Erhvervsudvalget 2019-20
ERU Alm.del Bilag 257
Offentligt
2182701_0001.png
Finansministeriet
Erhvervsministeriet
Genåbning fase 2: Økonomiske prioriteringer
Baggrund
Der er 17. april truffet beslutning om en udvidelse af den første fase af en kon-
trolleret genåbning. Dermed er der nu åbnet op for en del undervisning og børne-
pasning, øvrig praksissektor og andre private sundhedsaktører og en række liberale
erhverv, herunder frisører, massører og kosmetologer, samt kørelærere.
En række restriktioner er imidlertid fortsat gældende. Det drejer sig blandt andet
om:
Midlertidig grænsekontrol
Skærpede rejsevejledninger
Lukning af indendørs offentlige kulturarrangementer, kirker, biblioteker mv.
Forbud mod at modtage gæster i restauranter, cafeer og lukning af natklubber,
diskoteker, barer, værtshuse mv.
Lukning af indkøbscentre, arkader, stormagasiner mv.
Lukning af indendørs sports og fritidsfaciliteter (badeland, sport, legeland, bio-
grafer, fitness mv.)
Krav og retningslinjer til butikker
Begrænse trængsel i kollektiv trafik og mindre persontransport
Hjemsendelse af offentligt ansatte og opfordring til hjemmearbejde for private
arbejdstagere
Forbud mod forsamlinger på over ti personer
Zoologiske haver og forlystelsesparker er opfordret til at holde lukket
Der er tidligere udarbejdet et groft overslag over de økonomiske konsekvenser
ved de forskellige nedlukningsforanstaltninger, der har indgået som en del af be-
slutningsgrundlaget for fase 1 af genåbning. Denne analyse ser nærmere på betyd-
ningen af de tilbageværende restriktioner ud fra et samfundsøkonomisk perspek-
tiv.
Videre analyser
Analysen følger to spor. Det bemærkes, at der i spor 2 nedenfor om yderligere
kvantificering af de forskellige tiltags påvirkninger på enkelte brancher søges at
tage højde for både de erhverv, der har holdt lukket ved påbud, og de erhverv, der
holder lukket som følge af opfordringer, fx zoologiske haver, forlystelsesparter og
visse udvalgsvarebutikker. Der skelnes således ikke mellem påbud og opfordrin-
ger.
Spor 1 omfatter en yderligere kvantificering af de økonomiske tab i forskellige
brancher med afsæt i de få og foreløbige datakilder, der er tilgængelige på nuvæ-
rende tidspunkt. Kilderne skelner
ikke
mellem årsager til tab af efterspørgsel og
produktion. De vil således belyse de sammenvævede effekter af afbødningstiltag,
ERU, Alm.del - 2019-20 - Bilag 257: Genåbning fase 2 - økonomiske prioriteringer, fra finansministeren
2182701_0002.png
Side 2 af 56
ændret adfærd og svækket global økonomi
og ikke afbødningstiltagene isoleret
set,
jf. boks 1.
Boks 1
Afbødningstiltag og adfærd kan ikke adskilles
Udbruddet af coronavirus medfører store økonomiske tab i hele verden, herunder også i Danmark. Konsekvenserne
skyldes ikke kun de tiltag, der er iværksat for at dæmpe spredningen, men i høj grad også epidemien i sig selv, som
fx får forbrugere til at begrænse deres aktivitet for at undgå smitte. Samtidig er den generelle usikkerhed og tilbage-
holdenhed, som virusudbruddet medfører hos virksomheder, forbrugere og på de finansielle markeder, med til at
dæmpe produktion og efterspørgsel. De forskellige forhold er vævet tæt sammen, og effekterne kan ikke let adskil-
les fra hinanden.
Mange danske virksomheder mærkede effekterne af coronaepidemien tidligt. Det drejer sig om virksomheder, der er
rettet mod fx rejse- og konferenceaktivitet, som var blandt de første til at opleve tab af efterspørgsel i form af fx af-
lysninger eller manglende nye bestillinger. Mange større virksomheder indførte adfærdsrestriktioner hos sig selv
som fx hjemmearbejde og onlinemøder, og de første hjælpepakker for danske virksomheder blev også annonceret,
allerede inden nedlukningen af dansk økonomi blev bredt ud. Den første hjælpepakke blev præsenteret 10. marts.
På det tidspunkt var der alene en
opfordring
til, at større arrangementer (1.000+ deltagere) blev aflyst.
En udfasning af danske tiltag vil bidrage til at få gang i nogle virksomheder, men mange vil stadig være stærkt udfor-
dret. Det skyldes både virksomheders og forbrugeres adfærd i Danmark og tilbageslaget i verdensøkonomien.
Dette understreges af, at alle lande
uanset valg af strategi for at inddæmme smitte
er stærkt påvirket af corona-
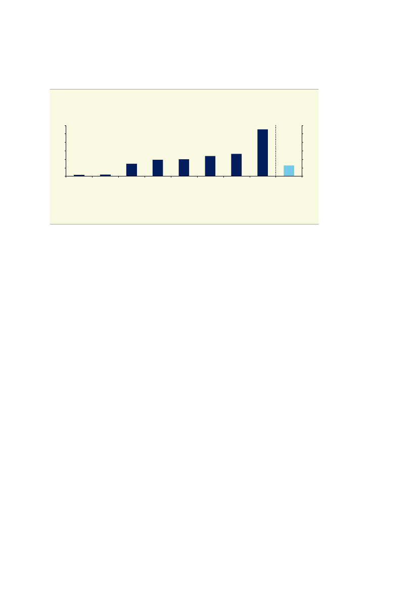
epidemien. I Sverige steg antallet af varslede afskedigelser i marts fx til et rekordhøjt niveau. Niveauet er betydeligt
højere end under finanskrisen, og blandt andet hotel- og restaurationsbranchen er hårdt ramt trods muligheden for
fortsat at holde åbent,
jf. figur a.
Det gælder både målt som andel af de samlede varslinger og som andel af beskæf-
tigelsen i branchen. Også kulturlivet er forholdsvist hårdt ramt, når man ser på andelen af varslinger i forhold til de
beskæftigede i branchen.
Det vidner om, at virusepidemien i sig selv får forbrugere til at begrænse deres aktivitet for at undgå smitte. Forvent-
ningen om et hårdt tilbageslag afspejles endvidere i en prognose fra den 31. marts fra det svenske finansministe-
rium, hvor der skønnes BNP-fald på 4 pct. i 2020 efterfulgt af 3,5 pct. vækst i 2021.
Figur a
Varslede afskedigelser i Sverige
Pct.
30
Pct.
15
20
10
10
5
0
Udlejning og
rejseservice mv
Detailhandel mv
Information og
kommunikation
Jura, økonomi
Transport
Fremstilling
Hotel/restaurant
Anden service
Byggeri
Kultur
0
Andel af samlede varslinger
Andel berørte personer i branchen (højre akse)
Anm.: De viste branche udgør 95 pct. af de varslede afskedigelser. De varslede afskedigelser er sat i forhold til
beskæftigelsesniveauet i branchen i 2018. Data går frem til 17. april.
Kilde: Arbetsformedlingen.se, SCB.
ERU, Alm.del - 2019-20 - Bilag 257: Genåbning fase 2 - økonomiske prioriteringer, fra finansministeren
2182701_0003.png
Side 3 af 56
Samlet set peger de tilgængelige datakilder på, at produktionen er gået tilbage med
mellem 10 og 20 pct., men med betydelig variation på tværs af brancher, idet især
hoteller og restauranter er hårdt ramt,
jf. tabel 1.
Datakilder og beregninger er nær-
mere beskrevet i bilag 1.
Tabel 1
Udvikling i produktionen i enkelte hovedbrancher med afsæt i foreløbige data for ledighed og
lønkompensationsansøgninger mv.
Andel af samlet
Påvirkede job,
værditilvækst,
antal
pct.
Landbrug, skovbrug og fiskeri
Råstofindvinding
Industri
Energiforsyning
Vandforsyning og renovation
Bygge og anlæg
Handel
Transport
Hoteller og restauranter
Information og kommunikation
Finansiering og forsikring
Ejendomshandel og udlejning af erhvervs-
ejendomme
Boliger
Videnservice
Rejsebureauer, rengøring og anden ope-
rationel service
Offentlig administration, forsvar og politi
Undervisning
Sundhed og socialvæsen
Kultur og fritid
Andre serviceydelser
Private husholdninger med ansat med-
hjælp
I alt
1,1
1,1
14,7
1,4
0,7
5,5
12,9
5,9
1,5
6,3
4,7
2,6
6,9
6,8
3,2
4,7
6,4
10,3
1,4
1,4
0,2
100,0
500
100
16.400
0
400
7.100
43.000
12.200
36.400
5.900
900
2.200
0
7.500
13.800
1.000
4.800
13.100
9.200
7.700
1.900
184.000
Heraf som an-
del af beskæfti-
gelsen, pct.
-0,7
-1,2
-5,5
-0,4
-3,7
-3,7
-8,8
-8,2
-25,1
-5,3
-1,1
-7,2
0,0
-4,2
-8,9
-0,7
-2,1
-2,5
-14,2
-10,5
-9,0
-6,1
Anslået ned-
gang i
værditilvækst,
pct.
-2
-3
-14
-1
-9
-9
-22
-20
-79
-13
-3
-18
0
-11
-22
-2
-5
-6
-46
-26
-23
-16
Anm.: Beregningen er foretaget med udgangspunkt i den samlede stigning i ledighed og lønkompenserede job som
en approksimation for påvirkede job i branchen. Beskæftigelsesfaldet er herefter omregnet til nedgang i
værditilvækst. For
Hotel og restauraunter
og
Kultur og fritid
er der i øvrigt indregnet supplerende oplysninger.
Der er ikke indregnet effekt af lavere produktion i den offentlige sektor som følge af blandt andet lukkede
institutioner og skoler, hjemmearbejde, øget sygefravær eller karantæne.
Kilde: Danmarks Statistik, Erhvervsstyrelsen, BCG og egne beregninger.
Tallene skal tolkes med forbehold. Der er i beregningen ikke taget højde for, at
nogle virksomheder har oplevet lavere produktion, men måske i større grad end
forudsat har valgt at holde på medarbejdere (herunder, at medarbejderne ikke er
ERU, Alm.del - 2019-20 - Bilag 257: Genåbning fase 2 - økonomiske prioriteringer, fra finansministeren
2182701_0004.png
Side 4 af 56
hjemsendte med lønkompensation). Ligeledes kan produktionen være negativt på-
virket af større grad af hjemmearbejde (fordi det kan være vanskeligt at opretholde
samme produktivitet) og af anbefalinger til adfærd mv. på de arbejdspladser, hvor
medarbejderne er til stede. Endvidere fanges aktivitetsnedgang hos selvstændigt
erhvervsdrivende ikke ved den benyttede metode.
Der er også usikkerhed forbundet med opgørelsen af de påvirkede job i de enkelte
brancher. På den ene side er en del af de lønkompenserede job deltidsjob, sådan at
betydningen for beskæftigelsen kan være overvurderet. Omvendt vil der også være
tab af job, som ikke afspejles i hverken øget ledighed eller træk på lønkompensati-
onsordningen. Det kan fx være studerende, som mister et deltidsarbejde ved siden
af studiet, men på grund af SU ikke er berettiget til dagpenge.
Økonomiske tab i brancher berørt af tiltag
Spor 2 ligger i forlængelse af de beregninger, der tidligere er præsenteret af de
forskellige tiltags påvirkninger på enkelte brancher, men går et spadestik dybere.
Beregningerne her beror på en anden tilgang end spor 1, og resultaterne er derfor
ikke nødvendigvis direkte sammenlignelige. Der er her taget udgangspunkt i en
branche-for-branche-tilgang, hvor der dykkes ned i underbrancher,
jf. tabel 2.
Tabel 2
Brancher der påvirkes af enkeltrestriktioner mv.
ud over de generelle anbefalinger om social
afstand, øget hygiejne, øget brug af hjemmearbejde.
Branche
Detailhandel
Restauranter mv.
Tiltag
Lukning af indkøbscentre, arkader, stormagasiner mv.
Krav og retningslinjer til butikker
Forbud mod at modtage gæster i restauranter, cafeer og lukning af
natklubber, diskoteker, barer, værtshuse mv.
Lukning af indendørs offentlige kulturarrangementer, kirker, biblioteker
mv.
Lukning af indendørs sports og fritidsfaciliteter (badeland, sport,
legeland, biografer, fitness mv.)
Forbud mod forsamlinger på over ti personer
1)
Midlertidig lukning af grænser
Skærpet rejsevejledning
Bilag
2
3
Kunst, kultur og sport
4
Hoteller mv., luftfart (inkl. ser-
viceydelser forbundet hermed),
rejsebureauer samt turist- og ta-
xikørsel
5
1)
Er opført under kultur og sport, men påvirker fx også konferenceaktiviteter i hoteller mv.
Analyserne fokuserer på de brancher, der er berørt af restriktioner mv.
Resultaterne kan fortolkes, som den samfundsmæssige omkostning, men kan ikke
1-1 oversættes til omkostningerne af de danske tiltag, da efterspørgslen aktuelt er
nedsat på grund af befolkningens adfærd og afbødningstiltag i andre lande (som fx
påvirker turismen i Danmark).
ERU, Alm.del - 2019-20 - Bilag 257: Genåbning fase 2 - økonomiske prioriteringer, fra finansministeren
Side 5 af 56
Hovedkonklusionerne for de enkelte brancher er oplistet nedenfor. Beregningerne
er i øvrigt behæftet med nogen usikkerhed især på grund af sparsomme data på
nogle områder.
Detailhandel
Detailhandlen består af en lang række forskellige typer af forretninger, herunder
supermarkeder, varehuse, butikker, der sælger beklædning, fodtøj og elektronik,
tankstationer, samt specialbutikker mv. Salget foregår både fra fysiske butikker og
internethandel. Detailhandlen er påvirket af lukning af indkøbscentre mv. og krav
og retnings-linjer til øvrige butikker, der stadig holder åbent. Lukningen af
indkøbscentre mv. anslås at påvirke omtrent 25 pct. af den samlede detailhandels
produktion i den periode, hvor tiltaget varer ved. Det svarer til, at omtrent 60.000
beskæftigede er påvirket af tiltaget. Det anslåede tab er forbundet med usikkerhed
og særligt muligheden for, at kunderne flytter forbruget til netbutikker eller andre
butikker betyder, at effekten kan blive mindre end lagt til grund. Handel på nettet
er dog forbundet med en lavere beskæftigelseseffekt end handel i fysiske butikker.
Krav og retningslinjer til de øvrige detailbutikker vurderes at have en negativ
effekt gennem reduceret effektivitet og påvirkning af forbrugernes adfærd,
herunder afledt af den generelle smittefare og henstillinger om social afstand og
hygiejne. Det kan med de tilgængelige oplysninger ikke kvantificeres, hvilket tab i
detailbutikkernes omsætning, der kan forbindes hermed.
Restaurationsbranchen
Restaurantionsbranchen består blandt andet af restauranter, pizzeriaer, catering,
caféer, værtshuse og diskoteker. Store dele af restaurationsbranchen er påvirket af
de restriktioner, der pålægger serveringssteder at holde lukket for offentligheden.
Dele af branchen rammes dog i mindre grad, idet nogle underbrancher har gode
muligheder for at producere take away og dermed kan opretholde en vis
produktion. Det anslås, at det samlede tab i tilknytning til restriktionerne svarer til
75 pct. af produktionen i branchen som helhed, hvilket blandt andet dækker over,
at pizzeriaer mv. fortsat kan producere som normalt, mens restauranter, barer og
diskoteker har et større produktionstab.
Det må forventes, at en fjernelse af restriktioner i sig selv ikke vil kunne bringe
produktionen tilbage på normalt niveau, idet der samtidig ses en tilbageholdende
adfærd hos forbrugerne, blandt andet baseret på fortsatte generelle hygiejne og
afstandsretningslinjer.
Endelig skal det bemærkes, at der er betydelige sæsonudsving i branchens
produktion, og især maj og juni er normalt højsæson for restaurationsbranchen.
Kunst, kultur og sport
Kultur- og fritidsbrancherne er blandt andet teatre, museer, lotteri og spil,
kommercielle sportsklubber samt forlystelsesparker. Mange virksomheder i disse
brancher er påvirket af de restriktioner, der går på lukning af indendørs offentlige
ERU, Alm.del - 2019-20 - Bilag 257: Genåbning fase 2 - økonomiske prioriteringer, fra finansministeren
2182701_0006.png
Side 6 af 56
kulturarrangementer, kirker, biblioteker mv., lukning af indendørs sport- og
fritidsfaciliteter samt forbuddet mod forsamlinger på over 10 personer.
Brancherne er meget forskelligartede, hvilket vanskeliggør en samlet fortolkning af
tiltagenes effekter. Blandt andet omfatter kulturbrancherne en væsentlig andel af
ikke-markedsmæssig (offentlig) produktion tilknyttet biblioteker, museer mv. samt
sport, hvor det foreløbigt lægges til grund, at der ikke vil være en BNP-effekt.
1
For
de markedsmæssige dele antages generelt fuldstændigt bortfald af produktion, dog
med visse undtagelser som følge af fortsat indtjening fra salg af indspillet musik,
online lotteri og andet spil. Samlet lægges det til grund, at godt 50 pct. af
produktionen i kultur- og fritidsbrancherne bortfalder. Hertil kommer et
produktionstab fra lukkede biografer.
