-tider
(”booke med luft imellem”),
så antallet af patienter i
venteværelset på samme tid mindskes.
Ved procedurer, som nødvendiggør brug af airrotor, turbine, hånd- og vinkelstykke, skal der an-
vendes effektiv spytsugning under brug af medhjælp, og kofferdam, når det er fagligt muligt.
Efter afsluttet behandling skal behandlingsrummet kort (ca. 5 min) udluftes inden næste patient.
Anvendelse af trefunktionssprøjte bør så vidt muligt begrænses.
Ved aerosolgenererende procedurer skal der over kliniktøjet anvendes engangsplastforklæde, der
dækker op til halsen, og det skal skiftes mellem hver patient.
Der skal anvendes maske/ mundbind og øjenbeskyttelse i form af beskyttelsesbriller eller visir.
101
FIU, Alm.del - 2019-20 - Bilag 190: Rapport fra den økonomiske ekspertgruppe vedrørende udfasning af hjælpepakker
2198255_0103.png
Praksissektoren, fx fysioterapeuter
Der skal planlægges færre fremmøde-tider
(”booke med luft imellem”),
så antallet af borgere i
venteværelset på samme tid mindskes.
Gruppeaktiviteter skal fortsat ikke prioriteres ud fra et hensyn om at reducere omfanget af sociale
kontakter og derved mindske risikoen for smittespredning i samfundet.
Procedurer, der kræver tæt kontakt, begrænses til det mest nødvendige.
Forlystelsesparker
Forlystelsesparker bør have særligt fokus på styring af gæstekapacitet, herunder indføre kapaci-
tetsbegrænsning.
Medarbejdere, der opererer forlystelser, bør så vidt muligt være afskærmet fra gæsterne.
Forlystelsesparker bør undlade at gennemføre aktiviteter, der fremmer sammenstimling af
mange mennesker, fx maskotbesøg, optog e.l.
Detailhandel
Varehuse og andre store butikker anbefales at undgå kø- og slagtilbud og lignende aktiviteter,
som kan skabe kødannelser og tæthed omkring enkelte områder i butikken.
Det kan overvejes at opsætte en fysisk barriere mellem personale og kunde i situationer, hvor an-
sigt-til-ansigt kontakt indenfor 1 meter ikke kan undgås.
Der må maksimalt tillades én kunde eller besøgende pr. 4 m
2
gulvareal, hvor der er offentlig ad-
gang.
Indkøbscentre
Driften bør tilrettelægges med henblik på at nedsætte kundetætheden, fx ved udvidet åbningsti-
der og styring af kundestrømme.
Det kan overvejes at opsætte en fysisk barriere mellem personale og kunde i situationer, hvor an-
sigt-til-ansigt kontakt indenfor 1 meter ikke kan undgås.
Driften bør tilrettelægges med henblik på at nedsætte kundetætheden, fx ved udvidet åbningsti-
der og styring af kundestrømme.
Stormagasiner og butikker tilknyttet hertil anbefales at undgå kø- og slagtilbud, aktiviteter og lig-
nende, som kan skabe kødannelser og tæthed omkring enkelte områder i stormagasinet/butik-
ken.
Lounge, legeområder og andre fællesarealer skal holdes lukket for ophold.
Liberale serviceerhverv, fx frisører
Hvor tæt kontakt er uundgåelig, skal særligt længerevarende ansigt-til-ansigt kontakt undgås ved
alternative arbejdspositioner.
I situationer, hvor ansigt-til-ansigt kontakt indenfor 1 meter ikke kan undgås, kan der opsættes
en fysisk barriere mellem personale og kunde/klient.
Arbejdet bør tilrettelægges, så det er muligt at have forskudte/udvidede åbnings- og mødetider
for at undgå, at for mange ansatte er på arbejde på samme tid.
Der bør ske en grundig rengøring af redskaber, der har været i kontakt med kunden efter hver
endt behandling.
Der sikres rengøring af den enkelte arbejdsstation, når en medarbejder/kunde forlader arbejds-
stationen, og en anden medarbejder/kunde skal overtage denne.
Kilde: Egen tilvirkning på baggrund af retningslinjer fra Erhvervsministeriet, Sundhedsstyrelsen og Beskæftigelsesministeriet.
Der er allerede en række af retningslinjerne, der er blevet reviderede. Revisioner er grundlæggende
hensigtsmæssige, når de afspejler ny information, eller at de ikke længere er nødvendige. Hyppige æn-
dringer i retningslinjer kan imidlertid i sig selv være bebyrdende for virksomhederne.
Det samme kan gøre sig gældende, hvis der er stor usikkerhed om, hvad der gælder. Regelsikkerhed er
nødvendig, hvis virksomhederne skal investere i og udvikle fx nye hygiejnekoncepter.
Der er i en markedsøkonomi mange situationer, hvor virksomheder pålægges begrænsninger eller krav
til virksomhedernes økonomiske aktivitet, uden at det giver anledning til kompensation. Det gør sig fx
102
FIU, Alm.del - 2019-20 - Bilag 190: Rapport fra den økonomiske ekspertgruppe vedrørende udfasning af hjælpepakker
gældende for autorisationer og godkendelser, og opdaterede regler for tilsætningsstoffer, dyretrans-
port mv. Til gengæld bliver sådanne regler normalt annonceret i god tid og udviklet i høringsprocedu-
rer, hvilket giver tid til tilpasninger mv.
Det særlige med de coronarelaterede procedureregler og restriktioner er, at de forståeligt nok er ind-
ført med kort varsel og derfor med meget begrænsede muligheder for, at virksomhederne kan tilpasse
sig til restriktionerne eller tilpasse kapitalapparatet. Det er et argument for den kompensation, der er
sket med de generelle hjælpepakker, at krav og restriktioner har vanskeliggjort driften af visse virk-
somheder.
Det er under alle omstændigheder vigtigt, at retningslinjer og krav er begrundet i viden om effekt, at
de står mål med de økonomiske omkostninger, eller at der i det mindste er kendskab til de omkostnin-
ger, de medfører. Denne viden tilrettelægges formentlig mest hensigtsmæssigt i samarbejde med er-
hvervslivet, som det også har været tilgangen i forbindelse med en række erhverv (sektorpartnerska-
ber).
Det bemærkes i den forbindelse, at det bør tilstræbes, at regulering tilrettelægges med fokus på resul-
tatet frem for proceskrav. Det vil sige, hvilken effekt man vil opnå, frem for konkrete detailkrav til ar-
bejdsgange og lignende. Resultatkrav giver virksomhederne mulighed for via innovation at finde for-
skellige
og dermed også den billigste
løsning på at håndtere en konkret udfordring.
103
FIU, Alm.del - 2019-20 - Bilag 190: Rapport fra den økonomiske ekspertgruppe vedrørende udfasning af hjælpepakker
8. Kommissorium
COVID-19 epidemien har store konsekvenser for det danske samfund.
Regeringen har sammen med alle Folketingets partier og arbejdsmarkedets parter spændt et midlerti-
digt sikkerhedsnet ud under danske virksomheder og arbejdspladser i form af en række økonomiske
hjælpepakker. Der er samlet prioriteret i størrelsesordenen 400 mia. kr. til hjælpepakkerne, herunder i
form af både direkte tilskud, garantier og likviditetstiltag samt lempeligere vilkår for dagpengemodta-
gere og sygedagpengemodtagere.
Der er gennemført to faser af genåbningen af det danske samfund, og der er præsenteret en plan for
den videre genåbning.
Det fremgår af aftalen om anden fase af genåbning af Danmark fra 8. maj, at:
I aftalen om anden fase
af genåbningen har partierne aftalt en drøftelse om udfasningen af de midlertidige hjælpepakker i
takt med den kontrollerede genåbning af økonomien. Regeringen vil på baggrund af et oplæg fra en
ekspertgruppe invitere til drøftelser herom.
De midlertidige hjælpepakkerne er en god investering i at holde hånden under danske arbejdspladser.
Men i takt med at samfundet åbnes, er der behov for at udfase de midlertidige hjælpepakker af hensyn
til bl.a. at sikre, at de offentlige finanser forbliver sunde, og at dansk økonomi fortsat er omstillingspa-
rat. Det vil både være meget dyrt for det danske samfund at fortsætte hjælpepakkerne, og det risikerer
at begrænse dynamikken i dansk erhvervsliv og på det danske arbejdsmarked.
Det er samtidig vigtigt, at afviklingen af hjælpepakkerne ikke står alene. Der kan fx være behov for at
etablere forskellige målrettede ordninger.
Regeringen har derfor bedt den nedsatte ekspertgruppe om fortsat at bistå i det videre arbejde med
genåbning og udfasning af hjælpepakker.
Ekspertgruppen er blevet bedt om input vedrørende:
Sammensætningen af hjælpepakkerne i Danmark sammenholdt med hjælpepakkerne i andre
lande, herunder en vurdering af hjælpepakkernes incitamenter og effektivitet.
Modeller for afvikling af hjælpepakkerne, der understøtter job, og at sunde virksomheder hurtigst
muligt igen kan stå på egne ben.
Mulige målrettede initiativer til fortsat at holde en hånd under specifikke brancher, der fortsat er
midlertidigt påvirket af restriktioner mv., herunder i forhold til sæsonrelaterede aktiviteter.
Ekspertgruppens input skal baseres på et samfundsøkonomisk perspektiv, der bl.a. tager højde for ef-
fekten på de offentlige finanser på kort og langt sigt og den langsigtede effekt på dansk erhvervsliv,
danske lønmodtagere og personer uden job.
Ekspertgruppens arbejde sekretariatsbetjenes af Finansministeriet, Erhvervsministeriet og Skattemi-
nisteriet. Øvrige ministerier kan inddrages efter behov.
Ekspertgruppen skal offentliggøre sit bidrag den 24. maj 2020.
104
FIU, Alm.del - 2019-20 - Bilag 190: Rapport fra den økonomiske ekspertgruppe vedrørende udfasning af hjælpepakker
2198255_0106.png
Bilag 3.1
Virksomhedseksempler
For at sammenholde effekterne af de forskellige hjælpepakker, kan det være nyttigt at konstruere nogle
stiliserede virksomhedseksempler, der, med gennemsnitlige parametre, udsættes for forskellige om-
sætningsnedgange. Metoden er udviklet af Boston Consulting Group.
Det antages i beregningerne, at de gennemsnitlige virksomheders omsætning
uafhængig af branche
er negativt påvirket i knap fire måneder, hvilket vil være det typiske billede for mange virksomheder,
der har oplevet nedlukning eller meget nedsat aktivitet i marts og april, efterfulgt af godt to måneders
afmattet omsætning. Efter knap fire måneder vil hjælpepakkerne, efter gældende regler, være udløbet.
Det antages herudover, at omsætningen i de resterende otte måneder er uforandret. Der er desuden
taget højde for, at hjælpepakkernes dækning ikke er fire fulde måneder.
Hjælpepakkernes fulde dækning for fire gennemsnitlige virksomhedstyper fremgår
af figur B3.1.
Figur B3.1
Hjælpepakkernes fulde dækning for fire virksomhedstyper og udvalgte omsætningsnedgange
Indeks (sidste års resultat = 100)
150
Indeks (sidste års resultat = 100)
150
100
100
50
50
0
0
-50
40 pct.
Hotel
Restaurant
50 pct.
Lille detailvirksomhed
65 pct.
80 pct.
Mellemstor industrivirksomhed
Omsætningsnedgang over fire måneder
-50
Anm.: Virksomhedstypernes parametre fremgår af boks B3.1.
Kilde: Boston Consulting Group.
De generelle antagelser for beregningerne fremgår af
boks B3.1.
105
FIU, Alm.del - 2019-20 - Bilag 190: Rapport fra den økonomiske ekspertgruppe vedrørende udfasning af hjælpepakker
2198255_0107.png
Boks B3.1
Generelle antagelser
Gennemsnitlig virksomhed.
Regnskabsoplysningerne om virksomhedstyperne stammer fra åbne kilder (statistikban-
ken.dk/REGN1 og statistikbanken.dk/REGN2).
Lønkompensation.
Fordeling af ansattes ansættelsesforhold kendes ikke. Virksomheden kompenseres derfor med lønudgif-
ter ud fra den gennemsnitlige rate mellem funktionærer og ikke-funktionærer (82,5 pct.). Dette overvurderer formentlig
omfanget af funktionærer i nogle brancher, herunder restaurationsbranchen. De 5 feriedage, som medarbejderne pålægges
at afholde i perioden, er ikke inkluderet i beregningen, da beregningerne tager udgangspunkt i kompensationen set fra virk-
somhedssiden. Omfanget af ansatte, der sendes hjem på lønkompensation, er stigende med omsætningsfaldet. Det er anta-
get, at kun hele årsværk kan hjemsendes i takt med, at omsætningen falder.
Faste omkostninger. Faste
omkostninger fremgår ikke direkte af regnskaberne. Derfor er de udregnet residualt som om-
kostninger, der ikke er lønudgifter, vareudgifter eller afskrivninger.
Variable omkostninger.
Det antages, at variable omkostninger (bortset fra lønudgifter) nedjusteres med det pågældende
omsætningsfald.
Årets resultat.
De forskellige hjælpepakker kompenserer virksomhederne på forskellig vis, og de påvirker alle virksomhe-
dens resultat (overskuddet). Hjælpepakkernes effekt for virksomheden opgøres derfor som ændringer i årets resultat. In-
deks = 100 er status quo i 2020 uden omsætningsfald sammenlignet med året før.
Tabel a
Parametre for virksomhedstyperne
Hotel
Antal ansatte (årsværk)
Omsætning (mio. kr.)
Årsresultat før skat (mio. kr.)
Faste omkostninger (mio. kr.)
Kilde: Boston Consulting Group.
9
11
0,8
5
Restaurant
4
3
0,2
1
Lille
detailvirksomhed
3
6
0,2
1
Mellemstor
industrivirksomhed
43
91
5,7
7
106
FIU, Alm.del - 2019-20 - Bilag 190: Rapport fra den økonomiske ekspertgruppe vedrørende udfasning af hjælpepakker
2198255_0108.png
Bilag 3.2
Låneordning for moms og lønsumsafgift
Med henblik på at stille yderligere likviditet til rådighed har regeringen og Folketingets partier i april
indgået aftale om, at små og mellemstore virksomheder kan få udbetalt allerede indbetalt moms. Det
samme gælder for visse virksomheder, der afregner lønsumsafgift efter den såkaldte metode 4 (tandlæ-
ger, fysioterapeuter, taxivognmænd mv.). Lånene er rentefri og løber til 1. april 2021. Det har givet mu-
lighed for at få udbetalt lån rentefrit for op til ca. 35 mia. kr.
Virksomhederne kan søge om lånene fra primo maj frem til medio juni. For nuværende har der været
adgang til at søge om lån i ca. 2 uger. Sagsbehandlingen sker maskinelt og en væsentlig del af kontrol-
len kan håndteres maskinelt. I øjeblikket er godt 90 pct. af ansøgningerne imødekommet. Værdien af
de udbetalte lån udgør pr. 19. maj godt 5 mia. kr.,
jf. figur B3.2.
Figur B3.2
Udbetalte lån fra låneordningen for moms og løn-
sumsafgift for små og mellemstore virksomheder
Mia. kr.
6
19. maj 2020
Uoplyst branche
Figur B3.3
Ansøgende virksomheder til låneordningen fordelt
på branche
Pct.
0
10
20
30
40
Mia. kr.
6
5
4
5
4
Finansiering og forsikring
Offentlig administration mv.
Kultur, fritid og anden service
Information og kommunikation
Industri, råstofindvending mv.
Ejendomshandel og udlejning
Bygge og anlæg
Landbrug, jagt, skovbrug og fiskeri
Erhvervsservice
Handel, hotel og restaurant mv.
3
2
1
0
Uge 19
Uge 20
Uge 21
3
2
1
0
0
10
20
30
40
Pct.
Anm.: Opgørelsen dækker over perioden den 5. maj 2020 til 20 maj 2020. Da virksomheder kan anmode om udbetaling af lånet til og
med den 15. juni 2020, vil det samlede beløb for udbetaling af låneordningen kunne stige frem mod den 15. juni 2020.
Kilde: Skatteministeriet.
Ca. 37 pct. af de ansøgende virksomheder er i branchen handel, hotel og restauration mv., og ca. 2 mia.
kr. af de godkendte lån er udbetalt til virksomheder i denne branche,
jf. figur B3.3.
