Børne- og Undervisningsudvalget 2019-20
BUU Alm.del Bilag 213
Offentligt
2219603_0001.png
Fleksibel tilrettelæggelse af
skoledagen
Evaluering af rammeforsøg i folkeskolen
Juni 2020
1
BUU, Alm.del - 2019-20 - Bilag 213: Orientering om offentliggørelse af rapport om evaluering af rammeforsøg med fleksibel tilrettelæggelse, fra børne- og undervisningsministeren
2219603_0002.png
Indholdsfortegnelse
1.
2.
RESUME ........................................................................................................................ 1
INDLEDNING ................................................................................................................. 3
Evalueringens undersøgelsesspørgsmål ........................................................................... 4
Metode og datagrundlag .................................................................................................... 5
Læsevejledning ................................................................................................................. 7
3.
EVALUERINGSDESIGN ................................................................................................ 9
Implementeringsevaluering ...............................................................................................10
Virkningsevaluering ..........................................................................................................10
Betydning af konteksten ...................................................................................................10
Forandringsteori ...............................................................................................................11
4.
IMPLEMENTERING AF INDSATSERNE ..................................................................... 13
Gennemførelsesgrad og motivation for deltagelse ............................................................14
Om indsatserne ................................................................................................................15
4.2.1
4.2.2
4.2.3
4.3.1
4.3.2
4.3.3
4.4.1
4.4.2
4.4.3
4.4.4
4.4.5
Indsatsernes målgrupper ...........................................................................................16
Indsatsernes faglige fokus .........................................................................................18
Indsatsernes omfang og varighed ..............................................................................19
Èn indsats til alle ........................................................................................................21
Frigivne ressourcer tilfalder klassen/årgangen ...........................................................22
Frigivne ressourcer tilfalder enkelte, udvalgte elever/klasser .....................................23
Holddeling .................................................................................................................25
Tolærerordning ..........................................................................................................27
Turbo- og talentforløb ................................................................................................29
Tematiske indsatser...................................................................................................31
Skemalægning, lærersamarbejde og tid til fælles forberedelse ..................................33
Allokering af frigivne ressourcer ........................................................................................19
Tilrettelæggelse af indsatserne .........................................................................................24
5.
VIRKNING .................................................................................................................... 37
Trin på vejen .....................................................................................................................38
5.1.1
5.1.2
5.1.3
5.1.4
5.2.1
5.2.2
Faglig støtte ...............................................................................................................38
Motivation ..................................................................................................................41
Skole-fritidsbalance ...................................................................................................44
Uddannelsesparathed................................................................................................47
Faglighed...................................................................................................................50
Trivsel ........................................................................................................................56
Elevernes udbytte .............................................................................................................49
Skolens og lærernes udbytte ............................................................................................63
6.
KONKLUSION ............................................................................................................. 68
2
BUU, Alm.del - 2019-20 - Bilag 213: Orientering om offentliggørelse af rapport om evaluering af rammeforsøg med fleksibel tilrettelæggelse, fra børne- og undervisningsministeren
2219603_0003.png
1. Resume
Rammeforsøget med mere fleksible muligheder for tilrettelæggelse af skoledagen har givet 50 sko-
ler mulighed for at fravige § 14 b (om undervisningens samlede varighed) og § 16 a (om understøt-
tende undervisning) i folkeskoleloven (før ændringerne i maj 2019). Skolerne får dermed øgede mu-
ligheder for at tilrettelægge skoledagen i overensstemmelse med lokale prioriteringer, ønsker og be-
hov med fokus på pædagogiske kvalitetsunderstøttende aktiviteter. Forsøget løber fra skoleåret
2017/18 til og med skoleåret 2019/20.
Rammeforsøget evalueres i denne rapport. Evalueringen afdækker dels forsøgets effekt på elever-
nes faglighed og trivsel og dels implementeringen af forsøget.
Evalueringen viser, at skolerne har implementeret rammeforsøget på vidt forskellige måder, og de
har dermed i høj grad udnyttet den fleksibilitet, der er indlagt i forsøget. Dog er der på nuværende
tidspunkt ikke tydelige tegn på, at forsøget har haft den effekt på elevernes faglighed og trivsel, som
var forventet.
I forhold til
implementering
af forsøget finder evalueringen at:
Alle skoler, der har ansøgt om deltagelse i forsøget, har til Epinions kendskab implementeret
forsøget. Dog er to skoler droppet ud af forsøget efter skoleåret 2017/18, mens en enkelt
skole er stoppet med forsøget efter skoleåret 2018/19.
De frigivne ressourcer er overordnet set brugt på fire forskellige typer af indsatser: tolærer-
ordning, holddeling, turboforløb (/talentforløb) og tematiske indsatser, som er karakteriseret
ved at have fokus på et bestemt tema som fx uddannelsesparathed, innovation eller teater,
fremfor en særlig form i undervisningen. 43 pct. af skolerne har brugt én indsatstype, mens
57 pct. har benyttet sig af flere typer af indsatser.
Antallet af timer, som skolerne har reduceret skoledagen med, varierer fra 0,75 til 5 timer
ugentligt.
Evalueringen af implementeringen af forsøget baseret på caseinterviews tyder på, at særligt
skemalægning og lærersamarbejde er vigtigt for at sikre en vellykket implementering af den
mere fleksible skoledag.
Med hensyn til
effekterne
af forsøget finder evalueringen at:
Ser man på tværs af datakilderne, tyder effektanalysen på, at eleverne under rammeforsø-
get har omtrent samme trivsel og faglighed som elever uden for forsøget, og at elever, læ-
rere og forældre alle er lidt gladere for skoledagen under rammeforsøget.
Resultaterne af registeranalysen viser samlet set, at der ikke er signifikante effekter af delta-
gelse i rammeforsøget på nogen af trivselsmålene eller på faglig udvikling i læse- og mate-
matikfærdigheder. Der findes dog i registeranalyserne en signifikant negativ effekt ift. læs-
ning for elever, hvis timetal er reduceret med mere end to timer pr. uge.
Generelt set peger surveys og særligt caseintervews på, at der er en positiv oplevelse af
rammeforsøgets effekter på trivsel og faglig udvikling blandt elever, lærere og forældre.
Dette skyldes måske nærmere, at disse er glade for skoledagen under rammeforsøget, end
at der faktisk er en effekt. På hvilket grundlag effekten er vurderet, er således uvist.
Confidential: Do not duplicate or distribute without written permission
Confidential: Do Do not duplicatedistribute without written permission
Confidential: not duplicate or or distribute without written permission
1
BUU, Alm.del - 2019-20 - Bilag 213: Orientering om offentliggørelse af rapport om evaluering af rammeforsøg med fleksibel tilrettelæggelse, fra børne- og undervisningsministeren
2219603_0004.png
2. Indledning
2
BUU, Alm.del - 2019-20 - Bilag 213: Orientering om offentliggørelse af rapport om evaluering af rammeforsøg med fleksibel tilrettelæggelse, fra børne- og undervisningsministeren
2219603_0005.png
2. Indledning
Over en treårig periode deltager 50 skoler fordelt på 39 kommuner i Børne- og Undervisningsmini-
steriets rammeforsøg, der giver skolerne mulighed for større fleksibilitet i tilrettelæggelse af skole-
dagen. Forsøgsskolerne har fået mulighed for at afkorte skoledagen og erstatte dele af den under-
støttende undervisning med andre typer af faglige forløb, herunder bl.a. tolærerordning, holddeling
og turbo-/talentforløb.
I forsøget, der løber fra skoleåret 2017/18 til og med skoleåret 2019/20, får skolerne mulighed for at
fravige folkeskolelovens § 14 b om undervisningens samlede varighed og § 16 a om understøttende
undervisning (jf. folkeskoleloven før maj 2019 - se også nedenfor). Skolerne har dermed fået større
frihed og fleksibilitet i forhold til at tilrettelægge skoledagen ud over de muligheder, der allerede ek-
sisterer efter folkeskolelovens § 16 a om understøttende undervisning. I praksis betyder implemen-
tering af forsøget, at man afkorter skoledagen ved at reducere antallet af understøttende undervis-
ningstimer. Ressourcerne fra disse fjernede timer skal i stedet bruges til andre kvalitetsunderstøt-
tende indsatser som fx tolærerordning i andre timer.
Det overordnede formål med forsøget er at få viden om, hvorvidt man kan tilrettelægge undervisnin-
gen på en anderledes måde med indsatser, der har til formål at gøre eleverne så dygtige som mu-
ligt. Forsøget er yderligere uddybet nederst på side 4.
Forsøget ændrer ikke i øvrigt ved det overordnede formål med folkeskolen, jf. lovens formålsbe-
stemmelse, eller med folkeskolereformens intentioner. De deltagende skoler skal fortsat leve op til
de øvrige krav i folkeskoleloven, herunder varieret undervisning med motion og bevægelse, åben
skole, lektiehjælp og faglig fordybelse mv.
Det er en præmis, at de mere fleksible muligheder bliver anvendt på kvalitet i undervisningen og
dermed til at igangsætte nye aktiviteter, der bidrager til elevernes læring.
Denne evaluering undersøger implementeringen og virkningen af rammeforsøget med særligt fokus
på betydningen af elevernes faglighed og trivsel.
Udover nærværende evalueringsrapport er der udarbejdet et digitalt inspirationshæfte i E-bogsfor-
mat. Inspirationshæftet beskriver anbefalingerne fra evalueringen samt råd til den gode planlægning
af en fleksibel skoledag. Hæftet kan findes på EMU.dk.
3
BUU, Alm.del - 2019-20 - Bilag 213: Orientering om offentliggørelse af rapport om evaluering af rammeforsøg med fleksibel tilrettelæggelse, fra børne- og undervisningsministeren
2219603_0006.png
Evalueringens undersøgelsesspørgsmål
Evalueringen af rammeforsøgets implementering skal besvare følgende spørgsmål:
1.
Hvordan er rammeforsøget blevet implementeret?
2.
Hvilke fordele og udfordringer oplever de involverede lærere, pædagogisk personale, ledere og
elever ved gennemførelsen af forsøgsindsatserne?
Med hensyn til rammeforsøgets virkning skal evalueringen besvare følgende spørgsmål:
3.
Hvilke lærings- og trivselsmæssige effekter har der samlet set været for eleverne ved at deltage
i rammeforsøget?
4.
Hvilken betydning har de specifikke indsatser i forsøgene haft for elevernes faglige udvikling og
trivsel?
5.
Er de lokalt fastsatte (af skoler/kommuner) succeskriterier for rammeforsøget opnået?
6.
Hvilke oplevede resultater har der været ved at deltage i rammeforsøget?
Udover at levere viden om forsøgets implementering og effekt vil evalueringen således også bi-
drage til skolers kommende arbejde med at planlægge en mere fleksibel tilrettelæggelse af skoleda-
gen.
4
BUU, Alm.del - 2019-20 - Bilag 213: Orientering om offentliggørelse af rapport om evaluering af rammeforsøg med fleksibel tilrettelæggelse, fra børne- og undervisningsministeren
2219603_0007.png
Metode og datagrundlag
Evalueringen bygger på en mixed methods tilgang, der benytter sig af både kvalitativt og kvantitativt
data. Nedenfor præsenteres datagrundlaget kort. En fuldstændig beskrivelse af alle datakilder, her-
under indsamling og analyse, kan findes i rapportens metodebilag.
Figur 1. Evalueringens datakilder
Effekten af rammeforsøget
undersøges vha. registerdata. Her sammenlignes resultaterne af nati-
onale tests og trivselsmålinger for elever, der har indgået i forsøget, med en kontrolgruppe af ele-
ver. Dette gøres gennem den statistiske metode
coarsened exact matching,
hvor der konstrueres
en kontrolgruppe bestående af elever, der
ikke
har deltaget i rammeforsøget, men som på så
mange relevante faktorer som muligt ligner de elever, der
har
deltaget i rammeforsøget.
For at kontrollere for uobserverede karakteristika kombineres matchingen med et såkaldt
difference
in difference
design, hvor effektmålet er forskellen mellem de to gruppers udvikling i trivsel eller fag-
lighed fra førmålingen til eftermålingen. Antagelsen bag modellen er, at de to grupper ville have ud-
viklet sig på samme måde, hvis ikke indsatsgruppen deltog i rammeforsøget. Dette beskrives nær-
mere i metodebilaget.
Registeranalysen afdækker både effekten af rammeforsøget som helhed og indsatserne enkeltvis.
Den oplevede virkning af rammeforsøget samt opnåelsen af lokalt fastsatte succeskriterier
undersøges gennem en række surveys samt kvalitative casebesøg.
5
BUU, Alm.del - 2019-20 - Bilag 213: Orientering om offentliggørelse af rapport om evaluering af rammeforsøg med fleksibel tilrettelæggelse, fra børne- og undervisningsministeren
2219603_0008.png
Der er gennemført survey med følgende respondenter (se også metodebilag for yderligere beskri-
velser):
Elever: Der er gennemført en midtvejsmåling i efteråret 2018 og en slutmåling i foråret 2019.
1.836 elever har besvaret både midtvejs- og slutmålingen, der bruges til at afdække den op-
levede virkning af forsøget
1
(det er ikke muligt at angive en nøjagtig svarprocent, da den
præcise population af elever er ukendt). Elever fra i alt 34 forskellige indsatsskoler har be-
svaret surveyen, hvorved 70 pct. af skolerne i forsøget er repræsenteret. Målt på en række
baggrundsvariable er de 35 skoler sammenlignelige med de skoler, der ikke indgår i analy-
serne (se metodebilaget for en balancetabel). Analysresultaterne argumenteres derfor at
være repræsentative for samtlige af indsatsskolerne.
Lærere: Der er gennemført en midtvejsmåling i efteråret 2018 og en slutmåling i foråret
2019. 149 lærere besvarede både midtvejs- og slutmålingen, der bruges til at afdække den
oplevede virkning af forsøget.
Skoleledere: I alt har 45 skoleledere fra de 50 deltagende skoler besvaret surveyen, som
blev gennemført i efteråret 2018. Det giver derved en svarprocent på 90 pct. For at kunne
afdække skoleledernes oplevede effekt af indsatsen er surveyen videre blevet gennemført
blandt 63 skoleledere på skoler, der ikke indgår i rammeforsøget. Disse udgør derved kon-
trolgruppen, hvilket muliggør et sammenligningsgrundlag i analyserne.
Forældre: I alt har 918 forældre til børn i forsøget besvaret surveyen. Formålet med foræld-
resurveyen er at afdække forældrenes oplevelse af, hvorvidt rammeforsøget har haft en en
effekt på deres børns faglige udvikling og generelle trivsel. For at være i stand til dette er for-
ældresurveyen blevet besvaret af i alt 520 forældre til børn, der ikke deltager i forsøget.
Disse udgør derved kontrolgruppen, hvilket muliggør et sammenligningsgrundlag i analy-
serne.
Med hensyn til elev- og lærersurvey, der er foretaget i to runder, er det dog vigtigt at påpege, at
planlægningen af evalueringen har betydet, at der ikke var mulighed for at foretage en baseline-må-
ling. Der er derfor foretaget en midtvejsmåling i november-december 2018 og slutmåling i maj-juni
2019. Begge målinger er således foretaget i rammeforsøgets år 2 med kun et halvt års mellemrum,
hvilket begrænser mulighederne for at identificere en udvikling over tid. Antallet af respondenter er
dertil højere for lærerne i slutmålingen. Derfor er der i en række af graferne for surveybesvarelser
kun vist resultatet for slutmålingen, da der ikke identificeres relevante forskelle fra midtvejs- til slut-
måling og kan opnås større datagrundlag ved at tage udgangspunkt i slutmålingen.
Derudover er der afholdt casebesøg på 13 skoler i løbet af foråret 2019 med henblik på at afdække,
hvordan de forskellige målgrupper har oplevet rammeforsøgets indsatser. Her indgår særligt føl-
gende kvalitative datakilder i virkningsevalueringen:
Fokusgruppeinterview med lærere og evt. pædagogisk personale. I alt er 12 fokusgruppein-
terviews med lærere og pædagoger blevet gennemført. Interviewene har en varighed af ca.
90 minutter.
1
Det er ikke muligt at angive en nøjagtig svarprocent, da den præcise population af elever er ukendt. Skolerne har kun
opgivet antallet af klasser, der deltager i forsøget og ikke antallet af elever. Desuden er surveybesvarelserne indhentet af
kontaktpersoner på skolerne. Epinion har således ikke kendskab til præcist hvor mange elever, der har fået muligheden
for at svare på undersøgelsen. Et forsøg på at udregne en population og dermed en svarprocent vil derfor blive meget
upræcist.
6
BUU, Alm.del - 2019-20 - Bilag 213: Orientering om offentliggørelse af rapport om evaluering af rammeforsøg med fleksibel tilrettelæggelse, fra børne- og undervisningsministeren
2219603_0009.png
Gruppeinterview med elever. I alt er 12 gruppeinterviews blevet gennemført. Interviewene
har en varighed af ca. 30-45 minutter.
Observation af undervisning. I alt er 17 undervisningssituationer blevet observeret. Observa-
tionerne har typisk en varighed af 1-2 lektioner.
Implementeringen af rammeforsøget
undersøges gennem survey med lærere, skoleledere og
skolechefer samt gennem de kvalitative casebesøg.
Den konkrete implementering af rammeforsøget, herunder antal timer, som skoledagen er forkortet,
samt tilrettelæggelsen af indsatserne, undersøges gennem følgende datakilder:
Kvantitativ indholdsanalyse af skolernes ansøgninger og indberetninger
Survey med lærere (se ovenfor)
Survey med skoleledere (se ovenfor)
Survey med skolechefer: I alt har 30 skolechefer fra de 39 kommuner besvaret surveyen,
som blev gennemført i efteråret 2018.
Dybdegående interview med skoleledere: I alt 13 skoleledere er blevet interviewet i forbin-
delse med casebesøgene. Interviewene har en varighed af ca. 45-60 minutter.
Fokusgruppeinterview med lærere og evt. pædagogisk personale. I alt er 12 fokusgruppein-
terviews med lærere og pædagoger blevet gennemført. Interviewene har en varighed af ca.
90 minutter.
Gruppeinterview med elever. I alt er 12 gruppeinterviews blevet gennemført. Interviewene
har en varighed af ca. 30-45 minutter.
De oplevede fordele og udfordringer under implementering af rammeforsøget er blevet undersøgt
gennem de kvalitative interviews med både involverede lærere, pædagogisk personale, ledere og
elever.
For samtlige dataindsamlinger gælder, at der er gjort en ihærdig indsats for at indsamle flest mulige
besvarelser. Både lærere, skoleledere og kontaktpersoner på skoler (til elevsurvey) har fået indtil
flere påmindelser (pr. mail og sommetider telefon) for at give de bedste betingelser for en høj svar-
procent.
Læsevejledning
Rapporten er inddelt i seks kapitler.
Kapitel 1
(ovenfor) indeholder et kort resumé af evalueringen
og dens resultater.
Kapitel 2
udgøres af en indledning til evalueringen og dens undersøgelses-
spørgsmål, en kort beskrivelse af metode og datagrundlag samt denne læsevejledning.
Kapitel 3
beskriver evalueringsdesignet for undersøgelsen.
Kapitel 4
præsenterer resultaterne vedrørende
implementeringen af forsøget på de deltagende skoler, herunder opmærksomhedspunkter i forbin-
delse med tilrettelæggelse af en mere fleksibel skoledag.
Kapitel 5
præsenterer resultaterne vedrø-
rende virkningen af rammeforsøget. Her rapporteres dels resultater for trin på vejen herunder faglig
støtte, motivation, skole-fritids balance og uddannelsesparathed baseret på surveydata og kvalita-
tivt data, og dels resultater for elevernes faglighed og trivsel baseret på registerdata, surveydata og
kvalitativt data.
Kapitel 6
konkluderer på samtlige resultater af evalueringen.
7
BUU, Alm.del - 2019-20 - Bilag 213: Orientering om offentliggørelse af rapport om evaluering af rammeforsøg med fleksibel tilrettelæggelse, fra børne- og undervisningsministeren
2219603_0010.png
3. Evalueringsdesign
8
BUU, Alm.del - 2019-20 - Bilag 213: Orientering om offentliggørelse af rapport om evaluering af rammeforsøg med fleksibel tilrettelæggelse, fra børne- og undervisningsministeren
2219603_0011.png
3. Evalueringsdesign
Evalueringen tager form som en virkningsevaluering, hvor vi undersøger sammenhængen mellem
implementering og virkning gennem brug af en
forandringsteori.
2
Med dette design undersøger vi
dels forsøgets effekt på elevernes faglighed og trivsel samt opnåelsen af lokale succeskriterier, dels
hvorledes forsøget er implementeret, herunder betydningen af implementeringskonteksten for for-
søgets virkning.
Nedenstående figur illustrerer sammenhængen mellem implementerings- og virkningsevalueringen.
Figuren tager udgangspunkt i, at det oprindelige input, stammende fra rammeforsøget, frigivne res-
sourcer som følge af en kortere skoledag, konverteres til en eller flere kvalitetsunderstøttende ind-
satser som eksempelvis tolærerordning, holddeling eller lignende. Disse indsatser implementeres i
en bestemt kontekst, der varierer fra skole til skole, og giver inden for denne kontekst et konkret in-
put (forskelligt fra skole til skole), nogle lokale succeskriterier og udmunder i nogle endelige effekter.
Implementeringsevalueringen beskæftiger sig i denne proces med indsatser, kontekst og input,
mens virkningsevalueringen fokuserer på de lokale succeskriterier og effekter af forsøget. Foran-
dringsteorien (se afsnit 3.4) opsummerer til gengæld hele processen.
Figur 2. Evalueringsdesign
I det følgende beskrives først operationaliseringen af implementeringsevalueringen, dvs. hvilke
faktorer og variable analysen inddrager. Herefter følger operationaliseringen af
virkningsevalueringen og dernæst konteksten. Endeligt præsenteres den fulde forandringsteori med
de forventede resultater og effekter for hver indsatstype.
2
Se mere her:
Bredgaard,
Thomas, Julia
Salado-Rasmussen og Stella Mia Sieling-Monas (2016). “Virkningsevaluering” i
T. Bredgaard, (red.)
Evaluering af offentlig politik og organisationer,
Hans Reitzels forlag; Dahler-Larsen og Krogstrup
(2009).
Nye veje i evaluering.
Viborg: Academica; Chen, Huey T. (2015).
Practical program
evaluation, Thousand Oaks.
CA: Sage, 2. edition
9
BUU, Alm.del - 2019-20 - Bilag 213: Orientering om offentliggørelse af rapport om evaluering af rammeforsøg med fleksibel tilrettelæggelse, fra børne- og undervisningsministeren
2219603_0012.png
Implementeringsevaluering
Fokus for implementeringsevalueringen er de input, som skolerne selv tilfører indsatserne. Det vil
sige, hvordan skolerne har tilrettelagt indsatserne, og hvilke ressourcer de har tilført, herunder:
Type og indhold af indsatser
Målgruppe for indsatser
Omfang og varighed af indsatser
Ressourceallokering
Undervisningen og underviserne
Skemalægning og fælles forberedelse
Herudover afdækkes gennemførelsesgraden for rammeforsøget, dvs. andelen af skoler, der blev
udtaget til forsøget, som også har gennemført forsøget. Da rammeforsøget netop tilfører fleksibilitet
og frie rammer ift. tilrettelæggelsen af skoledagen, er det i denne evaluering ikke meningsfuldt at
undersøge fideliteten
3
af implementering, idet hver skole i rammeforsøget tilrettelægger sine indsat-
ser på sin egen måde.
Virkningsevaluering
Virkningsevalueringen har til formål at undersøge, om de forventede lokale succeskriterier (trin på
vejen) og effekter af rammeforsøget er blevet realiseret. De lokale succeskriterier er identificeret
gennem en kvantitativ indholdsanalyse af de deltagende kommuners ansøgninger. Samlet set går
følgende fire succeskriterier på tværs af de deltagende skoler:
Øget faglig støtte til eleverne
Øget motivation hos eleverne
Øget personlig trivsel og balance mellem skole og fritid hos eleverne
Øget uddannelsesparathed (kun for udskolingselever)
De forventede effekter af indsatserne hos eleverne er følgende:
Øget faglighed
Øget trivsel
Betydning af konteksten
Konteksten, som indsatserne implementeres i, forventes ligeledes at kunne have betydning for ind-
satsernes effekt. Betydningen af den skolespecifikke kontekst undersøges gennem følgende fakto-
rer:
Skolens grad af beslutningskompetence ift. deltagelse i rammeforsøget
Skolens tidligere erfaring med indsatsen
3
Undersøgelse af fidelitet henviser til en undersøgelse af, om skolerne har implementeret en foreskreven indsats præcist
10
BUU, Alm.del - 2019-20 - Bilag 213: Orientering om offentliggørelse af rapport om evaluering af rammeforsøg med fleksibel tilrettelæggelse, fra børne- og undervisningsministeren
2219603_0013.png
Hvorvidt skolen tidligere har anvendt § 16 b4
Skolens størrelse
Betydningen af elevspecifikke baggrundsfaktorer undersøges ift. følgende faktorer:
Køn
Alder
Etnicitet
Socio-økonomisk baggrund (forældrenes uddannelsesniveau)
Forandringsteori
På baggrund af de deltagende kommuners ansøgninger har vi udviklet en forandringsteori, som er
præsenteret nedenfor. Det skal bemærkes, at forandringsteorien skal ses som en overordnet ideal-
model, der illustrerer skolernes forventninger til forsøget.
Forandringsteorien læses fra venstre mod højre og er udtryk for forventningerne til rammeforsøget,
som de er beskrevet i de oprindelige ansøgninger til projektet. Kolonnen yderst til venstre angiver
inputtet, altså at skolen deltager i rammeforsøget om fleksibel skoledag. Herefter følger de lokale
succeskriterier, der forventes at være trin på vejen mod de endelige effekter, nemlig øget faglighed
og trivsel.
Forandringsteorien udtrykker med andre ord de forventninger, der var til forsøgets virkning forud for
forsøgets ikrafttræden, hvorfor resultaterne af evalueringen kan afvige fra denne model.