Det er usikkert, om en fjernelse af restriktionerne alene vil kunne bringe
produktionen tilbage på et normalt niveau. Selv uden restriktioner kan der være
tendens til tilbageholdende adfærd hos forbrugerne, især blandt brancher med
overvejende indendørs aktiviteter (fx biografer) eller stor forsamlingstæthed (fx
festivaler).
Turisterhverv
Turismeerhvervet er i denne sammenhæng luftfart (inkl. tilhørende
serviceydelser), hoteller og andre overnatningssteder, rejsebureauer samt turist- og
taxikørsel. Turisterhvervene er påvirkede af skærpede rejsevejledninger og lukkede
grænser, som direkte begrænser rejsemulighederne (både udadgående og indadgå-
ende rejser). Samtidig må rejselysten inden for landets grænser i høj grad formo-
des at være begrænset af lukning af restauranter, teatre, museer mv. samt de mere
begrænsede muligheder for shopping. Turismen er således både direkte og indi-
rekte berørt af restriktioner.
Hoteller, rejsebureauer og luftfart er særlig hårdt ramt og vil mærke tabet mere i
de kommende måneder som følge af et udpræget sæsonmønster. Transaktioner
med betalingskort tyder på, at omsætningen i disse erhverv næsten er faldet helt
væk i løbet af marts, svarende til et produktionstab på omtrent 90 pct.
Turist- og taxikørsel er også negativt påvirket af fraværet af turister, samtidig med
at forsamlingsforbuddet på mere end ti personer og lukningen af blandt andet re-
stauranter særligt antages at påvirke taxikørslen negativt.
Dette skal forstås sådan, at der opgjort ved inputmetoden for offentlig produktion ikke skønnes en BNP-
effekt ved uændret offentlig beskæftigelse og lønsum. Der antages altså ikke afledte negative virkninger på
den private sektor af reelt lavere output i den offentlige sektor. Danmarks Statistiks endelige BNP-opgørelse
vil forventeligt vise et vist tab fra offentlig produktion opgjort via output-metoden.
1
ERU, Alm.del - 2019-20 - Bilag 257: Genåbning fase 2 - økonomiske prioriteringer, fra finansministeren
Side 7 af 56
Hvis restauranter, cafeer og museer mv. åbnes, må der forventes mere inden-
landsk turisme, som imidlertid ikke fuldt ud kan opveje tabet af udenlandsk tu-
risme i Danmark, herunder fx tyske og norske turisters leje af sommerhuse mv.
Samlet økonomisk effekt
Tabel 3 nedenfor viser størrelsesordenen af det samfundsøkonomiske tab i til-
knytning til foranstaltninger beregnet ved hjælp af input-outputtabeller fra natio-
nalregnskabet. Beregningerne bygger på antagelser om, hvor meget foranstaltnin-
gerne påvirker den enkelte branche relativt til en normal efterspørgselssituation,
jf.
ovenfor samt bilag 2-5.
Input-outputtabellerne sikrer, at der ikke alene tages højde for bortfald af produk-
tion i den enkelte branche, men også afledte effekter på forsyningskæder. Den
valgte tilgang har en række fordele og ulemper. En fordel er, at det med et for-
holdsvist simpelt setup er muligt at danne sig et overblik over størrelsesordenen af
de enkelte tiltag relativt til hinanden. Baggrunden for beregningerne er beskrevet
nærmere i boks 2.
En ulempe er, at resultaterne i høj grad afhænger af antagelser om restriktionernes
virkning i brancherne, og at der er tale om mekaniske beregninger, der ikke tager
højde for fx skift i forbrugsmønstre. Køb i et indkøbscenter kan fx erstattes af
køb i en anden butik, og ferien i udlandet kan fx erstattes af et sommerhusbesøg i
Danmark. Beregningerne beror desuden på en statistisk afgrænsning imellem
brancher, der ikke nødvendigvis er retvisende, såfremt virksomheder opererer i et
krydsfelt mellem forskellige brancher.
De opgjorte tab skal som nævnt ses i forhold til en situation med normal aktivitet.
Da der er stor usikkerhed om, hvordan forbrugernes adfærd og forbrugsmønstre
har ændret sig på baggrund af coronaudbruddet, kan effekterne ikke en-til-en tol-
kes som den økonomiske gevinst ved at tilbagerulle de enkelte tiltag. Dette skal
også ses i lyset af, at der er et vist overlap mellem de enkelte tiltags påvirkning på
forskellige dele af økonomien, ligesom selvvalgte adfærdsændringer som nævnt
også spiller en rolle.
Beregningerne tager ikke højde for sæsonmønsteret. Hvis tiltagene fortsat er gæl-
dende, når vi når sommermånederne, må der fx forventes en mere negativ påvirk-
ning på BNP af begrænsninger på fx forlystelsesparker, som har en stor del af de-
res årsomsætning i sommermånederne.
ERU, Alm.del - 2019-20 - Bilag 257: Genåbning fase 2 - økonomiske prioriteringer, fra finansministeren
2182701_0008.png
Side 8 af 56
Tabel 3
Overslag over samfundsøkonomiske konsekvenser
Anslået tab
(andel af samlet BNP målt i
forhold til en situation med
normal efterspørgsel)
Midlertidig grænsekontrol, skærpede rejsevejledninger og ændrede rejse-
mønstre i Danmark og resten af verden
- heraf hoteller mv. (overnatninger udlændinge)
- heraf rejsebureauer
- heraf luftfart (inkl. hjælpevirksomhed mv.)
- heraf taxikørsel (udlændinge) og turistkørsel
Indendørs kulturarrangementer, kirker, biblioteker mv.
Indendørs sports og fritidsfaciliteter (badeland, sport, legeland, biografer, fit-
ness mv.)
Forsamlinger på over ti personer
- heraf teater, musik og kunst
- heraf biblioteker, museer mv. (markedsmæssig)
- heraf lotteri og andet spil
- heraf sport (markedsmæssig)
- heraf forlystelsesparker og andre fritidsaktiviteter
- heraf biografer
Restauranter, cafeer
Natklubber, diskoteker, barer, værtshuse mv.
- heraf restauranter mv.
- heraf hoteller mv. (overnatninger dansk nationalitet)
- heraf taxikørsel (dansk nationalitet)
Indkøbscentre, arkader, stormagasiner mv.
Krav og retningslinjer til butikker
Detailhandel
Hjemsendelse af offentligt ansatte og opfordring til hjemmearbejde for private
arbejdspladser
Generel henstilling om social afstand og hygiejne
1,7
0,3
0,2
0,9
0,2
1,2
0,5
0,1
0,1
0,2
0,2
0,1
1,9
1,4
0,3
0,1
1,2
1,2
Potentielt betydelig via et
produktivitetstab
Potentielt betydelig afhængig
af konkret implementering
Anm.: Tabet er anslået med afsæt i nationalregnskabsbrancher. Der er derfor ikke tale om en udtømmende liste.
Nogle virksomheder, der er påvirket af restriktioner, vil ikke være medregnet på grund af udfordringer med
data. Omvendt vil der givetvis også være virksomheder med, som ikke er påvirket af restriktioner.
Virkningen af tilbageholdenhed i forhold til at gå på arbejde eller ud at handle kan også være betydelig.
Kilde: Danmarks Statistik og egne beregninger.
ERU, Alm.del - 2019-20 - Bilag 257: Genåbning fase 2 - økonomiske prioriteringer, fra finansministeren
2182701_0009.png
Side 9 af 56
Boks 2
Metode og datagrundlag
Vurderingen af de økonomiske konsekvenser er baseret på input-outputtabeller på 117-brancheniveau for 2016 fra
Danmarks Statistik. Input-outputtabeller belyser sammenhængene mellem produktion, import og anvendelse ved en
organiseret opstilling af detaljerede oplysninger fra nationalregnskabet. Anvendelse af oplysninger fra input-
outputtabeller sikrer således, at der er overensstemmelse til de mål for BNP og beskæftigelse mv., som typisk
anvendes i prognoser for dansk økonomi.
Beregninger på baggrund af input-outputtabellerne er et nyttigt redskab til ikke kun at vurdere konsekvenser for en
enkelt branche, men også at vurdere de afledte effekter på den samlede økonomi af branchespecifikke tiltag. For
eksempel betyder lukningen af restauranter ikke kun, at restauranternes omsætning og beskæftigelse bortfalder.
Aktiviteten i de virksomheder, der leverer varer og tjenesteydelser til restauranterne, vil også blive påvirket.
Det fremgår eksempelvis, at lukningen af restauranter mv. giver anledning til et fald i BNP på 1,4 pct. Denne ned-
gang er inkl. den skønsmæssige afledte effekt på restauranternes forsyningskæder. Effekten skal tolkes som effek-
ten på det samlede BNP i den periode, hvor tiltaget har effekt. Hvis tiltaget har effekt i 2 måneder, skønnes det, at
BNP i de 2 måneder er 1,4 pct. lavere end det ville have været uden tiltaget (i tilfælde af en normal efterspørgsel).
De samfundsøkonomiske konsekvenser kan potentielt blive dobbeltregnet, hvis man medregner afledte effekter fra
en branche til en anden branche, der er lukket ned som følge af foranstaltninger mod coronavirus. Det kan fx tæn-
kes, at et midlertidigt ophør af aktiviteten i forlystelsesparker gør, at den branche efterspørger færre restaurantydel-
ser. Restauranterne er imidlertid allerede påvirket af forbuddet mod at modtage gæster i restauranter, caféer mv.
Dette forhold er der taget højde for i beregningerne.
Metoden baserer sig på en række antagelser, og beregningerne skal derfor fortolkes med forsigtighed. På flere af
områderne findes der ikke datagrundlag til at vurdere effekterne, og der er derfor tale om skønsmæssige vurderin-
ger.
ERU, Alm.del - 2019-20 - Bilag 257: Genåbning fase 2 - økonomiske prioriteringer, fra finansministeren
2182701_0010.png
Side 10 af 56
Bilag 1
Kvantificering af nedgangen i aktivitet
Coronaepidemien har i løbet af meget kort tid ført til et mærkbart tilbageslag i
dansk økonomi. Det er imidlertid endnu meget vanskeligt at vurdere størrelsen af
tilbageslaget, da data for aktiviteten kun foreligger med en vis forsinkelse. For ek-
sempel viste de seneste tal for lønmodtagerbeskæftigelsen, som Danmarks Stati-
stik offentliggjorde den 21. april, en rekordhøj beskæftigelse i februar.
En vurdering af den økonomiske situation og udviklingen i dansk økonomi må
derfor på nuværende tidspunkt bero på relativt sparsomme datakilder. Det drejer
sig blandt andet om tillidsindikatorer, betalingskortomsætning og foreløbige tal for
udviklingen på arbejdsmarkedet. Hertil kommer flere andre indikatorer og til dels
statistikker, der har mere eksperimentel kartakter, og som normalt ikke indgår
med stor vægt i vurderinger af den økonomiske udvikling. Det vedrører fx skibs-
trafik i danske havne og energiforbrug som indikationer på aktivitet i samfundet.
Flere af indikatorerne foreligger med høj frekvens (dags- eller ugebasis) og offent-
liggøres med kort forsinkelse. De skal alligevel tolkes med forbehold, da der er be-
grænset erfaring med historiske sammenhænge og fx sæsonmønstre.
Tillidsindikatorer
Tillidsindikatorer samvarierer ofte med den realøkonomiske udvikling, og da de
foreligger på et forholdsvist tidligt tidspunkt, kan de indeholde information om
blandt andet udviklingen i det private forbrug og erhvervsinvesteringerne.
Danmarks Statistik har offentliggjort både indikatorer for forbrugertillid og er-
hvervstillid for marts på baggrund af oplysninger, der er indsamlet, efter coronak-
risen for alvor ramte dansk økonomi. Der er sket et ganske betragteligt dyk i både
forbrugertilliden og erhvervstilliden,
jf. figur 1 og 2.
Faldene er i samme størrelses-
orden som under finanskrisen (for forbrugertilliden lidt mindre og for erhvervstil-
liden lidt kraftigere), men er sket meget hurtigere og på kun én måned. Det kunne
umiddelbart pege på et tilsvarende aktivitetsfald som under finanskrisen, hvor
BNP faldt med 4,9 pct. i 2009.
ERU, Alm.del - 2019-20 - Bilag 257: Genåbning fase 2 - økonomiske prioriteringer, fra finansministeren
2182701_0011.png
Side 11 af 56
Figur 1
Forbrugertillid
Nettotal
Nettotal
Figur 2
Erhvervstillid
Indeks
140
120
Indeks
140
120
100
80
20
20
10
10
100
80
0
0
60
-10
-10
60
40
20
0
06
08
10
12
14
16
18
20
40
20
-20
02
04
06
08
10
12
14
16
18
20
-20
0
Anm.:
Figur 2 dækker frem til 16. april.
Kilde:
Danmarks Statistik og egne beregninger.
For forbrugertilliden er det værd at bemærke, at oplysninger, der er indsamlet ef-
ter den 6. april, hvor den gradvise genåbning blev annonceret, peger på en lille
bedring, men niveauet er fortsat meget negativt.
2
Betalinger med betalingskort bekræfter indtrykket af, at der er sket et stort fald i
forbruget i løbet af marts.
3
Det gælder især forbrug på hoteller, rejsebureauer, fly-
selskaber, rejsebureauer og barer. Forbruget er i de fleste tilfælde fladet ud på et
lavere niveau, sådan at der ikke længere er en faldende tendens. Den samlede kort-
omsætning er faldet med i omegnen af 20 pct. siden starten af marts.
Ifølge Danmarks Statistiks spørgeskemaundersøgelse er påvirkningen af virksom-
hedernes omsætning meget forskellig. Hovedtendenserne er, at industri samt
bygge og anlæg indtil videre oplever en uændret eller forholdsvis begrænset ned-
gang i omsætningen, mens påvirkningen inden for serviceerhverv og detailhandlen
varierer meget,
jf. tabel 1.
2
3
Se Nyt fra Danmarks Statistik, 22. april 2020, Nr. 151.
Se Nationalbanken: Dansk og international økonomi ramt af pandemi, Analyse, april 2020, nr. 4.
ERU, Alm.del - 2019-20 - Bilag 257: Genåbning fase 2 - økonomiske prioriteringer, fra finansministeren
2182701_0012.png
Side 12 af 56
Tabel 1
”Hvordan vurderer du, at coronasituationen har påvirket virksomhedens omsætning i den seneste
måned?”
Pct. af virksomheder i
branchen
Omsætningen er faldet
0-25 pct.
Omsætningen er faldet
25-50 pct.
Omsætningen er faldet
50-75 pct.
Omsætningen er faldet
75-100 pct.
Omsætningen er uæn-
dret
Omsætningen er øget
I alt
Industri
38
6
4
1
40
12
100
Bygge og anlæg
48
11
3
1
37
0
100
Serviceerhverv
32
13
4
14
35
2
100
Detailhandel
20
13
5
15
11
35
100
Anm.: Enhed: vægtede procentandele. Opgjort 16. april 2020.
Kilde: Danmarks Statistisk og egne beregninger
I udlandet ses en tilsvarende udvikling i tillidsindikatorerne,
jf. figur 3.
Det bemær-
kes dog, at der er sket et skift i positiv retning i erhvervstilliden i Kina, hvor pro-
duktionen er ved at blive genoptaget. Samtidig er der dog tegn på, at efterspørgs-
len i Kina ikke med det samme vender helt tilbage efter genåbning af blandt andet
storcentre og restauranter.
Figur 3
Erhvervstillid i udlandet
Indeks
70
60
50
40
30
20
10
0
2018
Euroområdet
USA
2019
Storbritannien
2020
Kina
Indeks
70
60
50
40
30
20
10
0
Anm.:
Oplysninger indsamlet frem til medio april.
Kilde:
Macrobond og egne beregninger.
ERU, Alm.del - 2019-20 - Bilag 257: Genåbning fase 2 - økonomiske prioriteringer, fra finansministeren
2182701_0013.png
Side 13 af 56
Arbejdsmarkedet
Styrelsen for Arbejdsmarked og Rekruttering (STAR) offentliggør hver dag de ny-
este tal for udviklingen på arbejdsmarkedet i forhold til væksten i antal tilmeldte
ledige, nye stillingsopslag og det samlede antal stillingsopslag samt antal personer
omfattet af varslingssager og arbejdsfordelinger.
Opgørelsen af ledigheden er foreløbig og grundet efterregistreringer kan tallene
ændre sig. Offentliggørelsen fra STAR er ikke identisk med de officielle ledigheds-
tal fra Danmarks Statistik, der offentliggør deres tal for marts den 30. april.
Siden starten af coronakrisen er antal tilmeldte ledige samlet set steget med godt
45.000 personer (svarende til en stigning på ca. en tredjedel),
jf. figur 4.
Stigningen
dækker over ca. 90.000 nytilmeldte ledige, mens ca. 45.000 i samme periode har
afmeldt sig ledighed. Stigningen var især meget brat i starten af perioden, mens
udviklingen har stabiliseret sig nogenlunde i løbet af april. Der er fortsat usikker-
hed om den fremadrettede udvikling, særligt henset til, at personer, der er opsagt i
løbet af marts, og som har fx en måneds opsigelse, først vil være ledige på under-
støttelse pr. 1. maj 2020.
