Finansudvalget 2019-20
FIU Alm.del Bilag 159
Offentligt
2178219_0001.png
April 2020
— 12/2019
Rigsrevisionens beretning afgivet
til Folketinget med Statsrevisorernes
bemærkninger
Momskontrollen
FIU, Alm.del - 2019-20 - Bilag 159: Beretning 12/2019 om momskontrollen
12/2019
Beretning om
momskontrollen
Statsrevisorerne fremsender denne beretning med
deres bemærkninger til Folketinget og vedkommende
minister, jf. § 3 i lov om statsrevisorerne og § 18, stk. 1,
i lov om revisionen af statens regnskaber m.m.
København 2020
Denne beretning til Folketinget skal behandles ifølge lov om revisionen af statens regnskaber, § 18:
Statsrevisorerne fremsender med deres bemærkning Rigsrevisionens beretning til Folketinget og vedkom-
mende minister.
Skatteministeren afgiver en redegørelse til beretningen.
Rigsrevisor afgiver et notat med bemærkninger til ministerens redegørelse.
På baggrund af ministerens redegørelse og rigsrevisors notat tager Statsrevisorerne endelig stilling til beret-
ningen, hvilket forventes at ske i oktober 2020.
Ministerens redegørelse, rigsrevisors bemærkninger og Statsrevisorernes eventuelle bemærkninger samles
i Statsrevisorernes Endelig betænkning over statsregnskabet, som årligt afgives til Folketinget i februar må-
ned – i dette tilfælde Endelig betænkning over statsregnskabet 2019, som afgives i februar 2021.
FIU, Alm.del - 2019-20 - Bilag 159: Beretning 12/2019 om momskontrollen
2178219_0003.png
Statsrevisorernes bemærkning tager udgangspunkt i denne karakterskala:
Karakterskala
Positiv kritik
finder det meget/særdeles positivt
finder det positivt
finder det tilfredsstillende/er tilfredse med
Kritik under middel
Middel kritik
finder det ikke helt tilfredsstillende
finder det utilfredsstillende/er utilfredse med
påpeger/understreger/henstiller/forventer
beklager/finder det bekymrende/foruroligende
Skarp kritik
kritiserer/finder det kritisabelt/kritiserer skarpt/og indskærper
påtaler/påtaler skarpt
Skarpeste kritik
påtaler skarpt og henleder særligt Folketingets opmærksomhed på
Henvendelse vedrørende
denne publikation rettes til:
Statsrevisorerne
Folketinget
Christiansborg
1240 København K
Tlf.: 3337 5987
[email protected]
www.ft.dk/statsrevisorerne
Yderligere eksemplarer kan
købes ved henvendelse til:
Rosendahls Lager og Logistik
Vandtårnsvej 83A
2860 Søborg
Tlf.: 4322 7300
[email protected]
www.rosendahls.dk
ISSN 2245-3008
ISBN trykt 978-87-7434-655-5
ISBN online 978-87-7434-656-2
FIU, Alm.del - 2019-20 - Bilag 159: Beretning 12/2019 om momskontrollen
2178219_0004.png
Statsrevisorernes bemærkning
Statsrevisorernes
bemærkning
Statsrevisorerne
Beretning om momskontrollen
Virksomhedernes afregning af moms til staten er væsentlig og udgør ca.
20 % af skatteindtægterne. Årligt angiver virksomhederne positive moms-
angivelser på ca. 425 mia. kr. og negative momsangivelser på ca. 225 mia.
kr. Virksomhedernes momsafregning bygger på et selvangivelsesprincip,
hvor virksomhederne selv angiver moms til afregning, uden at de skal
medsende dokumentation. Det medfører store risici for fejl og svig og be-
hov for effektiv kontrol med, at virksomhedernes afregning af moms er
korrekt.
Statsrevisorerne påtaler på det skarpeste, at Skatteministeriets kon-
trol med, om virksomhederne afregner korrekt moms, har været sær-
deles kritisabel og utilstrækkelig. Det har medført milliardtab i statens
momsindtægter.
Statsrevisorerne kritiserer skarpt, at Skatteforvaltningens utilstræk-
kelige kontrol og udnyttelse af lovhjemler har muliggjort, at virksom-
heder har kunnet fortsætte driften og opbygge momsgæld, selv om de
ikke har angivet og betalt moms.
Statsrevisorerne henleder Folketingets opmærksomhed på, at forvalt-
ningen af momsområdet ikke har levet op til Folketingets intentioner.
Statsrevisorerne baserer bl.a. dette på:
At Skatteforvaltningen kun har kontrolleret 2 % af virksomhederne
om året, på trods af at kontrollerne viste, at over halvdelen af virk-
somhederne havde angivet forkert moms – i alt 18,1 mia. kr. for lidt
moms over en 3-årig periode. Virksomhedernes samlede momsgæld
til Skatteforvaltningen er steget fra 10,3 mia. kr. i 2014 til 16,7 mia. kr.
i 2018.
17. april 2020
Henrik Thorup
Klaus Frandsen
Villum Christensen
Frank Aaen
Britt Bager
Flemming Møller Mortensen
FIU, Alm.del - 2019-20 - Bilag 159: Beretning 12/2019 om momskontrollen
2178219_0005.png
Statsrevisorernes bemærkning
At Skatteforvaltningen ikke har udnyttet lovhjemlen til at udstede på-
bud og bøder til de virksomheder, der ikke angiver moms. I stedet har
Skatteforvaltningen fastsat relativt lave foreløbige momsangivelser på
8.000 kr. for nye virksomheder og virksomheder, der ikke har angi-
vet 4 gange i træk, uden at sikre sig, at virksomhederne erstatter den
foreløbige fastsættelse med en angivelse. Dette på trods af, at Skatte-
forvaltningens kontrol af 733 virksomheder uden angivelse gav anled-
ning til en momsforhøjelse i 85 % af tilfældene.
At Skatteforvaltningen ikke har stoppet virksomheder ved at fratage
dem deres momsregistrering efter 4 foreløbige fastsættelser i træk,
selv om der er lovhjemmel hertil. Dette på trods af, at virksomheder,
der ikke angiver moms, ofte også har momsgæld, der således kan op-
bygges yderligere. Momsgælden for virksomheder med foreløbige
fastsættelser udgjorde 6,7 mia. kr. ultimo 2018.
At Skatteforvaltningen årligt sender momsgæld på ca. 4,1 mia. kr. til
inddrivelse uden at rykke de mere end 40.000 virksomheder, der i
forvejen har gæld, hvilket er i strid med opkrævningsloven.
At Skatteforvaltningen stort set ikke har implementeret inddatakon-
troller i de digitaliserede selvbetjeningsløsninger, der kan bidrage til,
at virksomhederne angiver korrekt moms. Dette på trods af, at virk-
somhederne ikke skal medsende dokumentation, og at ubevidste og
bevidste fejl kun opdages, hvis virksomheden bliver kontrolleret.
At antallet af manglende angivelser fra 2013 til 2018 stiger fra 40.000
til 130.000.
Statsrevisorerne finder det særdeles relevant, at Skatteministeriet har
igangsat tiltag, der skal forbedre kontrollen og regelefterlevelsen på
momsområdet.
FIU, Alm.del - 2019-20 - Bilag 159: Beretning 12/2019 om momskontrollen
Indholdsfortegnelse
1. Introduktion og konklusion ....................................................................................................... 1
1.1. Formål og konklusion ........................................................................................................................... 1
1.2. Baggrund .................................................................................................................................................... 4
1.3. Revisionskriterier, metode og afgrænsning ............................................................................. 6
2. Skatteforvaltningens opfølgning over for virksomheder, der ikke angiver
moms ............................................................................................................................................... 9
2.1. Rykkerprocedure ................................................................................................................................ 11
2.2. Fastsættelse af foreløbige momstilsvar ................................................................................. 13
2.3. Inddragelse af virksomhedernes momsregistrering ........................................................ 18
3. Skatteforvaltningens indsats for at sikre, at virksomheder angiver korrekt
moms ............................................................................................................................................ 22
3.1. Inddatakontrol ...................................................................................................................................... 23
3.2. Kontrol med virksomhedernes angivelser ............................................................................. 27
4. Skatteforvaltningens reaktion over for virksomheder, der ikke betaler
moms ............................................................................................................................................ 34
4.1. Rykkerprocedure ................................................................................................................................ 37
4.2. Kreditbegrænsning og sikkerhedsstillelse............................................................................. 39
Bilag 1. Metodisk tilgang ..................................................................................................................................... 41
Bilag 2. Ordliste ....................................................................................................................................................... 48
FIU, Alm.del - 2019-20 - Bilag 159: Beretning 12/2019 om momskontrollen
Rigsrevisionen har selv taget initiativ til denne undersøgelse og af-
giver derfor beretningen til Statsrevisorerne i henhold til § 17, stk. 2,
i rigsrevisorloven, jf. lovbekendtgørelse nr. 101 af 19. januar 2012.
Rigsrevisionen har revideret regnskaberne efter § 2, stk. 1, nr. 2,
jf. § 3 i rigsrevisorloven.
Beretningen vedrører finanslovens § 9. Skatteministeriet.
I undersøgelsesperioden har der været følgende ministre:
Karsten Lauritzen: juni 2015 - juni 2019
Morten Bødskov: juni 2019 -
Beretningen har i udkast været forelagt Skatteministeriet, hvis
bemærkninger er afspejlet i beretningen.
FIU, Alm.del - 2019-20 - Bilag 159: Beretning 12/2019 om momskontrollen
Introduktion og konklusion |
1
1. Introduktion og
konklusion
1.1.
Formål og konklusion
Angivelse og betaling
1. Denne beretning handler om Skatteministeriets reaktioner over for virksomheder,
der ikke angiver eller betaler korrekt moms.
2. Vi har for perioden 2016-2018 undersøgt, hvordan Skatteforvaltningen reagerer
over for virksomhederne, hvis de ikke angiver eller betaler moms, og hvordan Skatte-
forvaltningen arbejder med at sikre, at virksomhedernes angivelser er korrekte. Der-
udover har vi for samme periode så vidt muligt undersøgt konsekvenserne i form af
mistede skatteindtægter af virksomhedernes manglende eller ukorrekte angivelser
og af virksomhedernes manglende betalinger.
3. Momsområdet er et af de væsentligste i det danske skattevæsen og berører næs-
ten alle virksomheder. Virksomhederne angiver således årligt ca. 425 mia. kr. i form
af positive angivelser og ca. 225 mia. kr. i negative angivelser. Samlet set svarer det
til, at hver 5. skattekrone opkræves i form af moms. Desuden er momsområdet ken-
detegnet ved, at det er virksomhederne selv, der indberetter såvel positiv som nega-
tiv moms, uden at de skal medsende dokumentation. Dette medfører en væsentlig
større risiko for fejl og svig end på de områder, hvor angivelser i høj grad sker i form
af tredjepartsindberetninger. Som en række større svindelsager på momsområdet
de seneste år viser, har flere virksomheder udnyttet forskellige muligheder for at
svindle med moms.
4. Formålet med undersøgelsen er at vurdere, om Skatteministeriet i tilfredsstillende
grad kontrollerer, om virksomhederne afregner korrekt moms. Vi besvarer følgende
spørgsmål i beretningen:
Virksomhedernes angivelse
og betaling foregår uafhæn-
gigt af hinanden, så en korrekt
afregning forudsætter, at bå-
de angivelsen og betalingen er
korrekt.
Har Skatteforvaltningen i tilfredsstillende grad fulgt op over for virksomheder, der
ikke angiver moms?
Har Skatteforvaltningen i tilfredsstillende grad kontrolleret, om de virksomheder,
der har angivet moms, har angivet korrekt?
Har Skatteforvaltningen i tilfredsstillende grad reageret over for virksomheder,
der ikke betaler moms?
Rigsrevisionen har selv taget initiativ til undersøgelsen i januar 2019.
FIU, Alm.del - 2019-20 - Bilag 159: Beretning 12/2019 om momskontrollen
2178219_0009.png
2
| Introduktion og konklusion
Hovedkonklusion
Skatteministeriets kontrol med, om virksomhederne afregner korrekt
moms, har i undersøgelsesperioden været kritisabel. Konsekvensen er, at
der er stor risiko for manglende momsindtægter for et væsentligt milliard-
beløb, og at virksomheder har kunnet fortsætte driften og opbygge moms-
gæld, selv om de ikke har angivet og betalt moms.
Skatteministeriet anerkender, at der er forvaltningsmæssige udfordringer på moms-
området, og ministeriet har derfor igangsat en række tiltag til at forbedre kontrollen
og regelefterlevelsen på området.
Skatteforvaltningens opfølgning over for virksomheder, der ikke angiver moms,
er kritisabel
Foreløbigt fastsatte
momstilsvar
Modtager Skatteforvaltningen
ikke en angivelse fra virksom-
heden, fastsætter Skattefor-
valtningen et skønsmæssigt
foreløbigt momstilsvar. Det er
hensigten, at virksomheden
efterfølgende skal erstatte
den foreløbige fastsættelse
med en (korrekt) angivelse.
Foreløbige fastsættelser, der
endnu ikke er blevet erstattet
af angivelser, kaldes åbne fo-
reløbige fastsættelser.
Undersøgelsen viser, at Skatteforvaltningen ikke udnytter hjemlen til at give påbud og
bøder til virksomhederne for at få dem, der ikke angiver moms, til at angive. Skatte-
forvaltningen fastsætter et foreløbigt momstilsvar, men sikrer ikke, at virksomhederne
erstatter det foreløbigt fastsatte momstilsvar med en angivelse. Antallet af foreløbige
fastsættelser er derfor steget kraftigt i perioden 2013-2018, så der ultimo 2018 var
59.000 virksomheder med foreløbige fastsættelser. En af årsagerne til, at virksomhe-
derne ikke erstatter med en korrekt angivelse, kan være, at den foreløbige fastsættelse
er fastsat så lavt, at virksomheden ikke har incitament til at ændre den. Skatteforvalt-
ningen har kontrolleret 733 af virksomhederne, og resultatet var, at 85 % af de kon-
trollerede virksomheder fik forhøjet deres momstilsvar med i alt 576 mio. kr. De reste-
rende foreløbige fastsættelser, der ikke er kontrolleret, udgjorde 2,8 mia. kr. ultimo
2018, men de store forhøjelser indikerer efter Rigsrevisionens vurdering, at de forelø-
bige fastsættelser dækker over manglende angivelser for et betydeligt større beløb.
Derudover har Skatteforvaltningen kun i begrænset omfang frataget momsregistrerin-
gen fra virksomheder med 4 foreløbige fastsættelser i træk og har dermed ikke udnyt-
tet hjemlen til at stoppe virksomheder, der ikke angiver moms. Da virksomheder, der
ikke angiver, ofte opbygger gæld, har Skatteforvaltningens manglende indsats betydet,
at flere virksomheder har kunnet fortsætte med at opbygge gæld. Momsgælden for de
virksomheder, der har foreløbige fastsættelser, udgjorde 6,7 mia. kr. ultimo 2018.
Skatteministeriet har udarbejdet en handleplan og afsat midler til at styrke området
og forventer, at alle virksomheder fra 2021 vil få frataget momsregistreringen, så snart
de har fået 4 foreløbige fastsættelser, medmindre de på baggrund af Skatteforvaltnin-
gens henvendelse angiver.
Skatteforvaltningens kontrol med, om virksomhederne har angivet korrekt moms,
er kritisabel
For det første har Skatteforvaltningen stort set ikke implementeret inddatakontroller,
der kan bidrage til, at virksomhederne angiver korrekt, selv om rammerne for moms-
angivelser giver virksomhederne mulighed for at angive, hvad de vil. Dette kan enten
resultere i, at virksomhederne angiver og betaler mindre moms, end de skal, eller at
de angiver og får udbetalt negativ moms, som de ikke er berettiget til.
FIU, Alm.del - 2019-20 - Bilag 159: Beretning 12/2019 om momskontrollen
2178219_0010.png
Introduktion og konklusion |
3
For det andet vurderer Rigsrevisionen, at Skatteforvaltningen med de gennemførte
kontroller ikke i tilfredsstillende grad har sikret, at virksomhederne har angivet korrekt
moms. Skatteforvaltningen har således kun kontrolleret 2 % af virksomhederne om
året, selv om kontrollerne viste, at mere end halvdelen af de kontrollerede virksomhe-
der havde angivet forkert, og at de kontrollerede virksomheder i alt havde angivet 18,1
mia. kr. for lidt i moms i den 3-årige periode. Heriblandt var der en fejl i en enkelt ne-
gativ angivelse på 6 mia. kr., som Skatteforvaltningen opdagede i forbindelse med ud-
betalingskontrollen. De høje reguleringer afspejler, at virksomhederne er kontrolleret
på baggrund af en risikovurdering. Rigsrevisionen vurderer dog, at der samlet set er
stor risiko for væsentlige tab af momsindtægter blandt de 98 % af virksomhederne i de
enkelte år, som ikke er blevet kontrolleret.
Denne vurdering skal ses i lyset af mulighederne for at angive for lidt moms og bygger
for det første på, at der er fundet meget store reguleringer ved kontrol af forholdsvist
få virksomheder. For det andet bygger den på, at Skatteforvaltningens egen repræsen-
tative undersøgelse af små og mellemstore virksomheder viser, at hver anden virksom-
hed har fejl i én eller flere momsangivelser i løbet af indkomståret, og at virksomhe-
derne i 90 % af tilfældene har angivet for lidt.
Skatteministeriet har oplyst, at kontroltrykket på momsområdet afspejler en tværgå-
ende prioritering baseret på risiko og væsentlighed inden for de rammer, som Skatte-
forvaltningen har til rådighed, og at en yderligere indsats inden for momsområdet alt
andet lige vil reducere indsatsen på andre risikofyldte områder, der også er prioriteret
på baggrund af risiko og væsentlighed. Derudover henviser ministeriet til internatio-
nale undersøgelser af momsgab, der viser, at momsgabet i Danmark er på niveau med
andre sammenlignelige lande.
Momsgabet
Momsgabet betegner forskel-
len mellem de potentielle
momsindtægter (hvor regelef-
terlevelsen er 100 %) og de
faktiske momsindtægter.
Momsgabet kan ikke opgøres
præcist, men der findes for-
skellige metoder til at estime-
re det.
Skatteforvaltningens reaktion over for virksomheder, der ikke betaler moms, er
utilfredsstillende
For det første rykker Skatteforvaltningen ikke de mere end 40.000 virksomheder, der
i forvejen har gæld, i forbindelse med gældens oversendelse til inddrivelse, selv om
det fremgår af loven, at Skatteforvaltningen skal. Det betyder, at Skatteforvaltningen
årligt sender momsgæld svarende til 4,1 mia. kr. til inddrivelse, uden at de har rykket
virksomhederne. For det andet udnytter Skatteforvaltningen ikke de muligheder, de
har i loven for at stoppe gældsopbygning blandt virksomheder, der over en længere
periode ikke har betalt moms. Undersøgelsen viser, at de momsregistrerede virksom-
heders momsgæld er steget fra 10,3 mia. kr. i 2014 til 16,7 mia. kr. i 2018, og at deres
samlede gæld til Skatteforvaltningen er steget fra 18 mia. kr. til 43,8 mia. kr. i samme
periode.