Figur 3. Forandringsteori
5
Indsats
Input
Ny tilrette-
læggelse af
skoledagen
Skoledagen
forkortes
(mellem 1
4 timer
ugentligt)
1. Faglig støtte
Oplevelse af
hjælp og støtte i
undervisningen
Oplevelse af et
tilpasset fagligt
niveau for den
enkelte elev
Trin på vejen
2. Motivation
Varierende og
spændende under-
visning
Overskud og energi
i timerne
Oplevelse af øget
medinddragelse
Mindre fravær
3. Balance mel-
lem skole og fri-
tid
Work-life
balance
(tid til fritid)
Overskud
og tid til
lektier der-
hjemme
4. Uddannelsespara-
thed (udskolingen)
Mere afklarede om
uddannelsesvalg
Er parate / har lyst
til uddannelse
Informerede om
uddannelsesvalg
Effekter
Faglighed
Øge ele-
vernes fag-
lighed
Trivsel
Øge ele-
vernes
trivsel
Rammefor-
søg med
fleksibel
skoledag
KONTEKST
4
Hvormed reglerne om den understøttende undervisning kunne fraviges ved godkendelse af kommunalbestyrelsen og
timerne konverteres til to-lærer undervisning indtil maj 2019 (se boks på side 3). Regelændring i maj 2019 betød dog, at
kun indskolingsklasser kunne ansøge om § 16 b, mens der for de store klasser blev tilføjet § 16 d. I denne rapport henvi-
ser
”tidligere brug af
§
16 b” dog til benyttelse af paragraffen
før forsøgets start i skoleåret 2017/18, hvorfor denne regel-
ændring ikke har indflydelse på dette parameter i analysen.
5
Antallet af timer skoledagens forkortes med er baseret på skolernes ansøgninger, hvorfor tallet afviger fra de reelle tal,
der rapporteres andre steder i rapporten (0,75-5 timer).
11
BUU, Alm.del - 2019-20 - Bilag 213: Orientering om offentliggørelse af rapport om evaluering af rammeforsøg med fleksibel tilrettelæggelse, fra børne- og undervisningsministeren
2219603_0014.png
4. Implementering
af indsatserne
12
BUU, Alm.del - 2019-20 - Bilag 213: Orientering om offentliggørelse af rapport om evaluering af rammeforsøg med fleksibel tilrettelæggelse, fra børne- og undervisningsministeren
2219603_0015.png
4. Implementering af indsatserne
I dette afsnit undersøges implementeringen af indsatserne. Først præsenteres gennemførselsgra-
den og skolernes motivation for at deltage i forsøget. Herefter beskrives indsatserne, herunder også
hvordan de frigivne ressourcer er allokeret samt tilrettelæggelsen af indsatserne. Implementerings-
evalueringen bygger på surveys med skolechefer, skoleledere og lærere samt interviews med sko-
leledere, lærere og elever foretaget under de kvalitative casebesøg.
Afsnittet har til formål at besvare evalueringens undersøgelsesspørgsmål 1-2 (se afsnit 2.1).
1.
Hvordan er rammeforsøget blevet implementeret?
Evalueringen viser, at skolerne har implementeret rammeforsøget på vidt forskellige måder,
og de har dermed i høj grad udnyttet den fleksibilitet, der er indlagt i forsøget. Det varierer
på tværs af skolerne, hvor mange timer, de har forkortet skoleugen med, hvilke fag, de har
rettet aktiviteterne imod, hvordan de har allokeret de frigivne ressourcer som følge af den
forkortede skoleuge samt hvilke typer indsatser, de har valgt at bruge.
2.
Hvilke fordele og udfordringer oplever de involverede lærere, pædagogisk personale,
ledere og elever ved gennemførelsen af forsøgsindsatserne?
Lærere og pædagoger er generelt tilfredse med forsøget, og udtrykker i caseinterviewene
begejstring for den lavere elev-lærerratio, der giver mulighed for at give eleverne mere op-
mærksomhed og i højere grad differentiere undervisningen. Udfordringerne kan primært op-
stå i forbindelse med skemalægning og samarbejdet mellem lærerne, men opleves ikke hos
alle.
Lederne er ligeledes positive over for forsøget. Caseinterviewene viser tilfredse skoleledere,
der er glade for den øgede fleksibilitet i planlægningen for både lærere og elever. Udfordrin-
ger med lærersamarbejde og skemalægning kan også være udfordringer, der angår ledel-
sen, men ikke altid. Udfordringerne for lederne kan i højere grad handle om manglende en-
gagement fra lærerne
– det påpeges, at indsatserne skal drives ”nedefra” af lærerne
(ofte
ildsjæle), og ikke påduttes ovenfra, for at skabe nogle succesfulde indsatser.
Eleverne udtrykker i caseinterviewene, at de ser fordele i, at de kan lære flere elever at
kende ved fx holddeling, muligheden for at få hjælp af flere lærere og endeligt at de har kor-
tere skoledage, så de får mere fritid sammen med deres venner eller til aktiviteter og lektier.
Der kan være udfordringer knyttet til den praktiske udformning af indsatserne, fx manglende
koordination lærerne i mellem eller utilfredshed med holdopdelingen. Det overordnede ind-
tryk er dog, at fordelene er større end udfordringerne.
Evalueringen af implementeringen viser, at skolerne i høj grad har brugt rammeforsøgets beføjelser
til en fleksibel tilrettelæggelse af skoledagen og på meget forskellig vis. For det første varierer antal-
let af timer, som skolerne har reduceret skoleugen med fra 0,75 til 5 timer. 59 pct. af skolerne har
gennemsnitligt reduceret skoleugen med 2 timer eller mindre. 41 pct. har gennemsnitligt reduceret
antallet af timer med mere end 2 timer. For det andet varierer typen af indsats, som skolerne har
iværksat. Hvor nogle har anvendt én type af indsats til alle elever, har andre skoler anvendt en
endnu mere fleksibel tilgang, hvor både indsatserne og målgruppen for indsatserne er ændret lø-
bende undervejs i forsøget. I forlængelse heraf varierer for det tredje allokeringen af de frigivne res-
sourcer.
13
BUU, Alm.del - 2019-20 - Bilag 213: Orientering om offentliggørelse af rapport om evaluering af rammeforsøg med fleksibel tilrettelæggelse, fra børne- og undervisningsministeren
2219603_0016.png
I det følgende afdækkes først gennemførelsesgraden af indsatserne, dernæst beskrives indsatser-
nes indhold, ressourceallokeringen og endeligt opsamles de gode erfaringer og opmærksomheds-
punkter ved tilrettelæggelse af indsatserne.
Gennemførelsesgrad og motivation for deltagelse
Stort set alle skoler, der har ansøgt om deltagelse i forsøget, har også implementeret forsøget og er
fortsat i gang med det (skoleåret 2019/20). Ifølge indberetninger sendt fra skolerne, og
efterfølgende kontakt med skolerne, er der to skoler, der kun gennemførte forsøget i skoleåret
2017/18, mens en enkelt skole er stoppet med rammeforsøget efter skoleåret 2018/19. Der er til
Epinions kendskab ikke nogen af de skoler, der har ansøgt om deltagelse i forsøget, som ikke er
kommet i gang med det på noget tidspunkt. Dog er to af de deltagende skoler fra én kommune
under forsøgsperioden blevet slået sammen til én skole, hvorfor det endelige antal deltagende
skoler er 49.
Initiativet til at deltage i rammeforsøget kommer primært fra skoleledelsen, som også har haft høj
beslutningskompetence ift. forsøgets indhold og gennemførelse. Det fremgår af survey med
skolelederne, at det i langt de fleste tilfælde er skolen selv (enten personale, ledelse eller begge),
der har truffet beslutning om deltagelse i og udformning af forsøget. Forvaltningen har kun for 2 pct.
af skolerne truffet beslutning om at søge deltagelse i forsøget, hvor det altså ikke har været den
enkelte skole, der har truffet beslutning om deltagelse. De få skoler, hvor det ikke har været skolens
egen beslutning, hvordan forsøget skulle organiseres, har forvaltningen og skolen truffet
beslutningen i fællesskab. Således tyder det på, at skolerne i høj grad har indgået i beslutningen
om at deltage i forsøget, samt hvordan forsøget skulle udformes på deres skole.
Figur 4. Initiativ- og beslutningstagere i ansøgningsprocessen (N=45)
Initiativ til deltagelse
Beslutning om antal
afkortede timer
Beslutning om indsatstype
91%
7% 2%
98%
2%
96%
4%
Beslutning om målgruppe
93%
7%
Skolens beslutning
Fælles beslutning
Forvaltningens beslutning
Kilde:
Skoleledersurvey 2018. Spørgsmålsformulering: 1) Hvem tog initiativ til, at I skulle deltage i rammeforsøg med
mere fleksibel tilrettelæggelse af skoledagen? 2) Hvem har besluttet, hvor meget skoledagen skal afkortes under ramme-
forsøget? 3) Hvem har besluttet, hvilken type af indsatser skolen skal tilbyde under rammeforsøget? 4) Hvem har beslut-
tet, hvilke af skolens elever/klassetrin, der skal tilbydes en ekstra indsats under rammeforsøget?
Motivationen for at deltage i projektet har primært været et ønske om at skabe en kortere skoledag
med højere kvalitet for eleverne. Af de kvalitative interviews med skoleledere fremgår det, at en stor
del af skolerne ser forsøget som en god mulighed for at tilføre et kvalitetsløft samtidig med, at ele-
ver og læreres ønsker om en kortere skoledag imødekommes.
En skoleleder fortæller:
14
BUU, Alm.del - 2019-20 - Bilag 213: Orientering om offentliggørelse af rapport om evaluering af rammeforsøg med fleksibel tilrettelæggelse, fra børne- og undervisningsministeren
2219603_0017.png
Skoleleder:
Det gjorde vi, fordi vi oplevede at både lærere og elever syntes, at
det var blevet nogle lange skoledage. Lærerne pegede på, at eleverne manglede
overskud, havde koncentrationsudfald, der var øgede konflikter i klasserne, og det
var svært at lave spændende undervisning efter kl. 14. Derfor så vi rammeforsø-
get, som muligheden for at skrue noget sammen, som gav mening.
Samtidig ligger vi i et halvtungt område socialt set, og der er en del elever, som
har brug for et ekstra løft.
Om indsatserne
Forsøget har givet skolerne forholdsvis frie rammer til at planlægge, hvordan de ekstra timer fra den
afkortede skoledag bedst udnyttes på den givne skole. En kodning af skolernes indberetninger til
Epinion viser, at indsatserne fordeler sig i fire typer (se nedenstående tabel).
Flere skoler benytter sig af mere end én indsats, hvorfor tallene i tabellen summerer til mere end
100 pct. Blandt de 44 skoler, der har indsendt indberetninger til ministeriet, benytter 25 skoler sig af
mere end én indsats (57 pct.). Omvendt har 19 af skolerne blot gjort brug af én type indsats (43
pct.).
Tabel 1. Rammeforsøgets indsatstyper og fordeling heraf
Indsatstype
Beskrivelse
En eller flere klasser opdeles i mindre hold. De afkortede un-
derstøttende undervisningstimer benyttes på disse timer, så
der er en ekstra lærer til fx to eller tre klasser. Klasserne kan
således inddeles i mindre hold. Holddelingen sker fx pba. ele-
vernes faglige niveau, køn eller interesseområde.
To lærere er til stede i én klasse samtidig. Lærerne kan enten
skiftes til at føre ordet, eller der kan være en primær undervi-
ser, der fører ordet, og en sekundær, der hjælper med at
skabe ro, svare på spørgsmål o.lign. Ordningen kan fx være
med henblik på at støtte fagligt svage elever.
Tolærerordning kan også bestå af en lærer og en pædagog.
En eller flere elever fra en klasse eller en årgang udtages til
mere eller mindre intensive forløb, der er tilpasset eleven/elev-
gruppens faglige behov. Forløbene kan både være målrettede
fagligt svage eller stærke elever.
Indsatsen har til formål at understøtte elevernes udvikling in-
den for et særligt område
fx trivsel, bevægelse eller et fag-
fagligt emne. Oftest er det specifikke lærere med særlige
kundskaber inden for fagområdet, der varetager indsatsen, fx
IT-undervisere, læsevejledere eller AKT-vejledere
6
.
Antal skoler (i pct.)
50 pct.
Holddeling
55 pct.
Tolærerordning
32 pct.
Turbo- og
talentforløb
48 pct.
Tematiske indsat-
ser
Kilde:
Indberetninger fra de deltagende skoler (n=44)
6
Adfærd, Kontakt og Trivsel-vejledere
15
BUU, Alm.del - 2019-20 - Bilag 213: Orientering om offentliggørelse af rapport om evaluering af rammeforsøg med fleksibel tilrettelæggelse, fra børne- og undervisningsministeren
2219603_0018.png
Blandt de skoler, der har anvendt mere end én indsats, er det særligt holddeling og tolærerordning,
der anvendes i kombination med andre indsatser.
Tabel 2. Kombinationer af indsatser
Indsatskombination
Tolærerordning og tematisk indsats
Tolærerordning og turbo-/talentforløb
Holddeling og tolærerordning
Holddeling og tematisk indsats
Holddeling og turbo-/talentforløb
Tematisk indsats og turbo-/talentforløb
Kilde:
Indberetninger fra de deltagende skoler, der har anvendt mere end en indsats (n=25)
Procent
44 pct.
28 pct.
40 pct.
40 pct.
28 pct.
24 pct.
En mere detaljeret beskrivelse af indsatserne findes i afsnit 4.4. Inden da beskrives den mere over-
ordnede tilrettelæggelse af rammeforsøget, samt hvordan skolerne har valgt at fordele de frigivne
ressourcer.
4.2.1
Indsatsernes målgrupper
Indsatserne er oftest rettet mod mellemtrinnet (4.-6. klasse) og udskolingen (7.-9. klasse). Mellem
46-61 pct. af skolerne har valgt at rette indsatsen mod en eller flere klasser på mellemtrinnet, og
mellem 55-75 pct. af skolerne har rettet den mod en eller flere klasser i udskolingen. Mindre end en
fjerdedel af skolerne har implementeret indsatsen på en eller flere klassetrin i indskolingen. Den ne-
denstående figur viser, hvilke klassetrin, der har deltaget i indsatsen. Som det også fremgår af figu-
ren, omfatter forsøget på mange skoler flere klassetrin, hvorfor resultaterne summerer til mere end
100 pct.
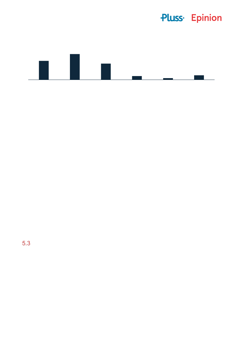
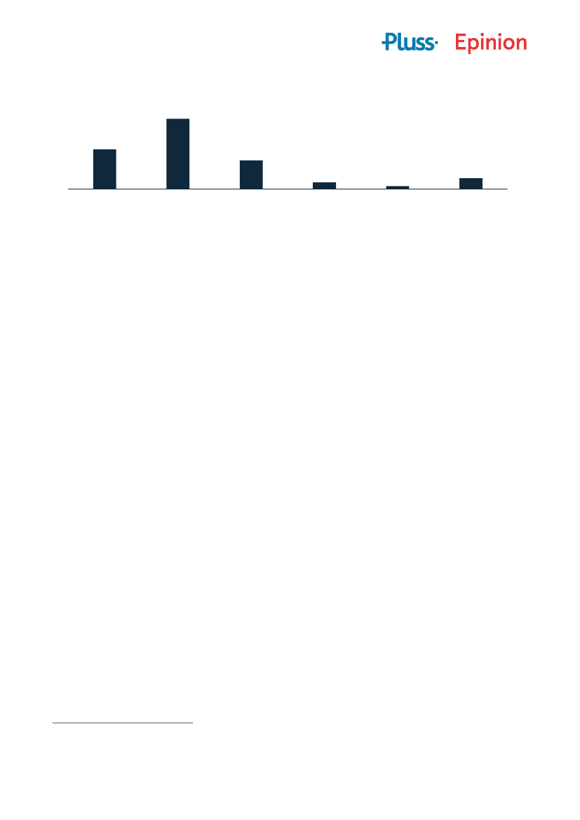
Figur 5. Hvilke klassetrin indsatserne er rettet mod (N=44)
0. klasse
1. klasse
2. klasse
3. klasse
16%
18%
20%
20%
46%
59%
4. klasse
5. klasse
6. klasse
7. klasse
8. klasse
61%
55%
70%
75%
9. klasse
Kilde:
Indberetninger fra skolerne.
Note:
Skolerne har kunne have indsatser på flere forskellige klassetrin.
På tværs af rammeforsøgets forskellige indsatser er der stor variation i, hvilke elever indsatserne er
rettet imod. På nogle skoler har fokus været at løfte en mindre, udvalgt elevgruppe, mens det på
16
BUU, Alm.del - 2019-20 - Bilag 213: Orientering om offentliggørelse af rapport om evaluering af rammeforsøg med fleksibel tilrettelæggelse, fra børne- og undervisningsministeren
2219603_0019.png
andre skoler har været centralt at nå en bred gruppe af elever fx én eller flere årgange. Prioriterin-
gen udmønter sig i en forskel på, hvordan rammeforsøgets frigivne ressourcer fordeles mellem de
elever, der er inkluderet i forsøget (se mere herom i afsnit 4.3).
På de fleste af skolerne har der dog været fokus på at rette indsatsen mod en bred gruppe af elever
fremfor den mindre, udvalgte gruppe af elever. På 73 pct. af skolerne har indsatsen været rettet
mod alle elever på samme klassetrin eller flere klassetrin. På 7 pct. af skolerne har indsatsen været
henvendt mod udvalgte elever på ét eller flere klassetrin. På de resterende 20 pct. af skolerne har
man anvendt en kombination af ovenstående, hvor en eller flere af indsatserne har været rettet mod
alle elever fra ét eller flere klassetrin, og en eller flere af de andre indsatser har været henvendt ud-
valgte elever fra ét eller flere klassetrin. Fordelingen af hvilke grupper af elever, der har deltaget i
indsatsen, er illustreret i figuren nedenfor.
Figur 6. Deltagende elevgrupper i indsatserne (N=44)
Alle elever fra ét eller flere klassetrin
73%
Udvalgte elever fra ét eller flere klassetrin
7%
Alle elever fra ét eller flere klassetrin og udvalgte elever
fra et eller flere klassetrin
20%
Kilde:
Indberetninger fra skolerne.
Ifølge skolelederne er det på lidt over halvdelen af skolerne alle eleverne i klassen, der deltager i
indsatsen, og således indgår i det særlige undervisningsforløb i forbindelse hermed. På de skoler,
hvor ikke alle klassens elever deltager, har de resterende elever enten almindelig undervisning eller
undervisning på særlige hold, hvor der laves indsatser, som ikke er en del af rammeforsøget. Såle-
des har eleverne, der ikke er en del af rammeforsøget, almindelig undervisning på 40 pct. af sko-
lerne, mens de på 13 pct. af skolerne har undervisning på særlige hold. Ingen af skolelederne angi-
ver desuden, at de resterende elever har fri, mens indsatsen rettes mod bestemte elever.
Figur 7: Aktiviteter for de elever, der ikke indgår i den særlige undervisning knyttet til forsøget (N=45)
Alle elever deltager
Har almindelig undervisning
Har undervisning på særlige hold, hvor der laves indsatser
som ikke er en del af rammeforsøget
Har fri
Ved ikke
0%
0%
13%
40%
53%
Kilde:
Skoleledersurvey 2018. Spørgsmålsformulering: Hvad laver elever, som ikke er med i en af indsatserne i ramme-
forsøget, men går i klasse med eller på klassetrin, hvor andre elever deltager i forsøget?
17
BUU, Alm.del - 2019-20 - Bilag 213: Orientering om offentliggørelse af rapport om evaluering af rammeforsøg med fleksibel tilrettelæggelse, fra børne- og undervisningsministeren
2219603_0020.png
4.2.2
Indsatsernes faglige fokus
Når det kommer til fag-fokus, er indsatserne oftest rettet mod fagene dansk og matematik. Engelsk
er det tredje mest hyppige fag, som indsatserne er rettet mod. Det er også værd at bemærke, at
indsatsen sammenlagt er blevet brugt i naturvidenskabelige fag og natur/teknik på 20 pct. af sko-
lerne, og mod kreative fag, såsom musik og billedkunst, på 19 pct. af skolerne. Andet-kategorien
indeholder bl.a. svømning, FabLab
7
og læsebånd. Fordelingen af, hvilke fag indsatsen er rettet
mod, fremgår af figuren nedenfor.
Figur 8. Fag, indsatserne rette sig mod (N=219)
Matematik
Dansk
59%
58%
19%
Kreative fag
Engelsk
Andre naturvidenskabelige fag
Aktiviteter rettet mod elevernes trivsel
Idræt
Samfundsvidenskabelige fag
Natur/teknik
Aktiviteter rettet mod et tværfagligt/overordnet tema
Tysk
Aktiviteter rettet mod at styrke sociale kompetencer
Andet
Ved ikke
4%
14%
12%
10%
10%
8%
8%
7%
3%
2%
14%
Kilde:
Lærersurvey 2018. Spørgsmålsformulering: Retter indsatsen sig mod et eller flere bestemte fag?
Note:
Lærerne
har kunnet angive flere forskellige kategorier. Kategorien
Kreative fag
indeholder fagene
musik, billedkunst, madkundskab
og
håndværk og design.
Kategorien
Andre naturvidenskabelige fag
indeholder fagene
biologi, fysik/kemi
og
geografi.
Ka-
tegorien
Samfundsvidenskabelige fag
indeholder fagene
historie, kristendomskundskab
og
samfundsfag.
På langt de fleste skoler er det lærerne, der varetager undervisningen i indsatsen. Nedenstående
figur viser, at det i langt størstedelen af tilfældene er en lærer, der varetager undervisningen i ind-
satsen. Pædagoger har varetaget undervisningen i indsatsen på 18 pct. af skolerne. Det er særligt i
indskolingsklasserne, der benyttes pædagoger til eksempelvis at være den anden voksne i en tolæ-
rerordning. Eksterne samarbejdspartnere er fx Zoologisk Have, virksomheder eller andre uddannel-
sesinstitutioner fx gymnasier. Disse inddrages på forskellig vis i de lokale forløb, fx et turboforløb,
hvor udfordrede elever tages med i Zoologisk Have og bliver undervist om dyrene af en dyrepasser,
og derefter skal skrive en stil om et dyr. Et andet eksempel er et talentforløb, hvor fagligt stærke
elever indgår i projektarbejde med gymnasieelever. Fordelingen af, hvem der har varetaget under-
visningen, er illustreret i figuren nedenfor.
Fablab er en forkortelse for FabrikationsLaboratorium, hvor der kan fremstilles næsten alt ved brug af teknologier som fx
3D-printere. Undervisningen ifm. laboratoriet omhandler i høj grad designprocesser, innovation og brug af digitale teknolo-
gier.
7
18
BUU, Alm.del - 2019-20 - Bilag 213: Orientering om offentliggørelse af rapport om evaluering af rammeforsøg med fleksibel tilrettelæggelse, fra børne- og undervisningsministeren
2219603_0021.png
Figur 9. Hvem varetager undervisningen i indsatsen? (N=216)
Lærere
Pædagoger
Eksterne
samarbejdspartnere
Andre
6%
3%
18%
98%
Kilde:
Lærersurvey 2018. Spørgsmålsformulering: Hvem varetager undervisningen i indsatsen?
Note:
Lærerne har kunnet angive flere forskellige kategorier.
Der er forskel på, om skolerne har enkelte nøglepersoner eller flere forskellige undervisere tilknyttet
indsatserne. På nogle skoler har man prioriteret fagfagligheden hos underviserne, mens det på an-
dre skoler har haft større betydning at sikre en tæt relation mellem underviser og elever.
4.2.3
Indsatsernes omfang og varighed
Langt de fleste indsatser forløber over hele skoleåret 2018/19, og det er således kun få skoler, hvor
indsatserne er mere afgrænsede rent tidsmæssigt. 88 pct. af lærerne på forsøgsskolerne giver ud-
tryk for, at indsatsen/indsatserne strækker sig over hele skoleåret, mens kun 2 pct. angiver 4-6 må-
neder, og ingen angiver 1-3 måneder. 5 pct. angiver en anden tidsperiode, hvoraf de fleste giver ud-
tryk for, at deres indsats kører i udvalgte perioder i løbet af skoleåret fx i forbindelse med turbofor-
løb.
Figur 10. Varigheden af indsatserne (N=250)
Hele skoleåret
4-6 måneder
1-3 måneder
Udvalgte perioder
Andet
2%
0%
3%
2%
5%
88%
Ved ikke
Kilde:
Lærersurvey 2018. Spørgsmålsformulering: Hvor lang tid strækker indsatsen sig over i skoleåret 2018/19?
Allokering af frigivne ressourcer
Ved at afkorte skoledagen kan skolerne få frigivet ressourcer, som givet forsøgets rammer skal
blive på skolerne og én til én anvendes på aktiviteter, der bidrager til øget kvalitet og elevernes læ-
ring. I forsøget er der dog lagt op til, at den nøjagtige anvendelse af de frigivne ressourcer besluttes
på den enkelte skole, i det der skulle være tale om en mulighed for fleksibel tilrettelæggelse. Det er
derfor forskelligt, hvordan skolerne i forsøget har valgt at omfordele ressourcerne, selvom outputtet
i alle tilfælde har været en eller flere kvalitetsunderstøttende undervisningsindsatser.
19
BUU, Alm.del - 2019-20 - Bilag 213: Orientering om offentliggørelse af rapport om evaluering af rammeforsøg med fleksibel tilrettelæggelse, fra børne- og undervisningsministeren
2219603_0022.png
Baseret på de kvalitative casestudier kan der identificeres tre modeller for skolernes anvendelse af
de frigivne ressourcer: 1) Én indsats til alle; 2) brugen af frigivne ressourcer tilfalder klassen/årgan-
gen og kan variere på tværs heraf og 3) frigivne ressourcer tilfalder enkelte, udvalgte elever/klasser
(se nedenstående tabel).
Modellerne varierer i forhold til målgruppen for indsatsen
om de frigivne ressourcer anvendes på
alle elever eller blot udvalgte årgange, enkelte klasser eller enkelte elever. Lærernes grad af ”meto-
defrihed” og medbestemmelse ift. type af indsats varierer på tværs af de tre modeller –
her er lærer-
nes medbestemmelse størst, når de frigivne ressourcer tilfalder én klasse eller årgang. De tre mo-
deller sammenfattes i modellen nedenfor.
Tabel 3. Modeller for anvendelse af frigivne ressourcer
Én indsats til alle
(3 caseskoler)
Frigivne ressourcer tilfal-
der klassen/årgangen
(6 caseskoler)
Ressourcerne tildeles alle
elever, der får forkortet sko-
ledagen, men i forskellig
form, da ressourcerne bru-
ges mere fleksibelt med
forskellige indsatser til for-
skellige klasser/årgange.
Frigivne ressourcer til-
falder enkelte, ud-
valgte elever/klasser
(4 caseskoler)
Ressourcerne tildeles til
enkelte elever eller klas-
ser, der vurderes at
have særligt behov for
det. Det er således ikke
alle elever, der får for-
kortet skoledagen, som
modtager en indsats.