Den meget bratte stigning kan ses i forhold til, at den største månedlige stigning i
ledigheden under finanskrisen var 12.000 fuldtidspersoner i april 2009.
Figur 4
Ledighed inkl. hjemsendte uden løn, der har tilmeldt sig jobnet
1.000 personer
1.000 personer
190
180
170
160
150
140
130
190
180
170
160
150
140
130
11/3 13/3 15/3 17/3 19/3 21/3 23/3 25/3 27/3 29/3 31/3 2/4
4/4
6/4
8/4 10/4 12/4 14/4 16/4 18/4 20/4 22/4
Anm.: Tallene er inkl. hjemsendte uden løn, der har tilmeldt sig jobnet.
Kilde: Oplysninger fra Styrelsen for Arbejdsmarked og Rekruttering (STAR).
Indtrykket af et svækket arbejdsmarked fremgår også fra andre indikatorer, herun-
der antal stillingsopslag samt varslede afskedigelser.
Stigningen i ledigheden ville have været endnu højere i fravær af hjælpepakker.
Eksempelvis er lønkompensationsordningen designet, så udsatte virksomhederne
undlader at afskedige medarbejderne i den lønkompenserede periode, men i stedet
ERU, Alm.del - 2019-20 - Bilag 257: Genåbning fase 2 - økonomiske prioriteringer, fra finansministeren
2182701_0014.png
Side 14 af 56
sender medarbejderne hjem med løn og så til gengæld modtager lønkompensation
fra staten.
Således er der frem til den 20. april søgt om lønkompensation til omkring 140.000
personer (og lidt flere jobs). Det er især virksomheder inden for handel samt ho-
teller og restauranter, der har søgt om lønkompensation. Lønkompensationsord-
ningen gælder frem til og med 8. juli 2020.
Ses der på udviklingen i ledighed og ansøgninger om lønkompensation fordelt på
brancher, er der indikationer på, at handel, hoteller og restauranter samt rejsebu-
reauer mv. er hårdest ramt, jf. tabel 2. Det er især virksomheder inden for handel
samt hoteller og restauranter, der har søgt om lønkompensation.
Tabel 2
Udvikling i ledighed siden 11. marts og antal ansøgninger om lønkompensation frem til 20. april
Stigning i ledighed
Antal
Landbrug, skovbrug og fiskeri
Råstofindvinding
Industri
Energiforsyning
Vandforsyning og renovation
Bygge og anlæg
Handel
Transport
Hoteller og restauranter
Information og kommunika-
tion
Finansiering og forsikring
Ejendomshandel og udlejning
Videnservice
Rejsebureauer, rengøring mv.
Offentlig administration, for-
svar og politi
Undervisning
Sundhed og socialvæsen
Kultur og fritid
Andre serviceydelser mv.
Uoplyst aktivitet
I alt
200
0
5.100
0
100
3.800
6.200
5.000
5.900
1.400
300
300
0
1.700
5.200
800
2.400
3.100
1.000
800
45.400
Fordeling, pct.
0,5
0,1
11,3
0,0
0,3
8,4
13,7
10,9
13,0
3,2
0,6
0,6
0,0
3,8
11,5
1,7
5,4
6,8
2,3
1,7
100,0
Antal ansøgninger om
lønkompensation
Antal
300
0
11.200
0
300
3.200
36.800
7.200
30.400
4.400
600
1.900
0
5.800
8.600
200
2.300
10.000
8.200
6.900
138.600
Fordeling, pct.
0,2
0,0
8,1
0,0
0,2
2,3
26,5
5,2
22,0
3,2
0,4
1,4
0,0
4,2
6,2
0,2
1,7
7,2
5,9
5,0
100,0
Anm.: Tal viser udviklingen siden starten af marts. Antallet af ansøgninger til lønkompensation er korrigeret for til-
fælde, hvor samme CPR-nummer optræder i flere brancher. Brancheinddelingen følger nationalregnskabets
19-gruppering.
Kilde: Styrelsen for Arbejdsmarked of Rekruttering (STAR), Erhvervsstyrelsen, BCG og egne beregninger.
ERU, Alm.del - 2019-20 - Bilag 257: Genåbning fase 2 - økonomiske prioriteringer, fra finansministeren
2182701_0015.png
Side 15 af 56
Produktionsindikatorer
Nedgangen i aktivitet kan også vurderes ud fra andre input i produktionen end ar-
bejdskraft. Her foreligger der tal for elforbrug på tværs af brancher. Tallene kan
ikke direkte omsættes til produktionstab, da der selv inden for enkelte brancher er
stor forskel i energiintensiteten, og fordi elforbruget kan være knyttet til forhold,
der ikke er direkte knyttet til produktionen, herunder især vejrlige forhold.
Med disse forbehold indikerer tallene, at der har været et fald i Danmarks elfor-
brug på ca. 10 pct. i perioden fra den 3. marts til den 14. april (der begge er tirs-
dage),
jf. figur 5.
Tallet dækker over betydelige variationer. For eksempel er faldet i
elforbrug inden for
kultur og fritid
på 46 pct.,
undervisning
på 42 pct. og
hoteller og re-
staurationer
på 35 pct. Til sammenligning er faldet i
industrien
kun på ca. 2 pct. Til
gengæld er husholdningernes elforbrug steget med knap 1 pct. (formentlig som
følge af stigende hjemmearbejde).
Figur 5
Elforbrug 3. marts
14. april 2020
Pct. af samme ugedag i starten af marts
10
0
-10
-20
Pct. af samme ugedag i starten af marts
10
0
-10
-20
-30
-40
-50
-30
-40
-50
Anden serviceydelser
Landbrug, skovbrug
og fiskeri
Offentlig
administration
Bygge og anlæg
Finansiering og
forsikring
Vandforsyning mv.
Ejendomshandel og
udlejning
Information og
kommunikation
Videnservice
Hoteller og
restauranter
Sundhed og
socialvæsen
Transport
Kultur og fritid
Rejsebureauer,
rengøring mv.
Undervisning
Industri
Handel
Anm.: Der er set bort fra brancherne
Kemisk industri
og
Energiforsyning,
da de foreløbige tal her synes at være
behæftet med større usikkerhed.
Kilde: Energinet.
Forskellige indikatorer for transport peger samtidig på, at der stadig foregår trans-
port af varer, og dermed at produktionen stadig er i gang. Det gælder blandt andet
data for skibstrafikken i havne og lastbiltrafikken over Storebælt.
Derimod viser andre indikatorer nedgang i persontransporten, hvilket understøt-
ter indtrykket af mindre pendling og deltagelse i arrangementer,
jf. figur 6
og
boks 1.
Råstofindvinding
ERU, Alm.del - 2019-20 - Bilag 257: Genåbning fase 2 - økonomiske prioriteringer, fra finansministeren
2182701_0016.png
Side 16 af 56
Figur 6
Morgenmyldretrafik
Pct.
20
0
-20
-40
-60
-80
-100
Annoncering af lukning
af Danmark, 11. marts
Pct.
20
0
-20
-40
-60
-80
-100
Marts
April
Anm.: Figuren viser rejser i alt i morgenmyldretrafikken opgjort i pct. af gennemsnittet pr. ugedag i ugerne 5, 6, 9
og 10 i 2020.
Kilde: Transportministeriet.
Boks 1
Indikatorer viser mindre trafik og nedgang i landtransporterhvervene
De tiltag, der sigter mod at begrænse trængslen i kollektiv trafik, samt opfordringen om hjemmearbejde, medvirker til
at reducere persontransporten. Det påvirker de to brancher
regional- og fjerntog
samt
lokaltog, bus og taxi,
som
tilsammen beskæftiger knap 31.000 personer.
Trafikindikatorer angiver samlet set, at mobiliteten er reduceret markant siden uge 10. Den samlede trafik over Sto-
rebælt (ekskl. lastbiler) er således knap 60 pct. lavere end på samme tidspunkt i 2019. Biltrafikken i København er
reduceret med i omegnen af 70 pct. i myldretidsperioderne ifølge data fra TomTom GPS, og færre rutesøgninger på
Apple Maps indikerer en nedgang i mobiliteten på 70-80 pct. for bus og tog i hele Danmark. Det stemmer omtrent
overens med oplysninger om antallet af passagerer i metro og DSB-tog, som er faldet med 85 pct. fra uge 8 til uge
13 ifølge tal fra Metroselskabet og DSB, samt oplysninger om stærkt reduceret bustrafik over Storebælt.
Det vurderes på baggrund af disse oplysninger, at de største effekter på landstransporten vedrører de erhverv, som
beskæftiger sig med kollektiv trafik, fx regional- og fjerntog samt rutebuskørsel. Der må også påregnes mindre taxi-
kørsel blandt andet som følge af mindre turisme eller lukkede restauranter mv.
Aktiviteten vedrørende godstransport med tog vurderes ikke at være direkte påvirket.
Kilde: Danmarks Statistik, TomTom GPS, Metroselskabet, DSB, Storebaelt.dk, Apple og egne beregninger.
ERU, Alm.del - 2019-20 - Bilag 257: Genåbning fase 2 - økonomiske prioriteringer, fra finansministeren
Side 17 af 56
Samlet vurdering af nedgang i aktivitet
Samlet set peger de tilgængelige datakilder på, at produktionen i alt kan være faldet
med mellem 10 og 20 pct., men med betydelig variation på tværs af brancher, idet
især hoteller og restauranter er hårdt ramt.
Med afsæt i udviklingen på arbejdsmarkedet viser tabel 3 en tentativ fordeling af
nedgangen på brancher.
Tallene skal tolkes med forbehold. Der er i beregningen ikke taget højde for, at
nogle virksomheder har oplevet lavere produktion, men har valgt at holde medar-
bejdere på arbejde (herunder, at de ikke er hjemsendte med lønkompensation). Li-
geledes kan produktionen være negativt påvirket af større grad af hjemmearbejde
(fordi det kan være vanskeligt at opretholde samme produktivitet). Endvidere fan-
ges aktivitetsnedgang hos selvstændige erhvervsdrivende ikke ved den benyttede
metode.
Der er også usikkerhed forbundet med opgørelsen af de påvirkede jobs i de en-
kelte brancher. På den ene side er en del af de lønkompenserede jobs deltidsjob,
sådan at betydningen for beskæftigelsen kan være overvurderet. Omvendt vil der
også være tab af job, som ikke afspejles i hverken øget ledighed eller træk på løn-
kompensationsordningen. Det kan fx være studerende, som mister et deltidsar-
bejde ved siden af studiet, men på grund af SU ikke er berettiget til dagpenge.
Samlet set et det dog vurderingen, at de viste tal kan undervurdere den faktiske
nedgang i produktion.
ERU, Alm.del - 2019-20 - Bilag 257: Genåbning fase 2 - økonomiske prioriteringer, fra finansministeren
2182701_0018.png
Side 18 af 56
Tabel 3
Nedgang i aktiviteten baseret på foreløbige jobdata siden begyndelsen af marts
Andel af samlet
værditilvækst, pct.
Landbrug, skovbrug og fiskeri
Råstofindvinding
Industri
Energiforsyning
Vandforsyning og renovation
Bygge og anlæg
Handel
Transport
Hoteller og restauranter
Information og kommunikation
Finansiering og forsikring
Ejendomshandel og udlejning af erhvervsejen-
domme
Boliger
Videnservice
Rejsebureauer, rengøring og anden operatio-
nel service
Offentlig administration, forsvar og politi
Undervisning
Sundhed og socialvæsen
Kultur og fritid
Andre serviceydelser
Private husholdninger med ansat medhjælp
I alt
1,1
1,1
14,7
1,4
0,7
5,5
12,9
5,9
1,5
6,3
4,7
2,6
6,9
6,8
3,2
4,7
6,4
10,3
1,4
1,4
0,2
100,0
Nedgang i
værditilvækst,
pct.
-2
-3
-14
-1
-9
-9
-22
-20
-79
-13
-3
-18
0
-11
-22
-2
-5
-6
-46
-26
-23
-16
Anm.: Beregningen er foretaget med udgangspunkt i den samlede stigning i ledighed og kompenserede job som en
approksimation for faldet i beskæftigelsen. Beskæftigelsesfaldet er herefter omregnet til nedgang i
værditilvækst. For
hoteller og restauranter
og
kultur og fritid
er der taget højde for, at andre kilder viser et stort
fald i omsætningen. Der er ikke indregnet effekt af lavere produktion i den offentlige sektor som følge af
blandt andet hjemmearbejde, lukkede institutioner og skoler, sygefravær eller karantæne
Kilde: Danmarks Statistik og egne beregninger
Aktivitetsnedgangen er primært sket i løbet af marts. Det samlede fald kan derfor
fordeles med fald i første og andet kvartal på omkring henholdsvis 5 pct. og 10
pct. Faldene er i overensstemmelse med scenariet med gradvis tilpasning i Finans-
ministeriets analyse:
Scenarier for dansk økonomi i lyset af coronavirus.
Der forefindes en analyse af norsk data, der ligeledes forsørger at sætte tal på,
hvor meget BNP er faldet i forskellige brancher. En sammenligning med denne
beregning fremgår af bilag 1A.
ERU, Alm.del - 2019-20 - Bilag 257: Genåbning fase 2 - økonomiske prioriteringer, fra finansministeren
2182701_0019.png
Side 19 af 56
Bilag 1A. Sammenligning med norske tal
Bilagstabel 1A
Sammenligning med norske tal
Danmark
Landbrug, skovbrug og fiskeri
Råstofindvinding
Industri
Energiforsyning
Vandforsyning og renovation
Bygge og anlæg
Handel
Transport
Hoteller og restauranter
Information og kommunikation
Finansiering og forsikring
Ejendomshandel og udlejning af erhvervs-
ejendomme
Boliger
Videnservice
Rejsebureauer, rengøring og anden operati-
onel service
Offentlig administration, forsvar og politi
Undervisning
Sundhed og socialvæsen
Kultur og fritid
Andre serviceydelser
Private husholdninger med ansat medhjælp
I alt
-2
-3
-14
-1
-9
-9
-22
-20
-79
-13
-3
-18
0
-11
-22
-2
-5
-6
-46
-26
-23
-16
-15
-13
-2
-3
-14
-16
-36
-59
-5
1
-5
-1
-11
-19
-10
-11
-21
-60
Norge
-6
Anm.: Den norske opgørelse er baseret på information om permitteringer til og med 1. april samt en række andre
indikatorer.
Kilde: Rapport fra ekspertgruppe på oppdrag for Helsedirektoratet: Samfunnsøkonomisk vurdering av
smitteverntiltak
covid-19.
ERU, Alm.del - 2019-20 - Bilag 257: Genåbning fase 2 - økonomiske prioriteringer, fra finansministeren
2182701_0020.png
Side 20 af 56
Bilag 2
Detailbranchen
Den andel af detailhandlen, som er en del af et indkøbscenter, et stormagasin, en
arkade eller en basar skal pr. 18. marts holdes lukket for offentligheden. Undtaget
er dog dagligvarebutikker, apoteker og specialforretninger med medicinsk udstyr
og butikker med direkte adgang fra gaden, hvor adgangen til indkøbscenteret eller
lignende er afspærret.
Hertil kommer krav og retningslinjer, som detailforretningerne under et skal over-
holde for at modtage kunder i butikken.
Restriktionernes betydning for produktionen
Uddybende om indkøbscentre, arkader mv.
Der er ikke en officiel statistik for indkøbscentre i Danmark. Ifølge Institut for
Center-Planlægning er der i alt 116 indkøbscentre mv. Se bilag 2A for oversigt
over centrene.
Ikke alle indkøbscentre er påvirket af forbud mod at holde åbent. Det gælder fx
Big Shopping Center i Herlev, hvor de fleste af centerets butikker har egen ind-
gang fra gaden og derfor ikke er pålagt at holde lukket. Det giver øget usikkerhed,
når der skønnes over det økonomiske tab forbundet med tiltaget.
På baggrund af udlejningsareal anslår Institut for Center-Planlægning med en vis
usikkerhed, at godt 80.000 personer er beskæftigede i indkøbscentre mv. En del af
beskæftigelsen i indkøbscentrene omfatter fx ansatte i dagligvarebutikker eller
apoteker, som er undtaget krav om lukning for offentligheden, eller cafeer og re-
staurationer, som ikke er en del af detailbranchen.
Det vurderes, at omtrent 60.000 personer, svarende til knap en fjerdedel af be-
skæftigelsen i detailbranchen er lukket på baggrund af tiltaget.
Tabel 1 giver et overblik over beskæftigelse mv. i branchen og det skønnede pro-
duktionstab ved lukning af indkøbscentre mv. (i en situation, hvor efterspørgslen
forudsættes at være normal).
ERU, Alm.del - 2019-20 - Bilag 257: Genåbning fase 2 - økonomiske prioriteringer, fra finansministeren
2182701_0021.png
Side 21 af 56
Tabel 1
Centrale oplysninger om detailhandel
Produktion
(mia. kr.)
104,9
Beskæftigede
Detailhandel
247.300
Fuldtidsbeskæftigede
134.200
Anslået produktionstab (pct.)
25
Anm.: Tallene er for 2018. Produktionstabet er målt i forhold til en situation med normal efterspørgsel.
Beregningerne kan derfor ikke 1-1 oversættes til omkostningerne af tiltaget, da efterspørgslen aktuelt er
nedsat på grund af befolkningens adfærd og afbødningstiltag i andre lande.
Kilde: Danmarks Statistik og egne beregninger.
