Finansudvalget 2019-20
FIU Alm.del Bilag 171
Offentligt
2186361_0001.png
Danmarks
Konvergensprogram
2020
Finansministeriet
MAJ 2020
FIU, Alm.del - 2019-20 - Bilag 171: Danmarks Konvergensprogram 2020 FIU, Alm.del - 2019-20 - Bilag 171: Danmarks Konvergensprogram 2020
2186361_0003.png
Forord
Dette konvergensprogram står i coronakrisens tegn. Coronaen har ramt danskernes og virk-
somhedernes hverdag hårdt. Alle oplever, at det velkendte for en stund er sat ud af drift.
Også dansk økonomi mærker i disse dage konsekvenserne. Den gode udvikling, som vi har
været vant til gennem flere år, er bremset hårdt op. Væksten falder, og mange oplever des-
værre at miste deres job.
Midt i alt det dystre er der også lyspunkter. Danskerne rækker en hjælpende hånd ud og pas-
ser på hinanden. Virksomheder tager hånd om de ændrede vilkår og flere omstiller produktio-
nen, så de kan bidrage til samfundskritiske funktioner. Alle Folketingets partier, arbejdstager-
organisationer og arbejdsgivere lægger for en stund uenighederne til side for at finde fælles
løsninger på helt akutte udfordringer.
Vi har i fællesskab handlet hurtigt og spændt et bredt sikkerhedsnet ud under virksomheder
og arbejdspladser i denne svære tid. Nu begynder vi heldigvis at kunne åbne samfundet
igen. Stille og roligt og kontrolleret, så sygdommen ikke løber løbsk. Regeringen er godt i
gang med dialogen med Folketingets partier om næste fase af genåbningen. I mellemtiden
afbøder de mange hjælpepakker de mest negative konsekvenser for danske arbejdspladser
og danske virksomheder.
Krisen og de nødvendige hjælpepakker medfører et stort offentligt underskud i år. Det sætter
hverken holdbarheden eller tilliden til dansk økonomi over styr, fordi vi var i en stærk position,
da krisen ramte. Men krisen vil efterlade os med en højere gæld. Også derfor er det afgø-
rende, at vi i hele forløbet handler ansvarligt, så der ikke sås tvivl om finanspolitikken og de
lave renter.
FIU, Alm.del - 2019-20 - Bilag 171: Danmarks Konvergensprogram 2020
2186361_0004.png
Når det er sundhedsmæssigt forsvarligt, så går vi ind i en ny fase. En fase, hvor vi skal sætte
gang i hjulene igen, tage fat på de nødvendige omstillinger og genoprette økonomien. Min
ambition er, at vi skal bruge den fase klogt, når vi kommer dertil. Vi står med gode mulighe-
der for at understøtte aktivitet og arbejdspladser, samtidig med at vi styrker vores velfærds-
samfund og gør Danmark grønnere, tryggere og mere retfærdigt. De muligheder skal vi gribe.
Nicolai Wammen
Finansminister
FIU, Alm.del - 2019-20 - Bilag 171: Danmarks Konvergensprogram 2020 FIU, Alm.del - 2019-20 - Bilag 171: Danmarks Konvergensprogram 2020
2186361_0006.png
Kapitel
Fejl!
Ingen tekst
med den
anførte
typografi i
dokumentet.
Fejl! Ingen tekst med den anførte typografi i dokumentet.
4
Aftaler om den kommunale og
regionale økonomi
September 2019
FIU, Alm.del - 2019-20 - Bilag 171: Danmarks Konvergensprogram 2020
2186361_0007.png
1. Politiske tiltag i lyset af
coronaepidemien
Nyt kapitel
I lyset af, at coronaepidemien medfører ekstraordinær stor usikkerhed om den økonomiske
udvikling, har EU-landene aftalt, at der i år vil være tale om en stærkt reduceret udgave af de
sædvanlige konvergensprogrammer mv., som alene fokuserer på den kortsigtede udvikling.
Som udgangspunkt skal landene beskrive et overordnet scenarie for 2020 og 2021, gerne
flere scenarier. Det danske konvergensprogram indeholder således ikke en mellemfristet
fremskrivning i år.
Danmark er – som mange andre europæiske lande – blevet ramt af coronaepidemien i for-
året 2020. Med udbruddet af coronaepidemien og den medfølgende risiko for manglende ka-
pacitet i sundhedsvæsenet blev det på et tidligt tidspunkt besluttet at nedlukke dele af Dan-
mark for at begrænse smittespredningen. Nedlukningen og øvrige forebyggende tiltag har
medvirket til, at smittespredningen i Danmark på nuværende tidspunkt er under kontrol. På
baggrund af en sundhedsfaglig vurdering har regeringen og Folketinget indledt en gradvis og
kontrolleret genåbning af Danmark. Fase 1 i genåbningen er nu igangsat, og der er indledt
politiske forhandlinger om en anden fase af genåbningen.
I det følgende beskrives de gennemførte initiativer for at inddæmme og begrænse sprednin-
gen af COVID-19, den økonomiske situation i forlængelse af coronaepidemien samt de tiltag,
der er besluttet med henblik på at understøtte den danske økonomi. Endvidere redegøres der
for, hvordan den ekstraordinære situation – foranlediget af coronaepidemien – håndteres for
så vidt angår de udgifts- og finanspolitiske rammer i Stabilitets- og Vækstpagten og den dan-
ske budgetlov.
1.1 Initiativer for at inddæmme og begrænse spredningen af COVID-19
For at begrænse spredningen af COVID-19 er der implementeret en række omfattende fore-
byggende tiltag, som indebar en nedlukning af store dele af det danske samfund,
jf. boks 1.1.
De første tiltag, der indebar nedlukning, blev udmeldt den 11. marts 2020, og tiltagene blev
efterfølgende udvidet og forlænget. Mens enkelte forebyggende indsatser allerede er ophæ-
vet som led i fase 1 af genåbningen, er størstedelen som udgangspunkt forlænget frem til og
med den 10. maj 2020.
Tiltagene omfattede blandt andet en nedlukning af skoler, dagtilbud og uddannelsesinstitutio-
ner, hjemsendelse af alle offentligt ansatte (der ikke varetager kritiske funktioner), en opfor-
dring til private arbejdsgivere til at hjemsende flest mulige medarbejdere samt forbud mod
forsamlinger på mere end 10 personer.
Danmarks Konvergensprogram 2020
Maj 2020
7
FIU, Alm.del - 2019-20 - Bilag 171: Danmarks Konvergensprogram 2020
2186361_0008.png
Politiske tiltag i lyset af coronaepidemien
Boks 1.1
Initiativer for at inddæmme og begrænse spredningen af COVID-19 (forud for første fase af
genåbning)
Regeringen har med bred opbakning i Folketinget implementeret en række tiltag for at begrænse sprednin-
gen af COVID-19:
Rejserestriktioner:
Midlertidig grænsekontrol med indrejseforbud ved alle danske grænser. Grænsekontrollen omfatter som
udgangspunkt ikke godstransport.
Udenrigsministeriet har skærpet sine rejsevejledninger. Borgere, der returnerer fra en udlandsrejse, op-
fordres kraftigt til at holde sig hjemme i 14 dage, og alle ikke-nødvendige rejser i hele verden frarådes.
Dagtilbud, skoler og uddannelsesinstitutioner:
Alle offentlige skoler og dagtilbud lukkes, og private institutioner opfordres til at gøre det samme.
Elever og studerende på alle offentlige ungdomsuddannelser, voksenuddannelser og videregående ud-
dannelser sendes hjem. Private institutioner opfordres til at gøre det samme.
De kommunale sprogcentre lukkes for fysisk fremmøde, og private sprogcentre opfordres til at gøre det
samme.
Alle indendørs fritidstilbud og lignende indendørs aktiviteter lukkes.
Kultur, idræt mv.: Alle indendørs kulturinstitutioner, biblioteker, fritidstilbud mv. lukker
Alle indendørs offentlige kulturinstitutioner lukkes, undtaget udbydere af public service for så vidt angår
nyhedsformidling og beredskab. Private kulturinstitutioner opfordres til at gøre det samme.
Radio og fjernsynsforetagender lukkes. Udbydere af public service er undtaget for så vidt angår nyheds-
formidling og beredskab.
Midlertidigt forbud mod indendørs sports- og fritidsfaciliteter mv., herunder bade- og legelade, biografer,
teatre, fitnesscentre og solcentre.
Udendørs forlystelsesparker, zoologiske haver mv. opfordres til at holde lukket.
Midlertidigt forbud mod at afholde og deltage i arrangementer, begivenheder, aktiviteter eller lignende,
hvor flere end 10 personer er samlet. Det samme forbud, men mod at samle flere end 500 personer,
gælder frem til og med den 31. august 2020.
Udendørs sports- og fritidsfaciliteter mv. opfordres til at holde lukket.
Alle folkekirkens kirkebygninger og aktiviteter i sognegården mv. samt lokaler tilhørende trossamfund
lukkes. Religiøse handlinger kan fortsat gennemføres, givet de overholder kravet om højst 10 delta-
gende personer. Ved begravelser og bisættelser gælder deltagergrænsen på 10 personer ikke, men af-
standskrav skal overholdes.
Natklubber, værtshuse, restauranter, cafeer mv.:
Midlertidigt forbud mod natklubber, diskoteker, barer, værtshuse, vandpibecaféer mv., samt mod at mod-
tage gæster i restauranter og på caféer mv.
Butikker mv.:
Midlertidigt forbud mod storcentre, stormagasiner, overdækkede arkader mv.
Midlertidigt forbud mod liberale serviceerhverv, hvor der ikke kan sikres behørig afstand mellem udbyder
og kunde, herunder frisører, tatovører, massører, kosmetologer mv.
Særlige krav til butikker, supermarkeder mv., herunder afstandskrav.
Arbejdsmarkedet:
Alle offentligt ansatte, der ikke varetager kritiske funktioner, sendes hjem
Alle private arbejdsgivere opfordres til at hjemsende flest mulige medarbejdere
Der igangsættes en række initiativer, der skal mindske risikoen for, at vandrende arbejdstagere medbrin-
ger smitte, når de pendler til og fra Danmark.
8
Danmarks Konvergensprogram 2020
Maj 2020
FIU, Alm.del - 2019-20 - Bilag 171: Danmarks Konvergensprogram 2020
2186361_0009.png
Politiske tiltag i lyset af coronaepidemien
Øvrige:
Opfordring til at begrænse brugen af den kollektive trafik.
Opfordring til at tage forholdsregler og holde afstand i den kollektive trafik, samt opfordringer til udby-
derne af den kollektive trafik om at implementere forholdsregler.
Midlertidigt forbud mod besøg på sygehuse og plejehjem, med visse undtagelser.
Midlertidigt forbud på en lang række tilbud efter serviceloven, med visse undtagelser.
Opfordring til at udskyde planlagte grundlovsceremonier.
Den hurtige nedlukning af Danmark i den tidlige fase og tiltag rettet mod at sikre fysisk af-
stand har medvirket til, at udviklingen i coronaepidemien i Danmark er stabiliseret og på nu-
værende tidspunkt vurderes at være under kontrol. Antallet af COVID-19-relaterede indlæg-
gelser, herunder antallet af intensivpatienter er faldet til et stabilt niveau og holder sig inden
for sundhedsvæsenets kapacitet. Dertil kommer, at testkapaciteten er blevet udvidet, så alle
personer med symptomer på coronavirus kan blive testet for sygdommen. Der vil også blive
åbnet for test af medarbejdere fra sundheds- og ældresektoren i takt med udbygningen af
testkapaciteten. Test kan dermed benyttes langt mere offensivt end tidligere i indsatsen for at
holde kontrol med coronavirus.
På baggrund af stabiliseringen af den sundhedsmæssige situation er fase 1 af genåbningen
af Danmark nu igangsat omtrent en måned efter, at de omfattende tiltag blev igangsat.
Fase 1 af genåbningen omfatter blandt andet en genåbning af dagtilbud og de mindste skole-
klasser (0.-5.klasse), genåbning af dele af sundhedsvæsenet samt ophævelse af forbuddet
mod liberale erhverv,
jf. boks 1.2.
Der er desuden igangsat forhandlinger om næste fase af genåbningen med Folketingets par-
tier. Forhandlingerne om genåbningens fase 2 og yderligere faser er igangsat med henblik på
at opnå bred politisk enighed om en plan for vejen ud af sundhedskrisen.
Boks 1.2
Fase 1 af genåbningen
Fase 1 af genåbningen blev annonceret på pressemøde d. 6. april 2020 og blev senere aftalt udvidet
d. 14. april 2020 og d. 17. april 2020. Fase 1 indebærer følgende tiltag:
Dagtilbud og 0. – 5. klasse i skolerne genåbnes.
Dele af sundhedsvæsenet genåbner.
Forbuddet mod liberale serviceerhverv (frisører, tatovører, massører mv.) ophæves.
Domstolene genåbnes.
1.2 Den økonomiske situation og initiativer til at understøtte økonomien
Udbruddet af coronavirus har store sundhedsmæssige og økonomiske omkostninger i hele
verden. Dansk økonomi er også ramt og står over for et historisk stort tilbageslag i 2. kvartal i
år. For 2020 som helhed peger scenarierne for den økonomiske udvikling i konvergenspro-
grammet på, at BNP kan falde mellem 3 og 6 pct. i år, og at ledigheden på årsniveau kan
Danmarks Konvergensprogram 2020
Maj 2020
9
FIU, Alm.del - 2019-20 - Bilag 171: Danmarks Konvergensprogram 2020
2186361_0010.png
Politiske tiltag i lyset af coronaepidemien
stige fra 105.000 personer sidste år til mellem 130.000 og 150.000 personer i år.
1
Den offent-
lige saldo kan udvise et underskud på mellem 7 og 9 pct. af BNP i år. Scenarierne for den
økonomiske udvikling i 2020 og 2021 er beskrevet i kapitel 2 og 3. Der er dog ekstra stor
usikkerhed om udsigterne for dansk økonomi på nuværende tidspunkt.
Coronaepidemien indebærer, at økonomien rammes af både et midlertidigt negativt udbuds-
stød og et midlertidigt negativt efterspørgselsstød. Dansk økonomi påvirkes på forskellig vis
og i forskellig grad af udviklingen i den globale økonomi, inddæmningstiltag, hjælpepakker
samt usikkerhed blandt virksomheder og borgere, som påvirker deres adfærd. Det negative
udbudsstød afspejler blandt andet, at dele af økonomien ikke kan producere under normale
forhold, og at nogle områder er lukket helt ned. Det negative efterspørgselsstød afspejler i
første omgang, at forbrugere er tilbageholdende for at undgå smitte, faldende global efter-
spørgsel efter danske varer og tjenester, og mere generelt at der for både virksomheder og
forbrugere er øget usikkerhed om fremtidig indtjening, jobudsigter og investeringsmuligheder.