Alle elever på skolen/år-
gangen
Fordeling af res-
sourcer
Ressourcerne tildeles
alle elever, der får
forkortet skoledagen,
i samme form. Forde-
lingen foregår såle-
des 1:1.
Hvem får en kor-
tere skoledag
Alle elever på sko-
len/årgangen
Alle elever på skolen/år-
gangen
Hvem bruges de
frigivne ressour-
cer på?
Hvem beslutter ty-
pisk, hvordan res-
sourcerne bru-
ges?
Får alle elever den
samme indsats?
Typiske indsatser
Alle elever, der har
fået en kortere skole-
dag
Ledelsen
Alle elever, der har fået en
kortere skoledag
Udvalgte elever eller
klasser
Lærerne (fx årgangstea-
met)
Ledelse, det pædagogi-
ske læringscenter (PLC)
eller vejledere
Ja
Nej
Nej
Holddeling og tolæ-
rerordning
Tolærerordning og hold-
deling
Tematiske indsatser og
ressourcelærere, der kan
bruges i klassen
Værktøjskasse (Lærerne
kan frit vælge mellem alle
typer af indsatser)
Værktøjskasse (alle
indsatser til rådighed)
Turbo-/talentforløb for
udvalgte elever
20
BUU, Alm.del - 2019-20 - Bilag 213: Orientering om offentliggørelse af rapport om evaluering af rammeforsøg med fleksibel tilrettelæggelse, fra børne- og undervisningsministeren
2219603_0023.png
Erfaringerne med de tre modeller er forskellige, dog er der samlet set gode erfaringer med en fleksi-
bel anvendelse af ressourcerne, da det dels sikrer medejerskab til lærerne, dels sikrer, at indsat-
serne målrettes elevernes behov. Omvendt bliver muligheden for systematisk at afprøve én indsats
mindre.
Nedenfor beskrives de tre modeller enkeltvis.
4.3.1
Èn indsats til alle
På tre af caseskolerne anvendes en 1:1 model, hvor alle elever, der har fået en reduceret skoledag,
modtager den samme indsats. På den ene skole har 7. og 8. årgang indgået i forsøget, og her er de
frigivne ressourcer anvendt til tolærerordning i dansk og matematik. Her har alle klasser på de to
årgange modtaget to timer med tolærerordning.
På de to andre skoler er der anvendt holddeling. På den ene skole er det mellemtrinet og udskolin-
gen, der indgår i forsøget. Her har klasserne fået reduceret skoleugen med to timer og har til gen-
gæld fået tre holddelingstimer til dansk og tre holddelingstimer til matematik. På den anden skole,
som er en udskolingsskole, har alle klasser fået reduceret skoleugen med fem timer og modtager al
dansk og matematikundervisning som holddeling, dvs. her foregår ingen klasseundervisning i dansk
eller matematik.
Caseeksempel: Holddeling for alle klasser i dansk og matematik i sammenlagt seks
timer om ugen
Alle klasser på mellemtrinet og i udskolingen har fået reduceret deres skoledag med to timer
om ugen. De frigivne ressourcer anvendes til henholdsvis tre timers holddeling i dansk og ma-
tematik.
På eksempelvis 6. årgang er der tre klasser, som opdeles i fire hold. Udover klassernes egne
lærere tilkobles en faglærer fra 5. årgang fast til holddelingen. Inddelingen af hold kan variere
fra gang til gang, dvs. der er ikke tale om faste hold.
Den enkelte lærers forberedelsespulje er den samme.
”Vores
model med at omlægge ressourcen 1:1, hvor vi i vores tankegang tænker det år-
gangsbestemt, er den helt rigtige måde at få ressourcerne i spil. Så en time mindre i hver
klasse giver 3 ekstra gange på årgangen. Og det giver noget tyngde, at de har tre ugent-
lige timer, de kan bruge i de her forløb. Det er lige pludselig tre moduler om ugen”
(skole-
leder)
Erfaringerne med 1:1-modellen er generelt, at ordningen synes at fungere godt. De kritiske overve-
jelser om modellen handler primært om, at det sommetider kunne være en fordel at arbejde mere
fleksibelt med ressourcerne,
så man ikke er ”låst fast”
på en bestemt indsats, hvis en anden brug af
ressourcerne senere bliver mere relevant. Desuden fremhæves det på en af skolerne, der benytter
sig af denne model, at forsøget indledningsvist er blevet iværksat meget topstyret, hvor brugen af
holddeling har været besluttet fra ledelsens side. Efterfølgende er man på skolen, med en ny le-
delse, blevet mere opmærksomme på, at denne fremgangsmåde ikke har været hensigtsmæssig i
forhold til at give lærerne ejerskab over indsatserne og udnytte deres tætte kendskab til elevernes
behov.
21
BUU, Alm.del - 2019-20 - Bilag 213: Orientering om offentliggørelse af rapport om evaluering af rammeforsøg med fleksibel tilrettelæggelse, fra børne- og undervisningsministeren
2219603_0024.png
Skoleleder:
Det skal komme fra lærerne. Det er derfor, at det har været et læn-
gere og mere sejt træk at få medejerskab over det her med holddeling. Det er jo
kommet oppefra. (…) Holddeling skal blive en del af en værktøjskasse, som vi
kan blive inspireret af. Rammeforsøget har skubbet på for, at vi er blevet mere in-
novative, men det kunne man også være blevet på mange andre måder.
Fordelen ved, at den samme indsats udrulles på tværs af klassen er, at det giver mulighed for sy-
stematisk at afprøve indsatsen, evaluere den og justere herefter. De tre skoleledere giver i inter-
viewene udtryk for, at rammeforsøget således har givet dem mulighed for på systematisk vis at ar-
bejde på en ny måde på skolen.
4.3.2
Frigivne ressourcer tilfalder klassen/årgangen
På seks af de 13 caseskoler tilfalder de frigivne ressourcer enten klasser eller årgangen. Her får
alle elever i forsøget en kortere skoledag, og de frigivne ressourcer anvendes i klasserne eller på
årgangen, men ikke nødvendigvis alle elever oplever at få en indsats. Indsatserne her er typisk me-
get forskelligartede fra skole til skole, og meget karakteristisk for denne model er, at alle skolerne
benytter sig af flere end én type indsatser.
På tre af skolerne tildeles de frigivne ressourcer de enkelte klasser, hvor det så er klassens lærere,
der bestemmer, hvordan ressourcerne skal anvendes
typisk i samarbejde med årgangsteamet.
Her giver den fleksible organisering mulighed for, at indsatserne løbende kan tilpasses undervis-
ningsforløbenes karakter og formål samt elevernes behov. Det betyder også, at indsatsen kan tage
forskellige former på tværs af enkelte klasser på samme skole. En skoleleder fortæller i den forbin-
delse:
Skoleleder:
Nogle lærerteams har valgt at sige, at her har vi to klasser, hvor vi
holddeler
hvor vi bruger vores to lærere til holddeling. Andre steder siger man,
at det er vigtigt at være to mand i klassen. Andre steder bruger man det til samta-
ler med eleverne eller konflikthåndtering.
(…) Den lærerkraft,
som er sparet væk, den lærerkraft får man på et andet tids-
punkt i klassen, men ikke nødvendigvis samme dag (...) De timer, der er sparet op
i 4.b, bliver brugt i 4.b. - måske i samarbejde med 4.a.
Citatet illustrerer en generel pointe om, at lærerne under denne type af ressourcefordeling har mu-
lighed for at pulje de frigivne ressourcer, og på den måde forbruge dem på et senere tidspunkt,
uden at ressourcerne går tabt eller tilfalder andre klasser eller elever.
På samme vis har den ene af de tre skoler
valgt at ’mærke’
lærerressourcerne som grønne og røde.
De røde er ’låst’ som
rammeforsøgsressourcer og kan dermed ikke bruges til intern vikardækning,
som er en anden post, der kan kræve lærerressourcer, hvis ikke den dækkes af eksterne vikarer.
Det indskrænker fleksibiliteten i ressourceallokeringen men sikrer samtidig, at de frigivne ressourcer
faktisk bruges som den tiltænkte ekstra lærerressource.
22
BUU, Alm.del - 2019-20 - Bilag 213: Orientering om offentliggørelse af rapport om evaluering af rammeforsøg med fleksibel tilrettelæggelse, fra børne- og undervisningsministeren
2219603_0025.png
På to andre skoler har man valgt at anvende de frigivne ressourcer på såkaldte ressourcelærere.
Her tildeles lærere med en særlig faglig viden, fx læsevejledere eller naturvidenskabslærere, de fri-
givne ressourcer, således at lærerne kan indgå som en ekstra ekspertise i kortere forløb i de en-
kelte klasser. Her afsættes typisk undervisningsblokke med de forskellige klasser, der er inkluderet i
rammeforsøget. Ressourcelærerne er på begge skoler koblet med tolærerordning, idet klassens
egen lærer også er til stede under forløbet.
Caseeksempel: Ressourcelærere på tværs af årgange
På en skole er dele af de frigivne ressourcer anvendt på to ressourcelærere i teknologiforstå-
else og fablab. Ressourcelærerne har hver uge fået frigivet fire timer fra 8-12, hvor de kan in-
vitere klasser ind på skift. De har både tid til forberedelse og tid sammen med klassen inden
for de fire timer.
Klasserne har typisk haft fablab-forløb
8
over tre-fire gange med de to lærere.
På den sidste skole anvendes de frigivne ressourcer bredt og på tværs af årgange. Det er en min-
dre skole, og man har derfor valgt at lave valgfag på tværs af klasser i både indskoling og på mel-
lemtrinet. De frigivne ressourcer anvendes i den forbindelse til ekstra lærer- og pædagogressourcer
i valgfagsundervisningen, som dækker over både teater, hjemkundskab og håndværk og design.
4.3.3
Frigivne ressourcer tilfalder enkelte, udvalgte elever/klasser
På fire af skolerne tilfalder de frigivne ressourcer enkelte udvalgte elever eller klasser. Her rettes
ressourcerne mod særlige grupper af elever fx fagligt svage, fagligt stærke, ordblinde elever el.lign.,
eller mod klasser med udfordringer. I denne model får alle elever således en kortere skoledag,
mens det kun er en mindre gruppe af elever, der samtidig får en ekstra indsats i undervisningen fx
gennem turboforløb.
På tre af skolerne anvendes udelukkende turbo-/talentforløb, hvor ressourcerne anvendes til at til-
godese udvalgte elever. Der er særligt tale om forløb rettet mod elever, der har udfordringer inden
for et givent fag eller emne, og som har brug for et løft eller elever, der savner udfordring i den al-
mindelige undervisning. Emnerne er dog typisk brede og kan gå fra at være fagfaglige til mere krea-
tive og praktiske, hvilket betyder, at en stor del af skolernes elever oplever at komme på et forløb.
På den fjerde og sidste skole indgår de frigivne ressourcer i en fælles
”værktøjskasse” indehol-
dende mange forskellige indsatser, som på baggrund af data fordeles ud til de elever eller klasser,
som har behov for det. Indsatserne i værktøjskassen dækker over læsetræning (fx VAKS
9
), turbo-
matematik, lektiecafe for udvalgte elever, tolærerordning og holddeling (med en ekstra lærer på år-
gangen), timer til trivsels- og inklusionsvejledere samt læsevejleder. Helt konkret betyder det, at
imens en klasse i en periode kan have tolærerordning, er der en anden årgang, der har holddeling,
samt udvalgte elever på tværs af årgange, der modtager forskellige individuelle indsatser. Formålet
Fablab er en forkortelse for FabrikationsLaboratorium, hvor der kan fremstilles næsten alt ved brug af teknologier som fx
3D-printere. Undervisningen ifm. laboratoriet omhandler i høj grad designprocesser, innovation og brug af digitale teknolo-
gier.
9
Systematisk specialundervisningsmateriale til ordblinde børn.
8
23
BUU, Alm.del - 2019-20 - Bilag 213: Orientering om offentliggørelse af rapport om evaluering af rammeforsøg med fleksibel tilrettelæggelse, fra børne- og undervisningsministeren
2219603_0026.png
med denne måde at forvalte de frigivne ressourcer på er primært at ”løfte bunden”. Skolelederen
uddyber:
Skoleleder:
Alle har fået en kortere skoledag, men det er ikke alle, der får noget
igen. Det er en omprioritering af ressourcer over hele linjen. Vi får løftet bunden.
Det går ud på at flytte nogen fra 00 til 4. Nogle forældre er bekymrede, men så
kan jeg lægge data foran dem og sige, at deres børn jo lærer nok.
Caseeksempel: Fælles pulje til forskellige udvalgte indsatser (værktøjskassen)
På en skole indgår de frigivne midler i en fælles pulje, som bestyres af PLC. Ressourcerne til
puljen kommer fra 0.-2. klasse, som alle har fået fem lektioner mindre om ugen.
Det er fra ledelsens side ikke bestemt, hvem eller hvordan ressourcerne skal anvendes
de
indgår i
en ”værktøjskasse”, hvorudfra PLC i samarbejde med lærerne kan beslutte, hvilken
indsats den enkelte elev eller klasse skal have.
Eleverne eller klasserne udvælges på baggrund af data, mere specifikt de obligatoriske og fri-
villige nationale test. Fokus er på elevernes eller klassernes progression
eller mangel på
samme. Det kan eksempelvis være en 7. klasse, hvor det faglige niveau og progression er
meget lavt, hvorfor klassen i en periode har tolærerordning, eller det kan være en ekstra ind-
sats til ordblinde elever ifm. eksamen.
”Det er en flerstrenget strategi. Jeg har sørget for,
at vi har medarbejdere, der arbejder struk-
tureret og målrettet med børnene hele tiden. Det er datadrevet og systematiseret. Det giver et
overblik over præcis hvilke elever, vi skal sætte ind overfor. Vi bruger elevernes data. Nu kan
lærerne meget bedre tolke på den data, der ligger på eleverne. Lærerne tænker meget mere
over den data, vi har”
(skoleleder).
Tilrettelæggelse af indsatserne
I dette afsnit beskrives tilrettelæggelsen af de fire typer indsatser. Da dette er en evaluering af ram-
meforsøget, præsenteres her eksempler på muligheder inden for forsøget, og ikke jævnfør den el-
lers gældende lovgivning på området. Fælles for alle indsatser er, at de kræver øget samarbejde
mellem lærerne
nogle gange på tværs af klasser og årgange. Skolernes erfaringer hermed beskri-
ves i afsnit 5.3. Det bør desuden fremhæves, at evalueringen også finder, at skolernes brug af de
følgende indsatstyper ikke nødvendigvis har været konsekvent gennem hele forsøgsperioden. Flere
skoler rapporterer, at de løbende har måtte justere deres indsatser eller har afprøvet forskellige mo-
deller undervejs i forsøget. Det er således ikke altid dén indsats, skolen har beskrevet i sin ansøg-
ning og startet forsøget med, som nødvendigvis har været gældende i hele forsøgsperioden.
24
BUU, Alm.del - 2019-20 - Bilag 213: Orientering om offentliggørelse af rapport om evaluering af rammeforsøg med fleksibel tilrettelæggelse, fra børne- og undervisningsministeren
2219603_0027.png
4.4.1
Holddeling
Holddeling indebærer, at en eller flere klasser opdeles i mindre hold. De afkortede UU-timer benyt-
tes på disse holdtimer, så der er en ekstra lærer til fx to eller tre klasser. Klasserne kan således ind-
deles i mindre hold. Holddelingen sker fx på baggrund af elevernes faglige niveau, køn eller interes-
seområde.
I alt 50 pct. af skolerne i forsøget har valgt at allokere ressourcer fra rammeforsøget til holddeling.
Indsatsen forudsætter, at der kobles ekstra lærerressourcer til den enkelte klasse eller årgang.
Opdelingen af elever i hold sker typisk ud fra forskellige kriterier, som varierer løbende. Holdene vil
ofte være faste i forbindelse med et forløb, hvorefter der vil dannes nye hold til det næste forløb,
men holdene kan også skifte oftere alt afhængig af lærernes planlægning. De fem caseskoler, der
benytter sig af holddelinger, fortæller, at eleverne inddeles i forskellige hold alt efter de faglige, pæ-
dagogiske og/eller didaktiske mål med undervisningen. I den ene time kan det være niveaudeling, i
en anden time kan holddelingen ske ud fra elevernes kreative eller innovative kompetencer, mens
det i et tredje tilfælde kan være ud fra elevernes køn.
Ifølge caseskolerne betyder den varierende holddeling, at eleverne oplever, at de har forskellige
kompetencer, og at der derfor heller ikke er tale om en opdeling i A og B hold. En skoleleder fortæl-
ler i den forbindelse:
Skoleleder:
Vi har også arbejdet med et bredt talentbegreb. Det her brede talent-
forløb og give flere børn en oplevelse af at lykkes og mestre noget ind i en kon-
tekst. Det giver de skiftende hold også, så vi ikke får placeret nogle børn på
”bund”-holdet.
Så vi giver børn tryghed og tillid til egen læring og være en del af
en skoledag.
Det betyder ikke, at niveauopdeling ikke forekommer, og at den ikke italesættes. Eleverne ved godt,
hvornår de opdeles efter fagligt niveau, men flere af de interviewede elever påpeger, at den niveau-
opdelte undervisning opleves positivt, da de oplever at få en undervisning, som passer til dem. En
elev fra 8. klasse fortæller:
Interviewer:
Tænk på holddeling; hvis en anden skole vil gøre det samme, hvad
vil I så anbefale den skole?
Elev:
Inddel efter niveau! Fx i matematik er vi delt på niveau. Det fungerer rigtig
godt, at dem, der har brug for forklaring, de kan få det. Samtidig kan dem, der
ikke har brug for lang forklaring, slippe for det.
Fælles undervisning i form af holddeling kræver også mulighed for fælles forberedelse for lærerne.
Dette har i de kvalitative casebesøg vist sig særligt at være en udfordring der, hvor der indgår fag-
lærere fra en anden årgang i undervisningsteamet, idet fælles forberedelsestid oftest er tilrettelagt
med udgangspunkt i de enkelte årgange. På én skole har man løst udfordringen ved at ændre på
mødefrekvensen for årgangsteamet. Således mødes lærerne tre uger i streg med deres årgangs-
team, og den fjerde uge er fri til at mødes med holddelingslærerne.
25
BUU, Alm.del - 2019-20 - Bilag 213: Orientering om offentliggørelse af rapport om evaluering af rammeforsøg med fleksibel tilrettelæggelse, fra børne- og undervisningsministeren
2219603_0028.png
Elevernes relationer til lærerne er ligeledes vigtigt at indtænke i holddelingen. Her har skolerne dels
gode erfaringer med at tilknytte den samme ekstralærer i holddelingen, dels med at undtage enkelte
elever, der trives mindre godt i meget skiftende og dynamiske rammer, fra holddelingen. For disse
elever kan det være nødvendigt at holde dem i samme klasselokale, som de er vant til, eller sam-
men med en lærer, de har god relation til, hvis der er tale om en meget relationsafhængig elev. Det
er således vigtigt fortsat at holde den enkelte elev for øje, hvis der arbejdes med sådanne skiftende
rammer, som holddeling ofte vil være.
På en skole, hvor der arbejdes med holddeling i mange timer, udtrykker en enkelt lærer også fru-
stration over, at relationen til eleverne mindskes, fordi læreren har mange elever i korte perioder
i
modsætning til den typiske klassestruktur med klasselærer, klassens time osv. Omvendt oplever en
anden lærer på skolen en stor værdi i at blive bekendt med rigtig mange af skolens elever, så der er
tale om en mere fælles skole og ikke bare de enkelte klasser med deres tilhørende lærer.
Nedenstående tabel opsummerer caseskolernes gode erfaringer og opmærksomhedspunkter ift.
holddeling.
Tabel 4. Gode erfaringer og opmærksomhedspunkter i forbindelse med holddeling.
Gode erfaringer og opmærksomhedspunkter
Fokus på lærerens faglighed.
Der er gode erfaringer med at tilknytte faglærere til holddelingen.
Det sikrer undervisning med høj faglig kvalitet, og det letter forberedelsestiden for ekstralæreren, da
læreren skal undervise i kendt fagstof.
Fokus på relationer.
Det er vigtigt, at det så vidt muligt er den samme ekstra lærer, som indgår i
holddelingsteamet. Det giver mulighed for at opbygge gode og varige relationer med eleverne.
Overvej, om relationsafhængige elever (fx elever med en diagnose) skal følge en fast lærer under
holddelingen uanset kriterier for inddeling i hold.
Tid til fælles forberedelse.
Der skal afsættes tid til fælles forberedelse for lærerne, der indgår i
holddelingen. Dette er særligt vigtigt at holde for øje, når der indgår lærere fra andre årgange, og
som derfor ikke indgår som en del af årgangsteamet.
Timing for holddeling skal overvejes.
Nogle skoler har gode erfaringer med at anvende holdde-
ling ved opstart af nye/sammenlagte klasser, da det øger elevernes sammenhold på tværs og giver
eleverne mulighed for at have undervisning med tidligere klassekammerater. Andre skoler har om-
vendt god erfaring med at vente med holddeling ved nye/sammenlagte klasser for at give tid og ro
til dannelse af nye relationer indenfor den enkelte klasse.
Vigtigt med afstemte og klare retningslinjer.
Flere elever fortæller, at de oplever, at lærerne ikke
altid har afstemt retningslinjerne for elevernes arbejde
fx om eleverne skal skrive hele opgaveløs-
ningen eller blot svaret. Her oplever flere elever, at de indimellem må lave deres arbejde om, fordi
de enkelte lærere ikke har fælles retningslinjer for, hvordan eleverne skal aflevere deres arbejde.
Holddeling skal øves.
Holddeling kan være en ny måde at arbejde på, og flere af caseskolerne
fortæller, at de har god erfaring med i starten at afprøve det i kortere perioder efterfulgt af fælles re-
fleksion over udbytte og eventuelle justeringer.
26
BUU, Alm.del - 2019-20 - Bilag 213: Orientering om offentliggørelse af rapport om evaluering af rammeforsøg med fleksibel tilrettelæggelse, fra børne- og undervisningsministeren
2219603_0029.png
4.4.2
Tolærerordning
Ved tolærerordning er to lærere til stede i én klasse samtidig. Lærerne kan enten skiftes til at føre
ordet, eller der kan være en primær underviser, der fører ordet, og en sekundær, der hjælper med
at skabe ro, svare på spørgsmål o.lign. Ordningen kan fx være med henblik på at støtte fagligt
svage elever.
Tolærerordning er den mest anvendte indsats blandt skolerne i forsøget (55 pct. af skolerne benyt-
ter tolærerordning). Her prioriteres ressourcer til, at to undervisere tilkobles en enkelt klasse i ud-
valgte timer. Casebesøgene viser, at det varierer på tværs af skoler, hvorvidt den ekstra ressource
er af pædagogisk eller lærerfaglig baggrund. Endvidere er det også forskelligt, i hvor høj grad den
ekstra ressource inkluderes i selve udførelsen af undervisningen eller indgår i en mere understøt-
tende funktion. Endeligt varierer det, hvorvidt den ekstra underviser er fast i en klasse, eller om ti-
merne indgår i en pulje, som alle forskellige klasser kan trække på. I dette tilfælde er tolærerordnin-
gen typisk koblet med en tematisk indsats, fx fokus på et særligt fagligt emne, hvor ressourcelære-
ren kan bruges på tværs af klasser (se også afsnit 4.3.2 for et eksempel).
Der er i de kvalitative casestudier en tendens til, at tolærerordningen typisk har et fagfagligt sigte i
udskolingen, hvor det i indskolingen og mellemtrinnet i flere tilfælde er pædagoger, der inddrages
som ekstra ressourceperson i stedet for læreruddannede, idet fokus er på det kreative eller det rela-
tionelle. En skoleleder fortæller i den forbindelse, at det kan være en udfordring at finde den rette
lærer i udskolingen, da lederen ser det som afgørende for udbyttet, at den ekstra lærer er en linje-
fagslærer:
Skoleleder:
Det skal være linjefagslærere, der er ekstralæreren, ellers rykker det
ikke. Så kan du heller ikke gå ind på lige vilkår. Hvis du ikke har uddannelsen, så
rykker det ikke. Du skal som lærer føle, at du kan overgive ansvaret. For der er
kun én af lærerne, der skal have dem op til eksamen.
I indskolingen og på mellemtrinnet vil samspillet mellem pædagoger og lærere ofte være mere rele-
vant, fordi der her er flere pædagogiske og relationelle opgaver, hvor pædagogiske ressourcer
bedre kan sættes i spil. Det handler således om at udnytte de forskellige kompetencer, som pæda-
goger og lærere besidder
ikke mindst fordi de pædagogiske ressourcer udgør en mindre omkost-
ning for skolerne. På en af caseskolerne beskrives et meget veletableret lærer-pædagogsamar-
bejde, hvor lærer og pædagog komplementerer hinanden på en effektiv måde.
Lærer:
Jeg har planlagt det fagfaglige, og så har han (pædagogen) planlagt nogle
trivselsforløb, og så har vi bare fundet ud af at arbejde godt sammen. Vi planlæg-
ger hver vores forløb, men vi kan også bytte roller.
Udover at tilstedeværelsen af både lærer og pædagog giver gode muligheder for sideløbende at fo-
kusere på både faglighed og trivsel, beskriver lærer og pædagog på denne caseskole også, hvor-
dan indsatsen giver mulighed for bedre sammenhæng mellem skole og SFO for elever i indskolin-
gen, herunder en bedre kommunikation mellem skole og hjem. Pædagogen fortæller:
27
BUU, Alm.del - 2019-20 - Bilag 213: Orientering om offentliggørelse af rapport om evaluering af rammeforsøg med fleksibel tilrettelæggelse, fra børne- og undervisningsministeren
2219603_0030.png
Pædagog:
I og med at jeg har så mange timer i klassen og har en større indsigt i,
hvad der sker i skolen, så kan jeg tage en snak med forældrene nede i SFO’en.
Uanset om det er en lærer eller pædagog, som udgør den ekstra ressource i tolærerordningen, er
der generelt på caseskolerne fokus på, at den ekstra person
ikke bliver en såkaldt ”radiator-lærer”,
men i stedet indgår som en aktiv ressource i undervisningen
om det er af faglig karakter eller som
støtte for udfordrede elever med særlige behov for læreropmærksomhed i undervisningen. Her po-
interer flere interviewede ledere, lærere og pædagoger, at tid til fælles forberedelse er meget vigtigt,
således begge lærere/pædagoger indgår på lige fod i undervisningen. Det er med andre ord ledel-
sens opgave at sætte tid af til fælles forberedelse, herunder også at sikre, at der reelt er et tidsrum,
hvor de to lærere/pædagoger kan mødes. Dette kan være svært, særligt når der er tale om et sam-
arbejde mellem lærer og pædagog, da deres tilstedeværelsestimer ligger forskelligt.