Tallene understøt-
ter, at denne branche er særligt hårdt ramt af coronakrisen.
107
FIU, Alm.del - 2019-20 - Bilag 190: Rapport fra den økonomiske ekspertgruppe vedrørende udfasning af hjælpepakker
2198255_0109.png
Bilag 3.3
Omsætningsfald på tværs af brancher
Selv i gode år oplever mange virksomheder fald i opsætningen. Fordelt på brancher gælder det især
virksomheder inden for kultur og fritid. I perioden 2013-2016 var der således 23 pct. af virksomhe-
derne inden for kultur og fritid, der havde et fald i omsætningen på mindst 35 pct.,
jf. figur B3.4.
Figur B3.4
Virksomheder med mindst 35 pct. fald i omsætning
Pct. af virksomhederne i branchen
30
25
20
15
10
5
0
Rejsebureauer, rengøring og
anden operationel service
Andre serviceydelser mv.
Bygge og anlæg
Sundhed og socialvæsen
Hoteller og restauranter
Information og
kommunikation
Pct. af virksomhederne i branchen
30
23
25
19
18
17
15
20
15
13
13
12
11
11
15
10
10
5
0
Kultur og fritid
Videnservice
Anm.: Figuren viser et gennemsnit af ændringer fra 2012-2013, 2013-2014, 2014-2015 og 2015-2016. I opgørelsen er der frasorteret
fonde og foreninger, selvstændige offentlige virksomheder og virksomheder med mindre end én fuldtidsbeskæftiget.
Kilde: Danmarks Statistik og egne beregninger.
108
Landbrug, skovbrug og
fiskeri
Transport
Industri
Handel
FIU, Alm.del - 2019-20 - Bilag 190: Rapport fra den økonomiske ekspertgruppe vedrørende udfasning af hjælpepakker
2198255_0110.png
Bilag 3.4
Lønmodtagere i lønkompensationsordningen
Opgørelsen af lønmodtagere i lønkompensationsordningen indikerer, at mellem 105.000 og 115.000
personer er mindre relevante i forhold til ledighedstallet eller er tilbage eller på vej tilbage i arbejde i
lyset af genåbningen,
jf. tabel B3.1.
Tabel B3.1
Forskellige grupper af lønmodtagere i lønkompensationsordningen
Grupperne opgjort
enkeltvis
Personer i ordningen i alt
1. Unge i uddannelse
2. Pensionister
3. Fleksjob
4. Job med få timer (under 10 timer pr. uge)
5. Mulige grænsegængere
6. Brancher genåbnet
7. Hjemsendelsesperiode afsluttet før 27. maj
8. Arbejde delvist genoptaget
Sum af de otte grupper (mindre relevante i forhold til den registrerede ledighed)
Øvrige i ordningen (bruttogruppe af potentielt ledige i ordningen)
39.500
4.700
5.600
19.000
4.100
74.500
17.000
5.500
Korrektion for overlap
på tværs af grupper
205.000
39.500
4.700
5.600
2.300
3.900
35.000-45.000
9.400
4.200
105.000-115.000
90.000-100.000
Anm.: Opgørelsen er baseret på godkendte ansøgninger 18. maj 2020. Data kan afvige marginalt fra Erhvervsstyrelsens officielle opgø-
relse. Der er korrigeret for overlap ved at opgøre grupperne i den rækkefølge, som de fremgår i tabellen. Se også boks
B3.2.
Kilde: Erhvervsstyrelsen, Danmarks Statistik og egne beregninger.
For det
første
er der en række grupper i ordningen, som i mindre grad er relevante i forhold til den re-
gistrerede ledighed og hvor det for mange personer gælder, at jobbet ikke er deres hovedaktivitet eller
primære forsørgelsesgrundlag. Det drejer sig blandt andet om studerende, som vurderes at udgøre
knap 40.000 af de hjemsendte lønmodtagere i lønkompensationsordningen. En mindre del i gruppen
er i gang med en erhvervsfaglig uddannelse. De kan være i risiko for at miste lærepladsen, hvis deres
arbejdssted er konkurstruet som følge af krisen.
En anden gruppe af lønmodtagere i ordningen er personer, der modtager en offentlig pensionsydelse,
eller har nået folkepensionsalderen, men stadig har et arbejde. Det drejer sig primært om folkepensio-
nister, men i gruppen indgår også førtidspensionister og efterlønsmodtagere. Gruppen udgør knap
5.000 personer. Der er endvidere knap 6.000 fleksjobbere i lønkompensationsordningen, hvoraf
mange er på nedsat tid. Fleksjobberne vil ikke optræde i den registrerede ledighed, hvis de mister job-
bet. Samtidig vil de som udgangspunkt stadig være visiteret til et fleksjob.
Foruden fleksjobberne er også mange studerende og pensionister på nedsat tid. Men selv når man ser
bort fra disse grupper, er der stadig en gruppe af lønmodtagere i ordningen, som er hjemsendt fra et
job med få timer (under 10 timer om ugen). Gruppen udgør godt 2.000 personer. Der kan være flere
forklaringer på det lave timetal. Nogle i gruppen har formentlig flere jobs, mens andre kan være delvist
forsørget af en partner.
109
FIU, Alm.del - 2019-20 - Bilag 190: Rapport fra den økonomiske ekspertgruppe vedrørende udfasning af hjælpepakker
Det vurderes endvidere, at omkring 4.000 af de hjemsendte er mulige grænsegængere. Det er primært
lønmodtagere, der arbejder i Københavnsområdet og Sønderjylland, og som ikke indgår i befolknings-
statistikken. Hovedparten må derfor antages at bo i Sverige eller Tyskland.
For det
andet
er en meget stor del af lønmodtagerne i lønkompensationsordningen ansat i de bran-
cher, der har været nedlukket, men nu er genåbnet enten i fase 1 eller fase 2. Det drejer sig bl.a. om
tandlæger, frisører, restauranter, caféer, storcentre og professionel sport. Det skønnes, at omkring
75.000 af de hjemsendte i lønkompensationsordningen er ansat i en af de brancher, der er genåbnet.
Heriblandt er en stor del studerende, pensionister, fleksjobbere, lønmodtagere med få timer og mulige
grænsegængere. Men selv når man ser bort fra de disse grupper, skønnes der stadig at være omkring
45.000 ansat i de genåbnede brancher.
Med genåbningen er der udsigt til, at mange af lønmodtagerne i denne gruppe kan bevare deres job.
Selv om brancherne er genåbnet, kan de ansatte dog stadig være ledighedstruet i det omfang efter-
spørgslen ikke vender tilbage til niveauet fra før coronakrisen inden for en overskuelig fremtid. Det
kan både skyldes den generelle efterspørgselsnedgang i kølvandet på krisen, men også fordi bran-
cherne er åbnet med restriktioner. Derfor må der også i disse brancher forventes en vis tilpasning i de
kommende måneder, som kan indebære flere ledige. Hertil kommer, at det ikke er muligt med regi-
sterdata at foretage en præcis afgrænsning af de genåbnede brancher. Derfor er der i opgørelsen indsat
et interval for den gruppe på 35.000-45.000.
For det
tredje
er der i brugen af lønkompensationsordningen tegn på, at nogle lønmodtagere ikke læn-
gere er i ordningen, fordi den ansøgte hjemsendelsesperiode er udløbet. Det drejer sig om 17.000 løn-
modtagere. Mange i gruppen er ansat i de brancher, der er genåbnet. Men selv uden dem, samt de øv-
rige ovennævnte grupper, er der stadig godt 9.000 lønmodtagere, hvor den ansøgte hjemsendelsespe-
riode er udløbet på nuværende tidspunkt.
I første omgang kunne der ansøges om lønkompensation for perioden 9. marts til 8. juni. Perioden
blev efterfølgende forlænget til 8. juli. Der er endnu ikke tal for, hvor mange, der har søgt om forlæn-
gelse. Men det er ikke forventningen, at alle, der har ansøgt frem til 8. juni, også har søgt om forlæn-
gelse. Det skal bl.a. ses i lyset af den gradvise genåbning af Danmark. Derfor må det også forventes, at
endnu flere træder ud af ordningen i løbet af juni. Omvendt kan det ikke udelukkes, at nogle af dem,
hvor den ansøgte hjemsendelsesperiode er ophørt, søger igen. Eller at der kommer nye ansøgere.
Endelig
er der også tegn på, at nogle lønmodtagere kan have genoptaget arbejdet i en del af hjemsen-
delsesperioden. Der er således godt 5.000 lønmodtagere, der har fået modregnet mere end 25 dage i
udbetalingen af deres lønkompensation, herunder godt 4.000 når man ser bort fra alle de øvrige oven-
nævnte gruppe. Modregningen kan dække over dage, hvor arbejdet er genoptaget. Men den kan også
dække over feriedage uden løn, lønrefusion fra andre offentlige ordninger mv. Det betyder selvfølgelig,
at der er stor usikkerhed om antallet, der delvist har genoptaget arbejdet i hjemsendelsesperioden.
Fraregnes de otte grupper
efter korrektion for overlap
er der en gruppe på mellem 90.000 og
100.000 lønmodtagere i ordningen, der kan betragtes som en bruttogruppe af ”potentielt ledige”
Det er umiddelbart svært at vurdere hvor mange i bruttogruppen af potentielt ledige, der er direkte le-
dighedstruet. En mindre del af gruppen er ansat i lufthavne og inden for luftfart. Det drejer sig om ca.
6.000 personer. Også hotel- og rejsebranchen er hårdt ramt af grænselukningerne. Ca. 7.000 af perso-
nerne i bruttogruppen af potentielt ledige er ansat i hotel- og rejsebranchen,
jf. figur B3.5.
110
FIU, Alm.del - 2019-20 - Bilag 190: Rapport fra den økonomiske ekspertgruppe vedrørende udfasning af hjælpepakker
2198255_0112.png
Figur B3.5
Lønmodtagere i lønkompensationsordningen fordelt på brancher
alle og potentielt ledige i ordningen
1.000 personer
0
Genåbnede brancher
Engroshandel
Industri
Detailhandel uden for storcentre
Luftfart
Hoteller
Transport, ekskl. luftfart
Videnservice
Bilhandel
Kultur og fritid
Information og kommunikation
Ejendomsservice, rengøring mv.
Ejendomshandel og udlejning
Bygge og anlæg
Rejsebureauer
Resterende brancher
0
10
20
30
40
50
60
70
80
10
20
30
40
50
60
70
80
Alle i ordningen (205.000 pers.)
Bruttogruppe af potentielt ledige i ordningen (90.000 pers.)
Anm.:
Bruttogruppe af potentielt ledige i ordningen
opgøres i tabel B3.1. Det bemærkes, at engroshandel omfatter en række
virksomheder, som traditionelt opfattes som industri.
Kilde: Erhvervsstyrelsen, Danmarks Statistik og egne beregninger.
For yderligere om opgørelsesmetoden for bruttogruppen af potentielt ledige henvises til
boks B3.2.
111
FIU, Alm.del - 2019-20 - Bilag 190: Rapport fra den økonomiske ekspertgruppe vedrørende udfasning af hjælpepakker
2198255_0113.png
Boks B3.2
Opgørelsesmetode i forhold til bruttogruppen af potentielt ledige
Opgørelsen af de forskellige grupper i lønkompensationsordningen bygger på en række antagelser, hvorfor opgørelsen er for-
bundet med usikkerhed.
Usikkerheden knytter sig blandt andet til afgrænsningen af de brancher, som er genåbnet. Det skyldes, at de genåbnede bran-
cher ikke kan afgrænses præcist med branchenomenklaturen (DB07), som blandt andet benyttes i CVR-registreret og dermed i
brancheinddelingen af de virksomheder, som har ansøgt om lønkompensation. Eksempelvis er caféer, værtshuse og diskoteker
samlet i en branche, hvoraf diskoteker stadig er lukket. Der er også eksempler, hvor det modsatte gør sig gældende. Det gælder
for eksempel branchen for teater og koncertvirksomheder, som antages som lukket i opgørelsen, selvom teatre mv. har fået lov
til at genoptage deres aktivitet. Et andet eksempel er detailhandlen i storcentre, som har været lukket, men nu er genåbnet.
Detailhandlen i storcentre kan ikke afgrænses på baggrund af brancheoplysninger. Det er antaget, at halvdelen af de hjem-
sendte lønmodtagere i detailhandlen arbejder i et storcenter. Endvidere kan lønmodtagerne i de genåbnede brancher stadig
være ledighedstruet på grund af restriktioner, lavere aktivitet mv. I lyset af de forskellige usikkerhedsmomenter i forhold til
genåbnede brancher er der derfor indlagt et usikkerhedsinterval i opgørelsen.
Et andet usikkerhedsmoment vedrører lønmodtagere, der har arbejdet i en del af hjemsendelsesperioden. I opgørelsen af kom-
pensationsbeløbet foretages der modregning for det antal dage, hvor lønmodtageren forventes at være på arbejde i hjemsendel-
sesperioden. Men der foretages også modregningen for feriedage uden løn eller dage, hvor arbejdsgiveren har modtaget lønre-
fusion fra andre offentlige ordninger. Det ikke muligt at skelne mellem de forskellige typer af dage, som indgår i modregningen.
Af hensyn til usikkerheden er det derfor antaget, at der skal være sket modregning for mere end 25 dage i hjemsendelsesperio-
den, før der er tale om lønmodtagere, der delvist har genoptaget arbejdet i hjemsendelsesperioden. Det svarer til godt 4.000 af
lønmodtagerne i ordningen (efter korrektion for overlap med de øvrige grupper). Sættes grænsen i stedet til 15 dage, stiger
gruppen til over 10.000 lønmodtagere.
Nedenfor gennemgås opgørelsen af de enkelte grupper i opgørelsen:
Unge i uddannelse:
Personer i ordningen, der modtog SU i første uge i marts 2020 eller var i gang med en ordinær ud-
dannelse 1. oktober 2019.
2)
Pensionister:
Personer i ordningen, der modtog folkepension, efterløn, førtidspension eller fleksydelse i første uge i marts
2020, samt personer i ordningen der havde nået folkepensionsalderen i første uge i marts 2020.
3)
Fleksjob:
Personer i ordningen, der var i fleksjob eller på sygedagpenge fra fleksjob i første uge i marts 2020.
4)
Job med få timer (under 10 timer pr. uge):
Personer i ordningen, hvor det kompenserede timetal pr. uge er under 10 ti-
mer og som i februar 2020 vurderes at have haft en ugentlig arbejdstid på under 10 timer.
5)
Mulige grænsegængere:
Personer i ordningen, som ikke indgik i befolkningen 1. januar 2020, men som havde et arbejde i
Danmark på det tidspunkt.
6)
Brancher genåbnet:
Personer i ordningen, som er ansat i en virksomhed i en genåbnet branche. Det drejer sig bl.a. om
restauranter, caféer, tandlæger, frisører, fysioterapeuter, detailhandel i storcentre mv.
7)
Hjemsendelsesperiode afsluttet før 27. maj 2020:
Personer i ordningen, hvor den ansøgte hjemsendelsesperiode er af-
sluttet før 27. maj 2020.
8)
Arbejde delvist genoptaget:
Personer i ordningen, hvor der er sket modregning i kompensationsbeløbet for mere end 25
dage.
Nogle personer i ordningen indgår i flere af grupperne. Der er korrigeret for overlap ved at opgøre grupperne trinvis i oven-
nævnte rækkefølge.
1)
112
FIU, Alm.del - 2019-20 - Bilag 190: Rapport fra den økonomiske ekspertgruppe vedrørende udfasning af hjælpepakker
2198255_0114.png
Bilag 3.5
Karakteristika for selvstændig- og lønkompensationsordningen
Kompensationsordningen for selvstændige mv. benyttes bredt på tværs af landet, men særligt omkring
storbyerne,
jf. figur B3.6.
Lønkompensationsordningen benyttes ligeledes i høj grad af storbyerne, men også i industribæltet
gennem Jylland samt Esbjerg,
jf. figur B3.7.
Figur B3.6
Kompenserede selvstændige mv. opgjort efter bo-
pælskommune
Over 35,0 pct.
25,1
35,0 pct.
22,1
25,0 pct.
18,0
22,0 pct.
Under 18,0 pct.
Figur B3.7
Kompenserede lønmodtagere opgjort efter bopæls-
kommune
Over 11,0 pct.
10,1
11,0 pct.