Skønnet for produktionstabet kan være i overkanten, da der blandt andet ikke
tages højde for øget aktivitet andetsteds i detailbranchen. Forbrugerne kan fx have
flyttet en del af deres forbrug fra de fysiske butikker til køb via internetbutikker
eller have flyttet forbruget til butikker, som er placeret uden for et storcenter.
En analyse fra Dansk Erhverv fra 2018 viser, at det hos virksomheder med både
fysisk og online tilstedeværelse er 17 pct. af omsætningen, der sker online.
4
Analy-
sen viser yderligere, at godt en tredjedel af detailvirksomhederne har online tilste-
deværelse, mens to tredjedele ikke har.
Mange butikker i indkøbscentre mv. er del af en butikskæde, som ofte også har til-
knyttet en hjemmeside til nethandel, hvorfor det er relativt nemt for forbrugerne
at flytte deres handel online. En spørgeskemaundersøgelse fra Foreningen for
Dansk Internethandel (FDIH) viser, at de fleste butikker med både fysisk butik og
nethandel har set en fremgang i den samlede omsætning.
5
Der er dog også en del
virksomheder, som har set en tilbagegang.
Virksomheder, der ikke i forvejen havde en netbutik, kan også have oprettet en
efter lukningen af den fysiske butik, hvilket også vil give et mindre økonomisk tab
end forudsat i tabel 1.
Det bemærkes desuden, at indkøbscentre mv. ikke kun består af detailbutikker,
men fx også biografer, restauranter og cafeer. Disse er påvirket af andre tiltag i
forbindelse med afbødningen af coronaspredningen og ikke omfattet af ovenstå-
ende skøn. En åbning for indkøbscentre mv. vil altså ikke få aktiviteten i centrene
tilbage på niveauet før nedlukningen, hvis fx cafeer stadig skal holdes lukket.
Modsat er åbning af de liberale serviceerhverv ikke slået fuldt igennem, da fx fri-
sører eller massører, der er beliggende i et indkøbscenter fortsat skal holde lukket
medmindre de har egen indgang fra gaden og kan afspærre adgang til resten af
indkøbscenteret.
4
5
https://finans.dk/incoming/article10752782.ece/BINARY/Analyse%20fra%20Dansk%20Erhverv
Forening for Dansk Internethandels E-handelsbarometer for 1. kvartal 2020.
ERU, Alm.del - 2019-20 - Bilag 257: Genåbning fase 2 - økonomiske prioriteringer, fra finansministeren
Side 22 af 56
Ovenstående beregninger knytter sig alene til detailhandel i indkøbscentre mv.,
som er påvirket af tiltaget. Der henvises til bilag 3 og 4 vedrørende de samfunds-
økonomiske konsekvenser for biografer og cafeer mv. som følge af restriktioner.
Krav og retningslinjer til detailbutikkerne
Foruden lukningen af indkøbscentrene er de butikker, der fortsat har åbent, pålagt
en række krav og retningslinjer. Dette reducerer mere indirekte virksomhedernes
mulighed for omsætning, men vurderes alligevel at have en negativ effekt gennem
mindre tilgængelighed mv.
Kravet om mere gulvareal pr. kunde kan reducere antallet af kunder, som kan
være i den enkelte butik og dermed forlænge købsprocessen grundet øget ventetid.
Samtidig kører en del butikker med reduceret bemanding. Dette kan få nogle
kunder til at undlade at købe i butikkerne.
Derudover kan de skærpede krav og retningslinjer til butikkerne få den enkelte
forbruger til at forbinde besøg i butikken med øget smittefare, hvorfor de i
mindre grad benytter butikkerne.
Samtidig er der også nogle butikker, der helt holder lukket, på trods af at det ikke
er et krav. Det kan enten skyldes, at de ikke vurderer, at der vil komme nok
kunder i butikken til at det kan betale sig at holde åbent, eller andre årsager.
Det er svært at anslå, i hvor høj grad krav og retningslinjer til butikkerne påvirker
detailomsætningen, men tiltaget trækker entydigt i retning af lavere værditilvækst.
Beskrivelse af detailbutikkerne
I 2018 beskæftigede detailbutikkerne samlet 247.000 personer. Beskæftigelsen i
su-
permarkeder og varehuse mv.
udgør knap halvdelen af beskæftigelsen i alle detailbutik-
ker,
jf. tabel 3.
De fleste heraf i form af dagligvarebutikker vil være undtaget luk-
ningskravet, uanset om de er en del af et center, som er påvirket af kravet.
ERU, Alm.del - 2019-20 - Bilag 257: Genåbning fase 2 - økonomiske prioriteringer, fra finansministeren
2182701_0023.png
Side 23 af 56
Tabel 2
Detailbutikkernes beskæftigelse
Beskæftigede
Supermarkeder og varehuse mv.
Specialbutikker med fødevarer
Tankstationer
Detailhandel med forbrugerelektronik
Detailhandel med tekstiler og husholdningsudstyr mv.
Detailhandel med kultur- og fritidsprodukter
Detailhandel med beklædning og fodtøj
Internethandel, postordre mv.
110.400
12.800
6.000
3.900
63.200
12.400
27.300
11.400
Pct. af beskæftigede i detailhandlen
44,6
5,2
2,4
1,6
25,5
5,0
11,0
4,6
Anm.: Antallet af beskæftigede på underbranche niveau er udregnet på baggrund af beskæftigelsesandelene i RAS.
Tallene er for 2018.
Kilde: Danmarks Statistik.
Hertil kommer
tankstationer
og detailforretninger i kategorien
internethandel, postordre
mv.,
som heller ikke ventes at være direkte påvirket af tiltaget. De forventes dog at
være påvirket gennem ændret adfærd, der i et vist omfang kan afspejle andre
restriktioner end lukning af indkøbscentre og krav og retningslinjer til detailforret-
ninger. For eksempel betyder markant mindre persontransport også mindre
omsætning på tankstationerne.
For ansatte i alle butikstyper er ledigheden steget, og der er søgt om
lønkompensation for medarbejdere, men der er forskel på tværs af butikstype.
Stigningen har været mindst for de personer, der er beskæftiget inden for
tankstationer
og
supermarkeder og varehuse mv.
Her udgør stigningen i antallet af
tilmeldte ledige og personer på lønkompensation ca. 1 pct. af beskæftigelsen,
jf.
figur 1.
ERU, Alm.del - 2019-20 - Bilag 257: Genåbning fase 2 - økonomiske prioriteringer, fra finansministeren
2182701_0024.png
Side 24 af 56
Figur 1
Stigning i tilmeldte ledige og personer på lønkompensationsordningen
Pct. af beskæftigede
30
25
Pct. af beskæftigede
30
25
20
15
20
15
10
5
10
5
0
Detailhandel med
kultur- og
fritidsprodukter
0
Tankstationer
Detailhandel med
beklædning og fodtøj
Anm.: Stigningen i tilmeldte ledige er opgjort for perioden 8. marts til 19. april. Grundet efterregistreringer kan
tallene ændre sig. Tilmeldte ledige er fordelt på brancher efter, hvilken branche de senest var beskæftiget i.
Antal personer på lønkompensationsordningen er opgjort til og med d. 20. april. Lønkompensationstallene
er korrigeret for, at der kan være søgt om lønkompensation for den samme person flere steder.
Beskæftigelsesoplysningerne er baseret på KAS for 2018.
Kilde: Danmarks Statistik, STAR, Erhvervsstyrelsen, BCG og egne beregninger.
For detailforretninger, der handler med
beklædning og fodtøj,
samt
tekstiler og hushold-
ningsudstyr mv.,
er der blevet henholdsvis 7.700 personer og 7.600 personer flere til-
meldte ledige og personer på lønkompensation. Det svarer til henholdsvis 28 pct.
og 13 pct. af de beskæftigede.
Lidt overraskende er der også sket en stigning i ledigheden i underbranchen
internethandel, postordre mv.
Branchen afspejler ikke al internethandel, da virksom-
heder godt kan tilhøre en anden branche, men stadigvæk benytte sig af
internethandel som afsætningskanal. Det skal desuden bemærkes, at andre
faktorer kan spille ind, og at stigningen i ledigheden fordelt på brancher ikke
nødvendigvis alene kan tilskrives coronakrisen.
Ansatte i detailforretningerne er typisk betydeligt yngre end den gennemsnitlige
beskæftigede i Danmark. Knap 60 pct. af de ansatte inden for detailhandel er
under 30 år. For det samlede arbejdsmarked under ét er det en fjerdedel af
beskæftigelsen, som er under 30 år,
jf. figur 2.
Specialbutikker med
fødevarer
Supermarkeder
og varehuse mv.
Detailhandel med
tekstiler og hushold-
ningsudstyr mv.
Detailhandel med
forbrugerelektronik
Hele økonomien
Internethandel,
postordre mv.
ERU, Alm.del - 2019-20 - Bilag 257: Genåbning fase 2 - økonomiske prioriteringer, fra finansministeren
2182701_0025.png
Side 25 af 56
Figur 2
Aldersfordeling
Pct.
70
60
50
40
30
20
10
0
Under 20 år
20-30 år
Alle brancher
30-60 år
Detailhandel
Over 60 år
Pct.
70
60
50
40
30
20
10
0
Anm.: Tallene er baseret på RAS for 2018.
Kilde: Danmarks Statistik.
Den unge arbejdskraft er særligt udpræget i
supermarkeder og varehuse mv.,
hvor knap
halvdelen er under 20 år gammel, og mere end 70 pct. er under 30 år. For alle un-
derbrancherne inden for detailhandlen gælder det dog, at de beskæftigede i gen-
nemsnit er betydeligt yngre end for det generelle arbejdsmarked. Den relativt unge
arbejdskraft afspejler sig også i en lav gennemsnitlig arbejdstid på 20 timer om
ugen.
Detailvirksomhederne (ekskl. dagligvarebutikker og apoteker) beskæftiger generelt
få fuldtidspersoner pr. virksomhed. Kun i 6 pct. af virksomhederne er der 10 eller
flere ansat, hvilket gør sig gældende for 10 pct. af alle serviceerhverv,
jf. tabel 3.
Dette inkluderer detailbutikker beliggende både i og uden for indkøbscentre.
Tabel 3
Detailvirksomhedernes størrelse
Fuldtidsbeskæftigede
1-2
Pct. af virksomhederne i branchen
Detailhandel (ekskl. dagligvarebutikker og apoteker)
Alle serviceerhverv
66
71
28
20
5
8
1
2
3-9
10-49
Mindst 50
Anm.: På baggrund af regnskabsoplysninger fra 2016. Serviceerhverv dækker over brancherne: Handel, Transport
(ekskl. Luftfart og transport ad vandveje), Hoteller og restauranter, Information og kommunikation, Viden-
service og Rejsebureauer mv. I opgørelsen er der frasorteret fonde og foreninger, selvstændige offentlige
virksomheder, virksomheder med negativ BVT og virksomheder med mindre end én fuldtidsbeskæftiget.
Grundet afrunding summer andelene ikke nødvendigvis til 100.
Kilde: Danmarks Statistik og egne beregninger på detaljerede virksomhedsdata.
ERU, Alm.del - 2019-20 - Bilag 257: Genåbning fase 2 - økonomiske prioriteringer, fra finansministeren
2182701_0026.png
Side 26 af 56
Der er generelt flere detailbutikker, som har negativ egenkapital end for serviceer-
hvervene under ét. Det betyder samlet set, at en lidt større andel af detailbutik-
kerne er meget udsatte over for nedgang i omsætning og indtjening, da de i forve-
jen tynges af et underskud fra tidligere regnskabsår,
jf. tabel 4.
Tabel 4
Antal måneder detailbutikkernes egenkapital kan dække de samlede udgifter.
Negativ
egenkapital
Pct. af virksomhederne i branchen
Detailhandel
(ekskl. dagligvarebutikker og apoteker)
Alle serviceerhverv
16
10
75
65
6
14
4
10
0-6
måneder
6-12
måneder
Over 12
måneder
Anm.: På baggrund af regnskabsoplysninger fra 2016. Negativ egenkapital skyldes overførte underskud fra tidligere
regnskabsår. I beregningerne er de samlede udgifter forudsat uændret. Serviceerhverv dækker over bran-
cherne: Handel, Transport (ekskl. Luftfart og transport ad vandveje), Hoteller og restauranter, Information
og kommunikation, Videnservice og Rejsebureauer mv. I opgørelsen er der frasorteret fonde og foreninger,
selvstændige offentlige virksomheder, virksomheder med negativ BVT og virksomheder med mindre end én
fuldtidsbeskæftiget. Grundet afrunding summer andelene ikke nødvendigvis til 100.
Kilde: Danmarks Statistik og egne beregninger på detaljerede virksomhedsdata.
Dertil kommer en stor andel af virksomheder inden for detailhandel, hvor egenka-
pitalen kun er stor nok til at dække op til 6 måneders udgifter.
I beregningerne af, hvor længe detailvirksomhedernes egenkapital kan dække de
samlede udgifter, er der ikke taget højde for, at visse udgiftsposter kan nedbringes,
så længe butikkerne har lukket. Den største andel af detailbutikkernes udgifter er
variable, hvilket kan indebære muligheder for at nedbringe omkostningerne, så-
fremt de ikke er bundet af kontrakter til leverandører,
jf. tabel 5.
Der er dog også
variable omkostninger, som ikke kan nedbringes på kort sigt.
ERU, Alm.del - 2019-20 - Bilag 257: Genåbning fase 2 - økonomiske prioriteringer, fra finansministeren
2182701_0027.png
Side 27 af 56
Tabel 5
Detailvirksomhedernes udgifter som andel af omsætningen
Lønudgifter Variable udgifter
Detailhandel
(ekskl. dagligvarebutikker og apoteker)
Alle serviceerhverv
14
18
59
39
Faste udgifter
20
28
I alt
93
85
Anm.: På baggrund af regnskabsoplysninger fra 2016. Lønudgifter dækker over: lønninger og gager, pensionsom-
kostninger og andre omkostninger til social sikring. Variable udgifter dækker over: køb af varer til videresalg,
køb af råvarer, hjælpematerialer og emballage, køb af energi, køb af underentrepriser og lønarbejde, ordinære
tab på debitorer, nedskrivninger af omsætningsaktiver og sekundære omkostninger. Faste udgifter dækker
over: husleje, anskaffelse af småinventar/driftsmidler med kort levetid, leje af arbejdskraft fra andet firma,
langtidsleje og operationel leasing, eksterne omkostninger i øvrigt, afskrivninger og ned-skrivninger af mate-
rielle og immaterielle anlægsaktiver, renteomkostninger o.l. Serviceerhverv dækker over brancherne: Handel,
Transport (ekskl. Luftfart og transport ad vandveje), Hoteller og restauranter, Information og kommunika-
tion, Videnservice og Rejsebureauer mv. I opgørelsen er der frasorteret fonde og foreninger, selvstændige
offentlige virksomheder, virksomheder med negativ BVT og virksomheder med mindre end én fuldtidsbe-
skæftiget.
Kilde: Danmarks Statistik og egne beregninger på detaljerede virksomhedsdata.
Indkøbscentre mv. er særligt koncentreret i landsdelene med de større byer. Det
gælder området i og omkring København, som tilsammen har mere end en
tredjedel af det udlejede antal kvadratmetre i centre, mens Østjylland har 10 pct. af
det udlejede areal,
jf. figur 3.
Figur 3
Andel af udlejede kvadratmeter i centre
0,3
4,9 pct.
5,0
9,9 pct.
10,0
21,4 pct.
Figur 4
Fordeling af centre på kommuner
Ingen centre
1 center
2 til 4 centre
4 til 9 centre
Anm.: Se bilag 2A for mere om de enkelte centre og den anvendte datakilde.
Kilde: Institut for Center-Planlægning.
Den mindste andel af kvadratmetrene findes i Vestjylland og på Bornholm.
ERU, Alm.del - 2019-20 - Bilag 257: Genåbning fase 2 - økonomiske prioriteringer, fra finansministeren
Side 28 af 56
Inden for landsdelene er der også forskel på, hvor centrene er placeret. I Østjyl-
land ligger 9 ud af de 14 centre i Aarhus kommune, mens 5 ud af 7 centre på Fyn
ligger i Odense kommune,
jf. figur 4.
ERU, Alm.del - 2019-20 - Bilag 257: Genåbning fase 2 - økonomiske prioriteringer, fra finansministeren
2182701_0029.png
Side 29 af 56
Bilag 2A: Oversigt over indkøbscentre mv. i Danmark
Listen over indkøbscentre mv. er modtaget fra Institut for Center-Planlægning.
Listen er ikke nødvendigvis fuldt udtømmende. Listen omfatter blandt andet
IKEA, som har valgt at lukke deres varehuse, men som i udgangspunktet ikke er
påvirket af kravet om lukning. På den anden side omfatter listen ikke fx Bazar
Vest i Brabrand.
Tabel 1
Indkøbscentre mv. oplyst af Institut for Center-Planlægning
Post nr.