På caseskolen beskrevet ovenfor, hvor en lærer og pædagog har otte timer sammen om ugen, for-
tæller skolelederen, at man har løst udfordringen med fælles forberedelse ved enten at finde fælles
huller i skemaet, eller ved at vikardække pædagogen i SFO’en, så vedkommende kan mødes med
læreren inden for lærerens
arbejdstid og ikke først efter klokken 17, hvor SFO’en lukker. Den på-
gældende lærer og pædagog anerkender vigtigheden af ledelsens opbakning til fælles forberedelse
og fortæller i den forbindelse:
Lærer:
Vores ledelse har været meget tydelige om, at samarbejdet er ligeværdigt
og støttet op om det. De har sendt os på samme kurser og givet os fælles PLF-
tid. (…) Jeg synes, man skal tænke over, at det er en kulturændring. Det tager tid,
så man kan ikke bare kaste dem ud i det. Man skal også have en ledelse, der vir-
kelig ser samarbejdet som ligeværdigt.
Selvom tid til fælles forberedelse er ressourcekrævende, fortæller flere ledere og lærere, at de ople-
ver, at det styrker lærernes samarbejde og dermed understøtter det professionelle læringsfælleskab
(PLF) på skolerne (se også afsnit 5.3).
Endelig, ligesom ved holddeling, fortæller flere skoler, at det er vigtigt at indtænke relationer i tilret-
telæggelsen af tolærerordning. Her pointeres det, at det fungerer bedst, hvis det er den samme læ-
rer, der indgår som den ekstra lærer. Dette giver mulighed for at læreren og eleverne kender hinan-
den og skaber dermed et trygt læringsrum for eleverne.
Tabellen nedenfor opsummerer caseskolernes gode erfaringer og opmærksomhedspunkter ift. to-
lærerordningen.
28
BUU, Alm.del - 2019-20 - Bilag 213: Orientering om offentliggørelse af rapport om evaluering af rammeforsøg med fleksibel tilrettelæggelse, fra børne- og undervisningsministeren
2219603_0031.png
Tabel 5. Gode erfaringer og opmærksomhedspunkter i forbindelse med tolærerordning.
Gode erfaringer og opmærksomhedspunkter
Fokus på om tolærerordningen skal styrke faglighed eller trivsel.
Formålet med tolærerordnin-
gen har betydning for, hvilke kompetencer ekstralæreren skal besidde. Hvis der er et klart fagligt
formål, kan det være en god ide at tilknytte en linjefagslærer (særligt i udskolingen). Hvis formålet
omvendt er trivselsrettet, kan en klasseteamlærer eller en pædagog være bedst.
Fokus på relationer.
Det er vigtigt, at det så vidt muligt er den samme ekstra lærer, som indgår i
tolærerordningen. Det giver mulighed for at opbygge gode og varige relationer med eleverne.
Tid til fælles forberedelse.
Der skal afsættes tid til fælles forberedelse for lærerne. Dette gælder
også, når de ekstra ressourcer er en pædagog.
Ligeværdigt samarbejde
undgå radiatorlæreren.
Det er vigtigt, at de to lærere har et ligevær-
digt samarbejde, og at der ikke er en ”over-lærer” og ”under-lærer”. Det ligeværdige samarbejde
skabes gennem fælles forberedelse samt fælles ansvar for timerne.
4.4.3
Turbo- og talentforløb
Turboforløb dækker over flere forskellige indsatser, som har til fælles at være målrettet en mindre
gruppe af elever
normalvis på samme faglige niveau. Formålet er typisk at tilbyde en udvalgt
gruppe af fagligt udfordrede eller fagligt stærke elever et intensivt undervisningsforløb sideløbende
med den almindelige undervisning. Turboforløbet er oftest for fagligt svage elever, hvor eleverne
modtager ekstra undervisning i et fag med henblik på at styrke elevens faglige niveau. Formålet
med talentforløbet for de fagligt stærke er typisk at tilbyde eleverne større faglig udfordring, end det
er muligt i den almindelige undervisning.
Caseeksempel: Masterclasses
En skole tilbyder en række forskellige såkaldte masterclasses for udvalgte elever på skolen. Der
er fx et forløb om it- og matematikfærdigheder for fagligt udfordrede elever, hvor en lille gruppe
elever fra 9. klasse er på et forløb med 6 lektioner.
Et andet eksempel er et tværfagligt forløb med madkundskab og kreativitet for fagligt dygtige,
men stille elever med lavt selvværd, hvor eleverne selv skal udvikle kageopskrifter. Det er et for-
løb over flere måneder med besøg på forskellige konditorier samt afsluttende kagekonkurrence.
Fem af caseskolerne har benyttet turbo-/talentforløb som en primær indsats under rammeforsøget.
De fortæller under interviewene, at der er en række forhold, som er vigtige at overveje under plan-
lægningen af turbo-/talentforløb. For det første er det vigtigt at overveje, hvordan eleverne udvæl-
ges, og om deltagelse skal være frivilligt. Flere af skolerne har gode erfaringer med, at det er læ-
rerne, som udpeger eleverne.
På én af skolerne er der to såkaldte ”nøglelærere”, der har overblik
over eleverne på en årgang, og som er med til at pege eleverne ud. Skolelederen fortæller følgende
om ordningen:
29
BUU, Alm.del - 2019-20 - Bilag 213: Orientering om offentliggørelse af rapport om evaluering af rammeforsøg med fleksibel tilrettelæggelse, fra børne- og undervisningsministeren
2219603_0032.png
Skoleleder:
Eleverne udvælges ved, at deres underviser nominerer dem, hvoref-
ter nøglelærerne vurderer eleverne og siger, om de kan komme på forløbet ud fra
de opsatte kriterier. Der kigges på læsetest og andre test.
Skolerne har ligeledes god erfaring med, at deltagelse er frivilligt. De oplever, at lysten til at deltage
skal være der, for at indsatsen virker. Skolelederne fortæller, at oftest bliver forældrene glade for, at
eleverne tilbydes noget ekstra. Eleverne oplever det oftest også som noget positivt. På én skole er
man ifølge lederen lykkes med at skabe en kultur for, at elever deltager i individuelle forløb. Skolele-
deren fortæller følgende om den frivillige deltagelse:
Skoleleder:
Hvis ikke børnene vil det, så kommer de ikke med ud. Vi bruger
mange ressourcer på de her små forløb, så hvis de skal med, så skal det være
fordi, de gerne vil det. (…) Der er ikke problemer med, at eleverne ikke vil med
på små forløb. På skolen er der kultur for, at det ikke er et problem, at enkelte ele-
ver tages ud. Nogle elever i 9. spørger endda, hvornår det er deres tur til at
komme ud. Efter et forløb var der fx i et frikvarter, hvor én elev fra turboforløbet
gik tilbage i klassen og viste en anden elev en ny strategi til at minusse, og det vi-
ser jo, at de har fået noget ud af det, og det gør også, at de andre også gerne vil
med ud på de små forløb.
For det andet skal italesættelsen af forløbet overvejes. To af skolerne har god erfaring med at kalde
det for masterclass eller talentforløb, hvor navnet italesætter et fagligt løft eller styrkelse af en faglig
kompetence. Dog pointerer flere af skolerne, at eleverne er bevidste om, at de ikke ligger på
samme niveau, og at det
også er ”okay, at nogen er dygtige
til noget, og andre er dygtige til noget
andet”, som en skoleleder siger.
For det tredje har en skole gode erfaringer med at lade elevens faste lærer forestå turboundervis-
ningen for at sikre, at turboundervisningen bliver en integreret del af den almindelige undervisning,
og at elevens forbedrede kundskaber bringes i spil og øves i hverdagen. Herudover er det også er-
faringen, at den kendte relation mellem lærer og elev styrker elevens udbytte. Dette kræver dog
ekstra ressourcer i form af fx tolærerordning, da en anden lærer samtidig har undervist klassen.
For det fjerde er det vigtigt at overveje tidspunktet for forløbet, herunder hvilken undervisning ele-
verne går glip af. Her fortæller et par skoleledere, at det er vigtigt, at forløbet fx ikke ligger på
samme tidspunkt som de små fag (sprogfag eller naturvidenskabelige fag), hvor eleverne kun har
undervisning et par timer om ugen.
En skoleleder fortæller følgende om talentforløbet på skolen:
Skoleleder:
Talentforløbet har fået en naturfaglig ramme lige nu pga. undervi-
serne. Forløbet finder sted 3 timer hver onsdag, imens de andre elever har andre
valgfag. På den måde er der ikke nogen, der oplever, at de bliver pillet ud af den
almindelige undervisning og væk fra deres venner.
30
BUU, Alm.del - 2019-20 - Bilag 213: Orientering om offentliggørelse af rapport om evaluering af rammeforsøg med fleksibel tilrettelæggelse, fra børne- og undervisningsministeren
2219603_0033.png
Tabellen nedenfor opsummerer caseskolernes gode erfaringer og opmærksomhedspunkter ift.
turbo-/talentforløb.
Tabel 6. Gode erfaringer og opmærksomhedspunkter i forbindelse med turbo-/talentforløb
Gode erfaringer og opmærksomhedspunkter
Frivillig deltagelse.
Der er gode erfaringer med at elevernes deltagelse er frivillig, da det sikrer ele-
vernes motivation for forløbet.
Positiv italesættelse.
På flere af skolerne har man fokus på en positiv italesættelse af turboforlø-
bene ved at give dem et mere positivt navn som fx masterclass eller talentforløb.
Kobling til den almindelige undervisning.
En skole har god erfaring med at lade elevens faste
lærere forestå turboundervisningen, da det sikrer, at elevens forbedrede kundskaber kommer i spil i
den almindelige undervisning. Herudover er det også erfaringen, at den kendte relation mellem læ-
rer og elev styrker elevens udbytte.
Overvej tidspunktet for forløbet.
Hvilken undervisning går eleven glip af, og hvad laver de andre
elever imens?
4.4.4
Tematiske indsatser
De tematiske indsatser er af mere varierende karakter, men formålet med dem er generelt set at
højne elevernes viden eller kompetencer inden for et specifikt fagfelt eller øget fokus på trivsel eller
bevægelse. Typisk er indsatserne båret af enkelte læreres særlige kundskaber inden for fagområ-
det. Et eksempel fra en caseskole er et teknologiforløb, hvor eleverne introduceres til teknologiske
emner som kodning og designprocesser. En skoleleder uddyber dette på følgende vis:
Skoleleder:
Formålet med vores deltagelse i forsøget var muligheden for at vo-
res to dygtige lærere, der har fået efteruddannelse i teknologiforståelse, kan
sætte deres kompetencer i spil. Vi vil have en vidensproducerende tilgang ind i
alle fag. De her dygtige lærere kan så lave co-teaching
på skolen. (…) Det har
været vores formål, at hele det her teknologiprojekt skulle brede sig ud. På den
måde har vi arbejdet på, at metoderne fra design skal udbrede sig til andre fag
fx hvordan det kan bruges til en dansk stil.
Den tematiske indsats skal således ikke nødvendigvis betragtes isoleret, men i sammenhæng med
skolens øvrige fag. Det samme er tilfældet på en anden skole, der har arbejdet tematisk med teater.
Her er det forventningen, at personlig udvikling i teatersammenhæng kan gavne eleverne i skolens
øvrige fag ved fx at give eleverne større tro på sig selv og egne evner.
31
BUU, Alm.del - 2019-20 - Bilag 213: Orientering om offentliggørelse af rapport om evaluering af rammeforsøg med fleksibel tilrettelæggelse, fra børne- og undervisningsministeren
2219603_0034.png
Caseeksempel: Skoleblad
På en caseskole er en mindre del af de frigivne ressourcer fra rammeforsøget anvendt på
etableringen af et skoleblad. Bladet drives af en lærer på skolen. To gange om ugen har der
været afsat timer til bladet, hvor eleverne har kunnet holde fri fra deres almindelige undervis-
ning for at lave skoleblad. I alt har 42 elever deltaget i skolebladet.
Særligt på skoler, hvor rammeforsøgets indsatser har taget form som tematiske indsatser, har ild-
sjæle blandt lærerne været afgørende. Tematiske indsatser er typisk båret af enkelte læreres speci-
fikke fagkundskaber, hvorfor disse naturligt bliver omdrejningspunkt for indsatserne. På én af case-
skolerne med tematisk indsats, beskriver en leder eksempelvis:
Skoleleder:
Os to imellem, så er meget blevet til hos en af vores ildsjæle, fordi
han brænder meget for musik og teater. Han er kommet med en del af det, men
hvis ikke han havde en leder, som ville det så meget, som han selv ville det, var
det ikke lykkedes.
Citatet beskriver en indsats, som i høj grad er kommet i stand som følge af en enkelt lærers initiativ.
Den enkelte lærer har således haft en specifik faglighed omkring musik og teater, men lige så vigtigt
en motivation til at implementere fagligheden i en indsats, der har kunnet udbredes på skolen. Cita-
tet understreger væsentligheden af en ildsjæl til at bære projektet frem, men beskriver samtidig
nødvendigheden i, at denne ildsjæls idéer og engagement imødekommes af velvillighed fra ledel-
sen.
I de tilfælde, hvor enkelte lærere får særligt centrale roller, og dermed afgørende betydning for ind-
satsenes udformning og forløb, bliver indsatser samtidig sårbare over for ændringer i personale-
gruppen. På to caseskoler har ledelsen oplevet problematikker både i forhold til fastholdelse af læ-
rere med fagspecifikke kompetencer, men også i forhold til rekruttering af nye lærere med lignende
kompetencer. De tematiske indsatser er ofte specialiserede - fx teater, musik eller teknologi
og
derfor kan udbuddet af lærere med de efterspurgte kompetencer være begrænset. Det betyder, at
rekruttering og fastholdelse, særligt i forbindelse med tematiske indsatser, kan være en udfordring
for ledelsen, som bør medtænkes, når implementering af denne type indsatser overvejes.
Hvis den specialiserede tematiske indsats kobles med tolærerordning, er det dog også nogle af ca-
seskolernes erfaring, at det kan bidrage til intern kompetenceudvikling, da den medfølgende lærer
fra klassen også lærer noget og kan blive inspireret til at bruge elementer af forløbet i sin egen un-
dervisning. En skoleleder fortæller således:
Skoleleder:
Målet har også været, at der var en ekstra lærer med, fordi mange af
de her ting godt kan bruges i dansktimer, projektopgaver mm. Så det er også en
slags sideoplæring. Lige så stille bliver nogen udlært til det, og så spreder det sig
også.
32
BUU, Alm.del - 2019-20 - Bilag 213: Orientering om offentliggørelse af rapport om evaluering af rammeforsøg med fleksibel tilrettelæggelse, fra børne- og undervisningsministeren
2219603_0035.png
Læreren, der underviser i et specialiseret tematisk forløb, fortæller endvidere, at det også er en
hjælp for ham, at klassens lærer deltager i undervisningen, da han typisk ikke kender eleverne og
derfor kan have svært ved at tage hånd om alle elever:
Lærer:
Når jeg har en klasse, som jeg ikke kender, er det godt at have klassens
lærer med. De kan lære noget af undervisningen, men de kan også tage sig af de
sårbare eller udsatte elever. Jeg kan jo have svært ved at løse de her konflikter,
når jeg kun har eleverne fire timer om året måske.
Tabellen nedenfor opsummerer caseskolernes gode erfaringer og opmærksomhedspunkter ift. te-
matiske indsatser.
Tabel 7. Gode erfaringer og opmærksomhedspunkter i forbindelse med tematiske indsatser
Gode erfaringer og opmærksomhedspunkter
Kan kræve særlige lærerressourcer.
Da de tematiske indsatser ofte er specialiserede, kan de
kræve lærere med en bestemt profil. Dette kan gøre indsatserne mere sårbare, hvis de i høj grad
afhænger af enkelte personer.
Mulighed for intern kompetenceudvikling (sidemandsoplæring).
Nogle skoler har god erfaring
med at koble den tematiske indsats med tolærerordning, hvor klassens lærer deltager i indsatsen
sammen med klassen. Hermed udbredes den specialiserede viden videre til flere lærere på skolen.
Inddragelse af klassens lærer.
Den tematiske indsats fungerer godt med tolærerordning, hvor
klassens egen lærer er med til at understøtte undervisningen og løse eventuelle konflikter mellem
eleverne. Dette gælder særligt, når undervisningen forestås af en lærer, som eleverne ikke kender
godt.
4.4.5
Skemalægning, lærersamarbejde og tid til fælles forberedelse
På tværs af alle casebesøg fremgår det, at skemalægningen er en central del af en vellykket imple-
mentering af forsøget om fleksibel tilrettelæggelse af skoledagen. Skemalægningen skal sørge for,
at det i praksis er muligt fx at gennemføre timer med to lærere eller lave holddeling på tværs af en
hel årgang. Samtidig skal skemaplanlægningen også sørge for, at der er muligheder for, at lærerne
kan lave fælles forberedelse til timerne, der hvor der er behov for det. Den fælles forberedelse har
på flere skoler været et fokuspunkt, fordi det er essentielt for at udnytte potentialet i indsatstyper,
der bygger på deltagelsen fra flere lærere eller pædagoger.
På flere caseskoler har afkortningen af skoledagen i sig selv bidraget til at lette koordineringen af
fælles forberedelse, fordi lærerne ganske enkelt har mere tid i løbet af dagen, som ikke er optaget
af undervisning og dermed er mere fleksible ift. at kunne mødes med kollegaer.
Skoleleder:
Den udfordring der var, især i udskolingen, var den lange skoledag.
Det med at arbejde i teams, som vores skole bygger på og altid har gjort, der har
positionerne til at man kan mødes flere lærere været begrænset af den lange sko-
ledag, men det er blevet lettere nu.
33
BUU, Alm.del - 2019-20 - Bilag 213: Orientering om offentliggørelse af rapport om evaluering af rammeforsøg med fleksibel tilrettelæggelse, fra børne- og undervisningsministeren
2219603_0036.png
Også på en anden af caseskolerne peger ledelsen på de kortere skoledage som en faktor, der har
lettet det skematekniske arbejde i at planlægge forberedelse af skoledagen:
Skoleleder:
Det her med at have muligheden for at mødes allesammen på
samme tidspunkt, det forsvinder, hvis skoledagen igen bliver lang. Lærerne har fri
på samme tidspunkt og stadig samme undervisningstidspunkt. Efter undervis-
ningstiden ligger forberedelsestid, og der har man mulighed for at mødes på
tværs. Det er helt klart en gevinst.
I mange tilfælde er det således muligheden for at mødes i løbet af dagtimerne, der er fundamentet
for et velfungerende samarbejde, og det har rammeforsøget generelt haft en positiv betydning for,
fordi det ganske enkelt er blevet lettere at finde tid i lærernes skemaer til fælles forberedelse.
Selvom de skematekniske udfordringer ifm. planlægningen af fælles forberedelse er blevet lettere,
har man på nogle skoler været udfordret af at få elevernes skemaer til at gå op. På én af casesko-
lerne med turboforløb har man i begyndelsen kørt dette parallelt med den almindelige undervisning.
Det har betydet, at enkelte elever er gået glip af undervisning, hvilket gav anledning til frustrationer
hos elevernes almindelige undervisere. I dette tilfælde har der derfor været behov for en løbende
justering af skemalægningen af forløbet. Som tidligere beskrevet har man på en anden skole med
talentforløb skemalagt dette parallelt med valgfag. På den måde har man undgået overlap mellem
rammeforsøgsindsatsen og almindelig undervisning, hvilket både lærere og elever har haft positive
erfaringer med.
De fleste indsatser under rammeforsøget har til en vis grad krævet et øget samarbejde enten læ-
rere imellem, mellem pædagoger og lærere eller med eksterne samarbejdspartnere (som fx gymna-
sier, der har kørt talentforløb eller zoologisk have, der har været ramme for besøg fra turboforløb). I
den forbindelse er det også vigtigt, at parterne har mulighed for at mødes om forberedelse af den
givne indsats. Denne koordinering kan både ske langsigtet, fx i forhold til, hvilket undervisningsfor-
løb eleverne skal indgå i det kommende halvår, men også mere kortsigtet, fx i forhold til, hvilke rol-
ler lærerne hver især skal påtage sig den kommende time.
For nogle lærere er samarbejdet så inkorporeret en del af deres dagligdag, at der ikke har været et
stort behov for øvrig koordinering fra ledelsens side. Det gælder særligt samarbejder, hvor parterne
enten har arbejdet sammen længe eller har en god kemi. En lærer, hvor klassen har haft tolærer-
ordning, fortæller følgende om samarbejdet:
Lærer:
I 7.b er jeg klasselærer, så det er mig, der står for undervisningen. Så for-
tæller jeg den ekstra lærer, hvilke elever han skal have fokus på. Vi planlægger
altid inden, hvem der skal være fokus på. Det gør, at klasselæreren får tid til at
undervise. Det er altid koordineret inden. Vi kender hinanden så godt, og så sid-
der vi i samme forberedelseslokale. Nu har jeg været med i matematik. Her spør-
ger eleverne så meget, så her handler det bare om at gå rundt og hjælpe. En an-
den matematiklærer tager nogle enkelte elever ud, og så hjælper han alene de få
elever.
34
BUU, Alm.del - 2019-20 - Bilag 213: Orientering om offentliggørelse af rapport om evaluering af rammeforsøg med fleksibel tilrettelæggelse, fra børne- og undervisningsministeren
2219603_0037.png
Som citatet ovenfor også beskriver, er et velfungerende samarbejde afgørende for en god imple-
mentering og udførelse af en indsats med behov for øgede samarbejdsrelationer. Når det gælder
holddeling, er lærerne nødt til at kunne forberede sig sammen og blive enige om forløb og fokus-
punkter for de enkelte hold samt opdeling af holdene.
Med hensyn til tolærerordninger er det vigtigt, at lærerne kan indgå i undervisningssituationen sam-
men og bruge hinanden mest muligt konstruktivt i situationen. Her kræves der også en vis velvilje til
at lade sin kollega ”overvære” ens undervisning, hvilket kræver tillid mellem de to parter for at skabe
gode oplevelser med en sådan situation. Heldigvis opleves samarbejdet også af mange på den
måde og kan endda bidrage til løbende evaluering og udvikling af lærernes undervisning.
35
BUU, Alm.del - 2019-20 - Bilag 213: Orientering om offentliggørelse af rapport om evaluering af rammeforsøg med fleksibel tilrettelæggelse, fra børne- og undervisningsministeren
2219603_0038.png
5. Virkning
36
BUU, Alm.del - 2019-20 - Bilag 213: Orientering om offentliggørelse af rapport om evaluering af rammeforsøg med fleksibel tilrettelæggelse, fra børne- og undervisningsministeren
2219603_0039.png
5. Virkning
Hvor det forrige kapitel havde fokus på implementeringen af forsøget, har dette kapitel fokus på
virkningerne af forsøget om mere fleksibel tilrettelæggelse af skoledagen. Først præsenteres resul-
taterne i forhold til de forventede trin på vejen af forsøget, hvorefter de endelige effekter i form af
elevernes faglighed og trivsel præsenteres. Til sidst i kapitlet belyses skolernes og lærernes udbytte
af deltagelse i rammeforsøget.
Afsnittet har til formål at besvare evalueringens undersøgelsesspørgsmål 3-6 (se afsnit 2.1).
3.
Hvilke lærings- og trivselsmæssige effekter har der været for eleverne samlet set ved
at deltage i rammeforsøget?
Overordnet set viser evalueringen ingen tydelige tegn på, at deltagelse i rammeforsøget har
medført særlige lærings- eller trivselsmæssige effekter for eleverne. Dog viser registeranaly-
sen en signifikant negativ effekt på læsefærdigheder for elever, hvis skoleuge er blevet for-
kortet med mere end to timer.
4.
Hvilken betydning har de specifikke indsatser i forsøgene haft for elevernes faglige
udvikling og trivsel?
Ligesom der ikke ses nogle signifikante effekter af forsøget generelt, udover mht. læsefær-
digheder for elever, hvis skoleuge er blevet forkortet med mere end to timer, finder evalue-
ringen heller ikke, at der er forskelle som følge af de specifikke indsatser benyttet i forsøget.
Dette fund skal dog også ses i lyset af, at skolerne i stort omfang har benyttet sig af flere for-
skellige indsatser og også skiftet løbende mellem forskellige modeller, hvilket udfordrer en
klar skelnen mellem effekten af de enkelte indsatser i efterfølgende analyser.
5.
Er de lokalt fastsatte (af skoler/kommuner) succeskriterier for rammeforsøget op-
nået?
De lokale succeskriterier fra skolernes ansøgninger er blevet sammenfattet i fire
”trin på ve-
jen”, der gennemgås nedenfor.
Evalueringen finder, at rammeforsøget bidrager til både en
øget faglig støtte til eleverne og en mere balanceret hverdag med tid og overskud til både
skole og fritid for eleverne. Et lokalt succeskriterium var også, at elevernes motivation ville
øges
dette findes der dog ingen klare resultater på i evalueringens datagrundlag. Endeligt
forventedes en betydning for elevernes uddannelsesparathed, hvilket også til dels findes i
evalueringen, men som ikke nødvendigvis kan tilskrives deltagelse i rammeforsøget.
6.
Hvilke oplevede resultater har der været ved at deltage i rammeforsøget?
De oplevede resultater relaterer sig dels til eleverne og dels til lærerne. For eleverne ople-
ves det, at forudsætningerne for øget faglighed er forbedret ved deltagelse i rammeforsøget
blandt andet på grund af en øget mulighed for faglig støtte i undervisningen. I forhold til triv-
sel opleves der ikke tydelige fordele ved deltagelse i forsøget, udover balancen mellem
skole og fritid, der dog klart opleves som bedre som følge af forsøget. For lærerne opleves
der desuden flere fordele i forbindelse med fx fælles planlægning, sparring mv. ved at del-
tage i rammeforsøget
fordele, der ikke på forhånd var forventede.
37
BUU, Alm.del - 2019-20 - Bilag 213: Orientering om offentliggørelse af rapport om evaluering af rammeforsøg med fleksibel tilrettelæggelse, fra børne- og undervisningsministeren
2219603_0040.png
Trin på vejen
I dette afsnit præsenteres resultaterne for de trin på vejen, der forventes at indtræde som følge af
de iværksatte aktiviteter, og som efterfølgende vil lede til de endelige effekter af indsatsen. De fire
trin er udledt på baggrund af skolernes indledende ansøgninger til forsøget, og repræsenterer såle-
des skolernes egne forventninger til succeskriterier for forsøget. Trinene på vejen er 1) faglig støtte,
2) motivation, 3) skole-fritidsbalance og 4) uddannelsesparathed.