9,1
10,0 pct.
7,5
9,0 pct.
Under 7,5 pct.
Anm.: Figuren til venstre viser godkendte virksomheder til kompensationsordningen for selvstændige mv. efter virksomhedernes tilhørs-
kommune, som andel af erhvervsaktive virksomheder i kommunen med højst 10 ansatte. Figuren til højre viser lønkompenserede
personer opgjort som andel af den private lønmodtagerbeskæftigelse i november 2018 efter bopælskommune.
Kilde: Erhvervsstyrelsen, Danmarks Statistik og egne beregninger.
I forhold til lønkompensationsordningen kan virksomhederne søge om kompensation for antallet af
hjemsendte medarbejdere. Derfor vil virksomheder, som har relativt mange medarbejdere, de ikke kan
beskæftige, kunne søge om relativt mest støtte i form af delvis refusion for afholdte lønudgifter. Det
gælder fx de tidligere tvangslukkede erhverv, herunder luftfartselskaber, biografer, restauranter, ca-
féer, værtshuse og frisører, men også andre erhverv med fyringstruede medarbejdere,
jf. figur B3.8.
113
FIU, Alm.del - 2019-20 - Bilag 190: Rapport fra den økonomiske ekspertgruppe vedrørende udfasning af hjælpepakker
2198255_0115.png
Figur B3.8
Eksempler på erhverv med relativ høj udnyttelsesgrad af lønkompensationsordningen pr. 18. maj 2020
Pct. af privat beskæftigelse i branchen
Ruteflyvning
Serviceydelser i forbindelse med luftfart
Biografer
Cafeér, værtshuse, diskoteker mv.
Skønheds- og hudpleje
Fysio- og ergoterapeuter
Praktiserende tandlæger
Lotteri- og anden spillevirksomhed
Frisørsaloner
Fitnesscentre
Detailhandel med ure, smykker og guld- og sølvvarer
Skotøjsforretninger
Aktiviteter vedrørende fysisk velvære
Tøjforretninger
Ferieboliger og anden indlogering til kortvarige ophold
Forhandlere af sports- og campingudstyr
Hoteller
Sportsklubber
Engroshandel med beklædning
Rejsearrangører
Fremstilling af andre møbler
Rejsebureauer
Botaniske og zoologiske haver samt naturreservater
Drift af sportsanlæg
Pizzeriaer, grillbarer, isbarer mv.
Detailhandel med personbiler, varebiler og minibusser
Taxikørsel
Ejendomsmæglere mv.
Museer
Kombinerede administrationsserviceydelser
Fremstilling af løfte- og håndteringsudstyr
Reklamebureauer
Møbelforretninger
Engroshandel med reservedele mv. til motorkøretøjer
Virksomhedsrådgivning og rådgivning om driftsledelse
Alment praktiserende læger
0
20
I gennemsnit er
knap 12 pct. af
den private
beskæftigelse
lønkompenseret
40
60
80
100
Anm.: Antal medarbejdere godkendt til lønkompensation pr. 18. maj 2020 opgjort som andel af den private lønmodtagerbeskæftigelse i
november 2018 (RAS). Udnyttelsesgraden kan være overvurderet, fordi den private lønmodtagerbeskæftigelse er øget siden
november 2018, og fordi det ikke er muligt at korrigere for, at virksomheder kan ophøre med at anvende lønkompensationsord-
ningen, før den godkendte periode ophører.
Kilde: Erhvervsstyrelsen, Danmarks statistik og egne beregninger.
Selvstændige mv. kan ligeledes søge om kompensation for indkomst baseret på en andel af deres for-
ventede tabte omsætning. Det gælder tilsvarende fx de tidligere tvangslukkede erhverv, herunder re-
stauranter, caféer, værtshuse og frisører, men også andre erhverv såsom selvstændige optikere, hotel-
ler, tøjforretninger, tandlæger, reklamebureauer, taxavognmænd mv.,
jf. figur B3.9.
114
FIU, Alm.del - 2019-20 - Bilag 190: Rapport fra den økonomiske ekspertgruppe vedrørende udfasning af hjælpepakker
2198255_0116.png
Figur B3.9
Eksempler på erhverv med relativ høj udnyttelsesgrad af kompensationsordningen for selvstændige mv. pr.
18. maj 2020
Pct. af erhvervsaktive med færre end 10 ansatte
Restauranter
Rejsearrangører
Cafeér, værtshuse, diskoteker mv.
Sø- og kysttransport af passagerer
Optikere
Drift af sportsanlæg
Forlystelsesparker o.l.
Biografer
Rejsebureauer
Fitnesscentre
Lotteri- og anden spillevirksomhed
Hoteller
Tøjforretninger
Event catering
Skotøjsforretninger
Turistkørsel og anden landpassagertransport
Frisørsaloner
Køreskoler
Praktiserende tandlæger
Organisering af kongresser, messer og udstillinger
Skønheds- og hudpleje
Kiropraktorer
Taxikørsel
Fysio- og ergoterapeuter
Detailhandel med ure, smykker og guld- og sølvvarer
Ferieboliger og anden indlogering til kortvarige ophold
Reklamebureauer
Virksomhedsrådgivning, rådgivning om driftsledelse mv.
Pizzeriaer, grillbarer, isbarer mv.
Public relations og kommunikation
Ejendomsmæglere mv.
Detailhandel med personbiler, varebiler og minibusser
0
20
40
60
I gennemsnit
er ca. 28 pct.
af de erhvervs-
aktive med
under 10
ansatte
80
100
Anm.: Antal virksomheder godkendt til kompensation pr. 18. maj 2020 opgjort som andel af selvstændige i november 2018 (RAS). Op-
gørelsen kan være overvurderet, fordi det samlede antal selvstændige er øget siden november 2018, og fordi det ikke er muligt at
korrigere for, at virksomheder ophører med at anvende ordningen før den godkendte periode ophører.
Kilde: Erhvervsstyrelsen, Danmarks Statistik og egne beregninger.
115
FIU, Alm.del - 2019-20 - Bilag 190: Rapport fra den økonomiske ekspertgruppe vedrørende udfasning af hjælpepakker
2198255_0117.png
Bilag 3.6
Lønkompensation og virksomheders produktivitet
Analysen sammenligner produktiviteten for virksomheder, som har fået udbetalt støtte via lønkom-
pensationsordningen i forbindelse med coronakrisen (indtil den 11. maj 2020), med produktiviteten i
ikke-lønkompenserede virksomheder i 2016. Analysens mål er således at identificere en eventuel for-
skel mellem median produktiviteten for lønkompenserede virksomheder og ikke-lønkompenserede
virksomheder inden for en given branche. Median produktiviteten betragtes frem for gennemsnittet
for at undgå, at enkelte ekstreme værdier påvirker resultatet. Forskellen i produktiviteten beregnes
som:
���� =
����
,
hvor median produktivitetsniveauet for ikke-støttede virksomheder divideres med median produktivi-
tetsniveauet for støttede virksomheder i branche
j.
Produktiviteten opgøres som
timeproduktiviteten
på virksomhedsniveau:
���� =
��������
����
����
,
6,
6, ø
����_ ø
����
����
���� ����
���� ����
����
angiver virksomhed
����’s
samlede antal fuldtidsbeskæftigede målt i antal årsværk.
Analysen betragter
for en given branche, mens kapitalapparat og uddannelsesniveau kan variere på tværs af brancherne.
hvor
����
angiver virksomhed
����’s
timeproduktivitet,
��������
angiver virksomhed
����’s
bruttoværditilvækst, og
hver branche særskilt, hvorved det antages, at størrelsen af kapitalapparat og uddannelse er ens inden
Datagrundlag
Analysen baseres på regnskabsoplysninger fra Danmarks Statistik (FIRE registret) fra 2016, som er de
senest tilgængelige. For kun at sammenligne virksomheder, som i 2016 ville have haft mulighed for at
søge lønkompensation, hvis coronakrisen var indtruffet på det tidspunkt, ses der bort fra virksomhe-
der med mindre end én ansat, fonde og foreninger samt ikke-aktive virksomheder.
Branchespecifik korrektionsfaktor for overlevelsesbias
Datering af regnskabsoplysninger fra 2016 medfører, at der findes fyldigere information om virksom-
heder, der har modtaget lønkompensation i 2020, mens der ikke kan observeres tilsvarende informa-
tion om overlevelse for de ikke-lønkompenserede virksomheder efter 2016. Det indebærer potentiel
overlevelsesbias efter 2016 frem til 2020 (survival
bias)
i resultaterne, herunder på grund af to effek-
ter:
Tilgang af nye virksomheder, der indtræder i markedet efter 2016 (entry)
Afgang af eksisterende virksomheder, der udtræder af markedet efter 2016 (exit), herunder som
følge af fx konkurs, fusion, virksomhedsomdannelse mv.
Det vurderes, at tilgang af nye virksomheder ikke skævvrider resultater, da både gruppen af lønkom-
penserede og ikke-lønkompenserede virksomheder påvirkes ens. Derimod vurderes afgang af eksiste-
116
FIU, Alm.del - 2019-20 - Bilag 190: Rapport fra den økonomiske ekspertgruppe vedrørende udfasning af hjælpepakker
2198255_0118.png
rende virksomheder at resultere i bias. Overlevelsesbias forventes at indebære en overvurdering af løn-
kompenserede virksomheders produktivitet i forhold til ikke-lønkompenserede virksomheder. Det
skyldes, at timeproduktiviteten forventes at påvirke virksomheders sandsynlighed for overlevelse posi-
tivt over tid (her mellem 2016 og 2020). Med andre ord forventes det, at produktive virksomheder har
større sandsynlighed for at overleve. Det er ikke muligt at korrigere direkte for dette, og i stedet gen-
nemføres en approksimation for overlevelsesbias.
Størrelsen af et eventuelt overlevelsesbias kan approksimeres ud fra regnskabsoplysninger fra hhv.
2012 og 2016. Dermed antages det implicit, at udviklingen i virksomhedernes exit fra 2016 til 2020 er
sammenligelig med udviklingen fra 2012 til 2016. Dette er en streng antagelse, idet konjunktursituati-
onen mellem 2012 og 2016 var markant anderledes end mellem 2016 og 2020.
Når gruppen af virksomheder i 2012 begrænses til kun at indeholde virksomheder, der både observe-
res i 2012 og 2016, stiger medianen for timeproduktiviteten i 2012 med 10 pct. sammenlignet med me-
dianen for timeproduktiviteten beregnet på baggrund af alle virksomheder i 2012. Forskellen er stati-
stisk signifikant.
Med afsæt i denne forskel beregnes en
korrektionsfaktor
for hver branche, som angiver ændringen i
median timeproduktivitet forudsagt af exit af virksomheder mellem 2012 og 2016. Korrektionsfaktoren
for branche
j
beregnes som:
���� =
����
����
,
6
hvor median timeproduktiviteten for kun de virksomheder, der er overlevet fra 2012 til 2016, angives i
tælleren, og median timeproduktiviteten for alle virksomheder i 2012 angives i nævneren.
Korrektionsfaktoren er større end én for de fleste brancher, dvs. i de fleste brancher er virksomheder,
som overlever fra 2012 til 2016, mere produktive end alle virksomhederne i branchen i 2012. Der findes
kun tre brancher, hvor korrektionsfaktoren er under én,
jf. figur B3.10.
,
���� ����
117
FIU, Alm.del - 2019-20 - Bilag 190: Rapport fra den økonomiske ekspertgruppe vedrørende udfasning af hjælpepakker
2198255_0119.png
Figur B3.10
Korrektionsfaktor for overlevelsesbias på tværs af brancher
Renovation og genbrug
Boligudlejning
Virksomhedskonsulenter
Beklædningsindustri
Agenturhandel
Anden videnservice
Internethandel, postordre mv.
Anden operationel service
Anden fødevareindustri
Produktion af film, tv og musik mv.
Læder- og fodtøjsindustri
Legetøj og anden fremstillingsvirksomhed
Glasindustri og keramisk industri
It-konsulenter mv.
Post og kurertjeneste
Reparation af husholdningsudstyr
Vagt og sikkerhedstjeneste
Udlejning af erhvervsejendomme
Hjælpevirksomhed til transport
Reklame- og analysebureauer
Informationstjenester
Reparation og installation af maskiner og udstyr
Tekstilindustri
Revision og bogføring
Ejendomsservice, rengøring og anlægsgartnere
Arkitekter og rådgivende ingeniører
Arbejdsformidling og vikarbureauer
Fremst. af metal
Bilværksteder mv.
Engrosh. med tekstiler og husholdningsudstyr
Forlag
Fremst. af skibe og andre transportmidler
Specialbutikker med fødevarer
Fremst. af computere og…
Udgivelse af computerspil og anden software
Murere og anden specialiseret bygge- og…
Detailh. med kultur- og fritidsprodukter
Fragtvognmænd og rørtransport
Fremstilling af medicinske instrumenter mv.
Detailh. med tekstiler og husholdningsudstyr mv.
Detailh. med forbrugerelektronik
Restauranter
Detailh. med beklædning og fodtøj
Bilhandel
Bygningsfærdiggørelse
Udlejning og leasing af materiel
Møbelindustri
Bygningsinstallation
Fremst. af motorer, vindmøller og pumper
Ejendomsmæglere mv.
Engrosh. med it-udstyr
Metalvareindustri
Dyrlæger
Anlægsentreprenører
Trykkerier mv.
Engrosh. med føde-, drikke- og tobaksvarer
Anden engroshandel
Supermarkeder og varehuse mv.
Betonindustri og teglværker
Fremst. af maling og sæbe mv.
Byggeentreprenører
Slagterier
Engrosh. med andre maskiner
Telekommunikation
Drikkevareindustri
Hoteller mv.
Fremst. af andre maskiner
Træindustri
Lokaltog, bus og taxi mv.
Fremst. af motorkøretøjer og dele hertil
Bagerier, brødfabrikker mv.
Plast- og gummiindustri
Service til råstofindvinding
Fremst. af andet elektronisk udstyr
Forskning og udvikling
Advokatvirksomhed
Luftfart
Engrosh. med korn og foderstof
Rejsebureauer
Papirindustri
Fremst. af elektriske motorer mv.
Fremst. af husholdningsapparater, lamper mv.
Skibsfart
0,00
0,20
0,40
0,60
0,80
1,00
1,20
1,40
Anm.: Overlevelsesbias er opgjort for perioden 2012-2016.
Kilde: Erhvervsstyrelsen, Danmarks Statistik og egne beregninger.
118
FIU, Alm.del - 2019-20 - Bilag 190: Rapport fra den økonomiske ekspertgruppe vedrørende udfasning af hjælpepakker
2198255_0120.png
Bilag 5.1
Konjunkturfølsomhed i privatforbrugets underkomponenter
Lige som for brancher er der også stor forskel i konjunkturfølsomheden af forskellige underkompo-
nenter til forbruget. Konjunkturfølsomheden er høj for fx bilkøb,
jf. figur B5.1.
Køb af rejser og forbrug
på restauranter og caféer er også ret konjunkturfølsomt. Disse områder er således mere udsatte i for-
hold til en periode med lavere vækst (men oplever modsat også mere fremgang i opgangstider).
Figur B5.1
Fald i forbrug fordelt på varer i 2009
Pct.
-40
Køb af køretøjer
Pakkede ferierejser
Posttjenester
Glas, service og husholdningsredskaber
Personlige effekter i.a.n.
Andre varer og tjenester til husholdningen
Værktøj og udstyr til hus og have
Møbler og gulvtæpper mv.
Fodtøj
Finansielle tjenester i.a.n.
Andre større forbrugsgoder i forbindelse med fritid og kultur
Restauranter, caféer mv.
Husholdsapparater og vedligeholdelse heraf
Telefon- og datakommunikationstjenester
Andet tilbehør og udstyr til fritid, haver og kæledyr
Vedligeholdelse og reparation af boligen
Aviser, bøger og papirvarer
Alkoholiske drikkevarer
Transporttjenester
Hoteller mv.
Personlig pleje
Drift af køretøjer
Advokater, andre tjenesteydelser i.a.n.
Forlystelser, tv-licens mv.
Fødevarer
Boligtekstiler
Vandforsyning og andre tjenesteydelser i relation til boligen
Social beskyttelse
Elektricitet, gas og andet brændsel
Forsikring
Beregnet husleje af egen bolig
Undervisning
Elektronisk fritidsudstyr mv.