1095
1100
1561
2000
2300
2300
2400
2500
2600
2600
2600
2610
2620
2630
2630
2630
2630
2635
2650
2650
2660
2670
2670
2680
2720
2730
2730
2750
2770
2800
2800
Region
Hovedstaden
Hovedstaden
Hovedstaden
Hovedstaden
Hovedstaden
Hovedstaden
Hovedstaden
Hovedstaden
Hovedstaden
Hovedstaden
Hovedstaden
Hovedstaden
Hovedstaden
Hovedstaden
Hovedstaden
Hovedstaden
Hovedstaden
Hovedstaden
Hovedstaden
Hovedstaden
Hovedstaden
Sjælland
Sjælland
Sjælland
Hovedstaden
Hovedstaden
Hovedstaden
Hovedstaden
Hovedstaden
Hovedstaden
Hovedstaden
Kommune
København
København
København
Frederiksberg
København
København
København
København
Glostrup
Glostrup
Glostrup
Rødovre
Albertslund
Høje-Tåstrup
Høje-Tåstrup
Høje-Tåstrup
Høje-Tåstrup
Ishøj
Hvidovre
Hvidovre
Brøndby
Greve
Greve
Solrød
København
Herlev
Herlev
Ballerup
Tårnby
Lyngby-Taarbæk
Lyngby-Taarbæk
Navn
Magasin
Illum
Fisketorvet Copenhagen Mall
Frederiksberg Centret
Field's
Amager Centret
Nørrebro Bycenter
Spinderiet
Glostrup ShoppingCenter
Diget Butikstorv
Glostrup Stationscenter
Rødovre Centrum
Albertslund Centrum
City 2
IKEA Center Taastrup
Taastrup Torv
Copenhagen Designer Outlet
Ishøj Bycenter
Frihedens Butikscenter
Hvidovre C
Brøndby Strand Centrum
Greve Midtby Center
Waves
Solrød Center
Kronen
Herlev Bymidte
BIG
Ballerup Centret
Vestamagercentret
Magasin
Lyngby Storcenter
By
København K
København K
København V
Frederiksberg
København S
København S
KøbenhavnNV
Valby
Glostrup
Glostrup
Glostrup
Rødovre
Albertslund
Taastrup
Taastrup
Taastrup
Taastrup
Ishøj
Hvidovre
Hvidovre
Brøndby Strand
Greve
Greve
Solrød Strand
Vanløse
Herlev
Herlev
Ballerup
Kastrup
Lyngby
Lyngby
ERU, Alm.del - 2019-20 - Bilag 257: Genåbning fase 2 - økonomiske prioriteringer, fra finansministeren
2182701_0030.png
Side 30 af 56
2820
2830
2840
2860
2900
2960
2970
2970
2990
3000
3000
3050
3060
3400
3500
3520
3600
3660
3700
4000
4040
4100
4100
4200
4200
4293
4300
4550
4600
4600
4700
4700
4700
4800
5000
5210
5220
5240
5250
5700
5700
6000
6400
Hovedstaden
Hovedstaden
Hovedstaden
Hovedstaden
Hovedstaden
Hovedstaden
Hovedstaden
Hovedstaden
Hovedstaden
Hovedstaden
Hovedstaden
Hovedstaden
Hovedstaden
Hovedstaden
Hovedstaden
Hovedstaden
Hovedstaden
Hovedstaden
Hovedstaden
Sjælland
Sjælland
Sjælland
Sjælland
Sjælland
Sjælland
Sjælland
Sjælland
Sjælland
Sjælland
Sjælland
Sjælland
Sjælland
Sjælland
Sjælland
Syddanmark
Syddanmark
Syddanmark
Syddanmark
Syddanmark
Syddanmark
Syddanmark
Syddanmark
Syddanmark
Gentofte
Lyngby-Taarbæk
Rudersdal
Gladsaxe
Gentofte
Hørsholm
Hørsholm
Hørsholm
Fredensborg
Helsingør
Helsingør
Fredensborg
Helsingør
Hillerød
Furesø
Furesø
Frederikssund
Egedal
Bornholm
Roskilde
Roskilde
Ringsted
Ringsted
Slagelse
Køge
Sorø
Holbæk
Odsherred
Køge
Køge
Næstved
Næstved
Næstved
Guldborgsund
Odense
Odense
Odense
Odense
Odense
Svendborg
Svendborg
Kolding
Sønderborg
IKEA Center Gentofte
Sorgenfri Torv
Holte Midtpunkt
Høje Gladsaxe Center
Waterfront
Rungsted Bytorv
Hørsholm Midtpunkt
Kongevejs-centret
Nivå Center
Prøvestenscentret
Helsingør Bycenter
Humlebæk Center
Espergærde Centret
SlotsArkaderne
Værløse Bymidte
Farum Bytorv
Sillebroen Shopping
Egedal Centret
Snellemark Centret
Ro's Torv
Jyllinge Butikscenter
Ringstedet
Ringsted Outlet
Vestsjællands Centret
Strædet Køge
Dianalund Centret
Holbæk Mega Center
Asnæs Centret
Ølby Center
Den Hvide By
Parkens Butiks Center
Næstved Megacenter
Næstved Storcenter
Guldborgsundcentret
Magasin
Tarup Center
Rosengårdcentret
Vollsmose Torv
Dalum Centret
Svendborg Storcenter
Svendborg Bycenter
Kolding Storcenter
Borgen Shopping
Gentofte
Virum
Holte
Søborg
Hellerup
Rungsted Kyst
Hørsholm
Hørsholm
Nivå
Helsingør
Helsingør
Humlebæk
Espergærde
Hillerød
Værløse
Farum
Frederikssund
Stenløse
Rønne
Roskilde
Jyllinge
Ringsted
Ringsted
Slagelse
Køge
Dianalund
Holbæk
Asnæs
Køge
Køge
Næstved
Næstved
Næstved
Nykøbing F
Odense C
Odense NV
Odense SØ
Odense NØ
Odense SV
Svendborg
Svendborg
Kolding
Sønderborg
ERU, Alm.del - 2019-20 - Bilag 257: Genåbning fase 2 - økonomiske prioriteringer, fra finansministeren
2182701_0031.png
Side 31 af 56
6500
6700
6710
6715
6950
7100
7100
7120
7400
7430
7500
7500
7700
7730
7800
8000
8000
8000
8200
8200
8220
8240
8260
8260
8362
8450
8660
8700
8800
8800
8960
9000
9000
9000
9200
9200
9400
9440
9560
9640
9800
9800
Syddanmark
Syddanmark
Syddanmark
Syddanmark
Midtjylland
Syddanmark
Syddanmark
Syddanmark
Midtjylland
Midtjylland
Midtjylland
Midtjylland
Nordjylland
Nordjylland
Midtjylland
Midtjylland
Midtjylland
Midtjylland
Midtjylland
Midtjylland
Midtjylland
Midtjylland
Midtjylland
Midtjylland
Midtjylland
Midtjylland
Midtjylland
Syddanmark
Midtjylland
Midtjylland
Midtjylland
Nordjylland
Nordjylland
Nordjylland
Nordjylland
Nordjylland
Nordjylland
Nordjylland
Nordjylland
Nordjylland
Nordjylland
Nordjylland
Haderslev
Esbjerg
Esbjerg
Esbjerg
Ringkøbing-Skjern
Vejle
Vejle
Vejle
Herning
Ikast-Brande
Holstebro
Holstebro
Thisted
Thisted
Skive
Aarhus
Aarhus
Aarhus
Aarhus
Aarhus
Aarhus
Aarhus
Aarhus
Aarhus
Skanderborg
Favrskov
Skanderborg
Horsens
Viborg
Viborg
Randers
Aalborg
Aalborg
Aalborg
Aalborg
Aalborg
Aalborg
Jammerbugt
Mariagerfjord
Vesthimmerland
Hjørring
Hjørring
Rådhus-Centret
BROEN Shopping
Sædding Centret
Esbjerg Storcenter
Søndervig Centret
Mary's
Bryggen
Bredballecentret
HerningCentret
Strøgcentret
Nørreport Centret
Lavhede Centret
J.P. Jacobsen Center
Hanstholm Centret
Søndercentret
Magasin
Salling
Bruun's Galleri
Storcenter Nord
Skejby Centret
City Vest
Veri Center
Viby Centret
Mega Syd
Hørning Centret
Tema-Center
Bloms Butikker
Bytorv Horsens
Sct. Mathias Centret
Storcenter Viborg
Randers Storcenter
Salling
Kennedy Arkaden
Friis
Shoppen
Aalborg Storcenter
Nørresundby City Center
Aabybro Centret
Butikscenter Hadsund
Rådhuscentret
Metropol
Bispetorv Bycenter
Vojens
Esbjerg
Esbjerg V
Esbjerg N
Ringkøbing
Vejle
Vejle
Vejle Ø
Herning
Ikast
Holstebro
Holstebro
Thisted
Hanstholm
Skive
Aarhus C
Aarhus C
Aarhus C
Aarhus N
Aarhus N
Brabrand
Risskov
Viby J
Viby J
Hørning
Hammel
Skanderborg
Horsens
Viborg
Viborg
Randers SØ
Aalborg
Aalborg
Aalborg
Aalborg SV
Aalborg SV
Nørresundby
Aabybro
Hadsund
Farsø
Hjørring
Hjørring
Kilde: Institut for Center-Planlægning.
ERU, Alm.del - 2019-20 - Bilag 257: Genåbning fase 2 - økonomiske prioriteringer, fra finansministeren
2182701_0032.png
Side 32 af 56
Bilag 3
Restauration
Restaurationsbranchen er omfattet af de restriktioner, der pålægger serveringsste-
der at holde deres lokaler og udeservering lukket for offentligheden frem til den
10. maj. Det betyder, at produktionen for mange virksomheder udelukkende kan
udgøres af eventuel take away, som fortsat er tilladt. Andre dele af restaurations-
branchen som værtshuse og diskoteker mv. er i udgangspunktet helt lukkede.
Dette bilag redegør for restriktionernes direkte påvirkning af restaurationsbran-
chen og ikke på afledte effekter på eksempelvis hotelbranchen.
Restriktionernes betydning for produktionen
Den samlede restaurationsbranche havde en produktion på 51 mia. kr. i 2016 (lø-
bende priser), svarende til 1,4 pct. af den samlede produktion i Danmark. Der kan
skønnes over restriktionernes betydning for underbranchernes produktion ved
hjælp af en antagelse om, hvor stor en del af produktionen, der kan erstattes af
take away i hver underbranche.
Den samlede restaurationsbranche dækker over fem underbrancher. Størstedelen
af beskæftigelsen findes inden for underbranchen
restauranter,
der omfatter de virk-
somheder, der som hovedvægt har servering af mad.
Via oplysninger om google-søgninger er der indikationer på, at interessen for take
away er øget, men der foreligger ikke data for omfanget af det faktiske forbrug. Der
skal også tages højde for, at ikke hele produktionen er egnet til take away, hvorfor
mange restauranter formentlig er lukkede, jf. nedenfor.
Tabel 1 giver et overblik over branchen. Det anslåede produktionstab som følge
af restriktionerne i forhold til en situation med normal efterspørgsel fremgår også.
Med de anvendte antagelser er det samlede produktionstab på 75 pct.. Det stem-
mer nogenlunde overens med, at kortomsætningen i restauranter og barer aktuelt
udgør ca. 30 pct. af niveauet på samme tidspunkt i 2019 ifølge en analyse fra Nati-
onalbanken
6
.
6
Nationalbanken: Dansk og international økonomi ramt af pandemi (april 2020).
ERU, Alm.del - 2019-20 - Bilag 257: Genåbning fase 2 - økonomiske prioriteringer, fra finansministeren
2182701_0033.png
Side 33 af 56
Tabel 1
Centrale oplysninger om restaurationsbranchen
Fuldtids-
beskæftigede
56.700
29.500
5.500
4.400
9.100
8.200
Produktion i 2016,
Anslået produkti-
mia. kr. i løbende
onstab, pct.
priser
51
26
5
4
8
7
75
70
0
100
100
95
Beskæftigelse
Restauranter mv.
- Restauranter
- Pizzeriaer, grillbarer, is-
barer mv.
- Event catering
- Anden restaurationsvirk-
somhed
- Caféer, værtshuse, di-
skoteker mv.
110.400
57.100
16.100
7.000
12.300
17.900
Anm.: Produktionstabet er målt i forhold til en situation med normal efterspørgsel. Beregningerne kan derfor ikke
1-1 oversættes til omkostningerne af tiltaget, da efterspørgslen aktuelt er nedsat på grund af befolkningens
adfærd og afbødningstiltag i andre lande. Tallene er for 2016, som er det seneste nationalregnskabsår med
detaljerede brancheoplysninger. Beskæftigelsen stemmer overens med nationalregnskabsdefinitionen og er
fordelt på underbrancher på baggrund af RAS. Fuldtidsbeskæftigelsen er beregnet på baggrund af præsterede
timer opgjort i nationalregnskabet og fordelt på underbrancher på baggrund af
erhvervsbeskæftigelsens statistikre-
gister.
Produktionen på underbrancher er fordelt efter antallet af fuldtidsbeskæftigede.
Kilde: Danmarks Statistik og egne beregninger.
Størstedelen af branchen ventes at være påvirket af bekendtgørelsen om, at serve-
ringssteder holdes lukket for offentligheden. Restriktionerne omfatter dog ikke
muligheden for take away.
Der er betydelig forskel på muligheden for at levere take away inden for branchen.
Størstedelen af branchen, opgjort i beskæftigede, vurderes at kunne levere take
away i et vist omfang,
jf. tabel 2.
Tabel 2
Take away-potentiale i underbrancherne
Take away potentiale
Restauranter
Pizzeriaer, grillbarer, isbarer mv.
Event catering
Anden restaurationsvirksomhed
Caféer, værtshuse, diskoteker mv.
Væsentligt (men kan kræve omstilling)
Maksimalt
Lavt
Lavt
Varierende
Anm.: Tabellen angiver en vurdering af muligheden for at levere take away ud fra branchebeskrivelsen, ikke den
faktiske brug.
Kilde: Danmarks Statistik og egne beregninger.
Selvom der er et take away-potentiale for
restauranter,
holder det ikke nødvendigvis
hånden under meget beskæftigelse i branchen, idet eksempelvis tjenere og opva-
skere ikke har meget med fremstillingen af take away at gøre. Det må også formo-
des, at en stor del af den tidligere efterspørgsel efter egentlige restaurantbesøg ikke
ERU, Alm.del - 2019-20 - Bilag 257: Genåbning fase 2 - økonomiske prioriteringer, fra finansministeren
2182701_0034.png
Side 34 af 56
vil omsætte sig til efterspørgsel efter take away, fx gourmentsegmentet, forret-
ningsmiddage og restaurantbesøg på hoteller. Potentialet for at afsætte drikkevarer
fra restauranter som take away er formentlig også begrænset.
Vurderingen af take away-potentialet er baseret på oplysninger fra branchenomen-
klaturen,
jf. boks 1.
Boks 1
Omfanget af take away for underbrancher inden for restauration
Underbrancherne inden for restauration har forskellige muligheder for at bruge take away som afsætningskanal.
Nogle er i høj grad allerede baseret på take away, andre kan til en vis grad omstille sig, mens det for andre igen næppe
er et realistisk alternativ.
Der er lagt følgende til grund for de forskellige underbrancher:
Underbranchen
restauranter
omfatter både restauranter og caféer med hovedvægten lagt på servering af mad samt
fastfoodrestauranter. Derudover cafeterier og kroer. De rent tekniske løsninger til brug for take away i form af bude
og emballage foreligger allerede og er anekdotisk også taget i brug for mange restauranter.
Underbranchen
pizzeriaer, grillbarer, isbarer mv.
består i vid udstrækning af virksomheder, der allerede leverer take
away. Dette muligvis med undtagelse af virksomhedstyperne: isbarer, pølsevogne, mobile madboder, tilberedning af
mad i markedsboder og isbiler, som dog i vid udstrækning alligevel ikke er påvirket af tiltag. Derudover omfatter
branchen pizzaudbringning, der ikke producerer mad, men er en take away-forretning i sig selv.
Underbranchen
event catering
omfatter catering i forbindelse med enkeltbegivenheder, diner transportable samt
salg af mad, der tilberedes i centrale køkkener til levering ud af huset. Hovedparten af denne produktion må antages
at være lukket, som følge af at større arrangementer og begivenheder ikke afholdes.
Underbranchen
anden restaurationsvirksomhed
omfatter drift af madboder, kantiner eller cafeterier i sportshaller
og kontorbygninger, samt underleverandører af mad for transportvirksomheder. Denne underbranche formodes ikke
at levere take away, og produktionen i kantiner i kontorbygninger må også være stærkt reduceret i forbindelse med
hjemsendelse af medarbejdere.
Underbranchen
caféer, værtshuse, diskoteker mv.
omfatter virksomheder med hovedvægten lagt på tilberedning og
servering af drikkevarer til umiddelbar indtagelse på stedet. Dette omfatter barer og diskoteker, men også kaffe- og
juicebarer, der i noget omfang kan levere take away.
Kilde: Danmarks Statistik.
Der er betydelige sæsonudsving i salget i restaurationsbranchen. Højsæsonen løber
fra maj til september, mens lavsæsonen er i januar til marts. I maj og juni er det
faktiske salg normalt knap 10 pct. højere end det sæsonkorrigerede salg. Det er så-
ledes særligt i forårs- og sommermånederne, at branchen har høj omsætning og
indtjening, hvorfor omsætningstabet forbundet med restriktionerne vil være hø-
jere i de måneder,
jf. figur 1.
ERU, Alm.del - 2019-20 - Bilag 257: Genåbning fase 2 - økonomiske prioriteringer, fra finansministeren
2182701_0035.png
Side 35 af 56
Figur 1
Det faktiske salg i forhold til det sæsonkorrigerede salg
Pct.