Nedenfor præsenteres resultaterne for de fire trin på vejen et ad gangen baseret på både kvalitativt
data fra casebesøg og kvantitativt data fra surveys. Signifkante forskelle er fremhævet og beskre-
vet, når de gør sig gældende. Forskelle, der ikke kommenteres som signifikante, er insignifikante.
Overordnet set viser resultaterne særligt en positiv indflydelse af rammeforsøget på elevernes ople-
velse af en god balance mellem skole og fritid samt på elevernes oplevelse af faglig støtte i under-
visning. Med hensyn til elevernes motivation ses mere tvetydige resultater, der ikke giver et klart bil-
lede af, om forsøget bidrager til øget motivation blandt eleverne. Endeligt tyder resultaterne på, at
forsøget også har en positiv betydning for elevernes oplevede uddannelsesparathed, men om æn-
dringen i højere grad skyldes andre aktiviteter rettet mod uddannelsesparathed på skolerne, fx bro-
bygning og UU-vejledning, kan ikke afvises.
5.1.1
Faglig støtte
Det første trin på vejen, der forventes at kunne aflæses som følge af forsøget, er en øget faglig
støtte til eleverne. Dette indebærer dels, at eleverne i højere grad har mulighed for at få hjælp i un-
dervisningen, men også at de udfordres på deres eget faglige niveau. Denne støtte forventes såle-
des at medføre en øget faglig læring hos eleverne, så de har mulighed for at rykke sig mere fagligt,
end hvad tilfældet ellers ville have været uden rammeforsøget.
Forsøgets betydning for den faglige støtte undersøges gennem data om oplevelsen af nemmere at
kunne få (og give) hjælp i timerne, bedre muligheder for at tilpasse undervisningen samt positive
effekter af indsatserne såsom muligheden for at få undervisning af forskellige typer lærere og ni-
veaudelt undervisning.
På casebesøgene gav eleverne generelt indtrykket af, at de gennem forsøget oplevede en øget
faglig støtte sammenlignet med den almindelige undervisning. Dette er heller ikke et overraskende
fund, idet forsøget i sig selv medfører færre elever pr lærer i undervisningssituationen. Eleverne op-
lever derfor at kunne få hurtigere hjælp i timerne, så de spilder mindre tid på at sidde og vente, og
nemmere kan holde koncentrationen og motivationen til at løse opgaven.
Elev:
Det er nemmere at få hjælp på hold. Man får flere måder at løse opgaverne
på, og det er nemmere, når der ikke er så mange elever.
I surveyen udtrykker 61 pct. af eleverne både i midtvejs- og slutmålingen, at de er enige eller meget
enige i, at de hurtigt kan få hjælp af læreren, når de har brug for det i indsatstimerne. Over tid ses et
lille fald for udskolingselever, der altså finder det sværere at få hjælp, mens eleverne på mellemtrin-
net oplever, at det bliver nemmere. Det er således kun ca. 10 pct. af eleverne på forsøgsskolerne,
der ikke oplever, at de hurtigt kan få hjælp af læreren. Der er ikke signifikant forskel mellem resulta-
tet i de to målinger.
38
BUU, Alm.del - 2019-20 - Bilag 213: Orientering om offentliggørelse af rapport om evaluering af rammeforsøg med fleksibel tilrettelæggelse, fra børne- og undervisningsministeren
2219603_0041.png
Figur 11. Elevernes oplevelse af at have adgang til hjælp fra læreren i undervisningen (N=1809)
42% 44%
28% 28%
19% 17%
7% 9%
2% 1%
Helt enig
Enig
Hverken enig eller
uenig
Midtvejsmåling
Uenig
Helt uenig
1% 1%
Ved ikke
Slutmåling
Kilde:
Elevsurvey 2018-2019. Spørgsmålsformulering: Jeg kan hurtigt få hjælp af læreren, når har jeg brug for det.
Lærerne oplever ligeledes, at de i højere grad har mulighed for at give den støtte og hjælp til ele-
verne, som de gerne vil, når de enten er to voksne sammen eller har eleverne på mindre hold:
Lærer:
Lige præcis det her med at få flere øjne på; nu har du [henvendt til inter-
viewer] jo været med inde i mine timer, og der sidder de jo kun 16, og man kan
lynhurtigt spotte dem, der ikke er med. Man er meget hurtigere på dem og kan
holde dem til ilden. Man kan tilbyde mere hjælp. Det er en kæmpe forskel at have
16 i stedet for 28.
Dette kommer også til udtryk i det kvantitative data, hvor 78 pct. af lærerne ved slutmålingen angi-
ver, at eleverne får mere opmærksomhed fra voksne, når de deltager i indsatsen. Der er ingen for-
skel fra midtvejsmålingen til slutmålingen. Både elevers og læreres oplevelse tyder således på, at
eleverne får bedre muligheder for at få opmærksomhed fra de voksne i undervisningen, men også
til mere trivselsrelaterede problemstillinger, som elevsamtaler sideløbende med undervisningen
o.lign.
Figur 12. Lærernes oplevelse af opmærksomhed på eleverne og differentieret undervisning (N=222)
Mere opmærksomhed fra voksne i
undervisningen
Undervisning tilpasset den enkelte
elevs faglig niveau
42%
36%
13% 3%
5%
35%
41%
14%
3%
6%
I meget høj grad
I høj grad
I nogen grad
I mindre grad
Slet ikke
Ved ikke/Ikke relevant
Kilde:
Lærersurvey 2019. Spørgsmålsformulering: I hvilken grad oplever du, at eleverne får følgende ud af at deltage i
indsatsen?
Note:
Procentsatser under 2 pct. vises ikke i figuren af grafiske hensyn.
Udover den ekstra opmærksomhed til eleverne, giver indsatserne ifølge lærerne også i høj grad
bedre muligheder for at tilpasse undervisningen til den enkelte elevs behov. Som det fremgår af fi-
gur 12 ovenfor, oplever 76 pct. af lærerne i slutmålingen således, at eleverne i høj eller meget høj
39
BUU, Alm.del - 2019-20 - Bilag 213: Orientering om offentliggørelse af rapport om evaluering af rammeforsøg med fleksibel tilrettelæggelse, fra børne- og undervisningsministeren
2219603_0042.png
grad får undervisning tilpasset deres faglige niveau, når de deltager i indsatsen. Forskellen fra midt-
vejsmålingen er ikke signifikant. Niveaudelt undervisning som dette kan naturligvis også finde sted i
et almindeligt klasselokale, men indsatser som holddeling efter niveau eller turboforløb, hvor elever
med mere ens evner samles, kan give bedre forudsætninger for dette.
Desuden nævner flere elever og lærere også fordelen ved at have forskellige lærere, fordi det giver
et mere nuanceret billede på undervisningen. Det skyldes dels, at lærerne kan have forskellige em-
ner, de er særligt stærke indenfor og derfor er bedre til at hjælpe med eller mere motiverede for at
undervise i. Nuanceringen sker også ved, at eleverne ser, hvordan to lærere kan få noget forskelligt
ud af en opgave, og at der godt kan være forskellige resultater, alt efter hvem der løser opgaven (fx
i dansk). På den måde bliver eleverne bedre til at anskue opgaverne fra flere vinkler, og får også
forståelse for, at der kan være forskellige synspunkter på den samme opgave.
Elev:
Det giver nogle nye perspektiver. Dorte er meget inde i grammatik, Jens er
bedre til stavning, og Morten er mere mundtlig. Hver lærer er forskellig og specia-
liseret i forskellige ting.
Lærer:
Vi kan give eleverne, at vi heller ikke altid ser tingene ens. Det er ikke
sort/hvidt. Selv i danskfaget kan vi nå frem til forskellige budskaber. Vi kan give
eleverne oplevelsen af at, ”nååå, der var faktisk ikke en facitliste”. Én lærer synes,
at det har været en vildt god tekst, og en anden synes ikke, det er så spændende.
Det er også lovligt, at de ser nogle andre sider af os. De [eleverne] slapper af på
en anden måde, fordi der er en anden, der tager timen. Når der er nogen, der kan
gå rundt og hjælpe dem, der har det svært.
Flere elever nævner også, at de særligt i tolærerordning med to forskellige lærere kan få forklaret
tingene på forskellige måder, hvilket ofte kan være en hjælp, fx hvis der er tale om et svært emne.
Elev:
Vi kan lettere få hjælp med to lærere, og de har styr på det. Det er fedt, at vi
har to forskellige fagligheder, så kan man spørge der, hvor det giver mening. Og
man skal ikke vente så lang tid. Det gør, at man er mere effektiv. Det er fedt, at
lærerne er forskellige
og har forskellige måder at forklare på.
Eleverne udtrykker ligeledes tilfredshed med at modtage undervisning sammen med en gruppe, der
er på samme faglige niveau, som dem selv. Det kan både give de dygtigere elever mere udfordring,
men også de svagere elever en mulighed for at tage tingene i et langsommere tempo eller repetere
et emne, der allerede har været undervist i fælles på klassen.
Elev:
Der er nogle gange, hvor eleverne er sygt hurtige til at pace igennem, hvor
hele teksten er analyseret med det samme. Der er nogen, der får noget ud af, at
det er niveaudelt, så vi ikke pacer så hurtigt igennem.
Kun en enkelt elev udtrykker en dårlig oplevelse i forbindelse med at være valgt til ”det fagligt svage
hold”, mens
alle andre elever giver udtryk for, at der som regel ikke er noget problem i at niveau-
40
BUU, Alm.del - 2019-20 - Bilag 213: Orientering om offentliggørelse af rapport om evaluering af rammeforsøg med fleksibel tilrettelæggelse, fra børne- og undervisningsministeren
2219603_0043.png
opdele. Eleverne ved som regel godt i forvejen, om de ligger i den stærke eller svage ende i et gi-
vent fag.
Samlet set tyder resultaterne på, at eleverne oplever en øget faglig støtte ved indsatserne sammen-
lignet med almindelig undervisning.
5.1.2
Motivation
Motivation er et andet trin på vejen, der forventes at kunne iagttages som følge af forsøget. Forvent-
ningen består i, at den særlige indsats som følge af timer med ekstra ressourcer, der blandt andet
kan bruges til anderledes undervisningsformer og -temaer, vil kunne øge elevernes motivation i un-
dervisningen.
Forsøgets betydning for elevernes motivation evalueres på baggrund af data om, hvorvidt undervis-
ningen opleves som spændende, oplevelsen af engagement og motivation blandt eleverne både
ved slutmåling og over tid samt årsager til øget motivation såsom alternative undervisningsformer
og mere voksenopmærksomhed.
Overordnet set oplever eleverne undervisningen som spændende, når de spørges til indsatserne i
forbindelse med rammeforsøget. 52 pct. af eleverne angiver således ved slutmålingen, at de er
enige eller helt enige i, at undervisningen i indsatserne er spændende. En stor gruppe på 37 pct. er
hverken enige eller uenige, mens kun en lille andel elever ikke finder undervisningen spændende.
Der er ikke signifikant forskel fra midtvejsmålingen til slutmålingen.
Figur 13. Elevernes oplevelse af undervisningen som spændende (N=1846)
36%
37%
16%
6%
2%
Helt enig
Enig
Hverken enig eller
uenig
Uenig
Helt uenig
2%
Ved ikke
Kilde:
Elevsurvey 2019. Spørgsmålsformulering: Hvis du tænker på de særlige undervisningsforløb, du har deltaget i,
hvor enig eller uenig er du så i følgende udsagn? Jeg synes, undervisningen er spændende
Dertil ses det af elevernes surveybesvarelser, at 48 pct. af eleverne i høj eller meget høj grad sy-
nes, at indsatserne har givet dem øget motivation ved slutmålingen. Den øgede motivation findes i
højere grad hos eleverne på mellemtrinnet (51 pct. i høj eller meget høj grad) end blandt udsko-
lingseleverne (45 pct. i høj eller meget høj grad). Forskellen er signifikant.
41
BUU, Alm.del - 2019-20 - Bilag 213: Orientering om offentliggørelse af rapport om evaluering af rammeforsøg med fleksibel tilrettelæggelse, fra børne- og undervisningsministeren
2219603_0044.png
Figur 14. Elevernes oplevelse af, om undervisningsforløbet har givet dem øget motivation og engagement
(N=1846/1827)
Øget engagement
16%
35%
30%
6%
2% 11%
Øget motivation
16%
32%
37%
6%
3% 6%
I meget høj grad
I høj grad
I nogen grad
I mindre grad
Slet ikke
Ved ikke
Kilde:
Elevsurvey 2019. Spørgsmålsformulering: I hvilken grad synes du, at de særlige undervisningsforløb har givet
dig…
Det fremgår af interviewene med eleverne på casebesøgene, at det særligt er lærernes øgede tid til
den enkelte, der opleves positivt og motiverende. En elev, der har deltaget i holddeling, siger blandt
andet:
Elev:
Man vil selvfølgelig gerne høres og ses med det, man laver. Når vi får tolæ-
rerordninger, så er vi meget færre elever. Så har man mulighed for at blive hørt.
Man kan tænke, ”okay, det var ikke noget jeg ville have sagt, hvis hele klassen
var her”. Man har mulighed for at blive set og hørt. Man kan bare se på en lærers
ansigtsudtryk, hvis man har sagt noget godt. Deres ansigt lyser op. Så ved man,
”okay det var godt, det jeg sagde”. Man giver op, hvis man ikke får feedback til-
bage fra sin lærer.
Derudover kan motivationen også i højere grad gå på, at der i indsatserne benyttes alternative un-
dervisningsformer fx at tage ud af huset eller lave mere kreative og selvstændige opgaver og pro-
jekter, end eleverne som regel møder i den almindelige undervisning. Det kan også være små ting i
undervisning med fx tolærerordning eller holddeling, som gør undervisningen lidt særlig, så ele-
verne oplever den som sjovere eller mere lærerig end normalt.
Elev:
Nogle gange er det dejligt, fordi vi laver ikke de samme ting, som når vi har
ekstralærer på. Det er dejligt, fordi du lærer noget nyt. Timen er sjovere.
Oplevelser som disse kan således give eleverne øget engagement i timerne og større lyst til at del-
tage i undervisningen, når de finder ud af, at de godt kan svare på spørgsmålene, eller at de andre
har samme udfordringer som dem selv. I surveyen svarer 51 pct. af eleverne således også, at de i
høj eller meget høj grad har fået øget engagement i timerne som følge af de særlige undervisnings-
forløb.
Samtidig oplever lærerne også en stigning i elevernes engagement som følge af forsøget. Ved slut-
målingen vurderer 64 pct. af lærerne i høj eller meget høj grad, at elevernes engagement er øget
som følge af deltagelse i indsatsen, mens 54 pct. af lærerne i høj eller meget høj grad oplever, at
forsøget har øget elevernes motivation for at gå i skole.
42
BUU, Alm.del - 2019-20 - Bilag 213: Orientering om offentliggørelse af rapport om evaluering af rammeforsøg med fleksibel tilrettelæggelse, fra børne- og undervisningsministeren
2219603_0045.png
Figur 15. Lærernes oplevelse af elevernes udbytte af forsøget (N=222)
Øget engagement i timerne
20%
44%
23%
5%
6%
Øget motivation for at gå i
skole
19%
35%
31%
4%
10%
I meget høj grad
I høj grad
I nogen grad
I mindre grad
Slet ikke
Ved ikke
Kilde:
Lærersurvey 2019. Spørgsmålsformulering: I hvilken grad oplever du, at eleverne får øget engagement i timerne
ved at deltage i indsatsen?
Note:
Procentsatser under 2 pct. vises ikke i figuren af grafiske hensyn.
Lærerne fortæller også i interviewene, at de oplever, at både fagligt svagere og fagligt stærkere ele-
ver ofte bliver mere motiverede af de særlige indsatser
især hvis der indgår i en form for niveau-
deling. Eleverne får hver især mulighed for i højere grad at kunne rykke sig på deres eget niveau,
og dermed kan særligt de fagligt svagere elever begynde at få mere mod på skolen eller på et en-
kelt fag, de er udfordrede af. Samtidig kan disse typer indsatser også bidrage til motivation for de
fagligt dygtigere elever, som en lærer her udtaler om eleverne på et talentforløb:
Lærer:
Vi oplever, at talentholdet er med til at rykke de unge. Eleverne får mere
tid med lærerne, de får lov til at være medbestemmende, og så bliver de nysger-
rige på, hvad hinanden laver og lader sig inspirere af hinanden. Det er motive-
rende for mange af talenterne, at de bliver udfordrede af de andre elever. Ele-
verne motiverer hinanden, og underviserne presser dem hele tiden lidt til at gøre
det bedre.
I stedet for at spørge eleverne direkte, om indsatsen øger deres motivation, kan man også se nær-
mere på, om motivationen blandt eleverne er steget fra midtvejs- til slutmålingen. Ser man på det
samlede mål for elevernes motivation (se metodebilag afsnit 3.1.1), ligger elevernes niveau generelt
forholdsvist højt allerede ved midtvejsmålingen. På en skala fra 1-5, hvor 5 er den højest mulige
motivation, ligger gennemsnittet for eleverne i rammeforsøget lige under 4.
Fra midtvejsmålingen til slutmålingen sker der dog et signifikant fald i elevernes motivation samlet
set. Nedenfor illustreres ændringerne over tid for forskellige typer af elever. Heraf fremgår det, at
det særligt er udskolingselevernes motivation, der falder i slutningen af skoleåret, mens mellem-
trinselevernes motivation bibeholdes på nogenlunde samme niveau, året ud. Desuden daler piger-
nes motivation mere end drengenes. Tidspunktet for slutmålingen, kort før sommerferien, kan dog
også formentlig forklare en del af den faldende motivation, særligt hos udskolingseleverne, der op-
lever eksamener mv. i den periode. Udviklingen bør derfor læses i lyset af den generelt høje moti-
vation, eleverne udtrykker jf. figuren nedenfor.
43
BUU, Alm.del - 2019-20 - Bilag 213: Orientering om offentliggørelse af rapport om evaluering af rammeforsøg med fleksibel tilrettelæggelse, fra børne- og undervisningsministeren
2219603_0046.png
Figur 16. Motivation over tid fordelt på køn og klassetrin
5
4
3
2
1
Pige
Dreng
Midtvejsmåling
Mellemtrin
Slutmåling
Udskoling
N=953
(piger); 831 (drenge) // 993 (Mellemtrin); 791 (Udskoling).
Kilde:
Elevsurvey 2018-2019. Tallene er baseret på in-
dekset ”motivation”,
nærmere beskrevet i metodebilaget, og viser udviklingen fra indekset baseret på midtvejsmålingen til
indekset baseret på slutmålingen.
Ser man på udviklingen inden for de forskellige indsatstyper, er der et lille fald i motivationen for ele-
ver, som fik alle fire indsatser. Og sammenligner man de enkelte indsatsers betydning for, hvordan
elevernes motivation udvikler sig fra midt- til slutmålingen, er der ingen signifikante forskelle mellem
indsatserne.
Både observationerne og interviewene fra casebesøgene tyder dog på, at motivationen og oplevel-
sen af undervisningen hos eleverne i højere grad hænger sammen med den pågældende lærer og
fag, end med en given særlig indsats. Hvis der laves en indsats i et bestemt fag med en bestemt
lærer eller inden for et bestemt tema, fx et kreativt projekt eller en tur ud af huset, kan det være
særligt motiverende for de elever, der kan lide den pågældende lærer, fag eller tema. Omvendt vil
motivationen ikke nødvendigvis stige hos elever, der ikke finder faget interessant eller bryder sig om
læreren. Ligesom for resten af skoledagen kan motivationen således variere mellem eleverne, og
den er ikke nødvendigvis knyttet til en særlig indsats, men i højere grad til relationen med undervi-
seren/underviserne.
Overordnet set peger resultaterne således i forskellige retninger, når det kommer til elevernes moti-
vation. Baseret på surveys og det kvalitative data synes indsatsen at øge motivationen blandt ele-
verne, men over tid ses der faktisk et lille fald i den målte motivation. Dog skal det holdes in mente,
at eleverne allerede ved midtvejsmålingen indgik i indsatsen, mens de ved slutmålingen var tæt på
sommerferien. Det er derfor muligt, at der havde været tale om en anden udvikling over tid, hvis der
var foretaget en førmåling forud for forsøgets iværksættelse.
5.1.3
Skole-fritidsbalance
Balancen mellem skole og fritid ses som et trin på vejen mod slutteligt at forbedre elevernes gene-
relle trivsel og faglighed i skolen. Forventningen blandt skolerne i deres ansøgninger er, at en bedre
trivsel og sammenhæng mellem skole og fritid for den enkelte elev, primært som følge af den kor-
tere skoledag, på længere sigt vil føre til både øget faglighed og trivsel blandt eleverne i forsøget.
For at vurdere, om elevernes skole-fritidsbalance bliver forbedret under forsøget, fremhæves data
om elevernes overskud og energi i hverdagen samt læreres og forældres oplevelse af samme. Des-
uden sammenlignes forældrenes vurdering med forældre, hvis børn ikke deltager i rammeforsøget,
for at identificere, om der er en forskel mellem de to grupper.
44
BUU, Alm.del - 2019-20 - Bilag 213: Orientering om offentliggørelse af rapport om evaluering af rammeforsøg med fleksibel tilrettelæggelse, fra børne- og undervisningsministeren
2219603_0047.png
Halvdelen af de elever, der har deltaget i forsøget vurderer, at de i høj eller meget høj grad har fået
mere overskud i hverdagen samt mere energi som følge af de særlige undervisningsforløb iværksat
i forbindelse med projektet. Elever på mellemtrinnet oplever i signifikant højere grad at have mere
overskud i hverdagenog mere energi sammenlignet med elever i udskolingen.
Figur 17. Elevernes vurdering af udbyttet af de særlige undervisningsforløb (N=1819,1828)
Mere overskud i
hverdagen
25%
25%
29%
9%
6% 6%
Mere energi
18%
29%
32%
10%
5% 6%
I meget høj grad
I høj grad
I nogen grad
I mindre grad
Slet ikke
Ved ikke
Kilde:
Elevsurvey 2019. Spørgsmålsformulering: I hvilken grad synes du, at de særlige undervisningsforløb har givet
dig…
De kvalitative interviews underbygger denne oplevelse af god sammenhæng mellem fritid og skole,
og alle de adspurgte elever er glade for den forkortede skoledag. Flere elever udtrykker, at det gør
skoledagen mere overskuelig for dem, når de har tidligere fri, og at de derfor også har mere energi i
timerne i skolen, fordi de ved, at dagen ikke er nær så lang.
Elev:
Jeg synes ikke kun, at det er derfor, det er godt, men jeg har prøvet at være
her til halv fire. Nu kan man mærke forskel på, at man slet ikke bliver lige så træt.
Nu kan man give den los hele dagen. Det kunne man ikke før. Når man skulle
være her hele dagen, fik man alligevel ikke noget ud af de sidste to timer.
En af de yngre elever udtrykker også, at det er muligt at komme ud af skolen i fred og ro, når man
ikke skal ud samtidig med de store elever. Derudover fortæller eleverne, at de har bedre tid til deres
fritidsaktiviteter og måske kan nå lidt hjem og hvile sig, inden de skal til fodbold. Enkelte elever me-
ner også, at de er mere sociale, når de har tidligere fri, fordi man har tid til at være mere sammen
med sine venner derhjemme eller i klub efter skole.
Blandt forældrene, hvor der kan sammenlignes med forældre, hvis børn ikke er med i rammeforsø-
get, ses der også positive resultater. Således oplever forældrene til børn i forsøget, at børnene
både har bedre tid til at lave lektier, gå til fritidsaktiviteter og lave de ting i fritiden, de vil. Dertil er de
mere friske til at komme i skole sammenlignet med forældre til børn uden for forsøget. Samlet set
vurderer 79 pct. af forældrene til børn i forsøget, at deres barn har en god eller meget god balance
mellem skole og fritid, mens dette gælder for 65 pct. af andre forældre.
Samlet set oplever forældrene til børn i forsøget, at deres børn har en signifikant bedre balance
mellem skole og fritid, end forældrene til børn uden for forsøget, når man ser samlet på alle spørgs-
mål om skole-fritidsbalance. Forældregrupperne minder mest om hinanden i forhold til om de ople-
ver, at deres barn har en travl hverdag. Det oplever hhv. 44 pct. (forsøg) og 48 pct. (kontrol). På de
resterende spørgsmål om tid til lektier, fritidsaktiviteter mv. er forældrene i forsøgsgruppen betyde-
ligt mere positive end kontrolgruppen, hvilket munder ud i den signifikante forskel mellem foræl-
drene på det samlede indeks for elevernes skole-fritidsbalance. Dette tyder på, at børnene agerer
45
BUU, Alm.del - 2019-20 - Bilag 213: Orientering om offentliggørelse af rapport om evaluering af rammeforsøg med fleksibel tilrettelæggelse, fra børne- og undervisningsministeren
2219603_0048.png
under samme vilkår, men at rammeforsøget giver eleverne bedre mulighed for at trives under disse
vilkår.
Figuren nedenfor viser forskellen på forældrene i forsøgsgruppen og forældrene i kontrolgruppen på
indekset ”balance mellem skole og fritid”, der er konstrueret af samtlige spørgsmål om børnenes
skole-fritids balance. Her ses det tydeligt, at forældrene i forsøgsgruppen oplever en signifikant hø-
jere grad af balance end forældrene i kontrolgruppen. Forskellen er fortsat signifikant, når der kon-
trolleres for børnenes klassetrin og forældrenes generelle tilfredshed med skoledagens længde.
Figur 18. Forældres oplevelse af deres barns balance mellem skole og fritid
Forsøgsgruppe
Kontrolgruppe
1
2
3
4
5
N=
516 (forsøgsgruppe); 919 (kontrolgruppe).
Kilde:
Forældesurvey
2019. Tallene er baseret på indekset ”balance mel-
lem skole og fritid”,
nærmere beskrevet i metodebilaget, og viser gennemsnittene for hhv. forsøgs- og kontrolgruppe på
indekset. Indekset går fra 1-5, hvor 5 er mest positivt.
Størstedelen af lærerne, der har svaret på surveyen, oplever også, at eleverne har mere overskud i
hverdagen. 58 pct. angiver således, at eleverne i høj eller meget høj grad har mere overskud i hver-
dagen, mens kun 8 pct. angiver, at det i mindre grad eller slet ikke er tilfældet.
Figur 19. Lærernes oplevelse af elevernes overskud i hverdagen (N=222)
Mere overskud i
hverdagen
26%
32%
27%
6%
7%
I meget høj grad
I høj grad
I nogen grad
I mindre grad
Slet ikke
Ved ikke
Kilde:
Lærersurvey 2019. Spørgsmålsformulering: Hvordan synes du nedenstående passer på de elever, som deltager i
indsatsen?
Note:
Procentsatser under 2 pct. vises ikke i figuren af grafiske hensyn.