FIU, Alm.del - 2019-20 - Bilag 159: Beretning 12/2019 om momskontrollen
2178219_0011.png
4
| Introduktion og konklusion
1.2. Baggrund
Dokumentation for
momsangivelsen
Ifølge momslovens § 74 har
Skatteforvaltningen til enhver
tid adgang til bl.a. at efterse
regnskabsmateriale, og så-
dant materiale skal efter an-
modning udleveres til Skatte-
forvaltningen.
5. Virksomhedernes momsafregning bygger i Danmark på selvangivelsesprincippet.
Dette indebærer, at momsregistrerede virksomheder selv skal angive, hvor meget
moms de på baggrund af køb og salg af momspligtige varer og ydelser skal indbetale
eller have udbetalt. Kun i de tilfælde, hvor virksomhederne bliver udtaget til kontrol,
skal de indsende dokumentation vedrørende angivelsen.
6. Alle momsregistrerede virksomheder skal angive moms inden angivelsesfristen for
perioden. Ved salg af varer eller ydelser til en dansk kunde skal salget som hovedregel
pålægges moms, og virksomheden skal angive den moms, der opkræves hos købe-
ren i forbindelse med salget som
salgsmoms.
Modsat skal virksomheden angive den
moms, den selv har betalt i forbindelse momspligtige indkøb i perioden, som
købs-
moms.
Hvis virksomhedens salgsmoms overstiger periodens købsmoms, vil der være
tale om en positiv angivelse, hvor virksomheden skal betale forskellen mellem salgs-
momsen og købsmomsen til staten. Hvis periodens købsmoms derimod overstiger
periodens salgsmoms, vil der være tale om en negativ angivelse, hvor virksomheden
vil få udbetalt forskellen mellem købsmomsen og salgsmomsen fra staten. Har virk-
somheden ikke haft momspligtige aktiviteter i perioden, skal virksomheden indberet-
te 0 kr. (en såkaldt 0-angivelse).
Skatteforvaltningen modtager i alt ca. 1,4 mio. angivelser om året. Ca. 60 % er positi-
ve, ca. 25 % er negative, og ca. 15 % af angivelserne er 0-angivelser.
7. De enkelte virksomheders momstilsvar kan variere meget fra angivelse til angivel-
se, både med hensyn til momstilsvarets størrelse og med hensyn til, om nettotilsvaret
er positivt eller negativt. Dels kan forholdet mellem købsmoms og salgsmoms variere,
så virksomhedernes nettotilsvar nogle gange er positivt andre gange negativt. Dels
kan størrelsen på momstilsvaret variere, afhængigt af hvor meget virksomheden har
købt eller solgt den pågældende periode. Figur 1 viser et eksempel på en virksomheds
månedlige angivelser i 2018 og illustrerer, hvordan momsregistrerede virksomheders
angivelser kan variere i en given periode.
Figur 1
Salg af varer i EU
Ved salg af varer eller ydelser
til virksomheder i andre EU-
lande faktureres der uden
moms. Derfor vil eksportvirk-
somheder typisk have negati-
ve momsangivelser.
En virksomheds angivelser i 2018
(Mio. kr.)
15
10
5
0
-5
August
Juni
Maj
Juli
September
November
Januar
Kilde:
Rigsrevisionen på baggrund af oplysninger fra Skatteforvaltningen.
December
Februar
Marts
April
Oktober
FIU, Alm.del - 2019-20 - Bilag 159: Beretning 12/2019 om momskontrollen
Introduktion og konklusion |
5
Det fremgår af figur 1, at samme virksomhed i løbet af et år angiver både positive og
negative momstilsvar, og at størrelsen på angivelserne varierer mellem 14,1 mio. kr. og
÷4,6 mio. kr.
Den store variation i virksomhedernes angivelser indebærer, at det kan være svært
for Skatteforvaltningen alene på baggrund af angivelsen at gennemskue, om den er
korrekt. Skatteforvaltningen skal derfor gennemføre en kontrol, som giver adgang til
den enkelte virksomheds momsregnskab og bogføring, hvis Skatteforvaltningen skal
opdage bevidste eller ubevidste fejl.
8. Det er Skatteforvaltningens opgave at sikre, at virksomheder afregner korrekt
moms, og Skatteforvaltningen har flere instrumenter til dette formål.
For det første kan Skatteforvaltningen sikre, at indberetningssystemet i videst muligt
omfang understøtter, at virksomhederne angiver korrekt moms. Dette kan Skattefor-
valtningen gøre via inddatakontroller, der enten reducerer muligheden for at indbe-
rette forkerte momstilsvar eller guider virksomheden i retning af korrekte momsangi-
velser. I forlængelse heraf kan Skatteforvaltningen også vejlede virksomhederne. For
det andet kan Skatteforvaltningen gennemføre risikobaseret kontrol af virksomhe-
dernes angivelser, enten umiddelbart efter virksomhederne har angivet og/eller på et
senere tidspunkt som led i kontrolprojekter. For det tredje kan Skatteforvaltningen
gøre brug af de sanktionsmuligheder, der findes i loven, med henblik på at få virksom-
hederne til at angive og med henblik på at sanktionere dem, der ikke gør.
Såvel Skatteforvaltningens kontrol som deres brug af sanktioner er vigtig for at vise
virksomhederne, at det har konsekvenser, hvis de ikke afregner korrekt moms. Derud-
over bidrager kontrollen til at mindske tabet af skatteindtægter. Det gælder både for
negativ og positiv moms, omend der er forskel på, hvornår og i hvilken grad effekten
relation til momsprovenuet indfinder sig. Hvor udbetalingskontrol af negative moms-
angivelser har direkte og umiddelbar effekt på momsprovenuet, fordi den forhindrer,
at moms uretmæssigt bliver udbetalt, indfinder effekten på momsprovenuet af kontrol
med positive angivelser sig først i det øjeblik, virksomheden betaler den moms, den
retteligt skulle have betalt.
9. Der var ultimo 2018 ca. 505.000 momsregistrerede virksomheder i Danmark.
Momsprovenuet udgjorde i 2018 ca. 200 mia. kr., svarende til 20 % af de samlede
skatteindtægter, og har været svagt stigende i forhold til andelen af forbruget og BNP
de seneste 20 år.
Kontrolprojekter
Skatteforvaltningens efter-
kontrol består af en lang ræk-
ke kontrolprojekter, der er ud-
valgt på baggrund af risiko og
væsentlighed på tværs af
skattearter.
FIU, Alm.del - 2019-20 - Bilag 159: Beretning 12/2019 om momskontrollen
2178219_0013.png
6
| Introduktion og konklusion
10. Både Skatteforvaltningen og EU har estimeret momsgabet i Danmark for 2017.
Skatteforvaltningen estimerer momsgabet til 4 % af det potentielle momsprovenu
(svarende til 8,5 mia. kr.), mens EU estimerer det til 7 % (svarende til 16,5 mia. kr.). Fi-
gur 2 viser EU-landenes momsgab i forhold til det potentielle momsprovenu.
Figur 2
EU-landenes momsgab i forhold til det potentielle momsprovenu
40%
35%
30%
25%
20%
15%
10%
5%
0%
Spanien
Tjekkiet
Cypern
Holland
Bulgarien
Kroatien
Tyskland
Letland
Storbritannien
Luxembourg
Danmark
Slovakiet
Sverige
Estland
Frankrig
Portugal
Litauen
Irland
Finland
Belgien
Ungarn
Italien
Polen
Malta
Grækenland
Østrig
Kilde:
EU’s rapport:
Study and reports on VAT gap in the EU-28 member states
fra 2019.
Opgørelse af momsgab
Både Skatteforvaltningens og
EU’s opgørelser er behæftet
med usikkerhed, da de ikke
bygger på kontrol af et repræ-
sentativt udsnit af virksomhe-
der, men på aggregerede,
makroøkonomiske data, der
anvendes til at estimere det
samlede teoretiske momspo-
tentiale og momsgab.
Straf for moms-
unddragelse
Det fremgår af figur 2, at EU-landenes momsgab varierer mellem 0,6 % og 35,5 % af
momsprovenuet, og at Danmark ligger på en 12. plads.
Ifølge Skatteforvaltningen vil der altid være et momsgab, da det ikke muligt at opnå
fuldkommen regelefterlevelse i praksis. Momsgabet opstår på grund af skatteyder-
nes manglende regelefterlevelse som følge af fejl, manglende kendskab til reglerne
samt unddragelse og svig, og selv hvis alle skatteydere ønskede at være regelefterle-
vende, ville der kunne opstå fejl i deres bogføring og regnskaber.
Strafferammen for forsætlig
momsunddragelse af særlig
grov karakter er 8 år. En per-
son, der undlod at angive
moms, og som ved kontrol fik
fastsat sit momstilsvar til ca.
540.000 kr., blev fx idømt 3
måneders ubetinget fængsel
og en bøde svarende til moms-
tilsvaret.
1.3. Revisionskriterier, metode og afgrænsning
Revisionskriterier
11. Det er virksomhedens pligt at angive og betale den moms, den skal i henhold til
momsloven, og det er strafbart forsætligt eller groft uagtsomt at unddrage moms ved
ikke at angive eller angive forkerte oplysninger. Samtidig er det Skatteforvaltningens
ansvar at sikre, at afregning af skatter, moms og afgifter foretages korrekt, så borge-
re og virksomheder betaler det, de skal.
Rumænien
Slovenien
FIU, Alm.del - 2019-20 - Bilag 159: Beretning 12/2019 om momskontrollen
Introduktion og konklusion |
7
I undersøgelsen lægger vi for det første til grund, at Skatteforvaltningen inden for ram-
merne af proportionalitetsprincippet udnytter de muligheder, der er i loven, for at få
virksomhederne til at angive korrekt, uanset om det er noget, Skatteforvaltningen
ifølge loven kan eller skal. For det andet lægger vi til grund, at Skatteforvaltningen,
foruden deres administrative beføjelser til at rykke virksomhederne mv., udnytter
hjemlen i momsloven og opkrævningsloven til at sanktionere de virksomheder, der
ikke angiver og/eller betaler moms.
12. I kapitel 2 undersøger vi, om Skatteforvaltningen i tilfredsstillende grad har fulgt
op over for de virksomheder, der ikke angiver moms. Vi undersøger i den forbindelse,
om Skatteforvaltningen rykker virksomhederne, og om Skatteforvaltningen fastsæt-
ter et foreløbigt momstilsvar over for de virksomheder, der stadig ikke angiver. Der-
næst undersøger vi, om Skatteforvaltningen giver påbud og daglige bøder for at få
virksomhederne til at angive. Endelig undersøger vi, om Skatteforvaltningen inddra-
ger momsregistreringen hos virksomheder, der ikke har angivet 4 gange i træk. I for-
længelse heraf undersøger vi også, om Skatteforvaltningen undersøger, hvad virk-
somhederne burde have angivet, når Skatteforvaltningen lukker dem.
13. I kapitel 3 undersøger vi, om Skatteforvaltningen har gennemført en tilfredsstillen-
de kontrol med, om de virksomheder, der har angivet moms, har angivet korrekt. Det
er ikke reguleret ved lov, hvor meget og hvordan Skatteforvaltningen skal føre kontrol
med virksomhederne, så det er op til Skatteforvaltningen – på baggrund af en samlet
prioritering og inden for de givne økonomiske og politiske rammer – at vurdere, hvor
meget kontrol der er nødvendig for at sikre, at virksomhedernes angivelser er korrek-
te. Vi lægger i første omgang til grund, at Skatteforvaltningen tilrettelægger kontrol-
len under hensyntagen til de risici, der følger af selvangivelsesprincippet, og det for-
hold, at virksomhederne ikke skal medsende dokumentation, når de angiver.
Desuden lægger vi til grund, at Skatteforvaltningen gør brug af både forebyggende og
opdagende kontroller. Kontrollen bør således for det første bestå af forebyggende ind-
datakontroller i indberetningssystemet, der skal forhindre de mest oplagte fejl i for-
bindelse med angivelsen. For det andet bør den bestå af opdagende kontroller, dels i
form af kontrol af de mest risikofyldte angivelser umiddelbart efter virksomhederne
har angivet, dels i form af efterkontrol af virksomhedens generelle regelefterlevelse.
14. I kapitel 4 undersøger vi, om Skatteforvaltningen i tilfredsstillende grad har reage-
ret over for de virksomheder, der ikke har betalt moms. Vi undersøger således, om
Skatteforvaltningen har rykket virksomhederne, og om de har udnyttet hjemlen i op-
krævningsloven og momsloven til at kreditbegrænse og kræve sikkerhedsstillelse
over for de virksomheder, der ikke har betalt rettidigt 4 gange inden for de seneste 12
afregningsperioder, og som samtidig er i restance med mere end 50.000 kr.
Metode
15. Undersøgelsen bygger på gennemgang af lovgrundlag, procedurer og retningslin-
jer. Desuden bygger undersøgelsen på analyser og redegørelser fra Skatteministeriet
samt på dataanalyse.
Indberetningssystemet
Det nuværende indberetnings-
system TastSelv Erhverv, som
er beregnet til indberetning af
moms, lønsum, selskabsskat
mv., blev taget i brug i 2010.
FIU, Alm.del - 2019-20 - Bilag 159: Beretning 12/2019 om momskontrollen
8
| Introduktion og konklusion
I kapitel 2 bygger undersøgelsen af Skatteministeriets opfølgning over for virksomhe-
der, der ikke angiver moms, på gennemgang af Skatteforvaltningens rykkerprocedu-
rer, deres procedurer i forbindelse med foreløbige fastsættelser, diverse analyse- og
kontrolprojekter samt dataanalyse vedrørende Skatteforvaltningens kontrol med
virksomheder, der ikke angiver.
I kapitel 3 bygger undersøgelsen af Skatteforvaltningens kontrol med virksomheder-
nes momsangivelser på dataanalyse baseret på udtræk fra Skattestyrelsens databa-
se over gennemførte kontroller (DIPSY).
Endelig bygger undersøgelsen af Skatteforvaltningens reaktion over for virksomhe-
der, der ikke betaler moms, på gennemgang af Skatteforvaltningens rykkerprocedu-
rer og deres procedurer vedrørende kreditbegrænsning, sikkerhedsstillelse og vide-
resendelse af gæld til inddrivelsen. Undersøgelsen bygger desuden på dataanalyse af
virksomhedernes momsgæld.
16. Revisionen er udført i overensstemmelse med standarderne for offentlig revision,
jf. bilag 1.
Afgrænsning
17. Undersøgelsen vedrører som udgangspunkt perioden 2016-2018, men inddrager, i
det omfang det er relevant, også Skatteforvaltningens initiativer fra 2019.
Skatteforvaltningen sondrer mellem vejledning af virksomhederne og kontrol med
virksomhederne og lægger vægt på, at deres indsats omfatter begge dele, så den
både adresserer de virksomheder, der har til hensigt at være regelefterlevende, og
dem, der ikke har. Undersøgelsen omfatter ikke Skatteforvaltningens vejledningsind-
sats, fordi vi betragter kontrolindsatsen som den mest virksomme over for virksom-
heder, der ikke angiver eller betaler, eller som angiver for lidt.
Undersøgelsen omhandler perioden 2016-2018 og omfatter både positive, negative
og 0-angivelser. Undersøgelsen supplerer således Rigsrevisionens undersøgelse af
Skatteforvaltningens kontrol med udbetaling af negativ moms fra 2016 vedrørende
perioden 2009-2015.
Som udgangspunkt omfatter undersøgelsen kun Skatteforvaltningens kontrol med
momsregistrerede virksomheder og ikke den kontrol, Skatteforvaltningen gennemfø-
rer med uregistrerede virksomheder. Undersøgelsen omfatter heller ikke Erhvervs-
styrelsens og Skatteforvaltningens kontrol med virksomheder, når de bliver momsre-
gistreret. Endelig omfatter undersøgelsen ikke Skatteforvaltningens inddrivelsesind-
sats, men kun de opkrævningsskridt, Skatteforvaltningen foretager for at få virksom-
heden til at betale og undgå, at sagen skal videresendes til inddrivelse.
18. I bilag 1 er undersøgelsens metodiske tilgang beskrevet. Bilag 2 indeholder en ord-
liste, der forklarer udvalgte ord og begreber.
Kontrol ved
momsregistrering
Når en virksomhed momsregi-
streres, indsender den en ræk-
ke oplysninger til Erhvervssty-
relsen. Skatteforvaltningen
modtager herefter oplysnin-
gerne fra Erhvervsstyrelsen
og udfører en række automa-
tiske og manuelle kontroller,
hvorefter Skatteforvaltningen
vurderer, om virksomheden
kan blive momsregistreret.
Kontrollerne omfatter bl.a.
tjek af involverede nøgleper-
soners historik.
FIU, Alm.del - 2019-20 - Bilag 159: Beretning 12/2019 om momskontrollen
2178219_0016.png
Skatteforvaltningens opfølgning over for virksomheder, der ikke angiver moms |
9
2. Skatteforvaltningens
opfølgning over for
virksomheder, der ikke
angiver moms
Delkonklusion
Skatteforvaltningens opfølgning over for virksomheder, der ikke angiver
moms, er kritisabel.
For det første har Skatteforvaltningen ikke rykket alle de virksomheder, der ikke angi-
ver moms til tiden, da Skatteforvaltningen kun sender rykkere til de virksomheder, der
har opgivet en e-mailadresse.
For det andet anvender Skatteforvaltningen ikke påbud eller daglige bøder, som de
har hjemmel til, for at få de 9% af virksomhederne, der har fået foreløbige fastsættel-
ser, til at erstatte dem med en angivelse. Dette betyder, at antallet af virksomheder,
der ikke har erstattet den foreløbige fastsættelse med en angivelse, er steget kraftigt i
perioden, så der ultimo 2018 var 59.000 virksomheder med åbne foreløbige fastsæt-
telser. En af årsagerne til, at virksomhederne ikke erstatter med en korrekt angivelse,
kan være, at den foreløbige fastsættelse er fastsat så lavt, at virksomheden ikke har in-
citament til at ændre den.
Samtidig viser undersøgelsen, at Skatteforvaltningen har kontrolleret 733 virksomheder
med foreløbige fastsættelser fra 2016 eller 2017, og at 85 % af de kontrollerede virk-
somheder fik forhøjet deres momstilsvar som følge af momskontrollen. Forhøjelserne
udgjorde i alt 576 mio. kr. og dækkede bl.a. over, at 14 virksomheder fik forhøjet deres
momstilsvar med mere end 10 mio. kr. Beløbsmæssigt udgjorde de åbne foreløbige
fastsættelser 2,8 mia. kr. ultimo 2018, men de store forhøjelser som følge af kontrollen
indikerer, at de foreløbige fastsættelser dækker over manglende angivelser for et bety-
deligt større beløb. Rigsrevisionen er dog opmærksom på, at de gennemførte kontrol-
ler er udvalgt på baggrund af risiko og væsentlighed, og at resultatet af yderligere kon-
troller derfor ikke nødvendigvis vil være den samme.