Husleje
Ikke-alkoholiske drikkevarer
Medicinske produkter, apparater og medicinsk udstyr
Læger, tandlæge mv.
Beklædning
Tobak mv.
Hospitalers tjenesteydelser
Telefon- og datakommunikationsudstyr
-20
0
20
40
-40
-20
0
20
40
Anm.: Figuren viser forbrugsnedgang i faste priser for de pågældende grupper.
Kilde: Danmarks Statistik og egne beregninger.
119
FIU, Alm.del - 2019-20 - Bilag 190: Rapport fra den økonomiske ekspertgruppe vedrørende udfasning af hjælpepakker
2198255_0121.png
Bilag 6.1
Udlændinge beskæftiget i Danmark
Antallet af beskæftigede lønmodtagere med udenlandsk statsborgerskab er steget i Danmark de sene-
ste mange år, og de udgør i dag en større andel af arbejdsmarkedet end op til og under finanskrisen. I
2008 var det 6 pct. af de 2,7 mio. lønmodtagere, der var udenlandske statsborgere. I 2019 var andelen
steget til 10 pct. ud af 2,8 mio. lønmodtagere. Det dækker både over personer, der rejser til Danmark
med henblik på at arbejde, og udlændinge, der kommer til Danmark af andre årsager, som fx familie-
sammenførte.
Det er særligt inden for landbrug, skovbrug og fiskeri og hoteller og restauranter samt rejsebureauer,
rengøring og anden operationel service, at andelen af udenlandsk arbejdskraft er høj. Her er det mel-
lem hver tredje og hver fjerde ansatte, der har udenlandsk statsborgerskab,
jf. figur B6.1.
Det er samti-
dig i høj grad disse erhverv, der er direkte påvirket af coronaudbruddet.
Figur B6.1
Udlændinges betydning for beskæftigelsen fordelt efter branche
Pct.
Pct.
40
40
30
30
20
20
10
10
0
Energiforsyning
Bygge og anlæg
Information og
kommunikation
0
Vandforsyning
og renovation
Finansiering o
g forsikring
Videnservice
Transport
Industri
Hoteller og
restauranter
Rejsebureauer,
rengøring og anden
operationel service
Handel
Landbrug,
skovbrug og fiskeri
Ejendomshandel
og udlejning
Offentlig administration,
forsvar og politi
Undervisning
Sundhed og
socialvæsen
Andel udenlandsk arbejdskraft 2019
Andel udenlandsk arbejdskraft 2008
Kilde: Jobindsats, Danmarks Statistik og egne beregninger.
Udenlandsk arbejdskraft er generelt en styrke for dansk økonomi og bidrager til at stabilisere konjunk-
turudsving og undgå udpræget mangel på arbejdskraft i perioder med høj efterspørgsel i særligt kon-
junkturfølsomme brancher som fx bygge og anlæg. Det er imidlertid betinget af, at udenlandske løn-
modtagere arbejder på lige vilkår med den øvrige beskæftigelse.
En analyse fra Kraka viser, at fleksibel udenlandsk arbejdskraft medvirker til at stabilisere konjunktur-
udsving.
10
De kommer typisk til Danmark og bidrager under højkonjunkturer, hvor der er mangel på
10
Kraka, 2018,
Udenlandsk arbejdskraft er meget værdifuldt for Danmark
120
Andre serviceydelser
mv.
Råstofindvinding
Kultur og fritid
FIU, Alm.del - 2019-20 - Bilag 190: Rapport fra den økonomiske ekspertgruppe vedrørende udfasning af hjælpepakker
2198255_0122.png
arbejdskraft, men forlader landet i tider, hvor jobmulighederne er dårligere. Samlet medvirker uden-
landsk arbejdskraft til at reducere udsving i ledigheden, hvilket medvirker til at stabilisere lønudviklin-
gen.
Det samme budskab fremgår
af en analyse fra Danmarks Nationalbank, som viser, at EU’s indre mar-
ked for arbejdskraft er med til at dæmpe konjunkturudsving.
11
Det er særligt i de konjunkturfølsomme
brancher som bygge- og anlæg samt hoteller og restaurationer, at udlændinge finde beskæftigelse. I
analysen estimeres det, at indstrømningen af EU-arbejdskraft øger arbejdsstyrken i et EU-land med
0,1 pct. årligt, når ledighedsgabet reduceres med 1 pct.-point.
I den aktuelle situation står EU-landene og den globale økonomi over for et simultant dyk i aktiviteten.
Det er derfor ikke kun i Danmark, at jobmulighederne er blevet ringere. Også i mange af de lande, hvor
den udenlandske arbejdskraft er kommet fra, er jobudsigterne blevet forringet. Hvordan udenlandsk
arbejdskraft påvirker ledigheden, hvis de mister jobbet afhænger af deres opholdsgrundlag. EØS-bor-
gere har samme ret til dagpenge i Danmark, mens reglerne er mere restriktive, for så vidt angår kon-
tanthjælp. Personer på beløbsordningen og positivlisten må ikke modtage offentlige ydelser, men har
mulighed for at være jobsøgende i op til seks måneder, hvis personen uforskyldt er blevet ledig.
11
Danmarks Nationalbank, 2019,
EU’s indre marked for arbejdskraft dæmper konjunkturpres
121
FIU, Alm.del - 2019-20 - Bilag 190: Rapport fra den økonomiske ekspertgruppe vedrørende udfasning af hjælpepakker
2198255_0123.png
Bilag 6.2
Lav jobanciennitet i Danmark
Blandt de 27 EU-medlemslande var Danmark det land med den højeste vurdering i World Economic
Forums årlig konkurrencedygtighedsrapport fra 2019, for hvad angår fleksibilitet på arbejdsmarkedet.
Opgørelsen baserer sig blandt andet på, hvor nemt det er at ansætte og afskedige folk, medarbejderret-
tigheder og graden af aktiv arbejdsmarkedspolitik i form af fx muligheden for opkvalificering.
I tråd med den høje arbejdsmarkeds fleksibilitet i Danmark, er det omtrent hver femte beskæftigede,
der har mindre end 12 måneders anciennitet i jobbet,
jf. figur B6.2
Figur B6.2
Sammenhæng mellem fleksibilitet på arbejdsmarkedet og anciennitet i job
Andel af beskæftigede med mindre end 12 måneder i jobbet
25
CYP
20
HRV
ESP
PRT
HUN
FRA
BEL
SVK
POL
ITA
5
ROU
0
45
50
55
60
65
70
Indeks for fleksibilitet på arbejdsmarkedet
75
80
85
0
CZE
BGR
5
LVA
SVN
MLT
LTU
SWE
FIN
NLD
EST
DEU
LUX
10
IRL
Andel af beskæftigede med mindre end 12 måneder i jobbet
25
DK
20
AUT
15
GRC
10
15
Anm.: Andelen af beskæftigede med mindre end 12 måneder i jobbet er opgjort for 2018.
Kilde: World Economic Forum,
The Global Competitiveness Report, 2019, OECD
og egne beregninger.
Selv om høj fleksibilitet og jobomsætning ikke i sig selv medfører et sundt arbejdsmarked, så peger den
høje omsætning på, at arbejdsmarkedet er godt stillet i forhold til at tilpasse sig konjunkturelle stød,
som fx under finanskrisen, eller strukturelle omstillinger, hvor branchestrukturen ændres. Dette skal
blandt andet ses i forhold til sydeuropæiske lande som Grækenland og Italien, som har et betydeligt
mindre fleksibelt arbejdsmarked og højere strukturel ledighed.
122
FIU, Alm.del - 2019-20 - Bilag 190: Rapport fra den økonomiske ekspertgruppe vedrørende udfasning af hjælpepakker
2198255_0124.png
Bilag 6.3
Erfaringer fra tiden efter finanskrisen
Dette afsnit ser nærmere på årene efter finanskrisen, der også indebar markant lavere beskæftigelse og
højere ledighed. Erfaringerne fra finanskrisen kan således sige noget, hvordan arbejdsmarkedet kan
tilpasse sig efter et stort tilbageslag.
Det ligger ikke fast, hvordan det nuværende tilbageslag påvirker arbejdsmarkedet, men en stigning i
arbejdsløsheden kan ikke undgås. Det særlige ved coronakrisen sammenlignet med andre økonomiske
kriser er, at tilbageslaget sætter sig hurtigere i realøkonomiske størrelser som beskæftigelse og ledig-
hed, mens fraværet af store makroøkonomiske ubalancer på indgangstidspunktet (fx fraværet af et løn-
konkurrenceproblem) isoleret set taler for en hurtigere genopretning.
Ved tilbageslaget under finanskrisen begyndte en 23 måneder lang periode med aftagende lønmodta-
gerbeskæftigelse. Samlet set mistede omtrent 160.000 lønmodtagere jobbet i den knap toårige peri-
ode,
jf. figur B6.3.
Figur B6.3
Lønmodtagerbeskæftigelse
1.000 personer
2.850
2.800
2.750
2.700
2.650
2.600
2.550
2.500
2008
2009
2010
2011
2012
2013
2014
2015
2016
2017
2018
2019
2020
Månedlig ændring (h. akse)
Beskæftigelse
1.000 personer
15
10
5
0
-5
-10
-15
-20
Kilde: Danmarks Statistik og egne beregninger.
I 2013 vendte udviklingen igen og beskæftigelsen steg vedvarende frem til udbruddet af coronavirus.
Arbejdsmarkedet var betydeligt overophedet op til finanskrisen, hvilket blandt andet kom til udtryk
gennem et meget lavt antal ledige og høje lønstigningstakter. Bruttoledigheden gik fra at udgøre knap
67.000 fuldtidsledige i juni 2008 til 166.000 ledige i august 2010,
jf. figur B6.4.
123
FIU, Alm.del - 2019-20 - Bilag 190: Rapport fra den økonomiske ekspertgruppe vedrørende udfasning af hjælpepakker
2198255_0125.png
Figur B6.4
Udviklingen i bruttoledigheden
1.000 fuldtidsledige
180
160
140
120
100
80
60
2007
2008
2009
2010
2011
2012
2013
2014
2015
2016
2017
Bruttoledige
2018
2019
2020
Månedlig ændring (h. akse)
1.000 fuldtidsledige
20
15
10
5
0
-5
-10
Anm.: Opgørelsen går til og med marts 2020.
Kilde: Danmarks Statistik og egne beregninger.
Omvendt var det danske arbejdsmarked ikke præget af ubalancer i perioden op til udbruddet af coron-
avirus, som udløste en stor stigning i ledigheden.
Fordelt på alder var det særligt unge, som oplevede større ledighedsrisiko under finanskrisen,
jf. figur
B6.5.
Med en ledighedsrisiko på 1,6 pct. i marts 2020 for 25-34-årige i beskæftigelse er ledighedsrisi-
koen for denne aldersgruppe aktuelt højere end under finanskrisen.
Figur B6.5
Ordinært beskæftigede, der overgår til ledighed i lø-
bet af en måned, opdelt på alder
Pct.
2,0
Pct.
2
Figur B6.6
Ordinært beskæftigede, der overgår til ledighed i lø-
bet af en måned, opdelt på uddannelse
Pct.
2,0
Pct.
2,0
1,5
1,5
1,5
1,5
1,0
1
1,0
1,0
0,5
0,5
0,5
0,5
0,0
07 08 09 10 11 12 13 14 15 16 17 18 19 20
Under
25 år
25-34 år
35-54 år
0
Over 55 år
0,0
07 08 09 10 11 12 13 14 15 16 17 18 19 20
Ufaglært
Faglært
KVU og MVU
0,0
LVU
Anm.: Egne sæsonkorrektion. Efter sæsonkorrektion er der fortsat små ikke-systematiske månedlige udsving, som er dæmpet ved an-
vendelse af et 3-måneders (centreret) glidende gennemsnit (bortset fra observationerne for februar og marts måned 2020). Op-
gørelsen går til og med marts 2020. Se boks B6.1 for metode.
Kilde: Danmarks Statistik og egne beregninger.
Det bemærkes, at studerende, der mister studiejobbet, ikke indgår i opgørelsen. Det skyldes, at stude-
rende som udgangspunkt ikke vil være berettiget til dagpenge eller kontanthjælp ved ophør af beskæf-
tigelse og derfor ikke er i risiko for at overgå til bruttoledighed, som denne analyse belyser. Fordelt på
124
FIU, Alm.del - 2019-20 - Bilag 190: Rapport fra den økonomiske ekspertgruppe vedrørende udfasning af hjælpepakker
2198255_0126.png
uddannelsesniveau var det hovedsageligt faglærte og ufaglærte, hvor mange mistede jobbet under fi-
nanskrisen,
jf. figur B6.6.
Samme billede gør sig overordnet set også gældende for den seneste udvik-
ling, men indeværende krise virker umiddelbart til at ramme mere bredt i den forstand, at beskæfti-
gede på tværs af uddannelsesgrupper er påvirket, hvor personer med kortere, mellemlange og lange
videregående uddannelser kun i begrænset omfang oplevede stigende ledighedsrisiko under finanskri-
sen.
Den markante stigning i ledighedsrisikoen i marts skyldes blandt andet nedlukningen af bestemte er-
hverv som fx restaurationerne. Det adskiller sig fundamentalt fra stigningen under finanskrisen, hvor
virksomhederne var nødsaget til at afskedige medarbejdere grundet et omslag i konjunkturerne. Afske-
digelserne kom derfor også i et mere gradvist tempo, og ikke på én gang.
På trods af at ikke alle erhverv er direkte påvirket af nedlukningen, er risikoen for at overgå til ledighed
steget inden for alle hovederhverv. Stigningen har været særlig stor inden for
bygge og anlæg, er-
hvervsservice
samt
handel og transport mv., jf. figur B6.7 og B6.8.
Figur B6.7
Ordinært beskæftigede, der overgår til ledighed i lø-
bet af en måned, udvalgte brancher
Pct.
4
Pct.
4
Figur B6.8
Ordinært beskæftigede, der overgår til ledighed i lø-
bet af en måned, udvalgte brancher
Pct.
4
Pct.
4
3
3
3
3
2
2
2
2
1
1
1
1
0
08 09 10 11 12 13 14 15 16 17 18 19 20
Landbrug mv.
Industri mv.
Bygge og anlæg
Handel og transport mv.
0
0
08 09 10 11 12 13 14 15 16 17 18 19 20
Finansiering og forsikring
Erhvervsservice
Offentlig adm, mv.
Kultur, fritid mv.
0
Anm.: Egen sæsonkorrektion. De store midlertidige udsving for bygge og anlæg kan afspejle ekstraordinære sæsonmæssige forhold.
Opgørelsen går til og med marts 2020. Se boks B6.1 for metode.
Kilde: Egne beregninger på baggrund af Danmarks Statistiks registre.
Inden for hovedbrancherne er der også store underliggende forskelle i stigningen i ledighedsrisiko. For
eksempel var det i marts 2020 godt 9 pct. af de beskæftigede ved
hoteller mv.,
der overgik til ledighed,
mens 13 pct. af de beskæftigede ved
lokaltog, bus og taxi mv.
overgik til ledighed i denne måned,
jf.
tabel B6.1.
Disse branchemæssige forskelle afspejler bl.a.; (1) den direkte virkning af nedlukningen af Danmark
den 11. marts, (2) konsekvenser af ændret forbrugeradfærd samt (3) forskelle i anvendelsen af lønkom-
pensationsordningen. Dertil kommer, at forskelle i typiske ansættelsesformer mellem brancherne også
spiller en rolle, herunder andelen af timelønnede/fastlønnede og andele af funktionærer. Sidstnævnte
har bl.a. betydning for opsigelsesvarsel mv. og dermed, hvor hurtigt afskedigelser i de enkelte virksom-
heder/brancher viser sig i ledighedsstatistikken.
125
FIU, Alm.del - 2019-20 - Bilag 190: Rapport fra den økonomiske ekspertgruppe vedrørende udfasning af hjælpepakker
2198255_0127.png
For eksempel er ledighedsrisikoen inden for
luftfart
kun steget svagt i marts-tallene
(inden bl.a. SAS’
varslede fyringer ultimo april), hvilket formentlig afspejler anvendelsen af lønkompensationsordnin-
gen og en mindre andel timelønnede med kort opsigelsesvarsel.