På trods af tilbageslaget vurderes det, at der er god mulighed for en bedring senere på året
under forudsætning af, at epidemien forbliver under kontrol.
Produktionspotentialet vil være reduceret, så længe der fortsat er delvise restriktioner, krav
om fysisk afstand på arbejdspladsen og forstyrrede værdikæder, som reducerer produktivite-
ten. Krisen kan også få eftervirkninger i kraft af blandt andet lavere kapitalapparat.
Denne balance mellem reduceret produktionspotentiale og efterspørgsel taler for en fleksibel
tilgang i den økonomiske politik i den kommende tid, så politikken løbende kan tilpasses i takt
med, at der bliver større klarhed over den økonomiske udvikling (både på efterspørgsels- og
udbudssiden). Herunder er det vigtigt at understøtte en høj omstillingsevne på både arbejds-
og produktmarkederne, som længe har været en af styrkerne i dansk økonomi.
Både i Danmark og andre lande er der gennemført markante finans- og pengepolitiske tiltag
for at understøtte økonomien i den aktuelle situation. De danske tiltag bidrager på kort sigt til
at holde hånden under hårdt ramte virksomheder, til at virksomheder kan fastholde medarbej-
dere under epidemien, og til at virksomheder hurtigt vil kunne genoptage produktionen igen i
takt med genåbningen af samfundet. Tiltagene omfatter – ud over økonomiske ressourcer til
bekæmpelse af epidemien – både finanspolitiske hjælpepakker til blandt andet hårdt ramte
virksomheder og medarbejdere samt omfattende tiltag til understøttelse af erhvervslivets likvi-
ditet i form af udskudte betalingsfrister for moms og a-skat mv. samt garantiordninger. Et flek-
sibelt arbejdsmarked og et stærkt socialt sikkerhedsnet bidrager også til, at dansk økonomi
vil kunne komme relativt skånsomt gennem krisen.
De besluttede job- og erhvervsrettede tiltag, der skal bidrage til at afbøde de negative økono-
miske konsekvenser af coronaepidemien, er oplistet i
boks 1.3
og nærmere beskrevet i kapi-
tel 3.
1
Scenarierne for den realøkonomiske udvikling svarer til de scenarier, der fremgår af
Scenarier for dansk økonomi i
lyset af coronavirus,
som er offentliggjort på finansministeriets hjemmeside.
10
Danmarks Konvergensprogram 2020
Maj 2020
FIU, Alm.del - 2019-20 - Bilag 171: Danmarks Konvergensprogram 2020
2186361_0011.png
Politiske tiltag i lyset af coronaepidemien
Boks 1.3
Erhvervs- og jobrettede tiltag
Regeringen har iværksat en række erhvervs- og jobrettede initiativer, der skal bidrage til at modgå de nega-
tive økonomiske konsekvenser af udbruddet af coronavirus. Det drejer sig blandt andet om:
Tilskud mv.:
Midlertidig kompensationsordning for selvstændige mv.
Midlertidig kompensation for virksomheders faste omkostninger
Midlertidig lønkompensationsordning
Midlertidig kompensationsordning for freelancere mv. med både A- og B-indkomst
Forlængelse af periode for dagpenge og sygedagpenge
Sygedagpengerefusion til arbejdsgivere
Varslingspulje og afbureaukratisering af regler vedrørende arbejdsfordeling
Kompensationsordning til arrangører
Kommuner og regioner sættes i 2020 fri af det aftalte anlægsloft
Suspension af 225-timersreglen i kontanthjælpssystemet i fire måneder
Eksport- og investeringspakke
National platform for crowdfunding
Løft af Innovationsfondens Innobooster-ordning i 2020.
Reserve til sygedagpenge til personer i risikogruppen
Friperiode på optjening af seniorpræmie
Styrket kontrol i Erhvervsstyrelsen
Garantier mv.:
Garantiordninger for SMV’er og større virksomheder
Statslig garanti til rejsegarantifonden for at hjælpe rejseselskaber
EKF likviditetskaution og garantiordning til større virksomheder og deres underleverandører
Matchfinansieringstiltag i Vækstfonden (garantirammer og egenkapitalindskud)
Statslig garantidækning til virksomheders handel og eksport
Øvrige likviditet- og finansieringsmuligheder:
Øgede lånemuligheder for elever og studerende
Forlængelse af betalingsfrister personskatter og moms mv.
Offentlige indkøb: Fremrykning af betalinger og fleksibilitet
Mulighed for at kommunerne kan udsætte virksomhedernes betaling af dækningsafgift fra 2020 til 2021
Udbetaling af indbetalt moms og lønsumsafgift (marts-rate for små og mellemstore virksomheder) som et
rentefrit lån
Udskydelse af betalingsfrist for lønsumsafgift for 2. og 3. kvartal 2020
Midlertidig suspension af loftet på skattekontoen
Tidligere udbetaling af skattekreditter
Hertil kommer, at frigivelse af den kontracykliske kapitalbuffer giver bankerne adgang til over 200 mia. kr. i
yderligere kapitalbeholdning, som understøtter bankernes udlånskapacitet.
Tiltagene og hjælpepakkerne har – med de forlængelser og udvidelser, der er blevet aftalt i
løbet af perioden – direkte udgiftsmæssige konsekvenser for godt 100 mia. kr. i 2020, sva-
rende til op mod 5 pct. af BNP. Den første gruppe af tiltag – tilskud mv. i boks 1.3 – består
blandt andet af ekstraordinære og midlertidige kompensationsordninger for at hjælpe virk-
Danmarks Konvergensprogram 2020
Maj 2020
11
FIU, Alm.del - 2019-20 - Bilag 171: Danmarks Konvergensprogram 2020
2186361_0012.png
Politiske tiltag i lyset af coronaepidemien
somhederne og medarbejderne gennem den første del af krisen med nedlukning af betyde-
lige dele af samfundet. Det er den væsentligste del af de finanspolitiske tiltag. Hertil kommer
blandt andet ophævelsen af anlægsrammen for kommuner og regioner, som skønnes at øge
de offentlige investeringer i 2020 med godt 0,1 pct. af BNP. Endvidere er der besluttet en
række statslige garantiordninger og udskydelse af betalingsfrister mv. for i alt ca. 300 mia.
kr., der har til formål at understøtte likviditet i erhvervslivet.
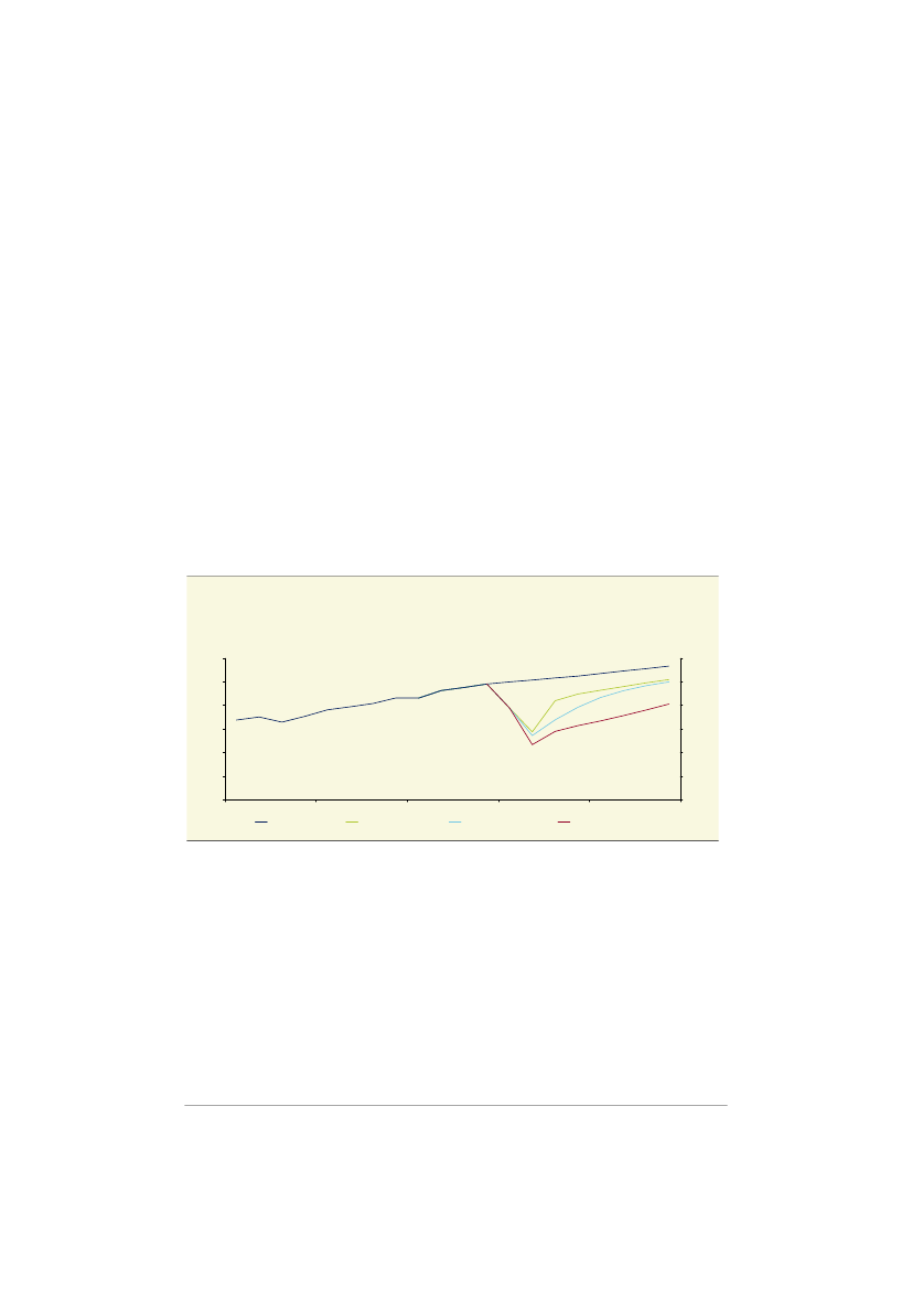
Baseret på udgiftsskønnene for de besluttede tiltag skønnes de markante hjælpepakker med
usikkerhed at holde hånden under beskæftigelsen svarende til i størrelsesordenen 90-
100.000 personer i 2020 opgjort som gennemsnit for hele året. Virkningen er større i de må-
neder, hvor hjælpepakkerne har virkning. Skønnet kan ændre sig i takt med, at der kommer
løbende oplysninger om den faktiske anvendelse af hjælpepakkerne, herunder lønkompensa-
tionsordningen. Tiltagene bidrager således til at afbøde faldet i beskæftigelsen i 2020,
jf. figur
1.1.
Den skønnede beskæftigelseseffekt omfatter ikke de ekstraordinære tiltag for at under-
støtte likviditeten i virksomheder, som også har væsentlig betydning for virksomhederne og
økonomien.
Figur 1.1
Beskæftigelsesudviklingen i det økonomiske midterscenarie med og uden tiltag
(ekskl. likviditetsinitiativer)
Anm.: De beregnede aktivitetsvirkninger er beregnet ud fra skønsmæssige virkninger af de igangsatte til-
skud og garantier mv. samt aftalen med KL vedr. suspendering af anlægsrammen i 2020. De bereg-
nede aktivitetsvirkninger er beregnet ud fra skønsmæssige virkninger af de igangsatte tilskud og
tabsrammen for garantier mv. samt aftalen med KL vedr. suspendering af anlægsrammen i 2020.
Effekten er vist i forhold til scenariet med gradvis genopretning.
Kilde: Danmarks Statistik og egne beregninger.
Når det er sundhedsmæssigt forsvarligt, at åbne samfundet igen, vil den økonomiske politisk
gå ind i en ny fase. En fase, hvor der vil være behov for at sætte gang i hjulene igen, tage fat
på de nødvendige omstillinger og genoprette økonomien. Danmark står med gode mulighe-
der for at understøtte aktivitet og arbejdspladser på en måde, som samtidig styrker velfærds-
samfundet og bidrager til opfyldelsen af Danmarks høje klimaambitioner. Tiltag rettet mod at
stimulere økonomien vil i høj grad skulle times, doseres og sammentænkes med de konkrete
genåbningstrin.
12
Danmarks Konvergensprogram 2020
Maj 2020
FIU, Alm.del - 2019-20 - Bilag 171: Danmarks Konvergensprogram 2020
2186361_0013.png
Politiske tiltag i lyset af coronaepidemien
1.3 De udgifts- og finanspolitiske rammer for håndteringen af COVID-19
De udgifts- og finanspolitiske rammer i Danmark udgøres blandt andet af EU-reglerne samt
budgetlovens underskudsgrænse for den strukturelle saldo på 0,5 pct. af BNP og 4-årige lov-
fastsatte og bindende udgiftslofter for stat, kommuner og regioner. Som følge af den ekstraor-
dinære situation med udbruddet af COVID-19 vil der dog være særlige forhold, som gør sig
gældende for de udgifts- og finanspolitiske rammer for 2020.
EU’s finansministre og stats- og regeringschefer har erklæret, at fleksibiliteten i EU’s fælles
budgetregler vil blive brugt fuldt ud for at tage højde for den aktuelle situation. EU vil således
anvende fleksibiliteten i forhold til særlige begivenheder uden for regeringernes kontrol. Der-
med aktiveres den generelle undtagelsesklausul i reglerne, blandt andet med henblik på at
tillade diskretionære lempelser (ud over de automatiske stabilisatorer) under betingelse af
sikring af den finanspolitiske holdbarhed.
Både effekterne af midlertidige og målrettede tiltag – dvs. udgifter til at inddæmme og afbøde
pandemien, sikre likviditet og beskytte job og indkomst for påvirkede ansatte – og effekterne
af automatiske stabilisatorer vil blive ekskluderet, når efterlevelsen af de finanspolitiske regler
i landene vurderes.
Inden for sunde finanspolitiske rammer er det en vigtig opgave for finanspolitikken at bidrage
til at dæmpe konjunktursvingninger i økonomien. Finanspolitikken kan grundlæggende på-
virke konjunkturstabiliseringen gennem to kanaler – henholdsvis den aktive (diskretionære)
finanspolitik og via de såkaldte automatiske stabilisatorer.