FIU, Alm.del - 2019-20 - Bilag 159: Beretning 12/2019 om momskontrollen
2178219_0017.png
10
| Skatteforvaltningens opfølgning over for virksomheder, der ikke angiver moms
For det tredje viser undersøgelsen, at Skatteforvaltningen kun i begrænset omfang har
udnyttet hjemlen til at inddrage momsregistreringen fra virksomheder med 4 foreløbi-
ge fastsættelser i træk. I perioden medio 2016 - ultimo 2017 blev hjemlen slet ikke ud-
nyttet og i 2018 kun i begrænset omfang. Inddragelse af virksomhedens momsregistre-
ring er Skatteforvaltningens mulighed for at stoppe virksomheder, der ikke overholder
pligten til at angive moms. Samtidig kan det være med til at forebygge gældsopbyg-
ning, da virksomheder med foreløbige fastsættelser ofte opbygger gæld til Skattefor-
valtningen. Momsgælden for de 59.000 virksomheder med foreløbige fastsættelser
udgjorde 6,7 mia. kr. ultimo 2018, svarende til 42 % af den samlede momsgæld. Desu-
den viser undersøgelsen, at Skatteforvaltningen ved fratagelse af momsregistreringen
ikke har kontrolleret, hvad virksomheden burde have angivet, ligesom Skatteforvalt-
ningen kun i meget få tilfælde har fulgt op på, om de virksomheder, der har fået ind-
draget deres momsregistrering, fortsætter driften.
Skatteministeriet har udarbejdet en handleplan og afsat midler til at styrke området
og forventer, at alle virksomheder fra 2021 vil få frataget momsregistreringen, så snart
de har fået 4 foreløbige fastsættelser, medmindre de på baggrund af Skatteforvaltnin-
gens henvendelse angiver.
19. Dette kapitel handler om Skatteforvaltningens opfølgning over for virksomheder,
der ikke angiver moms. Vi har undersøgt:
om Skatteforvaltningen har rykket virksomheder, der ikke angiver rettidigt
hvordan Skatteforvaltningen har udnyttet hjemlen til at fastsætte et foreløbigt
momstilsvar
om Skatteforvaltningen efterfølgende har sikret, at det foreløbigt fastsatte moms-
tilsvar erstattes med en angivelse
om Skatteforvaltningen har inddraget virksomhedernes momsregistrering, hvis
de ikke har angivet 4 gange i træk
om Skatteforvaltningen har kontrolleret, hvad de virksomheder, der har fået ind-
draget deres momsregistrering, burde have angivet
om Skatteforvaltningen har sikret, at de virksomheder, der har fået inddraget de-
res momsregistrering, ikke fortsætter driften.
Derudover har vi opgjort omfanget af foreløbige fastsættelser og resultaterne af kon-
trollen med de foreløbige fastsættelser.
FIU, Alm.del - 2019-20 - Bilag 159: Beretning 12/2019 om momskontrollen
2178219_0018.png
Skatteforvaltningens opfølgning over for virksomheder, der ikke angiver moms |
11
2.1. Rykkerprocedure
20. Vi har undersøgt, om Skatteforvaltningen rykker virksomheder, der ikke angiver
rettidigt.
21. Momssystemet bygger på et selvangivelsesprincip, hvor virksomhederne selv er
ansvarlige for at angive, hvor meget moms de skal betale eller have udbetalt. Det er
derfor en forudsætning for opkrævning af moms, at virksomhederne angiver moms.
Det er Skatteforvaltningens opgave at følge op på, om virksomhederne angiver, og
reagere over for de virksomheder, der ikke gør.
22. Undersøgelsen viser, at Skatteforvaltningen har implementeret en automatiseret
rykkerprocedure over for virksomheder, der ikke angiver moms til tiden. Rykkerpro-
ceduren iværksættes, efter at momsperioden for den enkelte virksomhed er afslut-
tet. Små virksomheder skal angive hvert halve år, mellemstore virksomheder og ny-
registrerede virksomheder skal angive hvert kvartal, og store virksomheder skal an-
give månedligt. Figur 3 viser Skatteforvaltningens rykkerprocedure.
Figur 3
Virksomhedstyper
Skatteforvaltningens rykkerprocedure
Periodeslut
(fx 3. januar)
Påmindelse
5 hverdage
før frist
(22. februar)
Rykker 1
2 dage
efter frist
(3. marts)
Rykker 2
16 dage
efter
angivelsesfristen
(17. marts)
Skatteforvaltningen skelner
mellem små virksomheder
med en årlig forventet omsæt-
ning på under 5 mio. kr., mel-
lemstore virksomheder med
en årlig omsætning mellem 5
og 50 mio. kr. og store virk-
somheder med en årlig om-
sætning på mere end 50 mio.
kr.
I perioden 2016-2018 udgjor-
de små virksomheder 62 %,
mellemstore virksomheder
34 % og store virksomheder
4 % af alle momsregistrerede
virksomheder.
Angivelsesfrist
(1. marts)
Kilde:
Rigsrevisionen på baggrund af oplysninger fra Skatteforvaltningen.
Det fremgår af figur 3, at rykkerproceduren består af en påmindelse 5 dage før angi-
velsesfristen og 2 rykkere, der udsendes henholdsvis 2 og 16 dage efter angivelsesfri-
sten, hvilket er 5 dage, før de udsender en foreløbig fastsættelse. Påmindelsen og de
2 rykkere sendes til virksomhedernes e-mailadresser.
Da Skatteforvaltningen ikke er i besiddelse af alle virksomheders e-mailadresser, er
det imidlertid ikke alle virksomheder, der ikke har angivet, som får en rykker.
23. Virksomhederne bliver ved virksomhedsregistreringen i Erhvervsstyrelsen bedt
om at indtaste en e-mailadresse. Ligeledes kan virksomhederne registrere en e-mail-
adresse i TastSelv Erhverv. Skatteforvaltningens egne analyser viser dog, at 30 % af
virksomhederne, svarende til 152.000 virksomheder, ikke har en e-mail registreret i
de 2 systemer. Samtidig viser analyserne, at der er en faldende tendens i andelen af
virksomheder med en registreret e-mailadresse. Da rykkerskrivelserne kun sendes til
virksomhedens e-mailadresse, betyder det, at de virksomheder, der ikke har angivet,
ikke modtager nogen rykker, hvis ikke de har indtastet deres e-mailadresse. Dvs. at
der både kan være nogle af de virksomheder, der ikke har angivet, som er blevet ryk-
ket, og nogle, som ikke er blevet rykket.
FIU, Alm.del - 2019-20 - Bilag 159: Beretning 12/2019 om momskontrollen
2178219_0019.png
12
| Skatteforvaltningens opfølgning over for virksomheder, der ikke angiver moms
Skatteministeriet har oplyst, at Skattestyrelsen p.t. afprøver en prototype, der sender
påmindelser og rykkere via e-Boks, hvis virksomheden ikke har registreret en e-mail-
adresse. Samtidig er virksomhederne siden december 2019 ved login på momsangivel-
sen blevet bedt om at bekræfte, at det er den rigtige e-mailadresse, Skattestyrelsen
har. Endelig har Skatteministeriet oplyst, at ministeriet har deltaget i et tværoffentligt
samarbejde om etablering af et fællesoffentligt kontaktregister med telefonnumre og
e-mailadresser, men at samarbejdet desværre er ophørt ultimo 2019.
24. Figur 4 viser, hvordan virksomhederne fordeler sig mellem dem, der angiver til ti-
den, dem, der angiver, efter angivelsesfristen, og dem, der ikke har angivet 3 uger ef-
ter fristen og derfor får en foreløbig fastsættelse.
Figur 4
Andelen af virksomheder, der angiver moms til tiden, angiver efter an-
givelsesfristen eller får en foreløbig fastsættelse
Får en foreløbig
fastsættelse
9%
Angiver efter
angivelsesfristen
11 %
80 %
Angiver
til tiden
Kilde:
Rigsrevisionen på baggrund af oplysninger fra Skatteforvaltningen.
Det fremgår af figur 4, at 80 % angiver til tiden, og at 11 % angiver efter angivelsesfris-
ten. De resterende 9 % har ikke angivet 3 uger efter fristen og får derfor en foreløbig
fastsættelse.
De manglende angivelser udgør mellem 120.000 og 130.000 om året, og undersøgel-
sen viser, at antallet af manglende angivelser har ligget på samme niveau de seneste
10 år.
Resultater
Undersøgelsen viser, at Skatteforvaltningen har en automatiseret rykkerprocedure
over for virksomheder, der ikke angiver moms til tiden. Proceduren omfatter dog ikke
de 30 % af virksomhederne, der ikke har oplyst en e-mailadresse. Disse virksomhe-
der rykkes ikke, selv om de ikke har angivet, fordi Skatteforvaltningen kun sender
rykkerne via e-mail.
FIU, Alm.del - 2019-20 - Bilag 159: Beretning 12/2019 om momskontrollen
Skatteforvaltningens opfølgning over for virksomheder, der ikke angiver moms |
13
Undersøgelsen viser desuden, at der trods Skatteforvaltningens rykkerprocedure er
9 % af virksomhederne, der ikke angiver, og som derfor får en foreløbig fastsættelse.
De manglende angivelser udgør 120.000-130.000 om året.
2.2. Fastsættelse af foreløbige momstilsvar
25. Vi har undersøgt, hvordan Skatteforvaltningen udnytter hjemlen til at fastsætte et
foreløbigt momstilsvar over for de virksomheder, der ikke har angivet 3 uger efter an-
givelsesfristen. Derudover har vi undersøgt, om Skatteforvaltningen efterfølgende sik-
rer, at den foreløbige fastsættelse erstattes af en angivelse.
26. Hvis en virksomhed ikke har angivet moms, har Skattestyrelsen, jf. § 4 i opkræv-
ningsloven, hjemmel til at fastsætte virksomhedens momstilsvar foreløbigt til et skøns-
mæssigt beløb. Formålet med den foreløbige fastsættelse er ifølge Skatteforvaltnin-
gen at begrænse statskassens tab på afgifter og forhindre, at manglende angivelse
reelt belønnes ved at give virksomheden en likviditetsmæssig fordel. Den likviditets-
mæssige fordel opstår ved, at virksomheden har opkrævet momsen i forbindelse
med sit salg, uden at virksomheden efterfølgende har angivet og betalt beløbet til
Skatteforvaltningen. Ved at fastsætte virksomhedens momsbeløb til et skønsmæs-
sigt beløb får Skatteforvaltningen mulighed for at opkræve moms fra virksomheden.
Hensigten er dog, at den foreløbige fastsættelse er midlertidig og skal erstattes af en
korrekt angivelse. Det er derfor væsentligt, at Skatteforvaltningen sikrer, at virksom-
heden efterfølgende angiver, da den foreløbige fastsættelse er baseret på et skøn og
kan afvige væsentligt fra det korrekte tilsvar. Opfølgningen er også vigtig, fordi virk-
somheden kan have et økonomisk incitament til ikke at erstatte den foreløbige fast-
sættelse med en angivelse, hvis det foreløbige momstilsvar er fastsat for lavt.
27. Undersøgelsen viser, at Skatteforvaltningen udnytter hjemlen til at fastsætte et
foreløbigt momstilsvar, hvis virksomheden ikke har angivet 3 uger efter angivelsesfris-
ten. Skatteforvaltningen pålægger derudover et gebyr på 800 kr., der skal tilskynde
virksomheden til fremover at angive til tiden.
Af opkrævningslovens § 4 fremgår det udelukkende, at Skatteforvaltningen kan fast-
sætte momstilsvaret foreløbigt til et skønsmæssigt beløb, og at der skal pålægges et
gebyr. Det fremgår ikke af loven, hvordan tilsvaret skal fastsættes.
28. Undersøgelsen viser, at Skatteforvaltningen siden 2013 har fastsat de foreløbige
momstilsvar ved at beregne gennemsnittet af de seneste angivelser, de første 4 gange
en virksomhed ikke angiver, og at Skatteforvaltningen herefter har fastsat momstil-
svaret til 8.000 kr., uanset hvor meget virksomheden tidligere har angivet. For nyregi-
strerede virksomheder, der ikke har angivet, har Skatteforvaltningen også fastsat
momstilsvaret til 8.000 kr. For de virksomheder, hvor den foreløbige fastsættelse sy-
stematisk fastsættes til 8.000 kr., fastsættes momstilsvaret dermed, uden at der er
et beregningsmæssigt grundlag for beløbet og med risiko for, at de foreløbige fast-
sættelser bliver fastsat for lavt, så virksomhederne kan have et økonomisk incitament
til ikke at erstatte dem med en korrekt angivelse.
Beregning af foreløbige
fastsættelser
For virksomheder, der angiver
hver måned eller hvert kvartal,
beregner Skatteforvaltningen
gennemsnittet på baggrund af
de seneste 4 angivelser. For
virksomheder, der angiver
hvert halve år, beregnes gen-
nemsnittet på baggrund af de
seneste 2 angivelser.
FIU, Alm.del - 2019-20 - Bilag 159: Beretning 12/2019 om momskontrollen
2178219_0021.png
14
| Skatteforvaltningens opfølgning over for virksomheder, der ikke angiver moms
Boks 1 viser et eksempel på en virksomhed, der efter ikke at have angivet 4 gange får
nedsat momstilsvaret til 8.000 kr. Eksemplet er udvalgt for at vise Skatteforvaltnin-
gens praksis i de tilfælde, hvor en virksomhed modtager flere end 4 foreløbige fast-
sættelser i træk.
Boks 1
Eksempel på en virksomheds foreløbige fastsættelser
En virksomhed havde ikke angivet moms i hele 2017 og første halvår 2018, og Skattefor-
valtningen fastsatte derfor 6 foreløbige momstilsvar.
2017
Marts
568.000 kr.
Juni
539.000 kr.
September
418.000 kr.
December
636.000 kr.
Marts
8.000 kr.
2018
Juni
8.000 kr.
De første 4 foreløbige fastsættelser – der blev beregnet på baggrund af et gennemsnit
af virksomhedens tidligere angivelser – blev fastsat til mellem 418.000 kr. og 636.000
kr., mens den 5. og 6. foreløbige fastsættelse blev fastsat til 8.000 kr.
Kilde:
Rigsrevisionen på baggrund af oplysninger fra Skatteforvaltningen.
Opfølgning på de foreløbige fastsættelser
29. Skatteforvaltningen har flere muligheder for at tilskynde virksomhederne til at er-
statte den foreløbige fastsættelse med en angivelse. Ifølge opkrævningslovens § 4a
kan Skatteforvaltningen således give virksomheden påbud om at angive moms og
give daglige bøder á mindst 1.000 kr., indtil påbuddet efterleves, hvis virksomheden
ikke har angivet rettidigt.
Det fremgår af Skatteministeriets overvejelser i forbindelse med bemærkningerne til
lov om ændring af skattekontrolloven, momsloven mv. fra 2008, at muligheden for at
anvende påbud og daglige bøder bør indføres med henblik på at lægge et yderligere
pres på de virksomheder, der ikke angiver.
30. Undersøgelsen viser, at Skattestyrelsen ikke gør brug af hjemlen til at give påbud
og daglige bøder. Skatteministeriet har oplyst, at hjemlen ikke har været udnyttet i en
årrække, men at det er uklart, præcis hvor længe den praksis har stået på.
Skatteforvaltningen har heller ikke andre procedurer, der skal få virksomhederne til
at erstatte den foreløbige fastsættelse med en angivelse. Dog gennemførte Skatte-
forvaltningen i 2017 en ringekampagne over for nyregistrerede virksomheder, som
medførte, at markant flere angav moms. Skatteministeriet har desuden oplyst, at
Skatteforvaltningen i 4. kvartal 2019 har gennemført en ringekampagne målrettet
virksomheder med mange foreløbige fastsættelser.
FIU, Alm.del - 2019-20 - Bilag 159: Beretning 12/2019 om momskontrollen
2178219_0022.png
Skatteforvaltningens opfølgning over for virksomheder, der ikke angiver moms |
15
Omfanget af åbne foreløbige fastsættelser
31. Undersøgelsen viser, at der ultimo 2018 var 59.000 momsregistrerede virksomhe-
der med én eller flere åbne foreløbige fastsættelser, der ikke var blevet erstattet af
en angivelse. Heriblandt var der 39.000 virksomheder, der havde i alt 74.000 forelø-
bige fastsættelser på 8.000 kr.
Undersøgelsen viser desuden, at antallet af åbne foreløbige fastsættelser, svarende
til det akkumulerede antal af manglende angivelser, har været stærkt stigende fra
2013 til 2018, jf. figur 5.
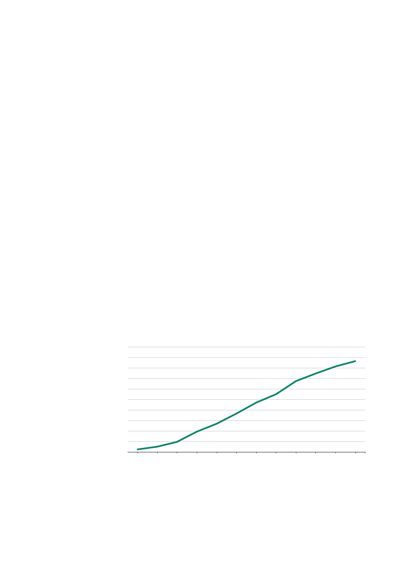
Figur 5
Antallet af manglende angivelser i perioden 2013-2018, akkumuleret
(Mia. kr.)
(Antal)
3,0
2,5
2,0
1,5
140.000
120.000
100.000
80.000
60.000
1,0
0,5
0,0
Ultimo 2013 Ultimo 2014 Ultimo 2015 Ultimo 2016 Ultimo 2017 Ultimo 2018
Beløb
Antal foreløbige fastsættelser
40.000
20.000
0
Note: Foreløbige fastsættelser på 0 kr. er af tekniske årsager ikke medtaget i Skatteforvaltningens opgørelse.
Ultimo 2018 var der ca. 65.000 åbne foreløbige fastsættelser på 0 kr.
Kilde:
Rigsrevisionen på baggrund af oplysninger fra Skatteforvaltningen.
Foreløbige fastsættelser
på 0 kr.
Det fremgår af figur 5, at antallet af åbne foreløbige fastsættelser steg fra 32.077 i
2013 til 128.459 i 2018, og at værdien af de åbne foreløbige fastsættelser steg fra 620
mio. kr. i 2013 til 2,8 mia. kr. i 2018.
Der udstedes årligt 120.000-130.000 foreløbige fastsættelser, hvoraf de fleste efter-
følgende bliver erstattet med angivelser. Stigningen i antallet af åbne foreløbige fast-
sættelser skyldes, at ikke alle foreløbige fastsættelser er blevet erstattet af angivel-
ser, og at antallet af åbne foreløbige fastsættelser derfor akkumulerer. Vi har i under-
søgelsen set et eksempel på en virksomhed, der har helt op til 54 åbne foreløbige
fastsættelser.
Kontrol med foreløbige fastsættelser
32. Da der er grund til at antage, at foreløbige fastsættelser på 8.000 kr. for de fleste
virksomheder er fastsat for lavt, har vi undersøgt resultaterne af Skatteforvaltningens
kontrol med virksomheder med foreløbige fastsættelser.
Skatteforvaltningen fastsæt-
ter det foreløbige momstilsvar
til 0, hvis gennemsnittet af
virksomhedens seneste angi-
velser er 0 kr.
FIU, Alm.del - 2019-20 - Bilag 159: Beretning 12/2019 om momskontrollen
2178219_0023.png
16
| Skatteforvaltningens opfølgning over for virksomheder, der ikke angiver moms
33. Undersøgelsen viser, at Skatteforvaltningen i meget begrænset omfang har kon-
trolleret virksomheder, der endnu ikke har erstattet den foreløbige fastsættelse med
en angivelse. Kontrollerne er gennemført som led i kontrolprojekter med forskelligt
sigte, herunder især i forbindelse med kontrolprojekter vedrørende svig, og virksom-
hederne er ikke nødvendigvis blevet udvalgt, fordi de har foreløbigt fastsatte moms-
tilsvar. Skatteforvaltningen har dog i 2018 gennemført et kontrolprojekt, der har fo-
kus på foreløbige fastsættelser. Projektet fortsætter ifølge Skatteforvaltningen frem
til 2021.