Tabel B6.1
Andel med ordinær beskæftigelse, der overgår til ledighed i løbet af en måned
udvalgte brancher
2009
(gennemsnit)
2019
(gennemsnit)
Marts 2020
Ændring fra 2019
til marts 2020
Pct.-point
0,2
0,0
12,4
0,5
0,0
0,1
8,2
2,8
0,8
0,4
0,5
1,6
--------------------------------------Pct.--------------------------
Detailhandel
Regional- og fjerntog
Lokaltog, bus og taxi mv.
Fragtvognmænd og rørtransport
Skibsfart
Luftfart
Hoteller
Restauranter
Rejsebureauer
Kunst, kultur og spil
Sport, Forlystelsesparker og andre fritidsaktiviteter
Frisører, vaskerier og andre serviceydelser
Anm.: Se boks B6.1 for metode.
Kilde: Egne beregninger på baggrund af Danmarks Statistiks registre.
0,7
0,2
0,8
1,6
0,5
0,7
1,2
1,2
1,1
1,0
0,8
0,8
0,5
0,1
0,9
0,6
0,4
0,2
1,0
0,8
0,7
1,1
0,7
0,6
0,7
0,1
13,3
1,1
0,3
0,3
9,2
3,6
1,5
1,5
1,1
2,2
Boks B6.1
Metode til opgørelse af ledighedsrisiko
Ledighedsrisikoen angiver, hvor stor en andel med ordinær lønmodtagerbeskæftigelse, der i løbet af den efterfølgende måned
bliver berørt af bruttoledighed. Lønmodtagere med ordinær beskæftigelse er afgrænset som lønmodtagere, der ikke samtidig (i
samme måned) modtager en offentlig forsørgelsesydelse. Beskæftigede, der samtidigt modtager fx efterløn eller førtidspension,
er således ikke medtaget, ligesom beskæftigede, der samtidigt modtager SU (eller er berettiget til SU), heller ikke er medtaget i
opgørelsen.
Udeladelsen af studerende med bibeskæftigelse skal blandt andet ses i lyset af, at denne gruppe som udgangspunkt ikke vil
være berettiget til dagpenge eller kontanthjælp ved ophør af beskæftigelse og derfor ikke er i risiko for at overgå til bruttoledig-
hed.
De seneste registeroplysninger om befolkningens højeste fuldførte uddannelse vedrører oktober 2018. For at sikre samme tids-
mæssige ”forsinkelse” i uddannelsesoplysningerne i de enkelte kalendermåneder over tid anvendes uddannelsesoplysninger for
1. oktober 2018 for perioden april 2019
marts 2020, mens uddannelsesoplysninger for 1. oktober 2017 anvendes for perioden
april 2018
marts 2019
og tilsvarende for tidligere år.
Metoden til opgørelse af overgang til ledighed adskiller sig fra den metode STAR anvender på jobindsats.dk ved opgørelse af
nytilmeldte ledige. Fx er en person nytilmeldt, hvis der er gået mindst 7 dage siden personen sidst var tilmeldt og opgørelsen af
nytilmeldte i jobindsats kan desuden omfatte personer, som har tilmeldt sig på Jobnet, men som ikke nødvendigvis er beretti-
get til at modtage en ydelse på tidspunktet for tilmeldingen eller på et efterfølgende tidspunkt.
126
FIU, Alm.del - 2019-20 - Bilag 190: Rapport fra den økonomiske ekspertgruppe vedrørende udfasning af hjælpepakker
2198255_0128.png
Bilag 6.4
Branchemoilitet blandt nyledige
I de konjunkturfølsomme erhverv (bygge- og anlæg samt industrien) er der tegn på, at andelen af nyle-
dige, der skifter hovedbranche, er særlig lav i perioder med beskæftigelsesmæssig tilbagegang,
jf. figur
B6.9.
Det kan bl.a. afspejle, at der (formentlig) generelt er mindre branchemobilitet under lavkonjunk-
turer, da det kan være forbundet med ekstra risiko at foretage et
”større”
karriereskift, ligesom der er
færre jobåbninger og mindre mangel på arbejdskraft. Derudover har ansatte i
bygge og anlæg
generelt
sværere ved at skifte til en anden hovedbranche end fx ansatte inden for
erhvervsservice, jf. figur
B6.10.
Det skal blandt andet ses i lyset af graden af specialisering af arbejdskraften.
Figur B6.9
Nyledige, der skifter hovedbranche i nyt job (inden
for 12 måneder efter), opdelt efter branchetilknyt-
ning før overgang til ledighed
Pct.
60
50
40
30
20
Pct.
60
50
40
30
20
Figur B6.10
Nyledige, der skifter hovedbranche i nyt job ( inden
for12 måneder efter), opdelt efter branchetilknytning
før overgang til ledighed
Pct.
Pct.
60
50
40
30
20
10
0
08
09
10
11
12
13
14
15
16
17
18
Erhvervsservice
Offentlig adm mv.
60
50
40
30
20
10
0
Kultur, fritid mv.
10
0
08 09 10 11
Landbrug mv.
Bygge og anlæg
12
13
14
15 16 17
Industri mv.
18
10
0
Handel og transport mv.
Anm.: Se boks B6.1 i bilag 6.3 for metode. Den efterfølgende branchetilknytning er vist for ledige, der (igen) er i ordinær beskæftigelse
12 måneder efter overgang til ledighed. ”Samme branche” indebærer at branchetilknytning før og efter ledighedsforløb er det
samme ved anvendelse af 127-gruppering.
Kilde: Egne beregninger på baggrund af Danmarks Statistiks register.
Der er store forskelle i branchemobiliteten (i forbindelse med ledighed)
især når der på baggrund af
en finere brancheinddeling ses på helt specifikke brancher som fx hoteller, restauranter mv. For ledige
med tidligere ansættelse i hotelbranchen er det omkring 40 pct. af dem, der er i job efter 1 år, der ven-
der tilbage til et job i netop hotelbranchen. Knap 40 pct. finder job i en anden hovedbranche (dvs.
uden for hovedbranchen
handel og transport mv.),
mens omkring 20 pct. finder job i en anden under-
branche under
handel og transport mv., jf. figur B6.11.
127
FIU, Alm.del - 2019-20 - Bilag 190: Rapport fra den økonomiske ekspertgruppe vedrørende udfasning af hjælpepakker
2198255_0129.png
Figur B6.11
Andel nyledige, der skifter branche i nyt job, opdelt efter branchetilknytning før overgang til ledighed, ud-
valgte brancher i 2009
Pct.
100
80
60
Pct.
100
80
60
40
20
0
Luftfart
Lokaltog, bus
og taxi mv.
40
20
0
Sport, Forlystelsesparker
og andre fritidsaktiviteter
Rejsebureauer
Frisører, vaskerier og
andre serviceydelser
Fragtvognmænd
og rørtransport
Alle brancher
Hoteller
Samme branche
Samme hovedbranche
Skiftet hovedbranche
Anm.: Se anmærkning til figur B6.9.
Kilde: Egne beregninger på baggrund af Danmarks Statistiks register.
For brancherne
rejsebureauer
og
sport, forlystelsesparker og andre fritidsaktiviteter
og
frisører, va-
skerier og andre serviceydelser
er der en relativt stor tilbøjelighed til at finde beskæftigelse i andre
brancher. For
lokaltog, bus og taxi mv.
samt
kunst, kultur og spil
er det i langt højere grad tilfældet, at
ledige finder beskæftigelse i den samme branche igen. En lav andel, der skifter branche, kan både skyl-
des, at det kan være svært for de ansatte at gøre brug af deres færdigheder i andre brancher, og at de
ansatte kun i mindre grad har haft behov for at søge job uden for branchen.
128
Restauranter
Detailhandel
Kunst, kultur
og spil
Skibsfart
FIU, Alm.del - 2019-20 - Bilag 190: Rapport fra den økonomiske ekspertgruppe vedrørende udfasning af hjælpepakker
Bilag 6.5
Metode til opgørelse af brutto- og nettobevægelser på arbejdsmarke-
det
Bruttobevægelserne på arbejdsmarkedet angiver, hvor mange personer, der skifter fra en tilstand på
arbejdsmarkedet (beskæftiget, ledige eller uden for arbejdsmarkedet) til en anden. I denne analyse er
alle personer normeret til at have en grad på 1, som inden for en måned kan fordeles på en eller flere af
tilstandene. Hvis en person fx er ledig den første tredjedel af måneden og derefter finder beskæftigelse,
vil personen have en ledighedsgrad på en tredjedel og en beskæftigelsesgrad på to tredjedele for den
pågældende måned. Hvis personen var ledig hele den forudgående måned, ville beskæftigelsesgraden
her have været 0 og ledighedsgraden 1. Mellem de to måneder opgøres en sådan udvikling som en
bruttobevægelse fra ledighed til beskæftigelse på to tredjedele.
I praksis kan en person godt have en grad på mere end 1 i dataregistrene. Hvis en person fx er i støttet
beskæftigelse som led i et bruttoledighedsforløb, er personen både ledig og beskæftiget på samme tid.
Det derfor nødvendigt at rangere de forskellige tilstande. I denne analyse er bruttoledighed rangeret
øverst. Hvis en person både er ledig og beskæftiget på samme tid, dominerer ledighedsgraden altså be-
skæftigelsesgraden.
Studerende, opgjort som modtagere af SU, indgår i opgørelsen uden for arbejdsstyrken, uanset om de
har beskæftigelse ved siden af deres studie.
129
FIU, Alm.del - 2019-20 - Bilag 190: Rapport fra den økonomiske ekspertgruppe vedrørende udfasning af hjælpepakker
Bilag 6.6
Indsatser for ledige
Ledige skal stå til rådighed for arbejde eller uddannelse og deltage i tilbud om aktive indsatser fra job-
centeret. Tilbud skal så vidt muligt rettes mod beskæftigelse inden for områder, hvor der er behov for
arbejdskraft, og gives ud fra den enkeltes ønsker og forudsætninger med henblik på, at personen hur-
tigst muligt kan påbegynde og gennemføre en uddannelse, opnå varig beskæftigelse og hel eller delvis
selvforsørgelse.
Ledige har pligt til at tage imod tilbud om virksomhedspraktik, nytteindsats, ansættelse med løntil-
skud og vejledning og opkvalificering i hele den periode, hvor de modtager en ydelse. Det gælder dog
ikke, hvis pligten til tilbud er bortfaldet efter reglerne om mindre intensiv indsats, fx hvis personen
skal starte på ordinært arbejde på fuld tid inden for de næste 6 uger.
Med en virksomhedspraktik kommer den ledige i praktik hos en offentlig eller privat arbejdsgiver i en
periode på 4 til 13 uger. Den ledige modtager den ydelse, vedkommende ellers er berettiget til. Tilby-
des den ledige en nytteindsats, skal vedkommende udføre samfundsnyttigt arbejde for sin ydelse i op
til 13 uger ad gangen.
Ved ansættelse med løntilskud hos en privat arbejdsgiver modtager den ledige overenskomstmæssig
løn eller den sædvanligt gældende løn, mens virksomheden modtager et tilskud til en del af lønnen. Er
stillingen hos en offentlig arbejdsgiver, får den ledige udbetalt en løn, der som udgangspunkt svarer til
den ydelse, den ledige ellers har ret til. Varigheden af en løntilskudsstilling varierer afhængigt af mål-
gruppen.
Jobrotationsordningen er en særlig ordning til arbejdsgivere, der ønsker at opkvalificere deres medar-
bejdere. Mens medarbejderen deltager i efteruddannelse, kan arbejdsgiveren ansætte en ledig som vi-
kar i op til 6 måneder. Arbejdsgiveren modtager en ydelse til at dække løn- og uddannelsesudgifter til
både vikar og medarbejder. Jobrotationsydelse er ca. 190 kr. pr. time i 2020.
Voksenlærlingeordningen giver ledige og beskæftigelse, der er over 25 år, mulighed for at opkvalificere
sig til faglært. Gennem ordningen giver jobcentret tilskud til virksomheder, der indgår en uddannel-
sesaftale med en voksen om at gennemføre en erhvervsuddannelse. Virksomheden får tilskud på
45/30 kr. i timen til at betale voksenelevløn i praktikperioden.
Vejledning og opkvalificering er en samlekategori for en række tilbud. Det kan være korte vejlednings-
og afklaringsforløb, jobsøgningskurser og hjælp til CV eller særlige projekter og uddannelsesforløb,
herunder praktik under uddannelsesforløbet. Det kan også være ordinære uddannelsesforløb, som
blandt andet omfatter almen voksenuddannelse, AMU-kurser og erhvervskompetencegivende uddan-
nelser. Inden for samlekategorien er der en række særordninger, gennem hvilke kommunerne kan få
refusion til opkvalificering af ledige forudsat, at den ledige eller opkvalificeringsindsatsen opfylder en
række krav.
I tabel B6.2 er mulighederne for at tilbyde de forskellige redskaber i den aktive indsats uddybet.
130
FIU, Alm.del - 2019-20 - Bilag 190: Rapport fra den økonomiske ekspertgruppe vedrørende udfasning af hjælpepakker
2198255_0132.png
Tabel B6.2
Målgruppe og krav for redskaber i den aktive indsats
Ordning
Målgruppe
Krav til
ledigheds-
anciennitet
Ingen
Øvrige krav
Virksomhedspraktik
Alle ledige
Der skal bl.a. foreligge skriftlig tilkendegivelse fra arbejdsgiver
og en tillidsrepræsentant om, at bl.a. rimelighedskravet er op-
fyldt.
Varighedsbegrænsning afhængigt af målgruppe.
Medarbejderen, som efteruddannes, skal have været ansat
mindst 3 måneder i virksomheden og kan ikke have en lang
videregående uddannelse, med mindre denne er forældet (ej
anvendt i 5 år). Der kan som udgangspunkt tages enkeltstå-
ende kurser. I 2020 kan erfarne medarbejdere tage efterud-
dannelse svarende til en erhvervsuddannelse.
Løntilskud
Jobrotationsordningen
Alle ledige
Alle ledige
6 måneder*
6 måneder
Vikaren (den ledige) skal
være ansat mindst 10 ti-
mer om ugen og kan højst
være ansat i en periode på
6 måneder.
Nytteindsats
Dagpengemodtagere og
Ingen
personer i kontanthjælpssy-
stemet
Alle ledige
Ingen, se dog
nedenfor.
For dagpengemodtagere kan nytteindsats alene gives som
rådighedsafprøvende tilbud.
Ingen, se dog nedenfor.
Der kan kun gives støtte til en hel erhvervskompetence-gi-
vende erhvervsuddannelse gennem puljen. Som forsøg kan
enkelte grupper tage trin i en erhvervsuddannelse til udgan-
gen af 2020. Uddannelsen skal desuden kunne gennemføres
inden for dagpengeperioden. Som forsøg kan 1/5 af uddan-
nelsen strække sig ud over dagpengeperioden til udgangen af
2020.
Via puljen kan der gives støtte til korte, erhvervsrettede ud-
dannelsesforløb, som fremgår af den regionale positivliste for
det område, den ledige bor i, dvs. uddannelse til brancher
med mangel på arbejdskraft.
Vejledning og opkvalifice-
ring, herunder
Puljen til uddannelsesløft
Dagpengemodtagere fyldt
Ingen
30 år, som er ufaglærte eller
faglærte med en forældet
uddannelse (ikke anvendt i
5 år)
Den regionale uddannel-
sespulje
Dagpengemodtagere
Ingen
Voksenlærlingeordningen
Alle ledige som er ufag-
lærte, faglærte (med/uden
forældet uddannelse) og
ufaglærte beskæftigede
6 måneder for Lærlingen skal være over 25 år og have en uddannelsesaftale
faglærte ledige. med en arbejdsgiver, hvor der betales voksenelevløn. Be-
skæftigede kan kun tage uddannelser på områder, hvor der er
mangel på arbejdskraft ifølge positivlisten for voksenlærlinge-
ordningen. Der gives ikke voksenlærlingetilskud til elever,
som har mere end ét års relevant erhvervserfaring, på SOSU-
uddannelser.
Ledige kan tage en uddannelse af op til 6 ugers varighed, der
fremgår på en landsdækkende positivliste. Referenceperiode
på 6/9 måneder afhængig af alder.