I en lavkonjunktur og særligt i en exceptionel krise som den nuværende er det vigtigt at lade
de automatiske stabilisatorer i økonomien virke. Danmark har – i kraft af et veludbygget vel-
færdssamfund med blandt andet relativt høje kompensationsgrader i overførselssystemet –
store automatiske stabilisatorer, der i den nuværende situation bidrager til en vigtig automa-
tisk stabilisering under tilbageslaget.
Herudover drager Danmark gavn af sit gode udgangspunkt, hvor der for 2020 på baggrund af
den tilrettelagte finanspolitik før coronaepidemien var udsigt til omtrent balance på den struk-
turelle saldo.
I forhold til budgetlovens underskudsgrænse for den strukturelle saldo vil der desuden – på
linje med EU-reglerne og Stabilitets- og Vækstpagten – være mulighed for, at der midlertidigt
kan afviges fra underskudsgrænsen, hvis der er tale om exceptionelle omstændigheder uden
for statens kontrol. På linje med beslutningen blandt EU’s finansministre og stats- og rege-
ringschefer er det den danske regerings vurdering, at coronaepidemien udgør en sådan ex-
ceptionel situation, hvor budgetlovens underskudsgrænse ikke er bindende.
Hertil kommer, at ekstraordinære udgifter, der er direkte relateret til særlige og midlertidige
nødforanstaltninger til inddæmning og afbødning af coronaepidemien, herunder kompensati-
onsordninger for hårdt ramte virksomheder og lønkompensationsordningen, anses som et
særligt forhold af kortvarig og enkeltstående karakter – dvs. et engangsforhold, der ikke på-
virker den strukturelle saldo. Disse merudgifter vil således alene påvirke den faktiske saldo,
men ikke Finansministeriets opgørelse af den strukturelle saldo.
Danmarks Konvergensprogram 2020
Maj 2020
13
FIU, Alm.del - 2019-20 - Bilag 171: Danmarks Konvergensprogram 2020
2186361_0014.png
Politiske tiltag i lyset af coronaepidemien
Engangsforholdene omfatter de tiltag, der er direkte knyttet til inddæmning og umiddelbar af-
bødning som følge af de nødvendige sundhedsrestriktioner mv. Mere generelle finanspoliti-
ske tiltag – svarende til tiltag, der også kan tages i generelle nedgangstider, herunder højere
anlægsinvesteringer – påvirker den strukturelle saldo direkte,
jf. nærmere i bilag 3.2.
Uanset om midlertidige merudgifter har karakter af engangsforhold for den strukturelle saldo
eller ej, vil der være tale om, at tiltagene alt andet lige øger den offentlige gæld. Det er såle-
des vigtigt, at den økonomiske politik i hele forløbet tilrettelægges ansvarligt, så renten ikke
presses op og at der ikke bliver opbygget så stor gæld, at det risikerer at svække handlemu-
lighederne i dansk økonomi, når krisen er ovre.
Finansministeren vil i forhold til udgiftslofterne helt ekstraordinært benytte sin administrative
bemyndigelse i budgetlovens § 12 til at undtage COVID-19-relaterede udgifter fra udgiftslof-
terne i 2020. Det er dermed muligt at afholde COVID19-relaterede udgifter i både stat, kom-
muner og regioner i 2020 uden at fortrænge andre udgifter.
14
Danmarks Konvergensprogram 2020
Maj 2020
FIU, Alm.del - 2019-20 - Bilag 171: Danmarks Konvergensprogram 2020 FIU, Alm.del - 2019-20 - Bilag 171: Danmarks Konvergensprogram 2020
2186361_0016.png
Kapitel
Fejl!
Ingen tekst
med den
anførte
typografi i
dokumentet.
Fejl! Ingen tekst med den anførte typografi i dokumentet.
4
Aftaler om den kommunale og
regionale økonomi
September 2019
FIU, Alm.del - 2019-20 - Bilag 171: Danmarks Konvergensprogram 2020
2186361_0017.png
2. De økonomiske udsigter
Nyt kapitel
Ingen har i dag sikker viden om, hvordan coronaepidemien vil udvikle sig, og hvad de økono-
miske konsekvenser vil være. Konvergensprogrammet bygger ikke på en egentlig prognose
for dansk økonomi, men derimod på en række scenarier, som illustrerer mulige forløb. Sce-
narierne, som ikke udgør ydergrænser for tænkelige forløb, peger på, at BNP kan falde med
mellem 3 og 6 pct. i år, og at ledigheden på årsniveau kan stige fra 105.000 personer sidste
år til mellem 130.000 og 150.000 personer i år. Årsniveauerne dækker over betydelige ud-
sving hen over året.
Udbruddet af coronavirus medfører store økonomiske tab i hele verden, herunder også i Dan-
mark. Konsekvenserne er i høj grad fremkaldt af epidemien i sig selv, som blandt andet får
forbrugere til at begrænse deres aktivitet for at undgå smitte. Dertil kommer de tiltag, som det
har været nødvendigt at sætte i værk for at dæmpe spredningen. Samtidig medfører den ge-
nerelle usikkerhed afledt af virusudbruddet større tilbageholdenhed hos både virksomheder
og forbrugere.
Dansk økonomi var i et stærkt udgangspunkt, da den blev ramt af coronaepidemien. Der
havde været fremgang i økonomien siden 2013. Beskæftigelsen var nået op på et rekordhøjt
niveau, og ledigheden var lav. Selvom økonomien var godt inde i en højkonjunktur, var der
ikke tegn på væsentlige ubalancer, herunder hverken på arbejdsmarkedet eller boligmarke-
det.
Det står klart, at Danmark på linje med andre lande vil opleve et hårdt tilbageslag i 2020. Det
vurderes samtidig, at der er god mulighed for en bedring senere på året under forudsætning
af, at epidemien forbliver under kontrol, hvorved restriktioner kan lempes yderligere. Fraværet
af ubalancer og en række iværksatte erhvervs- og jobrettede tiltag vil understøtte mulighe-
derne for genopretning i takt med genåbningen af samfundet. Samtidig bidrager et fleksibelt
arbejdsmarked og et stærkt socialt sikkerhedsnet til, at dansk økonomi kan komme relativt
godt gennem krisen og relativt hurtigt vil kunne komme på fode igen.
Konvergensprogrammet bygger ikke på en egentlig prognose for dansk økonomi, men der-
imod på en række scenarier, som illustrerer mulige forløb,
jf. boks 2.1.
Danmarks Konvergensprogram 2020
Maj 2020
17
FIU, Alm.del - 2019-20 - Bilag 171: Danmarks Konvergensprogram 2020
2186361_0018.png
De økonomiske udsigter
Boks 2.1
Grundlag for vurdering af udviklingen i dansk økonomi
Der er stadig forholdsvis få økonomiske indikatorer at basere en vurdering af konjunkturudviklingen på. I
den nuværende situation er der ikke et tilstrækkeligt datamæssigt fundament for at lave en egentlig
økonomisk prognose for dansk økonomi. I stedet kan der opstilles scenarier for den økonomiske udvikling
ud fra en helhedsvurdering af dybden af tilbageslaget som følge af det aktuelle fald i efterspørgsel og
produktion og antagelser om hastigheden i en efterfølgende genopretning.
Forløbene for den realøkonomiske udvikling svarer til de scenarier, som blev præsenteret den 9. april i
notatet
Scenarier for dansk økonomi i lyset af coronavirus,
og som kan findes på Finansministeriets
hjemmeside.
Scenarierne beskriver mulige forløb for den økonomiske udvikling og adskiller sig ved forskellige
forudsætninger om epidemiens videre forløb, og hvor hurtigt efterpørgslen og produktionen normaliseres.
Det drejer sig ikke kun om, hvornår forskellige restriktioner kan lempes, men også om udviklingen i
verdensøkonomien og i hvor høj grad tilbageværende usikkerhed sætter sig i mere tilbageholdende
forbrugere og virksomheder og eventuelle skift i forbrugsmønstre og adfærd.
I scenarierne er der indregnet beskæftigelsesvirkningen af de forskellige erhvervs- og jobrettede tiltag, som
midlertidigt holder hånden under dansk økonomi. Derimod er der ikke forudsat yderligere politik, der kan
stimulere efterspørgslen og hjælpe genopretningen på vej, når samfundet efterhånden genåbnes.
Indikationerne på et dansk tilbageslag begyndte at vise sig i slutningen af februar med tilta-
gende tydelighed i marts. Der har eksempelvis været en markant stigning i antallet af nytil-
meldte ledige, og tal for transaktioner med betalingskort viser et tydeligt fald i forbruget efter
den 11. marts, hvor væsentlige restriktioner blev sat i værk i Danmark. Andre indikatorer om-
fatter nedgang i persontransporten, hvilket understøtter indtrykket af mindre pendling og del-
tagelse i arrangementer. Endelig er der sket et ganske betragteligt dyk i både forbrugertilliden
og erhvervstilliden.
Der er stor forskel på gennemslaget af coronaepidemien i de forskellige dele af økonomien.
Nogle erhverv er meget direkte ramt af ændret adfærd for at undgå smitte og de tiltag, der er
taget for at dæmpe virusspredningen. Det gælder fx restauranter, underholdningsindustrien,
turisme og en række øvrige serviceerhverv. Andre erhverv som byggeri og transporterhverv
påvirkes mere indirekte, fx på grund af faldende efterspørgsel fra de direkte berørte brancher.
Industrien og hoteller er i høj grad ramt gennem svækket efterspørgsel fra udlandet, proble-
mer med forstyrrede værdikæder og manglende leverancer til produktionen samt sundheds-
mæssige foranstaltninger på arbejdspladserne. For de fleste erhverv gælder det, at der er ex-
ceptionelt høj usikkerhed og generel tilbageholdenhed hos forbrugerne. Det gælder eksem-
pelvis også i forhold til at handle i de butikker, der holder åbent.
Endvidere giver produktionstab og stigende ledighed anledning til faldende indkomster, redu-
ceret egenkapital i mange virksomheder og værditab på aktiver. Det medfører, at virkninger
kan forplante sig til andre dele af økonomien.
18
Danmarks Konvergensprogram 2020
Maj 2020
FIU, Alm.del - 2019-20 - Bilag 171: Danmarks Konvergensprogram 2020
2186361_0019.png
De økonomiske udsigter
For virksomheder kan disse forhold svække investeringslysten og gøre det sværere at skaffe
finansiering, og for husholdningerne kan det betyde en mindre forbrugslyst. Hertil kommer af-
ledte konsekvenser af, at virksomhedsindskrænkninger og konkurser kan betyde tab af virk-
somhedsspecifik kapital og viden. Endelig påvirkes bankerne også som følge af større tab og
nedskrivninger på udlån. Jo længere tid epidemien varer, jo større vil konsekvenserne være
efterfølgende.
Der vil være et stort produktionstab i Danmark i år. Især vurderes dansk økonomi at blive
hårdt ramt i 2. kvartal med et historisk stort fald i BNP. Ligeledes ventes ledigheden midlerti-
digt at stige til et højt niveau.
En del af produktionstabet i første halvår vil kunne blive indhentet efterfølgende, men andre
dele af tabet vil ikke kunne indhentes og vil til dels også sætte sig i længerevarende lavere
efterspørgsel. Det gælder fx efterspørgslen efter tjenesteydelser fra hoteller og rejsebu-
reauer.
Der er usikkerhed om, hvorvidt coronaepidemien vil give anledning til mere vedvarende ad-
færdsændringer hos husholdninger, virksomheder og i den finansielle sektor. Disse kunne
have form af skift i forbrugsvaner eller ændrede produktionsprocesser og mindre deltagelse i
globale værdikæder affødt af ønsker om en større grad af selvforsyning. I tilfælde af større
adfærdsændringer vil det i et vist omfang kunne føre til mindre global arbejdsdeling og vel-
stand. For nogle lande i verden risikerer epidemien endvidere at føre til finansielle kriser.
Omvendt understøttes muligheden for en relativt hurtig tilbagevenden til normale tilstande af,
at tilbageslaget – modsat under finanskrisen – ikke er affødt af ubalancer i økonomien, men
derimod skyldes et enkeltstående og midlertidigt stød. Samtidig er den finansielle sektor
bedre i stand til at stå imod en konjunkturnedgang. Muligheden for efterfølgende genopret-
ning understøttes endvidere af de mange hjælpepakker, der er gennemført i ind- og udland,
herunder de markante tiltag der gennemføres på EU-niveau.
For at illustrere usikkerhederne præsenteres nedenfor tre scenarier for det videre forløb. Sce-
narierne kan både give en indikation af størrelsesordenen af det stød, der har ramt økono-
mien, og illustrere nogle af usikkerhedsmomenterne i det videre forløb.
I de tre scenarier forudsættes dansk økonomi overordnet at være tæt på fuldt operationel i
andet halvår, set fra produktionssiden, men med varierende grader af tilbageholdenhed og
usikkerhed blandt forbrugere og virksomheder samt udlandet.
De tre scenarier beskrevet nedenfor adskiller sig primært med hensyn til, hvordan epidemien
udvikler sig, og hvor hurtigt og hvor meget økonomien kan ventes at komme sig derefter:
I scenarie 1 antages en
hurtig genopretning
af produktion og beskæftigelse, i takt med
at epidemien er under kontrol, og restriktioner hæves. De gennemførte hjælpepakker og
pengepolitiske foranstaltninger understøtter virksomhedernes soliditet, beskæftigelse og
forbrugertillid. Der vil allerede ske en betydelig genopretning i andet halvår 2020, som
fortsætter ind i 2021. Med de indikationer, der er kommet til om udviklingen i dansk og in-
ternational økonomi siden 9. april, er der tale om en mindre realistisk forventning til de
økonomiske udsigter.
Danmarks Konvergensprogram 2020
Maj 2020
19
FIU, Alm.del - 2019-20 - Bilag 171: Danmarks Konvergensprogram 2020
2186361_0020.png
De økonomiske udsigter
I scenarie 2 antages en mere
gradvis genopretning
som følge af mere tilbageholdende
forbrugere og virksomheder samt mindre efterspørgsel fra udlandet, som samlet set vur-
deres at være mindre godt rustet end Danmark til at modgå de økonomiske effekter af
epidemien. Muligheden for en relativt hurtig genopretning er imidlertid fortsat til stede,
men det vil ske i et langsommere tempo i forhold til det første scenarie.