Tabel 1 viser antallet af positive og negative reguleringer samt de samlede nettopro-
venu som følge af kontrollen med virksomheder med foreløbige fastsættelser vedrø-
rende 2016 eller 2017.
Tabel 1
Antallet af positive og negative reguleringer samt de samlede netto-
provenu i perioden 2016-2017
Resultat af kontrol
Positive reguleringer
Negative reguleringer
Ingen reguleringer
Antal
622
74
37
I %
85
10
5
Nettoprovenu
576.218.312 kr.
÷14.047.584 kr.
Kilde:
Rigsrevisionen på baggrund af oplysninger fra Skatteforvaltningen.
Det fremgår af tabel 1, at kontrollerne medførte, at 85 % af virksomhederne fik forhø-
jet deres momstilsvar som følge af momskontrollen, og at forhøjelserne for de 622
virksomheder i alt udgjorde 576 mio. kr.
Tabel 2 viser, hvordan de virksomheder, der ved kontrol fik forhøjet deres momstil-
svar, fordeler sig efter reguleringens størrelse.
Tabel 2
Fordeling af virksomhederne i forhold til forhøjelsen af momstilsvaret
Forhøjelser
30-60 mio. kr.
10-30 mio. kr.
1-10 mio. kr.
0,1-1 mio. kr.
50.000-100.000 kr.
20.000-50.000 kr.
1-20.000 kr.
I alt
Antal virksomheder
2
12
84
306
105
67
46
622
Nettoprovenu
84.551.676 kr.
155.636.859 kr.
222.053.334 kr.
103.503.702 kr.
7.655.958 kr.
2.380.524 kr.
436.259 kr.
576.218.312 kr.
Kilde:
Rigsrevisionen på baggrund af oplysninger fra Skatteforvaltningen.
FIU, Alm.del - 2019-20 - Bilag 159: Beretning 12/2019 om momskontrollen
Skatteforvaltningens opfølgning over for virksomheder, der ikke angiver moms |
17
Det fremgår af tabel 2, at 46 virksomheder, svarende til 7 %, fik forhøjet deres moms-
tilsvar med op til 20.000 kr. De øvrige virksomheder fik forhøjet deres momstilsvar
med mellem 20.000 kr. og 60 mio. kr.
34. Vi er opmærksomme på, at de gennemførte kontroller er udvalgt på baggrund af
risiko og væsentlighed, og at resultatet af yderligere kontroller derfor ikke nødvendig-
vis vil være det samme. Vi vurderer dog samtidig, at de forholdsvis store forhøjelser i
det begrænsede antal kontroller indikerer, at Skatteforvaltningens manglende opfølg-
ning på foreløbige fastsættelser medfører, at staten går glip af betydelige momsind-
tægter. I en af de virksomheder, der blev kontrolleret i forbindelse med kontrolprojek-
tet
momskarruselsvig og organiseret EU-momssvig
viste Skatteforvaltningens kon-
trol fx, at 2 foreløbige fastsættelser på i alt 36.000 kr. dækkede over manglende an-
givelser for i alt 26 mio. kr.
Resultater
Undersøgelsen viser, at Skatteforvaltningen har udnyttet hjemlen til at fastsætte et
foreløbigt momstilsvar for de virksomheder, der ikke har angivet 3 uger efter angivel-
sesfristen. Momstilsvaret fastsættes automatisk til et gennemsnit af de tidligere angi-
velser indtil 5. gang, hvorefter det fastsættes til 8.000 kr. Der er dermed risiko for, at
de foreløbige fastsættelser bliver fastsat for lavt, så virksomhederne kan have et øko-
nomisk incitament til ikke at erstatte dem med en korrekt angivelse.
Undersøgelsen viser desuden, at Skatteforvaltningen i en årrække ikke har udnyttet
hjemlen til at give virksomheder påbud og daglige bøder med henblik på at få dem til
at erstatte den foreløbige fastsættelse med en angivelse. Dette er en medvirkende år-
sag til, at der ultimo 2018 sammenlagt var 59.000 virksomheder med foreløbige fast-
sættelser, der ikke var blevet erstattet af en angivelse. Heriblandt var der 39.000 virk-
somheder, der havde foreløbige fastsættelser på 8.000 kr.
Undersøgelsen viser endvidere, at Skatteforvaltningen kun i meget begrænset omfang
kontrollerer virksomheder med foreløbige fastsættelser, selv om de gennemførte kon-
troller har medført et stort nettoprovenu. Skatteforvaltningen har således i perioden
2016-2018 kontrolleret 733 virksomheder med foreløbige fastsættelser fra 2016 eller
2017. De risikobaserede kontroller medførte, at 85 % af virksomhederne fik forhøjet
deres momstilsvar med i alt 576 mio. kr. som følge af kontrollen. De resterende fore-
løbige fastsættelser, der ikke er kontrolleret, beløber sig ultimo 2018 til 2,8 mia. kr., men
kontrollerne indikerer, at de manglende angivelser dækker over et betydeligt større
beløb.
Skatteministeriet har oplyst, at Skatteforvaltningen i 2019 har udarbejdet en handle-
plan om foreløbige fastsættelser med 21 aktiviteter, der bl.a. skal give viden om de fo-
reløbige fastsættelser, så ministeriet kan målrette indsatsen på området. Samtidig
har Skattestyrelsen i november 2019 truffet beslutning om at allokere 20 årsværk til
at styrke styrelsens fokus på foreløbige fastsættelser.
FIU, Alm.del - 2019-20 - Bilag 159: Beretning 12/2019 om momskontrollen
18
| Skatteforvaltningens opfølgning over for virksomheder, der ikke angiver moms
2.3. Inddragelse af virksomhedernes momsregistrering
35. Vi har undersøgt, hvor mange virksomheder der har fået fastsat et foreløbigt
momstilsvar 4 gange i træk, og om Skatteforvaltningen har udnyttet hjemlen til at ind-
drage virksomhedernes momsregistrering. Vi har desuden undersøgt, om Skattefor-
valtningen kontrollerer, hvad de virksomheder, der har fået inddraget deres momsre-
gistrering, burde have angivet, og om Skatteforvaltningen sikrer, at virksomhederne
ikke fortsætter driften som uregistreret virksomhed.
36. Skatteforvaltningen har efter opkrævningslovens § 4, stk. 3, hjemmel til at inddra-
ge virksomhedens momsregistrering, hvis den har fået 4 foreløbige fastsættelser i
træk. Inden Skatteforvaltningen inddrager virksomhedens momsregistrering, skal
Skatteforvaltningen dog meddele virksomheden, at registreringen vil blive inddraget,
hvis den manglende angivelse ikke indberettes inden for 14 dage. Virksomheden får
således en sidste mulighed for at angive, inden den får inddraget sin momsregistre-
ring.
Hvis momsregistreringen inddrages, skal virksomheden forud for inddragelsen orien-
teres ved rekommanderet brev. Det skal fremgå af brevet, at en fortsættelse af virk-
somheden vil være strafbart, og at ledelsen ved en fortsættelse hæfter for skatter, af-
gifter mv. Hvis virksomheden som følge af brevet angiver, inddrages momsregistre-
ringen ikke.
37. Undersøgelsen viser, at Skatteforvaltningen medio 2016 - ultimo 2017 ikke udnyt-
tede hjemlen til at inddrage virksomhedernes momsregistrering. Dette medførte, at
der ultimo 2017 var 8.065 virksomheder med mindst 4 foreløbige fastsættelser i træk.
38. Skatteforvaltningen har siden januar 2018 genoptaget opgaven med at inddrage
momsregistreringen hos virksomheder, der har mindst 4 foreløbige fastsættelser i
træk. Tabel 3 viser det antal virksomheder med 4 foreløbige fastsættelser i træk, som
Skatteforvaltningen i 2018 har sendt afgørelse til, og viser, hvor mange der har indsendt
angivelser, har fået deres momsregistrering inddraget eller har afmeldt virksomheden
af egen drift.
FIU, Alm.del - 2019-20 - Bilag 159: Beretning 12/2019 om momskontrollen
2178219_0026.png
Skatteforvaltningens opfølgning over for virksomheder, der ikke angiver moms |
19
Tabel 3
Antallet af virksomheder med 4 foreløbige fastsættelser i træk, der
har indsendt angivelser efter afgørelse, har fået deres momsregistre-
ring inddraget eller har afmeldt virksomheden af egen drift
Angivelse
indsendt
Januar
Februar
Marts
April
Maj
Juni
Juli
August
September
Oktober
November
December
I alt
-
31
66
90
155
172
114
137
158
209
148
112
1.392
Moms-
registrering
inddraget
-
29
66
53
128
138
94
104
139
174
202
132
1.259
Afmeldt af
egen drift
1
3
10
22
12
11
7
18
16
25
20
15
160
I alt
1
63
142
165
295
321
215
259
313
408
370
259
2.811
Kilde:
Rigsrevisionen på baggrund af oplysninger fra Skatteforvaltningen.
Det fremgår af tabel 3, at Skatteforvaltningen siden januar 2018 har sendt afgørelser
til virksomheder, der ikke har angivet 4 gange i træk, og at Skatteforvaltningen siden
maj gennemsnitligt har sendt afgørelser til 305 virksomheder om måneden. Derud-
over viser tabellen, at ca. halvdelen af de virksomheder, Skatteforvaltningen sendte
afgørelse til, valgte at indsende angivelser, og at de øvrige virksomheder enten fik ind-
draget deres momsregistrering eller afmeldte virksomheden af egen drift.
Skatteforvaltningens indsats i 2018 medførte, at antallet af virksomheder med 4 fore-
løbige fastsættelser blev nedbragt med 28 %. Det betyder, at der ultimo 2018 var 5.816
virksomheder, der har kunnet fortsætte driften uden at angive moms. Vores undersø-
gelse viser, at mange virksomheder har kunnet fortsætte driften over en længere pe-
riode. Således mangler næsten halvdelen af kvartalsindberettende virksomheder
med mindst 4 foreløbige fastsættelser at angive for 8 kvartaler eller mere.
Det er Rigsrevisionens vurdering, at Skatteforvaltningen konsekvent bør udnytte hjem-
len til at inddrage virksomhedens momsregistrering. Både for at håndhæve over for
virksomheder, at de får inddraget deres momsregistrering, hvis de i en længere perio-
de ikke angiver moms, og for at undgå, at virksomheder kan spekulere i at få fastsat
et urealistisk lavt momstilsvar, hvis de er nystartede eller undlader at angive moms
mindst 5 gange i træk.
Skatteministeriet har oplyst, at ministeriet forventer at få afviklet bunken af virksom-
heder med mindst 4 foreløbige fastsættelser med udgangen af 2020.
FIU, Alm.del - 2019-20 - Bilag 159: Beretning 12/2019 om momskontrollen
2178219_0027.png
20
| Skatteforvaltningens opfølgning over for virksomheder, der ikke angiver moms
Opfølgning på virksomheder, der har fået deres momsregistrering ind-
draget
39. Undersøgelsen viser, at Skatteforvaltningen ikke kontrollerer og opgør, hvad de
virksomheder, der får deres momsregistrering inddraget, burde have angivet, og der-
med sikrer, at virksomheden opkræves den korrekte moms.
Boks 2 viser et eksempel på en virksomhed, der nåede at få 12 foreløbige fastsættel-
ser, inden den fik inddraget sin momsregistrering.
Boks 2
Eksempel på virksomhed, der 12 gange i træk fik fastsat et foreløbigt momstilsvar
En virksomhed, der fik frataget sin momsregistrering i oktober 2018, havde i alt 12 foreløbige fastsættelser. De foreløbige
fastsættelser blev ikke efterfølgende kontrolleret og reguleret i forbindelse med, at Skatteforvaltningen inddrog virksom-
hedens momsregistrering.
2015
September December
352.000
kr.
395.000
kr.
Marts
357.000
kr.
Juni
340.000
kr.
2016
September December
8.000
kr.
8.000
kr.
Marts
8.000
kr.
Juni
8.000
kr.
2017
September December
8.000
kr.
8.000
kr.
Marts
8.000
kr.
2018
Juni
8.000
kr.
Kilde:
Rigsrevisionen på baggrund af oplysninger fra Skatteforvaltningen.
Kontrol med virksom-
heder, der har fået ind-
draget deres momsregi-
strering
Kontrollen kan fx bestå i besøg
på den tvangsafmeldte virk-
somheds adresse, men kan
også ske via opslag i Skatte-
forvaltningens egne systemer,
via søgninger på internettet
eller via samarbejde eller da-
taudveksling med andre myn-
digheder.
Strafferammen for uregi-
streret virksomhed
Eksemplet er udvalgt for at illustrere, hvordan manglende kontrol og regulering kan
medføre, at virksomheder har mulighed for at opkræve moms af deres momspligtige
salg uden at angive og betale momsen videre til staten, som de skal.
40. Skatteforvaltningen har oplyst, at mange virksomheder anmoder om at blive gen-
registreret, efter de har fået deres registrering inddraget, ligesom personkredsen i dis-
se virksomheder ofte etablerer nye virksomheder, som anmoder om en ny momsre-
gistrering. Derudover er der risiko for, at virksomhederne fortsætter driften som ure-
gistrerede virksomheder. Det er derfor vigtigt, at Skatteforvaltningen kontrollerer de
foreløbige fastsættelser i virksomheder, der får momsregistreringen inddraget, så
virksomhederne ikke ser genregistrering eller uregistreret virksomhed som et alter-
nativ til at angive og betale den korrekte moms.
Skatteforvaltningen har for indkomstårene 2015-2017 kontrolleret 43 af de virksom-
heder, der fik inddraget deres momsregistrering, men har ikke kontrolleret nogen
vedrørende 2018. Kontrollerne medførte et samlet nettoprovenu på 3,3 mio. kr. Skat-
teforvaltningen har oplyst, at omkring halvdelen af de kontrollerede virksomheder
var fortsat med at drive virksomhed, efter at Skatteforvaltningen havde inddraget
deres momsregistrering, og at Skatteforvaltningen er i gang med at vurdere, om der
er grundlag for at straffe virksomhederne.
Medmindre højere straf er for-
skyldt efter straffelovens
§ 289, straffes den, der forsæt-
ligt eller ved grov uagtsomhed
driver en virksomhed, selv om
registreringen er inddraget,
med bøde eller fængsel ind til
1 år og 6 måneder, jf. § 17, stk.
3, i opkrævningsloven.
FIU, Alm.del - 2019-20 - Bilag 159: Beretning 12/2019 om momskontrollen
2178219_0028.png
Skatteforvaltningens opfølgning over for virksomheder, der ikke angiver moms |
21
Virksomheder med gæld
41. Virksomheder med foreløbige fastsættelser har i mange tilfælde gæld til Skatte-
forvaltningen. Undersøgelsen viser, at de 59.000 virksomheder med åbne foreløbige
fastsættelser ultimo 2018 havde en samlet momsgæld på 6,7 mia. kr., hvilket er langt
mere end virksomheder generelt, jf. boks 3.
Boks 3
Skatteforvaltningens analyse af virksomheder med 4 foreløbige
fastsættelser
En analyse foretaget af Skatteforvaltningen viser, at 92 % af alle virksomheder med 4
foreløbige fastsættelser i træk har gæld, og at den ofte er stor. Analysen viser desuden,
at gælden i virksomheder med 4 foreløbige fastsættelser i træk, der får inddraget deres
momsregistrering, er 12 gange så stor som øvrige virksomheders gæld. Yderligere viser
analysen, at gælden for virksomheder med 4 foreløbige fastsættelser i træk er tredoblet
fra ultimo 2016 til oktober 2018.
Kilde:
Skatteforvaltningens
Analyse af 4FF virksomheder
fra 2018.
Ovenstående viser vigtigheden af, at Skatteforvaltningen reagerer over for virksom-
heder, der ikke angiver, da Skatteforvaltningen dermed også forhindrer virksomhe-
derne i at opbygge gæld.
Resultater
Undersøgelsen viser, at Skatteforvaltningen kun i meget begrænset omfang har ud-
nyttet hjemlen til at inddrage momsregistreringen fra virksomheder med 4 foreløbige
fastsættelser i træk. I perioden medio 2016 - ultimo 2017 blev hjemlen slet ikke udnyt-
tet og i 2018 kun i begrænset omfang.
Undersøgelsen viser desuden, at Skatteforvaltningen ikke undersøger, hvor meget
virksomheder, der får deres momsregistrering inddraget, burde have angivet. Skatte-
forvaltningen opkræver således kun den foreløbige fastsættelse.
Endelig viser undersøgelsen, at Skatteforvaltningen kun i meget begrænset omfang
kontrollerer de virksomheder, der har fået deres momsregistrering inddraget, med
henblik på at sikre, at de ikke fortsætter som uregistreret virksomhed.
FIU, Alm.del - 2019-20 - Bilag 159: Beretning 12/2019 om momskontrollen
2178219_0029.png
22
| Skatteforvaltningens indsats for at sikre, at virksomheder angiver korrekt moms
3. Skatteforvaltningens
indsats for at sikre, at
virksomheder angiver
korrekt moms
Delkonklusion
Skatteforvaltningens kontrol med, om virksomhederne har angivet kor-
rekt moms, er kritisabel.
Virksomhedernes forven-
tede omsætning
Skatteforvaltningen inddeler
virksomhederne efter deres
forventede omsætning i små,
mellemstore og store virksom-
heder. Virksomhedernes for-
ventede omsætning afgør bl.a.,
hvor ofte virksomhederne skal
angive moms.
For det første har Skatteforvaltningen stort set ikke implementeret inddatakontroller,
der kan bidrage til at validere virksomhedernes angivelser, selv om virksomhederne
ikke medsender dokumentation, når de angiver moms. Ud over fejltastninger medfø-
rer den manglede validering, at det fx er muligt for virksomhederne at angive et moms-
tilsvar, der ikke harmonerer med virksomhedens forventede omsætning.
For det andet har Skatteforvaltningen kun kontrolleret 2 % af virksomhederne, selv
om kontrollen viste, at over halvdelen af de kontrollerede virksomheder havde angi-
vet i alt 18,1 mia. kr. for lidt. Heriblandt var en enkelt negativ angivelse på 6 mia. kr.,
som Skatteforvaltningen standsede i forbindelse med udbetalingskontrollen. De høje
reguleringer afspejler, at virksomhederne er kontrolleret på baggrund af en risikovur-
dering. Rigsrevisionen vurderer dog, at der samlet set også er stor risiko for væsentli-
ge tab af momsindtægter blandt de 98 % af virksomhederne, som ikke er blevet kon-
trolleret.
Denne vurdering skal ses i lyset af mulighederne for at angive for lidt moms og bygger
for det første på, at der er fundet meget store reguleringer ved kontrol af forholdsvis
få virksomheder. For det andet bygger den på, at Skatteforvaltningens egen repræsen-
tative complianceanalyse af små og mellemstore virksomheder viser, at hver anden
virksomhed har fejl i angivelsen, og at der i 90 % af tilfældene var angivet for lidt.