6 ugers jobrettet uddan-
nelse
Dagpengemodtagere og
5 uger
fleksjobvisiterede, som er
ufaglærte, faglærte eller har
en kort videregående ud-
dannelse og samtidig har en
erhvervsfaglig uddannelse
0-12 måneder
afhængigt af
målgruppen, fx
krav på 12 må-
neder for dag-
pengemodta-
gere
Ingen
Opkvalificering ved ansæt- Alle ledige
telse
Der gives tilskud til arbejdsgiver til opkvalificering efter ansæt-
telsen på virksomheden, forudsat at opkvalificeringen ligger
ud over, hvad arbejdsgiveren forudsættes at give fx i form af
oplæring i arbejdsfunktioner eller arbejdsredskaber, der er
særlige for den enkelte arbejdsgiver.
Øvrig vejledning og opkva- Alle ledige
lificering, fx jobsøgnings-
kurser og hjælp til CV
Ingen
Anm.: Ud over de nævnte ordninger under vejledning og opkvalificering findes en række midlertidige ordninger til særlige målgrupper
eller områder, som ikke er beskrevet i tabellen.
* Generelt skal man have været ledig i 6 måneder for at komme i løntilskud. Der er dog mulighed for at det sker tidligere, hvis
man er over 50 år, er enlig forsørger eller ikke har en almen eller erhvervsrettet uddannelse.
131
FIU, Alm.del - 2019-20 - Bilag 190: Rapport fra den økonomiske ekspertgruppe vedrørende udfasning af hjælpepakker
Bilag 6.7
Virksomhedsdynamik
I figur 6.8 i kapitel 6 illustreres udskiftningen af virksomheder i private byerhverv for perioden 2002-
2016. I dette bilag vises udviklingen i udvalgte servicebrancher som har været ramt i forbindelse med
nedslukningen.
Ser man nærmere på de hjemmemarkedsorienterede serviceerhverv, dvs. service ekskl. internationalt
orienterede brancher som
information og kommunikationsteknologi, post- og kurertjenester
og
luft-
og skibsfart,
ligger udskiftningen af virksomheder omtrent på niveau med alle serviceerhverv under ét,
jf. figur B6.12 (panel a).
Det hjemmemarkedsorienterede serviceerhverv udgjorde i 2016 godt 60 pct.
af beskæftigelsen i serviceerhvervene, men kun godt 50 pct. af værditilvæksten. Disse hjemmemar-
kedsorienterede serviceerhverv, herunder
detailhandel, hoteller
og
restauranter
(panel
b, c og d i fi-
gur B6.12),
dækker således over en række mindre produktive servicebrancher. I forbindelse med fi-
nanskrisen var der et relativt stort fald i (netto)etableringsraten i detailhandlen og hoteller mv.,
jf. fi-
gur B6.12 (panel b og c).
132
FIU, Alm.del - 2019-20 - Bilag 190: Rapport fra den økonomiske ekspertgruppe vedrørende udfasning af hjælpepakker
2198255_0134.png
Figur B6.12
A. Nye og ophørte virksomheder pr. måned, Hjem-
memarkedsorienterede serviceerhverv (benchmark)
Pct. af virksomheder i 2002
2,0
Pct. af virksomheder i 2002
2,0
B. Nye og ophørte virksomheder pr. måned,
Detailhandel ekskl. dagligvarebutikker og apoteker
Pct. af virksomheder i 2002
2,0
Pct. af virksomheder i 2002
2,0
1,5
1,5
1,5
1,5
1,0
1,0
1,0
1,0
0,5
0,5
0,5
0,5
0,0
2002
2004
2006
2008
2010
2012
2014
2016
Nyoprettede virksomheder
0,0
Ophørte virksomheder
0,0
2002
2004
2006
2008
2010
2012
2014
2016
Nyoprettede virksomheder
0,0
Ophørte virksomheder
C. Nye og ophørte virksomheder pr. måned,
Hoteller, ferieboliger og campingpladser
Pct. af virksomheder i 2002
2,0
Pct. af virksomheder i 2002
2,0
D. Nye og ophørte virksomheder pr. måned,
Restauranter, caféer og diskoteker
Pct. af virksomheder i 2002
2,0
Pct. af virksomheder i 2002
2,0
1,5
1,5
1,5
1,5
1,0
1,0
1,0
1,0
0,5
0,5
0,5
0,5
0,0
2002
2004
2006
2008
2010
2012
2014
2016
Nyoprettede virksomheder
0,0
Ophørte virksomheder
0,0
2002
2004
2006
2008
2010
2012
2014
2016
Nyoprettede virksomheder
0,0
Ophørte virksomheder
Anm.: Hjemmemarkedsorienterede serviceerhverv dækker over brancherne Handel ekskl. engroshandel, Landtransport, Hoteller og
restauranter, Videnservice, Udlejningsvirksomhed og vikarbureauer. Data er i hvert år vist som et gennemsnit pr. måned, som
andel af det gennemsnitlige antal virksomheder i 2002.
Kilde: Danmarks Statistik og egne beregninger.
De månedlige rater for opstart og ophør afspejler en stor udskiftning i dansk erhvervsliv. En månedlig
udskiftningsrate på fx 1 pct. betyder, at der på årsbasis udskiftes mere end 10 pct. af virksomhederne. I
nogle af de brancher, der er hårdt ramt under coronakrisen er det
i tider uden corona
normalt, at
10 pct. af virksomhederne udskiftes årligt, ligesom konkurser er udbredt.
Omfanget af nyregistrerede CVR-numre kan være en indikation for, hvor mange nye virksomheder der
bliver oprettet. I perioden fra 12. marts til 15. maj 2020 er antallet af nyoprettede CVR-numre faldet
betydeligt, svarende til knap 22 pct. færre CVR-numre, sammenlignet med samme periode i 2019. Ni-
veauet i perioden svarer omtrent til antallet af oprettelser i samme periode i 2014. Ser man alene på
årets første måneder, var der til en gengæld en fortsat vækst i nyoprettede virksomheder sammenlig-
net med samme periode sidste år på 8 pct.,
jf. figur B6.13.
133
FIU, Alm.del - 2019-20 - Bilag 190: Rapport fra den økonomiske ekspertgruppe vedrørende udfasning af hjælpepakker
2198255_0135.png
Figur B6.13
Antal nyregistrerede CVR-numre i perioden hhv. 1. januar-11. marts og 12. marts-15. maj
Indeks (2005=100)
200
Indeks (2005=100)
200
150
150
100
100
50
50
0
2000 2001 2002 2003 2004 2005 2006 2007 2008 2009 2010 2011 2012 2013 2014 2015 2016 2017 2018 2019 2020
1. januar-11. marts
12. marts-15. maj
0
Anm.: Figuren viser udviklingen i antallet af nye CVR-numre for to delperioder hvert år; den 1. januar til 11. marts og 12. marts til 15.
maj, årligt 2005-2020, indekseret efter år 2005. I 2020 var der 22.000 nyoprettede CVR-numre fra 1. januar
11. marts, mens der
var 13.000 fra 12. marts til 15. maj.
Kilde: Erhvervsministeriet, Danmarks Statistik og egne beregninger.
Den lavere oprettelsesrate af virksomheder efter nedlukningen er bredt funderet på tværs af brancher.
Det er således ikke et fænomen alene relateret til brancher under nedlukning. Det kan være udtryk for
en generel usikkerhed som følge af coronakrisen. Manglende adgang til offentlige myndigheder i for-
bindelse med oprettelse kan være en del af forklaringen. Oprettelsen af spin-off virksomheder kan også
være sat i bero fordi virksomhedernes strategiske fokus er påvirket af coronakrisen. Størst tilbagegang
i oprettelsen af nye virksomheder ses inden for transportvirksomheder, mens der fortsat sker frem-
gang i virksomhedsoprettelser inden for service og landbrug. Omfanget af nye virksomhedsoprettelser
inden for hoteller og restauration er faldet i samme omfang som for en række andre brancher.
Omfanget af virksomhedsoprettelser er konjunkturafhængigt over tid. Men her ses et markant skifte i
virksomhedsoprettelsen inden for få måneder, som ikke alene kan forklares af konjunkturskifte.
134
FIU, Alm.del - 2019-20 - Bilag 190: Rapport fra den økonomiske ekspertgruppe vedrørende udfasning af hjælpepakker
2198255_0136.png
Boks B6.2
Opgørelser af virksomhedsoprettelser via CVR-registret og hos Danmarks Statistik
På grundlag af CVR-registret kan det på dagsbasis opgøres, hvor mange virksomheder der oprettes (via nye CVR-numre).
Opgørelsen vil ikke i alle tilfælde betyde, at der er tale om en ny virksomhed, da det også kan være sammenlægninger af
tidligere virksomheder mv. Oprettelserne af nye CVR-numre kan opgøres på fx virksomhedsform og branche.
Det er langt fra alle nye CVR-numre, der udgør virksomheder med en økonomisk aktivitet på et niveau, som gør det muligt at
”leve af” virksomheden. Fx oprettes der virksomheder,
som har mere karakter af hobbyvirksomhed eller bibeskæftigelse mv.
Foreninger kan således også få et CVR-nummer.
Danmarks Statistik opgør økonomisk aktive virksomheder, hvilket måles enten på omsætning eller beskæftigelse og er
brancheafhængigt. Disse kan imidlertid kun følges frem til 2017. Desuden varierer de to opgørelser fra hinanden, idet
Danmarks Statistiks opgørelse afgrænses for bestemte brancher og ejerform. Der er således væsentlige forskelle mellem de to
typer opgørelser, herunder også i niveauet, idet der er væsentlig flere CVR-oprettelser end nye (økonomisk aktive)
virksomheder som hos Danmarks Statistik.
Overordnet følges udviklingen ad for de to opgørelser indtil 2014, og begge følger udviklingen i konjunkturerne,
jf. figur a.
Skiftet i 2014 kan hænge sammen med indførelsen af to nye virksomhedstyper, iværksætterselskaber (IVS) og personlig ejede
mindre virksomheder (PMV), som fører til flere CVR-oprettelser.
Figur a
Årlige, nyregistrerede CVR-numre og nye, aktive virksomheder ifølge Danmark Statistik, 2001-2019
Indeks (2005=100)
200
Indeks (2005=100)
200
150
150
100
100
50
50
0
2001 2002 2003 2004 2005 2006 2007 2008 2009 2010 2011 2012 2013 2014 2015 2016 2017 2018 2019
Nye virksomheder (DST)
Nye CVR-numre (ERST)
0
Anm.: Data for Danmark Statistik opgør aktive virksomheder, hvilket måles enten på omsætning eller beskæftigelse og er brancheaf-
hængigt.
Kilde: Erhvervsministeriet, Danmarks Statistik og egne beregninger.
135
FIU, Alm.del - 2019-20 - Bilag 190: Rapport fra den økonomiske ekspertgruppe vedrørende udfasning af hjælpepakker
Bilag 6.8
Produktivitet og virksomhedsdynamik i servicebranchen
For nogle af de servicebrancher, som har været særlig udsatte i forbindelse med coronakrisen, er der
stor forskel på både udviklingen i produktivitet, og hvad som har bidraget hertil.
I detailbranchen har bidraget fra omfordeling været betydeligt i alle år siden 2003, mens det har været
begrænset i andre brancher,
jf. figur B6.14.
I hoteller og restauranter har produktiviteten været fal-
dende i flere år. Faldet skyldes, på trods af en større udskiftning af virksomheder end i nogen anden
branche, at virksomheder, som overlever i branchen ikke formår anvende ressourcerne bedre,
jf. figur
B6.14 (panel D).
Grundlæggende ses meget begrænset bidrag fra omfordeling i disse brancher, hvilket
tyder på en mangelfuld dynamik.
Produktivitetsudviklingen i de enkelte brancher kan være påvirket af måleproblemer i forbindelse med
udarbejdelsen af økonomiske statistikker som nationalregnskabet, hvor der fx skal korrigeres for kvali-
tetsforbedringer i den opgjorte produktivitetsudvikling.
Den svage produktivitetsvækst i serviceerhvervene skal også ses i lyset af, at nogle tjenester er mere
arbejdskraftsintensive end andre, og kan være udfordret på mulighederne for fx at anvende nye tekno-
logier. Dette gælder bl.a. i brancherne hoteller og restauranter. Når lønningerne i disse brancher stiger,
skyldes det produktivitetsgevinster fra andre brancher, som fx industrien. Hvis hjælpepakkerne i over-
vejende grad er målrettet virksomheder i mindre produktive brancher, kan det være med til at under-
støtte denne ”Baumol-effekt”.
136
FIU, Alm.del - 2019-20 - Bilag 190: Rapport fra den økonomiske ekspertgruppe vedrørende udfasning af hjælpepakker
2198255_0138.png
Figur B6.14
A. Dekomponering af timeproduktivitetsvækst,
Hjemmemarkedsorienterede serviceerhverv (bench-
mark)
Pct.
6
4
2
0
-2
-4
B. Dekomponering af timeproduktivitetsvækst,
Detailhandel ekskl. dagligvarebutikker og apoteker
Pct.
6
4
2
0
-2
-4
-6
03 04 05 06 07 08 09 10 11 12 13 14 15 16
Virksomhedsintern
Omfordeling
Vækst
Pct.
6
4
2
0
-2
-4
-6
Pct.
6
4
2
0
-2
-4
-6
03 04 05 06 07 08 09 10 11 12 13 14 15 16
Virksomhedsintern
Omfordeling
Vækst
-6
C. Dekomponering af timeproduktivitetsvækst,
Hoteller, ferieboliger og campingpladser
Pct.
Pct.
D. Dekomponering af timeproduktivitetsvækst,
Restauranter, caféer og diskoteker
Pct.
6
4
2
0
-2
-4
Pct.
6
4
2
0
-2
-4
6
4
2
0
6
4
2
0
-2
-4
-6
03 04 05 06 07 08 09 10 11 12 13 14 15 16
Virksomhedsintern
Omfordeling
Vækst
-2
-4
-6
-6
03 04 05 06 07 08 09 10 11 12 13 14 15 16
Virksomhedsintern
Omfordeling
Vækst
-6
Anm.: Figurerne viser omfordeling over tre år. Den anvendte metode tager udgangspunkt i Dansk Økonomi, efterår 2013, hvor den ag-
gregerede produktivitetsvækst består af bidrag fra virksomhedsintern produktivitetsstigning og bidrag fra omfordeling mellem
virksomheder (dvs. bidrag fra ændrede markedsandele, ophørte virksomheder og nye virksomheder). I opgørelsen er der frasor-
teret fonde og foreninger, selvstændige offentlige virksomheder, observationer med negativ værditilvækst og virksomheder med
mindre end én fuldtidsbeskæftiget.
Kilde: Danmarks Statistik, De Økonomiske Råd: Dansk Økonomi, efterår 2013 og egne beregninger på detaljerede virksomhedsdata.
137
FIU, Alm.del - 2019-20 - Bilag 190: Rapport fra den økonomiske ekspertgruppe vedrørende udfasning af hjælpepakker
2198255_0139.png
Bilag 6.9
Virksomhedsdynamik gennem exits og fusioner
En del af tilpasningen i økonomien sker gennem exits, herunder konkurser, og fusioner. Antallet af
konkurser er ikke steget under coronakrisen. Det kan der være flere forklaringer på, herunder at kon-
kurser er længe under vejs, og først slår igennem et stykke inde i en konjunkturnedgang,
jf. kapitel 6.
Endvidere kan hjælpepakkerne have bidraget hertil. Det er imidlertid for tidligt at vurdere. Der er såle-
des en række faktorer i virksomhederne og eksternt for virksomhederne, der har betydning for denne
dynamik. Nedenstående analyse peger på, at virksomhedernes aktiver ofte videreføres i ny selskaber,
selvom virksomheden går konkurs eller ophører af anden årsag. I de brancher, hvor værdien af de virk-
somheder, der ophører, er størst, er fx også de brancher, hvor størstedelen af humankapitalen videre-
føres til andre virksomheder.
Konkurser under coronakrisen
Antallet af konkurser siden coronakrisen er ikke steget. Således faldt antallet af konkurser lige om-
kring nedlukningen af Danmark, men steg igen i ugerne efter til niveau med de foregående måneder,
jf. figur 6.11. i kapitel 6.
Branchemæssigt har der ikke været en stigning i konkurser inden for tvangs-
lukkede erhverv som restaurantionsbranchen eller detailhandel,
jf. figur B6.15.
Figur B6.15
Konkurser i Danmark før og efter nedlukning
Gennemsnitlig antal konkurser pr. uge
10
8
6
4
2
0
Gennemsnitlig antal konkurser pr. uge
10
8
6
4
2
0
Frisører, vaskerier mv.