I de kvalitative interviews kan flere lærere desuden mærke, at det gør en forskel for elevernes sko-
leglæde, at deres skoledag er blevet kortere:
Lærer:
Hele vejen rundt både i forhold til trivsel og faglighed giver det bare så
meget. Jeg kunne også se stor forandring i skoleglæden, da skoledagen blev for-
kortet med forsøget her. Det har ændret deres glæde. Så gamle er de jo heller
ikke.
I stedet for at spørge elever og lærere om indsatsen øger deres skole-fritidsbalance, kan man også
se nærmere på, om oplevelsen af balancen blandt eleverne er steget fra midtvejs- til slutmålingen.
Når det kommer til sammenhængen mellem skole og fritid, oplever eleverne i forsøget generelt en
46
BUU, Alm.del - 2019-20 - Bilag 213: Orientering om offentliggørelse af rapport om evaluering af rammeforsøg med fleksibel tilrettelæggelse, fra børne- og undervisningsministeren
2219603_0049.png
god balance i deres dagligdag. Over tid udvikler elevernes oplevelse af deres skole-fritidsbalance
sig dog en smule negativt, og gennemsnittet på indekset ved slutmålingen er signifikant lavere end
ved midtvejsmålingen. På figuren nedenfor ses dog, at faldet især skyldes udskolingseleverne, der
oplever en signifikant mindre balanceret hverdag ved slutmålingen i modsætning til mellemtrinsele-
verne, der ligger på stort set samme niveau ved slutmålingen som ved midtvejsmålingen. Denne
forskel tyder på, at det i højere grad er årsprøver, der påvirker skole-fritidsbalancen, end at det er
rammeforsøget i sig selv.
Figur 20. Udvikling i elevernes oplevelse af balance mellem skole og fritid fordelt på køn og klassetrin
5
4
3
2
1
Pige
Dreng
Midtvejsmåling
Mellemtrin
Slutmåling
Udskoling
N=952
(piger); 830 (drenge) // 993 (Mellemtrin); 789 (Udskoling).
Kilde:
Elevsurvey 2018-2019. Tallene er baseret på in-
dekset ”balance mellem skole og fritid”,
nærmere beskrevet i metodebilaget, og viser udviklingen fra indekset baseret på
midtvejsmålingen til indekset baseret på slutmålingen.
Alt i alt tyder resultaterne fra både elever, lærere og forældre på, at forsøget bidrager til en bedre
sammenhæng mellem skole og fritid for de børn, der deltager. Det lille fald over tid må læses med
det forbehold, at der stadig er tale om et højt niveau af oplevet balance i hverdagen, samt at den
sidste måling er foretaget kort inden sommerferien, hvorfor en vis skoletræthed og eksamenspres
muligvis kan være smittet af i målingen.
5.1.4
Uddannelsesparathed
Endeligt forventedes forsøget også at have betydning for elevernes uddannelsesparathed, så flere
udskolingselever efter endt skolegang vil være klar til at vælge og gennemføre en ungdomsuddan-
nelse. Resultaterne i dette afsnit afspejler elevernes oplevede uddannelsesparathed baseret på sur-
veybesvarelser.
10
Samlet set tyder resultaterne fra undersøgelsen blandt eleverne på, at eleverne over tid bliver mere
parate til at starte på og gennemføre en ungdomsuddannelse. Om dette skyldes forsøget eller de
andre aktiviteter rettet mod uddannelsesparathed i udskolingsklasserne, kan vi dog ikke entydigt
fastslå pba. surveyresultaterne. Resultaterne må således læses med forbehold for, at skolerne også
udover rammeforsøgets aktiviteter arbejder med elevernes uddannelsesparathed løbende sammen
med bl.a. UU-vejledningen.
Ved slutmålingen angiver 43 pct. af eleverne, at de synes, de særlige undervisningsforløb i forbin-
delse med rammeforsøget i høj eller meget høj grad har givet dem et bedre udgangspunkt for at
gennemføre
en uddannelse. Dertil vurderer 34 pct. af eleverne, at forløbene i nogen grad har givet
10
Kun udskolingselever har fået spørgsmål om uddannelsesparathed
47
BUU, Alm.del - 2019-20 - Bilag 213: Orientering om offentliggørelse af rapport om evaluering af rammeforsøg med fleksibel tilrettelæggelse, fra børne- og undervisningsministeren
2219603_0050.png
dem et bedre udgangspunkt. Således har langt de fleste elever haft et udbytte i forhold til deres op-
levede uddannelsesparathed som følge af indsatsernen, mens kun 14 pct. ikke oplever en betyd-
ning og 8 pct. er usikre (se figur 21).
Når det kommer til at
vælge
en ungdomsuddannelse, oplever lidt færre elever, at indsatserne har
haft betydning, men over halvdelen angiver fortsat i nogen grad, høj grad eller meget høj grad at
have fået et bedre udgangspunkt for at vælge en uddannelse efter folkeskolen som følge af forsø-
gets aktiviteter. Elevernes besvarelser tyder således på, at indsatserne i høj grad har været med til
at forbedre størstedelen af elevernes udgangspunkt for gennemførsel af ungdomsuddannelse,
mens betydning for valg af uddannelse er lidt mindre.
Figur 21. Elevernes oplevelse af indsatsernes betydning for deres uddannelsesparathed (N=530)
Bedre udgangspunkt for at
gennemføre en
ungdomsuddannelse
13%
30%
34%
8%
6%
8%
Bedre udgangspunkt for at
vælge ungdomsuddannelse
12%
25%
30%
12%
12%
8%
I meget høj grad
I høj grad
I nogen grad
I mindre grad
Slet ikke
Ved ikke
Kilde:
Elevsurvey 2019. Spørgsmålsformulering: I hvilken grad synes du, at de særlige undervisningsforløb har givet
dig…
Eleverne er desuden spurgt ind til, mere generelt, om de føler sig klar til at starte på en ungdomsud-
dannelse ved både midt- og slutmålingen. Allerede ved midtvejsmålingen føler en stor del af ele-
verne sig parate til at starte på en uddannelse, men der sker alligevel en lille, men ikke signifikant
stigning fra midtvejsmålingen til slutmålingen. Ved første måling vurderede 59 pct. af udskolingsele-
verne, at de var parate til at starte på en ungdomsuddannelse (helt enig eller enig), mens dette tal
ved slutmålingen udgjorde 61 pct. Dog er andelen af elever, der ikke føler sig parate (uenig eller
helt uenig), eller ikke ved det, nogenlunde konstant mellem de to målinger. Der er således ikke sket
en målbar udvikling hos denne gruppe.
Figur 22. Udvikling i elevernes oplevelse af at være klar til at starte på en ungdomsuddannelse (N=493)
35%
29%
24%
32%
26%
22%
8% 8%
3% 4%
Helt uenig
3% 5%
Ved ikke
Helt enig
Enig
Hverken enig eller
uenig
Midtvejsmåling
Uenig
Slutmåling
Kilde:
Elevsurvey 2018 og 2019. Spørgsmålsformulering: I hvilken grad er du enig eller uenig i følgende udsagn: Jeg fø-
ler mig parat til at starte på en ungdomsuddannelse efter folkeskolen.
48
BUU, Alm.del - 2019-20 - Bilag 213: Orientering om offentliggørelse af rapport om evaluering af rammeforsøg med fleksibel tilrettelæggelse, fra børne- og undervisningsministeren
2219603_0051.png
Blandt lærerne er oplevelsen af en stigning i elevernes uddannelsesparathed mindre udbredt. 23
pct. angiver, at eleverne i meget høj eller høj grad har fået bedre udgangspunkt for at vælge en
ungdomsuddannelse, mens 27 pct. mener, at elevernes udgangspunkt for at gennemføre en ud-
dannelse er blevet forbedret.
På alle tre spørgsmål er andelen af ”ved ikke”-svar
høj
over en tred-
jedel ved ikke, om elevernes uddannelsesparathed er blevet forbedret som følge af indsatsen. Dette
er måske også et tegn på, at uddannelsesparathed kun i få tilfælde har været i fokus i indsatserne,
og mange derfor slet ikke har gjort sig tanker om indsatsens betydning for uddannelsesparatheden.
Det skal dog også bemærkes, at tallene rapporteret for eleverne er fra spørgsmål, der generelt
handler om fremtidsplaner, og ikke er stillet specifikt i forhold til indsatsen fra rammeforsøget, som
hos lærerne.
Figur 23. Lærernes oplevelse af elevernes uddannelsesparathed (N=176,174,222)
Bedre udgangspunkt for at
gennemføre en
ungdomsuddannelse
Bedre udgangspunkt for at
vælge ungdomsuddannelse
11%
23%
16%
45%
10%
20%
16%
6%
47%
Større indblik i uddannelses-
og/eller erhvervsliv
6%
12%
21%
22%
12%
27%
I meget høj grad
I høj grad
I nogen grad
I mindre grad
Slet ikke
Ved ikke
Kilde:
Lærersurvey 2019. Spørgsmålsformulering: I hvilken grad oplever du, at eleverne får følgende ud af at deltage i
indsatsen?
Note:
”Ikke relevant”-kategorien
er fjernet i grafen, da der var tale om store andele som følge af, at ikke alle
lærere har forudsætninger for at kunne svare fyldestgørende. Andelene
af ”ikke-relevant”
udgør ca. 20 pct. I spørgsmålet
om større indblik dækker ”ved ikke”-kategorien
dog over både ved ikke og ikke relevant. Procentsatser under 2 pct. vises
ikke i figuren af grafiske hensyn.
Betydningen af rammeforsøget på elevernes uddannelsesparathed er således uklar. Eleverne ople-
ver generelt at være blevet en smule mere forberedte på at vælge og gennemføre ungdomsuddan-
nelser, men når lærerne spørges ind til indsatsernes betydning for dette, er der mere blandede til-
bagemeldinger. Alt i alt tyder det på, at eleverne oplever sig mere uddannelsesparate, men at dette
måske i mindre grad skyldes selve indsatsen forbundet med rammeforsøget, men nærmere skyldes
generel modning samt andre uddannelsesrettede aktiviteter såsom brobygning og lignende.
Elevernes udbytte
I dette afsnit gennemgåes analyseresultaterne af rammeforsøgets effekter på elevernes faglige ud-
vikling og trivsel. Registeranalyserne viser, at rammeforsøget overordnet set ikke har haft en effekt
på elevernes trivsel og faglige udvikling. Vi finder dog, at rammeforsøget har haft en negativ effekt
på læsefærdigheder for de elever, der har fået deres timeantal reduceret med mere end to timer
ugentligt. Til forskel fra registeranalyserne viser resultaterne fra survey og de kvalitative interviews,
at både indsatseleverne, deres forældre og lærerne oplever, at rammeforsøget har haft en positiv
betydning for elevernes faglighed og trivsel. De mulige årsager til denne umiddelbare diskrepans på
tværs af datakilderne, vil blive behandlet i delkonklusionerne.
49
BUU, Alm.del - 2019-20 - Bilag 213: Orientering om offentliggørelse af rapport om evaluering af rammeforsøg med fleksibel tilrettelæggelse, fra børne- og undervisningsministeren
2219603_0052.png
Afsnittet er opdelt i to delafsnit, hvor der behandles rammeforsøgets effekt på henholdsvis elever-
nes faglighed og elevernes trivsel. I de to delafsnit præsenteres først de registerbaserede analyser
af rammeforsøgets effekter, og herefter de oplevede effekter af elevernes faglige og trivselsmæs-
sige udbytte, som de kommer til udtryk i surveys blandt lærere, elever og forældre samt de kvalita-
tive interviews med lærere og elever.
Som beskrevet tidligere, og uddybet i bilagsmaterialet, undersøges rammeforsøgets effekter med et
Difference-in-Difference design med en statistisk konstrueret kontrolgruppe. Designet består i, at
indsats- og kontrolgruppe sammenlignes før og efter deltagelse
i rammeforsøget, hvor ”eftermålin-
gen” er foretaget i slutningen af skoleåret 2018/19, selvom forsøget også fortsætter i skoleåret
2019/20. Hvis indsatsgruppen
målt i forhold til faglighed og trivsel
har udviklet sig bedre end
kontrolgruppen, kan rammeforsøget siges at have haft en positiv effekt på elevernes faglige udvik-
ling og trivsel. Den centrale antagelse bag metoden er, at elevernes trivsel og faglighed ville have
udviklet sig på samme måde for indsats- og kontrolgruppen, hvis rammeforsøget ikke var blevet
gennemført. Er antagelsen ikke opfyldt, vil metoden give et misvisende billede af forsøgets effekt.
Ved at vælge en indsats- og kontrolgruppe, der, bortset fra indsatsen, ligner hinanden mest muligt,
mindskes risikoen for, at antagelsen ikke er opfyldt. Vi har derfor dannet en statistisk kontrolgruppe.
Kontrolgruppen består af elever, som har gået på skoler, der ikke er en del af rammeforsøget, og
som er magen til elever, der har fået indsatsen ift. klassetrin, herkomst, forældrenes uddannelse,
skolens beliggenhedskommune og skolens brug af § 16 b, hvor understøttende undervisning kon-
verteres til to-lærerundervisning. For en mere detaljeret beskrivelse af metoden henvises til bilags-
materialet.
I de registerbaserede effektanalyser indgår samtlige elever, der har gået på en årgang, som har
modtaget én eller flere af de fire indsatstyper, der er beskrevet i afsnit 4.4. 50 pct. af skolerne har
benyttet holddeling, 55 pct. har benyttet tolærerordning, 32 pct. har lavet turbo-/talenforløb og 48
pct. har lavet tematiske indsatser. Over halvdelen af skolerne benytter sig af flere indsatser, hvorfor
summen af de foregående tal summerer til mere end 100 pct. På de fleste indsatsskoler har samt-
lige elever på de udvalgte årgange modtaget en given indsats. I visse tilfælde har det imidlertid ude-
lukkende været enkelte klasser eller elever på en given årgang, der har modtaget indsatsen. Om
end de resterende klasser/elever derved ikke har modtaget den beskrevne indsats, har de stadig
deltaget i rammeforsøget. Skolerne har således afkortet skoledagen for samtlige klasser på den re-
spektive årgang. Fælles for alle indsatseleverne er altså, at de alle har fået reduceret timeantallet,
men det varierer, hvilken form for indsatstype de respektive årgange har modtaget og hvor stor en
del af eleverne på årgangen, som modtog indsatsen.
Den overordnede analyse er dermed en analyse af effekten af elevernes deltagelse i rammeforsø-
get som helhed: Både de elever, som udelukkende fik reduceret deres timetal og de, som fik en ind-
sats
og
fik reduceret deres timetal indgår i deltagergruppen. Omvendt er det ikke en analyse af ef-
fekten for netop de elever, som modtog indsatserne. I delanalyserne vil det blive behandlet, hvorvidt
effekten af elevernes deltagelse har varieret afhængigt af hvilke(n) indsatstype, der blev iværksat
på de respektive årgange. Også her ser vi på alle eleverne på den berørte årgang.
5.2.1
Faglighed
I dette afsnit beskrives resultatet af analysen af rammeforsøgets effekt på elevernes faglighed. Op-
summerende viser analysen, at det ikke kan påvises, at deltagelse i rammeforsøget har generel be-
tydning for udviklingen i elevernes matematik- og læsefærdigheder. Analysen tyder dog på, at ram-
meforsøget har en signifikant negativ effekt for elevernes læsefærdigheder på skoler, hvor timetallet
50
BUU, Alm.del - 2019-20 - Bilag 213: Orientering om offentliggørelse af rapport om evaluering af rammeforsøg med fleksibel tilrettelæggelse, fra børne- og undervisningsministeren
2219603_0053.png
er reduceret med mere end to timer. Resultaterne fra surveys og caseinterviews med elever, foræl-
dre og lærer viser, at rammeforsøget opleves som havende positiv betydning for fagligheden. Ser
man på tværs af disse resultater, tegner analysen et billede af, at skolen under rammeforsøget op-
leves bedre af elever, lærere og forældre, og at skolen samtidig skaber omtrent de samme faglige
resultater for eleverne.
Rammeforsøget har begrænset betydning for læse- og matematikfærdigheder
For at måle elevernes udvikling læse- og matematikfærdigheder i effektanalysen er der anvendt ele-
vernes resultater fra de nationale tests
11
. I tabel 8 vises den beregnede effekt af rammeforsøget på
elevernes faglige udvikling i læsning og matematik. Effektmålet udtrykker forskellen på indsats- og
kontrolgruppens udvikling fra før til efter rammeforsøgets implementering. Effektmålet udtrykker
altså om elever, der deltog i rammeforsøget, udviklede sig mere positivt, mere negativt eller på
samme måde som eleverne i kontrolgruppen. Den samlede effekt for alle elever, som deltog i ram-
meforsøget, er vist i rækken
”samlet effekt”
i tabel 8.
Analysen viser, at rammeforsøget ikke har haft en signifikant effekt på elevernes faglighed. Af tabel
8 fremgår det, at indsatselevernes læse- og matematikfærdigheder fra før- til eftermålingen er vok-
set henholdsvis 1,51 point og 6,22 point mindre relativt til kontrolgruppens læse- og matematikfær-
digheder. Elevernes pointscore i de nationale test i læse- og matematikfærdigheder stiger gennem-
snitligt med omtrent 200 point fra et måling-år i de nationale test til det næste
12
. Den negative effekt
svarer derved til et relativt fald på cirka 0,75 procentpoint i læsefærdigheder og 3 procentpoint i ma-
tematikfærdigheder. Effekten vurderes derved ikke at være substantiel og er som nævnt heller ikke
signifikant.
Tabel 8 viser også effekterne 1) ift. hvilken indsatstype eleven fik, 2) for de fagligt svageste elever,
3) for skoler med høj motivation for deltagelse, 4) for skoler, som har erfaring med afholdelse af lig-
nende indsatser, 5) for skoler som ikke anvendte § 16 b inden indsatsen og 6) afhængig af timetals-
reduktionens størrelse.
Selvom rammeforsøget samlet set ikke har en effekt, kan det tænkes, at enkelte af de anvendte
indsatstyper (tolærerordning, holddeling osv.)
kan have betydning. I rækken ’Indsatstype’ ses effek-
ten af rammeforsøget på læse- og matematikfærdigheder på tværs af de fem specifikke indsatsty-
per, eleverne har kunnet deltage i: Tolærerordning, holddeling, turbo- og talentforløb, tematisk ind-
sats og en kombination af førnævnte. Analyserne viser, at rammeforsøget ikke har haft en effekt på
elevernes faglige udvikling uafhængigt af, hvilken af de fem indsatstyper eleverne har deltaget i og
hvilket fagligt mål, der er tale om. Et vigtigt metodisk forbehold er her, at skolerne har haft stor fri-
hed til at ændre deres valg af indsatstype undervejs i forsøget. Til trods for at en skole indlednings-
vist i forsøget
eksempelvis har indberettet, at deres elever har modtaget ’tematiske indsatser’,
kan
det ikke udelukkes, at de senere hen har ændret det til en anden indsatstype. Der indgår derfor po-
tentielt set elever i indsatsgrupperne, der kun i begrænset omfang har modtaget den klassificerede
11
12
Operationaliseringen er uddybet i rapportens metodebilag.
Målet for elevernes gennemsnitlige pointstigning i de nationale test i læse- og matematikfærdigheder er blevet udarbej-
det ved at udregne, hvor meget eleverne gennemsnitligt stiger i point fra et måling-år til det næste i hver enkelt af de nati-
onale test i dansk og matematik. Dette er approximativt 200 point i både dansk og matematik. Det er vigtigt at hæfte sig
ved, at målet er blevet udregnet med afsæt i indsats- og kontrolgruppeeleverne. Målet er derfor ikke nødvendigvis repræ-
sentativt for hele den danske elevpopulation.
51
BUU, Alm.del - 2019-20 - Bilag 213: Orientering om offentliggørelse af rapport om evaluering af rammeforsøg med fleksibel tilrettelæggelse, fra børne- og undervisningsministeren
2219603_0054.png
indsatstype. Indsatstypernes effekt på elevernes faglighed vil derfor, alt andet lige, blive underesti-
meret.
I rækken ’De fagligt svageste elever’ ses effekten af rammeforsøget
på læse- og matematikfærdig-
heder for de fagligt svageste elevers faglige udvikling. De fagligt svageste elever forstås her som
elever med dårligere læse- og matematikfærdigheder end gennemsnittet på samme klassetrin in-
den rammeforsøget. Der kigges på denne type elever, da det kan antages, at det vil være de fagligt
svageste elever, der vil have mest gavn af rammeforsøget, idet indsatserne alle resulterer i færre
elever pr. voksen og dermed mere opmærksomhed og tid til de svageste elever. Analysen viser, at
rammeforsøget ikke har en effekt på de fagligt svagestes læse- og matematikfærdigheder. Således
udvikler fagligt svage elever, som deltog i rammeforsøget, sig ikke signifikant anderledes end elever
i kontrolgruppen.
I rækken ’Højt motiverede
skoler’
ses effekten af rammeforsøget på læse-
og matematikfærdighe-
der for de elever, der har gået på skoler, som er mest motiverede for at deltage i rammeforsøget.
Skoler med høj motivation defineres her som skoler, der selv har taget initiativ til deltagelse i forsø-
get, besluttet indsatstypen, målgruppen og antallet af afkortede timer ifm. forsøget. Skoler med lav
motivation er derved omvendt defineret som skoler, hvor kommunens skoleforvaltning- eller skole-
forvaltningen i samarbejde med skolen har taget initiativ til deltagelse i forsøget, besluttet indsatsty-
pen, målgruppen og antallet af afkortede timer ifm. forsøget. Analysen foretages for at undersøge
om højt motiverede skoler er mere investeret i forsøget og derfor laver mere virksningsfulde forløb.
Analysen viser dog, at rammeforsøget ikke har en særlig effekt for elever på højtmotiverede skoler.
I rækken ’Skoler med erfaring’ undersøges effekten af rammeforsøget på læse-
og matematikfær-
digheder for elever på skoler, som inden indsatsen har afholdt de samme eller lignende indsatser,
før rammeforsøget trådte i kraft. Baggrunden er forventning om, at skoler, der tidligere har lavet lig-
nende indsatser i højere grad er i stand til at lave indsatser for eleverne, der er gennemprøvede og
dermed mere virkningsfulde, end skoler, der ikke tidligere har arbejdet med lignende indsatser.
Analysen viser dog, at rammeforsøget gennemsnitligt set ikke har haft en særlig effekt på elevernes
faglige udvikling på skoler, der inden rammeforsøget har afholdt de samme e. lign. indsatser.
I rækken ’Skoler som ikke anvendte §
16
b inden indsatsen’ fremgår effekten af rammeforsøget
læse- og matematikfærdigheder for de elever, som
ikke
har anvendt § 16 b inden rammeforsøget
trådte i kraft i skoleåret 2017/18. Paragraffen kan bruges til at konvertere understøttende undervis-
ning til tolærerordning i andre timer og dermed have færre undervisningstimer end bestemt i § 14 b,
om den samlede undervisningstids varighed. På skoler, der
ikke
har benyttet sig af paragraffen, kan
man således forestille sig, at en effekt af rammeforsøget vil være større, fordi eventuelle positive
konsekvenser ved en timetalsreduktion og den dertilhørende ressourceomfordeling endnu ikke vil
være realiseret. Analysen viser imidlertid, at rammeforsøget ingen særlig effekt har ift. læse- og ma-
tematikfærdigheder på disse skoler.
Der er forskel på, hvor omfangsrig indsatsen har været for eleverne. Omfanget af indsatsen er på-
virket af, hvor mange timer undervisningen på det enkelte klassetrin er reduceret og dermed den
mængde ressourcer, der er blevet
frigivet til rammeforsøget. I rækken ’2 timer eller derunder’ frem-
går effekten af rammeforsøget på læse- og matematikfærdigheder for de elever, der har gået på en
årgang, hvor undervisningstiden er forkortet med 2 timer eller mindre ugentligt. I rækken ’Mere end
2 timer’ fremgår omvendt effekten af rammeforsøget
på læse- og matematikfærdigheder for de ele-
ver, der har gået på en årgang, hvor undervisningstiden er forkortet med mere end 2 timer. Læse-
færdighederne for de indsatselever, der har fået reduceret deres antal undervisningstimer med
52
BUU, Alm.del - 2019-20 - Bilag 213: Orientering om offentliggørelse af rapport om evaluering af rammeforsøg med fleksibel tilrettelæggelse, fra børne- og undervisningsministeren
2219603_0055.png
mere end 2 timer, er fra før til eftermålingen vokset 25,41 point mindre end kontrolgruppen. Som
tidligere fremhævet stiger elevernes pointscore i de nationale test i læse- og matematikfærdigheder
gennemsnitligt set med omtrent 200 point fra et måling-år til det næste. Den negative effekt svarer
derved til et relativt fald på 12,7 pct.
Resultaterne vises samlet i tabel 8 nedenfor.
Tabel 8. Effekten af rammeforsøget på elevernes faglighed
Effektmål
Indsatsgruppe
Samlet effekt
Tolærerordning
Holddeling
Indsatstype
Turbo- og talentforløb
Tematiske indsatser
Kombinationsindsats
Matematikfærdigheder
De fagligt svageste elever
Højt motiverede skoler
Målgruppe
Skoler med erfaring
Skoler som ikke anvendte § 16 b inden ind-
satsen
Antal timer undervisnin- 2 timer eller derunder
gen er reduceret med
Mere end 2 timer
Samlet effekt
Tolærerordning
Holddeling
Indsatstype
Turbo- og talentforløb
Tematiske indsatser
Kombinationsindsats
Læsefærdigheder
De fagligt svageste elever
Højt motiverede skoler
Målgruppe
Skoler med erfaring
Skoler som ikke anvendte § 16 b inden ind-
satsen
Antal timer undervisnin- 2 timer eller derunder
gen er reduceret med
Mere end 2 timer
Effekt (point)
-1.51
15.18
-1.46
2.54
7.30
-11.66
-3.93
-4.57
2.33
1.06
5.30
-14.29
-6.22
9.21
0.99
-5.10
-2.03
-18.45
6.72
-7.97
3.06
-3.36
7.15
-25.41**
Kilde:
Egne beregninger pba. difference-in-differences model med statistisk kontrolgruppe. Data stammer fra nationale
tests, skoleindberetninger samt Danmarks Statistiks registre. Se metodebilag, afsnit 3.5.
Note:
N: Læsefærdigheder =
56.456-24.232, Matematikfærdigheder = 35.646-17.232. I undersøgelsen af rammeforsøgets effekt på læsefærdigheder
og matematikfærdigheder fordeler eleverne sig på henholdsvis 41 og 38 indsatsskoler. Signifikansniveauer illustreres som
følgende: p-værdi<0,05=*, p-værdi<0,01=**, p-værdi<0,01=***.