I scenarie 3 forudsættes epidemiens påvirkning af de vestlige økonomier at være længe-
revarende. Et langvarigt forløb for coronaepidemien øger risikoen for konkurser og endnu
flere afskedigelser i mange lande. Det giver yderligere fald i indkomster og gør forbrugere
og virksomheder mere tilbageholdende med forbrug og investeringer. Der vil i scenariet
kun ske en
begrænset genopretning
af aktivitetsniveauet i Danmark i 2021, navnlig på
grund af svækket eksport, og produktionen vil ligge væsentligt under det normale produk-
tionsniveau. Ledigheden vil være høj, og kapacitetsudnyttelsen i økonomien vil i 2021
ligge på omtrent samme lave niveau som efter finanskrisen.
Der er lagt til grund, at tilbageslaget især rammer i 2. kvartal 2020,
jf. figur 2.1.
For beskæfti-
gelsen er der taget højde for en anslået effekt af de jobrettede tiltag, der indebærer mulighed
for at fastholde medarbejdere trods produktionstab. Disse tiltag betyder, at virksomhederne
vil afskedige i mindre omfang, end produktionsnedgangen umiddelbart tilsiger.
Figur 2.1
BNP-niveau fordelt på kvartaler
Mia. kr.
560
540
520
500
480
460
440
2017
December 2019
2018
Hurtig genopretning
2019
Gradvis genopretning
2020
2021
Begrænset genopretning
Mia. kr.
560
540
520
500
480
460
440
Anm.: December 2019-forløbet er baseret på
Økonomisk Redegørelse, december 2019
opdateret med
nationalregnskabstal for.2019.
Kilde: Danmarks Statistik og egne beregninger.
Scenarierne peger på, at BNP kan falde med mellem 3 og 6 pct. i 2020 som helhed,
jf. figur
2.2,
og at ledigheden på årsniveau kan stige fra 105.000 personer sidste år til mellem
130.000 og 150.000 personer i år. Årsniveauerne dækker over betydelige udsving hen over
året. I alle tre scenarier er det forudsat, at genopretningen vil vare ved ind i 2021. Kun i det
mest positive scenarie vender ledigheden i 2021 tilbage til tæt på det tidligere niveau, mens
ledigheden i det mest negative scenarie er uændret høj i 2021,
jf. figur 2.3.
20
Danmarks Konvergensprogram 2020
Maj 2020
FIU, Alm.del - 2019-20 - Bilag 171: Danmarks Konvergensprogram 2020
2186361_0021.png
De økonomiske udsigter
Der er også andre mulige forløb end de illustrerede, og scenarierne er ikke nødvendigvis
ydergrænser for de mulige udfald. Scenarierne viser mulige udfald under en række overord-
nede forudsætninger om effekterne af coronaepidemien og gennemslaget på dansk og inter-
national økonomi. Muligheden er til stede for, at selv om der ventes en drastisk reduktion i
væksten i en periode og en uundgåelig stigning i ledigheden, så behøver det ikke udvikle sig
til en dybere og mere langvarig krise. Et mere negativt scenarie kan imidlertid blive konse-
kvensen, især hvis udviklingen i udlandet forbliver svag.
Figur 2.2
BNP-niveau
Mia. kr.
2.300
2.200
2.100
2.000
1.900
1.800
1.700
1.600
00
02 04 06 08
December 2019
Gradvis tilpasning
10
12
14 16 18 20
Hurtig tilpasning
Begrænset tilpasning
Mia. kr.
2.300
2.200
Figur 2.3
Ledighed
1.000 personer
250
1.000 personer
250
200
200
2.100
2.000
1.900
1.800
50
50
150
150
100
100
1.700
1.600
0
00
02 04 06 08
December 2019
Gradvis tilpasning
10
12
14 16 18 20
Hurtig tilpasning
Begrænset tilpasning
0
Anm: December 2019-forløbet er baseret på
Økonomisk Redegørelse, december 2019
opdateret med
nationalregnskabstal for 2019.
Kilde: Danmarks Statistik og egne beregninger.
Centrale nøgletal for scenarierne fremgår af tabel 2.1, og i bilagstabellerne findes en række
supplerende tal for midterscenariet med gradvis tilpasning. Det bemærkes, at de mere detal-
jerede vurderinger angående udviklingen i de enkelte efterspørgselskomponenter, herunder
privatforbrug og eksport, er behæftet med ekstra usikkerhed ud over den betydelige usikker-
hed, der allerede er knyttet til den overordnede udvikling. Endvidere skal det understreges, at
det midterste scenarie med gradvis tilpasning ikke nødvendigvis er det mest sandsynlige sce-
narie, men er udtryk for et forløb, der hverken er særskilt optimistisk eller pessimistisk.
Danmarks Konvergensprogram 2020
Maj 2020
21
FIU, Alm.del - 2019-20 - Bilag 171: Danmarks Konvergensprogram 2020
2186361_0022.png
De økonomiske udsigter
Tabel 2.1
Hovedtal fra forskellige scenarier
Hurtig
genopretning
2019
BNP, pct.
Beskæftigelse, 1.000 personer
Ændring i beskæftigelsen, 1.000 personer
Ledighed, 1.000 fuldtidsledige
2,4
2.998
35
104
2020
-3,0
2.969
-30
130
2021
3,9
3.001
32
110
Gradvis
genopretning
2020
-4,4
2.956
-43
138
2021
4,8
2.987
31
119
Begrænset
genopretning
2020
-6,0
2.943
-56
147
2021
2,5
2.942
-1
148
Anm.: Nøgletallene viser alene scenarier for den økonomiske udvikling. Der er ikke tale om en egentlig prognose.
Kilde: Danmarks Statistik og egne beregninger.
Danmarks Nationalbank og De Økonomiske Råds formandskab har også udarbejdet scena-
rier for den økonomiske udvikling i Danmark, der ligeledes peger på et alvorligt tilbageslag i
år,
jf. boks 2.2.
Boks 2.2
Scenarier fra Danmarks Nationalbank og De Økonomiske Råds formandskab
Nationalbanken og De Økonomiske Råds formandskab (vismændene) har henholdsvis 1. april og 6. april
offentliggjort scenarier for den økonomiske udvikling i Danmark. Begge institutioner offentliggør scenarier
snarere end egentlige prognoser på grund af den aktuelt exceptionelt store usikkerhed, og at det endnu er
vanskeligt at vurdere krisens omfang.
Alle forløb viser, at tilbageslaget bliver alvorligt i år, men de illustrerer samtidig, at der kan være god
mulighed for genopretning næste år. Således tilkendegiver både Nationalbanken og vismændene, at de
gennemførte hjælpeinitiativer vil understøtte genopretningen.
Nationalbanken vurderer, at BNP for hele 2020 vil falde med mellem -3 og -10 pct af BNP. Vurderingen
bygger på følgende scenarier:
I et
centralt scenarie
sker der en gradvis genopretning først i Danmark og med en forsinkelse i
udlandet, efterhånden som virusudbruddet kommer under kontrol, og bekymringerne om smitte
mindskes. I slutningen af 2021 vurderes produktionsgabet fortsat at være negativt, primært som følge af
svag efterspørgsel i udlandet.
I et
mildt scenarie
sker der en hurtig genopretning i både Danmark og udlandet, fx som følge af at der
hurtigt udvikles en vaccine eller en effektiv behandling, og produktionsgabet lukkes i løbet af 2021.
I et
hårdt scenarie
trækker genopretningen ud, fx som følge af at udbruddet blusser kraftigt op i
slutningen af 2020, hvis adfærdsændringer viser sig at være længerevarende eller måske vigtigst af alt,
hvis nedgangen i udlandet bliver langvarig og dyb. I dette tilfælde vil der i slutningen af 2021 fortsat
være et betydeligt negativt produktionsgab.
22
Danmarks Konvergensprogram 2020
Maj 2020
FIU, Alm.del - 2019-20 - Bilag 171: Danmarks Konvergensprogram 2020
2186361_0023.png
De økonomiske udsigter
Vismændene vurderer, at BNP vil falde med mellem 3�½ pct. og 5�½ pct. i indeværende år, mens de offentlige
finanser vil udvise et underskud på mellem 6�½ og 9 pct. af BNP. Vurderingen bygger på to scenarier:
I et
optimistisk scenarie
er der forudsat fire uger med fuld nedlukning og derefter en gradvis
genåbning, sådan at alle formelle restriktioner antages at være ophævet umiddelbart efter
sommerferien. Der antages, at der er længerevarende effekter som følge af øget usikkerhed, og den
økonomiske aktivitet vil ligge under det niveau, der ville have været i fravær af coronasmitte i hele andet
halvår af 2020.
I et
pessimistisk scenarie
antages det, at der kommer en anden smittebølge i efteråret, men at den
kun nødvendiggør en nedlukning i halvt så stort omfang som den første nedlukning i foråret. I dette
scenarie vil produktionen ved udgangen af 2020 være mærkbart under det niveau, der kunne være
forventet i fravær af coronaepidemien, og aktivitetsniveauet vil også være markant lavere i 2021.
Kilde: Danmarks Nationalbank: Dansk og international økonomi ramt af pandami, Analyse nr. 4 (offentlig-
gjort den 1. april 2020), De Økonomiske Råds formandskab: Corona-scenarier for dansk økonomi
og de offentlige finanser (offentliggjort den 6. april 2020).
Danmarks Konvergensprogram 2020
Maj 2020
23
FIU, Alm.del - 2019-20 - Bilag 171: Danmarks Konvergensprogram 2020
2186361_0024.png
Kapitel
Fejl!
Ingen tekst
med den
anførte
typografi i
dokumentet.
Fejl! Ingen tekst med den anførte typografi i dokumentet.
4
Aftaler om den kommunale og
regionale økonomi
September 2019
FIU, Alm.del - 2019-20 - Bilag 171: Danmarks Konvergensprogram 2020
2186361_0025.png
3. Offentlig saldo og gæld
samt økonomiske tiltag i lyset
af coronaepidemien
Nyt kapitel
Fremskrivningen af udviklingen i den offentlige saldo og gæld tager afsæt i de tre scenarier
for dansk økonomi i kapitel 2. Fremskrivningen er ikke baseret på konkrete udgifts- og finans-
politiske prioriteringer i 2021, som først fastlægges i forbindelse med finansloven for 2021 og
økonomiaftalerne med kommuner og regioner for 2021. Der er tale om et ”no-policy-change”
scenarie for 2021.
Fremskrivning af den offentlige saldo og gæld er behæftet med væsentlig usikkerhed i lyset
af, at den generelle økonomiske situation er usikker såvel for dansk økonomi som for ver-
densøkonomien.
Udviklingen i de offentlige finanser afhænger i høj grad af konjunkturudviklingen, idet en del
af de offentlige udgifter og indtægter er direkte afhængige af udviklingen i BNP, beskæfti-
gelse, ledighed mv. Det lavere BNP-niveau og den højere ledighed i de tre økonomiske sce-
narier vil således også afspejles i en svækkelse af de offentlige finanser. Den økonomiske
tilbagegang vil blandt andet give sig udslag i lavere offentlige indtægter fra skatter og afgifter
samt højere udgifter til dagpenge og kontanthjælp mv.
I de tre scenarier er der tale om et betragteligt underskud på den faktiske offentlige saldo i
både 2020 og 2021. I scenarierne kan underskuddet udgøre ca. 7-9 pct. af BNP i 2020 og
mellem knap 2 og knap 4 pct. af BNP i 2021,
jf. tabel 3.1.
Tabel 3.1
Faktisk offentlig saldo, 2017-21
Hurtig tilpasning
Gradvis tilpasning
Begrænset tilpasning
2017
Faktisk offentlig saldo,
pct. af BNP
Faktisk offentlig saldo,
mia. kr.
1,5
33,1
2018
0,5
10,7
2019
3,7
84,9
2020
-7¼
-165
2021
-1¾
-43
2020
-8
-180
2021
-2�½
-58
2020
-9
-197
2021
-3¾
-86
Kilde: Danmarks Statistik og egne beregninger.
Danmarks Konvergensprogram 2020
Maj 2020
25
FIU, Alm.del - 2019-20 - Bilag 171: Danmarks Konvergensprogram 2020
2186361_0026.png
Offentlig saldo og gæld samt økonomiske tiltag i lyset af coronaepidemien
Der er i alle tre scenarier tale om offentlige underskud for 2020, der er markante i dansk sam-
menhæng (siden starten af 1980’erne) og større end de offentlige underskud under den glo-
bale finanskrise.
Sammenlignet med vurderingen i
Økonomisk Redegørelse,
december 2019 er den faktiske
offentlige saldo nedjusteret med i størrelsesorden 160-190 mia. kr. i 2020 og 40-80 mia. kr. i
2021 i de tre scenarier.
Nedjusteringen i 2020 kan delvist henføres til midlertidige merudgifter i forbindelse med de
markante hjælpepakker og tiltag, der er gennemført for at holde hånden under dansk er-
hvervsliv, lønmodtagere mv.,
jf. nedenfor.
De besluttede tiltag og hjælpepakker mv. medfører
umiddelbare merudgifter i 2020 på godt 100 mia. kr., men bidrager samtidig til at reducere
andre udgifter, herunder udgifter til arbejdsløshedsdagpenge eller mistede skatteindtægter,
fordi de holder hånden under økonomien. Samtidig er initiativerne en investering i en hurtig
genoptagelse af produktionen, når der åbnes op igen.
Forværringen af den offentlige saldo sammenlignet med december-skønnene afspejler samti-
dig virkningen på de offentlige finanser af konjunkturtilbageslaget. På udgiftssiden er der især
tale om højere udgifter til arbejdsløshedsdagpenge og kontanthjælp mv. afledt af forventet
højere ledighed. På indtægtssiden dæmpes indtægterne fra både skatter og afgifter af redu-
ceret beskæftigelse og privat forbrug mv.
Samlet set giver de tre scenarier således anledning til et midlertidigt højt niveau for de offent-
lige udgifter som andel af BNP på 56¼-58¼ pct. af BNP i 2020, mens de samlede offentlige
indtægter i de tre scenarier udgør omtrent 49¼-49�½ pct. af BNP i 2020,
jf. tabel 3.2.
Tabel 3.2
Udgifts- og indtægtstryk
Hurtig tilpasning
Gradvis tilpasning
Begrænset tilpasning
2017
Offentlige udgifter,
pct. af BNP
Offentlige indtægter,
pct. af BNP
50,2
51,8
2018
49,9
50,4
2019
48,6
52,2
2020
56�½
49¼
2021
50
48¼
2020
57�½
49�½
2021
50�½
48
2020
58�½
49�½
2021
52¾
49
Kilde: Danmarks Statistik og egne beregninger.