Complianceanalyser
Skatteforvaltningen udarbej-
der complianceanalyser hvert
andet eller tredje år. Den se-
neste analyse er fra 2017 og
baserer sig på angivelser fra
2014.
FIU, Alm.del - 2019-20 - Bilag 159: Beretning 12/2019 om momskontrollen
2178219_0030.png
Skatteforvaltningens indsats for at sikre, at virksomheder angiver korrekt moms |
23
Skatteministeriet har oplyst, at kontroltrykket på momsområdet afspejler en tværgåen-
de prioritering baseret på risiko og væsentlighed inden for de rammer, som Skattefor-
valtningen har til rådighed, og at en yderligere indsats på momsområdet alt andet lige
vil reducere indsatsen på andre risikofyldte områder, der også er prioriteret på bag-
grund af risiko og væsentlighed. Derudover henviser Skatteministeriet til internatio-
nale undersøgelser, der viser, at momsgabet i Danmark er på niveau med andre sam-
menlignelige lande.
42. Dette kapitel handler om Skatteforvaltningens kontrol med virksomhedernes
momsangivelser. Vi har undersøgt, om Skatteforvaltningen i tilfredsstillende grad har
kontrolleret, om de virksomheder, der har angivet moms, har angivet korrekt. Vi har i
den forbindelse undersøgt:
Om Skatteforvaltningen i tilstrækkelig grad har implementeret inddatakontrol.
Om Skatteforvaltningen i tilstrækkelig grad har kontrolleret, om virksomhedernes
angivelser er korrekte. Vi sondrer i den forbindelse mellem kontrol umiddelbart
efter modtagelsen af angivelsen og efterkontrol.
3.1. Inddatakontrol
43. Vi har undersøgt, om Skatteforvaltningen har implementeret inddatakontroller
med henblik på at minimere risikoen for, at virksomhederne angiver et forkert moms-
tilsvar.
Inddatakontroller er én af flere strukturelle løsninger, der skal gøre det lettere at for-
hindre typiske fejl eller mangelfulde angivelser. Kontrollerne kan både minimere an-
tallet af logiske fejl, herunder tastefejl, men også øge regelefterlevelsen blandt virk-
somheder, der har til hensigt at angive korrekt. Kontrollerne kan fx bestå af digitale
stopklodser, der forhindrer virksomheder i at angive indlysende fejl, eller af en digital
advarsel (advis), der gør virksomhederne og Skatteforvaltningen opmærksomme på
atypiske indtastninger.
På momsområdet kunne det fx være advis-systemer, der gjorde virksomheden op-
mærksom på atypiske indtastninger og krævede, at virksomheden bekræftede angi-
velsen. I så fald kunne Skatteforvaltningen desuden anvende virksomhedernes (mang-
lende) svar til at målrette sin fremtidige vejlednings- og kontrolindsats.
44. Undersøgelsen viser, at Skatteforvaltningen kun i meget begrænset omfang har
implementeret inddatakontroller, der kan validere virksomhedernes angivelser i den
digitaliserede selvbetjeningsløsning (TastSelv Erhverv), hvor virksomhederne skal an-
give deres moms. Skatteforvaltningen indførte således validering af komma og punk-
tum i talfelter i TastSelv Erhverv i 2017.
Strukturelle løsninger
Strukturelle løsninger kan fx
være ændringer i lovgivningen,
digitale løsninger eller fortryk-
te data fra tredjepart. I mod-
sætning til enkeltstående kon-
troller har strukturelle løsnin-
ger en varig effekt i forhold til
at reducere moms- eller skat-
tegabet.
FIU, Alm.del - 2019-20 - Bilag 159: Beretning 12/2019 om momskontrollen
2178219_0031.png
24
| Skatteforvaltningens indsats for at sikre, at virksomheder angiver korrekt moms
Kombineret med det forhold, at virksomhederne ikke skal medsende dokumentation,
når de angiver, øger de manglende inddatakontroller mulighederne for bevidst eller
ubevidst at angive forkert moms. Figur 6 viser indberetningssiden for moms.
Figur 6
Udsnit af momsindberetningsside fra TastSelv Erhverv
Kilde:
Skatteministeriets momsindberetningsside i TastSelv Erhverv, den 30. januar 2020.
Som det fremgår af figur 6, indeholder indberetningssiden en række forskellige felter.
Felterne
Salgsmoms (udgående moms)
og
Købsmoms (indgående moms)
er obliga-
toriske og skal udfyldes. Feltet
Moms i alt
er også obligatorisk, men feltet er skrivebe-
skyttet og beregnes automatisk på baggrund af de øvrige indtastninger.
FIU, Alm.del - 2019-20 - Bilag 159: Beretning 12/2019 om momskontrollen
2178219_0032.png
Skatteforvaltningens indsats for at sikre, at virksomheder angiver korrekt moms |
25
Felterne er låst, så der udelukkende kan tastes heltal. Bortset fra en øvre grænse på
±10 mia. kr. er der ingen systemmæssig begrænsning i forhold til, hvilke beløb virk-
somhederne indtaster. Der er heller ingen validering af beløbet i forhold til tidligere
angivelser eller data fra andre systemer. Det betyder bl.a., at selv virksomheder med
en meget lille omsætning kan angive meget store positive eller negative beløb og om-
vendt, uden at systemet afviser eller advarer om det.
45. Skatteministeriet har oplyst, at Skatteforvaltningen er i gang med at udvikle digi-
tale stopklodser i TastSelv Erhverv. De første stopklodser blev implementeret i de-
cember 2019. Skatteforvaltningen har oplyst, at implementeringen af digitale stop-
klodser på lang sigt forventes at have følgende effekter:
højere regelefterlevelse som følge af færre ubevidste og bevidste fejl i indberet-
ningen
højere oplevet opdagelsesrisiko som følge af den mere intelligente angivelsesløs-
ning og det afledte højere kontroltryk, som muliggøres af en mere effektiv visite-
ring og flere data om virksomhedernes adfærd
højere træfprocent for de angivelser, der udtages til kontrol, bl.a. som følge af lag-
ring af virksomhedens adfærd i angivelsessituationen.
En af de implementerede stopklodser vedrører virksomhedens kontaktoplysninger
og spørger virksomhederne, om de vil opdatere deres kontaktoplysninger, hvis de
angivne oplysninger adskiller sig fra dem, Skatteforvaltningen har i forvejen. De øv-
rige 5 stopklodser vedrører angivelse af negativ moms og giver fx virksomheden mu-
lighed for at angive årsagen til, at momstilsvaret er negativt. Det er frivilligt for virk-
somhederne, om de vil udfylde felterne, og felterne kommer først frem på skærmen,
efter virksomheden har godkendt sin angivelse. Implementeringen af digitale stop-
klodser sker som led i den politiske aftale fra 2017 om styrket kontrol og vejledning
på momsområdet, jf. boks 4.
Boks 4
Politisk aftale om styrket kontrol og vejledning på moms-
området
Aftalen løber fra 2018 til 2021, og formålet er at styrke den klassiske efterkontrol og at
implementere nye og mere smarte former for kontrol, fx ved at automatisere kontrollen.
Kontrollen skal udvikles og gøres mere intelligent, så den ikke generer de virksomheder,
der ønsker at afregne korrekt moms. Ca. halvdelen af bevillingen på i alt 420 mio. kr. skal
anvendes til forskellige kontrol- og vejledningsindsatser for små og mellemstore virk-
somheder og til digitale løsninger i alle faser af momsprocessen.
FIU, Alm.del - 2019-20 - Bilag 159: Beretning 12/2019 om momskontrollen
26
| Skatteforvaltningens indsats for at sikre, at virksomheder angiver korrekt moms
Den begrænsede validering af virksomhedernes angivelser medfører for det første,
at virksomheder har mulighed for at angive et beløb, der er meget forskelligt fra det
korrekte, og som kun bliver korrigeret, hvis Skatteforvaltningen efterfølgende kon-
trollerer virksomheden. For det andet medfører det, at der sker tastefejl, som kunne
være undgået, hvis Skatteforvaltningen via inddatakontrol i højere grad havde under-
støttet, at virksomheden angav korrekt. Dette indebærer, at Skatteforvaltningen og
virksomheden efterfølgende skal bruge resurser på at undersøge, om det er en util-
sigtet tastefejl eller en bevidst forkert angivelse.
46. Nedenfor ses 3 eksempler på fejl, som Skatteforvaltningen har fundet i forbindel-
se med kontrolsager, men som med fordel kunne have været stoppet allerede ved
inddatakontrollen, da virksomheden angav.
Kommafejl
En virksomhed havde i 2016 tastet en negativ angivelse på 2.662.029 kr. (2.6620,29
kr.) i stedet for 26.620 kr. Fejlen blev fanget og rettet i Skatteforvaltningens udbeta-
lingskontrol, og de godt 2,6 mio. kr. blev derfor ikke udbetalt. Skatteforvaltningen vur-
derede fejlen som simpelt uagtsom og lukkede derfor sagen. Fejlen kunne højst sand-
synligt have været undgået, hvis der havde været en digital stopklods, der afviste an-
givelser indeholdende komma, og som gjorde virksomheden opmærksom på, at be-
løb skal angives i hele kroner. En sådan digital stopklods blev implementeret i 2017.
Negativ i stedet for positiv angivelse
En virksomhed havde i 2016 angivet salgsmoms med et negativt beløb på 2.081.185
kr. Efter kontrol fra Skatteforvaltningen blev angivelsen ændret til en positiv angivelse
på samme beløb. Fejlen blev rettet, så virksomheden i stedet for at få beløbet udbe-
talt nu skulle betale det. Fejlen udgjorde således 4.162.370 kr. Skatteforvaltningen
vurderede fejlen som en enkeltstående fejl og lukkede derfor sagen. Fejlen kunne
højst sandsynligt have været undgået, hvis der havde været en inddatakontrol, som
gjorde virksomheden opmærksom på, at den havde angivet negativ salgsmoms.
For mange nuller
En virksomhed havde i 2016 anmodet om tilbagebetaling af 6 mia. kr. i købsmoms,
men rettede det til 6 mio. kr., da Skatteforvaltningen henvendte sig til virksomheden.
Virksomheden oplyste, at der var tale om en tastefejl, og at der var blevet tastet et
par nuller for meget ved indberetningen. Virksomheden dokumenterede efterføl-
gende købsmomsen på 6 mio. kr., hvorefter Skatteforvaltningen udbetalte det nega-
tive momstilsvar. Skatteforvaltningen vurderede fejlen som simpelt uagtsom, og sa-
gen blev derfor afsluttet med en henstilling til virksomheden om at være opmærksom
på reglerne fremover. Fejlen kunne højst sandsynligt have været undgået, hvis en advis
havde gjort virksomheden opmærksom på den meget store angivelse og eventuelt
bedt virksomheden om at bekræfte beløbet.
Fejlene i de 3 eksempler blev alle fanget i Skatteforvaltningens udbetalingskontroller,
men det kan ikke udelukkes, at lignende fejl hos andre virksomheder ikke er blevet
opdaget og rettet. Derfor vil digitale stopklodser med stor sandsynlighed kunne for-
hindre fejl, som kun vil blive opdaget, hvis virksomheden bliver kontrolleret. Digitale
stopklodser kan dog ikke opdage alle tilsigtede eller utilsigtede fejl, så de kan ikke stå
alene.
FIU, Alm.del - 2019-20 - Bilag 159: Beretning 12/2019 om momskontrollen
Skatteforvaltningens indsats for at sikre, at virksomheder angiver korrekt moms |
27
Resultater
Undersøgelsen viser, at Skatteforvaltningen stort set ikke har implementeret indda-
takontroller, men at de ultimo 2019 har implementeret de første digitale stopklodser,
der skal reducere risikoen for, at virksomhederne kan angive forkerte momstilsvar.
Den manglende inddatakontrol medfører, at virksomheder, der ønsker at angive for
lidt moms, har mulighed for at angive et beløb, der er meget forskelligt fra det korrek-
te, og som kun opdages, hvis de bliver kontrolleret. Desuden skal Skatteforvaltningen
og virksomheden efterfølgende bruge resurser på at undersøge, om det er en utilsig-
tet tastefejl eller en bevidst forkert angivelse.
3.2. Kontrol med virksomhedernes angivelser
47. Vi har undersøgt, om Skatteforvaltningen i tilstrækkeligt omfang har kontrolleret,
om virksomhedernes angivelser er korrekte.
Skatteforvaltningen kan enten kontrollere de enkelte angivelser på baggrund af en ri-
sikovurdering, umiddelbart efter de har modtaget angivelserne, eller kontrollere dem
efterfølgende, fx når virksomheden har aflagt regnskab.
Gennemførelse af kontrol umiddelbart efter angivelsen
48. Det er vigtigt at kontrollere angivelsen umiddelbart efter modtagelsen, så Skatte-
forvaltningen får mulighed for at reagere hurtigt over for de angivelser, de vurderer er
særligt risikofyldte, fx hvis angivelsen er atypisk i forhold til tidligere tilsvar.
Det er især vigtigt over for virksomheder, der har til hensigt at svindle, fordi det kan
forhindre dem i at svindle over en længere periode. Hvis der går for lang tid, kan det
desuden være svært for Skatteforvaltningen at opkræve de eventuelle forhøjelser,
der foretages som følge af kontrollen, fordi virksomheden kan være lukket i mellemti-
den.
Endelig kan det virke forebyggende og påvirke virksomhedernes oplevede opdagel-
sesrisiko, når virksomhederne erfarer, at Skatteforvaltningen reagerer umiddelbart
efter angivelsen.
49. Undersøgelsen viser, at Skatteforvaltningen risikovurderer alle negative angivel-
ser og kontrollerer de mest risikofyldte, før de udbetaler negativ moms. Kontrollen fo-
regår som led i flere kontrolprojekter, bl.a. kontrolprojektet
Udbetalingskontrol moms
og lønsum,
som er langt det største, jf. boks 5.
FIU, Alm.del - 2019-20 - Bilag 159: Beretning 12/2019 om momskontrollen
2178219_0035.png
28
| Skatteforvaltningens indsats for at sikre, at virksomheder angiver korrekt moms
SKATs kontrol med udbe-
talingen af negativ moms
Rigsrevisionen undersøgte i
2016 SKATs kontrol med ud-
betaling af negativ moms og
fandt bl.a., at Skatteministe-
riet ikke havde sikret, at SKATs
kontrol med angivelserne in-
den udbetaling var tilfredsstil-
lende.
I forbindelse med opfølgnin-
gen på beretningssagen i april
2019 gennemgik Rigsrevisio-
nen bl.a. kontrolprojektet
Ud-
betalingskontrol moms og
lønsum.
Vi fandt bl.a. i den for-
bindelse, at det var tilfredsstil-
lende, at Skatteministeriet har
gennemført og dokumenteret
overvågning og kontrol af de
virksomheder, der får udbe-
talt mest negativ moms, og at
ministeriet fortsat arbejder
med overvågning og kontrol
på området.
Boks 5
Kontrolprojektet
Udbetalingskontrol moms og lønsum
Skatteforvaltningen risikovurderer alle negative momsangivelser, svarende til ca.
350.000 angivelser fra knap 200.000 virksomheder om året.
Risikovurderingen sker ved hjælp af en it-baseret scoringsmodel, der beregner et kon-
troltal for hver angivelse, som indikerer risikoen for, at angivelsen er fejlbehæftet. Risiko-
vurderingen sker bl.a. på baggrund af, hvor stort det angivne negative momstilsvar er,
om virksomheden frivilligt har ladet sig registrere, virksomhedens alder, og om virksom-
heden tidligere er blevet kontrolleret.
På baggrund af virksomhedernes risikoscorer gennemfører Skatteforvaltningen årligt
ca. 7.000 kontroller af i alt 5.000 virksomheder.
Kontrollen tager udgangspunkt i en enkelt momsperiode, men modellen giver mulighed
for at basere kontrollen på de seneste 7 angivelsesperioder.
Kontrol umiddelbart
efter angivelsen fordelt
på positive og negative
angivelser
Derudover har Skatteforvaltningen fra 2016 til 2018 gennemført et pilotprojekt ved-
rørende positive momsangivelser for at undersøge, om den it-baserede screenings-
model, Skatteforvaltningen anvender til at risikovurdere virksomhederne i forbindel-
se med udbetalingskontrollen, også kan anvendes i forhold til positive angivelser. Pro-
jektet omfattede 336 kontroller, og resultatet var, at 70 % af virksomhederne havde
angivet forkert, og at de i alt skulle reguleres med 9,5 mio. kr. Det fremgår desuden af
Skatteforvaltningens evaluering af projektet, at omfanget af fejl vedrørende de posi-
tive momsangivelser var på niveau med negative momsangivelser, og at de samme
fejltyper havde gjort sig gældende i mange år. Det gennemsnitlige reguleringsbeløb i
pilotprojektet vedrørende positive angivelser var dog langt lavere end det gennem-
snitlige reguleringsbeløb i udbetalingskontrollen.
Undersøgelsen viser således, at Skatteforvaltningen kun i meget begrænset omfang
foretager en tilsvarende risikovurdering og kontrol med de positive momsangivelser,
selv om pilotprojektet vedrørende positiv moms viste, at omfanget af fejl vedrørende
positive momsangivelser var på niveau med de negative momsangivelser. Ud af alle
de tidlige kontroller er det således kun 2 %, der vedrører positive angivelser, mens 98
% vedrører negative angivelser.
2%
98 %
Positive angivelser
Negative angivelser
50. Samlet viser undersøgelsen, at Skatteforvaltningen har kontrolleret 1 % af angi-
velserne umiddelbart efter modtagelsen. Langt de fleste angivelser er negative og er
blevet kontrolleret i forbindelse med udbetalingskontrollen. Resultatet af Skattefor-
valtningens kontrol umiddelbart efter angivelsen fremgår af tabel 4.
FIU, Alm.del - 2019-20 - Bilag 159: Beretning 12/2019 om momskontrollen
2178219_0036.png
Skatteforvaltningens indsats for at sikre, at virksomheder angiver korrekt moms |
29
Tabel 4
Resultatet af kontrollen umiddelbart efter angivelsen
2016
Antal kontrollerede virksomheder
Andel af virksomheder, der har angivet forkert
Andel virksomheder, der har angivet for lidt
moms (ud af dem, der har angivet forkert)
Forhøjelse af momstilsvaret (mia. kr.)
Nedsættelse af momstilsvaret (mia. kr.)
5.712
56 %
89 %
3
0,1
2017
5.475
62 %
88 %
7,8
0,07
2018
5.252
64 %
89 %
1,7
0,1
I alt
16.439
61 %
89 %
12,5
0,3
Kilde:
Rigsrevisionen på baggrund af oplysninger fra Skatteforvaltningen.
Det fremgår af tabel 4, at Skatteforvaltningen i perioden 2016-2018 kontrollerede i alt
16.439 virksomheder umiddelbart efter angivelsen, og at antallet af kontrollerede virk-
somheder faldt fra 5.712 til 5.252, svarende til 8 %, i perioden. Tabellen viser videre, at
61 % af de virksomheder, Skatteforvaltningen kontrollerede, havde angivet forkert
moms, og at 89 % af dem, der havde angivet forkert, havde angivet for lidt moms. En-
delig fremgår det af tabellen, at kontrollen førte til en forhøjelse af momstilsvaret på
12,5 mia. kr. og en nedsættelse af momstilsvaret på 0,3 mia. kr.