15
10
5
0
-5
-10
-15
-20
Pct.
15
10
5
0
-5
-10
-15
-20
Jan.
Feb.
Mar.
Apr.
Maj
Jun.
Jul.
Aug.
Sep.
Okt.
Nov.
Dec.
Anm.: Egen sæsonkorrektion.
Kilde: Danmarks Statistik og egne beregninger.
Beskrivelse af restaurationsbranchen
Restaurationsbranchen beskæftiger forholdsvist mange unge under 30 år, når der
sammenlignes med alle erhverv,
jf. figur 2.
Figur 2
Aldersfordeling
Pct.
70
60
50
Pct.
70
60
50
40
30
20
10
40
30
20
10
0
Under 20 år
20-29 år
Alle erhverv
30-59 år
Restauration
over 60 år
0
Kilde: Danmarks Statistik og egne beregninger.
Den geografiske fordeling af beskæftigelsen findes umiddelbart kun for den over-
ordnede branche
hoteller og restauranter,
men man må formode, at fordelingen er no-
genlunde repræsentativ for restaurationsbranchen, der er en underbranche hertil.
Knap en tredjedel af alle beskæftigede i branchen findes i Københavnsområdet
(Byen København og Københavns omegn), hvilket er noget højere end for alle er-
hvervene set under et,
jf. tabel 3.
ERU, Alm.del - 2019-20 - Bilag 257: Genåbning fase 2 - økonomiske prioriteringer, fra finansministeren
2182701_0036.png
Side 36 af 56
Tabel 3
Geografisk fordeling af beskæftigede i erhvervene
Pct.
Landsdel Byen København
Landsdel Københavns omegn
Landsdel Nordsjælland
Landsdel Bornholm
Landsdel Østsjælland
Landsdel Vest- og Sydsjælland
Landsdel Fyn
Landsdel Sydjylland
Landsdel Østjylland
Landsdel Vestjylland
Landsdel Nordjylland
Alle erhverv
15
9
8
1
4
10
8
12
16
7
10
Hoteller og restauranter
21
10
6
1
4
8
8
12
14
6
10
Kilde: Danmarks Statistik og egne beregninger.
Både tilgangen og afgangen af ledige, der senest havde ansættelse i restaurations-
branchen, er høj, ifølge tal fra Styrelsen for Arbejdsmarked og Rekruttering. Sam-
let set er det den branche, hvor både antallet af tilmeldte ledige og personer på
lønkompensation er steget mest, svarende til en stigning på godt 30 pct. af be-
skæftigelsen i branchen. Det er betydeligt højere end for erhvervene under et,
hvor den samlede stigning i tilmeldte ledige og personer på lønkompensation sva-
rer til godt 6 pct. af beskæftigelsen,
jf. figur 3.
Figur 3
Stigning i tilmeldte ledige og personer på lønkompensationsordningen i pct. af beskæftigelsen
Pct. af beskæftigelse
35
30
25
20
15
10
5
0
Restauranter mv.
Erhverv i alt
Pct. af beskæftigelse
35
30
25
20
15
10
5
0
Anm.: Stigningen i tilmeldte ledige er opgjort for perioden 8. marts til 19. april. Grundet efterregistreringer kan
tallene ændre sig. Tilmeldte ledige er fordelt på brancher efter, hvilken branche de senest var beskæftiget i.
Antal personer på lønkompensationsordningen er opgjort til og med den 20. april. Lønkompensationstallene
er korrigeret for, at der kan være søgt om lønkompensation for den samme person flere gange.
Beskæftigelsesoplysninger er baseret på KAS for 2018.
Kilde: Danmarks Statistik, STAR, Erhvervsstyrelsen, BCG og egne beregninger.
ERU, Alm.del - 2019-20 - Bilag 257: Genåbning fase 2 - økonomiske prioriteringer, fra finansministeren
2182701_0037.png
Side 37 af 56
Omtrent 90 pct. af
restauranter mv.
har mellem 1 og 9 fuldtidsbeskæftigede. Det er
på niveau med serviceerhvervene under et.
Caféer, værtshuse, diskoteker mv.
adskiller
sig ved generelt at være en smule mindre,
jf. tabel 4.
Tabel 4
Restaurationsvirksomhedernes størrelse
Fuldtidsbeskæftigede
1-2
Pct. af virksomhederne i branchen
Restauranter mv. (ekskl. caféer, værtshuse, diskoteker mv.)
Caféer, værtshuse, diskoteker mv.
Alle serviceerhverv
65
64
71
26
31
20
8
5
8
1
0
2
3-9
10-49
Mindst 50
Anm.: På baggrund af regnskabsoplysninger fra 2016. Serviceerhverv dækker over brancherne: Handel, Transport
(ekskl. luftfart og transport ad vandveje), Hoteller og restauranter, Information og kommunikation, Videnser-
vice og Rejsebureauer mv. I opgørelsen er der frasorteret fonde og foreninger, selvstændige offentlige virk-
somheder, virksomheder med negativ BVT og virksomheder med mindre end én fuldtidsbeskæftiget.
Kilde: Danmarks Statistik og egne beregninger på detaljerede virksomhedsdata.
Branchen er kendetegnet ved, at en forholdsvis høj andel af virksomhederne har
eksisteret i under 5 år, sammenlignet med den gennemsnitlige servicevirksomhed.
Mens godt 40 pct. af alle servicevirksomhederne blev stiftet for mere end 10 år si-
den, er det kun tilfældet for lidt over en fjerdedel af virksomhederne i restaurati-
onsbranchen,
jf. tabel 5.
Tabel 5
Virksomhedsalder
0-1 år
Pct. af virksomhederne i branchen
Restauranter mv. (ekskl. caféer, værtshuse, diskoteker mv.)
Caféer, værtshuse, diskoteker mv.
Alle serviceerhverv
24
19
14
30
30
23
20
19
21
26
31
42
2-5 år
6-10 år
Over 10 år
Anm.: På baggrund af regnskabsoplysninger fra 2016. Serviceerhverv dækker over brancherne: Handel, Transport
(ekskl. Luftfart og transport ad vandveje), Hoteller og restauranter, Information og kommunikation, Viden-
service og Rejsebureauer mv. I opgørelsen er der frasorteret fonde og foreninger, selvstændige offentlige
virksomheder, virksomheder med negativ BVT og virksomheder med mindre end én fuldtidsbeskæftiget.
Kilde: Danmarks Statistik og egne beregninger på detaljerede virksomhedsdata.
Den lave virksomhedsalder afspejles også i andelen af virksomheder, som lukker
inden for et år. Ud af de eksisterende restaurationsvirksomheder i 2015 var knap
10 pct. lukkede inden for 12 måneder. Det samme gjaldt kun for godt 4 pct. af
servicevirksomhederne under et,
jf. tabel 6.
ERU, Alm.del - 2019-20 - Bilag 257: Genåbning fase 2 - økonomiske prioriteringer, fra finansministeren
2182701_0038.png
Side 38 af 56
Tabel 6
Andel virksomheder som lukker inden for 12 måneder efter endt regnskab
Andel virksomheder som lukker
Pct.
Restauranter mv. (ekskl. caféer, værtshuse, diskoteker mv.)
Caféer, værtshuse, diskoteker mv.
Alle serviceerhverv
9,8
7,6
4,3
Anm.: På baggrund af regnskabsoplysninger fra 2015. Serviceerhverv dækker over brancherne: Handel, Transport
(ekskl. Luftfart og transport ad vandveje), Hoteller og restauranter, Information og kommunikation, Viden-
service og Rejsebureauer mv. I opgørelsen er der frasorteret fonde og foreninger, selvstændige offentlige
virksomheder, virksomheder med negativ BVT og virksomheder med mindre end én fuldtidsbeskæftiget.
Kilde: Danmarks Statistik og egne beregninger på detaljerede virksomhedsdata.
Virksomhederne i restaurationsbranchen er generelt mindre godt rustet til at mod-
stå et fald i indtægterne. Robusthed er her opgjort som egenkapitalens størrelse i
forhold til de månedlige udgifter. Kun 4 pct. af
restauranter mv.
har en egenkapital
svarende til mindst 6 måneders udgifter. For servicevirksomhederne samlet set
gælder det 24 pct. af virksomhederne. Der er også en betydeligt større andel af
branchens virksomheder, som har negativ egenkapital,
jf. tabel 7.
Tabel 7
Antal måneder virksomhedernes egenkapital kan dække de samlede udgifter
Negativ
egenkapital
Pct. af virksomhederne i branchen
Restauranter mv. (ekskl. caféer, værtshuse, diskoteker mv.)
Caféer, værtshuse, diskoteker mv.
Alle serviceerhverv
20
21
10
75
72
65
2
3
14
2
4
10
0-6
måneder
6-12
måneder
Over 12
måneder
Anm.: På baggrund af regnskabsoplysninger fra 2016. Negativ egenkapital skyldes overførte underskud fra tidligere
regnskabsår. I beregningerne er de samlede udgifter forudsat uændret. Serviceerhverv dækker over bran-
cherne: Handel, Transport (ekskl. Luftfart og transport ad vandveje), Hoteller og restauranter, Information
og kommunikation, Videnservice og Rejsebureauer mv. I opgørelsen er der frasorteret fonde og foreninger,
selvstændige offentlige virksomheder, virksomheder med negativ BVT og virksomheder med mindre end én
fuldtidsbeskæftiget.
Kilde: Danmarks Statistik og egne beregninger på detaljerede virksomhedsdata.
I beregningerne af, hvor længe virksomhedernes egenkapital kan dække de sam-
lede udgifter, er der ikke taget højde for, at visse af udgiftsposterne kan nedbrin-
ges, fx som følge af at der er mindre behov for tjener- og opvaskepersonale, når
restauranterne udelukkende producerer take away. For
restauranter mv.
svarer vari-
able udgifter til godt 40 pct. af omsætningen, hvilket er på niveau med serviceer-
hvervene samlet set. Der er dog også variable udgifter, som ikke kan nedbringes
på kort sigt.
ERU, Alm.del - 2019-20 - Bilag 257: Genåbning fase 2 - økonomiske prioriteringer, fra finansministeren
2182701_0039.png
Side 39 af 56
Bilag 4
Kultur og fritid
Kultur- og fritidsbrancherne er direkte påvirket af tre tiltag. Offentlige kultur-,
kirke- og fritidsinstitutioner er lukket. Ligeledes skal steder, hvor der udøves
sports- og fritidsaktiviteter, herunder spillehaller, lege- og badelande, svømmehal-
ler, træningscentre, teatre og biografer, holdes lukket. Hertil kommer forbuddet
mod udendørs arrangementer med mere end 10 personer til stede. Herudover er
zoologiske haver og forlystelsesparker, som hidtil har holdt lukket, opfordret til
fortsat at holde lukket.
Restriktionernes betydning for produktionen
Brancherne
kunst, kultur og spil
samt
sport, forlystelsesparker og andre fritidsaktiviteter
dækker over en lang række forskellige erhverv. I brancherne findes blandt andet
teatre, koncerter, biblioteker, museer, kasinoer, forlystelsesparker, zoologiske ha-
ver, fitnesscentre og sportsklubber, men også lotteri og andet spil.,
jf. tabel 1.
Tabel 1
Centrale oplysninger om kultur- og fritidsbrancher
Fuldtidsbe-
skæftigede
Produktion,
mia. kr.
Anslået pro-
duktionstab,
pct.
46
11.800
2.200
13.900
1.500
8.400
1.300
8.500
1.100
13,2
1,4
10,6
7,1
75
100
0
50
Beskæftigede
Kunst, kultur og spil
- Teater, musik og kunst
- Biblioteker, museer mv., markedsmæssig
- Biblioteker, museer mv., ikke-markedsmæssig
- Lotteri og andet spil
Sport, forlystelsesparker og andre fritidsakti-
viteter
- Sport, markedsmæssig
- Sport, ikke-markedsmæssig
- Forlystelsesparker og andre fritidsaktiviteter
13.500
10.200
6.300
6.900
5.000
3.400
5,2
5,3
5,3
65
100
0
95
Produktion af film, tv og musik mv., herunder
biografer
8.800
6.200
15,0
17
Total for de viste erhverv
68.300
40.700
63,1
Anm.: Produktionstabet er målt i forhold til en situation med normal efterspørgsel. Beregningerne kan derfor ikke
1-1 oversættes til omkostningerne af tiltaget, da efterspørgslen aktuelt er nedsat på grund af befolkningens
adfærd og afbødningstiltag i andre lande. Tallene for 2016 (seneste år med detaljerede brancheoplysninger).
Kilde: Danmarks Statistik og egne beregninger.
ERU, Alm.del - 2019-20 - Bilag 257: Genåbning fase 2 - økonomiske prioriteringer, fra finansministeren
Side 40 af 56
Hertil kommer biograferne, som udgør en del af branchen
produktion af film, tv og
musik mv.
Brancherne i tabel 1 favner imidlertid for vidt i forhold til at opgøre effekten af re-
striktionerne på BNP.
Der skal blandt andet tages højde for, at en stor del af aktiviteten tilknyttet biblio-
teker, museer mv. samt sport er af ikke-markedsmæssig karakter, men i stedet er
offentlig produktion. I nationalregnskabet opgøres en del offentlig produktion ef-
ter inputmetoden. Det vil groft sagt sige, at hvis en offentlig virksomhed fortsat
udbetaler løn til medarbejdere under nedlukning, så vil produktionen i den statisti-
ske behandling været uændret. En del offentlig produktion opgøres imidlertid ef-
ter den såkaldte outputmetode, hvor der tages højde for fx bortfald af billetind-
tægter. Hvordan dette i sidste ende afbalanceres i nationalregnskabet, er endnu
ikke afklaret hos Danmarks Statistik. I dette notat lægges det til grund, at man an-
vender inputmetoden, hvorfor den offentlige produktion (de ikke-markedsmæs-
sige dele) antages uberørte af inddæmningstiltagene, hvilket vurderes at kunne un-
derestimere restriktionernes betydning for produktionen inden for kultur og fritid,
når eventuelle bortfaldne indtægter ikke medregnes.
Herudover er det kun biograferne, og ikke hele branchen
produktion af film, tv og
musik mv.,
der er underlagt en restriktion.
En lidt mere detaljeret opgørelse af erhvervene findes i statistikken for erhvervs-
beskæftigelsen. Statistikken angiver dog ikke, hvor stor en andel af aktiviteterne,
der er ikke-markedsmæssig.
Ifølge statistikken udgjorde
biblioteker
samt
museer
størstedelen af fuldtidsbeskæfti-
gelsen inden for kunst, kultur og spil,
jf. tabel 2.
Det fremgår ligeledes, at
biografer
i 2018 udgjorde knap 17 pct. af de fuldtidsbe-
skæftigede inden for produktion af film, tv og musik mv.
ERU, Alm.del - 2019-20 - Bilag 257: Genåbning fase 2 - økonomiske prioriteringer, fra finansministeren
2182701_0041.png
Side 41 af 56
Tabel 2
Fuldtidsbeskæftigelse i kultur- og fritidsbrancher, 2018
Andel af fuldtidsbeskæftigede inden for den på-
gældende branche, pct.
Kunst, kultur og spil
- Teater- og koncertvirksomhed
- Selvstændigt udøvende scenekunstnere
- Hjælpeaktiviteter i forbindelse med scenekunst
- Kunstnerisk skaben
- Drift af teater- og koncertsale, kulturhuse mv.
- Biblioteker
- Arkiver
- Museer
- Historiske monumenter og bygninger og lignende attraktioner
- Botaniske og zoologiske haver samt naturreservater
- Lotteri- og anden spillevirksomhed
100
18,9
0,7
1,3
2,2
8,5
26,4
2,1
26,3
0,9
5,3
7,5
Sport, forlystelsesparker og andre fritidsaktiviteter
- Drift af sportsanlæg
- Sportsklubber
- Fitnesscentre
- Andre sportsaktiviteter
- Forlystelsesparker o.l.
- Lystbådehavne
- Andre forlystelser og fritidsaktiviteter
100
29,1
38,5
11,0
4,4
13,6
1,2
2,3
Produktion af film, tv og musik mv.
- Biografer
100
16,9
Anm.: Erhvervsbeskæftigelsesstatistikken.
Kilde: Danmarks Statistik og egne beregninger.
For hver branche, der påvirkes af restriktioner, antages det, at produktionen følges
med fordelingen af fuldtidsbeskæftigede inden for hver underbranche. Det vil fx
sige, at når antallet af fuldtidsbeskæftigede i biografer udgør knap 17 pct. af alle
fuldtidsbeskæftigede i branchen
produktion af film, tv og musik mv.,
så lægges det til
grund, at 17 pct. af branchens samlede produktion påvirkes af tiltag.
De fleste erhverv i gruppen
teater, musik og kunst
antages helt lukket som følge af
inddæmningstiltagene. Det vil sige teater- og koncertvirksomhed, selvstændigt
udøvende scenekunstnere, hjælpeaktiviteter i forbindelse med scenekunst samt
drift af teater- og koncertsale, kulturhuse mv. Herfra skal dog modregnes fortsat
omsætning i form af indspillet musik, fx via streaming og radio. I 2017 udgjorde
ERU, Alm.del - 2019-20 - Bilag 257: Genåbning fase 2 - økonomiske prioriteringer, fra finansministeren
2182701_0042.png
Side 42 af 56
omsætningen af indspillet musik 3,3 mia. kr.