Idet de gennemførte hjælpepakker mv. er af midlertidig karakter og således altovervejende
kun har udgiftsvirkning i 2020, reduceres den offentlige udgiftsandel i scenarierne til ca. 50-
53 pct. af BNP i 2021, mens de offentlige indtægter udgør ca. 48-49 pct. af BNP.
Udviklingen i den offentlige saldo frem mod 2025 vil blandt andet afhænge af tempoet i gen-
opretningen af økonomien.
Den offentlige ØMU-gæld var 33 pct. af BNP ved udgangen af 2019, hvilket er et lavt niveau i
international og historisk sammenhæng. I de tre scenarier kan ØMU-gælden potentielt stige
26
Danmarks Konvergensprogram 2020
Maj 2020
FIU, Alm.del - 2019-20 - Bilag 171: Danmarks Konvergensprogram 2020
2186361_0027.png
Offentlig saldo og gæld samt økonomiske tiltag i lyset af coronaepidemien
til mellem 40 og 44 pct. af BNP ved udgangen af 2021 (hvor likviditetstiltagene generelt er til-
bagerullet),
jf. tabel 3.3.
Den i udgangspunktet lave offentlige gæld og de lave renter på gæl-
den betyder, at der har været plads til, at den offentlige gæld forøges som følge af coronaepi-
demien, uden at det sår tvivl om holdbarheden af de offentlige finanser i Danmark.
Tabel 3.2
ØMU-gæld 2017-21
Hurtig tilpasning
Gradvis tilpasning
Begrænset tilpasning
2017
ØMU-gæld, pct. af BNP
35,5
2018
33,9
2019
33,2
2020
40
2021
40¼
2020
40¾
2021
41¼
2020
41�½
2021
44
Kilde: Danmarks Statistik og egne beregninger.
Selv om ØMU-gælden kommer til at stige, ventes den således fortsat – selv i det mest alvor-
lige scenarie – at ligge inden for grænsen på 60 pct. af BNP med en bred margin både i år og
næste år.
Besluttede tiltag og hjælpepakker
Der er som nævnt besluttet en række hjælpepakker og tiltag mv., der har til hensigt at afbøde
de negative økonomiske konsekvenser af coronaepidemien på dansk økonomi,
jf. boks 3.1.
Tiltagene omfatter direkte tilskud for ca. 100 mia. kr., der blandt andet omfatter tre store kom-
pensationsordninger rettet mod virksomheder og medarbejdere:
Lønkompensationsordning:
Virksomheder kompenseres for 75 pct. af lønnen til funktio-
nærer og 90 pct. af lønnen for ikke-funktionærer (dog maksimalt 30.000 kr. per måned)
for medarbejdere, der hjemsendes med fuld løn i stedet for at afskediges. Der er indtil vi-
dere indløbet ansøgninger om kompensation til over 150.000 lønmodtagere.
Kompensationsordning for selvstændige og freelancere:
Små selvstændige, der op-
lever mere end 30 pct. nedgang i omsætningen, kan blive kompenseret. Kompensationen
fra staten er 90 pct. af omsætningstabet, dog maksimalt 23.000 kr. pr. måned (eller op til
46.000 kr. pr. måned, hvis den selvstændige har en medarbejdende ægtefælle).
Kompensationsordning for virksomhedernes faste omkostninger:
Virksomheder, der
forventer markante omsætningstab, kan få kompensation for dokumenterbare faste om-
kostninger. Kompensationsgraden varierer med virksomhedernes omsætningstab,
jf.
boks 3.1.
Herudover er der blandt andet truffet beslutning om en kompensationsordning til arrangører
for aflyste, udskudte eller væsentligt ændrede arrangementer (over 350 deltagere) samt hjæl-
pepakker til kulturområdet, socialt udsatte og efterskoler, højskoler mv.
Hertil kommer tiltag i form af en række statslige garantiordninger og udskydelse af betalings-
frister mv. for i alt ca. 300 mia. kr., der har til formål at understøtte likviditet i erhvervslivet.
Danmarks Konvergensprogram 2020
Maj 2020
27
FIU, Alm.del - 2019-20 - Bilag 171: Danmarks Konvergensprogram 2020
2186361_0028.png
Offentlig saldo og gæld samt økonomiske tiltag i lyset af coronaepidemien
Hertil kommer frigivelse af den kontracykliske kapitalbuffer, der øger bankernes udlånskapa-
citet med i størrelsesordenen 200 mia. kr.
De ekstraordinære og midlertidige tiltag i form af kompensationsordninger, garantiordninger,
låneordninger, udskydelse af betalingsfrister mv., bidrager til at holde hånden under virksom-
hederne i den ekstraordinære situation og medvirker dermed til at forebygge langvarige ne-
gative konsekvenser for dansk økonomi af coronaepidemien.
Hertil kommer merudgifter til offentlige myndighedsopgaver og administration, herunder
blandt andet merudgifter i sundhedsvæsenet, politiet mv. samt udgifter til administration af de
indførte kompensationsordninger.
Boks 3.3
Tilskud, garantier og likviditet for virksomheder mv., der understøtter virksomheder og
arbejdspladser under coronaepidemien
Tilskud mv.:
Midlertidig kompensationsordning for selvstændige (14,1 mia. kr.)
Ordningen betyder, at de små selvstændige, der oplever mere end 30 pct. nedgang i omsætningen som
konsekvens af COVID-19 virus, kan blive kompenseret. Kompensationen fra staten er 90 pct. af omsæt-
ningstabet, dog maksimalt 23.000 kr. pr. måned. Kompensationen kan udgøre op til 46.000 kr. pr. måned,
hvis den selvstændige har en medarbejdende ægtefælle.
Det er også muligt at få støtte fra ordningen for selvstændige uden CVR-nr., som har oplevet et fald i B-ind-
komsten på 30 pct. Den selvstændige kan i så fald få dækket 90 pct. af B-indkomsttabet, dog maksimalt
23.000 kr. pr. måned.
Kompensationsgraden udgør 100 pct. af omsætnings- eller B-indkomsttabet for de selvstændige og free-
lancere, som ved bekendtgørelse har forbud mod at holde åbent og ikke har omsætning eller B-indkomst.
Midlertidig kompensation for virksomheders faste omkostninger (65,3 mia. kr.)
I ordningen kan virksomheder få godtgjort dokumenterbare faste omkostninger, herunder fx husleje, rente-
udgifter og uopsigelige kontraktbundne udgifter i en periode (fx leasing), hvor virksomhederne er udsat for
en stor omsætningsnedgang. Ordningen er gældende fra og med 9 marts. 2020 til og med 8. juli 2020.
Andelen af de faste omkostninger, der kompenseres følger omsætningsnedgangen: 80 pct., hvis omsæt-
ningsnedgangen har været på 80-100 pct., 50 pct. hvis omsætningsnedgangen har været på 60-80 pct., og
25 pct. hvis omsætningsnedgangen har været på 35-60 pct. For virksomheder, som regeringen har udstedt
midlertidigt forbud mod at drive forretning og som ingen omsætning har i perioden, kan få kompensation
svarende til 100 pct. af de omfattede faste omkostninger, så længe forbuddet er gældende.
Virksomheder kan maksimalt få udbetalt 110 mio. kr., ligesom virksomheder som minimum skal have faste
omkostninger svarende til 12.500 kr. for en kompensationsperiode på tre måneder for at kunne få kompen-
sation. For virksomheder, der modtager mere end 60 mio., kr. fra ordningen, er det en betingelse, at virk-
somheden ikke har kapitalafgang, herunder udbetaler udbytte, eller foretager aktietilbagekøb, i regnskabsår
med balancedag i 2020 og 2021, medmindre aktietilbagekøbet sker som følge af individuel aftale med med-
arbejdere i virksomheden eller virksomhedens datterselskab eller virksomhedens bestyrelsesmedlemmer
indgået før 9 marts 2020. Virksomheder der har fået udbetalt kompensation på mere end 60 mio. kr. kan
28
Danmarks Konvergensprogram 2020
Maj 2020
FIU, Alm.del - 2019-20 - Bilag 171: Danmarks Konvergensprogram 2020
2186361_0029.png
Offentlig saldo og gæld samt økonomiske tiltag i lyset af coronaepidemien
vælge at tilbagebetale kompensation modtaget efter reglerne, som er på mere end 60 mio. kr. og derved
opnå at være undtaget fra betingelsen.
Midlertidig lønkompensationsordning (10,2 mia. kr.)
Virksomheder, der står overfor at skulle varsle afskedigelser for minimum 30 pct. af medarbejderstaben el-
ler mere end 50 ansatte, kan med ordningen få lønkompensation.
Lønkompensationen fra staten er 75 pct. af de pågældende medarbejderes løn for funktionærer, dog maksi-
malt 30.000 kr., hvis de vælger at hjemsende medarbejderne i stedet for at afskedige dem. For ikke-funktio-
nærer kan lønkompensationen udgøre 90 pct., dog maksimalt 30.000 kr. pr. måned pr. omfattet fuldtidsan-
sat.
Det samlede udgiftsskøn for ordningen er justeret i forhold til det tidligere forudsatte på baggrund af tal for
foreløbige ansøgninger hos Erhvervsstyrelsen.
Midlertidig kompensationsordning for freelancere mv. med både A- og B-indkomst (0,2 mia. kr.)
Freelancere mv., der oplever et tab i A- og B-indkomst på mindst 30 pct., kan modtage kompensation. Kom-
pensationen udgør 90 pct. af det forventede A- og B-indkomsttab i perioden sammenlignet med forudgå-
ende år, dog maksimalt 20.000 kr. pr. måned.
Målgruppen for ordningen er personer, som har haft en samlet A- og B-indkomst samt skattepligtigt over-
skud fra selvstændig virksomhed på mindst i alt 10.000 kr. i gennemsnit pr. måned i det seneste år. Heraf
skal mindst 5.000 kr. pr. måned skal være B-indkomst, og højst 20.000 kr. må være A-indkomst
Dagpenge og sygedagpenge (0,4 mia. kr. i 2020)
Dagpengemodtageres dagpengeanciennitet sættes på pause. Det betyder, at perioden fra og med 1. marts
til og med 30. juni ikke vil tælle med i den lediges dagpengeanciennitet. Dagpengemodtagere kan derved
modtage dagpenge i op til fire måneder længere.
Derudover suspenderes arbejdsgivernes betaling af dagpengegodtgørelse for 1. og 2. ledighedsdag (G-
dage) midlertidigt for medlemmer af en arbejdsløshedskasse, som bliver omfattet af en arbejdsfordeling el-
ler hjemsendelse fra og med lovens ikrafttræden til og med den 30. juni 2020.
Sygedagpengemodtagere vil få forlænget deres dagpengeperiode med op til fire måneder, hvis de når re-
vurderingstidspunktet i perioden fra 9. marts til 30. juni, og hvis de ikke kan få forlænget udbetalingen af sy-
gedagpenge efter forlængelsesreglerne.
Suspendering af 225-timersreglen (<0,1 mia. kr.)
225-timersreglen i kontanthjælpssystemet suspenderes midlertidigt fra 9. marts til 8. juli 2020. Kontant-
hjælpsmodtagere omfattet af 225-timersreglen får ikke nedsat deres ydelse i suspensionsperioden.
Timekravet for skattefri seniorpræmie nedsættes midlertidigt (<0,1 mia. kr.)
Timekravet for optjening af seniorpræmie på 1.560 timers beskæftigelse over 12 måneder nedsættes til
1.040 timer for personer født 1. halvår 1954. Det svarer til 4 måneders friperiode for optjening af senior-
præmie i perioden fra 1. marts til og med 30. juni 2020.
Danmarks Konvergensprogram 2020
Maj 2020
29
FIU, Alm.del - 2019-20 - Bilag 171: Danmarks Konvergensprogram 2020
2186361_0030.png
Offentlig saldo og gæld samt økonomiske tiltag i lyset af coronaepidemien
Reserve til personer i særlig risikogruppe (0,2 mia. kr.)
Der er endvidere afsat en reserve på 200 mio. kr. til en løsning for personer, der har vanskeligt ved at møde
fysisk på arbejde, fordi de af helbredsmæssige årsager er i en særlig risikogruppe for smitte med COVID-
19.
Sygedagpengerefusion til arbejdsgivere (1,7 mia. kr.)
Der gives udvidet ret til sygedagpenge for selvstændige og sygedagpengerefusion til arbejdsgiverne på
grund af COVID-19.
Der ydes refusion til arbejdsgivere for udbetalt løn og sygedagpenge i de første 30 dage (arbejdsgiverperio-
den). Derudover kan selvstændigt erhvervsdrivende få sygedagpenge fra første fraværsdag i stedet for efter
den almindelige egenperiode på 2 uger.
Varslingspulje og afbureaukratisering af regler vedr. arbejdsfordeling (<0,1 mia. kr.)
Arbejdsfordelingsordningen
gør det muligt midlertidigt at nedsætte den overenskomstmæssige arbejdstid i
en periode, uden at de berørte medarbejdere afskediges, fx i perioder med manglende ordretilgang. Under
en arbejdsfordeling vil det være muligt at få supplerende dagpenge i perioder, hvor man går hjemme pga.
nedsat arbejdstid. Ordningen er gjort mere fleksibel, så virksomhederne hurtigere kan tilpasse sig den aktu-
elle situation. Det skal understøtte, at virksomhederne kan anvende ordningen til at undgå afskedigelser
som følge af COVID-19.
Hvad angår
varslingspuljen,
sikrer regeringen, den er klar til at håndtere en situation, hvor der kan opstår
flere større afskedigelser i. Det sikres derfor, at varslingspuljen hurtigt kan udvides med 10 mio. kr. i 2020,
såfremt det viser sig nødvendigt. Derved kan varslingspuljen fortsat sikre en målrettet indsats til de perso-
ner, der måtte blive opsagt som led i større afskedigelser.
Kompensationsordning til arrangører (2,4 mia. kr.)
Kompensationsordningen henvender sig til arrangører af større arrangementer, som aflyses, ændres væ-
sentligt eller udskydes pga. COVID-19. Ordningen omfatter enkeltstående arrangementer på mere end 350
deltagere.
Ordningen gælder både private arrangører og arrangører, der er primært er finansieret af offentlige driftstil-
skud. Ordningen dækker perioden fra 6. marts til 31. august.
En række kompensationsordninger på kulturområdet mv. (1,3 mia. kr.)