Tabel 5 viser, hvordan de virksomheder, der ved kontrol fik forhøjet deres momstil-
svar i perioden 2016-2018, fordeler sig efter reguleringens størrelse.
Tabel 5
Fordeling af virksomhederne i forhold til forhøjelsen af momstilsvaret
Forhøjelser
Over 5 mia. kr.
1-5 mia. kr.
0,5-1 mia. kr.
100-500 mio. kr.
10-100 mio. kr.
1-10 mio. kr.
0,1-1 mio. kr.
50.000-100.000 kr.
20.000-50.000 kr.
1-20.000 kr.
I alt
Antal virksomheder
1
1
0
5
59
447
2.114
1.220
1.674
2.964
8.485
Nettoprovenu
5.993.939.113 kr.
1.416.916.450 kr.
-
1.322.163.372 kr.
1.718.167.694 kr.
1.288.008.581 kr.
631.140.273 kr.
87.827.342 kr.
55.961.963 kr.
22.969.926 kr.
12.537.094.714 kr.
Kilde:
Rigsrevisionen på baggrund af oplysninger fra Skatteforvaltningen.
FIU, Alm.del - 2019-20 - Bilag 159: Beretning 12/2019 om momskontrollen
2178219_0037.png
30
| Skatteforvaltningens indsats for at sikre, at virksomheder angiver korrekt moms
Det fremgår af tabel 5, at der blandt de kontrollerede virksomheder var én virksom-
hed, der fik forhøjet momstilsvaret med 6 mia. kr. Fejlen vedrørte negativ moms, og
Skatteforvaltningen fandt fejlen i forbindelse med udbetalingskontrollen. Virksomhe-
den nåede således ikke at få udbetalt pengene. Derudover fremgår det af tabellen, at
2.964 virksomheder, svarende til 34 %, fik forhøjet deres momstilsvar med op til
20.000 kr. De øvrige virksomheder fik forhøjet deres momstilsvar med mellem
20.000 kr. og 6 mia. kr.
Skatteforvaltningen har således som følge af kontrollen med negative angivelser umid-
delbart efter modtagelsen reguleret de kontrolleredes momstilsvar med 12,5 mia. kr.
og har derigennem forhindret, at et væsentligt milliardbeløb er blevet udbetalt.
Efterkontrol
51. Skatteforvaltningens efterkontroller planlægges som udgangspunkt én gang årligt
og består i al væsentlighed af en lang række kontrolprojekter inden for de forskellige
segmenter. Formålet med opdelingen på segmenter er at sikre en målrettet og effek-
tiv kontrolindsats. Kontrollen er risikobaseret, hvilket bl.a. indebærer, at Skatteforvalt-
ningen kun kontrollerer de virksomheder, de vurderer er mest risikofyldte, jf. boks 6.
Skatteforvaltningens
segmenter
Momsområdet er ikke et selv-
stændigt segment, men moms
indgår i flere af segmenterne,
fx i
De største virksomheder,
Mellemstore og store virksom-
heder
og
Små virksomheder.
Boks 6
Skatteforvaltningens udsøgning af virksomheder til risikobase-
ret kontrol
Skatteforvaltningen fastlægger én gang årligt en portefølje af kontrolprojekter, der ud-
gør de samlede kontrolaktiviteter for det pågældende år. Kontrolprojekterne er designet
på baggrund af analyser inden for områder, fx nyregistrerede virksomheder eller skyldig
moms og manglende momsangivelser, som Skatteforvaltningen vurderer er risikofyldte.
Skatteforvaltningen udvælger dernæst – på baggrund af deres generelle viden og den
specifikke viden indhentet i forbindelse med forstudierne – hvilke virksomheder der skal
kontrolleres i hvert enkelt kontrolprojekt. I kontrolprojektet
Udbetalingskontrol moms
og lønsum,
som er det største kontrolprojekt, sker udsøgningen af virksomheder fx på
baggrund af 80 parametre.
Udsøgningen af virksomheder til momskontroller sker således ikke én gang for alle ud
fra samlet prioritering af virksomhederne, men ud fra formålene i de konkrete kontrol-
projekter, der indeholder momskontroller. Ifølge Skatteforvaltningen var der ca. 50 kon-
trolprojekter, som bl.a. var målrettet momsområdet i perioden 2016-2018.
Skatteforvaltningen kontrollerer i forbindelse med efterkontrollen ofte også virksom-
hedernes tidligere angivelser, ligesom andre skattearter end moms indgår i kontrol-
len. Det betyder, at der kan gå lang tid, før kontrollen af en virksomhed er afsluttet. Fx
vedrørte næsten halvdelen af de kontroller, Skatteforvaltningen gennemførte i 2018,
angivelser fra 2016 eller tidligere.
Behovet for efterkontrol afhænger af, hvor stor risikoen er for, at fejl i virksomheder-
nes angivelser ikke er blevet opdaget i forbindelse med Skatteforvaltningens indda-
takontroller og kontrollerne foretaget umiddelbart efter, at virksomhederne har angi-
vet.
FIU, Alm.del - 2019-20 - Bilag 159: Beretning 12/2019 om momskontrollen
2178219_0038.png
Skatteforvaltningens indsats for at sikre, at virksomheder angiver korrekt moms |
31
52. Undersøgelsen viser, at Skatteforvaltningen har efterkontrolleret 1 % af virksom-
hederne om året i perioden 2016-2018. Tabel 6 viser resultatet af kontrollen.
Tabel 6
Resultaterne af Skatteforvaltningens efterkontrol
2016
Antal kontrollerede virksomheder
Andel af virksomheder, der har angivet forkert
Andel virksomheder, der har angivet for lidt
moms (ud af dem, der har angivet forkert)
Forhøjelse af momstilsvaret (mia. kr.)
Nedsættelse af momstilsvaret (mia. kr.)
6.736
51 %
91 %
1,6
0,2
2017
5.536
54 %
92 %
2,4
0,03
2018
5.467
58 %
89 %
1,6
0,09
I alt
17.739
54 %
90 %
5,6
0,3
Note: Tabellen omfatter Skatteforvaltningens efterkontrol med positive, negative og 0-angivelser samt ef-
terkontrollen med de foreløbige fastsættelser.
Kilde:
Rigsrevisionen på baggrund af oplysninger fra Skatteforvaltningen.
Det fremgår af tabel 6, at Skatteforvaltningen som led i efterkontrollen kontrollerede
i alt 17.739 virksomheder fra 2016 til 2018, og at antallet af kontrollerede virksomhe-
der faldt fra 6.736 til 5.467, svarende til 19 %, i perioden. Det fremgår endvidere af ta-
bellen, at 54 % af de virksomheder, Skatteforvaltningen kontrollerede, havde angivet
forkert moms, og at 90 % af dem, der havde angivet forkert, havde angivet for lidt
moms. Endelig viser tabellen, at kontrollen førte til en forhøjelse af momstilsvaret på
5,6 mia. kr. og en nedsættelse af momstilsvaret på 0,3 mia. kr. for perioden 2016-2018.
Tabel 7 viser, hvordan de virksomheder, der ved kontrol fik forhøjet deres momstil-
svar i perioden 2016-2018, fordeler sig efter reguleringens størrelse.
Tabel 7
Fordeling af virksomhederne i forhold til forhøjelsen af moms-
tilsvaret
Forhøjelser
0,5-1 mia. kr.
100-500 mio. kr.
10-100 mio. kr.
1-10 mio. kr.
0,1-1 mio. kr.
50.000-100.000 kr.
20.000-50.000 kr.
1-20.000 kr.
I alt
Antal virksomheder
1
3
75
653
2.531
1.047
1.177
2.769
8.256
Nettoprovenu
559.420.529 kr.
703.457.805 kr.
1.726.057.189 kr.
1.654.846.064 kr.
829.298.999 kr.
75.934.697 kr.
39.682.304 kr.
18.132.638 kr.
5.608.830.225 kr.
Kilde:
Rigsrevisionen på baggrund af oplysninger fra Skatteforvaltningen.
FIU, Alm.del - 2019-20 - Bilag 159: Beretning 12/2019 om momskontrollen
2178219_0039.png
32
| Skatteforvaltningens indsats for at sikre, at virksomheder angiver korrekt moms
Det fremgår af tabel 7, at 2.769 virksomheder blev forhøjet med op til 20.000 kr. Det
svarer til 34 % af virksomhederne. De øvrige virksomheder blev forhøjet med mellem
20.000 kr. og 560 mio. kr.
53. En del af kontrollerne omfatter kontrol med virksomheder, der har angivet 0 kr. i
moms (såkaldte 0-angivelser), jf. boks 7.
Boks 7
0-angivelser
Virksomhederne skal indberette 0 kr. i moms i de perioder, hvor de ikke har været akti-
ve eller ikke har haft momspligtige aktiviteter, men der kan også være virksomheder,
der angiver et momstilsvar på 0 kr. for at undgå at betale moms. I 2016 var der 113.615
virksomheder, der havde angivet 0 kr. én eller flere gange.
Skatteforvaltningens kontrol med 787 virksomheders 0-angivelser, svarende til 0,7 % af
de virksomheder, der havde haft 0-angivelser i 2016, viste at der var fejl i angivelserne for
75 % af de kontrollerede virksomheder. Den samlede regulering beløb sig til 185 mio. kr.
Andel af samlet for-
højelse fordelt på tidlig
kontrol og efterkontrol
Kontrollen med 0-angivelser viser således, at der også er behov for at kontrollere virk-
somheder, der har angivet 0 kr. i momstilsvar.
Den samlede kontrol med angivelserne
54. Undersøgelsen viser, at mere end hver anden virksomhed i både den tidlige kon-
trol og i efterkontrollen havde angivet for lidt moms, og at ca. 90 % af de virksomhe-
der, der havde angivet forkert, havde angivet for lidt. Derudover viser undersøgelsen,
at antallet af tidlige kontroller og efterkontroller er faldet med 14 % fra 2016 til 2018.
31 %
69 %
Tidlig kontrol
Efterkontrol
Årlig procentvis kontrol
af momsregistrerede
virksomheder
1% 1%
Kontrollen medførte, at virksomhederne fik forhøjet deres momstilsvar med i alt 18,1
mia. kr. fra 2016 til 2018. De 12,5 mia. kr. blev opdaget i den tidlige kontrol og de 5,6
mia. kr. i efterkontrollen. Det svarer til, at 69 % af forhøjelserne blev fundet i den tid-
lige kontrol, og 31 % af forhøjelserne blev fundet i efterkontrollen.
55. Rigsrevisionen finder, at de store reguleringer i både den tidlige kontrol og efter-
kontrollen burde have fået Skatteforvaltningen til at udvide kontrollen, ikke mindst i
lyset af mulighederne for at angive et for lavt momstilsvar og den meget begrænsede
inddatakontrol på momsområdet.
De gennemførte kontroller, som omfatter i alt 2 % af virksomhederne, er udvalgt på
baggrund af risiko og væsentlighed, og reguleringerne som følge af yderligere kon-
troller vil sandsynligvis ikke være lige så store. Rigsrevisionen vurderer dog, at der
også blandt de 98 % af virksomhederne, der ikke er kontrolleret, er virksomheder,
der har angivet for lidt. Skatteforvaltningens egen repræsentative undersøgelse af
regelefterlevelsen (complianceanalysen) blandt små og mellemstore virksomheder
bekræfter dette, idet næsten hver anden virksomhed har fejl i én eller flere momsan-
givelser i løbet af indkomståret, og idet 90 % af fejlene resulterer i forhøjelser af virk-
somhedernes momstilsvar.
98 %
Ingen kontrol
Tidlig kontrol
Efterkontrol
FIU, Alm.del - 2019-20 - Bilag 159: Beretning 12/2019 om momskontrollen
Skatteforvaltningens indsats for at sikre, at virksomheder angiver korrekt moms |
33
Det er derfor vores vurdering, at Skatteforvaltningen med de gennemførte kontroller
ikke har sikret, at virksomhederne har afregnet korrekt moms. Vi vurderer således, at
Skatteforvaltningen ved at kontrollere en større del af de 98 % af virksomhederne, der
i dag ikke udsættes for kontrol, ville kunne øge det nuværende nettomomsprovenu på
200 mia. kr. med et væsentligt milliardbeløb.
Skatteministeriet har oplyst, at kontroltrykket på momsområdet afspejler en tværgå-
ende prioritering baseret på risiko og væsentlighed inden for de rammer, som Skatte-
forvaltningen har til rådighed, og at en yderligere indsats på momsområdet alt andet
lige vil reducere indsatsen på andre risikofyldte områder, der også er prioriteret på
baggrund af risiko og væsentlighed. Derudover henviser Skatteministeriet til interna-
tionale undersøgelser, der viser, at momsgabet i Danmark er på niveau med andre
sammenlignelige lande.
Resultater
Undersøgelsen viser, at mere end hver anden virksomhed i både den tidlige kontrol
og i efterkontrollen havde angivet for lidt moms, og at 90 % af de virksomheder, der
havde angivet forkert, havde angivet for lidt. Derudover viser undersøgelsen, at antal-
let af tidlige kontroller og efterkontroller er faldet med 14 % fra 2016 til 2018.
Kontrollen medførte, at virksomhederne fik forhøjet deres momstilsvar med i alt 18,1
mia. kr. fra 2016 til 2018, herunder med 12,5 mia. kr., inkl. en enkelt forhøjelse på 6 mia.
kr., som følge af den tidlige kontrol og 5,6 mia. kr. som følge af efterkontrollen.
Rigsrevisionen vurderer, at Skatteforvaltningen med de gennemførte kontroller ikke
har sikret, at virksomhederne har afregnet korrekt moms, og at Skatteforvaltningen
ved at kontrollere en større del af de 98 % af virksomhederne, der i dag ikke udsæt-
tes for kontrol, ville kunne øge skatteindtægterne med et væsentligt milliardbeløb.
Skatteministeriet har oplyst, at der er afsat midler på finansloven for 2020 til en gene-
rel styrkelse af momskontrollen.
FIU, Alm.del - 2019-20 - Bilag 159: Beretning 12/2019 om momskontrollen
2178219_0041.png
34
| Skatteforvaltningens reaktion over for virksomheder, der ikke betaler moms
4. Skatteforvaltningens
reaktion over for virksom-
heder, der ikke betaler
moms
Delkonklusion
Skatteforvaltningens reaktion over for virksomheder, der ikke betaler
moms, er utilfredsstillende.
For det første viser undersøgelsen, at Skatteforvaltningen ikke rykker alle de virksom-
heder, der ikke betaler moms til tiden. Knap 44.000 virksomheder har i forvejen moms-
eller anden skattegæld, og disse virksomheder rykker Skatteforvaltningen ikke, men
gør dem alene opmærksomme på, at Skatteforvaltningen oversender gælden til ind-
drivelse. Dette svarer til 42 % af de virksomheder, der ikke betaler til tiden, og der
sendes årligt 4,1 mia. kr. til inddrivelse, uden at virksomheden er blevet rykket.
Skatteforvaltningen regnede i 2018 kun med at kunne inddrive 24 % af den gæld, der
var sendt til inddrivelse, hvilket understreger vigtigheden af, at Skatteforvaltningen
rykker alle virksomheder.
For det andet viser undersøgelsen, at Skatteforvaltningen ikke har benyttet den lov-
mæssige hjemmel til at kreditbegrænse aktive virksomheder, der inden for de seneste
12 afregningsperioder ikke har betalt moms rettidigt 4 gange, og som samtidig er i re-
stance med et beløb, der overstiger 50.000 kr. Skatteforvaltningen har desuden kun i
meget begrænset omfang benyttet muligheden for at pålægge de pågældende virksom-
heder at stille sikkerhed.
Skatteforvaltningen kan ved at benytte de sanktionsmuligheder, der følger af loven,
ikke blot forhindre virksomhederne i at opbygge momsgæld, men også anden skatte-
gæld. Undersøgelsen viser, at de momsregistrerede virksomheders momsgæld er ste-
get fra 10,3 mia. kr. i 2014 til 16,7 mia. kr. i 2018, og at deres samlede gæld til Skatte-
forvaltningen er steget fra 18 mia. kr. til 43,8 mia. kr. i samme periode.
FIU, Alm.del - 2019-20 - Bilag 159: Beretning 12/2019 om momskontrollen
2178219_0042.png
Skatteforvaltningens reaktion over for virksomheder, der ikke betaler moms |
35
56. Dette kapitel handler om Skatteforvaltningens opkrævning af momsgæld fra virk-
somheder, der ikke har betalt moms.
Vi har undersøgt:
om Skatteforvaltningen har rykket virksomheder, der ikke har betalt
om Skatteforvaltningen har udnyttet den lovmæssige hjemmel til at begrænse
kredittiden for moms og til at pålægge virksomhederne at stille sikkerhed.
I skattelovgivningen sondres der mellem opkrævning, som varetages af Skattestyrel-
sen og er reguleret i opkrævningsloven og momsloven, og inddrivelse, som varetages
af Gældsstyrelsen og er reguleret i inddrivelsesloven. Hvis virksomheden – efter at
Skattestyrelsen har udnyttet mulighederne for at opkræve virksomheden – stadig ik-
ke har betalt sin gæld, videresender Skattestyrelsen sagen til Gældsstyrelsen, som va-
retager inddrivelsen.
Uanset at Gældsstyrelsen har flere sanktionsmuligheder til rådighed i inddrivelsen,
end Skattestyrelsen har i opkrævningen, er det afgørende, at Skatteforvaltningen ud-
nytter alle muligheder for at opkræve gælden, før Skatteforvaltningen videresender
sagen til inddrivelse. Dels fordi det generelt bliver sværere at inddrive gæld, jo længe-
re tid der går, dels fordi Skatteforvaltningens inddrivelsesindsats i en lang periode har
været utilstrækkelig.
57. Figur 7 viser udviklingen i virksomhedernes momsgæld i perioden 2014-2018.
Inddrivelse
Inddrivelse omfatter brug af
lovgivningens muligheder for
tvangsinddrivelse i form af fx
lønindeholdelse, indtrædelses-
ret, modregning, udlægsforret-
ning og indgivelse af konkurs-
begæring.
Skatteforvaltningens ind-
drivelsesindsats
Figur 7
Virksomheders momsgæld i perioden 2014-2018
(Mia. kr.)
18
(Virksomheder)
250.000
Statsrevisorerne har bl.a. i be-
retningen om revisionen af
statsregnskabet for 2018 kriti-
seret, at restancerne til det of-
fentlige var steget fra 108,6 til
118,2 mia. kr. i 2018 som følge
af en utilstrækkelig inddrivel-
sesindsats, omfattende data-
problemer samt en begrænset
og forsinket systemunderstøt-
telse.
16
14
12
10
8
6
4
2
0
2014
Beløb
2015
2016
2017
2018
0
50.000
150.000
100.000
200.000
Antal virksomheder
Note: Figuren indeholder både ophørte og aktive virksomheder.
Kilde:
Rigsrevisionen på baggrund af oplysninger fra Skatteforvaltningen.
FIU, Alm.del - 2019-20 - Bilag 159: Beretning 12/2019 om momskontrollen
2178219_0043.png
36
| Skatteforvaltningens reaktion over for virksomheder, der ikke betaler moms
Det fremgår af figur 7, at momsgælden i perioden 2014-2018 er steget fra 10,3 mia. kr.
til 16,7 mia. kr., svarende til 62 %, og at antallet af virksomheder med momsgæld er ste-
get fra 133.620 til 195.889, svarende til 47 %.