(2,3 pct.)
Ejendomsservice mv.
(3,5 pct.)
Internethandel, postordre mv.
(2,3 pct.)
Kreditforeninger mv.
(9,1 pct.)
Bygningsfærdiggørelse
(6,2 pct.)
Virksomhedskonsulenter
(2,5 pct.)
Detailh. med tekstiler mv.
(1,9 pct.)
Bygningsinstallation
(1,8 pct.)
It-konsulenter mv.
(4,7 pct.)
Murer mv.
(3,4 pct.)
Engrosh. med tekstiler mv.
(2,3 pct.)
Fragtvognmænd og rørtransport
(1,7 pct.)
Landbrug og gartneri
(3,3 pct.)
Detailh. med beklædning mv.
(2,4 pct.)
Anden engroshandel
(1,5 pct.)
Anden videnservice
(1,8 pct.)
Restauranter
(9,3 pct.)
Konkurser fra 12. marts 2020 til 14. maj 2020
Konkurser fra 12. marts 2019 til 14. maj 2019
Anm.: I figuren er de 20 brancher der har flest konkurser angivet. Tallene i parentes angiver branchens andel af de samlede konkurser i
perioden fra 12. marts 2020 til 14. maj 2020. Det bemærkes, at der var særligt mange konkurser i marts og april 2019, hvilket kan
påvirke sammenligningen. Boks B6.3 beskriver datagrundlaget. Brancher som har været tvangslukket er markeret med solide
søjler.
Kilde: Egne beregninger på baggrund af Statstidende.dk.
138
Arkitekter og rådg. ingeniører
(1,4 pct.)
Anden operationel service
(1,9 pct.)
Engrosh. med fødevarer mv.
(1,7 pct.)
FIU, Alm.del - 2019-20 - Bilag 190: Rapport fra den økonomiske ekspertgruppe vedrørende udfasning af hjælpepakker
2198255_0140.png
Boks B6.3
Datascraping af statstidende.dk
Data fra statstidende.dk er scrapet, så der er medtaget et cvr-nummer samt dato for konkursdekret. Et konkursdekret er en
aktivitet, der ligger i skifteretten, og når konkursdekretet er afsagt, mister skyldneren retten til at råde over sine aktiver og pas-
siver. Konkursdekret foretages således af skifteretten efter, at virksomheden har indgivet konkursanmeldelse. CVR-nummer er
koblet til branchekode via et historisk udtræk af virk.dk fra ultimo 2018.
I den nuværende krise faldt antallet af konkurser lige omkring nedlukningen af Danmark men steg igen i ugerne efter til et nor-
malt leje,
jf. figur 6.11.
Det kan til dels skyldes, at nedlukning af det offentlige, som har bevirket en arbejdspukkel hos Gældssty-
relsen, domstole mv., og som har forsinket processerne omkring konkurs. Der kan også være en effekt af, at finansielle instituti-
oner har givet udvidet adgang til kredit for virksomheder, der ellers ville være i risiko for konkurs, understøttet af de statslige
garantier.
Samlet har coronakrisen tilsyneladende endnu ikke for alvor betydet nogen større stigning i konkur-
serne på overordnet plan, end tilfældet var efter finanskrisen. Desuden er der endnu ikke noget der ty-
der på, at der er flere konkurser i de erhverv, der har været særligt hårdt ramt af restriktionerne.
Konkursrisiko
En økonomisk krise kan påvirke erhvervsstrukturen i form af flere konkurser, opkøb, fusioner og kon-
solidering med nødlidende selskaber. I Danmark bliver halvdelen af virksomheder, der ophører (exit),
enten opkøbt, skifter virksomhedsform eller lukker af andre årsager end konkurs. Et exit kan dække
over en konkurs, et opkøb samt virksomhedsomdannelser. Fra 2009 til 2017 er ca. 10.000 virksomhe-
der ophørt, hvoraf ca. 5000 er konkursvirksomheder.
Litteraturen peger på, at konkurser i første omfang sker med udgangspunkt i både interne og eksterne
faktorer, som fx en branchespecifik nedgang eller ledelsesmæssige problemer i virksomheden, som
dernæst medfører en nedgang i indtjeningen adskillige år før konkurstidspunktet. Denne nedgang ud-
huler gradvist virksomhedens soliditet (egenkapital) over tid. På kort sigt kan manglende likviditet
være udslagsgivende, men det er ikke nødvendigvis den mest grundlæggende årsag til konkursen.
For mindre virksomheder kan nedgangen i omsætning spores fem år før konkursen, mens nedgangen
for de store og mellemstore virksomheder sker mere pludseligt. Derimod ses en tendens til at de fleste
virksomheder holder på deres ansatte så længe som muligt på trods af nedgangen i omsætningen, og
først påbegynder afskedigelser 2-3 kvartaler før konkursen,
jf. boks B6.4.
139
FIU, Alm.del - 2019-20 - Bilag 190: Rapport fra den økonomiske ekspertgruppe vedrørende udfasning af hjælpepakker
2198255_0141.png
Boks B6.4
Litteraturstudie af virksomheders konkursrisiko
Nedenfor opsummeres resultaterne fra tre studier af virksomheders konkursrisiko.
Financial and nonfinancial variables as long-horizon predictors of bankruptcy
1
Studiet undersøger hvordan ikke-regnskabsmæssige data kan bidrage til at forbedre præcisionen i forudsigelser af konkurser
særligt på længere sigt. En rig litteratur har vist at ”financial ratios” –
udvalgte regnskabsnøgletal som fx soliditetsgrad (egen-
kapital som andel af samlede passiver)
– kan forudsige en virksomheds konkurs med ret høj præcision (kendt som Altman’s Z-
score model). Det har dog vist sig, at nøgletallene gradvist mister deres forklaringskraft over længere tidshorisonter end 1-2 år
før konkurstidspunktet. Ved at inkludere andre, mere kvalitative, indikatorer kan svage tegn på begyndende vanskeligheder
opfanges op til 5 år eller mere før konkurstidspunktet, og inden problemerne for alvor afspejles i nøgletallene.
Studiet viser, at blandt de finansielle nøgletal har soliditetsgraden den største forklaringskraft
både på kort og på lang sigt
efterfulgt af virksomhedens størrelse (målt som samlede omsætning). Virksomhedens likviditet målt som likviditetsgraden
(omsætningsaktiver/kortsigtet gæld) er primært signifikant på kort sigt, men har ikke nogen signifikant betydning på længere
sigt.
Flere af de kvalitative variable har betydelig forklaringskraft på både kortere og længere sigt. Det drejer sig primært om indika-
torer for, om virksomheden har overholdt sine betalingsforpligtelser, om virksomhedens bestyrelsesmedlemmer har overholdt
deres egne betalingsforpligtelser samt indikatorer for det økonomiske klima i den pågældende branche.
Explaining the causes of business failure using audit report disclosures
2,3
Studiet undersøger, om revisoranmærkninger kan anvendes til at forudsige konkurser, fx ved at opfange faresignaler som ikke
nødvendigvis afspejler sig direkte i de finansielle nøgletal, og at revisorens kommentarer til regnskabet derfor har en forkla-
ringskraft til at forudsige en forestående konkurs. Analysen viser, at det primært er revisoranmærkninger, der repræsenterer de
traditionelle regnskabstal, som har en høj forklaringskraft, herunder særligt kommentarer vedrørende virksomhedens aktiver,
gæld og indtjening. Det er primært kommentarer vedrørende virksomhedens interne forhold, der har betydning.
Danmarks Nationalbank har foretaget lignende studier af danske konkurser baseret på tekstanalyser af revisorerklæringer og
ledelsesrapporter.
Omsætning falder før antal ansatte frem mod konkurs
4
Danmarks Statistik har foretaget en beskrivende statistisk analyse af de 7.155 danske virksomheder, der gik konkurs i 2018,
fordelt
på virksomhedernes størrelse og selskabsform. Omkring halvdelen af de registrerede konkurser er såkaldte ”nulvirk-
somheder”, defineret som virksomheder, der indtil fem år før konkurstidspunktet ikke har haft nogen ansatte og meget lille
omsætning. Samtidigt har kun 2 pct. af de konkursramte virksomheder haft mere end 20 ansatte på noget tidspunkt i perioden.
Langt de fleste af de konkursramte virksomheder er således meget små.
Analysen viser, at nedgang i omsætning for de mange små virksomheder kan spores fem år før konkursen, mens nedgangen for
de store og mellemstore virksomheder sker mere pludseligt. De fleste virksomheder holder på deres ansatte så længe som mu-
ligt på trods af nedgangen i omsætningen og først påbegynder afskedigelser 2-3 kvartaler før konkursen.
Kilde: 1.
Altman, Edward I., Malgorzata Iwanicz-Drozdowska,
Erkki Laitinen og Arto Suvas (2016), ”Financial and nonfinancial var-
iables as long-horizon
predictors of bankruptcy”,
Journal of Credit Risk
12(4): 49-78.
2.
Muñoz-Izquierdo, Nora, María Jesús Segovia-Vargas, María-del-Mar Camacho-Miñano og David Pascual-Ezama (2019),
”Explaining the causes of business failure using audit report disclosures”,
Journal of Business Research
98: 403-414.
3.
Hansen, Casper, Christian
Hansen, Rastin Martin og Pia Mølgaard (2018), ”Predicting distresses using Deep Learning of
Text Segments in Annual Reports”, Danmarks Nationalbank working paper nr. 130, 15. november 2018.
4.
Dalbro, Søren, Aksel Thomsen og Anne Kaag Andersen (2019), ”Omsætning falder før antal ansatte frem mod konkurs”,
DSTAnalyse 2019:14, Danmarks Statistik, 4. september 2019.
En empirisk analyse gennemført i forbindelse med udarbejdelse af denne rapport bruger regnskabstal
fra danske virksomheder til at forudsige konkurs af virksomheder i 2020 med hjælp af ti indikatorer.
De ti bogføringsindikatorer, der indgår som forklarende variabler i regressionen, kan kategoriseres i
tre hovedkategorier likviditet, soliditet og rentabilitet,
jf. boks B6.5.
140
FIU, Alm.del - 2019-20 - Bilag 190: Rapport fra den økonomiske ekspertgruppe vedrørende udfasning af hjælpepakker
2198255_0142.png
Boks B6.5
Estimationsmodel
Estimationen af modellen følger metoden beskrevet i Alaminos et al. (2016).
5
Der laves tre dataset, hvor årlige exitdata bliver
koblet sammen med regnskabsdata, som er henholdsvis fra året før, to år før og tre år før det år, hvor der sker et exit (eller ej).
Et exit kan dække over en konkurs, en fusion og en virksomhedsomdannelse. Der bruges exitdata for at få en tilstrækkelig lang
tidsperiode i forhold til den tidsperiode, der opnås, når det kun ses på de rene konkurstal. Modellen bliver estimeret i en pooled
model (dvs. at der tages ikke hensyn til tidsdimensionen i data), med konkursvariablen som binær afhængig variabel og regn-
skabsvariablerne og sektorkoder som forklarende variabler. Der estimeres en logistisk regression for hvert datasæt i formen:
Pr konkurs
t
=
| X
t−l
=
exp X
′ t−l
β
+ exp X
′ t−l
β
med l = {1, 2, 3}. For
X
bruges der de sammen forklarende variabler som i Alaminos et al. (2016), bortsæt fra, at landekoder
bliver erstattet med sektorkoder. De udvalgte indikatorerne har vist at have en særlig forklaringskraft i forhold til at forudsige
om en virksomhed går konkurs
Analysen tager udgangspunkt i regnskabsdata (FIRE-registret) fra DST, og den generelle firmastatistik (FIRM- registret) an-
vendes til at identificere exitvirksomheder. Data dækker perioden 2000-2016.
Kilde: 5.
Alaminos, David, Augustin del Castillo og Manuel Angel Fernandez (2016), ”A Global Model for Bankruptcy Prediction”, Plo-
sOne 11 (11)
Resultaterne viser, at likviditet spiller den største rolle for en virksomheds sandsynlighed for at forlade
markedet. Jo større andel omsætningsaktiverne (som har højere likviditet) udgør af de samlede aktiver
og jo større omsætningsaktiverne er i forhold til den kortfristede gæld, desto mindre sandsynligt er
det, at en virksomhed forlader markedet. Resultatet er robust uanset om man ser på det foregående års
regnskabstal eller på regnskaber der er tre år gamle.
Soliditet er den andenstørste faktor for en virksomheds sandsynlighed for at forlade markedet. Jo min-
dre forholdet er mellem en virksomheds gæld og dens samlede aktiver (dvs. jo større egenkapitalan-
del), desto mere falder sandsynligheden.
En virksomheds rentabilitet, har kun mindre relevans. Generelt er der tendens til at virksomheder
med en højere kapitalrentabilitet har en lavere sandsynlighed for at forlade markedet. Dog viser resul-
taterne, at de fleste indikatorer for rentabilitet, der indgår i modellen, ikke er statistisk signifikante,
samt at effekterne er små.
Samlet indikerer dette, at hjælpepakkers fokus på at øge likviditeten i virksomheder har været hen-
sigtsmæssig for at undgå mange konkurser på samme tid. Det peger også på, at det er vigtigt, at sikre
virksomheder adgang til gode lånemuligheder, hvis virksomheder forsat skal understøttes.
Videreførelse af økonomisk aktivitet
Kapitalapparatet forsvinder ikke fuldstændigt efter en konkurs. Ofte overføres konkursramte virksom-
heders aktiver helt eller delvist til anden anvendelse.
Litteraturen påviser, at det kan have stor betydning for kapitaludnyttelsen, hvordan konkursen præcist
afvikles
særligt for de mest illikvide aktiver. En tvangsopløsning, hvor aktiverne bortauktioneres se-
parat, vil typisk medføre større tab af kapital, særligt for de mest specifikke aktiver. En rekonstruktion,
hvor virksomheden videreføres efter gældsnedskrivning, omstrukturering eller hvor den konkursramte
virksomhed overtages af en anden virksomhed, bevarer typisk en forholdsvis stor andel af kapitalappa-
ratet,
jf. boks B6.6.
At en konkurs ofte bevarer en andel af kapitalapparatet understøttes yderligere af, at det såkaldte
fai-
ling firm defense
sjældent anerkendes af EU Kommissionen. Failing firm defense er et argument inden
141
FIU, Alm.del - 2019-20 - Bilag 190: Rapport fra den økonomiske ekspertgruppe vedrørende udfasning af hjælpepakker
2198255_0143.png
for fusionskontrol, der kan anvendes til at tillade en konkurrenceskadelig fusion, hvis alternativet er en
tvangsopløsning, der har en endnu større skadelig effekt på konkurrencen. Failing firm defense afvises
typisk på baggrund af, at fusionen vurderes ikke at opfylde et kriterie om, at en konkurs som alternativ
til fusionen vil resultere i at aktiverne forlader markedet. Kommissionen vurderer med andre ord of-
test, at en konkurs som alternativ til fusionen i betydelig omfang vil bevare aktiverne på markedet.
Boks B6.6
Litteratur om kapitalapparat og videreførelse af økonomisk aktivitet
Nedenfor opsummeres resultaterne fra tre studier af virksomheders konkursrisiko.
Asset allocation in bankruptcy
6
Studiet belyser forskellen i udnyttelsen af en virksomheds kapitalapparat efter en konkurs i forhold til, om konkursen fører til
rekonstruktion eller tvangsopløsning. Ved en rekonstruktion videreføres den konkursramte virksomhed efter en omstrukture-
ring. Ved tvangsopløsning nedlukkes virksomheden og aktiverne sælges.
Studiet viser, at tvangsopløsning medfører en 17 pct. lavere udnyttelsesgrad fem år efter en konkurs i forhold til rekonstruktion,
hvilket umiddelbart understøtter, at søgeomkostninger skaber friktioner. På markeder, hvor der er forholdsvis mange andre
aktører (konkurrenter eller andre aktører med tilsvarende behov for de samme aktiver), har konkursformen stort set ingen be-
tydning for udnyttelsesgraden på aktiverne. Omvendt kan tvangsopløsning medføre en udnyttelsesgrad, der er op til 30 pct.
lavere end rekonstruktion på markeder, hvor der er få andre aktører med tilsvarende behov.
Automatic bankruptcy auctions and fire-sales
7
Studiet undersøger, om tvangsauktion af en konkursramt virksomheds aktiver medfører ”fire-sale”-priser,
dvs. at et aktivs auk-
tionspris er lavere end et estimat for aktivets skyggepris (”value in best alternative use”).