53
BUU, Alm.del - 2019-20 - Bilag 213: Orientering om offentliggørelse af rapport om evaluering af rammeforsøg med fleksibel tilrettelæggelse, fra børne- og undervisningsministeren
2219603_0056.png
Forældre, lærere og elever oplever rammeforsøget som virkningsfuldt
I ovenstående blev det med afsæt i data fra de nationale tests undersøgt, hvorvidt rammeforsøget
har haft en effekt på elevernes faglige udvikling. I dette afsnit bliver der set nærmere på de ople-
vede effekter af rammeforsøget på elevernes faglighed, som de kommer til udtryk i surveys blandt
elever, lærere og forældre samt kvalitative interviews med elever og lærere.
Størstedelen af lærerne i surveyen oplever, at indsatsen har en positiv betydning for elevernes fag-
lighed. Af figuren nedenfor fremgår det således, at omtrent 70 pct. af lærerne svarer, at indsatsen
under rammeforsøget i høj grad eller i meget høj grad har en positiv betydning for både elevernes
faglige trivsel, faglige læring og læringsmiljøet.
Figur 24: Lærernes oplevelse af indsatsens betydning for elevernes faglige trivsel (N=222)
Øget faglig trivsel
20%
46%
24%
3%
7%
Øget faglig læring
21%
48%
22%
3%
5%
Et bedre læringsmiljø i klasse
25%
40%
20%
6%
8%
I meget høj grad
I høj grad
I nogen grad
I mindre grad
Slet ikke
Ved ikke/Ikke relevant
Kilde:
Lærersurvey 2019. Spørgsmålsformulering: I hvilken grad oplever du, at eleverne får følgende ud af at deltage i
indsatsen?
Note:
Procentsatser under 2 pct. vises ikke i figuren af grafiske hensyn.
Lærerne fremhæver i de kvalitative interviews, at indsatserne særligt kan fremme elevernes faglig-
hed, når der er en lav elev/lærer-ratio. En lærer udtaler blandt andet:
Lærer:
Men faglighed er virkelig det med, at vi har mulighed for at gå ind nogle
steder, man ikke har mulighed for, når man står alene. Både hos nogle svage ele-
ver man kan give et boost, men også nogle af de stærkere elever. Gælder både
5. og 6.
Ligeledes viser interviews og observationer, at flere indsatser også giver mulighed for, at flere læ-
rere er inde over undervisningen i et eller flere fag. Det betyder, at lærernes forskellige forcer kan
benyttes, så de hver især underviser de emner, de er stærkest i fx i hhv. division, multiplikation og
brøker i matematikundervisningen. På den måde får eleverne den mest kvalificerede underviser til
alle emner, fordi lærerne fx kan bytte rundt i rollerne på tolærerordning, eller kan skifte eleverne
mellem sig ved holddeling. En lærer udtrykker denne mulighed således:
Lærer:
Fordelen ved holddeling er fagligheden. Her får vi større sparring mellem
faglærerne. Vi har nogle kompetencer hver især, som bedre udnyttes. Alle elever
vil kunne undervises af de lærere, der er allerbedst på nogle specifikke områder.
54
BUU, Alm.del - 2019-20 - Bilag 213: Orientering om offentliggørelse af rapport om evaluering af rammeforsøg med fleksibel tilrettelæggelse, fra børne- og undervisningsministeren
2219603_0057.png
Flertallet af eleverne oplever i overensstemmelse med lærerne, at indsatsen har bidraget til at
fremme deres faglighed. Figuren nedenfor viser, at 75 pct. af eleverne i slutmålingen har erklæret
sig enige eller meget enige i, at de har lært meget af at være med i undervisningsforløbet ifm. ram-
meforsøget.
Figur 25. Elevernes oplevelse af forsøgets betydning for egen faglighed (N=1846)
45%
30%
19%
3%
Helt enig
Enig
Hverken enig eller
uenig
Uenig
1%
Helt uenig
2%
Ved ikke
Kilde:
Elevsurvey 2019. Spørgsmålsformulering: Hvis du tænker på de særlige undervisningsforløb, du har deltaget i,
hvor enig eller uenig er du så i følgende udsagn? Jeg lærer meget af at være med
Om end eleverne generelt set oplever, at de har lært meget af at være med i undervisningsforlø-
bene, er det med afsæt i figur 25 uklart, hvorvidt de oplever at have haft en større læringstilvækst
end i normale undervisningstimer. De kvalitative interviews indikerer dog, at det er tilfældet. En elev
beskriver eksempelvis, hvordan en mere niveauopdelt undervisning har givet denne et ekstraordi-
nært fagligt løft:
Elev:
Jeg har også rykket mig. Jeg kan se på mine karakterbog, at jeg er gået fra
over gennemsnittet til meget over gennemsnittet. Det er ikke fordi, at jeg føler mig
klog, fordi niveauet sættes hele tiden op i klassen. Det kommer an på, om klassen
er opdelt, om jeg føler mig udfordret. Det kommer også an på faget. Forleden dag
gennemgik vi et essay, som jeg havde gennemgået i forløbet på gymnasiet. Jeg
sidder og tegner på min hånd i timen, og når der kommer noget, jeg har brug for,
tuner jeg ind på det og lytter.
Flere af eleverne beskriver dog, at indsatsens effekt på deres faglighed afhænger meget af den en-
kelte lærer, emne osv.:
Elev 1:
Jeg har både valgt grøn og gul [smiley]. Nogle gange lærer man noget og
andre gange ikke så meget. Jeg lærer mere i dansk end i matematik.
Elev 2:
Matematik er sværere, der vil man gerne have sin egen lærer. Det kan
være nemmere at forstå deres forklaringer. (Elever med holddeling)
I overensstemmelse med eleverne og lærerne er det ligeledes oplevelsen blandt forældre til børn,
der har deltaget i rammeforsøget, at rammeforsøget har bidraget til at fremme elevernes faglighed.
Af figuren nedenfor ses det, at 69 pct. af forældrene mener, at det særlige undervisningsforløb har
udviklet deres barn fagligt.
55
BUU, Alm.del - 2019-20 - Bilag 213: Orientering om offentliggørelse af rapport om evaluering af rammeforsøg med fleksibel tilrettelæggelse, fra børne- og undervisningsministeren
2219603_0058.png
Figur 26. Forældrenes oplevelse af forsøgets betydning for elevernes faglighed (N=617)
44%
25%
18%
4%
Meget enig
Enig
Hverken enig eller
uenig
Uenig
2%
Meget uenig
7%
Ved ikke
Kilde:
Forældresurvey 2019. Spørgsmålsformulering: Hvor enig eller uenig er du i udsagnet
Det særlige undervisningsfor-
løb har udviklet mit barn fagligt?
I rammeforsøget lærer eleverne omtrent det samme, men skoledagen opleves bedre
Hvordan kan det være at elever, lærere og forældre alle oplever indsatsen som virkningsfuld ift. fag-
lighed i surveys og interviews, når effektanalysen tyder på, at rammeforsøget har lille eller ingen be-
tydning?
For det første kan rammeforsøget godt bidrage til elevernes faglige udvikling uden også at have en
effekt på fagligheden. Eksempelvis kan eleverne godt ”lære
meget af at være med”
uden at det
samtidig betyder, at de ville have lært mindre, hvis de ikke var med. Set i dette lys viser analysen, at
elever, lærere og forældre oplever, at læring indenfor rammeforsøget er en bedre måde (surveys) at
opnå samme faglige resultater på (effektanalysen).
Her bør et par metodiske forbehold nævnes. Diskrepansen mellem resultaterne fra survey- og ef-
fektanalysen kan også skyldes de metodiske valg. I effektanalysen har en del af elevernes eftermå-
linger karakter af ”slutmålinger”, idet indsatsen ikke var bragt helt til ende på målingstidspunktet.
Det er derfor den kortsigtede effekt af forsøget, som måles. Der kan være langsigtede effekter, som
overses. Derudover ser effektanalysen på effekten af
deltagelse i rammeforsøget
og ikke effekten
af at modtage en indsats. Kriteriet for inddragelse i indsatsgruppen er nemlig, at man går på en år-
gang, hvor en eller flere klasser har fået en timereduktion. Der indgår således elever i indsatsgrup-
pen, som kun i begrænset omfang har været i berøring med indsatsen. Det betyder, at effektmålene
er konservative. Ift. surveybesvarelser og caseinterviews er det uklart, i hvilket omfang oplevelsen
af ”effekt” faktisk er udtryk for en effekt,
og i så fald på hvilket grundlag respondenten vurderer ef-
fekten. Alternativt kan svarene tolkes som et udtryk for, at elever, lærere og forældre mere generelt
er glade for rammeforsøget.
5.2.2
Trivsel
I dette afsnit vises resultatet af analysen af rammeforsøgets effekt på elevernes trivsel. Børne- og
Undervisningsministeriet har udviklet fem indikatorer, der på baggrund af udvalgte spørgsmål fra
trivselsundersøgelsen måler elevernes trivsel på fire underdimensioner (faglig trivsel, social trivsel,
støtte og inspiration, ro og orden) samt den generelle skoletrivsel. Vores måling af trivsel baserer
sig på disse fem indikatorer.
13
13
Operationaliseringen er uddybet i rapportens bilag.
56
BUU, Alm.del - 2019-20 - Bilag 213: Orientering om offentliggørelse af rapport om evaluering af rammeforsøg med fleksibel tilrettelæggelse, fra børne- og undervisningsministeren
2219603_0059.png
Opsummerende viser afsnittet, at vi ikke kan påvise, at deltagelse i rammeforsøget har betydning
for elevernes trivsel. Ift. de specifikke indsatstyper viser effektanalyserne desuden, at rammeforsø-
get heller ikke har effekt på trivsel på tværs af de forskellige indsatstyper og målgrupper. Resultater
fra surveys blandt elever, forældre og lærere samt kvalitative interviews med elever og forældre vi-
ser, at rammeforsøget opleves som havende en positiv betydning for elevernes trivsel. Samlet set
tyder resultaterne på, at forældre, elever og lærere oplever skoledagen som bedre under rammefor-
søget og, at skolen skaber samme trivsel for eleverne, som de ville have haft udenfor forsøget.
Rammeforsøget har ingen effekt på elevernes trivselsmæssige udvikling
I tabel 9 herunder vises den beregnede effekt af rammeforsøget på trivsel. Effektmålet udgør såle-
des forskellen mellem den gennemsnitlige værdi af udfaldsmålet for indsatsgruppen efter rammefor-
søget og den gennemsnitlige værdi af udfaldsmålet for kontrolgruppen efter rammeforsøget, fratruk-
ket den tilsvarende forskel opgjort før rammeforsøget. Effektmålet udtrykker dermed, om elever, der
deltog i rammeforsøget, har udviklet sig mere positivt, mere negativt eller på samme måde som ele-
verne i kontrolgruppen ift. trivsel.
Den samlede effekt af elevernes deltagelse i rammeforsøget er illustreret i rækken
”samlet effekt”.
Af tabel 9 fremgår det overordnet set, at rammeforsøget målt på hver enkelt af de fem forskellige
trivselsmål ikke har en signifikant effekt på indsatselevernes trivselsmæssige udvikling. Mere speci-
fikt ses eksempelvis, at indsatselevernes generelle trivsel, som effekt af rammeforsøget, er vokset
0,01 point mere end kontrolgruppens gennemsnitlige generelle trivsel. Idet elevernes generelle triv-
sel måles på en skala fra 1-5, svarer det til en effekt på 0,2 procentpoint, hvorfor effekten ikke vur-
deres at være substantiel.
I rækken ’Indsatstype’ fremgår effekten af rammeforsøget på de fem trivselsmål på tværs af de fem
specifikke indsatstyper, eleverne har kunnet deltage i: Tolærerordning, holddeling, turbo- og talent-
forløb, tematisk indsats og en kombination af førnævnte. Af tabellen ses det, at rammeforsøget ikke
har en effekt på elevernes trivselsmæssige udvikling uafhængigt af, hvilken af de fem indsatstyper
eleverne har deltaget i, og hvilket trivselsmål der er tale om. Som fremhævet i afsnit 5.2.1 er et cen-
tralt metodisk forbehold her, at skolerne har haft stor frihed til at ændre deres valg af indsatstype
undervejs i forsøget. Om end en skole indledningsvist i forsøget eksempelvis har indberettet, at de-
res elever har modtaget ’tematiske indsatser’, kan det ikke udelukkes, at de senere hen har ændret
det til en anden indsatstype. Der indgår derfor potentielt set elever i indsatsgrupperne, der kun i be-
grænset omfang har modtaget den klassificerede indsatstype. Indsatstypernes effekt på elevernes
trivsel vil derfor, alt andet lige, blive underestimeret.
I rækken ’Elever med lavest trivsel’ ses effekten af rammeforsøget på de fem trivselsmål for de triv-
selsmæssigt svageste elever. De trivselsmæssigt svageste elever defineres her som de, der på
tværs af de fem trivselsmål har scoret lavere end gennemsnittet på deres klassetrin inden ramme-
forsøget. Analysen viser, at rammeforsøget gennemsnitligt set ikke har haft en effekt på den triv-
selsmæssige udvikling for de trivselsmæssigt svageste elever.
I rækken ’Højt motiverede skoler’ ses effekten af rammeforsøget på de fem trivselsmål for de ele-
ver, der har gået på skoler, som er mest motiverede for at deltage i rammeforsøget. Skoler med høj
motivation er her defineret som skoler, der selv har taget initiativ til at deltage i forsøget samt beslut-
tet indsatstypen, målgruppen og antallet af afkortede timer ifm. forsøget. Analysen viser, at ramme-
forsøget ikke har haft en nævneværdig effekt på elevernes trivselsmæssige udvikling på højtmotive-
rede skoler.
57
BUU, Alm.del - 2019-20 - Bilag 213: Orientering om offentliggørelse af rapport om evaluering af rammeforsøg med fleksibel tilrettelæggelse, fra børne- og undervisningsministeren
2219603_0060.png
I rækken ’Skoler med erfaring’ fremgår effekten af rammeforsøget på de fem trivselsmål for de ele-
ver, der går på skoler, som tidligere har afholdt de samme eller lignende indsatser før rammeforsø-
get trådte i kraft. Analysen viser, at rammeforsøget gennemsnitligt set ikke har haft en særlig effekt
på elevernes trivselsmæssige udvikling på skoler, der før rammeforsøget har afholdt de samme el-
ler lignende indsatser.
I rækken
’Skoler
som ikke anvendte § 16 b inden indsatsen’
fremgår effekten af rammeforsøget på
de fem trivselsmål for de elever, der går på skoler, som
ikke
har anvendt § 16 b inden rammeforsø-
get trådte i kraft i skoleåret 2017/18 og altså ikke umiddelbart har haft erfaring med konvertering af
understøttende undervisning til tolærerordning. Analysen viser, at rammeforsøget gennemsnitligt
set ikke har haft en særlig effekt på elevernes trivselsmæssige udvikling på skoler, der inden ram-
meforsøget ikke har anvendt § 16 b.
Undervisningstiden er blevet reduceret i varierende omfang på tværs af både indsatsskoler og år-
gange. I rækken ’2 timer eller derunder’ fremgår effekten af rammeforsøget på de fem trivselsmål
for de elever, der har gået på en årgang, som har forkortet undervisningstiden med 2 timer eller
mindre ugentligt. I rækken ’Mere end 2 timer’ fremgår omvendt effekten af rammeforsøget på de
fem trivselsmål for de elever, som har gået på en årgang, der har forkortet undervisningstiden med
mere end 2 timer. Analyserne viser, at rammeforsøget i begge målgruppers tilfælde ikke har haft en
effekt på elevernes trivselsmæssige udvikling.
58
BUU, Alm.del - 2019-20 - Bilag 213: Orientering om offentliggørelse af rapport om evaluering af rammeforsøg med fleksibel tilrettelæggelse, fra børne- og undervisningsministeren
2219603_0061.png
Tabel
9
: Effekten af rammeforsøget på elevernes trivsel
Effektmål
Indsatsgruppe
Samlet effekt
Tolærerordning
Holddeling
Indsatstype
Turbo- og talentforløb
Tematiske indsatser
Kombinationsindsats
Generel trivsel (1)
De svageste elever
Højt motiverede skoler
Målgruppe
Skoler med erfaring
Skoler som ikke anvendte § 16 b inden ind-
satsen
Antal timer
undervisningen er
reduceret med
Samlet effekt
Tolærerordning
Holddeling
Indsatstype
Turbo- og talentforløb
Tematiske indsatser
Kombinationsindsats
Faglig trivsel (2)
De svageste elever
Højt motiverede skoler
Målgruppe
Skoler med erfaring
Skoler som ikke anvendte § 16 b inden ind-
satsen
Antal timer
undervisningen er
reduceret med
Samlet effekt
Tolærerordning
Holddeling
Indsatstype
Social trivsel (3)
Turbo- og talentforløb
Tematiske indsatser
Kombinationsindsats
De svageste elever
Målgruppe
Højt motiverede skoler
Skoler med erfaring
2 timer eller derunder
Mere end 2 timer
2 timer eller derunder
Mere end 2 timer
Effekt (point)
0.01
-0.02
-0.04
0.06
0.07
0.02
0.01
0.01
0.01
0.00
0.02
0.01
-0.01
-0.03
-0.06
0.06
0.06
-0.01
-0.01
-0.01
-0.02
-0.01
-0.00
-0.01
0.01
-0.01
-0.02
0.09
0.08
0.01
0.04
0.01
0.02
59
BUU, Alm.del - 2019-20 - Bilag 213: Orientering om offentliggørelse af rapport om evaluering af rammeforsøg med fleksibel tilrettelæggelse, fra børne- og undervisningsministeren
2219603_0062.png
Skoler som ikke anvendte § 16 b inden ind-
satsen
Antal timer
undervisningen er
reduceret med
Samlet effekt
Tolærerordning
Holddeling
Indsatstype
Turbo- og talentforløb
Tematiske indsatser
Kombinationsindsats
Støtte og inspiration (4)
De svageste elever
Højt motiverede skoler
Målgruppe
Skoler med erfaring
Skoler som ikke anvendte § 16 b inden ind-
satsen
Antal timer
undervisningen er
reduceret med
Samlet effekt
Tolærerordning
Holddeling
Indsatstype
Turbo- og talentforløb
Tematiske indsatser
Kombinationsindsats
Ro og orden (5)
De svageste elever
Højt motiverede skoler
Målgruppe
Skoler med erfaring
Skoler som ikke anvendte § 16 b inden ind-
satsen
Antal timer
undervisningen er
reduceret med
2 timer eller derunder
Mere end 2 timer
2 timer eller derunder
Mere end 2 timer
2 timer eller derunder
Mere end 2 timer
0.02
0.01
0.02
0.01
-0.03
-0.05
-0.02
0.05
0.05
0.00
0.01
0.01
-0.01
0.02
0.03
0.03
-0.02
-0.03
0.15
0.13
0.02
0.01
0.02
0.06
0.01
0.05
0.01
Kilde:
Egne beregninger pba. difference-in-differences model med statistisk kontrolgruppe. Data stammer fra nationale
trivselsmålinger, skoleindberetninger samt Danmarks Statistiks registre. Se metodebilag, afsnit 3.5.
Note:
N: Generel triv-
sel = 33.356-10.878, Faglig trivsel = 33.356-10.878, Social trivsel = 33.356-10.878, Støtte og inspiration = 33.356-10.878,
Ro og orden = 33.356-10.878. Indsatseleverne i undersøgelsen af rammeforsøgets effekt på elevernes trivselsmæssige
udvikling fordeler sig på 39 deltagerskoler. Signifikansniveauer illustreres som følgende: p-værdi<0,05=*, p-
værdi<0,01=**, p-værdi<0,01=***.
60
BUU, Alm.del - 2019-20 - Bilag 213: Orientering om offentliggørelse af rapport om evaluering af rammeforsøg med fleksibel tilrettelæggelse, fra børne- og undervisningsministeren
2219603_0063.png
Forældre, lærere og elever oplever at rammeforsøget har haft en positiv indflydelse på ele-
vernes trivsel
I ovenstående blev det, med afsæt i data fra de nationale trivselsmålinger, undersøgt, hvorvidt ram-
meforsøget har haft en effekt på elevernes trivselsmæssige udvikling. I indeværende afsnit under-
søges forældres, elevers og læreres oplevede effekt af rammeforsøget ved hjælp af surveys og in-
terviews.
I figuren herunder fremgår lærernes oplevelse af, hvorvidt indsatsen har en betydning for elevernes
trivsel. Ligesom for elevernes faglighed, giver et flertal af lærerne i surveyen udtryk for, at indsatsen
har en positiv betydning for elevernes trivsel. 55 pct. af lærerne rapporterer således, at eleverne i
høj grad eller meget høj grad får en øget social trivsel ud af at deltage i indsatsen. 54 pct. af læ-
rerne mener hertil i høj grad eller i meget høj grad, at eleverne udvikler bedre sociale kompetencer
af at deltage i indsatsen.
Figur 27. Lærernes oplevelse af forsøgets betydning for elevernes trivsel (N=222)
Øget social trivsel
18%
37%
29%
5%
10%
Udvikling af sociale
kompetencer
17%
37%
32%
6%
8%
I meget høj grad
I høj grad
I nogen grad
I mindre grad
Slet ikke
Ved ikke/Ikke relevant
Kilde:
Lærersurvey 2019. Spørgsmålsformulering: I hvilken grad oplever du, at eleverne får følgende ud af at deltage i
indsatsen?
Note:
Procentsatser under 2 pct. vises ikke i figuren af grafiske hensyn.
I forhold til elevernes trivsel fremhæver lærerne i de kvalitative interviews, at indsatsen særligt har
haft en betydning for elevernes tro på sig selv. Dette kan både gælde for fagligt svagere og stær-
kere elever, der på deres egen måde kan vokse personligt. Blandt andet siger en lærer om en elev,
der blev udvalgt til et talenthold
14
:
Lærer:
Vi oplevede, at nogle elever undrede sig over, at de var blevet udvalgt.
Det har ranket ryggen på dem og givet dem mere selvtillid. En elev var udfordret i
grundskolen og kom med på talentholdet. Nu har han en anden status hos ele-
verne, og han er glad og er begyndt at snakke med mange elever, hvor han før
sad henne i hjørnet og var stille. Nu har han fået plads til at argumentere, fordybe
sig og nørde i de ting, der interesserer ham. Det gør en kæmpe forskel for ele-
verne.
Den trivselsmæssige udvikling kan også skyldes, at eleverne bliver udsat for nogle andre udfordrin-
ger eller anderledes emner, end de typisk gør i skolen. På den måde kan en elev, der ellers ofte er
14
Man kan forestille sig, at det potentielt har haft en negativ effekt på trivsel for de elever, der eksempelvis ikke er blevet
udvalgt til talenthold. Hvorvidt dette er tilfældet, er imidlertid ikke blevet behandlet i indeværende evaluering.
61
BUU, Alm.del - 2019-20 - Bilag 213: Orientering om offentliggørelse af rapport om evaluering af rammeforsøg med fleksibel tilrettelæggelse, fra børne- og undervisningsministeren
2219603_0064.png
udfordret i de klassiske fag, opleve, at de har talenter inden for fx mere kreative fag, hvilket kan bi-
drage til øget læring om sig selv og sine evner. Eksempelvis kan et teaterprojekt give elever mulig-
hed for at få en succesoplevelse i skolen, hvor de mere boglige fag ellers kan være en udfordring:
Pædagog:
Jeg kan se, at børn der har meget svært ved at læse højt i danskbog,
kan sidde med manuskript og har haft det i to dage og dårligt nået at kigge det
igennem. Der er børn, der i undervisningen i hverdagen har meget svært ved det.
Hvor de blomstrer hos os, ”nå
ja, det kunne jeg godt. Det var meget sværere, det
jeg gjorde der, det kan jeg godt det her.”
Elever, som har deltaget i rammeforsøget, oplever i overensstemmelse med lærernes opfattelse, at
de har fået en bedre trivsel som effekt af rammeforsøget. Figuren nedenfor viser således, at et fler-
tal af eleverne synes, at de særlige undervisningsforløb har fremmet deres trivsel. Mere præcist op-
lever 56 pct. af eleverne i høj grad eller i meget høj grad, at de særlige undervisningsforløb har gi-
vet dem en øget trivsel.
Figur 28. Elevernes oplevelse af forsøgets betydning for egen trivsel (N=1827)
33%
27%
23%
10%
5%
I meget høj grad
I høj grad
I nogen grad
I mindre grad
2%
Slet ikke
Ved ikke
Kilde:
Elevsurvey 2019. Spørgsmålsformulering: I hvilken grad synes du, at de særlige undervisningsforløb har givet
dig…
Øget trivsel?
I de kvalitative interviews med eleverne fremhæver flere, at opdelingen i hold i forskellige sammen-
hænge har medvirket til, at de i højere grad har fået venner uden for deres egen klasse:
Elev 1:
Jeg synes, det er sjovt, at vi kommer ud, så det ikke altid er det samme.
Elev 2:
Når man er blandet i klasserne, kan man arbejde med sammen med no-
gen fra den anden klasse.
Elev 3:
Vi er hurtigt kommet til at snakke med nogle fra de andre [føde]skoler.
(Elever med holddeling på overbygningsskole med elever fra forskellige fødesko-
ler)
Størstedelen af forældre til børn, der har deltaget i rammeforsøget, har ligeledes en oplevelse af, at
indsatsen har fremmet deres børns trivsel i skolen. Af figur 29 ses det, at 64 pct. af forældre har er-
klæret sig enige eller meget enige i, at det særlige undervisningsforløb har bidraget til, at deres barn
trives bedre i skolen. Hertil ses det, at kun 2 pct. af forældrene mener, at det særlige undervisnings-
forløb slet ikke har givet deres barn en øget trivsel i skolen.
62
BUU, Alm.del - 2019-20 - Bilag 213: Orientering om offentliggørelse af rapport om evaluering af rammeforsøg med fleksibel tilrettelæggelse, fra børne- og undervisningsministeren
2219603_0065.png
Figur 29. Hvor enig eller uenig er du i udsagnet
Det særlige undervisningsforløb har bidraget til, at mit barn trives
bedre i skolen?
(N=617)
37%
27%
23%
5%
6%
Ved ikke
2%
Meget uenig
Meget enig
Enig
Hverken enig eller
uenig
Uenig
Kilde:
Forældresurvey 2019. Spørgsmålsformulering: Hvor enig eller uenig er du i udsagnet
Det særlige undervisningsfor-
løb har bidraget til, at mit barn trives bedre i skolen?
Eleverne i rammeforsøget trives lige så godt som udenfor, men elever, lærere og forældre er
positive overfor indsatsen
Med udgangspunkt i ovenstående er det altså generelt set både elevernes, forældrenes og lærer-
nes oplevelse, at rammeforsøget har fremmet elevernes trivselsmæssige udvikling. Deres oplevelse
står i midelertid i kontrast til effektanalysens resultater, som tyder på, at rammeforsøget ikke har
haft en effekt på elevernes trivselsmæssige udvikling.