Der er oprettet en række kompensationsordninger, der vedrører kulturlivet og civilsamfundet mv. Der er
bl.a. tale om kompensationsordninger rettet mod medievirksomheder, landsindsamlinger, højskoler, efter-
skoler, idrætsforeninger, frivillige sociale civilsamfundsorganisationer mv.
Der er desuden etableret en støtteordning til kunstnere med kombinationsindkomster samt en pulje til nødli-
dende kulturinstitutioner og revyer.
Innobooster-ordning (0,4 mia. kr.)
Der er afsat midler til et ekstraordinært løft af Innovationsfondens Innobooster-ordning i 2020. Midlerne skal
gå til at understøtte innovationsprojekter i små og mellemstore virksomheder samt iværksættervirksomhe-
der.
30
Danmarks Konvergensprogram 2020
Maj 2020
FIU, Alm.del - 2019-20 - Bilag 171: Danmarks Konvergensprogram 2020
2186361_0031.png
Offentlig saldo og gæld samt økonomiske tiltag i lyset af coronaepidemien
Eksport- og investeringspakke (0,1 mia. kr. i 2020)
Udenrigsministeriets betalingsordning for eksport- og markedsrådgivning reduceres markant i 2020 og
2021, Udenrigsministeriets eksportfremmebevilling i 2021 forøges, og der oprettes en taskforce i Udenrigs-
ministeriet og Erhvervsministeriet, der skal hjælpe dansk erhvervsliv bedst muligt gennem COVID-19-kri-
sen.
National platform for crowdfunding (<0,1 mia. kr.)
Der etableres en national platform i samarbejde med private crowdfundingplatforme, der skal gøre det let-
tere at rejse donationer og rewardbaserede bidrag via crowdfunding
Garantier mv.:
Garantier for udlån til SMV’er og større virksomheder (understøtter 69 mia. kr. i udlån)
Der er indført en række statslige garantiordninger for b.la. pengeinstitutters nyudlån til SMV’er og større
virksomheder. Ordningerne garanterer som hovedregel 70 pct. af bankernes nye udlån til ellers sunde virk-
somheder, der oplever betydelig omsætningsnedgang som følge af COVID-19. Det er en forudsætning for
at blive omfattet af ordningerne, at man har oplevet et omsætningstab på over 30 pct.
Ordningerne administreres af Vækstfonden og EKF Danmarks Eksportkredit. Ordningerne for større virk-
somheder fungerer på markedsvilkår, mens der er afsat tabsrammer til finansiering af SMV-garantierne på
grund af deres højere risikoprofil. Ordningerne er afgrænset til 2020.
Rejsegarantifonden (1,5 mia. kr.)
Med en styrkelse af Rejsegarantifonden er fondens formål midlertidigt udvidet således, at den også kan yde
kompensation for rejseselskabers tilbagebetalingsomkostninger forbundet med aflyste rejser i forbindelse
med Covid-19 i perioden fra 13. marts, hvor Udenrigsministeriet skærpede sin rejsevejledning, og frem til
13. april 2020.
Samtidig har Rejsegarantifonden fået adgang til en statslig garanti på 1,5 mia. kr. med henblik på at sikre,
at fonden har tilpas likviditet til at kunne efterkomme krav om kompensation. Lånet vil blive tilbagebetalt af
rejseselskaberne over en årrække.
Statslig garantidækning til virksomheders handel og eksport
For at sikre de danske virksomheder adgang til forsikring af deres handel og eksport oprettes en statslig
garantidækning, hvor staten påtager sig en del af kreditforsikringsselskabers risiko for tab på porteføljen af
handelsforsikringer tegnet i 2020 til gengæld for, at de private kreditforsikringsselskaber forpligter sig til at
opretholde en vis forsikringskapacitet i det danske marked.
Ordningen administreres af EKF Danmarks Eksportkredit. Der er afsat en statslig garantiramme på 30 mia.
kr. for 2020, heraf en tabsramme på fem mia. kr. Ordningen er afgrænset til 2020.
Matchfinansieringstiltag i Vækstfonden
Der er etableret to matchfinansieringsordninger i Vækstfonden målrettet iværksætterne i de tidligere faser
og venturevirksomheder. Vækstfonden vil på porteføljeniveau finansiere mellem 75 pct. og 100 pct. af finan-
sieringerne med lån. Dvs. at Vækstfonden som minimum vil tilbyde 1:3-matching og for nogle virksomheds-
typer tilbyde fuld statslig finansiering.
Ordningerne gøres tidsbegrænsede og udløber ultimo 2020. Vækstfonden tilføres en særlig garantiramme
på 2.200 mio. kr., heraf 800 mio. kr. i tabsramme, til ordningerne.
Danmarks Konvergensprogram 2020
Maj 2020
31
FIU, Alm.del - 2019-20 - Bilag 171: Danmarks Konvergensprogram 2020
2186361_0032.png
Offentlig saldo og gæld samt økonomiske tiltag i lyset af coronaepidemien
Vækstfonden tilføres endvidere ny kapacitet på 1,2 mia. kr. til investeringer både direkte i virksomheder og
via fonde. Det skal bidrage til at fylde de huller i markedet, der opstår, fordi de private investorer trækker
opad eller helt ud af markedet for risikovillig kapital.
Garantier til SAS fra den danske stat (ca. 1 mia. kr.)
Den danske og den svenske regering har i fællesskab besluttet hver især at stille garantier for SAS. Garan-
tierne skal understøtte SAS’ håndtering af de mest akutte økonomiske konsekvenser som følge af COVID-
19.
Øvrig likviditet og finansieringsmuligheder:
Øgede lånemuligheder for elever og studerende (0,6 mia. kr.)
Muligheden for at optage SU-lån udvides fra marts og til og med juni måned, så elever på ungdomsuddan-
nelserne og studerende får en ret til at optage SU-lån for op til 6.388 kr. per måned ud over deres stipen-
dium og eksisterende mulighed for SU-lån. Udvidelsen gælder både for stipendiemodtagere og for stude-
rende, der er blevet forsinkede og derfor modtager slutlån samt studerende der er i lønnet praktik i perio-
den. Studerende, der har brugt alle SU-klip og slutlånsrater til uddannelsen, eller som har brugt alle SU-klip
og endnu ikke har opnået ret til slutlån til uddannelsen, kan modtage ekstra slutlånsrater (svarende til 8.241.
kr. per måned) fra maj til juni
Forlængelse af betalingsfrister for moms og a-skat mv. (165 mia. kr.)
Betalingsfristen for momsafregning
er midlertidigt udskudt. Det skaber en likviditetsmæssig buffer for virk-
somhederne. Betalingsfristen for store virksomheders momsbetaling forlænges for 3 månedlige rater (beta-
lingerne for marts, april og maj) med 30 dage. For mellemstore virksomheder forlænges betalingsfristen for
første kvartal 2020 med 3 måneder, og for små virksomheder forlænges betalingsfristen for første halvår
2020 med 6 måneder.
Virksomheders betalingsfrist for
A-skat og arbejdsmarkedsbidrag
er midlertidigt forlænget. Det skaber en
likviditetsmæssig buffer for virksomhederne. Betalingsfristerne forlænges for 3 månedlige rater (betalinger
for april, maj og juni) med 4 måneder. Betalingsfristen for B-skatter forlænges ved at betalingen, der ellers
lå den 20 april. 2020, flyttes til den 20 juni 2020, og betalingsfristen den 20. maj 2020 udskydes til den 20
december 2020
Udbetaling af indbetalt moms som rentefrit lån (35,4 mia. kr.)
Små og mellemstore virksomheder, der primo marts 2020 har indbetalt moms for henholdsvis andet halvår
og fjerde kvartal 2019, kan ansøge om at få udbetalt beløbet igen som et rentefrit lån. Hertil kommer, at
virksomheder, der afregner lønsumsafgift efter den såkaldte metode 4, kan ansøge om at få udbetalt løn-
sumsafgift, der er indbetalt den 15. april 2020, som et rentefrit lån. Lånene skal tilbagebetales den 1. april
2021.
Udskydelse af betalingsfrist for lønsumsafgift (0,3 mia. kr.)
Virksomheder, der afregner lønsumsafgift efter den såkaldte metode 4, får udskudt betalingsfristerne for
lønsumsafgift i 2. og 3. kvartal 2020 med henholdsvis 1�½ måned og 1 måned for at styrke likviditeten.
Midlertidig afskaffelse af loftet på skattekontoen
Virksomheder indbetaler skat og moms på skattekontoen. For at loftet på skattekontoen ikke udgør en be-
lastning i forhold til, hvor meget store virksomheder, kan indbetale, suspenderes loftet midlertidigt. Det vil
sikre, at virksomheder, der ikke er likviditetsbegrænsede, fortsat kan indbetale efter de normale betalingsfri-
ster og endvidere styrke statens likviditet.
32
Danmarks Konvergensprogram 2020
Maj 2020
FIU, Alm.del - 2019-20 - Bilag 171: Danmarks Konvergensprogram 2020
2186361_0033.png
Offentlig saldo og gæld samt økonomiske tiltag i lyset af coronaepidemien
Tidligere udbetaling af skattekreditter (1 mia. kr.)
Udbetalingen af skatteværdien af den del af selskabers underskud, der hidrører fra forsknings- og udvik-
lingsaktiviteter (skattekreditter), sker normalt i forbindelse med opgørelsen af slutskatten i november året
efter det indkomstår, som de afholdte udgifter til forsknings- og udviklingsaktiviteter vedrører. Udbetalinger
fra skattekreditordningen vedrørende indkomståret 2019 fremrykkes fra november 2020 til juni 2020 for at
forbedre de pågældende virksomheders likviditet.
Offentlige indkøb: Fremrykning af betalinger og fleksibilitet
Til og med d. 31. oktober 2020 dispenseres fra en række bevillings-og disponeringsregler, der har betyd-
ning for indkøb i den offentlige sektor. Dispensationerne gør det muligt for statslige institutioner at: 1) fore-
tage forudbetaling for leverancer og 2) undlade at gøre misligholdelsesbestemmeler gældende, hvis mislig-
holdelsen kan henføres til COVID-19. Derudover fremrykkes betaling af regninger ift. den seneste betalings-
frist, og alle offentlige institutioner er kraftigt opfordret til at behandle fakturaer så hurtigt som muligt.
Aftaler mellem regeringen, KL og Danske Regioner
Kommuner og regioner sættes i 2020 fri af det aftalte anlægsloft (2,5 mia. kr.)
Regeringen vil ekstraordinært i 2020 sætte kommunerne fri af det aftalte anlægsloft mellem regeringen og
KL, som for 2020 udgør 19,1 mia. kr. Derudover vil regeringen i 2020 sætte regionerne fri af det aftalte an-
lægsloft mellem regeringen og Danske Regioner, som for 2020 udgør 2,5 mia. kr.
Det betyder, at kommuner og regionerne får fri mulighed for at fremrykke investeringer, som alligevel skulle
være udført i de kommende år. Fremrykningen målrettes projekter, der kan igangsættes hurtigt og som ud-
gangspunkt afsluttes i 2020. Det vil medvirke til at understøtte beskæftigelsen her og nu. Det skønnes sam-
let set at kunne give anledning til anlægsudgifter for 2�½ mia. kr. end tidligere forudsat.
Udskydelse af betaling af dækningsafgift af forretningsejendomme (1,1 mia. kr.)
Regeringen og KL er enige om, at kommunerne har mulighed for at udsætte virksomheders betaling af 2.
rate dækningsafgift i 2020 til 2021. Kommunernes forudsatte indtægter for 2. rate af dækningsafgift udgør
1,1 mia. kr. Regeringen opfordrer kommunerne til at anvende muligheden for at udsætte betalingen for at
medvirke til at afhjælpe likviditetsproblemer hos private virksomheder.
Løbende dialog om driftsudgifterne
Regeringen vil sikre, at ekstraordinære udgifter til COVID-19-relaterede tiltag ikke fortrænger øvrige udgifter
til borgernær velfærd.
Regeringen, KL og Danske Regioner har aftalt en løbende dialog om kommunernes og regionernes situa-
tion i relation til COVID-19 og udmøntningen af de initiativer, som regeringen og Folketinget iværksætter, og
vil drøfte de samlede rammer for kommunernes og regionernes økonomi i 2020 og 2021 i forbindelse med
de kommende økonomiforhandlinger.
Finansiering af igangsættelse af anlægsaktiviteter
For at understøtte, at likviditeten ikke er en hindring for igangsætning af anlægsaktiviteter, vil regeringen
give kommunerne mulighed for at få dispensation, så den forøgede anlægsaktivitet kan lånefinansieres. Re-
geringen og KL er derudover enige om at afsætte en generel lånepulje på 500 mio. kr. med henblik på styr-
kelsen af likviditeten til vanskeligt stillede kommuner.
De udgiftsmæssige konsekvenser af tiltagene er sammenfattet i bilag 3.1. Heraf fremgår, at
den samlede udgiftsmæssige virkning af tiltagene skønnes til ca. 4,9 pct. af BNP i 2020 og
tæt på 0 i 2021. Den maksimale forpligtelse afledt af garantiordninger gennemført i 2020 sva-
rer til ca. 3,7 pct. af BNP.
Danmarks Konvergensprogram 2020
Maj 2020
33
FIU, Alm.del - 2019-20 - Bilag 171: Danmarks Konvergensprogram 2020
2186361_0034.png
Kapitel
Fejl!
Ingen tekst
med den
anførte
typografi i
dokumentet.
Fejl! Ingen tekst med den anførte typografi i dokumentet.
4
Aftaler om den kommunale og
regionale økonomi
September 2019
FIU, Alm.del - 2019-20 - Bilag 171: Danmarks Konvergensprogram 2020
2186361_0035.png
Offentlig saldo og gæld samt økonomiske tiltag i lyset af coronaepidemien
Bilag 3.1 Udgiftsvirkning af gennemførte tiltag samt
garantiforpligtelser
En oversigt over den udgiftsmæssige virkning af de besluttede tiltag og hjælpepakker opgjort
i pct. af BNP fremgår af tabel 3.3.
Tabel 3.3
Udgiftsvirkning af diskretionære tiltag
Udgiftsmæssig
virkning opgjort
i pct. af BNP
2020
Ordningen gælder
fra 9. marts til 8. juli
2020 og administre-
res af Erhvervssty-
relsen. Åbnet for an-
søgninger d. 25.
marts 2020.
Ordningen gælder
fra 9. marts til 8. juli
2020 og administre-
res af Erhvervssty-
relsen. Åbnet for an-
søgninger d. 8. april
2020.