Analysen påviser
en væsentlig ”fire-sale-rabat” på de bortauktionerede aktiver, når virksomheden tvangsopløses og aktiverne
sælges separat. ”Rabatten” er størst, når den konkursramte virksomhed er i en branche, der er ramt af økonomisk nedgang, og
når aktiverne afhændes til aktører uden for samme branche. Omvendt er der ikke tegn på fire-sale, når hele den konkursramte
virksomhed opkøbes som en going concern
heller ikke hvis virksomheden sælges til aktører uden for den pågældende bran-
che. Studiet finder, at generel økonomisk nedgang i en branche både øger sandsynligheden for, at en virksomhed tvangsoplø-
ses, og sandsynligheden fo,r at de separate aktiver sælges til aktører uden for branchen
begge dele bidrager til et fire-sale.
Bankruptcy and the resolution of financial distress
8
Studiet gennemgår den empiriske litteratur om afvikling af konkurser, herunder salg af aktiver inden for og uden for en egentlig
konkurs. Salg af aktiver sker ikke kun i forbindelse med en konkurs, men er ofte en måde, hvorpå virksomheder forsøger at
afhjælpe problemer i form af manglende likviditet for derved at undgå en konkurs. Studiet gennemgår derudover en del af den
omfattende litteratur vedrørende salg af aktiver i forbindelse med konkurser, primært med fokus på spørgsmålet om hvorvidt
aktiver bliver solgt til fire-sale priser. Litteraturen er generelt samstemmende om at påpege, at salg af aktiver i forbindelse med
tvangsopløsninger ofte sker med tab, samt at fire-sale rabatter typisk er væsentligt højere på aktiver, der er meget specifikke til
den pågældende branche, samt i brancher, der generelt er ramt af økonomisk nedgang.
Kilde: 6.
Bernstein, Shai, Emanuele Colonnelli og Benjamin Iverson (2019), ”Asset Allocation in Bankruptcy”,
The Journal of Fi-
nance
74(1): 5-53
7.
Eckbo, B. Esben og Karin S. Thorburn (2008),
”Automatic bankruptcy auctions and fire-sales”,
Journal of Financial Eco-
nomics
89: 404-422
8.
Hotchkiss, Edith S, Kose John, Robert M. Mooradian og Karin S. Thorburn (2008), ”Bankruptcy and the resolution of finan-
cial
distress” i Eckbo, Espen B. (ed.), Handbook of Empirical Corporate Finance, vol. 2, Elsevier
Det er ikke muligt at følge direkte, hvad der sker med kapitalapparatet, når en virksomhed går konkurs
i Danmark. I stedet kan en indikation være om en konkursramt virksomheds ansatte kollektivt bevæ-
ger sig til nye virksomheder.
Hvis en stor andel af virksomhedens medarbejdere kollektivt bevæger sig til en anden virksomhed, kan
det være et udtryk for, at noget af den viden, kundekontakt eller værdi, der var skabt i den konkurs-
ramte virksomhed overføres til en ny ejer og anden virksomhed. Dette kan ske ved, at arbejdskraften
kollektivt skifter til en anden virksomhed. Dette er dog kun en indikation og kan ikke sige noget om,
hvorvidt kapitalapparatet falder i værdi efter konkurs mv.,
jf. boks B6.7.
142
FIU, Alm.del - 2019-20 - Bilag 190: Rapport fra den økonomiske ekspertgruppe vedrørende udfasning af hjælpepakker
2198255_0144.png
Boks B6.7
Metode til at estimere medarbejderbevægelse
For hver virksomhed der går konkurs er det undersøgt, hvortil arbejdskraften bevæger sig. Det er også undersøgt for virksom-
heder, der ophører. Et sådan exit kan både dække over konkurser, fusioner samt virksomhedsomdannelser til en anden sel-
skabstype. Hvis mere end 10 pct. af medarbejderstaben og 5 medarbejdere i en virksomhed flytter kollektivt til én anden virk-
somhed, defineres det som en kollektiv bevægelse. Den samlede kollektive medarbejderbevægelse fra en virksomhed defineres
som summen af de kollektive skift til en eller flere andre virksomheder. Der er medtaget virksomheder med 10 eller flere med-
arbejdere.
Et simpelt eksempel:
Virksomhed A, der går konkurs, har 100 medarbejdere. 50 af de 100 medarbejdere skrifter kollektivt til
virksomhed B, 35 af de 100 medarbejdere skrifter kollektivt til virksomhed C, 5 af de 100 medarbejdere har ikke noget ar-
bejde året efter, og de resterende 10 skifter til 10 øvrige virksomheder. Her er den samlede kollektive medarbejderbevægelse
således 85 pct.
At betragte medarbejder sammensætning med 1 til 2 års mellemrum er et forholdsvis hårdt kriterie. Idet den naturlige afgang
via pension og anden flytning, altid vil give en vist udskiftning i medarbejder sammensætningen. Det betyder, at det er sjældent
at observere, at bemanding er 100 pct. de samme medarbejdere i år t+1.
Resultaterne viser, at for ca. 30 pct. af de virksomheder, hvor virksomheden går konkurs, sker der en
kollektiv medarbejderbevægelse af medarbejdere til en anden virksomhed. For de øvrige virksomhe-
der, der går konkurs
dvs. ca. 70 pct.
sker der ikke nogen kollektiv bevægelse. Der er store forskelle
på medarbejderbevægelse fra store til små virksomheder ved konkurs og exits. For knap 30 pct. af de
virksomheder med under 50 ansatte, hvor virksomheden går konkurs, sker der en kollektiv medarbej-
derbevægelse af medarbejdere til en anden virksomhed,
jf. figur B6.16.
Tilsvarende sker der kollektiv
medarbejderbevægelse for godt 60 pct. af virksomheder med over 50 ansatte.
Figur B6.16
Den samlede kollektive medarbejderbevægelse fra konkurs- og exitvirksomheder
Pct. af samlede konkurs/exit virksomheder
100
Pct. af samlede konkurs/exit virksomheder
100
80
80
60
60
40
40
20
20
0
Konkurs
Exit
Konkurs
Exit
Mindre end 50 ansatte i konkurs-/exitvirksomhed
Ingen kollektiv medarbejderbevægelse
50 eller flere ansatte i konkurs-/exitvirksomhed
Fra 10 pct. til 50 pct.
Mere end 50 pct.
0
Anm.: I figuren indgår konkurs- og exit virksomheder fra 2009 til 2017. Kollektiv medarbejderbevægelse er defineret som den samlede
andel af medarbejdere i den konkursramte virksomhed, der kollektivt optræder på et nyt cvr-nummer i året efter konkurs og exit i
den registerbaserede arbejdsstyrke. Beregningen er foretaget for virksomheder med 10 eller flere medarbejdere.
Kilde: Danmarks Statistik og egne beregninger.
Der er en svag tendens til, at de brancher, hvor de konkursramte virksomheders samlede aktiver er
høje også er de brancher, hvor andelen af kollektiv medarbejderbevægelse er relativ høj,
jf. figur B6.17.
Detailhandel, restauration og hoteller er angivet ved sorte prikker. Sammenhængen er mere tydelig for
143
FIU, Alm.del - 2019-20 - Bilag 190: Rapport fra den økonomiske ekspertgruppe vedrørende udfasning af hjælpepakker
2198255_0145.png
exit-virksomhederne end for de virksomheder der går konkurs. Dette understreger, at lukning af virk-
somheder er et mindre problem for økonomien end konkurs og exit-data umiddelbart antyder, i det
betydelige dele af den i statistikken ”lukkede” aktivitet faktisk fortsætter mere eller mindre direkte.
Figur B6.17
Sammenhæng mellem kollektiv medarbejderbevægelse og samlede aktiver i virksomheder ved konkurs og
exit
Samlede andel af kollektiv medarbejderbevægelse, pct.
70
Restauranter; kollektiv medarbejder-
bevægelse 5 pct. og den branche med
færrest samlede aktiver per virksomhed
Detailhandel med kultur- og fritidsprodukter,
kollektiv medarbejderbevægelse på 34 pct. og
nummer 21 branche af 79 med færrest
samlede aktiver per virksomhed
70
60
60
50
50
40
40
30
30
20
20
10
10
0
0
10
Ophørte virksomheder
med færrest aktiver
20
30
40
50
60
70
80
0
Rangering efter samlede aktiver
Konkurs
Exit
Ophørte virksomheder
med flest aktiver
Anm.: De sorte prikker angiver brancher for detailhandel, restauration og hoteller mv. Hver observation angiver en branches placering i
forhold til de samlede aktiver på tværs af brancher og den branchespecifikke kollektive medarbejderbevægelse. I data indgår
ophørte virksomheder i perioden 2009-2017.
Virksomhedernes samlede aktiver fra periode ”t-1” er anvendt. Figur B6.18 er base-
ret på samme data. Denne figur har til formål at vise sammenhængen mellem aktiver og kollektiv medarbejderbevægelse for alle
brancher, mens figur B6.18 viser det for top og bund 20 og angiver specifikke brancher.
Kilde: Danmarks Statistik og egne beregninger.
Virksomheder inden for fremstilling og industri har en høj kollektiv medarbejderbevægelse. Det er
også typisk virksomheder inden for disse brancher, der har mange aktiver i form af maskiner mv.,
mens virksomheder inden for restaurationsbranchen og andre servicefag, som har mindre kollektiv
medarbejderbevægelse, typisk er mindre kapitalintensive,
jf. figur B6.18.
144
FIU, Alm.del - 2019-20 - Bilag 190: Rapport fra den økonomiske ekspertgruppe vedrørende udfasning af hjælpepakker
2198255_0146.png
Figur B6.18
Samlede kollektive medarbejderbevægelse efter brancher med flest og færrest aktiver i virksomheder ved exit
Samlede andel af kollektiv medarbejderbevægelse, pct.
0
Fremst. af andet elektronisk udstyr
Engrosh. med korn og foderstof
Engrosh. med it-udstyr
Revision og bogføring
It-konsulenter mv.
Anden engroshandel
Skibsfart
Bilhandel
Fiskeindustri
Fremst. af motorer, vindmøller og pumper
Udlejning af erhvervsejendomme
Engrosh. med føde-, drikke- og tobaksvarer
Slagterier
Anden fødevareindustri
Virksomhedskonsulenter
Betonindustri og teglværker
Telekommunikation
Udlejning og leasing af materiel
Byggeentreprenører
Glasindustri og keramisk industri
Bilværksteder mv.
Reparation af husholdningsudstyr
Rejsebureauer
Detailh. med kultur- og fritidsprodukter
Anden videnservice
Reparation og installation af maskiner og udstyr
Bygningsfærdiggørelse
Murere og anden specialiseret bygge- og anlægsvirksomhed samt…
Vagt og sikkerhedstjeneste
Internethandel, postordre mv.
Arbejdsformidling og vikarbureauer
Ejendomsservice, rengøring og anlægsgartnere
Fragtvognmænd og rørtransport
Post og kurertjeneste
Specialbutikker med fødevarer
Supermarkeder og varehuse mv.
Bagerier, brødfabrikker mv.
Tankstationer
Restauranter
Beklædningsindustri
Top 20 brancher med flest aktiver i exitvirksomhed
10
20
30
40
50
60
Bund 20 brancher med færrest aktiver i
exitvirksomhed
0
10
20
30
40
50
60
Samlede andel af kollektiv medarbejderbevægelse, pct.
Exit
Konkurs
Anm.: Hver søjle angiver den gennemsnitlige samlede kollektive medarbejderbevægelse på baggrund af alle ophørte virksomheder fra
2009 til 2017. Rækkefølgen er sorteret efter (de 20) brancher med exitvirksomheder med flest og færrest samlede aktiver i peri-
ode ”t-1”.
Brancher som har været tvangslukket er markeret med solide søjler.
Kilde: Danmarks Statistik og egne beregninger.
Det tyder således på, at de brancher, hvor værdien af de virksomheder, der ophører, er størst, også er
de brancher, hvor størstedelen af humankapitalen videreføres til andre virksomheder. Det kan indi-
kere, at konkurser generelt ikke medfører større destruktion af kapitalapparat. Der er dog usikkerhed
om styrken af sammenhængen. Det understreger vigtigheden af, at rammerne for smidig overtagelse
og oprettelse af virksomheder er gode.
Fusioner
Et rammevilkår for virksomhedernes risiko for konkurs eller exit er adgangen til kapital enten i form af
lån eller investorer i virksomheden, fx gennem opkøb eller fusioner. Det sidste større tilbageslag var
finanskrisen. I årene lige efter finanskrisen var fusionsaktiviteten faldende. Analyser peger på, at an-
tallet af opkøb fra kapitalfonde ligesom kapitalfondes andel af de samlede opkøb er faldende i økono-
miske tilbageslag. Det peger på, at der i starten af et tilbageslag er mindre kapital til rådighed for virk-
somhederne, hvilket kan retfærdiggøre statsgaranterede låneordninger i situationer som coronakrisen,
hvor tilbageslaget sker meget abrupt,
jf. boks B6.8.
145
FIU, Alm.del - 2019-20 - Bilag 190: Rapport fra den økonomiske ekspertgruppe vedrørende udfasning af hjælpepakker
2198255_0147.png
Boks B6.8
Fusioner igennem kriser
Antallet af anmeldte fusioner lå indtil medio marts, hvor coronakrisen lukkede Danmark ned, stort set på niveau med rekord-
årene 2017 og 2018, hvor fusionsaktiviteten lå ca. 25 pct. over de foregående 5 år med omkring 50 anmeldte fusioner om året.
Det svarer til ca. lidt mere end 4 om måneden. I perioden medio marts til medio maj er der anmeldt fire nye fusioner til KFST,
dvs. 2 om måneden. Antallet af anmeldte fusioner er dermed umiddelbart faldet. Pt. er der i alt 18 fusioner, der enten er afgjort
i 2020, eller er under behandling i Konkurrence- og Forbrugerstyrelsen.
Det er især traditionelle brancher som energi og byggeri, der har anmeldt fusioner i 2020. De 4 fusioner, der er anmeldt efter
Coronakrisen brød ud, omfatter to IT-fusioner og én i henholdsvis Energi og life-science. De største advokathuse forventer en
længere pause i fusionsaktiviteten og fusionsaktiviteten først vender tilbage til et mere normalt niveau et stykke ind i efteråret.
I årene efter finanskrisen faldt antallet af anmeldte fusioner til Europa-Kommissionen også ganske meget.
En analyse har fundet et fald i kapitalfondes andel af transaktionsværdi og antal transaktioner i forbindelse med finanskrisen.
Det indikerer, at der i forbindelse med en økonomisk krise
ud over et fald i selve omfanget af transaktioner
også sker et fald
i kapitalfondes andel af de transaktioner, som gennemføres. Samlet er der således ikke noget, der tyder på en stigning i strategi-
ske opkøb af virksomheder i starten af kriseperioder,
jf. tabel a.
Tabel a
Antallet af anmeldte fusioner, EU-Kommissionen, 2006-2016
2006
Antal an-
meldte
fusioner
2007
2008
2009
2010
2011
2012
2013
2014
2015
2016
356
402
348
259
274
309
283
277
303
337
362
Kilde: 9. Europa-kommissionen og Bain & Company, 2019, Global Private Equity Report 2019.
146
FIU, Alm.del - 2019-20 - Bilag 190: Rapport fra den økonomiske ekspertgruppe vedrørende udfasning af hjælpepakker
Bidragsydere
Frank Rasmussen
Laura Nielsen Wester
Lone Ank
Martin Torp
Martin Ulrik Jensen
Mikkel Baadsgaard
Peter Olsen
Steven Holten Hansen
Susanne Sundgaard Hansen
Søren Hasselpflug
Bettina Rasmussen
Claus Frederiksen Houmann
Michael Skaarup
Christina Charis Godtfredsen
Dorte Høeg Koch
Emilie Rønn Jensen
Geraldine Adrienne Henningsen
Helle Osmer Clausen
Katrine Bagge Thorball
Magnus Skafte-Larsen
Morten Kyster Hvelplund
Søren Gaard
Toke Handberg Jeppesen
147
FIU, Alm.del - 2019-20 - Bilag 190: Rapport fra den økonomiske ekspertgruppe vedrørende udfasning af hjælpepakker
2198255_0149.png
148