7
, hvilket svarer til 25 pct. af produkti-
onsværdien i
teater, musik og kunst i 2016.
For branchen anslås derfor et produkti-
onstab på 75 pct.
For den markedsmæssige aktivitet i biblioteker, arkiver, museer, historiske monu-
menter og bygninger og lignende attraktioner, botaniske og zoologiske haver samt
naturreservater antages fuldt bortfald af produktionen som følge af tiltagene. Der
antages kun effekt for markedsmæssig produktion. For botaniske og zoologiske
haver gælder dog, at beskæftigelsen i høj grad opretholdes som følge af fortsat
pasningsbehov for dyr og planter.
Der antages ligeledes fuldt produktionstab for markedsmæssig produktion i drift
af sportsanlæg, sportsklubber, fitnesscentre og andre sportsaktiviteter. Også forly-
stelsesparker o.l. samt andre forlystelser og fritidsaktiviteter antages lukket. Ligele-
des for biograferne.
Lystbådehavne antages at kunne opretholde aktivitetsniveauet, selv om tilhørende
fællesfaciliteter (fx bad og toiletter), som kommunen har tilsynsansvaret for, kan
være lukkede (på linje med campingpladser). Det vil potentielt gøre lystbådehav-
nene mindre attraktive, så længe denne begrænsning er aktiv. Størrelsesordenen på
produktionstabet som følge heraf vurderes dog at være stærkt begrænset, da der er
tale om en meget lille branche.
Endelig antages lotteri og andet spil at være påvirket med 50 pct.
8
Selv om den
online del af omsætningen i branchen må antages at være forholdsvist upåvirket
direkte af inddæmningstiltagende, er landbaserede kasinoer og spilleautomater
ramt via lukning af spillehaller og restauranter. Hertil kommer, at væddemål ram-
mes indirekte via aflysning af sportsbegivenheder, både nationalt og internationalt.
De anslåede produktionstab i kultur- og fritidsbrancherne fremgår af tabel 1.
Der er ikke taget højde for, at der kan forekomme substitution i
lotteri og andet spil
fra landbaserede spil og sportsvæddemål til fx online casinospil.
Omvendt kan omfanget af musikproduktion, der kan fortsætte, være overvurde-
ret, hvis salgskanalerne er begrænsede af tiltagene.
Nærmere beskrivelse af brancherne
Brancherne inden for kultur og sport samt produktion af film, tv og musik mv. er
kendetegnet ved at have mange små virksomheder relativt til andre erhverv, en
https://www.koda.dk/media/150484/dansk-musikoms%C3%A6tning-2017.pdf
Ifølge en opgørelse fra Spillemyndigheden foregik godt 5 pct. af alle indskud i 2019 via landbaserede kasinoer, mens den
tilsvarende andel for spilleautomater var godt 21 pct. Hertil kommer, at godt 34 pct. af væddemål (som udgjorde 38 pct. af
de samlede indskud) blev indgået landbaseret. Samlet giver det i omegnen af 40 pct. af samlede indskud, som foregår land-
baseret. Online kasinoer mv. antages upåvirkede. Hvis der antages 50 pct. fald også i online indgåelser af væddemål, så vur-
deres lotteri og spil at være begrænset knap 50 pct. af inddæmningstiltagene (og adfærd).
8
7
ERU, Alm.del - 2019-20 - Bilag 257: Genåbning fase 2 - økonomiske prioriteringer, fra finansministeren
2182701_0043.png
Side 43 af 56
forholdsvis stor koncentration i og omkring København og mange unge blandt de
beskæftigede.
Langt de fleste beskæftigede i kultur- og fritidsbrancherne er lønmodtagere, dog
med undtagelse af
teater, musik og kunst,
hvor knap 35 pct. i 2018 var selvstændige.
Ses der på fordelingen af antal job pr. arbejdssted ultimo november 2018 var der
især blandt
teater, musik og kunst
en stor overvægt (74 pct.) af enkeltmandsarbejds-
steder i forhold til den samlede erhvervsstruktur,
jf. figur 2.
Også blandt
forlystelses-
parker og andre fritidsaktiviteter
var der en del enkeltmandsarbejdssteder (godt 40
pct.),
jf. figur 1.
Figur 1
Fordeling af antal job pr. arbejdssted for kultur- og fritidsbrancher, 2018
Pct. af beskæftigede
80
70
60
50
40
30
20
Pct. af beskæftigede
80
70
60
50
40
30
20
10
0
1 job
2-4 jobs
5-9 jobs
10-19 jobs
20-49 jobs
50-99 jobs
Sport
Erhverv i alt
100 jobs og
derover
10
0
Teater, musik og kunst
Forlystelsesparker og andre fritidsaktiviteter
Lotteri og andet spil
Produktion af film, tv og musik mv.
Anm.: Erhvervsbeskæftigelsesstatistikken. Biblioteker, museer mv. er udeladt, da der overvejende er tale om ikke-
markedsmæssig produktion.
Kilde: Danmarks Statistik og egne beregninger.
Den geografiske fordeling af de beskæftigede i kultur- og fritidsbrancherne findes
kun for hele hovedgruppen, men viser, at knap 24 pct. er placeret i
Byen København
efterfulgt af
Østjylland
og
Københavns Omegn, jf. tabel 3.
Dermed er arbejdspladserne i
kulturerhvervene overrepræsenterede i hovedstadsområdet sammenlignet med det
generelle arbejdsmarked.
ERU, Alm.del - 2019-20 - Bilag 257: Genåbning fase 2 - økonomiske prioriteringer, fra finansministeren
2182701_0044.png
Side 44 af 56
Tabel 3
Beskæftigelse i kultur- og fritidsbrancherne og erhverv i alt på landsdele, 2018.
Andel af beskæftigede, pct.
Kultur- og fritidsbrancher
Landsdel Byen København
Landsdel Københavns omegn
Landsdel Nordsjælland
Landsdel Bornholm
Landsdel Østsjælland
Landsdel Vest- og Sydsjælland
Landsdel Fyn
Landsdel Sydjylland
Landsdel Østjylland
Landsdel Vestjylland
Landsdel Nordjylland
24
12
8
1
3
6
7
11
15
6
8
Samlede erhverv
15
9
8
1
4
10
8
12
16
7
10
Anm.: Fordelingen angiver beskæftigelsesfordelingen i hoveder som opgjort i RAS. Biograferne indgår ikke i denne
tabel.
Kilde: Danmarks Statistik og egne beregninger.
Opdelt på alder ses en høj beskæftigelsesandel af unge
under 20 år
blandt
sport
og
forlystelsesparker og andre fritidsaktiviteter
sammenlignet med fordelingen blandt de
samlede erhverv,
jf. figur 2.
Figur 2
Aldersfordeling af beskæftigede i kultur- og fritidsbrancher og erhverv i alt, 2018
Pct. af beskæftigede
100
Pct. af beskæftigede
100
80
80
60
60
40
40
20
20
0
Teater, musik og
kunst
Lotteri og andet spil
Under 20 år
Sport
20-29 år
Forlystelsesparker og Produktion af film, tv
andre fritidsaktiviteter
og musik mv.
30-59 år
60 år og derover
Erhverv i alt
0
Anm.: Gennemsnitligt antal beskæftigede over hele året for hvert erhverv fra KAS. Biblioteker, museer mv. er ude-
ladt, da der overvejende er tale om ikke-markedsmæssig produktion.
Kilde: Danmarks Statistik og egne beregninger.
ERU, Alm.del - 2019-20 - Bilag 257: Genåbning fase 2 - økonomiske prioriteringer, fra finansministeren
2182701_0045.png
Side 45 af 56
Siden starten af marts er antallet af ledige steget på tværs af kultur- og fritidsbran-
cherne. Hertil kommer ansøgninger om lønkompensation. Som andel af beskæfti-
gelsen, er den største stigning sket i
lotteri og andet spil,
hvor antallet af ledige og
lønkompenserede jobs er steget svarende til godt 30 pct. af branchens beskæfti-
gede i 2018,
jf. figur 3.
En næsten tilsvarende stigning på knap 25 pct. er sket i
sport.
På tværs af kultur- og fritidsbrancherne har stigningen i ledige været markant hø-
jere end for økonomien som helhed.
Figur 3
Stigning i tilmeldte ledige og personer på lønkompensationsordningen
Pct. af beskæftigede
35
30
25
20
15
Pct. af beskæftigede
35
30
25
20
15
10
5
0
10
5
0
Teater, musik og kunst
Lotteri og andet spil
Sport
Forlystelsesparker og
andre fritidsaktiviteter
Erhverv i alt
Anm.: Stigningen i tilmeldte ledige er opgjort for perioden 8. marts til 19. april. Grundet efterregistreringer kan
tallene ændre sig. Tilmeldte ledige er fordelt på brancher efter, hvilken branche de senest var beskæftiget i.
Antal personer på lønkompensationsordningen er opgjort til og med d. 20. april. Lønkompensationstallene
er korrigeret for, at der kan være søgt om lønkompensation for den samme person flere gange.
Beskæftigelsesoplysningerne er baseret på KAS for 2018. Biblioteker, museer mv. er udeladt, da der overve-
jende er tale om ikke-markedsmæssig produktion.
Kilde: Danmarks Statistik, STAR, Erhvervsstyrelsen, BCG og egne beregninger.
Det er overvejende
forlystelsesparker og andre fritidsaktiviteter,
som har stor sæsonvari-
ation i salget, idet knap 23 pct. af branchens salg foregår i juli,
jf. figur 4.
Til sam-
menligning er salget i de resterende brancher relativt stabilt fordelt over året.
ERU, Alm.del - 2019-20 - Bilag 257: Genåbning fase 2 - økonomiske prioriteringer, fra finansministeren
2182701_0046.png
Side 46 af 56
Figur 4
Fordeling af salg pr. måned i kultur- og fritidsbrancher, gns. 2009-2019
Pct. af årets salg
25
Pct. af årets salg
25
20
20
15
15
10
10
5
5
0
Januar
Februar
Marts
April
Maj
Sport
0
Juni
Juli
August September Oktober November December
Produktion af film, tv og musik mv.
Teater, musik og kunst
Lotteri og andet spil
Forlystelsesparker og andre fritidsaktiviteter
Anm.: Opgjort på baggrund af momsstatistikken. Biblioteker, museer mv. er udeladt, da der overvejende er tale om
ikke-markedsmæssig produktion
Kilde: Danmarks Statistik og egne beregninger.
Virksomhederne i kultur- og fritidsbrancherne er generelt lidt yngre end i andre
serviceerhverv. Således er knap 20 pct. af virksomhederne inden for
teater, musik og
kunst
samt
lotteri og andet spil
mindre end 2 år gamle, mens den tilsvarende andel for
alle servicevirksomheder er 14 pct.,
jf. tabel 4.
Inden for
produktion af film, tv og musik
mv.
ligner virksomhedernes aldersfordeling i højere grad andre serviceerhverv.
Tabel 4
Kultur- og fritidsvirksomhedernes alder
0-1 år
Pct. af virksomhederne i branchen
Teater, musik og kunst
Lotteri og andet spil
Sport
Forlystelsesparker og andre fritidsaktiviteter
Produktion af film, tv og musik mv.
Alle serviceerhverv
19
16
14
11
15
14
25
25
26
23
29
23
22
20
22
19
25
21
33
40
38
47
31
42
2-5 år
6-10 år
Over 10 år
Anm.: På baggrund af regnskabsoplysninger fra 2016. Serviceerhverv dækker over brancherne: Handel, Transport
(ekskl. luftfart og transport ad vandveje), Hoteller og restauranter, Information og kommunikation, Videnser-
vice og Rejsebureauer mv. I opgørelsen er der frasorteret fonde og foreninger, selvstændige offentlige virk-
somheder, virksomheder med negativ BVT og virksomheder med mindre end én fuldtidsbeskæftiget.
Kilde: Danmarks Statistik og egne beregninger på detaljerede virksomhedsdata.
Andelen af virksomheder inden for kultur- og fritidsbrancherne, der lukkede in-
den for et år, var i 2015 en smule lavere end for alle serviceerhverv. Virksomhe-
derne inden for
lotteri og andet spil
har dog en væsentligt højere lukkeandel på 7,3
pct. sammenlignet med 4,9 pct. for alle serviceerhverv,
jf. tabel 5.
ERU, Alm.del - 2019-20 - Bilag 257: Genåbning fase 2 - økonomiske prioriteringer, fra finansministeren
2182701_0047.png
Side 47 af 56
Tabel 5
Andel kultur- og fritidsvirksomheder som lukker inden for 12 måneder efter endt regnskab
Andel virksomheder som lukker, pct.
Teater, musik og kunst
Lotteri og andet spil
Sport
Forlystelsesparker og andre fritidsaktiviteter
Produktion af film, tv og musik mv.
Alle serviceerhverv
3,5
7,3
3,4
3,0
3,2
4,9
Anm.: På baggrund af regnskabsoplysninger fra 2015. Serviceerhverv dækker over brancherne: Handel, Transport
(ekskl. luftfart og transport ad vandveje), Hoteller og restauranter, Information og kommunikation, Videnser-
vice og Rejsebureauer mv. I opgørelsen er der frasorteret fonde og foreninger, selvstændige offentlige virk-
somheder, virksomheder med negativ BVT og virksomheder med mindre end én fuldtidsbeskæftiget.
Kilde: Danmarks Statistik og egne beregninger på detaljerede virksomhedsdata.
ERU, Alm.del - 2019-20 - Bilag 257: Genåbning fase 2 - økonomiske prioriteringer, fra finansministeren
2182701_0048.png
Side 48 af 56
Bilag 5
Hoteller mv., luftfart, rejsebureauer samt turist- og taxikørsel
Turismeerhvervene er påvirkede af skærpede rejsevejledninger og lukkede græn-
ser, som direkte begrænser rejsemulighederne. Samtidig må rejselysten inden for
landets grænser i høj grad formodes at være begrænset af lukning af restauranter,
forlystelsesparker, teatre, museer mv. samt de mere begrænsede muligheder for
shopping.
Turismen er således både ramt af restriktioner, der direkte er rettet mod turister-
hvervene og tiltag, der er rettet mod andre erhverv.
Hertil kommer, at den danske turismebranche ikke alene er påvirket af tiltag i
Danmark, men også i høj grad af rejsevejledninger mv. i de lande, hvorfra turister
i Danmark typisk kommer fra. Hvis tiltagene alene i Danmark fjernes, kan det der-
for heller ikke forventes, at aktiviteten i turismeerhvervene vil vende tilbage til
normalniveauet.
Restriktionernes betydning for produktionen
Turisterhvervene er til grundlag for beregningerne defineret som luftfart, hoteller
mv., rejsebureauer samt turist- og taxikørsel. Hoteller mv. dækker alle overnat-
ningsfaciliteter som hoteller, campingpladser og ferieboliger.
Denne opgørelse af turismeerhvervene er en forholdsvis snæver afgrænsning og
en bredere afgrænsning kunne fx omfatte kulturinstitutioner og forlystelsesparker
mv. Disse er dog i forvejen påvirket af andre tiltag,
jf. bilag 4.
Luftfart, hoteller mv., rejsebureauer samt turist- og taxikørsel beskæftiger godt
50.000 personer,
jf. tabel 1.
Turismeerhvervet har afledt betydning for fx detail-
handlen mv. og for økonomien i mange af landdistriktskommuner, herunder på
den jyske vestkyst.
ERU, Alm.del - 2019-20 - Bilag 257: Genåbning fase 2 - økonomiske prioriteringer, fra finansministeren
2182701_0049.png
Side 49 af 56
Tabel 1
Centrale oplysninger om luftfart, hoteller og rejsebureauer
Beskæftigede Fuldtidsbeskæftigede
Luftfart
Serviceydelser i
forbindelse med luftfart
Hoteller mv.
1)
Rejsebureauer
Taxikørsel
Turistkørsel
2)
I alt
4.600
7.500
20.300
6.400
7.000
4.300
50.100
4.500
6.400
12.600
4.900
5.600
3.400
37.400
Produktion
(mia. kr.)
20,7
13,8
17,5
16,8
7,4
4,5
80,7
Anslået produktionstab
(pct.)
90
90
90
90
90
90
90
Anm.: Produktionstabet er målt i forhold til en situation med normal efterspørgsel. Beregningerne kan derfor ikke
1-1 oversættes til omkostningerne af tiltaget, da efterspørgslen aktuelt er nedsat på grund af befolkningens
adfærd og afbødningstiltag i andre lande. Tallene er for 2016, som er det seneste nationalregnskabsår med
detaljerede brancheoplysninger. Beskæftigelsen stemmer overens med nationalregnskabsdefinitionen. For
taxikørsel og turistkørsel er beskæftigelse, fuldtidsbeskæftigelse og produktion fordelt ud fra deres andel
fuldtidsbeskæftigede i branchen
lokaltog, bus og taxi mv.
For serviceydelser i forbindelse med luftfart er beskæf-
tigelse, fuldtidsbeskæftigelse og produktion fordelt ud fra andelen af fuldtidsbeskæftigede i branchen
hjælpe-
virksomhed til transport.
1)
50 pct. af overnatningerne på hoteller mv. har dansk nationalitet, mens 50 pct. er udlændinge (opdelingen er
ikke værdikorrigeret). For taxikørsel er antaget samme fordeling.