Ordningen gælder
fra 9. marts til 8. juli
2020 og administre-
res af Erhvervssty-
relsen. Åbnet for an-
søgninger d. 1. april
2020.
Ordningen gælder
fra 9. marts til 8. juli
2020 og administre-
res af Erhvervssty-
relsen. Åbner for
ansøgninger primo
maj.
2021
Tiltag
Beskrivelse
Udgifts/
indtægtskategori
(ESA-kategori)
Status
Lønkompensation
Kompensation til virksomheder
Subsidier (D.3)
for en del af medarbejderes løn.
-0,5
0,0
Kompensation for
faste omkostninger
Kompensation til virksomheder
for dokumenterbare faste om-
Kapitaloverførsel til
kostninger, herunder fx husleje,
virksomheder (D.9)
renteudgifter og uopsigelige kon-
traktbundne udgifter mv.
-2,9
0,0
Kompensation til
selvstændige mv.
Kompensation til små
selvstændige for en del af
deres omsætningstab.
Kapitaloverførsel til
virksomheder (D.9)
-0,6
0,0
Kompensation til
freelancere mv.
Kompensation til freelancere mv.
Kapitaloverførsel til
for en del af deres A- og B-ind-
virksomheder (D.9)
komsttab.
<0,0
0,0
En række kompensati-
ons/tilskudsordninger til
kulturlivet, civilsamfundet
mv.
En række kompensationsordnin-
ger, der vedrører kulturlivet og ci-
vilsamfundet mv. Der er bl.a. tale
om kompensationsordninger til Overførsler til
landsindsamlinger, højskoler, ef- NPIH'er (D.7)
terskoler, idrætsforeninger, frivil-
lige sociale civilsamfundsorgani-
sationer mv.
Varierer.
<0,0
0,0
Kompensation til
arrangører
Kompensation til private og
offentligt finansierede
Kapitaloverførsel til
arrangører for underskud
virksomheder (D.9)
ifm. aflyste, udskudte eller væ-
sentligt ændrede arrangementer.
Ordningen gælder
fra 6.marts til 31.
august og admini-
streres af hhv. Er-
hvervsstyrelsen og -0,1
Slots- og Kultursty-
relsen. Åbnet for an-
søgninger d. 20.
marts 2020.
0,0
Danmarks Konvergensprogram 2020
Maj 2020
35
FIU, Alm.del - 2019-20 - Bilag 171: Danmarks Konvergensprogram 2020
2186361_0036.png
Offentlig saldo og gæld samt økonomiske tiltag i lyset af coronaepidemien
Ophævelse af de
kommunale og regionale
anlægslofter
Kommuner og regioner sættes fri
af de aftalte anlægslofter for
2020, så kommuner og regioner Offentlige investerin-
får mulighed for at fremrykke in- ger (P51g)
vesteringer, der alligevel skulle
være udført de kommende år.
Anciennitetstællingen for dag-
penge sættes på pause, syge-
dagpengeperioden forlænges,
og G-dage suspenderes mv.
Aktstykke er tiltrådt i
Finansudvalget. Til-
-0,1
taget omfatter hele
2020.
0,0
Lovgivning er vedta-
get i Folketinget. Til-
Indkomstoverførsler
tagene gælder frem <0,0
(D.6)
til og med 30. juni
2020.
Den pågældende
Udvidelse af sygedag-
lovgivning er vedta-
Den arbejdsgiverbetalte syge- Indkomstoverførsler
pengerefusion til
get i Folketinget. Til- -0,1
dagpengeperiode suspenderes. (D.6)
arbejdsgivere mv.
taget udløber d. 1.
januar 2021.
Forskellige tiltag, der som ud-
En række forskellige tiltag
gangspunkt ikke har direkte virk-
som fx udskydelse af beta-
ning på den offentlige saldo, idet
lingsfrister mv., der har til
-
Varierer.
0,0
der overvejende er tale om likvi-
formål at styrke likviditeten
ditetsforskydninger mv.,
jf. uddy-
i erhvervslivet
bende beskrivelse i boks 3.1.
Tabsrammer ifm. garanti-
Tabsrammer ifm. garantier
Kapitaloverførsel til Varierer,
jf. tabel
ordninger, hvor det forventede
-0,5
mv.,
jf. tabel 3.4
virksomheder (D.9)
3.4.
tab udgiftsføres.
Merudgifterne til
Merudgifter til offentlige myndig-
drift registreres lø-
Merudgifter til
hedsopgaver og administration, Offentligt forbrug
bende. Der er fore-
<0,0
driftsopgaver
herunder inden for sundheds-
(P.3)
løbigt registeret
væsen, politi mv.
merudgifter på 0,8
mia. kr. i 2020.
Herunder bl.a. løft af Innovati-
onsfondens Innobooster-ordning,
En række forskellige
eksport- og investeringspakke,
øvrige mindre tiltag
Diverse
Varierer.
<0,0
kunststøtteordning, kompensati-
med udgiftsvirkning
onsordninger til medievirksomhe-
der mv.
Suspension af anciennitet
for dagpenge og
sygedagpenge,
225-timers regel mv.
I alt
-4,9
<0,0
0,0
0,0
0,0
0,0
<0,0
<0,0
Anm.: Negative tal angiver udgifter.
36
Danmarks Konvergensprogram 2020
Maj 2020
FIU, Alm.del - 2019-20 - Bilag 171: Danmarks Konvergensprogram 2020
2186361_0037.png
Offentlig saldo og gæld samt økonomiske tiltag i lyset af coronaepidemien
En oversigt over nye statslige garantiordninger som nævnt i
boks 3.1
fremgår af
tabel 3.4.
Tabel 3.4
Garantiordninger
Garantier
Garantier for lån til små, mellemstore
og store virksomheder
Rejsegarantifonden
Beskrivelse
Status
Maksimal forplig-
telse i pct. af BNP
2,2
0,1
SAS
Matchfinansieringstiltag i
Vækstfonden
Virksomheders handel og eksport
I alt
Statslige garantier for små, mellem- Åbnet for ansøgninger
store og store virksomheder.
Marts II og April I.
Åbnet for ansøgninger
Statsgaranti til Rejsegarantifonden.
d. 6. april 2020.
Den danske og svenske
regering har i fælles-
Statsgaranti til SAS.
skab besluttet at stille-
garantier til SAS.
Garantiramme og kapitalindskud i
Politisk aftale indgået d.
Vækstfonden mhp.at tilvejebringe
18. april. Under imple-
finansiering til iværksætter- og
mentering.
venturevirksomheder.
Garantidækning for en del af kredit- Politisk aftale indgået d.
forsikringsvirksomheders tab ifm.
18. april. Under imple-
virksomheders handel og eksport. mentering.
<0,1
0,1
1,3
3,7
Danmarks Konvergensprogram 2020
Maj 2020
37
FIU, Alm.del - 2019-20 - Bilag 171: Danmarks Konvergensprogram 2020
2186361_0038.png
Kapitel
Fejl!
Ingen tekst
med den
anførte
typografi i
dokumentet.
Fejl! Ingen tekst med den anførte typografi i dokumentet.
4
Aftaler om den kommunale og
regionale økonomi
September 2019
FIU, Alm.del - 2019-20 - Bilag 171: Danmarks Konvergensprogram 2020
2186361_0039.png
Bilag 3.2 Gennemførte tiltag og kategorisering i forhold
til behandling af engangsforhold i opgørelsen af den
strukturelle saldo
Ved den seneste vurdering i
Økonomisk Redegørelse,
december 2019 blev den strukturelle
saldo skønnet til -0,1 pct. af BNP i 2020 og 0,3 pct. af BNP i 2021. Der var således et robust
udgangspunkt med omtrent balance og begyndende overskud inden coronaepidemien ramte.
Den strukturelle saldo er i udgangspunktet upåvirket af konjunkturerne – idet den netop er et
skøn for den underliggende stilling på de offentlige finanser, dvs. renset for konjunktur og en
række andre midlertidige forhold. Dog kan fx større økonomiske kriser have betydning for ek-
sempelvis det strukturelle produktionspotentiale, ligesom højere offentlig gæld og afledte ren-
teudgifter vil kunne påvirke den strukturelle saldo. Hertil kommer naturligvis virkninger af den
førte finanspolitik.
Nedenfor gennemgås behandlingen af gennemførte tiltag i forhold til Finansministeriets op-
gørelse af den strukturelle saldo. I lyset af det store omsving i økonomien og de nuværende
usikkerheder er der til Konvergensprogrammet ikke udarbejdet nye, samlede skøn for den
strukturelle saldo. Der udarbejdes opdaterede skøn for den strukturelle saldo i forbindelse
med
Økonomisk Redegørelse, maj 2020.
Dette skal ses i sammenhæng med, at det kræver
en fuld konjunkturprognose og tilsvarende detaljeret vurdering af de offentlige finanser at fo-
retage en opdateret vurdering af den strukturelle saldo, navnlig i den nuværende, ekstraordi-
nære situation med et stort omsving i økonomien.
Finansministeriet beregning af den strukturelle saldo er en såkaldt top-down metode, som ta-
ger udgangspunkt i den faktiske offentlige saldo korrigeret for beregnede konjunkturpåvirknin-
ger samt en række øvrige midlertidige forhold, herunder afledt af udsving på de finansielle
markeder, samt korrigeret for deciderede engangsforhold.
Der kan således i nogle år være særlige engangsforhold af ikke-tilbagevendende karakter,
som påvirker den faktiske saldo uden at have særlig betydning for den underliggende stilling
på de offentlige finanser. Engangsforhold defineres som
særlige forhold af ikke-tilbageven-
dende karakter og kort varighed.
Vurderingen heraf baseres blandt andet på, hvorvidt tiltaget
kan siges at opfylde følgende kriterier: at de dækker et enkelt (eller meget få) år, er i kraft af
deres iboende karakter (altså ikke den lovmæssige eller udmeldte varighed) af ikke tilbage-
vendende art, og samtidig ikke svækker den finanspolitiske holdbarhed i et nævneværdigt
omfang. Ligeledes korrigeres der kun, når engangsforhold er af en vis størrelsesorden (typisk
afrundet til mindst 0,1 pct. af BNP).
I forhold til vurderingen af engangsforhold vil der generelt være behov for særskilt stillingsta-
gen til opfyldelsen af kriterierne. Det er også tilfældet i det internationale samarbejde. EU-
Kommissionens fem guidelines i forhold til engangsforhold fremgår af
Vade Mecum of the
Stability and Growth Pact (2019-edition), jf. boks 3.2,
og uddybende guidelines og eksempler
fremgår af
Report on Public Finances 2015.
Danmarks Konvergensprogram 2020
Maj 2020
39
FIU, Alm.del - 2019-20 - Bilag 171: Danmarks Konvergensprogram 2020
2186361_0040.png
De engangsforhold, som Finansministeriet korrigerer for i beregningen af den strukturelle of-
fentlige saldo, har historisk både haft karakter af ekstraordinære udgifter (fx engangsudgifter
som følge af udbetaling af efterlønsbidrag i 2012 og 2018) og ekstraordinære indtægter (fx
engangsindtægter i forbindelse med SP-udbetalingen i 2009-2010 og fra omlægning af be-
skatning af eksisterende kapitalpensioner i 2013-15).
Boks 3.2
Guiding principles for the classification of one-off measures
Principle I:
One-off measures are intrinsically non-recurrent. One-off measures are transactions that have,
by their very nature, only a temporary, non-recurrent impact on general government revenue or expenditure.
For it to be the case, a one-off measure must have an inherent characteristic that makes its impact
temporary, i.e. a characteristic that means that it cannot have a sustained impact on the budgetary position.
Principle II:
The one-off nature of a measure cannot be decreed by law or by an autonomous government
decision. In order to ensure timely and effective policy surveillance, it should be possible to evaluate the
one-off nature of a measure unambiguously upon its announcement. For that reason, the one-off nature of a
measure should not depend on whether the policymaker announces the measure as temporary or
permanent.
Principle III:
Volatile components of revenue or expenditure should not be considered one-off. It is clear
that the cyclical part of revenue or expenditure should not be considered as a one-off, as its impact is
already corrected for via the cyclical adjustment of the general government balance (as explained above).
But even after that cyclical adjustment, revenue or expenditure components may still exhibit a significant
degree of volatility. The concept of one-offs is not, however, primarily intended to smooth time series and
should therefore not be used to correct for such volatility.
Principle IV:
Deliberate policy actions that increase the deficit do not, as a rule, qualify as one-offs. The
provisions on one-offs are primarily meant to avoid policy measures that do not lead to a sustained
improvement of the budget balance being treated as structural. In order to give policymakers the right
incentive to fully recognise the permanent budgetary impact of their actions, there is therefore a strong
presumption that deliberate policy actions that increase the deficit are of a structural nature.
Principle V:
Only measures having a significant impact on the general government balance should be
considered one-offs. As a rule, measures worth less than 0.1 % (rounded) of GDP should not be considered
one-offs.
Kilde: Vade Mecum of The Stability and Growth Pact (2019-edition).
Den aktuelle coronoaepidemi indebærer en særlig situation, hvor nødvendige sundhedsre-
striktioner og nedlukninger, og deraf følgende udfordringer for virksomheder mv., relaterer sig
til de typiske karakteristika for engangsforhold, som i
Report on Public Finances 2015 (s. 64)
beskrives som:
”Measures introduced in direct response to ‘exceptional events’ and that have
a very short-term impact. Exceptional events are defined for this purpose as: specific occur-
rences that can be regarded as being beyond the control of the government, and that have
an often sudden impact on the revenue/expenditure or assets/liabilities of the general govern-
ment or of the country, that is temporary by nature and significantly exceeds normal eco-
nomic fluctuations.”
40
Danmarks Konvergensprogram 2020
Maj 2020
FIU, Alm.del - 2019-20 - Bilag 171: Danmarks Konvergensprogram 2020
2186361_0041.png
I Finansministeriets beregning af den strukturelle saldo er udgangspunktet således også, at
de initiativer, der er gennemført i relation til hjælpepakker mv., som direkte er afledte af co-
ronaepidemien og inddæmningen heraf, samt afledte direkte negative konsekvenser relateret
til sundhedsrestriktioner mv., behandles om engangsforhold i beregningen af den strukturelle
saldo. Det vurderes størrelsesmæssigt at gælde langt størstedelen af udgiftsvirkningerne be-
skrevet i kapitel 3
2
.