Skatteforvaltningen har oplyst, at andelen af ophørte virksomheder med momsgæld
er fordoblet fra 2014 til 2018, og at deres andel af den samlede momsgæld er steget
fra 25 % i 2014 til 37 % i 2018.
Det er Rigsrevisionens vurdering, at stigningen i momsgælden og antallet af ophørte
virksomheder med gæld er med til at understrege, at Skatteforvaltningen bør reagere
så tidligt som muligt over for virksomheder, der ikke betaler moms, så Skatteforvalt-
ningen bl.a. kan minimere risikoen for, at virksomhederne over tid opbygger gæld for
derefter at ophøre.
58. De momsregistrerede virksomheder, der har momsgæld, har i langt de fleste til-
fælde også anden gæld til Skatteforvaltningen, fx A-skat. Undersøgelsen viser, at de
momsregistrerede virksomheders samlede gæld hos Skatteforvaltningen ligeledes
er steget markant fra 18 mia. kr. i 2014 til 43,8 mia. kr. i 2018.
59. Figur 8 viser et eksempel på udviklingen i en virksomheds gæld til Skatteforvalt-
ningen i perioden primo 2013 - medio 2018. Eksemplet er udvalgt, fordi det illustrerer,
hvor hurtigt en virksomhed kan opbygge gæld.
Figur 8
Eksempel på virksomhed, der over en årrække opbygger gæld, uden
Skatteforvaltningen reagerer
(Mio. kr.)
10
9
8
7
6
5
4
3
2
1
0
2013
2014
2015
2016
2017
2018
Kilde:
Rigsrevisionen på baggrund af oplysninger fra Skatteforvaltningen.
Det fremgår af figur 8, at virksomheden opbyggede en gæld til Skatteforvaltningen
på 8,6 mio. kr. fra primo 2013 til medio 2018.
FIU, Alm.del - 2019-20 - Bilag 159: Beretning 12/2019 om momskontrollen
Skatteforvaltningens reaktion over for virksomheder, der ikke betaler moms |
37
Eksemplet understreger vigtigheden af, at Skatteforvaltningen så tidligt som muligt
reagerer over for virksomheder, der ikke betaler moms, da det kan forhindre, at virk-
somhederne opbygger gæld, som på et senere tidspunkt skal inddrives og eventuelt
afskrives.
4.1. Rykkerprocedure
60. Vi har undersøgt, om Skatteforvaltningen rykker virksomhederne i henhold til lo-
ven. Skatteforvaltningen skal ifølge opkrævningslovens § 16 c, stk. 4, udsende et ryk-
kerbrev til virksomheden, hvis gælden for virksomheden overstiger 5.000 kr. Rykker-
proceduren skal iværksættes i de tilfælde, hvor virksomheden ikke har overholdt be-
talingsfristen, som er sat til at være senest samtidig med angivelsesfristen.
I lovbemærkningerne til opkrævningslovens bestemmelse vedrørende udsendelse af
rykkerbrev skelnes der mellem 2 ordninger. For virksomheder, der ikke har gæld i for-
vejen, skal Skatteforvaltningen sende rykkerbrevet inden oversendelse til Gældssty-
relsen. For virksomheder med gæld i forvejen skal Skatteforvaltningen også sende et
rykkerbrev, men kan vælge at sende dette i forbindelse med oversendelsen af gæl-
den til Gældsstyrelsen. Desuden skal rykkerbrevet sendes til virksomheder, der i for-
vejen har gæld, uanset om gælden for virksomheden er over eller under 5.000 kr.
61. Undersøgelsen viser, at de virksomheder, der i forvejen har gæld hos Gældsstyrel-
sen, ikke modtager et rykkerbrev for betaling i forbindelse med oversendelsen til
Gældsstyrelsen. Det omfatter årligt 43.511 virksomheder. Skatteforvaltningen lever
dermed ikke op til opkrævningsloven med hensyn til disse virksomheder. Beløbsmæs-
sigt svarer det til, at der årligt sendes 4,1 mia. kr. til inddrivelse, uden at de respektive
virksomheder med momsgæld modtager et rykkerbrev.
62. Skatteforvaltningen har oplyst, at virksomheder med gæld fremover vil blive ryk-
ket inden oversendelse til inddrivelsen, når det nuværende inddrivelsessystem DMO
onboardes til det nye inddrivelsessystem PSRM, hvilket ifølge Skatteforvaltningen
tidligst vil finde sted i 2021.
Skatteforvaltningen estimerede i 2018 kursværdien af den momsgæld, der sendes til
inddrivelse, til at være 24 %, hvilket afspejler, at kun ca. en fjerdedel af gælden for-
ventes inddrevet. Dette understreger vigtigheden af, at Skattestyrelsen lykkes med
at få virksomhederne til at betale inden eventuel oversendelse til inddrivelsen.
63. For de øvrige virksomheder viser undersøgelsen, at Skatteforvaltningen måned-
ligt foretager en rykkerkørsel, hvor rykkere sendes til de virksomheder, der skylder
over 5.000 kr. Årligt rykkes 60.822 virksomheder, hvoraf 26.234 efterfølgende beta-
ler. Beløbsmæssigt svarer det til, at Skatteforvaltningen årligt rykker 5,5 mia. kr. in-
den eventuel oversendelse til inddrivelsen. Ud af de 5,5 mia. kr. betaler virksomhe-
derne 2,5 mia. kr., hvilket understreger vigtigheden af, at Skatteforvaltningen foreta-
ger rykkerproceduren, som de skal i henhold til loven.
Skatteforvaltningen rykkede dog ikke virksomhederne i oktober 2017 og december
2018, hvilket ifølge Skattestyrelsen skyldes skift af it-leverandør.
Momsgældens kursværdi
Kursværdien afspejler ande-
len af den samlede gæld, det
ifølge Skatteforvaltningen er
realistisk, at virksomhederne
indbetaler. Gældens kursvær-
di skal ses i forhold til gældens
nominelle værdi, der udgør det
reelle beløb, virksomheden
skylder.
FIU, Alm.del - 2019-20 - Bilag 159: Beretning 12/2019 om momskontrollen
2178219_0045.png
38
| Skatteforvaltningens reaktion over for virksomheder, der ikke betaler moms
Figur 9 viser, hvordan de 104.333 virksomheder, der ikke betaler til tiden, fordeler sig
på virksomheder, der rykkes og betaler, virksomheder, der rykkes og ikke betaler, og
virksomheder, der slet ikke rykkes.
Figur 9
Virksomheder, der ikke betaler til tiden, fordelt på virksomheder, der
rykkes og betaler, virksomheder der rykkes, men ikke betaler, og virk-
somheder, der slet ikke rykkes
Virksomheder,
der rykkes,
men ikke betaler
Virksomheder,
der slet ikke
rykkes
33 %
42 %
25 %
Virksomheder, der
rykkes og betaler
Kilde:
Rigsrevisionen på baggrund af oplysninger fra Skatteforvaltningen.
Det fremgår af figur 9, at 42 %, svarende til 43.511 virksomheder, slet ikke rykkes, før
de sendes til inddrivelse. Det fremgår også af figuren, at ca. 25 %, svarende til 26.234
virksomheder, betaler, når de rykkes, mens de resterende 33 %, svarende til 34.588
virksomheder, ikke betaler, selv om de er blevet rykket.
Den momsgæld, der årligt sendes til inddrivelse, udgør 7,1 mia. kr., svarende til 37 % af
den samlede tilgang af nye restancer i 2018, og vedrører i alt 78.000 virksomheder.
Resultater
Undersøgelsen viser, at Skatteforvaltningen ikke sikrer, at alle momsregistrerede
virksomheder, der ikke betaler moms til tiden, gennemgår en rykkerprocedure, som
opkrævningsloven foreskriver. Skatteforvaltningen rykker således ikke de virksom-
heder, der i forvejen har gæld hos Gældsstyrelsen, men informerer alene de pågæl-
dende virksomheder om oversendelse af fordringer til inddrivelsen.
Det forhold, at Skatteforvaltningen kun regner med at kunne inddrive 24 % af den
gæld, der er sendt til inddrivelse, understreger imidlertid vigtigheden af, at Skattefor-
valtningen rykker alle virksomheder.
FIU, Alm.del - 2019-20 - Bilag 159: Beretning 12/2019 om momskontrollen
Skatteforvaltningens reaktion over for virksomheder, der ikke betaler moms |
39
4.2. Kreditbegrænsning og sikkerhedsstillelse
64. Vi har undersøgt, om Skatteforvaltningen anvender de sanktionsmuligheder, der
følger af loven, i forhold til aktive virksomheder, der ikke betaler. Det har vi gjort ved
at undersøge, om Skatteforvaltningen med hjemmel i opkrævningsloven og momslo-
ven anvender muligheden for kreditbegrænsning og krav om sikkerhedsstillelse.
Det er en forudsætning for, at Skatteforvaltningen kan kreditbegrænse eller kræve
sikkerhedsstillelse, at virksomheden inden for de seneste 12 afregningsperioder ikke
har indbetalt skatter og afgifter rettidigt 4 gange, og at virksomheden samtidig er i re-
stance med et beløb, der overstiger 50.000. Skatteforvaltningen kan dog kun kræve
sikkerhedsstillelse, hvis Skatteforvaltningen desuden vurderer, at den enkelte virk-
somheds drift indebærer en nærliggende risiko for tab for staten.
Ifølge Skatteforvaltningens retningslinjer skal Skatteforvaltningen for alle virksomhe-
der, der lever op til de objektive kriterier om manglende betaling og restance, vurde-
re, om der er risiko for, at virksomhederne oparbejder yderligere restancer, hvis Skat-
teforvaltningen fravælger kreditbegrænsning og/eller sikkerhedsstillelse.
Hvis virksomheden ikke rettidigt stiller sikkerhed eller betaler sin gæld, skal Skatte-
forvaltningen inddrage virksomhedens momsregistrering. Skatteforvaltningens sank-
tion i form af sikkerhedsstillelse er dermed et effektivt værktøj til at stoppe gældsop-
bygning for virksomheder, der ikke kan eller vil betale.
65. Undersøgelsen viser, at Skatteforvaltningen ikke systematisk har vurderet, om der
er risiko for, at de virksomheder, der lever op til de objektive kriterier, vil oparbejde
yderligere restancer, hvis Skatteforvaltningen fravælger sanktionen. Skatteforvaltnin-
gen har på Rigsrevisionens foranledning opgjort, hvor mange virksomheder der ulti-
mo 2018 levede op til objektive kriterier om manglende betaling og restance. Opgø-
relsen viser, at det drejer sig om 15.635 virksomheder, men Skatteforvaltningen oply-
ser, at opgørelsen er forbundet med usikkerhed.
Desuden viser undersøgelsen, at Skatteforvaltningen i perioden 2016-2018 kun i me-
get begrænset omfang har anvendt muligheden for at sanktionere virksomhederne.
Skatteforvaltningen har således slet ikke udnyttet hjemlen til at begrænse aktive
virksomheders kredittid og har kun pålagt 146 virksomheder at stille sikkerhed.
Skatteforvaltningen har oplyst, at ingen af de 146 virksomheder efter påbuddet har
stillet sikkerhed. De har desuden oplyst, at 8 virksomheder efterfølgende har betalt
gælden, og at Skatteforvaltningen har inddraget de øvrige virksomheders momsregi-
strering.
Kreditbegrænsning
Formålet med at pålægge
virksomheden at angive og
betale momstilsvar med kor-
tere intervaller er ifølge Skat-
teforvaltningens juridiske vej-
ledning at give Skatteforvalt-
ningen mulighed for hurtigere
at kunne foretage inddrivelses-
skridt, hvis virksomheden ikke
betaler.
Sikkerhedsstillelse
Den krævede sikkerhed kan
som udgangspunkt stilles i
form af børsnoterede obliga-
tioner, bankgaranti, kontante
indskud eller i form af anden
betryggende sikkerhed.
FIU, Alm.del - 2019-20 - Bilag 159: Beretning 12/2019 om momskontrollen
40
| Skatteforvaltningens reaktion over for virksomheder, der ikke betaler moms
Resultater
Undersøgelsen viser, at Skatteforvaltningen ikke har benyttet hjemlen til at foretage
kreditbegrænsning over for aktive virksomheder og kun i begrænset omfang har be-
nyttet hjemlen til at pålægge aktive virksomheder at stille sikkerhed. Set i lyset af stig-
ningen i momsgælden har Skatteforvaltningen således kun i meget begrænset om-
fang udnyttet de sanktionsmuligheder, Skatteforvaltningen har til rådighed i forhold
til de virksomheder, der ikke betaler rettidigt. Skatteforvaltningen kan ved at benytte
de muligheder, der følger af loven, ikke blot forhindre virksomhederne i at opbygge
momsgæld, men også anden skattegæld.
Rigsrevisionen, den 2. april 2020
Lone Strøm
/Niels Kjøller Petersen
FIU, Alm.del - 2019-20 - Bilag 159: Beretning 12/2019 om momskontrollen
Metodisk tilgang |
41
Bilag 1. Metodisk tilgang
Formålet med undersøgelsen er at vurdere, om Skatteministeriet i tilfredsstillende grad
kontrollerer, om virksomhederne afregner korrekt moms. Derfor har vi undersøgt føl-
gende:
Har Skatteforvaltningen i tilfredsstillende grad fulgt op over for virksomheder, der
ikke angiver moms?
Har Skatteforvaltningen i tilfredsstillende grad kontrolleret, om de virksomheder
der har angivet moms, har angivet korrekt?
Har Skatteforvaltningen i tilfredsstillende grad reageret over for de virksomheder,
der ikke betaler moms?
Undersøgelsen omhandler perioden 2016-2018 og omfatter både positive, negative og
0-angivelser. Undersøgelsen supplerer således Rigsrevisionens undersøgelse af Skat-
teforvaltningens kontrol med udbetaling af negativ moms fra 2016 vedrørende perio-
den 2009-2015. Undersøgelsen omfatter ikke 2019, da de kontroller, der er afsluttet i
2019, er gennemført samtidig med vores undersøgelse, og vi gerne vil sikre, at gennem-
førelsen af kontrollerne ikke bliver påvirket af vores igangværende undersøgelse. Sam-
tidig vil mange angivelser og foreløbige fastsættelser vedrørende 2019 først blive re-
gistreret i løbet af 2020.
Undersøgelsesperioden omfatter både Skatteforvaltningens tidligere og nuværende
organisering. Indtil 1. juli 2018 blev både kontrol med og opkrævning af moms vareta-
get i det daværende SKAT. Efter SKAT blev opdelt i 7 styrelser, er det Skattestyrel-
sen, der har haft til opgave at planlægge og gennemføre kontrolindsatsen over for
momsregistrerede virksomheder og at opkræve gælden hos virksomheder, der ikke
betaler.
Skatteforvaltningens
kontrol med udbetaling
af negativ moms
Statsrevisorerne vurderede i
2016, at kontrollen med udbe-
talingen af negativ moms var
helt utilstrækkelig, og at tilret-
telæggelsen af kontrollen var
særdeles mangelfuld.
I beretningen anvendes Skatteforvaltningen som en samlet betegnelse for Skattesty-
relsen og Gældsstyrelsen.
Undersøgelsen bygger på gennemgang af dokumenter og analyse af data. Vi har des-
uden holdt møder med centrale aktører på området, herunder Skatteministeriet og
Skattestyrelsen.
FIU, Alm.del - 2019-20 - Bilag 159: Beretning 12/2019 om momskontrollen
42
| Metodisk tilgang
Møder
Beretningen tager afsæt i en forvaltningsrevision fra 2018 gennemført af Rigsrevisio-
nens årsrevisionskontor, der reviderer Skatteministeriet. Vi har i forbindelse med ud-
arbejdelsen af forvaltningsrevisionen og beretningen holdt møder med:
Skatteministeriet
Skattestyrelsens enheder
Moms- og lønsumskontor
Erhvervsregistrering Øst
Særlig kontrol
Større erhverv/kontrol
Jura/straffesagsenhed
Gældsstyrelsen.
Formålet med møderne har været at få belyst Skattestyrelsens arbejdsprocesser og
indsats for at sikre en korrekt afregning af moms, herunder opnå baggrundsviden for
dokumentgennemgangen og dataanalysen. Emnerne for møderne har været:
Skatteforvaltningens tilrettelæggelse og gennemførelse af kontrol på momsområ-
det i perioden 2016-2018
bindinger og analyser, der ligger til grund for Skatteforvaltningens kontrol på moms-
området i perioden 2016-2018
Skatteforvaltningens indsats over for virksomheder, der ikke angiver moms
Skatteforvaltningens opkrævningsindsats i forhold til virksomheder, der ikke be-
taler moms.
Væsentlige dokumenter
Vi har gennemgået en række dokumenter, herunder:
bekendtgørelse nr. 1021 af 26. september 2019 af lov om merværdiafgift (momslo-
ven)
bekendtgørelse nr. 573 af 6. maj 2019 af lov om opkrævning af skatter og afgifter
m.v. (opkrævningsloven)
Skatteforvaltningens procedurer i forbindelse med foreløbige fastsættelser, op-
krævning og straf
Skatteforvaltningens interne vejledninger om sikkerhedsstillelse og kreditbe-
grænsning
Skatteforvaltningens compliance- og skattegabsanalyser for borgere og små og
mellemstore virksomheder for indkomståret 2014
Skatteforvaltningens segmentstrategier for de segmenter, der ifølge Skattefor-
valtningen er relevante for momsområdet
Skatteforvaltningens risikoregistre på momsområdet, herunder en udgave fra
september 2018 og fra marts 2019
Skattestyrelsens projektbeskrivelser og evalueringer af de i alt 48 kontrolprojek-
ter, som ifølge Skatteforvaltningen var målrettet momsområdet i perioden 2016-
2018
korrespondance og interne notater, som beskriver Skatteforvaltningens arbejde
med at forbedre sin tilgang til momsområdet, herunder bl.a. risikostyring og miti-
gering af risici
EU-Kommissionens og Skatteforvaltningens momsgabsanalyser.
FIU, Alm.del - 2019-20 - Bilag 159: Beretning 12/2019 om momskontrollen
Metodisk tilgang |
43
Formålet med gennemgangen af dokumenterne har bl.a. været at belyse:
Skatteforvaltningens praksis i forbindelse med virksomheder, der ikke angiver el-
ler betaler moms
Skatteforvaltningens tilrettelæggelse og gennemførelse af momskontroller
resultaterne af momskontrollen.
Generelt om data
Undersøgelsen bygger derudover på dataanalyser. Dataanalyserne er baseret på da-
taudtræk fra Skattestyrelsens opkrævnings- og regnskabssystem, DMO, Gældssty-
relsens opkrævnings- og regnskabssystem, DMI, og udtræk fra Skattestyrelsens da-
tabase over gennemførte kontroller (DIPSY). Datamaterialet omfatter alle momsregi-
strerede virksomheder.
Nedenfor beskrives data og metode samt det materiale, der ligger til grund for hvert
enkelt kapitel.
Kapitel 1. Introduktion og konklusion
I kapitel 1 beskriver vi bl.a. momsgabet og nævner i den forbindelse Skatteforvaltnin-
gens og EU’s opgørelser fra 2019 baseret på tal fra 2017. Dette gør vi primært, fordi
Skatteministeriet tillægger opgørelserne vægt og begrunder deres nuværende kon-
troltryk med udviklingen i momsgabet. Vi anvender således ikke opgørelserne til at
konkludere, præcis hvor meget Skatteforvaltningen går glip af. Dette skyldes bl.a., at
opgørelserne er forbundet med betydelig usikkerhed.