Det kan være udfordrende for elever, forældre og lærere at vurdere effekten af en indsats ift. trivsel.
Det forudsætter, at de kan vurdere, hvilket trivselsmæssigt niveau en elev ville have haft, hvis de
ikke
havde deltaget i rammeforsøget og sammenligne dette med det faktiske niveau af trivsel, som
eleven oplever. Eleverne, lærerne og forældrene har generelt set været positivt stemt overfor ram-
meforsøget som helhed. Denne positive oplevelse af rammeforsøget kan
her have ”smittet af” på
deres svar. Dette til trods for, at elevernes trivsel gennemsnitligt muligvis har været mere eller min-
dre uændret set i forhold til, hvis de
ikke
havde deltaget i rammeforsøget. Dette kan muligvis for-
klare den ovenfor beskrevne diskrepeans mellem resultaterne fra survey- og effektanalysen.
Som fremhævet i afsnit 5.2.1 kan de metodiske valg også have haft en indvirkning på effektestima-
terne. Effektanalysen ser på effekten af
deltagelse i rammeforsøget
og altså ikke effekten af at
modtage en indsats. Der ingår således elever i indsatsgruppen, der kun i begrænset omfang har
været påvirket af rammeforsøget. Rammeforsøgets effekt på elevernes trivsel vil derfor, alt andet
lige, blive underestimeret.
Skolens og lærernes udbytte
På trods af at rammeforsøget primært har været igangsat med en forventning om, at forsøget kunne
øge elevernes trivsel og faglighed, synes der også at have været fordele for skolen generelt samt
for lærerne ved at deltage i forsøget. Dette kommer særligt til udtryk gennem survey med skolele-
dere og lærere samt interviews med de to grupper. Dette afsnit vil derfor have fokus på de fordele,
der har været for andre end eleverne.
Ser man først på skoleledernes survey, tyder det særligt på, at skolelederne på forsøgsskolerne op-
lever større tilfredshed blandt lærerne med rammerne for skoledagens tilrettelæggelse samt en ge-
nerel mere fleksibel tilrettelæggelse af skoledagen. Forskellen er signifikant i forhold til skoleledere
på kontrolskoler, der ikke har deltaget i rammeforsøget. Når det kommer til at tilbyde elever med
særlige udfordringer gode muligheder samt at anvende pædagogiske ressourcer hensigtsmæssigt,
63
BUU, Alm.del - 2019-20 - Bilag 213: Orientering om offentliggørelse af rapport om evaluering af rammeforsøg med fleksibel tilrettelæggelse, fra børne- og undervisningsministeren
2219603_0066.png
er der stort set ingen forskel mellem skolelederne. Dog oplever lederne på forsøgsskolerne i lidt hø-
jere grad, men ikke signifikant, at have gode tilbud til elever med særlige udfordringer end på kon-
trolskolerne.
Figur 30. Skoleledernes oplevelse af rammerne for skoledagens tilrettelæggelse (N=45/57)
Der er stor tilfredshed blandt lærerne med
rammerne for skoledagens tilrettelæggelse
Vi har gode tilbud til elever med særlige
udfordringer
Vi har en hensigtsmæssig anvendelse af
pædagogiske ressourcer
Vi har en fleksibel tilrettelæggelse af
skoledagen
1
2
3
Forsøg
4
Kontrol
5
Kilde:
Skoleledersurvey 2018. Spørgsmålsformulering: I hvilken grad synes du, at nedenstående gør sig gældende for
din skole?
Note:
Skalaen går fra 1’Slet ikke” til 5’I meget høj grad’. Prikkerne illustrerer gennemsnitsværdien for hhv. for-
søgs- og kontrolgruppen.
Figuren viser således, at forsøgsskolerne særligt får gavn af forsøget i forhold til en mere fleksibel
tilrettelæggelse, hvilket tyder på, at forsøget har givet de muligheder, der var tiltænkt, men også at
denne øgede fleksibilitet smitter af på lærernes tilfredshed med rammerne for skoledagen.
På baggrund af materialet fra survey-undersøgelsen, der som nævnt ikke har haft konkret fokus på
lærernes udbytte, kommer det dog alligevel frem, at tilfredsheden med forsøget er stor blandt læ-
rerne. De oplever både at kunne give et bedre tilbud til elever med særlige udfordringer og anvende
de pædagogiske ressourcer bedre. Således er der hos 71 pct. af lærerne en øget tilfredshed med
rammerne for skoledagens tilrettelæggelse, mens kun 9 pct. er mindre tilfredse ved slutmålingen.
76 pct. angiver ligeledes, at de i høj eller meget høj grad oplever, at forsøget giver et bedre tilbud til
elever med særlige udfordringer, mens 75 pct. oplever, at de pædagogiske ressourcer bliver an-
vendt bedre. Lærerne er mest kritiske i forhold til, om forsøget bidrager til en mere fleksibel tilrette-
læggelse af skoledagen. Her er det dog fortsat 53 pct., altså over halvdelen, der er enige, mens kun
14 pct. er uenige.
64
BUU, Alm.del - 2019-20 - Bilag 213: Orientering om offentliggørelse af rapport om evaluering af rammeforsøg med fleksibel tilrettelæggelse, fra børne- og undervisningsministeren
2219603_0067.png
Figur 31. Lærernes oplevelse af forsøgets betydning for en mere fleksibel skoledag (N=222)
Øget tilfredshed blandt lærerne med rammerne for
skoledagens tilrettelæggelse
34%
34%
18%
6%
5%
Bedre tilbud til elever med særlige udfordringer
37%
38%
15% 5%
4%
Bedre anvendelse af pædagogiske ressourcer
34%
38%
18%
3%
5%
En mere fleksibel tilrettelæggelse af skoledagen
26%
29%
26%
7%
6% 6%
I meget høj grad
I høj grad
I nogen grad
I mindre grad grad
Slet ikke
Ved ikke
Kilde:
Lærersurvey 2019. Spørgsmålsformulering: I hvilken grad synes du, at indsatsen bidrager til nedenstående for sko-
len generelt?
Note:
Procentsatser under 2 pct. vises ikke i figuren af grafiske hensyn.
I de åbne besvarelser i surveyen udtrykker lærerne ligeledes generel tilfredshed med forsøget. Be-
svarelserne er kodet gennem en åben kodning, for at kategorisere lærernes oplevelser. Det frem-
hæves især, at lærerne oplever, at forsøget bidrager til øget elevtrivsel (33 pct.) samt giver lærerne
mere tid .til det enkelte barn i undervisningen (22 pct.). Andre fordele, der opleves ved forsøget, er
et bedre samarbejde mellem kollegaer (8 pct.) og større lærertrivsel (5 pct.). 8 pct. af lærerne angi-
ver, at de ikke har oplevet nogle fordele ved at deltage i forsøget.
I de kvalitative interviews går disse pointer igen, og den fordel flest lærere nævner er, at de i forbin-
delse med indsatserne begynder at samarbejde endnu mere med deres kollegaer end tidligere.
Dette samarbejde er både i form af planlægning af undervisningen eller det pågældende forløb, ud-
førelsen af indsatsen fx i forbindelse med tolærerordning samt i evalueringen af undervisningen.
Lærerne oplever således at kunne udveksle materialer, erfaringer og generelt få inspiration til deres
egen undervisning både med hensyn til indhold og didaktik, når de indgår i samarbejde med andre
lærere. I tolærerordningen er endda nærmest indbygget supervision, hvor lærerne overhører hinan-
den undervise og kan få inspiration til nye tilgange og måder at håndtere forskellige situationer på.
Lærer:
Når man står i et klasserum sammen to lærere, får man løbende en form
for supervision. Man får respons på det, man har lavet
det er superfedt. Der er
altid en flue på væggen, der er med til at se en udefra.
Flere af lærerne omtaler det øgede samarbejde meget positivt, og beskriver det som en uforudset
effekt af forsøget. Det øgede samarbejde er derudover godt i tråd med dagsordenen om professio-
nelle læringsfællesskaber og et vigtigt element i Lov 409 om forlængelse og fornyelse af kollektive
overenskomster og aftaler for visse grupper af ansatte på det offentlige område, der i højere grad
skulle gøre det muligt for lærerne at indgå i fælles forberedelse og teamsamarbejde.
65
BUU, Alm.del - 2019-20 - Bilag 213: Orientering om offentliggørelse af rapport om evaluering af rammeforsøg med fleksibel tilrettelæggelse, fra børne- og undervisningsministeren
2219603_0068.png
Lærer:
Jeg synes, at det overrasker, hvor meget vi har brugt hinanden. Vi skal jo
bruge hinanden til planlægning, og det synes jeg har været megafedt. Vi kommer
med idéer og sparrer. Det gør også, at nogen ikke bare kan stikke af og lave egen
planlægning.
Udover at lærerne får feedback og inspiration til deres egen undervisning, kan indsatserne også
være med til at ændre deres syn på eleverne. Dels kan lærerne inspireres af andre læreres måder
at håndtere en elev, der måske kan være udfordrende, og dels kan lærerne se nye sider af eleven,
fx ved at se dem i andre fag eller i en anderledes kontekst end de plejer. Lærerne giver selv udtryk
for, at dette kan være gavnligt for deres undervisning, hvorfor det også må forventes at have en po-
sitiv betydning for eleverne.
Lærer:
Vi sparrer meget med hinanden. Jeg ser nogle børn, der har problemer i
nogle fag og ikke i andre fag. Ved at jeg deltager i matematik, opdager jeg, at
nogle af de elever, der ikke er gode i mit danskfag, brillerer i matematik. Det giver
en bedre forståelse for dem og den måde, de lærer på. Det giver et bredere syn
på eleven, og så kan jeg lade mig inspirere af den undervisningsmetode, de bru-
ger i matematik, og så kan jeg forklare hende, ”jamen, du kan godt. Du har jo næ-
sten gjort det
i matematik, da du gjorde sådan og sådan”. Vi kan tilpasse læringen
til den enkelte elev ved at se, hvor de brillerer.
Rent skemateknisk udtrykker flere lærere også tilfredshed med forsøget, da den kortere skoledag
for eleverne ofte betyder for lærerne, at deres undervisning er koncentreret fx mellem kl. 8-13, hvor-
efter forberedelsen kan foregå samlet i timerne efterfølgende. En lærer udtrykker blandt andet, at
den samlede forberedelsestid kan bidrage til øget fordybelse i opgaven i modsætning til et skema,
hvor der ofte veksles mellem undervisning og forberedelse:
Lærer:
Jeg synes, det er helt vildt rart. Før havde vi huller i skemaet til at forbe-
rede. Jeg har det bedre med at være i undervisning fra 8 til 13, og så kan jeg gå
på mit kontor og fordybe mig bedre. Førhen hvis man lige havde tre kvarter ind
imellem undervisningstimer, der er det begrænset, hvor effektiv man kan være.
Så du kan bedre fordybe dig.
Samlet set er der således også et udbytte for skolerne og særligt lærerne ved at deltage i forsøget.
Lærerne oplever både fordele i forbindelse med deres undervisning og samvær med eleverne, men
også i forhold til deres egen faglige sparring og samarbejdsrelationer.
66
BUU, Alm.del - 2019-20 - Bilag 213: Orientering om offentliggørelse af rapport om evaluering af rammeforsøg med fleksibel tilrettelæggelse, fra børne- og undervisningsministeren
2219603_0069.png
6. Konklusion
67
BUU, Alm.del - 2019-20 - Bilag 213: Orientering om offentliggørelse af rapport om evaluering af rammeforsøg med fleksibel tilrettelæggelse, fra børne- og undervisningsministeren
2219603_0070.png
6. Konklusion
Den overordnede konklusion fra evalueringen af rammeforsøget med mere fleksibel tilrettelæggelse
af skoledagen er, at der ikke kan identificeres klare effekter af forsøget for hverken elevernes faglig-
hed eller trivsel. Dog udtrykker både elever, lærere og skoleledere en generel stor tilfredshed med
forsøget i caseinterviewene. Tilfredsheden gælder både de særlige undervisningsindsatser og den
kortere skoledag. I surveys med ledere, lærere og forældre udtrykkes der ligeledes generel tilfreds-
hed med forsøget samt en oplevelse af effekt på elevernes faglighed og trivsel. I surveys med ele-
verne udvises også generel tilfredshed og oplevelse af effekter, men der kan ikke identificeres no-
gen betydningsfuld ændring over tid fra midtvejsmålingen til slutmålingen. Registeranalysen, der
baserer sig på nationale tests og trivselsmålinger, viser dog ingen effekter af rammeforsøget, når
eleverne sammenlignes med lignende elever, der ikke deltager i forsøget, bortset fra en enkelt
gruppe elever. Det gælder de elever, der har fået reduceret skoleugen med mere end to timer, hvor
der måles en signifikant negativ effekt på læsefærdigheder.
Implementering
I alt 50 skoler fra 39 kommuner har opnået godkendelse til at deltage i forsøget om fleksibel tilrette-
læggelse af skoledagen. Gennem forsøget har skolerne fået mulighed for at fravige folkeskolelo-
vens § 14 b om undervisnings samlede varighed og § 16 a om understøttende undervisning og der-
med afkorte skoledagen og erstatte dele af den understøttende undervisning med andre typer af
faglige forløb, herunder bl.a. tolærerordning, holddeling og turbo-/talentforløb. Skolerne har dermed
fået større frihed og fleksibilitet i forhold til at tilrettelægge skoledagen ud over de muligheder, der
allerede eksisterer efter folkeskolelovens § 16 b, hvor understøttende undervisning kan konverteres
til tolærerordning i andre timer og skoledagen dermed forkortes.
Evalueringen af implementeringen af rammeforsøget viser, at skolerne i høj grad har brugt ramme-
forsøgets beføjelser til en fleksibel tilrettelæggelse af skoledagen og på meget forskellig vis. For det
første varierer antallet af timer, som skolerne har reduceret skoledagen med fra 0,75 timer til 5 timer
om ugen. Der er således temmelig stor variation i, hvor tydelig reduktionen af skoledagen har været
for eleverne, lærerne og forældrene ude på de enkelte skoler.
For det andet varierer det hvilken type af kvalitetsunderstøttende indsatser, som skolerne har an-
vendt de frigivne ressourcer på. Her viser en opgørelse af skolernes indberetninger, at skolerne
særligt har benyttet rammeforsøget til at lave holddeling, tolærerordning og forskellige former for
tematiske forløb, og at mange af indsatserne har været rettet mod dansk og matematik. Opgørelsen
viser endvidere, at knap halvdelen af skolerne har anvendt mere end én type af indsats, typisk cen-
tret omkring holddeling eller tolærerordning. Det fremgår desuden af den kvalitative dataindsamling,
at skolernes brug af indsatser typisk har ændret sig undervejs i rammeforsøget, fx kan turbo-/talent-
forløb være blevet erstattet med holddeling, ligesom intensiteten af indsatserne kan variere over tid
på skolerne.
Målgruppen for indsatserne har primært været udskolingen og mellemtrin og i mindre grad indsko-
lingen, som kun omfattes af 16 pct. af indsatserne. På de fleste skoler deltager enten alle elever i
klassen i indsatsen, ellers modtager de elever, der ikke indgår i indsatsen, almindelig undervisning i
tidsrummet.
For det tredje varierer det, hvordan skolerne har valgt at allokere de frigivne midler. Den kvalitative
analyse af casebesøgene finder her tre overordnede modeller for ressourceallokering. Den første
68
BUU, Alm.del - 2019-20 - Bilag 213: Orientering om offentliggørelse af rapport om evaluering af rammeforsøg med fleksibel tilrettelæggelse, fra børne- og undervisningsministeren
2219603_0071.png
model er en 1:1 model, hvor alle elever med en reduceret skoledag modtager den samme indsats
(fx alle elever får reduceret skoleugen med to lektioner, og alle elever modtager holddeling seks ti-
mer om ugen). I den anden model får alle eleverne reduceret deres skoledag, og de frigivne res-
sourcer tilfalder klassen eller årgangen, men det er typisk op til lærerteamet at beslutte, hvordan
ressourcerne anvendes bedst. Dette betyder også, at indsatserne oftest, men ikke nødvendigvis,
omfatter alle elever. I den tredje model får alle elever reduceret deres skoledag, men de frigivne
ressourcer tilfalder blot udvalgte elever/klasser, som vurderes at have behov for en styrket indsats.
Endeligt viser evalueringen af skolernes implementering af rammeforsøget, at en række gode erfa-
ringer og opmærksomhedspunkter går på tværs af de forskellige typer af indsatser og måder at til-
rettelægge indsatserne på.
Ledelsen
skal være opmærksom på følgende punkter i planlægningen af indsatserne:
Sikre tid til fælles forberedelse
også mellem lærere og pædagoger.
Sikre at der er et ligeværdigt og lige ansvarsfuldt samarbejde mellem lærere (og evt. pæda-
goger) i indsatser, der involverer flere medarbejdere
dette gælder særligt i samarbejder
mellem lærere og pædagoger. Dette styrkes bl.a. gennem fælles tid til forberedelse.
Sikre tydeligt formål med indsatserne, og at der følges op på virkningen af indsatserne.
Ildsjæle bringer indsatserne frem, men gør dem også sårbare over for personaleændringer.
Husk at tænke vidensdeling og forankring ind i indsatserne.
Skemalægning ved indsatser for udvalgte elever
hvilken undervisning går eleverne glip af,
og hvad laver de andre elever imens?
Lærerne
skal være opmærksomme på følgende punkter i planlægningen og udførelsen af indsat-
serne:
Fokus på betydningen af relationer mellem elever og lærere i planlægningen af indsatserne.
Eksempelvis have en fast lærer tilknyttet som ekstra-lærer i tolærerordning eller holddeling,
eller være opmærksom på, at ikke alle elever trives med lærerskift ved holddeling.
Prioritering af fælles forberedelse og gøre brug af hinandens fagligheder
– undgå ”radiator-
læreren”
Vigtigt med afstemte og klare retningslinjer for elevernes arbejde, når flere lærere er involve-
ret i indsatsen, så eleverne ikke oplever, at det varierer på tværs af lærere.
Trin på vejen
På baggrund af skolernes ansøgninger til deltagelse i forsøget blev der opstillet en forandringsteori
baseret på skolernes samlede forventninger til resultaterne af forsøget. Af disse forventninger var
der tale om nogle indledende resultater, trin på vejen, som med tiden forventedes at føre til de
egentlige effekter, forbedret faglighed og trivsel hos eleverne.
De fire trin på vejen er: faglig støtte, motivation, skole-fritidsbalance og uddannelsesparathed. Ne-
denfor opsummeres resultaterne for trinene et ad gangen.
Faglig støtte:
Særligt caseinterviewene og lærersurvey bakker op om, at rammeforsøget
giver eleverne bedre mulighed for faglig støtte i undervisningen end tidligere. Det gælder
både muligheden for at få hjælp af læreren, samt at få undervisningen bedre tilpasset ele-
vens eget niveau. Elevernes surveybesvarelser tyder dog ikke på nogen ændring i den fag-
lige støtte over tid.
69
BUU, Alm.del - 2019-20 - Bilag 213: Orientering om offentliggørelse af rapport om evaluering af rammeforsøg med fleksibel tilrettelæggelse, fra børne- og undervisningsministeren
2219603_0072.png
Motivation:
Caseinterviewene giver indtryk af, at rammeforsøget kan være med til at øge
motivationen blandt eleverne, fx ved at inddrage mere varierende undervisningsformer (fx
holddeling), eller ved at lave anderledes tematikker i undervisningen som teater, innovation
eller lignende. Elevernes surveybesvarelser tyder på et mindre, men signifikant fald i motiva-
tionen fra midtvejsmålingen til slutmålingen, der dog muligvis kan være påvirket af måletids-
punktet for slutmålingen. De resterende kvantitative data viser dog ikke tegn på nogen sær-
lig effekt af forsøget på dette parameter.
Balance mellem skole og fritid:
Særligt forældresurvey, lærersurvey og caseinterviews vi-
ser klare tegn på en positiv effekt af rammeforsøget på elevernes balance i hverdagen mel-
lem skole og fritid. Det opleves således, at eleverne får mere overskud i hverdagen og bedre
tid til at nå både deres fritidsaktiviteter og lektier i fritiden. Elevernes surveybesvarelser viser
et mindre, men signifikant fald i oplevelsen af skole-fritidsbalance fra midtvejs- til slutmåling.
Faldet drives dog primært af udskolingselever, hvorfor resultatet må læses med forbehold
for, at slutmålingen er foretaget i årsprøve- og eksamensperiode.
Uddannelsesparathed:
Elevsurveyen viser små tegn på, at elevernes oplevede uddannel-
sesparathed øges en smule over tid fra midtvejsmåling til slutmåling. Om dette skyldes for-
søget i sig selv eller andre aktiviteter såsom brobygning og UU-vejledning kan dog ikke iso-
leres. Lærernes besvarelser i survey tyder i den forlængelse heller ikke på, at det i særlig
grad skulle skyldes rammeforsøget, at der er sket en fremgang i elevernes oplevede uddan-
nelsesparathed.
Samlet set tyder de kvalitative analyser samt de oplevede effekter af rammeforsøget i surveys på at
være positive både i forhold til den kortere skoledag og i den forbindelse balancen mellem skole og
fritid, men også i forhold til den faglige støtte og motivation, de særlige undervisningsindsatser gi-
ver. Over tid ses der dog ikke nogen betydningsfulde ændringer i elevernes oplevelser på de for-
skellige parametre i surveys. Dog må der ved tolkning af disse tal tages forbehold for, at midtvejs-
målingen er foretaget i november-december 2018 og slutmålingen i maj-juni 2019, hvorfor forsøget
allerede var i gang, da eleverne besvarede den første måling, og kun et halvt år senere besvarede
den anden.
Effekter
Resultaterne af registeranalysen viser samlet set, at der ikke er signifikante effekter af delta-
gelse i rammeforsøget på nogen af trivselsmålene eller på faglig udvikling i læse- og mate-
matikfærdigheder. Det kan der være flere gode forklaringer på. Først og fremmest har 49
pct. af indsatsskolerne afkortet skoledagen for indsatseleverne med mindre end to timer
ugentligt. Det er derfor relativt få midler, der har været tilgængelig til omlægningen af ud-
valgte undervisningstimer. For det andet er rammeforsøget grundlæggende en ompriorite-
ring af ressourcer. De indsatser, som gennemføres et sted, sker på bekostning af færre un-
dervisningstimer timer et andet.
Registeranalysen viser også, at der ikke er en signifikant effekt af de specifikke indsatstyper
(tolærerordning, holddeling, turbo-/talentforløb, tematiske indsatser eller en kombination af
70
BUU, Alm.del - 2019-20 - Bilag 213: Orientering om offentliggørelse af rapport om evaluering af rammeforsøg med fleksibel tilrettelæggelse, fra børne- og undervisningsministeren
2219603_0073.png
disse). Der er heller ingen effekter af rammeforsøget for 1) elever på særligt motiverede sko-
ler, 2) elever på skoler, som forud for forsøget har benyttet sig af § 16 b
15
, 3) elever på sko-
ler, som inden forsøget havde erfaring med lignende indsatser eller 4) de fagligt eller triv-
selsmæssigt svageste elever.
For elever, hvis timetal er reduceret med to timer eller derunder pr. uge, er der ingen effekt
af indsatsen ift. de fem trivselsindikatorer og matematikfærdigheder. Der findes dog en signi-
fikant negativ effekt ift. læsning for elever, hvis timetal er reduceret med mere end to timer
pr. uge.
Registeranalysens resultater skal læses med nogle forbehold. Der er således tale om et
konservativt estimat af rammeforsøgets effekter, idet ikke alle i indsatsgruppen er direkte i
berøring med rammeforsøget. Der er også tale om et konservativt estimat, fordi elevernes
trivsel og faglighed i de fleste tilfælde er målt inden rammeforsøget var afsluttet. Der er såle-
des tale om de kortsigtede effekter. I hvilket omfang de effekter, som elever, lærere og for-
ældre oplever, er udtryk for reelt oplevede effekter, og i så fald på hvilket grundlag dette ba-
seres på, er uvist. De tre gruppers optimisme kan alternativt være udtryk for, at de generelt
er glade for rammeforsøget, men hvilken tolkning som er den rette, er uklart.
Med ovennævnte metodiske forbehold in mente tegner virkningsanalysen samlet set et billede af, at
elever, lærere og forældre er glade for at deltage i rammeforsøget, har et positivt billede af indsat-
sen, og at eleverne opnår omtrent samme faglighed og trivsel, som de ville udenfor rammeforsøget,
bortset fra læsefærdighederne hos de elever, der har fået reduceret skoleugen med mere end to
timer.
15
Jf. folkeskoleloven før maj 2019
71
BUU, Alm.del - 2019-20 - Bilag 213: Orientering om offentliggørelse af rapport om evaluering af rammeforsøg med fleksibel tilrettelæggelse, fra børne- og undervisningsministeren
2219603_0074.png
Epinion Aarhus
Hack Kampmanns Plads 1-3
8000 Aarhus c
Denmark
T: +45 87 30 95 00
E: [email protected]
Epinion Brussel
Brussel nationaal bus 25
1930 Zaventem
Belgium
E: [email protected]
Epinion Copenhagen
Ryesgade 3f
2200 Copenhagen n
Denmark
T: +45 87 30 95 00
E: [email protected]
Epinion Hamburg
Ericusspitze 4
20457 Hamburg
Germany
T: +43 (0)699 13180416
E: [email protected]
Epinion London
D’albiac house (room 1015-1017)
Cromer road, Heathrow central
area, Hounslow, tw6 1sd
T: +44 (0) 7970 020793
E: [email protected]
Epinion Malmö
Adelgatan 5
21122 Malmö
Sweden
E: [email protected]
Epinion Oslo
Biskop Gunnerus gate 2
0155 Oslo
Norway
T: +47 97 11 73 50
E: [email protected]
Epinion Saigon
11th fl, Dinh le building,
1 Dinh le, dist. 4, Hcmc
Vietnam
T: +84 8 38 26 89 89
E: [email protected]
Epinion Singapore
60 Paya lebar road
#08-43 Paya lebar square
Singapore
E: [email protected]
Epinion Stavanger
Klubbgaten 4
4006 Stavanger
Norway
T: +47 90 17 18 99
E: [email protected]
Epinion Stockholm
Terminal 4 plan 4
Office no. 4309b
19045 Stockholm/Arlanda
Sweden
E: [email protected]
Epinion Vienna
Hainburgerstrasse 20/7
1030 Kefnna
Austria
T: +43 (0)699 13180416
E: [email protected]
72