2)
Turistkørsel dækker over underbranchen
Turistkørsel og anden landpassagertransport,
som omfatter charter- og
turistbusvirksomhed, lufthavnsbusser og handicapkørsel samt transport af passagerer med køretøjer, der
trækkes af mennesker eller dyr.
Kilde: Danmarks Statistik og egne beregninger.
For luftfart er det, baseret på fuldtidsbeskæftigelsen, 90 pct. af branchen, der be-
skæftiger sig med rute-, charter- og taxiflyvning. Denne del af branchens produk-
tion forudsættes at bortfalde helt i perioden, hvor tiltagene varer ved. Godstrans-
port, som omfatter den resterende tiendedel af luftfart, er ikke påvirket af tilta-
gene, og aktiviteten forudsættes her at være uændret. Den samme reduktion i pro-
duktionen lægges til grund for serviceydelser i forbindelse med luftfart.
Baseret på de seneste observationer for transaktioner med betalingskort synes ak-
tiviteten inden for hoteller samt rejsebureauer og flyselskaber at være aftaget med
op til 90 pct., siden tiltagene blev indført. At hele aktiviteten ikke bortfalder skal
ses i lyset af, at det stadig er muligt at købe en indenrigsrejse eller en rejse til et se-
nere tidspunkt, hvor coronaepidemien forventes overstået, samt at hotellerne fort-
sat har åbent. Hotellerne er imidlertid ikke alene påvirket af grænselukningen og
skærpede rejsevejledninger, men også fx forsamlingsforbuddet, der har ført til af-
lyste kulturarrangementer og afledt heraf behov for færre hotelovernatninger.
For taxikørsel lægges til grund, at 90 pct. af aktiviteten er bortfaldet. Dette skal ses
i lyset af, at biltrafikken i København er reduceret med i omegnen af 75 pct. i myl-
dretidsperioderne ifølge data fra TomTom GPS. Rutesøgninger på Apple Maps
indikerer omkring 30 pct. nedgang i mobiliteten for bilkørsel. Det vurderes dog, at
ERU, Alm.del - 2019-20 - Bilag 257: Genåbning fase 2 - økonomiske prioriteringer, fra finansministeren
2182701_0050.png
Side 50 af 56
taxibranchen er betydeligt hårdere ramt end den generelle biltrafik i lyset af de
skærpede rejsevejledninger og grænselukningen. Hertil kommer forbuddet mod
forsamlinger på over 10 personer og lukningen af spisesteder, hvilket også påvir-
ker behovet for taxikørsel.
Bustrafikken over Storebælt er faldet omtrent 95 pct. sammenlignet med samme
periode 2019. Dette skal dog ses i lyset af at bustrafikken i over Storebælt i forve-
jen lå ca. 20 pct. lavere end i 2019 i ugerne før coronaudbruddet. Den isolerede ef-
fekt fra tiltagene kan derfor groft anslås til 75 pct. Hertil kommer dog, at en del af
turistkørslen med bus foregår i de store byer og ikke nødvendigvis krydser landet.
Det gælder fx busser, der i normale tider fragter turister fra lufthavne til fx hotel-
ler. For den samlede turistkørsel anslås derfor et bortfald af produktionen på 90
pct. parallelt med det anslåede tab i de øvrige turismeerhverv.
På grund af sæsonvariationen vil tabet i turismeerhvervene målt i kroner og betyd-
ningen for den samlede økonomi være størst i sommermånederne.
En nedlukning over sommersæsonen kan imidlertid få flere danskere til at holde
sommerferie i Danmark og dermed fx erstatte nogle af de overnatninger på hotel-
ler og i ferieboliger mv., som de udenlandske turister normalt afholder.
I perioden mellem 2005 og 2012 var der nogenlunde balance mellem turistindtæg-
terne og turistudgifterne. Det vil sige, at danskerne brugte omtrent lige så mange
penge i forbindelse med turistrejser i udlandet, som udlændinge brugte i forbin-
delse med turistrejser i Danmark,
jf. figur 1.
Figur 1
Indtægter og udgifter fra turisme
Mia. kr.
70
60
50
40
30
20
10
0
2005
2006
2007
2008
2009
2010
2011
2012
2013
2014
2015
2016
2017
2018
2019
Turistudgifter
Turistindtægter
Mia. kr.
70
60
50
40
30
20
10
0
Kilde: Danmarks Statistik og egne beregninger.
I de seneste år har der imidlertid været en større stigning i turistindtægter, som
oversteg turistudgifterne med 15 mia. kr. i 2019. Forskellen betyder, at bortfald af
udenlandske turistindtægter ikke umiddelbart vil blive opvejet af et større dansk
ERU, Alm.del - 2019-20 - Bilag 257: Genåbning fase 2 - økonomiske prioriteringer, fra finansministeren
2182701_0051.png
Side 51 af 56
forbrug af turisme inden for landets grænser, hvis danske husholdninger vælger at
bruge det samme beløb herhjemme, som de ville have brugt i udlandet.
Beskrivelse af turistbranchen
Turisterhvervene er til grundlag for beregningerne defineret som hoteller mv.,
luftfart, rejsebureauer samt turist- og taxikørsel. Hoteller mv. dækker alle overnat-
ningsfaciliteter som hoteller, campingpladser og ferieboliger.
Anvendes en bredere afgrænsning, som fx omfatter restauration og attraktioner,
bliver branchens omfang noget større. En DI-analyse fra 2018 viser således, at der
i 2015 var 175.000 personer beskæftigede i brancher, der omfatter turisme i Dan-
mark.
9
En anden analyse fra 2019 baseret på turisternes forbrug fra VisitDenmark
viser, at turismeomsætningen på 128 mia. kr. lå til grund for 161.000 job i 2017.
10
I
de to nævnte analyser medtages afledt aktivitet i andre brancher, fx hvis turister
køber en is på havnen eller tanker benzin.
Turismen har andre kendetegn, der har betydning for, hvor hårdt erhvervene bli-
ver ramt. Der er et udpræget sæsonmønster, idet fx antallet af hotelovernatninger
stiger til det dobbelte i sommermånederne. Der er en geografisk dimension, da
næsten en tredjedel af beskæftigelsen i hoteller mv. og restauranter ligger i Køben-
havn by eller omegn, mens mange sommerhuse og campingpladser mv. forment-
lig i høj grad er placeret i andre dele af landet. Forholdsmæssigt mange ansatte er
unge, ufaglærte og deltidsansatte. Op mod 46 pct. af de beskæftigede i hoteller
mv. er under 30 år, hvilket er betydeligt højere end for den samlede økonomi,
hvor det kun er knap hver fjerde beskæftigede, der er under 30 år.
Ansatte i turismeerhvervene har i høj grad oplevet stigende ledighed, siden tilta-
gene mod COVID-19 blev sat i værk. For hoteller mv. og rejsebureauer gælder
det, at antallet af tilmeldte ledige og personer på lønkompensation er vokset med
næsten 30 pct. af antallet af beskæftigede i branchen. Det står i kontrast til udvik-
lingen for den samlede økonomi, hvor det er lidt flere end 6 pct. af de beskæfti-
gede, der enten er blevet ledige eller er kommet på lønkompensation,
jf. figur 2.
10
https://www.danskindustri.dk/arkiv/analyser/2018/1/beskaftigelsesanalyse-for-turisme/
https://www.visitdenmark.dk/api/drupal/sites/visitdenmark.com/files/2019-05/Turismens%20%C3%B8konomi-
ske%20betydning%20i%20Danmark%202017.pdf
9
ERU, Alm.del - 2019-20 - Bilag 257: Genåbning fase 2 - økonomiske prioriteringer, fra finansministeren
2182701_0052.png
Side 52 af 56
Figur 2
Stigning i tilmeldte ledige og personer på lønkompensationsordningen
Pct. af beskæftigede
35
30
25
20
15
10
5
0
Luftfart
Hjælpevirksomhed til Lokaltog, bus og taxi
transport
mv.
Hoteller mv.
Rejsebureauer
Hele økonomien
Pct. af beskæftigede
35
30
25
20
15
10
5
0
Anm.: Stigningen i tilmeldte ledige er opgjort for perioden 8. marts til 19. april. Grundet efterregistreringer kan
tallene ændre sig. Tilmeldte ledige er fordelt på brancher efter, hvilken branche de senest var beskæftiget i.
Antal personer på lønkompensationsordningen er opgjort til og med d. 20. april. Lønkompensationstallene
er korrigeret for, at der kan være søgt om lønkompensation for den samme person flere steder.
Beskæftigelsesoplysningerne er baseret på KAS for 2018.
Lokaltog, bus og taxi mv.
dækker over flere
underbrancher som fx rute- og skolebuskørsel, der i udgangspunktet ikke er orienteret mod transport af
turister.
Hjælpevirkomshed til transport
dækker ikke alene serviceydelser i forbindelse med luftfart, men også fx
speditører.
Kilde: Danmarks Statistik, STAR, Erhvervsstyrelsen, BCG og egne beregninger.
Hoteller mv., rejsebureauer og turistkørsel beskæftiger typisk flere fuldtidsperso-
ner pr. virksomhed, og mellem hver fjerde og hver femte virksomhed beskæftiger
mere end 10 fuldtidsbeskæftigede. Det gør sig kun gældende for 10 pct. af alle ser-
viceerhverv,
jf. tabel 2.
ERU, Alm.del - 2019-20 - Bilag 257: Genåbning fase 2 - økonomiske prioriteringer, fra finansministeren
2182701_0053.png
Side 53 af 56
Tabel 2
Hoteller og rejsebureauers mv. størrelse
Fuldtidsbeskæftigede
1-2
Pct. af virksomhederne i branchen
Hoteller mv.
Rejsebureauer mv.
Taxikørsel
Turistkørsel
1)
Alle serviceerhverv
53
47
73
47
71
27
32
22
28
20
17
16
5
20
8
4
4
0
4
2
3-9
10-49
Mindst 50
Anm.: På baggrund af regnskabsoplysninger fra 2016. Serviceerhverv dækker over brancherne: Handel, Transport
(ekskl. Luftfart og transport ad vandveje), Hoteller og restauranter, Information og kommunikation, Viden-
service og Rejsebureauer mv. I opgørelsen er der frasorteret fonde og foreninger, selvstændige offentlige
virksomheder, virksomheder med negativ BVT og virksomheder med mindre end én fuldtidsbeskæftiget.
Grundet afrunding summerer andelene ikke nødvendigvis til 100.
1)
Turistkørsel dækker over underbranchen
Turistkørsel og anden landpassagertransport,
som omfatter charter- og
turistbusvirksomhed, lufthavnsbusser og handicapkørsel samt transport af passagerer med køretøjer, der
trækkes af mennesker eller dyr.
Kilde: Danmarks Statistik og egne beregninger på detaljerede virksomhedsdata.
Virksomhederne, der beskæftiger sig med taxikørsel, er derimod typisk små virk-
somheder.
Hotellerne har generelt en større egenkapital relativt til udgifterne sammenlignet
med de øvrige serviceerhverv. Fx er egenkapitalen i hver femte virksomhed i
branchen stor nok til at ville kunne dække mere end 12 måneders udgifter. For
alle serviceerhvervene er det kun hver tiende virksomhed, hvor det er tilfældet,
jf.
tabel 3.
ERU, Alm.del - 2019-20 - Bilag 257: Genåbning fase 2 - økonomiske prioriteringer, fra finansministeren
2182701_0054.png
Side 54 af 56
Tabel 3
Antal måneder hoteller og rejsebureauers mv. egenkapital kan dække de samlede udgifter
Negativ
Egenkapital
Pct. af virksomhederne i branchen
Hoteller mv.
Rejsebureauer mv.
Taxikørsel
Turistkørsel
1)
Alle serviceerhverv
12
10
27
11
10
26
86
60
73
65
42
1
9
9
14
20
2
4
8
10
0-6
måneder
6-12
måneder
Over 12
måneder
Anm.: På baggrund af regnskabsoplysninger fra 2016. Negativ egenkapital skyldes overførte underskud fra tidligere
regnskabsår. I beregningerne er de samlede udgifter forudsat uændret. Serviceerhverv dækker over bran-
cherne: Handel, Transport (ekskl. Luftfart og transport ad vandveje), Hoteller og restauranter, Information
og kommunikation, Videnservice og Rejsebureauer mv. I opgørelsen er der frasorteret fonde og foreninger,
selvstændige offentlige virksomheder, virksomheder med negativ BVT og virksomheder med mindre end én
fuldtidsbeskæftiget. Grundet afrunding summerer andelene ikke nødvendigvis til 100.
1)
Turistkørsel dækker over underbranchen
Turistkørsel og anden landpassagertransport,
som omfatter charter- og
turistbusvirksomhed, lufthavnsbusser og handicapkørsel samt transport af passagerer med køretøjer, der
trækkes af mennesker eller dyr.
Kilde: Danmarks Statistik og egne beregninger på detaljerede virksomhedsdata.
Modsat har kun 3 pct. rejsebureauerne og 13 pct. taxivirksomheder egenkapital
nok til at dækker udgifterne i mere end et halvt år.
Hoteller mv. og virksomhederne, der beskæftiger sig med taxi- og turistkørsel, er
kendetegnet ved, at en forholdsvis stor andel af deres udgifter er faste udgifter,
jf.
tabel 4.
ERU, Alm.del - 2019-20 - Bilag 257: Genåbning fase 2 - økonomiske prioriteringer, fra finansministeren
2182701_0055.png
Side 55 af 56
Tabel 4
Hoteller og rejsebureauers mv. udgifter som andel af omsætningen.
Lønudgifter
Hoteller mv.
Rejsebureauer mv.
Taxikørsel
Turistkørsel
1)
Alle serviceerhverv
20
15
29
28
18
Variable udgifter
29
57
12
23
39
Faste udgifter
38
25
32
35
28
I alt
87
97
73
86
85
Anm.: På baggrund af regnskabsoplysninger fra 2016. Lønudgifter dækker over: lønninger og gager, pensi-
onsomkostninger og andre omkostninger til social sikring. Variable udgifter dækker over: køb af va-rer til
videresalg, køb af råvarer, hjælpematerialer og emballage, køb af energi, køb af underentre-priser og
lønarbejde, ordinære tab på debitorer, nedskrivninger af omsætningsaktiver og sekundære omkostninger.
Faste udgifter dækker over: husleje, anskaffelse af småinventar/driftsmidler med kort levetid, leje af
arbejdskraft fra andet firma, langtidsleje og operationel leasing, eksterne omkostninger i øvrigt, afskrivninger
og nedskrivninger af materielle og immaterielle anlægsaktiver, renteomkostninger o.l. Serviceerhverv dækker
over brancherne: Handel, Transport (ekskl. Luftfart og transport ad vandveje), Hoteller og restauranter,
Information og kommunikation, Videnservice og Rejsebureauer mv. I opgørelsen er der frasorteret fonde og
foreninger, selvstændige offentlige virksomheder, virksomheder med negativ BVT og virksomheder med
mindre end én fuldtidsbeskæftiget.
1)
Turistkørsel dækker over underbranchen
Turistkørsel og anden landpassagertransport,
som omfatter charter- og
turistbusvirksomhed, lufthavnsbusser og handicapkørsel samt transport af passagerer med køretøjer, der
trækkes af mennesker eller dyr.
Kilde: Danmarks Statistik og egne beregninger på detaljerede virksomhedsdata.
For rejsebureauerne er den største udgiftspost de variable udgifter. Modsat forhol-
der det sig for taxi- og turistkørsel, hvor de variable udgifter er betydeligt lavere
end for serviceerhvervene under et.
Den relativt lave egenkapital i rejsebureauerne betyder ikke nødvendigvis, at de ty-
pisk er en udsat branche med stor udskiftning i virksomhederne. I 2016 var det
1,8 pct. af rejsebureauerne, der lukkede, hvilket ca. er en tredjedel af tilbøjelighe-
den blandt serviceerhvervene under et,
jf. tabel 5.
For virksomheder, der beskæftigede sig med taxi- og turistkørsel var det op mod 4
pct. af virksomhederne, der lukkede, hvilket indikerer en relativt høj udskiftning
blandt virksomhederne i disse erhverv, sammenlignet med serviceerhvervene un-
der et.
ERU, Alm.del - 2019-20 - Bilag 257: Genåbning fase 2 - økonomiske prioriteringer, fra finansministeren
2182701_0056.png
Side 56 af 56
Tabel 5
Andelen af hoteller og rejsebureauer mv. som lukkede i løbet af 2016
Andel
Hoteller mv.
Rejsebureauer mv.
Taxikørsel
Turistkørsel
1)
Alle serviceerhverv
5,0
1,8
4,7
5,4
4,9
Anm.: Andelen er opgjort som virksomheder, der afleverede regnskab i 2015 og lukkede i løbet af 2016.
Serviceerhverv dækker over brancherne: Handel, Transport (ekskl. Luftfart og transport ad vandveje),
Hoteller og restauranter, Information og kommunikation, Videnservice og Rejsebureauer mv. I opgørelsen
er der frasorteret fonde og foreninger, selvstændige offentlige virksomheder, virksomheder med negativ
BVT og virksomheder med mindre end én fuldtidsbeskæftiget.
1)
Turistkørsel dækker over underbranchen
Turistkørsel og anden landpassagertransport,
som omfatter charter- og
turistbusvirksomhed, lufthavnsbusser og handicapkørsel samt transport af passagerer med køretøjer, der
trækkes af mennesker eller dyr.
Kilde: Danmarks Statistik og egne beregninger på detaljerede virksomhedsdata.