Kapitel 2. Skatteforvaltningens opfølgning over for virksomheder, der ikke angi-
ver moms
Formålet er at undersøge, om Skatteforvaltningen i tilfredsstillende grad følger op
over for virksomheder, der ikke angiver moms.
For det første undersøger vi, om Skatteforvaltningen har procedurer for opfølgning
over for virksomheder, der ikke angiver moms rettidigt, og om Skatteforvaltningens
opfølgning sikrer, at virksomhederne efterfølgende angiver. Vi har i den forbindelse
gennemgået Skatteforvaltningens rykkerprocedure og undersøgt, om Skatteforvalt-
ningen rykker virksomhederne.
For det andet undersøger vi, hvordan Skatteforvaltningen har fastsat et foreløbigt
momstilsvar for de virksomheder, der stadig ikke har angivet moms efter rykkerpro-
ceduren. Dette gør vi med udgangspunkt i opkrævningslovens § 4, stk. 1, som giver
Skatteforvaltningen hjemmel til at fastsætte virksomhedens momstilsvar foreløbigt
til et skønsmæssigt beløb. Besvarelsen af spørgsmålet bygger vi på Skatteforvaltnin-
gens egne opgørelser fra DMO (Skattekontoen) og Skatteforvaltningens ”momsuni-
vers”. Skatteforvaltningen har således opgjort antallet af årligt udstedte foreløbige
fastsættelser og antallet af åbne foreløbige fastsættelser, som ikke er blevet erstat-
tet af en angivelse. Sidstnævnte er koblet til virksomhedernes SE-numre med henblik
på at kunne vurdere omfanget af momsregistrerede virksomheder med åbne forelø-
bige fastsættelser ultimo 2018.
FIU, Alm.del - 2019-20 - Bilag 159: Beretning 12/2019 om momskontrollen
44
| Metodisk tilgang
For det tredje undersøger vi, om Skatteforvaltningen udnytter hjemlen til at give virk-
somhederne påbud og daglige bøder i henhold til opkrævningslovens § 4 a med hen-
blik på at sikre, at den foreløbige fastsættelse erstattes af en angivelse. Dette gør vi
med henvisning til, at det er Skatteforvaltningens ansvar at sikre, at virksomhederne
angiver korrekt, og med henvisning til, at en foreløbig fastsættelse i sagens natur ikke
sikrer en korrekt afregning af moms. Vi undersøger Skatteforvaltningens udnyttelse
af hjemlen ud fra den betragtning, at disse sanktioner formodentlig vil kunne bidrage
til, at virksomhederne i højere grad angiver moms, hvilket også fremgår af lovbemærk-
ningerne.
For det fjerde undersøger vi, om Skatteforvaltningen fratager virksomheder, der ikke
har angivet 4 gange i træk, deres momsregistrering, som Skatteforvaltningen har hjem-
mel til i henhold til opkrævningslovens § 4, stk. 3. Skatteforvaltningen har i den forbin-
delse sendt opgørelser herfor på baggrund af en søgning i sagsbehandlingssystemet
Captia.
Da der er grund til at antage, at de foreløbige fastsættelser er fastsat for lavt, har vi
for det femte undersøgt, i hvilket omfang Skatteforvaltningen har gennemført kontrol
af virksomheder med foreløbige fastsættelser. Kontrol med foreløbige fastsættelser
har vi opgjort ved at gennemgå antallet af virksomheder med foreløbige fastsættel-
ser vedrørende 2016 og/eller 2017, som Skatteforvaltningen har kontrolleret. Årsa-
gen til, at 2018 ikke er medtaget, er, at de foreløbige fastsættelser fra 2018 i langt de
fleste tilfælde først vil blive kontrolleret efter 2018. Reguleringerne kan ud over de fo-
reløbige fastsættelser også vedrøre almindelige angivelser, da undersøgelsen tager
udgangspunkt i kontrollen af virksomheden og ikke de enkelte angivelser.
Kapitel 3. Skatteforvaltningens indsats for at sikre, at virksomheder angiver kor-
rekt moms
Formålet er at undersøge, i hvilket omfang Skatteforvaltningen kontrollerer, om virk-
somhedernes angivelser er korrekte, og at vurdere, om det er tilstrækkeligt til, at
Skatteforvaltningen dermed sikrer, at virksomhederne afregner korrekt moms.
Vi undersøger for det første, om Skatteforvaltningen har implementeret inddatakon-
troller, der matcher muligheden for at angive for lidt moms. Besvarelsen af spørgs-
målet bygger vi på Skatteforvaltningens egen redegørelse for, i hvilket omfang de har
implementeret og planlægger at implementere inddatakontrol. Vi har også gennem-
gået Skatteforvaltningens risikoanalyser/registre og risikostyringskoncept for at få
indblik i, hvordan Skatteforvaltningen selv vurderer risici på momsområdet, herunder
risikoen for forkerte angivelser. Endelig har vi gennemgået 129 udvalgte sager over
250.000 kr., som Skatteforvaltningen har straffeegnethedsvurderet, for at få indblik
i, om der er fejl i angivelserne, som kunne have været fanget i inddatakontroller. I vur-
deringen af, om Skatteforvaltningens inddatakontrol er tilstrækkelig, har vi sammen-
holdt de implementerede inddatakontroller med:
rammerne for angivelse af moms (selvangivelsesprincippet og det forhold, at der
ikke er krav til at medsende dokumentation)
de risici, Skatteforvaltningen vurderer, der er
de fejltyper, Skatteforvaltningen selv har fundet i kontrollen (beløbets størrelse,
negativ/positiv angivelse og kommafejl).
FIU, Alm.del - 2019-20 - Bilag 159: Beretning 12/2019 om momskontrollen
Metodisk tilgang |
45
For det andet undersøger vi, i hvilket omfang Skatteforvaltningen har kontrolleret
virksomhedernes angivelser umiddelbart efter, de modtog dem, og i hvilket omfang
Skatteforvaltningen har kontrolleret virksomhedernes angivelser i forbindelse med
efterkontrollen. Besvarelsen af spørgsmålet bygger vi på Skatteforvaltningens egne
data fra databasen over gennemførte kontroller (DIPSY) og beregner for begge typer
kontrol:
antallet af kontroller
andelen af momsregistrerede virksomheder, der er blevet kontrolleret
andelen af virksomheder, der har angivet forkert
andelen af de virksomheder, der har angivet forkert, og som har angivet for lidt
hvor meget de kontrollerede virksomheders angivelser er blevet henholdsvis for-
højet og nedsat.
Kontrollerne kan vedrøre én eller flere af virksomhedens angivelser, ligesom de kan
vedrøre ét eller flere år. Vi har valgt at tage udgangspunkt i de kontroller, der er af-
sluttet i 2016, 2017 eller 2018. Det betyder, at de reguleringer, der er foretaget som
følge af kontrollerne, også kan vedrøre angivelser fra tidligere år, fx 2014 og 2015. Vi
har valgt denne metode, da disse kontroller er afsluttet, og resultatet af kontrollen
dermed er kendt.
Reguleringerne er opgjort som nettoprovenu for at vise, hvor meget virksomhedens
momstilsvar samlet set er blevet ændret. Når Skatteforvaltningen gennemfører ef-
terkontrol, kontrollerer de ofte for flere skattearter, fx A-skat og punktafgifter. Vores
opgørelser omfatter alene moms.
Skatteministeriet har oplyst, at der blandt kontrollerne er 2 store reguleringer på hen-
holdsvis 6 mia. kr. og 1,4 mia. kr., og har anført, at reguleringer af den størrelse ikke er
repræsentative for kontroller på momsområdet. Det er derfor ifølge Skatteministeri-
et mere retvisende at opgøre kontrolresultaterne uden de 2 forhøjelser.
Vi har imidlertid valgt at fastholde en opgørelse, der er baseret på resultatet af alle
gennemførte kontroller i perioden, da vi vurderer, at det ville give et misvisende og
ufuldstændigt billede af, hvad Skatteforvaltningen havde fundet i kontrollen, og i hvil-
ket omfang virksomhederne havde angivet forkert, hvis de største reguleringer var
udeladt. Desuden er de 2 ekstreme fejlangivelser netop et udtryk for, at det er muligt
at angive et beløb, der er meget forskelligt fra den korrekte angivelse, hvilket det bl.a.
har været formålet at afdække med undersøgelsen. Endelig har Skatteforvaltningen
selv påpeget i en complianceanalyse fra 2017, at erfaringen fra mange års kontroller i
Skatteforvaltningen viser, at der hvert år forekommer sager med meget store regule-
ringer, hvorfor det er vanskeligt at konkludere, at store reguleringer er ekstreme og
bør udelades.
Vi bygger desuden besvarelsen på gennemgang af Skatteforvaltningens kontrolpro-
jekter, herunder særligt kontrolprojektet
Udbetalingskontrol moms og lønsum
samt
pilotprojektet
Datamining positive momsangivelser.
FIU, Alm.del - 2019-20 - Bilag 159: Beretning 12/2019 om momskontrollen
46
| Metodisk tilgang
I forbindelse med vurderingen af, om Skatteforvaltningens kontrol er tilstrækkelig til,
at Skatteforvaltningen kan sikre, at virksomhederne afregner korrekt moms, vurderer
vi, om det kan forventes, at Skatteforvaltningen med det konstaterede kontroltryk i al
væsentlighed har identificeret de virksomheder, der har angivet for lidt. I den forbin-
delse inddrager vi Skatteforvaltningens seneste repræsentative complianceanalyse
af regelefterlevelsen på momsområdet, som er baseret på tilfældigt udvalgte virksom-
heder. Complianceanalysen omfatter kun små og mellemstore virksomheder, men
Skatteforvaltningen har ikke udarbejdet nogen analyser af den samlede regelefterle-
velse på momsområdet. Vi har gennemgået metoden og vurderer, at resultaterne er
valide.
Vi anvender analysen til at vurdere, i hvilket omfang fejlprocenten og andelen af virk-
somheder, der har angivet for lidt moms blandt de kontrollerede virksomheder i 2016-
2018, kan generaliseres til de 98 % af virksomhederne, der ikke er blevet kontrolleret.
Vi er opmærksomme på, at små og mellemstore virksomheder i flere henseender ik-
ke er repræsentative, og generaliserer derfor heller ikke resultaterne til hele popula-
tionen, men anvender dem alene til at argumentere for, at der er stor risiko for, at der
blandt de 98 % af virksomhederne, der ikke er kontrolleret, er manglende momsind-
tægter for et væsentligt milliardbeløb.
Kapitel 4. Skatteforvaltningens reaktion over for virksomheder, der ikke betaler
moms
Formålet er at undersøge, om Skatteforvaltningen i tilfredsstillende grad reagerer
over for de virksomheder, der ikke har betalt moms.
For det første undersøger vi, om Skatteforvaltningen har rykket virksomhederne i
overensstemmelse med opkrævningsloven. Den del af analysen tager udgangspunkt
i opkrævningslovens § 16 c, stk. 4., der foreskriver, at Skatteforvaltningen skal sende
et rykkerbrev til en virksomhed, hvis gælden for virksomheden overstiger 5.000 kr.
Besvarelsen af spørgsmålet bygger vi på Skatteforvaltningens egne data over moms-
krav, der rykkes for, herunder såvel momskrav, som virksomhederne betaler, som
momskrav, der ikke bliver betalt og derfor bliver sendt til inddrivelse.
Den samlede sum på momsområdet, der sendes til inddrivelse, er også opgjort på bag-
grund af tal fra Skatteforvaltningen for 2016, 2017 og 2018. Vi har adderet momskrav
sendt direkte til inddrivelse med momskrav sendt til inddrivelse efter udsendelse af
rykkerbrev. Vi har også i denne sammenhæng bedt Skatteforvaltningen sende en op-
gørelse over, hvilke SE-numre momskravene vedrører, med henblik på at opgøre
hvor mange virksomheder der i alt får sendt momskrav til inddrivelse.
For det andet undersøger vi, om Skatteforvaltningen har udnyttet hjemlen til at kredit-
begrænse og kræve sikkerhedsstillelse over for de virksomheder, der ikke har betalt
rettidigt 4 gange inden for de seneste 12 afregningsperioder. Både kreditbegrænsning
og sikkerhedsstillelse kan bruges over for virksomheder ved momsregistreringen og
over for aktive virksomheder, som ikke betaler og har gæld. Vi undersøger brugen af
sanktioner i forhold til aktive virksomheder, der ikke betaler.
FIU, Alm.del - 2019-20 - Bilag 159: Beretning 12/2019 om momskontrollen
Metodisk tilgang |
47
Analysen bygger på momslovens § 62, stk. 1, der henviser til opkrævningslovens § 2,
der giver Skatteforvaltningen hjemmel til at begrænse kredittiden for moms, og på
opkrævningslovens § 11, stk. 1, der giver Skatteforvaltningen hjemmel til at pålægge
virksomheder at stille sikkerhed.
På Rigsrevisionens foranledning har Skatteforvaltningen foretaget en overordnet ud-
søgning af virksomheder, der både har afregnet 4 gange for sent inden for 12 afreg-
ningsperioder og samtidig har haft en restance vedrørende skatter og afgifter over
50.000 kr. Udsøgningen er foretaget ultimo 2018 og dækker perioden 2016-2018.
Ifølge opgørelsen er der 15.635 virksomheder, der lever op til de objektive kriterier.
Gældsstyrelsen vurderer, at udsøgningen er forbundet med væsentlig usikkerhed,
hvorfor Rigsrevisionen alene anvender udsøgningen som en indikator for, at popula-
tionen af disse virksomheder må formodes at være væsentligt højere end de 146 virk-
somheder, Skatteforvaltningen har sanktioneret.
Kvalitetssikring
Denne undersøgelse er kvalitetssikret via vores interne procedurer for kvalitetssik-
ring, som omfatter høring hos den reviderede samt ledelsesbehandling og sparring
på forskellige tidspunkter i undersøgelsesforløbet af chefer og medarbejdere i Rigs-
revisionen med relevante kompetencer.
Standarderne for offentlig revision
Revisionen er udført i overensstemmelse med standarderne for offentlig revision.
Standarderne fastlægger, hvad brugerne og offentligheden kan forvente af revisio-
nen, for at der er tale om en god faglig ydelse. Standarderne er baseret på de grund-
læggende revisionsprincipper i rigsrevisionernes internationale standarder (ISSAI
100-999).
FIU, Alm.del - 2019-20 - Bilag 159: Beretning 12/2019 om momskontrollen
2178219_0055.png
48
| Ordliste
Bilag 2. Ordliste
Complianceundersøgelse
Skatteforvaltningens undersøgelse af borgeres og virksomheders efterlevelse af regler på skatte-
og momsområdet.
Et system, som Skatteforvaltningen benytter til at registrere resultatet af gennemførte kontroller.
Er Gældsstyrelsens opkrævnings- og regnskabssystem.
Skattestyrelsens opkrævning af virksomhedskrav behandles af opkrævningssystemet Én Skatte-
konto (Skattekontoen) – også benævnt Debitor Motor Opkrævning (DMO).
Kontrol af de data, som virksomheden indberetter, når den indberetter dem i TastSelv. Det skal
sikre, at Skatteforvaltningen får de korrekte oplysninger fra start. Inddatakontrollen kan enten
stoppe indberetningen, hvis en oplysning vurderes ukorrekt, eller den kan via en pop up-besked
gøre indberetteren opmærksom på, at vedkommende er ved at indtaste oplysninger, som ikke er i
overensstemmelse med tidligere indberetninger. Inddatakontrol kan omfatte digitale stopklodser,
tredjepartsindberetninger eller advarsler til virksomheden og Skatteforvaltningen ved ulogiske an-
givelser.
De aktiviteter, som Skattestyrelsen sætter i værk for at øge virksomhedernes regelefterlevelse.
Kontrollerne kan dels foretages forebyggende for at påvirke virksomhederne, så de ikke begår fejl,
dels foretages efterfølgende for at rette op på konstaterede fejl i virksomhedernes momsangivel-
ser mv.
Virksomheders kredittid begrænses ved, at virksomhederne bliver pålagt at angive moms måned-
ligt i stedet for kvartalsvist eller halvårligt.
Moms af de varekøb, virksomheden har foretaget i afregningsperioden.
Betegner forskellen mellem de potentielle momsindtægter (hvor regelefterlevelsen er 100 %) og
de faktiske momsindtægter. Momsgabet kan ikke opgøres præcist, men der findes forskellige me-
toder til at estimere det.
Tildeles virksomhederne af Skatteforvaltningen. Virksomheder skal momsregistreres, hvis de har
en årlig omsætning på min. 50.000 kr.
En momsangivelse består af følgende:
Salgsmoms
+ moms af EU-køb
+ moms af EU-ydelseskøb
÷ købsmoms
÷ energiafgifter
= momstilsvar
Moms, der udbetales til virksomheden, som følge af at virksomhedens købsmoms (og fradrag for
energiafgifter) overstiger salgsmomsen (og moms af EU-køb og EU-ydelseskøb).
Beløbsmæssig korrektion i form af en nedsættelse af momstilsvaret.
Moms genereret ved salg samt moms af EU-køb og EU-ydelseskøb.
Beløbsmæssig korrektion i form af en forhøjelse af momstilsvaret.
DIPSY
DMI
DMO (Skattekontoen)
Inddatakontrol
Kontrol
Kreditbegrænsning
Købsmoms
Momsgab
Momsregistrering
Momstilsvar
Negativ moms
Negativ regulering
Positiv moms
Positiv regulering
FIU, Alm.del - 2019-20 - Bilag 159: Beretning 12/2019 om momskontrollen
2178219_0056.png
Ordliste |
49
PSRM (Public Sector Revenue
Management)
Salgsmoms
Scoringsmodel
Det nye it-system, som Skatteministeriet har udviklet til afløsning af EFI.
Skyldig moms opkrævet ved salg.
Model til at udsøge angivelser, der ser fejlbehæftede ud, på baggrund af på forhånd definerede kri-
terier.
Kan omfatte en gruppe af skatteydere eller et skatterelevant tema. Skatteforvaltningen har i alt de-
fineret 22 segmenter, som indsatsen målrettes mod.
Momsregistrerede virksomheder skal med faste intervaller selv angive, hvor meget moms de på
baggrund af det faktiske køb og salg af momspligtige varer den foregående periode skal indbetale
eller have udbetalt.
Et SE-nummer (stamregister over erhvervsdrivende) anvendes som identifikation af juridiske en-
heder såsom selskaber og selvstændigt erhvervsdrivende, bl.a. i forbindelse med afregning og regi-
strering af moms.
Indebærer, at virksomhederne skal stille sikkerhed for eventuel momsgæld i form af fx forudbeta-
ling.
It-system, hvor virksomheder kan indberette oplysninger til Skattevæsenet og få overblik over de
oplysninger, skattevæsenet allerede har om den enkelte virksomhed.
Indberetning, som indgår i angivelsen, men som stammer fra en anden end den selvangivne part, fx
en bank.
Segment
Selvangivelsesprincippet
SE-nummer
Sikkerhedsstillelse
TastSelv Erhverv
Tredjepartsindberetning