Generelt gælder fortsat, at tiltag, der har mere generel karakter – herunder tiltag og redska-
ber, som også kan være i brug i mere almindelige tilbageslag, og som generelt sigter på at
understøtte aktivitet i en bred forstand – påvirker den strukturelle saldo svarende til de gene-
relle beregningsprincipper, herunder så den strukturelle saldo afspejler den underliggende
førte finanspolitik for året. Det gælder eksempelvis højere offentlige anlægsinvesteringer, ge-
nerelle erhvervs- og iværksætter vilkår mv.
Generelle ekspansive tiltag afspejles således i den strukturelle saldo, ligesom strukturelle pri-
oriteringer – fx langsigtet opbygning af kapacitet i sundhedsvæsenet eller eksempelvis hånd-
tering af klimaudfordringer mv. – i udgangspunktet vil påvirke den strukturelle saldo. Tilsva-
rende er det således et afgørende kriterie for, at de iværksatte lønkompensationsordninger
mv. har karakter af engangsforhold, at disse dels er midlertidige i kraft af deres iboende na-
tur, dels er knyttet op til en direkte respons til sundhedsrestriktionerne som følge af corona-
epidemien. Alternativt må disse betragtes som generelt understøttende finanspolitik.
Tabel 3.5 viser på den baggrund kategoriseringen af de besluttede tiltag i forhold til virknin-
gen på den strukturelle saldo i Finansministeriets beregning. Hvor så at sige alle de viste til-
tag er taget som reaktion på den internationale coronaepidemi og er besluttet for en midlerti-
dig periode, går skillelinjen mellem hvad der er engangsforhold og hvad der ikke er, i høj grad
mellem (1) tiltag, som direkte er relateret til håndtering af sygdommen samt konsekvenserne
af denne og de besluttede sundhedsmæssige restriktioner i Danmark, i forhold til (2) tiltag,
som er af mere generel efterspørgselsstimulerende eller understøttende karakter, og som
også generelt ville kunne være taget som en respons på en mere almindelig international
økonomisk krise.
Det bemærkes, at EU-Kommissionen henover årene er slået ind på en mere restriktiv kurs i forhold til at klassi-
ficere udgiftsforøgende tiltag som engangsforhold. Det hænger sammen med et ønske om, at medlemslandene
står over for et incitament til fuldt ud at anerkende den varige budgetvirkning af deres tiltag. EU-Kommissionen
valgte fx ikke at behandle engangsudbetalingen af efterlønsbidrag i 2018 som et engangsforhold, modsat behand-
lingen af den tilsvarende udbetaling i 2012, og selv om tiltaget om mulighed for frivillig udmeldelse af efterløns-
ordningen samlet set styrkede den finanspolitiske holdbarhed. Finansministeriet er af den opfattelse, at hjælpe-
pakkerne til hårdt ramte virksomheder mv. under COVID-19--krisen kan ses som en forebyggelse af en bred,
systemisk krise i økonomien, og at der kan drages en parallelitet til, at der ved risiko for kollaps af systemiske
banker kan foretages kapitalindskud, som i henhold til Kommissionens retningslinjer kan klassificeres som en-
gangsforhold. Der er ikke sikkerhed for, at EU-Kommissionen vil anlægge samme klassificering af COVID-19-
relaterede tiltag i EU's opgørelse af den strukturelle saldo for Danmark, som Finansministeriet lægger til grund
for den danske opgørelse i forhold til budgetloven.
2
Danmarks Konvergensprogram 2020
Maj 2020
41
FIU, Alm.del - 2019-20 - Bilag 171: Danmarks Konvergensprogram 2020
2186361_0042.png
Tabel 3.5
Erhvervs- og jobrettede tiltag mv. gennemført i relation til COVID-19-epidemien og kategorisering i
forhold til beregningen af den strukturelle offentlige saldo
Mia. kr.
1. Tiltag der ekskluderes i beregningen af strukturel saldo (engangsforhold)
1)
Lønkompensationsordning
Kompensationsordning for faste omkostninger
Kompensationsordning for selvstændige mv.
Kompensationsordning for freelancere mv. med både A- og B-indkomst
Kompensationsordning til arrangører
En række kompensationsordninger på kultur- og undervisningsområdet, civilsamfund
mv.
Sygedagpengerefusion til arbejdsgivere
Låneordninger i Vækstfonden og EKF
Merudgifter til offentlige myndighedsopgaver og administration
Øvrige tiltag
2. Tiltag der indgår i beregningen af strukturel saldo
Suspension af kommuner og regioners anlægsrammer i 2020
Suspension af anciennitet for dagpenge og sygedagpenge, 225-timers regel, senior-
præmie mv .
Eksport og investeringspakke
Udvidelse af Grøn Innobooster-ordning
Garantidækning til virksomheders handel og eksport
2)
Matchfinansieringsordning i Vækstfonden
2)
Platform for crowdfunding
Udbetaling af indbetalt moms som et lån
2)
Direkte virkning i alt som følge af de gennemførte tiltag (1+2)
2020
-101,6
-10,2
-65,3
-14,1
-0,2
-2,4
-1,3
-1,7
-5,5
-0,8
-0,2
-9,7
(-4,4)
-2,5
-0,5
-0,1
-0,4
-5,0
(-0,7)
-0,8
(-0,1)
<0,0
-0,4
(-0,1)
-111,3
2021
<0,0
-
-
-
-
-
-
-
-
-
<0,0
-0,6
(-1,3)
-
-0,3
-0,1
-
-
(-0,7)
-
(-0,1)
-
-0,2
(-0,1)
-0,6
1)
De beløb, der er anført, afspejler de direkte udgiftsmæssige konsekvenser ekskl. tilbageløb, som også vil have
engangskarakter i opgørelsen af den strukturelle saldo.
2)
Udgiften indgår med et 7-års gennemsnit i opgørelsen af den strukturelle offentlige saldo. I tabellen er angivet
gennemslaget på den faktiske offentlige saldo efterfulgt af virkningen på den strukturelle saldo i parentes.
Kilde: Egne beregninger.
42
Danmarks Konvergensprogram 2020
Maj 2020
FIU, Alm.del - 2019-20 - Bilag 171: Danmarks Konvergensprogram 2020 FIU, Alm.del - 2019-20 - Bilag 171: Danmarks Konvergensprogram 2020
2186361_0044.png
Kapitel
Fejl!
Ingen tekst
med den
anførte
typografi i
dokumentet.
Fejl! Ingen tekst med den anførte typografi i dokumentet.
4
Aftaler om den kommunale og
regionale økonomi
September 2019
FIU, Alm.del - 2019-20 - Bilag 171: Danmarks Konvergensprogram 2020
2186361_0045.png
Bilagstabeller i henhold til EU’s ”Code of Conduct”
Bilagstabeller i henhold til
EU’s ”Code of Conduct”
Tabel 1a
Makroøkonomiske nøgletal
2019
Mia. kr.
Realt BNP
Nominelt BNP
2.131,9
2.321,5
2019
2020
2021
Årlig realvækst i pct.
2,4
3,4
-4,4
-3,1
4,8
6,2
Vækstkomponenter
Privatforbrug
Offentligt forbrug
1)
Faste bruttoinvesteringer
Lagerændringer
2)
Eksport
Import
1.220,3
1.075,9
982,1
524,7
462,4
2,2
0,5
3,4
-0,4
1,6
0,1
-2,0
1,6
-7,8
-1,0
-7,4
-6,2
3,5
0,2
1,9
1,1
5,4
2,9
Bidrag til BNP-vækst
Indenlandsk efterspørgsel
Lagerændringer
Nettoeksport
1,9
-0,0
0,8
Pct.-point
-2,3
-0,0
-1,1
2,1
0,0
1,5
1)
Det offentlige forbrug er i tabel 1a opgjort inkl. afskrivninger.
2)
Ændringer angiver bidrag til BNP-vækst.
Kilde: Danmarks Statistik og egne beregninger.
Danmarks Konvergensprogram 2020
Maj 2020
45
FIU, Alm.del - 2019-20 - Bilag 171: Danmarks Konvergensprogram 2020
2186361_0046.png
Bilagstabeller i henhold til EU’s ”Code of Conduct”
Tabel 2b
Priser
2019
Indeks
BNP-deflator
Privat forbrugs-deflator
HICP-indeks
Offentlig forbrugs-deflator
Investeringspriser
Eksportpriser
Importpriser
108,9
110,0
108,4
106,4
111,4
106,3
106,0
2019
2020
2021
Årlig ændring i pct.
1,0
0,8
-
1,5
0,8
2,2
2,3
0,9
1,1
1,3
1,4
Kilde: Danmarks Statistik og egne beregninger.
46
Danmarks Konvergensprogram 2020
Maj 2020
FIU, Alm.del - 2019-20 - Bilag 171: Danmarks Konvergensprogram 2020
2186361_0047.png
Bilagstabeller i henhold til EU’s ”Code of Conduct”
Tabel 2
Offentlige finanser (EDP-form)
2019
Mia. kr.
Nettofordringserhvervelse i
delsektorer
Samlet offentlig sektor
(EDP-form)
Statslig sektor
Kommunal sektor
Sociale kasser og fonde
2019
2020
Pct. af BNP
2021
84,9
84,9
0,0
0,0
3,7
3,7
0,0
0,0
-8,0
-2,4
Offentlige finanser (S13)
Samlede indtægter
Samlede udgifter
Samlet offentlig saldo
Renteudgifter
Primær saldo, EU-definition
1)
One-off
2)
1.212,7
1.127,8
84,9
16,5
101,4
-0,5
52,2
48,6
3,7
0,7
4,4
0,0
49,4
57,4
-8,0
1,0
-7,0
-4,8
48,0
50,5
-2,4
0,9
-1,6
-0,4
Offentlige indtægter
Samlede skatter og afgifter
3)
Produktions- og importskatter
Løbende indkomst- og for-
mueskatter
Kapitalskatter
Obligatoriske sociale bidrag
4)
Renteindtægter mv.
5)
Øvrige (residual)
6)
Samlede indtægter
p.m.: Skattetryk
7)
1.085,6
363,5
715,9
6,2
0,9
23,7
102,4
1.212,7
1.089,7
46,8
15,7
30,8
0,3
0,0
1,0
4,4
52,2
46,9
44,2
15,9
28,0
0,3
0,0
1,0
4,2
49,4
44,4
42,9
15,4
27,3
0,2
0,0
0,9
4,1
48,0
43,1
Danmarks Konvergensprogram 2020
Maj 2020
47
FIU, Alm.del - 2019-20 - Bilag 171: Danmarks Konvergensprogram 2020
2186361_0048.png
Bilagstabeller i henhold til EU’s ”Code of Conduct”
Tabel 2 (fortsat)
Offentlige finanser (EDP-form)
2019
Mia. kr.
Offentlige udgifter
Lønsum og forbrug i
produktionen
- Lønsum
- Forbrug i produktionen
Samlede sociale overførsler
- Sociale overførsler i
naturalier
6)
- Indkomstoverførsler
Renteudgifter
Subsidier
Brutto kapital-akkumulation
Kapitaloverførsler
Øvrige (residual)
6)
Samlede udgifter
p.m.: Offentligt forbrug
547,3
348,7
198,6
397,3
31,7
365,6
16,5
37,8
73,8
6,4
48,7
1.127,8
558,0
23,6
15,0
8,6
17,1
1,4
15,7
0,7
1,6
3,2
0,3
2,1
48,6
24,0
25,1
16,0
9,1
18,5
1,5
17,0
1,0
2,2
3,6
4,7
2,3
57,4
25,7
24,2
15,3
8,8
17,5
1,4
16,1
0,9
1,6
3,4
0,6
2,2
50,5
24,7
2019
2020
Pct. af BNP
2021
Offentlig gæld
770,8
33,2
40,7
41,2
Defineret som EDP-definition af offentlig saldo plus EDP-definition af renteudgifter.
Indeholder kun deciderede engangsforhold og ikke korrektion for udsving i de særlige poster, der
indgår i Finansministeriets beregning af den strukturelle saldo – herunder for så vidt angår
udsving i pensionsafkastskatten og indtægterne fra Nordsøen, idet der ikke er udarbejdet skøn for
den strukturelle saldo. De engangsforhold, der er indregnet i tabel 2 indeholder hhv.
engangstiltag direkte relateret til COVID-19 situationen svarende til -101,6 mia. kr. i 2020, jf.
også bilag 3.2. Herudover indgår øvrige engangsforhold svarende til skønnene herfor i
Økonomisk Redegørelse, december 2019 som vedrører hhv. fremrykkede ordinære indtægter fra
kapitalpensionsafgiften i 2019 som følge af omlægningen i 2013-2015 (svarer til -0,5 mia kr.) og
tilbagebetaling af ejendomsskat i 2020 og 2021 (forudsat svarende til -6,6 mia. kr. i 2020 og og -
9,5 mia. kr. i 2021).
3)
Defineret som summen af produktions- og importskatter, løbende indkomst- og formueskatter
samt kapitalskatter. Posten indeholder med andre ord ikke obligatoriske sociale bidrag, der
traditionelt indgår i skattetrykket.
4)
Indeholder ikke frivillige og imputerede sociale bidrag, idet disse ikke indgår i skattetrykket.
5)
Indeholder renteindtægter samt udbytter og jordrente mv.
6)
Danmarks Statistik offentliggør ikke tal for alle undergrupperne (P.11+P.12+P.131+D.39+D.7+
D.9 (ekskl. D.91), D.6311, D.63121, D.63131, D.29+D.4 (ekskl. D.41)+D.5+D.7+D.9+P.52+
P.53+K.2+D.8), og der udarbejdes ikke skøn i fremskrivningerne for disse enkeltkomponenter.
7)
Defineret som summen af produktions- og importskatter (inkl. EU-ordninger), løbende
indkomst- og formueskatter, kapitalskatter og obligatoriske sociale bidrag.
Kilde: Danmarks Statistik og egne beregninger.
1)
2)
48
Danmarks Konvergensprogram 2020
Maj 2020
FIU, Alm.del - 2019-20 - Bilag 171: Danmarks Konvergensprogram 2020
Maj
2020
Finansministeriet
Christiansborg Slotsplads 1
1218 København K
Tlf. : +45 3392 3333
E-mail: [email protected]
ISBN 978-87-93823-27-3 (digital version)
2019/20:4
Omslag: Regeringens Kommunikationsenhed
Layout: Finansministeriet
Publikationen kan hentes på
www.fm.dk
/
www.regeringen.dk
FIU, Alm.del - 2019-20 - Bilag 171: Danmarks Konvergensprogram 2020
2186361_0050.png
Finansministeriet
Christiansborg Slotsplads 1
1218 København K
Tlf. : +45 3392 3333
E-mail: [email protected]